US20030171889A1 - Method and device for predicting temperature profiles throughout the thickness of a polymer preform - Google Patents
Method and device for predicting temperature profiles throughout the thickness of a polymer preform Download PDFInfo
- Publication number
- US20030171889A1 US20030171889A1 US10/090,242 US9024202A US2003171889A1 US 20030171889 A1 US20030171889 A1 US 20030171889A1 US 9024202 A US9024202 A US 9024202A US 2003171889 A1 US2003171889 A1 US 2003171889A1
- Authority
- US
- United States
- Prior art keywords
- preform
- temperature
- temperature distribution
- thickness
- outside surface
- Prior art date
- Legal status (The legal status is an assumption and is not a legal conclusion. Google has not performed a legal analysis and makes no representation as to the accuracy of the status listed.)
- Abandoned
Links
- 238000000034 method Methods 0.000 title claims abstract description 47
- 229920000642 polymer Polymers 0.000 title claims description 10
- 238000009826 distribution Methods 0.000 claims abstract description 77
- 238000000071 blow moulding Methods 0.000 claims abstract description 67
- 238000004422 calculation algorithm Methods 0.000 claims abstract description 29
- 238000001816 cooling Methods 0.000 claims abstract description 25
- 229920000728 polyester Polymers 0.000 claims description 29
- 238000009529 body temperature measurement Methods 0.000 claims description 16
- 238000010438 heat treatment Methods 0.000 claims description 13
- 239000012080 ambient air Substances 0.000 claims description 9
- 229920001634 Copolyester Polymers 0.000 claims description 8
- 238000004519 manufacturing process Methods 0.000 claims description 8
- NLHHRLWOUZZQLW-UHFFFAOYSA-N Acrylonitrile Chemical compound C=CC#N NLHHRLWOUZZQLW-UHFFFAOYSA-N 0.000 claims description 4
- 239000004677 Nylon Substances 0.000 claims description 4
- 239000004715 ethylene vinyl alcohol Substances 0.000 claims description 4
- 229920001778 nylon Polymers 0.000 claims description 4
- 229920000515 polycarbonate Polymers 0.000 claims description 4
- 239000004417 polycarbonate Substances 0.000 claims description 4
- 229920000098 polyolefin Polymers 0.000 claims description 4
- 239000004800 polyvinyl chloride Substances 0.000 claims description 4
- 229920000219 Ethylene vinyl alcohol Polymers 0.000 claims 3
- RZXDTJIXPSCHCI-UHFFFAOYSA-N hexa-1,5-diene-2,5-diol Chemical compound OC(=C)CCC(O)=C RZXDTJIXPSCHCI-UHFFFAOYSA-N 0.000 claims 3
- 229920000915 polyvinyl chloride Polymers 0.000 claims 3
- 239000003570 air Substances 0.000 description 14
- 238000005259 measurement Methods 0.000 description 12
- 238000012546 transfer Methods 0.000 description 11
- 230000008569 process Effects 0.000 description 10
- 101100476210 Caenorhabditis elegans rnt-1 gene Proteins 0.000 description 6
- 238000013459 approach Methods 0.000 description 5
- 238000011067 equilibration Methods 0.000 description 5
- 229920000139 polyethylene terephthalate Polymers 0.000 description 5
- 239000005020 polyethylene terephthalate Substances 0.000 description 5
- 230000000694 effects Effects 0.000 description 4
- -1 poly(ethyleneterephthalate) Polymers 0.000 description 4
- 238000007664 blowing Methods 0.000 description 3
- 238000004364 calculation method Methods 0.000 description 3
- 238000011161 development Methods 0.000 description 3
- 239000000047 product Substances 0.000 description 3
- 230000005855 radiation Effects 0.000 description 3
- 230000004044 response Effects 0.000 description 3
- 229920002292 Nylon 6 Polymers 0.000 description 2
- 101100146536 Picea mariana RPS15 gene Proteins 0.000 description 2
- 230000004888 barrier function Effects 0.000 description 2
- 235000013305 food Nutrition 0.000 description 2
- 239000007789 gas Substances 0.000 description 2
- BASFCYQUMIYNBI-UHFFFAOYSA-N platinum Chemical compound [Pt] BASFCYQUMIYNBI-UHFFFAOYSA-N 0.000 description 2
- 238000004886 process control Methods 0.000 description 2
- 239000010453 quartz Substances 0.000 description 2
- VYPSYNLAJGMNEJ-UHFFFAOYSA-N silicon dioxide Inorganic materials O=[Si]=O VYPSYNLAJGMNEJ-UHFFFAOYSA-N 0.000 description 2
- 239000000126 substance Substances 0.000 description 2
- 238000001931 thermography Methods 0.000 description 2
- IVSZLXZYQVIEFR-UHFFFAOYSA-N 1,3-Dimethylbenzene Natural products CC1=CC=CC(C)=C1 IVSZLXZYQVIEFR-UHFFFAOYSA-N 0.000 description 1
- VZSRBBMJRBPUNF-UHFFFAOYSA-N 2-(2,3-dihydro-1H-inden-2-ylamino)-N-[3-oxo-3-(2,4,6,7-tetrahydrotriazolo[4,5-c]pyridin-5-yl)propyl]pyrimidine-5-carboxamide Chemical compound C1C(CC2=CC=CC=C12)NC1=NC=C(C=N1)C(=O)NCCC(N1CC2=C(CC1)NN=N2)=O VZSRBBMJRBPUNF-UHFFFAOYSA-N 0.000 description 1
- 239000004698 Polyethylene Substances 0.000 description 1
- 239000004743 Polypropylene Substances 0.000 description 1
- CDBYLPFSWZWCQE-UHFFFAOYSA-L Sodium Carbonate Chemical compound [Na+].[Na+].[O-]C([O-])=O CDBYLPFSWZWCQE-UHFFFAOYSA-L 0.000 description 1
- 239000000654 additive Substances 0.000 description 1
- 238000003491 array Methods 0.000 description 1
- QVGXLLKOCUKJST-UHFFFAOYSA-N atomic oxygen Chemical compound [O] QVGXLLKOCUKJST-UHFFFAOYSA-N 0.000 description 1
- 235000013361 beverage Nutrition 0.000 description 1
- 235000012174 carbonated soft drink Nutrition 0.000 description 1
- 230000008859 change Effects 0.000 description 1
- 239000003086 colorant Substances 0.000 description 1
- 229920001577 copolymer Polymers 0.000 description 1
- 238000002425 crystallisation Methods 0.000 description 1
- 230000008025 crystallization Effects 0.000 description 1
- 230000007423 decrease Effects 0.000 description 1
- 238000009795 derivation Methods 0.000 description 1
- 238000013461 design Methods 0.000 description 1
- 238000002474 experimental method Methods 0.000 description 1
- 238000013213 extrapolation Methods 0.000 description 1
- 238000009472 formulation Methods 0.000 description 1
- 238000003384 imaging method Methods 0.000 description 1
- 238000007689 inspection Methods 0.000 description 1
- 239000010410 layer Substances 0.000 description 1
- 239000007788 liquid Substances 0.000 description 1
- 239000000463 material Substances 0.000 description 1
- 229910052751 metal Inorganic materials 0.000 description 1
- 239000002184 metal Substances 0.000 description 1
- 238000002156 mixing Methods 0.000 description 1
- 239000000203 mixture Substances 0.000 description 1
- 238000012986 modification Methods 0.000 description 1
- 230000004048 modification Effects 0.000 description 1
- 238000000465 moulding Methods 0.000 description 1
- 230000003287 optical effect Effects 0.000 description 1
- 238000013021 overheating Methods 0.000 description 1
- 239000001301 oxygen Substances 0.000 description 1
- 229910052760 oxygen Inorganic materials 0.000 description 1
- 238000012858 packaging process Methods 0.000 description 1
- 230000035699 permeability Effects 0.000 description 1
- 239000012466 permeate Substances 0.000 description 1
- 230000000704 physical effect Effects 0.000 description 1
- 229910052697 platinum Inorganic materials 0.000 description 1
- 229920000573 polyethylene Polymers 0.000 description 1
- 229920001155 polypropylene Polymers 0.000 description 1
- 238000003303 reheating Methods 0.000 description 1
- 239000000523 sample Substances 0.000 description 1
- 238000001073 sample cooling Methods 0.000 description 1
- 230000035945 sensitivity Effects 0.000 description 1
- 238000000926 separation method Methods 0.000 description 1
- 239000002356 single layer Substances 0.000 description 1
- 238000009987 spinning Methods 0.000 description 1
- 239000003381 stabilizer Substances 0.000 description 1
- 238000010561 standard procedure Methods 0.000 description 1
- 239000000758 substrate Substances 0.000 description 1
- 238000012360 testing method Methods 0.000 description 1
Images
Classifications
-
- B—PERFORMING OPERATIONS; TRANSPORTING
- B29—WORKING OF PLASTICS; WORKING OF SUBSTANCES IN A PLASTIC STATE IN GENERAL
- B29C—SHAPING OR JOINING OF PLASTICS; SHAPING OF MATERIAL IN A PLASTIC STATE, NOT OTHERWISE PROVIDED FOR; AFTER-TREATMENT OF THE SHAPED PRODUCTS, e.g. REPAIRING
- B29C49/00—Blow-moulding, i.e. blowing a preform or parison to a desired shape within a mould; Apparatus therefor
- B29C49/42—Component parts, details or accessories; Auxiliary operations
- B29C49/64—Heating or cooling preforms, parisons or blown articles
- B29C49/6409—Thermal conditioning of preforms
- B29C49/6436—Thermal conditioning of preforms characterised by temperature differential
- B29C49/6454—Thermal conditioning of preforms characterised by temperature differential through the preform thickness
-
- B—PERFORMING OPERATIONS; TRANSPORTING
- B29—WORKING OF PLASTICS; WORKING OF SUBSTANCES IN A PLASTIC STATE IN GENERAL
- B29C—SHAPING OR JOINING OF PLASTICS; SHAPING OF MATERIAL IN A PLASTIC STATE, NOT OTHERWISE PROVIDED FOR; AFTER-TREATMENT OF THE SHAPED PRODUCTS, e.g. REPAIRING
- B29C49/00—Blow-moulding, i.e. blowing a preform or parison to a desired shape within a mould; Apparatus therefor
- B29C49/42—Component parts, details or accessories; Auxiliary operations
- B29C49/64—Heating or cooling preforms, parisons or blown articles
- B29C49/68—Ovens specially adapted for heating preforms or parisons
-
- B—PERFORMING OPERATIONS; TRANSPORTING
- B29—WORKING OF PLASTICS; WORKING OF SUBSTANCES IN A PLASTIC STATE IN GENERAL
- B29C—SHAPING OR JOINING OF PLASTICS; SHAPING OF MATERIAL IN A PLASTIC STATE, NOT OTHERWISE PROVIDED FOR; AFTER-TREATMENT OF THE SHAPED PRODUCTS, e.g. REPAIRING
- B29C35/00—Heating, cooling or curing, e.g. crosslinking or vulcanising; Apparatus therefor
- B29C35/02—Heating or curing, e.g. crosslinking or vulcanizing during moulding, e.g. in a mould
- B29C35/08—Heating or curing, e.g. crosslinking or vulcanizing during moulding, e.g. in a mould by wave energy or particle radiation
- B29C35/0805—Heating or curing, e.g. crosslinking or vulcanizing during moulding, e.g. in a mould by wave energy or particle radiation using electromagnetic radiation
- B29C2035/0822—Heating or curing, e.g. crosslinking or vulcanizing during moulding, e.g. in a mould by wave energy or particle radiation using electromagnetic radiation using IR radiation
-
- B—PERFORMING OPERATIONS; TRANSPORTING
- B29—WORKING OF PLASTICS; WORKING OF SUBSTANCES IN A PLASTIC STATE IN GENERAL
- B29C—SHAPING OR JOINING OF PLASTICS; SHAPING OF MATERIAL IN A PLASTIC STATE, NOT OTHERWISE PROVIDED FOR; AFTER-TREATMENT OF THE SHAPED PRODUCTS, e.g. REPAIRING
- B29C49/00—Blow-moulding, i.e. blowing a preform or parison to a desired shape within a mould; Apparatus therefor
- B29C49/42—Component parts, details or accessories; Auxiliary operations
- B29C49/78—Measuring, controlling or regulating
- B29C49/786—Temperature
- B29C2049/7861—Temperature of the preform
-
- B—PERFORMING OPERATIONS; TRANSPORTING
- B29—WORKING OF PLASTICS; WORKING OF SUBSTANCES IN A PLASTIC STATE IN GENERAL
- B29C—SHAPING OR JOINING OF PLASTICS; SHAPING OF MATERIAL IN A PLASTIC STATE, NOT OTHERWISE PROVIDED FOR; AFTER-TREATMENT OF THE SHAPED PRODUCTS, e.g. REPAIRING
- B29C49/00—Blow-moulding, i.e. blowing a preform or parison to a desired shape within a mould; Apparatus therefor
- B29C49/42—Component parts, details or accessories; Auxiliary operations
- B29C49/78—Measuring, controlling or regulating
- B29C49/786—Temperature
- B29C2049/7861—Temperature of the preform
- B29C2049/7862—Temperature of the preform characterised by temperature values or ranges
-
- B—PERFORMING OPERATIONS; TRANSPORTING
- B29—WORKING OF PLASTICS; WORKING OF SUBSTANCES IN A PLASTIC STATE IN GENERAL
