US20030130356A1 - Oligoamine compounds and derivatives thereof for cancer therapy - Google Patents
Oligoamine compounds and derivatives thereof for cancer therapy Download PDFInfo
- Publication number
- US20030130356A1 US20030130356A1 US10/272,269 US27226902A US2003130356A1 US 20030130356 A1 US20030130356 A1 US 20030130356A1 US 27226902 A US27226902 A US 27226902A US 2003130356 A1 US2003130356 A1 US 2003130356A1
- Authority
- US
- United States
- Prior art keywords
- chohch
- group
- compound according
- compound
- another embodiment
- Prior art date
- Legal status (The legal status is an assumption and is not a legal conclusion. Google has not performed a legal analysis and makes no representation as to the accuracy of the status listed.)
- Abandoned
Links
- WHDUKLPCKZTPFY-UHFFFAOYSA-N CCNCCCCNCC.Cl.Cl.Cl.Cl.Cl.Cl.Cl.Cl.Cl.Cl Chemical compound CCNCCCCNCC.Cl.Cl.Cl.Cl.Cl.Cl.Cl.Cl.Cl.Cl WHDUKLPCKZTPFY-UHFFFAOYSA-N 0.000 description 8
- 0 [1*]N([2*])CC([4*])[5*] Chemical compound [1*]N([2*])CC([4*])[5*] 0.000 description 8
- FRJOBNOTOHIMIH-UHFFFAOYSA-N [H]C([H])(C(C)C)C([H])([H])C([H])(O)C([H])([H])C(C)C Chemical compound [H]C([H])(C(C)C)C([H])([H])C([H])(O)C([H])([H])C(C)C FRJOBNOTOHIMIH-UHFFFAOYSA-N 0.000 description 2
- UOBIWIOVMORODJ-UHFFFAOYSA-N [H]N(C)C(=O)CCCC.[H]N(C)C(=O)CCCC Chemical compound [H]N(C)C(=O)CCCC.[H]N(C)C(=O)CCCC UOBIWIOVMORODJ-UHFFFAOYSA-N 0.000 description 2
- HHRDHFQICRUNED-UHFFFAOYSA-N BC.CCCCCN(C)C.[H]N(C)C(=O)CCCC Chemical compound BC.CCCCCN(C)C.[H]N(C)C(=O)CCCC HHRDHFQICRUNED-UHFFFAOYSA-N 0.000 description 1
- JNLXNRGQYVFWMI-UHFFFAOYSA-N C.C.CCCCC#N.CCCCC#N.CCCCCCCCCCCCCCCCCC.CCCCCCCCCCCCCCCCCC.CCCCCCCCCCCCCCCCCCCCCC.[C-]#[N+]CCCCCCCCCCCCCCCC.[C-]#[N+]CCCCCCCCCCCCCCCCCCCCC Chemical compound C.C.CCCCC#N.CCCCC#N.CCCCCCCCCCCCCCCCCC.CCCCCCCCCCCCCCCCCC.CCCCCCCCCCCCCCCCCCCCCC.[C-]#[N+]CCCCCCCCCCCCCCCC.[C-]#[N+]CCCCCCCCCCCCCCCCCCCCC JNLXNRGQYVFWMI-UHFFFAOYSA-N 0.000 description 1
- MWFGXLUJGGFHCT-UHFFFAOYSA-N C.CCCCC(=O)O.NCCCC(=O)O Chemical compound C.CCCCC(=O)O.NCCCC(=O)O MWFGXLUJGGFHCT-UHFFFAOYSA-N 0.000 description 1
- JVFRARMJDNRMQO-RBFFCVCNSA-N CC/C=C/CC.CCCCCN(C)C.CCN(C)CCCCN(C)C/C=C/CN(C)CCCCN(C)CC.[2H]CF.[NaH] Chemical compound CC/C=C/CC.CCCCCN(C)C.CCN(C)CCCCN(C)C/C=C/CN(C)CCCCN(C)CC.[2H]CF.[NaH] JVFRARMJDNRMQO-RBFFCVCNSA-N 0.000 description 1
- LWVABYVTAZVQJT-PRQZKWGPSA-N CCCCC.CCCCC(=O)O.[2H]CF Chemical compound CCCCC.CCCCC(=O)O.[2H]CF LWVABYVTAZVQJT-PRQZKWGPSA-N 0.000 description 1
- DATIMHCCPUZBTD-UHFFFAOYSA-N CCCCC.CCCCC.O Chemical compound CCCCC.CCCCC.O DATIMHCCPUZBTD-UHFFFAOYSA-N 0.000 description 1
- IBJDEMZVXRRGAV-UHFFFAOYSA-N CCCCC.[H]N(C)C(=O)CCCC Chemical compound CCCCC.[H]N(C)C(=O)CCCC IBJDEMZVXRRGAV-UHFFFAOYSA-N 0.000 description 1
- DNZMERASQUEEMO-UHFFFAOYSA-N CCCCCC.CCN(C)CCCCN(C)CCCCN(C)CCCCN(C)CC.CCN(C)CCCCN(C)CCCCNC Chemical compound CCCCCC.CCN(C)CCCCN(C)CCCCN(C)CCCCN(C)CC.CCN(C)CCCCN(C)CCCCNC DNZMERASQUEEMO-UHFFFAOYSA-N 0.000 description 1
- PWEWCHQTAUWEEM-IERUDJENSA-N CCN(C)CCCCN(C)C/C=C/CN(C)CCCCN(C)CC.[H]N(CC)CCCCN([H])CC Chemical compound CCN(C)CCCCN(C)C/C=C/CN(C)CCCCN(C)CC.[H]N(CC)CCCCN([H])CC PWEWCHQTAUWEEM-IERUDJENSA-N 0.000 description 1
- VGNLEXKYTCSPHV-UHFFFAOYSA-N CCN.CCNC.CCNC(=O)CNP.CNCC(=O)O.NCC(=O)O Chemical compound CCN.CCNC.CCNC(=O)CNP.CNCC(=O)O.NCC(=O)O VGNLEXKYTCSPHV-UHFFFAOYSA-N 0.000 description 1
- JCGOEJRRNXEHCD-UHFFFAOYSA-N CCNC(=O)CNC=O Chemical compound CCNC(=O)CNC=O JCGOEJRRNXEHCD-UHFFFAOYSA-N 0.000 description 1
- YDFHLDPAKPBVTM-BVFZNQRISA-N CCNCC(O)CCNCCCCNCCC(O)CNCC.O=C1OCCC1O.[2H]B(C)S.[2H]B(C)S.[2H]B(C)S.[2H]B(C)S.[2H]B(C)S.[2H]B(C)S.[2H]B(C)S.[3H]OC(C)CCN.[3H]OC(C)CCNC(=O)CCCC.[3H]OC(C)CCNC(=O)CCCC.[3H]OC(C)CCNC(=O)CCCC.[3H]OC(C)CCO.[3H]OC(CCN(C)CCCCC)CN(C)CC.[3H]OC1CCOC1=O Chemical compound CCNCC(O)CCNCCCCNCCC(O)CNCC.O=C1OCCC1O.[2H]B(C)S.[2H]B(C)S.[2H]B(C)S.[2H]B(C)S.[2H]B(C)S.[2H]B(C)S.[2H]B(C)S.[3H]OC(C)CCN.[3H]OC(C)CCNC(=O)CCCC.[3H]OC(C)CCNC(=O)CCCC.[3H]OC(C)CCNC(=O)CCCC.[3H]OC(C)CCO.[3H]OC(CCN(C)CCCCC)CN(C)CC.[3H]OC1CCOC1=O YDFHLDPAKPBVTM-BVFZNQRISA-N 0.000 description 1
- QXOCYGPVDXDFLC-UHFFFAOYSA-N CCNCCCCNCCCCNCCCCNCC.Cl.Cl.Cl.Cl.Cl.Cl.Cl.Cl.Cl.Cl.Cl.Cl.Cl.Cl Chemical compound CCNCCCCNCCCCNCCCCNCC.Cl.Cl.Cl.Cl.Cl.Cl.Cl.Cl.Cl.Cl.Cl.Cl.Cl.Cl QXOCYGPVDXDFLC-UHFFFAOYSA-N 0.000 description 1
- MXJYVLYENVWKQX-UHFFFAOYSA-N [H]C([H])(CNC)NCC Chemical compound [H]C([H])(CNC)NCC MXJYVLYENVWKQX-UHFFFAOYSA-N 0.000 description 1
- FMKDTXYAQSQZSJ-UHFFFAOYSA-N [H]N(C)CC([H])([H])N(C)CCC Chemical compound [H]N(C)CC([H])([H])N(C)CCC FMKDTXYAQSQZSJ-UHFFFAOYSA-N 0.000 description 1
Images
Classifications
-
- C—CHEMISTRY; METALLURGY
- C07—ORGANIC CHEMISTRY
- C07C—ACYCLIC OR CARBOCYCLIC COMPOUNDS
- C07C215/00—Compounds containing amino and hydroxy groups bound to the same carbon skeleton
- C07C215/02—Compounds containing amino and hydroxy groups bound to the same carbon skeleton having hydroxy groups and amino groups bound to acyclic carbon atoms of the same carbon skeleton
- C07C215/04—Compounds containing amino and hydroxy groups bound to the same carbon skeleton having hydroxy groups and amino groups bound to acyclic carbon atoms of the same carbon skeleton the carbon skeleton being saturated
- C07C215/06—Compounds containing amino and hydroxy groups bound to the same carbon skeleton having hydroxy groups and amino groups bound to acyclic carbon atoms of the same carbon skeleton the carbon skeleton being saturated and acyclic
- C07C215/18—Compounds containing amino and hydroxy groups bound to the same carbon skeleton having hydroxy groups and amino groups bound to acyclic carbon atoms of the same carbon skeleton the carbon skeleton being saturated and acyclic with hydroxy groups and at least two amino groups bound to the carbon skeleton
-
- A—HUMAN NECESSITIES
- A61—MEDICAL OR VETERINARY SCIENCE; HYGIENE
- A61P—SPECIFIC THERAPEUTIC ACTIVITY OF CHEMICAL COMPOUNDS OR MEDICINAL PREPARATIONS
- A61P35/00—Antineoplastic agents
-
- C—CHEMISTRY; METALLURGY
- C07—ORGANIC CHEMISTRY
- C07C—ACYCLIC OR CARBOCYCLIC COMPOUNDS
- C07C211/00—Compounds containing amino groups bound to a carbon skeleton
- C07C211/01—Compounds containing amino groups bound to a carbon skeleton having amino groups bound to acyclic carbon atoms
- C07C211/02—Compounds containing amino groups bound to a carbon skeleton having amino groups bound to acyclic carbon atoms of an acyclic saturated carbon skeleton
- C07C211/14—Amines containing amino groups bound to at least two aminoalkyl groups, e.g. diethylenetriamines
Definitions
- This invention is directed to compounds and methods useful for treating cancer and other diseases caused by uncontrolled cell proliferation, and for treating microsporidiosis and other infectious diseases. More specifically, this invention is directed to oligoamine compounds which display anti-tumor activity in vitro and in vivo, and which display anti-microspora activity as well as methods of making and using those compounds.
- Cancer is one of the leading causes of death in the world. According to the World Health Organization, cancer is the third most common cause of death in the world, after heart disease and infectious disease. Cancer is the second most common cause of death (after heart disease) in the developed world. Accordingly, discovery of new and effective treatments for cancer is a high priority for health care researchers.
- Cancer is often treated by using chemotherapy to selectively kill or hinder the growth of cancer cells, while having a less deleterious effect on normal cells.
- Chemotherapeutic agents often kill rapidly dividing cells, such as cancer cells; cells which are dividing less rapidly are affected to a lesser degree.
- Other agents, such as antibodies attached to toxic agents, have been evaluated for use against cancers. These agents target the cancer cells by making use of a characteristic specific to the cancer, for example, higher-than-normal rates of cell division, or unique antigens expressed on the cancer cell surface.
- the oligoamine compounds of the present invention are also useful for treatment of diseases caused by microorganisms such as bacteria, viruses, and parasites. See Bacchi C J et al., “Novel synthetic polyamines are effective in the treatment of experimental microsporidiosis, an opportunistic AIDS-associated infection,” Antimicrob. Agents Chemother. 46(1):55-61 (2002); and Bacchi C J et al., “SL-11158, a synthetic oligoamine, inhibits polyamine metabolism of Encephalitozoon cuniculi ,” J. Eukaryot. Microbiol. Suppl:92S-94S (2001).
- Microsporidiosis refers to infections caused by any of the parasitic protists of the phylum Microspora; over 140 genera and 1200 species of microsporidia are known, and at least 14 of these species can cause pathology in humans: Enterocytozoon bieneusi, Encephalitozoon intestinalis (previously known as Septata intestinalis ), Encephalitozoon hellem, Encephalitozoon cuniculi , Pleistophora sp., Trachipleistophora hominis, T. anthropophthera, Nosema ocularum, N. algerae, Vittaforma corneae, Microsporidium ceylonensis, M. africanum, Brachiola vesicularum , and B.
- Microsporidiosis is most prevalent in immunocompromised hosts, such as patients with AIDS and HIV-related diseases, or transplant recipients on immunosuppressive therapy. Healthy hosts appear to harbor asymptomatic or self-limiting microsporidiosis. Symptoms of microsporidiosis include diarrhea and other gastrointestinal complications, muscle infections, genitourinary infections, respiratory infections, and eye infections.
- microsporidiosis While pharmaceutical treatments currently exist for microsporidiosis, such as albendazole and metronidazole (Flagyl), not all treatments are effective against every pathogen, and undesirable side effects to specific medicines can occur in certain individuals. Thus, additional medicinal agents are needed to complement the treatments currently available for microsporidiosis and other diseases caused by microbes.
- the invention is directed to oligoamine compounds and derivatives thereof, methods of making them, and methods of using them.
- the invention embraces compounds of the formula:
- R 1 is independently selected from the group consisting of H and C 1 -C 4 linear alkyl
- R 2 is independently selected from the group consisting of H and C 1 -C 4 linear alkyl
- each R 3 is independently selected from the group consisting of C 1 -C 8 linear alkyl
- each R 4 is independently selected from the group consisting of H and C 1 -C 4 linear alkyl
- R 5 is independently selected from the group consisting of H and C 1 -C 4 linear alkyl
- m is an integer between 7 and 15, inclusive; and all salts thereof.
- R 1 is H. In another embodiment, R 2 is H. In another embodiment, both R 1 and R 2 are H.
- R 5 and the R 4 moiety bonded to the nitrogen to which R 5 is also bonded is H.
- both R 5 and the R 4 moiety bonded to the nitrogen to which R 5 is also bonded are H.
- each R 4 is H.
- R 1 is ethyl.
- R 1 is ethyl and R 2 is H.
- R 5 is ethyl.
- R 5 is ethyl and the R 4 moiety bonded to the nitrogen to which R 5 is also bonded is H.
- R 1 is ethyl
- R 2 is H
- R 5 is ethyl
- the R 4 moiety bonded to the nitrogen to which R 5 is also bonded is H.
- each R 3 is independently selected from the group consisting of C 3 -C 4 linear alkyl. In yet another embodiment, each R 3 is C 3 linear alkyl. In yet another embodiment, each R 3 is C 4 linear alkyl.
- m is 7. In other embodiments, m is 9. In other embodiments, m is 11. In other embodiments, m is 13. In other embodiments, m is 15.
- R 1 is independently selected from the group consisting of H and C 1 -C 4 linear alkyl
- R 2 is independently selected from the group consisting of H and C 1 -C 4 linear alkyl
- each R 3 is independently selected from the group consisting of C 1 -C 8 linear hydroxyalkyl and C 1 -C 8 linear alkyl, with the proviso that at least one R 3 is C 1 -C 8 linear hydroxyalkyl
- each R 4 is independently selected from the group consisting of H and C 1 -C 4 linear alkyl
- R 5 is independently selected from the group consisting of H and C 1 -C 4 linear alkyl
- m is an integer between 7 and 15, inclusive; and all salts thereof.
- At least one of R 1 and R 2 is H. In another embodiment, both R 1 and R 2 are H. In another embodiment, at least one of R 5 and the R 4 moiety bonded to the nitrogen to which R 5 is also bonded is H. In another embodiment, each R 4 is H.
- R 1 is ethyl. In another embodiment, R 1 is ethyl and R 2 is H. In another embodiment, R 5 is ethyl. In another embodiment, R 5 is ethyl and the R 4 moiety bonded to the nitrogen to which R 5 is also bonded is H.
- R 1 is ethyl
- R 2 is H
- R 5 is ethyl
- the R 4 moiety bonded to the nitrogen to which R 5 is also bonded is H.
- each R 3 is independently selected from the group consisting of C 3 -C 4 linear hydroxyalkyl and C 3 -C 4 linear alkyl, with the proviso that at least one R 3 is C 3 -C 4 linear hydroxyalkyl.
- each R 3 is independently selected from C 3 linear hydroxyalkyl and C 3 linear alkyl, with the proviso that at least one R 3 is C 3 linear hydroxyalkyl.
- each R 3 is independently selected from C 4 linear hydroxyalkyl and C 4 linear alkyl, with the proviso that at least one R 3 is C 4 linear hydroxyalkyl.
- m is 7. In other embodiments, m is 9. In other embodiments, m is 11. In other embodiments, m is 13. In other embodiments, m is 15.
- the alkyl segment flanked by the two leftmost nitrogens of the compound contains a hydroxyalkyl group. In additional embodiments, the alkyl segment flanked by the two leftmost nitrogens of the compound contains the only hydroxyalkyl group in the molecule. That is, when the structure is drawn out in its entirety, the first R 3 group encountered when reading left to right is a hydroxyalkyl group, or the only hydroxyalkyl group. In additional embodiments, the alkyl segment flanked by the two rightmost nitrogens of the compound contains a hydroxyalkyl group. In additional embodiments, the alkyl segment flanked by the two rightmost nitrogens of the compound contains the only hydroxyalkyl group in the molecule. That is, when the structure is drawn out in its entirety, the last R 3 group encountered when reading left to right is a hydroxyalkyl group, or the only hydroxyalkyl group.
- the invention embraces compounds of the formula:
- R 10 , R 20 , R 69 , and R 70 are independently selected from H, methyl, ethyl, n-propyl, isopropyl, n-butyl, isobutyl, sec-butyl, and t-butyl;
- each R 80 and R 90 are independently selected from H, methyl, ethyl, n-propyl, isopropyl, n-butyl, isobutyl, sec.-butyl, and t-butyl;
- R 30 , each R 40, and R 50 are independently selected from:
- y is an integer selected from 5, 6, 7, 8, 9, 10, 11, 12, and 13; and all salts thereof.
- At least one R 30 , R 40, or R 50 is independently selected from:
- At least one R 30 , R 40, or R 50 is independently selected from:
- At least one of R 30 and R 50 is independently selected from:
- each R 40 is independently selected from the group consisting of —CH 2 CH 2 CH 2 — and —CH 2 CH 2 CH 2 CH 2 —.
- R 30 is independently selected from the group consisting of —CH 2 CH 2 CH 2 — and —CH 2 CH 2 CH 2 CH 2 —.
- R 50 is independently selected from the group consisting of —CH 2 CH 2 CH 2 — and —CH 2 CH 2 CH 2 CH 2 —.
- R 30 and R 50 are independently selected from the group consisting of —CH 2 CH 2 CH 2 — and —CH 2 CH 2 CH 2 CH 2 —.
- R 40 and R 50 are independently selected from the group consisting of —CH 2 CH 2 CH 2 — and —CH 2 CH 2 CH 2 CH 2 —.
- R 30 and R 40 are independently selected from the group consisting of —CH 2 CH 2 CH 2 — and —CH 2 CH 2 CH 2 CH 2 —.
- R 30 , each R 40, and R 50 are independently selected from the group consisting of —CH 2 CH 2 CH 2 — and —CH 2 CH 2 CH 2 CH 2 —.
- y 5, 7, 9, 11, or 13.
- y 6, 8, 10, or 12.
- y 5, 7, 9, or 11.
- y 5.
- y 7.
- each R 40 is —CH 2 CH 2 CH 2 CH 2 —.
- R 30 is —CH 2 CH 2 CH 2 CH 2 —.
- R 50 is —CH 2 CH 2 CH 2 CH 2 —.
- each R 40 and R 50 are —CH 2 CH 2 CH 2 CH 2 —.
- R 30 and each R 40 are —CH 2 CH 2 CH 2 CH 2 —.
- R 30 , each R 40, and R 50 are —CH 2 CH 2 CH 2 CH 2 —.
- y 5, 7, 9, 11, or 13.
- y 6, 8, 10, or 12.
- y 5, 7, 9, or 11.
- y 5.
- y 7.
- each R 40 is —CH 2 CH 2 CH 2 —.
- R 30 is —CH 2 CH 2 CH 2 —.
- R 50 is —CH 2 CH 2 CH 2 —.
- R 30 and R 50 are —CH 2 CH 2 CH 2 —.
- each R 40 and R 50 are —CH 2 CH 2 CH 2 —.
- R 30 and each R 40 are —CH 2 CH 2 CH 2 —.
- R 30 , each R 40 , and R 50 are —CH 2 CH 2 CH 2 —.
- y 5, 7, 9, 11, or 13.
- y 6, 8, 10, or 12.
- y 5, 7, 9, or 11.
- y 5.
- y 7.
- R 10 , R 20 , R 60 , and R 70 are independently selected from H, methyl, ethyl, n-propyl, and n-butyl.
- each R 80 and R 90 are independently selected from H, methyl, ethyl, n-propyl, and n-butyl.
- R 10 , R 20 , R60, and R 70 are independently selected from H, methyl, ethyl, n-propyl, and n-butyl, and each R 80 and R 90 are independently selected from H, methyl, ethyl, n-propyl, and n-butyl.
- R 90 and each R 80 are H.
- R 10 is H
- R 20 is ethyl
- R 60 is H
- R 70 is ethyl.
- y 5, 7, 9, 11, or 13.
- y 6, 8, 1 0, or 12.
- y 5, 7, 9, or 11.
- y 5.
- y 7.
- y 9.
- y 11.
- R 30 , each R 40, and R 50 are —CH 2 CH 2 CH 2 CH 2 —, and R 90 and each R 80 are H.
- R 30 , each R 40, and R 50 are —CH 2 CH 2 CH 2 CH 2 —, and R 10 is H, R 20 is ethyl, R 60 is H, and R 70 is ethyl.
- R 30 , each R 40, and R 50 are —CH 2 CH 2 CH 2 CH 2 —, R 90 and each R 80 are H, and R 10 is H, R 20 is ethyl, R 60 is H, and R 70 is ethyl.
- y 5, 7, 9, 11, or 13.
- y 6, 8, 10, or 12.
- y 5, 7, 9, or 11.
- y 5.
- y 7.
