US20030081538A1 - Multiple-access hybrid OFDM-CDMA system - Google Patents
Multiple-access hybrid OFDM-CDMA system Download PDFInfo
- Publication number
- US20030081538A1 US20030081538A1 US09/982,280 US98228001A US2003081538A1 US 20030081538 A1 US20030081538 A1 US 20030081538A1 US 98228001 A US98228001 A US 98228001A US 2003081538 A1 US2003081538 A1 US 2003081538A1
- Authority
- US
- United States
- Prior art keywords
- data
- samples
- stream
- symbols
- symbol
- Prior art date
- Legal status (The legal status is an assumption and is not a legal conclusion. Google has not performed a legal analysis and makes no representation as to the accuracy of the status listed.)
- Abandoned
Links
- 230000007480 spreading Effects 0.000 claims abstract description 92
- 238000000034 method Methods 0.000 claims abstract description 62
- 230000005540 biological transmission Effects 0.000 claims abstract description 44
- 238000004891 communication Methods 0.000 claims description 32
- 125000004122 cyclic group Chemical group 0.000 claims description 23
- 238000012545 processing Methods 0.000 claims description 16
- 230000004044 response Effects 0.000 claims description 10
- 230000009466 transformation Effects 0.000 claims description 10
- 230000001131 transforming effect Effects 0.000 claims description 9
- 230000008569 process Effects 0.000 claims description 6
- 238000003780 insertion Methods 0.000 claims description 4
- 230000037431 insertion Effects 0.000 claims description 4
- 230000001427 coherent effect Effects 0.000 abstract description 5
- 238000011084 recovery Methods 0.000 abstract description 3
- 238000010586 diagram Methods 0.000 description 16
- 230000007246 mechanism Effects 0.000 description 13
- 230000006870 function Effects 0.000 description 11
- 230000008901 benefit Effects 0.000 description 5
- 238000001514 detection method Methods 0.000 description 4
- 230000001143 conditioned effect Effects 0.000 description 3
- 238000005562 fading Methods 0.000 description 3
- 230000011664 signaling Effects 0.000 description 3
- 108010003272 Hyaluronate lyase Proteins 0.000 description 2
- 230000001413 cellular effect Effects 0.000 description 2
- 230000001934 delay Effects 0.000 description 2
- 238000013461 design Methods 0.000 description 2
- 239000006185 dispersion Substances 0.000 description 2
- 238000013507 mapping Methods 0.000 description 2
- 238000012952 Resampling Methods 0.000 description 1
- 238000003491 array Methods 0.000 description 1
- 230000010267 cellular communication Effects 0.000 description 1
- 230000008859 change Effects 0.000 description 1
- 230000000295 complement effect Effects 0.000 description 1
- 230000001419 dependent effect Effects 0.000 description 1
- 230000010354 integration Effects 0.000 description 1
- 230000007774 longterm Effects 0.000 description 1
- 230000000116 mitigating effect Effects 0.000 description 1
- 238000010295 mobile communication Methods 0.000 description 1
- 238000012986 modification Methods 0.000 description 1
- 230000004048 modification Effects 0.000 description 1
- 238000005192 partition Methods 0.000 description 1
- 230000009467 reduction Effects 0.000 description 1
- 230000004043 responsiveness Effects 0.000 description 1
- 230000000717 retained effect Effects 0.000 description 1
- 238000001228 spectrum Methods 0.000 description 1
- 238000000844 transformation Methods 0.000 description 1
- 238000013519 translation Methods 0.000 description 1
Images
Classifications
-
- H—ELECTRICITY
- H04—ELECTRIC COMMUNICATION TECHNIQUE
- H04W—WIRELESS COMMUNICATION NETWORKS
- H04W52/00—Power management, e.g. Transmission Power Control [TPC] or power classes
- H04W52/04—Transmission power control [TPC]
- H04W52/06—TPC algorithms
- H04W52/12—Outer and inner loops
-
- H—ELECTRICITY
- H04—ELECTRIC COMMUNICATION TECHNIQUE
- H04L—TRANSMISSION OF DIGITAL INFORMATION, e.g. TELEGRAPHIC COMMUNICATION
- H04L27/00—Modulated-carrier systems
- H04L27/26—Systems using multi-frequency codes
-
- H—ELECTRICITY
- H04—ELECTRIC COMMUNICATION TECHNIQUE
- H04B—TRANSMISSION
- H04B1/00—Details of transmission systems, not covered by a single one of groups H04B3/00 - H04B13/00; Details of transmission systems not characterised by the medium used for transmission
- H04B1/69—Spread spectrum techniques
- H04B1/692—Hybrid techniques using combinations of two or more spread spectrum techniques
-
- H—ELECTRICITY
- H04—ELECTRIC COMMUNICATION TECHNIQUE
- H04L—TRANSMISSION OF DIGITAL INFORMATION, e.g. TELEGRAPHIC COMMUNICATION
- H04L27/00—Modulated-carrier systems
- H04L27/0008—Modulated-carrier systems arrangements for allowing a transmitter or receiver to use more than one type of modulation
-
- H—ELECTRICITY
- H04—ELECTRIC COMMUNICATION TECHNIQUE
- H04L—TRANSMISSION OF DIGITAL INFORMATION, e.g. TELEGRAPHIC COMMUNICATION
- H04L27/00—Modulated-carrier systems
- H04L27/26—Systems using multi-frequency codes
- H04L27/2601—Multicarrier modulation systems
- H04L27/2602—Signal structure
- H04L27/2605—Symbol extensions, e.g. Zero Tail, Unique Word [UW]
- H04L27/2607—Cyclic extensions
-
- H—ELECTRICITY
- H04—ELECTRIC COMMUNICATION TECHNIQUE
- H04L—TRANSMISSION OF DIGITAL INFORMATION, e.g. TELEGRAPHIC COMMUNICATION
- H04L5/00—Arrangements affording multiple use of the transmission path
- H04L5/0001—Arrangements for dividing the transmission path
- H04L5/0014—Three-dimensional division
- H04L5/0016—Time-frequency-code
- H04L5/0021—Time-frequency-code in which codes are applied as a frequency-domain sequences, e.g. MC-CDMA
-
- H—ELECTRICITY
- H04—ELECTRIC COMMUNICATION TECHNIQUE
- H04L—TRANSMISSION OF DIGITAL INFORMATION, e.g. TELEGRAPHIC COMMUNICATION
- H04L5/00—Arrangements affording multiple use of the transmission path
- H04L5/02—Channels characterised by the type of signal
- H04L5/023—Multiplexing of multicarrier modulation signals, e.g. multi-user orthogonal frequency division multiple access [OFDMA]
- H04L5/026—Multiplexing of multicarrier modulation signals, e.g. multi-user orthogonal frequency division multiple access [OFDMA] using code division
-
- H—ELECTRICITY
- H04—ELECTRIC COMMUNICATION TECHNIQUE
- H04W—WIRELESS COMMUNICATION NETWORKS
- H04W52/00—Power management, e.g. Transmission Power Control [TPC] or power classes
- H04W52/04—Transmission power control [TPC]
- H04W52/18—TPC being performed according to specific parameters
- H04W52/28—TPC being performed according to specific parameters using user profile, e.g. mobile speed, priority or network state, e.g. standby, idle or non-transmission
- H04W52/286—TPC being performed according to specific parameters using user profile, e.g. mobile speed, priority or network state, e.g. standby, idle or non-transmission during data packet transmission, e.g. high speed packet access [HSPA]
-
- H—ELECTRICITY
- H04—ELECTRIC COMMUNICATION TECHNIQUE
- H04L—TRANSMISSION OF DIGITAL INFORMATION, e.g. TELEGRAPHIC COMMUNICATION
- H04L25/00—Baseband systems
- H04L25/02—Details ; arrangements for supplying electrical power along data transmission lines
- H04L25/0202—Channel estimation
- H04L25/0224—Channel estimation using sounding signals
- H04L25/0228—Channel estimation using sounding signals with direct estimation from sounding signals
-
- H—ELECTRICITY
- H04—ELECTRIC COMMUNICATION TECHNIQUE
- H04L—TRANSMISSION OF DIGITAL INFORMATION, e.g. TELEGRAPHIC COMMUNICATION
- H04L27/00—Modulated-carrier systems
- H04L27/26—Systems using multi-frequency codes
- H04L27/2601—Multicarrier modulation systems
- H04L27/2602—Signal structure
- H04L27/261—Details of reference signals
- H04L27/2613—Structure of the reference signals
-
- H—ELECTRICITY
- H04—ELECTRIC COMMUNICATION TECHNIQUE
- H04L—TRANSMISSION OF DIGITAL INFORMATION, e.g. TELEGRAPHIC COMMUNICATION
- H04L27/00—Modulated-carrier systems
- H04L27/26—Systems using multi-frequency codes
- H04L27/2601—Multicarrier modulation systems
- H04L27/2647—Arrangements specific to the receiver only
-
- H—ELECTRICITY
- H04—ELECTRIC COMMUNICATION TECHNIQUE
- H04L—TRANSMISSION OF DIGITAL INFORMATION, e.g. TELEGRAPHIC COMMUNICATION
- H04L27/00—Modulated-carrier systems
- H04L27/26—Systems using multi-frequency codes
- H04L27/2601—Multicarrier modulation systems
- H04L27/2647—Arrangements specific to the receiver only
- H04L27/2655—Synchronisation arrangements
-
- H—ELECTRICITY
- H04—ELECTRIC COMMUNICATION TECHNIQUE
- H04L—TRANSMISSION OF DIGITAL INFORMATION, e.g. TELEGRAPHIC COMMUNICATION
- H04L5/00—Arrangements affording multiple use of the transmission path
- H04L5/003—Arrangements for allocating sub-channels of the transmission path
- H04L5/0048—Allocation of pilot signals, i.e. of signals known to the receiver
Definitions
- the present invention relates generally to data communication, and more specifically to a multiple-access hybrid OFDM-CDMA communication system.
- Wireless communication systems are widely deployed to provide various types of communication such as voice, data, and so on. These systems may be multiple-access systems capable of supporting communication with multiple users (sequentially or simultaneously) by sharing the available system resources (e.g., bandwidth and transmit power). Such systems may be based on code division multiple access (CDMA), time division multiple access (TDMA), frequency division multiple access (FDMA), some other multiple access technique, or a combination thereof. CDMA systems may provide certain advantages over other types of system, including increased system capacity. CDMA systems may also be designed to implement known CDMA standards such as IS-95, cdma2000, IS-856, W-CDMA, and others.
- CDMA code division multiple access
- TDMA time division multiple access
- FDMA frequency division multiple access
- CDMA systems may provide certain advantages over other types of system, including increased system capacity.
- CDMA systems may also be designed to implement known CDMA standards such as IS-95, cdma2000, IS-856, W-CDMA, and others.
- An orthogonal frequency division modulation (OFDM) system effectively partitions the system bandwidth into a number of (M) sub-bands (or frequency bins or sub-channels). At each time interval that may be dependent on the bandwidth of each sub-band, a modulation symbol may be transmitted on each of the M sub-bands.
- a narrowband signal is spread over the entire system bandwidth in the time domain with a spreading sequence.
- Example DS-CDMA systems include those that conform to IS-95, cdma2000, and W-CDMA standards.
- the spreading sequence may be a pseudo-random noise (PN) sequence (e.g., for IS-95 and cdma2000) or a scrambling sequence (e.g., for W-CDMA).
- PN pseudo-random noise
- W-CDMA W-CDMA
- a DS-CDMA system is more susceptible to frequency selective fading (i.e., different amounts of attenuation across the system bandwidth).
- frequency selective fading i.e., different amounts of attenuation across the system bandwidth.
- time dispersion in the channel introduces inter-symbol interference (ISI), which can degrade system performance.
- ISI inter-symbol interference
- aspects of the invention provide techniques for implementing a multiple-access hybrid OFDM-CDMA system that may be used to provide wireless voice and/or data communications.
- the hybrid OFDM-CDMA system combines the benefits of OFDM with those of CDMA to provide numerous advantages.
- the data spreading at a transmitter unit is performed in the frequency domain instead of the time domain. This may be achieved by spreading each data stream (e.g., for a particular user) with a respective spreading code (selected from a set of available spreading codes) prior to an inverse fast Fourier transform operation to derive OFDM symbols.
- the frequency domain spreading may be used to combat frequency selective fading and to mitigate inter-symbol interference (ISI) at a receiver unit.
- ISI inter-symbol interference
- the available system resources may be allocated and de-allocated to users (e.g., as necessary and if available). For example, spreading codes may be assigned to users as needed, transmit power may be allocated to users, and so on.
- Various techniques are provided to support variable rate data for each user via a combination of spreading adjustment and transmit power scaling.
- Various interference control techniques are provided to improve system performance.
- power control may be implemented for the downlink also know as the (forward link) and/or uplink also known as the (reverse link) to achieve the desired level of performance while minimizing the amount of interference to other transmissions.
- a pilot may also be transmitted by each transmitter unit to assist the receiver units perform a number of functions such as acquisition, timing synchronization, carrier recovery, handoff, channel estimation, coherent data demodulation, and so on.
- the invention further provides methods, receiver units, transmitter units, terminals, base stations, systems, and other apparatus and elements that implement various aspects, embodiments, and features of the invention, as described in further detail below.
- FIG. 1 is a diagram of a multiple-access OFDM-CDMA system capable of implementing various aspects and embodiments of the invention
- FIG. 2 is a simplified block diagram of an embodiment of a base station and two terminals
- FIG. 3 is a block diagram of an embodiment of a modulator that may be used for the downlink
- FIG. 4 is a block diagram of an embodiment of a demodulator that may be used for the downlink
- FIG. 5 is a block diagram of an embodiment of a modulator that may be used for the uplink
- FIG. 6 is a block diagram of an embodiment of a demodulator that may be used for the uplink
- FIG. 7 is a diagram of a power control mechanism that may be used to control the transmit power of a downlink or uplink transmission.
- FIG. 8 is a block diagram of a specific embodiment of a portion of the downlink and uplink power control mechanisms implemented at a terminal.
- FIG. 1 is a diagram of a multiple-access OFDM-CDMA system 100 that supports a number of users and is capable of implementing various aspects and embodiments of the invention.
- System 100 provides communication for a number of coverage areas 102 a through 102 g , each of which is serviced by a corresponding base station 104 (which may also be referred to as an access point, a node B, or some other terminology).
- the base station and/or its coverage area are also often referred to as a cell.
- a cell may also be partitioned into multiple (e.g., three) sectors, each of which may be associated with a respective (directional) beam pattern for the downlink. All sectors of the same cell are typically serviced by a single base station.
- a “serving” cell/sector is one in active communication with the terminal.
- each terminal 106 is dispersed throughout the system, and each terminal may be fixed (i.e., stationary) or mobile.
- Each terminal may communicate with one or possibly more cells/sectors on the downlink and/or uplink at any given moment depending on whether or not it is active, whether or not it is in “soft handoff” or “softer handoff”, and so on.
- Soft handoff refers to concurrent communication with two or more cells to increase reliability
- softer handoff refers to concurrent communication with two or more sectors of the same cell to increase reliability.
- the downlink refers to transmission from the base station to the terminal
- the uplink refers to transmission from the terminal to the base station.
- base station 104 a communicates with terminal 106 a
- base station 104 b communicates with terminals 106 b
- base station 104 c communicates with terminals 106 e, 106 f, and 106 g, and so on.
- Terminal 106 g is in soft handoff with base stations 104 c and 104 d
- terminal 106 i is in soft handoff with base stations 104 b, 104 d, and 104 e
- terminal 106 i is in soft handoff with base stations 104 f and 104 g.
- System 100 may also be designed to implement any number of standards and designs for CDMA, TDMA, FDMA, and other multiple access schemes.
- the CDMA standards include the IS-95, cdma2000, IS-856, W-CDMA, and TS-CDMA standards
- the TDMA standards include the Global System for Mobile Communications (GSM) standard. These standards are known in the art and incorporated herein by reference.
- GSM Global System for Mobile Communications
- FIG. 2 is a simplified block diagram of an embodiment of base station 104 and two terminals 106 , which are capable of implementing various aspects and embodiments of the invention. Each terminal 106 may concurrently communicate with multiple base stations 104 when in soft handoff (not shown in FIG. 2 for simplicity).
- TX transmit
- a transmit (TX) data processor 210 which formats, possibly interleaves, and encodes the traffics based on one or more coding schemes to provide coded data.
- Each coding scheme may include any combination of cyclic redundancy check (CRC), convolutional coding, Turbo coding, block coding, and other coding, or no coding at all.
- CRC cyclic redundancy check
- Turbo coding Turbo coding
- block coding block coding
- other coding or no coding at all.
- different types of traffic are coded using different coding schemes.
- the user data may be partitioned into frames (or packets).
- the data For each frame, the data may be used to generate a set of CRC bits, which are appended to the data, and the data and CRC bits may then be interleaved and coded with a convolutional code or a Turbo code to generate the coded data for the frame.
- the coded data is then provided to a modulator (MOD) 220 and further processed to generate modulated data.
- the processing by modulator 220 includes (1) spreading the coded data for each user with a respective set of one or more spreading codes, (2) transforming the spread data, (3) scaling the transformed data for each user with a respective gain, (4) combining the scaled data for all users and other data for other channels (e.g., pilot, sync, and paging channels), and (5) covering the combined data with a cover code.
- the processing by modulator 220 is described in further detail below.
- the modulated data is then provided to one or more transmitters (TMTR) 222 , one transmitter for each antenna used to transmit the data.
- Each transmitter 222 converts the received data into one or more analog signals and further conditions (e.g., amplifies, filters, and quadrature modulates) the analog signals to generate a respective downlink modulated signal suitable for transmission over a wireless link.
- Each downlink modulated signal is then transmitted via a respective antenna 224 to the terminals.
- each terminal 106 one or more downlink modulated signals from one or more base stations are received by one or more antennas 252 .
- the received signal from each antenna 252 is provided to a respective receiver (RCVR) 254 , which conditions (e.g., filters, amplifies, and downconverts) the received signal and digitizes the conditioned signal to provide a respective stream of data samples.
- RCVR receiver
- a demodulator (Demod) 260 receives and processes the streams of data samples from all receivers 254 to provide demodulated symbols (i.e., demodulated data).
- the processing by demodulator 260 includes (1) uncovering the received data samples with the cover code associated with the cell/sector being demodulated, (2) transforming the uncovered data samples, (3) despreading the transformed samples, and (4) combining the despread samples derived from multiple receive antennas (if available).
- the processing by demodulator 260 is described in further detail below.
- a receive (RX) data processor 262 then decodes the demodulated symbols to recover the user-specific data transmitted on the downlink.
- the processing by demodulator 260 and RX data processor 262 is complementary to that performed by modulator 220 and TX data processor 210 , respectively, at base station 104 .
- a TX data processor 278 which processes the different types of traffics in accordance with their respective coding schemes to provide coded data.
- the coded data is further processed (e.g., spread) by a modulator 280 to provide modulated data, which is provided to one or more transmitters 254 .
- Each transmitter 254 conditions the modulated data to generate a respective uplink modulated signal, which is then transmitted via an associated antenna 252 to the base stations.
- the uplink modulated signals from one or more terminals are received by antennas 224 .
- the received signal from each antenna 224 is provided to a receiver 222 , which conditions and digitizes the received signal to provide a respective stream of data samples.
- the data samples are then processed (e.g., despread) by a demodulator 240 and decoded (if necessary) by an RX data processor 242 to recover the data transmitted by the terminals.
- Controllers 230 and 270 direct the operation at the base station and the terminal, respectively.
- FIG. 3 is a block diagram of an embodiment of a modulator 220 a that may be used for the downlink, and is one embodiment of modulator 220 in FIG. 2.
- Modulator 220 a receives from TX data processor 210 one or more data streams for one or more users. Each user data stream, d u (k), is provided by to a respective frequency-domain spreader 310 .
- the user data comprises a stream of coded bits. Each coded bit may have a binary value of either zero (“0”) or one (“1”), which may then be mapped to a value of ⁇ 1 or +1, respectively, for the spreading.
- the user data comprises a stream of modulation symbols.
- a symbol mapping element receives the coded data for the user, groups each set of N B coded bits to form a non-binary symbol, and then maps each non-binary symbol to a point in a signal constellation corresponding to a particular modulation scheme (e.g., QPSK, M-PSK, M-QAM, or some other scheme) selected for the user. Each mapped signal point corresponds to a modulation symbol, and the symbol mapping element would provide a stream of modulation symbols.
- the user data thus comprises a stream of data symbols, where each data symbol may be a coded bit or a modulation symbol.
- Each frequency-domain spreader 310 also receives a set of one or more spreading codes for the received data stream.
- the spreading code for user u is a sequence of M symbols and may be represented as:
- each symbol c u (m) of the spreading code may be a real or a complex value.
- the spreading code length M represents the spreading ratio for the user data.
- the spreading codes may be orthogonal codes (e.g., the Walsh codes used in IS-95 and cdma2000) or the orthogonal variable spreading factor (OVSF) codes used in W-CDMA.
- the spreading codes may also be codes with pseudo-orthogonal properties (e.g., the QOF codes in cdma2000), pseudo-random noise (PN) sequences at different chip offsets, or non-orthogonal codes.
- the spreading codes used for the downlink are Walsh codes of length M, and each chip of a Walsh sequence corresponds to one symbol of the spreading code.
- each frequency-domain spreader 310 the user data is provided to a set of M (complex) multipliers 312 a through 312 m. Each multiplier 312 also receives a respective symbol c u (m) of the spreading code c u assigned to user u. At each time interval k, a data symbol for user u, d u (k), is provided to all M multipliers 312 . Each multiplier 312 multiplies the received data symbol, d u (k), with the spreading code symbol, c u (m), and provides a respective spread symbol to an inverse fast Fourier transformer (IFFT) 320 .
- IFFT inverse fast Fourier transformer
- IFFT 320 For each time interval k, IFFT 320 receives M spread symbols from all M multipliers 312 , performs an inverse fast Fourier transform on the received symbols, and provides a sequence of N IFFT transformed samples, x u (n, k), that collectively comprise an OFDM symbol for the data symbol, d u (k).
- N IFFT is the dimension of the IFFT and also represents the number of sub-bands (or frequency bins or sub-channels) for the OFDM scheme.
- Other transformations may also be used and are within the scope of the invention. For example, wavelet or some other ortho-normal functions may be used for other OFDM-like schemes.
- OFDM is described in further detail in a paper entitled “Multicarrier Modulation for Data Transmission : An Idea Whose Time Has Come,” by John A. C. Bingham, IEEE Communications Magazine, May 1990, which is incorporated herein by reference.
- the length of the spreading code c u is selected to be equal to or less than the dimension of the IFFT (i.e., M ⁇ N IFFT ).
- the (N IFFT ⁇ M )“left-over” sub-bands may be used for other functions such as, for example, guard-band tones, pilot, overhead channel(s), power control, signaling, and so on.
- the OFDM symbols, x u (n,k), from IFFT 320 are provided to a cyclic prefix insertion unit 322 , which appended a cyclic prefix to each OFDM symbol to form a corresponding transmission symbol, s u (n, k).
- the cyclic prefix insertion may be performed by duplicating the first L transformed samples of the OFDM symbol and appending these samples at the end of the OFDM symbol.
- the cyclic prefix may be used to preserve orthogonality among the N IFFT sub-channels in the presence of time dispersion in the communication channel.
- the duration of the cyclic prefix, L is selected to be greater than or equal to the maximum delay spread of the communication channel.
- the transmission symbols, s u (n, k), for each user are then provided to a respective multiplier 330 , which also receives a gain variable, g u (k), associated with the user.
- (k) is a gain variable used to adjust the downlink transmit power for user u at time interval k, and is used for downlink power control; and g u rate ⁇ ( k )
- (k) is a gain variable used to control the downlink transmit power for user u at time k, and is used to account for variable rate data.
- (k) may be used to accommodate the variable nature of a data source (e.g., a vocoder) for the user data.
- the rate control gain is typically proportional to the ratio of the data rate, r u (k), at time interval k to the maximum data rate, r max associated with a particular code channel (i.e., ( i . e . , g u rate ⁇ ( k ) ⁇ r u ⁇ ( k ) / r max ) .
- the rate control gain variable may thus be used to perform the power scaling function for variable rate data, as described below.
- the gain variable, g u (k) may also incorporate other gain variables used for other functions, and this is within the scope of the invention.
- Each multiplier 330 scales the received transmission symbols, s u (n, k), with the gain variable, g u (k), and provides scaled transmission symbols to a summer 332 .
- summer 332 receives and combines the scaled transmission symbols from all enabled multipliers 330 and other data for other overhead channels (e.g., pilot, broadcast, paging, sync, and power control channels) to provide combined data.
- the scaled pilot is provided by a multiplier 330 p and combined with the other data by summer 332 .
- a multiplier 334 then receives and multiplies the combined data with a cover code, p j (n), to provide modulated data, y(n,k).