- B29C—SHAPING OR JOINING OF PLASTICS; SHAPING OF MATERIAL IN A PLASTIC STATE, NOT OTHERWISE PROVIDED FOR; AFTER-TREATMENT OF THE SHAPED PRODUCTS, e.g. REPAIRING
- B29C49/00—Blow-moulding, i.e. blowing a preform or parison to a desired shape within a mould; Apparatus therefor
- B29C49/42—Component parts, details or accessories; Auxiliary operations
- B29C49/78—Measuring, controlling or regulating
- B29C2049/788—Controller type or interface
- B29C2049/78805—Computer or PLC control
-
- B—PERFORMING OPERATIONS; TRANSPORTING
- B29—WORKING OF PLASTICS; WORKING OF SUBSTANCES IN A PLASTIC STATE IN GENERAL
- B29C—SHAPING OR JOINING OF PLASTICS; SHAPING OF MATERIAL IN A PLASTIC STATE, NOT OTHERWISE PROVIDED FOR; AFTER-TREATMENT OF THE SHAPED PRODUCTS, e.g. REPAIRING
- B29C2949/00—Indexing scheme relating to blow-moulding
- B29C2949/07—Preforms or parisons characterised by their configuration
- B29C2949/0715—Preforms or parisons characterised by their configuration the preform having one end closed
-
- B—PERFORMING OPERATIONS; TRANSPORTING
- B29—WORKING OF PLASTICS; WORKING OF SUBSTANCES IN A PLASTIC STATE IN GENERAL
- B29C—SHAPING OR JOINING OF PLASTICS; SHAPING OF MATERIAL IN A PLASTIC STATE, NOT OTHERWISE PROVIDED FOR; AFTER-TREATMENT OF THE SHAPED PRODUCTS, e.g. REPAIRING
- B29C49/00—Blow-moulding, i.e. blowing a preform or parison to a desired shape within a mould; Apparatus therefor
- B29C49/02—Combined blow-moulding and manufacture of the preform or the parison
- B29C49/06—Injection blow-moulding
-
- B—PERFORMING OPERATIONS; TRANSPORTING
- B29—WORKING OF PLASTICS; WORKING OF SUBSTANCES IN A PLASTIC STATE IN GENERAL
- B29K—INDEXING SCHEME ASSOCIATED WITH SUBCLASSES B29B, B29C OR B29D, RELATING TO MOULDING MATERIALS OR TO MATERIALS FOR MOULDS, REINFORCEMENTS, FILLERS OR PREFORMED PARTS, e.g. INSERTS
- B29K2667/00—Use of polyesters or derivatives thereof for preformed parts, e.g. for inserts
-
- B—PERFORMING OPERATIONS; TRANSPORTING
- B29—WORKING OF PLASTICS; WORKING OF SUBSTANCES IN A PLASTIC STATE IN GENERAL
- B29K—INDEXING SCHEME ASSOCIATED WITH SUBCLASSES B29B, B29C OR B29D, RELATING TO MOULDING MATERIALS OR TO MATERIALS FOR MOULDS, REINFORCEMENTS, FILLERS OR PREFORMED PARTS, e.g. INSERTS
- B29K2995/00—Properties of moulding materials, reinforcements, fillers, preformed parts or moulds
- B29K2995/0037—Other properties
- B29K2995/0065—Permeability to gases
- B29K2995/0067—Permeability to gases non-permeable
-
- B—PERFORMING OPERATIONS; TRANSPORTING
- B29—WORKING OF PLASTICS; WORKING OF SUBSTANCES IN A PLASTIC STATE IN GENERAL
- B29K—INDEXING SCHEME ASSOCIATED WITH SUBCLASSES B29B, B29C OR B29D, RELATING TO MOULDING MATERIALS OR TO MATERIALS FOR MOULDS, REINFORCEMENTS, FILLERS OR PREFORMED PARTS, e.g. INSERTS
- B29K2995/00—Properties of moulding materials, reinforcements, fillers, preformed parts or moulds
- B29K2995/0037—Other properties
- B29K2995/0083—Creep
-
- B—PERFORMING OPERATIONS; TRANSPORTING
- B29—WORKING OF PLASTICS; WORKING OF SUBSTANCES IN A PLASTIC STATE IN GENERAL
- B29L—INDEXING SCHEME ASSOCIATED WITH SUBCLASS B29C, RELATING TO PARTICULAR ARTICLES
- B29L2031/00—Other particular articles
- B29L2031/712—Containers; Packaging elements or accessories, Packages
- B29L2031/7158—Bottles
Definitions
- This invention relates generally to methods for producing polyester containers and particularly to methods for determining the temperature distribution throughout the thickness of a polyester preform used in a reheat stretch blow molding process for making polyester containers.
- the containers used to package many consumer products are made from polyester, particularly poly(ethyleneterephthalate) (“PET”).
- PET poly(ethyleneterephthalate)
- the process for producing such containers involves making a PET preform and reheat stretch blow molding the preform into a container, typically a bottle.
- These containers must have properties that permit them to function in the product manufacturing or packaging process and be capable of maintaining the integrity of the product in the container for prolonged periods.
- the container properties of most interest are typically the strength of the container, the permeability of the container to liquids and gases, and the haze (optical properties) of the final bottle. All of these parameters are a strong function of the preform temperature distribution at the time of blow molding.
- the high pressure of CO 2 in the container tends to cause the bottle to undesirably expand or “creep” over time.
- the CO 2 tends to permeate through the bottle sidewall until a point is reached where the soda goes “flat.”
- Both the creep resistance and the gas barrier can be improved by blowing the bottle at a colder temperature which improves the molecular orientation and strain-induced crystallization of the polyester chains.
- too cold of a stretch temperature and localized microtearing or “pearlescense” will occur.
- the final properties of a stretch blow molded container are a strong function of the blow molding temperature. Because the inside and outside surfaces of a preform undergo differing degrees of stretch as the container is produced, it is important to optimize the blow temperature at both surfaces as well as through the center. For example, the inside surface of a typical preform might undergo a planar stretch ratio (“PSR”) of 11 whereas the outside surface PSR is only 9. Since the inside surface is stretched more than the outside surface, the inside surface should preferably be a few degrees hotter at inflation to prevent pearlescence (microtearing due to cold stretching) and to optimize the overall molecular or chain orientation.
- PSR planar stretch ratio
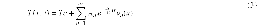
- T(x,t) is the through-the-thickness temperature distribution of the present invention
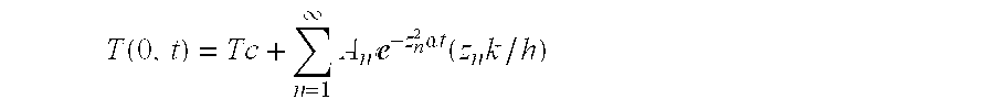
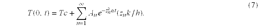
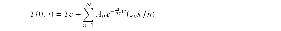
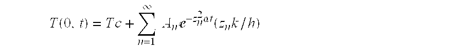
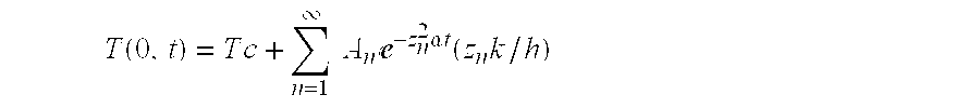
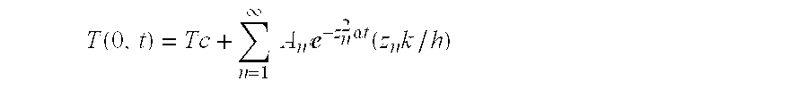
- T(0,t) is the outside temperature as a function of time t which is curvefit to the experimental data to determine the unknown front factors A n
- Tc is the ambient air temperature
- e is the exponential equal to 2.718
- v n are the eigenvectors for the nth eigenvalue z n
- k is conductivity
- x is the depth of the preform from the outside surface
- ⁇ is the thermal diffusivity.
- the device comprises a temperature measuring means for measuring the outside surface temperature of a preform or series of preforms at least two times during the period the preform is cooling down after exiting the heat station and before entering the blow molding station in the blow molding machine and a calculating means for calculating the temperature distribution throughout the thickness of the preform based upon the measured outside surface temperatures, wherein the calculating means calculates the temperature distribution using the novel algorithm of the present invention.
- the method and device are useful for producing high quality polyester containers used to package various foods and beverages.
- FIG. 1 is a schematic of a typical reheat blow machine (Sidel SB23) with standard pyrometer mounting.
- FIG. 2 is a schematic of the preform and coordinates used in the algorithm of the present invention.
- FIG. 3 is a schematic of a Sidel SB23 with two-pyrometer temperature measuring device used in the present invention.
- FIG. 4 shows a configuration of pyrometers relative to lamp and preform in Example 1.
- FIG. 5 shows temperature cool-down curves (outside surface) for Example 1, Run 1.
- FIG. 7 shows predicted temperature profiles for Run 1 in Example 1 after different times.
- FIG. 8 depicts temperature data vs. effective cooling time from the IR camera in Example 2.
- FIG. 9 shows predicted temperature profiles for Example 2.
- preform as used herein is defined to include monolayer preforms and multilayer preforms made from two or more polymers suitable for use in the reheat stretch blow molding process for making containers.
- at least one of the layers in a multilayer preform is a polyester or copolyester although any reheat stretch blow moldable polymer is acceptable.
- the term also includes preforms containing antiblocks, colorants, stabilizers, and other additives.
- the present invention provides a method for determining the temperature distribution throughout the thickness of a polyester preform used in a polyester container reheat stretch blow molding process from temperature measurements taken from the outside surface of the preform.
- the outside surface temperature of the preform is measured at least two times during the period the preform is cooling down after exiting the heat station and before entering the blow molding station in the blow molding machine.
- the temperature data gathered from these measurements are used to calculate the temperature distribution throughout the thickness of the preform using the novel algorithm described herein.
- the calculated preform temperature distribution is used to produce a polyester preform having a temperature distribution optimized for the production of high quality polyester containers.
- the method is an “inverse” method because the starting temperature profile is determined by measuring the preforms future cooling behavior.
- the method provides very accurate preform temperature distribution data based upon only a small amount of outside surface temperature data. The method, therefore, can be used for online, real-time process control to ensure that high quality bottles are made from the preforms.
- the present invention provides a device for determining the temperature distribution throughout the thickness of a polyester preform used in a polyester container reheat stretch blow molding process from temperature measurements taken from the outside surface of the preform.
- the device comprises a temperature measuring means for measuring the outside surface temperature of the preform at least two times during the period the preform is cooling down after exiting the heat station and before entering the blow molding station in the blow molding machine and a calculating means for calculating the temperature distribution throughout the thickness of the preform based upon the measured outside surface temperatures, wherein the calculating means calculates the temperature distribution using the novel algorithm of the present invention.
- a preform is removed from the blow molding process and temperature measurements taken from the outside surface of the preform as a function of cooling time using standard equipment well known to skilled artisans, preferably thermocouples, pyrometers, or infrared (IR) imaging cameras coupled to a computer for recording and displaying the temperature data in a human readable format.
- the preform can be ejected from the blow molding machine and manually placed in front of the pyrometers, or, the whole device can be mounted in such a way that the blow molding machine automatically transfers the preforms to a separate station where the pyrometers can measure the temperature.
- the latter example essentially involves a modified “offline” approach that is built into the blow molding machine.
- the preform could be either ejected for recycle purposes, or if still hot enough, could be sent on to the blow molding station.
- the data is used in the novel algorithm to determine the temperature distribution throughout the thickness of the preform.
