US20030187663A1 - Broadband frequency translation for high frequency regeneration - Google Patents
Broadband frequency translation for high frequency regeneration Download PDFInfo
- Publication number
- US20030187663A1 US20030187663A1 US10/113,858 US11385802A US2003187663A1 US 20030187663 A1 US20030187663 A1 US 20030187663A1 US 11385802 A US11385802 A US 11385802A US 2003187663 A1 US2003187663 A1 US 2003187663A1
- Authority
- US
- United States
- Prior art keywords
- signal
- obtaining
- domain representation
- frequency
- noise
- Prior art date
- Legal status (The legal status is an assumption and is not a legal conclusion. Google has not performed a legal analysis and makes no representation as to the accuracy of the status listed.)
- Abandoned
Links
- 238000013519 translation Methods 0.000 title claims description 26
- 230000008929 regeneration Effects 0.000 title description 13
- 238000011069 regeneration method Methods 0.000 title description 13
- 230000003595 spectral effect Effects 0.000 claims abstract description 231
- 230000002123 temporal effect Effects 0.000 claims abstract description 100
- 238000002156 mixing Methods 0.000 claims abstract description 72
- 230000005236 sound signal Effects 0.000 claims abstract description 60
- 238000000034 method Methods 0.000 claims description 115
- 238000004458 analytical method Methods 0.000 claims description 32
- 238000003786 synthesis reaction Methods 0.000 claims description 26
- 230000015572 biosynthetic process Effects 0.000 claims description 25
- 230000005540 biological transmission Effects 0.000 claims description 19
- 230000004044 response Effects 0.000 claims description 12
- 238000012545 processing Methods 0.000 claims description 9
- 230000006870 function Effects 0.000 description 19
- 238000004891 communication Methods 0.000 description 18
- 238000001228 spectrum Methods 0.000 description 15
- 238000010586 diagram Methods 0.000 description 12
- 230000000694 effects Effects 0.000 description 6
- 239000011159 matrix material Substances 0.000 description 4
- 230000001172 regenerating effect Effects 0.000 description 4
- 239000000203 mixture Substances 0.000 description 3
- 230000003044 adaptive effect Effects 0.000 description 2
- 230000002238 attenuated effect Effects 0.000 description 2
- 230000001427 coherent effect Effects 0.000 description 2
- 230000000295 complement effect Effects 0.000 description 2
- 238000012937 correction Methods 0.000 description 2
- 230000000593 degrading effect Effects 0.000 description 2
- 238000013461 design Methods 0.000 description 2
- 238000001514 detection method Methods 0.000 description 2
- 230000003287 optical effect Effects 0.000 description 2
- 230000008447 perception Effects 0.000 description 2
- 230000002441 reversible effect Effects 0.000 description 2
- 238000003491 array Methods 0.000 description 1
- 238000005516 engineering process Methods 0.000 description 1
- 238000003384 imaging method Methods 0.000 description 1
- 230000014759 maintenance of location Effects 0.000 description 1
- 239000013307 optical fiber Substances 0.000 description 1
- 230000000717 retained effect Effects 0.000 description 1
- 238000005070 sampling Methods 0.000 description 1
- 238000006467 substitution reaction Methods 0.000 description 1
Images
Classifications
-
- G—PHYSICS
- G10—MUSICAL INSTRUMENTS; ACOUSTICS
- G10L—SPEECH ANALYSIS TECHNIQUES OR SPEECH SYNTHESIS; SPEECH RECOGNITION; SPEECH OR VOICE PROCESSING TECHNIQUES; SPEECH OR AUDIO CODING OR DECODING
- G10L19/00—Speech or audio signals analysis-synthesis techniques for redundancy reduction, e.g. in vocoders; Coding or decoding of speech or audio signals, using source filter models or psychoacoustic analysis
- G10L19/02—Speech or audio signals analysis-synthesis techniques for redundancy reduction, e.g. in vocoders; Coding or decoding of speech or audio signals, using source filter models or psychoacoustic analysis using spectral analysis, e.g. transform vocoders or subband vocoders
- G10L19/0204—Speech or audio signals analysis-synthesis techniques for redundancy reduction, e.g. in vocoders; Coding or decoding of speech or audio signals, using source filter models or psychoacoustic analysis using spectral analysis, e.g. transform vocoders or subband vocoders using subband decomposition
- G10L19/0208—Subband vocoders
-
- G—PHYSICS
- G10—MUSICAL INSTRUMENTS; ACOUSTICS
- G10L—SPEECH ANALYSIS TECHNIQUES OR SPEECH SYNTHESIS; SPEECH RECOGNITION; SPEECH OR VOICE PROCESSING TECHNIQUES; SPEECH OR AUDIO CODING OR DECODING
- G10L21/00—Speech or voice signal processing techniques to produce another audible or non-audible signal, e.g. visual or tactile, in order to modify its quality or its intelligibility
- G10L21/02—Speech enhancement, e.g. noise reduction or echo cancellation
-
- G—PHYSICS
- G10—MUSICAL INSTRUMENTS; ACOUSTICS
- G10L—SPEECH ANALYSIS TECHNIQUES OR SPEECH SYNTHESIS; SPEECH RECOGNITION; SPEECH OR VOICE PROCESSING TECHNIQUES; SPEECH OR AUDIO CODING OR DECODING
- G10L19/00—Speech or audio signals analysis-synthesis techniques for redundancy reduction, e.g. in vocoders; Coding or decoding of speech or audio signals, using source filter models or psychoacoustic analysis
- G10L19/0017—Lossless audio signal coding; Perfect reconstruction of coded audio signal by transmission of coding error
-
- G—PHYSICS
- G10—MUSICAL INSTRUMENTS; ACOUSTICS
- G10L—SPEECH ANALYSIS TECHNIQUES OR SPEECH SYNTHESIS; SPEECH RECOGNITION; SPEECH OR VOICE PROCESSING TECHNIQUES; SPEECH OR AUDIO CODING OR DECODING
- G10L19/00—Speech or audio signals analysis-synthesis techniques for redundancy reduction, e.g. in vocoders; Coding or decoding of speech or audio signals, using source filter models or psychoacoustic analysis
- G10L19/002—Dynamic bit allocation
-
- G—PHYSICS
- G10—MUSICAL INSTRUMENTS; ACOUSTICS
- G10L—SPEECH ANALYSIS TECHNIQUES OR SPEECH SYNTHESIS; SPEECH RECOGNITION; SPEECH OR VOICE PROCESSING TECHNIQUES; SPEECH OR AUDIO CODING OR DECODING
- G10L19/00—Speech or audio signals analysis-synthesis techniques for redundancy reduction, e.g. in vocoders; Coding or decoding of speech or audio signals, using source filter models or psychoacoustic analysis
- G10L19/012—Comfort noise or silence coding
-
- G—PHYSICS
- G10—MUSICAL INSTRUMENTS; ACOUSTICS
- G10L—SPEECH ANALYSIS TECHNIQUES OR SPEECH SYNTHESIS; SPEECH RECOGNITION; SPEECH OR VOICE PROCESSING TECHNIQUES; SPEECH OR AUDIO CODING OR DECODING
- G10L19/00—Speech or audio signals analysis-synthesis techniques for redundancy reduction, e.g. in vocoders; Coding or decoding of speech or audio signals, using source filter models or psychoacoustic analysis
- G10L19/02—Speech or audio signals analysis-synthesis techniques for redundancy reduction, e.g. in vocoders; Coding or decoding of speech or audio signals, using source filter models or psychoacoustic analysis using spectral analysis, e.g. transform vocoders or subband vocoders
-
- G—PHYSICS
- G10—MUSICAL INSTRUMENTS; ACOUSTICS
- G10L—SPEECH ANALYSIS TECHNIQUES OR SPEECH SYNTHESIS; SPEECH RECOGNITION; SPEECH OR VOICE PROCESSING TECHNIQUES; SPEECH OR AUDIO CODING OR DECODING
- G10L19/00—Speech or audio signals analysis-synthesis techniques for redundancy reduction, e.g. in vocoders; Coding or decoding of speech or audio signals, using source filter models or psychoacoustic analysis
- G10L19/02—Speech or audio signals analysis-synthesis techniques for redundancy reduction, e.g. in vocoders; Coding or decoding of speech or audio signals, using source filter models or psychoacoustic analysis using spectral analysis, e.g. transform vocoders or subband vocoders
- G10L19/0204—Speech or audio signals analysis-synthesis techniques for redundancy reduction, e.g. in vocoders; Coding or decoding of speech or audio signals, using source filter models or psychoacoustic analysis using spectral analysis, e.g. transform vocoders or subband vocoders using subband decomposition
-
- G—PHYSICS
- G10—MUSICAL INSTRUMENTS; ACOUSTICS
- G10L—SPEECH ANALYSIS TECHNIQUES OR SPEECH SYNTHESIS; SPEECH RECOGNITION; SPEECH OR VOICE PROCESSING TECHNIQUES; SPEECH OR AUDIO CODING OR DECODING
- G10L19/00—Speech or audio signals analysis-synthesis techniques for redundancy reduction, e.g. in vocoders; Coding or decoding of speech or audio signals, using source filter models or psychoacoustic analysis
- G10L19/02—Speech or audio signals analysis-synthesis techniques for redundancy reduction, e.g. in vocoders; Coding or decoding of speech or audio signals, using source filter models or psychoacoustic analysis using spectral analysis, e.g. transform vocoders or subband vocoders
- G10L19/028—Noise substitution, i.e. substituting non-tonal spectral components by noisy source
-
- G—PHYSICS
- G10—MUSICAL INSTRUMENTS; ACOUSTICS
- G10L—SPEECH ANALYSIS TECHNIQUES OR SPEECH SYNTHESIS; SPEECH RECOGNITION; SPEECH OR VOICE PROCESSING TECHNIQUES; SPEECH OR AUDIO CODING OR DECODING
- G10L19/00—Speech or audio signals analysis-synthesis techniques for redundancy reduction, e.g. in vocoders; Coding or decoding of speech or audio signals, using source filter models or psychoacoustic analysis
- G10L19/02—Speech or audio signals analysis-synthesis techniques for redundancy reduction, e.g. in vocoders; Coding or decoding of speech or audio signals, using source filter models or psychoacoustic analysis using spectral analysis, e.g. transform vocoders or subband vocoders
- G10L19/03—Spectral prediction for preventing pre-echo; Temporary noise shaping [TNS], e.g. in MPEG2 or MPEG4
-
- G—PHYSICS
- G10—MUSICAL INSTRUMENTS; ACOUSTICS
- G10L—SPEECH ANALYSIS TECHNIQUES OR SPEECH SYNTHESIS; SPEECH RECOGNITION; SPEECH OR VOICE PROCESSING TECHNIQUES; SPEECH OR AUDIO CODING OR DECODING
- G10L19/00—Speech or audio signals analysis-synthesis techniques for redundancy reduction, e.g. in vocoders; Coding or decoding of speech or audio signals, using source filter models or psychoacoustic analysis
- G10L19/04—Speech or audio signals analysis-synthesis techniques for redundancy reduction, e.g. in vocoders; Coding or decoding of speech or audio signals, using source filter models or psychoacoustic analysis using predictive techniques
- G10L19/06—Determination or coding of the spectral characteristics, e.g. of the short-term prediction coefficients
-
- G—PHYSICS
- G10—MUSICAL INSTRUMENTS; ACOUSTICS
- G10L—SPEECH ANALYSIS TECHNIQUES OR SPEECH SYNTHESIS; SPEECH RECOGNITION; SPEECH OR VOICE PROCESSING TECHNIQUES; SPEECH OR AUDIO CODING OR DECODING
- G10L19/00—Speech or audio signals analysis-synthesis techniques for redundancy reduction, e.g. in vocoders; Coding or decoding of speech or audio signals, using source filter models or psychoacoustic analysis
- G10L19/04—Speech or audio signals analysis-synthesis techniques for redundancy reduction, e.g. in vocoders; Coding or decoding of speech or audio signals, using source filter models or psychoacoustic analysis using predictive techniques
- G10L19/16—Vocoder architecture
-
- G—PHYSICS
- G10—MUSICAL INSTRUMENTS; ACOUSTICS
- G10L—SPEECH ANALYSIS TECHNIQUES OR SPEECH SYNTHESIS; SPEECH RECOGNITION; SPEECH OR VOICE PROCESSING TECHNIQUES; SPEECH OR AUDIO CODING OR DECODING
- G10L19/00—Speech or audio signals analysis-synthesis techniques for redundancy reduction, e.g. in vocoders; Coding or decoding of speech or audio signals, using source filter models or psychoacoustic analysis
- G10L19/04—Speech or audio signals analysis-synthesis techniques for redundancy reduction, e.g. in vocoders; Coding or decoding of speech or audio signals, using source filter models or psychoacoustic analysis using predictive techniques
- G10L19/16—Vocoder architecture
- G10L19/167—Audio streaming, i.e. formatting and decoding of an encoded audio signal representation into a data stream for transmission or storage purposes
-
- G—PHYSICS
- G10—MUSICAL INSTRUMENTS; ACOUSTICS
- G10L—SPEECH ANALYSIS TECHNIQUES OR SPEECH SYNTHESIS; SPEECH RECOGNITION; SPEECH OR VOICE PROCESSING TECHNIQUES; SPEECH OR AUDIO CODING OR DECODING
- G10L19/00—Speech or audio signals analysis-synthesis techniques for redundancy reduction, e.g. in vocoders; Coding or decoding of speech or audio signals, using source filter models or psychoacoustic analysis
- G10L19/04—Speech or audio signals analysis-synthesis techniques for redundancy reduction, e.g. in vocoders; Coding or decoding of speech or audio signals, using source filter models or psychoacoustic analysis using predictive techniques
- G10L19/16—Vocoder architecture
- G10L19/173—Transcoding, i.e. converting between two coded representations avoiding cascaded coding-decoding
-
- G—PHYSICS
- G10—MUSICAL INSTRUMENTS; ACOUSTICS
- G10L—SPEECH ANALYSIS TECHNIQUES OR SPEECH SYNTHESIS; SPEECH RECOGNITION; SPEECH OR VOICE PROCESSING TECHNIQUES; SPEECH OR AUDIO CODING OR DECODING
- G10L19/00—Speech or audio signals analysis-synthesis techniques for redundancy reduction, e.g. in vocoders; Coding or decoding of speech or audio signals, using source filter models or psychoacoustic analysis
- G10L19/04—Speech or audio signals analysis-synthesis techniques for redundancy reduction, e.g. in vocoders; Coding or decoding of speech or audio signals, using source filter models or psychoacoustic analysis using predictive techniques
- G10L19/26—Pre-filtering or post-filtering
-
- G—PHYSICS
- G10—MUSICAL INSTRUMENTS; ACOUSTICS
- G10L—SPEECH ANALYSIS TECHNIQUES OR SPEECH SYNTHESIS; SPEECH RECOGNITION; SPEECH OR VOICE PROCESSING TECHNIQUES; SPEECH OR AUDIO CODING OR DECODING
- G10L19/00—Speech or audio signals analysis-synthesis techniques for redundancy reduction, e.g. in vocoders; Coding or decoding of speech or audio signals, using source filter models or psychoacoustic analysis
- G10L19/04—Speech or audio signals analysis-synthesis techniques for redundancy reduction, e.g. in vocoders; Coding or decoding of speech or audio signals, using source filter models or psychoacoustic analysis using predictive techniques
- G10L19/26—Pre-filtering or post-filtering
- G10L19/265—Pre-filtering, e.g. high frequency emphasis prior to encoding
-
- G—PHYSICS
- G10—MUSICAL INSTRUMENTS; ACOUSTICS
- G10L—SPEECH ANALYSIS TECHNIQUES OR SPEECH SYNTHESIS; SPEECH RECOGNITION; SPEECH OR VOICE PROCESSING TECHNIQUES; SPEECH OR AUDIO CODING OR DECODING
- G10L21/00—Speech or voice signal processing techniques to produce another audible or non-audible signal, e.g. visual or tactile, in order to modify its quality or its intelligibility
-
- G—PHYSICS
- G10—MUSICAL INSTRUMENTS; ACOUSTICS
- G10L—SPEECH ANALYSIS TECHNIQUES OR SPEECH SYNTHESIS; SPEECH RECOGNITION; SPEECH OR VOICE PROCESSING TECHNIQUES; SPEECH OR AUDIO CODING OR DECODING
- G10L21/00—Speech or voice signal processing techniques to produce another audible or non-audible signal, e.g. visual or tactile, in order to modify its quality or its intelligibility
- G10L21/02—Speech enhancement, e.g. noise reduction or echo cancellation
- G10L21/038—Speech enhancement, e.g. noise reduction or echo cancellation using band spreading techniques
-
- G—PHYSICS
- G10—MUSICAL INSTRUMENTS; ACOUSTICS
- G10L—SPEECH ANALYSIS TECHNIQUES OR SPEECH SYNTHESIS; SPEECH RECOGNITION; SPEECH OR VOICE PROCESSING TECHNIQUES; SPEECH OR AUDIO CODING OR DECODING
- G10L21/00—Speech or voice signal processing techniques to produce another audible or non-audible signal, e.g. visual or tactile, in order to modify its quality or its intelligibility
- G10L21/02—Speech enhancement, e.g. noise reduction or echo cancellation
- G10L21/038—Speech enhancement, e.g. noise reduction or echo cancellation using band spreading techniques
- G10L21/0388—Details of processing therefor
-
- G—PHYSICS
- G10—MUSICAL INSTRUMENTS; ACOUSTICS
- G10L—SPEECH ANALYSIS TECHNIQUES OR SPEECH SYNTHESIS; SPEECH RECOGNITION; SPEECH OR VOICE PROCESSING TECHNIQUES; SPEECH OR AUDIO CODING OR DECODING
- G10L19/00—Speech or audio signals analysis-synthesis techniques for redundancy reduction, e.g. in vocoders; Coding or decoding of speech or audio signals, using source filter models or psychoacoustic analysis
- G10L19/02—Speech or audio signals analysis-synthesis techniques for redundancy reduction, e.g. in vocoders; Coding or decoding of speech or audio signals, using source filter models or psychoacoustic analysis using spectral analysis, e.g. transform vocoders or subband vocoders
- G10L19/0212—Speech or audio signals analysis-synthesis techniques for redundancy reduction, e.g. in vocoders; Coding or decoding of speech or audio signals, using source filter models or psychoacoustic analysis using spectral analysis, e.g. transform vocoders or subband vocoders using orthogonal transformation
Definitions
- the present invention relates generally to the transmission and recording of audio signals. More particularly, the present invention provides for a reduction of information required to transmit or store a given audio signal while maintaining a given level of perceived quality in the output signal.
- Speech applications that emphasize intelligibility over fidelity may transmit or record only a portion of a signal, referred to herein as a “baseband signal”, which contains only the perceptually most relevant portions of the signal's frequency spectrum.
- a receiver can regenerate the omitted portion of the voice signal from information contained within that baseband signal.
- the regenerated signal generally is not perceptually identical to the original, but for many applications an approximate reproduction is sufficient.
- applications designed to achieve a high degree of fidelity such as high-quality music applications, generally require a higher quality output signal. To obtain a higher quality output signal, it is generally necessary to transmit a greater amount of information or to utilize a more sophisticated method of generating the output signal.
- HFR high frequency regeneration
- a baseband signal containing only low-frequency components of a signal is transmitted or stored.
- a receiver regenerates the omitted high-frequency components based on the contents of the received baseband signal and combines the baseband signal with the regenerated high-frequency components to produce an output signal.
- the regenerated high-frequency components are generally not identical to the high-frequency components in the original signal, this technique can produce an output signal that is more satisfactory than other techniques that do not use HFR.
- Numerous variations of this technique have been developed in the area of speech encoding and decoding.
- Three common methods used for HFR are spectral folding, spectral translation, and rectification. A description of these techniques can be found in Makhoul and Berouti, “High-Frequency Regeneration in Speech Coding Systems”, ICASSP 1979 IEEE International Conf. on Acoust., Speech and Signal Proc., Apr. 2-4, 1979.
- the inventors have also noted two other problems that can arise from the use of HFR techniques.
- the first problem is related to the tone and noise characteristics of signals, and the second problem is related to the temporal shape or envelope of regenerated signals.
- Many natural signals contain a noise component that increases in magnitude as a function of frequency.
- Known HFR techniques regenerate high-frequency components from a baseband signal but fail to reproduce a proper mix of tone-like and noise-like components in the regenerated signal at the higher frequencies.
- the regenerated signal often contains a distinct high-frequency “buzz” attributable to the substitution of tone-like components in the baseband for the original, more noise-like high-frequency components.
- known HFR techniques fail to regenerate spectral components in such a way that the temporal envelope of the regenerated signal preserves or is at least similar to the temporal envelope of the original signal.
- the present invention is particularly directed toward the reproduction of music signals, it is also applicable to a wide range of audio signals including voice.
- an output signal is generated by obtaining a frequency-domain representation of a baseband signal having some but not all spectral components of the audio signal; obtaining an estimated spectral envelope of a residual signal having spectral components of the audio signal that are not in the baseband signal; deriving a noise-blending parameter from a measure of noise content of the residual signal; and assembling data representing the frequency-domain representation of the baseband signal, the estimated spectral envelope and the noise-blending parameter into the output signal.
- an audio signal is reconstructed by receiving a signal containing data representing a baseband signal, an estimated spectral envelope and a noise-blending parameter; obtaining from the data a frequency-domain representation of the baseband signal; obtaining a regenerated signal comprising regenerated spectral components by translating spectral components of the baseband in frequency; adjusting phase of the regenerated spectral components to maintain phase coherency within the regenerated signal; obtaining an adjusted regenerated signal by obtaining a noise signal in response to the noise-blending parameter, modifying the regenerated signal by adjusting amplitudes of the regenerated spectral components according to the estimated spectral envelope and the noise-blending parameter, and combining the modified regenerated signal with the noise signal; and obtaining a time-domain representation of the reconstructed signal corresponding to a combination of the spectral components in the adjusted regenerated signal with spectral components in the frequency-domain representation of the baseband signal.
- FIG. 1 illustrates major components in a communications system.
- FIG. 2 is a block diagram of a transmitter.
- FIGS. 3A and 3B are hypothetical graphical illustrations of an audio signal and a corresponding baseband signal.
- FIG. 4 is a block diagram of a receiver.
- FIGS. 5 A- 5 D are hypothetical graphical illustrations of a baseband signal and signals generated by translation of the baseband signal.
- FIGS. 6 A- 6 G are hypothetical graphical illustrations of signals obtained by regenerating high-frequency components using both spectral translation and noise blending.
- FIG. 6H is an illustration of the signal in FIG. 6G after gain adjustment.
- FIG. 7 is an illustration of the baseband signal shown in FIG. 6B combined with the regenerated signal shown in FIG. 6H.
- FIG. 8A is an illustration of a signal's temporal shape.
- FIG. 8B shows the temporal shape of an output signal that is produced by deriving a baseband signal from the signal in FIG. 8A and regenerating the signal through a process of spectral translation.
- FIG. 8C shows the temporal shape of the signal in FIG. 8B after temporal envelope control has been performed.
- FIG. 9 is a block diagram of a transmitter that provides information needed for temporal envelope control using time-domain techniques.
- FIG. 10 is a block diagram of a receiver that provides temporal envelope control using time-domain techniques.
- FIG. 11 is a block diagram of a transmitter that provides information needed for temporal envelope control using frequency-domain techniques.
- FIG. 10 is a block diagram of a receiver that provides temporal envelope control using frequency-domain techniques.
- FIG. 1 illustrates major components in one example of a communications system.
- An information source 112 generates an audio signal along path 115 that represents essentially any type of audio information such as speech or music.
- a transmitter 136 receives the audio signal from path 115 and processes the information into a form that is suitable for transmission through the channel 140 .
- the transmitter 136 may prepare the signal to match the physical characteristics of the channel 140 .
- the channel 140 may be a transmission path such as electrical wires or optical fibers, or it may be a wireless communication path through space.
- the channel 140 may also include a storage device that records the signal on a storage medium such as a magnetic tape or disk, or an optical disc for later use by a receiver 142 .
- the receiver 142 may perform a variety of signal processing functions such as demodulation or decoding of the signal received from the channel 140 .
- the output of the receiver 142 is passed along a path 145 to a transducer 147 , which converts it into an output signal 152 that is suitable for the user.
- loudspeakers serve as transducers to convert electrical signals into acoustic signals.
- HFR high-frequency regeneration
- Only a baseband signal containing low-frequency components of a speech signal are transmitted or stored.
- the receiver 142 regenerates the omitted high-frequency components based on the contents of the received baseband signal and combines the baseband signal with the regenerated high-frequency components to produce an output signal.
- known HFR techniques produce regenerated high-frequency components that are easily distinguishable from the high-frequency components in the original signal.
- the present invention provides an improved technique for spectral component regeneration that produces regenerated spectral components perceptually more similar to corresponding spectral components in the original signal than is provided by other known techniques.
- FIG. 2 is a block diagram of the transmitter 136 according to one aspect of the present invention.
- An input audio signal is received from path 115 and processed by an analysis filterbank 705 to obtain a frequency-domain representation of the input signal.
- a baseband signal analyzer 710 determines which spectral components of the input signal are to be discarded.
- a filter 715 removes the spectral components to be discarded to produce a baseband signal consisting of the remaining spectral components.
- a spectral envelope estimator 720 obtains an estimate of the input signal's spectral envelope.
- a spectral analyzer 722 analyzes the estimated spectral envelope to determine noise-blending parameters for the signal.
- a signal formatter 725 combines the estimated spectral envelope information, the noise-blending parameters, and the baseband signal into an output signal having a form suitable for transmission or storage.
- the analysis filterbank 705 may be implemented by essentially any time-domain to frequency-domain transform.
- the transform used in a preferred implementation of the present invention is described in Princen, Johnson and Bradley, “Subband/Transform Coding Using Filter Bank Designs Based on Time Domain Aliasing Cancellation,” ICASSP 1987 Conf. Proc., May 1987, pp. 2161-64.
- This transform is the time-domain equivalent of an oddly-stacked critically sampled single-sideband analysis-synthesis system with time-domain aliasing cancellation and is referred to herein as “O-TDAC”.
- an audio signal is sampled, quantized and grouped into a series of overlapped time-domain signal sample blocks. Each sample block is weighted by an analysis window function. This is equivalent to a sample-by-sample multiplication of the signal sample block.
- the O-TDAC technique applies a modified Discrete Cosine Transform (“DCT”) to the weighted time-domain signal sample blocks to produce sets of transform coefficients, referred to herein as “transform blocks”.
- DCT Discrete Cosine Transform
- the O-TDAC technique can cancel the aliasing and accurately recover the input signal.
- the length of the blocks may be varied in response to signal characteristics using techniques that are known in the art; however, care should be taken with respect to phase coherency for reasons that are discussed below. Additional details of the O-TDAC technique may be obtained by referring to U.S. Pat. No. 5,394,473.
- the O-TDAC technique utilizes an inverse modified DCT.
- the signal blocks produced by the inverse transform are weighted by a synthesis window function, overlapped and added to recreate the input signal.
- the analysis and synthesis windows must be designed to meet strict criteria.
- the spectral components obtained from the analysis filterbank 705 are divided into four subbands having ranges of frequencies as shown in Table I. TABLE I Band Frequency Range (kHz) 0 0.0 to 5.5 1 5.5 to 11.0 2 11.0 to 16.5 3 16.5 to 22.0
- the baseband signal analyzer 710 selects which spectral components to discard and which spectral components to retain for the baseband signal. This selection can vary depending on input signal characteristics or it can remain fixed according to the needs of an application; however, the inventors have determined empirically that the perceived quality of an audio signal deteriorates if one or more of the signal's fundamental frequencies are discarded. It is therefore preferable to preserve those portions of the spectrum that contain the signal's fundamental frequencies. Because the fundamental frequencies of voice and most natural musical instruments are generally no higher than about 5 kHz, a preferred implementation of the transmitter 136 intended for music applications uses a fixed cutoff frequency at or around 5 kHz and discards all spectral components above that frequency.
- the baseband signal analyzer need not do anything more than provide the fixed cutoff frequency to the filter 715 and the spectral analyzer 722 .
- the baseband signal analyzer 710 is eliminated and the filter 715 and the spectral analyzer 722 operate according to the fixed cutoff frequency.
- the spectral components in only subband 0 are retained for the baseband signal. This choice is also suitable because the human ear cannot easily distinguish differences in pitch above 5 kHz and therefore cannot easily discern inaccuracies in regenerated components above this frequency.
- the choice of cutoff frequency affects the bandwidth of the baseband signal, which in turn influences a tradeoff between the information capacity requirements of the output signal generated by the transmitter 136 and the perceived quality of the signal reconstructed by the receiver 142 .
- the perceived quality of the signal reconstructed by the receiver 142 is influenced by three factors that are discussed in the following paragraphs.
- the first factor is the accuracy of the baseband signal representation that is transmitted or stored. Generally, if the bandwidth of a baseband signal is held constant, the perceived quality of a reconstructed signal will increase as the accuracy of the baseband signal representation is increased. Inaccuracies represent noise that will be audible in the reconstructed signal if the inaccuracies are large enough. The noise will degrade both the perceived quality of the baseband signal and the spectral components that are regenerated from the baseband signal.
- the baseband signal representation is a set of frequency-domain transform coefficients. The accuracy of this representation is controlled by the number of bits that are used to express each transform coefficient. Coding techniques can be used to convey a given level of accuracy with fewer bits; however, a basic tradeoff between baseband signal accuracy and information capacity requirements exists for any given coding technique.
- the second factor is the bandwidth of the baseband signal that is transmitted or stored.
- the bandwidth of the baseband signal is controlled by the number of transform coefficients in the representation. Coding techniques can be used to convey a given number of coefficients with fewer bits; however, a basic tradeoff between baseband signal bandwidth and information capacity requirements exists for any given coding technique.
- the third factor is the information capacity that is required to transmit or store the baseband signal representation. If the information capacity requirement is held constant, the baseband signal accuracy will vary inversely with the bandwidth of the baseband signal. The needs of an application will generally dictate a particular information capacity requirement for the output signal that is generated by the transmitter 136 . This capacity must be allocated to various portions of the output signal such as a baseband signal representation and an estimated spectral envelope. The allocation must balance the needs of a number of conflicting interests that are well known for communication systems. Within this allocation, the bandwidth of the baseband signal should be chosen to balance a tradeoff with coding accuracy to optimize the perceived quality of the reconstructed signal.
- the spectral envelope estimator 720 analyzes the audio signal to extract information regarding the signal's spectral envelope. If available information capacity permits, an implementation of the transmitter 136 preferably obtains an estimate of a signal's spectral envelope by dividing the signal's spectrum into frequency bands with bandwidths approximating the human ear's critical bands, and extracting information regarding the signal magnitude in each band. In most applications having limited information capacity, however, it is preferable to divide the spectrum into a smaller number of subbands such as the arrangement shown above in Table I. Other variations may be used such as calculating a power spectral density, or extracting the average or maximum amplitude in each band. More sophisticated techniques can provide higher quality in the output signal but generally require greater computational resources. The choice of method used to obtain an estimated spectral envelope generally has practical implications because it generally affects the perceived quality of the communication system; however, the choice of method is not critical in principle. Essentially any technique may be used as desired.