- Multiplier 334 effectively covers the combined data with the cover code assigned to the cell/sector.
- the cover code, p j (n) is unique to the j-th cell or sector serviced by the base station, and allows the terminals to identify the individual cells/sectors.
- the cover code may be a PN sequence (e.g., the short PN sequences of length 32,768 used in IS-95 and cdma2000), a scrambling sequence (e.g., the scrambling codes used in W-CDMA), or some other sequences.
- a good cover code is to render the signals despread from another base station white (i.e., low correlation).
- a pilot is transmitted along with the user data and other overhead data.
- the pilot is typically generated based on a known data pattern (e.g., a sequence of all zeros) and processed in a known manner. This then allows the terminals to more easily recover the transmitted pilot.
- the recovered pilot may then be used at the terminals for various functions such as acquisition, timing synchronization, carrier recovery, handoff, channel estimation, coherent data demodulation, and so on.
- Various schemes may be used to transmit the pilot and are described in further detail below.
- FIG. 4 is a block diagram of an embodiment of a demodulator 260 a that may be used for the downlink and is one embodiment of demodulator 260 in FIG. 2.
- each terminal in the system may be equipped with one or multiple receive antennas, and each antenna provides a respective received signal that is conditioned and digitized by an associated receiver 254 to provide a respective stream of (complex) data samples.
- a frequency control loop is used to acquire and track the carrier frequency of each received signal.
- the frequency acquisition and tracking may be performed in the analog domain by adjusting the frequency of a local oscillator (LO) signal used to downconvert the received signal from radio frequency (RF) to baseband.
- the frequency acquisition and tracking may be performed in the digital domain by adjusting the frequency of a locally generated sinusoidal signal used to digitally rotate (and thus frequency translate) the data samples.
- the frequency translation in the digital domain may be performed by a digital rotator (i.e., a complex multiplier).
- the frequency control loop attempts to remove frequency error in the downconversion of the received signal from RF to baseband, including any frequency offset due to Doppler frequency shift resulting from movement by a mobile terminal.
- the complex data samples provided by receivers 254 are assumed to have a mean Doppler frequency error of 0 Hz.
- a time control loop is used to acquire and track the timing of each received signal so that data samples are provided with the proper chip timing.
- Time acquisition and tracking may be performed by adjusting the phase of a clock signal used to digitize the received signal.
- the time acquisition and tracking may be performed by resampling the received data samples.
- the complex data samples provided by receivers 254 are assumed have the proper chip timing.
- the frequency and time control loops may be implemented in various manners, as is known in the art and not described herein.
- the receivers may further derive OFDM symbol timing (e.g., based on the recovered pilot or some other mechanism) and provide the necessary timing signals to demodulator 260 a.
- a stream of data samples from each receive antenna is provided to a respective frequency-domain despreader 410 .
- a multiplier 412 uncovers (i.e., multiplies) the received data samples with the (complex-conjugate) cover code, p j *(n), associated with the cell/sector being demodulated.
- the uncovered data samples are then provided to a buffer 414 .
- buffer 414 receives M+L uncovered samples corresponding to a transmission symbol and provides M samples corresponding to a complete OFDM symbol.
- a fast Fourier transformer (FFT) 420 receives the M uncovered samples from buffer 414 , performs an N FFT -point fast Fourier transform on the received samples, and provides N FFT transformed samples.
- M N FFT .
- the time control loop provides the necessary OFDM symbol timing for the processing at the receiver unit. Synchronization for the OFDM symbols may be derived, for example, based on the pilot. The symbol timing provided by the time control loop may be used to select the samples for each FFT window. If a cyclic prefix is used, the L additional samples allow for some flexibility in the alignment the FFT window within the OFDM symbol duration.
- the transformed samples from FFT 420 are provided to a set of M (complex) multipliers 422 a through 422 m.
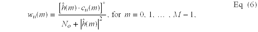
- Each multiplier 422 also receives a respective coefficient, w u (m), in a sequence of despreading coefficients derived for the receive antenna for user u.
- the despreading coefficient for each sub-band may be expressed as:
- ⁇ (m) is an estimate of the complex channel gain for the m-th sub-band.
- the channel response, h(m) may be estimated based on the pilot or the demodulated data, or based on some other techniques.
- the despreading coefficients shown in equation (4) represent one possible detection strategy. Other detection strategies that may provide improved performance for a frequency selective fading channel may also be used.
- loss of orthogonality occurs at the receiver unit whenever the channel is frequency selective (i.e., different amounts of attenuation for different sub-bands).
- the spreading codes are subjected to variable attenuation across different symbols of the codes (e.g., different attenuation for different chips of the Walsh sequences). This then destroys the relative orthogonality among the spreading codes and results in residual interference after the despreading/correlation operation at the receiver unit.
- the receiver unit may attempt to restore orthogonality among the spreading codes by “inverting” the channel prior to the despreading.
- the channel inversion is performed per sub-band and typically precedes the despreading, which includes integration to reduce the bandwidth.
- the channel inversion operation (which is also referred to as a zero forcing operation) requires knowledge of the channel response, h(m), or its estimate, ⁇ (m).
- the performance of a demodulator based on the despreading coefficients shown in equation (5) may be poor for some operating scenarios. For example, in the sub-bands where the signal-to-noise-plus-interference ratio (SNR) is low, the weights ⁇ (m)/
- SNR signal-to-noise-plus-interference ratio
- MMSE minimum mean square error
- N 0 is the thermal noise power
- Each multiplier 422 multiplies the received transformed samples with the received despreading coefficient to provide a despread sample.
- a summer 424 receives and sums the despread samples from all M multipliers 422 to provide a recovered symbol, y u (k).
- the data sample stream for each antenna may be processed as described above to provide a respective stream of recovered symbols for that diversity branch. If multiple serving cells/sectors are transmitting to the terminal (e.g., for soft/softer handoff), then the received data samples are initially uncovered with the cover codes associated with these cells/sectors. The set of despreading coefficients for each diversity branch is also derived based on the channel response estimated for the user and for that diversity branch. The streams of recovered symbols from all available diversity branches are then provided to a summer 426 .
- summer 426 For each time interval k, summer 426 (soft) combines the recovered symbols from all diversity branches to provide a corresponding demodulated symbol, z u (k).
- the demodulated symbols i.e., the demodulated data
- RX data processor 262 For each time interval k, summer 426 (soft) combines the recovered symbols from all diversity branches to provide a corresponding demodulated symbol, z u (k).
- the demodulated symbols i.e., the demodulated data for user u are then provided to RX data processor 262 .
- a cyclic prefix For an OFDM-CDMA system, it is not a requirement to use a cyclic prefix. When a cyclic prefix is used, the delay spread in the received signal is accounted for by the repeated portion of the OFDM symbol, and a rake receiver implementation is not required at the receiver unit. This may simplify the receiver design. However, when a cyclic prefix is not used, a (frequency-domain) rake receiver may be used to perform the despreading/correlation operation at the delays corresponding to the impulse response of the communication channel.
- a number of (M) received data samples corresponding to the OFDM symbol duration and a number of (L) received data samples corresponding to the maximum expected delay spread for the communication channel may be stored for each OFDM symbol.
- M samples may then be retrieved from among the M+L stored samples and processed as described above.
- the specific samples to be retrieved are determined by the timing associated with the received signal (i.e., the arrival time of the transmitted signal at the receiver unit).
- FIG. 5 is a block diagram of an embodiment of a modulator 280 a that may be used for the uplink, and is one embodiment of modulator 280 in FIG. 2.
- Modulator 280 a receives from TX data processor 278 user data to be transmitted to one or more serving cells/sectors. This user data comprises a stream of data symbols, each of which may be a coded bit or a modulation symbol, as described above.
- the user data stream is provided to a frequency-domain spreader 510 , which also receives a spreading code associated with the user.
- the uplink spreading code for user u comprises a sequence of M samples and may be represented as:
- the spreading code used for the uplink for user u is unique to that user but is not necessarily orthogonal to the spreading codes used by the other users. In particular, as long as the spreading codes are uncorrelated with each other, then processing gain may be obtained relative to the other users and high performance may be realized.
- the uplink spreading codes may be different than the ones used for the downlink.
- the spreading codes used for the uplink are also Walsh codes of length M.
- the uplink spreading codes are mutually orthogonal
- multipath and/or different propagation delays destroy the orthogonality property of the received signals at the receiver unit (i.e., the base station for the uplink).
- One technique for maintaining orthogonality in the presence of multipath is to assign different sub-bands to different users. When the user data is transmitted over only a fraction of the total uplink bandwidth, the full processing gain is not realized on a per OFDM symbol basis and the frequency diversity of a wideband system is not fully realized.
- upper case notations are used for the uplink and correspond to the lower case notations used for the downlink (e.g., C u and c u respectively represent the uplink and downlink spreading codes).
- the user data is provided to a set of M (complex) multipliers 512 a through 512 m.
- Each multiplier 512 also receives a respective symbol C u (m) of the spreading code assigned to user u.
- each multiplier 512 multiplies the received data symbol, D u (k), with the spreading code symbol, C u (m), and provides a respective spread symbol to an IFFT 520 .
- IFFT 520 For each time interval k, IFFT 520 receives M spread symbols from all M multipliers 512 , performs an inverse fast Fourier transform on the received symbols, and provides a sequence of N IFFT transformed samples, X u (n,k), that collectively comprise an OFDM symbol for the data symbol, D u (k).
- the OFDM symbols, X u (n,k), from IFFT 520 are then provided to a cyclic prefix insertion unit 522 , which appends a cyclic prefix to each OFDM symbol to form a corresponding transmission symbol, S u (n,k).
- the transmission symbols are then scaled by a gain variable, G u (k), by a multiplier 530 a.
- the gain variable, G u (k) is representative of the total uplink gain for the user, and includes the power control gain, G u PC (k), the rate control gain, G u rate (k), and so on.
- a summer 532 receives and combines the scaled transmission symbols from multiplier 530 a and other data for other overhead (e.g., pilot) channels to provide the modulated data, Y(n,k).
- the uplink pilot for user u is scaled by a pilot gain variable, G pu (k), by a multiplier 530 p and combined with the scaled transmission symbols.
- the combined data from summer 532 may also be covered with a cover code that may be unique to the user or may be common to all users.
- FIG. 6 is a block diagram of an embodiment of a demodulator 240 a that may be used for the uplink and is one embodiment of demodulator 240 in FIG. 2.
- a number of antennas 224 may be used to receive the uplink modulated signals from one or more terminals, and each antenna provides a respective received signal to an associated receiver 222 .
- Each receiver 222 conditions and digitizes the received signal to provide a respective stream of complex data samples, R l (k).
- each received data sample stream is provided to a respective frequency-domain despreader 610 .
- a buffer 614 receives M+L samples for each time interval k (if cyclic prefix is used), and provides M samples corresponding to a complete OFDM symbol.
- An FFT 620 receives the M samples from buffer 614 , performs an N FFT -point fast Fourier transform on the received samples, and provides N FFT transformed samples.
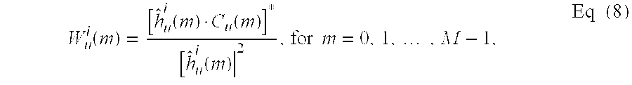
- the transformed samples from FFT 620 are provided to a set of M (complex) multipliers 622 a through 622 m. Each multiplier 622 also receives a respective coefficient, W u i ⁇ ( m ) ,
- the despreading coefficients are a function of the user's spreading code, C u (m), and the channel response estimates, h ⁇ u i ⁇ ( m ) ,
- Each multiplier 622 multiplies the received transformed sample with the received despreading coefficient to provide a scaled sample.
- summer 624 receives and sums the scaled samples from all M multipliers 622 to provide a recovered symbol, Y u i ⁇ ( k ) ,
- (k) from all diversity branches for user u are provided to a summer 626 .
- summer 626 For each time interval k, summer 626 combines all recovered symbols for user u to provide a demodulated symbol, Z u (k), which is then provided to RX data processor 242 .
- the diversity combining may be performed, for example, for a terminal in softer handoff with multiple sectors of the same cell, since these sectors are typically serviced by a single base station.
- a power control mechanism may be implemented for each of the downlink and uplink to reduce interference and improve system throughput.
- the power control mechanisms for the downlink and uplink may be implemented in various manners, and different mechanisms may also be used for the downlink and uplink.
- a specific power control mechanism is described below, but other mechanisms may also be used and are within the scope of the invention.
- FIG. 7 is a diagram of a power control mechanism 700 that includes an inner loop power control 710 operating in conjunction with an outer loop power control 720 . As shown in FIG. 7, inner loop 710 operates between the transmitter and receiver units, and outer loop 720 operates at the receiver unit.
- Inner loop 710 is a (relatively) fast loop that attempts to maintain the signal quality of a transmission, as received at the receiver unit, as close as possible to a target SNR, which is often referred to as the SNR setpoint (or simply, the setpoint).
- One inner loop may be maintained for each data stream to be independently power controlled.
- the inner loop power adjustment for a particular data stream is typically achieved by (1) estimating the signal quality of the data stream as received at the receiver unit (block 712 ), (2) comparing the received signal quality estimate against the setpoint (block 714 ), and (3) sending power control information back to the transmitter unit.
- the received signal quality may be estimated based on the data stream to be power controlled, a pilot associated with the data stream, or some other transmission having an established relationship with the data stream to be power controlled.
- the power control information is in the form of an “UP” command to request an increase in the transmit power or a “DOWN” command to request a decrease in the transmit power.
- Each UP and DOWN command may correspond to a change in transmit power of, e.g., +0.5 dB and ⁇ 0.5 dB, respectively.
- the transmitter unit may adjust the transmit power for the data stream accordingly (block 716 ) each time it receives a power control command.
- a power control command may be sent for each OFDM symbol or each frame, or for some other unit of time.
- Inner loop 710 attempts to maintain the received signal quality at or near the setpoint in the presence of changes in the communication channel.
- Outer loop 720 is a (relatively) slower loop that continually adjusts the setpoint such that a particular level of performance is achieved for the data stream being power controlled.
- the desired level of performance is typically a particular target frame error rate (FER), packet error rate (PER), or some other performance criteria. For example, a 1% target FER may be used for the data stream.
- the outer loop setpoint adjustment for a particular data stream is typically achieved by (1) receiving, demodulating, and decoding the data stream to recover the transmitted data (block 722 ), (2) determining the status of each received frame as being decoded correctly (good) or in error (erased) (also in block 722 ), and (3) adjusting the setpoint (block 724 ) based on the frame status (and possibly along with some other information indicative of the “goodness” of, or the confidence in, the decoded data). If a frame is decoded correctly, then the received signal quality is likely to be higher than necessary and the setpoint may be reduced slightly, which then causes inner loop 710 to reduce the transmit power for the data stream. Alternatively, if a frame is decoded in error, then the received signal quality is likely to be lower than necessary and the setpoint may be increased, which then causes inner loop 710 to increase the transmit power for the data stream.
- the target FER may be achieved by properly selecting the amount of upward adjustment in the setpoint for a bad frame, the amount of downward adjustment for a good frame, the required elapsed time between successive increases in the setpoint, and so on.
- the target FER i.e., the long-term FER
- ⁇ U is the amount of increase in the setpoint for an erased frame
- ⁇ D is the amount of decrease in the setpoint for a good frame.
- the absolute sizes for ⁇ U and ⁇ D also determine the responsiveness of the power control mechanism to sudden changes in the communication channel.
- FIG. 8 is a block diagram of a specific embodiment of a portion of the downlink and uplink power control mechanisms implemented at a terminal.
- downlink and uplink power control loops 810 and 820 are used for downlink and uplink power control, respectively, for the terminal.
- Power control loops 810 and 820 may be implemented within controller 270 b, as shown in FIG. 8, or by some other units.
- downlink power control loop 810 provides to a multiplexer 814 within TX data processor 278 b DL PC commands used to control the transmit power of a downlink transmission to the terminal.
- Multiplexer 814 also receives uplink coded data from an encoder/interleaver 812 , multiplexes the DL PC commands with the coded data, and provides the multiplexed coded data and DL PC commands to spreader 510 within modulator 280 b.
- the DL PC commands may be multiplexed with the coded data using various schemes such as, for example, by replacing some of the coded bits in accordance with a particular (e.g., pseudo-random) puncturing scheme.
- Spreader 510 processes (e.g., spreads) the coded data and DL PC commands and provides modulated data.
- Multiplier 530 a then scales the modulated data with the user's gain variable, G u (k). This gain variable, G u (k), controls the uplink transmit power and is adjusted by uplink power control loop 820 .
- the scaled data is further processed by transmitter 254 to generate an uplink modulated signal, which is then transmitted to the serving cell/sector(s) with which the terminal is communicating.
- the uplink modulated signal from the terminal is processed to recover the DL PC commands, which are then used to adjust the downlink transmit power to the terminal.
- the downlink modulated signal(s) from the serving cell/sector(s) are received and processed (e.g., conditioned and digitized) by receiver 254 , further processed (e.g., despread) by demodulator 260 b, and decoded by RX data processor 262 b.
- Demodulator 260 b further estimates the SNR of the received demodulated data (or pilot) and provides the SNR estimates to downlink power control loop 810 , which also receives from RX data processor 262 b the status of each received frame.
- Downlink power control loop 810 may then adjust the downlink setpoint based on the target FER and the received frame status, and further provides DL PC commands based on the setpoint and the SNR estimates.
- the SNR may be estimated at the receiver unit based on various techniques. Some of these techniques are described in U.S. Pat. No. 5,799,005, entitled “System and Method for Determining Received Pilot Power and Path Loss in a CDMA Communication System,” issued Aug. 25, 1998, and U.S. Pat. No. 5,903,554, entitled “Method and Apparatus for Measuring Link Quality in a Spread Spectrum Communication System,” issued May 11, 1999, both of which are incorporated herein by reference.
- uplink power control For uplink power control (UL PC), the UL PC commands transmitted by the serving cell/sector(s) are received, recovered, and demultiplexed by demodulator 260 b, which then provides the commands to uplink power control loop 820 . Loop 820 then determines an appropriate delta power value (e.g., +0.5 dB, ⁇ 0.5 dB, zero, or some other value) corresponding to each received UL PC command, accumulates the delta power value with the current transmit power value, and provides the gain value, G u (k), corresponding to the updated transmit power value.
- an appropriate delta power value e.g., +0.5 dB, ⁇ 0.5 dB, zero, or some other value
- the power control for the downlink and uplink may each be implemented using the power control techniques described in the aforementioned U.S. Pat. Nos. 5,799,005 and 5,903,554, U.S. Pat. Nos. 5,056,109, and 5,265,119, both entitled “Method and Apparatus for Controlling Transmission Power in a CDMA Cellular Mobile Telephone System,” respectively issued Oct. 8, 1991 and Nov. 23, 1993, and U.S. Pat. No. 6,097,972, entitled “Method and Apparatus for Processing Power Control Signals in CDMA Mobile Telephone System,” issued Aug. 1, 2000, all of which are incorporated herein by reference.
- Variable rate data may be supported on the downlink and/or uplink via power scaling and spreading adjustment. If a spreading factor of SF is used for a data rate of r 1 , then lower data rates may be accommodated by power scaling the data such that the transmit power per frame is proportional to the data rate.
- data rates of 1.2, 2.4, 4.8, and 9.6 Kbps (which may be produced by a vocoder) may be supported by (1) repeat coding by a factor of two a 4.8 Kbps data rate frame and allocating half of the transmit power used for a 9.6 Kbps data rate frame, (2) repeat coding by a factor of four a 2.4 Kbps data rate frame and allocating a quarter of the transmit power used for a 9.6 Kbps data rate frame, and (3) repeat coding by a factor of eight a 1.2 Kbps data rate frame and allocating an eighth of the transmit power used for a 9.6 Kbps data rate frame.
- Higher data rates may also be supported by reducing the spreading gain and scaling up the transmit power.
- multiple spreading codes are allocated for higher data rates. Since the data is spread over all selected sub-bands by each spreading code, the full diversity afforded by the wideband channel is retained by the use of multiple spreading codes for higher data rates.
- different fractional portions of the system bandwidth are allocated to different data symbols. For example, if one data symbol is transmitted over all M sub-bands for a data rate of 9.6 Kbps, then two data symbols may be transmitted over M sub-bands for a data rate of 19.2 Kbps by spreading each data symbol with a spreading code of half the length (M/2) and transmitting each spread data symbol over M/2 sub-bands.
- Each OFDM symbol would then include two data symbols, each having a length of M/2.
- the sub-bands may be allocated to the data symbols such that they are interleaved (e.g., odd-numbered sub-bands may be allocated to one data symbol and even-numbered sub-bands may be allocated to the other data symbol) or based on some other sub-band assignment scheme.
- the highest data rate may be supported by allocating all available spreading codes to the user data.
- the spreading may be reduced proportionately to accommodate the higher rate data.
- the spreading effectively disappears (i.e., is not used) and the resultant modulated output resembles the conventional OFDM scheme.
- the techniques described herein allow data to be modulated using a hybrid OFDM-CDMA scheme at lower data rates (i.e., less than 1 bps/Hz) or a pure OFDM scheme at higher data rates (i.e., 1 bps/Hz and beyond).
- the pilot is not spread but may be distributed in a subset of sub-bands, as described below.
- Soft and softer handoff may be supported by the system.
- a terminal On the downlink, a terminal may receive the pilots from a number of cells/sectors. If it is determined that the strength of the pilots from two or more cells/sectors is adequate to support soft/softer handoff operation, then the terminal may report to the current serving cell/sector(s) the new cell/sector(s) to add to the soft/softer handoff list. The newly added cell/sector(s) would then begin transmitting the same user data as the current serving cell/sector(s). The terminal would then receive the downlink modulated signals from all serving cell/sectors, demodulate each received signal, and combine the separate downlink transmissions. Soft combining may be used whereby the demodulated symbols from each serving cell/sector may be weighted by the received signal strength for the cell/sector prior to being combined with the weighted demodulated symbols from the other serving cell/sector(s).
- the uplink modulated signal from a particular terminal may be received by multiple serving cells/sectors.
- Each serving cell/sector processes the uplink modulated signal and provides decoded data (or possibly demodulated data) to a central entity (e.g., a base station controller) responsible for frame selection and uplink power control.
- a central entity e.g., a base station controller
- the demodulated data from the sectors may be (soft) combined prior decoding, which may provide improved performance for softer handoff.
- each sector may provide a decoded data frame for each frame interval to the central entity, which then selects the best frame as the decoded result.
- each serving sector may provide demodulated data to the central entity, which may then (soft) combine the demodulated data and perform the decoding.
- the UL power control commands received at the terminal from multiple cells/sectors for each power control interval may be combined and used to adjust the uplink transmit power.
- An “OR-of-the-DOWNs” rule may be used whereby the terminal reduces its transmit power if any one of the UL power control commands requests a reduction in the transmit power.
- the DL power control commands sent by the terminal are received at the serving cells/sectors, and each cell/sector adjust the downlink transmit power accordingly based on the received commands.
- the DL power control commands received by each serving cell/sector may also be provided to the central entity, which may (soft) combine these commands to provide improved estimates of the transmitted commands.
- the combined commands may then be sent to all serving cell/sector(s), each of which may then adjust the downlink transmit power to the terminal.
- Mechanisms and control features may be used to support soft/softer handoff.
- mechanisms and control features may be provided to guide terminals in and out of handoff, including thresholds to add and drop cell/sector(s) from soft/softer handoff, timers to add/drop cell/sector(s), hysteresis to prevent a cell/sector from being alternately added and dropped due to fluctuating channel conditions, and so on.
- Soft handoff is described in further detail in U.S. Pat. No. 5,101,501 entitled “Method and System for Providing a Soft Handoff in Communications in a CDMA Cellular Telephone System,” issued Mar. 31, 1992, and U.S. Pat. No. 5,267,261, entitled “Mobile Station Assisted Soft Handoff in a CDMA Cellular Communications System,” issued Nov. 30, 1993, both of which are incorporated herein by reference.
- a pilot may be transmitted from a transmitter unit and used at the receiver units for various functions.
- Various pilot transmission schemes may be implemented and are within the scope of the invention.
- pilot data is spread (e.g., in the frequency domain) with a known spreading code (e.g., Walsh code 0) and scaled with a particular gain.
- the spread pilot data may further be covered with a cover code (as shown in FIG. 3) or not covered at all (as shown in FIG. 5). If a unique cover code is used by each transmitter unit (e.g., each cell/sector), then the receiver units (e.g., the terminals) may be able to discriminate and distinguish the different transmitters of the pilots by their unique cover codes.
- the cover codes for the transmitter units may be PN sequences generated based on a particular set of one or more polynomials but having different offsets, similar to the PN sequences used in IS-95 and cdma2000.
- the length of the cover codes may be selected based on some defined relationship to the duration of a transmission symbol (if cyclic prefix is used) or the duration of an OFDM symbol (if cyclic prefix is not used).
- the cover code length may be selected to be a multiple integer of the transmission symbol duration (if cyclic prefix is used) or a multiple integer of the OFDM symbol duration (if cyclic prefix is not used).