- the calculations can be preformed manually, using a calculator, with a computer, or other method known to skilled artisans.
- a series of temperature measurement instruments are placed adjacent to the preforms as they exit the heat station in the blow molding machine. At least two such devices are used.
- the temperature measurement instruments measure the temperature of the preforms as they move from the heat station to the blow molding station in the blow molding machine.
- the temperature measurements are not taken from a single preform but from a series of preforms moving through the blow molding process.
- the data is collected using any known means and used in the algorithm to determining the temperature distribution throughout the thickness of a preform.
- the series of temperature measurement instruments are coupled to a computer programmed to compute the temperature distribution using the algorithm of the present invention.
- This embodiment essentially gives real-time data that can be used to adjust the reheat process and control the temperature distribution of the preform and therefore the quality of the container.
- such computer is coupled to the heating elements in the heat station and automatically adjusts the reheat process based upon the acquired data to ensure that the preform temperature is optimized for producing a high quality container.
- a thermal imaging camera is used to take infrared (“IR”) snapshots of the preforms as they exit the heat station and before they enter the blow molding station.
- the image should capture at least two preforms within its field of view.
- the snapshots are used to determine the temperature of the preforms as they move from the heat station to the blow molding station.
- the temperature measurements are not taken form a single preform but from a series of preforms moving through the blow molding process.
- the data is collected using any known means and used in the algorithm to determining the temperature distribution throughout the thickness of a preform.
- the IR camera(s) are coupled to a computer programmed to compute the temperature distribution using the algorithm of the present invention.
- the data can be collected using a single IR camera that takes a snapshot of two or more preforms or can be collected using multiple IR cameras.
- the surface temperature is determined based upon the digital image from the camera and the temperature data is used in the algorithm to determine the temperature distribution throughout the thickness of a preform.
- This embodiment essentially gives real-time data that can be used to adjust the reheat process and control the temperature distribution of the preform and therefore the quality of the container.
- such computer is coupled to the heating elements in the heat station and automatically adjusts the reheat process based upon the acquired data.
- the preform inside surface temperature is determined by collecting a preform, inserting a thermometer, pyrometer, or similar device inside the preform, and manually measuring the temperature.
- the present invention provides a reheat stretch blow molding machine having a heat station where preforms are heated; a blow molding station where preforms are converted to containers; a means for transporting the heated preforms from the heat station to the blow molding station at an essentially uniform rate; a temperature measuring means for measuring the outside surface temperature of the preform at least two times during the period the preform is cooling down after exiting the heat station and before entering the blow molding station; and a calculating means for calculating the temperature distribution throughout the thickness of the preform based upon the measured outside surface temperatures.
- the temperature measuring means is coupled to a calculating means capable or receiving the measured temperature data.
- the calculating means receives data from the temperature measuring means and calculates the preform temperature distribution using the novel algorithm of the present invention.
- the calculating means is coupled to the heat station in a manner that permits the calculating means to adjust the heat station heating elements (lamps or similar heating elements) based upon the calculated temperature distribution.
- This real-time collection of preform surface temperature data, calculation of preform temperature distribution based upon the preform surface temperature data, and use of the calculated data to control the heat station heating elements permits the machine to adjust and control the temperature distribution throughout the thickness of a preform in the heat station.
- the present method and device permits reheat stretch blow molding machines to be designed to automatically adjust reheat temperatures for optimum blow molding conditions.
- Such machines can be manufactured with the temperature measuring devices (multiple pyrometers or IR cameras) and computing devices (computer programmed with the algorithm of the present invention and coupled to reheat elements and temperature measuring devices) integrated into the machines.
- These blow molding machines automatically adjust the reheat process to optimize preform temperatures and ensure a high quality blow molded container. Choosing preform temperatures for a particular preform to be used in the blow molding process is within the purview of the skilled artisan based upon the chemical and physical properties of a particular polyester preform.
- polyesters and copolyesters are the preferred polymer, any polymer or combinations of polymers that can be used in a reheat stretch blow molding process will function in the present invention.
- Preferred polymers include nylon (e.g. nylon 6, nylon 6/6, metaxylene diamine (MXD6)), polycarbonates, acrylonitrile, polyvinyl chloride (PVC), polyolefins (polypropylene, polyethylene and their copolymers), ethylene-vinyl alcohol (EVOH), styrenics, and combinations thereof, whether by blending or by multilayer preform.
- FIG. 1 A schematic of a typical reheat blow machine (“RHB”) is shown in FIG. 1 (in this case a Sidel SBO 23 which is typical of commercial machines although smaller).
- Preforms pass through a series of heater banks or elements before exiting the heat station and entering the blow molding station.
- Heater elements are typically infrared quartz heaters that emit radiation in the visible and infrared regions.
- a polyester preform is “semi-transparent” to this radiation so much of it penetrates deeply into the preform before being absorbed, heating the thick preform almost uniformly in much the same way as a microwave oven heats food through and through.
- FIG. 1 A schematic of a typical reheat blow machine (“RHB”) is shown in FIG. 1 (in this case a Sidel SBO 23 which is typical of commercial machines although smaller).
- Preforms pass through a series of heater banks or elements before exiting the heat station and entering the blow molding station.
- Heater elements are typically infrared quartz heaters that emit radiation in the visible and inf
- the novel mathematical algorithm provided by the present invention is essential for determining the temperature profile through the thickness of the preform.
- shape of this profile.
- the profile shape is a near “cosine” wave shape, actually 1 ⁇ 2 of a cosine wave, immediately after the preforms exit the heat station.
- This cosine wave shape will be slightly distorted depending on damper settings, lamp profiles, and other reheat settings.
- the temperature curve begins to flatten.
- the time it takes to flatten increases with the thickness of the preform and is a function of various material properties such as the heat capacity Cp, conductivity k, and density ⁇ .
- Cp heat capacity
- k density
- a typical relaxation time for a standard 2 liter preform around 150 mils thick to equilibrate is about 10 seconds. It is, therefore, ideal to have at least this much equilibration time between heating and blow molding to ensure a flat temperature distribution.
- t time and x represents the position in the preform thickness direction.
- ⁇ is the thermal diffusivity defined as k/ ⁇ pCp.
- Curvature effects have been omitted because the error associated with them is small ( ⁇ 5%) and incorporating them would require the inclusion of a number of more complicated Bessel's functions. Nevertheless, curvature effects could be included in the present invention, with added computational expense, if the added accuracy was desired.
- Equation (1) can be obtained by standard separation of variable techniques with the exact form of the solution depending on the boundary conditions using routine derivations well know to skilled artisans, E. Kumpinsky, Ind. Eng. Chem. Res. 32, (1993), 2866. Before determining the solution, however, the boundary conditions must be specified.
- the preform is assumed to have an unknown initial temperature distribution T o (x).
- This temperature distribution T o (x) is the through-the-thickness temperature distribution that the present invention is trying to determine. In other words, it is the temperature distribution of the preform after it has exited the heat station and before it has entered the blow mold station.
- the attempt to determine the initial temperature profile based on further cooling data should further help to clarify why the present algorithm is an “inverse” algorithm.
- a n ⁇ 0 L ⁇ ( T ⁇ ( x , 0 ) - Tc ) * v n ⁇ ( x ) ⁇ ⁇ x ⁇ 0 L ⁇ v n 2 ⁇ ( x ) ⁇ ⁇ x ( 6 )
- T(x,0) is not known and is ultimately what must be determined according to the present invention.
- Equation (3) has an infinite number of roots, one for each value of n. The greater the number of roots determined, the greater the accuracy of the solution (typically expansion of only a few terms are needed for a reasonably smooth solution curve).
- the term v n (x) represents the n'th eigenvector for the solution. The importance of these eigenvectors to the inverse solution strategy will become more apparent in a later section.
- the preforms are not moving very quickly and there is very little air flow so values of h for ambient cooling of a vertical cylinder can be used.
- h was varied as a means for “fine-tuning” the instrument.
- the inverse approach herein can be thought of as a type of curvefit with the boundary conditions used as the “datapoints” to be curve-fit.
- the number of “datapoints” available limits the number of unknowns that can be solved in the curvefit. For example, if only two data points are available, one could only fit 2 unknowns.
- the unknowns represent the values of A n and the datapoints are the outside surface preform temperature as a function of time.
- outside surface temperature data of the preform must be obtained as a function of time. This can be done using any technique known to skilled artisans.
- the method for measuring the surface cool-down rate comprises removing a hot preform from the RHB, placing it in front of a pyrometer, and measuring and recording the outside surface temperature as a function of time, preferably using some form of data acquisition system and display.
- the T(0,t) vs. t data can then be curvefit to solve for the unknown A n s.
- Multiple pyrometers are mounted in an array to obtain surface temperature data at different points from top to bottom along the preform so that the fill temperature profile can be obtained.
- an additional pyrometer is mounted such that it measures the inside surface temperature at the same time. This measurement helps to serve as a check of the accuracy of the predictions.
- IR camera(s) or line scanning units are used instead of individual pyrometers.
- These methods get a continuous range of cool-down data over virtually every point of the preform.
- the disadvantages of the method requiring removal of a preform are that it is slow and is not conducive to online process control. However, it is very inexpensive to build a device to accomplish his method and it is portable. Also, with controlled conditions, there is enough data from this method so that the unknowns hc and a can also be determined as part of the curve fit.
- two or more pyrometers are mounted internally in the RHB as shown in FIG. 3. These pyrometers are focused so that they measure the preform temperature at different points along their traverse from the heat station to the blow mold station. Knowing the velocity of preforms moving between stations V and the distance between the spots where the pyrometers are focused ⁇ y, the transit time ⁇ t is equal to ⁇ y/V. The difference in temperatures, divided by ⁇ t provides a measure of the cool-down rate (dT/dt). Thus, for example, two pyrometers would provide two surface temperatures separated in time by ⁇ t which is enough data to fit the two-term version of Equation 7.
- the cool-down rate (dT/dt) alone is useful for assessing how the inside temperature is varying with respect to the outside temperature. This can be used by itself as a feedback control parameter.
- additional pyrometers can be mounted to focus on different parts of the preform (top to bottom) so that temperature distributions at different points on the preform can be calculated.
- each preform in the field of view provides a temperature datapoint that can be used for the curvefit.
- the important factor for the present invention is that they measure surface cool-down for the preform as a function of time. Preferably, multiple temperature measurements are made and averaged to reduce signal to noise ratio. These averages are used in the determination made by the present invention.
- Polyester preforms (Eastman PET CB12 available from Eastman Chemical Company, Kingsport, Tenn.) with a thickness of 144 mils were heated under varying conditions using a laboratory RHB.
- the lab unit consisted of a single heater bank with 8 quartz heating rods. At the end of reheat, the preforms were removed and the temperature recorded as a function of time. The time for transfer from RHB to measuring station took approximately 5 seconds after which data recording was started using a LabVIEW data acquisition system and laptop computer. Temperature measurements were made using 4 pyrometers (T1 through T4) mounted in a vertical array, each focusing at a different position on the preform (see FIG. 4).
- Run 4 involved increasing the lamp voltage of one of the 8 lamps, to 95%.
- the lamp in question is near the finish area of the preform (close to T2). This causes the T2 inside area to heat up an additional 11° C. as compared with Run 1.
- the T4 area which was farthest from the hotter lamp, only heats up on the inside surface by about 6° C.
- Blow molding trials were performed on a Sidel SBO23 reheat blow molder using 2 liter, PET preforms having a wall thickness of 158 mils.
- a thermal imaging camera (Agema) was used to take infrared (“IR”) snapshots of the preforms as they exited the lamps but prior to molding. Within the field of view, 5 preforms were visible, so effectively 5 datapoints in “time” could be extracted. Five IR pictures were taken per run. The surface temperature was extracted from the digital image, and plotted as a function of time (converted from position and velocity). See FIG. 8 as an example. For the sake of brevity only temperatures at the midpoint (top to bottom) of the preform are discussed, although temperatures from all points on the surface could be used. Bottle throughput rate was 2400 per hour, and from this, the time increment between preforms in the IR photo was 1.5 s.
- a handheld pyrometer was inserted into the mouth of an ejected preform to provide an estimate of the inside surface temperature.
- Run 5 represents a nominal set of reheat lamp conditions with a total power setting of 66%.
- the air damper setting was set at 70% so a high degree of airflow was present during the heating.
- Run 6 was the same except the damper was set at 35% representing a low airflow.
- Run 7 had a damper setting of 50%. In Run 8, the damper setting was returned to 70% but the total power was increased to 80%.