- the invention embraces the compounds
- the invention also embraces methods of making the compounds described above, by protecting the amino group of an alkylamine in such a manner that it can undergo one, and only one, alkylation reaction at the amino group (such as protection with mesitylenesulfonyl chloride), reacting the protected alkylamine with a haloalkylnitrile compound, reducing the nitrile group to an amino group, repeating the protection, reaction, and reduction steps as desired until the desired chain length is generated, and optionally reacting the last nitrogen to be added with an alkyl halide to terminate the synthesis.
- alkylation reaction at the amino group such as protection with mesitylenesulfonyl chloride
- the invention also embraces methods of making the compounds by preparing a linear amide chain, where the linear amide chain is formed by protecting the nitrogen of an ⁇ -amino acid, reacting the carboxyl group of the protected co-amino acid with an alkylamine to form an amino-protected co-amino amide; deprotecting the amino group of the co-amino amide; and reacting the amino group of the c-amino amide with the carboxyl group of a second co-amino acid to form a peptide bond.
- This latter reaction can be repeated as desired until the desired chain length is reached.
- the final nitrogen added to the polyamide compound can optionally be reacted with an alkanoic acid.
- the polyamide compound can be reduced to a polyamine compound.
- the invention also embraces a method of making a compound
- R 10 , R 20 , R 30 , R 40 , R 50 , R 60 , R 70 , R 80 , and R 90 are as defined in the various embodiments above, comprising the steps of:
- R 51 is selected from the group consisting of
- blocking group BG N is selected from the group consisting of an amino protecting group and methyl, ethyl, n-propyl, isopropyl, n-butyl, isobutyl, sec-butyl, and t-butyl;
- R 80 is as defined in the various embodiments above;
- R 41 is selected from the group consisting of
- step c) repeating step c) and repeating the coupling step of step d) for (g-1) additional cycles to form a compound of the formula
- g is an integer from 7 to 15;
- the resulting compound may optionally be purified by any method known in the art, such as column chromatography, ion-exchange chromatography, HPLC, or thin-layer chromatography.
- the invention also provides methods of treating diseases characterized by uncontrolled cell proliferation, such as cancer, including, but not limited to, prostate cancer and breast cancer, by administration of one or more of the compounds described above.
- the invention also includes compositions of one or more of the compounds described above in combination with a pharmaceutically-acceptable carrier, and/or with another therapeutic agent. Examples of compounds of the invention which can be used for the treatment of diseases characterized by uncontrolled cell proliferation, e.g. cancer, such as prostate cancer and breast cancer,
- the invention also embraces a method of treating microsporidiosis and AIDS-associated infections, by administration of one or more of the compounds described above.
- FIG. 1 depicts the effects of SL-11159, SL-11160, SL-11175, and SL-11226 on survival of DuPro cancer cells.
- FIG. 2 depicts the effect of SL-11159 cytotoxicity on PC-3 cancer cells after 5 days incubation.
- the invention is directed to various novel oligoamine compounds and derivatives thereof as described herein.
- the invention includes all salts of the compounds described herein. Particularly preferred are pharmaceutically acceptable salts.
- Pharmaceutically acceptable salts are those salts which retain the biological activity of the free bases and which are not biologically or otherwise undesirable.
- the desired salt may be prepared by methods known to those of skill in the art by treating the polyamine with an acid. Examples of inorganic acids include, but are not limited to, hydrochloric acid, hydrobromic acid, sulfuric acid, nitric acid, and phosphoric acid.
- organic acids include, but are not limited to, formic acid, acetic acid, propionic acid, glycolic acid, pyruvic acid, oxalic acid, maleic acid, malonic acid, succinic acid, fumaric acid, tartaric acid, citric acid, benzoic acid, cinnamic acid, mandelic acid, sulfonic acids, and salicylic acid.
- Salts of the polyamines with amino acids, such as aspartate salts and glutamate salts, can also be prepared.
- the invention also includes all stereoisomers of the compounds, including diastereomers and enantiomers, as well as mixtures of stereoisomers, including, but not limited to, racemic mixtures. Unless stereochemistry is explicitly indicated in a structure, the structure is intended to embrace all possible stereoisomers of the compound depicted.
- alkyl refers to saturated aliphatic groups including straight-chain, branched-chain, cyclic groups, and combinations thereof, having the number of carbon atoms specified, or if no number is specified, having up to 12 carbon atoms. “Straight-chain alkyl” or “linear alkyl” groups refers to alkyl groups that are neither cyclic nor branched, commonly designated as “n-alkyl” groups.
- alkyl groups include, but are not limited to, groups such as methyl, ethyl, n-propyl, isopropyl, n-butyl, isobutyl, sec-butyl, t-butyl, n-pentyl, neopentyl, cyclopropyl, cyclobutyl, cyclopentyl, cyclohexyl, and adamantyl.
- Cyclic groups can consist of one ring, including, but not limited to, groups such as cycloheptyl, or multiple fused rings, including, but not limited to, groups such as adamantyl or norbornyl.
- Substituted alkyl refers to alkyl groups substituted with one or more substituents including, but not limited to, groups such as halogen (fluoro, chloro, bromo, and iodo), alkoxy, acyloxy, amino, hydroxyl, mercapto, carboxy, benzyloxy, phenyl, benzyl, cyano, nitro, thioalkoxy, carboxaldehyde, carboalkoxy and carboxamide, or a functionality that can be suitably blocked, if necessary for purposes of the invention, with a protecting group.
- substituted alkyl groups include, but are not limited to, —CF 3 , —CF 2 —CF 3 , and other perfluoro and perhalo groups.
- “Hydroxyalkyl” specifically refers to alkyl groups having the number of carbon atoms specified substituted with one —OH group.
- “C 3 linear hydroxyalkyl” refers to —CH 2 CH 2 CHOH—, —CH 2 CHOHCH 2 —, and —CHOHCH 2 CH 2 —.
- “C 4 linear hydroxyalkyl” refers to —CH 2 CH 2 CH 2 CHOH—, —CH 2 CH 2 CHOHCH 2 —, —CH 2 CHOHCH 2 CH 2 —, and —CHOHCH 2 CH 2 CH 2 —.
- —CH 2 CHOHCH 2 CH 2 — is understood to include both the fragment:
- alkenyl refers to unsaturated aliphatic groups including straight-chain (linear), branched-chain, cyclic groups, and combinations thereof, having the number of carbon atoms specified, or if no number is specified, having up to 12 carbon atoms, which contain at least one double bond (—C ⁇ C—).
- alkenyl groups include, but are not limited to, —CH 2 —CH ⁇ CH—CH 3 ; and —CH 2 —CH 2 -cyclohexenyl, where the ethyl group can be attached to the cyclohexenyl moiety at any available carbon valence.
- alkynyl refers to unsaturated aliphatic groups including straight-chain (linear), branched-chain, cyclic groups, and combinations thereof, having the number of carbon atoms specified, or if no number is specified, having up to 12 carbon atoms, which contain at least one triple bond (—C ⁇ C—).
- Hydrocarbon chain or “hydrocarbyl” refers to any combination of straight-chain, branched-chain, or cyclic alkyl, alkenyl, or alkynyl groups, and any combination thereof.
- Substituted alkenyl “substituted alkynyl,” and “substituted hydrocarbon chain” or “substituted hydrocarbyl” refer to the respective group substituted with one or more substituents, including, but not limited to, groups such as halogen, alkoxy, acyloxy, amino, hydroxyl, mercapto, carboxy, benzyloxy, phenyl, benzyl, cyano, nitro, thioalkoxy, carboxaldehyde, carboalkoxy and carboxamide, or a functionality that can be suitably blocked, if necessary for purposes of the invention, with a protecting group.
- groups such as halogen, alkoxy, acyloxy, amino, hydroxyl, mercapto, carboxy, benzyloxy, phenyl, benzyl, cyano, nitro, thioalkoxy, carboxaldehyde, carboalkoxy and carboxamide, or a functionality
- Aryl or “Ar” refers to an aromatic carbocyclic group having a single ring (including, but not limited to, groups such as phenyl) or multiple condensed rings (including, but not limited to, groups such as naphthyl or anthryl), and includes both unsubstituted and substituted aryl groups.
- Substituted aryls refers to aryls substituted with one or more substituents, including, but not limited to, groups such as alkyl, alkenyl, alkynyl, hydrocarbon chains, halogen, alkoxy, acyloxy, amino, hydroxyl, mercapto, carboxy, benzyloxy, phenyl, benzyl, cyano, nitro, thioalkoxy, carboxaldehyde, carboalkoxy and carboxamide, or a functionality that can be suitably blocked, if necessary for purposes of the invention, with a protecting group.
- groups such as alkyl, alkenyl, alkynyl, hydrocarbon chains, halogen, alkoxy, acyloxy, amino, hydroxyl, mercapto, carboxy, benzyloxy, phenyl, benzyl, cyano, nitro, thioalkoxy, carboxaldehyde, carboalkoxy and carboxamide
- Heteroalkyl refers to alkyl, alkenyl, and alkynyl groups, respectively, that contain the number of carbon atoms specified (or if no number is specified, having up to 12 carbon atoms) which contain one or more heteroatoms as part of the main, branched, or cyclic chains in the group. Heteroatoms include, but are not limited to, N, S, O, and P; N and O are preferred. Heteroalkyl, heteroalkenyl, and heteroalkynyl groups may be attached to the remainder of the molecule either at a heteroatom (if a valence is available) or at a carbon atom.
- heteroalkyl groups include, but are not limited to, groups such as —O—CH 3 , —CH 2 —O—CH 3 , —CH 2 —CH 2 —O—CH 3 , —S—CH 2 —CH 2 —CH 3 , —CH 2 —CH(CH 3 )—S—CH 3 , —CH 2 —CH 2 —NH—CH 2 —CH 2 —, 1-ethyl-6-propylpiperidino, 2-ethylthiophenyl, and morpholino.
- heteroalkenyl groups include, but are not limited to, groups such as —CH ⁇ CH—NH—CH(CH 3 )—CH 2 —.
- Heteroaryl refers to an aromatic carbocyclic group having a single ring (including, but not limited to, examples such as pyridyl, thiophene, or furyl) or multiple condensed rings (including, but not limited to, examples such as imidazolyl, indolizinyl or benzothienyl) and having at least one hetero atom, including, but not limited to, heteroatoms such as N, O, P, or S, within the ring.
- heteroalkyl, heteroalkenyl, heteroalkynyl, and heteroaryl groups have between one and five heteroatoms and between one and twenty carbon atoms.
- “Substituted heteroalkyl,” “substituted heteroalkenyl,” “substituted heteroalkynyl,” and “substituted heteroaryl” groups refer to heteroalkyl, heteroalkenyl, heteroalkynyl, and heteroaryl groups substituted with one or more substituents, including, but not limited to, groups such as alkyl, alkenyl, alkynyl, benzyl, hydrocarbon chains, halogen, alkoxy, acyloxy, amino, hydroxyl, mercapto, carboxy, benzyloxy, phenyl, benzyl, cyano, nitro, thioalkoxy, carboxaldehyde, carboalkoxy and carboxamide, or a functionality that can be suitably blocked, if necessary for purposes of the invention, with a protecting group.
- substituted heteroalkyl groups include, but are not limited to, piperazine, substituted at a nitrogen or carbon by a phenyl or benzyl group, and attached to the remainder of the molecule by any available valence on a carbon or nitrogen, —NH—SO 2 -phenyl, —NH—(C ⁇ O)O-alkyl, —NH—(C ⁇ O)O-alkyl-aryl, and —NH—(C ⁇ O)-alkyl.
- the heteroatom(s) as well as the carbon atoms of the group can be substituted.
- the heteroatom(s) can also be in oxidized form, if chemically possible.
- alkylaryl refers to an alkyl group having the number of carbon atoms designated, appended to one, two, or three aryl groups.
- alkoxy refers to an alkyl, alkenyl, alkynyl, or hydrocarbon chain linked to an oxygen atom and having the number of carbon atoms specified, or if no number is specified, having up to 12 carbon atoms.
- alkoxy groups include, but are not limited to, groups such as methoxy, ethoxy, and t-butoxy.
- alkanoate refers to an ionized carboxylic acid group, such as acetate (CH 3 C( ⁇ O)—O ( ⁇ 1) ), propionate (CH 3 CH 2 C( ⁇ O)—O ( ⁇ 1) ), and the like.
- Alkyl alkanoate refers to a carboxylic acid esterified with an alkoxy group, such as ethyl acetate (CH 3 C( ⁇ O)—O—CH 2 CH 3 ).
- co-haloalkyl alkanoate refers to an alkyl alkanoate bearing a halogen atom on the alkanoate carbon atom furthest from the carboxyl group; thus, ethyl ⁇ -bromo propionate refers to ethyl 3-bromopropionate, methyl ⁇ -chloro n-butanoate refers to methyl 4-chloro n-butanoate, etc.
- halo and “halogen” as used herein refer to Cl, Br, F or I substituents.
- Protecting group refers to a chemical group that exhibits the following characteristics: 1) reacts selectively with the desired functionality in good yield to give a protected substrate that is stable to the projected reactions for which protection is desired; 2) is selectively removable from the protected substrate to yield the desired functionality; and 3) is removable in good yield by reagents compatible with the other functional group(s) present or generated in such projected reactions. Examples of suitable protecting groups can be found in Greene et al. (1991) Protective Groups in Organic Synthesis, 2nd Ed. (John Wiley & Sons, Inc., New York).
- Amino protecting groups include, but are not limited to, mesitylenesulfonyl (Mes), benzyloxycarbonyl (CBz or Z), t-butyloxycarbonyl (Boc), t-butyldimethylsilyl (TBDIMS or TBDMS), 9-fluorenylmethyloxycarbonyl (Fmoc), tosyl, benzenesulfonyl, 2-pyridyl sulfonyl, or suitable photolabile protecting groups such as 6-nitroveratryloxy carbonyl (Nvoc), nitropiperonyl, pyrenylmethoxycarbonyl, nitrobenzyl, dimethyl dimethoxybenzil, 5-bromo-7-nitroindolinyl, and the like.
- Mes mesitylenesulfonyl
- CBz or Z benzyloxycarbonyl
- Boc t-butyloxycarbonyl
- TBDIMS t
- Hydroxyl protecting groups include, but are not limited to, t-butyl, benzyl, trityl, Fmoc, TBDIMS, photolabile protecting groups (such as nitroveratryl oxymethyl ether (Nvom)), Mom (methoxy methyl ether), and Mem (methoxy ethoxy methyl ether), NPEOC (4-nitrophenethyloxycarbonyl) and NPEOM (4-nitrophenethyloxymethyloxycarbonyl).
- photolabile protecting groups such as nitroveratryl oxymethyl ether (Nvom)
- Mom methoxy methyl ether
- Mem methoxy ethoxy methyl ether
- NPEOC 4-nitrophenethyloxycarbonyl
- NPEOM 4-nitrophenethyloxymethyloxycarbonyl
- the first method involves repetitive addition of bromocyanoalkyl compounds to mesitylsulfonylated alkylamines as follows: the amino group of an alkylamine compound IA (such as methylamine, ethylamine, n-propylamine, n-butylamine, sec-butylamine, t-butylamine, and other alkylamine compounds, which are commercially available from Aldrich Chemical Company, Milwaukee, Wis., and other suppliers) is protected, e.g. by reaction with mesitylenesulfonyl chloride (available from Aldrich Chemical Company and other suppliers) to form a protected alkylamine IIA.
- an alkylamine compound IA such as methylamine, ethylamine, n-propylamine, n-butylamine, sec-butylamine, t-butylamine, and other alkylamine compounds, which are commercially available from Aldrich Chemical Company, Milwaukee, Wis., and other suppliers
- the protected alkylamine IIA is treated with base, e.g.. sodium hydride in anhydrous dimethylformamide, and then reacted with a haloalkylnitrile compound, such as 4-bromobutyronitrile or 3-bromopropionitrile (Aldrich).
- a haloalkylnitrile compound such as 4-bromobutyronitrile or 3-bromopropionitrile (Aldrich).
- the nitrile moiety of the resulting product IIIA is reduced by various methods known in the art, such as treatment with hydrogen gas and palladium or platinum metal, to yield the free amine IVA.
- the second general method of preparing the saturated oligoamine compounds of the invention involves using chemistry analogous to that used for peptide synthesis to generate a polyamide chain, followed by reduction of the amide linkages to amines.
- a non-naturally occurring amino acid such as H 2 NCH 2 CH 2 CH 2 COOH or another compound where an amino group and carboxyl group are separated by a linear alkyl chain of one to twelve, one to eleven, one to eight, or one to seven CH 2 groups, can be converted into its N-protected derivative by using Boc, Fmoc, Cbz, or other amino protecting groups well-known in the art, as illustrated below by conversion of compound IB into compound IIB (PG indicates a protecting group).
- the carboxyl group of the N-protected amino acid can then be converted into an amide group, which functions to prevent undesired reactions at the carboxyl group, and which will ultimately be converted into an amine group bearing the outermost alkyl groups of the final compound. That is, in certain methods for synthesizing the compounds of the invention, such as CH 3 CH 2 (NHCH 2 CH 2 CH 2 CH 2 ) 9 NHCH 2 CH 3 , converting the carboxyl group of Boc-NHCH 2 CH 2 CH 2 COOH into Boc-NHCH 2 CH 2 CH 2 CONHCH 2 CH 3 ultimately provides the ethyl groups flanking the repeating core of the molecule.
- alkyl in the scheme below can refer to groups which are identical or different, that is, alkyl can be used to designate both the —CH 2 CH 2 CH 2 — group and a —CH 2 CH 3 group as in Boc-NHCH 2 CH 2 CH 2 CONHCH 2 CH 3 .
- the N-terminus can be deprotected (compound IVB below).
- Another N-protected amino acid (which can be, but is not necessarily, identical to the amino acid used in the previous step), can then be added. The step is repeated until a desired length is reached, as in compound VB below.
- compound VB can be used in various further methods to synthesize the compounds of the invention.
- One such method is to reduce the amide groups of compound VB by various methods known in the art, using reagents such as borane (e.g., borane-tetrahydrofuran complex) or lithium aluminum hydride, to the compound VIB1 as follows.
- borane e.g., borane-tetrahydrofuran complex
- lithium aluminum hydride lithium aluminum hydride
- alkyl is used to designate the groups in the intermediates of the synthesis, unsaturated segments (alkenyl, alkynyl) groups can be used as well, provided that they are reduced at the end of the synthesis to alkyl groups.
- the compound can be acylated as depicted in VIB2:
- Amides can be reduced to amino groups using various methods known in the art, using reagents such as borane (e.g., borane-tetrahydrofuran complex) or lithium aluminum hydride.
- reagents such as borane (e.g., borane-tetrahydrofuran complex) or lithium aluminum hydride.
- Amide compound VIB1 can also be acylated and reduced to form the final compound, with appropriate protecting groups to prevent acylation of the secondary amines.
- Automated synthesis of the polyamides can be performed using an automated polypeptide synthesizer employing the solid phase method, such as those sold by Perkin Elmer-Applied Biosystems, Foster City, Calif. Following completion of the entire polyamide precursor, the polyamide is cleaved from the solid support and the amide groups are reduced to amine groups as described above.
- the third general method of preparing the saturated oligoamine compounds of the invention comprises reduction of unsaturated polyamine compounds.
- Polyamine compounds which are conformationally restricted due to the presence of one or more double or triple bonds such as those described in U.S. Pat. No. 5,889,061, WO 00/66587, and WO,98/17624, are reduced under a hydrogen atmosphere in the presence of finely divided platinum, palladium, nickel, or other hydrogenation catalysts well-known in the art (e.g., platinum dioxide or “Adam's catalyst;” platinum black; palladium on charcoal, Pd/C; Raney nickel).
- Hydroxy groups can be readily incorporated into one or more locations of the oligoamine compounds.
- Example 11 indicates a synthetic scheme for preparing an oligoamine with hydroxyl groups in two alkyl segments of the oligoamine. The method can be readily adapted to prepare oligoamines with hydroxy groups at any location in any segment of the molecule, simply by using the appropriate protected hydroxy amino acid.
- ZHN(CH 2 )(CHOR)(CH 2 )COOH can be used in place of ZHN(CH 2 )(CH 2 )(CH 2 )COOH for one of the segments of the oligoamine in any of the preceding general schemes, or in the schemes in the examples.
- This compound is readily synthesized from commercially available 4-amino-3-hydroxybutyric acid, by protecting the amino group with the Z group and then protecting the hydroxy group.
- the protecting group R on the hydroxy group can be TBDMS or any other hydroxy protecting group stable to the subsequent reaction conditions.
- ZHN(CH 2 )(CH 2 )(CHOR)COOH can be used to place the hydroxy group in an alternate location.
- the hydroxy-containing aminobutyric acids are available in enantiomerically pure R and S forms should stereospecific synthesis be desired.
- Oligoamine compounds of the present invention are useful for treatment of a variety of diseases caused by uncontrolled proliferation of cells, including cancer, particularly prostate cancer, breast cancer, and other cancers.
- the oligoamine compounds of the present invention are also useful for treatment of infectious and microbial diseases, which can be caused by microorganisms, including, but not limited to, microorganisms such as bacteria, viruses, and parasites.
- infectious and microbial diseases can be caused by microorganisms, including, but not limited to, microorganisms such as bacteria, viruses, and parasites.
- the oligoamine compounds of the present invention are useful in treating diseases in immunocompromised patients.
- the oligoamine compounds of the present invention are particularly useful for treating microsporidiosis.
- Treating” a disease using an oligoamine compound of the invention is defined as administering one or more oligoamine compounds of the invention, with or without additional therapeutic agents, in order to prevent, reduce, or eliminate either the disease or the symptoms of the disease, or to retard the progression of the disease or of symptoms of the disease.
- “Therapeutic use” of the oligoamine compounds of the invention is defined as using one or more oligoamine compounds of the invention to treat a disease, as defined above.
- a “therapeutic amount” of the oligoamine compounds of the invention is an amount sufficient to treat a disease, as defined above.
- oligoamine compounds can be tested against tumor cells, for example, prostate tumor cells.
- exemplary experiments can utilize cell lines capable,of growing in culture as well as in vivo in athymic nude mice, such as LNCaP. Horoszewicz et al. (1983) Cancer Res. 43:1809-1818.
- oligoamine compounds can be further characterized by studying the compound's ability to utilize and regulate the polyamine transporter, as assessed by competition studies using radiolabeled spermidine, as previously described in Mi et al. (1998). Oligoamine compounds could also enter the cells by a diffusion mechanism.
- Oligoamine compounds found to have potent anti-proliferative activity in vitro towards cultured carcinoma cells can be evaluated in in vivo model systems.
- the first goal is to determine the relative toxicity of the compounds in non-tumor-bearing animals, such as DBA/2 mice. Groups of three animals each can be injected intraperitoneally with increasing concentrations of an oligoamine compound, beginning at, for example, 10 mg/kg. Toxicity as indicated by morbidity is closely monitored over the first 24 hr.
- a well-characterized polyamine analog compound such as BE-333
- BE-333 can be used as an internal standard in these studies, since a data base has already been established regarding acute toxicity via a single dose treatment relative to chronic toxicity via a daily ⁇ 5 d schedule.