- the spectral envelope estimator 720 obtains an estimate of the spectral envelope only for subbands 0, 1 and 2. Subband 3 is excluded to reduce the amount of information required to represent the estimated spectral envelope.
- the spectral analyzer 722 analyzes the estimated spectral envelope received from the spectral envelope estimator 720 and information from the baseband signal analyzer 710 , which identifies the spectral components to be discarded from a baseband signal, and calculates one or more noise-blending parameters to be used by the receiver 142 to generate a noise component for translated spectral components.
- a preferred implementation minimizes data rate requirements by computing and transmitting a single noise-blending parameter to be applied by the receiver 142 to all translated components.
- Noise-blending parameters can be calculated by any one of a number of different methods.
- a preferred method derives a single noise-blending parameter equal to a spectral flatness measure that is calculated from the ratio of the geometric mean to the arithmetic mean of the short-time power spectrum. The ratio gives a rough indication of the flatness of the spectrum. A higher spectral flatness measure, which indicates a flatter spectrum, also indicates a higher noise-blending level is appropriate.
- the spectral components are grouped into multiple subbands such as those shown in Table I, and the transmitter 136 transmits a noise-blending parameter for each subband. This more accurately defines the amount of noise to be mixed with the translated frequency content but it also requires a higher data rate to transmit the additional noise-blending parameters.
- the filter 715 receives information from the baseband signal analyzer 710 , which identifies the spectral components that are selected to be discarded from a baseband signal, and eliminates the selected frequency components to obtain a frequency-domain representation of the baseband signal for transmission or storage.
- FIGS. 3A and 3B are hypothetical graphical illustrations of an audio signal and a corresponding baseband signal.
- FIG. 3A shows the spectral envelope of a frequency-domain representation 600 of a hypothetical audio signal.
- FIG. 3B shows the spectral envelope of the baseband signal 610 that remains after the audio signal is processed to eliminate selected high-frequency components.
- the filter 715 may be implemented in essentially any manner that effectively removes the frequency components that are selected for discarding.
- the filter 715 applies a frequency-domain window function to the frequency-domain representation of the input audio signal.
- the shape of the window function is selected to provide an appropriate trade off between frequency selectivity and attenuation against time-domain effects in the output audio signal that is ultimately generated by the receiver 142 .
- the signal formatter 725 generates an output signal along communication channel 140 by combining the estimated spectral envelope information, the one or more noise-blending parameters, and a representation of the baseband signal into an output signal having a form suitable for transmission or storage.
- the individual signals may be combined in essentially any manner.
- the formatter 725 multiplexes the individual signals into a serial bit stream with appropriate synchronization patterns, error detection and correction codes, and other information that is pertinent either to transmission or storage operations or to the application in which the audio information is used.
- the signal formatter 725 may also encode all or portions of the output signal to reduce information capacity requirements, to provide security, or to put the output signal into a form that facilitates subsequent usage.
- FIG. 4 is a block diagram of the receiver 142 according to one aspect of the present invention.
- a deformatter 805 receives a signal from the communication channel 140 and obtains from this signal a baseband signal, estimated spectral envelope information and one or more noise-blending parameters. These elements of information are transmitted to a signal processor 808 that comprises a spectral regenerator 810 , a phase adjuster 815 , a blending filter 818 and a gain adjuster 820 .
- the spectral component regenerator 810 determines which spectral components are missing from the baseband signal and regenerates them by translating all or at least some spectral components of the baseband signal to the locations of the missing spectral components.
- the translated components are passed to the phase adjuster 815 , which adjusts the phase of one or more spectral components within the combined signal to ensure phase coherency.
- the blending filter 818 adds one or more noise components to the translated components according to the one or more noise-blending parameters received with the baseband signal.
- the gain adjuster 820 adjusts the amplitude of spectral components in the regenerated signal according to the estimated spectral envelope information received with the baseband signal.
- the translated and adjusted spectral components are combined with the baseband signal to produce a frequency-domain representation of the output signal.
- a synthesis filterbank 825 processes the signal to obtain a time-domain representation of the output signal, which is passed along path 145 .
- the deformatter 805 processes the signal received from communication channel 140 in a manner that is complementary to the formatting process provided by the signal formatter 725 .
- the deformatter 805 receives a serial bit stream from the channel 140 , uses synchronization patterns within the bit stream to synchronize its processing, uses error correction and detection codes to identify and rectify errors that were introduced into the bit stream during transmission or storage, and operates as a demultiplexer to extract a representation of the baseband signal, the estimated spectral envelope information, one or more noise-blending parameters, and any other information that may be pertinent to the application.
- the deformatter 805 may also decode all or portions of the serial bit stream to reverse the effects of any coding provided by the transmitter 136 .
- a frequency-domain representation of the baseband signal is passed to the spectral component regenerator 810 , the noise-blending parameters are passed to the blending filter 818 , and the spectral envelope information is passed to the gain adjuster 820 .
- the spectral component regenerator 810 regenerates missing spectral components by copying or translating all or at least some of the spectral components of the baseband signal to the locations of the missing components of the signal. Spectral components may be copied into more than one interval of frequencies, thereby allowing an output signal to be generated with a bandwidth greater than twice the bandwidth of the baseband signal.
- the baseband signal contains no spectral components above a cutoff frequency at or about 5.5 kHz.
- Spectral components of the baseband signal are copied or translated to a range of frequencies from about 5.5 kHz to about 11.0 kHz. If a 16.5 kHz bandwidth is desired, for example, the spectral components of the baseband signal can also be translated into ranges of frequencies from about 11.0 kHz to about 16.5 kHz.
- the spectral components are translated into non-overlapping frequency ranges such that no gap exists in the spectrum including the baseband signal and all copied spectral components; however, this feature is not essential.
- Spectral components may be translated into overlapping frequency ranges and/or into frequency ranges with gaps in the spectrum in essentially any manner as desired.
- spectral components that are copied need not start at the lower edge of the baseband and need not end at the upper edge of the baseband.
- the perceived quality of the signal reconstructed by the receiver 142 can sometimes be improved by excluding fundamental frequencies of voice and instruments and copying only harmonics.
- This aspect is incorporated into one implementation by excluding from translation those baseband spectral components that are below about 1 kHz. Referring to the subband structure shown above in Table I as an example, only spectral components from about 1 kHz to about 5.5 kHz are translated.
- the baseband spectral components may be copied in a circular manner starting with the lowest frequency component up to the highest frequency component and, if necessary, wrapping around and continuing with the lowest frequency component.
- baseband spectral components from about 1 kHz to 5.5 kHz are copied and spectral components are to be regenerated for subbands 1 and 2 that span frequencies from about 5.5 kHz to 16.5 kHz
- baseband spectral components from about 1 kHz to 5.5 kHz are copied to respective frequencies from about 5.5 kHz to 10 kHz
- the same baseband spectral components from about 1 kHz to 5.5 kHz are copied again to respective frequencies from about 10 kHz to 14.5 kHz
- the baseband spectral component from about 1 kHz to 3 kHz are copied to respective frequencies from about 14.5 kHz to 16.5 kHz.
- this copying process can be performed for each individual subband of regenerated components by copying the lowest-frequency component of the baseband to the lower edge of the respective subband and continuing through the baseband spectral components in a circular manner as necessary to complete the translation for that subband.
- FIGS. 5A through 5D are hypothetical graphical illustrations of the spectral envelope of a baseband signal and the spectral envelope of signals generated by translation of spectral components within the baseband signal.
- FIG. 5A shows a hypothetical decoded baseband signal 900 .
- FIG. 5B shows spectral components of the baseband signal 905 translated to higher frequencies.
- FIG. 5C shows the baseband signal components 910 translated multiple times to higher frequencies.
- FIG. 5D shows a signal resulting from the combination of the translated components 915 and the baseband signal 920 .
- the translation of spectral components may create discontinuities in the phase of the regenerated components.
- the O-TDAC transform implementation described above for example, as well as many other possible implementations, provides frequency-domain representations that are arranged in blocks of transform coefficients.
- the translated spectral components are also arranged in blocks. If spectral components regenerated by translation have phase discontinuities between successive blocks, audible artifacts in the output audio signal are likely to occur.
- the phase adjuster 815 adjusts the phase of each regenerated spectral component to maintain a consistent or coherent phase.
- each of the regenerated spectral components is multiplied by the complex value e j ⁇ , where ⁇ represents the frequency interval each respective spectral component is translated, expressed as the number of transform coefficients that correspond to that frequency interval. For example, if a spectral component is translated to the frequency of the adjacent component, the translation interval ⁇ is equal to one.
- Alternative implementations may require different phase adjustment techniques appropriate to the particular implementation of the synthesis filterbank 825 .
- the translation process may be adapted to match the regenerated components with harmonics of significant spectral components within the baseband signal.
- Two ways in which translation may be adapted is by changing either the specific spectral components that are copied, or by changing the amount of translation. If an adaptive process is used, special care should be taken with regard to phase coherency if spectral components are arranged in blocks. If the regenerated spectral components are copied from different base components from block to block or if the amount of frequency translation is changed from block to block, it is very likely the regenerated components will not be phase coherent. It is possible to adapt the translation of spectral components but care must be taken to ensure the audibility of artifacts caused by phase incoherency is not significant.
- a system that employs either multiple-pass techniques or look-ahead techniques could identify intervals during which translation could be adapted.
- Blocks representing intervals of an audio signal in which the regenerated spectral components are deemed to be inaudible are usually good candidates for adapting the translation process.
- the blending filter 818 generates a noise component for the translated spectral components using the noise-blending parameters received from the deformatter 805 .
- the blending filter 818 generates a noise signal, computes a noise-blending function using the noise-blending parameters and utilizes the noise-blending function to combine the noise signal with the translated spectral components.
- a noise signal can be generated by any one of a variety of ways.
- a noise signal is produced by generating a sequence of random numbers having a distribution with zero mean and variance of one.
- the blending filter 818 adjusts the noise signal by multiplying the noise signal by the noise-blending function. If a single noise-blending parameter is used, the noise-blending function generally should adjust the noise signal to have higher amplitude at higher frequencies. This follows from the assumptions discussed above that voice and natural musical instrument signals tend to contain more noise at higher frequencies. In a preferred implementation when spectral components are translated to higher frequencies, a noise-blending function has a maximum amplitude at the highest frequency and decays smoothly to a minimum value at the lowest frequency at which noise is blended.
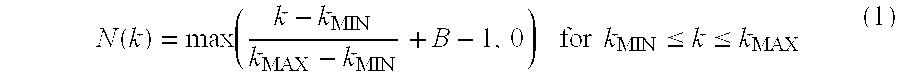
- N ⁇ ( k ) max ⁇ ( k - k MIN k MAX - k MIN + B - 1 , 0 ) for ⁇ ⁇ k MIN ⁇ k ⁇ k MAX ( 1 )
- B a noise-blending parameter based on SFM
- k the index of regenerated spectral components
- k MAX highest frequency for spectral component regeneration
- k MIN lowest frequency for spectral component regeneration.
- the value of B varies from zero to one, where one indicates a flat spectrum that is typical of a noise-like signal and zero indicates a spectral shape that is not flat and is typical of a tone-like signal.
- the value of the quotient in equation 1 varies from zero to one as k increases from k MIN to k MAX . If B is equal to zero, the first term in the “max” function varies from negative one to zero; therefore, N(k) will be equal to zero throughout the regenerated spectrum and no noise is added to regenerated spectral components.
- N(k) increases linearly from zero at the lowest regenerated frequency k MIN up to a value equal to one at the maximum regenerated frequency k MAX . If B has a value between zero and one, N(k) is equal to zero from k MIN up to some frequency between k MIN and k MAX , and increases linearly for the remainder of the regenerated spectrum.
- the amplitude of the regenerated spectral components is adjusted by multiplying the regenerated components with the noise-blending function. The adjusted noise signal and the adjusted regenerated spectral components are combined.
- FIGS. 6A through 6G are hypothetical graphical illustrations of the spectral envelopes of signals obtained by regenerating high-frequency components using both spectral translation and noise blending.
- FIG. 6A shows a hypothetical input signal 410 to be transmitted.
- FIG. 6B shows the baseband signal 420 produced by discarding high-frequency components.
- FIG. 6C shows the regenerated high-frequency components 431 , 432 and 433 .
- FIG. 6D depicts a possible noise-blending function 440 that gives greater weight to noise components at higher frequencies.
- FIG. 6E is a schematic illustration of a noise signal 445 that has been multiplied by the noise-blending function 440 .
- FIG. 6F shows a signal 450 generated by multiplying the regenerated high-frequency components 431 , 432 and 433 by the inverse of the noise-blending function 440 .
- FIG. 6G is a schematic illustration of a combined signal 460 resulting from adding the adjusted noise signal 445 to the adjusted high-frequency components 450 .
- FIG. 6G is drawn to illustrate schematically that the high-frequency portion 430 contains a mixture of the translated high-frequency components 431 , 432 and 433 and noise.
- the gain adjuster 820 adjusts the amplitude of the regenerated signal according to the estimated spectral envelope information received from the deformatter 805 .
- FIG. 6H is a hypothetical illustration of the spectral envelope of signal 460 shown in FIG. 6G after gain adjustment.
- the portion 510 of the signal containing a mixture of translated spectral components and noise has been given a spectral envelope approximating that of the original signal 410 shown in FIG. 6A. Reproducing the spectral envelope on a fine scale is generally unnecessary because the regenerated spectral components do not exactly reproduce the spectral components of the original signal.
- a translated harmonic series generally will not equal an harmonic series; therefore, it is generally impossible to ensure that the regenerated output signal is identical to the original input signal on a fine scale.
- Coarse approximations that match the spectral energy within a few critical bands or less have been found to work well.
- the use of a coarse estimate of spectral shape rather than a finer approximation is generally preferred because a coarse estimate imposes lower information capacity requirements upon transmission channels and storage media.
- aural imaging may be improved by using finer approximations of spectral shape so that more precise gain adjustments can be made to ensure a proper balance between channels.
- the gain-adjusted regenerated spectral components provided by the gain adjuster 820 are combined with the frequency-domain representation of the baseband signal received from the deformatter 805 to form a frequency-domain representation of a reconstructed signal. This may be done by adding the regenerated components to corresponding components of the baseband signal.
- FIG. 7 shows a hypothetical reconstructed signal obtained by combining the baseband signal shown in FIG. 6B with the regenerated components shown in FIG. 6H.
- the synthesis filterbank 825 transforms the frequency-domain representation into a time domain representation of the reconstructed signal.
- This filterbank can be implemented in essentially any manner but it should be inverse to the filterbank 705 used in the transmitter 136 .
- receiver 142 uses O-TDAC synthesis that applies an inverse modified DCT.
- the width and location of the baseband signal can be established in essentially any manner and can be varied dynamically according to input signal characteristics, for example.
- the transmitter 136 generates a baseband signal by discarding multiple bands of spectral components, thereby creating gaps in the spectrum of the baseband signal. During spectral component regeneration, portions of the baseband signal are translated to regenerate the missing spectral components.
- the direction of translation can also be varied.
- the transmitter 136 discards spectral components at low frequencies to produce a baseband signal located at relatively higher frequencies.
- the receiver 142 translates portions of the high-frequency baseband signal down to lower-frequency locations to regenerate the missing spectral components.
- FIG. 8A shows the temporal shape of an audio signal 860 .
- FIG. 8B shows the temporal shape of a reconstructed output signal 870 produced by deriving a baseband signal from the signal 860 in FIG. 8A and regenerating discarded spectral components through a process of spectral component translation.
- the temporal shape of the reconstructed signal 870 differs significantly from the temporal shape of the original signal 860 . Changes in the temporal shape can have a significant effect on the perceived quality of a regenerated audio signal. Two methods for preserving the temporal envelope are discussed below.
- the transmitter 136 determines the temporal envelope of the input audio signal in the time domain and the receiver 142 restores the same or substantially the same temporal envelope to the reconstructed signal in the time domain.
- FIG. 9 shows a block diagram of one implementation of the transmitter 136 in a communication system that provides temporal envelope control using a time-domain technique.
- the analysis filterbank 205 receives an input signal from path 115 and divides the signal into multiple frequency subband signals. The figure illustrates only two subbands for illustrative clarity; however, the analysis filterbank 205 may divide the input signal into any integer number of subbands that is greater than one.
- the analysis filterbank 205 may be implemented in essentially any manner such as one or more Quadrature Mirror Filters (QMF) connected in cascade or, preferably, by a pseudo-QMF technique that can divide an input signal into any integer number of subbands in one filter stage. Additional information about the pseudo-QMF technique may be obtained from Vaidyanathan, “Multirate Systems and Filter Banks,” Prentice Hall, New Jersey, 1993, pp. 354-373.
- QMF Quadrature Mirror Filters
- the subband signals are used to form the baseband signal.
- the remaining subband signals contain the spectral components of the input signal that are discarded.
- the baseband signal is formed from one subband signal representing the lowest-frequency spectral components of the input signal, but this is not necessary in principle.
- the analysis filterbank 205 divides the input signal into four subbands having ranges of frequencies as shown above in Table I. The lowest-frequency subband is used to form the baseband signal.
- the analysis filterbank 205 passes the lower-frequency subband signal as the baseband signal to the temporal envelope estimator 213 and the modulator 214 .
- the temporal envelope estimator 213 provides an estimated temporal envelope of the baseband signal to the modulator 214 and to the signal formatter 225 .
- baseband signal spectral components that are below about 500 Hz are either excluded from the process that estimates the temporal envelope or are attenuated so that they do not have any significant effect on the shape of the estimated temporal envelope. This may be accomplished by applying an appropriate high-pass filter to the signal that is analyzed by the temporal envelope estimator 213 .
- the modulator 214 divides the amplitude of the baseband signal by the estimated temporal envelope and passes to the analysis filterbank 215 a representation of the baseband signal that is flattened temporally.
- the analysis filterbank 215 generates a frequency-domain representation of the flattened baseband signal, which is passed to the encoder 220 for encoding.
- the analysis filterbank 215 may be implemented by essentially any time-domain-to-frequency-domain transform; however, a transform like the O-TDAC transform that implements a critically-sampled filterbank is generally preferred.
- the encoder 220 is optional; however, its use is preferred because encoding can generally be used to reduce the information requirements of the flattened baseband signal.
- the flattened baseband signal is passed to the signal formatter 225 .
- the analysis filterbank 205 passes the higher-frequency subband signal to the temporal envelope estimator 210 and the modulator 211 .
- the temporal envelope estimator 210 provides an estimated temporal envelope of the higher-frequency subband signal to the modulator 211 and to the output signal formatter 225 .
- the modulator 211 divides the amplitude of the higher-frequency subband signal by the estimated temporal envelope and passes to the analysis filterbank 212 a representation of the higher-frequency subband signal that is flattened temporally.
- the analysis filterbank 212 generates a frequency-domain representation of the flattened higher-frequency subband signal.
- the spectral envelope estimator 720 and the spectral analyzer 722 provide an estimated spectral envelope and one or more noise-blending parameters, respectively, for the higher-frequency subband signal in essentially the same manner as that described above, and pass this information to the signal formatter 225 .
- the signal formatter 225 provides an output signal along communication channel 140 by assembling a representation of the flattened baseband signal, the estimated temporal envelopes of the baseband signal and the higher-frequency subband signal, the estimated spectral envelope, and the one or more noise-blending parameters into the output signal.
- the individual signals and information are assembled into a signal having a form that is suitable for transmission or storage using essentially any desired formatting technique as described above for the signal formatter 725 .
- the temporal envelope estimators 210 and 213 may be implemented in wide variety of ways. In one implementation, each of these estimators processes a subband signal that is divided into blocks of subband signal samples. These blocks of subband signal samples are also processed by either the analysis filterbank 212 or 215 . In many practical implementations, the blocks are arranged to contain a number of samples that is a power of two and is greater than 256 samples. Such a block size is generally preferred to improve the efficiency and the frequency resolution of the transforms used to implement the analysis filterbanks 212 and 215 . The length of the blocks may also be adapted in response to input signal characteristics such as the occurrence or absence of large transients. Each block is further divided into groups of 256 samples for temporal envelope estimation. The size of the groups is chosen to balance a tradeoff between the accuracy of the estimate and the amount of information required to convey the estimate in the output signal.
- the temporal envelope estimator calculates the power of the samples in each group of subband signal samples.
- the set of power values for the block of subband signal samples is the estimated temporal envelope for that block.
- the temporal envelope estimator calculates the mean value of the subband signal sample magnitudes in each group.
- the set of means for the block is the estimated temporal envelope for that block.
- the set of values in the estimated envelope may be encoded in a variety of ways.
- the envelope for each block is represented by an initial value for the first group of samples in the block and a set of differential values that express the relative values for subsequent groups.
- either differential or absolute codes are used in an adaptive manner to reduce the amount of information required to convey the values.
- FIG. 10 shows a block diagram of one implementation of the receiver 142 in a communication system that provides temporal envelope control using a time-domain technique.
- the deformatter 265 receives a signal from communication channel 140 and obtains from this signal a representation of a flattened baseband signal, estimated temporal envelopes of the baseband signal and a higher-frequency subband signal, an estimated spectral envelope and one or more noise-blending parameters.
- the decoder 267 is optional but should be used to reverse the effects of any encoding performed in the transmitter 136 to obtain a frequency-domain representation of the flattened baseband signal.
- the synthesis filterbank 280 receives the frequency-domain representation of the flattened baseband signal and generates a time-domain representation using a technique that is inverse to that used by the analysis filterbank 215 in the transmitter 136 .
- the modulator 281 receives the estimated temporal envelope of the baseband signal from the deformatter 265 , and uses this estimated envelope to modulate the flattened baseband signal received from the synthesis filterbank 280 . This modulation provides a temporal shape that is substantially the same as the temporal shape of the original baseband signal before it was flattened by the modulator 214 in the transmitter 136 .
- the signal processor 808 receives the frequency-domain representation of the flattened baseband signal, the estimated spectral envelope and the one or more noise-blending parameters from the deformatter 265 , and regenerates spectral components in the same manner as that discussed above for the signal processor 808 shown in FIG. 4.
- the regenerated spectral components are passed to the synthesis filterbank 283 , which generates a time-domain representation using a technique that is inverse to that used by the analysis filterbanks 212 and 215 in the transmitter 136 .
- the modulator 284 receives the estimated temporal envelope of the higher-frequency subband signal from the deformatter 265 , and uses this estimated envelope to modulate the regenerated spectral components signal received from the synthesis filterbank 283 . This modulation provides a temporal shape that is substantially the same as the temporal shape of the original higher-frequency subband signal before it was flattened by the modulator 211 in the transmitter 136 .
- the modulated subband signal and the modulated higher-frequency subband signal are combined to form a reconstructed signal, which is passed to the synthesis filterbank 287 .
- the synthesis filterbank 287 uses a technique inverse to that used by the analysis filterbank 205 in the transmitter 136 to provide along path 145 an output signal that is perceptually indistinguishable or nearly indistinguishable from the original input signal received from path 115 by the transmitter 136 .
- the transmitter 136 determines the temporal envelope of the input audio signal in the frequency domain and the receiver 142 restores the same or substantially the same temporal envelope to the reconstructed signal in the frequency domain.
- FIG. 11 shows a block diagram of one implementation of the transmitter 136 in a communication system that provides temporal envelope control using a frequency-domain technique.
- the implementation of this transmitter is very similar to the implementation of the transmitter shown in FIG. 2.
- the principal difference is the temporal envelope estimator 707 .
- the other components are not discussed here in detail because their operation is essentially the same as that described above in connection with FIG. 2.
- the temporal envelope estimator 707 receives from the analysis filterbank 705 a frequency-domain representation of the input signal, which it analyzes to derive an estimate of the temporal envelope of the input signal.
- spectral components that are below about 500 Hz are either excluded from the frequency-domain representation or are attenuated so that they do not have any significant effect on the process that estimates the temporal envelope.
- the temporal envelope estimator 707 obtains a frequency-domain representation of a temporally-flattened version of the input signal by deconvolving a frequency-domain representation of the estimated temporal envelope and the frequency-domain representation of the input signal.
- This deconvolution may be done by convolving the frequency-domain representation of the input signal with an inverse of the frequency-domain representation of the estimated temporal envelope.
- the frequency-domain representation of a temporally-flattened version of the input signal is passed to the filter 715 , the baseband signal analyzer 710 , and the spectral envelope estimator 720 .
- a description of the frequency-domain representation of the estimated temporal envelope is passed to the signal formatter 725 for assembly into the output signal that is passed along the communication channel 140 .
- the temporal envelope estimator 707 may be implemented in a number of ways. The technical basis for one implementation of the temporal envelope estimator may be explained in terms of the linear system shown in equation 2:
- y(t) a signal to be transmitted
- h(t) the temporal envelope of the signal to be transmitted
- x(t) a temporally-flat version of the signal y(t).
- Equation 2 may be rewritten as:
- Y[k] a frequency-domain representation of the input signal y(t);
- H[k] a frequency-domain representation of h(t);
- X[k] a frequency-domain representation of x(t).
- the signal y(t) is the audio signal that the transmitter 136 receives from path 115 .
- the analysis filterbank 705 provides the frequency-domain representation Y[k] of the signal y(t).
- the temporal envelope estimator 707 obtains an estimate of the frequency-domain representation H[k] of the signal's temporal envelope h(t) by solving a set of equations derived from an autoregressive moving average (ARMA) model of Y[k] and X[k]. Additional information about the use of ARMA models may be obtained from Proakis and Manolakis, “Digital Signal Processing: Principles, Algorithms and Applications,” MacMillan Publishing Co., New York 1988. See especially pp. 818-821.
- the filterbank 705 applies a transform to blocks of samples representing the signal y(t) to provide the frequency-domain representation Y[k] arranged in blocks of transform coefficients.
- Each block of transform coefficients expresses a short-time spectrum of the signal of the signal y(t).
- the frequency-domain representation X[k] is also arranged in blocks.
- Each block of coefficients in the frequency-domain representation X[k] represents a block of samples for the temporally-flat signal x(t) that is assumed to be wide sense stationary (WSS). It is also assumed the coefficients in each block of the X[k] representation are independently distributed (ID).
- E ⁇ ⁇ denotes the expected value function
- L length of the autoregressive portion of the ARMA model
- Q the length of the moving average portion of the ARMA model.
- R YY [n] denotes the autocorrelation of Y[n]
- R XY [k] denotes the crosscorrelation of Y[k] and X[k].
- the temporal envelope estimator 707 receives a frequency-domain representation Y[k] of an input signal y(t) and calculates the autocorrelation sequence R XX [m] for ⁇ L ⁇ m ⁇ L. These values are used to construct the matrix shown in equation 8. The matrix is then inverted to solve for the coefficients a i . Because the matrix in equation 8 is Toeplitz, it can be inverted by the Levinson-Durbin algorithm. For information, see Proakis and Manolakis, pp. 458-462.
- the set of normalized coefficients ⁇ 1, a 1 , . . . , a L ⁇ represents the zeroes of a flattening filter FF that can be convolved with a frequency-domain representation Y[k] of an input signal y(t) to obtain a frequency-domain representation X[k] of a temporally-flattened version x(t) of the input signal.
- the set of normalized coefficients also represents the poles of a reconstruction filter FR that can be convolved with the frequency-domain representation X[k] of a temporally-flat signal x(t) to obtain a frequency-domain representation of that flat signal having a modified temporal shape substantially equal to the temporal envelope of the input signal y(t).
- the temporal envelope estimator 707 convolves the flattening filter FF with the frequency-domain representation Y[k] received from the filterbank 705 and passes the temporally-flattened result to the filter 715 , the baseband signal analyzer 710 , and the spectral envelope estimator 720 .
- a description of the coefficients in flattening filter FF is passed to the signal formatter 725 for assembly into the output signal passed along path 140 .
- FIG. 12 shows a block diagram of one implementation of the receiver 142 in a communication system that provides temporal envelope control using a frequency-domain technique.
- the implementation of this receiver is very similar to the implementation of the receiver shown in FIG. 4.
- the principal difference is the temporal envelope regenerator 807 .
- the other components are not discussed here in detail because their operation is essentially the same as that described above in connection with FIG. 4.
- the temporal envelope regenerator 807 receives from the deformatter 805 a description of an estimated temporal envelope, which is convolved with a frequency-domain representation of a reconstructed signal.
- the result obtained from the convolution is passed to the synthesis filterbank 825 , which provides along path 145 an output signal that is perceptually indistinguishable or nearly indistinguishable from the original input signal received from path 115 by the transmitter 136 .
- the temporal envelope regenerator 807 may be implemented in a number of ways.
- the deformatter 805 provides a set of coefficients that represent the poles of a reconstruction filter FR, which is convolved with the frequency-domain representation of the reconstructed signal.
- the spectral components of the frequency-domain representation received from the filterbank 705 are grouped into frequency subbands.
- the set of subbands shown in Table I is one suitable example.
- a flattening filter FF is derived for each subband and convolved with the frequency-domain representation of each subband to temporally flatten it.
- the signal formatter 725 assembles into the output signal an identification of the estimated temporal envelope for each subband.
- the receiver 142 receives the envelope identification for each subband, obtains an appropriate regeneration filter FR for each subband, and convolves it with a frequency-domain representation of the corresponding subband in the reconstructed signal.
- multiple sets of coefficients ⁇ C i ⁇ j are stored in a table.
- Coefficients ⁇ 1, a 1 , . . . , a L ⁇ for flattening filter FF are calculated for an input signal, and the calculated coefficients are compared with each of the multiple sets of coefficients stored in the table.
- the set ⁇ C i ⁇ j in the table that is deemed to be closest to the calculated coefficients is selected and used to flatten the input signal.
- An identification of the set ⁇ C i ⁇ j that is selected from the table is passed to the signal formatter 725 to be assembled into the output signal.
- the receiver 142 receives the identification of the set ⁇ C i ⁇ j , consults a table of stored coefficient sets to obtain the appropriate set of coefficients ⁇ C i ⁇ j , derives a regeneration filter FR that corresponds to the coefficients, and convolves the filter with a frequency-domain representation of the reconstructed signal. This alternative may also be applied to subbands as discussed above.
- One way in which a set of coefficients in the table may be selected is to define a target point in an L-dimensional space having Euclidean coordinates equal to the calculated coefficients (a 1 , . . . , a L ) for the input signal or subband of the input signal.
- Each of the sets stored in the table also defines a respective point in the L-dimensional space.
- the set stored in the table whose associated point has the shortest Euclidean distance to the target point is deemed to be closest to the calculated coefficients. If the table stores 256 sets of coefficients, for example, an eight-bit number could be passed to the signal formatter 725 to identify the selected set of coefficients.