- a subset of the available sub-bands is reserved and used to transmit pilot tones (i.e., no user data).
- the subset of sub-bands may be changed (i.e., hopped) in a deterministic manner or a pseudo-random manner to allow the entire channel response to be sampled over multiple OFDM symbols.
- the relationship between the sub-bands allocated for the pilot and the hopping pattern may be the same for all transmitter units (e.g., all cells/sectors).
- each transmitter unit e.g., each sector or cell
- pilot data may be time division multiplexed (TDM) with user and overhead data to implement a TDM pilot structure.
- the pilot may be time division multiplexed at fixed intervals with the other data (e.g., one pilot symbol for each Np data symbols), or may be multiplexed in a non-uniform manner (e.g., inserted at pseudo-randomly selected time intervals.
- the TDM pilot structure may also be implemented similar to that described in the IS-856 or W-CDMA standard.
- a pilot may be transmitted such that the receiver units are able to estimate the channel response for each sub-band used for data transmission.
- modulation, demodulation, multiple-access, rate control, power control, soft/softer handoff, and other techniques described herein may be implemented by various means. For example, these techniques may be implemented in hardware, software, or a combination thereof.
- the elements used to implement any one or a combination of the techniques may be implemented within one or more application specific integrated circuits (ASICs), digital signal processors (DSPs), digital signal processing devices (DSPDs), programmable logic devices (PLDs), field programmable gate arrays (FPGAs), processors, controllers, micro-controllers, microprocessors, other electronic units designed to perform the functions described herein, or a combination thereof.
- ASICs application specific integrated circuits
- DSPs digital signal processors
- DSPDs digital signal processing devices
- PLDs programmable logic devices
- FPGAs field programmable gate arrays
- processors controllers, micro-controllers, microprocessors, other electronic units designed to perform the functions described herein, or a combination thereof.
- any one or a combination of the techniques may be implemented with modules (e.g., procedures, functions, and so on) that perform the functions described herein.
- the software codes may be stored in a memory unit (e.g., memory 232 or 272 in FIG. 2) and executed by a processor (e.g., controller 230 or 270 ).
- the memory unit may be implemented within the processor or external to the processor, in which case it can be communicatively coupled to the processor via various means as it known in the art.
Landscapes
- Engineering & Computer Science (AREA)
- Signal Processing (AREA)
- Computer Networks & Wireless Communication (AREA)
- Mobile Radio Communication Systems (AREA)
Abstract
In one aspect of a multiple-access OFDM-CDMA system, the data spreading is performed in the frequency domain by spreading each data stream with a respective spreading code selected from a set of available spreading codes. To support multiple access, system resources may be allocated and de-allocated to users (e.g., spreading codes may be assigned to users as needed, and transmit power may be allocated to users). Variable rate data for each user may be supported via a combination of spreading adjustment and transmit power scaling. Interference control techniques are also provided to improve system performance via power control of the downlink and/or uplink transmissions to achieve the desired level of performance while minimizing interference. A pilot may be transmitted by each transmitter unit to assist the receiver units perform acquisition, timing synchronization, carrier recovery, handoff, channel estimation, coherent data demodulation, and so on.
Description
- 1. Field
- The present invention relates generally to data communication, and more specifically to a multiple-access hybrid OFDM-CDMA communication system.
- 2. Background
- Wireless communication systems are widely deployed to provide various types of communication such as voice, data, and so on. These systems may be multiple-access systems capable of supporting communication with multiple users (sequentially or simultaneously) by sharing the available system resources (e.g., bandwidth and transmit power). Such systems may be based on code division multiple access (CDMA), time division multiple access (TDMA), frequency division multiple access (FDMA), some other multiple access technique, or a combination thereof. CDMA systems may provide certain advantages over other types of system, including increased system capacity. CDMA systems may also be designed to implement known CDMA standards such as IS-95, cdma2000, IS-856, W-CDMA, and others.
- An orthogonal frequency division modulation (OFDM) system effectively partitions the system bandwidth into a number of (M) sub-bands (or frequency bins or sub-channels). At each time interval that may be dependent on the bandwidth of each sub-band, a modulation symbol may be transmitted on each of the M sub-bands.
- In a direct sequence (DS) CDMA system, a narrowband signal is spread over the entire system bandwidth in the time domain with a spreading sequence. Example DS-CDMA systems include those that conform to IS-95, cdma2000, and W-CDMA standards. The spreading sequence may be a pseudo-random noise (PN) sequence (e.g., for IS-95 and cdma2000) or a scrambling sequence (e.g., for W-CDMA). A DS-CDMA system provides certain advantages such as ease of supporting multiple access, narrowband rejection, and so on.
- As the system bandwidth increases to support higher data rates and/or under certain operating conditions, a DS-CDMA system is more susceptible to frequency selective fading (i.e., different amounts of attenuation across the system bandwidth). For such a frequency-selective channel, time dispersion in the channel introduces inter-symbol interference (ISI), which can degrade system performance.
- There is therefore a need in the art for a multiple-access CDMA-based system capable of mitigating ISI, supporting flexible operation, and providing improved system performance.
- Aspects of the invention provide techniques for implementing a multiple-access hybrid OFDM-CDMA system that may be used to provide wireless voice and/or data communications. The hybrid OFDM-CDMA system combines the benefits of OFDM with those of CDMA to provide numerous advantages.
- In one aspect, the data spreading at a transmitter unit (e.g., a base station or a terminal) is performed in the frequency domain instead of the time domain. This may be achieved by spreading each data stream (e.g., for a particular user) with a respective spreading code (selected from a set of available spreading codes) prior to an inverse fast Fourier transform operation to derive OFDM symbols. The frequency domain spreading may be used to combat frequency selective fading and to mitigate inter-symbol interference (ISI) at a receiver unit.
- To support multiple access, the available system resources may be allocated and de-allocated to users (e.g., as necessary and if available). For example, spreading codes may be assigned to users as needed, transmit power may be allocated to users, and so on. Various techniques are provided to support variable rate data for each user via a combination of spreading adjustment and transmit power scaling.
- Various interference control techniques are provided to improve system performance. For example, power control may be implemented for the downlink also know as the (forward link) and/or uplink also known as the (reverse link) to achieve the desired level of performance while minimizing the amount of interference to other transmissions. A pilot may also be transmitted by each transmitter unit to assist the receiver units perform a number of functions such as acquisition, timing synchronization, carrier recovery, handoff, channel estimation, coherent data demodulation, and so on.
- Various aspects and embodiments of the invention are described in further detail below. The invention further provides methods, receiver units, transmitter units, terminals, base stations, systems, and other apparatus and elements that implement various aspects, embodiments, and features of the invention, as described in further detail below.
- The features, nature, and advantages of the present invention will become more apparent from the detailed description set forth below when taken in conjunction with the drawings in which like reference characters identify correspondingly throughout and wherein:
- FIG. 1 is a diagram of a multiple-access OFDM-CDMA system capable of implementing various aspects and embodiments of the invention;
- FIG. 2 is a simplified block diagram of an embodiment of a base station and two terminals;
- FIG. 3 is a block diagram of an embodiment of a modulator that may be used for the downlink;
- FIG. 4 is a block diagram of an embodiment of a demodulator that may be used for the downlink;
- FIG. 5 is a block diagram of an embodiment of a modulator that may be used for the uplink;
- FIG. 6 is a block diagram of an embodiment of a demodulator that may be used for the uplink;
- FIG. 7 is a diagram of a power control mechanism that may be used to control the transmit power of a downlink or uplink transmission; and
- FIG. 8 is a block diagram of a specific embodiment of a portion of the downlink and uplink power control mechanisms implemented at a terminal.
- FIG. 1 is a diagram of a multiple-access OFDM-
CDMA system 100 that supports a number of users and is capable of implementing various aspects and embodiments of the invention.System 100 provides communication for a number ofcoverage areas 102 a through 102 g, each of which is serviced by a corresponding base station 104 (which may also be referred to as an access point, a node B, or some other terminology). The base station and/or its coverage area are also often referred to as a cell. A cell may also be partitioned into multiple (e.g., three) sectors, each of which may be associated with a respective (directional) beam pattern for the downlink. All sectors of the same cell are typically serviced by a single base station. For a given terminal, a “serving” cell/sector is one in active communication with the terminal. - As shown in FIG. 1, various terminals 106 are dispersed throughout the system, and each terminal may be fixed (i.e., stationary) or mobile. Each terminal may communicate with one or possibly more cells/sectors on the downlink and/or uplink at any given moment depending on whether or not it is active, whether or not it is in “soft handoff” or “softer handoff”, and so on. Soft handoff refers to concurrent communication with two or more cells to increase reliability, and softer handoff refers to concurrent communication with two or more sectors of the same cell to increase reliability.
- The downlink (forward link) refers to transmission from the base station to the terminal, and the uplink (reverse link) refers to transmission from the terminal to the base station. In FIG. 1,
base station 104 a communicates withterminal 106 a,base station 104 b communicates with 106 b, 106 c, 106 d, and 106 i,terminals base station 104 c communicates with 106 e, 106 f, and 106 g, and so on.terminals Terminal 106 g is in soft handoff with 104 c and 104 d,base stations terminal 106 i is in soft handoff with 104 b, 104 d, and 104 e, andbase stations terminal 106 i is in soft handoff with 104 f and 104 g.base stations -
System 100 may also be designed to implement any number of standards and designs for CDMA, TDMA, FDMA, and other multiple access schemes. The CDMA standards include the IS-95, cdma2000, IS-856, W-CDMA, and TS-CDMA standards, and the TDMA standards include the Global System for Mobile Communications (GSM) standard. These standards are known in the art and incorporated herein by reference. - FIG. 2 is a simplified block diagram of an embodiment of
base station 104 and two terminals 106, which are capable of implementing various aspects and embodiments of the invention. Each terminal 106 may concurrently communicate withmultiple base stations 104 when in soft handoff (not shown in FIG. 2 for simplicity). - On the downlink, at
base station 104, various types of traffics such as user-specific data from adata source 208, signaling, and so on, are provided to a transmit (TX)data processor 210, which formats, possibly interleaves, and encodes the traffics based on one or more coding schemes to provide coded data. Each coding scheme may include any combination of cyclic redundancy check (CRC), convolutional coding, Turbo coding, block coding, and other coding, or no coding at all. Typically, different types of traffic are coded using different coding schemes. In a specific embodiment, the user data may be partitioned into frames (or packets). For each frame, the data may be used to generate a set of CRC bits, which are appended to the data, and the data and CRC bits may then be interleaved and coded with a convolutional code or a Turbo code to generate the coded data for the frame. - The coded data is then provided to a modulator (MOD) 220 and further processed to generate modulated data. In a specific embodiment, the processing by
modulator 220 includes (1) spreading the coded data for each user with a respective set of one or more spreading codes, (2) transforming the spread data, (3) scaling the transformed data for each user with a respective gain, (4) combining the scaled data for all users and other data for other channels (e.g., pilot, sync, and paging channels), and (5) covering the combined data with a cover code. The processing bymodulator 220 is described in further detail below. - The modulated data is then provided to one or more transmitters (TMTR) 222, one transmitter for each antenna used to transmit the data. Each transmitter 222 converts the received data into one or more analog signals and further conditions (e.g., amplifies, filters, and quadrature modulates) the analog signals to generate a respective downlink modulated signal suitable for transmission over a wireless link. Each downlink modulated signal is then transmitted via a respective antenna 224 to the terminals.
- At each terminal 106, one or more downlink modulated signals from one or more base stations are received by one or
more antennas 252. The received signal from eachantenna 252 is provided to a respective receiver (RCVR) 254, which conditions (e.g., filters, amplifies, and downconverts) the received signal and digitizes the conditioned signal to provide a respective stream of data samples. A demodulator (Demod) 260 then receives and processes the streams of data samples from allreceivers 254 to provide demodulated symbols (i.e., demodulated data). In a specific embodiment, the processing bydemodulator 260 includes (1) uncovering the received data samples with the cover code associated with the cell/sector being demodulated, (2) transforming the uncovered data samples, (3) despreading the transformed samples, and (4) combining the despread samples derived from multiple receive antennas (if available). The processing bydemodulator 260 is described in further detail below. - A receive (RX)
data processor 262 then decodes the demodulated symbols to recover the user-specific data transmitted on the downlink. The processing bydemodulator 260 andRX data processor 262 is complementary to that performed bymodulator 220 andTX data processor 210, respectively, atbase station 104. - On the uplink, at terminal 106, various types of traffics such as user-specific data from a
data source 276, signaling, and so on, are provided to aTX data processor 278, which processes the different types of traffics in accordance with their respective coding schemes to provide coded data. The coded data is further processed (e.g., spread) by amodulator 280 to provide modulated data, which is provided to one ormore transmitters 254. Eachtransmitter 254 conditions the modulated data to generate a respective uplink modulated signal, which is then transmitted via an associatedantenna 252 to the base stations. - At each
base station 104, the uplink modulated signals from one or more terminals are received by antennas 224. The received signal from each antenna 224 is provided to a receiver 222, which conditions and digitizes the received signal to provide a respective stream of data samples. The data samples are then processed (e.g., despread) by ademodulator 240 and decoded (if necessary) by anRX data processor 242 to recover the data transmitted by the terminals. -
230 and 270 direct the operation at the base station and the terminal, respectively.Controllers - FIG. 3 is a block diagram of an embodiment of a modulator 220 a that may be used for the downlink, and is one embodiment of
modulator 220 in FIG. 2.Modulator 220 a receives fromTX data processor 210 one or more data streams for one or more users. Each user data stream, du (k), is provided by to a respective frequency-domain spreader 310. - In an embodiment, the user data comprises a stream of coded bits. Each coded bit may have a binary value of either zero (“0”) or one (“1”), which may then be mapped to a value of −1 or +1, respectively, for the spreading. In another embodiment, the user data comprises a stream of modulation symbols. For this embodiment, a symbol mapping element receives the coded data for the user, groups each set of N B coded bits to form a non-binary symbol, and then maps each non-binary symbol to a point in a signal constellation corresponding to a particular modulation scheme (e.g., QPSK, M-PSK, M-QAM, or some other scheme) selected for the user. Each mapped signal point corresponds to a modulation symbol, and the symbol mapping element would provide a stream of modulation symbols. The user data thus comprises a stream of data symbols, where each data symbol may be a coded bit or a modulation symbol.
- Each frequency-domain spreader 310 also receives a set of one or more spreading codes for the received data stream. For simplicity, the following description assumes one data stream for each user and one spreading code for each spreader 310. The spreading code for user u is a sequence of M symbols and may be represented as:
- c u ={c u(0), c u(1), . . . , c u(M−1)},
- where each symbol c u(m) of the spreading code may be a real or a complex value. The spreading code length M represents the spreading ratio for the user data. The spreading codes may be orthogonal codes (e.g., the Walsh codes used in IS-95 and cdma2000) or the orthogonal variable spreading factor (OVSF) codes used in W-CDMA. The spreading codes may also be codes with pseudo-orthogonal properties (e.g., the QOF codes in cdma2000), pseudo-random noise (PN) sequences at different chip offsets, or non-orthogonal codes. In a specific embodiment, the spreading codes used for the downlink are Walsh codes of length M, and each chip of a Walsh sequence corresponds to one symbol of the spreading code.
- Within each frequency-domain spreader 310, the user data is provided to a set of M (complex)
multipliers 312 a through 312 m. Each multiplier 312 also receives a respective symbol cu(m) of the spreading code c u assigned to user u. At each time interval k, a data symbol for user u, du (k), is provided to all M multipliers 312. Each multiplier 312 multiplies the received data symbol, du(k), with the spreading code symbol, cu(m), and provides a respective spread symbol to an inverse fast Fourier transformer (IFFT) 320. For each time interval k,IFFT 320 receives M spread symbols from all M multipliers 312, performs an inverse fast Fourier transform on the received symbols, and provides a sequence of NIFFT transformed samples, xu(n, k), that collectively comprise an OFDM symbol for the data symbol, du(k). The transformed samples, Xu(n, k), may be expressed as: - where N IFFT is the dimension of the IFFT and also represents the number of sub-bands (or frequency bins or sub-channels) for the OFDM scheme. Other transformations may also be used and are within the scope of the invention. For example, wavelet or some other ortho-normal functions may be used for other OFDM-like schemes.
- OFDM is described in further detail in a paper entitled “Multicarrier Modulation for Data Transmission : An Idea Whose Time Has Come,” by John A. C. Bingham, IEEE Communications Magazine, May 1990, which is incorporated herein by reference.
- In general, the length of the spreading code c u is selected to be equal to or less than the dimension of the IFFT (i.e., M≦NIFFT). When the spreading code length is less than the IFFT dimension (i.e., M<NIFFT), the (NIFFT−M )“left-over” sub-bands may be used for other functions such as, for example, guard-band tones, pilot, overhead channel(s), power control, signaling, and so on. In a specific embodiment, the spreading code length is selected to be equal to the IFFT dimension (i.e., M=NIFFT).
- The OFDM symbols, x u(n,k), from
IFFT 320 are provided to a cyclicprefix insertion unit 322, which appended a cyclic prefix to each OFDM symbol to form a corresponding transmission symbol, su(n, k). In particular, the cyclic prefix insertion may be performed by duplicating the first L transformed samples of the OFDM symbol and appending these samples at the end of the OFDM symbol. The transmission symbol, su(n, k), may thus be expressed as: - The cyclic prefix may be used to preserve orthogonality among the N IFFT sub-channels in the presence of time dispersion in the communication channel. In this case, the duration of the cyclic prefix, L, is selected to be greater than or equal to the maximum delay spread of the communication channel.
-
-
-
- (k) is a gain variable used to control the downlink transmit power for user u at time k, and is used to account for variable rate data.
-
-
- (k)∝r u(k)/rmax). The rate control gain variable may thus be used to perform the power scaling function for variable rate data, as described below. The gain variable, gu(k), may also incorporate other gain variables used for other functions, and this is within the scope of the invention.
- Each multiplier 330 scales the received transmission symbols, su(n, k), with the gain variable, gu(k), and provides scaled transmission symbols to a
summer 332. For each time interval k,summer 332 receives and combines the scaled transmission symbols from all enabled multipliers 330 and other data for other overhead channels (e.g., pilot, broadcast, paging, sync, and power control channels) to provide combined data. For example, the scaled pilot is provided by amultiplier 330 p and combined with the other data bysummer 332. Amultiplier 334 then receives and multiplies the combined data with a cover code, pj(n), to provide modulated data, y(n,k).Multiplier 334 effectively covers the combined data with the cover code assigned to the cell/sector. - In an embodiment, the cover code, p j(n), is unique to the j-th cell or sector serviced by the base station, and allows the terminals to identify the individual cells/sectors. The cover code may be a PN sequence (e.g., the short PN sequences of length 32,768 used in IS-95 and cdma2000), a scrambling sequence (e.g., the scrambling codes used in W-CDMA), or some other sequences. In general, an objective of a good cover code is to render the signals despread from another base station white (i.e., low correlation).
- As shown in FIG. 3, a pilot is transmitted along with the user data and other overhead data. The pilot is typically generated based on a known data pattern (e.g., a sequence of all zeros) and processed in a known manner. This then allows the terminals to more easily recover the transmitted pilot. The recovered pilot may then be used at the terminals for various functions such as acquisition, timing synchronization, carrier recovery, handoff, channel estimation, coherent data demodulation, and so on. Various schemes may be used to transmit the pilot and are described in further detail below.
- FIG. 4 is a block diagram of an embodiment of a demodulator 260 a that may be used for the downlink and is one embodiment of
demodulator 260 in FIG. 2. As shown in FIG. 2, each terminal in the system may be equipped with one or multiple receive antennas, and each antenna provides a respective received signal that is conditioned and digitized by an associatedreceiver 254 to provide a respective stream of (complex) data samples. - In an embodiment, a frequency control loop is used to acquire and track the carrier frequency of each received signal. The frequency acquisition and tracking may be performed in the analog domain by adjusting the frequency of a local oscillator (LO) signal used to downconvert the received signal from radio frequency (RF) to baseband. Alternatively, the frequency acquisition and tracking may be performed in the digital domain by adjusting the frequency of a locally generated sinusoidal signal used to digitally rotate (and thus frequency translate) the data samples. The frequency translation in the digital domain may be performed by a digital rotator (i.e., a complex multiplier). The frequency control loop attempts to remove frequency error in the downconversion of the received signal from RF to baseband, including any frequency offset due to Doppler frequency shift resulting from movement by a mobile terminal. For simplicity, the complex data samples provided by
receivers 254 are assumed to have a mean Doppler frequency error of 0 Hz. - In an embodiment, a time control loop is used to acquire and track the timing of each received signal so that data samples are provided with the proper chip timing. Time acquisition and tracking may be performed by adjusting the phase of a clock signal used to digitize the received signal. Alternatively, the time acquisition and tracking may be performed by resampling the received data samples. For simplicity, the complex data samples provided by
receivers 254 are assumed have the proper chip timing. - The frequency and time control loops may be implemented in various manners, as is known in the art and not described herein. The receivers may further derive OFDM symbol timing (e.g., based on the recovered pilot or some other mechanism) and provide the necessary timing signals to demodulator 260 a.
- Within
demodulator 260 a, a stream of data samples from each receive antenna is provided to a respective frequency-domain despreader 410. Within eachdespreader 410, amultiplier 412 uncovers (i.e., multiplies) the received data samples with the (complex-conjugate) cover code, pj*(n), associated with the cell/sector being demodulated. The uncovered data samples are then provided to abuffer 414. - For each time interval k,
buffer 414 receives M+L uncovered samples corresponding to a transmission symbol and provides M samples corresponding to a complete OFDM symbol. A fast Fourier transformer (FFT) 420 receives the M uncovered samples frombuffer 414, performs an NFFT-point fast Fourier transform on the received samples, and provides NFFT transformed samples. The dimension of the Fourier transform is typically equal to the dimension of the inverse Fourier transform (i.e., NFFT=NIFFT) used at the transmitter unit, and is larger or equal to the size of the OFDM symbol (i.e., NFFT≧M). In an embodiment, M=NFFT. - The time control loop provides the necessary OFDM symbol timing for the processing at the receiver unit. Synchronization for the OFDM symbols may be derived, for example, based on the pilot. The symbol timing provided by the time control loop may be used to select the samples for each FFT window. If a cyclic prefix is used, the L additional samples allow for some flexibility in the alignment the FFT window within the OFDM symbol duration.
- The transformed samples from
FFT 420 are provided to a set of M (complex)multipliers 422 a through 422 m. Each multiplier 422 also receives a respective coefficient, wu(m), in a sequence of despreading coefficients derived for the receive antenna for user u. For coherent detection, the despreading coefficient for each sub-band may be expressed as: - w u(m)=[ĥ(m)·c u(m)]*, for m=0,1 . . . M−1, Eq (4)
- where ĥ(m) is an estimate of the complex channel gain for the m-th sub-band. The channel response, h(m), may be estimated based on the pilot or the demodulated data, or based on some other techniques. The despreading coefficients shown in equation (4) represent one possible detection strategy. Other detection strategies that may provide improved performance for a frequency selective fading channel may also be used.
- In an OFDM-CDMA system, loss of orthogonality occurs at the receiver unit whenever the channel is frequency selective (i.e., different amounts of attenuation for different sub-bands). In this case, in the frequency domain, the spreading codes are subjected to variable attenuation across different symbols of the codes (e.g., different attenuation for different chips of the Walsh sequences). This then destroys the relative orthogonality among the spreading codes and results in residual interference after the despreading/correlation operation at the receiver unit.
- The receiver unit may attempt to restore orthogonality among the spreading codes by “inverting” the channel prior to the despreading. The channel inversion is performed per sub-band and typically precedes the despreading, which includes integration to reduce the bandwidth. The channel inversion operation (which is also referred to as a zero forcing operation) requires knowledge of the channel response, h(m), or its estimate, ĥ(m). To achieve the channel inversion, the despreading coefficient for each sub-band may be expressed as:
- The performance of a demodulator based on the despreading coefficients shown in equation (5) may be poor for some operating scenarios. For example, in the sub-bands where the signal-to-noise-plus-interference ratio (SNR) is low, the weights ĥ(m)/|ĥ(m)| 2 tend to enhance the noise and interference. For improved performance, a minimum mean square error (MMSE) based despreader may be employed where the despreading coefficients may be expressed as:
- where N 0 is the thermal noise power.