- single dose toxicity relative to BE-333 is used to project the range of doses to be used on a daily ⁇ 5 d schedule.
- tumors can be subcutaneously implanted into nude athymic mice by trocar and allowed to reach 100-200 mm 3 before initiating treatment by intraperitoneal injection daily ⁇ 5 d.
- Most oligoamine compounds can be given in a range between 10 and 200 mg/kg. Oligoamine compounds can be evaluated at three treatment dosages with 10-15 animals per group (a minimum of three from each can be used for pharmacodynamic studies, described below). Mice can be monitored and weighed twice weekly to determine tumor size and toxicity. Tumor size is determined by multi-directional measurement from which volume in mm 3 is calculated.
- Tumors can be followed until median tumor volume of each group reaches 1500 mm 3 (i.e., 20% of body weight), at which time the animals can be sacrificed.
- constant infusion can be performed via Alzet pump delivery for 5 days since this schedule dramatically improves the anti-tumor activity of BE-333 against A549 human large cell hung carcinoma.
- Sharma et al. (1997) Clin. Cancer Res. 3:1239-1244.
- free oligoamine compound levels in tumor and normal tissues can be determined in test animals.
- the oligoamine compounds of the present invention can be administered to a mammalian, preferably human, subject via any route known in the art, including, but not limited to, those disclosed herein.
- Methods of administration include but are not limited to, intravenous, oral, intraarterial, intratumoral, intramuscular, topical, inhalation, subcutaneous, intraperitoneal, gastrointestinal, and directly to a specific or affected organ.
- the oligoamine compounds described herein are administratable in the form of tablets, pills, powder mixtures, capsules, granules, injectables, creams, solutions, suppositories, emulsions, dispersions, food premixes, and in other suitable forms.
- the compounds can also be administered in liposome formulations.
- the compounds can also be administered as prodrugs, where the prodrug undergoes transformation in the treated subject to a form which is therapeutically effective. Additional methods of administration are known in the art.
- the pharmaceutical dosage form which contains the compounds described herein is conveniently admixed with a non-toxic pharmaceutical organic carrier or a non-toxic pharmaceutical inorganic carrier.
- Typical pharmaceutically-acceptable carriers include, for example, mannitol, urea, dextrans, lactose, potato and maize starches, magnesium stearate, talc, vegetable oils, polyalkylene glycols, ethyl cellulose, poly(vinylpyrrolidone), calcium carbonate, ethyl oleate, isopropyl myristate, benzyl benzoate, sodium carbonate, gelatin, potassium carbonate, silicic acid, and other conventionally employed acceptable carriers.
- the pharmaceutical dosage form can also contain non-toxic auxiliary substances such as emulsifying, preserving, or wetting agents, and the like.
- a suitable carrier is one which does not cause an intolerable side effect, but which allows the novel oligoamine compound(s) to retain its pharmacological activity in the body.
- Formulations for parenteral and nonparenteral drug delivery are known in the art and are set forth in Remington 's Pharmaceutical Sciences, 18th Edition, Mack Publishing (1990) and Remington, The Science and Practice of Pharmacy , Lippincott Williams & Wilkins (2000).
- Solid forms, such as tablets, capsules and powders can be fabricated using conventional tableting and capsule-filling machinery, which is well known in the art.
- Solid dosage forms can contain any number of additional non-active ingredients known to the art, including such conventional additives as excipients; desiccants; colorants; binding agents, for example syrup, acacia, gelatin, sorbitol, tragacanth, or polyvinylpyrollidone; fillers, for example lactose, sugar, maize-starch, calcium phosphate, sorbitol or glycine; tableting lubricants, for example magnesium stearate, talc, polyethylene glycol or silica; disintegrants, for example potato starch; or acceptable wetting agents such as sodium lauryl sulfate.
- additional non-active ingredients known to the art, including such conventional additives as excipients; desiccants; colorants; binding agents, for example syrup, acacia, gelatin, sorbitol, tragacanth, or polyvinylpyrollidone; fillers, for example lactose, sugar, maize-starch, calcium phosphate,
- Liquid forms for ingestion can be formulated using known liquid carriers, including aqueous and non-aqueous carriers, suspensions, oil-in-water and/or water-in-oil emulsions, and the like. Liquid formulations can also contain any number of additional non-active ingredients, including colorants, fragrance, flavorings, viscosity modifiers, preservatives, stabilizers, and the like.
- oligoamine compounds can be administered as injectable dosages of a solution or suspension of the compound in a physiologically acceptable diluent or sterile liquid carrier such as water or oil, with or without additional surfactants or adjuvants.
- carrier oils examples include animal and vegetable oils (e.g., peanut oil, soy bean oil), petroleum-derived oils (e.g., mineral oil), and synthetic oils.
- animal and vegetable oils e.g., peanut oil, soy bean oil
- petroleum-derived oils e.g., mineral oil
- synthetic oils e.g., synthetic oils.
- water, saline, aqueous dextrose and related sugar solutions, and ethanol and glycol solutions such as propylene glycol or polyethylene glycol are preferred liquid carriers.
- the pharmaceutical unit dosage chosen is preferably fabricated and administered to provide a final concentration of drug at the point of contact with the cancer cell of from 1 ⁇ M to 10 mM. More preferred is a concentration of from 1 to 100 ⁇ M.
- oligoamine compounds can be administered as the sole active ingredient, or can be administered in combination with another active ingredient, including, but not limited to, cytotoxic agents, antibiotics, antimetabolites, nitrosourea, vinca alkaloids, polypeptides, antibodies, cytokines, etc.
- MS spectra were generated on Finnigan MAT SSO 700 or Finnigan MAT 90 instruments using chemical ionization (CI) with NH 3 and electron impact (El; 70 eV), and on a Finnigan TSQ 700 instrument using electrospray ionization (ESI).
- CI chemical ionization
- El NH 3 and electron impact
- ESI electrospray ionization
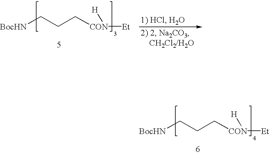
- N-Boc- ⁇ -Aminobutyric acid (1) (This compound can also be purchased commercially from Sigma-Aldrich Chemical Company, Saint Louis, Mo., USA, product B 1892).
- a solution of Boc 2 O (95 g, 435 mmol) in 600 ml of dioxane was added at 0° C. to a stirred mixture of NaHCO 3 (73 g, 870 mmol) in H 2 O (500 ml) and ⁇ -aminobutyric acid (30 g, 291 mmol), stirred for 1 h at 0° C. and for 10 h at 20° C.
- 1-Hydroxybenzotriazole derivative of N-Boc- ⁇ -Aminobutyric acid (2) 1-Hydroxybenzotriazole (70.3 g, 520 mmol; abbreviated as “HOBt” as individual reagent and as “Bt” indicating ester) and dicyclohexylcarbodiimide (DCC, 107.41 g. 520 mmol) were added into an ice cold solution of the acid 1 (105.5 g, 519 mmol) in DMF (700 ml), the cooling bath was removed and the reaction mixture was stirred overnight at 20° C.
- 1-Hydroxybenzotriazole derivative of N-Boc- ⁇ -Aminobutyric acid (2) 1-Hydroxybenzotriazole (70.3 g, 520 mmol; abbreviated as “HOBt” as individual reagent and as “Bt” indicating ester) and dicyclohexylcarbodiimide (DCC,
- MALDI-MS 1278.618 (MK + ), 1262.600 (MNa + ), 1240.712 (M + ).
- the aqueous phases were combined, washed with CH 2 Cl 2 (8 ⁇ 150 ml), concentrated on a rotary evaporator at 50° C. to the volume of 600 ml, and stiffed overnight with 1 g of activated carbon.
- the filtrate was transferred into a Parr apparatus and subjected hydrogenation with 3 g of Pd on C (10%) for 48 h at 50 psi.
- the catalyst was removed by filtration through a CELITE cake and rinsed with H 2 O; the H 2 O was removed on a rotary evaporator at 50° C.
- 1,4-Bis(mesitylenesulfonyloxy)butane (11) 1,4-Butanediol (4.5 g, 50 mmol) was dissolved in dioxane (30 ml), and a 50% solution of KOH (45 ml) and benzyl triethylammonium bromide (675 mg, 2.5 mmol) were added. The mixture was stirred and cooled at 5° C., and mesitylenesulfonyl chloride (26 g, 120 mmol) was added in small portions. The mixture was kept for 5 hr at 5° C., excess water was added and the mixture was stirred for 18 h at 25° C.
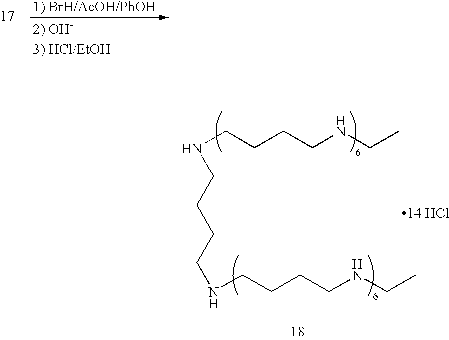
- amine 23 was subjected to a Mitsunobu reaction with phthalimide (PhTh), diethylazodicarboxylate (DEAD), and triphenylphosphine, followed by deprotection with hydrazine to obtain amine 23.
- Amine 23 was repeatedly acylated with ⁇ -carbobenzyloxy-aminobutyric acid in presence of ethyl chloroformate and the carbobenzyloxy (Z) group was removed by hydrogenation over Pd/C catalyst to yield products 24-26. Reduction of tetramide 26 with the borane-THF complex, followed by treatment of the resulting tetramine with Boc-anhydride, gave 27.
- Calf-thymus DNA aggregation by spermine and oligoamines The oligoamines of the invention are very efficient in producing DNA aggregation.
- the concentrations required for polyamines at the start of DNA aggregation along with the concentration required for spermine to achieve the same can be seen in Table 1.
- the oligoamines aggregated DNA 20 to 40 times more efficiently than spermine under identical conditions.
- Tissue Culture Cells were seeded into 75 cm 2 culture flasks with 15 ml of Eagle's minimal essential medium supplemented with 10% fetal calf serum and nonessential amino acids. The flasks were incubated in a humidified 95% air/5% CO 2 atmosphere. The cells were grown for at least 24 h to ensure that they are in the log phase of growth and then they were treated with the oligoamines. Cells were harvested by treatment for 5 min with STV (saline A, 0.05% trypsin, 0.02% EDTA) at 37° C. The flasks were rapped on the lab bench, pipetted several times and aliquots of cell suspension were withdrawn and counted using a Coulter particle counter that has been standardized for counting each cell line using a hemacytometer.
- STV saline A, 0.05% trypsin, 0.02% EDTA
- MTT Assay Trypsinized cell suspensions were diluted to seed 80 ⁇ l suspensions containing 500 cells in each well of a 96 well Corning microtiter plate and incubated overnight at 37° C. in a humidified incubator in 5% CO 2 . 20 ⁇ l of appropriately diluted stock solution of each drug were added to the middle 8 columns of cell suspension in the microtiter plates. Each drug concentration was run in quadruplicate. Outer columns of the plates were used for buffer controls. Cells were incubated with the drug for 6 days at 37° C. in 5% CO 2 /H 2 O atmosphere.
- All compounds were administered for two rounds of five daily treatments with a nine-day rest period between the rounds.
- the control group was treated with vehicle (water for injection) for two rounds on a Q1D ⁇ 5 schedule.
- the individual animal's time to reach the evaluation size was used in the calculations of the median tumor growth delay [(T ⁇ C)/C ⁇ 100%] and as the endpoint in a life tables analysis (stratified Kaplan-Meier estimation followed by the Mantel-Haenszel log-rank test) in order to statistically compare the growth data between groups (see Table 5; group 1 is the control group, group 2 was treated with SL-l 1159, group 3 was treated with SL-11226).
- the time required for a tumor to double in mass is calculated based on the initial tumor weight at the beginning of the treatment period.
- tumor weights are then examined, beginning with the last recorded value, until a doubling is calculated. Examination from the last recorded value is to ensure that the doubling time is calculated during the final phase of tumor growth and not prior to a tumor regression. Values between measurements are calculated by exponential extrapolation, and a value may be estimated after the final measured weight provided the extrapolated value occurs prior to the animal's death.
- the first round of SL-11159 treatment was well tolerated without deaths and an average maximum body weight loss of 4% (1 g).
- the second round of treatment resulted in the death of one animal and a weight loss of 11% (3 g).
- the treatment resulted in a statistically significant growth delay of >40%.
- the SL-11226 treatment was well tolerated without deaths and body weight losses ranging from 0 to 10% (0-3 g).
- the treatment produced statistically significant growth delays of>37%. Additional details are provided in Table 4B.
- TABLE 4B Treatment Results cont. Tumor Regression Duration Tumor Free Days Number of Number of Med/Range Survival/ Days to 4 Delay Partial Complete (Days) Total Doublings (T-C) — — — — 1/16* 17.1 — 0 0 — 0/8 >24.0 >6.9 0 0 — 0/8 >23.5 >6.4
- Nonspecific deaths a treated, tumored animal was presumed to be a nonspecific death if its day of death was significantly less (p ⁇ 0.05) than the corresponding day of death in the treated control group and its tumor was less than 400 mg, or if it died with a tumor of 400 mg or less prior to 45 days after the last day of treatment, or with a regressing tumor prior to 15 days after the last day of treatment, or if the treated animal was uniquely specified as a nonspecific death on data input.
- Tumor regression was scored (excluding nonspecific deaths), according to the smallest tumor size attained after the beginning of treatment relative to the size at first treatment:
- Duration of regression the interval during which a tumor classified as a partial or complete regressor was below 50 percent of its size at first treatment.
- Evaluation size this value is the tumor mass selected at four mass doublings beginning with the initial tumor size at the start of treatment.
- T ⁇ C days: the difference in the median of times postimplant for tumors of the treated groups to attain an evaluation size compared to the median of the control group.
- the T ⁇ C value is measured excluding nonspecific deaths and any other animal that dies whose tumor failed to attain the evaluation size.
Landscapes
- Organic Chemistry (AREA)
- Chemical & Material Sciences (AREA)
- Health & Medical Sciences (AREA)
- Life Sciences & Earth Sciences (AREA)
- General Health & Medical Sciences (AREA)
- Nuclear Medicine, Radiotherapy & Molecular Imaging (AREA)
- General Chemical & Material Sciences (AREA)
- Pharmacology & Pharmacy (AREA)
- Chemical Kinetics & Catalysis (AREA)
- Animal Behavior & Ethology (AREA)
- Medicinal Chemistry (AREA)
- Public Health (AREA)
- Veterinary Medicine (AREA)
- Pharmaceuticals Containing Other Organic And Inorganic Compounds (AREA)
- Organic Low-Molecular-Weight Compounds And Preparation Thereof (AREA)
- Acyclic And Carbocyclic Compounds In Medicinal Compositions (AREA)
- Low-Molecular Organic Synthesis Reactions Using Catalysts (AREA)
- Macromolecular Compounds Obtained By Forming Nitrogen-Containing Linkages In General (AREA)
Abstract
Oligoamine compounds with anti-cancer and anti-proliferative activity are provided, as well as methods for making and using the compounds. The compounds are shown to be active against prostate cancer cell lines and against prostate cancer tumors in mice. The compounds are also useful in treatment of breast cancer and other cancers.
Description
- This application claims priority benefit of U.S. provisional patent application No. 60/329,982, filed Oct. 16, 2001. The content of that application is hereby incorporated herein by reference in its entirety.
- Not applicable.
- This invention is directed to compounds and methods useful for treating cancer and other diseases caused by uncontrolled cell proliferation, and for treating microsporidiosis and other infectious diseases. More specifically, this invention is directed to oligoamine compounds which display anti-tumor activity in vitro and in vivo, and which display anti-microspora activity as well as methods of making and using those compounds.
- Cancer is one of the leading causes of death in the world. According to the World Health Organization, cancer is the third most common cause of death in the world, after heart disease and infectious disease. Cancer is the second most common cause of death (after heart disease) in the developed world. Accordingly, discovery of new and effective treatments for cancer is a high priority for health care researchers.
- Cancer is often treated by using chemotherapy to selectively kill or hinder the growth of cancer cells, while having a less deleterious effect on normal cells. Chemotherapeutic agents often kill rapidly dividing cells, such as cancer cells; cells which are dividing less rapidly are affected to a lesser degree. Other agents, such as antibodies attached to toxic agents, have been evaluated for use against cancers. These agents target the cancer cells by making use of a characteristic specific to the cancer, for example, higher-than-normal rates of cell division, or unique antigens expressed on the cancer cell surface.
- Various naturally-occurring and synthetic amine-containing compounds have been evaluated for anti-cancer and antiproliferative activity. The following patents and patent applications, all of which are hereby incorporated by reference in their entirety, discuss certain of these compounds: U.S. Pat. Nos. 5,541,230, 5,880,161, and 5,889,061; and International Patent Cooperation Treaty Applications WO 00/66587, WO 98/17624, and WO 95/18091. Other publications which discuss various amine-containing compounds, for a wide variety of applications, include U.S. Pat. No. 3,956,502, to polyamine alcohols as microbicides; U.S. Pat. No. 4,013,507 and U.S. Pat. No. 5,866,016, which relate to the compounds commonly called ionenes; CA 2,231,200, which discusses polyalkylimines as gene transport carriers; EP 889 112, directed to a lubricating oil composition for automatic transmissions; U.S. Pat. No. 4,971,598, directed to reaction products of alkenyl succinimides with ethylenediamine carboxy acids as fuel detergents; U.S. Pat. No. 5,091,576, which discusses anti-neoplastic, anti-viral, or anti-retroviral spermine derivatives, and U.S. Pat. No. 5,393,757, which discusses polyamines and anti-diarrheal and gastrointestinal anti-spasmodic pharmaceutical compositions and methods of treatment; WO 93/04036 and U.S. Pat. No. 5,185,369, directed to synthetic aryl and heteroaryl polyamines as excitatory amino acid neurotransmitter antagonists; U.S. Pat. No. 5,530,092 and U.S. Pat. No. 5,698,662, directed to dendritic macromolecules and the preparation thereof; U.S. Pat. No. 5,750,788, which discusses preparation of amines from compounds having at least three cyano groups; U.S. Pat. No. 5,847,190, to dendritic nitrogen-containing organic compounds; U.S. Pat. No. 6,046,282, to reactive diluents for polyamidoamine epoxy curatives; WO 95/20580, to macrocyclic octaaza compounds; WO 96/38528, directed to betaine esters for the delivery of alcohols; WO 97/07674, WO 98/51660, and WO 99/17802, to ethyleneimine oligomers for selective modification of nucleic acids; WO 00/09634, to diesel fuels comprising hydrocarbyl amines; WO 01/64779, to polyamine polyoxides used as asphalt emulsifiers; WO 01/79329, to oligopolysuccinimides; Bruice T C et al., “A microgonotropen branched decaaza decabutylamine and its DNA and DNA/transcription factor interactions,” Bioorg Med Chem. 5(4):685-92 (1997); Satz A L and Bruice T C, “Recognition in the minor groove of double-stranded DNA by microgonotropens,: Acc. Chem. Res. 35(2):86-95 (2002); Kroger N et al., “Species-specific polyamines from diatoms control silica morphology,” Proc. Natl. Acad. Sci. USA 97(26):14133-8 (2000); Bacchi C J et al., “Novel synthetic polyamines are effective in the treatment of experimental microsporidiosis, an opportunistic AIDS-associated infection,” Antimicrob. Agents Chemother. 46(1):55-61 (2002); and Bacchi C J et al., “SL-11158, a synthetic oligoamine, inhibits polyamine metabolism of Encephalitozoon cuniculi,” J. Eukaryot. Microbiol. Suppl:92S-94S (2001).
- Despite intensive research aimed at finding effective treatments for cancer, is well-known that, while some cancers can be treated with relative success, no effective treatments exist for other cancers. Thus, there is a need for additional pharmaceutical agents to complement the medicinal remedies currently available for treatment of cancer and diseases characterized by uncontrolled cell proliferation.
- In addition to treatment of cancer, the oligoamine compounds of the present invention are also useful for treatment of diseases caused by microorganisms such as bacteria, viruses, and parasites. See Bacchi C J et al., “Novel synthetic polyamines are effective in the treatment of experimental microsporidiosis, an opportunistic AIDS-associated infection,” Antimicrob. Agents Chemother. 46(1):55-61 (2002); and Bacchi C J et al., “SL-11158, a synthetic oligoamine, inhibits polyamine metabolism of Encephalitozoon cuniculi,” J. Eukaryot. Microbiol. Suppl:92S-94S (2001). Microsporidiosis refers to infections caused by any of the parasitic protists of the phylum Microspora; over 140 genera and 1200 species of microsporidia are known, and at least 14 of these species can cause pathology in humans: Enterocytozoon bieneusi, Encephalitozoon intestinalis (previously known as Septata intestinalis), Encephalitozoon hellem, Encephalitozoon cuniculi, Pleistophora sp., Trachipleistophora hominis, T. anthropophthera, Nosema ocularum, N. algerae, Vittaforma corneae, Microsporidium ceylonensis, M. africanum, Brachiola vesicularum, and B. connori.. (See Centers for Disease Control information at World Wide Web URL www.dpd.cdc.gov/dpdx/HTML/Microsporidiosis.htm). Microsporidiosis is most prevalent in immunocompromised hosts, such as patients with AIDS and HIV-related diseases, or transplant recipients on immunosuppressive therapy. Healthy hosts appear to harbor asymptomatic or self-limiting microsporidiosis. Symptoms of microsporidiosis include diarrhea and other gastrointestinal complications, muscle infections, genitourinary infections, respiratory infections, and eye infections.
- While pharmaceutical treatments currently exist for microsporidiosis, such as albendazole and metronidazole (Flagyl), not all treatments are effective against every pathogen, and undesirable side effects to specific medicines can occur in certain individuals. Thus, additional medicinal agents are needed to complement the treatments currently available for microsporidiosis and other diseases caused by microbes.
- The invention is directed to oligoamine compounds and derivatives thereof, methods of making them, and methods of using them.
-
- where
- R 1 is independently selected from the group consisting of H and C1-C4 linear alkyl; R2 is independently selected from the group consisting of H and C1-C4 linear alkyl; each R3 is independently selected from the group consisting of C1-C8 linear alkyl; each R4is independently selected from the group consisting of H and C1-C4 linear alkyl; R5 is independently selected from the group consisting of H and C1-C4 linear alkyl; m is an integer between 7 and 15, inclusive; and all salts thereof.
- In one embodiment, R 1 is H. In another embodiment, R2 is H. In another embodiment, both R1 and R2 are H.
- In another embodiment, at least one of R 5 and the R4 moiety bonded to the nitrogen to which R5 is also bonded is H. In another embodiment, both R5 and the R4 moiety bonded to the nitrogen to which R5 is also bonded are H. In another embodiment, each R4 is H. In another embodiment, R1 is ethyl.