- the present invention may be implemented in a wide variety of ways. Analog and digital technologies may be used as desired. Various aspects may be implemented by discrete electrical components, integrated circuits, programmable logic arrays, ASICs and other types of electronic components, and by devices that execute programs of instructions, for example. Programs of instructions may be conveyed by essentially any device-readable media such as magnetic and optical storage media, read-only memory and programmable memory.
Landscapes
- Engineering & Computer Science (AREA)
- Physics & Mathematics (AREA)
- Computational Linguistics (AREA)
- Signal Processing (AREA)
- Health & Medical Sciences (AREA)
- Audiology, Speech & Language Pathology (AREA)
- Human Computer Interaction (AREA)
- Acoustics & Sound (AREA)
- Multimedia (AREA)
- Spectroscopy & Molecular Physics (AREA)
- Quality & Reliability (AREA)
- Compression, Expansion, Code Conversion, And Decoders (AREA)
- Electrically Operated Instructional Devices (AREA)
- Signal Processing Not Specific To The Method Of Recording And Reproducing (AREA)
- Stereophonic System (AREA)
- Signal Processing For Digital Recording And Reproducing (AREA)
- Ceramic Products (AREA)
- Superconductors And Manufacturing Methods Therefor (AREA)
- Measurement And Recording Of Electrical Phenomena And Electrical Characteristics Of The Living Body (AREA)
- Reduction Or Emphasis Of Bandwidth Of Signals (AREA)
- Tone Control, Compression And Expansion, Limiting Amplitude (AREA)
Abstract
An audio signal is conveyed more efficiently by transmitting or recording a baseband of the signal with an estimated spectral envelope and a noise-blending parameter derived from a measure of the signal's noise-like quality. The signal is reconstructed by translating spectral components of the baseband signal to frequencies outside the baseband, adjusting phase of the regenerated components to maintain phase coherency, adjusting spectral shape according to the estimated spectral envelope, and adding noise according to the noise-blending parameter. Preferably, the transmitted or recorded signal also includes an estimated temporal envelope that is used to adjust the temporal shape of the reconstructed signal.
Description
- The present invention relates generally to the transmission and recording of audio signals. More particularly, the present invention provides for a reduction of information required to transmit or store a given audio signal while maintaining a given level of perceived quality in the output signal.
- Many communications systems face the problem that the demand for information transmission and storage capacity often exceeds the available capacity. As a result there is considerable interest among those in the fields of broadcasting and recording to reduce the amount of information required to transmit or record an audio signal intended for human perception without degrading its subjective quality. Similarly there is a need to improve the quality of the output signal for a given bandwidth or storage capacity.
- Two principle considerations drive the design of systems intended for audio transmission and storage: the need to reduce information requirements and the need to ensure a specified level of perceptual quality in the output signal. These two considerations conflict in that reducing the quantity of information transmitted can reduce the perceived quality of the output signal. While objective constraints such as data rate are usually imposed by the communications system itself, subjective perceptual requirements are usually dictated by the application.
- Traditional methods for reducing information requirements involve transmitting or recording only a selected portion of the input signal, with the remainder being discarded. Preferably, only that portion deemed to be either redundant or perceptually irrelevant is discarded. If additional reduction is required, preferably only a portion of the signal deemed to have the least perceptual significance is discarded.
- Speech applications that emphasize intelligibility over fidelity, such as speech coding, may transmit or record only a portion of a signal, referred to herein as a “baseband signal”, which contains only the perceptually most relevant portions of the signal's frequency spectrum. A receiver can regenerate the omitted portion of the voice signal from information contained within that baseband signal. The regenerated signal generally is not perceptually identical to the original, but for many applications an approximate reproduction is sufficient. On the other hand, applications designed to achieve a high degree of fidelity, such as high-quality music applications, generally require a higher quality output signal. To obtain a higher quality output signal, it is generally necessary to transmit a greater amount of information or to utilize a more sophisticated method of generating the output signal.
- One technique used in connection with speech signal decoding is known as high frequency regeneration (“HFR”). A baseband signal containing only low-frequency components of a signal is transmitted or stored. A receiver regenerates the omitted high-frequency components based on the contents of the received baseband signal and combines the baseband signal with the regenerated high-frequency components to produce an output signal. Although the regenerated high-frequency components are generally not identical to the high-frequency components in the original signal, this technique can produce an output signal that is more satisfactory than other techniques that do not use HFR. Numerous variations of this technique have been developed in the area of speech encoding and decoding. Three common methods used for HFR are spectral folding, spectral translation, and rectification. A description of these techniques can be found in Makhoul and Berouti, “High-Frequency Regeneration in Speech Coding Systems”, ICASSP 1979 IEEE International Conf. on Acoust., Speech and Signal Proc., Apr. 2-4, 1979.
- Although simple to implement, these HFR techniques are usually not suitable for high quality reproduction systems such as those used for high quality music. Spectral folding and spectral translation can produce undesirable background tones. Rectification tends to produce results that are perceived to be harsh. The inventors have noted that in many cases where these techniques have produced unsatisfactory results, the techniques were used in bandlimited speech coders where HFR was restricted to the translation of components below 5 kHz.
- The inventors have also noted two other problems that can arise from the use of HFR techniques. The first problem is related to the tone and noise characteristics of signals, and the second problem is related to the temporal shape or envelope of regenerated signals. Many natural signals contain a noise component that increases in magnitude as a function of frequency. Known HFR techniques regenerate high-frequency components from a baseband signal but fail to reproduce a proper mix of tone-like and noise-like components in the regenerated signal at the higher frequencies. The regenerated signal often contains a distinct high-frequency “buzz” attributable to the substitution of tone-like components in the baseband for the original, more noise-like high-frequency components. Furthermore, known HFR techniques fail to regenerate spectral components in such a way that the temporal envelope of the regenerated signal preserves or is at least similar to the temporal envelope of the original signal.
- A number of more sophisticated HFR techniques have been developed that offer improved results; however, these techniques tend to be either speech specific, relying on characteristics of speech that are not suitable for music and other forms of audio, or require extensive computational resources that cannot be implemented economically.
- It is an object of the present invention to provide for the processing of audio signals to reduce the quantity of information required to represent a signal during transmission or storage while maintaining the perceived quality of the signal. Although the present invention is particularly directed toward the reproduction of music signals, it is also applicable to a wide range of audio signals including voice.
- According to one aspect of the present invention in a transmitter, an output signal is generated by obtaining a frequency-domain representation of a baseband signal having some but not all spectral components of the audio signal; obtaining an estimated spectral envelope of a residual signal having spectral components of the audio signal that are not in the baseband signal; deriving a noise-blending parameter from a measure of noise content of the residual signal; and assembling data representing the frequency-domain representation of the baseband signal, the estimated spectral envelope and the noise-blending parameter into the output signal.
- According to another aspect of the present invention in a receiver, an audio signal is reconstructed by receiving a signal containing data representing a baseband signal, an estimated spectral envelope and a noise-blending parameter; obtaining from the data a frequency-domain representation of the baseband signal; obtaining a regenerated signal comprising regenerated spectral components by translating spectral components of the baseband in frequency; adjusting phase of the regenerated spectral components to maintain phase coherency within the regenerated signal; obtaining an adjusted regenerated signal by obtaining a noise signal in response to the noise-blending parameter, modifying the regenerated signal by adjusting amplitudes of the regenerated spectral components according to the estimated spectral envelope and the noise-blending parameter, and combining the modified regenerated signal with the noise signal; and obtaining a time-domain representation of the reconstructed signal corresponding to a combination of the spectral components in the adjusted regenerated signal with spectral components in the frequency-domain representation of the baseband signal.
- Other aspects of the present invention are described below and set forth in the claims.
- The various features of the present invention and its preferred implementations may be better understood by referring to the following discussion and the accompanying drawings in which like reference numerals refer to like elements in the several figures. The contents of the following discussion and the drawings are set forth as examples only and should not be understood to represent limitations upon the scope of the present invention.
- FIG. 1 illustrates major components in a communications system.
- FIG. 2 is a block diagram of a transmitter.
- FIGS. 3A and 3B are hypothetical graphical illustrations of an audio signal and a corresponding baseband signal.
- FIG. 4 is a block diagram of a receiver.
- FIGS. 5A-5D are hypothetical graphical illustrations of a baseband signal and signals generated by translation of the baseband signal.
- FIGS. 6A-6G are hypothetical graphical illustrations of signals obtained by regenerating high-frequency components using both spectral translation and noise blending.
- FIG. 6H is an illustration of the signal in FIG. 6G after gain adjustment.
- FIG. 7 is an illustration of the baseband signal shown in FIG. 6B combined with the regenerated signal shown in FIG. 6H.
- FIG. 8A is an illustration of a signal's temporal shape.
- FIG. 8B shows the temporal shape of an output signal that is produced by deriving a baseband signal from the signal in FIG. 8A and regenerating the signal through a process of spectral translation.
- FIG. 8C shows the temporal shape of the signal in FIG. 8B after temporal envelope control has been performed.
- FIG. 9 is a block diagram of a transmitter that provides information needed for temporal envelope control using time-domain techniques.
- FIG. 10 is a block diagram of a receiver that provides temporal envelope control using time-domain techniques.
- FIG. 11 is a block diagram of a transmitter that provides information needed for temporal envelope control using frequency-domain techniques.
- FIG. 10 is a block diagram of a receiver that provides temporal envelope control using frequency-domain techniques.
- A. Overview
- FIG. 1 illustrates major components in one example of a communications system. An
information source 112 generates an audio signal alongpath 115 that represents essentially any type of audio information such as speech or music. Atransmitter 136 receives the audio signal frompath 115 and processes the information into a form that is suitable for transmission through thechannel 140. Thetransmitter 136 may prepare the signal to match the physical characteristics of thechannel 140. Thechannel 140 may be a transmission path such as electrical wires or optical fibers, or it may be a wireless communication path through space. Thechannel 140 may also include a storage device that records the signal on a storage medium such as a magnetic tape or disk, or an optical disc for later use by areceiver 142. Thereceiver 142 may perform a variety of signal processing functions such as demodulation or decoding of the signal received from thechannel 140. The output of thereceiver 142 is passed along apath 145 to atransducer 147, which converts it into anoutput signal 152 that is suitable for the user. In a conventional audio playback system, for example, loudspeakers serve as transducers to convert electrical signals into acoustic signals. - Communication systems, which are restricted to transmitting over a channel that has a limited bandwidth or recording on a medium that has limited capacity, encounter problems when the demand for information exceeds this available bandwidth or capacity. As a result there is a continuing need in the fields of broadcasting and recording to reduce the amount of information required to transmit or record an audio signal intended for human perception without degrading its subjective quality. Similarly there is a need to improve the quality of the output signal for a given transmission bandwidth or storage capacity.
- A technique used in connection with speech coding is known as high-frequency regeneration (“HFR”). Only a baseband signal containing low-frequency components of a speech signal are transmitted or stored. The
receiver 142 regenerates the omitted high-frequency components based on the contents of the received baseband signal and combines the baseband signal with the regenerated high-frequency components to produce an output signal. In general, however, known HFR techniques produce regenerated high-frequency components that are easily distinguishable from the high-frequency components in the original signal. The present invention provides an improved technique for spectral component regeneration that produces regenerated spectral components perceptually more similar to corresponding spectral components in the original signal than is provided by other known techniques. It is important to note that although the techniques described herein are sometimes referred to as high-frequency regeneration, the present invention is not limited to the regeneration of high-frequency components of a signal. The techniques described below may also be utilized to regenerate spectral components in any part of the spectrum. - B. Transmitter
- FIG. 2 is a block diagram of the
transmitter 136 according to one aspect of the present invention. An input audio signal is received frompath 115 and processed by ananalysis filterbank 705 to obtain a frequency-domain representation of the input signal. Abaseband signal analyzer 710 determines which spectral components of the input signal are to be discarded. Afilter 715 removes the spectral components to be discarded to produce a baseband signal consisting of the remaining spectral components. Aspectral envelope estimator 720 obtains an estimate of the input signal's spectral envelope. Aspectral analyzer 722 analyzes the estimated spectral envelope to determine noise-blending parameters for the signal. Asignal formatter 725 combines the estimated spectral envelope information, the noise-blending parameters, and the baseband signal into an output signal having a form suitable for transmission or storage. - 1. Analysis Filterbank
- The
analysis filterbank 705 may be implemented by essentially any time-domain to frequency-domain transform. The transform used in a preferred implementation of the present invention is described in Princen, Johnson and Bradley, “Subband/Transform Coding Using Filter Bank Designs Based on Time Domain Aliasing Cancellation,” ICASSP 1987 Conf. Proc., May 1987, pp. 2161-64. This transform is the time-domain equivalent of an oddly-stacked critically sampled single-sideband analysis-synthesis system with time-domain aliasing cancellation and is referred to herein as “O-TDAC”. - According to the O-TDAC technique, an audio signal is sampled, quantized and grouped into a series of overlapped time-domain signal sample blocks. Each sample block is weighted by an analysis window function. This is equivalent to a sample-by-sample multiplication of the signal sample block. The O-TDAC technique applies a modified Discrete Cosine Transform (“DCT”) to the weighted time-domain signal sample blocks to produce sets of transform coefficients, referred to herein as “transform blocks”. To achieve critical sampling, the technique retains only half of the spectral coefficients prior to transmission or storage. Unfortunately, the retention of only half of the spectral coefficients causes a complementary inverse transform to generate time-domain aliasing components. The O-TDAC technique can cancel the aliasing and accurately recover the input signal. The length of the blocks may be varied in response to signal characteristics using techniques that are known in the art; however, care should be taken with respect to phase coherency for reasons that are discussed below. Additional details of the O-TDAC technique may be obtained by referring to U.S. Pat. No. 5,394,473.
- To recover the original input signal blocks from the transform blocks, the O-TDAC technique utilizes an inverse modified DCT. The signal blocks produced by the inverse transform are weighted by a synthesis window function, overlapped and added to recreate the input signal. To cancel the time-domain aliasing and accurately recover the input signal, the analysis and synthesis windows must be designed to meet strict criteria.
- In one preferred implementation of a system for transmitting or recording an input digital signal sampled at a rate of 44.1 kilosamples/second, the spectral components obtained from the
analysis filterbank 705 are divided into four subbands having ranges of frequencies as shown in Table I.TABLE I Band Frequency Range (kHz) 0 0.0 to 5.5 1 5.5 to 11.0 2 11.0 to 16.5 3 16.5 to 22.0 - 2. Baseband Signal Analyzer
- The
baseband signal analyzer 710 selects which spectral components to discard and which spectral components to retain for the baseband signal. This selection can vary depending on input signal characteristics or it can remain fixed according to the needs of an application; however, the inventors have determined empirically that the perceived quality of an audio signal deteriorates if one or more of the signal's fundamental frequencies are discarded. It is therefore preferable to preserve those portions of the spectrum that contain the signal's fundamental frequencies. Because the fundamental frequencies of voice and most natural musical instruments are generally no higher than about 5 kHz, a preferred implementation of thetransmitter 136 intended for music applications uses a fixed cutoff frequency at or around 5 kHz and discards all spectral components above that frequency. In the case of a fixed cutoff frequency, the baseband signal analyzer need not do anything more than provide the fixed cutoff frequency to thefilter 715 and thespectral analyzer 722. In an alternative implementation, thebaseband signal analyzer 710 is eliminated and thefilter 715 and thespectral analyzer 722 operate according to the fixed cutoff frequency. In the subband structure shown above in Table I, for example, the spectral components inonly subband 0 are retained for the baseband signal. This choice is also suitable because the human ear cannot easily distinguish differences in pitch above 5 kHz and therefore cannot easily discern inaccuracies in regenerated components above this frequency. - The choice of cutoff frequency affects the bandwidth of the baseband signal, which in turn influences a tradeoff between the information capacity requirements of the output signal generated by the
transmitter 136 and the perceived quality of the signal reconstructed by thereceiver 142. The perceived quality of the signal reconstructed by thereceiver 142 is influenced by three factors that are discussed in the following paragraphs. - The first factor is the accuracy of the baseband signal representation that is transmitted or stored. Generally, if the bandwidth of a baseband signal is held constant, the perceived quality of a reconstructed signal will increase as the accuracy of the baseband signal representation is increased. Inaccuracies represent noise that will be audible in the reconstructed signal if the inaccuracies are large enough. The noise will degrade both the perceived quality of the baseband signal and the spectral components that are regenerated from the baseband signal. In an exemplary implementation, the baseband signal representation is a set of frequency-domain transform coefficients. The accuracy of this representation is controlled by the number of bits that are used to express each transform coefficient. Coding techniques can be used to convey a given level of accuracy with fewer bits; however, a basic tradeoff between baseband signal accuracy and information capacity requirements exists for any given coding technique.
- The second factor is the bandwidth of the baseband signal that is transmitted or stored. Generally, if the accuracy of the baseband signal representation is held constant, the perceived quality of a reconstructed signal will increase as the bandwidth of the baseband signal is increased. The use of wider bandwidth baseband signals allows the
receiver 142 to confine regenerated spectral components to higher frequencies where the human auditory system is less sensitive to differences in temporal and spectral shape. In the exemplary implementation mentioned above, the bandwidth of the baseband signal is controlled by the number of transform coefficients in the representation. Coding techniques can be used to convey a given number of coefficients with fewer bits; however, a basic tradeoff between baseband signal bandwidth and information capacity requirements exists for any given coding technique. - The third factor is the information capacity that is required to transmit or store the baseband signal representation. If the information capacity requirement is held constant, the baseband signal accuracy will vary inversely with the bandwidth of the baseband signal. The needs of an application will generally dictate a particular information capacity requirement for the output signal that is generated by the
transmitter 136. This capacity must be allocated to various portions of the output signal such as a baseband signal representation and an estimated spectral envelope. The allocation must balance the needs of a number of conflicting interests that are well known for communication systems. Within this allocation, the bandwidth of the baseband signal should be chosen to balance a tradeoff with coding accuracy to optimize the perceived quality of the reconstructed signal. - 3. Spectral Envelope Estimator
- The
spectral envelope estimator 720 analyzes the audio signal to extract information regarding the signal's spectral envelope. If available information capacity permits, an implementation of thetransmitter 136 preferably obtains an estimate of a signal's spectral envelope by dividing the signal's spectrum into frequency bands with bandwidths approximating the human ear's critical bands, and extracting information regarding the signal magnitude in each band. In most applications having limited information capacity, however, it is preferable to divide the spectrum into a smaller number of subbands such as the arrangement shown above in Table I. Other variations may be used such as calculating a power spectral density, or extracting the average or maximum amplitude in each band. More sophisticated techniques can provide higher quality in the output signal but generally require greater computational resources. The choice of method used to obtain an estimated spectral envelope generally has practical implications because it generally affects the perceived quality of the communication system; however, the choice of method is not critical in principle. Essentially any technique may be used as desired. - In one implementation using the subband structure shown in Table I, the
spectral envelope estimator 720 obtains an estimate of the spectral envelope only forsubbands 0, 1 and 2. Subband 3 is excluded to reduce the amount of information required to represent the estimated spectral envelope. - 4. Spectral Analyzer
- The
spectral analyzer 722 analyzes the estimated spectral envelope received from thespectral envelope estimator 720 and information from thebaseband signal analyzer 710, which identifies the spectral components to be discarded from a baseband signal, and calculates one or more noise-blending parameters to be used by thereceiver 142 to generate a noise component for translated spectral components. A preferred implementation minimizes data rate requirements by computing and transmitting a single noise-blending parameter to be applied by thereceiver 142 to all translated components. Noise-blending parameters can be calculated by any one of a number of different methods. A preferred method derives a single noise-blending parameter equal to a spectral flatness measure that is calculated from the ratio of the geometric mean to the arithmetic mean of the short-time power spectrum. The ratio gives a rough indication of the flatness of the spectrum. A higher spectral flatness measure, which indicates a flatter spectrum, also indicates a higher noise-blending level is appropriate. - In an alternative implementation of the
transmitter 136, the spectral components are grouped into multiple subbands such as those shown in Table I, and thetransmitter 136 transmits a noise-blending parameter for each subband. This more accurately defines the amount of noise to be mixed with the translated frequency content but it also requires a higher data rate to transmit the additional noise-blending parameters. - 5. Baseband Signal Filter
- The
filter 715 receives information from thebaseband signal analyzer 710, which identifies the spectral components that are selected to be discarded from a baseband signal, and eliminates the selected frequency components to obtain a frequency-domain representation of the baseband signal for transmission or storage. FIGS. 3A and 3B are hypothetical graphical illustrations of an audio signal and a corresponding baseband signal. FIG. 3A shows the spectral envelope of a frequency-domain representation 600 of a hypothetical audio signal. FIG. 3B shows the spectral envelope of the baseband signal 610 that remains after the audio signal is processed to eliminate selected high-frequency components. - The
filter 715 may be implemented in essentially any manner that effectively removes the frequency components that are selected for discarding. In one implementation, thefilter 715 applies a frequency-domain window function to the frequency-domain representation of the input audio signal. The shape of the window function is selected to provide an appropriate trade off between frequency selectivity and attenuation against time-domain effects in the output audio signal that is ultimately generated by thereceiver 142. - 6. Signal Formatter
- The
signal formatter 725 generates an output signal alongcommunication channel 140 by combining the estimated spectral envelope information, the one or more noise-blending parameters, and a representation of the baseband signal into an output signal having a form suitable for transmission or storage. The individual signals may be combined in essentially any manner. In many applications, theformatter 725 multiplexes the individual signals into a serial bit stream with appropriate synchronization patterns, error detection and correction codes, and other information that is pertinent either to transmission or storage operations or to the application in which the audio information is used. Thesignal formatter 725 may also encode all or portions of the output signal to reduce information capacity requirements, to provide security, or to put the output signal into a form that facilitates subsequent usage. - C. Receiver
- FIG. 4 is a block diagram of the
receiver 142 according to one aspect of the present invention. Adeformatter 805 receives a signal from thecommunication channel 140 and obtains from this signal a baseband signal, estimated spectral envelope information and one or more noise-blending parameters. These elements of information are transmitted to asignal processor 808 that comprises aspectral regenerator 810, aphase adjuster 815, a blendingfilter 818 and again adjuster 820. Thespectral component regenerator 810 determines which spectral components are missing from the baseband signal and regenerates them by translating all or at least some spectral components of the baseband signal to the locations of the missing spectral components. The translated components are passed to thephase adjuster 815, which adjusts the phase of one or more spectral components within the combined signal to ensure phase coherency. The blendingfilter 818 adds one or more noise components to the translated components according to the one or more noise-blending parameters received with the baseband signal. Thegain adjuster 820 adjusts the amplitude of spectral components in the regenerated signal according to the estimated spectral envelope information received with the baseband signal. The translated and adjusted spectral components are combined with the baseband signal to produce a frequency-domain representation of the output signal. Asynthesis filterbank 825 processes the signal to obtain a time-domain representation of the output signal, which is passed alongpath 145. - 1. Deformatter
- The
deformatter 805 processes the signal received fromcommunication channel 140 in a manner that is complementary to the formatting process provided by thesignal formatter 725. In many applications, thedeformatter 805 receives a serial bit stream from thechannel 140, uses synchronization patterns within the bit stream to synchronize its processing, uses error correction and detection codes to identify and rectify errors that were introduced into the bit stream during transmission or storage, and operates as a demultiplexer to extract a representation of the baseband signal, the estimated spectral envelope information, one or more noise-blending parameters, and any other information that may be pertinent to the application. Thedeformatter 805 may also decode all or portions of the serial bit stream to reverse the effects of any coding provided by thetransmitter 136. A frequency-domain representation of the baseband signal is passed to thespectral component regenerator 810, the noise-blending parameters are passed to the blendingfilter 818, and the spectral envelope information is passed to thegain adjuster 820. - 2. Spectral Component Regenerator
- The
spectral component regenerator 810 regenerates missing spectral components by copying or translating all or at least some of the spectral components of the baseband signal to the locations of the missing components of the signal. Spectral components may be copied into more than one interval of frequencies, thereby allowing an output signal to be generated with a bandwidth greater than twice the bandwidth of the baseband signal. - In an implementation of the
receiver 142 that uses only subbands 0 and 1 shown above in Table I, the baseband signal contains no spectral components above a cutoff frequency at or about 5.5 kHz. Spectral components of the baseband signal are copied or translated to a range of frequencies from about 5.5 kHz to about 11.0 kHz. If a 16.5 kHz bandwidth is desired, for example, the spectral components of the baseband signal can also be translated into ranges of frequencies from about 11.0 kHz to about 16.5 kHz. Generally, the spectral components are translated into non-overlapping frequency ranges such that no gap exists in the spectrum including the baseband signal and all copied spectral components; however, this feature is not essential. Spectral components may be translated into overlapping frequency ranges and/or into frequency ranges with gaps in the spectrum in essentially any manner as desired. - The choice of which spectral components should be copied can be varied to suit the particular application. For example, spectral components that are copied need not start at the lower edge of the baseband and need not end at the upper edge of the baseband. The perceived quality of the signal reconstructed by the
receiver 142 can sometimes be improved by excluding fundamental frequencies of voice and instruments and copying only harmonics. This aspect is incorporated into one implementation by excluding from translation those baseband spectral components that are below about 1 kHz. Referring to the subband structure shown above in Table I as an example, only spectral components from about 1 kHz to about 5.5 kHz are translated. - If the bandwidth of all spectral components to be regenerated is wider than the bandwidth of the baseband spectral components to be copied, the baseband spectral components may be copied in a circular manner starting with the lowest frequency component up to the highest frequency component and, if necessary, wrapping around and continuing with the lowest frequency component. For example, referring to the subband structure shown in Table I, if only baseband spectral components from about 1 kHz to 5.5 kHz are to be copied and spectral components are to be regenerated for subbands 1 and 2 that span frequencies from about 5.5 kHz to 16.5 kHz, then baseband spectral components from about 1 kHz to 5.5 kHz are copied to respective frequencies from about 5.5 kHz to 10 kHz, the same baseband spectral components from about 1 kHz to 5.5 kHz are copied again to respective frequencies from about 10 kHz to 14.5 kHz, and the baseband spectral component from about 1 kHz to 3 kHz are copied to respective frequencies from about 14.5 kHz to 16.5 kHz. Alternatively, this copying process can be performed for each individual subband of regenerated components by copying the lowest-frequency component of the baseband to the lower edge of the respective subband and continuing through the baseband spectral components in a circular manner as necessary to complete the translation for that subband.
- FIGS. 5A through 5D are hypothetical graphical illustrations of the spectral envelope of a baseband signal and the spectral envelope of signals generated by translation of spectral components within the baseband signal. FIG. 5A shows a hypothetical decoded
baseband signal 900. FIG. 5B shows spectral components of the baseband signal 905 translated to higher frequencies. FIG. 5C shows thebaseband signal components 910 translated multiple times to higher frequencies. FIG. 5D shows a signal resulting from the combination of the translatedcomponents 915 and thebaseband signal 920. - 3. Phase Adjuster
- The translation of spectral components may create discontinuities in the phase of the regenerated components. The O-TDAC transform implementation described above, for example, as well as many other possible implementations, provides frequency-domain representations that are arranged in blocks of transform coefficients. The translated spectral components are also arranged in blocks. If spectral components regenerated by translation have phase discontinuities between successive blocks, audible artifacts in the output audio signal are likely to occur.
- The
phase adjuster 815 adjusts the phase of each regenerated spectral component to maintain a consistent or coherent phase. In an implementation of thereceiver 142 which employs the O-TDAC transform described above, each of the regenerated spectral components is multiplied by the complex value ejΔω, where Δω represents the frequency interval each respective spectral component is translated, expressed as the number of transform coefficients that correspond to that frequency interval. For example, if a spectral component is translated to the frequency of the adjacent component, the translation interval Δω is equal to one. Alternative implementations may require different phase adjustment techniques appropriate to the particular implementation of thesynthesis filterbank 825. - The translation process may be adapted to match the regenerated components with harmonics of significant spectral components within the baseband signal. Two ways in which translation may be adapted is by changing either the specific spectral components that are copied, or by changing the amount of translation. If an adaptive process is used, special care should be taken with regard to phase coherency if spectral components are arranged in blocks. If the regenerated spectral components are copied from different base components from block to block or if the amount of frequency translation is changed from block to block, it is very likely the regenerated components will not be phase coherent. It is possible to adapt the translation of spectral components but care must be taken to ensure the audibility of artifacts caused by phase incoherency is not significant. A system that employs either multiple-pass techniques or look-ahead techniques could identify intervals during which translation could be adapted. Blocks representing intervals of an audio signal in which the regenerated spectral components are deemed to be inaudible are usually good candidates for adapting the translation process.
- 4. Noise Blending Filter
- The blending
filter 818 generates a noise component for the translated spectral components using the noise-blending parameters received from thedeformatter 805. The blendingfilter 818 generates a noise signal, computes a noise-blending function using the noise-blending parameters and utilizes the noise-blending function to combine the noise signal with the translated spectral components. - A noise signal can be generated by any one of a variety of ways. In a preferred implementation, a noise signal is produced by generating a sequence of random numbers having a distribution with zero mean and variance of one. The blending
filter 818 adjusts the noise signal by multiplying the noise signal by the noise-blending function. If a single noise-blending parameter is used, the noise-blending function generally should adjust the noise signal to have higher amplitude at higher frequencies. This follows from the assumptions discussed above that voice and natural musical instrument signals tend to contain more noise at higher frequencies. In a preferred implementation when spectral components are translated to higher frequencies, a noise-blending function has a maximum amplitude at the highest frequency and decays smoothly to a minimum value at the lowest frequency at which noise is blended. -
- where max(x,y)=the larger of x and y;
- B=a noise-blending parameter based on SFM;
- k=the index of regenerated spectral components;
- k MAX=highest frequency for spectral component regeneration; and
- k MIN=lowest frequency for spectral component regeneration.
- In this implementation, the value of B varies from zero to one, where one indicates a flat spectrum that is typical of a noise-like signal and zero indicates a spectral shape that is not flat and is typical of a tone-like signal. The value of the quotient in equation 1 varies from zero to one as k increases from k MIN to kMAX. If B is equal to zero, the first term in the “max” function varies from negative one to zero; therefore, N(k) will be equal to zero throughout the regenerated spectrum and no noise is added to regenerated spectral components. If B is equal to one, the first term in the “max” function varies from zero to one; therefore, N(k) increases linearly from zero at the lowest regenerated frequency kMIN up to a value equal to one at the maximum regenerated frequency kMAX. If B has a value between zero and one, N(k) is equal to zero from kMIN up to some frequency between kMIN and kMAX, and increases linearly for the remainder of the regenerated spectrum. The amplitude of the regenerated spectral components is adjusted by multiplying the regenerated components with the noise-blending function. The adjusted noise signal and the adjusted regenerated spectral components are combined.
- This particular implementation described above is merely one suitable example. Other noise blending techniques may be used as desired.