- Each multiplier 422 multiplies the received transformed samples with the received despreading coefficient to provide a despread sample. For each time interval k, a
summer 424 receives and sums the despread samples from all M multipliers 422 to provide a recovered symbol, yu(k). - If multiple receive antennas and demodulation paths are available at the terminal (e.g., terminal 106 n in FIG. 2), then the data sample stream for each antenna may be processed as described above to provide a respective stream of recovered symbols for that diversity branch. If multiple serving cells/sectors are transmitting to the terminal (e.g., for soft/softer handoff), then the received data samples are initially uncovered with the cover codes associated with these cells/sectors. The set of despreading coefficients for each diversity branch is also derived based on the channel response estimated for the user and for that diversity branch. The streams of recovered symbols from all available diversity branches are then provided to a
summer 426. For each time interval k, summer 426 (soft) combines the recovered symbols from all diversity branches to provide a corresponding demodulated symbol, zu(k). The demodulated symbols (i.e., the demodulated data) for user u are then provided toRX data processor 262. - For an OFDM-CDMA system, it is not a requirement to use a cyclic prefix. When a cyclic prefix is used, the delay spread in the received signal is accounted for by the repeated portion of the OFDM symbol, and a rake receiver implementation is not required at the receiver unit. This may simplify the receiver design. However, when a cyclic prefix is not used, a (frequency-domain) rake receiver may be used to perform the despreading/correlation operation at the delays corresponding to the impulse response of the communication channel. For this frequency-domain rake receiver, a number of (M) received data samples corresponding to the OFDM symbol duration and a number of (L) received data samples corresponding to the maximum expected delay spread for the communication channel may be stored for each OFDM symbol. M samples may then be retrieved from among the M+L stored samples and processed as described above. The specific samples to be retrieved are determined by the timing associated with the received signal (i.e., the arrival time of the transmitted signal at the receiver unit).
- FIG. 5 is a block diagram of an embodiment of a modulator 280 a that may be used for the uplink, and is one embodiment of
modulator 280 in FIG. 2.Modulator 280 a receives fromTX data processor 278 user data to be transmitted to one or more serving cells/sectors. This user data comprises a stream of data symbols, each of which may be a coded bit or a modulation symbol, as described above. - Within
modulator 280 a , the user data stream is provided to a frequency-domain spreader 510, which also receives a spreading code associated with the user. The uplink spreading code for user u comprises a sequence of M samples and may be represented as: - C u ={C u(0), C u(1), . . . C u(M−1)}.
- Again, various types of codes may be used for the uplink spreading codes.
- In an embodiment, the spreading code used for the uplink for user u is unique to that user but is not necessarily orthogonal to the spreading codes used by the other users. In particular, as long as the spreading codes are uncorrelated with each other, then processing gain may be obtained relative to the other users and high performance may be realized. Moreover, the uplink spreading codes may be different than the ones used for the downlink. In a specific embodiment, the spreading codes used for the uplink are also Walsh codes of length M.
- In cases where the uplink spreading codes are mutually orthogonal, multipath and/or different propagation delays destroy the orthogonality property of the received signals at the receiver unit (i.e., the base station for the uplink). One technique for maintaining orthogonality in the presence of multipath is to assign different sub-bands to different users. When the user data is transmitted over only a fraction of the total uplink bandwidth, the full processing gain is not realized on a per OFDM symbol basis and the frequency diversity of a wideband system is not fully realized.
- For simplicity, upper case notations are used for the uplink and correspond to the lower case notations used for the downlink (e.g., C u and c u respectively represent the uplink and downlink spreading codes).
- Within
spreader 510, the user data is provided to a set of M (complex)multipliers 512 a through 512 m. Each multiplier 512 also receives a respective symbol Cu(m) of the spreading code assigned to user u. At each time interval k, each multiplier 512 multiplies the received data symbol, Du(k), with the spreading code symbol, Cu(m), and provides a respective spread symbol to anIFFT 520. For each time interval k,IFFT 520 receives M spread symbols from all M multipliers 512, performs an inverse fast Fourier transform on the received symbols, and provides a sequence of NIFFT transformed samples, Xu(n,k), that collectively comprise an OFDM symbol for the data symbol, Du(k). - The OFDM symbols, X u(n,k), from
IFFT 520 are then provided to a cyclicprefix insertion unit 522, which appends a cyclic prefix to each OFDM symbol to form a corresponding transmission symbol, Su(n,k). The transmission symbols are then scaled by a gain variable, Gu(k), by amultiplier 530 a. The gain variable, Gu(k), is representative of the total uplink gain for the user, and includes the power control gain, Gu PC(k), the rate control gain, Gu rate(k), and so on. Asummer 532 receives and combines the scaled transmission symbols frommultiplier 530 a and other data for other overhead (e.g., pilot) channels to provide the modulated data, Y(n,k). As shown in FIG. 5, the uplink pilot for user u is scaled by a pilot gain variable, Gpu(k), by amultiplier 530 p and combined with the scaled transmission symbols. Although not shown in FIG. 5, the combined data fromsummer 532 may also be covered with a cover code that may be unique to the user or may be common to all users. - FIG. 6 is a block diagram of an embodiment of a demodulator 240 a that may be used for the uplink and is one embodiment of
demodulator 240 in FIG. 2. A number of antennas 224 may be used to receive the uplink modulated signals from one or more terminals, and each antenna provides a respective received signal to an associated receiver 222. Each receiver 222 conditions and digitizes the received signal to provide a respective stream of complex data samples, Rl(k). - Within
demodulator 240 a, each received data sample stream is provided to a respective frequency-domain despreader 610. Within each despreader 610, abuffer 614 receives M+L samples for each time interval k (if cyclic prefix is used), and provides M samples corresponding to a complete OFDM symbol. AnFFT 620 receives the M samples frombuffer 614, performs an NFFT-point fast Fourier transform on the received samples, and provides NFFT transformed samples. For simplicity, the OFDM symbol length is selected to be equal to the FFT dimension (i.e., M=NFFT), although this is not a required condition as described above. -
-
-
-
-
-
- (m), associated with each diversity branch used for the user.
-
- (k) , for user u for the i-th diversity branch.
-
- (k), from all diversity branches for user u are provided to a
summer 626. For each time interval k,summer 626 combines all recovered symbols for user u to provide a demodulated symbol, Zu(k), which is then provided toRX data processor 242. The diversity combining may be performed, for example, for a terminal in softer handoff with multiple sectors of the same cell, since these sectors are typically serviced by a single base station. - A power control mechanism may be implemented for each of the downlink and uplink to reduce interference and improve system throughput. The power control mechanisms for the downlink and uplink may be implemented in various manners, and different mechanisms may also be used for the downlink and uplink. A specific power control mechanism is described below, but other mechanisms may also be used and are within the scope of the invention.
- FIG. 7 is a diagram of a
power control mechanism 700 that includes an innerloop power control 710 operating in conjunction with an outerloop power control 720. As shown in FIG. 7,inner loop 710 operates between the transmitter and receiver units, andouter loop 720 operates at the receiver unit. -
Inner loop 710 is a (relatively) fast loop that attempts to maintain the signal quality of a transmission, as received at the receiver unit, as close as possible to a target SNR, which is often referred to as the SNR setpoint (or simply, the setpoint). One inner loop may be maintained for each data stream to be independently power controlled. - The inner loop power adjustment for a particular data stream is typically achieved by (1) estimating the signal quality of the data stream as received at the receiver unit (block 712), (2) comparing the received signal quality estimate against the setpoint (block 714), and (3) sending power control information back to the transmitter unit. The received signal quality may be estimated based on the data stream to be power controlled, a pilot associated with the data stream, or some other transmission having an established relationship with the data stream to be power controlled. In an embodiment, the power control information is in the form of an “UP” command to request an increase in the transmit power or a “DOWN” command to request a decrease in the transmit power. Each UP and DOWN command may correspond to a change in transmit power of, e.g., +0.5 dB and −0.5 dB, respectively. The transmitter unit may adjust the transmit power for the data stream accordingly (block 716) each time it receives a power control command. A power control command may be sent for each OFDM symbol or each frame, or for some other unit of time.
- Due to path loss in the communication channel (cloud 718) that typically varies over time, especially for a mobile terminal, the received signal quality at the receiver unit continually fluctuates.
Inner loop 710 attempts to maintain the received signal quality at or near the setpoint in the presence of changes in the communication channel. -
Outer loop 720 is a (relatively) slower loop that continually adjusts the setpoint such that a particular level of performance is achieved for the data stream being power controlled. The desired level of performance is typically a particular target frame error rate (FER), packet error rate (PER), or some other performance criteria. For example, a 1% target FER may be used for the data stream. - The outer loop setpoint adjustment for a particular data stream is typically achieved by (1) receiving, demodulating, and decoding the data stream to recover the transmitted data (block 722), (2) determining the status of each received frame as being decoded correctly (good) or in error (erased) (also in block 722), and (3) adjusting the setpoint (block 724) based on the frame status (and possibly along with some other information indicative of the “goodness” of, or the confidence in, the decoded data). If a frame is decoded correctly, then the received signal quality is likely to be higher than necessary and the setpoint may be reduced slightly, which then causes
inner loop 710 to reduce the transmit power for the data stream. Alternatively, if a frame is decoded in error, then the received signal quality is likely to be lower than necessary and the setpoint may be increased, which then causesinner loop 710 to increase the transmit power for the data stream. - By controlling the manner in which the channel's setpoint is adjusted, different power control characteristics and performance levels may be obtained. For example, the target FER may be achieved by properly selecting the amount of upward adjustment in the setpoint for a bad frame, the amount of downward adjustment for a good frame, the required elapsed time between successive increases in the setpoint, and so on. The target FER (i.e., the long-term FER) may be set as ΔD/(ΔD+ΔU), where ΔU is the amount of increase in the setpoint for an erased frame, and ΔD is the amount of decrease in the setpoint for a good frame. The absolute sizes for ΔU and ΔD also determine the responsiveness of the power control mechanism to sudden changes in the communication channel.
- FIG. 8 is a block diagram of a specific embodiment of a portion of the downlink and uplink power control mechanisms implemented at a terminal. In this embodiment, downlink and uplink
810 and 820 are used for downlink and uplink power control, respectively, for the terminal.power control loops 810 and 820 may be implemented withinPower control loops controller 270 b, as shown in FIG. 8, or by some other units. - For downlink power control (DL PC), downlink
power control loop 810 provides to amultiplexer 814 withinTX data processor 278 b DL PC commands used to control the transmit power of a downlink transmission to the terminal.Multiplexer 814 also receives uplink coded data from an encoder/interleaver 812, multiplexes the DL PC commands with the coded data, and provides the multiplexed coded data and DL PC commands to spreader 510 withinmodulator 280 b. The DL PC commands may be multiplexed with the coded data using various schemes such as, for example, by replacing some of the coded bits in accordance with a particular (e.g., pseudo-random) puncturing scheme. -
Spreader 510 processes (e.g., spreads) the coded data and DL PC commands and provides modulated data.Multiplier 530 a then scales the modulated data with the user's gain variable, Gu(k). This gain variable, Gu(k), controls the uplink transmit power and is adjusted by uplinkpower control loop 820. The scaled data is further processed bytransmitter 254 to generate an uplink modulated signal, which is then transmitted to the serving cell/sector(s) with which the terminal is communicating. - At each serving cell/sector, the uplink modulated signal from the terminal is processed to recover the DL PC commands, which are then used to adjust the downlink transmit power to the terminal.
- Also for the downlink power control, the downlink modulated signal(s) from the serving cell/sector(s) are received and processed (e.g., conditioned and digitized) by
receiver 254, further processed (e.g., despread) bydemodulator 260 b, and decoded byRX data processor 262 b.Demodulator 260 b further estimates the SNR of the received demodulated data (or pilot) and provides the SNR estimates to downlinkpower control loop 810, which also receives fromRX data processor 262 b the status of each received frame. Downlinkpower control loop 810 may then adjust the downlink setpoint based on the target FER and the received frame status, and further provides DL PC commands based on the setpoint and the SNR estimates. - The SNR may be estimated at the receiver unit based on various techniques. Some of these techniques are described in U.S. Pat. No. 5,799,005, entitled “System and Method for Determining Received Pilot Power and Path Loss in a CDMA Communication System,” issued Aug. 25, 1998, and U.S. Pat. No. 5,903,554, entitled “Method and Apparatus for Measuring Link Quality in a Spread Spectrum Communication System,” issued May 11, 1999, both of which are incorporated herein by reference.
- For uplink power control (UL PC), the UL PC commands transmitted by the serving cell/sector(s) are received, recovered, and demultiplexed by
demodulator 260 b, which then provides the commands to uplinkpower control loop 820.Loop 820 then determines an appropriate delta power value (e.g., +0.5 dB, −0.5 dB, zero, or some other value) corresponding to each received UL PC command, accumulates the delta power value with the current transmit power value, and provides the gain value, Gu(k), corresponding to the updated transmit power value. - The power control for the downlink and uplink may each be implemented using the power control techniques described in the aforementioned U.S. Pat. Nos. 5,799,005 and 5,903,554, U.S. Pat. Nos. 5,056,109, and 5,265,119, both entitled “Method and Apparatus for Controlling Transmission Power in a CDMA Cellular Mobile Telephone System,” respectively issued Oct. 8, 1991 and Nov. 23, 1993, and U.S. Pat. No. 6,097,972, entitled “Method and Apparatus for Processing Power Control Signals in CDMA Mobile Telephone System,” issued Aug. 1, 2000, all of which are incorporated herein by reference.
- Variable rate data may be supported on the downlink and/or uplink via power scaling and spreading adjustment. If a spreading factor of SF is used for a data rate of r 1, then lower data rates may be accommodated by power scaling the data such that the transmit power per frame is proportional to the data rate. For example, if SF=128 for r1=9.6 Kbps, then data rates of 1.2, 2.4, 4.8, and 9.6 Kbps (which may be produced by a vocoder) may be supported by (1) repeat coding by a factor of two a 4.8 Kbps data rate frame and allocating half of the transmit power used for a 9.6 Kbps data rate frame, (2) repeat coding by a factor of four a 2.4 Kbps data rate frame and allocating a quarter of the transmit power used for a 9.6 Kbps data rate frame, and (3) repeat coding by a factor of eight a 1.2 Kbps data rate frame and allocating an eighth of the transmit power used for a 9.6 Kbps data rate frame.
- Higher data rates may also be supported by reducing the spreading gain and scaling up the transmit power. In one embodiment, multiple spreading codes are allocated for higher data rates. Since the data is spread over all selected sub-bands by each spreading code, the full diversity afforded by the wideband channel is retained by the use of multiple spreading codes for higher data rates. In another embodiment, different fractional portions of the system bandwidth are allocated to different data symbols. For example, if one data symbol is transmitted over all M sub-bands for a data rate of 9.6 Kbps, then two data symbols may be transmitted over M sub-bands for a data rate of 19.2 Kbps by spreading each data symbol with a spreading code of half the length (M/2) and transmitting each spread data symbol over M/2 sub-bands. Each OFDM symbol would then include two data symbols, each having a length of M/2. The sub-bands may be allocated to the data symbols such that they are interleaved (e.g., odd-numbered sub-bands may be allocated to one data symbol and even-numbered sub-bands may be allocated to the other data symbol) or based on some other sub-band assignment scheme. For both embodiments, the highest data rate may be supported by allocating all available spreading codes to the user data.
- As the data rate increases, the spreading may be reduced proportionately to accommodate the higher rate data. When the data rate reaches 1 bps/Hz, the spreading effectively disappears (i.e., is not used) and the resultant modulated output resembles the conventional OFDM scheme. Thus, the techniques described herein allow data to be modulated using a hybrid OFDM-CDMA scheme at lower data rates (i.e., less than 1 bps/Hz) or a pure OFDM scheme at higher data rates (i.e., 1 bps/Hz and beyond). In the pure OFDM scheme, the pilot is not spread but may be distributed in a subset of sub-bands, as described below.
- Soft and softer handoff may be supported by the system. On the downlink, a terminal may receive the pilots from a number of cells/sectors. If it is determined that the strength of the pilots from two or more cells/sectors is adequate to support soft/softer handoff operation, then the terminal may report to the current serving cell/sector(s) the new cell/sector(s) to add to the soft/softer handoff list. The newly added cell/sector(s) would then begin transmitting the same user data as the current serving cell/sector(s). The terminal would then receive the downlink modulated signals from all serving cell/sectors, demodulate each received signal, and combine the separate downlink transmissions. Soft combining may be used whereby the demodulated symbols from each serving cell/sector may be weighted by the received signal strength for the cell/sector prior to being combined with the weighted demodulated symbols from the other serving cell/sector(s).
- On the uplink, the uplink modulated signal from a particular terminal may be received by multiple serving cells/sectors. Each serving cell/sector processes the uplink modulated signal and provides decoded data (or possibly demodulated data) to a central entity (e.g., a base station controller) responsible for frame selection and uplink power control. If the serving sectors belong to the same cell, then the demodulated data from the sectors may be (soft) combined prior decoding, which may provide improved performance for softer handoff. And if the serving sectors belong to different cells, then each sector may provide a decoded data frame for each frame interval to the central entity, which then selects the best frame as the decoded result. Alternatively, each serving sector may provide demodulated data to the central entity, which may then (soft) combine the demodulated data and perform the decoding.
- For uplink power control in soft/softer handoff, the UL power control commands received at the terminal from multiple cells/sectors for each power control interval may be combined and used to adjust the uplink transmit power. An “OR-of-the-DOWNs” rule may be used whereby the terminal reduces its transmit power if any one of the UL power control commands requests a reduction in the transmit power.
- For downlink power control in soft/softer handoff, the DL power control commands sent by the terminal are received at the serving cells/sectors, and each cell/sector adjust the downlink transmit power accordingly based on the received commands. The DL power control commands received by each serving cell/sector may also be provided to the central entity, which may (soft) combine these commands to provide improved estimates of the transmitted commands. The combined commands may then be sent to all serving cell/sector(s), each of which may then adjust the downlink transmit power to the terminal.
- Various mechanisms and control features may be used to support soft/softer handoff. For example, mechanisms and control features may be provided to guide terminals in and out of handoff, including thresholds to add and drop cell/sector(s) from soft/softer handoff, timers to add/drop cell/sector(s), hysteresis to prevent a cell/sector from being alternately added and dropped due to fluctuating channel conditions, and so on.
- Soft handoff is described in further detail in U.S. Pat. No. 5,101,501 entitled “Method and System for Providing a Soft Handoff in Communications in a CDMA Cellular Telephone System,” issued Mar. 31, 1992, and U.S. Pat. No. 5,267,261, entitled “Mobile Station Assisted Soft Handoff in a CDMA Cellular Communications System,” issued Nov. 30, 1993, both of which are incorporated herein by reference.
- As noted above, a pilot may be transmitted from a transmitter unit and used at the receiver units for various functions. Various pilot transmission schemes may be implemented and are within the scope of the invention.
- In one pilot transmission scheme, pilot data is spread (e.g., in the frequency domain) with a known spreading code (e.g., Walsh code 0) and scaled with a particular gain. The spread pilot data may further be covered with a cover code (as shown in FIG. 3) or not covered at all (as shown in FIG. 5). If a unique cover code is used by each transmitter unit (e.g., each cell/sector), then the receiver units (e.g., the terminals) may be able to discriminate and distinguish the different transmitters of the pilots by their unique cover codes.
- The cover codes for the transmitter units may be PN sequences generated based on a particular set of one or more polynomials but having different offsets, similar to the PN sequences used in IS-95 and cdma2000. For fast acquisition and synchronization, the length of the cover codes may be selected based on some defined relationship to the duration of a transmission symbol (if cyclic prefix is used) or the duration of an OFDM symbol (if cyclic prefix is not used). For example, the cover code length may be selected to be a multiple integer of the transmission symbol duration (if cyclic prefix is used) or a multiple integer of the OFDM symbol duration (if cyclic prefix is not used).
- In another pilot transmission scheme, a subset of the available sub-bands is reserved and used to transmit pilot tones (i.e., no user data). The subset of sub-bands may be changed (i.e., hopped) in a deterministic manner or a pseudo-random manner to allow the entire channel response to be sampled over multiple OFDM symbols. The relationship between the sub-bands allocated for the pilot and the hopping pattern may be the same for all transmitter units (e.g., all cells/sectors). Alternative, each transmitter unit (e.g., each sector or cell) may be associated with a respective relationship between the allocated pilot sub-bands and hopping pattern, which may then be used to identify the transmitter unit.
- In yet another pilot transmission scheme, pilot data may be time division multiplexed (TDM) with user and overhead data to implement a TDM pilot structure. In this case, the pilot may be time division multiplexed at fixed intervals with the other data (e.g., one pilot symbol for each Np data symbols), or may be multiplexed in a non-uniform manner (e.g., inserted at pseudo-randomly selected time intervals. The TDM pilot structure may also be implemented similar to that described in the IS-856 or W-CDMA standard.
- In general, a pilot may be transmitted such that the receiver units are able to estimate the channel response for each sub-band used for data transmission.
- The modulation, demodulation, multiple-access, rate control, power control, soft/softer handoff, and other techniques described herein may be implemented by various means. For example, these techniques may be implemented in hardware, software, or a combination thereof. For a hardware implementation, the elements used to implement any one or a combination of the techniques may be implemented within one or more application specific integrated circuits (ASICs), digital signal processors (DSPs), digital signal processing devices (DSPDs), programmable logic devices (PLDs), field programmable gate arrays (FPGAs), processors, controllers, micro-controllers, microprocessors, other electronic units designed to perform the functions described herein, or a combination thereof.
- For a software implementation, any one or a combination of the techniques may be implemented with modules (e.g., procedures, functions, and so on) that perform the functions described herein. The software codes may be stored in a memory unit (e.g.,
232 or 272 in FIG. 2) and executed by a processor (e.g.,memory controller 230 or 270). The memory unit may be implemented within the processor or external to the processor, in which case it can be communicatively coupled to the processor via various means as it known in the art. - Headings are included herein for reference and to aid in locating certain sections. These heading are not intended to limit the scope of the concepts described therein under, and these concepts may have applicability in other sections throughout the entire specification.
- The previous description of the disclosed embodiments is provided to enable any person skilled in the art to make or use the present invention. Various modifications to these embodiments will be readily apparent to those skilled in the art, and the generic principles defined herein may be applied to other embodiments without departing from the spirit or scope of the invention. Thus, the present invention is not intended to be limited to the embodiments shown herein but is to be accorded the widest scope consistent with the principles and novel features disclosed herein.
Claims (48)
1. In a multiple-access OFDM-CDMA system, a method for processing data for transmission over a wireless communication channel, comprising:
coding a data stream in accordance with a particular coding scheme to provide a stream of data symbols;
spreading the data symbol stream in a frequency domain with one or more spreading codes to provide spread data, wherein the one or more spreading codes are selected from a set of available spreading codes and assigned to the data stream;
transforming the spread data in accordance with a particular transformation to provide a stream of OFDM symbols;
scaling the stream of OFDM symbols in accordance with a particular gain selected for the data stream; and
transmitting the scaled OFDM symbols over the communication channel.
2. The method of claim 1 , further comprising:
appending a cyclic prefix to each OFDM symbol to provide a corresponding transmission symbol, wherein transmission symbols are scaled and transmitted over the communication channel.
3. The method of claim 1 , further comprising:
covering the scaled OFDM symbols with a cover code.
4. The method of claim 3 , wherein the cover code has a length that is multiple integer times a length of the OFDM symbol.
5. The method of claim 3 , wherein the cover code has a length that is multiple integer times a length of a transmission symbol formed by appending a cyclic prefix to an OFDM symbol.
6. The method of claim 1 , wherein the data symbol stream comprises coded bits.
7. The method of claim 1 , wherein the data symbol stream comprises modulation symbols derived based on a particular modulation scheme.
8. The method of claim 1 , further comprising:
transmitting a pilot along with the scaled OFDM symbols over the communication channel.
9. The method of claim 1 , wherein the spreading codes are Walsh codes.
10. The method of claim 1 , wherein the spreading codes are orthogonal codes.
11. The method of claim 1 , wherein the spreading codes are pseudo-orthogonal codes.
12. The method of claim 1 , wherein the transformation is an inverse Fourier transform.
13. The method of claim 9 , wherein the Walsh codes have a length equal to the dimension of the transformation.
14. The method of claim 1 , further comprising:
adjusting the spreading based on a data rate of the data stream.
15. The method of claim 14 , wherein the spreading is adjusted by assigning a plurality of spreading codes to the data stream.
16. The method of claim 14 , wherein the spreading is adjusted by assigning one or more spreading codes of shorter length to the data stream.
17. The method of claim 14 , wherein the spreading is effectively not performed when the data rate of the data stream reaches a particular threshold data rate.
18. The method of claim 14 , further comprising:
scaling transmit power for the data stream based on the data rate.
19. The method of claim 1 , further comprising:
adjusting the gain to adjust transmit power for the data stream.
20. The method of claim 1 , wherein the scaled OFDM symbols are transmitted on a downlink from a base station to a terminal.
21. The method of claim 1 , wherein the scaled OFDM symbols are transmitted on an uplink from a terminal to a base station.