Landscapes
- Physics & Mathematics (AREA)
- Thermal Sciences (AREA)
- Engineering & Computer Science (AREA)
- Manufacturing & Machinery (AREA)
- Mechanical Engineering (AREA)
- Blow-Moulding Or Thermoforming Of Plastics Or The Like (AREA)
Abstract
A method for determining the temperature distribution throughout the thickness of a preform used in a container reheat stretch blow molding process by measuring the outside surface temperature of a preform or series of preforms at least two times during the period the preform is cooling down after exiting the heat station and before entering the blow molding station in the blow molding machine and calculating the temperature distribution throughout the thickness of the preform based upon the measured outside surface temperatures using a novel algorithm.
Description
- 1. Field of the Invention
- This invention relates generally to methods for producing polyester containers and particularly to methods for determining the temperature distribution throughout the thickness of a polyester preform used in a reheat stretch blow molding process for making polyester containers.
- 2. Description of the Prior Art
- The containers used to package many consumer products are made from polyester, particularly poly(ethyleneterephthalate) (“PET”). The process for producing such containers involves making a PET preform and reheat stretch blow molding the preform into a container, typically a bottle. These containers must have properties that permit them to function in the product manufacturing or packaging process and be capable of maintaining the integrity of the product in the container for prolonged periods. The container properties of most interest are typically the strength of the container, the permeability of the container to liquids and gases, and the haze (optical properties) of the final bottle. All of these parameters are a strong function of the preform temperature distribution at the time of blow molding. Using carbonated soft drinks as an example, the high pressure of CO 2 in the container tends to cause the bottle to undesirably expand or “creep” over time. Similarly, the CO2 tends to permeate through the bottle sidewall until a point is reached where the soda goes “flat.” Both the creep resistance and the gas barrier can be improved by blowing the bottle at a colder temperature which improves the molecular orientation and strain-induced crystallization of the polyester chains. However, too cold of a stretch temperature and localized microtearing or “pearlescense” will occur.
- The final properties of a stretch blow molded container are a strong function of the blow molding temperature. Because the inside and outside surfaces of a preform undergo differing degrees of stretch as the container is produced, it is important to optimize the blow temperature at both surfaces as well as through the center. For example, the inside surface of a typical preform might undergo a planar stretch ratio (“PSR”) of 11 whereas the outside surface PSR is only 9. Since the inside surface is stretched more than the outside surface, the inside surface should preferably be a few degrees hotter at inflation to prevent pearlescence (microtearing due to cold stretching) and to optimize the overall molecular or chain orientation.
- Unfortunately, the ability to optimize the blow molding temperature has been hindered by the inability to determine the through-the-thickness temperature profile of the preform, i.e., the temperature at the inside and outside surfaces as well as the temperature throughout the preform body. Most reheat stretch blow molding machines (“RHB”) are equipped with, at most, a standard infrared (“IR”) pyrometer that measures only the outside surface temperature of the preform. Unfortunately, the inside surface temperature of the preform is actually more important for determining bottle properties. If too low, the inside surface will micro-tear during stretching resulting in a hazy bottle. If too hot, the inside surface will not strain-harden properly resulting in poor mechanical properties, e.g., reduced oxygen barrier.
- With some effort, a preform can be removed from the blow molding process and a probe inserted inside the preform to obtain a rough estimate of the inside surface temperature. Unfortunately, this method is not very accurate. Also, this approach does not give the full temperature profile over the whole preform thickness and height. Furthermore, this approach is not conducive to real-time measurement and control because the preform must be removed from the manufacturing process for testing. The best alternative is to run costly trial-and-error type blow molding trials where the heating lamps are systematically varied until the optimal bottle properties are obtained. Unfortunately, this procedure is time consuming and expensive. More often than not, the blow molding process will be conducted at whatever conditions meet the minimum fitness for use specifications for a particular container, whether or not these are truly optimal for producing the highest quality containers.
- There is, therefore, a need for a method and device for determining the temperature distribution throughout the thickness of a preform, particularly in real-time, and using such temperature distribution data to improve the container manufacturing process and ensure that only the highest quality containers are produced.
- It is, therefore, an object of the invention to provide a method and device for determining the temperature distribution throughout the thickness of a preform used in a reheat stretch blow molding process for making polyester containers.
- It is another object of the invention to provide a reheat stretch blow molding machine for producing high quality polyester containers.
- It is another object of the invention to provide high quality polyester containers.
- It is a further object of the invention to provide an optimized reheat stretch blow molding process for producing polyester containers.
- These and other objects are achieved using a method and device for determining the temperature distribution throughout the thickness of a preform used in a polyester container reheat stretch blow molding process. The method comprises measuring the outside surface temperature of a preform or series of preforms at least two times during the period the preform is cooling down after exiting the heat station and before entering the blow molding station in the blow molding machine and calculating the temperature distribution throughout the thickness of the preform based upon the measured outside surface temperatures using an algorithm comprising curve fitting the measured outside surface temperatures to solve for A n using an equation having the formula
-
- where T(x,t) is the through-the-thickness temperature distribution of the present invention, T(0,t) is the outside temperature as a function of time t which is curvefit to the experimental data to determine the unknown front factors A n, Tc is the ambient air temperature, e is the exponential equal to 2.718, vn are the eigenvectors for the nth eigenvalue zn, k is conductivity, x is the depth of the preform from the outside surface, and α is the thermal diffusivity.
- The device comprises a temperature measuring means for measuring the outside surface temperature of a preform or series of preforms at least two times during the period the preform is cooling down after exiting the heat station and before entering the blow molding station in the blow molding machine and a calculating means for calculating the temperature distribution throughout the thickness of the preform based upon the measured outside surface temperatures, wherein the calculating means calculates the temperature distribution using the novel algorithm of the present invention.
- The method and device are useful for producing high quality polyester containers used to package various foods and beverages.
- Other and further objects, features and advantages of the present invention will be readily apparent to those skilled in the art.
- FIG. 1 is a schematic of a typical reheat blow machine (Sidel SB23) with standard pyrometer mounting.
- FIG. 2 is a schematic of the preform and coordinates used in the algorithm of the present invention.
- FIG. 3 is a schematic of a Sidel SB23 with two-pyrometer temperature measuring device used in the present invention.
- FIG. 4 shows a configuration of pyrometers relative to lamp and preform in Example 1.
- FIG. 5 shows temperature cool-down curves (outside surface) for Example 1, Run 1.
- FIG. 6 shows predicted temperature profiles for different locations in Example 1, Run t=0 s.
- FIG. 7 shows predicted temperature profiles for
Run 1 in Example 1 after different times. - FIG. 8 depicts temperature data vs. effective cooling time from the IR camera in Example 2.
- FIG. 9 shows predicted temperature profiles for Example 2.
- The term “preform” as used herein is defined to include monolayer preforms and multilayer preforms made from two or more polymers suitable for use in the reheat stretch blow molding process for making containers. Preferably, at least one of the layers in a multilayer preform is a polyester or copolyester although any reheat stretch blow moldable polymer is acceptable. The term also includes preforms containing antiblocks, colorants, stabilizers, and other additives.
- In one aspect, the present invention provides a method for determining the temperature distribution throughout the thickness of a polyester preform used in a polyester container reheat stretch blow molding process from temperature measurements taken from the outside surface of the preform. The outside surface temperature of the preform is measured at least two times during the period the preform is cooling down after exiting the heat station and before entering the blow molding station in the blow molding machine. The temperature data gathered from these measurements are used to calculate the temperature distribution throughout the thickness of the preform using the novel algorithm described herein. The calculated preform temperature distribution is used to produce a polyester preform having a temperature distribution optimized for the production of high quality polyester containers.
- The method is an “inverse” method because the starting temperature profile is determined by measuring the preforms future cooling behavior. The method provides very accurate preform temperature distribution data based upon only a small amount of outside surface temperature data. The method, therefore, can be used for online, real-time process control to ensure that high quality bottles are made from the preforms.
- In another aspect, the present invention provides a device for determining the temperature distribution throughout the thickness of a polyester preform used in a polyester container reheat stretch blow molding process from temperature measurements taken from the outside surface of the preform. The device comprises a temperature measuring means for measuring the outside surface temperature of the preform at least two times during the period the preform is cooling down after exiting the heat station and before entering the blow molding station in the blow molding machine and a calculating means for calculating the temperature distribution throughout the thickness of the preform based upon the measured outside surface temperatures, wherein the calculating means calculates the temperature distribution using the novel algorithm of the present invention.
- In one embodiment, a preform is removed from the blow molding process and temperature measurements taken from the outside surface of the preform as a function of cooling time using standard equipment well known to skilled artisans, preferably thermocouples, pyrometers, or infrared (IR) imaging cameras coupled to a computer for recording and displaying the temperature data in a human readable format. The preform can be ejected from the blow molding machine and manually placed in front of the pyrometers, or, the whole device can be mounted in such a way that the blow molding machine automatically transfers the preforms to a separate station where the pyrometers can measure the temperature. The latter example essentially involves a modified “offline” approach that is built into the blow molding machine. After measurement, the preform could be either ejected for recycle purposes, or if still hot enough, could be sent on to the blow molding station. The data is used in the novel algorithm to determine the temperature distribution throughout the thickness of the preform. The calculations can be preformed manually, using a calculator, with a computer, or other method known to skilled artisans.
- In another embodiment, a series of temperature measurement instruments are placed adjacent to the preforms as they exit the heat station in the blow molding machine. At least two such devices are used. The temperature measurement instruments measure the temperature of the preforms as they move from the heat station to the blow molding station in the blow molding machine. The temperature measurements are not taken from a single preform but from a series of preforms moving through the blow molding process. The data is collected using any known means and used in the algorithm to determining the temperature distribution throughout the thickness of a preform. In a preferred embodiment, the series of temperature measurement instruments are coupled to a computer programmed to compute the temperature distribution using the algorithm of the present invention. This embodiment essentially gives real-time data that can be used to adjust the reheat process and control the temperature distribution of the preform and therefore the quality of the container. In a most preferred embodiment, such computer is coupled to the heating elements in the heat station and automatically adjusts the reheat process based upon the acquired data to ensure that the preform temperature is optimized for producing a high quality container.
- In another embodiment, a thermal imaging camera is used to take infrared (“IR”) snapshots of the preforms as they exit the heat station and before they enter the blow molding station. The image should capture at least two preforms within its field of view. The snapshots are used to determine the temperature of the preforms as they move from the heat station to the blow molding station. The temperature measurements are not taken form a single preform but from a series of preforms moving through the blow molding process. The data is collected using any known means and used in the algorithm to determining the temperature distribution throughout the thickness of a preform. In a preferred embodiment, the IR camera(s) are coupled to a computer programmed to compute the temperature distribution using the algorithm of the present invention. The data can be collected using a single IR camera that takes a snapshot of two or more preforms or can be collected using multiple IR cameras. The surface temperature is determined based upon the digital image from the camera and the temperature data is used in the algorithm to determine the temperature distribution throughout the thickness of a preform. This embodiment essentially gives real-time data that can be used to adjust the reheat process and control the temperature distribution of the preform and therefore the quality of the container. As above, in a most preferred embodiment, such computer is coupled to the heating elements in the heat station and automatically adjusts the reheat process based upon the acquired data.
- When desired, the preform inside surface temperature is determined by collecting a preform, inserting a thermometer, pyrometer, or similar device inside the preform, and manually measuring the temperature.
- In another aspect, the present invention provides a reheat stretch blow molding machine having a heat station where preforms are heated; a blow molding station where preforms are converted to containers; a means for transporting the heated preforms from the heat station to the blow molding station at an essentially uniform rate; a temperature measuring means for measuring the outside surface temperature of the preform at least two times during the period the preform is cooling down after exiting the heat station and before entering the blow molding station; and a calculating means for calculating the temperature distribution throughout the thickness of the preform based upon the measured outside surface temperatures.
- The temperature measuring means is coupled to a calculating means capable or receiving the measured temperature data. The calculating means receives data from the temperature measuring means and calculates the preform temperature distribution using the novel algorithm of the present invention. The calculating means is coupled to the heat station in a manner that permits the calculating means to adjust the heat station heating elements (lamps or similar heating elements) based upon the calculated temperature distribution. This real-time collection of preform surface temperature data, calculation of preform temperature distribution based upon the preform surface temperature data, and use of the calculated data to control the heat station heating elements permits the machine to adjust and control the temperature distribution throughout the thickness of a preform in the heat station.