- FIGS. 6A through 6G are hypothetical graphical illustrations of the spectral envelopes of signals obtained by regenerating high-frequency components using both spectral translation and noise blending. FIG. 6A shows a
hypothetical input signal 410 to be transmitted. FIG. 6B shows the baseband signal 420 produced by discarding high-frequency components. FIG. 6C shows the regenerated high- 431, 432 and 433. FIG. 6D depicts a possible noise-frequency components blending function 440 that gives greater weight to noise components at higher frequencies. FIG. 6E is a schematic illustration of anoise signal 445 that has been multiplied by the noise-blending function 440. FIG. 6F shows asignal 450 generated by multiplying the regenerated high- 431, 432 and 433 by the inverse of the noise-frequency components blending function 440. FIG. 6G is a schematic illustration of a combined signal 460 resulting from adding the adjustednoise signal 445 to the adjusted high-frequency components 450. FIG. 6G is drawn to illustrate schematically that the high-frequency portion 430 contains a mixture of the translated high- 431, 432 and 433 and noise.frequency components - 5. Gain Adjuster
- The
gain adjuster 820 adjusts the amplitude of the regenerated signal according to the estimated spectral envelope information received from thedeformatter 805. FIG. 6H is a hypothetical illustration of the spectral envelope of signal 460 shown in FIG. 6G after gain adjustment. Theportion 510 of the signal containing a mixture of translated spectral components and noise has been given a spectral envelope approximating that of theoriginal signal 410 shown in FIG. 6A. Reproducing the spectral envelope on a fine scale is generally unnecessary because the regenerated spectral components do not exactly reproduce the spectral components of the original signal. A translated harmonic series generally will not equal an harmonic series; therefore, it is generally impossible to ensure that the regenerated output signal is identical to the original input signal on a fine scale. Coarse approximations that match the spectral energy within a few critical bands or less have been found to work well. It should also be noted that the use of a coarse estimate of spectral shape rather than a finer approximation is generally preferred because a coarse estimate imposes lower information capacity requirements upon transmission channels and storage media. In audio applications that have more than one channel, however, aural imaging may be improved by using finer approximations of spectral shape so that more precise gain adjustments can be made to ensure a proper balance between channels. - 6. Synthesis Filterbank
- The gain-adjusted regenerated spectral components provided by the
gain adjuster 820 are combined with the frequency-domain representation of the baseband signal received from thedeformatter 805 to form a frequency-domain representation of a reconstructed signal. This may be done by adding the regenerated components to corresponding components of the baseband signal. FIG. 7 shows a hypothetical reconstructed signal obtained by combining the baseband signal shown in FIG. 6B with the regenerated components shown in FIG. 6H. - The
synthesis filterbank 825 transforms the frequency-domain representation into a time domain representation of the reconstructed signal. This filterbank can be implemented in essentially any manner but it should be inverse to thefilterbank 705 used in thetransmitter 136. In the preferred implementation discussed above,receiver 142 uses O-TDAC synthesis that applies an inverse modified DCT. - D. Alternative Implementations of the Invention
- The width and location of the baseband signal can be established in essentially any manner and can be varied dynamically according to input signal characteristics, for example. In one alternative implementation, the
transmitter 136 generates a baseband signal by discarding multiple bands of spectral components, thereby creating gaps in the spectrum of the baseband signal. During spectral component regeneration, portions of the baseband signal are translated to regenerate the missing spectral components. - The direction of translation can also be varied. In another implementation, the
transmitter 136 discards spectral components at low frequencies to produce a baseband signal located at relatively higher frequencies. Thereceiver 142 translates portions of the high-frequency baseband signal down to lower-frequency locations to regenerate the missing spectral components. - E. Temporal Envelope Control
- The regeneration techniques discussed above are able to generate a reconstructed signal that substantially preserves the spectral envelope of the input audio signal; however, the temporal envelope of the input signal generally is not preserved. FIG. 8A shows the temporal shape of an
audio signal 860. FIG. 8B shows the temporal shape of a reconstructedoutput signal 870 produced by deriving a baseband signal from thesignal 860 in FIG. 8A and regenerating discarded spectral components through a process of spectral component translation. The temporal shape of thereconstructed signal 870 differs significantly from the temporal shape of theoriginal signal 860. Changes in the temporal shape can have a significant effect on the perceived quality of a regenerated audio signal. Two methods for preserving the temporal envelope are discussed below. - 1. Time-Domain Technique
- In the first method, the
transmitter 136 determines the temporal envelope of the input audio signal in the time domain and thereceiver 142 restores the same or substantially the same temporal envelope to the reconstructed signal in the time domain. - a) Transmitter
- FIG. 9 shows a block diagram of one implementation of the
transmitter 136 in a communication system that provides temporal envelope control using a time-domain technique. Theanalysis filterbank 205 receives an input signal frompath 115 and divides the signal into multiple frequency subband signals. The figure illustrates only two subbands for illustrative clarity; however, theanalysis filterbank 205 may divide the input signal into any integer number of subbands that is greater than one. - The
analysis filterbank 205 may be implemented in essentially any manner such as one or more Quadrature Mirror Filters (QMF) connected in cascade or, preferably, by a pseudo-QMF technique that can divide an input signal into any integer number of subbands in one filter stage. Additional information about the pseudo-QMF technique may be obtained from Vaidyanathan, “Multirate Systems and Filter Banks,” Prentice Hall, New Jersey, 1993, pp. 354-373. - One or more of the subband signals are used to form the baseband signal. The remaining subband signals contain the spectral components of the input signal that are discarded. In many applications, the baseband signal is formed from one subband signal representing the lowest-frequency spectral components of the input signal, but this is not necessary in principle. In one preferred implementation of a system for transmitting or recording an input digital signal sampled at a rate of 44.1 kilosamples/second, the
analysis filterbank 205 divides the input signal into four subbands having ranges of frequencies as shown above in Table I. The lowest-frequency subband is used to form the baseband signal. - Referring to the implementation shown in FIG. 9, the
analysis filterbank 205 passes the lower-frequency subband signal as the baseband signal to thetemporal envelope estimator 213 and themodulator 214. Thetemporal envelope estimator 213 provides an estimated temporal envelope of the baseband signal to themodulator 214 and to thesignal formatter 225. Preferably, baseband signal spectral components that are below about 500 Hz are either excluded from the process that estimates the temporal envelope or are attenuated so that they do not have any significant effect on the shape of the estimated temporal envelope. This may be accomplished by applying an appropriate high-pass filter to the signal that is analyzed by thetemporal envelope estimator 213. Themodulator 214 divides the amplitude of the baseband signal by the estimated temporal envelope and passes to the analysis filterbank 215 a representation of the baseband signal that is flattened temporally. Theanalysis filterbank 215 generates a frequency-domain representation of the flattened baseband signal, which is passed to theencoder 220 for encoding. Theanalysis filterbank 215, as well as theanalysis filterbank 212 discussed below, may be implemented by essentially any time-domain-to-frequency-domain transform; however, a transform like the O-TDAC transform that implements a critically-sampled filterbank is generally preferred. Theencoder 220 is optional; however, its use is preferred because encoding can generally be used to reduce the information requirements of the flattened baseband signal. The flattened baseband signal, whether in encoded form or not, is passed to thesignal formatter 225. - The analysis filterbank 205 passes the higher-frequency subband signal to the
temporal envelope estimator 210 and themodulator 211. Thetemporal envelope estimator 210 provides an estimated temporal envelope of the higher-frequency subband signal to themodulator 211 and to theoutput signal formatter 225. Themodulator 211 divides the amplitude of the higher-frequency subband signal by the estimated temporal envelope and passes to the analysis filterbank 212 a representation of the higher-frequency subband signal that is flattened temporally. Theanalysis filterbank 212 generates a frequency-domain representation of the flattened higher-frequency subband signal. Thespectral envelope estimator 720 and thespectral analyzer 722 provide an estimated spectral envelope and one or more noise-blending parameters, respectively, for the higher-frequency subband signal in essentially the same manner as that described above, and pass this information to thesignal formatter 225. - The
signal formatter 225 provides an output signal alongcommunication channel 140 by assembling a representation of the flattened baseband signal, the estimated temporal envelopes of the baseband signal and the higher-frequency subband signal, the estimated spectral envelope, and the one or more noise-blending parameters into the output signal. The individual signals and information are assembled into a signal having a form that is suitable for transmission or storage using essentially any desired formatting technique as described above for thesignal formatter 725. - b) Temporal Envelope Estimator
- The
210 and 213 may be implemented in wide variety of ways. In one implementation, each of these estimators processes a subband signal that is divided into blocks of subband signal samples. These blocks of subband signal samples are also processed by either thetemporal envelope estimators 212 or 215. In many practical implementations, the blocks are arranged to contain a number of samples that is a power of two and is greater than 256 samples. Such a block size is generally preferred to improve the efficiency and the frequency resolution of the transforms used to implement theanalysis filterbank 212 and 215. The length of the blocks may also be adapted in response to input signal characteristics such as the occurrence or absence of large transients. Each block is further divided into groups of 256 samples for temporal envelope estimation. The size of the groups is chosen to balance a tradeoff between the accuracy of the estimate and the amount of information required to convey the estimate in the output signal.analysis filterbanks - In one implementation, the temporal envelope estimator calculates the power of the samples in each group of subband signal samples. The set of power values for the block of subband signal samples is the estimated temporal envelope for that block. In another implementation, the temporal envelope estimator calculates the mean value of the subband signal sample magnitudes in each group. The set of means for the block is the estimated temporal envelope for that block.
- The set of values in the estimated envelope may be encoded in a variety of ways. In one example, the envelope for each block is represented by an initial value for the first group of samples in the block and a set of differential values that express the relative values for subsequent groups. In another example, either differential or absolute codes are used in an adaptive manner to reduce the amount of information required to convey the values.
- c) Receiver
- FIG. 10 shows a block diagram of one implementation of the
receiver 142 in a communication system that provides temporal envelope control using a time-domain technique. Thedeformatter 265 receives a signal fromcommunication channel 140 and obtains from this signal a representation of a flattened baseband signal, estimated temporal envelopes of the baseband signal and a higher-frequency subband signal, an estimated spectral envelope and one or more noise-blending parameters. Thedecoder 267 is optional but should be used to reverse the effects of any encoding performed in thetransmitter 136 to obtain a frequency-domain representation of the flattened baseband signal. - The
synthesis filterbank 280 receives the frequency-domain representation of the flattened baseband signal and generates a time-domain representation using a technique that is inverse to that used by theanalysis filterbank 215 in thetransmitter 136. Themodulator 281 receives the estimated temporal envelope of the baseband signal from thedeformatter 265, and uses this estimated envelope to modulate the flattened baseband signal received from thesynthesis filterbank 280. This modulation provides a temporal shape that is substantially the same as the temporal shape of the original baseband signal before it was flattened by themodulator 214 in thetransmitter 136. - The
signal processor 808 receives the frequency-domain representation of the flattened baseband signal, the estimated spectral envelope and the one or more noise-blending parameters from thedeformatter 265, and regenerates spectral components in the same manner as that discussed above for thesignal processor 808 shown in FIG. 4. The regenerated spectral components are passed to thesynthesis filterbank 283, which generates a time-domain representation using a technique that is inverse to that used by the 212 and 215 in theanalysis filterbanks transmitter 136. Themodulator 284 receives the estimated temporal envelope of the higher-frequency subband signal from thedeformatter 265, and uses this estimated envelope to modulate the regenerated spectral components signal received from thesynthesis filterbank 283. This modulation provides a temporal shape that is substantially the same as the temporal shape of the original higher-frequency subband signal before it was flattened by themodulator 211 in thetransmitter 136. - The modulated subband signal and the modulated higher-frequency subband signal are combined to form a reconstructed signal, which is passed to the
synthesis filterbank 287. The synthesis filterbank 287 uses a technique inverse to that used by theanalysis filterbank 205 in thetransmitter 136 to provide alongpath 145 an output signal that is perceptually indistinguishable or nearly indistinguishable from the original input signal received frompath 115 by thetransmitter 136. - 2. Frequency-Domain Technique
- In the second method, the
transmitter 136 determines the temporal envelope of the input audio signal in the frequency domain and thereceiver 142 restores the same or substantially the same temporal envelope to the reconstructed signal in the frequency domain. - a) Transmitter
- FIG. 11 shows a block diagram of one implementation of the
transmitter 136 in a communication system that provides temporal envelope control using a frequency-domain technique. The implementation of this transmitter is very similar to the implementation of the transmitter shown in FIG. 2. The principal difference is thetemporal envelope estimator 707. The other components are not discussed here in detail because their operation is essentially the same as that described above in connection with FIG. 2. - Referring to FIG. 11, the
temporal envelope estimator 707 receives from the analysis filterbank 705 a frequency-domain representation of the input signal, which it analyzes to derive an estimate of the temporal envelope of the input signal. Preferably, spectral components that are below about 500 Hz are either excluded from the frequency-domain representation or are attenuated so that they do not have any significant effect on the process that estimates the temporal envelope. Thetemporal envelope estimator 707 obtains a frequency-domain representation of a temporally-flattened version of the input signal by deconvolving a frequency-domain representation of the estimated temporal envelope and the frequency-domain representation of the input signal. This deconvolution may be done by convolving the frequency-domain representation of the input signal with an inverse of the frequency-domain representation of the estimated temporal envelope. The frequency-domain representation of a temporally-flattened version of the input signal is passed to thefilter 715, thebaseband signal analyzer 710, and thespectral envelope estimator 720. A description of the frequency-domain representation of the estimated temporal envelope is passed to thesignal formatter 725 for assembly into the output signal that is passed along thecommunication channel 140. - b) Temporal Envelope Estimator
- The
temporal envelope estimator 707 may be implemented in a number of ways. The technical basis for one implementation of the temporal envelope estimator may be explained in terms of the linear system shown in equation 2: - y(t)=h(t)·x(t) (2)
- where
- y(t)=a signal to be transmitted;
- h(t)=the temporal envelope of the signal to be transmitted;
- the dot symbol (·) denotes multiplication; and
- x(t)=a temporally-flat version of the signal y(t).
- Equation 2 may be rewritten as:
- Y[k]=H[k]*X[k] (3)
- where
- Y[k]=a frequency-domain representation of the input signal y(t);
- H[k]=a frequency-domain representation of h(t);
- the star symbol (*) denotes convolution; and
- X[k]=a frequency-domain representation of x(t).
- Referring to FIG. 11, the signal y(t) is the audio signal that the
transmitter 136 receives frompath 115. Theanalysis filterbank 705 provides the frequency-domain representation Y[k] of the signal y(t). Thetemporal envelope estimator 707 obtains an estimate of the frequency-domain representation H[k] of the signal's temporal envelope h(t) by solving a set of equations derived from an autoregressive moving average (ARMA) model of Y[k] and X[k]. Additional information about the use of ARMA models may be obtained from Proakis and Manolakis, “Digital Signal Processing: Principles, Algorithms and Applications,” MacMillan Publishing Co., New York 1988. See especially pp. 818-821. - In a preferred implementation of the
transmitter 136, thefilterbank 705 applies a transform to blocks of samples representing the signal y(t) to provide the frequency-domain representation Y[k] arranged in blocks of transform coefficients. Each block of transform coefficients expresses a short-time spectrum of the signal of the signal y(t). The frequency-domain representation X[k] is also arranged in blocks. Each block of coefficients in the frequency-domain representation X[k] represents a block of samples for the temporally-flat signal x(t) that is assumed to be wide sense stationary (WSS). It is also assumed the coefficients in each block of the X[k] representation are independently distributed (ID). Given these assumptions, the signals can be expressed by an ARMA model as follows: -
- where
- E{ } denotes the expected value function;
- L=length of the autoregressive portion of the ARMA model; and
- Q=the length of the moving average portion of the ARMA model.
-
- where
- R YY[n] denotes the autocorrelation of Y[n]; and
- R XY[k] denotes the crosscorrelation of Y[k] and X[k].
- If we further assume the linear system represented by H[k] is only autoregressive, then the second term on the right side of equation 6 is equal to the variance σ 2 X of X[k].
-
-
- Given this background, it is now possible to describe one implementation of a temporal envelope estimator that uses frequency-domain techniques. In this implementation, the
temporal envelope estimator 707 receives a frequency-domain representation Y[k] of an input signal y(t) and calculates the autocorrelation sequence RXX[m] for −L≦m≦L. These values are used to construct the matrix shown in equation 8. The matrix is then inverted to solve for the coefficients ai. Because the matrix in equation 8 is Toeplitz, it can be inverted by the Levinson-Durbin algorithm. For information, see Proakis and Manolakis, pp. 458-462. - The set of equations obtained by inverting the matrix cannot be solved directly because the variance σ 2 X of X[k] is not known; however, the set of equations can be solved for some arbitrary variance such as the value one. Once solved for this arbitrary value, the set of equations yields a set of unnormalized coefficients {a′0, . . . , a′L}. These coefficients are unnormalized because the equations were solved for an arbitrary variance. The coefficients can be normalized by dividing each by the value of the first unnormalized coefficient a′0, which can be expressed as:
-
- The set of normalized coefficients {1, a 1, . . . , aL} represents the zeroes of a flattening filter FF that can be convolved with a frequency-domain representation Y[k] of an input signal y(t) to obtain a frequency-domain representation X[k] of a temporally-flattened version x(t) of the input signal. The set of normalized coefficients also represents the poles of a reconstruction filter FR that can be convolved with the frequency-domain representation X[k] of a temporally-flat signal x(t) to obtain a frequency-domain representation of that flat signal having a modified temporal shape substantially equal to the temporal envelope of the input signal y(t).
- The
temporal envelope estimator 707 convolves the flattening filter FF with the frequency-domain representation Y[k] received from thefilterbank 705 and passes the temporally-flattened result to thefilter 715, thebaseband signal analyzer 710, and thespectral envelope estimator 720. A description of the coefficients in flattening filter FF is passed to thesignal formatter 725 for assembly into the output signal passed alongpath 140. - c) Receiver
- FIG. 12 shows a block diagram of one implementation of the
receiver 142 in a communication system that provides temporal envelope control using a frequency-domain technique. The implementation of this receiver is very similar to the implementation of the receiver shown in FIG. 4. The principal difference is thetemporal envelope regenerator 807. The other components are not discussed here in detail because their operation is essentially the same as that described above in connection with FIG. 4. - Referring to FIG. 12, the
temporal envelope regenerator 807 receives from the deformatter 805 a description of an estimated temporal envelope, which is convolved with a frequency-domain representation of a reconstructed signal. The result obtained from the convolution is passed to thesynthesis filterbank 825, which provides alongpath 145 an output signal that is perceptually indistinguishable or nearly indistinguishable from the original input signal received frompath 115 by thetransmitter 136. - The
temporal envelope regenerator 807 may be implemented in a number of ways. In an implementation compatible with the implementation of the envelope estimator discussed above, thedeformatter 805 provides a set of coefficients that represent the poles of a reconstruction filter FR, which is convolved with the frequency-domain representation of the reconstructed signal. - d) Alternative Implementations
- Alternative implementations are possible. In one alternative for the
transmitter 136, the spectral components of the frequency-domain representation received from thefilterbank 705 are grouped into frequency subbands. The set of subbands shown in Table I is one suitable example. A flattening filter FF is derived for each subband and convolved with the frequency-domain representation of each subband to temporally flatten it. Thesignal formatter 725 assembles into the output signal an identification of the estimated temporal envelope for each subband. Thereceiver 142 receives the envelope identification for each subband, obtains an appropriate regeneration filter FR for each subband, and convolves it with a frequency-domain representation of the corresponding subband in the reconstructed signal. - In another alternative, multiple sets of coefficients {C i}j are stored in a table. Coefficients {1, a1, . . . , aL} for flattening filter FF are calculated for an input signal, and the calculated coefficients are compared with each of the multiple sets of coefficients stored in the table. The set {Ci}j in the table that is deemed to be closest to the calculated coefficients is selected and used to flatten the input signal. An identification of the set {Ci}j that is selected from the table is passed to the
signal formatter 725 to be assembled into the output signal. Thereceiver 142 receives the identification of the set {Ci}j, consults a table of stored coefficient sets to obtain the appropriate set of coefficients {Ci}j, derives a regeneration filter FR that corresponds to the coefficients, and convolves the filter with a frequency-domain representation of the reconstructed signal. This alternative may also be applied to subbands as discussed above. - One way in which a set of coefficients in the table may be selected is to define a target point in an L-dimensional space having Euclidean coordinates equal to the calculated coefficients (a 1, . . . , aL) for the input signal or subband of the input signal. Each of the sets stored in the table also defines a respective point in the L-dimensional space. The set stored in the table whose associated point has the shortest Euclidean distance to the target point is deemed to be closest to the calculated coefficients. If the table stores 256 sets of coefficients, for example, an eight-bit number could be passed to the
signal formatter 725 to identify the selected set of coefficients. - F. Implementations
- The present invention may be implemented in a wide variety of ways. Analog and digital technologies may be used as desired. Various aspects may be implemented by discrete electrical components, integrated circuits, programmable logic arrays, ASICs and other types of electronic components, and by devices that execute programs of instructions, for example. Programs of instructions may be conveyed by essentially any device-readable media such as magnetic and optical storage media, read-only memory and programmable memory.
Claims (33)
1. A method for processing an audio signal that comprises:
obtaining a frequency-domain representation of a baseband signal having some but not all spectral components of the audio signal;
obtaining an estimated spectral envelope of a residual signal having spectral components of the audio signal that are not in the baseband signal;
deriving a noise-blending parameter from a measure of noise content of the residual signal; and
assembling data representing the frequency-domain representation of the baseband signal, the estimated spectral envelope and the noise-blending parameter into an output signal suitable for transmission or storage.
2. The method of claim 1 , wherein the frequency-domain representation of the baseband signal is obtained to represent signal segments that vary in length.
3. The method of claim 2 that comprises applying a time-domain aliasing cancellation analysis transform to obtain the frequency-domain representation of the baseband signal.
4. The method of claim 1 that comprises:
obtaining a frequency-domain representation of the audio signal; and
obtaining the frequency-domain representation of the baseband signal from a portion of the frequency-domain representation of the audio signal.
5. The method of claim 1 that comprises:
obtaining a plurality of subband signals representing the audio signal;
obtaining the frequency-domain representation of the baseband signal by applying a first analysis filterbank to a first group of one or more subband signals that includes some but not all of the plurality of subband signals; and
obtaining the estimated spectral envelope of the residual signal by analyzing a signal obtained by applying a second analysis filterbank to a second group of one or more subband signals that are not included in the first group of subband signals.
6. The method of claim 5 that comprises:
obtaining a temporally flattened representation of the second group of subband signals by modifying the second group of subband signals according to an inverse of an estimated temporal envelope of the second group of subband signals, wherein the estimated spectral envelope of the residual signal and the noise-blending parameter are obtained in response to the temporally flattened representation of the second group of subband signals; and
assembling data into the output signal that represents the estimated temporal envelope of the second group of subband signals.
7. The method of claim 6 that comprises:
obtaining a temporally flattened representation of the first group of subband signals by modifying the first group of subband signals according to an inverse of an estimated temporal envelope of the first group of subband signals, wherein the frequency-domain representation of the baseband signal is obtained in response to the temporally flattened representation of the first group of subband signals; and
assembling data into the output signal that represents the estimated temporal envelope of the first group of subband signals.
8. A method for processing an audio signal that comprises:
obtaining a plurality of subband signals that represent the audio signal;
obtaining a frequency-domain representation of a baseband signal by applying a first analysis filterbank to a first group of one or more subband signals that includes some but not all of the plurality of subband signals;
obtaining a temporally flattened representation of a second group of one or more subband signals that are not included in the first group of subband signals by modifying the second group of subband signals according to an inverse of an estimated temporal envelope of the second group of subband signals;
obtaining an estimated spectral envelope of the temporally flattened representation of the second group of subband signals;
deriving a noise-blending parameter from a measure of noise content of the temporally flattened representation of the second group of subband signals; and
assembling data representing the frequency-domain representation of the baseband signal, the estimated spectral envelope and the noise-blending parameter into an output signal suitable for transmission or storage.
9. A method for generating a reconstructed audio signal that comprises:
receiving a signal containing data representing a baseband signal derived from the audio signal, an estimated spectral envelope, and a noise-blending parameter derived from a measure of noise content of the audio signal;
obtaining from the data a frequency-domain representation of the baseband signal;
obtaining a regenerated signal comprising regenerated spectral components by translating spectral components of the baseband in frequency;
adjusting phase of the regenerated spectral components to maintain phase coherency within the regenerated signal;
obtaining an adjusted regenerated signal by obtaining a noise signal in response to the noise-blending parameter, modifying the regenerated signal by adjusting amplitudes of the regenerated spectral components according to the estimated spectral envelope and the noise-blending parameter, and combining the modified regenerated signal with the noise signal; and
obtaining a time-domain representation of the reconstructed signal corresponding to a combination of the spectral components in the adjusted regenerated signal with spectral components in the frequency-domain representation of the baseband signal.
10. The method of claim 9 , wherein the time-domain representation of the reconstructed signal is obtained to represent segments of the reconstructed signal that vary in length.
11. The method of claim 10 that comprises applying a time-domain aliasing cancellation synthesis transform to obtain the time-domain representation of the reconstructed signal.
12. The method of claim 9 that comprises adapting the translation of spectral components by changing which spectral components that are translated or by changing the frequency amount by which spectral components are translated, wherein the frequency-domain representation of the baseband signal is arranged in blocks and the translation of spectral components is adapted when the regenerated spectral components that result from the adapted translation are deemed to be inaudible.
13. The method of claim 9 that obtains the noise signal in such a manner that its spectral components have magnitudes that vary substantially inversely with frequency.
14. The method of claim 9 that comprises:
obtaining the reconstructed signal by combining the spectral components of the adjusted regenerated signal and the spectral components in the frequency-domain representation of the baseband signal; and
obtaining the time-domain representation of the reconstructed signal by applying a synthesis filterbank to the reconstructed signal.
15. The method of claim 9 that comprises:
obtaining a time-domain representation of the baseband signal by applying a first synthesis filterbank to the frequency-domain representation of the baseband signal;
obtaining a time-domain representation of the adjusted regenerated signal by applying a second synthesis filterbank to the adjusted regenerated signal; and
obtaining the time-domain representation of the reconstructed signal such that it represents a combination of the time-domain representation of the baseband signal and the time-domain representation of the adjusted regenerated signal.
16. The method of claim 15 that comprises:
modifying the time-domain representation of the adjusted regenerated signal according to an estimated temporal envelope obtained from the data; and
obtaining the reconstructed signal by combining the time-domain representation of the baseband signal and the modified time-domain representation of the adjusted regenerated signal.
17. The method of claim 16 that comprises:
modifying the time-domain representation of the baseband signal according to another estimated temporal envelope obtained from the data; and
obtaining the reconstructed signal by combining the modified time-domain representation of the baseband signal and the modified time-domain representation of the adjusted regenerated signal.
18. A method for generating a reconstructed audio signal that comprises:
receiving a signal containing data representing a baseband signal derived from the audio signal, an estimated spectral envelope, an estimated temporal envelope, and a noise-blending parameter;
obtaining from the data a frequency-domain representation of the baseband signal;
obtaining a regenerated signal comprising regenerated spectral components by translating spectral components of the baseband in frequency;
adjusting phase of the regenerated spectral components to maintain phase coherency within the regenerated signal;
obtaining a noise signal in response to the noise-blending parameter;
obtaining an adjusted regenerated signal by adjusting amplitudes of the regenerated spectral components according to the estimated spectral envelope and combining them with the noise signal;
obtaining a time-domain representation of the baseband signal by applying a first synthesis filterbank to the frequency-domain representation of the baseband signal;
obtaining a time-domain representation of the adjusted regenerated signal by applying a second synthesis filterbank to the adjusted regenerated signal and applying modulation according to the estimated temporal envelope; and
obtaining a time-domain representation of the reconstructed signal such that it represents a combination of the time-domain representation of the baseband signal and the modified time-domain representation of the adjusted regenerated signal.
19. A medium readable by a device and conveying one or more programs of instructions for execution by the device to perform a method for processing an audio signal, wherein the method comprises:
obtaining a frequency-domain representation of a baseband signal having some but not all spectral components of the audio signal;
obtaining an estimated spectral envelope of a residual signal having spectral components of the audio signal that are not in the baseband signal;
deriving a noise-blending parameter from a measure of noise content of the residual signal; and
assembling data representing the frequency-domain representation of the baseband signal, the estimated spectral envelope and the noise-blending parameter into an output signal suitable for transmission or storage.
20. The medium of claim 19 , wherein the method comprises:
obtaining a frequency-domain representation of the audio signal; and
obtaining the frequency-domain representation of the baseband signal from a portion of the frequency-domain representation of the audio signal.
21. The medium of claim 19 , wherein the method comprises:
obtaining a plurality of subband signals representing the audio signal;
obtaining the frequency-domain representation of the baseband signal by applying a first analysis filterbank to a first group of one or more subband signals that includes some but not all of the plurality of subband signals; and
obtaining the estimated spectral envelope of the residual signal by analyzing a signal obtained by applying a second analysis filterbank to a second group of one or more subband signals that are not included in the first group of subband signals.
22. The medium of claim 21 , wherein the method comprises:
obtaining a temporally flattened representation of the second group of subband signals by modifying the second group of subband signals according to an inverse of an estimated temporal envelope of the second group of subband signals, wherein the estimated spectral envelope of the residual signal and the noise-blending parameter are obtained in response to the temporally flattened representation of the second group of subband signals; and
assembling data into the output signal that represents the estimated temporal envelope of the second group of subband signals.
23. The medium of claim 22 , wherein the method comprises:
obtaining a temporally flattened representation of the first group of subband signals by modifying the first group of subband signals according to an inverse of an estimated temporal envelope of the first group of subband signals, wherein the frequency-domain representation of the baseband signal is obtained in response to the temporally flattened representation of the first group of subband signals; and
assembling data into the output signal that represents the estimated temporal envelope of the first group of subband signals.
24. A medium readable by a device and conveying one or more programs of instructions for execution by the device to perform a method for processing an audio signal, wherein the method comprises:
obtaining a plurality of subband signals that represent the audio signal;
obtaining a frequency-domain representation of a baseband signal by applying a first analysis filterbank to a first group of one or more subband signals that includes some but not all of the plurality of subband signals;
obtaining a temporally flattened representation of a second group of one or more subband signals that are not included in the first group of subband signals by modifying the second group of subband signals according to an inverse of an estimated temporal envelope of the second group of subband signals;
obtaining an estimated spectral envelope of the temporally flattened representation of the second group of subband signals;
deriving a noise-blending parameter from a measure of noise content of the temporally flattened representation of the second group of subband signals; and
assembling data representing the frequency-domain representation of the baseband signal, the estimated spectral envelope and the noise-blending parameter into an output signal suitable for transmission or storage.