- In another embodiment, R 1 is ethyl and R2 is H. In another embodiment, R5 is ethyl. In another embodiment, R5 is ethyl and the R4 moiety bonded to the nitrogen to which R5 is also bonded is H.
- In another embodiment, R 1 is ethyl, R2 is H, R5 is ethyl and the R4 moiety bonded to the nitrogen to which R5 is also bonded is H.
- In yet another embodiment, each R 3 is independently selected from the group consisting of C3-C4 linear alkyl. In yet another embodiment, each R3 is C3 linear alkyl. In yet another embodiment, each R3 is C4 linear alkyl.
- In other embodiments, m is 7. In other embodiments, m is 9. In other embodiments, m is 11. In other embodiments, m is 13. In other embodiments, m is 15.
-
- where
- R 1 is independently selected from the group consisting of H and C1-C4 linear alkyl; R2 is independently selected from the group consisting of H and C1-C4 linear alkyl; each R3 is independently selected from the group consisting of C1-C8 linear hydroxyalkyl and C1-C8 linear alkyl, with the proviso that at least one R3 is C1-C8 linear hydroxyalkyl; each R4 is independently selected from the group consisting of H and C1-C4 linear alkyl; R5 is independently selected from the group consisting of H and C1-C4 linear alkyl; m is an integer between 7 and 15, inclusive; and all salts thereof.
- In one embodiment, at least one of R 1 and R2 is H. In another embodiment, both R1 and R2 are H. In another embodiment, at least one of R5 and the R4 moiety bonded to the nitrogen to which R5 is also bonded is H. In another embodiment, each R4is H.
- In another embodiment, R 1 is ethyl. In another embodiment, R1 is ethyl and R2 is H. In another embodiment, R5 is ethyl. In another embodiment, R5 is ethyl and the R4 moiety bonded to the nitrogen to which R5 is also bonded is H.
- In another embodiment, R 1 is ethyl, R2 is H, R5 is ethyl and the R4 moiety bonded to the nitrogen to which R5 is also bonded is H.
- In yet another embodiment, each R 3 is independently selected from the group consisting of C3-C4 linear hydroxyalkyl and C3-C4 linear alkyl, with the proviso that at least one R3 is C3-C4 linear hydroxyalkyl. In yet another embodiment, each R3 is independently selected from C3 linear hydroxyalkyl and C3 linear alkyl, with the proviso that at least one R3 is C3 linear hydroxyalkyl. In yet another embodiment, each R3 is independently selected from C4 linear hydroxyalkyl and C4 linear alkyl, with the proviso that at least one R3 is C4 linear hydroxyalkyl.
- In other embodiments, m is 7. In other embodiments, m is 9. In other embodiments, m is 11. In other embodiments, m is 13. In other embodiments, m is 15.
- In additional embodiments, the alkyl segment flanked by the two leftmost nitrogens of the compound contains a hydroxyalkyl group. In additional embodiments, the alkyl segment flanked by the two leftmost nitrogens of the compound contains the only hydroxyalkyl group in the molecule. That is, when the structure is drawn out in its entirety, the first R 3 group encountered when reading left to right is a hydroxyalkyl group, or the only hydroxyalkyl group. In additional embodiments, the alkyl segment flanked by the two rightmost nitrogens of the compound contains a hydroxyalkyl group. In additional embodiments, the alkyl segment flanked by the two rightmost nitrogens of the compound contains the only hydroxyalkyl group in the molecule. That is, when the structure is drawn out in its entirety, the last R3 group encountered when reading left to right is a hydroxyalkyl group, or the only hydroxyalkyl group.
-
- where
- R 10, R20, R69, and R70 are independently selected from H, methyl, ethyl, n-propyl, isopropyl, n-butyl, isobutyl, sec-butyl, and t-butyl;
- where each R 80 and R90 are independently selected from H, methyl, ethyl, n-propyl, isopropyl, n-butyl, isobutyl, sec.-butyl, and t-butyl;
- where R 30, each R40, and R50 are independently selected from:
- —CH2CH2CH2CH2—
- —CHOHCH2CH2CH2—
- —CH2CHOHCH2CH2—
- —CH2CH2CHOHCH2—
- —CH2CH2CH2CHOH—
- —CH2CH2CH2—
- —CHOHCH2CH2—
- —CH2CHOHCH2—
- —CH2CH2CHOH;—
- and where y is an integer selected from 5, 6, 7, 8, 9, 10, 11, 12, and 13; and all salts thereof.
- In one embodiment, at least one R 30, R40, or R50 is independently selected from:
- —CHOHCH2CH2CH2—
- —CH2CHOHCH2CH2—
- —CH2CH2CHOHCH2—
- —CH2CH2CH2CHOH—
- —CHOHCH2CH2—
- —CH2CHOHCH2— and
- —CH2CH2CHOH—.
- In another embodiment, at least one R 30, R40, or R50 is independently selected from:
- —CHOHCH2CH2CH2—
- —CH2CHOHCH2CH2—
- —CH2CH2CHOHCH2—; and
- —CH2CH2CH2CHOH—.
- In another embodiment, at least one of R 30 and R50 is independently selected from:
- —CHOHCH2CH2CH2—
- —CH2CHOHCH2CH2—
- —CH2CH2CHOHCH2—; and
- —CH2CH2CH2CHOH—.
- In another embodiment, each R 40 is independently selected from the group consisting of —CH2CH2CH2— and —CH2CH2CH2CH2—. In another embodiment, R30 is independently selected from the group consisting of —CH2CH2CH2— and —CH2CH2CH2CH2—. In another embodiment, R50 is independently selected from the group consisting of —CH2CH2CH2— and —CH2CH2CH2CH2—. In another embodiment, R30 and R50 are independently selected from the group consisting of —CH2CH2CH2— and —CH2CH2CH2CH2—. In another embodiment, R40 and R50 are independently selected from the group consisting of —CH2CH2CH2— and —CH2CH2CH2CH2—. In another embodiment, R30 and R40 are independently selected from the group consisting of —CH2CH2CH2— and —CH2CH2CH2CH2—. In another embodiment, R30, each R40, and R50 are independently selected from the group consisting of —CH2CH2CH2— and —CH2CH2CH2CH2—. In one embodiment of the foregoing embodiments, y=5, 7, 9, 11, or 13. In yet another embodiment, y=6, 8, 10, or 12. In yet another embodiment, y=5, 7, 9, or 11. In yet another embodiment, y=5. In yet another embodiment, y=7. In yet another embodiment, y=9. In yet another embodiment, y=11.
- In another embodiment, each R 40 is —CH2CH2CH2CH2—. In another embodiment, R30 is —CH2CH2CH2CH2—. In another embodiment, R50 is —CH2CH2CH2CH2—. In another embodiment, R30 and R50 are —CH2CH2CH2CH2—. In another embodiment, each R40 and R50 are —CH2CH2CH2CH2—. In another embodiment, R30 and each R40 are —CH2CH2CH2CH2—. In another embodiment, R30, each R40, and R50 are —CH2CH2CH2CH2—. In one embodiment of the foregoing embodiments, y=5, 7, 9, 11, or 13. In yet another embodiment, y=6, 8, 10, or 12. In yet another embodiment, y=5, 7, 9, or 11. In yet another embodiment, y=5. In yet another embodiment, y=7. In yet another embodiment, y=9. In yet another embodiment, y=11.
- In another embodiment, each R 40 is —CH2CH2CH2—. In another embodiment, R30 is —CH2CH2CH2—. In another embodiment, R50 is —CH2CH2CH2—. In another embodiment, R30 and R50 are —CH2CH2CH2—. In another embodiment, each R40 and R50 are —CH2CH2CH2—. In another embodiment, R30 and each R40 are —CH2CH2CH2—. In another embodiment, R30, each R40, and R50 are —CH2CH2CH2—. In one embodiment of the foregoing embodiments, y=5, 7, 9, 11, or 13. In yet another embodiment, y=6, 8, 10, or 12. In yet another embodiment, y=5, 7, 9, or 11. In yet another embodiment, y=5. In yet another embodiment, y=7. In yet another embodiment, y=9. In yet another embodiment, y=11.
- In one embodiment, R 10, R20, R60, and R70 are independently selected from H, methyl, ethyl, n-propyl, and n-butyl. In another embodiment, each R80 and R90 are independently selected from H, methyl, ethyl, n-propyl, and n-butyl. In another embodiment, R10, R20, R60, and R70 are independently selected from H, methyl, ethyl, n-propyl, and n-butyl, and each R80 and R90 are independently selected from H, methyl, ethyl, n-propyl, and n-butyl.
- In another embodiment, R 90 and each R80 are H. In another embodiment, R10 is H, R20 is ethyl, R60 is H, and R70 is ethyl. In one embodiment of the foregoing embodiments, y=5, 7, 9, 11, or 13. In yet another embodiment, y=6, 8, 1 0, or 12. In yet another embodiment, y=5, 7, 9, or 11. In yet another embodiment, y=5. In yet another embodiment, y=7. In yet another embodiment, y=9. In yet another embodiment, y=11.
- In another embodiment, R 30, each R40, and R50 are —CH2CH2CH2CH2—, and R90 and each R80 are H. In another embodiment, R30, each R40, and R50 are —CH2CH2CH2CH2—, and R10 is H, R20 is ethyl, R60 is H, and R70 is ethyl. In another embodiment, R30, each R40, and R50 are —CH2CH2CH2CH2—, R90 and each R80 are H, and R10 is H, R20 is ethyl, R60 is H, and R70 is ethyl. In one embodiment of the foregoing embodiments, y=5, 7, 9, 11, or 13. In yet another embodiment, y=6, 8, 10, or 12. In yet another embodiment, y=5, 7, 9, or 11. In yet another embodiment, y=5. In yet another embodiment, y=7. In yet another embodiment, y=9. In yet another embodiment, y=11.
- In another embodiment, the invention embraces compounds of the formula: CH 3CH2NHCH2CH2CH2CH2(NHCH2CH2CH2CH2)yNHCH2CH2CH2CH2NHCH2CH3 where y=5, 6, 7, 8, 9, 10, 11, 12, or 13. In yet another embodiment, y=5, 7, 9, 11, or 13. In yet another embodiment, y=6, 8, 10, or 12. In yet another embodiment, y=5, 7, 9, or 11. In yet another embodiment, y=5. In yet another embodiment, y=7. In yet another embodiment, y=9. In yet another embodiment, y=11.
- In another embodiment, the invention embraces compounds of the formula: CH 3CH2NHCH2CH2CH2(NHCH2CH2CH2)yNHCH2CH2CH2NHCH2CH3 where y=5, 6, 7, 8, 9, 10, 11, 12, or 13. In yet another embodiment, y=5, 7, 9, 11, or 13. In yet another embodiment, y=6, 8, 10, or 12. In yet another embodiment, y=5, 7, 9, or 11. In yet another embodiment, y=5. In yet another embodiment, y=7. In yet another embodiment, y=9. In yet another embodiment, y=11.
- In another embodiment, the invention embraces the compounds
- CH3CH2—NH—(CH2CH2CH2CH2—NH—)9—CH2CH3,
- CH3CH2—NH—(CH2CH2CH2CH2—NH—)7—CH2CH3,
- CH3CH2—NH—(CH2CH2CH2CH2—NH—)13—CH2CH3, and
- CH3CH2—NH—(CH2CH2CH2CH2—NH—)11—CH2CH3, and all salts thereof.
- The invention also embraces methods of making the compounds described above, by protecting the amino group of an alkylamine in such a manner that it can undergo one, and only one, alkylation reaction at the amino group (such as protection with mesitylenesulfonyl chloride), reacting the protected alkylamine with a haloalkylnitrile compound, reducing the nitrile group to an amino group, repeating the protection, reaction, and reduction steps as desired until the desired chain length is generated, and optionally reacting the last nitrogen to be added with an alkyl halide to terminate the synthesis.
- The invention also embraces methods of making the compounds by preparing a linear amide chain, where the linear amide chain is formed by protecting the nitrogen of an ω-amino acid, reacting the carboxyl group of the protected co-amino acid with an alkylamine to form an amino-protected co-amino amide; deprotecting the amino group of the co-amino amide; and reacting the amino group of the c-amino amide with the carboxyl group of a second co-amino acid to form a peptide bond. This latter reaction can be repeated as desired until the desired chain length is reached. The final nitrogen added to the polyamide compound can optionally be reacted with an alkanoic acid. Finally, the polyamide compound can be reduced to a polyamine compound.
-
- where
- R 10, R20, R30, R40, R50, R60, R70, R80, and R90 are as defined in the various embodiments above, comprising the steps of:
- a) providing a first compound of the form
- H—N(R90)—R51—C(═O)N(R60)(R70)
- where R 51 is selected from the group consisting of
- —CH2CH2CH2—
- —CHO(PGHy)CH2CH2—
- —CH2CHO(PGHy)CH2—
- —CH2CH2CHO(PGHy)—
- —CH2CH2—
- —CHO(PGHy)CH2—and
- —CH2CHO(PGHy)—
- where PG Hy is a hydroxy protecting group;
- b) providing a second compound of the form
- BGNN(R80)—R41—COOH
- where blocking group BG N is selected from the group consisting of an amino protecting group and methyl, ethyl, n-propyl, isopropyl, n-butyl, isobutyl, sec-butyl, and t-butyl;
- R 80 is as defined in the various embodiments above;
- R 41 is selected from the group consisting of
- —CH2CH2CH2—
- —CHO(PGHy)CH2CH2—
- —CH2CHO(PGHy)CH2—
- —CH2CH2CHO(PGHy)—
- —CH2CH2—
- —CHO(PGHy)CH2— and
- —CH2CHO(PGHy)—;
- c) activating the carboxyl group of the second compound;
- d) coupling the second compound to the first compound to form a compound of the formula
- BGN[N(R80)—R41—CO]g—N(R90)—R51—CON(R60)(R70)
- where g is 1;
- e) repeating step c) and repeating the coupling step of step d) for (g-1) additional cycles to form a compound of the formula
- BGN[N(R80)—R41—CO]g—N(R90)—R51—CON(R60)(R70)
- where g is an integer from 7 to 15;
- f) reducing the amide groups to amine groups; and
- g) removing any protecting groups BG N and PGHy that may be present in the compound. The resulting compound may optionally be purified by any method known in the art, such as column chromatography, ion-exchange chromatography, HPLC, or thin-layer chromatography.
- The invention also provides methods of treating diseases characterized by uncontrolled cell proliferation, such as cancer, including, but not limited to, prostate cancer and breast cancer, by administration of one or more of the compounds described above. The invention also includes compositions of one or more of the compounds described above in combination with a pharmaceutically-acceptable carrier, and/or with another therapeutic agent. Examples of compounds of the invention which can be used for the treatment of diseases characterized by uncontrolled cell proliferation, e.g. cancer, such as prostate cancer and breast cancer,
- are
- CH3CH2—NH—(CH2CH2CH2CH2—NH—)9—CH2CH3,
- CH3CH2—NH—(CH2CH2CH2CH2—NH—)7—CH2CH3,
- CH3CH2—NH—(CH2CH2CH2CH2—NH—)13—CH2CH3, or
- CH3CH2—NH—(CH2CH2CH2CH2—NH—)11—CH2CH3,
- or any salt thereof
- The invention also embraces a method of treating microsporidiosis and AIDS-associated infections, by administration of one or more of the compounds described above.
- FIG. 1 depicts the effects of SL-11159, SL-11160, SL-11175, and SL-11226 on survival of DuPro cancer cells.
- FIG. 2 depicts the effect of SL-11159 cytotoxicity on PC-3 cancer cells after 5 days incubation.
- The invention is directed to various novel oligoamine compounds and derivatives thereof as described herein. The invention includes all salts of the compounds described herein. Particularly preferred are pharmaceutically acceptable salts. Pharmaceutically acceptable salts are those salts which retain the biological activity of the free bases and which are not biologically or otherwise undesirable. The desired salt may be prepared by methods known to those of skill in the art by treating the polyamine with an acid. Examples of inorganic acids include, but are not limited to, hydrochloric acid, hydrobromic acid, sulfuric acid, nitric acid, and phosphoric acid. Examples of organic acids include, but are not limited to, formic acid, acetic acid, propionic acid, glycolic acid, pyruvic acid, oxalic acid, maleic acid, malonic acid, succinic acid, fumaric acid, tartaric acid, citric acid, benzoic acid, cinnamic acid, mandelic acid, sulfonic acids, and salicylic acid. Salts of the polyamines with amino acids, such as aspartate salts and glutamate salts, can also be prepared.
- The invention also includes all stereoisomers of the compounds, including diastereomers and enantiomers, as well as mixtures of stereoisomers, including, but not limited to, racemic mixtures. Unless stereochemistry is explicitly indicated in a structure, the structure is intended to embrace all possible stereoisomers of the compound depicted.
- The term “alkyl” refers to saturated aliphatic groups including straight-chain, branched-chain, cyclic groups, and combinations thereof, having the number of carbon atoms specified, or if no number is specified, having up to 12 carbon atoms. “Straight-chain alkyl” or “linear alkyl” groups refers to alkyl groups that are neither cyclic nor branched, commonly designated as “n-alkyl” groups. Examples of alkyl groups include, but are not limited to, groups such as methyl, ethyl, n-propyl, isopropyl, n-butyl, isobutyl, sec-butyl, t-butyl, n-pentyl, neopentyl, cyclopropyl, cyclobutyl, cyclopentyl, cyclohexyl, and adamantyl. Cyclic groups can consist of one ring, including, but not limited to, groups such as cycloheptyl, or multiple fused rings, including, but not limited to, groups such as adamantyl or norbornyl.
- “Substituted alkyl” refers to alkyl groups substituted with one or more substituents including, but not limited to, groups such as halogen (fluoro, chloro, bromo, and iodo), alkoxy, acyloxy, amino, hydroxyl, mercapto, carboxy, benzyloxy, phenyl, benzyl, cyano, nitro, thioalkoxy, carboxaldehyde, carboalkoxy and carboxamide, or a functionality that can be suitably blocked, if necessary for purposes of the invention, with a protecting group. Examples of substituted alkyl groups include, but are not limited to, —CF 3, —CF2—CF3, and other perfluoro and perhalo groups.
- “Hydroxyalkyl” specifically refers to alkyl groups having the number of carbon atoms specified substituted with one —OH group. Thus, “C 3 linear hydroxyalkyl” refers to —CH2CH2CHOH—, —CH2CHOHCH2—, and —CHOHCH2CH2—. “C4 linear hydroxyalkyl” refers to —CH2CH2CH2CHOH—, —CH2CH2CHOHCH2—, —CH2CHOHCH2CH2—, and —CHOHCH2CH2CH2—. Note that, for example, —CH2CHOHCH2CH2— is understood to include both the fragment:
-
- where the wavy lines indicate the attachment of the fragment to the remainder of the molecule; and similarly for the other hydroxyalkyl diradicals.
- The term “alkenyl” refers to unsaturated aliphatic groups including straight-chain (linear), branched-chain, cyclic groups, and combinations thereof, having the number of carbon atoms specified, or if no number is specified, having up to 12 carbon atoms, which contain at least one double bond (—C═C—). Examples of alkenyl groups include, but are not limited to, —CH 2—CH═CH—CH3; and —CH2—CH2-cyclohexenyl, where the ethyl group can be attached to the cyclohexenyl moiety at any available carbon valence. The term “alkynyl” refers to unsaturated aliphatic groups including straight-chain (linear), branched-chain, cyclic groups, and combinations thereof, having the number of carbon atoms specified, or if no number is specified, having up to 12 carbon atoms, which contain at least one triple bond (—C≡C—). “Hydrocarbon chain” or “hydrocarbyl” refers to any combination of straight-chain, branched-chain, or cyclic alkyl, alkenyl, or alkynyl groups, and any combination thereof. “Substituted alkenyl,” “substituted alkynyl,” and “substituted hydrocarbon chain” or “substituted hydrocarbyl” refer to the respective group substituted with one or more substituents, including, but not limited to, groups such as halogen, alkoxy, acyloxy, amino, hydroxyl, mercapto, carboxy, benzyloxy, phenyl, benzyl, cyano, nitro, thioalkoxy, carboxaldehyde, carboalkoxy and carboxamide, or a functionality that can be suitably blocked, if necessary for purposes of the invention, with a protecting group.
- “Aryl” or “Ar” refers to an aromatic carbocyclic group having a single ring (including, but not limited to, groups such as phenyl) or multiple condensed rings (including, but not limited to, groups such as naphthyl or anthryl), and includes both unsubstituted and substituted aryl groups. “Substituted aryls” refers to aryls substituted with one or more substituents, including, but not limited to, groups such as alkyl, alkenyl, alkynyl, hydrocarbon chains, halogen, alkoxy, acyloxy, amino, hydroxyl, mercapto, carboxy, benzyloxy, phenyl, benzyl, cyano, nitro, thioalkoxy, carboxaldehyde, carboalkoxy and carboxamide, or a functionality that can be suitably blocked, if necessary for purposes of the invention, with a protecting group.
- “Heteroalkyl,” “heteroalkenyl,” and “heteroalkynyl” refer to alkyl, alkenyl, and alkynyl groups, respectively, that contain the number of carbon atoms specified (or if no number is specified, having up to 12 carbon atoms) which contain one or more heteroatoms as part of the main, branched, or cyclic chains in the group. Heteroatoms include, but are not limited to, N, S, O, and P; N and O are preferred. Heteroalkyl, heteroalkenyl, and heteroalkynyl groups may be attached to the remainder of the molecule either at a heteroatom (if a valence is available) or at a carbon atom. Examples of heteroalkyl groups include, but are not limited to, groups such as —O—CH 3, —CH2—O—CH3, —CH2—CH2—O—CH3, —S—CH2—CH2—CH3, —CH2—CH(CH3)—S—CH3, —CH2—CH2—NH—CH2—CH2—, 1-ethyl-6-propylpiperidino, 2-ethylthiophenyl, and morpholino. Examples of heteroalkenyl groups include, but are not limited to, groups such as —CH═CH—NH—CH(CH3)—CH2—. “Heteroaryl” or “HetAr” refers to an aromatic carbocyclic group having a single ring (including, but not limited to, examples such as pyridyl, thiophene, or furyl) or multiple condensed rings (including, but not limited to, examples such as imidazolyl, indolizinyl or benzothienyl) and having at least one hetero atom, including, but not limited to, heteroatoms such as N, O, P, or S, within the ring. Unless otherwise specified, heteroalkyl, heteroalkenyl, heteroalkynyl, and heteroaryl groups have between one and five heteroatoms and between one and twenty carbon atoms. “Substituted heteroalkyl,” “substituted heteroalkenyl,” “substituted heteroalkynyl,” and “substituted heteroaryl” groups refer to heteroalkyl, heteroalkenyl, heteroalkynyl, and heteroaryl groups substituted with one or more substituents, including, but not limited to, groups such as alkyl, alkenyl, alkynyl, benzyl, hydrocarbon chains, halogen, alkoxy, acyloxy, amino, hydroxyl, mercapto, carboxy, benzyloxy, phenyl, benzyl, cyano, nitro, thioalkoxy, carboxaldehyde, carboalkoxy and carboxamide, or a functionality that can be suitably blocked, if necessary for purposes of the invention, with a protecting group. Examples of such substituted heteroalkyl groups include, but are not limited to, piperazine, substituted at a nitrogen or carbon by a phenyl or benzyl group, and attached to the remainder of the molecule by any available valence on a carbon or nitrogen, —NH—SO2-phenyl, —NH—(C═O)O-alkyl, —NH—(C═O)O-alkyl-aryl, and —NH—(C═O)-alkyl. If chemically possible, the heteroatom(s) as well as the carbon atoms of the group can be substituted. The heteroatom(s) can also be in oxidized form, if chemically possible.