- The present method and device permits reheat stretch blow molding machines to be designed to automatically adjust reheat temperatures for optimum blow molding conditions. Such machines can be manufactured with the temperature measuring devices (multiple pyrometers or IR cameras) and computing devices (computer programmed with the algorithm of the present invention and coupled to reheat elements and temperature measuring devices) integrated into the machines. These blow molding machines automatically adjust the reheat process to optimize preform temperatures and ensure a high quality blow molded container. Choosing preform temperatures for a particular preform to be used in the blow molding process is within the purview of the skilled artisan based upon the chemical and physical properties of a particular polyester preform.
- Although polyesters and copolyesters are the preferred polymer, any polymer or combinations of polymers that can be used in a reheat stretch blow molding process will function in the present invention. Preferred polymers include nylon (e.g. nylon 6, nylon 6/6, metaxylene diamine (MXD6)), polycarbonates, acrylonitrile, polyvinyl chloride (PVC), polyolefins (polypropylene, polyethylene and their copolymers), ethylene-vinyl alcohol (EVOH), styrenics, and combinations thereof, whether by blending or by multilayer preform.
- The reheat process used in a reheat stretch blow molding process must be understood and controlled to achieve the present invention. A schematic of a typical reheat blow machine (“RHB”) is shown in FIG. 1 (in this case a Sidel SBO 23 which is typical of commercial machines although smaller). Preforms pass through a series of heater banks or elements before exiting the heat station and entering the blow molding station. Heater elements are typically infrared quartz heaters that emit radiation in the visible and infrared regions. A polyester preform is “semi-transparent” to this radiation so much of it penetrates deeply into the preform before being absorbed, heating the thick preform almost uniformly in much the same way as a microwave oven heats food through and through. Thus, as shown in FIG. 2, the radiation hits the preform having thickness L, on the outside surface (x=0) and passes through with most being absorbed before reaching the inside wall (x=L). As the preform exits the lamps, a single pyrometer is often used to measure the surface temperature of the preform (x=0). This temperature is used to control the RHB and is most often the “design parameter” around which a preform is heated and blown. However, it is quite possible for two different sets of reheat conditions to give the same outside surface temperature, but different inside surface temperatures.
- During reheating, a large volume of cooling air is also passed across the preforms to keep the surface (x=0) from overheating. This in turn, further distorts the overall temperature profile of the preform. Air temperatures and velocities for this cooling air can vary depending on damper settings, thus providing another variable in the process. Once the preform, exits the last bank of lamps, the cooling air flow across the preforms is removed and the heat transfer coefficient h c from the preform returns to the “ambient” value for “still” air of between 3 and 20 W/m2-C depending on the preform velocity, ambient air temperature, and other parameters. It is in this ambient cooling region where the present invention is incorporated, as there are a few seconds of equilibration time before the preform is transferred to the blowing station. The temperature distribution just prior to inflation is what we are trying to determine as it will affect the final bottle properties.
- Although it has traditionally been difficult if not impossible to measure the exiting preform temperature distribution, there are a number of control “knobs” available to the operator for modifying the heat input into the preform, e.g., changing the cooling air flow damper settings. Naturally higher airflows help to cool the outside surface of the preform relative to the inside surface. The most common control “knob” however involves modifying the voltage to the different heater banks. For any given bank, some lamps can be turned on or off. Furthermore, the overall wattage of energy from one or all of the banks can be varied as needed. As an example, the last few banks prior to blowing might be turned off completely to allow more equilibration time prior to inflation. Nevertheless, even with all of these knobs available for altering the temperature profile, there has previously been no way to fully quantify their effects on the preform temperature distribution. The present invention solves that problem.
- The novel mathematical algorithm provided by the present invention is essential for determining the temperature profile through the thickness of the preform. There is much speculation as to “shape” of this profile. Although not bound by theory, it is believed that the profile shape is a near “cosine” wave shape, actually ½ of a cosine wave, immediately after the preforms exit the heat station. This cosine wave shape will be slightly distorted depending on damper settings, lamp profiles, and other reheat settings. The temperature is usually highest near the outside surface (x=0) and decreases towards the inside surface (x/L=1).
- As the preform temperature is allowed to equilibrate under ambient conditions, e.g. the space between exiting the heat station and entering the blow mold station, the temperature curve begins to flatten. The time it takes to flatten increases with the thickness of the preform and is a function of various material properties such as the heat capacity Cp, conductivity k, and density ρ. In fact, it can be shown through standard heat transfer modeling that there exists a fundamental “thermal relaxation time” that can be used to estimate the amount of time it takes the preform temperature to equilibrate. This relaxation time r is calculated as L 2ρCp/kπ, where L is the preform thickness, ρ is the density, Cp is the heat capacity, and k is the thermal conductivity. Thus, as the preform gets thicker, it takes longer for the temperature to equilibrate. A typical relaxation time for a standard 2 liter preform around 150 mils thick to equilibrate is about 10 seconds. It is, therefore, ideal to have at least this much equilibration time between heating and blow molding to ensure a flat temperature distribution.
- The fact that the temperature distribution is nearly equal to a cosine wave with a wavelength approximately that of the preform thickness is supported by Fourier mathematics. This wavelength represents the longest wavelength or “fundamental harmonic” of the system, and as such, it has the longest relaxation time. Other shorter wavelength functions will dampen out much more quickly (i.e. shorter relaxation times) and can usually be neglected during the preform equilibration stage. Understanding this principle is critical to developing the novel algorithm of the present invention.
-
- where t represents time and x represents the position in the preform thickness direction. The term α is the thermal diffusivity defined as k/ρpCp. As in FIG. 2, x=0 is the outside surface of the preform and x=L is the inside surface. Curvature effects have been omitted because the error associated with them is small (<5%) and incorporating them would require the inclusion of a number of more complicated Bessel's functions. Nevertheless, curvature effects could be included in the present invention, with added computational expense, if the added accuracy was desired.
- The solution to Equation (1) can be obtained by standard separation of variable techniques with the exact form of the solution depending on the boundary conditions using routine derivations well know to skilled artisans, E. Kumpinsky, Ind. Eng. Chem. Res. 32, (1993), 2866. Before determining the solution, however, the boundary conditions must be specified. For the present problem of a preform cooling between heaters and blow mold, a convection boundary condition (coefficient h and ambient air temperature Tc) is assumed on the outside surface and an adiabatic condition on the inside surface (due to minimal heat loss to the inside): These boundary conditions can be written mathematically as
- The preform is assumed to have an unknown initial temperature distribution T o(x). This temperature distribution To(x) is the through-the-thickness temperature distribution that the present invention is trying to determine. In other words, it is the temperature distribution of the preform after it has exited the heat station and before it has entered the blow mold station. The attempt to determine the initial temperature profile based on further cooling data should further help to clarify why the present algorithm is an “inverse” algorithm.
-
-
-
-
- To solve the problem of determining the temperature distribution throughout the thickness of a preform, however, T(x,0) is not known and is ultimately what must be determined according to the present invention.
- Equation (3) has an infinite number of roots, one for each value of n. The greater the number of roots determined, the greater the accuracy of the solution (typically expansion of only a few terms are needed for a reasonably smooth solution curve). The term v n(x) represents the n'th eigenvector for the solution. The importance of these eigenvectors to the inverse solution strategy will become more apparent in a later section.
- The eigenvalue z n calculated from Equation (5) increases in magnitude with increasing n. From Equation (4), it is shown that the eigenvectors will be higher in frequency (short wavelength) with increasing n. Furthermore, careful inspection shows that the exponential term in Equation (3) will decay more quickly with increasing n. Basically, these higher frequency variations in temperature will decay very quickly leaving a low frequency (the fundamental harmonic frequency or cosine wave) profile. As shown previously, the reciprocal of zn 2α is the nth thermal relaxation time. For a 144 mil PET preform, the relaxation times are of the order of 600 s, 14 s, 4 s and 1.6 s for n=1, 2, 3 and 4 respectively. Thus, the 4th term in the expansion will have completely damped down to near zero within only a few seconds of starting a measurement and will thereby not affect the cool-down curve past that time. Since it usually takes about one to two seconds before temperature data can be acquired, terms higher than about n=4 will have negligible effect and can be disregarded. Consequently, great accuracy can be achieved in our prediction with only the first few terms in the series.
- It is important to clarify a number of important features about this heat transfer solution. First, the assumption was made that the inside surface (x=L) is adiabatic and that no heat transfer occurs here. This is because the air inside the preform wall is trapped and cannot circulate. Because of this, the air temperature inside the preform is very close to that of the inside wall of the preform so there is very little heat transfer. Use of this assumption is not required, but it makes the development of the algorithm much simpler without any significant loss of accuracy.
- The heat transfer coefficient hc on the outside (x=0) represents the rate of cool-down of the outside air for its given surroundings. Typically, the preforms are not moving very quickly and there is very little air flow so values of h for ambient cooling of a vertical cylinder can be used. In the actual prototype of the invention, h was varied as a means for “fine-tuning” the instrument.
- The inverse approach herein can be thought of as a type of curvefit with the boundary conditions used as the “datapoints” to be curve-fit. As is well known with curve-fitting, the number of “datapoints” available limits the number of unknowns that can be solved in the curvefit. For example, if only two data points are available, one could only fit 2 unknowns. In the present invention, the unknowns represent the values of A n and the datapoints are the outside surface preform temperature as a function of time. The latter can be written from Equation (3) by substituting x=0
- Typically, only 2 to 4 terms of the series expansion are needed (and hence 2 to 4 unknown values for A n) to accurately predict the temperature profile. The outside temperature T(0,t), can be easily measured as a function of time via a variety of methods known in the art. With this temperature data, the values for An can be curve fit using standard methods since Tc, α, k, h, and the eigenvalues zn are already known. Once these coefficients are calculated, they can be plugged back into Equation (3) and the temperature through the thickness of the preform at any point x and any time t is now known. Thus, the temperature profile for the time when the preform reaches the blow station can be obtained by extrapolation to the appropriate time t.
- In the lower limiting case, with only two outside temperature datapoints (e.g., an initial temperature at t=0 and one at a later time t2), Equation (7) can be solved with only two values for A n (n=2). Surprisingly, this minimal amount of data can give a reasonably good approximation of the temperature profile for most applications. Obviously, the more datapoints the better the result. However, the practical limitations of measurement can limit the number of datapoints available for use in the equation.
- There are many strategies for curvefitting the equation but all fall under the basic premise that cool-down information obtained from the outside surface is used to extract the full temperature profile. Without this cool-down information, which is obtained by measuring preform outside surface temperatures at multiple times, the temperature profile information is not extractable.
- From the algorithm, it is clear that outside surface temperature data of the preform must be obtained as a function of time. This can be done using any technique known to skilled artisans.
- In a preferred embodiment, the surface temperature measurements are made using some form of pyrometer or infrared temperature measuring device. This method does not perturb the surface temperature and the response times are quicker. However, other devices such as surface mounted thermocouples and platinum resistance thermometers (“PRTs”) can also be used. Proper calibration of these devices for the preform substrate, e.g., polyester, is required and is within the purview of the skilled artisan.
- In another embodiment, the method for measuring the surface cool-down rate comprises removing a hot preform from the RHB, placing it in front of a pyrometer, and measuring and recording the outside surface temperature as a function of time, preferably using some form of data acquisition system and display. The T(0,t) vs. t data can then be curvefit to solve for the unknown A ns. Multiple pyrometers are mounted in an array to obtain surface temperature data at different points from top to bottom along the preform so that the fill temperature profile can be obtained. Optionally, an additional pyrometer is mounted such that it measures the inside surface temperature at the same time. This measurement helps to serve as a check of the accuracy of the predictions. In other embodiments, IR camera(s) or line scanning units are used instead of individual pyrometers. These methods get a continuous range of cool-down data over virtually every point of the preform. The disadvantages of the method requiring removal of a preform are that it is slow and is not conducive to online process control. However, it is very inexpensive to build a device to accomplish his method and it is portable. Also, with controlled conditions, there is enough data from this method so that the unknowns hc and a can also be determined as part of the curve fit.
- In another embodiment, two or more pyrometers are mounted internally in the RHB as shown in FIG. 3. These pyrometers are focused so that they measure the preform temperature at different points along their traverse from the heat station to the blow mold station. Knowing the velocity of preforms moving between stations V and the distance between the spots where the pyrometers are focused Δy, the transit time Δt is equal to Δy/V. The difference in temperatures, divided by Δt provides a measure of the cool-down rate (dT/dt). Thus, for example, two pyrometers would provide two surface temperatures separated in time by Δt which is enough data to fit the two-term version of Equation 7. With additional pyrometers focused at different spots, more datapoints can be obtained leading to more accurate curve fitting. As described earlier, the cool-down rate (dT/dt) alone is useful for assessing how the inside temperature is varying with respect to the outside temperature. This can be used by itself as a feedback control parameter.