25. A medium readable by a device and conveying one or more programs of instructions for execution by the device to perform a method for generating a reconstructed audio signal, wherein the method comprises:
receiving a signal containing data representing a baseband signal derived from the audio signal, an estimated spectral envelope, and a noise-blending parameter derived from a measure of noise content of the audio signal;
obtaining from the data a frequency-domain representation of the baseband signal;
obtaining a regenerated signal comprising regenerated spectral components by translating spectral components of the baseband in frequency;
adjusting phase of the regenerated spectral components to maintain phase coherency within the regenerated signal;
obtaining an adjusted regenerated signal by obtaining a noise signal in response to the noise-blending parameter, modifying the regenerated signal by adjusting amplitudes of the regenerated spectral components according to the estimated spectral envelope and the noise-blending parameter, and combining the modified regenerated signal with the noise signal; and
obtaining a time-domain representation of the reconstructed signal corresponding to a combination of the spectral components in the adjusted regenerated signal with spectral components in the frequency-domain representation of the baseband signal.
26. The medium of claim 25 , wherein the method obtains the noise signal in such a manner that its spectral components have magnitudes that vary substantially inversely with frequency.
27. The medium of claim 25 , wherein the method comprises:
obtaining the reconstructed signal by combining the spectral components of the adjusted regenerated signal and the spectral components in the frequency-domain representation of the baseband signal; and
obtaining the time-domain representation of the reconstructed signal by applying a synthesis filterbank to the reconstructed signal.
28. The medium of claim 25 , wherein the method comprises:
obtaining a time-domain representation of the baseband signal by applying a first synthesis filterbank to the frequency-domain representation of the baseband signal;
obtaining a time-domain representation of the adjusted regenerated signal by applying a second synthesis filterbank to the adjusted regenerated signal; and
obtaining the time-domain representation of the reconstructed signal such that it represents a combination of the time-domain representation of the baseband signal and the time-domain representation of the adjusted regenerated signal.
29. The medium of claim 28 , wherein the method comprises:
modifying the time-domain representation of the adjusted regenerated signal according to an estimated temporal envelope obtained from the data; and
obtaining the reconstructed signal by combining the time-domain representation of the baseband signal and the modified time-domain representation of the adjusted regenerated signal.
30. The medium of claim 29 , wherein the method comprises:
modifying the time-domain representation of the baseband signal according to another estimated temporal envelope obtained from the data; and
obtaining the reconstructed signal by combining the modified time-domain representation of the baseband signal and the modified time-domain representation of the adjusted regenerated signal.
31. A medium readable by a device and conveying one or more programs of instructions for execution by the device to perform a method for generating a reconstructed audio signal, wherein the method comprises:
receiving a signal containing data representing a baseband signal derived from the audio signal, an estimated spectral envelope, an estimated temporal envelope, and a noise-blending parameter;
obtaining from the data a frequency-domain representation of the baseband signal;
obtaining a regenerated signal comprising regenerated spectral components by translating spectral components of the baseband in frequency;
adjusting phase of the regenerated spectral components to maintain phase coherency within the regenerated signal;
obtaining a noise signal in response to the noise-blending parameter;
obtaining an adjusted regenerated signal by adjusting amplitudes of the regenerated spectral components according to the estimated spectral envelope and combining them with the noise signal;
obtaining a time-domain representation of the baseband signal by applying a first synthesis filterbank to the frequency-domain representation of the baseband signal;
obtaining a time-domain representation of the adjusted regenerated signal by applying a second synthesis filterbank to the adjusted regenerated signal and applying modulation according to the estimated temporal envelope; and
obtaining a time-domain representation of the reconstructed signal such that it represents a combination of the time-domain representation of the baseband signal and the modified time-domain representation of the adjusted regenerated signal.
32. A medium conveying an output signal generated by a method for processing an audio signal, wherein the method comprises:
obtaining a frequency-domain representation of a baseband signal having some but not all spectral components of the audio signal;
obtaining an estimated spectral envelope of a residual signal having spectral components of the audio signal that are not in the baseband signal;
deriving a noise-blending parameter from a measure of noise content of the residual signal; and
assembling data representing the frequency-domain representation of the baseband signal, the estimated spectral envelope and the noise-blending parameter into the output signal conveyed by the medium.
33. The medium of claim 32 , wherein the method comprises:
obtaining a temporally flattened representation of at least a portion of the audio signal that is temporally flattened according to an inverse of an estimated temporal envelope, wherein the estimated spectral envelope and the noise-blending parameter are obtained in response to the temporally flattened representation; and
assembling data into the output signal that represents the estimated temporal envelope.
Priority Applications (44)
| Application Number | Priority Date | Filing Date | Title |
|---|---|---|---|
| US10/113,858 US20030187663A1 (en) | 2002-03-28 | 2002-03-28 | Broadband frequency translation for high frequency regeneration |
| TW092104947A TWI319180B (en) | 2002-03-28 | 2003-03-07 | Broadband frequency translation for high frequency regeneration |
| SG200606723-5A SG153658A1 (en) | 2002-03-28 | 2003-03-21 | Reconstruction of the spectrum of an audiosignal with incomplete spectrum based on frequency translation |
| SG2009012824A SG173224A1 (en) | 2002-03-28 | 2003-03-21 | Reconstruction of the spectrum of an audiosignal with incomplete spectrum based on frequency translation |
| SG10201710911VA SG10201710911VA (en) | 2002-03-28 | 2003-03-21 | Reconstruction of the spectrum of an audiosignal with incomplete spectrum based on frequency translation |
| EP03733840A EP1488414A1 (en) | 2002-03-28 | 2003-03-21 | Reconstruction of the spectrum of an audiosignal with incomplete spectrum based on frequency translation |
| SI200332022T SI2194528T1 (en) | 2002-03-28 | 2003-03-21 | Reconstruction of the spectrum of an audiosignal with incomplete spectrum based on frequency translation |
| HK05110368.8A HK1078673B (en) | 2002-03-28 | 2003-03-21 | Method and apparatus for processing an audio signal, generating a reconstructed audio signal and medium |
| JP2003581173A JP4345890B2 (en) | 2002-03-28 | 2003-03-21 | Spectrum reconstruction based on frequency transform of audio signal with imperfect spectrum |
| MXPA04009408A MXPA04009408A (en) | 2002-03-28 | 2003-03-21 | Reconstruction of the spectrum of an audiosignal with incomplete spectrum based on frequency translation. |
| SG10201710917UA SG10201710917UA (en) | 2002-03-28 | 2003-03-21 | Reconstruction of the spectrum of an audiosignal with incomplete spectrum based on frequency translation |
| EP10155626A EP2194528B1 (en) | 2002-03-28 | 2003-03-21 | Reconstruction of the spectrum of an audiosignal with incomplete spectrum based on frequency translation |
| CA2475460A CA2475460C (en) | 2002-03-28 | 2003-03-21 | Reconstruction of the spectrum of an audiosignal with incomplete spectrum based on frequency translation |
| AU2003239126A AU2003239126B2 (en) | 2002-03-28 | 2003-03-21 | Reconstruction of the spectrum of an audiosignal with incomplete spectrum based on frequency translation |
| PL371410A PL208846B1 (en) | 2002-03-28 | 2003-03-21 | Reconstruction of the spectrum of an audiosignal with incomplete spectrum based on frequency translation |
| KR1020047012465A KR101005731B1 (en) | 2002-03-28 | 2003-03-21 | Method and apparatus for recovering spectrum of audio signal with incomplete spectrum based on frequency conversion |
| SG10201710915PA SG10201710915PA (en) | 2002-03-28 | 2003-03-21 | Reconstruction of the spectrum of an audiosignal with incomplete spectrum based on frequency translation |
| CNB03805096XA CN100338649C (en) | 2002-03-28 | 2003-03-21 | Method, device and medium for processing audio signals and generating reconstructed audio signals |
| SG2013057666A SG2013057666A (en) | 2002-03-28 | 2003-03-21 | Reconstruction of the spectrum of an audiosignal with incomplete spectrum based on frequency translation |
| AT10155626T ATE511180T1 (en) | 2002-03-28 | 2003-03-21 | RECONSTRUCTION OF THE SPECTRUM OF AN AUDIO SIGNAL WITH INCOMPLETE SPECTRUM BASED ON FREQUENCY CONVERSION |
| PCT/US2003/008895 WO2003083834A1 (en) | 2002-03-28 | 2003-03-21 | Reconstruction of the spectrum of an audiosignal with incomplete spectrum based on frequency translation |
| SG10201710913TA SG10201710913TA (en) | 2002-03-28 | 2003-03-21 | Reconstruction of the spectrum of an audiosignal with incomplete spectrum based on frequency translation |
| CN2007101373998A CN101093670B (en) | 2002-03-28 | 2003-03-21 | Method used to generate reconstructed signal |
| SG10201710912WA SG10201710912WA (en) | 2002-03-28 | 2003-03-21 | Reconstruction of the spectrum of an audiosignal with incomplete spectrum based on frequency translation |
| MYPI20031138A MY140567A (en) | 2002-03-28 | 2003-03-27 | Broadband frequency translation for high frequency regeneration |
| HK08103939.0A HK1114233B (en) | 2002-03-28 | 2008-04-09 | A method for generating a reconstructed signal |
| US12/391,936 US8126709B2 (en) | 2002-03-28 | 2009-02-24 | Broadband frequency translation for high frequency regeneration |
| US13/357,545 US8285543B2 (en) | 2002-03-28 | 2012-01-24 | Circular frequency translation with noise blending |
| US13/601,182 US8457956B2 (en) | 2002-03-28 | 2012-08-31 | Reconstructing an audio signal by spectral component regeneration and noise blending |
| US13/906,994 US9177564B2 (en) | 2002-03-28 | 2013-05-31 | Reconstructing an audio signal by spectral component regeneration and noise blending |
| US14/709,109 US9324328B2 (en) | 2002-03-28 | 2015-05-11 | Reconstructing an audio signal with a noise parameter |
| US14/735,663 US9343071B2 (en) | 2002-03-28 | 2015-06-10 | Reconstructing an audio signal with a noise parameter |
| US15/098,459 US9412389B1 (en) | 2002-03-28 | 2016-04-14 | High frequency regeneration of an audio signal by copying in a circular manner |
| US15/098,472 US9412383B1 (en) | 2002-03-28 | 2016-04-14 | High frequency regeneration of an audio signal by copying in a circular manner |
| US15/133,367 US9412388B1 (en) | 2002-03-28 | 2016-04-20 | High frequency regeneration of an audio signal with temporal shaping |
| US15/203,528 US9466306B1 (en) | 2002-03-28 | 2016-07-06 | High frequency regeneration of an audio signal with temporal shaping |
| US15/258,415 US9548060B1 (en) | 2002-03-28 | 2016-09-07 | High frequency regeneration of an audio signal with temporal shaping |
| US15/370,085 US9653085B2 (en) | 2002-03-28 | 2016-12-06 | Reconstructing an audio signal having a baseband and high frequency components above the baseband |
| US15/425,827 US9704496B2 (en) | 2002-03-28 | 2017-02-06 | High frequency regeneration of an audio signal with phase adjustment |
| US15/473,808 US9767816B2 (en) | 2002-03-28 | 2017-03-30 | High frequency regeneration of an audio signal with phase adjustment |
| US15/702,451 US9947328B2 (en) | 2002-03-28 | 2017-09-12 | Methods, apparatus and systems for determining reconstructed audio signal |
| US15/921,859 US10269362B2 (en) | 2002-03-28 | 2018-03-15 | Methods, apparatus and systems for determining reconstructed audio signal |
| US16/268,448 US10529347B2 (en) | 2002-03-28 | 2019-02-05 | Methods, apparatus and systems for determining reconstructed audio signal |
| US16/735,328 US20200143817A1 (en) | 2002-03-28 | 2020-01-06 | Methods, Apparatus and Systems for Determining Reconstructed Audio Signal |
Applications Claiming Priority (1)
| Application Number | Priority Date | Filing Date | Title |
|---|---|---|---|
| US10/113,858 US20030187663A1 (en) | 2002-03-28 | 2002-03-28 | Broadband frequency translation for high frequency regeneration |
Related Child Applications (1)
| Application Number | Title | Priority Date | Filing Date |
|---|---|---|---|
| US12/391,936 Continuation US8126709B2 (en) | 2002-03-28 | 2009-02-24 | Broadband frequency translation for high frequency regeneration |
Publications (1)
| Publication Number | Publication Date |
|---|---|
| US20030187663A1 true US20030187663A1 (en) | 2003-10-02 |
Family
ID=28453693
Family Applications (19)
| Application Number | Title | Priority Date | Filing Date |
|---|---|---|---|
| US10/113,858 Abandoned US20030187663A1 (en) | 2002-03-28 | 2002-03-28 | Broadband frequency translation for high frequency regeneration |
| US12/391,936 Expired - Fee Related US8126709B2 (en) | 2002-03-28 | 2009-02-24 | Broadband frequency translation for high frequency regeneration |
| US13/357,545 Expired - Fee Related US8285543B2 (en) | 2002-03-28 | 2012-01-24 | Circular frequency translation with noise blending |
| US13/601,182 Expired - Fee Related US8457956B2 (en) | 2002-03-28 | 2012-08-31 | Reconstructing an audio signal by spectral component regeneration and noise blending |
| US13/906,994 Expired - Fee Related US9177564B2 (en) | 2002-03-28 | 2013-05-31 | Reconstructing an audio signal by spectral component regeneration and noise blending |
| US14/709,109 Expired - Fee Related US9324328B2 (en) | 2002-03-28 | 2015-05-11 | Reconstructing an audio signal with a noise parameter |
| US14/735,663 Expired - Fee Related US9343071B2 (en) | 2002-03-28 | 2015-06-10 | Reconstructing an audio signal with a noise parameter |
| US15/098,472 Expired - Fee Related US9412383B1 (en) | 2002-03-28 | 2016-04-14 | High frequency regeneration of an audio signal by copying in a circular manner |
| US15/098,459 Expired - Fee Related US9412389B1 (en) | 2002-03-28 | 2016-04-14 | High frequency regeneration of an audio signal by copying in a circular manner |
| US15/133,367 Expired - Fee Related US9412388B1 (en) | 2002-03-28 | 2016-04-20 | High frequency regeneration of an audio signal with temporal shaping |
| US15/203,528 Expired - Fee Related US9466306B1 (en) | 2002-03-28 | 2016-07-06 | High frequency regeneration of an audio signal with temporal shaping |
| US15/258,415 Expired - Fee Related US9548060B1 (en) | 2002-03-28 | 2016-09-07 | High frequency regeneration of an audio signal with temporal shaping |
| US15/370,085 Expired - Fee Related US9653085B2 (en) | 2002-03-28 | 2016-12-06 | Reconstructing an audio signal having a baseband and high frequency components above the baseband |
| US15/425,827 Expired - Fee Related US9704496B2 (en) | 2002-03-28 | 2017-02-06 | High frequency regeneration of an audio signal with phase adjustment |
| US15/473,808 Expired - Fee Related US9767816B2 (en) | 2002-03-28 | 2017-03-30 | High frequency regeneration of an audio signal with phase adjustment |
| US15/702,451 Expired - Lifetime US9947328B2 (en) | 2002-03-28 | 2017-09-12 | Methods, apparatus and systems for determining reconstructed audio signal |
| US15/921,859 Expired - Fee Related US10269362B2 (en) | 2002-03-28 | 2018-03-15 | Methods, apparatus and systems for determining reconstructed audio signal |
| US16/268,448 Expired - Fee Related US10529347B2 (en) | 2002-03-28 | 2019-02-05 | Methods, apparatus and systems for determining reconstructed audio signal |
| US16/735,328 Abandoned US20200143817A1 (en) | 2002-03-28 | 2020-01-06 | Methods, Apparatus and Systems for Determining Reconstructed Audio Signal |
Family Applications After (18)
| Application Number | Title | Priority Date | Filing Date |
|---|---|---|---|
| US12/391,936 Expired - Fee Related US8126709B2 (en) | 2002-03-28 | 2009-02-24 | Broadband frequency translation for high frequency regeneration |
| US13/357,545 Expired - Fee Related US8285543B2 (en) | 2002-03-28 | 2012-01-24 | Circular frequency translation with noise blending |
| US13/601,182 Expired - Fee Related US8457956B2 (en) | 2002-03-28 | 2012-08-31 | Reconstructing an audio signal by spectral component regeneration and noise blending |
| US13/906,994 Expired - Fee Related US9177564B2 (en) | 2002-03-28 | 2013-05-31 | Reconstructing an audio signal by spectral component regeneration and noise blending |
| US14/709,109 Expired - Fee Related US9324328B2 (en) | 2002-03-28 | 2015-05-11 | Reconstructing an audio signal with a noise parameter |
| US14/735,663 Expired - Fee Related US9343071B2 (en) | 2002-03-28 | 2015-06-10 | Reconstructing an audio signal with a noise parameter |
| US15/098,472 Expired - Fee Related US9412383B1 (en) | 2002-03-28 | 2016-04-14 | High frequency regeneration of an audio signal by copying in a circular manner |
| US15/098,459 Expired - Fee Related US9412389B1 (en) | 2002-03-28 | 2016-04-14 | High frequency regeneration of an audio signal by copying in a circular manner |
| US15/133,367 Expired - Fee Related US9412388B1 (en) | 2002-03-28 | 2016-04-20 | High frequency regeneration of an audio signal with temporal shaping |
| US15/203,528 Expired - Fee Related US9466306B1 (en) | 2002-03-28 | 2016-07-06 | High frequency regeneration of an audio signal with temporal shaping |
| US15/258,415 Expired - Fee Related US9548060B1 (en) | 2002-03-28 | 2016-09-07 | High frequency regeneration of an audio signal with temporal shaping |
| US15/370,085 Expired - Fee Related US9653085B2 (en) | 2002-03-28 | 2016-12-06 | Reconstructing an audio signal having a baseband and high frequency components above the baseband |
| US15/425,827 Expired - Fee Related US9704496B2 (en) | 2002-03-28 | 2017-02-06 | High frequency regeneration of an audio signal with phase adjustment |
| US15/473,808 Expired - Fee Related US9767816B2 (en) | 2002-03-28 | 2017-03-30 | High frequency regeneration of an audio signal with phase adjustment |
| US15/702,451 Expired - Lifetime US9947328B2 (en) | 2002-03-28 | 2017-09-12 | Methods, apparatus and systems for determining reconstructed audio signal |
| US15/921,859 Expired - Fee Related US10269362B2 (en) | 2002-03-28 | 2018-03-15 | Methods, apparatus and systems for determining reconstructed audio signal |
| US16/268,448 Expired - Fee Related US10529347B2 (en) | 2002-03-28 | 2019-02-05 | Methods, apparatus and systems for determining reconstructed audio signal |
| US16/735,328 Abandoned US20200143817A1 (en) | 2002-03-28 | 2020-01-06 | Methods, Apparatus and Systems for Determining Reconstructed Audio Signal |
Country Status (15)
| Country | Link |
|---|---|
| US (19) | US20030187663A1 (en) |
| EP (2) | EP2194528B1 (en) |
| JP (1) | JP4345890B2 (en) |
| KR (1) | KR101005731B1 (en) |
| CN (2) | CN101093670B (en) |
| AT (1) | ATE511180T1 (en) |
| AU (1) | AU2003239126B2 (en) |
| CA (1) | CA2475460C (en) |
| MX (1) | MXPA04009408A (en) |
| MY (1) | MY140567A (en) |
| PL (1) | PL208846B1 (en) |
| SG (8) | SG10201710913TA (en) |
| SI (1) | SI2194528T1 (en) |
| TW (1) | TWI319180B (en) |
| WO (1) | WO2003083834A1 (en) |
Cited By (95)
| Publication number | Priority date | Publication date | Assignee | Title |
|---|---|---|---|---|
| US20030026441A1 (en) * | 2001-05-04 | 2003-02-06 | Christof Faller | Perceptual synthesis of auditory scenes |
| US20030035553A1 (en) * | 2001-08-10 | 2003-02-20 | Frank Baumgarte | Backwards-compatible perceptual coding of spatial cues |
| US20030158726A1 (en) * | 2000-04-18 | 2003-08-21 | Pierrick Philippe | Spectral enhancing method and device |
| US20030236583A1 (en) * | 2002-06-24 | 2003-12-25 | Frank Baumgarte | Hybrid multi-channel/cue coding/decoding of audio signals |
| US20040138876A1 (en) * | 2003-01-10 | 2004-07-15 | Nokia Corporation | Method and apparatus for artificial bandwidth expansion in speech processing |
| EP1482482A1 (en) * | 2003-05-27 | 2004-12-01 | Siemens Aktiengesellschaft | Frequency expansion for Synthesiser |
| US20050004793A1 (en) * | 2003-07-03 | 2005-01-06 | Pasi Ojala | Signal adaptation for higher band coding in a codec utilizing band split coding |
| US20050058304A1 (en) * | 2001-05-04 | 2005-03-17 | Frank Baumgarte | Cue-based audio coding/decoding |
| US20050180579A1 (en) * | 2004-02-12 | 2005-08-18 | Frank Baumgarte | Late reverberation-based synthesis of auditory scenes |
| US20050195981A1 (en) * | 2004-03-04 | 2005-09-08 | Christof Faller | Frequency-based coding of channels in parametric multi-channel coding systems |
| US20050256723A1 (en) * | 2004-05-14 | 2005-11-17 | Mansour Mohamed F | Efficient filter bank computation for audio coding |
| WO2006003550A1 (en) * | 2004-06-28 | 2006-01-12 | Koninklijke Philips Electronics N.V. | Wireless audio |
| WO2006018748A1 (en) * | 2004-08-17 | 2006-02-23 | Koninklijke Philips Electronics N.V. | Scalable audio coding |
| US20060085200A1 (en) * | 2004-10-20 | 2006-04-20 | Eric Allamanche | Diffuse sound shaping for BCC schemes and the like |
| US20060083385A1 (en) * | 2004-10-20 | 2006-04-20 | Eric Allamanche | Individual channel shaping for BCC schemes and the like |
| US20060115100A1 (en) * | 2004-11-30 | 2006-06-01 | Christof Faller | Parametric coding of spatial audio with cues based on transmitted channels |
| US20060153408A1 (en) * | 2005-01-10 | 2006-07-13 | Christof Faller | Compact side information for parametric coding of spatial audio |
| WO2006108543A1 (en) * | 2005-04-15 | 2006-10-19 | Coding Technologies Ab | Temporal envelope shaping of decorrelated signal |
| US20060293016A1 (en) * | 2005-06-28 | 2006-12-28 | Harman Becker Automotive Systems, Wavemakers, Inc. | Frequency extension of harmonic signals |
| US20070094015A1 (en) * | 2005-09-22 | 2007-04-26 | Georges Samake | Audio codec using the Fast Fourier Transform, the partial overlap and a decomposition in two plans based on the energy. |
| US20070129036A1 (en) * | 2005-11-28 | 2007-06-07 | Samsung Electronics Co., Ltd. | Method and apparatus to reconstruct a high frequency component |
| WO2007107670A3 (en) * | 2006-03-20 | 2007-11-08 | France Telecom | Method for post-processing a signal in an audio decoder |
| US20080027733A1 (en) * | 2004-05-14 | 2008-01-31 | Matsushita Electric Industrial Co., Ltd. | Encoding Device, Decoding Device, and Method Thereof |
| US20080033731A1 (en) * | 2004-08-25 | 2008-02-07 | Dolby Laboratories Licensing Corporation | Temporal envelope shaping for spatial audio coding using frequency domain wiener filtering |
| US20080076374A1 (en) * | 2006-09-25 | 2008-03-27 | Avraham Grenader | System and method for filtering of angle modulated signals |
| US20080120095A1 (en) * | 2006-11-17 | 2008-05-22 | Samsung Electronics Co., Ltd. | Method and apparatus to encode and/or decode audio and/or speech signal |
| US20080126102A1 (en) * | 2006-11-24 | 2008-05-29 | Fujitsu Limited | Decoding apparatus and decoding method |
| US20080126104A1 (en) * | 2004-08-25 | 2008-05-29 | Dolby Laboratories Licensing Corporation | Multichannel Decorrelation In Spatial Audio Coding |
| EP1947644A1 (en) * | 2007-01-18 | 2008-07-23 | Harman Becker Automotive Systems GmbH | Method and apparatus for providing an acoustic signal with extended band-width |
| US20080281588A1 (en) * | 2005-03-01 | 2008-11-13 | Japan Advanced Institute Of Science And Technology | Speech processing method and apparatus, storage medium, and speech system |
| US20080288262A1 (en) * | 2006-11-24 | 2008-11-20 | Fujitsu Limited | Decoding apparatus and decoding method |
| US7461003B1 (en) * | 2003-10-22 | 2008-12-02 | Tellabs Operations, Inc. | Methods and apparatus for improving the quality of speech signals |
| US20090129503A1 (en) * | 2005-06-29 | 2009-05-21 | Kyocera Corporation | Communication Device, Communication System, and Modulation Method |
| US20090144062A1 (en) * | 2007-11-29 | 2009-06-04 | Motorola, Inc. | Method and Apparatus to Facilitate Provision and Use of an Energy Value to Determine a Spectral Envelope Shape for Out-of-Signal Bandwidth Content |
| US20090150161A1 (en) * | 2004-11-30 | 2009-06-11 | Agere Systems Inc. | Synchronizing parametric coding of spatial audio with externally provided downmix |
| US20090157411A1 (en) * | 2006-09-29 | 2009-06-18 | Dong Soo Kim | Methods and apparatuses for encoding and decoding object-based audio signals |
| US20090198498A1 (en) * | 2008-02-01 | 2009-08-06 | Motorola, Inc. | Method and Apparatus for Estimating High-Band Energy in a Bandwidth Extension System |
| US7636659B1 (en) | 2003-12-01 | 2009-12-22 | The Trustees Of Columbia University In The City Of New York | Computer-implemented methods and systems for modeling and recognition of speech |
| US20100049342A1 (en) * | 2008-08-21 | 2010-02-25 | Motorola, Inc. | Method and Apparatus to Facilitate Determining Signal Bounding Frequencies |
| US7685218B2 (en) | 2001-04-10 | 2010-03-23 | Dolby Laboratories Licensing Corporation | High frequency signal construction method and apparatus |
| US20100094638A1 (en) * | 2007-11-21 | 2010-04-15 | Tae-Jin Lee | Apparatus and method for deciding adaptive noise level for bandwidth extension |
| EP2207169A1 (en) | 2002-06-17 | 2010-07-14 | Dolby Laboratories Licensing Corporation | System for audio decoding with filling of spectral holes |
| US20100198587A1 (en) * | 2009-02-04 | 2010-08-05 | Motorola, Inc. | Bandwidth Extension Method and Apparatus for a Modified Discrete Cosine Transform Audio Coder |
| US20100241437A1 (en) * | 2007-08-27 | 2010-09-23 | Telefonaktiebolaget Lm Ericsson (Publ) | Method and device for noise filling |
| CN101237317B (en) * | 2006-11-27 | 2010-09-29 | 华为技术有限公司 | Method and device for determining transmission spectrum |
| US20100250261A1 (en) * | 2007-11-06 | 2010-09-30 | Lasse Laaksonen | Encoder |
| US20100274555A1 (en) * | 2007-11-06 | 2010-10-28 | Lasse Laaksonen | Audio Coding Apparatus and Method Thereof |
| WO2010136459A1 (en) * | 2009-05-27 | 2010-12-02 | Dolby International Ab | Efficient combined harmonic transposition |
| WO2011047887A1 (en) * | 2009-10-21 | 2011-04-28 | Dolby International Ab | Oversampling in a combined transposer filter bank |
| US20110112844A1 (en) * | 2008-02-07 | 2011-05-12 | Motorola, Inc. | Method and apparatus for estimating high-band energy in a bandwidth extension system |
| WO2011110499A1 (en) * | 2010-03-09 | 2011-09-15 | Fraunhofer-Gesellschaft Zur Foerderung Der Angewandten Forschung E.V. | Apparatus and method for processing an audio signal using patch border alignment |
| US20110261908A1 (en) * | 2010-04-27 | 2011-10-27 | Industrial Technology Research Institute | Soft demapping method and apparatus and communication system thereof |
| EP1921610A3 (en) * | 2006-11-09 | 2011-11-30 | Sony Corporation | Frequency band extending apparatus, frequency band extending method, player apparatus, playing method, program and recording medium |
| US20110320211A1 (en) * | 2008-12-31 | 2011-12-29 | Liu Zexin | Method and apparatus for processing signal |
| WO2012095700A1 (en) * | 2011-01-12 | 2012-07-19 | Nokia Corporation | An audio encoder/decoder apparatus |
| US8340306B2 (en) | 2004-11-30 | 2012-12-25 | Agere Systems Llc | Parametric coding of spatial audio with object-based side information |
| US20130041673A1 (en) * | 2010-04-16 | 2013-02-14 | Fraunhofer-Gesellschaft Zur Foerderung Der Angewandten Forschung E.V. | Apparatus, method and computer program for generating a wideband signal using guided bandwidth extension and blind bandwidth extension |