22. In a multiple-access OFDM-CDMA system, a method for processing data for transmission over a wireless communication channel, comprising:
coding a data stream in accordance with a particular coding scheme to provide a stream of data symbols;
spreading the data symbol stream in a frequency domain with one or more spreading codes to provide spread data, wherein the one or more spreading codes are selected from a set of available spreading codes and assigned to the data stream;
transforming the spread data in accordance with an inverse Fourier transform to provide a stream of OFDM symbols;
appending a cyclic prefix to each OFDM symbol to provide a corresponding transmission symbol;
scaling each transmission symbol in accordance with a particular gain selected for the data stream;
covering scaled transmission symbols with a cover code; and
transmitting the scaled transmission symbols over the communication channel.
23. In a multiple-access OFDM-CDMA system, a method for recovering data transmitted over a wireless communication channel, comprising:
processing a received signal to provide data samples;
transforming the data samples in accordance with a particular transformation to provide transformed samples;
despreading the transformed samples with one or more sets of despreading coefficients to provide despread samples, wherein each set of despreading coefficients is associated with a respective despreading code that corresponds to a spreading code used to spread data prior to transmission and selected from a set of available spreading codes;
combining the despread samples for each time interval to provide a demodulated symbol representative of a transmitted OFDM symbol; and
decoding demodulated symbols to provide decoded data.
24. The method of claim 23 , further comprising:
decovering the data samples with a cover code to provide decovered samples, wherein the transforming is performed on the decovered samples.
25. The method of claim 23 , further comprising:
discarding data samples corresponding to a cyclic prefix appended to each OFDM symbol.
26. The method of claim 23 , wherein the transformation is a Fourier transform.
27. The method of claim 23 , further comprising:
combining demodulated symbols derived from a plurality of received signals to provide combined demodulated symbols.
28. The method of claim 27 , wherein the plurality of received signals are transmitted from a plurality of cells or sectors in the system.
29. The method of claim 23 , further comprising:
estimating a response for the communication channel, and
wherein each set of despreading coefficients is derived based in part on a set of weights indicative of the estimated channel response.
30. The method of claim 29 , wherein the channel response is estimated based on a pilot included in the received signal.
31. The method of claim 23 , further comprising:
estimating a quality of the received signal; and
transmitting power control commands derived based on the estimated received signal quality.
32. The method of claim 31 , wherein the received signal quality is estimated based on the demodulated symbols.
33. The method of claim 31 , wherein the received signal quality is estimated based on a pilot included in the received signal.
34. In a multiple-access OFDM-CDMA system, a method for recovering data transmitted over a wireless communication channel, comprising:
processing a received signal to provide data samples;
decovering the data samples with a cover code to provide decovered samples;
transforming the decovered samples in accordance with a Fourier transform to provide transformed samples;
despreading the transformed samples with one or more sets of despreading coefficients to provide despread samples, wherein each set of despreading coefficients is associated with a respective despreading code that corresponds to a spreading code used to spread data prior to transmission and selected from a set of available spreading codes;
combining the despread samples for each time interval to provide a demodulated symbol representative of a transmitted OFDM symbol; and
decoding demodulated symbols to provide decoded data.
35. A transmitter unit in a multiple-access OFDM-CDMA system, comprising:
a TX data processor operative to code a data stream in accordance with a particular coding scheme to provide a stream of data symbols;
a frequency-domain spreader operative to receive and spread the data symbol stream in a frequency domain with one or more spreading codes to provide spread data, wherein the one or more spreading codes are selected from a set of available spreading codes and assigned to the data stream;
a transformer operative to transform the spread data in accordance with a particular transformation to provide a stream of OFDM symbols;
a first multiplier operative to scale the stream of OFDM symbols in accordance with a particular gain selected for the data stream; and
a transmitter operative to process the scaled OFDM symbols to provide a modulated signal and to transmit the modulated signal over the communication channel.
36. The transmitter unit of claim 35 , further comprising:
a cyclic prefix insertion element operative to repeat a portion of each OFDM symbol to provide a corresponding transmission symbol.
37. The transmitter unit of claim 35 , further comprising:
a second multiplier operative to cover the scaled OFDM symbols with a cover code.
38. A base station comprising the transmitter unit of claim 35 .
39. A terminal comprising the transmitter unit of claim 35 .
40. A transmitter apparatus in a multiple-access OFDM-CDMA system, comprising:
means for coding a data stream in accordance with a particular coding scheme to provide a stream of data symbols;
means for spreading the data symbol stream in a frequency domain with one or more spreading codes to provide spread data, wherein the one or more spreading codes are selected from a set of available spreading codes and assigned to the data stream;
means for transforming the spread data in accordance with a particular transformation to provide a stream of OFDM symbols;
means for scaling the stream of OFDM symbols in accordance with a particular gain selected for the data stream;
means for processing the scaled OFDM symbols to provide a modulated signal; and
means for transmitting the modulated signal over the communication channel.
41. A receiver unit in a multiple-access OFDM-CDMA system, comprising:
a receiver operative to process a received signal to provide data samples;
a transformer operative to transform the data samples in accordance with a particular transformation to provide transformed samples;
a despreader operative to despread the transformed samples with one or more sets of despreading coefficients to provide despread samples, wherein each set of despreading coefficients is associated with a respective despreading code that corresponds to a spreading code used to spread data prior to transmission and selected from a set of available spreading codes;
a first summer operative to combine the despread samples for each time interval to provide a demodulated symbol representative of a transmitted OFDM symbol; and
a RX data processor operative to decode demodulated symbols to provide decoded data.
42. The receiver unit of claim 41 , further comprising:
a buffer operative to discard data samples corresponding to a cyclic prefix appended to each OFDM symbol.
43. The receiver unit of claim 41 , further comprising:
a multiplier operative to decover the data samples with a cover code to provide decovered samples, wherein the transformer is operative to transform the decovered samples.
44. The receiver unit of claim 41 , further comprising:
a second summer operative to combine demodulated symbols derived from a plurality of received signals to provide combined demodulated symbols.
45. The receiver unit of claim 44 , wherein the plurality of received signals are from a plurality of cells or sectors in the system.
46. A base station comprising the receiver unit of claim 41 .
47. A terminal comprising the receiver unit of claim 41 .
48. A receiver apparatus in a multiple-access OFDM-CDMA system, comprising:
means for processing a received signal to provide data samples;
means for transforming the data samples in accordance with a particular transformation to provide transformed samples;
means for despreading the transformed samples with one or more sets of despreading coefficients to provide despread samples, wherein each set of despreading coefficients is associated with a respective despreading code that corresponds to a spreading code used to spread data prior to transmission and selected from a set of available spreading codes;
means for combining the despread samples for each time interval to provide a demodulated symbol representative of a transmitted OFDM symbol; and
means for decoding demodulated symbols to provide decoded data.
Priority Applications (16)
| Application Number | Priority Date | Filing Date | Title |
|---|---|---|---|
| US09/982,280 US20030081538A1 (en) | 2001-10-18 | 2001-10-18 | Multiple-access hybrid OFDM-CDMA system |
| JP2003537244A JP2005537691A (en) | 2001-10-18 | 2002-10-16 | Multiple access hybrid OFDM-CDMA system with frequency domain spreading |
| PCT/US2002/033928 WO2003034645A1 (en) | 2001-10-18 | 2002-10-16 | Multiple-access hybrid ofdm-cdma system with frequency-domain spreading |
| CNB028251962A CN100352192C (en) | 2001-10-18 | 2002-10-16 | Multiple access hybrid OFDM-CDMA system with frequency domain extension |
| HK05106664.7A HK1074301B (en) | 2001-10-18 | 2002-10-16 | Multiple-access hybrid ofdm-cdma system with frequency-domain spreading |
| EP07024455A EP1895704A1 (en) | 2001-10-18 | 2002-10-16 | Multiple-access hybrid OFDM-CDMA system with frequency-domain spreading |
| KR1020097006919A KR100966672B1 (en) | 2001-10-18 | 2002-10-16 | Multiple Access Hybrid OPMD-CDMA System by Frequency Domain Spread |
| BR0213346-6A BR0213346A (en) | 2001-10-18 | 2002-10-16 | Cdma-ofdm multiple access hybrid system with frequency domain spreading |
| EP02786479A EP1438801A1 (en) | 2001-10-18 | 2002-10-16 | Multiple-access hybrid ofdm-cdma system with frequency-domain spreading |
| KR1020047005712A KR100942276B1 (en) | 2001-10-18 | 2002-10-16 | Multiple-access hybrid ofdm-cdma system with frequency-domain spreading |
| TW091124087A TWI223517B (en) | 2001-10-18 | 2002-10-18 | Multiple-access hybrid OFDM-CDMA system |
| US10/696,208 US8427936B2 (en) | 2001-10-18 | 2003-10-29 | Multiple-access hybrid OFDM-CDMA system |
| US11/494,126 US7764594B2 (en) | 2001-10-18 | 2006-07-26 | Multiple-access hybrid OFDM-CDMA system |
| JP2009176266A JP2010016837A (en) | 2001-10-18 | 2009-07-29 | Multiple-access hybrid ofdm-cdma system with frequency-domain spreading |
| US12/813,461 US8472306B2 (en) | 2001-10-18 | 2010-06-10 | Multi-access hybrid OFDM-CDMA system |
| US13/227,946 US8948705B2 (en) | 2001-10-18 | 2011-09-08 | Multiple-access hybrid OFDM-CDMA system |
Applications Claiming Priority (1)
| Application Number | Priority Date | Filing Date | Title |
|---|---|---|---|
| US09/982,280 US20030081538A1 (en) | 2001-10-18 | 2001-10-18 | Multiple-access hybrid OFDM-CDMA system |
Related Child Applications (1)
| Application Number | Title | Priority Date | Filing Date |
|---|---|---|---|
| US10/696,208 Division US8427936B2 (en) | 2001-10-18 | 2003-10-29 | Multiple-access hybrid OFDM-CDMA system |
Publications (1)
| Publication Number | Publication Date |
|---|---|
| US20030081538A1 true US20030081538A1 (en) | 2003-05-01 |
Family
ID=25528999
Family Applications (5)
| Application Number | Title | Priority Date | Filing Date |
|---|---|---|---|
| US09/982,280 Abandoned US20030081538A1 (en) | 2001-10-18 | 2001-10-18 | Multiple-access hybrid OFDM-CDMA system |
| US10/696,208 Expired - Lifetime US8427936B2 (en) | 2001-10-18 | 2003-10-29 | Multiple-access hybrid OFDM-CDMA system |
| US11/494,126 Expired - Lifetime US7764594B2 (en) | 2001-10-18 | 2006-07-26 | Multiple-access hybrid OFDM-CDMA system |
| US12/813,461 Expired - Fee Related US8472306B2 (en) | 2001-10-18 | 2010-06-10 | Multi-access hybrid OFDM-CDMA system |
| US13/227,946 Expired - Fee Related US8948705B2 (en) | 2001-10-18 | 2011-09-08 | Multiple-access hybrid OFDM-CDMA system |
Family Applications After (4)
| Application Number | Title | Priority Date | Filing Date |
|---|---|---|---|
| US10/696,208 Expired - Lifetime US8427936B2 (en) | 2001-10-18 | 2003-10-29 | Multiple-access hybrid OFDM-CDMA system |
| US11/494,126 Expired - Lifetime US7764594B2 (en) | 2001-10-18 | 2006-07-26 | Multiple-access hybrid OFDM-CDMA system |
| US12/813,461 Expired - Fee Related US8472306B2 (en) | 2001-10-18 | 2010-06-10 | Multi-access hybrid OFDM-CDMA system |
| US13/227,946 Expired - Fee Related US8948705B2 (en) | 2001-10-18 | 2011-09-08 | Multiple-access hybrid OFDM-CDMA system |
Country Status (8)
| Country | Link |
|---|---|
| US (5) | US20030081538A1 (en) |
| EP (2) | EP1438801A1 (en) |
| JP (2) | JP2005537691A (en) |
| KR (2) | KR100966672B1 (en) |
| CN (1) | CN100352192C (en) |
| BR (1) | BR0213346A (en) |
| TW (1) | TWI223517B (en) |
| WO (1) | WO2003034645A1 (en) |
Cited By (88)
| Publication number | Priority date | Publication date | Assignee | Title |
|---|---|---|---|---|
| US20030053413A1 (en) * | 2001-08-30 | 2003-03-20 | Ntt Docomo, Inc. | Radio transmission system and method, and transmitter apparatus and receiver apparatus used in the radio transmission system |
| US20040001460A1 (en) * | 2002-06-26 | 2004-01-01 | Bevan David Damian Nicholas | Soft handoff method for uplink wireless communications |
| US20040076170A1 (en) * | 2002-10-18 | 2004-04-22 | Nortel Networks Limited | Orthogonal signaling for CDMA |
| US20040081113A1 (en) * | 2002-10-18 | 2004-04-29 | Nortel Networks Limited | Orthogonal signaling for CDMA |
| US20040085892A1 (en) * | 2001-10-18 | 2004-05-06 | Walton Jay R. | Multiple-access hybrid OFDM-CDMA system |
| US20040141481A1 (en) * | 2002-11-01 | 2004-07-22 | Kddi Corporation | Transmitter device and transmitting method using OFDM nd MC-CDMA |
| US20040160933A1 (en) * | 2003-02-18 | 2004-08-19 | Odenwalder Joseph P. | Code division multiplexing commands on a code division multiplexed channel |
| US20040228389A1 (en) * | 2003-03-06 | 2004-11-18 | Odenwalder Joseph P. | Systems and methods for using code space in spread-spectrum communications |
| US20040246998A1 (en) * | 2003-01-21 | 2004-12-09 | Ar Card | Physical layer structures and initial access schemes in a unsynchronized communication network |
| US20050003843A1 (en) * | 2003-02-18 | 2005-01-06 | Ho Sai Yiu Duncan | System and method for scheduling transmissions in a wireless communication system |
| US20050007986A1 (en) * | 2003-02-18 | 2005-01-13 | Malladi Durga P. | Outer-loop power control for wireless communication systems |
| US20050027645A1 (en) * | 2002-01-31 | 2005-02-03 | Wai Shing Lui William | Business enterprise risk model and method |
| US20050030886A1 (en) * | 2003-08-07 | 2005-02-10 | Shiquan Wu | OFDM system and method employing OFDM symbols with known or information-containing prefixes |
| US20050105593A1 (en) * | 2002-10-07 | 2005-05-19 | Takashi Dateki | Transmission power control method and transmission power control apparatus in OFDM-CDMA |
| US20050163082A1 (en) * | 2002-08-23 | 2005-07-28 | Matsushita Electri Industrial Co., Ltd. | Ofdm-cdma transmission device and ofdm-cdma transmission method |
| WO2005084062A1 (en) * | 2004-02-16 | 2005-09-09 | Wavecom | Cellular radiotelephone signal permitting synchronisation of a supplementary channel by means of a principal channel and corresponding method terminal and base station |
| US20050283687A1 (en) * | 2004-06-18 | 2005-12-22 | Qualcomm Incorporated | Power control using erasure techniques |
| US20050286482A1 (en) * | 2004-06-28 | 2005-12-29 | Samsung Electronics Co., Ltd. | Apparatus and method for supporting OFDM operation in a CDMA2000 wireless network |
| US20060013186A1 (en) * | 2004-06-04 | 2006-01-19 | Avneesh Agrawal | Wireless communication system with improved broadcast coverage |
| US20060019694A1 (en) * | 2004-06-18 | 2006-01-26 | Arak Sutivong | Power control for a wireless communication system utilizing orthogonal multiplexing |
| WO2006012376A1 (en) * | 2004-07-20 | 2006-02-02 | Qualcomm Incorporated | Reverse link power control in an orthogonal system |
| WO2004104530A3 (en) * | 2003-05-14 | 2006-02-09 | Qualcomm Inc | Interference and noise estimation in an ofdm system |
| US20060029021A1 (en) * | 2004-08-05 | 2006-02-09 | Hitachi Communication Technologies, Inc. | Handoff control method, base station controller, and base transceiver subsystem |
| EP1641206A2 (en) | 2004-09-08 | 2006-03-29 | Tata Consultancy Services Limited | Semi-blind channel estimation using sub-carriers with lower modulation order in an OFDM system |
| WO2006051587A1 (en) * | 2004-11-10 | 2006-05-18 | Fujitsu Limited | Cell selecting apparatus and cell selecting method |
| US20060199596A1 (en) * | 2005-03-04 | 2006-09-07 | Teauge Edward H | Multi-sector broadcast paging channel |
| US20060215735A1 (en) * | 2003-08-13 | 2006-09-28 | Francesc Dalmases | Method and device for encrypting a digital data stream in a transmission system |
| US20060245472A1 (en) * | 2005-03-24 | 2006-11-02 | Interdigital Technology Corporation | Orthogonal frequency division multiplexing-code division multiple access system |
| US20060256839A1 (en) * | 2005-04-22 | 2006-11-16 | Interdigital Technology Corporation | Hybrid orthogonal frequency division multiple access system and method |
| US20060285481A1 (en) * | 2005-06-13 | 2006-12-21 | Lane Frank A | Communications system, methods and apparatus |
| US20070022441A1 (en) * | 2003-12-30 | 2007-01-25 | Telefonaktiebolaget Lm Ericsson (Publ) | Bandwidth signalling |
| KR100696947B1 (en) | 2005-06-24 | 2007-03-20 | 전자부품연구원 | Reduction of Multiple Access Interference in ODFDMA Uplink System |
| US20070150799A1 (en) * | 2004-06-18 | 2007-06-28 | Arak Sutivong | Robust erasure detection and erasure-rate-based closed loop power control |
| US20070224989A1 (en) * | 2006-03-17 | 2007-09-27 | Futurewei Technologies, Inc. | Method and apparatus for enabling soft handoff in an ofdma-based communication system |
| US20070230388A1 (en) * | 2004-01-29 | 2007-10-04 | Neocific, Inc. | Methods and Apparatus for Multi-Carrier, Multi-Cell Wireless Communication Networks |
| US20070270100A1 (en) * | 2005-10-27 | 2007-11-22 | Avneesh Agrawal | Method and apparatus for estimating reverse link loading in a wireless communication system |
| KR100802844B1 (en) | 2006-06-27 | 2008-02-12 | 최승원 | Ranging Channel Processing Apparatus and Method for Orthogonal Frequency Division Multiple Access System |
| US20080043859A1 (en) * | 2006-08-16 | 2008-02-21 | Harris Corporatoin | System and Method for Applying Frequency Domain Spreading to Multi-Carrier Communications Signals |
| US20080043860A1 (en) * | 2006-08-16 | 2008-02-21 | Harris Corporation, Corporation Of The State Of Delaware | System and Method for Communicating Data Using Symbol-Based Randomized Orthogonal Frequency Division Multiplexing (OFDM) With Selected Subcarriers Turned ON or OFF |
| US20080043861A1 (en) * | 2006-08-16 | 2008-02-21 | Harris Corporation | System and Method for Communicating Data Using Symbol-Based Randomized Orthogonal Frequency Division Multiplexing (OFDM) |
| US20080043814A1 (en) * | 2006-08-16 | 2008-02-21 | Harris Corporation, Corporation Of The State Of Delaware | Method of Communicating and Associated Transmitter Using Coded Orthogonal Frequency Division Multiplexing (COFDM) |
| US20080043812A1 (en) * | 2006-08-16 | 2008-02-21 | Harris Corporation, Corporation Of The State Of Delaware | System and Method for Communicating Data Using Symbol-Based Randomized Orthogonal Frequency Division Multiplexing (OFDM) With Applied Frequency Domain Spreading |
| KR100812352B1 (en) | 2006-12-08 | 2008-03-11 | 한국전자통신연구원 | Uplink Control Channel Structure and Allocation Method in Mobile Broadband Wireless Access System |
| US20080076429A1 (en) * | 2006-09-08 | 2008-03-27 | Futurewei Technologies, Inc. | System for control, management, and transmission for soft handoff in an ofdma-based communication system |
| US20080090574A1 (en) * | 2006-08-24 | 2008-04-17 | Futurewei Technologies, Inc. | Method and System for Managing Radio Resources for Soft Handoff in an OFDMA-Based Communication System |
| US20080117833A1 (en) * | 2006-09-08 | 2008-05-22 | Qualcomm Incorporated | method and apparatus for fast other sector interference (osi) adjustment |
| US20080161033A1 (en) * | 2006-09-08 | 2008-07-03 | Qualcomm, Incorporated | Method and appartus for adjustments for delta-based power control in wireless communication systems |
| US20080162671A1 (en) * | 2006-09-29 | 2008-07-03 | Rockwell Automation Technologies, Inc. | Proxy object configuration of industrial component |
| US20080194286A1 (en) * | 2003-02-18 | 2008-08-14 | Qualcomm Incorporated | Systems and methods for performing outer loop power control in wireless communication systems |
| US20080273522A1 (en) * | 2007-05-01 | 2008-11-06 | Tao Luo | Generation and detection of synchronization signal in a wireless communication system |
| US20080298436A1 (en) * | 2007-05-28 | 2008-12-04 | Telefonaktiebolaget L M Ericsson (Publ) | Random Access Collision Detection |
| US20090079486A1 (en) * | 2007-09-21 | 2009-03-26 | Qualcomm Incorporated | Signal generator with signal tracking |
| US20090080568A1 (en) * | 2007-09-21 | 2009-03-26 | Qualcomm Incorporated | Signal generator with adjustable phase |
| US20090083602A1 (en) * | 2003-01-10 | 2009-03-26 | Qualcomm Incorporated | Operation of a forward link acknowledgement channel for the reverse link data |
| US20090080101A1 (en) * | 2007-09-21 | 2009-03-26 | Qualcomm Incorporated | Signal generator with adjustable frequency |
| US20090245084A1 (en) * | 2008-04-01 | 2009-10-01 | Harris Corporation | System and method for communicating data using efficient fast fourier transform (fft) for orthogonal frequency division multiplexing (ofdm) |
| US20090245397A1 (en) * | 2008-04-01 | 2009-10-01 | Harris Corporation, Corporation Of The State Of Delaware | System and method for communicating data using efficient fast fourier transform (fft) for orthogonal frequency division multiplexing (ofdm) demodulation |
| US20100020901A1 (en) * | 2006-07-07 | 2010-01-28 | Samsung Electronics Co., Ltd. | Method and apparatus for transmitting signal in communication system |
| US20100054211A1 (en) * | 2008-08-27 | 2010-03-04 | Qualcomm Incorporated | Frequency domain pn sequence |
| US20100135156A1 (en) * | 2003-02-18 | 2010-06-03 | Qualcomm Incorporated | Congestion control in a wireless data network |
| US20100284479A1 (en) * | 2007-11-28 | 2010-11-11 | Fujitsu Limited | Radio Transmission Apparatus, Radio Reception Apparatus, Radio Transmission-Reception System, And Method Thereof |
| US20110069781A1 (en) * | 2006-07-27 | 2011-03-24 | Kabushiki Kaisha Toshiba | Wireless communication apparatus, wireless communication system, and transmission method |
| US8023950B2 (en) | 2003-02-18 | 2011-09-20 | Qualcomm Incorporated | Systems and methods for using selectable frame durations in a wireless communication system |