- In addition, additional pyrometers can be mounted to focus on different parts of the preform (top to bottom) so that temperature distributions at different points on the preform can be calculated.
- These temperature measurement instruments are mounted along the preform flow path but in between the heat station and the blow station. This permits cool-down rate between any two pyrometers (or other temperature measurement instruments) to be determined as the temperature difference between the pyrometers divided by the time it takes for the preform to traverse the distance between pyrometers. Many different arrangement of temperature data gathering pyrometer or other similar instrument arrays can be envision and are part of the present invention.
- The advantages of using pyrometers or other similar temperature measuring instruments are low cost and the ability to give real-time data without removing preforms from the manufacturing process. This allows for the possibility of closed-loop, feedback control of the reheat process. The disadvantages of this approach are that accurate calibration of each pyrometer is required to eliminate biases in the measurements and that the response time of many of the pyrometers is too slow for some of the high speed commercial RHBs.
- In another preferred embodiment, an infrared camera or line scanning pyrometer is mounted into or onto the RHB. The camera or scanner instantly measures the preform temperatures over a wide field of view with a fast response time. This method and device avoids the calibration/bias issues when multiple pyrometers are used. With the camera, preform outside surface temperature data is obtained for the whole preform. This means that the through-the-thickness temperature distribution can be calculated at all points on the preform.
- With the camera, multiple preforms can be captured within the field of view for a single picture. Knowing the spacing between preforms and the velocity of the preform as it moves through the RHB, the Δt between preforms can be calculated. Thus, each preform in the field of view provides a temperature datapoint that can be used for the curvefit.
- While other embodiments are possible, the important factor for the present invention is that they measure surface cool-down for the preform as a function of time. Preferably, multiple temperature measurements are made and averaged to reduce signal to noise ratio. These averages are used in the determination made by the present invention.
- This invention can be further illustrated by the following examples of preferred embodiments thereof, although it will be understood that these examples are included merely for purposes of illustration and are not intended to limit the scope of the invention unless otherwise specifically indicated.
- Polyester preforms (Eastman PET CB12 available from Eastman Chemical Company, Kingsport, Tenn.) with a thickness of 144 mils were heated under varying conditions using a laboratory RHB. The lab unit consisted of a single heater bank with 8 quartz heating rods. At the end of reheat, the preforms were removed and the temperature recorded as a function of time. The time for transfer from RHB to measuring station took approximately 5 seconds after which data recording was started using a LabVIEW data acquisition system and laptop computer. Temperature measurements were made using 4 pyrometers (T1 through T4) mounted in a vertical array, each focusing at a different position on the preform (see FIG. 4). A fifth pyrometer with a 90 degree angle bend was inserted inside the preform and measured the inside temperature at a point close to T3. All pyrometers were blackbody calibrated and had emmisivity settings of 0.95. The inside pyrometer was also corrected for internal background reflection, and temperature drift due to it being inside a hot radiating source. Temperature error for the pyrometers was approximately +/−2° C. All data was fed to a LabVIEW data acquisition system where it was processed and displayed on screen. Values of Tc=23° C., α=0.95e-3 cm 2/s and h/k=0.65 cm−1 were assumed.
-
Run 1, which was the centerpoint, consisted of a 67 second reheat time with all lamps set at a rheostat setting of 75% of maximum. InRun 2, the reheat time was increased to 77 s. InRun 3, the lamp voltage was increased to 85% (reheat time=67 s). The cool-down data was curvefit to a 4 term version of Equation (7) having four unknowns (A1 through A4). Values for An extracted from this curvefit, along with measured and predicted inside temperatures are listed in Table 1. Sample cooling data forRun 1 are shown in FIG. 5. The first four roots zn for the 144 mil preform 0.37 cm) are 1.27, 8.7, 17.1 and 25.5. The predicted temperature profiles forRun # 1 at time 0 s are shown in FIG. 6. As observed, the bottle is hotter toward the top of the preform. This is in agreement with the blow molding experiments that showed very slight pearlescence near the finish area. For further comparison, the temperatures of T3, Run1 are extrapolated to different times (besides t=0) in FIG. 7. Actual blow molding took place approximately 15 s after heating so this would be the more useful predictive point. - Run 4 involved increasing the lamp voltage of one of the 8 lamps, to 95%. The lamp in question is near the finish area of the preform (close to T2). This causes the T2 inside area to heat up an additional 11° C. as compared with
Run 1. The T4 area, which was farthest from the hotter lamp, only heats up on the inside surface by about 6° C. - As observed, all of the predictions match well with the experimentally measured inside temperatures, thus confirming the accuracy of the model. Furthermore, this data helps to provide a much better understanding of how a given change in reheat condition can dramatically affect the overall temperature profile.
TABLE 1 Summary of Data Fitting for Example 1 1 67s reheat T2 39.6 0.76 −0.048 0.011 98 time T3 42 0.71 −0.007 −0.004 105.4 106 75% lamp T4 42.1 0.54 −0.018 −0.017 108.5 2 77s reheat T2 44.7 0.72 −0.007 −0.002 112 time T3 46.7 0.89 −0.06 0.006 116.1 115.5 75% lamp T4 46.9 0.71 −0.063 −0.015 117 3 67s reheat T2 47.5 0.76 0.003 −0.008 118 time T3 50.1 0.83 0.06 −0.004 121 123 85% lamp T4 49.8 0.63 −0.04 −0.008 123.5 4 67s reheat T2 44.2 0.86 −0.02 −0.008 109 time T3 46.1 0.83 0.01 −0.028 113 114.6 All lamps at T4 46 0.74 0.018 −0.022 116 75% except near finish at 95% - Blow molding trials were performed on a Sidel SBO23 reheat blow molder using 2 liter, PET preforms having a wall thickness of 158 mils. A thermal imaging camera (Agema) was used to take infrared (“IR”) snapshots of the preforms as they exited the lamps but prior to molding. Within the field of view, 5 preforms were visible, so effectively 5 datapoints in “time” could be extracted. Five IR pictures were taken per run. The surface temperature was extracted from the digital image, and plotted as a function of time (converted from position and velocity). See FIG. 8 as an example. For the sake of brevity only temperatures at the midpoint (top to bottom) of the preform are discussed, although temperatures from all points on the surface could be used. Bottle throughput rate was 2400 per hour, and from this, the time increment between preforms in the IR photo was 1.5 s. A handheld pyrometer was inserted into the mouth of an ejected preform to provide an estimate of the inside surface temperature.
- The data is compiled in Table 2 for
Runs 5 through 8.Run 5 represents a nominal set of reheat lamp conditions with a total power setting of 66%. The air damper setting was set at 70% so a high degree of airflow was present during the heating. Run 6 was the same except the damper was set at 35% representing a low airflow. Run 7 had a damper setting of 50%. In Run 8, the damper setting was returned to 70% but the total power was increased to 80%. - Because of the greater noise in the data (see FIG. 8), only a 2 term (n=2) series was used for the fitting. With more data, a higher order fit could have also been made. The value of thermal diffusivity was 0.95e-3 cm 2/s, and h/k was 1.2 cm−1. This resulted in eigenvalues of 1.59 and 8.1. The reason h/k is higher than in Example 1 is because there is some residual air flow, and the preforms are spinning, within the Sidel equilibration area. Ambient air temperature inside the Sidel was approximately 27° C.
- The internal temperature measurements with the handheld pyrometer were made after the preform was ejected. Estimated error was +/−4° C. due to the variability in focus point of the unit and its sensitivity to ambient temperature. The inside measurement occurred about 15 seconds from the time the preforms first left the heaters. Therefore the predicted values in Table 2 are based on a 15 s time lag.
- Calculated temperature profiles at t=0 s are shown in FIG. 9.
Runs 5 through 7 all have approximately the same inside temperature within experimental error. This is expected since the only difference was in the air cooling. This cooling is not expected to affect the heat gain on the inside surface. However, the outside surface is found to be much lower for the higher air flow condition (Run 5) as expected. Run 8 involved a higher overall power setting and resulted in a temperature rise all the way through the preform. The predictions of the model not only match what is expected, but also are in agreement with the internal temperature measurements within experimental error. The data from Example 2 is shown in Table 2.TABLE 2 Tin ° C. Tin ° C. Run Description A1 A2 (experiential) (predicted) 5 60% power, 70% 44.6 1.8 93.7 94 damper 6 66% power, 35% 47.1 3.3 98.6 93.5 damper 7 60% power, 50% 47.6 2.3 94.9 97 damper 8 80% power, 70% 53.0 2.1 104.4 106 damper - Four infrared pyrometers were mounted in series on an adjustable metal bar and clamped into the RHB as in FIG. 3. The total spacing between the first and last pyrometer was 9.5 inches and the throughput rate of preforms was 2400 bottles per hour such that the time for a preform to traverse between the pyrometers was approximately 6 seconds. Because there were 4 pyrometers, 4 datapoints in “time” were effectively determined. A LabVIEW™ data acquisition system and computer were connected to the pyrometers to collect the pyrometer data and perform the calculations. All pyrometers were calibrated to the same blackbody source. Run conditions were similar to
Run 5 of Example 2. Similarly, input parameters for the predictive model were also assumed to be the same. - The model predicted the inside temperature to be very similar to that of
Run 5, with the inside temperature after 15 seconds being 97.8° C. The measured value was 97° C.+/−4° C. which is in agreement with model predictions. This example shows that the present invention is functional for a multiple pyrometer setup mounted to a RHB. - In the drawings and specification, there have been disclosed typical preferred embodiments of the invention and, although specific terms are employed, they are used in a generic and descriptive sense only and not for purposes of limitation, the scope of the invention being set forth in the following claims. Obviously many modifications and variations of the present invention are possible in light of the above teachings. It is therefore to be understood that within the scope of the appended claims the invention may be practiced otherwise than as specifically described.
Claims (23)
1. A method for determining the temperature distribution throughout the thickness of a preform used in a container reheat stretch blow molding process, comprising:
measuring the outside surface temperature of the preform at least two times during the period the preform is cooling down after exiting the heat station and before entering the blow molding station; and
calculating the temperature distribution throughout the thickness of the preform based upon the measured outside surface temperatures using an algorithm comprising:
curve fitting the measured outside surface temperatures to solve for An using an equation having the formula
and using the An values to calculate the through-the-thickness temperature distribution for the preform using an equation having the formula
where T(x,t) is the through-the-thickness temperature distribution of the present invention, T(0,t) is the outside temperature as a function of time t which is curvefit to the experimental data to determine the unknown front factors An, Tc is the ambient air temperature, e is the exponential equal to 2.718, vn are the eigenvectors for the nth eigenvalue zn, k is conductivity, x is the depth of the preform from the outside surface, and α is the thermal diffusivity.
2. The method of claim 1 wherein the temperature distribution throughout the thickness of the preform is calculated using a computer programmed to compute the temperature distribution using the algorithm.
3. The method of claim 1 wherein the preform comprises a polymer selected from the group consisting of polyester, copolyester, nylon, polycarbonate, acrylonitrile, polyvinyl chloride, polyolefins, ethylene-vinyl alcohol, styrenics, and combinations thereof.
4. The method of claim 1 wherein the preform is selected from the group consisting of polyester preforms and copolyester preforms.
5. A preform having a temperature distribution optimized for the production of high quality containers based upon the temperature distribution calculated using the method of claim 1 .
6. The preform of claim 5 comprising a polymer selected from the group consisting of polyester, copolyester, nylon, polycarbonate, acrylonitrile, polyvinyl chloride, polyolefins, ethylene-vinyl alcohol, styrenics, and combinations thereof.
7. The preform of claim 5 selected from the group consisting of polyester preforms and copolyester preforms.
8. A device for determining the temperature distribution throughout the thickness of a preform used in a container reheat stretch blow molding process from temperature measurements taken from the outside surface of the preform, comprising:
a temperature measuring means for measuring the outside surface temperature of the preform at least two times during the period the preform is cooling down after exiting the heat station and before entering the blow molding station, wherein the temperature measuring means is coupled to a calculating means capable or receiving temperature data from the temperature measuring means; and
a calculating means for calculating the temperature distribution throughout the thickness of the preform based upon the measured outside surface temperatures, wherein the calculating means receives outside surface temperature data from the temperature measuring means and calculates the preform temperature distribution using an algorithm comprising:
curve fitting the measured outside surface temperatures to solve for An using an equation having the formula
and using the An values to calculate the through-the-thickness temperature distribution for the preform using an equation having the formula
where T(x,t) is the through-the-thickness temperature distribution of the present invention, T(0,t) is the outside temperature as a function of time t which is curvefit to the experimental data to determine the unknown front factors An, Tc is the ambient air temperature, e is the exponential equal to 2.718, vn are the eigenvectors for the nth eigenvalue zn, k is conductivity, x is the depth of the preform from the outside surface, and a is the thermal diffusivity.