- The term “alkylaryl” refers to an alkyl group having the number of carbon atoms designated, appended to one, two, or three aryl groups.
- The term “alkoxy” as used herein refers to an alkyl, alkenyl, alkynyl, or hydrocarbon chain linked to an oxygen atom and having the number of carbon atoms specified, or if no number is specified, having up to 12 carbon atoms. Examples of alkoxy groups include, but are not limited to, groups such as methoxy, ethoxy, and t-butoxy.
- The term “alkanoate” as used herein refers to an ionized carboxylic acid group, such as acetate (CH 3C(═O)—O(−1)), propionate (CH3CH2C(═O)—O(−1)), and the like. “Alkyl alkanoate” refers to a carboxylic acid esterified with an alkoxy group, such as ethyl acetate (CH3C(═O)—O—CH2CH3). “co-haloalkyl alkanoate” refers to an alkyl alkanoate bearing a halogen atom on the alkanoate carbon atom furthest from the carboxyl group; thus, ethyl ω-bromo propionate refers to ethyl 3-bromopropionate, methyl ω-chloro n-butanoate refers to methyl 4-chloro n-butanoate, etc.
- The terms “halo” and “halogen” as used herein refer to Cl, Br, F or I substituents.
- “Protecting group” refers to a chemical group that exhibits the following characteristics: 1) reacts selectively with the desired functionality in good yield to give a protected substrate that is stable to the projected reactions for which protection is desired; 2) is selectively removable from the protected substrate to yield the desired functionality; and 3) is removable in good yield by reagents compatible with the other functional group(s) present or generated in such projected reactions. Examples of suitable protecting groups can be found in Greene et al. (1991) Protective Groups in Organic Synthesis, 2nd Ed. (John Wiley & Sons, Inc., New York). Amino protecting groups include, but are not limited to, mesitylenesulfonyl (Mes), benzyloxycarbonyl (CBz or Z), t-butyloxycarbonyl (Boc), t-butyldimethylsilyl (TBDIMS or TBDMS), 9-fluorenylmethyloxycarbonyl (Fmoc), tosyl, benzenesulfonyl, 2-pyridyl sulfonyl, or suitable photolabile protecting groups such as 6-nitroveratryloxy carbonyl (Nvoc), nitropiperonyl, pyrenylmethoxycarbonyl, nitrobenzyl, dimethyl dimethoxybenzil, 5-bromo-7-nitroindolinyl, and the like. Hydroxyl protecting groups include, but are not limited to, t-butyl, benzyl, trityl, Fmoc, TBDIMS, photolabile protecting groups (such as nitroveratryl oxymethyl ether (Nvom)), Mom (methoxy methyl ether), and Mem (methoxy ethoxy methyl ether), NPEOC (4-nitrophenethyloxycarbonyl) and NPEOM (4-nitrophenethyloxymethyloxycarbonyl).
- Three general methods are presented herein for synthesizing the oligoamine compounds of the invention.
- 1. The first method involves repetitive addition of bromocyanoalkyl compounds to mesitylsulfonylated alkylamines as follows: the amino group of an alkylamine compound IA (such as methylamine, ethylamine, n-propylamine, n-butylamine, sec-butylamine, t-butylamine, and other alkylamine compounds, which are commercially available from Aldrich Chemical Company, Milwaukee, Wis., and other suppliers) is protected, e.g. by reaction with mesitylenesulfonyl chloride (available from Aldrich Chemical Company and other suppliers) to form a protected alkylamine IIA. The protected alkylamine IIA is treated with base, e.g.. sodium hydride in anhydrous dimethylformamide, and then reacted with a haloalkylnitrile compound, such as 4-bromobutyronitrile or 3-bromopropionitrile (Aldrich). The nitrile moiety of the resulting product IIIA is reduced by various methods known in the art, such as treatment with hydrogen gas and palladium or platinum metal, to yield the free amine IVA. The forgoing steps—protection of the —NH 2 group (such as with the mesitylenesulfonyl group), and reaction of the —NH(Mes) moiety with a haloalkylnitrile followed by reduction with H2 or other methods known in the art, is repeated until the desired number of nitrogen groups has been added. If a terminal alkyl group is desired, e.g. an ethyl group, it is added to the last nitrogen by simply reacting the last —NH(Mes) moiety with an alkyl halide (e.g., bromoethane, n-butyl chloride) instead of a haloalkylnitrile.
- 2. The second general method of preparing the saturated oligoamine compounds of the invention involves using chemistry analogous to that used for peptide synthesis to generate a polyamide chain, followed by reduction of the amide linkages to amines. A non-naturally occurring amino acid, such as H 2NCH2CH2CH2COOH or another compound where an amino group and carboxyl group are separated by a linear alkyl chain of one to twelve, one to eleven, one to eight, or one to seven CH2 groups, can be converted into its N-protected derivative by using Boc, Fmoc, Cbz, or other amino protecting groups well-known in the art, as illustrated below by conversion of compound IB into compound IIB (PG indicates a protecting group).
- In certain methods for synthesizing the compounds of the invention, the carboxyl group of the N-protected amino acid can then be converted into an amide group, which functions to prevent undesired reactions at the carboxyl group, and which will ultimately be converted into an amine group bearing the outermost alkyl groups of the final compound. That is, in certain methods for synthesizing the compounds of the invention, such as CH 3CH2(NHCH2CH2CH2CH2)9NHCH2CH3, converting the carboxyl group of Boc-NHCH2CH2CH2COOH into Boc-NHCH2CH2CH2CONHCH2CH3 ultimately provides the ethyl groups flanking the repeating core of the molecule. This is shown for the general case for compound IIIB below. It should be noted that the designation “alkyl” in the scheme below can refer to groups which are identical or different, that is, alkyl can be used to designate both the —CH2CH2CH2— group and a —CH2CH3 group as in Boc-NHCH2CH2CH2CONHCH2CH3.
- Once the carboxyl group of the N-protected amino acid is converted into an amide group, the N-terminus can be deprotected (compound IVB below). Another N-protected amino acid (which can be, but is not necessarily, identical to the amino acid used in the previous step), can then be added. The step is repeated until a desired length is reached, as in compound VB below.
- Once compound VB has been generated, it can be used in various further methods to synthesize the compounds of the invention. One such method is to reduce the amide groups of compound VB by various methods known in the art, using reagents such as borane (e.g., borane-tetrahydrofuran complex) or lithium aluminum hydride, to the compound VIB1 as follows.
- Two units of the reduced, appropriately protected compound VIIB1 (note that the protecting group designated “PG” can be the same or different from the protecting groups used in previous syntheses) are then condensed with a central alkyl group VIIIB1 (where “LG” designates a leaving group, which is displaced by the secondary nitrogen of VIIV1).
- VIIIB1.
- LG-(alkyl)-LG
- While “alkyl” is used to designate the groups in the intermediates of the synthesis, unsaturated segments (alkenyl, alkynyl) groups can be used as well, provided that they are reduced at the end of the synthesis to alkyl groups.
-
- followed by reduction of the amides to amino groups. Amides can be reduced to amino groups using various methods known in the art, using reagents such as borane (e.g., borane-tetrahydrofuran complex) or lithium aluminum hydride. (Amine compound VIB1 can also be acylated and reduced to form the final compound, with appropriate protecting groups to prevent acylation of the secondary amines.)
- While the synthetic scheme described above is performed in solution phase, solid-phase organic synthesis can also be employed. Since many of the reactions above are similar to reactions performed during solid-phase peptide synthesis, the reaction scheme above is readily adapted to solid-phase synthesis using techniques for peptide synthesis well-known in the art, as described in, for example, Atherton and Sheppard, Solid Phase Peptide Synthesis: A Practical Approach, New York: IRL Press, 1989; Stewart and Young: Solid-Phase Peptide Synthesis 2nd Ed., Rockford, Ill.: Pierce Chemical Co., 1984; and Jones, The Chemical Synthesis of Peptides, Oxford: Clarendon Press, 1994. Automated synthesis of the polyamides can be performed using an automated polypeptide synthesizer employing the solid phase method, such as those sold by Perkin Elmer-Applied Biosystems, Foster City, Calif. Following completion of the entire polyamide precursor, the polyamide is cleaved from the solid support and the amide groups are reduced to amine groups as described above.
- 3. The third general method of preparing the saturated oligoamine compounds of the invention comprises reduction of unsaturated polyamine compounds. Polyamine compounds which are conformationally restricted due to the presence of one or more double or triple bonds, such as those described in U.S. Pat. No. 5,889,061, WO 00/66587, and WO,98/17624, are reduced under a hydrogen atmosphere in the presence of finely divided platinum, palladium, nickel, or other hydrogenation catalysts well-known in the art (e.g., platinum dioxide or “Adam's catalyst;” platinum black; palladium on charcoal, Pd/C; Raney nickel).
- Hydroxy groups can be readily incorporated into one or more locations of the oligoamine compounds. Example 11 below indicates a synthetic scheme for preparing an oligoamine with hydroxyl groups in two alkyl segments of the oligoamine. The method can be readily adapted to prepare oligoamines with hydroxy groups at any location in any segment of the molecule, simply by using the appropriate protected hydroxy amino acid. For example, ZHN(CH 2)(CHOR)(CH2)COOH can be used in place of ZHN(CH2)(CH2)(CH2)COOH for one of the segments of the oligoamine in any of the preceding general schemes, or in the schemes in the examples. This compound is readily synthesized from commercially available 4-amino-3-hydroxybutyric acid, by protecting the amino group with the Z group and then protecting the hydroxy group. The protecting group R on the hydroxy group can be TBDMS or any other hydroxy protecting group stable to the subsequent reaction conditions. As an additional example, ZHN(CH2)(CH2)(CHOR)COOH (readily synthesized from commercially available 4-amino-2-hydroxybutyric acid) can be used to place the hydroxy group in an alternate location. The hydroxy-containing aminobutyric acids are available in enantiomerically pure R and S forms should stereospecific synthesis be desired.
- Oligoamine compounds of the present invention are useful for treatment of a variety of diseases caused by uncontrolled proliferation of cells, including cancer, particularly prostate cancer, breast cancer, and other cancers. The oligoamine compounds of the present invention are also useful for treatment of infectious and microbial diseases, which can be caused by microorganisms, including, but not limited to, microorganisms such as bacteria, viruses, and parasites. In particular, the oligoamine compounds of the present invention are useful in treating diseases in immunocompromised patients. The oligoamine compounds of the present invention are particularly useful for treating microsporidiosis. (See Bacchi C J et al., “Novel synthetic polyamines are effective in the treatment of experimental microsporidiosis, an opportunistic AIDS-associated infection,” Antimicrob. Agents Chemother. 46(1):55-61 (2002); and Bacchi C J et al., “SL-l 1158, a synthetic oligoamine, inhibits polyamine metabolism of Encephalitozoon cuniculi,” J. Eukaryot. Microbiol. Suppl:92S-94S (2001)). The compounds are used to treat mammals, preferably humans. “Treating” a disease using an oligoamine compound of the invention is defined as administering one or more oligoamine compounds of the invention, with or without additional therapeutic agents, in order to prevent, reduce, or eliminate either the disease or the symptoms of the disease, or to retard the progression of the disease or of symptoms of the disease. “Therapeutic use” of the oligoamine compounds of the invention is defined as using one or more oligoamine compounds of the invention to treat a disease, as defined above. A “therapeutic amount” of the oligoamine compounds of the invention is an amount sufficient to treat a disease, as defined above.
- In order to evaluate the efficacy of a particular oligoamine compound for a particular medicinal application, the compounds can be first tested against appropriately chosen test cells in vitro. In a non-limiting example, oligoamine compounds can be tested against tumor cells, for example, prostate tumor cells. Exemplary experiments can utilize cell lines capable,of growing in culture as well as in vivo in athymic nude mice, such as LNCaP. Horoszewicz et al. (1983) Cancer Res. 43:1809-1818. Culturing and treatment of carcinoma cell lines, cell cycle and cell death determinations based on flow cytometry; enzyme assays including ODC, SAMDC and SSAT activities; and high pressure liquid chromatography detection and quantitation of natural polyamines and polyamine analogs are described in the art, for example, Mi et al. (1998) Prostate 34:51-60; Kramer et al. (1997) Cancer Res. 57:5521-27; and Kramer et al. (1995) J. Biol. Chem. 270:2124-2132. Evaluations can also be made of the effects of the oligoamine compound on cell growth and metabolism.
- Analysis begins with IC 50 determinations based on dose-response curves ranging from 0.1 to 1000 μM performed at 72 hr. From these studies, conditions can be defined which produce about 50% growth inhibition and used to: (a) follow time-dependence of growth inhibition for up to 6 days, with particular attention to decreases in cell number, which may indicate drug-induced cell death; (b) characterize oligoamine compound effects on cell cycle progression and cell death using flow cytometry (analysis to be performed on attached and detached cells); (c) examine oligoamine compound effects on cellular metabolic parameters. Oligoamine compound effects can be normalized to intracellular concentrations (by HPLC analysis), which also provide an indication of their relative ability to penetrate cells. Marked differences in oligoamine compound uptake can be further characterized by studying the compound's ability to utilize and regulate the polyamine transporter, as assessed by competition studies using radiolabeled spermidine, as previously described in Mi et al. (1998). Oligoamine compounds could also enter the cells by a diffusion mechanism.
- Oligoamine compounds found to have potent anti-proliferative activity in vitro towards cultured carcinoma cells can be evaluated in in vivo model systems. In a non-limiting protocol, the first goal is to determine the relative toxicity of the compounds in non-tumor-bearing animals, such as DBA/2 mice. Groups of three animals each can be injected intraperitoneally with increasing concentrations of an oligoamine compound, beginning at, for example, 10 mg/kg. Toxicity as indicated by morbidity is closely monitored over the first 24 hr. A well-characterized polyamine analog compound, such as BE-333, can be used as an internal standard in these studies, since a data base has already been established regarding acute toxicity via a single dose treatment relative to chronic toxicity via a daily×5 d schedule. Thus, in the case of oligoamine compounds, single dose toxicity relative to BE-333 is used to project the range of doses to be used on a daily×5 d schedule.
- After the highest tolerated dosage on a daily×5 d schedule is deduced, antitumor activity is determined. Typically, tumors can be subcutaneously implanted into nude athymic mice by trocar and allowed to reach 100-200 mm 3 before initiating treatment by intraperitoneal injection daily×5 d. Most oligoamine compounds can be given in a range between 10 and 200 mg/kg. Oligoamine compounds can be evaluated at three treatment dosages with 10-15 animals per group (a minimum of three from each can be used for pharmacodynamic studies, described below). Mice can be monitored and weighed twice weekly to determine tumor size and toxicity. Tumor size is determined by multi-directional measurement from which volume in mm3 is calculated. Tumors can be followed until median tumor volume of each group reaches 1500 mm3 (i.e., 20% of body weight), at which time the animals can be sacrificed. Although the initial anti-tumor studies focuses on a daily×5 d schedule, constant infusion can be performed via Alzet pump delivery for 5 days since this schedule dramatically improves the anti-tumor activity of BE-333 against A549 human large cell hung carcinoma. Sharma et al. (1997) Clin. Cancer Res. 3:1239-1244. In addition to assessing anti-tumor activity, free oligoamine compound levels in tumor and normal tissues can be determined in test animals.
- The oligoamine compounds of the present invention can be administered to a mammalian, preferably human, subject via any route known in the art, including, but not limited to, those disclosed herein. Methods of administration include but are not limited to, intravenous, oral, intraarterial, intratumoral, intramuscular, topical, inhalation, subcutaneous, intraperitoneal, gastrointestinal, and directly to a specific or affected organ. The oligoamine compounds described herein are administratable in the form of tablets, pills, powder mixtures, capsules, granules, injectables, creams, solutions, suppositories, emulsions, dispersions, food premixes, and in other suitable forms. The compounds can also be administered in liposome formulations. The compounds can also be administered as prodrugs, where the prodrug undergoes transformation in the treated subject to a form which is therapeutically effective. Additional methods of administration are known in the art.
- The pharmaceutical dosage form which contains the compounds described herein is conveniently admixed with a non-toxic pharmaceutical organic carrier or a non-toxic pharmaceutical inorganic carrier. Typical pharmaceutically-acceptable carriers include, for example, mannitol, urea, dextrans, lactose, potato and maize starches, magnesium stearate, talc, vegetable oils, polyalkylene glycols, ethyl cellulose, poly(vinylpyrrolidone), calcium carbonate, ethyl oleate, isopropyl myristate, benzyl benzoate, sodium carbonate, gelatin, potassium carbonate, silicic acid, and other conventionally employed acceptable carriers. The pharmaceutical dosage form can also contain non-toxic auxiliary substances such as emulsifying, preserving, or wetting agents, and the like. A suitable carrier is one which does not cause an intolerable side effect, but which allows the novel oligoamine compound(s) to retain its pharmacological activity in the body. Formulations for parenteral and nonparenteral drug delivery are known in the art and are set forth in Remington 's Pharmaceutical Sciences, 18th Edition, Mack Publishing (1990) and Remington, The Science and Practice of Pharmacy, Lippincott Williams & Wilkins (2000). Solid forms, such as tablets, capsules and powders, can be fabricated using conventional tableting and capsule-filling machinery, which is well known in the art. Solid dosage forms, including tablets and capsules for oral administration in unit dose presentation form, can contain any number of additional non-active ingredients known to the art, including such conventional additives as excipients; desiccants; colorants; binding agents, for example syrup, acacia, gelatin, sorbitol, tragacanth, or polyvinylpyrollidone; fillers, for example lactose, sugar, maize-starch, calcium phosphate, sorbitol or glycine; tableting lubricants, for example magnesium stearate, talc, polyethylene glycol or silica; disintegrants, for example potato starch; or acceptable wetting agents such as sodium lauryl sulfate. The tablets can be coated according to methods well known in standard pharmaceutical practice. Liquid forms for ingestion can be formulated using known liquid carriers, including aqueous and non-aqueous carriers, suspensions, oil-in-water and/or water-in-oil emulsions, and the like. Liquid formulations can also contain any number of additional non-active ingredients, including colorants, fragrance, flavorings, viscosity modifiers, preservatives, stabilizers, and the like. For parenteral administration, oligoamine compounds can be administered as injectable dosages of a solution or suspension of the compound in a physiologically acceptable diluent or sterile liquid carrier such as water or oil, with or without additional surfactants or adjuvants. An illustrative list of carrier oils would include animal and vegetable oils (e.g., peanut oil, soy bean oil), petroleum-derived oils (e.g., mineral oil), and synthetic oils. In general, for injectable unit doses, water, saline, aqueous dextrose and related sugar solutions, and ethanol and glycol solutions such as propylene glycol or polyethylene glycol are preferred liquid carriers. The pharmaceutical unit dosage chosen is preferably fabricated and administered to provide a final concentration of drug at the point of contact with the cancer cell of from 1 μM to 10 mM. More preferred is a concentration of from 1 to 100 μM. The optimal effective concentration of oligoamine compounds can be determined empirically and will depend on the type and severity of the disease, route of administration, disease progression and health and mass or body area of the patient. Such determinations are within the skill of one in the art. Oligoamine compounds can be administered as the sole active ingredient, or can be administered in combination with another active ingredient, including, but not limited to, cytotoxic agents, antibiotics, antimetabolites, nitrosourea, vinca alkaloids, polypeptides, antibodies, cytokines, etc.
- The following examples are illustrative of the manufacture of several compounds according to the present invention, and are not intended to limit the invention disclosed and claimed herein in any fashion. The Examples are included herein solely to aid in a more complete understanding of the present invention.
- All commercially available reagents were used without further purification. All reactions were followed by TLC (silica gel F 264 precoated, Merck); column chromatography was carried out with silica gel (Merck 60, 0.040-0.063 mesh). The detection was performed either with UV light or the following reagents: KMnO4 soln. (1:1 mixture of 1% aq. KMnO4 soln. and 5% aq. Na2CO3 soln.); Schlittler reagent (iodine platinate) (1 g H2PtCl6 in 6 ml H2O, 20 ml IN HCl and 25.5 g KI in 225 ml H2O diluted to 1 L) for amides and amines. IR measurements are presented in units of [cm−1] and were recorded on a Perkin-Elmer 781 instrument. NMR spectra were recorded on Bruker-300 or Bruker AMX-600 instruments with δ in ppm and using the appropriate solvent as internal standard. MS spectra were generated on Finnigan MAT SSO 700 or Finnigan MAT 90 instruments using chemical ionization (CI) with NH3 and electron impact (El; 70 eV), and on a Finnigan TSQ 700 instrument using electrospray ionization (ESI).
-
- N-Boc-γ-Aminobutyric acid (1): (This compound can also be purchased commercially from Sigma-Aldrich Chemical Company, Saint Louis, Mo., USA, product B 1892). A solution of Boc 2O (95 g, 435 mmol) in 600 ml of dioxane was added at 0° C. to a stirred mixture of NaHCO3 (73 g, 870 mmol) in H2O (500 ml) and γ-aminobutyric acid (30 g, 291 mmol), stirred for 1 h at 0° C. and for 10 h at 20° C. The reaction mixture was diluted with H2O (500 ml), extracted 3 times with CHCl3, the aqueous layer was acidified with 3% HCl to pH 7 and then with KHSO4 (20% aq. solution) to
pH 2. The product was extracted 5 times with CHCl3, dried (Na2SO4) concentrated in vacuo, and crystallized from Et2O-petr. ether. Yield 54.05 g (97%). mp: 58-59° C. NMR (CDCl3): 1.44 (s, 9H), 1.83 (m, 2H), 2.40 (t, J=7.15, 2H), 3.10-3.30 (m, 2H), 4.7 (bs, 1H). -
- 1-Hydroxybenzotriazole derivative of N-Boc-γ-Aminobutyric acid (2): 1-Hydroxybenzotriazole (70.3 g, 520 mmol; abbreviated as “HOBt” as individual reagent and as “Bt” indicating ester) and dicyclohexylcarbodiimide (DCC, 107.41 g. 520 mmol) were added into an ice cold solution of the acid 1 (105.5 g, 519 mmol) in DMF (700 ml), the cooling bath was removed and the reaction mixture was stirred overnight at 20° C. DMF was evaporated in vacuo at 40° C., the residue was suspended in CH 2Cl2/H2O (2:1) mixture (1.5 liter), filtered, and the precipitate was washed with CH2Cl2 The washings and filtrate were combined, washed 4 times with H2O, washed with brine, dried (Na2SO4) and concentrated in vacuo. The product was re-precipitated from hot CH2Cl2 with Et2O. The mother liquor was concentrated and the residue was re-precipitated again from hot CH2Cl2 with Et2O. Both crops were combined, dried in vacuo to obtain 151 g (87% of 2 as a mixture of N-and O-isomers, which was used in the following steps without further purification. mp: 52-55° C. 1H NMR (CDCl3): 1.41 (s) 1.47 (s), 1.98-2.10 (m), 2.87 (t, J=7.16), 3.18 (t, J=7.15), 3.27-3.36 (m), 4.71 (bs), 7.42-7.44 (m), 7.47-7.60 (m), 7.76-7.79 (m), 7.99-8.04 (m), 8.05-8.08 (m), 8.39-8.43 (m). ESI-MS: 663.2 (M2Na+), 641.4 (M2H+), 456.2, 342.0 (MNa+), 321.2 (MH+).