| US20130124214A1 (en) * | 2010-08-03 | 2013-05-16 | Yuki Yamamoto | Signal processing apparatus and method, and program |
| WO2013066238A3 (en) * | 2011-11-02 | 2013-08-01 | Telefonaktiebolaget L M Ericsson (Publ) | Generation of a high band extension of a bandwidth extended audio signal |
| EP2631906A1 (en) * | 2012-02-27 | 2013-08-28 | Fraunhofer-Gesellschaft zur Förderung der angewandten Forschung e.V. | Phase coherence control for harmonic signals in perceptual audio codecs |
| US8655649B2 (en) | 2009-04-03 | 2014-02-18 | Ntt Docomo, Inc. | Speech encoding/decoding device |
| EP2555193A4 (en) * | 2010-03-31 | 2014-04-30 | Sony Corp | DECODING APPARATUS, DECODING METHOD, ENCODING APPARATUS, ENCODING METHOD, AND PROGRAM |
| US20150012282A1 (en) * | 2013-07-03 | 2015-01-08 | Ear Machine LLC | Processing Multichannel Audio Signals |
| CN104318928A (en) * | 2010-01-19 | 2015-01-28 | 杜比国际公司 | Subband processing unit and method for generating synthesis subband signal |
| US20150051904A1 (en) * | 2012-04-27 | 2015-02-19 | Ntt Docomo, Inc. | Audio decoding device, audio coding device, audio decoding method, audio coding method, audio decoding program, and audio coding program |
| US20150194157A1 (en) * | 2014-01-06 | 2015-07-09 | Nvidia Corporation | System, method, and computer program product for artifact reduction in high-frequency regeneration audio signals |
| US9203367B2 (en) | 2010-02-26 | 2015-12-01 | Fraunhofer-Gesellschaft Zur Foerderung Der Angewandten Forschung E.V. | Apparatus and method for modifying an audio signal using harmonic locking |
| US9240196B2 (en) | 2010-03-09 | 2016-01-19 | Fraunhofer-Gesellschaft Zur Foerderung Der Angewandten Forschung E.V. | Apparatus and method for handling transient sound events in audio signals when changing the replay speed or pitch |
| CN105340010A (en) * | 2013-06-10 | 2016-02-17 | 弗朗霍夫应用科学研究促进协会 | Apparatus and method for audio signal envelope encoding, processing and decoding by splitting the audio signal envelope employing distribution quantization and coding |
| US20160055854A1 (en) * | 2013-03-29 | 2016-02-25 | Dolby Laboratories Licensing Corporation | Methods and Apparatuses for Generating and Using Low-Resolution Preview Tracks with High-Quality Encoded Object and Multichannel Audio Signals |
| US9318127B2 (en) | 2010-03-09 | 2016-04-19 | Fraunhofer-Gesellschaft Zur Foerderung Der Angewandten Forschung E.V. | Device and method for improved magnitude response and temporal alignment in a phase vocoder based bandwidth extension method for audio signals |
| US9390717B2 (en) | 2011-08-24 | 2016-07-12 | Sony Corporation | Encoding device and method, decoding device and method, and program |
| US9406312B2 (en) | 2010-04-13 | 2016-08-02 | Sony Corporation | Signal processing apparatus and signal processing method, encoder and encoding method, decoder and decoding method, and program |
| US9583112B2 (en) | 2010-04-13 | 2017-02-28 | Sony Corporation | Signal processing apparatus and signal processing method, encoder and encoding method, decoder and decoding method, and program |
| US9659573B2 (en) | 2010-04-13 | 2017-05-23 | Sony Corporation | Signal processing apparatus and signal processing method, encoder and encoding method, decoder and decoding method, and program |
| US9691410B2 (en) | 2009-10-07 | 2017-06-27 | Sony Corporation | Frequency band extending device and method, encoding device and method, decoding device and method, and program |
| US9767824B2 (en) | 2010-10-15 | 2017-09-19 | Sony Corporation | Encoding device and method, decoding device and method, and program |
| US20170330584A1 (en) * | 2016-05-10 | 2017-11-16 | JVC Kenwood Corporation | Encoding device, decoding device, and communication system for extending voice band |
| CN107545900A (en) * | 2017-08-16 | 2018-01-05 | 广州广晟数码技术有限公司 | Bandwidth extension encoding and the method and apparatus of decoding medium-high frequency string signal generation |
| US9875746B2 (en) | 2013-09-19 | 2018-01-23 | Sony Corporation | Encoding device and method, decoding device and method, and program |
| EP2923355B1 (en) * | 2012-11-26 | 2018-07-04 | Harman International Industries, Inc. | System, computer-readable storage medium and method for repair of compressed audio signals |
| US10157624B2 (en) | 2013-08-23 | 2018-12-18 | Fraunhofer-Gesellschaft Zur Foerderung Der Angewandten Forschung E.V. | Apparatus and method for processing an audio signal using a combination in an overlap range |
| WO2019081089A1 (en) * | 2017-10-27 | 2019-05-02 | Fraunhofer-Gesellschaft zur Förderung der angewandten Forschung e.V. | Noise attenuation at a decoder |
| US10283122B2 (en) | 2010-07-19 | 2019-05-07 | Dolby International Ab | Processing of audio signals during high frequency reconstruction |
| CN110299147A (en) * | 2013-06-21 | 2019-10-01 | 弗朗霍夫应用科学研究促进协会 | For the device and method of improvement signal fadeout of the suitching type audio coding system in error concealment procedure |
| US10692511B2 (en) | 2013-12-27 | 2020-06-23 | Sony Corporation | Decoding apparatus and method, and program |
| US10734008B2 (en) | 2013-06-10 | 2020-08-04 | Fraunhofer-Gesellschaft zur Förderung der angewandten Forschung e.V. | Apparatus and method for audio signal envelope encoding, processing, and decoding by modelling a cumulative sum representation employing distribution quantization and coding |
| CN111554310A (en) * | 2013-07-22 | 2020-08-18 | 弗劳恩霍夫应用研究促进协会 | Apparatus and method for encoding or decoding an audio signal with intelligent gap filling in the spectral domain |
| USRE48210E1 (en) * | 2004-01-27 | 2020-09-15 | Dolby Laboratories Licensing Corporation | Coding techniques using estimated spectral magnitude and phase derived from MDCT coefficients |
| US20210110836A1 (en) * | 2007-08-27 | 2021-04-15 | Telefonaktiebolaget Lm Ericsson (Publ) | Adaptive transition frequency between noise fill and bandwidth extension |
| US11657788B2 (en) | 2009-05-27 | 2023-05-23 | Dolby International Ab | Efficient combined harmonic transposition |
| US12002476B2 (en) | 2010-07-19 | 2024-06-04 | Dolby International Ab | Processing of audio signals during high frequency reconstruction |
| US12046247B2 (en) | 2017-12-21 | 2024-07-23 | Dolby Laboratories Licensing Corporation | Selective forward error correction for spatial audio codecs |
| EP4394766A4 (en) * | 2022-06-15 | 2025-01-22 | Tencent Technology (Shenzhen) Company Limited | AUDIO PROCESSING METHOD AND APPARATUS AS WELL AS ELECTRONIC DEVICE, COMPUTER-READABLE STORAGE MEDIUM AND COMPUTER PROGRAM PRODUCT |
| AU2025201819B2 (en) * | 2010-01-19 | 2025-09-04 | Dolby International Ab | Improved Subband Block Based Harmonic Transposition |
Families Citing this family (72)
| Publication number | Priority date | Publication date | Assignee | Title |
|---|---|---|---|---|
| US20030187663A1 (en) | 2002-03-28 | 2003-10-02 | Truman Michael Mead | Broadband frequency translation for high frequency regeneration |
| DE602004029786D1 (en) | 2003-06-30 | 2010-12-09 | Koninkl Philips Electronics Nv | IMPROVING THE QUALITY OF DECODED AUDIO BY ADDING NOISE |
| US6984403B2 (en) | 2003-12-04 | 2006-01-10 | Pfizer Inc. | Azithromycin dosage forms with reduced side effects |
| DE102004021403A1 (en) * | 2004-04-30 | 2005-11-24 | Fraunhofer-Gesellschaft zur Förderung der angewandten Forschung e.V. | Information signal processing by modification in the spectral / modulation spectral range representation |
| CN101873266B (en) | 2004-08-30 | 2015-11-25 | 高通股份有限公司 | For the adaptive de-jitter buffer of voice IP transmission |
| US8085678B2 (en) | 2004-10-13 | 2011-12-27 | Qualcomm Incorporated | Media (voice) playback (de-jitter) buffer adjustments based on air interface |
| US8355907B2 (en) * | 2005-03-11 | 2013-01-15 | Qualcomm Incorporated | Method and apparatus for phase matching frames in vocoders |
| US8155965B2 (en) | 2005-03-11 | 2012-04-10 | Qualcomm Incorporated | Time warping frames inside the vocoder by modifying the residual |
| DE102005032724B4 (en) | 2005-07-13 | 2009-10-08 | Siemens Ag | Method and device for artificially expanding the bandwidth of speech signals |
| JP5034228B2 (en) * | 2005-11-30 | 2012-09-26 | 株式会社Jvcケンウッド | Interpolation device, sound reproduction device, interpolation method and interpolation program |
| US8126706B2 (en) * | 2005-12-09 | 2012-02-28 | Acoustic Technologies, Inc. | Music detector for echo cancellation and noise reduction |
| EP2143101B1 (en) * | 2007-03-30 | 2020-03-11 | Electronics and Telecommunications Research Institute | Apparatus and method for coding and decoding multi object audio signal with multi channel |
| KR20090110244A (en) * | 2008-04-17 | 2009-10-21 | 삼성전자주식회사 | Method and apparatus for encoding / decoding audio signal using audio semantic information |
| US8005152B2 (en) | 2008-05-21 | 2011-08-23 | Samplify Systems, Inc. | Compression of baseband signals in base transceiver systems |
| USRE47180E1 (en) * | 2008-07-11 | 2018-12-25 | Fraunhofer-Gesellschaft Zur Foerderung Der Angewandten Forschung E.V. | Apparatus and method for generating a bandwidth extended signal |
| CN101727906B (en) * | 2008-10-29 | 2012-02-01 | 华为技术有限公司 | Method and device for coding and decoding of high-frequency band signals |
| JP5387076B2 (en) * | 2009-03-17 | 2014-01-15 | ヤマハ株式会社 | Sound processing apparatus and program |
| EP2239732A1 (en) | 2009-04-09 | 2010-10-13 | Fraunhofer-Gesellschaft zur Förderung der Angewandten Forschung e.V. | Apparatus and method for generating a synthesis audio signal and for encoding an audio signal |
| RU2452044C1 (en) | 2009-04-02 | 2012-05-27 | Фраунхофер-Гезелльшафт цур Фёрдерунг дер ангевандтен Форшунг Е.Ф. | Apparatus, method and media with programme code for generating representation of bandwidth-extended signal on basis of input signal representation using combination of harmonic bandwidth-extension and non-harmonic bandwidth-extension |
| AU2012204068B2 (en) * | 2009-04-03 | 2013-12-19 | Ntt Docomo, Inc. | Speech encoding device, speech decoding device, speech encoding method, speech decoding method, speech encoding program, and speech decoding program |
| JP4921611B2 (en) * | 2009-04-03 | 2012-04-25 | 株式会社エヌ・ティ・ティ・ドコモ | Speech decoding apparatus, speech decoding method, and speech decoding program |
| TWI401923B (en) * | 2009-06-06 | 2013-07-11 | Generalplus Technology Inc | Methods and apparatuses for adaptive clock reconstruction and decoding in audio frequency |
| US8699727B2 (en) | 2010-01-15 | 2014-04-15 | Apple Inc. | Visually-assisted mixing of audio using a spectral analyzer |
| TWI557723B (en) | 2010-02-18 | 2016-11-11 | 杜比實驗室特許公司 | Decoding method and system |
| JP6103324B2 (en) * | 2010-04-13 | 2017-03-29 | ソニー株式会社 | Signal processing apparatus and method, and program |
| WO2011127832A1 (en) * | 2010-04-14 | 2011-10-20 | Huawei Technologies Co., Ltd. | Time/frequency two dimension post-processing |
| US9443534B2 (en) | 2010-04-14 | 2016-09-13 | Huawei Technologies Co., Ltd. | Bandwidth extension system and approach |
| CN102237954A (en) * | 2010-04-30 | 2011-11-09 | 财团法人工业技术研究院 | Soft demapping method, apparatus and communication system thereof |
| ES2565959T3 (en) * | 2010-06-09 | 2016-04-07 | Panasonic Intellectual Property Corporation Of America | Bandwidth extension method, bandwidth extension device, program, integrated circuit and audio decoding device |
| US8762158B2 (en) * | 2010-08-06 | 2014-06-24 | Samsung Electronics Co., Ltd. | Decoding method and decoding apparatus therefor |
| US8759661B2 (en) | 2010-08-31 | 2014-06-24 | Sonivox, L.P. | System and method for audio synthesizer utilizing frequency aperture arrays |
| US8649388B2 (en) | 2010-09-02 | 2014-02-11 | Integrated Device Technology, Inc. | Transmission of multiprotocol data in a distributed antenna system |
| US9059778B2 (en) * | 2011-01-07 | 2015-06-16 | Integrated Device Technology Inc. | Frequency domain compression in a base transceiver system |
| US8989088B2 (en) * | 2011-01-07 | 2015-03-24 | Integrated Device Technology Inc. | OFDM signal processing in a base transceiver system |
| FI3998607T3 (en) * | 2011-02-18 | 2024-04-22 | Ntt Docomo Inc | Speech decoder |
| US8653354B1 (en) * | 2011-08-02 | 2014-02-18 | Sonivoz, L.P. | Audio synthesizing systems and methods |
| CN106409299B (en) | 2012-03-29 | 2019-11-05 | 华为技术有限公司 | Signal coding and decoded method and apparatus |
| US9215296B1 (en) | 2012-05-03 | 2015-12-15 | Integrated Device Technology, Inc. | Method and apparatus for efficient radio unit processing in a communication system |
| US9313453B2 (en) * | 2012-08-20 | 2016-04-12 | Mitel Networks Corporation | Localization algorithm for conferencing |
| CN107945813B (en) * | 2012-08-29 | 2021-10-26 | 日本电信电话株式会社 | Decoding method, decoding device, and computer-readable recording medium |
| CN103971693B (en) | 2013-01-29 | 2017-02-22 | 华为技术有限公司 | High-band signal prediction method, encoding/decoding device |
| US8804971B1 (en) | 2013-04-30 | 2014-08-12 | Dolby International Ab | Hybrid encoding of higher frequency and downmixed low frequency content of multichannel audio |
| US9203933B1 (en) | 2013-08-28 | 2015-12-01 | Integrated Device Technology, Inc. | Method and apparatus for efficient data compression in a communication system |
| US9553954B1 (en) | 2013-10-01 | 2017-01-24 | Integrated Device Technology, Inc. | Method and apparatus utilizing packet segment compression parameters for compression in a communication system |
| US8989257B1 (en) | 2013-10-09 | 2015-03-24 | Integrated Device Technology Inc. | Method and apparatus for providing near-zero jitter real-time compression in a communication system |
| US9398489B1 (en) | 2013-10-09 | 2016-07-19 | Integrated Device Technology | Method and apparatus for context based data compression in a communication system |
| US9485688B1 (en) | 2013-10-09 | 2016-11-01 | Integrated Device Technology, Inc. | Method and apparatus for controlling error and identifying bursts in a data compression system |
| US9313300B2 (en) | 2013-11-07 | 2016-04-12 | Integrated Device Technology, Inc. | Methods and apparatuses for a unified compression framework of baseband signals |
| US9858941B2 (en) * | 2013-11-22 | 2018-01-02 | Qualcomm Incorporated | Selective phase compensation in high band coding of an audio signal |
| FR3017484A1 (en) * | 2014-02-07 | 2015-08-14 | Orange | ENHANCED FREQUENCY BAND EXTENSION IN AUDIO FREQUENCY SIGNAL DECODER |
| US9542955B2 (en) * | 2014-03-31 | 2017-01-10 | Qualcomm Incorporated | High-band signal coding using multiple sub-bands |
| PL3703051T3 (en) * | 2014-05-01 | 2021-11-22 | Nippon Telegraph And Telephone Corporation | Encoder, decoder, coding method, decoding method, coding program, decoding program and recording medium |
| WO2015189533A1 (en) * | 2014-06-10 | 2015-12-17 | Meridian Audio Limited | Digital encapsulation of audio signals |
| EP3213418B1 (en) * | 2014-10-31 | 2018-05-30 | Telefonaktiebolaget LM Ericsson (publ) | Radio receiver, method of detecting an obtruding signal in the radio receiver, and computer program |
| EP3230976B1 (en) * | 2014-12-11 | 2021-02-24 | Uberchord UG (haftungsbeschränkt) | Method and installation for processing a sequence of signals for polyphonic note recognition |
| KR102721794B1 (en) | 2016-11-18 | 2024-10-25 | 삼성전자주식회사 | Signal processing processor and controlling method thereof |
| US11176958B2 (en) * | 2017-04-28 | 2021-11-16 | Hewlett-Packard Development Company, L.P. | Loudness enhancement based on multiband range compression |
| KR102468799B1 (en) * | 2017-08-11 | 2022-11-18 | 삼성전자 주식회사 | Electronic apparatus, method for controlling thereof and computer program product thereof |
| EP3483878A1 (en) | 2017-11-10 | 2019-05-15 | Fraunhofer-Gesellschaft zur Förderung der angewandten Forschung e.V. | Audio decoder supporting a set of different loss concealment tools |
| WO2019091573A1 (en) | 2017-11-10 | 2019-05-16 | Fraunhofer-Gesellschaft zur Förderung der angewandten Forschung e.V. | Apparatus and method for encoding and decoding an audio signal using downsampling or interpolation of scale parameters |
| EP3483883A1 (en) | 2017-11-10 | 2019-05-15 | Fraunhofer-Gesellschaft zur Förderung der angewandten Forschung e.V. | Audio coding and decoding with selective postfiltering |
| EP3483882A1 (en) | 2017-11-10 | 2019-05-15 | Fraunhofer-Gesellschaft zur Förderung der angewandten Forschung e.V. | Controlling bandwidth in encoders and/or decoders |
| EP3483879A1 (en) | 2017-11-10 | 2019-05-15 | Fraunhofer-Gesellschaft zur Förderung der angewandten Forschung e.V. | Analysis/synthesis windowing function for modulated lapped transformation |
| EP3483884A1 (en) | 2017-11-10 | 2019-05-15 | Fraunhofer-Gesellschaft zur Förderung der angewandten Forschung e.V. | Signal filtering |
| WO2019091576A1 (en) | 2017-11-10 | 2019-05-16 | Fraunhofer-Gesellschaft zur Förderung der angewandten Forschung e.V. | Audio encoders, audio decoders, methods and computer programs adapting an encoding and decoding of least significant bits |
| EP3483880A1 (en) | 2017-11-10 | 2019-05-15 | Fraunhofer-Gesellschaft zur Förderung der angewandten Forschung e.V. | Temporal noise shaping |
| EP3483886A1 (en) | 2017-11-10 | 2019-05-15 | Fraunhofer-Gesellschaft zur Förderung der angewandten Forschung e.V. | Selecting pitch lag |
| TWI702594B (en) * | 2018-01-26 | 2020-08-21 | 瑞典商都比國際公司 | Backward-compatible integration of high frequency reconstruction techniques for audio signals |
| EP4586247A3 (en) | 2018-04-05 | 2025-11-12 | Telefonaktiebolaget LM Ericsson (publ) | Truncateable predictive coding |
| CN109036457B (en) * | 2018-09-10 | 2021-10-08 | 广州酷狗计算机科技有限公司 | Method and apparatus for restoring audio signal |
| EP3671741A1 (en) * | 2018-12-21 | 2020-06-24 | FRAUNHOFER-GESELLSCHAFT zur Förderung der angewandten Forschung e.V. | Audio processor and method for generating a frequency-enhanced audio signal using pulse processing |
| CN115318605B (en) * | 2022-07-22 | 2023-09-08 | 东北大学 | Automatic matching method for variable-frequency ultrasonic transducer |
Citations (35)
| Publication number | Priority date | Publication date | Assignee | Title |
|---|---|---|---|---|
| US3684838A (en) * | 1968-06-26 | 1972-08-15 | Kahn Res Lab | Single channel audio signal transmission system |
| US3995115A (en) * | 1967-08-25 | 1976-11-30 | Bell Telephone Laboratories, Incorporated | Speech privacy system |
| US4610022A (en) * | 1981-12-15 | 1986-09-02 | Kokusai Denshin Denwa Co., Ltd. | Voice encoding and decoding device |
| US4667340A (en) * | 1983-04-13 | 1987-05-19 | Texas Instruments Incorporated | Voice messaging system with pitch-congruent baseband coding |
| US4757517A (en) * | 1986-04-04 | 1988-07-12 | Kokusai Denshin Denwa Kabushiki Kaisha | System for transmitting voice signal |
| US4776014A (en) * | 1986-09-02 | 1988-10-04 | General Electric Company | Method for pitch-aligned high-frequency regeneration in RELP vocoders |
| US4790016A (en) * | 1985-11-14 | 1988-12-06 | Gte Laboratories Incorporated | Adaptive method and apparatus for coding speech |
| US4866777A (en) * | 1984-11-09 | 1989-09-12 | Alcatel Usa Corporation | Apparatus for extracting features from a speech signal |
| US4885790A (en) * | 1985-03-18 | 1989-12-05 | Massachusetts Institute Of Technology | Processing of acoustic waveforms |
| US4914701A (en) * | 1984-12-20 | 1990-04-03 | Gte Laboratories Incorporated | Method and apparatus for encoding speech |
| US4935963A (en) * | 1986-01-24 | 1990-06-19 | Racal Data Communications Inc. | Method and apparatus for processing speech signals |
| US5001758A (en) * | 1986-04-30 | 1991-03-19 | International Business Machines Corporation | Voice coding process and device for implementing said process |
| US5054075A (en) * | 1989-09-05 | 1991-10-01 | Motorola, Inc. | Subband decoding method and apparatus |
| US5054072A (en) * | 1987-04-02 | 1991-10-01 | Massachusetts Institute Of Technology | Coding of acoustic waveforms |
| US5109417A (en) * | 1989-01-27 | 1992-04-28 | Dolby Laboratories Licensing Corporation | Low bit rate transform coder, decoder, and encoder/decoder for high-quality audio |
| US5127054A (en) * | 1988-04-29 | 1992-06-30 | Motorola, Inc. | Speech quality improvement for voice coders and synthesizers |
| US5394473A (en) * | 1990-04-12 | 1995-02-28 | Dolby Laboratories Licensing Corporation | Adaptive-block-length, adaptive-transforn, and adaptive-window transform coder, decoder, and encoder/decoder for high-quality audio |
| US5583962A (en) * | 1991-01-08 | 1996-12-10 | Dolby Laboratories Licensing Corporation | Encoder/decoder for multidimensional sound fields |
| US5587998A (en) * | 1995-03-03 | 1996-12-24 | At&T | Method and apparatus for reducing residual far-end echo in voice communication networks |
| US5623577A (en) * | 1993-07-16 | 1997-04-22 | Dolby Laboratories Licensing Corporation | Computationally efficient adaptive bit allocation for encoding method and apparatus with allowance for decoder spectral distortions |
| US5636324A (en) * | 1992-03-30 | 1997-06-03 | Matsushita Electric Industrial Co., Ltd. | Apparatus and method for stereo audio encoding of digital audio signal data |
| US5744739A (en) * | 1996-09-13 | 1998-04-28 | Crystal Semiconductor | Wavetable synthesizer and operating method using a variable sampling rate approximation |
| US5937378A (en) * | 1996-06-21 | 1999-08-10 | Nec Corporation | Wideband speech coder and decoder that band divides an input speech signal and performs analysis on the band-divided speech signal |
| US5950156A (en) * | 1995-10-04 | 1999-09-07 | Sony Corporation | High efficient signal coding method and apparatus therefor |
| US5953697A (en) * | 1996-12-19 | 1999-09-14 | Holtek Semiconductor, Inc. | Gain estimation scheme for LPC vocoders with a shape index based on signal envelopes |
| US6019607A (en) * | 1997-12-17 | 2000-02-01 | Jenkins; William M. | Method and apparatus for training of sensory and perceptual systems in LLI systems |
| US6104996A (en) * | 1996-10-01 | 2000-08-15 | Nokia Mobile Phones Limited | Audio coding with low-order adaptive prediction of transients |
| US6336092B1 (en) * | 1997-04-28 | 2002-01-01 | Ivl Technologies Ltd | Targeted vocal transformation |
| US6341165B1 (en) * | 1996-07-12 | 2002-01-22 | Fraunhofer-Gesellschaft zur Förderdung der Angewandten Forschung E.V. | Coding and decoding of audio signals by using intensity stereo and prediction processes |
| US6424939B1 (en) * | 1997-07-14 | 2002-07-23 | Fraunhofer-Gesellschaft Zur Forderung Der Angewandten Forschung E.V. | Method for coding an audio signal |
| US6487535B1 (en) * | 1995-12-01 | 2002-11-26 | Digital Theater Systems, Inc. | Multi-channel audio encoder |
| US6675144B1 (en) * | 1997-05-15 | 2004-01-06 | Hewlett-Packard Development Company, L.P. | Audio coding systems and methods |
| US6680972B1 (en) * | 1997-06-10 | 2004-01-20 | Coding Technologies Sweden Ab | Source coding enhancement using spectral-band replication |
| US20040131203A1 (en) * | 2000-05-23 | 2004-07-08 | Lars Liljeryd | Spectral translation/ folding in the subband domain |
| US7219065B1 (en) * | 1999-10-26 | 2007-05-15 | Vandali Andrew E | Emphasis of short-duration transient speech features |
Family Cites Families (52)
| Publication number | Priority date | Publication date | Assignee | Title |
|---|---|---|---|---|
| US4051331A (en) * | 1976-03-29 | 1977-09-27 | Brigham Young University | Speech coding hearing aid system utilizing formant frequency transformation |
| US4232194A (en) * | 1979-03-16 | 1980-11-04 | Ocean Technology, Inc. | Voice encryption system |
| NL7908213A (en) * | 1979-11-09 | 1981-06-01 | Philips Nv | SPEECH SYNTHESIS DEVICE WITH AT LEAST TWO DISTORTION CHAINS. |
| US4419544A (en) * | 1982-04-26 | 1983-12-06 | Adelman Roger A | Signal processing apparatus |
| EP0287741B1 (en) * | 1987-04-22 | 1993-03-31 | International Business Machines Corporation | Process for varying speech speed and device for implementing said process |
| US4964166A (en) * | 1988-05-26 | 1990-10-16 | Pacific Communication Science, Inc. | Adaptive transform coder having minimal bit allocation processing |
| US5327457A (en) * | 1991-09-13 | 1994-07-05 | Motorola, Inc. | Operation indicative background noise in a digital receiver |
| US5455888A (en) * | 1992-12-04 | 1995-10-03 | Northern Telecom Limited | Speech bandwidth extension method and apparatus |
| ES2165389T3 (en) * | 1993-05-31 | 2002-03-16 | Sony Corp | APPARATUS AND METHOD FOR CODING OR DECODING SIGNS, AND RECORDING MEDIA. |
| WO1995010886A1 (en) * | 1993-10-08 | 1995-04-20 | Sony Corporation | Digital signal processor, digital signal processing method and data recording medium |
| JPH07160299A (en) * | 1993-12-06 | 1995-06-23 | Hitachi Denshi Ltd | Audio signal band compression / expansion device, audio signal band compression transmission system and reproduction system |
| US5619503A (en) * | 1994-01-11 | 1997-04-08 | Ericsson Inc. | Cellular/satellite communications system with improved frequency re-use |
| US6169813B1 (en) * | 1994-03-16 | 2001-01-02 | Hearing Innovations Incorporated | Frequency transpositional hearing aid with single sideband modulation |
| US6173062B1 (en) * | 1994-03-16 | 2001-01-09 | Hearing Innovations Incorporated | Frequency transpositional hearing aid with digital and single sideband modulation |
| WO1996006494A2 (en) * | 1994-08-12 | 1996-02-29 | Neosoft, A.G. | Nonlinear digital communications system |
| DE69619284T3 (en) * | 1995-03-13 | 2006-04-27 | Matsushita Electric Industrial Co., Ltd., Kadoma | Device for expanding the voice bandwidth |
| DE19509149A1 (en) | 1995-03-14 | 1996-09-19 | Donald Dipl Ing Schulz | Audio signal coding for data compression factor |
| JPH08328599A (en) | 1995-06-01 | 1996-12-13 | Mitsubishi Electric Corp | MPEG audio decoder |
| US6098038A (en) * | 1996-09-27 | 2000-08-01 | Oregon Graduate Institute Of Science & Technology | Method and system for adaptive speech enhancement using frequency specific signal-to-noise ratio estimates |
| JPH10124088A (en) * | 1996-10-24 | 1998-05-15 | Sony Corp | Voice bandwidth extension apparatus and method |
| US6167375A (en) * | 1997-03-17 | 2000-12-26 | Kabushiki Kaisha Toshiba | Method for encoding and decoding a speech signal including background noise |
| JPH10341256A (en) * | 1997-06-10 | 1998-12-22 | Logic Corp | Method and system for extracting voiced sound from speech signal and reproducing speech signal from extracted voiced sound |
| US6035048A (en) * | 1997-06-18 | 2000-03-07 | Lucent Technologies Inc. | Method and apparatus for reducing noise in speech and audio signals |
| US5899969A (en) | 1997-10-17 | 1999-05-04 | Dolby Laboratories Licensing Corporation | Frame-based audio coding with gain-control words |
| US6159014A (en) * | 1997-12-17 | 2000-12-12 | Scientific Learning Corp. | Method and apparatus for training of cognitive and memory systems in humans |
| JP3473828B2 (en) | 1998-06-26 | 2003-12-08 | 株式会社東芝 | Audio optical disc, information reproducing method and reproducing apparatus |
| SE9903553D0 (en) * | 1999-01-27 | 1999-10-01 | Lars Liljeryd | Enhancing conceptual performance of SBR and related coding methods by adaptive noise addition (ANA) and noise substitution limiting (NSL) |
| WO2000070769A1 (en) * | 1999-05-14 | 2000-11-23 | Matsushita Electric Industrial Co., Ltd. | Method and apparatus for expanding band of audio signal |
| US6226616B1 (en) * | 1999-06-21 | 2001-05-01 | Digital Theater Systems, Inc. | Sound quality of established low bit-rate audio coding systems without loss of decoder compatibility |
| GB2351889B (en) * | 1999-07-06 | 2003-12-17 | Ericsson Telefon Ab L M | Speech band expansion |
| US6978236B1 (en) * | 1999-10-01 | 2005-12-20 | Coding Technologies Ab | Efficient spectral envelope coding using variable time/frequency resolution and time/frequency switching |
| US7058572B1 (en) * | 2000-01-28 | 2006-06-06 | Nortel Networks Limited | Reducing acoustic noise in wireless and landline based telephony |
| US6704711B2 (en) * | 2000-01-28 | 2004-03-09 | Telefonaktiebolaget Lm Ericsson (Publ) | System and method for modifying speech signals |
| FR2807897B1 (en) * | 2000-04-18 | 2003-07-18 | France Telecom | SPECTRAL ENRICHMENT METHOD AND DEVICE |
| US7742927B2 (en) * | 2000-04-18 | 2010-06-22 | France Telecom | Spectral enhancing method and device |