| US8201039B2 (en) | 2003-08-05 | 2012-06-12 | Qualcomm Incorporated | Combining grant, acknowledgement, and rate control commands |
| US8229009B2 (en) | 2008-04-01 | 2012-07-24 | Harris Corporation | System and method for communicating data using efficient fast fourier transform (FFT) for orthogonal frequency division multiplexing (OFDM) modulation |
| US20130028241A1 (en) * | 2010-04-02 | 2013-01-31 | Fujitsu Limited | Method for sending uplink sounding reference signal, method for estimating channel, mobile terminal, base station and wireless communication system |
| US8428009B2 (en) | 2004-01-29 | 2013-04-23 | Neocific, Inc. | Methods and apparatus for signal transmission and reception in a broadband communication system |
| US8526966B2 (en) | 2003-02-18 | 2013-09-03 | Qualcomm Incorporated | Scheduled and autonomous transmission and acknowledgement |
| US8548387B2 (en) | 2003-03-06 | 2013-10-01 | Qualcomm Incorporated | Method and apparatus for providing uplink signal-to-noise ratio (SNR) estimation in a wireless communication system |
| US20140078920A1 (en) * | 2012-09-14 | 2014-03-20 | Qualcomm Incorporated | Systems and methods for wireless communication |
| US8724443B2 (en) | 2004-05-01 | 2014-05-13 | Neocific, Inc. | Methods and apparatus for subframe configuration and generation in a multi-carrier communication system |
| US8837375B2 (en) | 2011-12-09 | 2014-09-16 | Qualcomm Incorporated | Support for voice over flexible bandwidth carrier systems |
| US8848574B2 (en) | 2005-03-15 | 2014-09-30 | Qualcomm Incorporated | Interference control in a wireless communication system |
| US8849210B2 (en) | 2005-03-15 | 2014-09-30 | Qualcomm Incorporated | Interference control in a wireless communication system |
| US20140301734A1 (en) * | 2013-04-09 | 2014-10-09 | Futurewei Technologies, Inc. | Optimizing Optical Systems Using Code Division Multiple Access and/or Orthogonal Frequency-Division Multiplexing |
| US9008024B2 (en) | 2008-03-26 | 2015-04-14 | Qualcomm Incorporated | Method and apparatus for mapping virtual resources to physical resources in a wireless communication system |
| US9155106B2 (en) | 2002-10-29 | 2015-10-06 | Qualcomm Incorporated | Uplink pilot and signaling transmission in wireless communication systems |
| US9220101B2 (en) | 2011-11-07 | 2015-12-22 | Qualcomm Incorporated | Signaling and traffic carrier splitting for wireless communications systems |
| US9516531B2 (en) | 2011-11-07 | 2016-12-06 | Qualcomm Incorporated | Assistance information for flexible bandwidth carrier mobility methods, systems, and devices |
| US20170208600A1 (en) * | 2016-01-19 | 2017-07-20 | Mediatek Inc. | Methods for enhancing performance of a communications apparatus suffering from doppler effect and communications apparatus utilizing the same |
| US9848339B2 (en) | 2011-11-07 | 2017-12-19 | Qualcomm Incorporated | Voice service solutions for flexible bandwidth systems |
| US9942878B2 (en) | 2004-01-09 | 2018-04-10 | Intel Corporation | Transport format combination selection in a wireless transmit/receive unit |
| US9992702B2 (en) | 2003-05-16 | 2018-06-05 | Sony Corporation | Wireless communication apparatus, a method of wireless communication, and a program for wireless communication |
| US9998379B2 (en) | 2003-02-18 | 2018-06-12 | Qualcomm Incorporated | Method and apparatus for controlling data rate of a reverse link in a communication system |
| US10348467B2 (en) | 2013-03-11 | 2019-07-09 | Qualcomm Incorporated | Effective utilization of cyclic prefix in OFDM systems under benign channel conditions |
| CN111096003A (en) * | 2017-09-11 | 2020-05-01 | 大陆汽车有限责任公司 | Method for controlling power of radio frequency system |
| US10834706B2 (en) | 2004-02-13 | 2020-11-10 | Neo Wireless Llc | Methods and apparatus for multi-carrier communication systems with adaptive transmission and feedback |
| US20230012549A1 (en) * | 2017-09-11 | 2023-01-19 | Cohere Technologies, Inc. | Wireless local area networks using orthogonal time frequency space modulation |
Families Citing this family (102)
| Publication number | Priority date | Publication date | Assignee | Title |
|---|---|---|---|---|
| US10931338B2 (en) | 2001-04-26 | 2021-02-23 | Genghiscomm Holdings, LLC | Coordinated multipoint systems |
| US7012884B2 (en) * | 2001-11-02 | 2006-03-14 | Intel Corporation | Zero-overhead method for sequence reversible and pattern independent orthogonal multiplexing |
| KR100520655B1 (en) * | 2001-11-10 | 2005-10-13 | 삼성전자주식회사 | Automatic repeat request apparatus using frequency diversity in orthogonal frequency division multiplexing mobile communication system and method thereof |
| US7042858B1 (en) * | 2002-03-22 | 2006-05-09 | Jianglei Ma | Soft handoff for OFDM |
| US10644916B1 (en) * | 2002-05-14 | 2020-05-05 | Genghiscomm Holdings, LLC | Spreading and precoding in OFDM |
| US7085582B2 (en) * | 2002-07-31 | 2006-08-01 | Motorola, Inc. | Pilot information gain control method and apparatus |
| JPWO2004032375A1 (en) * | 2002-10-07 | 2006-02-02 | 富士通株式会社 | Transmission power control method and transmission power control apparatus in OFDM-CDMA |
| EP1503535A4 (en) * | 2002-10-31 | 2011-07-06 | Panasonic Corp | TRANSMISSION DEVICE AND METHOD |
| US7177297B2 (en) * | 2003-05-12 | 2007-02-13 | Qualcomm Incorporated | Fast frequency hopping with a code division multiplexed pilot in an OFDMA system |
| JP3871270B2 (en) * | 2003-05-20 | 2007-01-24 | 株式会社インテリジェント・コスモス研究機構 | Transmitting apparatus and communication system |
| DE60337035D1 (en) | 2003-07-29 | 2011-06-16 | Fujitsu Ltd | Pilot multiplexing and transmitting device for an OFDM system |
| EP1507378B1 (en) * | 2003-08-14 | 2012-10-24 | Sony Deutschland GmbH | Frame and frequency synchronization for OFDM |
| US8149766B2 (en) * | 2003-10-03 | 2012-04-03 | Qualcomm Incorporated | Method of downlink resource allocation in a sectorized environment |
| US7230942B2 (en) * | 2003-10-03 | 2007-06-12 | Qualcomm, Incorporated | Method of downlink resource allocation in a sectorized environment |
| KR100594597B1 (en) * | 2003-10-24 | 2006-06-30 | 한국전자통신연구원 | Method and apparatus for configuring downlink signal in mobile communication system, method and apparatus for synchronization and cell search using same |
| US7047009B2 (en) * | 2003-12-05 | 2006-05-16 | Flarion Technologies, Inc. | Base station based methods and apparatus for supporting break before make handoffs in a multi-carrier system |
| US7212821B2 (en) * | 2003-12-05 | 2007-05-01 | Qualcomm Incorporated | Methods and apparatus for performing handoffs in a multi-carrier wireless communications system |
| US7461313B2 (en) * | 2003-12-30 | 2008-12-02 | Qualcomm Incorporated | Test pattern generation |
| AU2003295307A1 (en) * | 2003-12-31 | 2005-07-21 | Agency For Science, Technology And Research | A variable spreading factor-orthogonal frequency and code division multiplexing (vsf-ofcdm) system, a receiver for use therein and a method of processing received signals in such a system |
| TWI232041B (en) * | 2004-01-15 | 2005-05-01 | Accton Technology Corp | Multicarrier and multirate CDMA system |
| US7339999B2 (en) | 2004-01-21 | 2008-03-04 | Qualcomm Incorporated | Pilot transmission and channel estimation for an OFDM system with excess delay spread |
| US7609786B2 (en) * | 2004-01-28 | 2009-10-27 | Qualcomm Incorporated | Channel estimation for a communication system using spectral estimation |
| US8553822B2 (en) | 2004-01-28 | 2013-10-08 | Qualcomm Incorporated | Time filtering for excess delay mitigation in OFDM systems |
| KR100918736B1 (en) * | 2004-03-05 | 2009-09-24 | 삼성전자주식회사 | Apparatus and method for transmitting/receiving pilot signal in a communication system |
| JP2005269392A (en) * | 2004-03-19 | 2005-09-29 | Nec Electronics Corp | Receiving device, receiving method, and communication system and device |
| JP4637498B2 (en) * | 2004-04-16 | 2011-02-23 | パナソニック株式会社 | Communication apparatus and communication method |
| JP2005311413A (en) * | 2004-04-16 | 2005-11-04 | Matsushita Electric Ind Co Ltd | Communication apparatus and communication method |
| KR101079084B1 (en) * | 2004-06-18 | 2011-11-02 | 엘지전자 주식회사 | Method for Transmitting Scheduling Command for Uplink E-DCH in Softer Handover Region |
| KR100739511B1 (en) * | 2004-06-25 | 2007-07-13 | 삼성전자주식회사 | Apparatus and method for transmitting/receiving pilot signal in a communication system using orthogonal frequency division multiplexing scheme |
| US20060013182A1 (en) * | 2004-07-19 | 2006-01-19 | Telefonaktiebolaget Lm Ericsson | Selective multicarrier CDMA network |
| US8891349B2 (en) | 2004-07-23 | 2014-11-18 | Qualcomm Incorporated | Method of optimizing portions of a frame |
| CN100446459C (en) * | 2004-07-27 | 2008-12-24 | 美国博通公司 | Network equipment and method for high-speed greenfield transmission with mixed-mode frame structure |
| US11431386B1 (en) | 2004-08-02 | 2022-08-30 | Genghiscomm Holdings, LLC | Transmit pre-coding |
| US8144572B2 (en) * | 2004-09-14 | 2012-03-27 | Qualcomm Incorporated | Detection and mitigation of interference and jammers in an OFDM system |
| US8831115B2 (en) | 2004-12-22 | 2014-09-09 | Qualcomm Incorporated | MC-CDMA multiplexing in an orthogonal uplink |
| JP2006246440A (en) * | 2005-02-03 | 2006-09-14 | Toshiba Corp | Wireless communication terminal and handover control method |
| US7489755B2 (en) | 2005-02-09 | 2009-02-10 | Motorola, Inc. | Method and apparatus for transmission and reception of data |
| EP1849245A4 (en) * | 2005-02-18 | 2011-08-03 | Lg Electronics Inc | Wireless multiple access system for suppressing inter-cell interference |
| US20060187887A1 (en) * | 2005-02-18 | 2006-08-24 | Lg Electronics Inc. | Wireless multiple access system for suppressing inter-cell interference |
| US20060270434A1 (en) * | 2005-05-27 | 2006-11-30 | Interdigital Technology Corporation | Uplink power control optimization for a switched beam wireless transmit/receive unit |
| US20070071125A1 (en) * | 2005-09-29 | 2007-03-29 | Motorola, Inc. | Method and apparatus for ifdma transmission |
| CN101313501B (en) | 2005-12-09 | 2013-03-20 | 桥扬科技有限公司 | Frequency correction method in a multi-carrier communication system, mobile device and base station |
| KR100891818B1 (en) | 2006-01-27 | 2009-04-07 | 삼성전자주식회사 | Composite Multiple Access Device and Method in Mobile Communication System |
| KR100895183B1 (en) * | 2006-02-03 | 2009-04-24 | 삼성전자주식회사 | Transmitting/receiving method and apparatus canceling other cell interference in wireless communication systems |
| AU2007200185A1 (en) * | 2006-02-08 | 2007-08-23 | Nec Australia Pty Ltd | Delivery of multicast and uni-cast services in an OFDMA system |
| JP2009540767A (en) * | 2006-06-13 | 2009-11-19 | クゥアルコム・インコーポレイテッド | Reverse link pilot transmission for wireless communication systems |
| US7558255B2 (en) * | 2006-07-13 | 2009-07-07 | Alcatel-Lucent Usa Inc. | Method of switching modes of uplink transmission in a wireless communication system |
| CN101123600B (en) * | 2006-08-11 | 2012-01-11 | 华为技术有限公司 | Orthogonal frequency division multi-address access system and its device, transmission method and terminal |
| CN101141156B (en) * | 2006-09-04 | 2012-04-25 | 华为技术有限公司 | Transmission method and system for power control information |
| CN101141179B (en) * | 2006-09-08 | 2011-06-01 | 华为技术有限公司 | Method and device for implementing information transfer in wireless communication system |
| US20080069265A1 (en) * | 2006-09-15 | 2008-03-20 | Nokia Corporation | Transmitter |
| CN101175308B (en) * | 2006-11-01 | 2011-11-09 | 株式会社Ntt都科摩 | Ascending link resource scheduling method in honeycomb communication system |
| GB2458418B (en) | 2006-12-19 | 2011-08-03 | Lg Electronics Inc | Sequence generating method for efficient detection and method for transmitting and receiving signals using the same |
| CN101136895B (en) * | 2007-03-14 | 2010-06-02 | 中兴通讯股份有限公司 | An Automatic Calibration Method Based on Instance Process in Multi-Carrier Systems |
| US7983356B2 (en) * | 2007-06-29 | 2011-07-19 | Qualcomm, Incorporated | Enhanced frequency domain spreading |
| KR100938756B1 (en) * | 2007-07-06 | 2010-01-26 | 엘지전자 주식회사 | How to perform cell search in wireless communication system |
| CN101364825B (en) * | 2007-08-10 | 2012-05-30 | 华为技术有限公司 | Method, system, base station and user equipment for macro diversity combining |
| US20110007777A1 (en) * | 2009-07-10 | 2011-01-13 | Sony Ericsson Mobile Communications Ab | Low power radio system |
| US8712483B2 (en) | 2007-12-11 | 2014-04-29 | Sony Corporation | Wake-up radio system |
| KR100926570B1 (en) * | 2007-12-13 | 2009-11-12 | 한국전자통신연구원 | Modulation apparatus and method of base station |
| KR100903875B1 (en) * | 2007-12-13 | 2009-06-24 | 한국전자통신연구원 | Modulation apparatus and method of base station |
| US8270548B2 (en) * | 2008-01-29 | 2012-09-18 | Telefonaktiebolaget L M Ericsson (Publ) | Method for determining system information, and decoder, terminal, and computer program |
| EP2086190B1 (en) * | 2008-01-29 | 2019-07-24 | Telefonaktiebolaget LM Ericsson (publ) | Method for determining system information as well as terminal and computer program |
| EP2099185B1 (en) * | 2008-01-29 | 2017-07-12 | Telefonaktiebolaget LM Ericsson (publ) | Channel estimation in a terminal of an OFDM-based, cellular telecommunications system |
| CN101227739B (en) * | 2008-02-02 | 2011-12-07 | 中兴通讯股份有限公司 | Distribution method of physics commingle retransmission indicating channel resource |
| US8548081B2 (en) | 2008-02-20 | 2013-10-01 | Qualcomm Incorporated | Methods and apparatus for diversity combining of repeated signals in OFDMA systems |
| US8155039B2 (en) * | 2008-03-17 | 2012-04-10 | Wi-Lan, Inc. | System and apparatus for cascading and redistributing HDTV signals |
| US8411766B2 (en) * | 2008-04-09 | 2013-04-02 | Wi-Lan, Inc. | System and method for utilizing spectral resources in wireless communications |
| US8005152B2 (en) | 2008-05-21 | 2011-08-23 | Samplify Systems, Inc. | Compression of baseband signals in base transceiver systems |
| KR100964382B1 (en) * | 2008-05-23 | 2010-06-17 | 한국전자통신연구원 | Method and apparatus for transmitting and receiving digital multimedia broadcasting |
| US20120020326A1 (en) * | 2008-07-03 | 2012-01-26 | Hang Zhang | Method and apparatus for effecting a handoff in a frequency-division multiplex network |
| US8619544B2 (en) * | 2008-09-23 | 2013-12-31 | Qualcomm Incorporated | Apparatus and method for facilitating transmit diversity for communications |
| US8274885B2 (en) * | 2008-10-03 | 2012-09-25 | Wi-Lan, Inc. | System and method for data distribution in VHF/UHF bands |
| US8107391B2 (en) | 2008-11-19 | 2012-01-31 | Wi-Lan, Inc. | Systems and etiquette for home gateways using white space |
| US8335204B2 (en) | 2009-01-30 | 2012-12-18 | Wi-Lan, Inc. | Wireless local area network using TV white space spectrum and long term evolution system architecture |
| US20100309317A1 (en) * | 2009-06-04 | 2010-12-09 | Wi-Lan Inc. | Device and method for detecting unused tv spectrum for wireless communication systems |
| US8937872B2 (en) * | 2009-06-08 | 2015-01-20 | Wi-Lan, Inc. | Peer-to-peer control network for a wireless radio access network |
| US8422420B1 (en) * | 2009-12-17 | 2013-04-16 | Qualcomm Incorporated | Transmit power adaptation for wireless communication systems |
| US8649388B2 (en) | 2010-09-02 | 2014-02-11 | Integrated Device Technology, Inc. | Transmission of multiprotocol data in a distributed antenna system |
| US8989088B2 (en) * | 2011-01-07 | 2015-03-24 | Integrated Device Technology Inc. | OFDM signal processing in a base transceiver system |
| US9059778B2 (en) * | 2011-01-07 | 2015-06-16 | Integrated Device Technology Inc. | Frequency domain compression in a base transceiver system |
| US8848671B2 (en) | 2011-08-09 | 2014-09-30 | Motorola Mobility Llc | Apparatus and method of using CDMA architecture for 3GPP2 compliant transceivers |
| WO2013024586A1 (en) * | 2011-08-12 | 2013-02-21 | 京セラ株式会社 | Wireless communication system and wireless communication system control method |
| KR102112291B1 (en) * | 2011-12-01 | 2020-06-04 | 삼성전자주식회사 | Method and system for channel mitigation using per-tone spreading in single carrier block transmissions |
| US9215296B1 (en) | 2012-05-03 | 2015-12-15 | Integrated Device Technology, Inc. | Method and apparatus for efficient radio unit processing in a communication system |
| US9178683B2 (en) * | 2012-05-23 | 2015-11-03 | Hughes Network Systems, Llc | Method and apparatus for parallel demodulation of high symbol rate data streams in a communications system |
| CN104243373B (en) * | 2013-06-09 | 2017-11-24 | 大唐联诚信息系统技术有限公司 | A kind of asynchronous interference detection method and device reached under scene of multi-user |
| US9203933B1 (en) | 2013-08-28 | 2015-12-01 | Integrated Device Technology, Inc. | Method and apparatus for efficient data compression in a communication system |
| US9553954B1 (en) | 2013-10-01 | 2017-01-24 | Integrated Device Technology, Inc. | Method and apparatus utilizing packet segment compression parameters for compression in a communication system |
| US9485688B1 (en) | 2013-10-09 | 2016-11-01 | Integrated Device Technology, Inc. | Method and apparatus for controlling error and identifying bursts in a data compression system |
| US8989257B1 (en) | 2013-10-09 | 2015-03-24 | Integrated Device Technology Inc. | Method and apparatus for providing near-zero jitter real-time compression in a communication system |
| US9398489B1 (en) | 2013-10-09 | 2016-07-19 | Integrated Device Technology | Method and apparatus for context based data compression in a communication system |
| US9313300B2 (en) | 2013-11-07 | 2016-04-12 | Integrated Device Technology, Inc. | Methods and apparatuses for a unified compression framework of baseband signals |
| EP2887760A1 (en) | 2013-12-23 | 2015-06-24 | Telefonica S.A. | A method and a system for performing virtualization of a radio access technology over Orthogonal Frequency-Division Multiple Access (OFDMA) wireless networks and computer program products thereof |
| US12224860B1 (en) | 2014-01-30 | 2025-02-11 | Genghiscomm Holdings, LLC | Linear coding in decentralized networks |
| CN107251503B (en) * | 2015-03-13 | 2020-08-14 | 诺基亚技术有限公司 | Non-orthogonal cover codes for co-channel network isolation |
| KR101701421B1 (en) * | 2015-10-16 | 2017-02-13 | 고려대학교 산학협력단 | Method and apparatus for multi-sequence spreading-based random access and multi-user detection |
| US10243773B1 (en) | 2017-06-30 | 2019-03-26 | Genghiscomm Holdings, LLC | Efficient peak-to-average-power reduction for OFDM and MIMO-OFDM |
| US10637705B1 (en) | 2017-05-25 | 2020-04-28 | Genghiscomm Holdings, LLC | Peak-to-average-power reduction for OFDM multiple access |
| US12206535B1 (en) | 2018-06-17 | 2025-01-21 | Tybalt, Llc | Artificial neural networks in wireless communication systems |
| US11917604B2 (en) | 2019-01-25 | 2024-02-27 | Tybalt, Llc | Orthogonal multiple access and non-orthogonal multiple access |
| WO2020242898A1 (en) | 2019-05-26 | 2020-12-03 | Genghiscomm Holdings, LLC | Non-orthogonal multiple access |
Citations (18)
| Publication number | Priority date | Publication date | Assignee | Title |
|---|---|---|---|---|
| US5056109A (en) * | 1989-11-07 | 1991-10-08 | Qualcomm, Inc. | Method and apparatus for controlling transmission power in a cdma cellular mobile telephone system |
| US5101501A (en) * | 1989-11-07 | 1992-03-31 | Qualcomm Incorporated | Method and system for providing a soft handoff in communications in a cdma cellular telephone system |
| US5265119A (en) * | 1989-11-07 | 1993-11-23 | Qualcomm Incorporated | Method and apparatus for controlling transmission power in a CDMA cellular mobile telephone system |
| US5267261A (en) * | 1992-03-05 | 1993-11-30 | Qualcomm Incorporated | Mobile station assisted soft handoff in a CDMA cellular communications system |
| US5268938A (en) * | 1992-01-21 | 1993-12-07 | International Business Machines Corporation | Redundancy scheme for Fourier transform coding on peak limited channels |
| US5559790A (en) * | 1993-07-23 | 1996-09-24 | Hitachi, Ltd. | Spread spectrum communication system and transmission power control method therefor |
| US5799005A (en) * | 1996-04-30 | 1998-08-25 | Qualcomm Incorporated | System and method for determining received pilot power and path loss in a CDMA communication system |
| US5903554A (en) * | 1996-09-27 | 1999-05-11 | Qualcomm Incorporation | Method and apparatus for measuring link quality in a spread spectrum communication system |
| US6011980A (en) * | 1996-08-21 | 2000-01-04 | Oki Electric Industry Co., Ltd. | Wireless telecommunication equipment |
| US6097972A (en) * | 1997-08-29 | 2000-08-01 | Qualcomm Incorporated | Method and apparatus for processing power control signals in CDMA mobile telephone system |
| US6175550B1 (en) * | 1997-04-01 | 2001-01-16 | Lucent Technologies, Inc. | Orthogonal frequency division multiplexing system with dynamically scalable operating parameters and method thereof |
| US6219377B1 (en) * | 1998-06-29 | 2001-04-17 | Legerity, Inc. | Method and apparatus for generating tones in a multi-tone modem |
| US20020122499A1 (en) * | 2000-12-22 | 2002-09-05 | Anand Kannan | Method and apparatus for error reduction in an orthogonal modulation system |
| US20020145968A1 (en) * | 2001-02-28 | 2002-10-10 | Hongliang Zhang | Transmit power control for an OFDM-based wireless communication system |
| US6519292B1 (en) * | 1998-02-26 | 2003-02-11 | Sony Corporation | Transmission method, transmitter and receiver |
| US6563786B1 (en) * | 1998-01-06 | 2003-05-13 | Agere Systems Inc. | Orthogonal frequency division multiplexing system with selectable rate |
| US6570912B1 (en) * | 1999-03-05 | 2003-05-27 | Pctel, Inc. | Hybrid software/hardware discrete multi-tone transceiver |
| US6584144B2 (en) * | 1997-02-24 | 2003-06-24 | At&T Wireless Services, Inc. | Vertical adaptive antenna array for a discrete multitone spread spectrum communications system |
Family Cites Families (37)
| Publication number | Priority date | Publication date | Assignee | Title |
|---|---|---|---|---|
| US5627863A (en) * | 1994-07-15 | 1997-05-06 | Amati Communications Corporation | Frame synchronization in multicarrier transmission systems |
| GB2302777B (en) * | 1995-06-27 | 2000-02-23 | Motorola Israel Ltd | Method of recovering symbols of a digitally modulated radio signal |
| US5870378A (en) * | 1996-08-20 | 1999-02-09 | Lucent Technologies Inc. | Method and apparatus of a multi-code code division multiple access receiver having a shared accumulator circuits |
| US6359923B1 (en) * | 1997-12-18 | 2002-03-19 | At&T Wireless Services, Inc. | Highly bandwidth efficient communications |
| US6038450A (en) * | 1997-09-12 | 2000-03-14 | Lucent Technologies, Inc. | Soft handover system for a multiple sub-carrier communication system and method thereof |
| US6498806B1 (en) * | 1998-08-17 | 2002-12-24 | International Business Machines Corporation | Shared asymmetric digital subscriber line modem |
| US6074086A (en) * | 1999-04-26 | 2000-06-13 | Intellon Corporation | Synchronization of OFDM signals with improved windowing |
| US6608864B1 (en) * | 1999-05-26 | 2003-08-19 | 3Com Corporation | Method and apparatus for fault recovery in a decision feedback equalizer |
| US6546056B1 (en) * | 1999-05-28 | 2003-04-08 | 3Com Corporation | Timing recovery in a multi-tone modem |