-
- (3-Ethylcarbamoyl-propyl)-carbamic acid tert-butyl ester (3): An aqueous solution of ethylamine (70%, 41 ml) was added into an ice cold solution of benzotriazole derivative 2 (50 g, 156 mmol) in CH 2Cl2 (500 ml), stirred for 1 h at room temperature, diluted 2 times with CH2Cl2, washed with H2O, then brine, dried (Na2SO4), concentrated and dried in vacuo. Yield 32.845 g (91%). mp: 82-83° C. 1H NMR (CDCl3): 1.15 (t, J=7.27, 3H), 1.44 (s, 9H), 1.75-1.85 (m, 2H), 2.20 (t, J=7.10, 2H), 3.17 (q, J=6.49, 2H), 3.24-3.34 (m, 2H), 4.82 (s, 1H), 6.13 (bs, 1 H). 13C NMR (CDCl3): 14.72, 24.91, 26.33, 28.35, 33.66, 33.92, 34.32, 39.78, 79.21, 156.44, 172.43. ESI-MS: 483.4 (M2Na+), 461.4 (M2H+), 321.2 (MH+).
-
- [3-(3-Ethylcarbamoyl-propylcarbamoyl)-propyl]-carbamic acid tert-butyl ester 4. Hydrochloric acid (12%, 64 ml) was added to a cold solution of Boc-derivative 3 (21.1 g, 91.7 mmol) in MeOH (190 ml) and stirred overnight at room temperature. The next day additional acid (30 ml) was added and stirring was continued for another 10 h. The reaction mixture was filtered, washed with CHCl 3, concentrated and dried in vacuo overnight. The product was suspended in DMF (300 ml) with DIEA (42 ml), cooled to 0° C. and a solution of Bt-derivative 2 (29 g, 90.5 mmol) in DMF (100 ml) was added into the reaction mixture. The cooling bath was removed and the stirring was continued overnight. The solvent and DIEA were removed in vacuo at 45° C., the residue was suspended in CHCl3/H2O mixture, washed with H2O, aq. KHSO4 (20%), H2O, aq. NaHCO3 (2 times with each), dried (Na2SO4), concentrated in vacuo, and triturated with petr. ether. Yield 22.32 g (78%). mp: 134-1350. H (CDCl3): 1.15 (t, J=7.27, 3H), 1.44 (s, 9H), 1.65-1.95 (m, 4H), 2.20-2.26 (m, 4H), 3.19 (q, J=6.15, 2H), 3.23-3.35 (m, 4H), 4.82 (bs, 1H), 6.40 (bs, 1H), 6.68 (bs, 1H). 13C (CDCl3): 14.77, 24.92, 25.66, 26.43, 28.38, 33.59, 33.84, 33.92, 34.35, 38.83, 39.66, 79.35, 156.56,172.65,173.12. ESI-MS: 338.2 (MNa+), 316.0 (MH+), 216.0 (MH+-Boc).
-
- {3-[3-(3-Ethylcarbamoyl-propylcarbamoyl)-propylcarbamoyl]-propyl}-carbamic acid tert-
butyl ester 5. Boc-Protected derivative 4 (22.3 -g, 70.7 mmol) was stirred in a mixture of MeOH (200 ml) and HCl (12%, 81 ml) for 48 h, concentrated to dryness in vacuo, dissolved in H2O, and washed 3 times with CHCl3. Water was removed on a rotary evaporator at 45° C. The resulting hydrochloride was dissolved in a mixture of CH2Cl2 (600 ml) and aq. Na2CO3 (20%, 100 ml), cooled on an ice bath, and Bt-derivative 2 (22.47 g, 70.15 mmol) was added. The cooling bath was removed and the mixture was stirred for 18 h with a mechanical stirrer. The main part of the CH2Cl2 was removed on a rotary evaporator, the reaction mixture was suspended in water and filtered. The product was triturated in EtOAc, filtered, washed with petr. ether and dried in vacuo. Yield 25.46 g (90%). mp: 170-171° C. 1H NMR (CDCl3/CD3OD): 1.14 (t, J=7.30, 3H), 1.44 (s, 9H), 1.72-1.85 (m, 6H), 2.10-2.23 (m, 6H), 3.06-3.12 (m, 2H), 3.18-3.26 (m, 6H), 5.57 (bs, 1H), 7.32 (bs, 1H), 7.46 (bs, 1H), 7.60 (bs, 1H). 13C NMR (CDCl3/CD3OD): 14.22, 24.73, 25.32, 25.39, 25.96, 28.15, 33.33, 33.59, 34.12, 34.25, 38.60, 39.64, 79.29, 156.68, 173.39, 173.88. ESI-MS: 423.4 (MNa+), 401.4 (MH+). -
- {3-{3-13-(3-Ethylcarbamoyl-propylcarbamoyl)-propylcarbamoyl]-propylcarbamoyl}-propyl}-carbamic acid tert-butyl ester 6 was prepared from Boc derivative 5 (25.175 g) employing the same procedure as for 5 with the yield 24.79 g, (81%). mp: 196-197° C. 1H NMR (CDCl3/CD3OD): 1.14 (t, J=7.28, 3H), 1.44 (s, 9H), 1.74-1.85 (m, 8H), 2.15-2.24 (m, 8H), 3.10 (q, J=6.22, 2H), 3.18-3.26 (m, 8H), 5.55 (bs, 1H), 7.28 (bs, 1H), 7.43 (bs, 1H), 7.55 (bs, 1H), 7.62 (bs, 1H). 13C NMR (CDCl3/CD3OD): 13.88, 24.56, 25.14, 25.23, 25.75, 27.90, 33.07, 33.37, 33.94, 38.34, 39.35, 79.04, 156.67, 173.37, 173.76, 173.86. ESI-MS: 508.4 (MNa+), 486.4 (MH+).
-
- 1N, 6N, 11N, 16N, 21N-Pentakis(mesitylenesulfonyl)-1, 6, 11, 16, 21-pentazatricosane 7. Boc derivative 6 (24.80 g, 51.06 mmol) was dissolved in a cold MeOH (370 ml)/aq. HCl (12%, 150 ml) solution, stirred for 48 h at room temperature, concentrated on a rotary evaporator at 45° C., dissolved in a minimum of H2O, washed 2 times with CHCl3, transferred into a 2 L round-bottom flask, and dried in vacuo. The product was stirred with BH3-THF (1 M, 1 L) at 65° C. for 24 h, 200 ml more of BH3-THF solution was added, and the reaction was continued for another 72 h. The reaction mixture was cooled to 0° C., quenched with HBr (30% in AcOH) until evolution of H2 stops (approx. 300 ml), half of the solvent was removed on a rotary evaporator (5 mm, 55° C.), more HBr/AcOH (500 ml) was added, and left overnight. The reaction mixture was concentrated again on a rotary evaporator (5 mm, 55° C.) until it became very viscous, and triturated with a mixture HCl (6%, 1L) and CHCl3 (200 ml), and filtered. The CHCl3 layer was extracted 3 times with H2O, the aqueous phases were combined, washed again with CHCl3, and concentrated to dryness on a rotary evaporator at 55° C.
- The residue was suspended in a mixture of CH 2Cl2 (400 ml) and NaOH (2N, 560 ml), cooled on an ice bath, and sulfonyl chloride (61.2 g, 280 mmol) in CH2Cl2 (400 ml) was added in a few portions into the stirred reaction mixture. The cooling bath was removed and the stirring was continued for 10 h. The reaction mixture was diluted twice with CHCl3, mixed with 200 ml of H2O, filtered, and the precipitate was washed with CHCl3 and H2O. The filtrate and washings were combined, washed 4 times with H2O, brine, dried (Na2SO4), concentrated and purified on a column (SiO2, EtOAc:hexane=1: 1). Yield 36.8 g (77%). mp: 58-60° C. 1H NMR (CDCl3): 0.96 (t, J=7.14, 3H), 1.23-1.40 (m, 16H), 2.29 (s, 15H), 2.54, 2.56, 2.58 (s, together 30H), 4.55 (t, J=6.30, 1H), 6.93 (s, 10H).
- MALDI-MS: 1278.618 (MK +), 1262.600 (MNa+), 1240.712 (M+).
-
- 3N, 8N, 13N, 18N 23N, 28N 33N, 38N, 43N, 48N-N-Decakis(mesitylenesulfonyl)-3, 8, 13, 18, 23, 28, 33, 38, 43, 48-decaazapentacontene-25 (8). Sodium hydride (60% suspension in oil, 712 mg, 17.8 mmol) was added to an ice cold stirred solution of the product 6 (18.4 g, 14.83 mmol) in DMF (185 ml), stirred for 10 min and 2-butene-1,4-diyl bis[mesitylenesulfonate] (3.356 g, 7.42 mmol) was added into the reaction mixture. The stirring was continued for 3 h at 0° C. and left overnight. After the mixture was cooled to 0° C., it was quenched with ice water, concentrated in vacuo at 50° C., dissolved in CHCl3, washed 4 times with aq. NH4Cl, dried (Na2SO4), filtered and concentrated on a rotary evaporator. Yield: 16.9 g (90%). The product was utilized in the following steps without further purification.
- mp: 73-74° C. 1H NMR (CDCl3): 0.96 (t, J=7.19, 6H), 7.15-7.40 (m, 32H), 2.29 (s, 30H), 2.52, 2.53, 2.54, 2.55 (s, 60H), 2.85-3.19 (m, 36H), 4.13 (d, J=3.93, 4H), 5.42 (bs, 2H), 6.92 (s, 20H). 13C NMR (CDCl3): 12.70, 20.92, 22.76, 24.44, 24.61, 24.73, 40.02, 42.07, 44.53, 44.92, 45.59, 128.30, 131.95, 132.89, 133.35, 139.95, 140.09, 142.29, 142.59.
- 3, 8, 13, 18, 23, 28, 33, 38, 43, 48-Decaazapentacontane decahydrochloride 9. The product 8 (32.2 g 12.7 mmol) was dissolved in 500 ml of CH 2Cl2, cooled to 0° C., and PhOH (119.7 g, 1.27 mol) followed by 510 ml of HBr (30% in AcOH) were added into the solution. The mixture was stirred for 15 h at 20° C., quenched with 1000 ml of ice water, and the organic layer was separated and extracted one time with 150 ml of H2O. The aqueous phases were combined, washed with CH2Cl2 (8×150 ml), concentrated on a rotary evaporator at 50° C. to the volume of 600 ml, and stiffed overnight with 1 g of activated carbon. Following filtration through a CELITE cake (CELITE is a registered trademark for diatomaceous earth of the Celite Corporation) and rinsing the cake with H2O, the filtrate was transferred into a Parr apparatus and subjected hydrogenation with 3 g of Pd on C (10%) for 48 h at 50 psi. The catalyst was removed by filtration through a CELITE cake and rinsed with H2O; the H2O was removed on a rotary evaporator at 50° C. The residue was dissolved in EtOH, cooled to 0° C. and product was precipitated with 35% HCl. Finally it was filtered, triturated with EtOH and dried in vacuo. Yield 11 g (80%). mp: above 210° C. 1H NMR (D2O): 1.27 (t, J=7.37, 6H), 1.62-1.88 (m, 36 H), 2.95-3.25 (m, 40 H). 13C NMR (D2O): 13.31, 25.59, 45.68, 49.04, 49.66. MALDI-MS: 850.2 (MH+HCl), 714.0 (MH+), 515.2, 543.8, 357.8.
- Example 10
- 1,4-Bis(mesitylenesulfonyloxy)butane (11) 1,4-Butanediol (4.5 g, 50 mmol) was dissolved in dioxane (30 ml), and a 50% solution of KOH (45 ml) and benzyl triethylammonium bromide (675 mg, 2.5 mmol) were added. The mixture was stirred and cooled at 5° C., and mesitylenesulfonyl chloride (26 g, 120 mmol) was added in small portions. The mixture was kept for 5 hr at 5° C., excess water was added and the mixture was stirred for 18 h at 25° C. The solid was filtered, dried and crystallized from ethyl acetate/hexane; 14.6 g (64%) of 11 were obtained; mp 108.6° C.; 1H-NMR (CDCl3) δ 1.75 (t, 4H), 2.30 (s, 6H), 2.60 (s, 12H), 3.95 (t, 4H), 6.95 (s, 4H). 13CNMR(CDCl3) δ 20.94,22.48,25.15, 68.30, 131.70, 139.72, 143.29. MS-MALDI (m/z) 477.2 (M++Na), 493.1 (M++K).
- Compound 16. Amide 16 was prepared starting with pentamide 12 (described in International Patent Application WO 00/66587) following the sequence of reactions described in WO 00/66587, namely, alkylation with 4-bromobutyronitrile, followed by reduction of the nitrile 13 and protection with mesitylene chloride to give 14. Repeating the sequence of reactions gave compound 15, then compound 16.
- Compound 17. Amide 16 (350 mg, 0.2 mmol) was dissolved in DMF (10 ml), the solution stirred at 5° C. under N 2, and 60% NaH (10 mg) was added. Compound 11 was added, the mixture was allowed to reach 25° C. and was kept for 18 h. The solvent was evaporated and the residue was extracted with chloroform, the extracts were washed twice with saturated ammonium chloride, dried (Na2SO4) and evaporated. The residue was purified by filtration through a silica gel column using hexane/ethyl acetate (6:5) as eluant; 140 mg of 17 (39%) were obtained. 1H NMR (CDCl3), δ 1.0 (t, 6H), 1.30 (m, 52 H), 2.30 (s, 42 H), 2.55 (s, 84H), 3.0 (m, 56H), 10 6.95 (s, 28H). 13C NMR δ 12.68, 20.89, 22.67, 22.74, 24.38, 24.46, 24.74, 40.03, 44.55, 44.85, 44.96, 131.86, 133.37, 139.95, 142.28.
- Compound 17 was deprotected to give tetradecamine 18 using HBr/AcOH as 15 described in International Patent Application WO 00/66587 for compound 43 of that document, at pages 42-43.
-
- Preparation of 5,46-Dihydroxy-3,8,13,18,23,28,33,38,43,48-decaazapentacontane decahydrochloride 28. 2-Hydroxy-γ-butyrolactone 20 was used as a starting material. (This compound is commercially available as both R and S isomers.) Following the protection of hydroxy group with t-butyldimethylsilyl chloride (TBDMSCl), the resulting lactone 21 was treated with a THF solution of EtNH 2. The resulting hydroxy amide 22 was subjected to a Mitsunobu reaction with phthalimide (PhTh), diethylazodicarboxylate (DEAD), and triphenylphosphine, followed by deprotection with hydrazine to obtain amine 23. Amine 23 was repeatedly acylated with γ-carbobenzyloxy-aminobutyric acid in presence of ethyl chloroformate and the carbobenzyloxy (Z) group was removed by hydrogenation over Pd/C catalyst to yield products 24-26. Reduction of tetramide 26 with the borane-THF complex, followed by treatment of the resulting tetramine with Boc-anhydride, gave 27. This product was acylated with succinic acid after removal of the Z group by hydrogenation, then Boc-deprotected with aqueous HCl and the amide groups were again reduced using BH3-THF reagent to yield desired product 28 as a decahydrochloride. The 5R, 46R and 5S, 46S analogues are prepared by using the R or S isomers of 2-hydroxy-γ-butyrolactone, respectively, as the starting material.
- Calf-thymus DNA aggregation by spermine and oligoamines. The oligoamines of the invention are very efficient in producing DNA aggregation. The concentrations required for polyamines at the start of DNA aggregation along with the concentration required for spermine to achieve the same can be seen in Table 1. The oligoamines aggregated DNA 20 to 40 times more efficiently than spermine under identical conditions.
- Test for DNA Aggregation: DNA aggregation was studied using a Perkin-Elmer Lambda 25 UV/visible spectrophotometer connected to a PTP 6 heating unit using a previously published procedure (see Basu, H S and Marton, L J, “The interaction of spermine and pentamines with DNA,” Biochemical Journal 244:243-246 (1987)). Aggregation was determined in 50 mM NaCl, 1 mM Na-cacodylate pH 7.0 buffer by observing the increase in DNA absorbance (approximately 0.5 A 260 units) at 320 nm.
TABLE 1 DNA Aggregation Conc. (μM) at the start of DNA Polyamine Aggregation Spermine 88.5 SL-11159 2.5 SL-11160 4.5 SL-11175 2.0 SL-11226 2.2 - Effect of Saturated Oligoamines on Human Prostate Tumor Cell Growth by the MTT assay. Saturated oligoamines inhibited prostate cancer cell growth in vitro. DU-145 cells were most sensitive and PC-3 cells were less sensitive to the 10 effects of oligoamines. In general, ID 50 values of less than 0.5 μM were obtained (Table 2). Even though the PC-3 cells were relatively more resistant to the oligoamines, at a 5 μM concentration the oligoamines reduced the cell number to less than 1% of the control on day 6 of incubation. Tissue cultures and the MTT assay were performed as follows.
- Tissue Culture. Cells were seeded into 75 cm 2 culture flasks with 15 ml of Eagle's minimal essential medium supplemented with 10% fetal calf serum and nonessential amino acids. The flasks were incubated in a humidified 95% air/5% CO2 atmosphere. The cells were grown for at least 24 h to ensure that they are in the log phase of growth and then they were treated with the oligoamines. Cells were harvested by treatment for 5 min with STV (saline A, 0.05% trypsin, 0.02% EDTA) at 37° C. The flasks were rapped on the lab bench, pipetted several times and aliquots of cell suspension were withdrawn and counted using a Coulter particle counter that has been standardized for counting each cell line using a hemacytometer.
- MTT Assay: Trypsinized cell suspensions were diluted to seed 80 μl suspensions containing 500 cells in each well of a 96 well Corning microtiter plate and incubated overnight at 37° C. in a humidified incubator in 5% CO 2. 20 μl of appropriately diluted stock solution of each drug were added to the middle 8 columns of cell suspension in the microtiter plates. Each drug concentration was run in quadruplicate. Outer columns of the plates were used for buffer controls. Cells were incubated with the drug for 6 days at 37° C. in 5% CO2/H2O atmosphere. 25 μl of 5 mg/ml solution of 3-(4,5-dimethylthiazol-2-yl)-2, 5-diphenyl tetrazolium bromide (MTT) were added to each well and incubated for 4 hours at 37° C. in 5% CO2/H2O incubator. Cells were lysed by incubating overnight with 100 μl lysis buffer (500 ml of the lysis buffer contains: 100 g lauryl sulfate (SDS), 250 ml of N, N-dimethylformamide, and 2 ml of glacial acetic acid, made up to volume with water; pH 4.8).
- The color was monitored at room temperature at 570 nm in a E-max Precision Microplate Reader (Molecular Devices Corporation, Sunnyvale, Calif.) and data was analyzed using cell survival software supplied by Molecular Devices Corporation.
TABLE 2 ID50 (μM) values for Human Oligo- Tumor Cell Lines amines Structures of Oligoamines LnCap DU145 DuPro PC-3 SL-11159 0.25 0.15 0.30 0.60 SL-11160 0.15 0.13 0.55 0.40 SL-11175 0.32 0.24 0.35 0.5 SL-11226 0.15 0.08 0.11 0.14 - Cellular Uptake of Oligoamines. There was considerable uptake of oligoamines by the cancer cell lines; see Table 3A (DuPro cells) and Table 3B (PC-3 cells). In most cases, only a minor decrease in intracellular polyamine levels were observed in both cell lines even at conditions where the oligoamines exhibit considerable growth inhibition and cytotoxicity. Therefore, these data suggest that the mechanism of cytotoxicity of oligoamines did not involve depletion of intracellular polyamine pools. While not wishing to be limited by any particular theory of operation, the cytotoxicity is likely related to their strong aggregation effect on DNA.
- Polyamine Analysis. An appropriate number of cells were taken from harvested samples and centrifuged at 1000 rpm at 4° C. for 5 min. The cells were washed twice with chilled Dulbecco's isotonic phosphate buffer (pH 7.4) by centrifugation at 1000 rpm at 4° C. and resuspended in the same buffer. After the final centrifugation, the supernatant was decanted, and 250 ml of 8% sulfosalycilic acid was added to the cell pellet. The cells were sonicated, and the mixture was kept at 4° C. for at least 1 h. After centrifugation at 8000 g for 5 min, the supernatant was removed for analysis. An appropriate volume (50-100 μl) was fluorescence-labeled by derivatizing with dansyl chloride. Labeled polyamines were loaded onto a C-18 high-performance liquid chromatography column and separated by gradient elution with acetonitrile/water at 50° C. Peaks were detected and quantitated using Shimadzu HPLC fluorescence monitor coupled with a Spectra-Physics peak integrator. Because polyamine levels vary with environmental conditions, control cultures were sampled for each experiment.