| EP1158799A1 (en) | 2000-05-18 | 2001-11-28 | Deutsche Thomson-Brandt Gmbh | Method and receiver for providing subtitle data in several languages on demand |
| EP1158800A1 (en) | 2000-05-18 | 2001-11-28 | Deutsche Thomson-Brandt Gmbh | Method and receiver for providing audio translation data on demand |
| US7330814B2 (en) * | 2000-05-22 | 2008-02-12 | Texas Instruments Incorporated | Wideband speech coding with modulated noise highband excitation system and method |
| KR20020035108A (en) * | 2000-05-26 | 2002-05-09 | 요트.게.아. 롤페즈 | Transmitter for transmitting a signal encoded in a narrow band, and receiver for extending the band of the signal at the receiving end |
| US20020016698A1 (en) * | 2000-06-26 | 2002-02-07 | Toshimichi Tokuda | Device and method for audio frequency range expansion |
| SE0004163D0 (en) * | 2000-11-14 | 2000-11-14 | Coding Technologies Sweden Ab | Enhancing perceptual performance or high frequency reconstruction coding methods by adaptive filtering |
| SE0004187D0 (en) | 2000-11-15 | 2000-11-15 | Coding Technologies Sweden Ab | Enhancing the performance of coding systems that use high frequency reconstruction methods |
| US7236929B2 (en) * | 2001-05-09 | 2007-06-26 | Plantronics, Inc. | Echo suppression and speech detection techniques for telephony applications |
| US6941263B2 (en) * | 2001-06-29 | 2005-09-06 | Microsoft Corporation | Frequency domain postfiltering for quality enhancement of coded speech |
| AU2002348961A1 (en) * | 2001-11-23 | 2003-06-10 | Koninklijke Philips Electronics N.V. | Audio signal bandwidth extension |
| US20030187663A1 (en) * | 2002-03-28 | 2003-10-02 | Truman Michael Mead | Broadband frequency translation for high frequency regeneration |
| US7502743B2 (en) * | 2002-09-04 | 2009-03-10 | Microsoft Corporation | Multi-channel audio encoding and decoding with multi-channel transform selection |
| CN1757060B (en) * | 2003-03-15 | 2012-08-15 | 曼德斯必德技术公司 | Voicing index controls for CELP speech coding |
| DE602004020765D1 (en) * | 2004-09-17 | 2009-06-04 | Harman Becker Automotive Sys | Bandwidth extension of band-limited tone signals |
| US8086451B2 (en) * | 2005-04-20 | 2011-12-27 | Qnx Software Systems Co. | System for improving speech intelligibility through high frequency compression |
| US7831434B2 (en) * | 2006-01-20 | 2010-11-09 | Microsoft Corporation | Complex-transform channel coding with extended-band frequency coding |
| US8015368B2 (en) * | 2007-04-20 | 2011-09-06 | Siport, Inc. | Processor extensions for accelerating spectral band replication |
-
2002
- 2002-03-28 US US10/113,858 patent/US20030187663A1/en not_active Abandoned
-
2003
- 2003-03-07 TW TW092104947A patent/TWI319180B/en not_active IP Right Cessation
- 2003-03-21 SG SG10201710913TA patent/SG10201710913TA/en unknown
- 2003-03-21 CN CN2007101373998A patent/CN101093670B/en not_active Expired - Lifetime
- 2003-03-21 AT AT10155626T patent/ATE511180T1/en not_active IP Right Cessation
- 2003-03-21 WO PCT/US2003/008895 patent/WO2003083834A1/en not_active Ceased
- 2003-03-21 SG SG200606723-5A patent/SG153658A1/en unknown
- 2003-03-21 SG SG10201710912WA patent/SG10201710912WA/en unknown
- 2003-03-21 MX MXPA04009408A patent/MXPA04009408A/en active IP Right Grant
- 2003-03-21 AU AU2003239126A patent/AU2003239126B2/en not_active Expired
- 2003-03-21 PL PL371410A patent/PL208846B1/en unknown
- 2003-03-21 KR KR1020047012465A patent/KR101005731B1/en not_active Expired - Lifetime
- 2003-03-21 SI SI200332022T patent/SI2194528T1/en unknown
- 2003-03-21 SG SG2009012824A patent/SG173224A1/en unknown
- 2003-03-21 SG SG2013057666A patent/SG2013057666A/en unknown
- 2003-03-21 CA CA2475460A patent/CA2475460C/en not_active Expired - Lifetime
- 2003-03-21 JP JP2003581173A patent/JP4345890B2/en not_active Expired - Lifetime
- 2003-03-21 SG SG10201710911VA patent/SG10201710911VA/en unknown
- 2003-03-21 SG SG10201710915PA patent/SG10201710915PA/en unknown
- 2003-03-21 EP EP10155626A patent/EP2194528B1/en not_active Expired - Lifetime
- 2003-03-21 SG SG10201710917UA patent/SG10201710917UA/en unknown
- 2003-03-21 CN CNB03805096XA patent/CN100338649C/en not_active Expired - Lifetime
- 2003-03-21 EP EP03733840A patent/EP1488414A1/en not_active Withdrawn
- 2003-03-27 MY MYPI20031138A patent/MY140567A/en unknown
-
2009
- 2009-02-24 US US12/391,936 patent/US8126709B2/en not_active Expired - Fee Related
-
2012
- 2012-01-24 US US13/357,545 patent/US8285543B2/en not_active Expired - Fee Related
- 2012-08-31 US US13/601,182 patent/US8457956B2/en not_active Expired - Fee Related
-
2013
- 2013-05-31 US US13/906,994 patent/US9177564B2/en not_active Expired - Fee Related
-
2015
- 2015-05-11 US US14/709,109 patent/US9324328B2/en not_active Expired - Fee Related
- 2015-06-10 US US14/735,663 patent/US9343071B2/en not_active Expired - Fee Related
-
2016
- 2016-04-14 US US15/098,472 patent/US9412383B1/en not_active Expired - Fee Related
- 2016-04-14 US US15/098,459 patent/US9412389B1/en not_active Expired - Fee Related
- 2016-04-20 US US15/133,367 patent/US9412388B1/en not_active Expired - Fee Related
- 2016-07-06 US US15/203,528 patent/US9466306B1/en not_active Expired - Fee Related
- 2016-09-07 US US15/258,415 patent/US9548060B1/en not_active Expired - Fee Related
- 2016-12-06 US US15/370,085 patent/US9653085B2/en not_active Expired - Fee Related
-
2017
- 2017-02-06 US US15/425,827 patent/US9704496B2/en not_active Expired - Fee Related
- 2017-03-30 US US15/473,808 patent/US9767816B2/en not_active Expired - Fee Related
- 2017-09-12 US US15/702,451 patent/US9947328B2/en not_active Expired - Lifetime
-
2018
- 2018-03-15 US US15/921,859 patent/US10269362B2/en not_active Expired - Fee Related
-
2019
- 2019-02-05 US US16/268,448 patent/US10529347B2/en not_active Expired - Fee Related
-
2020
- 2020-01-06 US US16/735,328 patent/US20200143817A1/en not_active Abandoned
Patent Citations (36)
| Publication number | Priority date | Publication date | Assignee | Title |
|---|---|---|---|---|
| US3995115A (en) * | 1967-08-25 | 1976-11-30 | Bell Telephone Laboratories, Incorporated | Speech privacy system |
| US3684838A (en) * | 1968-06-26 | 1972-08-15 | Kahn Res Lab | Single channel audio signal transmission system |
| US4610022A (en) * | 1981-12-15 | 1986-09-02 | Kokusai Denshin Denwa Co., Ltd. | Voice encoding and decoding device |
| US4667340A (en) * | 1983-04-13 | 1987-05-19 | Texas Instruments Incorporated | Voice messaging system with pitch-congruent baseband coding |
| US4866777A (en) * | 1984-11-09 | 1989-09-12 | Alcatel Usa Corporation | Apparatus for extracting features from a speech signal |
| US4914701A (en) * | 1984-12-20 | 1990-04-03 | Gte Laboratories Incorporated | Method and apparatus for encoding speech |
| USRE36478E (en) * | 1985-03-18 | 1999-12-28 | Massachusetts Institute Of Technology | Processing of acoustic waveforms |
| US4885790A (en) * | 1985-03-18 | 1989-12-05 | Massachusetts Institute Of Technology | Processing of acoustic waveforms |
| US4790016A (en) * | 1985-11-14 | 1988-12-06 | Gte Laboratories Incorporated | Adaptive method and apparatus for coding speech |
| US4935963A (en) * | 1986-01-24 | 1990-06-19 | Racal Data Communications Inc. | Method and apparatus for processing speech signals |
| US4757517A (en) * | 1986-04-04 | 1988-07-12 | Kokusai Denshin Denwa Kabushiki Kaisha | System for transmitting voice signal |
| US5001758A (en) * | 1986-04-30 | 1991-03-19 | International Business Machines Corporation | Voice coding process and device for implementing said process |
| US4776014A (en) * | 1986-09-02 | 1988-10-04 | General Electric Company | Method for pitch-aligned high-frequency regeneration in RELP vocoders |
| US5054072A (en) * | 1987-04-02 | 1991-10-01 | Massachusetts Institute Of Technology | Coding of acoustic waveforms |
| US5127054A (en) * | 1988-04-29 | 1992-06-30 | Motorola, Inc. | Speech quality improvement for voice coders and synthesizers |
| US5109417A (en) * | 1989-01-27 | 1992-04-28 | Dolby Laboratories Licensing Corporation | Low bit rate transform coder, decoder, and encoder/decoder for high-quality audio |
| US5054075A (en) * | 1989-09-05 | 1991-10-01 | Motorola, Inc. | Subband decoding method and apparatus |
| US5394473A (en) * | 1990-04-12 | 1995-02-28 | Dolby Laboratories Licensing Corporation | Adaptive-block-length, adaptive-transforn, and adaptive-window transform coder, decoder, and encoder/decoder for high-quality audio |
| US5583962A (en) * | 1991-01-08 | 1996-12-10 | Dolby Laboratories Licensing Corporation | Encoder/decoder for multidimensional sound fields |
| US5636324A (en) * | 1992-03-30 | 1997-06-03 | Matsushita Electric Industrial Co., Ltd. | Apparatus and method for stereo audio encoding of digital audio signal data |
| US5623577A (en) * | 1993-07-16 | 1997-04-22 | Dolby Laboratories Licensing Corporation | Computationally efficient adaptive bit allocation for encoding method and apparatus with allowance for decoder spectral distortions |
| US5587998A (en) * | 1995-03-03 | 1996-12-24 | At&T | Method and apparatus for reducing residual far-end echo in voice communication networks |
| US5950156A (en) * | 1995-10-04 | 1999-09-07 | Sony Corporation | High efficient signal coding method and apparatus therefor |
| US6487535B1 (en) * | 1995-12-01 | 2002-11-26 | Digital Theater Systems, Inc. | Multi-channel audio encoder |
| US5937378A (en) * | 1996-06-21 | 1999-08-10 | Nec Corporation | Wideband speech coder and decoder that band divides an input speech signal and performs analysis on the band-divided speech signal |
| US6341165B1 (en) * | 1996-07-12 | 2002-01-22 | Fraunhofer-Gesellschaft zur Förderdung der Angewandten Forschung E.V. | Coding and decoding of audio signals by using intensity stereo and prediction processes |
| US5744739A (en) * | 1996-09-13 | 1998-04-28 | Crystal Semiconductor | Wavetable synthesizer and operating method using a variable sampling rate approximation |
| US6104996A (en) * | 1996-10-01 | 2000-08-15 | Nokia Mobile Phones Limited | Audio coding with low-order adaptive prediction of transients |
| US5953697A (en) * | 1996-12-19 | 1999-09-14 | Holtek Semiconductor, Inc. | Gain estimation scheme for LPC vocoders with a shape index based on signal envelopes |
| US6336092B1 (en) * | 1997-04-28 | 2002-01-01 | Ivl Technologies Ltd | Targeted vocal transformation |
| US6675144B1 (en) * | 1997-05-15 | 2004-01-06 | Hewlett-Packard Development Company, L.P. | Audio coding systems and methods |
| US6680972B1 (en) * | 1997-06-10 | 2004-01-20 | Coding Technologies Sweden Ab | Source coding enhancement using spectral-band replication |
| US6424939B1 (en) * | 1997-07-14 | 2002-07-23 | Fraunhofer-Gesellschaft Zur Forderung Der Angewandten Forschung E.V. | Method for coding an audio signal |
| US6019607A (en) * | 1997-12-17 | 2000-02-01 | Jenkins; William M. | Method and apparatus for training of sensory and perceptual systems in LLI systems |
| US7219065B1 (en) * | 1999-10-26 | 2007-05-15 | Vandali Andrew E | Emphasis of short-duration transient speech features |
| US20040131203A1 (en) * | 2000-05-23 | 2004-07-08 | Lars Liljeryd | Spectral translation/ folding in the subband domain |
Cited By (290)
| Publication number | Priority date | Publication date | Assignee | Title |
|---|---|---|---|---|
| US8239208B2 (en) | 2000-04-18 | 2012-08-07 | France Telecom Sa | Spectral enhancing method and device |
| US20030158726A1 (en) * | 2000-04-18 | 2003-08-21 | Pierrick Philippe | Spectral enhancing method and device |
| US20100250264A1 (en) * | 2000-04-18 | 2010-09-30 | France Telecom Sa | Spectral enhancing method and device |
| US7742927B2 (en) * | 2000-04-18 | 2010-06-22 | France Telecom | Spectral enhancing method and device |
| US7685218B2 (en) | 2001-04-10 | 2010-03-23 | Dolby Laboratories Licensing Corporation | High frequency signal construction method and apparatus |
| US20050058304A1 (en) * | 2001-05-04 | 2005-03-17 | Frank Baumgarte | Cue-based audio coding/decoding |
| US7644003B2 (en) | 2001-05-04 | 2010-01-05 | Agere Systems Inc. | Cue-based audio coding/decoding |
| US7693721B2 (en) | 2001-05-04 | 2010-04-06 | Agere Systems Inc. | Hybrid multi-channel/cue coding/decoding of audio signals |
| US8200500B2 (en) | 2001-05-04 | 2012-06-12 | Agere Systems Inc. | Cue-based audio coding/decoding |
| US20070003069A1 (en) * | 2001-05-04 | 2007-01-04 | Christof Faller | Perceptual synthesis of auditory scenes |
| US20090319281A1 (en) * | 2001-05-04 | 2009-12-24 | Agere Systems Inc. | Cue-based audio coding/decoding |
| US7941320B2 (en) | 2001-05-04 | 2011-05-10 | Agere Systems, Inc. | Cue-based audio coding/decoding |
| US20110164756A1 (en) * | 2001-05-04 | 2011-07-07 | Agere Systems Inc. | Cue-Based Audio Coding/Decoding |
| US20030026441A1 (en) * | 2001-05-04 | 2003-02-06 | Christof Faller | Perceptual synthesis of auditory scenes |
| US7116787B2 (en) | 2001-05-04 | 2006-10-03 | Agere Systems Inc. | Perceptual synthesis of auditory scenes |
| US20030035553A1 (en) * | 2001-08-10 | 2003-02-20 | Frank Baumgarte | Backwards-compatible perceptual coding of spatial cues |
| EP2207170A1 (en) | 2002-06-17 | 2010-07-14 | Dolby Laboratories Licensing Corporation | System for audio decoding with filling of spectral holes |
| EP2207169A1 (en) | 2002-06-17 | 2010-07-14 | Dolby Laboratories Licensing Corporation | System for audio decoding with filling of spectral holes |
| US20030236583A1 (en) * | 2002-06-24 | 2003-12-25 | Frank Baumgarte | Hybrid multi-channel/cue coding/decoding of audio signals |
| US7292901B2 (en) | 2002-06-24 | 2007-11-06 | Agere Systems Inc. | Hybrid multi-channel/cue coding/decoding of audio signals |
| US20040138876A1 (en) * | 2003-01-10 | 2004-07-15 | Nokia Corporation | Method and apparatus for artificial bandwidth expansion in speech processing |
| US20040259601A1 (en) * | 2003-05-27 | 2004-12-23 | Ihle Marc | Frequency expansion for synthesizer |
| US7630780B2 (en) | 2003-05-27 | 2009-12-08 | Palm, Inc. | Frequency expansion for synthesizer |
| EP1482482A1 (en) * | 2003-05-27 | 2004-12-01 | Siemens Aktiengesellschaft | Frequency expansion for Synthesiser |
| US20050004793A1 (en) * | 2003-07-03 | 2005-01-06 | Pasi Ojala | Signal adaptation for higher band coding in a codec utilizing band split coding |
| US7461003B1 (en) * | 2003-10-22 | 2008-12-02 | Tellabs Operations, Inc. | Methods and apparatus for improving the quality of speech signals |
| US8095374B2 (en) | 2003-10-22 | 2012-01-10 | Tellabs Operations, Inc. | Method and apparatus for improving the quality of speech signals |
| US20090132260A1 (en) * | 2003-10-22 | 2009-05-21 | Tellabs Operations, Inc. | Method and Apparatus for Improving the Quality of Speech Signals |
| US7636659B1 (en) | 2003-12-01 | 2009-12-22 | The Trustees Of Columbia University In The City Of New York | Computer-implemented methods and systems for modeling and recognition of speech |
| US7672838B1 (en) * | 2003-12-01 | 2010-03-02 | The Trustees Of Columbia University In The City Of New York | Systems and methods for speech recognition using frequency domain linear prediction polynomials to form temporal and spectral envelopes from frequency domain representations of signals |
| USRE48271E1 (en) * | 2004-01-27 | 2020-10-20 | Dolby Laboratories Licensing Corporation | Coding techniques using estimated spectral magnitude and phase derived from MDCT coefficients |
| USRE48210E1 (en) * | 2004-01-27 | 2020-09-15 | Dolby Laboratories Licensing Corporation | Coding techniques using estimated spectral magnitude and phase derived from MDCT coefficients |
| US7583805B2 (en) | 2004-02-12 | 2009-09-01 | Agere Systems Inc. | Late reverberation-based synthesis of auditory scenes |
| US20050180579A1 (en) * | 2004-02-12 | 2005-08-18 | Frank Baumgarte | Late reverberation-based synthesis of auditory scenes |
| US7805313B2 (en) | 2004-03-04 | 2010-09-28 | Agere Systems Inc. | Frequency-based coding of channels in parametric multi-channel coding systems |
| US20050195981A1 (en) * | 2004-03-04 | 2005-09-08 | Christof Faller | Frequency-based coding of channels in parametric multi-channel coding systems |
| US7512536B2 (en) * | 2004-05-14 | 2009-03-31 | Texas Instruments Incorporated | Efficient filter bank computation for audio coding |
| US20050256723A1 (en) * | 2004-05-14 | 2005-11-17 | Mansour Mohamed F | Efficient filter bank computation for audio coding |
| US20080027733A1 (en) * | 2004-05-14 | 2008-01-31 | Matsushita Electric Industrial Co., Ltd. | Encoding Device, Decoding Device, and Method Thereof |
| US8417515B2 (en) * | 2004-05-14 | 2013-04-09 | Panasonic Corporation | Encoding device, decoding device, and method thereof |
| WO2006003550A1 (en) * | 2004-06-28 | 2006-01-12 | Koninklijke Philips Electronics N.V. | Wireless audio |
| JP2008504566A (en) * | 2004-06-28 | 2008-02-14 | コーニンクレッカ フィリップス エレクトロニクス エヌ ヴィ | Acoustic transmission device, acoustic reception device, frequency range adaptation device, and acoustic signal transmission method |
| US7921007B2 (en) | 2004-08-17 | 2011-04-05 | Koninklijke Philips Electronics N.V. | Scalable audio coding |
| WO2006018748A1 (en) * | 2004-08-17 | 2006-02-23 | Koninklijke Philips Electronics N.V. | Scalable audio coding |
| US20070198274A1 (en) * | 2004-08-17 | 2007-08-23 | Koninklijke Philips Electronics, N.V. | Scalable audio coding |
| JP2008510197A (en) * | 2004-08-17 | 2008-04-03 | コーニンクレッカ フィリップス エレクトロニクス エヌ ヴィ | Scalable audio coding |
| US8015018B2 (en) | 2004-08-25 | 2011-09-06 | Dolby Laboratories Licensing Corporation | Multichannel decorrelation in spatial audio coding |
| US20080033731A1 (en) * | 2004-08-25 | 2008-02-07 | Dolby Laboratories Licensing Corporation | Temporal envelope shaping for spatial audio coding using frequency domain wiener filtering |
| US20080126104A1 (en) * | 2004-08-25 | 2008-05-29 | Dolby Laboratories Licensing Corporation | Multichannel Decorrelation In Spatial Audio Coding |
| US7945449B2 (en) | 2004-08-25 | 2011-05-17 | Dolby Laboratories Licensing Corporation | Temporal envelope shaping for spatial audio coding using frequency domain wiener filtering |
| US8255211B2 (en) | 2004-08-25 | 2012-08-28 | Dolby Laboratories Licensing Corporation | Temporal envelope shaping for spatial audio coding using frequency domain wiener filtering |
| US20080040103A1 (en) * | 2004-08-25 | 2008-02-14 | Dolby Laboratories Licensing Corporation | Temporal envelope shaping for spatial audio coding using frequency domain wiener filtering |
| EP3940697A1 (en) | 2004-08-25 | 2022-01-19 | Dolby Laboratories Licensing Corp. | Temporal envelope shaping for spatial audio coding using frequency domain wiener filtering |
| EP4036914A1 (en) | 2004-08-25 | 2022-08-03 | Dolby Laboratories Licensing Corporation | Temporal envelope shaping for spatial audio coding using frequency domain wiener filtering |
| EP3279893A1 (en) | 2004-08-25 | 2018-02-07 | Dolby Laboratories Licensing Corporation | Temporal envelope shaping for spatial audio coding using frequency domain wiener filtering |
| CN101044551B (en) * | 2004-10-20 | 2012-02-08 | 弗劳恩霍夫应用研究促进协会 | Individual channel shaping for bcc schemes and the like |
| US20060083385A1 (en) * | 2004-10-20 | 2006-04-20 | Eric Allamanche | Individual channel shaping for BCC schemes and the like |
| US20090319282A1 (en) * | 2004-10-20 | 2009-12-24 | Agere Systems Inc. | Diffuse sound shaping for bcc schemes and the like |
| KR100924576B1 (en) | 2004-10-20 | 2009-11-02 | 프라운호퍼-게젤샤프트 츄어 푀르더룽 데어 안게반텐 포르슝에.파우. | Individual channel temporal envelope shaping for binaural cue coding schemes and the like |
| WO2006045371A1 (en) * | 2004-10-20 | 2006-05-04 | Fraunhofer-Gesellschaft zur Förderung der angewandten Forschung e.V. | Individual channel temporal envelope shaping for binaural cue coding schemes and the like |
| US20060085200A1 (en) * | 2004-10-20 | 2006-04-20 | Eric Allamanche | Diffuse sound shaping for BCC schemes and the like |
| AU2005299068B2 (en) * | 2004-10-20 | 2008-10-30 | Dolby Laboratories Licensing Corporation | Individual channel temporal envelope shaping for binaural cue coding schemes and the like |
| US8204261B2 (en) | 2004-10-20 | 2012-06-19 | Fraunhofer-Gesellschaft Zur Foerderung Der Angewandten Forschung E.V. | Diffuse sound shaping for BCC schemes and the like |
| US7720230B2 (en) | 2004-10-20 | 2010-05-18 | Agere Systems, Inc. | Individual channel shaping for BCC schemes and the like |
| US8238562B2 (en) | 2004-10-20 | 2012-08-07 | Fraunhofer-Gesellschaft Zur Foerderung Der Angewandten Forschung E.V. | Diffuse sound shaping for BCC schemes and the like |
| US20060115100A1 (en) * | 2004-11-30 | 2006-06-01 | Christof Faller | Parametric coding of spatial audio with cues based on transmitted channels |
| US8340306B2 (en) | 2004-11-30 | 2012-12-25 | Agere Systems Llc | Parametric coding of spatial audio with object-based side information |
| US7761304B2 (en) | 2004-11-30 | 2010-07-20 | Agere Systems Inc. | Synchronizing parametric coding of spatial audio with externally provided downmix |
| US20090150161A1 (en) * | 2004-11-30 | 2009-06-11 | Agere Systems Inc. | Synchronizing parametric coding of spatial audio with externally provided downmix |
| US7787631B2 (en) | 2004-11-30 | 2010-08-31 | Agere Systems Inc. | Parametric coding of spatial audio with cues based on transmitted channels |
| US20060153408A1 (en) * | 2005-01-10 | 2006-07-13 | Christof Faller | Compact side information for parametric coding of spatial audio |
| US7903824B2 (en) | 2005-01-10 | 2011-03-08 | Agere Systems Inc. | Compact side information for parametric coding of spatial audio |
| US20080281588A1 (en) * | 2005-03-01 | 2008-11-13 | Japan Advanced Institute Of Science And Technology | Speech processing method and apparatus, storage medium, and speech system |
| US8065138B2 (en) * | 2005-03-01 | 2011-11-22 | Japan Advanced Institute Of Science And Technology | Speech processing method and apparatus, storage medium, and speech system |
| KR100933548B1 (en) | 2005-04-15 | 2009-12-23 | 돌비 스웨덴 에이비 | Temporal Envelope Shaping of Uncorrelated Signals |
| WO2006108543A1 (en) * | 2005-04-15 | 2006-10-19 | Coding Technologies Ab | Temporal envelope shaping of decorrelated signal |
| US8311840B2 (en) * | 2005-06-28 | 2012-11-13 | Qnx Software Systems Limited | Frequency extension of harmonic signals |
| US20060293016A1 (en) * | 2005-06-28 | 2006-12-28 | Harman Becker Automotive Systems, Wavemakers, Inc. | Frequency extension of harmonic signals |
| US20090129503A1 (en) * | 2005-06-29 | 2009-05-21 | Kyocera Corporation | Communication Device, Communication System, and Modulation Method |
| US20070094015A1 (en) * | 2005-09-22 | 2007-04-26 | Georges Samake | Audio codec using the Fast Fourier Transform, the partial overlap and a decomposition in two plans based on the energy. |
| US20070129036A1 (en) * | 2005-11-28 | 2007-06-07 | Samsung Electronics Co., Ltd. | Method and apparatus to reconstruct a high frequency component |
| US20090299755A1 (en) * | 2006-03-20 | 2009-12-03 | France Telecom | Method for Post-Processing a Signal in an Audio Decoder |
| WO2007107670A3 (en) * | 2006-03-20 | 2007-11-08 | France Telecom | Method for post-processing a signal in an audio decoder |
| US20080076374A1 (en) * | 2006-09-25 | 2008-03-27 | Avraham Grenader | System and method for filtering of angle modulated signals |
| US20090164221A1 (en) * | 2006-09-29 | 2009-06-25 | Dong Soo Kim | Methods and apparatuses for encoding and decoding object-based audio signals |
| US20090157411A1 (en) * | 2006-09-29 | 2009-06-18 | Dong Soo Kim | Methods and apparatuses for encoding and decoding object-based audio signals |
| US9792918B2 (en) | 2006-09-29 | 2017-10-17 | Lg Electronics Inc. | Methods and apparatuses for encoding and decoding object-based audio signals |
| US20110196685A1 (en) * | 2006-09-29 | 2011-08-11 | Lg Electronics Inc. | Methods and apparatuses for encoding and decoding object-based audio signals |
| US8625808B2 (en) | 2006-09-29 | 2014-01-07 | Lg Elecronics Inc. | Methods and apparatuses for encoding and decoding object-based audio signals |
| US8762157B2 (en) * | 2006-09-29 | 2014-06-24 | Lg Electronics Inc. | Methods and apparatuses for encoding and decoding object-based audio signals |
| US9384742B2 (en) | 2006-09-29 | 2016-07-05 | Lg Electronics Inc. | Methods and apparatuses for encoding and decoding object-based audio signals |
| US8504376B2 (en) | 2006-09-29 | 2013-08-06 | Lg Electronics Inc. | Methods and apparatuses for encoding and decoding object-based audio signals |
| US20130058500A1 (en) * | 2006-11-09 | 2013-03-07 | Sony Corporation | Frequency band extending apparatus, frequency band extending method, player apparatus, playing method, program and recording medium |
| EP1921610A3 (en) * | 2006-11-09 | 2011-11-30 | Sony Corporation | Frequency band extending apparatus, frequency band extending method, player apparatus, playing method, program and recording medium |
| US20080120095A1 (en) * | 2006-11-17 | 2008-05-22 | Samsung Electronics Co., Ltd. | Method and apparatus to encode and/or decode audio and/or speech signal |
| US20080288262A1 (en) * | 2006-11-24 | 2008-11-20 | Fujitsu Limited | Decoding apparatus and decoding method |
| US8249882B2 (en) * | 2006-11-24 | 2012-08-21 | Fujitsu Limited | Decoding apparatus and decoding method |
| US20080126102A1 (en) * | 2006-11-24 | 2008-05-29 | Fujitsu Limited | Decoding apparatus and decoding method |
| US8788275B2 (en) * | 2006-11-24 | 2014-07-22 | Fujitsu Limited | Decoding method and apparatus for an audio signal through high frequency compensation |
| CN101237317B (en) * | 2006-11-27 | 2010-09-29 | 华为技术有限公司 | Method and device for determining transmission spectrum |
| US20080195392A1 (en) * | 2007-01-18 | 2008-08-14 | Bernd Iser | System for providing an acoustic signal with extended bandwidth |
| US8160889B2 (en) | 2007-01-18 | 2012-04-17 | Nuance Communications, Inc. | System for providing an acoustic signal with extended bandwidth |
| EP1947644A1 (en) * | 2007-01-18 | 2008-07-23 | Harman Becker Automotive Systems GmbH | Method and apparatus for providing an acoustic signal with extended band-width |
| US8370133B2 (en) | 2007-08-27 | 2013-02-05 | Telefonaktiebolaget L M Ericsson (Publ) | Method and device for noise filling |
| US9111532B2 (en) | 2007-08-27 | 2015-08-18 | Telefonaktiebolaget L M Ericsson (Publ) | Methods and systems for perceptual spectral decoding |
| EP3401907A1 (en) | 2007-08-27 | 2018-11-14 | Telefonaktiebolaget LM Ericsson (publ) | Method and device for perceptual spectral decoding of an audio signal including filling of spectral holes |
| US11990147B2 (en) * | 2007-08-27 | 2024-05-21 | Telefonaktiebolaget Lm Ericsson (Publ) | Adaptive transition frequency between noise fill and bandwidth extension |
| EP3591650A1 (en) | 2007-08-27 | 2020-01-08 | Telefonaktiebolaget LM Ericsson (publ) | Method and device for filling of spectral holes |
| EP2186089A4 (en) * | 2007-08-27 | 2011-12-28 | Ericsson Telefon Ab L M | Method and device for noise filling |
| US20210110836A1 (en) * | 2007-08-27 | 2021-04-15 | Telefonaktiebolaget Lm Ericsson (Publ) | Adaptive transition frequency between noise fill and bandwidth extension |
| US20100241437A1 (en) * | 2007-08-27 | 2010-09-23 | Telefonaktiebolaget Lm Ericsson (Publ) | Method and device for noise filling |
| US20100250261A1 (en) * | 2007-11-06 | 2010-09-30 | Lasse Laaksonen | Encoder |
| US9082397B2 (en) | 2007-11-06 | 2015-07-14 | Nokia Technologies Oy | Encoder |
| US20100274555A1 (en) * | 2007-11-06 | 2010-10-28 | Lasse Laaksonen | Audio Coding Apparatus and Method Thereof |
| US8296157B2 (en) * | 2007-11-21 | 2012-10-23 | Electronics And Telecommunications Research Institute | Apparatus and method for deciding adaptive noise level for bandwidth extension |
| US20100094638A1 (en) * | 2007-11-21 | 2010-04-15 | Tae-Jin Lee | Apparatus and method for deciding adaptive noise level for bandwidth extension |
| US8688441B2 (en) | 2007-11-29 | 2014-04-01 | Motorola Mobility Llc | Method and apparatus to facilitate provision and use of an energy value to determine a spectral envelope shape for out-of-signal bandwidth content |
| US20090144062A1 (en) * | 2007-11-29 | 2009-06-04 | Motorola, Inc. | Method and Apparatus to Facilitate Provision and Use of an Energy Value to Determine a Spectral Envelope Shape for Out-of-Signal Bandwidth Content |