| US7173919B1 (en) * | 1999-06-11 | 2007-02-06 | Texas Instruments Incorporated | Random access preamble coding for initiation of wireless mobile communications sessions |
| JP3715141B2 (en) * | 1999-07-13 | 2005-11-09 | 松下電器産業株式会社 | Communication terminal device |
| FR2805943B1 (en) * | 1999-09-14 | 2002-08-09 | Inst Nat Sciences Appliq | EQUALIZATION METHOD IN RECEIVERS USING A COMBINATION OF MULTI-CARRIER AND MULTIPLE ACCESS MODULATION MODULATIONS BY CODES DISTRIBUTION |
| JP2003524338A (en) * | 2000-02-22 | 2003-08-12 | コーニンクレッカ フィリップス エレクトロニクス エヌ ヴィ | Multi-channel receiver with channel estimator |
| EP1128592A3 (en) * | 2000-02-23 | 2003-09-17 | NTT DoCoMo, Inc. | Multi-carrier CDMA and channel estimation |
| AU5061001A (en) * | 2000-04-10 | 2001-10-23 | Jtc 2000 Development (Delaware), Inc. | Input configuration for shearing processor |
| US7248841B2 (en) * | 2000-06-13 | 2007-07-24 | Agee Brian G | Method and apparatus for optimization of wireless multipoint electromagnetic communication networks |
| JP4326217B2 (en) * | 2000-07-11 | 2009-09-02 | 富士通株式会社 | Code division multiplexing communication system, code division multiplexing transmission apparatus, and spread signal transmission method |
| US7031371B1 (en) * | 2000-09-25 | 2006-04-18 | Lakkis Ismail A | CDMA/TDMA communication method and apparatus for wireless communication using cyclic spreading codes |
| US20030081538A1 (en) * | 2001-10-18 | 2003-05-01 | Walton Jay R. | Multiple-access hybrid OFDM-CDMA system |
| ATE471002T1 (en) | 2002-04-25 | 2010-06-15 | Imec | CDMA RECEIVE-TRANSMISSION TECHNIQUES FOR RADIO SYSTEMS WITH MULTIPLE INPUTS AND MULTIPLE OUTPUTS (MIMO) |
| US20040001606A1 (en) * | 2002-06-28 | 2004-01-01 | Levy Kenneth L. | Watermark fonts |
| GB2393618B (en) | 2002-09-26 | 2004-12-15 | Toshiba Res Europ Ltd | Transmission signals methods and apparatus |
| US7453793B1 (en) | 2003-04-10 | 2008-11-18 | Qualcomm Incorporated | Channel estimation for OFDM communication systems including IEEE 802.11A and extended rate systems |
| US6854144B1 (en) * | 2003-12-11 | 2005-02-15 | Samuel S. Mehring, Jr. | Therapeutic mattress system |
| GB2411327A (en) | 2004-02-20 | 2005-08-24 | Toshiba Res Europ Ltd | Training sequence for MIMO-OFDM which is suitable for use with null sub-carriers |
| WO2007091163A2 (en) | 2006-02-08 | 2007-08-16 | Nokia Corporation | Method for multiplexing users with code and frequency multiplexing |
| TW200746735A (en) | 2006-02-08 | 2007-12-16 | Qualcomm Inc | Spectral shaping to reduce peak-to-average ratio in wireless communication |
| JP4959791B2 (en) | 2006-06-14 | 2012-06-27 | アギア システムズ インコーポレーテッド | Orthogonal frequency division multiplexing using subsymbol processing |
| US8374161B2 (en) | 2006-07-07 | 2013-02-12 | Qualcomm Incorporated | Method and apparatus for sending data and control information in a wireless communication system |
| US9143288B2 (en) | 2006-07-24 | 2015-09-22 | Qualcomm Incorporated | Variable control channel for a wireless communication system |
| US8670504B2 (en) | 2006-12-19 | 2014-03-11 | Qualcomm Incorporated | Beamspace-time coding based on channel quality feedback |
| FR2916116A1 (en) * | 2007-05-11 | 2008-11-14 | France Telecom | METHODS FOR TRANSMITTING AND RECEIVING A MULTIPLE CARRIER SIGNAL AND SPECTRUM SHIFTING, SIGNAL, COMPUTER PROGRAM PRODUCTS, AND CORRESPONDING TRANSMITTING AND RECEIVING DEVICES. |
| US8483107B2 (en) * | 2008-03-16 | 2013-07-09 | Lg Electronics Inc. | Method and apparatus for acquiring resource allocation of control channel |
| KR101591086B1 (en) * | 2008-05-21 | 2016-02-03 | 엘지전자 주식회사 | Method of performing harq in multiple antenna system |
| US9608780B2 (en) | 2008-09-23 | 2017-03-28 | Qualcomm Incorporated | Transmit diversity for SC-FDMA |
| US8644397B2 (en) | 2008-09-23 | 2014-02-04 | Qualcomm Incorporated | Efficient multiplexing of reference signal and data in a wireless communication system |
| TWI504299B (en) * | 2008-10-20 | 2015-10-11 | Interdigital Patent Holdings | Carrier aggregation uplink control information transmission method |
-
2001
- 2001-10-18 US US09/982,280 patent/US20030081538A1/en not_active Abandoned
-
2002
- 2002-10-16 BR BR0213346-6A patent/BR0213346A/en not_active IP Right Cessation
- 2002-10-16 EP EP02786479A patent/EP1438801A1/en not_active Ceased
- 2002-10-16 WO PCT/US2002/033928 patent/WO2003034645A1/en not_active Ceased
- 2002-10-16 EP EP07024455A patent/EP1895704A1/en not_active Withdrawn
- 2002-10-16 KR KR1020097006919A patent/KR100966672B1/en not_active Expired - Fee Related
- 2002-10-16 KR KR1020047005712A patent/KR100942276B1/en not_active Expired - Fee Related
- 2002-10-16 JP JP2003537244A patent/JP2005537691A/en not_active Ceased
- 2002-10-16 CN CNB028251962A patent/CN100352192C/en not_active Expired - Lifetime
- 2002-10-18 TW TW091124087A patent/TWI223517B/en not_active IP Right Cessation
-
2003
- 2003-10-29 US US10/696,208 patent/US8427936B2/en not_active Expired - Lifetime
-
2006
- 2006-07-26 US US11/494,126 patent/US7764594B2/en not_active Expired - Lifetime
-
2009
- 2009-07-29 JP JP2009176266A patent/JP2010016837A/en active Pending
-
2010
- 2010-06-10 US US12/813,461 patent/US8472306B2/en not_active Expired - Fee Related
-
2011
- 2011-09-08 US US13/227,946 patent/US8948705B2/en not_active Expired - Fee Related
Patent Citations (18)
| Publication number | Priority date | Publication date | Assignee | Title |
|---|---|---|---|---|
| US5056109A (en) * | 1989-11-07 | 1991-10-08 | Qualcomm, Inc. | Method and apparatus for controlling transmission power in a cdma cellular mobile telephone system |
| US5101501A (en) * | 1989-11-07 | 1992-03-31 | Qualcomm Incorporated | Method and system for providing a soft handoff in communications in a cdma cellular telephone system |
| US5265119A (en) * | 1989-11-07 | 1993-11-23 | Qualcomm Incorporated | Method and apparatus for controlling transmission power in a CDMA cellular mobile telephone system |
| US5268938A (en) * | 1992-01-21 | 1993-12-07 | International Business Machines Corporation | Redundancy scheme for Fourier transform coding on peak limited channels |
| US5267261A (en) * | 1992-03-05 | 1993-11-30 | Qualcomm Incorporated | Mobile station assisted soft handoff in a CDMA cellular communications system |
| US5559790A (en) * | 1993-07-23 | 1996-09-24 | Hitachi, Ltd. | Spread spectrum communication system and transmission power control method therefor |
| US5799005A (en) * | 1996-04-30 | 1998-08-25 | Qualcomm Incorporated | System and method for determining received pilot power and path loss in a CDMA communication system |
| US6011980A (en) * | 1996-08-21 | 2000-01-04 | Oki Electric Industry Co., Ltd. | Wireless telecommunication equipment |
| US5903554A (en) * | 1996-09-27 | 1999-05-11 | Qualcomm Incorporation | Method and apparatus for measuring link quality in a spread spectrum communication system |
| US6584144B2 (en) * | 1997-02-24 | 2003-06-24 | At&T Wireless Services, Inc. | Vertical adaptive antenna array for a discrete multitone spread spectrum communications system |
| US6175550B1 (en) * | 1997-04-01 | 2001-01-16 | Lucent Technologies, Inc. | Orthogonal frequency division multiplexing system with dynamically scalable operating parameters and method thereof |
| US6097972A (en) * | 1997-08-29 | 2000-08-01 | Qualcomm Incorporated | Method and apparatus for processing power control signals in CDMA mobile telephone system |
| US6563786B1 (en) * | 1998-01-06 | 2003-05-13 | Agere Systems Inc. | Orthogonal frequency division multiplexing system with selectable rate |
| US6519292B1 (en) * | 1998-02-26 | 2003-02-11 | Sony Corporation | Transmission method, transmitter and receiver |
| US6219377B1 (en) * | 1998-06-29 | 2001-04-17 | Legerity, Inc. | Method and apparatus for generating tones in a multi-tone modem |
| US6570912B1 (en) * | 1999-03-05 | 2003-05-27 | Pctel, Inc. | Hybrid software/hardware discrete multi-tone transceiver |
| US20020122499A1 (en) * | 2000-12-22 | 2002-09-05 | Anand Kannan | Method and apparatus for error reduction in an orthogonal modulation system |
| US20020145968A1 (en) * | 2001-02-28 | 2002-10-10 | Hongliang Zhang | Transmit power control for an OFDM-based wireless communication system |
Cited By (222)
| Publication number | Priority date | Publication date | Assignee | Title |
|---|---|---|---|---|
| US7324434B2 (en) * | 2001-08-30 | 2008-01-29 | Ntt Docomo, Inc. | Radio transmission system and method, and transmitter apparatus and receiver apparatus used in the radio transmission system |
| US20030053413A1 (en) * | 2001-08-30 | 2003-03-20 | Ntt Docomo, Inc. | Radio transmission system and method, and transmitter apparatus and receiver apparatus used in the radio transmission system |
| US20040085892A1 (en) * | 2001-10-18 | 2004-05-06 | Walton Jay R. | Multiple-access hybrid OFDM-CDMA system |
| US8472306B2 (en) | 2001-10-18 | 2013-06-25 | Qualcomm Incorporated | Multi-access hybrid OFDM-CDMA system |
| US8427936B2 (en) * | 2001-10-18 | 2013-04-23 | Qualcomm Incorporated | Multiple-access hybrid OFDM-CDMA system |
| US8948705B2 (en) | 2001-10-18 | 2015-02-03 | Qualcomm Incorporated | Multiple-access hybrid OFDM-CDMA system |
| US20100246642A1 (en) * | 2001-10-18 | 2010-09-30 | Qualcomm Incorporated | Multi-access hybrid ofdm-cdma system |
| US20050027645A1 (en) * | 2002-01-31 | 2005-02-03 | Wai Shing Lui William | Business enterprise risk model and method |
| US20040001460A1 (en) * | 2002-06-26 | 2004-01-01 | Bevan David Damian Nicholas | Soft handoff method for uplink wireless communications |
| US7483408B2 (en) * | 2002-06-26 | 2009-01-27 | Nortel Networks Limited | Soft handoff method for uplink wireless communications |
| US7616608B2 (en) * | 2002-08-23 | 2009-11-10 | Panasonic Corporation | OFDM-CDMA transmission device and OFDM-CDMA transmission method |
| US20050163082A1 (en) * | 2002-08-23 | 2005-07-28 | Matsushita Electri Industrial Co., Ltd. | Ofdm-cdma transmission device and ofdm-cdma transmission method |
| US20050105593A1 (en) * | 2002-10-07 | 2005-05-19 | Takashi Dateki | Transmission power control method and transmission power control apparatus in OFDM-CDMA |
| US9143255B2 (en) * | 2002-10-18 | 2015-09-22 | Microsoft Technology Licensing, Llc | Orthogonal signaling for CDMA |
| US20040076170A1 (en) * | 2002-10-18 | 2004-04-22 | Nortel Networks Limited | Orthogonal signaling for CDMA |
| US20040081113A1 (en) * | 2002-10-18 | 2004-04-29 | Nortel Networks Limited | Orthogonal signaling for CDMA |
| US9155106B2 (en) | 2002-10-29 | 2015-10-06 | Qualcomm Incorporated | Uplink pilot and signaling transmission in wireless communication systems |
| US20040141481A1 (en) * | 2002-11-01 | 2004-07-22 | Kddi Corporation | Transmitter device and transmitting method using OFDM nd MC-CDMA |
| US7391715B2 (en) * | 2002-11-01 | 2008-06-24 | Kddi Corporation | Transmitter device and transmitting method using OFDM and MC-CDMA |
| US20090083602A1 (en) * | 2003-01-10 | 2009-03-26 | Qualcomm Incorporated | Operation of a forward link acknowledgement channel for the reverse link data |
| US20040246998A1 (en) * | 2003-01-21 | 2004-12-09 | Ar Card | Physical layer structures and initial access schemes in a unsynchronized communication network |
| US7738437B2 (en) * | 2003-01-21 | 2010-06-15 | Nortel Networks Limited | Physical layer structures and initial access schemes in an unsynchronized communication network |
| US8472423B2 (en) | 2003-01-21 | 2013-06-25 | Apple Inc. | Physical layer structures and initial access schemes in an unsynchronized communication network |
| US20100226334A1 (en) * | 2003-01-21 | 2010-09-09 | Jianglei Ma | Physical layer structures and initial access schemes in an unsynchronized communication network |
| US20100135156A1 (en) * | 2003-02-18 | 2010-06-03 | Qualcomm Incorporated | Congestion control in a wireless data network |
| US8699452B2 (en) | 2003-02-18 | 2014-04-15 | Qualcomm Incorporated | Congestion control in a wireless data network |
| US8150407B2 (en) | 2003-02-18 | 2012-04-03 | Qualcomm Incorporated | System and method for scheduling transmissions in a wireless communication system |
| US8081598B2 (en) | 2003-02-18 | 2011-12-20 | Qualcomm Incorporated | Outer-loop power control for wireless communication systems |
| US8023950B2 (en) | 2003-02-18 | 2011-09-20 | Qualcomm Incorporated | Systems and methods for using selectable frame durations in a wireless communication system |
| US8526966B2 (en) | 2003-02-18 | 2013-09-03 | Qualcomm Incorporated | Scheduled and autonomous transmission and acknowledgement |
| US20040160933A1 (en) * | 2003-02-18 | 2004-08-19 | Odenwalder Joseph P. | Code division multiplexing commands on a code division multiplexed channel |
| US20080194286A1 (en) * | 2003-02-18 | 2008-08-14 | Qualcomm Incorporated | Systems and methods for performing outer loop power control in wireless communication systems |
| US20050003843A1 (en) * | 2003-02-18 | 2005-01-06 | Ho Sai Yiu Duncan | System and method for scheduling transmissions in a wireless communication system |
| US8391249B2 (en) | 2003-02-18 | 2013-03-05 | Qualcomm Incorporated | Code division multiplexing commands on a code division multiplexed channel |
| US9998379B2 (en) | 2003-02-18 | 2018-06-12 | Qualcomm Incorporated | Method and apparatus for controlling data rate of a reverse link in a communication system |
| US8977283B2 (en) | 2003-02-18 | 2015-03-10 | Qualcomm Incorporated | Scheduled and autonomous transmission and acknowledgement |
| US20050007986A1 (en) * | 2003-02-18 | 2005-01-13 | Malladi Durga P. | Outer-loop power control for wireless communication systems |
| US8548387B2 (en) | 2003-03-06 | 2013-10-01 | Qualcomm Incorporated | Method and apparatus for providing uplink signal-to-noise ratio (SNR) estimation in a wireless communication system |
| US8676128B2 (en) | 2003-03-06 | 2014-03-18 | Qualcomm Incorporated | Method and apparatus for providing uplink signal-to-noise ratio (SNR) estimation in a wireless communication system |
| US8705588B2 (en) | 2003-03-06 | 2014-04-22 | Qualcomm Incorporated | Systems and methods for using code space in spread-spectrum communications |
| US20040228389A1 (en) * | 2003-03-06 | 2004-11-18 | Odenwalder Joseph P. | Systems and methods for using code space in spread-spectrum communications |
| US8576894B2 (en) | 2003-03-06 | 2013-11-05 | Qualcomm Incorporated | Systems and methods for using code space in spread-spectrum communications |
| AU2004241441B2 (en) * | 2003-05-14 | 2009-09-24 | Qualcomm Incorporated | Interference and noise estimation in an OFDM system |
| CN1823485B (en) * | 2003-05-14 | 2012-06-06 | 高通股份有限公司 | Interference and Noise Estimation in OFDM Systems |
| WO2004104530A3 (en) * | 2003-05-14 | 2006-02-09 | Qualcomm Inc | Interference and noise estimation in an ofdm system |
| US8477592B2 (en) | 2003-05-14 | 2013-07-02 | Qualcomm Incorporated | Interference and noise estimation in an OFDM system |
| US9992702B2 (en) | 2003-05-16 | 2018-06-05 | Sony Corporation | Wireless communication apparatus, a method of wireless communication, and a program for wireless communication |
| US10582416B2 (en) | 2003-05-16 | 2020-03-03 | Sony Corporation | Wireless communication apparatus, a method of wireless communication, and a program for wireless communication |
| US8489949B2 (en) | 2003-08-05 | 2013-07-16 | Qualcomm Incorporated | Combining grant, acknowledgement, and rate control commands |
| US8201039B2 (en) | 2003-08-05 | 2012-06-12 | Qualcomm Incorporated | Combining grant, acknowledgement, and rate control commands |
| US20050030886A1 (en) * | 2003-08-07 | 2005-02-10 | Shiquan Wu | OFDM system and method employing OFDM symbols with known or information-containing prefixes |
| US8441917B2 (en) | 2003-08-07 | 2013-05-14 | Apple Inc. | OFDM system and method employing OFDM symbols with known or information-containing prefixes |
| US8902727B2 (en) | 2003-08-07 | 2014-12-02 | Apple Inc. | OFDM system and method employing OFDM symbols with known or information-containing prefixes |
| US20110116360A1 (en) * | 2003-08-07 | 2011-05-19 | Nortel Networks Limited | Ofdm system and method employing ofdm symbols with known or information-containing prefixes |
| US7969857B2 (en) | 2003-08-07 | 2011-06-28 | Nortel Networks Limited | OFDM system and method employing OFDM symbols with known or information-containing prefixes |
| US20110216786A1 (en) * | 2003-08-07 | 2011-09-08 | Nortel Networks Limited | Ofdm system and method employing ofdm symbols with known or information-containing prefixes |
| US9225573B2 (en) | 2003-08-07 | 2015-12-29 | Apple Inc. | OFDM system and method employing OFDM symbols with known or information-containing prefixes |
| US20060215735A1 (en) * | 2003-08-13 | 2006-09-28 | Francesc Dalmases | Method and device for encrypting a digital data stream in a transmission system |
| US11664953B2 (en) | 2003-12-30 | 2023-05-30 | Telefonaktiebolaget Lm Ericsson (Publ) | Bandwidth signalling |
| US20070022441A1 (en) * | 2003-12-30 | 2007-01-25 | Telefonaktiebolaget Lm Ericsson (Publ) | Bandwidth signalling |
| US9942878B2 (en) | 2004-01-09 | 2018-04-10 | Intel Corporation | Transport format combination selection in a wireless transmit/receive unit |
| US11804870B2 (en) | 2004-01-29 | 2023-10-31 | Neo Wireless Llc | Channel probing signal for a broadband communication system |
| US9065614B2 (en) * | 2004-01-29 | 2015-06-23 | Neocific, Inc. | Method and apparatus using cell-specific and common pilot subcarriers in multi-carrier, multi-cell wireless communication networks |
| US8009660B2 (en) * | 2004-01-29 | 2011-08-30 | Neocific, Inc. | Methods and apparatus using cell-specific and common pilot subcarriers in multi-carrier, multi-cell wireless communication networks |
| US8432891B2 (en) * | 2004-01-29 | 2013-04-30 | Neocific, Inc. | Method, apparatus, and system for mitigating pilot signal degradation by employing cell-specific pilot subcarrier and common pilot subcarrier techniques in a multi-carrier cellular network |
| US9749168B2 (en) * | 2004-01-29 | 2017-08-29 | Neocific, Inc. | Method and apparatus using cell-specific and common pilot subcarriers in multi-carrier, multi-cell wireless communication networks |
| US9948488B2 (en) | 2004-01-29 | 2018-04-17 | Neocific, Inc. | Channel probing signal for a broadband communication system |
| US20070230388A1 (en) * | 2004-01-29 | 2007-10-04 | Neocific, Inc. | Methods and Apparatus for Multi-Carrier, Multi-Cell Wireless Communication Networks |
| US9198179B2 (en) | 2004-01-29 | 2015-11-24 | Neocific, Inc. | Methods and apparatus for subframe configuration and generation in a multi-carrier communication system |
| US8428009B2 (en) | 2004-01-29 | 2013-04-23 | Neocific, Inc. | Methods and apparatus for signal transmission and reception in a broadband communication system |
| US20150312076A1 (en) * | 2004-01-29 | 2015-10-29 | Neocific, Inc. | Method and apparatus using cell-specific and common pilot subcarriers in multi-carrier, multi-cell wireless communication networks |
| US20130242937A1 (en) * | 2004-01-29 | 2013-09-19 | Neocific, Inc. | Method and apparatus using cell-specific and common pilot subcarriers in multi-carrier, multi-cell wireless communication networks |
| US20180167251A1 (en) * | 2004-01-29 | 2018-06-14 | Neocific, Inc. | Method and apparatus using cell-specific and common pilot subcarriers in multi-carrier, multi-cell wireless communication networks |
| US8767522B2 (en) | 2004-01-29 | 2014-07-01 | Neocific, Inc. | Methods and apparatus for signal transmission and reception in a broadband communication system |
| US10326631B2 (en) * | 2004-01-29 | 2019-06-18 | Neocific, Inc. | Differential randomization of cell-specific and common pilot subcarriers in multi-carrier, multi-cell wireless communication networks |
| US20110299474A1 (en) * | 2004-01-29 | 2011-12-08 | Neocific, Inc. | Method and apparatus using cell-specific and common pilot subcarriers in multi-carrier, multi-cell wireless communication networks |
| US10826740B2 (en) | 2004-01-29 | 2020-11-03 | Neo Wireless Llc | Channel probing signal for a broadband communication system |
| US11388034B2 (en) | 2004-01-29 | 2022-07-12 | Neo Wireless Llc | Method and apparatus using cell-specific and common pilot subcarriers in multi-carrier, multi-cell wireless communication networks |
| US11368347B2 (en) | 2004-01-29 | 2022-06-21 | Neo Wireless Llc | Channel probing signal for a broadband communication system |
| US20150124899A1 (en) * | 2004-01-29 | 2015-05-07 | Neocific, Inc. | Method and apparatus using cell-specific and common pilot subcarriers in multi-carrier, multi-cell wireless communication networks |
| US10833908B2 (en) | 2004-01-29 | 2020-11-10 | Neo Wireless Llc | Channel probing signal for a broadband communication system |
| US10965512B2 (en) | 2004-01-29 | 2021-03-30 | Neo Wireless Llc | Method and apparatus using cell-specific and common pilot subcarriers in multi-carrier, multi cell wireless communication networks |
| US8934473B2 (en) * | 2004-01-29 | 2015-01-13 | Neocific, Inc. | Method and apparatus using cell-specific and common pilot subcarriers in multi-carrier, multi-cell wireless communication networks |
| US10834706B2 (en) | 2004-02-13 | 2020-11-10 | Neo Wireless Llc | Methods and apparatus for multi-carrier communication systems with adaptive transmission and feedback |
| US11032801B2 (en) | 2004-02-13 | 2021-06-08 | Neo Wireless Llc | Methods and apparatus for multi-carrier communication systems with adaptive transmission and feedback |
| US11683136B2 (en) | 2004-02-13 | 2023-06-20 | Neo Wireless Llc | Methods and apparatus for multi-carrier communication systems with adaptive transmission and feedback |
| US12003439B2 (en) | 2004-02-13 | 2024-06-04 | Neo Wireless Llc | Methods and apparatus for multi-carrier communication systems with adaptive transmission and feedback |
| US11496259B2 (en) | 2004-02-13 | 2022-11-08 | Neo Wireless Llc | Methods and apparatus for multi-carrier communication systems with adaptive transmission and feedback |
| US11522650B2 (en) | 2004-02-13 | 2022-12-06 | Neo Wireless Llc | Methods and apparatus for multi-carrier communication systems with adaptive transmission and feedback |
| US8130743B2 (en) | 2004-02-16 | 2012-03-06 | Wavecom | Cellular radiotelephone signal permitting synchronization of a supplementary channel by means of a principal channel and corresponding method, terminal and base station |
| US20080248806A1 (en) * | 2004-02-16 | 2008-10-09 | Wavecom | Cellular Radiotelephone Signal Permitting Synchronization of a Supplementary Channel by Means of a Principal Channel and Corresponding Method, Terminal and Base Station |
| WO2005084062A1 (en) * | 2004-02-16 | 2005-09-09 | Wavecom | Cellular radiotelephone signal permitting synchronisation of a supplementary channel by means of a principal channel and corresponding method terminal and base station |
| US10959221B2 (en) | 2004-05-01 | 2021-03-23 | Guangdong Oppo Mobile Telecommunications Corp., Ltd. | Methods and apparatus for subframe configuration and generation in a multi-carrier communication system |
| US8724443B2 (en) | 2004-05-01 | 2014-05-13 | Neocific, Inc. | Methods and apparatus for subframe configuration and generation in a multi-carrier communication system |