TABLE 3A Cellular Polyamine and Oligoamine levels of DuPro Cells treated with Oligoamines Analog Polyamine levels (nmoles/106 Polyamine levels (nmoles/106 Conc. cells) on Day 4 of Treamtment cells) on Day 6 on Treatment Treatment (μM) Put Spd Spm Analog Put Spd Spm Analog Control — 0.966 3.870 1.006 — 0.567 2.930 0.680 — SL- 0.8 0.560 ND ND 0.525 * * * * 11159 1.6 0.137 ND ND 0.513 * * * * SL- 0.8 0.430 0.897 0.222 0.575 0.675 1.470 0.290 0.410 11160 1.6 0.412 ND 0.195 0.775 * * * * SL- 0.8 0.157 ND 0.050 0.145 0.155 ND ND 0.023 11175 1.6 0.410 ND ND 0.150 * * * * SL- 0.8 0.593 0.017 0.067 0.032 0.548 ND ND 0.022 11226 1.6 * * * * * * * * -
TABLE 3B Cellular Polyamine and Oligoamine levels of PC-3 Cells treated with Oligoamines. Analog Polyamine levels (nmoles/106 Polyamine levels (nmoles/106 Conc. cells) on Day 4 of Treatment cells) on Day 6 of Treatment Treatment (μM) Put Spd Spm Analog Put Spd Spm Analog Control — 0.567 2.790 0.660 — 0.300 0.565 0.234 — SL- 1 0.525 0.531 0.300 0.513 0.640 ND ND 1.026 11159 5 0.670 ND 0.240 0.388 * * * * SL- 1 ND 0.097 0.502 0.005 ND 0.085 0.180 0.007 11160 5 ND 0.077 0.525 0.011 * * * * SL- 1 0.515 ND ND 0.055 0.76 ND ND 0.08 11175 5 0.519 ND ND 0.128 * * * * SL- 1 0.573 ND ND 0.021 * * * * 11226 5 0.985 0.071 ND 0.026 * * * * - Assessment of Oligoamine Cytotoxicity by Colony Forming Assay. The cytotoxity of the oligoamines was further assayed by the colony forming assay (CFE). Four saturated oligoamines were chosen for their ability to kill DuPro cells after 5 days of incubation. Oligoamines;SL-11159, SL-11175 and SL-11226 had over 4 logs of cell kill on
day 5 of treatment at 1-2 μM concentrations; see FIG. 1. Although the prostate tumor PC-3 line was somewhat less susceptible to Oligoamine treatment (see Table 2 of ID50 values), a colony survival assay showed that at very low concentrations (ca. 1.5-2 μM) SL-11159 kills almost four logs of PC-3 cells; see FIG. 2. The colony forming assay was performed as follows. - Colony Forming Efficiency Assay. All cell lines used in this assay have already been optimized with respect to the number of feeder cells and length of incubation time for observable colony formation. Cells were washed, harvested, and replated in quadruplicate at appropriate dilution into 60 mm plastic Petri dishes. The Petri dishes were prepared not more than 24 hr in advance with 4 ml of supplemented Eagle's minimum essential medium containing 5-10% fetal bovine serum (standardized for each cell line) for all cell lines. Cells were incubated for the previously standardized number of days in a 95% air/5% CO 2 atmosphere. The plates were stained with 0.125% crystal violet in methanol and counted. Results are expressed as the surviving fraction of an appropriate control.
- Response of implanted sc DU-145 prostate tumors to treatment with SL-11159 and SL-11226. This experiment evaluates the antitumor efficacy of SLIL Biomedical Corporation compounds (SL-11159, SL-11226) against subcutaneously-implanted DU-145 human prostate tumor xenografts in male NCr-nu (line 3A10F17T1) mice. All compounds were tested at a single dose level when administered intravenously (iv), at 6.25 mg/kg. Both SL-11159 and SL-11226 were prepared in water for injection (soluble); the injection volume was 0.1 mL/10 g body weight.
- All compounds were administered for two rounds of five daily treatments with a nine-day rest period between the rounds. The control group was treated with vehicle (water for injection) for two rounds on a Q1D×5 schedule. There were sixteen mice in the control group and eight mice in each of the treatment groups. All treatments were initiated on day 14 postimplant when all mice had established tumors ranging in size from 75 to 198 mg. The experiment was terminated on day 53 after tumor implantation. The individual animal's time to reach the evaluation size (time to reach four doublings) was used in the calculations of the median tumor growth delay [(T−C)/C×100%] and as the endpoint in a life tables analysis (stratified Kaplan-Meier estimation followed by the Mantel-Haenszel log-rank test) in order to statistically compare the growth data between groups (see Table 5;
group 1 is the control group,group 2 was treated with SL-l 1159,group 3 was treated with SL-11226). - The time required for a tumor to double in mass is calculated based on the initial tumor weight at the beginning of the treatment period. When the initial tumor weight has been selected, tumor weights are then examined, beginning with the last recorded value, until a doubling is calculated. Examination from the last recorded value is to ensure that the doubling time is calculated during the final phase of tumor growth and not prior to a tumor regression. Values between measurements are calculated by exponential extrapolation, and a value may be estimated after the final measured weight provided the extrapolated value occurs prior to the animal's death.)
- Control tumors grew well in fourteen out of sixteen mice. There was one xenograft failure (no-take). One animal died during the second round of the vehicle treatment, on day 29, with a tumor weight of 770 mg. Tumors reached the evaluation size of four mass doublings in 17.1 days, which covers the period of the first round of treatment and three days of the second round of treatment. The effect of each round of treatment was evaluated by the comparison of the median tumor weight of the treated groups on days 21 or 35 (three days after the end of the first or the second round of treatment, respectively) to the median tumor weight of the control group on the same day (T/C×100%, see Table 4A).
- The first round of SL-11159 treatment was well tolerated without deaths and an average maximum body weight loss of 4% (1 g). The second round of treatment resulted in the death of one animal and a weight loss of 11% (3 g). The treatment resulted in a statistically significant growth delay of >40%. The SL-11226 treatment was well tolerated without deaths and body weight losses ranging from 0 to 10% (0-3 g). The treatment produced statistically significant growth delays of>37%. Additional details are provided in Table 4B.
- In summary, the tested compounds, SL-11159 and SL-11226, exhibited measurable antitumor activity at a dosage which was well tolerated.
TABLE 4A Treatment Treatment Results Non- Dose Specific Group (mg/kg) % T/C % T/C Deaths/ No. Agent [route] Schedule Day 21 Day 35 Total 1 control — Q 1D × 5 day — — 13 14, 28 2 SL- 6.25 Q 1D × 5 day 65 63 1/8 11159 [IV] 14, 28 3 SL- 6.25 Q 1D × 5 day 46 61 0/8 11226 [IV] 14, 28 -
TABLE 4B Treatment Results, cont. Tumor Regression Duration Tumor Free Days Number of Number of Med/Range Survival/ Days to 4 Delay Partial Complete (Days) Total Doublings (T-C) — — — 1/16* 17.1 — 0 0 — 0/8 >24.0 >6.9 0 0 — 0/8 >23.5 >6.4 - Notes to Tables 4A and 4B:
- Nonspecific deaths: a treated, tumored animal was presumed to be a nonspecific death if its day of death was significantly less (p<0.05) than the corresponding day of death in the treated control group and its tumor was less than 400 mg, or if it died with a tumor of 400 mg or less prior to 45 days after the last day of treatment, or with a regressing tumor prior to 15 days after the last day of treatment, or if the treated animal was uniquely specified as a nonspecific death on data input.
- Tumor regression was scored (excluding nonspecific deaths), according to the smallest tumor size attained after the beginning of treatment relative to the size at first treatment:
- partial: <50 percent of its size at 1 st rx, but not complete.
- complete: tumor becomes unpalpable.
- Duration of regression: the interval during which a tumor classified as a partial or complete regressor was below 50 percent of its size at first treatment.
- Evaluation size: this value is the tumor mass selected at four mass doublings beginning with the initial tumor size at the start of treatment.
- T−C (days): the difference in the median of times postimplant for tumors of the treated groups to attain an evaluation size compared to the median of the control group. The T−C value is measured excluding nonspecific deaths and any other animal that dies whose tumor failed to attain the evaluation size.
TABLE 5 Summary Of The Statistical Analysis GROUP PAIRS P VALUE* 1 vs. 2 0.0016 1 vs. 3 0.0082 - All references, publications, patents and patent applications mentioned herein are hereby incorporated by reference herein in their entirety.
- Although the foregoing invention has been described in some detail by way of illustration and example for purposes of clarity and understanding, it will be apparent to those skilled in the art that certain changes and modifications may be practical. Therefore, the description and examples should not be construed as limiting the scope of the invention, which is delineated by the appended claims.
Claims (26)
1. A compound of the formula
where
R10, R20, R60, and R70 are independently selected from H, methyl, ethyl, n-propyl, isopropyl, n-butyl, isobutyl, sec-butyl, and t-butyl;
each R80 and R90 are independently selected from H, methyl, ethyl, n-propyl, isopropyl, n-butyl, isobutyl, sec-butyl, and t-butyl;
R30, each R40, and R50 are independently selected from:
—CH2CH2CH2CH2——CHOHCH2CH2CH2——CH2CHOHCH2CH2——CH2CH2CHOHCH2——CH2CH2CH2CHOH——CH2CH2CH2——CHOHCH2CH2——CH2CHOHCH2— and —CH2CH2CHOH—;
and where y is an integer selected from 5, 6, 7, 8, 9, 10, 11, 12, and 13;
and all salts thereof.
2. A compound according to claim 1 , where each R40 is independently selected from the group consisting of —CH2CH2CH2— and —CH2CH2CH2CH2—.
3. A compound according to claim 2 , where each R40 is —CH2CH2CH2CH2—.
4. A compound according to claim 3 , where R30 and R50 are —CH2CH2CH2CH2—.
5. A compound according to claim 4 , where R90 and each R80 are H.
6. A compound according to claim 5 , where R10 is H, R20 is ethyl, R60 is H, and R70 is ethyl.
7. A compound according to claim 6 , where y is an integer selected from 5, 7, 9, 11, and 13.
8. A compound according to claim 7 , where y is an integer selected from 5, 9, and 11.
13. A compound according to claim 1 , where R90 and each R80 are independently selected from the group consisting of H, methyl, and ethyl.
14. A compound according to claim 1 , where R90 and each R80 are H.
15. A compound according to claim 1 , where R30, each R40, and R50 are independently selected from:
—CH2CH2CH2CH2——CHOHCH2CH2CH2——CH2CHOHCH2CH2——CH2CH2CHOHCH2—, and —CH2CH2CH2CHOH—.
16. A compound according to claim 11 , where each R40 is —CH2CH2CH2CH2— and R30 and R50 are independently selected from:
—CH2CH2CH2CH2—
—CHOHCH2CH2CH2——CH2CHOHCH2CH2——CH2CH2CHOHCH2—, and —CH2CH2CH2CHOH—.
17. A compound according to claim 16 , where R30 and R50 are independently selected from:
—CHOHCH2CH2CH2——CH2CHOHCH2CH2——CH2CH2CHOHCH2—, and —CH2CH2CH2CHOH—.
18. A compound according to claim 1 , where R10, R20, R60, and R70 are independently selected from H, methyl, or ethyl.
19. A compound according to claim 18 , where R10 is H and R60 is H.
20. A compound according to claim 19 , where R20 and R70 are ethyl.
21. A compound according to claim 1 , with the proviso that at least one R30, R40, or R50 is independently selected from:
—CHOHCH2CH2CH2——CH2CHOHCH2CH2——CH2CH2CHOHCH2——CH2CH2CH2CHOH——CHOHCH2CH2——CH2CHOHCH2— and
—CH2CH2CHOH—.
22. A compound according to claim 21 , with the proviso that at least one R30, R40, or R50 is independently selected from:
—CHOHCH2CH2CH2——CH2CHOHCH2CH2——CH2CH2CHOHCH2—; and —CH2CH2CH2CHOH—.
23. A compound according to claim 22 , with the proviso that at least one of R30 and R50 is independently selected from:
—CHOHCH2CH2CH2——CH2CHOHCH2CH2——CH2CH2CHOHCH2—; and —CH2CH2CH2CHOH—.
24. A method of treating cancer in an individual, comprising the step of administering a therapeutic amount of a compound according to claim 1 .
25. A method of treating cancer in an individual, comprising the step of administering a therapeutic amount of a compound according to claim 7 .
26. A method of making a compound according to claim 1 , comprising the steps of:
a) providing a first compound of the form
H—N(R90)—R51—CON(R60)(R70)
where R90 is independently selected from H, methyl, ethyl, n-propyl, isopropyl, n-butyl, isobutyl, sec-butyl, and t-butyl;
R60 and R70 are independently selected from H, methyl, ethyl, n-propyl, isopropyl, n-butyl, isobutyl, sec-butyl, and t-butyl;
R51 is selected from the group consisting of
—CH2CH2CH2——CHO(PGHy)CH2CH2——CH2CHO(PGHy)CH2——CH2CH2CHO(PGHy)——CH2CH2——CHO(PGHy)CH2— and —C H2CHO(PGHy)—
where PGHy is a hydroxy protecting group;
b) providing a second compound of the form
BGNN(R80)—R41—COOH
where blocking group BGN is selected from the group consisting of an amino protecting group and methyl, ethyl, n-propyl, isopropyl, n-butyl, isobutyl, sec-butyl, and t-butyl;
R4 is selected from the group consisting of
—CH2CH2CH2——CHO(PGHy)CH2CH2——CH2CHO(PGHy)CH2——CH2CH2CHO(PGHy)——CH2CH2——CHO(PGHy)CH2— and —CH2CHO(PGHy)—;
c) activating the carboxyl group of the second compound;
d) coupling the second compound to the first compound to form a compound of the formula
BGN[N(R80)—R41—CO]g—N(R90)—R51—CON(R60)(R70)
where g is 1;
e) repeating step c) and repeating the coupling step of step d) for (g-1) additional cycles to form a compound of the formula
BGN[N(R80)—R41—CO]g—N(R90)—R51—CON(R60)(R70)
where g is an integer from 7 to 15;
f) reducing the amide groups to amine groups; and
g) removing any protecting groups BGN and PGHy that may be present in the compound.
Priority Applications (3)
| Application Number | Priority Date | Filing Date | Title |
|---|---|---|---|
| US10/272,269 US20030130356A1 (en) | 2001-10-16 | 2002-10-16 | Oligoamine compounds and derivatives thereof for cancer therapy |
| US10/957,105 US7491849B2 (en) | 2001-10-16 | 2004-10-01 | Oligoamine compounds and derivatives thereof for cancer therapy |
| US12/357,323 US20090124832A1 (en) | 2001-10-16 | 2009-01-21 | Oligoamine compounds and derivatives thereof for cancer therapy |
Applications Claiming Priority (2)
| Application Number | Priority Date | Filing Date | Title |
|---|---|---|---|
| US32998201P | 2001-10-16 | 2001-10-16 | |
| US10/272,269 US20030130356A1 (en) | 2001-10-16 | 2002-10-16 | Oligoamine compounds and derivatives thereof for cancer therapy |
Related Child Applications (1)
| Application Number | Title | Priority Date | Filing Date |
|---|---|---|---|
| US10/957,105 Continuation US7491849B2 (en) | 2001-10-16 | 2004-10-01 | Oligoamine compounds and derivatives thereof for cancer therapy |
Publications (1)
| Publication Number | Publication Date |
|---|---|
| US20030130356A1 true US20030130356A1 (en) | 2003-07-10 |
Family
ID=23287844
Family Applications (3)
| Application Number | Title | Priority Date | Filing Date |
|---|---|---|---|
| US10/272,269 Abandoned US20030130356A1 (en) | 2001-10-16 | 2002-10-16 | Oligoamine compounds and derivatives thereof for cancer therapy |
| US10/957,105 Expired - Fee Related US7491849B2 (en) | 2001-10-16 | 2004-10-01 | Oligoamine compounds and derivatives thereof for cancer therapy |
| US12/357,323 Abandoned US20090124832A1 (en) | 2001-10-16 | 2009-01-21 | Oligoamine compounds and derivatives thereof for cancer therapy |
Family Applications After (2)
| Application Number | Title | Priority Date | Filing Date |
|---|---|---|---|
| US10/957,105 Expired - Fee Related US7491849B2 (en) | 2001-10-16 | 2004-10-01 | Oligoamine compounds and derivatives thereof for cancer therapy |
| US12/357,323 Abandoned US20090124832A1 (en) | 2001-10-16 | 2009-01-21 | Oligoamine compounds and derivatives thereof for cancer therapy |
Country Status (7)
| Country | Link |
|---|---|
| US (3) | US20030130356A1 (en) |
| EP (1) | EP1436246A1 (en) |
| JP (1) | JP2005506354A (en) |
| AU (2) | AU2002340224B2 (en) |
| CA (1) | CA2463771A1 (en) |
| IL (1) | IL161428A0 (en) |
| WO (1) | WO2003033455A1 (en) |
Cited By (20)
| Publication number | Priority date | Publication date | Assignee | Title |
|---|---|---|---|---|
| US20030195377A1 (en) * | 2001-12-07 | 2003-10-16 | Slil Biomedical Corporation | Cycloalkyl substituted polyamines for cancer therapy and methods of synthesis therefor |
| US20040235962A1 (en) * | 1999-04-30 | 2004-11-25 | Benjamin Frydman | Conformationally restricted polyamine analogs as disease therapies |
| US20050001229A1 (en) * | 2003-07-01 | 2005-01-06 | Leonard Forbes | Apparatus and method for split transistor memory having improved endurance |
| US20050080144A1 (en) * | 2001-10-16 | 2005-04-14 | Benjamin Frydman | Oligoamine compounds and derivatives thereof for cancer therapy |
| US20050184337A1 (en) * | 2004-02-24 | 2005-08-25 | Micron Technology, Inc. | 4f2 eeprom nrom memory arrays with vertical devices |
| US20060160906A1 (en) * | 2004-10-04 | 2006-07-20 | Marton Laurence J | Polyamine analogs as therapeutic agents for ocular diseases |
| US20060261404A1 (en) * | 2003-12-17 | 2006-11-23 | Micron Technology, Inc. | Vertical NROM NAND flash memory array |
| US20060276444A1 (en) * | 2002-06-26 | 2006-12-07 | Benjamin Frydman | Porphyrin-polyamine conjugates for cancer therapy |
| US20070232677A1 (en) * | 2006-03-14 | 2007-10-04 | Marton Laurence J | Treatment and prevention of vascular hyperplasia using polyamine and polyamine analog compounds |
| US7279502B2 (en) | 1999-04-30 | 2007-10-09 | Cellgate, Inc. | Polyamine analog conjugates and quinone conjugates as therapies for cancers and prostate diseases |
| US7312244B2 (en) | 1999-04-30 | 2007-12-25 | Cellgate, Inc. | Polyamine analog-amino acid conjugates useful as anticancer agents |
| US20090143456A1 (en) * | 2005-02-11 | 2009-06-04 | Marton Laurence J | Polyamine Analogs as Modulators of Cell Migration and Cell Motility |
| US20090304829A1 (en) * | 2008-06-06 | 2009-12-10 | Lvmh Recherche | Use of a lepechinia caulescens extract as a cosmetic agent, and cosmetic composition containing same |
| US10456443B2 (en) | 2014-08-27 | 2019-10-29 | Ohio State Innovation Foundation | Peptidyl calcineurin inhibitors |
| US10626147B2 (en) | 2014-05-21 | 2020-04-21 | Entrada Therapeutics, Inc. | Cell penetrating peptides and methods of making and using thereof |
| US10815276B2 (en) | 2014-05-21 | 2020-10-27 | Entrada Therapeutics, Inc. | Cell penetrating peptides and methods of making and using thereof |
| US11168310B2 (en) | 2018-02-22 | 2021-11-09 | Entrada Therapeutics, Inc. | Compositions and methods for treating mitochondrial neurogastrointestinal encephalopathy |
| US11576946B2 (en) | 2018-01-29 | 2023-02-14 | Ohio State Innovation Foundation | Peptidyl inhibitors of calcineurin-NFAT interaction |
| US12281181B2 (en) | 2017-10-04 | 2025-04-22 | Ohio State Innovation Foundation | Bicyclic peptidyl inhibitors |
| US12496350B2 (en) | 2018-01-29 | 2025-12-16 | Ohio State Innovation Foundation | Cyclic peptidyl inhibitors of CAL-PDZ binding domain |
Families Citing this family (1)
| Publication number | Priority date | Publication date | Assignee | Title |
|---|---|---|---|---|
| IL187247A0 (en) * | 2007-11-08 | 2008-12-29 | Hadasit Med Res Service | Novel synthetic analogs of sphingolipids |
Family Cites Families (97)
| Publication number | Priority date | Publication date | Assignee | Title |
|---|---|---|---|---|
| US2440724A (en) * | 1944-10-27 | 1948-05-04 | Commercial Solvents Corp | Nu-substituted, 2-butene-1, 4-diamines, and process for preparing |
| US4013507A (en) * | 1973-09-18 | 1977-03-22 | California Institute Of Technology | Ionene polymers for selectively inhibiting the vitro growth of malignant cells |
| US3956502A (en) * | 1974-09-04 | 1976-05-11 | Nalco Chemical Company | Polyamine alcohols as microbiocides |
| PL109855B1 (en) | 1977-12-12 | 1980-06-30 | Bath for electro-galvanizing and polishing | |
| US4661509A (en) * | 1982-09-28 | 1987-04-28 | Gordon Arnold Z | Methods for treating leukopenia |
| US4551550A (en) * | 1983-12-06 | 1985-11-05 | Merrell Dow Pharmaceuticals Inc. | N-2,3-Butadienyl-1,4-butanediamine derivatives |
| CA1247598A (en) * | 1984-12-27 | 1988-12-28 | Harry J. Andress, Jr. | Compounds containing amide linkages from mono-and polycarboxylic acids in the same molecule and lubricants and fuels containing same |
| CS252771B1 (en) * | 1986-01-20 | 1987-10-15 | Josef Urbanek | Reaction products of higher saturated and / or unsaturated carboxylic acids with polytopic amines |
| US4889851A (en) * | 1986-11-21 | 1989-12-26 | Fujisawa Pharmaceutical Co, Ltd. | Benzothiadiazine compounds, and pharmaceutical composition comprising the same |