| US8433582B2 (en) | 2008-02-01 | 2013-04-30 | Motorola Mobility Llc | Method and apparatus for estimating high-band energy in a bandwidth extension system |
| US20090198498A1 (en) * | 2008-02-01 | 2009-08-06 | Motorola, Inc. | Method and Apparatus for Estimating High-Band Energy in a Bandwidth Extension System |
| US8527283B2 (en) | 2008-02-07 | 2013-09-03 | Motorola Mobility Llc | Method and apparatus for estimating high-band energy in a bandwidth extension system |
| US20110112844A1 (en) * | 2008-02-07 | 2011-05-12 | Motorola, Inc. | Method and apparatus for estimating high-band energy in a bandwidth extension system |
| US8463412B2 (en) | 2008-08-21 | 2013-06-11 | Motorola Mobility Llc | Method and apparatus to facilitate determining signal bounding frequencies |
| US20100049342A1 (en) * | 2008-08-21 | 2010-02-25 | Motorola, Inc. | Method and Apparatus to Facilitate Determining Signal Bounding Frequencies |
| US8468025B2 (en) * | 2008-12-31 | 2013-06-18 | Huawei Technologies Co., Ltd. | Method and apparatus for processing signal |
| US20110320211A1 (en) * | 2008-12-31 | 2011-12-29 | Liu Zexin | Method and apparatus for processing signal |
| US20100198587A1 (en) * | 2009-02-04 | 2010-08-05 | Motorola, Inc. | Bandwidth Extension Method and Apparatus for a Modified Discrete Cosine Transform Audio Coder |
| US8463599B2 (en) | 2009-02-04 | 2013-06-11 | Motorola Mobility Llc | Bandwidth extension method and apparatus for a modified discrete cosine transform audio coder |
| WO2010091013A1 (en) * | 2009-02-04 | 2010-08-12 | Motorola, Inc. | Bandwidth extension method and apparatus for a modified discrete cosine transform audio coder |
| US9460734B2 (en) * | 2009-04-03 | 2016-10-04 | Ntt Docomo, Inc. | Speech decoder with high-band generation and temporal envelope shaping |
| US9779744B2 (en) | 2009-04-03 | 2017-10-03 | Ntt Docomo, Inc. | Speech decoder with high-band generation and temporal envelope shaping |
| US10366696B2 (en) | 2009-04-03 | 2019-07-30 | Ntt Docomo, Inc. | Speech decoder with high-band generation and temporal envelope shaping |
| US9064500B2 (en) | 2009-04-03 | 2015-06-23 | Ntt Docomo, Inc. | Speech decoding system with temporal envelop shaping and high-band generation |
| US8655649B2 (en) | 2009-04-03 | 2014-02-18 | Ntt Docomo, Inc. | Speech encoding/decoding device |
| US20140163972A1 (en) * | 2009-04-03 | 2014-06-12 | Ntt Docomo, Inc. | Speech encoding/decoding device |
| TWI556227B (en) * | 2009-05-27 | 2016-11-01 | 杜比國際公司 | Systems and methods for generating a high frequency component of a signal from a low frequency component of the signal, a set-top box, a computer program product and storage medium thereof |
| EP3742442A1 (en) * | 2009-05-27 | 2020-11-25 | Dolby International AB | Efficient combined harmonic transposition |
| CN103971699A (en) * | 2009-05-27 | 2014-08-06 | 杜比国际公司 | Efficient combined harmonic transposition |
| US10304431B2 (en) | 2009-05-27 | 2019-05-28 | Dolby International Ab | Efficient combined harmonic transposition |
| EP2800093A1 (en) * | 2009-05-27 | 2014-11-05 | Dolby International AB | Efficient combined harmonic transposition |
| EP3324408A1 (en) * | 2009-05-27 | 2018-05-23 | Dolby International AB | Efficient combined harmonic transposition |
| EP4404195A3 (en) * | 2009-05-27 | 2024-08-14 | Dolby International AB | Efficient combined harmonic transposition |
| WO2010136459A1 (en) * | 2009-05-27 | 2010-12-02 | Dolby International Ab | Efficient combined harmonic transposition |
| US9881597B2 (en) | 2009-05-27 | 2018-01-30 | Dolby International Ab | Efficient combined harmonic transposition |
| EP4645309A3 (en) * | 2009-05-27 | 2025-11-19 | Dolby International AB | Efficient combined harmonic transposition |
| US10657937B2 (en) | 2009-05-27 | 2020-05-19 | Dolby International Ab | Efficient combined harmonic transposition |
| US8983852B2 (en) | 2009-05-27 | 2015-03-17 | Dolby International Ab | Efficient combined harmonic transposition |
| TWI484481B (en) * | 2009-05-27 | 2015-05-11 | 杜比國際公司 | System and method for generating high frequency components of the signal from low frequency components of the signal, and its set top box, computer program product, software program and storage medium |
| EP4152319A1 (en) * | 2009-05-27 | 2023-03-22 | Dolby International AB | Efficient combined harmonic transposition |
| US12142251B2 (en) | 2009-05-27 | 2024-11-12 | Dolby International Ab | Efficient combined harmonic transposition |
| EP4557283A1 (en) * | 2009-05-27 | 2025-05-21 | Dolby International AB | Efficient combined harmonic transposition |
| KR101303776B1 (en) * | 2009-05-27 | 2013-09-04 | 돌비 인터네셔널 에이비 | Efficient Combination Harmonic Modulation Method |
| US9190067B2 (en) | 2009-05-27 | 2015-11-17 | Dolby International Ab | Efficient combined harmonic transposition |
| US11200874B2 (en) | 2009-05-27 | 2021-12-14 | Dolby International Ab | Efficient combined harmonic transposition |
| US11935508B2 (en) | 2009-05-27 | 2024-03-19 | Dolby International Ab | Efficient combined harmonic transposition |
| EP3989223A1 (en) * | 2009-05-27 | 2022-04-27 | Dolby International AB | Efficient combined harmonic transposition |
| EP4481735A1 (en) * | 2009-05-27 | 2024-12-25 | Dolby International AB | Efficient combined harmonic transposition |
| EP4293669A3 (en) * | 2009-05-27 | 2024-01-17 | Dolby International AB | Efficient combined harmonic transposition |
| EP4481734A1 (en) * | 2009-05-27 | 2024-12-25 | Dolby International AB | Efficient combined harmonic transposition |
| US11657788B2 (en) | 2009-05-27 | 2023-05-23 | Dolby International Ab | Efficient combined harmonic transposition |
| US9691410B2 (en) | 2009-10-07 | 2017-06-27 | Sony Corporation | Frequency band extending device and method, encoding device and method, decoding device and method, and program |
| US11591657B2 (en) * | 2009-10-21 | 2023-02-28 | Dolby International Ab | Oversampling in a combined transposer filter bank |
| US10584386B2 (en) | 2009-10-21 | 2020-03-10 | Dolby International Ab | Oversampling in a combined transposer filterbank |
| WO2011047887A1 (en) * | 2009-10-21 | 2011-04-28 | Dolby International Ab | Oversampling in a combined transposer filter bank |
| EP4152320A1 (en) * | 2009-10-21 | 2023-03-22 | Dolby International AB | Oversampling in a combined transposer filter bank |
| EP4451267A1 (en) * | 2009-10-21 | 2024-10-23 | Dolby International AB | Oversampling in a combined transposer filter bank |
| US10186280B2 (en) | 2009-10-21 | 2019-01-22 | Dolby International Ab | Oversampling in a combined transposer filterbank |
| EP2800094A1 (en) * | 2009-10-21 | 2014-11-05 | Dolby International AB | Oversampling in a combined transposer filter bank |
| EP4276823A3 (en) * | 2009-10-21 | 2023-12-20 | Dolby International AB | Oversampling in a combined transposer filter bank |
| US8886346B2 (en) | 2009-10-21 | 2014-11-11 | Dolby International Ab | Oversampling in a combined transposer filter bank |
| EP3998606A1 (en) * | 2009-10-21 | 2022-05-18 | Dolby International AB | Oversampling in a combined transposer filter bank |
| EP3291231A1 (en) * | 2009-10-21 | 2018-03-07 | Dolby International AB | Oversampling in a combined transposer filterbank |
| EP4542546A3 (en) * | 2009-10-21 | 2025-04-30 | Dolby International AB | Oversampling in a combined transposer filter bank |
| EP4648048A3 (en) * | 2009-10-21 | 2025-11-19 | Dolby International AB | Oversampling in a combined transposer filter bank |
| US20210269880A1 (en) * | 2009-10-21 | 2021-09-02 | Dolby International Ab | Oversampling in a Combined Transposer Filter Bank |
| CN102576541B (en) * | 2009-10-21 | 2013-09-18 | 杜比国际公司 | Oversampling in a combined transposer filter bank |
| CN103559890A (en) * | 2009-10-21 | 2014-02-05 | 杜比国际公司 | Oversampling in a combined transposer filter bank |
| RU2494478C1 (en) * | 2009-10-21 | 2013-09-27 | Долби Интернешнл Аб | Oversampling in combined transposer filter bank |
| US10947594B2 (en) | 2009-10-21 | 2021-03-16 | Dolby International Ab | Oversampling in a combined transposer filter bank |
| CN103559889A (en) * | 2009-10-21 | 2014-02-05 | 杜比国际公司 | Oversampling in a combined transposer filter bank |
| EP4560629A1 (en) * | 2009-10-21 | 2025-05-28 | Dolby International AB | Oversampling in a combined transposer filter bank |
| US9384750B2 (en) | 2009-10-21 | 2016-07-05 | Dolby International Ab | Oversampling in a combined transposer filterbank |
| US9830928B2 (en) | 2009-10-21 | 2017-11-28 | Dolby International Ab | Oversampling in a combined transposer filterbank |
| EP3723090A1 (en) * | 2009-10-21 | 2020-10-14 | Dolby International AB | Oversampling in a combined transposer filter bank |
| CN102576541A (en) * | 2009-10-21 | 2012-07-11 | 杜比国际公司 | Oversampling in a combined transposer filter bank |
| US11993817B2 (en) | 2009-10-21 | 2024-05-28 | Dolby International Ab | Oversampling in a combined transposer filterbank |
| US11646047B2 (en) | 2010-01-19 | 2023-05-09 | Dolby International Ab | Subband block based harmonic transposition |
| AU2025201819B2 (en) * | 2010-01-19 | 2025-09-04 | Dolby International Ab | Improved Subband Block Based Harmonic Transposition |
| US9858945B2 (en) | 2010-01-19 | 2018-01-02 | Dolby International Ab | Subband block based harmonic transposition |
| US10109296B2 (en) | 2010-01-19 | 2018-10-23 | Dolby International Ab | Subband block based harmonic transposition |
| US9741362B2 (en) | 2010-01-19 | 2017-08-22 | Dolby International Ab | Subband block based harmonic transposition |
| CN104318930A (en) * | 2010-01-19 | 2015-01-28 | 杜比国际公司 | Subband processing unit and method for generating synthesis subband signal |
| US10699728B2 (en) | 2010-01-19 | 2020-06-30 | Dolby International Ab | Subband block based harmonic transposition |
| CN104318928A (en) * | 2010-01-19 | 2015-01-28 | 杜比国际公司 | Subband processing unit and method for generating synthesis subband signal |
| US11935555B2 (en) | 2010-01-19 | 2024-03-19 | Dolby International Ab | Subband block based harmonic transposition |
| US12165669B2 (en) | 2010-01-19 | 2024-12-10 | Dolby International Ab | Subband block based harmonic transposition |
| US11341984B2 (en) | 2010-01-19 | 2022-05-24 | Dolby International Ab | Subband block based harmonic transposition |
| US9203367B2 (en) | 2010-02-26 | 2015-12-01 | Fraunhofer-Gesellschaft Zur Foerderung Der Angewandten Forschung E.V. | Apparatus and method for modifying an audio signal using harmonic locking |
| US9264003B2 (en) | 2010-02-26 | 2016-02-16 | Fraunhofer-Gesellschaft Zur Foerderung Der Angewandten Forschung E.V. | Apparatus and method for modifying an audio signal using envelope shaping |
| CN103038819B (en) * | 2010-03-09 | 2015-02-18 | 弗兰霍菲尔运输应用研究公司 | Apparatus and method for processing an audio signal using patch border alignment |
| US9305557B2 (en) | 2010-03-09 | 2016-04-05 | Fraunhofer-Gesellschaft Zur Foerderung Der Angewandten Forschung E.V. | Apparatus and method for processing an audio signal using patch border alignment |
| US9240196B2 (en) | 2010-03-09 | 2016-01-19 | Fraunhofer-Gesellschaft Zur Foerderung Der Angewandten Forschung E.V. | Apparatus and method for handling transient sound events in audio signals when changing the replay speed or pitch |
| WO2011110499A1 (en) * | 2010-03-09 | 2011-09-15 | Fraunhofer-Gesellschaft Zur Foerderung Der Angewandten Forschung E.V. | Apparatus and method for processing an audio signal using patch border alignment |
| US11894002B2 (en) | 2010-03-09 | 2024-02-06 | Fraunhofer-Gesellschaft Zur Foerderung Der Angewandten Forschung | Apparatus and method for processing an input audio signal using cascaded filterbanks |
| CN103038819A (en) * | 2010-03-09 | 2013-04-10 | 弗兰霍菲尔运输应用研究公司 | Apparatus and method for processing an audio signal using patch border alignment |
| US10032458B2 (en) | 2010-03-09 | 2018-07-24 | Fraunhofer-Gesellschaft Zur Foerderung Der Angewandten Forschung E.V. | Apparatus and method for processing an input audio signal using cascaded filterbanks |
| US9905235B2 (en) | 2010-03-09 | 2018-02-27 | Fraunhofer-Gesellschaft Zur Foerderung Der Angewandten Forschung E.V. | Device and method for improved magnitude response and temporal alignment in a phase vocoder based bandwidth extension method for audio signals |
| US9318127B2 (en) | 2010-03-09 | 2016-04-19 | Fraunhofer-Gesellschaft Zur Foerderung Der Angewandten Forschung E.V. | Device and method for improved magnitude response and temporal alignment in a phase vocoder based bandwidth extension method for audio signals |
| US11495236B2 (en) | 2010-03-09 | 2022-11-08 | Fraunhofer-Gesellschaft Zur Foerderung Der Angewandten Forschung E.V. | Apparatus and method for processing an input audio signal using cascaded filterbanks |
| US12308036B2 (en) | 2010-03-09 | 2025-05-20 | Fraunhofer-Gesellschaft Zur Foerderung Der Angewandten Forschung E.V. | Apparatus and method for processing an input audio signal using cascaded filterbanks |
| US9792915B2 (en) | 2010-03-09 | 2017-10-17 | Fraunhofer-Gesellschaft Zur Foerderung Der Angewandten Forschung E.V. | Apparatus and method for processing an input audio signal using cascaded filterbanks |
| US10770079B2 (en) | 2010-03-09 | 2020-09-08 | Franhofer-Gesellschaft Zur Foerderung Der Angewandten Forschung E.V. | Apparatus and method for processing an input audio signal using cascaded filterbanks |
| EP3096320A1 (en) * | 2010-03-31 | 2016-11-23 | Sony Corporation | Decoding apparatus and method, encoding apparatus and method, and program |
| EP2555193A4 (en) * | 2010-03-31 | 2014-04-30 | Sony Corp | DECODING APPARATUS, DECODING METHOD, ENCODING APPARATUS, ENCODING METHOD, AND PROGRAM |
| US10381018B2 (en) | 2010-04-13 | 2019-08-13 | Sony Corporation | Signal processing apparatus and signal processing method, encoder and encoding method, decoder and decoding method, and program |
| US10224054B2 (en) | 2010-04-13 | 2019-03-05 | Sony Corporation | Signal processing apparatus and signal processing method, encoder and encoding method, decoder and decoding method, and program |
| US9406312B2 (en) | 2010-04-13 | 2016-08-02 | Sony Corporation | Signal processing apparatus and signal processing method, encoder and encoding method, decoder and decoding method, and program |
| US10546594B2 (en) | 2010-04-13 | 2020-01-28 | Sony Corporation | Signal processing apparatus and signal processing method, encoder and encoding method, decoder and decoding method, and program |
| US10297270B2 (en) | 2010-04-13 | 2019-05-21 | Sony Corporation | Signal processing apparatus and signal processing method, encoder and encoding method, decoder and decoding method, and program |
| US9583112B2 (en) | 2010-04-13 | 2017-02-28 | Sony Corporation | Signal processing apparatus and signal processing method, encoder and encoding method, decoder and decoding method, and program |
| US9659573B2 (en) | 2010-04-13 | 2017-05-23 | Sony Corporation | Signal processing apparatus and signal processing method, encoder and encoding method, decoder and decoding method, and program |
| US9679580B2 (en) | 2010-04-13 | 2017-06-13 | Sony Corporation | Signal processing apparatus and signal processing method, encoder and encoding method, decoder and decoding method, and program |
| US20130041673A1 (en) * | 2010-04-16 | 2013-02-14 | Fraunhofer-Gesellschaft Zur Foerderung Der Angewandten Forschung E.V. | Apparatus, method and computer program for generating a wideband signal using guided bandwidth extension and blind bandwidth extension |
| US9805735B2 (en) * | 2010-04-16 | 2017-10-31 | Fraunhofer-Gesellschaft Zur Foerderung Der Angewandten Forschung E.V. | Apparatus, method and computer program for generating a wideband signal using guided bandwidth extension and blind bandwidth extension |
| US20110261908A1 (en) * | 2010-04-27 | 2011-10-27 | Industrial Technology Research Institute | Soft demapping method and apparatus and communication system thereof |
| US12131742B2 (en) | 2010-07-19 | 2024-10-29 | Dolby International Ab | Processing of audio signals during high frequency reconstruction |
| US12106762B2 (en) | 2010-07-19 | 2024-10-01 | Dolby International Ab | Processing of audio signals during high frequency reconstruction |
| US10283122B2 (en) | 2010-07-19 | 2019-05-07 | Dolby International Ab | Processing of audio signals during high frequency reconstruction |
| US12002476B2 (en) | 2010-07-19 | 2024-06-04 | Dolby International Ab | Processing of audio signals during high frequency reconstruction |
| US12106761B2 (en) | 2010-07-19 | 2024-10-01 | Dolby International Ab | Processing of audio signals during high frequency reconstruction |
| US11568880B2 (en) | 2010-07-19 | 2023-01-31 | Dolby International Ab | Processing of audio signals during high frequency reconstruction |
| US11031019B2 (en) | 2010-07-19 | 2021-06-08 | Dolby International Ab | Processing of audio signals during high frequency reconstruction |
| US20130124214A1 (en) * | 2010-08-03 | 2013-05-16 | Yuki Yamamoto | Signal processing apparatus and method, and program |
| US9767814B2 (en) | 2010-08-03 | 2017-09-19 | Sony Corporation | Signal processing apparatus and method, and program |
| US11011179B2 (en) | 2010-08-03 | 2021-05-18 | Sony Corporation | Signal processing apparatus and method, and program |
| US10229690B2 (en) | 2010-08-03 | 2019-03-12 | Sony Corporation | Signal processing apparatus and method, and program |
| US9406306B2 (en) * | 2010-08-03 | 2016-08-02 | Sony Corporation | Signal processing apparatus and method, and program |
| US10236015B2 (en) | 2010-10-15 | 2019-03-19 | Sony Corporation | Encoding device and method, decoding device and method, and program |
| US9767824B2 (en) | 2010-10-15 | 2017-09-19 | Sony Corporation | Encoding device and method, decoding device and method, and program |
| US20130346073A1 (en) * | 2011-01-12 | 2013-12-26 | Nokia Corporation | Audio encoder/decoder apparatus |
| WO2012095700A1 (en) * | 2011-01-12 | 2012-07-19 | Nokia Corporation | An audio encoder/decoder apparatus |
| US9390717B2 (en) | 2011-08-24 | 2016-07-12 | Sony Corporation | Encoding device and method, decoding device and method, and program |
| WO2013066238A3 (en) * | 2011-11-02 | 2013-08-01 | Telefonaktiebolaget L M Ericsson (Publ) | Generation of a high band extension of a bandwidth extended audio signal |
| US9251800B2 (en) | 2011-11-02 | 2016-02-02 | Telefonaktiebolaget L M Ericsson (Publ) | Generation of a high band extension of a bandwidth extended audio signal |
| RU2612584C2 (en) * | 2012-02-27 | 2017-03-09 | Фраунхофер-Гезелльшафт Цур Фердерунг Дер Ангевандтен Форшунг Е.Ф. | Control over phase coherency for harmonic signals in perceptual audio codecs |
| WO2013127801A1 (en) * | 2012-02-27 | 2013-09-06 | Fraunhofer-Gesellschaft zur Förderung der angewandten Forschung e.V. | Phase coherence control for harmonic signals in perceptual audio codecs |
| US10818304B2 (en) | 2012-02-27 | 2020-10-27 | Fraunhofer-Gesellschaft Zur Foerderung Der Angewandten Forschung E.V. | Phase coherence control for harmonic signals in perceptual audio codecs |
| EP2631906A1 (en) * | 2012-02-27 | 2013-08-28 | Fraunhofer-Gesellschaft zur Förderung der angewandten Forschung e.V. | Phase coherence control for harmonic signals in perceptual audio codecs |
| AU2013225076B2 (en) * | 2012-02-27 | 2016-04-21 | Fraunhofer-Gesellschaft Zur Foerderung Der Angewandten Forschung E.V. | Phase coherence control for harmonic signals in perceptual audio codecs |
| US11562760B2 (en) | 2012-04-27 | 2023-01-24 | Ntt Docomo, Inc. | Audio decoding device, audio coding device, audio decoding method, audio coding method, audio decoding program, and audio coding program |
| US20170301363A1 (en) * | 2012-04-27 | 2017-10-19 | Ntt Docomo, Inc. | Audio decoding device, audio coding device, audio decoding method, audio coding method, audio decoding program, and audio coding program |
| US10068584B2 (en) * | 2012-04-27 | 2018-09-04 | Ntt Docomo, Inc. | Audio decoding device, audio coding device, audio decoding method, audio coding method, audio decoding program, and audio coding program |
| US10714113B2 (en) * | 2012-04-27 | 2020-07-14 | Ntt Docomo, Inc. | Audio decoding device, audio coding device, audio decoding method, audio coding method, audio decoding program, and audio coding program |
| US20150051904A1 (en) * | 2012-04-27 | 2015-02-19 | Ntt Docomo, Inc. | Audio decoding device, audio coding device, audio decoding method, audio coding method, audio decoding program, and audio coding program |
| US9761240B2 (en) * | 2012-04-27 | 2017-09-12 | Ntt Docomo, Inc | Audio decoding device, audio coding device, audio decoding method, audio coding method, audio decoding program, and audio coding program |
| US20180336909A1 (en) * | 2012-04-27 | 2018-11-22 | Ntt Docomo, Inc. | Audio decoding device, audio coding device, audio decoding method, audio coding method, audio decoding program, and audio coding program |
| EP2923355B1 (en) * | 2012-11-26 | 2018-07-04 | Harman International Industries, Inc. | System, computer-readable storage medium and method for repair of compressed audio signals |
| US20160055854A1 (en) * | 2013-03-29 | 2016-02-25 | Dolby Laboratories Licensing Corporation | Methods and Apparatuses for Generating and Using Low-Resolution Preview Tracks with High-Quality Encoded Object and Multichannel Audio Signals |
| US9786286B2 (en) * | 2013-03-29 | 2017-10-10 | Dolby Laboratories Licensing Corporation | Methods and apparatuses for generating and using low-resolution preview tracks with high-quality encoded object and multichannel audio signals |
| CN105340010A (en) * | 2013-06-10 | 2016-02-17 | 弗朗霍夫应用科学研究促进协会 | Apparatus and method for audio signal envelope encoding, processing and decoding by splitting the audio signal envelope employing distribution quantization and coding |
| US10115406B2 (en) | 2013-06-10 | 2018-10-30 | Fraunhofer-Gesellschaft Zur Foerderung Der Angewandten Forschung E.V | Apparatus and method for audio signal envelope encoding, processing, and decoding by splitting the audio signal envelope employing distribution quantization and coding |
| US10734008B2 (en) | 2013-06-10 | 2020-08-04 | Fraunhofer-Gesellschaft zur Förderung der angewandten Forschung e.V. | Apparatus and method for audio signal envelope encoding, processing, and decoding by modelling a cumulative sum representation employing distribution quantization and coding |
| CN105340010B (en) * | 2013-06-10 | 2019-06-04 | 弗朗霍夫应用科学研究促进协会 | Apparatus and method for audio signal envelope encoding, processing and decoding by applying distributed quantization and coding to split the audio signal envelope |
| US11776551B2 (en) | 2013-06-21 | 2023-10-03 | Fraunhofer-Gesellschaft Zur Foerderung Der Angewandten Forschung E.V. | Apparatus and method for improved signal fade out in different domains during error concealment |
| US11869514B2 (en) | 2013-06-21 | 2024-01-09 | Fraunhofer-Gesellschaft Zur Foerderung Der Angewandten Forschung E.V. | Apparatus and method for improved signal fade out for switched audio coding systems during error concealment |
| US12125491B2 (en) | 2013-06-21 | 2024-10-22 | Fraunhofer-Gesellschaft Zur Foerderung Der Angewandten Forschung E.V. | Apparatus and method realizing improved concepts for TCX LTP |
| CN110299147A (en) * | 2013-06-21 | 2019-10-01 | 弗朗霍夫应用科学研究促进协会 | For the device and method of improvement signal fadeout of the suitching type audio coding system in error concealment procedure |
| US20150012282A1 (en) * | 2013-07-03 | 2015-01-08 | Ear Machine LLC | Processing Multichannel Audio Signals |
| US9454970B2 (en) * | 2013-07-03 | 2016-09-27 | Bose Corporation | Processing multichannel audio signals |
| US11996106B2 (en) | 2013-07-22 | 2024-05-28 | Fraunhofer-Gesellschaft Zur Foerderung Der Angewandten Forschung E. V. | Apparatus and method for encoding and decoding an encoded audio signal using temporal noise/patch shaping |
| CN111554310A (en) * | 2013-07-22 | 2020-08-18 | 弗劳恩霍夫应用研究促进协会 | Apparatus and method for encoding or decoding an audio signal with intelligent gap filling in the spectral domain |
| US11922956B2 (en) | 2013-07-22 | 2024-03-05 | Fraunhofer-Gesellschaft Zur Foerderung Der Angewandten Forschung E.V. | Apparatus and method for encoding or decoding an audio signal with intelligent gap filling in the spectral domain |
| US11769512B2 (en) | 2013-07-22 | 2023-09-26 | Fraunhofer-Gesellschaft Zur Foerderung Der Angewandten Forschung E.V. | Apparatus and method for decoding and encoding an audio signal using adaptive spectral tile selection |
| US11769513B2 (en) | 2013-07-22 | 2023-09-26 | Fraunhofer-Gesellschaft Zur Foerderung Der Angewandten Forschung E.V. | Apparatus and method for decoding or encoding an audio signal using energy information values for a reconstruction band |
| US11735192B2 (en) | 2013-07-22 | 2023-08-22 | Fraunhofer-Gesellschaft Zur Foerderung Der Angewandten Forschung E.V. | Audio encoder, audio decoder and related methods using two-channel processing within an intelligent gap filling framework |
| US12142284B2 (en) | 2013-07-22 | 2024-11-12 | Fraunhofer-Gesellschaft Zur Foerderung Der Angewandten Forschung E.V. | Audio encoder, audio decoder and related methods using two-channel processing within an intelligent gap filling framework |
| US10157624B2 (en) | 2013-08-23 | 2018-12-18 | Fraunhofer-Gesellschaft Zur Foerderung Der Angewandten Forschung E.V. | Apparatus and method for processing an audio signal using a combination in an overlap range |
| US10210879B2 (en) | 2013-08-23 | 2019-02-19 | Fraunhofer-Gesellschaft Zur Foerderung Der Andewandten Forschung E.V. | Apparatus and method for processing an audio signal using an aliasing error signal |
| US9875746B2 (en) | 2013-09-19 | 2018-01-23 | Sony Corporation | Encoding device and method, decoding device and method, and program |
| US10692511B2 (en) | 2013-12-27 | 2020-06-23 | Sony Corporation | Decoding apparatus and method, and program |
| US12183353B2 (en) | 2013-12-27 | 2024-12-31 | Sony Group Corporation | Decoding apparatus and method, and program |
| US11705140B2 (en) | 2013-12-27 | 2023-07-18 | Sony Corporation | Decoding apparatus and method, and program |
| US20150194157A1 (en) * | 2014-01-06 | 2015-07-09 | Nvidia Corporation | System, method, and computer program product for artifact reduction in high-frequency regeneration audio signals |
| US20170330584A1 (en) * | 2016-05-10 | 2017-11-16 | JVC Kenwood Corporation | Encoding device, decoding device, and communication system for extending voice band |
| US10056093B2 (en) * | 2016-05-10 | 2018-08-21 | JVC Kenwood Corporation | Encoding device, decoding device, and communication system for extending voice band |
| CN107545900A (en) * | 2017-08-16 | 2018-01-05 | 广州广晟数码技术有限公司 | Bandwidth extension encoding and the method and apparatus of decoding medium-high frequency string signal generation |
| US11114110B2 (en) | 2017-10-27 | 2021-09-07 | Fraunhofer-Gesellschaft Zur Forderung Der Angewandten Forschung E.V. | Noise attenuation at a decoder |
| WO2019081089A1 (en) * | 2017-10-27 | 2019-05-02 | Fraunhofer-Gesellschaft zur Förderung der angewandten Forschung e.V. | Noise attenuation at a decoder |
| US12046247B2 (en) | 2017-12-21 | 2024-07-23 | Dolby Laboratories Licensing Corporation | Selective forward error correction for spatial audio codecs |
| EP4394766A4 (en) * | 2022-06-15 | 2025-01-22 | Tencent Technology (Shenzhen) Company Limited | AUDIO PROCESSING METHOD AND APPARATUS AS WELL AS ELECTRONIC DEVICE, COMPUTER-READABLE STORAGE MEDIUM AND COMPUTER PROGRAM PRODUCT |
Also Published As
Similar Documents
| Publication | Publication Date | Title |
|---|---|---|
| US10529347B2 (en) | Methods, apparatus and systems for determining reconstructed audio signal | |
| HK1114233B (en) | A method for generating a reconstructed signal |
Legal Events
| Date | Code | Title | Description |
|---|---|---|---|
| AS | Assignment |
Owner name: DOLBY LABORATORIES LICENSING CORPORATION, CALIFORN Free format text: ASSIGNMENT OF ASSIGNORS INTEREST;ASSIGNORS:TRUMAN, MICHAEL MEAD;VINTON, MARK STUART;REEL/FRAME:013025/0745 Effective date: 20020528 |
|
| STCB | Information on status: application discontinuation |
Free format text: ABANDONED -- FAILURE TO RESPOND TO AN OFFICE ACTION |