| US11503588B2 (en) | 2004-05-01 | 2022-11-15 | Guangdong Oppo Mobile Telecommunications Corp., Ltd. | Methods and apparatus for subframe configuration and generation in a multi-carrier communication system |
| US7920884B2 (en) | 2004-06-04 | 2011-04-05 | Qualcomm Incorporated | Frame structures for a wireless communication system with multiple radio technologies |
| US20060013186A1 (en) * | 2004-06-04 | 2006-01-19 | Avneesh Agrawal | Wireless communication system with improved broadcast coverage |
| US20060018279A1 (en) * | 2004-06-04 | 2006-01-26 | Qualcomm Incorporated | Frame structures for a wireless communication system with multiple radio technologies |
| US20060018269A1 (en) * | 2004-06-04 | 2006-01-26 | Qualcomm Incorporated | Transmission of overhead information for broadcast and multicast services in a wireless communication system |
| US8582596B2 (en) | 2004-06-04 | 2013-11-12 | Qualcomm Incorporated | Coding and modulation for broadcast and multicast services in a wireless communication system |
| US8577299B2 (en) | 2004-06-04 | 2013-11-05 | Qualcomm Incorporated | Wireless communication system with configurable cyclic prefix length |
| US8588203B2 (en) * | 2004-06-04 | 2013-11-19 | Qualcomm Incorporated | Wireless communication system with improved broadcast coverage |
| US8089855B2 (en) | 2004-06-04 | 2012-01-03 | Qualcomm Incorporated | Transmission of overhead information for broadcast and multicast services in a wireless communication system |
| US8687617B2 (en) | 2004-06-04 | 2014-04-01 | Qualcomm Incorporated | Wireless communication system with improved broadcast coverage |
| US20090304120A1 (en) * | 2004-06-04 | 2009-12-10 | Qualcomm Incorporation | Wireless communication system with improved broadcast coverage |
| US20060013168A1 (en) * | 2004-06-04 | 2006-01-19 | Avneesh Agrawal | Coding and modulation for broadcast and multicast services in a wireless communication system |
| US20060019694A1 (en) * | 2004-06-18 | 2006-01-26 | Arak Sutivong | Power control for a wireless communication system utilizing orthogonal multiplexing |
| US7536626B2 (en) | 2004-06-18 | 2009-05-19 | Qualcomm Incorporated | Power control using erasure techniques |
| US8478202B2 (en) | 2004-06-18 | 2013-07-02 | Qualcomm Incorporated | Power control for a wireless communication system utilizing orthogonal multiplexing |
| US8452316B2 (en) | 2004-06-18 | 2013-05-28 | Qualcomm Incorporated | Power control for a wireless communication system utilizing orthogonal multiplexing |
| US8543152B2 (en) | 2004-06-18 | 2013-09-24 | Qualcomm Incorporated | Power control for a wireless communication system utilizing orthogonal multiplexing |
| US20050283687A1 (en) * | 2004-06-18 | 2005-12-22 | Qualcomm Incorporated | Power control using erasure techniques |
| US8516314B2 (en) | 2004-06-18 | 2013-08-20 | Qualcomm Incorporated | Robust erasure detection and erasure-rate-based closed loop power control |
| US20090023466A1 (en) * | 2004-06-18 | 2009-01-22 | Qualcomm Incorporated | Power control for a wireless communication system utilizing orthogonal multiplexing |
| US20070150799A1 (en) * | 2004-06-18 | 2007-06-28 | Arak Sutivong | Robust erasure detection and erasure-rate-based closed loop power control |
| US7594151B2 (en) | 2004-06-18 | 2009-09-22 | Qualcomm, Incorporated | Reverse link power control in an orthogonal system |
| US20050286482A1 (en) * | 2004-06-28 | 2005-12-29 | Samsung Electronics Co., Ltd. | Apparatus and method for supporting OFDM operation in a CDMA2000 wireless network |
| EP2429246A1 (en) * | 2004-07-20 | 2012-03-14 | Qualcomm Incorporated | Reverse link power control in an orthogonal system |
| US20090274232A1 (en) * | 2004-07-20 | 2009-11-05 | Qualcomm, Incorporated | Reverse link power control in an orthogonal system |
| KR100881545B1 (en) * | 2004-07-20 | 2009-02-02 | 콸콤 인코포레이티드 | Reverse Link Power Control Method and Device in Orthogonal System |
| WO2006012376A1 (en) * | 2004-07-20 | 2006-02-02 | Qualcomm Incorporated | Reverse link power control in an orthogonal system |
| US7962826B2 (en) | 2004-07-20 | 2011-06-14 | Qualcomm Incorporated | Reverse link power control in an orthogonal system |
| AU2005267163B2 (en) * | 2004-07-20 | 2009-03-05 | Qualcomm Incorporated | Reverse link power control in an orthogonal system |
| US20060029021A1 (en) * | 2004-08-05 | 2006-02-09 | Hitachi Communication Technologies, Inc. | Handoff control method, base station controller, and base transceiver subsystem |
| US7394789B2 (en) * | 2004-08-05 | 2008-07-01 | Hitachi Communication Technologies, Inc. | Handoff control method, base station controller, and base transceiver subsystem |
| EP1641206A2 (en) | 2004-09-08 | 2006-03-29 | Tata Consultancy Services Limited | Semi-blind channel estimation using sub-carriers with lower modulation order in an OFDM system |
| US20060088112A1 (en) * | 2004-09-08 | 2006-04-27 | Das Suvra S | Process and a system for transmission of data |
| WO2006051587A1 (en) * | 2004-11-10 | 2006-05-18 | Fujitsu Limited | Cell selecting apparatus and cell selecting method |
| US8165580B1 (en) | 2004-11-10 | 2012-04-24 | Fujitsu Limited | Cell selecting apparatus and cell selecting method |
| US8543138B2 (en) | 2005-03-04 | 2013-09-24 | Qualcomm Incorporated | Multi-sector broadcast paging channel |
| US20060199596A1 (en) * | 2005-03-04 | 2006-09-07 | Teauge Edward H | Multi-sector broadcast paging channel |
| EP2369885A3 (en) * | 2005-03-04 | 2012-02-22 | Qualcomm Incorporated | Multi-sector broadcast paging channel |
| EP2369884A3 (en) * | 2005-03-04 | 2012-02-22 | Qualcomm Incorporated | Multi-sector broadcast paging channel |
| US8849210B2 (en) | 2005-03-15 | 2014-09-30 | Qualcomm Incorporated | Interference control in a wireless communication system |
| US8848574B2 (en) | 2005-03-15 | 2014-09-30 | Qualcomm Incorporated | Interference control in a wireless communication system |
| US8879425B2 (en) | 2005-03-15 | 2014-11-04 | Qualcomm Incorporated | Interference control in a wireless communication system |
| US8942639B2 (en) | 2005-03-15 | 2015-01-27 | Qualcomm Incorporated | Interference control in a wireless communication system |
| US9614578B2 (en) | 2005-03-24 | 2017-04-04 | Intel Corporation | Orthogonal frequency division multiplexing-code division multiple access system |
| US7876806B2 (en) | 2005-03-24 | 2011-01-25 | Interdigital Technology Corporation | Orthogonal frequency division multiplexing-code division multiple access system |
| US20060245472A1 (en) * | 2005-03-24 | 2006-11-02 | Interdigital Technology Corporation | Orthogonal frequency division multiplexing-code division multiple access system |
| US8705641B2 (en) | 2005-03-24 | 2014-04-22 | Intel Corporation | Orthogonal frequency division multiplexing-code division multiple access system |
| US20110142094A1 (en) * | 2005-03-24 | 2011-06-16 | Interdigital Technology Corporation | Orthogonal frequency division multiplexing-code division multiple access system |
| US7715460B2 (en) | 2005-04-22 | 2010-05-11 | Interdigital Technology Corporation | Hybrid orthogonal frequency division multiple access system and method |
| US9077488B2 (en) | 2005-04-22 | 2015-07-07 | Intel Corporation | Hybrid orthogonal frequency division multiple access WTRU and method |
| US10382172B2 (en) | 2005-04-22 | 2019-08-13 | Intel Corporation | Hybrid orthogonal frequency division multiple access system and method |
| US8767795B2 (en) | 2005-04-22 | 2014-07-01 | Intel Corporation | Hybrid orthogonal frequency division multiple access WTRU and method |
| US8023551B2 (en) | 2005-04-22 | 2011-09-20 | Interdigital Technology Corporation | Hybrid orthogonal frequency division multiple access WTRU and method |
| US20100220684A1 (en) * | 2005-04-22 | 2010-09-02 | Interdigital Technology Corporation | Hybrid orthogonal frequency division multiple access wtru and method |
| US20060256839A1 (en) * | 2005-04-22 | 2006-11-16 | Interdigital Technology Corporation | Hybrid orthogonal frequency division multiple access system and method |
| AU2006240057B2 (en) * | 2005-04-22 | 2009-09-17 | Apple Inc. | Hybrid orthogonal frequency division multiple access system and method |
| WO2006116003A3 (en) * | 2005-04-22 | 2007-10-04 | Interdigital Tech Corp | Hybrid orthogonal frequency division multiple access system and method |
| US20060285481A1 (en) * | 2005-06-13 | 2006-12-21 | Lane Frank A | Communications system, methods and apparatus |
| US7403470B2 (en) * | 2005-06-13 | 2008-07-22 | Qualcomm Incorporated | Communications system, methods and apparatus |
| KR100696947B1 (en) | 2005-06-24 | 2007-03-20 | 전자부품연구원 | Reduction of Multiple Access Interference in ODFDMA Uplink System |
| US20070270100A1 (en) * | 2005-10-27 | 2007-11-22 | Avneesh Agrawal | Method and apparatus for estimating reverse link loading in a wireless communication system |
| US8929908B2 (en) | 2005-10-27 | 2015-01-06 | Qualcomm Incorporated | Method and apparatus for estimating reverse link loading in a wireless communication system |
| US8565773B2 (en) * | 2006-03-17 | 2013-10-22 | Futurewei Technologies, Inc. | Method and apparatus for enabling soft handoff in an OFDMA-based communication system |
| US20070224989A1 (en) * | 2006-03-17 | 2007-09-27 | Futurewei Technologies, Inc. | Method and apparatus for enabling soft handoff in an ofdma-based communication system |
| KR100802844B1 (en) | 2006-06-27 | 2008-02-12 | 최승원 | Ranging Channel Processing Apparatus and Method for Orthogonal Frequency Division Multiple Access System |
| US20100020901A1 (en) * | 2006-07-07 | 2010-01-28 | Samsung Electronics Co., Ltd. | Method and apparatus for transmitting signal in communication system |
| US8737361B2 (en) * | 2006-07-07 | 2014-05-27 | Samsung Electronics Co., Ltd. | Method and apparatus for transmitting signal in communication system |
| US8406327B2 (en) * | 2006-07-27 | 2013-03-26 | Kabushiki Kaisha Toshiba | Wireless communication apparatus, wireless communication system, and transmission method |
| US20110069781A1 (en) * | 2006-07-27 | 2011-03-24 | Kabushiki Kaisha Toshiba | Wireless communication apparatus, wireless communication system, and transmission method |
| US9337968B2 (en) | 2006-07-27 | 2016-05-10 | Kabushiki Kaisha Toshiba | Wireless communication apparatus, wireless communication system, and transmission method |
| US7649951B2 (en) | 2006-08-16 | 2010-01-19 | Harris Corporation | System and method for communicating data using symbol-based randomized orthogonal frequency division multiplexing (OFDM) with applied frequency domain spreading |
| US20080043814A1 (en) * | 2006-08-16 | 2008-02-21 | Harris Corporation, Corporation Of The State Of Delaware | Method of Communicating and Associated Transmitter Using Coded Orthogonal Frequency Division Multiplexing (COFDM) |
| US7813433B2 (en) | 2006-08-16 | 2010-10-12 | Harris Corporation | System and method for communicating data using symbol-based randomized orthogonal frequency division multiplexing (OFDM) with selected subcarriers turned on or off |
| US20080043812A1 (en) * | 2006-08-16 | 2008-02-21 | Harris Corporation, Corporation Of The State Of Delaware | System and Method for Communicating Data Using Symbol-Based Randomized Orthogonal Frequency Division Multiplexing (OFDM) With Applied Frequency Domain Spreading |
| US7903749B2 (en) | 2006-08-16 | 2011-03-08 | Harris Corporation | System and method for applying frequency domain spreading to multi-carrier communications signals |
| US7751488B2 (en) | 2006-08-16 | 2010-07-06 | Harris Corporation | System and method for communicating data using symbol-based randomized orthogonal frequency division multiplexing (OFDM) |
| US20080043861A1 (en) * | 2006-08-16 | 2008-02-21 | Harris Corporation | System and Method for Communicating Data Using Symbol-Based Randomized Orthogonal Frequency Division Multiplexing (OFDM) |
| US7860147B2 (en) | 2006-08-16 | 2010-12-28 | Harris Corporation | Method of communicating and associated transmitter using coded orthogonal frequency division multiplexing (COFDM) |
| US20080043860A1 (en) * | 2006-08-16 | 2008-02-21 | Harris Corporation, Corporation Of The State Of Delaware | System and Method for Communicating Data Using Symbol-Based Randomized Orthogonal Frequency Division Multiplexing (OFDM) With Selected Subcarriers Turned ON or OFF |
| US20080043859A1 (en) * | 2006-08-16 | 2008-02-21 | Harris Corporatoin | System and Method for Applying Frequency Domain Spreading to Multi-Carrier Communications Signals |
| US20080090574A1 (en) * | 2006-08-24 | 2008-04-17 | Futurewei Technologies, Inc. | Method and System for Managing Radio Resources for Soft Handoff in an OFDMA-Based Communication System |
| US8085711B2 (en) | 2006-08-24 | 2011-12-27 | Futurewei Technologies, Inc. | Method and system for managing radio resources for soft handoff in an OFDMA-based communication system |
| US20080161033A1 (en) * | 2006-09-08 | 2008-07-03 | Qualcomm, Incorporated | Method and appartus for adjustments for delta-based power control in wireless communication systems |
| US8670777B2 (en) | 2006-09-08 | 2014-03-11 | Qualcomm Incorporated | Method and apparatus for fast other sector interference (OSI) adjustment |
| US8442572B2 (en) | 2006-09-08 | 2013-05-14 | Qualcomm Incorporated | Method and apparatus for adjustments for delta-based power control in wireless communication systems |
| US8488487B2 (en) | 2006-09-08 | 2013-07-16 | Qualcomm Incorporated | Method and apparatus for fast other sector interference (OSI) adjustment |
| US20080117833A1 (en) * | 2006-09-08 | 2008-05-22 | Qualcomm Incorporated | method and apparatus for fast other sector interference (osi) adjustment |
| US20080076429A1 (en) * | 2006-09-08 | 2008-03-27 | Futurewei Technologies, Inc. | System for control, management, and transmission for soft handoff in an ofdma-based communication system |
| US20080162671A1 (en) * | 2006-09-29 | 2008-07-03 | Rockwell Automation Technologies, Inc. | Proxy object configuration of industrial component |
| KR100812352B1 (en) | 2006-12-08 | 2008-03-11 | 한국전자통신연구원 | Uplink Control Channel Structure and Allocation Method in Mobile Broadband Wireless Access System |
| US8331298B2 (en) | 2006-12-08 | 2012-12-11 | Samsung Electronics Co., Ltd. | Structure and construction method of uplink control channel in mobile wideband wireless access system |
| US20100322160A1 (en) * | 2006-12-08 | 2010-12-23 | Samsung Electronics Co., Ltd. | Structure and construction method of uplink control channel in mobile wideband wireless access system |
| US8649401B2 (en) | 2007-05-01 | 2014-02-11 | Qualcomm Incorporated | Generation and detection of synchronization signal in a wireless communication system |
| US20080273522A1 (en) * | 2007-05-01 | 2008-11-06 | Tao Luo | Generation and detection of synchronization signal in a wireless communication system |
| US20080298436A1 (en) * | 2007-05-28 | 2008-12-04 | Telefonaktiebolaget L M Ericsson (Publ) | Random Access Collision Detection |
| US20090079486A1 (en) * | 2007-09-21 | 2009-03-26 | Qualcomm Incorporated | Signal generator with signal tracking |
| US20090080568A1 (en) * | 2007-09-21 | 2009-03-26 | Qualcomm Incorporated | Signal generator with adjustable phase |
| US8385474B2 (en) | 2007-09-21 | 2013-02-26 | Qualcomm Incorporated | Signal generator with adjustable frequency |
| US8446976B2 (en) * | 2007-09-21 | 2013-05-21 | Qualcomm Incorporated | Signal generator with adjustable phase |
| US7965805B2 (en) * | 2007-09-21 | 2011-06-21 | Qualcomm Incorporated | Signal generator with signal tracking |
| US20090080101A1 (en) * | 2007-09-21 | 2009-03-26 | Qualcomm Incorporated | Signal generator with adjustable frequency |
| US20100284479A1 (en) * | 2007-11-28 | 2010-11-11 | Fujitsu Limited | Radio Transmission Apparatus, Radio Reception Apparatus, Radio Transmission-Reception System, And Method Thereof |
| US8320483B2 (en) | 2007-11-28 | 2012-11-27 | Fujitsu Limited | Radio transmission apparatus, radio reception apparatus, radio transmission-reception system, and method thereof |
| US9008024B2 (en) | 2008-03-26 | 2015-04-14 | Qualcomm Incorporated | Method and apparatus for mapping virtual resources to physical resources in a wireless communication system |
| US8274921B2 (en) | 2008-04-01 | 2012-09-25 | Harris Corporation | System and method for communicating data using efficient fast fourier transform (FFT) for orthogonal frequency division multiplexing (OFDM) |
| US20090245084A1 (en) * | 2008-04-01 | 2009-10-01 | Harris Corporation | System and method for communicating data using efficient fast fourier transform (fft) for orthogonal frequency division multiplexing (ofdm) |
| US8229009B2 (en) | 2008-04-01 | 2012-07-24 | Harris Corporation | System and method for communicating data using efficient fast fourier transform (FFT) for orthogonal frequency division multiplexing (OFDM) modulation |
| US8238454B2 (en) | 2008-04-01 | 2012-08-07 | Harris Corporation | System and method for communicating data using efficient fast fourier transform (FFT) for orthogonal frequency division multiplexing (OFDM) demodulation |
| US20090245397A1 (en) * | 2008-04-01 | 2009-10-01 | Harris Corporation, Corporation Of The State Of Delaware | System and method for communicating data using efficient fast fourier transform (fft) for orthogonal frequency division multiplexing (ofdm) demodulation |
| CN102132519A (en) * | 2008-08-27 | 2011-07-20 | 高通股份有限公司 | Frequency domain pn sequence |
| WO2010025265A1 (en) * | 2008-08-27 | 2010-03-04 | Qualcomm Incorporated | Frequency domain pn sequence |
| US20100054211A1 (en) * | 2008-08-27 | 2010-03-04 | Qualcomm Incorporated | Frequency domain pn sequence |
| US20130028241A1 (en) * | 2010-04-02 | 2013-01-31 | Fujitsu Limited | Method for sending uplink sounding reference signal, method for estimating channel, mobile terminal, base station and wireless communication system |
| US9516531B2 (en) | 2011-11-07 | 2016-12-06 | Qualcomm Incorporated | Assistance information for flexible bandwidth carrier mobility methods, systems, and devices |
| US10111125B2 (en) | 2011-11-07 | 2018-10-23 | Qualcomm Incorporated | Bandwidth information determination for flexible bandwidth carriers |
| US9532251B2 (en) | 2011-11-07 | 2016-12-27 | Qualcomm Incorporated | Bandwidth information determination for flexible bandwidth carriers |
| US10667162B2 (en) | 2011-11-07 | 2020-05-26 | Qualcomm Incorporated | Bandwidth information determination for flexible bandwidth carriers |
| US9220101B2 (en) | 2011-11-07 | 2015-12-22 | Qualcomm Incorporated | Signaling and traffic carrier splitting for wireless communications systems |
| US9848339B2 (en) | 2011-11-07 | 2017-12-19 | Qualcomm Incorporated | Voice service solutions for flexible bandwidth systems |
| US8837375B2 (en) | 2011-12-09 | 2014-09-16 | Qualcomm Incorporated | Support for voice over flexible bandwidth carrier systems |
| US20140078920A1 (en) * | 2012-09-14 | 2014-03-20 | Qualcomm Incorporated | Systems and methods for wireless communication |
| US9253291B2 (en) * | 2012-09-14 | 2016-02-02 | Qualcomm Incorporated | Systems and methods for wireless communication |
| US10348467B2 (en) | 2013-03-11 | 2019-07-09 | Qualcomm Incorporated | Effective utilization of cyclic prefix in OFDM systems under benign channel conditions |
| US9225453B2 (en) * | 2013-04-09 | 2015-12-29 | Futurewei Technologies, Inc. | Optimizing optical systems using code division multiple access and/or orthogonal frequency-division multiplexing |
| US20140301734A1 (en) * | 2013-04-09 | 2014-10-09 | Futurewei Technologies, Inc. | Optimizing Optical Systems Using Code Division Multiple Access and/or Orthogonal Frequency-Division Multiplexing |
| US20170208600A1 (en) * | 2016-01-19 | 2017-07-20 | Mediatek Inc. | Methods for enhancing performance of a communications apparatus suffering from doppler effect and communications apparatus utilizing the same |
| US20230012549A1 (en) * | 2017-09-11 | 2023-01-19 | Cohere Technologies, Inc. | Wireless local area networks using orthogonal time frequency space modulation |
| CN111096003A (en) * | 2017-09-11 | 2020-05-01 | 大陆汽车有限责任公司 | Method for controlling power of radio frequency system |
Also Published As
| Publication number | Publication date |
|---|---|
| WO2003034645A1 (en) | 2003-04-24 |
| US20060274638A1 (en) | 2006-12-07 |
| KR100966672B1 (en) | 2010-06-29 |
| US8427936B2 (en) | 2013-04-23 |
| TWI223517B (en) | 2004-11-01 |
| US20110317671A1 (en) | 2011-12-29 |
| KR100942276B1 (en) | 2010-02-16 |
| EP1895704A1 (en) | 2008-03-05 |
| US8948705B2 (en) | 2015-02-03 |
| KR20090038041A (en) | 2009-04-17 |
| US8472306B2 (en) | 2013-06-25 |
| BR0213346A (en) | 2005-04-19 |
| US7764594B2 (en) | 2010-07-27 |
| US20040085892A1 (en) | 2004-05-06 |
| KR20040053183A (en) | 2004-06-23 |
| HK1074301A1 (en) | 2005-11-04 |
| JP2010016837A (en) | 2010-01-21 |
| EP1438801A1 (en) | 2004-07-21 |
| JP2005537691A (en) | 2005-12-08 |
| CN100352192C (en) | 2007-11-28 |
| US20100246642A1 (en) | 2010-09-30 |
| CN1605173A (en) | 2005-04-06 |
Similar Documents
| Publication | Publication Date | Title |
|---|---|---|
| US8427936B2 (en) | Multiple-access hybrid OFDM-CDMA system | |
| US7324434B2 (en) | Radio transmission system and method, and transmitter apparatus and receiver apparatus used in the radio transmission system | |
| RU2289210C2 (en) | Device and method for transferring/receiving data in communication system, using multi-access layout | |
| US8638870B2 (en) | MC-CDMA multiplexing in an orthogonal uplink | |
| JP3343107B2 (en) | Base station device, communication terminal device and communication method | |
| US20040258134A1 (en) | Transmission apparatus and method for use in mobile communication system based on orthogonal frequency division multiplexing scheme | |
| US20070053280A1 (en) | Wireless communication system and wireless communication method | |
| KR20140060344A (en) | Method and system for providing an uplink structure and minimizing pilot signal overhead in a wireless communication network | |
| WO2006132727A2 (en) | Method and system for adaptive control of sub-carriers | |
| US20080056118A1 (en) | Apparatus and method for transmitting/receiving data channel in an orthogonal frequency division multiplexing system | |
| EP1999859B1 (en) | Apparatus and method for efficiently transmitting/receiving a control channel in a mobile communication system simultaneously supporting a synchronous hrpd system and an ofdm system | |
| KR20080074673A (en) | Method and apparatus for determining uplink transmission power of mobile terminal in orthogonal frequency division multiplexing system | |
| Nagaraj et al. | Interference Cancellation Based DFT-Precoded CDMA for Hybrid OFCDMA Multiple Access | |
| HK1063391A (en) | Radio transmission system and method and transmission station apparatus and reception station apparatus used in the radio transmission system | |
| HK1074301B (en) | Multiple-access hybrid ofdm-cdma system with frequency-domain spreading |
Legal Events
| Date | Code | Title | Description |
|---|---|---|---|
| AS | Assignment |
Owner name: QUALCOMM INCORPORATED, CALIFORNIA Free format text: ASSIGNMENT OF ASSIGNORS INTEREST;ASSIGNORS:WALTON, JAY R.;KETCHUM, JOHN W.;HOWARD, STEVEN J.;AND OTHERS;REEL/FRAME:012594/0387 Effective date: 20011206 |
|
| STCB | Information on status: application discontinuation |
Free format text: ABANDONED -- FAILURE TO RESPOND TO AN OFFICE ACTION |