| US5342945A (en) * | 1986-12-02 | 1994-08-30 | University Of Florida Research Foundation, Inc. | Anti-neoplastic, anti-viral or anti-retroviral spermine derivatives |
| US5393757A (en) * | 1986-12-02 | 1995-02-28 | University Of Florida | Polyamines and anti-diarrheal and gastrointestinal anti-spasmodic pharmaceutical compositions and methods of treatment |
| US5091576A (en) * | 1986-12-02 | 1992-02-25 | University Of Florida | Anti-neoplastic, anti-viral or anti-retroviral spermine derivatives |
| US5677351A (en) * | 1986-12-02 | 1997-10-14 | University Of Florida Research Foundation, Inc. | Sterically hindered tetraamines and method for their production |
| USRE38417E1 (en) * | 1986-12-02 | 2004-02-03 | University Of Florida Research Foundation, Inc. | Anti-neoplastic, anti-viral or anti-retroviral spermine derivatives |
| US6184232B1 (en) * | 1986-12-02 | 2001-02-06 | University Of Florida | Analogs of biologically active, naturally occurring polyamines, pharmaceutical compositions and methods of treatment |
| US5654484A (en) * | 1987-10-08 | 1997-08-05 | Merrell Pharmaceuticals Inc. | Polyamine derivatives as antineoplastic agents |
| US4868219A (en) * | 1988-04-07 | 1989-09-19 | Thornfeldt Carl R | Treatment of skin diseases with aliphatic amines |
| CA2011367C (en) * | 1988-08-30 | 1997-07-08 | Henry Ashjian | Reaction products of alkenyl succinimides with ethylenediamine carboxy acids as fuel detergents |
| US5719193A (en) * | 1989-05-23 | 1998-02-17 | Merrell Pharmaceuticals, Inc. | Method of potentiating cell-mediated immunity utilizing polyamine derivatives |
| US5283367A (en) * | 1989-08-30 | 1994-02-01 | Ciba-Geigy Corporation | Substituted 1,4-diamino-2-butene stabilizers |
| JP3007391B2 (en) * | 1990-08-13 | 2000-02-07 | 花王株式会社 | New quaternary ammonium compounds |
| GB9111794D0 (en) * | 1991-05-31 | 1991-07-24 | Robins David J | Antifungal compounds |
| US5185369A (en) * | 1991-08-23 | 1993-02-09 | Pfizer Inc. | Synthetic heteroaryl polyamines as excitatory amino acid neurotransmitter antagonists |
| EP0641312A1 (en) | 1991-08-23 | 1995-03-08 | Pfizer Inc. | Synthetic aryl polyamines as excitatory amino acid neurotransmitter antagonists |
| US5242684A (en) * | 1991-10-25 | 1993-09-07 | Isp Investments Inc. | Antimicrobial, low toxicity, non-irritating composition comprising a blend of bis-quaternary ammonium compounds coprecipitated with a copolymer of vinylpyrrolidone and an acrylamido or vinyl quaternary ammonium monomer |
| US5512597A (en) * | 1991-11-08 | 1996-04-30 | Alcon Laboratories, Inc. | Polymeric quaternary ammonium compounds and their use as ophthalmic antimicrobials |
| US6051611A (en) * | 1991-11-08 | 2000-04-18 | Alcon Laboratories, Inc. | Polymeric quaternary ammonium compounds and their use as ophthalmic antimicrobias |
| US5530092A (en) * | 1992-01-13 | 1996-06-25 | Dsm N.V. | Dendritic macromolecule and the preparation thereof |
| GB9220921D0 (en) | 1992-10-05 | 1992-11-18 | Merrell Dow Pharma | Polyamine derivatives as anticytomegaloviral agents |
| DE4306152A1 (en) * | 1993-02-27 | 1994-09-01 | Hoechst Ag | Positive-working radiation-sensitive mixture, and recording material produced therewith |
| US5451347A (en) * | 1993-06-24 | 1995-09-19 | Lumigen, Inc. | Methods and compositions providing enhanced chemiluminescence from chemiluminescent compounds using dicationic surfactants |
| US5541230A (en) * | 1993-11-05 | 1996-07-30 | Us Health | Therapeutic polyamines |
| AU690618B2 (en) * | 1993-12-27 | 1998-04-30 | Novartis Ag | Unsaturate amino compounds for use as anticancer and antiprotozoic agent |
| DE4403039A1 (en) | 1994-01-28 | 1995-08-03 | Schering Ag | Octaaza macrocycles, their metal complexes, processes for their preparation, agents containing these complexes and their use in diagnostics and therapy |
| JPH09508170A (en) * | 1994-01-28 | 1997-08-19 | デーエスエム ナムローゼ フェンノートシャップ | Dendritic polymeric substance and method for producing the same |
| JPH07228589A (en) | 1994-02-16 | 1995-08-29 | Fuji Photo Film Co Ltd | Phosphoric acid ester derivative and silver halide photographic sensitive material |
| JPH07277964A (en) | 1994-04-08 | 1995-10-24 | Nippon Kayaku Co Ltd | Antitumor agent |
| CN1157363C (en) * | 1994-11-12 | 2004-07-14 | 巴斯福股份公司 | Process for the preparation of amines from compounds containing at least three cyano groups |
| FR2729852A1 (en) | 1995-01-30 | 1996-08-02 | Oreal | REDUCTIVE COMPOSITION COMPRISING BASIC AMINO ACID AND CATIONIC POLYMER |
| US6060604A (en) | 1995-03-31 | 2000-05-09 | Florida State University | Pharmaceutical compounds comprising polyamines substituted with electron-affinic groups |
| EP0752465A1 (en) | 1995-06-01 | 1997-01-08 | The Procter & Gamble Company | Betaine esters for delivery of alcohols |
| US6114108A (en) | 1995-08-29 | 2000-09-05 | V.I. Technologies, Inc. | Methods and compositions for the selective modification of viral nucleic acids |
| US6136586A (en) | 1995-08-29 | 2000-10-24 | Vi Technologies, Inc. | Methods for the selective modification of viral nucleic acids |
| EP0761680A3 (en) * | 1995-09-12 | 1999-05-06 | Ono Pharmaceutical Co., Ltd. | Tetrazole compounds having Interleukin-1beta converting enzyme inhibitory activity |
| US5869715A (en) * | 1995-09-27 | 1999-02-09 | The Reagents Of The University Of California | Polyfunctional cationic cytofectins |
| US5886051A (en) * | 1995-11-08 | 1999-03-23 | University Of Florida Research Foundation, Inc. | Methods and compositions for the treatment of neurodegeneration |
| US6126964A (en) * | 1996-01-04 | 2000-10-03 | Mirus Corporation | Process of making a compound by forming a polymer from a template drug |
| US5962533A (en) * | 1996-02-06 | 1999-10-05 | University Of Florida Research Foundation, Inc. | Hydroxy polyamines |
| AU724312B2 (en) * | 1996-02-07 | 2000-09-14 | Buckman Laboratories International, Inc. | Synergistic antimicrobial compositions containing an ionene polymer and a salt of dodecylamine and methods of using the same |
| DE19621510A1 (en) * | 1996-05-29 | 1997-12-04 | Basf Ag | Dendritic nitrogen-containing organic compounds with planar-chiral or axial-chiral end groups, their preparation and use |
| US6034129A (en) * | 1996-06-24 | 2000-03-07 | Geltex Pharmaceuticals, Inc. | Ionic polymers as anti-infective agents |
| DE19625982A1 (en) * | 1996-06-28 | 1998-01-02 | Wella Ag | Cosmetic agent for hair treatment with dendrimers |
| US5866016A (en) * | 1997-07-01 | 1999-02-02 | Buckman Laboratories International, Inc. | Methods and compositions for controlling biofouling using combinations of an ionene polymer and a salt of dodecylamine |
| US5958397A (en) * | 1996-07-22 | 1999-09-28 | Schering-Plough Healthcare Products, Inc. | Method and composition for protecting against jellyfish stings |
| US5906996A (en) * | 1996-08-21 | 1999-05-25 | Murphy; Michael A. | Tetramine treatment of neurological disorders |
| EP1459747A3 (en) * | 1996-09-13 | 2004-12-15 | University Of Florida Research Foundation, Inc. | Method of inhibiting biosynthesis of Elf5A |
| DE69711413T2 (en) | 1996-10-18 | 2002-07-18 | Wisconsin Alumni Research Foundation, Madison | POLYAMINE RESTRICTED IN YOUR INFORMATION AND THEIR USE AS AN ANTINEOPLASTIC AGENT |
| WO1998017747A1 (en) | 1996-10-22 | 1998-04-30 | Tonen Corporation | Lubricating oil composition for automatic transmissions |
| US6235794B1 (en) * | 1997-04-03 | 2001-05-22 | University Of Florida | Biologically active spermidine analogues, pharmaceutical compositions and methods of treatment |
| US6093564A (en) | 1997-10-03 | 2000-07-25 | V.I. Technologies, Inc. | Methods and compositions for the selective modification of nucleic acids |
| US6307102B1 (en) * | 1997-10-15 | 2001-10-23 | Tosoh Corporation | Amine catalyst for producing polyurethane and polyisocyanurate |
| US6046282A (en) * | 1998-01-06 | 2000-04-04 | Air Products And Chemicals, Inc. | Reactive diluents for polyamidoamine epoxy curatives |
| CA2321200A1 (en) | 1998-02-27 | 1999-09-02 | Dnavec Research Inc. | Composition for transporting negatively charged substances |
| AU7131698A (en) | 1998-04-21 | 1999-11-08 | Ilex Oncology, Inc. | Polyamine transport inhibitors |
| JP3996274B2 (en) | 1998-07-07 | 2007-10-24 | 電気化学工業株式会社 | Method for producing monovinylacetylene |
| US6531512B1 (en) * | 1998-07-31 | 2003-03-11 | Health Research Inc. | Method of treating cancer in patients having a deficiency in p53 tumor suppressor gene |
| GB9817383D0 (en) | 1998-08-10 | 1998-10-07 | Ass Octel | Diesel fuel compositions |
| WO2000018969A1 (en) | 1998-09-25 | 2000-04-06 | Pentose Pharmaceuticals, Inc. | Methods to selectively inactivate viruses in biological compositions |
| AU1180300A (en) * | 1998-11-16 | 2000-06-05 | Rohto Pharmaceutical Co., Ltd. | Liquid ophthalmic preparations |
| JP3747355B2 (en) * | 1998-12-21 | 2006-02-22 | 独立行政法人理化学研究所 | Chain polyamine compound and polyamine anticancer agent |
| US6649587B1 (en) * | 1999-04-30 | 2003-11-18 | Slil Biomedical Corporation | Polyamine analog conjugates and quinone conjugates as therapies for cancers and prostate diseases |
| BR0010700A (en) * | 1999-04-30 | 2002-02-13 | Slil Biomedical Corp | Analog conjugates of polyamine and quinone conjugates as therapies for cancers and prostate diseases |
| US6673890B1 (en) * | 1999-07-16 | 2004-01-06 | Basf Aktiengesellschaft | Zwitterionic polyamines and process for their production |
| GB9920107D0 (en) * | 1999-08-26 | 1999-10-27 | Avecia Ltd | Fluidising agents |
| JP2001131449A (en) | 1999-11-01 | 2001-05-15 | Matsushita Electric Ind Co Ltd | Inkjet recording ink |
| FR2802817B1 (en) * | 1999-12-23 | 2002-10-11 | Centre Nat Rech Scient | NOVEL GLYCOSIDASE INHIBITORS AND THEIR PHARMACOLOGICAL APPLICATIONS, PARTICULARLY FOR TREATING DIABETES |
| CA2396368A1 (en) * | 2000-01-10 | 2001-07-19 | Zetetic Research, Inc. | Use of a composition comprising two quaternary ammonium compounds and an organometallic compound for treating viral and fungal infections and diseases |
| US6494944B1 (en) | 2000-03-02 | 2002-12-17 | Akzo Nobel N.V. | Amine oxides as asphalt emulsifiers |
| FI112796B (en) | 2000-04-14 | 2004-01-15 | Valtion Teknillinen | Process for the preparation and use of oligo / poly succinic imide dimers |
| US6444707B1 (en) * | 2000-08-22 | 2002-09-03 | West Agro | Topically applied hoof treatment composition and concentrate |
| AU2001294557A1 (en) | 2000-09-11 | 2002-03-26 | Merck And Co., Inc. | Thrombin inhibitors |
| ATE424817T1 (en) * | 2000-09-19 | 2009-03-15 | Dermal Therapy Barbados Inc | TOPICAL ANALGESIC COMPOSITIONS CONTAINING ALIPHATIC POLYAMINES AND METHODS FOR USE THEREOF |
| US6545181B1 (en) * | 2000-10-24 | 2003-04-08 | Pilot Chemical Holdings, Inc. | Demulsifying compound and a method of breaking or inhibiting emulsions |
| EP1337504A4 (en) | 2000-11-08 | 2005-10-05 | Cellgate Inc | NOVEL AMINO ACID CONJUGATES AND POLYAMINE ANALOGUES USEFUL AS ANTICANCING AGENTS |
| CA2429982C (en) * | 2000-12-01 | 2010-07-13 | The University Of British Columbia | Copper chelators for treating ocular inflammation |
| US7754765B2 (en) * | 2000-12-01 | 2010-07-13 | Radical Vision Therapeutics Inc | Copper chelators for treating ocular inflammation |
| US6399662B1 (en) * | 2000-12-13 | 2002-06-04 | University Of Florida | Method and composition for the treatment of diarrhea and gastrointestinal spasms |
| WO2002062341A1 (en) | 2001-02-07 | 2002-08-15 | University Of Florida | Method and composition for the control of hair growth |
| US6635679B2 (en) * | 2001-05-14 | 2003-10-21 | Akzo Nobel N.V. | Methods and compositions for inactivating viruses |
| US6713653B2 (en) * | 2001-08-24 | 2004-03-30 | E. I. Du Pont De Nemours And Company | Polyamines and polymers made therewith |
| US20030130356A1 (en) * | 2001-10-16 | 2003-07-10 | Slil Biomedical Corporation | Oligoamine compounds and derivatives thereof for cancer therapy |
| US6458795B1 (en) * | 2001-11-15 | 2002-10-01 | University Of Florida | Method and composition for treatment of irritable bowel disease |
| JP2005510524A (en) * | 2001-11-16 | 2005-04-21 | アルス・セラピー・デベロツプメント・フアンデーシヨン・インコーポレーテツド | Treatment of neurodegenerative disorders by modulating the polyamine pathway |
| JP2005517004A (en) * | 2002-02-07 | 2005-06-09 | ウィスコンシン アルムニ リサーチ ファンデーション | Polyamine compounds and compositions for use in connection with cancer treatment |
| US6881732B2 (en) * | 2002-06-13 | 2005-04-19 | Chelator Llc | Neuroprotection and cardioprotection afforded by chelators with high affinity and specificity for cations of first transition series elements |
| US20040019043A1 (en) * | 2002-07-23 | 2004-01-29 | Dimitri Coucouvanis | Thiomolybdate analogues and uses thereof |
| US7189865B2 (en) * | 2002-07-23 | 2007-03-13 | Attenuon, Llc | Thiomolybdate analogues and uses thereof |
-
2002
- 2002-10-16 US US10/272,269 patent/US20030130356A1/en not_active Abandoned
- 2002-10-16 EP EP02778572A patent/EP1436246A1/en not_active Withdrawn
- 2002-10-16 JP JP2003536196A patent/JP2005506354A/en active Pending
- 2002-10-16 IL IL16142802A patent/IL161428A0/en unknown
- 2002-10-16 CA CA002463771A patent/CA2463771A1/en not_active Abandoned
- 2002-10-16 WO PCT/US2002/032932 patent/WO2003033455A1/en not_active Ceased
- 2002-10-16 AU AU2002340224A patent/AU2002340224B2/en not_active Ceased
-
2004
- 2004-10-01 US US10/957,105 patent/US7491849B2/en not_active Expired - Fee Related
-
2009
- 2009-01-21 US US12/357,323 patent/US20090124832A1/en not_active Abandoned
- 2009-02-18 AU AU2009200639A patent/AU2009200639A1/en not_active Abandoned
Cited By (33)
| Publication number | Priority date | Publication date | Assignee | Title |
|---|---|---|---|---|
| US7186825B2 (en) | 1999-04-30 | 2007-03-06 | Cellgate, Inc. | Conformationally restricted polyamine analogs as disease therapies |
| US20040235962A1 (en) * | 1999-04-30 | 2004-11-25 | Benjamin Frydman | Conformationally restricted polyamine analogs as disease therapies |
| US7312244B2 (en) | 1999-04-30 | 2007-12-25 | Cellgate, Inc. | Polyamine analog-amino acid conjugates useful as anticancer agents |
| US7279502B2 (en) | 1999-04-30 | 2007-10-09 | Cellgate, Inc. | Polyamine analog conjugates and quinone conjugates as therapies for cancers and prostate diseases |
| US20070161692A1 (en) * | 1999-04-30 | 2007-07-12 | Cellgate, Inc. | Conformationally restricted polyamine analogs as disease therapies |
| US20050080144A1 (en) * | 2001-10-16 | 2005-04-14 | Benjamin Frydman | Oligoamine compounds and derivatives thereof for cancer therapy |
| US7491849B2 (en) | 2001-10-16 | 2009-02-17 | Progen Pharmaceuticals, Inc. | Oligoamine compounds and derivatives thereof for cancer therapy |
| US20030195377A1 (en) * | 2001-12-07 | 2003-10-16 | Slil Biomedical Corporation | Cycloalkyl substituted polyamines for cancer therapy and methods of synthesis therefor |
| US7453011B2 (en) | 2001-12-07 | 2008-11-18 | Progen Pharmaceuticals, Inc. | Cycloalkyl substituted polyamines for cancer therapy and methods of synthesis therefor |
| US7235695B2 (en) | 2001-12-07 | 2007-06-26 | Benjamin Frydman | Cycloalkyl substituted polyamines for cancer therapy and methods of synthesis therefor |
| US20060030735A1 (en) * | 2001-12-07 | 2006-02-09 | Cellgate, Inc. | Cycloalkyl substituted polyamines for cancer therapy and methods of synthesis therefor |
| US6982351B2 (en) | 2001-12-07 | 2006-01-03 | Cellgate, Inc. | Cycloalkyl substituted polyamines for cancer therapy and methods of synthesis therefor |
| US20060276444A1 (en) * | 2002-06-26 | 2006-12-07 | Benjamin Frydman | Porphyrin-polyamine conjugates for cancer therapy |
| US20060197143A1 (en) * | 2003-07-01 | 2006-09-07 | Micron Technology, Inc. | Apparatus and method for split transistor memory having improved endurance |
| US20050001229A1 (en) * | 2003-07-01 | 2005-01-06 | Leonard Forbes | Apparatus and method for split transistor memory having improved endurance |
| US20060261404A1 (en) * | 2003-12-17 | 2006-11-23 | Micron Technology, Inc. | Vertical NROM NAND flash memory array |
| US7075146B2 (en) | 2004-02-24 | 2006-07-11 | Micron Technology, Inc. | 4F2 EEPROM NROM memory arrays with vertical devices |
| US20050184337A1 (en) * | 2004-02-24 | 2005-08-25 | Micron Technology, Inc. | 4f2 eeprom nrom memory arrays with vertical devices |
| US20060160906A1 (en) * | 2004-10-04 | 2006-07-20 | Marton Laurence J | Polyamine analogs as therapeutic agents for ocular diseases |
| US20090143456A1 (en) * | 2005-02-11 | 2009-06-04 | Marton Laurence J | Polyamine Analogs as Modulators of Cell Migration and Cell Motility |
| US20070232677A1 (en) * | 2006-03-14 | 2007-10-04 | Marton Laurence J | Treatment and prevention of vascular hyperplasia using polyamine and polyamine analog compounds |
| US20090304829A1 (en) * | 2008-06-06 | 2009-12-10 | Lvmh Recherche | Use of a lepechinia caulescens extract as a cosmetic agent, and cosmetic composition containing same |
| US9023403B2 (en) * | 2008-06-06 | 2015-05-05 | Lvmh Recherche | Use of a Lepechinia caulescens extract as a cosmetic agent, and cosmetic composition containing same |
| US10815276B2 (en) | 2014-05-21 | 2020-10-27 | Entrada Therapeutics, Inc. | Cell penetrating peptides and methods of making and using thereof |
| US10626147B2 (en) | 2014-05-21 | 2020-04-21 | Entrada Therapeutics, Inc. | Cell penetrating peptides and methods of making and using thereof |
| US11225506B2 (en) | 2014-05-21 | 2022-01-18 | Entrada Therapeutics, Inc. | Cell penetrating peptides and methods of making and using thereof |
| US10456443B2 (en) | 2014-08-27 | 2019-10-29 | Ohio State Innovation Foundation | Peptidyl calcineurin inhibitors |
| US12281181B2 (en) | 2017-10-04 | 2025-04-22 | Ohio State Innovation Foundation | Bicyclic peptidyl inhibitors |
| US11576946B2 (en) | 2018-01-29 | 2023-02-14 | Ohio State Innovation Foundation | Peptidyl inhibitors of calcineurin-NFAT interaction |
| US12329799B2 (en) | 2018-01-29 | 2025-06-17 | Ohio State Innovation Foundation | Peptidyl inhibitors of calcineurin-NFAT interaction |
| US12496350B2 (en) | 2018-01-29 | 2025-12-16 | Ohio State Innovation Foundation | Cyclic peptidyl inhibitors of CAL-PDZ binding domain |
| US11168310B2 (en) | 2018-02-22 | 2021-11-09 | Entrada Therapeutics, Inc. | Compositions and methods for treating mitochondrial neurogastrointestinal encephalopathy |
| US11987821B2 (en) | 2018-02-22 | 2024-05-21 | Entrada Therapeutics, Inc. | Compositions and methods for treating mitochondrial neurogastrointestinal encephalopathy |
Also Published As
| Publication number | Publication date |
|---|---|
| AU2002340224B2 (en) | 2008-11-27 |
| IL161428A0 (en) | 2004-09-27 |
| CA2463771A1 (en) | 2003-04-24 |
| US20090124832A1 (en) | 2009-05-14 |
| WO2003033455A1 (en) | 2003-04-24 |
| JP2005506354A (en) | 2005-03-03 |
| US20050080144A1 (en) | 2005-04-14 |
| EP1436246A1 (en) | 2004-07-14 |
| AU2009200639A1 (en) | 2009-03-12 |
| US7491849B2 (en) | 2009-02-17 |
Similar Documents
| Publication | Publication Date | Title |
|---|---|---|
| US20090124832A1 (en) | Oligoamine compounds and derivatives thereof for cancer therapy | |
| AU2002340224A1 (en) | Oligoamine compounds and derivatives thereof for cancer therapy | |
| US7453011B2 (en) | Cycloalkyl substituted polyamines for cancer therapy and methods of synthesis therefor | |
| US7312244B2 (en) | Polyamine analog-amino acid conjugates useful as anticancer agents | |
| US7186825B2 (en) | Conformationally restricted polyamine analogs as disease therapies | |
| US5109024A (en) | Polyamine derivatives as antineoplastic agents | |
| US7026347B2 (en) | Porphyrin-polyamine conjugates for cancer therapy | |
| WO2002053519A2 (en) | Hydrophobic polyamine analogs and methods for their use | |
| US5654484A (en) | Polyamine derivatives as antineoplastic agents | |
| AU608373B2 (en) | Polyamine derivatives as antineoplastic agents | |
| WO1994007480A1 (en) | Polyamine derivatives as anti-cytomegaloviral agents | |
| AU2002248311A1 (en) | Hydrophobic polyamine analogs and methods for their use |
Legal Events
| Date | Code | Title | Description |
|---|---|---|---|
| AS | Assignment |
Owner name: SLIL BIOMEDICAL CORPORATION, WISCONSIN Free format text: ASSIGNMENT OF ASSIGNORS INTEREST;ASSIGNORS:FRYDMAN, BENJAMIN;VALASINAS, ALDONIA L.;BLOKHIN, ANDREI V.;AND OTHERS;REEL/FRAME:013694/0467;SIGNING DATES FROM 20021217 TO 20030106 |
|
| AS | Assignment |
Owner name: CELLGATE, INC., CALIFORNIA Free format text: ASSIGNMENT OF ASSIGNORS INTEREST;ASSIGNOR:SLIL BIOMEDICAL CORP.;REEL/FRAME:015107/0066 Effective date: 20040608 |
|
| STCB | Information on status: application discontinuation |
Free format text: ABANDONED -- FAILURE TO RESPOND TO AN OFFICE ACTION |
