9. The device of claim 8 wherein the temperature measuring means is selected from the group consisting of pyrometers, thermocouples, and infrared cameras.
10. The device of claim 8 wherein the temperature measuring means is one or more infrared cameras.
11. The device of claim 8 wherein the temperature measuring means is a pyrometer array.
12. The device of claim 8 wherein the calculating means is a computer programmed to compute the temperature distribution using the algorithm.
13. The device of claim 8 further comprising a displaying means for communicating the calculated temperature distribution in a human readable format.
14. A method for manufacturing high quality containers using a reheat stretch blow molding process, comprising:
determining the temperature distribution throughout the thickness of a preform used to manufacture containers using a method comprising:
measuring the outside surface temperature of the preform at least two times during the period the preform is cooling down after exiting the heat station and before entering the blow molding station in the blow molding machine;
calculating the temperature distribution throughout the thickness of the preform based upon the measured outside surface temperatures using an algorithm comprising:
curve fitting the measured outside surface temperatures to solve for An using an equation having the formula
and using the An values to calculate the through-the-thickness temperature distribution for the preform using an equation having the formula
where T(x,t) is the through-the-thickness temperature distribution of the present invention, T(0,t) is the outside temperature as a function of time t which is curvefit to the experimental data to determine the unknown front factors An, Tc is the ambient air temperature, e is the exponential equal to 2.718, vn are the eigenvectors for the nth eigenvalue zn, k is conductivity, x is the depth of the preform from the outside surface, and α is the thermal diffusivity;
using the calculated temperature distribution to adjust the heating elements used to heat preforms in the heat station to obtain a desired preform temperature distribution; and
blow molding the preforms into containers.
15. A container made according to the method of claim 14 .
16. The container of claim 14 comprising a polymer selected from the group consisting of polyester, copolyester, nylon, polycarbonate, acrylonitrile, polyvinyl chloride, polyolefins, ethylene-vinyl alcohol, styrenics, and combinations thereof.
17. The container of claim 14 selected from the group consisting of polyester containers and copolyester containers.
18. A reheat stretch blow molding machine, comprising:
a heat station where preforms are heated;
a blow molding station where the preforms are converted to containers;
a means for transporting heated preforms from the heat station to the blow molding station at an essentially uniform rate;
a temperature measuring means for measuring the outside surface temperature of a preform at least two times during the period the preform is cooling down after exiting the heat station and before entering the blow molding station, wherein the temperature measuring means is coupled to a calculating means capable or receiving temperature data from the temperature measuring means; and
a calculating means for calculating the temperature distribution throughout the thickness of the preform based upon the measured outside surface temperatures, wherein the calculating means receives outside surface temperature data from the temperature measuring means and calculates the preform temperature distribution using an algorithm comprising:
curve fitting the measured outside surface temperatures to solve for An using an equation having the formula
and using the An values to calculate the through-the-thickness temperature distribution for the preform using an equation having the formula
where T(x,t) is the through-the-thickness temperature distribution of the present invention, T(0,t) is the outside temperature as a function of time t which is curvefit to the experimental data to determine the unknown front factors An, Tc is the ambient air temperature, e is the exponential equal to 2.718, vn are the eigenvectors for the nth eigenvalue zn, k is conductivity, x is the depth of the preform from the outside surface, and α is the thermal diffusivity, and
wherein the calculating means is coupled to the heat station such that the calculating means can adjust the heat station heating elements based upon the calculated preform temperature distribution and control the temperature distribution throughout the thickness of a preform in the heat station.
19. The machine of claim 18 wherein the temperature measuring means is selected from the group consisting of pyrometers, thermocouples, infrared cameras, and infrared linescanning cameras.
20. The machine of claim 18 wherein the temperature measuring means is one or more infrared cameras.
21. The machine of claim 18 wherein the temperature measuring means is a pyrometer array.
22. The machine of claim 18 wherein the calculating means is a computer programmed to compute the temperature distribution using the algorithm.
23. The machine of claim 18 further comprising a displaying means for communicating the calculated temperature distribution in a human readable format.
Priority Applications (11)
| Application Number | Priority Date | Filing Date | Title |
|---|---|---|---|
| US10/090,242 US20030171889A1 (en) | 2002-03-04 | 2002-03-04 | Method and device for predicting temperature profiles throughout the thickness of a polymer preform |
| AT03004302T ATE329744T1 (en) | 2002-03-04 | 2003-02-27 | METHOD AND DEVICE FOR DETERMINING THE TEMPERATURE PROFILE ACROSS THE THICKNESS OF A PLASTIC PREFORM, AND METHOD FOR PRODUCING A CONTAINER USING A HEAT-UP STRETCH BLOW MOLDING METHOD AND A HEAT-UP STRETCH BLOW MOLDING DEVICE |
| DE60305993T DE60305993T2 (en) | 2002-03-04 | 2003-02-27 | Method and apparatus for determining the temperature profile across the thickness of a plastic preform, and method of manufacturing a container by means of warm-up stretch blow molding and warm-up stretch blow molding apparatus |
| CA002420784A CA2420784C (en) | 2002-03-04 | 2003-02-27 | Method and device for predicting temperature profiles throughout the thickness of a polymer preform |
| EP03004302A EP1342550B1 (en) | 2002-03-04 | 2003-02-27 | Method and device for determining temperature profiles throughout the thickness of a polymer preform, method for manufacturing containers using a reheat stretch blow molding process and reheat stretch blow molding machine |
| BR0300488-0A BR0300488A (en) | 2002-03-04 | 2003-02-28 | Method for determining the temperature distribution across the thickness of a preform, preform, device for determining the temperature distribution over the thickness of a preform, method for manufacturing high quality containers, container, and blow molding machine with reheat stretch |
| MXPA03001885A MXPA03001885A (en) | 2002-03-04 | 2003-03-03 | Method and device for predicting temperature profiles throughout the thickness of a polymer preform. |
| ZA200301753A ZA200301753B (en) | 2002-03-04 | 2003-03-03 | Method and device for predicting temperature profiles throughout the thickness of a polymer preform. |
| JP2003057001A JP2003251687A (en) | 2002-03-04 | 2003-03-04 | Method and equipment for estimating temperature profile of whole thickness of polymer preform |
| ARP030100712A AR038724A1 (en) | 2002-03-04 | 2003-03-04 | METHOD AND DEVICE FOR PREACHING TEMPERATURE PROFILES THROUGHOUT THE THICKNESS OF A POLYMER PREFORM AND MOLDED CONTAINER |
| US10/628,178 US6839652B2 (en) | 2002-03-04 | 2003-07-28 | Method and device for predicting temperature profiles throughout the thickness of a polymer preform |
Applications Claiming Priority (1)
| Application Number | Priority Date | Filing Date | Title |
|---|---|---|---|
| US10/090,242 US20030171889A1 (en) | 2002-03-04 | 2002-03-04 | Method and device for predicting temperature profiles throughout the thickness of a polymer preform |
Related Child Applications (1)
| Application Number | Title | Priority Date | Filing Date |
|---|---|---|---|
| US10/628,178 Continuation-In-Part US6839652B2 (en) | 2002-03-04 | 2003-07-28 | Method and device for predicting temperature profiles throughout the thickness of a polymer preform |
Publications (1)
| Publication Number | Publication Date |
|---|---|
| US20030171889A1 true US20030171889A1 (en) | 2003-09-11 |
Family
ID=27753980
Family Applications (2)
| Application Number | Title | Priority Date | Filing Date |
|---|---|---|---|
| US10/090,242 Abandoned US20030171889A1 (en) | 2002-03-04 | 2002-03-04 | Method and device for predicting temperature profiles throughout the thickness of a polymer preform |
| US10/628,178 Expired - Lifetime US6839652B2 (en) | 2002-03-04 | 2003-07-28 | Method and device for predicting temperature profiles throughout the thickness of a polymer preform |
Family Applications After (1)
| Application Number | Title | Priority Date | Filing Date |
|---|---|---|---|
| US10/628,178 Expired - Lifetime US6839652B2 (en) | 2002-03-04 | 2003-07-28 | Method and device for predicting temperature profiles throughout the thickness of a polymer preform |
Country Status (10)
| Country | Link |
|---|---|
| US (2) | US20030171889A1 (en) |
| EP (1) | EP1342550B1 (en) |
| JP (1) | JP2003251687A (en) |
| AR (1) | AR038724A1 (en) |
| AT (1) | ATE329744T1 (en) |
| BR (1) | BR0300488A (en) |
| CA (1) | CA2420784C (en) |
| DE (1) | DE60305993T2 (en) |
| MX (1) | MXPA03001885A (en) |
| ZA (1) | ZA200301753B (en) |
Cited By (9)
| Publication number | Priority date | Publication date | Assignee | Title |
|---|---|---|---|---|
| US20060256837A1 (en) * | 2003-12-01 | 2006-11-16 | Alstom Technology Ltd. | Method for determine the internal structure of a heat conducting body |
| US20100052224A1 (en) * | 2006-05-11 | 2010-03-04 | Krones Ag | Heating device for plastic blanks |
| US10940635B2 (en) * | 2015-12-22 | 2021-03-09 | Mks Instruments, Inc. | Method and apparatus for processing dielectric materials using microwave energy |
| CN113091952A (en) * | 2021-04-12 | 2021-07-09 | 江苏徐工工程机械研究院有限公司 | 3D printing post-processing temperature measuring device and method |
| CN114131901A (en) * | 2020-09-04 | 2022-03-04 | 克朗斯股份公司 | Device and method for warming plastic preforms with spatially resolved temperature detection |
| US20220072759A1 (en) * | 2020-09-04 | 2022-03-10 | Krones Ag | Apparatus and method for heating plastic preforms with spatially resolved temperature detection |
| EP3843974B1 (en) | 2018-08-28 | 2022-09-28 | Sidel Participations | Method for individual measurement of the temperature of a preform |
| CN115979450A (en) * | 2023-01-18 | 2023-04-18 | 瑞纳智能设备股份有限公司 | Temperature measurement method and temperature measurement system based on platinum resistance temperature sensor |
| US20240002270A1 (en) * | 2018-03-29 | 2024-01-04 | Emhart Glass S.A. | Multivariable vertical glass distribution control using soft sensor and methods |
Families Citing this family (29)
| Publication number | Priority date | Publication date | Assignee | Title |
|---|---|---|---|---|
| US7220378B2 (en) * | 2004-01-07 | 2007-05-22 | Pressco Technology Inc. | Method and apparatus for the measurement and control of both the inside and outside surface temperature of thermoplastic preforms during stretch blow molding operations |
| FR2881979B1 (en) * | 2005-02-17 | 2007-04-27 | Sidel Sas | METHOD FOR CONTROLLING A CONTAINER BLOWING MACHINE FOR CORRECTING ANOMALIES IN THE DISTRIBUTION OF MATERIAL |
| EP1870225A1 (en) * | 2006-06-21 | 2007-12-26 | Total Petrochemicals Research Feluy | Stretching/blowing conditions in one-stage injection-stretch-blow-moulding |
| WO2008009147A1 (en) * | 2006-07-18 | 2008-01-24 | Weidmann Plastics Technology Ag | Determination of a surface temperature of a cooling body |
| DE102007046387A1 (en) † | 2007-09-21 | 2009-04-02 | Khs Corpoplast Gmbh & Co. Kg | Method and apparatus for blow molding containers |
| DE102008013419A1 (en) * | 2008-03-06 | 2009-09-10 | Khs Corpoplast Gmbh & Co. Kg | Method and apparatus for blow molding containers |
| GB0804266D0 (en) * | 2008-03-07 | 2008-04-16 | Univ Belfast | Thermoplastic preform method and apparatus |
| FR2935924B1 (en) * | 2008-09-18 | 2010-11-12 | Sidel Participations | DEVICE AND METHOD FOR MEASURING THE WALL TEMPERATURE OF A CONTAINER BLANK |
| DE102009015522A1 (en) | 2009-04-02 | 2010-10-07 | Krones Ag | Device for forming plastic preforms into plastic containers with format recognition |
| WO2011047226A1 (en) * | 2009-10-15 | 2011-04-21 | Plastic Technologies, Inc. | Method and apparatus for closed loop blow molding |
| FR2960816B1 (en) * | 2010-06-02 | 2012-07-13 | Sidel Participations | OVEN FOR THERMAL PACKAGING OF PREFORMS AND METHOD FOR CONTROLLING AN AIR COOLING DEVICE PROVIDED WITH SUCH FURNACE |
| US9146099B2 (en) * | 2010-07-07 | 2015-09-29 | Graham Packaging Company, L.P. | Method and system for thermally monitoring process for forming plastic blow-molded containers |
| IT1402342B1 (en) * | 2010-10-12 | 2013-08-30 | Sipa Progettazione Automaz | PREFORM HEATING DEVICE IN THERMOPLASTIC MATERIAL. |
| FR2976514B1 (en) | 2011-06-17 | 2013-07-12 | Sidel Participations | METHOD FOR HEATING RECOVERY RINKS |
| FR2976841B1 (en) * | 2011-06-23 | 2013-08-02 | Sidel Participations | PROCESS FOR HEATING A CONTAINER BLANK WITH LOW EXTERNAL WALL TEMPERATURE |
| ITMI20121855A1 (en) * | 2012-10-31 | 2014-05-01 | Smi Spa | HEATING SYSTEM FOR OVEN FOR PREFORM |
| US9234802B2 (en) | 2012-11-21 | 2016-01-12 | Plastic Technologies, Inc. | Energy output measuring device for infrared heating device |
| WO2015066103A1 (en) | 2013-10-31 | 2015-05-07 | Plastic Technologies, Inc. | Temperature probe |
| AT515696B1 (en) * | 2014-06-20 | 2015-11-15 | Engel Austria Gmbh | Arrangement and method for the provision of molded parts |
| GB201414666D0 (en) | 2014-08-19 | 2014-10-01 | Colormatrix Holdings Inc | Polymeric materials |
| DE102015101769A1 (en) | 2015-02-06 | 2016-08-11 | Krones Ag | Method for calibrating at least one treatment element |
| WO2017192763A1 (en) * | 2016-05-03 | 2017-11-09 | Niagara Bottling, Llc | Systems and methods for optical measurement of container wall thickness |
| DE102017119492A1 (en) * | 2017-08-25 | 2019-02-28 | Krones Ag | Method and apparatus for heating plastic preforms |
| JP7559632B2 (en) * | 2021-03-11 | 2024-10-02 | オムロン株式会社 | Preform heating device and control method thereof |
| MX2023014986A (en) * | 2021-06-29 | 2024-03-26 | Discma Ag | Method of blow molding using a closed-loop oven system. |
| CA3222330A1 (en) * | 2021-06-29 | 2023-01-05 | Richard SIERADZKI | Method of thermal imaging for a blow molding process |
| US20240293966A1 (en) * | 2021-06-29 | 2024-09-05 | Discma Ag | Method of heating a preform suitable for blow molding |
| DE102024101052A1 (en) | 2024-01-15 | 2025-07-17 | Krones Aktiengesellschaft | Device and method for treating plastic preforms with temperature detection |
| DE102024116795A1 (en) * | 2024-06-14 | 2025-12-18 | Khs Gmbh | Method for determining setting parameters for a temperature control device for temperature conditioning of preforms and control thereof |
Family Cites Families (7)
| Publication number | Priority date | Publication date | Assignee | Title |
|---|---|---|---|---|
| US4731513A (en) * | 1986-06-24 | 1988-03-15 | Continental Pet Technologies, Inc. | Method of reheating preforms for forming blow molded hot fillable containers |
| FR2678542B1 (en) * | 1991-07-01 | 1993-10-29 | Sidel | PROCESS AND INSTALLATION FOR THE HEATING, BY INFRARED RADIATION, OF PLASTIC PREFORMS, PARTICULARLY PET, FOR THE MANUFACTURE OF CONTAINERS. |
| TW378178B (en) * | 1994-09-16 | 2000-01-01 | Nissei Asb Machine Co Ltd | Injection-stretch-blow moulding apparatus |
| US5869110A (en) * | 1994-09-16 | 1999-02-09 | Nissei Asb Machine Co., Ltd. | Container molding apparatus |
| AT521U1 (en) * | 1994-11-08 | 1995-12-27 | Kosme Etikettiertechnik Ges M | METHOD FOR SETTING PROCESS PARAMETERS IN THE PRODUCTION OF HOLLOW BODIES FROM THERMOPLASTIC PREFORMS, AND DEVICE FOR IMPLEMENTING THE METHOD |
| JP3274095B2 (en) * | 1997-07-18 | 2002-04-15 | 富士通株式会社 | Thermal analysis device for object to be heated in heating furnace, control device for reflow furnace using the same, and computer-readable recording medium recording program thereof |
| US6808658B2 (en) * | 1998-01-13 | 2004-10-26 | 3M Innovative Properties Company | Method for making texture multilayer optical films |
-
2002
- 2002-03-04 US US10/090,242 patent/US20030171889A1/en not_active Abandoned
-
2003
- 2003-02-27 CA CA002420784A patent/CA2420784C/en not_active Expired - Fee Related
- 2003-02-27 AT AT03004302T patent/ATE329744T1/en not_active IP Right Cessation
- 2003-02-27 DE DE60305993T patent/DE60305993T2/en not_active Expired - Fee Related
- 2003-02-27 EP EP03004302A patent/EP1342550B1/en not_active Expired - Lifetime
- 2003-02-28 BR BR0300488-0A patent/BR0300488A/en not_active IP Right Cessation
- 2003-03-03 ZA ZA200301753A patent/ZA200301753B/en unknown
- 2003-03-03 MX MXPA03001885A patent/MXPA03001885A/en active IP Right Grant
- 2003-03-04 JP JP2003057001A patent/JP2003251687A/en active Pending
- 2003-03-04 AR ARP030100712A patent/AR038724A1/en active IP Right Grant
- 2003-07-28 US US10/628,178 patent/US6839652B2/en not_active Expired - Lifetime
Cited By (14)
| Publication number | Priority date | Publication date | Assignee | Title |
|---|---|---|---|---|
| US20060256837A1 (en) * | 2003-12-01 | 2006-11-16 | Alstom Technology Ltd. | Method for determine the internal structure of a heat conducting body |
| US8718989B2 (en) * | 2003-12-01 | 2014-05-06 | Alstom Technology Ltd. | Method to determine the internal structure of a heat conducting body |
| US20100052224A1 (en) * | 2006-05-11 | 2010-03-04 | Krones Ag | Heating device for plastic blanks |
| US8231823B2 (en) * | 2006-05-11 | 2012-07-31 | Krones Ag | Heating device for plastic blanks |
| US10940635B2 (en) * | 2015-12-22 | 2021-03-09 | Mks Instruments, Inc. | Method and apparatus for processing dielectric materials using microwave energy |
| US20240002270A1 (en) * | 2018-03-29 | 2024-01-04 | Emhart Glass S.A. | Multivariable vertical glass distribution control using soft sensor and methods |
| EP3843974B1 (en) | 2018-08-28 | 2022-09-28 | Sidel Participations | Method for individual measurement of the temperature of a preform |
| US20220072759A1 (en) * | 2020-09-04 | 2022-03-10 | Krones Ag | Apparatus and method for heating plastic preforms with spatially resolved temperature detection |
| US20220072758A1 (en) * | 2020-09-04 | 2022-03-10 | Krones Ag | Apparatus and method for heating plastic preforms with spatially resolved temperature detection |
| CN114131901A (en) * | 2020-09-04 | 2022-03-04 | 克朗斯股份公司 | Device and method for warming plastic preforms with spatially resolved temperature detection |
| EP4209327B1 (en) | 2020-09-04 | 2024-09-25 | Krones AG | Device and method for heating plastic pre-forms with spatially resolved temperature detection |
| US12145304B2 (en) * | 2020-09-04 | 2024-11-19 | Krones Ag | Apparatus and method for heating plastic preforms with spatially resolved temperature detection |
| CN113091952A (en) * | 2021-04-12 | 2021-07-09 | 江苏徐工工程机械研究院有限公司 | 3D printing post-processing temperature measuring device and method |
| CN115979450A (en) * | 2023-01-18 | 2023-04-18 | 瑞纳智能设备股份有限公司 | Temperature measurement method and temperature measurement system based on platinum resistance temperature sensor |
Also Published As
| Publication number | Publication date |
|---|---|
| MXPA03001885A (en) | 2005-08-26 |
| BR0300488A (en) | 2004-08-17 |
| DE60305993D1 (en) | 2006-07-27 |
| CA2420784C (en) | 2008-01-29 |
| ATE329744T1 (en) | 2006-07-15 |
| US6839652B2 (en) | 2005-01-04 |
| CA2420784A1 (en) | 2003-09-04 |
| EP1342550A1 (en) | 2003-09-10 |
| EP1342550B1 (en) | 2006-06-14 |
| DE60305993T2 (en) | 2006-10-05 |
| JP2003251687A (en) | 2003-09-09 |
| AR038724A1 (en) | 2005-01-26 |
| US20040024560A1 (en) | 2004-02-05 |
| ZA200301753B (en) | 2003-09-09 |
Similar Documents
| Publication | Publication Date | Title |
|---|---|---|
| US6839652B2 (en) | Method and device for predicting temperature profiles throughout the thickness of a polymer preform | |
| US8852497B2 (en) | Method and apparatus for providing an internal surface temperature profile of a thermoplastic preform during a stretch blow moulding process | |
| EP3033215B1 (en) | Blow molder control systems and methods | |
| CN1189309C (en) | Automated Material Distribution Control for Stretch Blow Molded Articles | |
| Bordival et al. | Optimization of preform temperature distribution for the stretch‐blow molding of PET bottles: Infrared heating and blowing modeling | |
| Monteix et al. | Experimental study and numerical simulation of preform or sheet exposed to infrared radiative heating | |
| CN102196892B (en) | Device and method for measuring the temperature of a wall in a vessel preform | |
| Venkateswaran et al. | Effects of temperature profiles through preform thickness on the properties of reheat–blown PET containers | |
| EP4596226A2 (en) | Method of heating a preform suitable for blow molding | |
| Le Maoult et al. | Infrared radiation applied to polymer processes | |
| JP7799716B2 (en) | Thermal imaging methods in the blow molding process | |
| Luo et al. | Simplified modeling of the convection and radiation heat transfers during the infrared heating of PET sheets and preforms Nomenclature | |
| Wawrzyniak et al. | A literature survey of the influence of preform reheating and stretch blow molding with hot mold process parameters on the properties of PET containers Part II | |
| Moore | In-cycle control of the thermoforming reheat process | |
| Venkateswaran | Property optimization of stretch blow molded PET containers and prediction of container properties from PET film data | |
| Venkateswaran et al. | Prediction of PET container properties using film data | |
| Throne | Thermoforming crystallizing poly (ethylene terephthalate)(CPET) | |
| JP4392669B2 (en) | Mold temperature prediction method | |
| Bendada et al. | Estimation of the initial temperature profile and the heat transfer coefficient in polymer processing by an inverse method | |
| US20250229460A1 (en) | Apparatus and method for treating plastics material preforms with temperature detection | |
| Bordival et al. | Simulation of the Two Stages Stretch‐Blow Molding Process: Infrared Heating and Blowing Modeling | |
| Hilger et al. | Numerical Analysis and Reduced‐Order Modeling of Plastic Profile Extrusion Processes | |
| Prystay et al. | Application of thermographic temperature measurements in injection molding and blow molding of plastics | |
| Duarte et al. | Controlled temperature jaws to improve material characterization by uniaxial hot tensile test | |
| Hopmann | Numerical analysis and reduced-order modeling of plastic profile extrusion processes |
Legal Events
| Date | Code | Title | Description |
|---|---|---|---|
| AS | Assignment |
Owner name: EASTMAN CHEMICAL COMPANY, TENNESSEE Free format text: ASSIGNMENT OF ASSIGNORS INTEREST;ASSIGNORS:SHELBY, MARCUS DAVID;HORTON, KEVIN DOUGLAS;HALL, HARRY PROBERT;REEL/FRAME:012876/0351;SIGNING DATES FROM 20020227 TO 20020228 |
|
| STCB | Information on status: application discontinuation |
Free format text: ABANDONED -- FAILURE TO PAY ISSUE FEE |
















