US20030078886A1 - Application distribution and billing system in a wireless network - Google Patents
Application distribution and billing system in a wireless network Download PDFInfo
- Publication number
- US20030078886A1 US20030078886A1 US10/222,678 US22267802A US2003078886A1 US 20030078886 A1 US20030078886 A1 US 20030078886A1 US 22267802 A US22267802 A US 22267802A US 2003078886 A1 US2003078886 A1 US 2003078886A1
- Authority
- US
- United States
- Prior art keywords
- wireless
- application
- wireless network
- processor
- wireless device
- Prior art date
- Legal status (The legal status is an assumption and is not a legal conclusion. Google has not performed a legal analysis and makes no representation as to the accuracy of the status listed.)
- Abandoned
Links
Classifications
-
- G—PHYSICS
- G06—COMPUTING OR CALCULATING; COUNTING
- G06F—ELECTRIC DIGITAL DATA PROCESSING
- G06F15/00—Digital computers in general; Data processing equipment in general
- G06F15/16—Combinations of two or more digital computers each having at least an arithmetic unit, a program unit and a register, e.g. for a simultaneous processing of several programs
-
- G—PHYSICS
- G06—COMPUTING OR CALCULATING; COUNTING
- G06Q—INFORMATION AND COMMUNICATION TECHNOLOGY [ICT] SPECIALLY ADAPTED FOR ADMINISTRATIVE, COMMERCIAL, FINANCIAL, MANAGERIAL OR SUPERVISORY PURPOSES; SYSTEMS OR METHODS SPECIALLY ADAPTED FOR ADMINISTRATIVE, COMMERCIAL, FINANCIAL, MANAGERIAL OR SUPERVISORY PURPOSES, NOT OTHERWISE PROVIDED FOR
- G06Q20/00—Payment architectures, schemes or protocols
- G06Q20/08—Payment architectures
- G06Q20/10—Payment architectures specially adapted for electronic funds transfer [EFT] systems; specially adapted for home banking systems
- G06Q20/102—Bill distribution or payments
-
- G—PHYSICS
- G06—COMPUTING OR CALCULATING; COUNTING
- G06F—ELECTRIC DIGITAL DATA PROCESSING
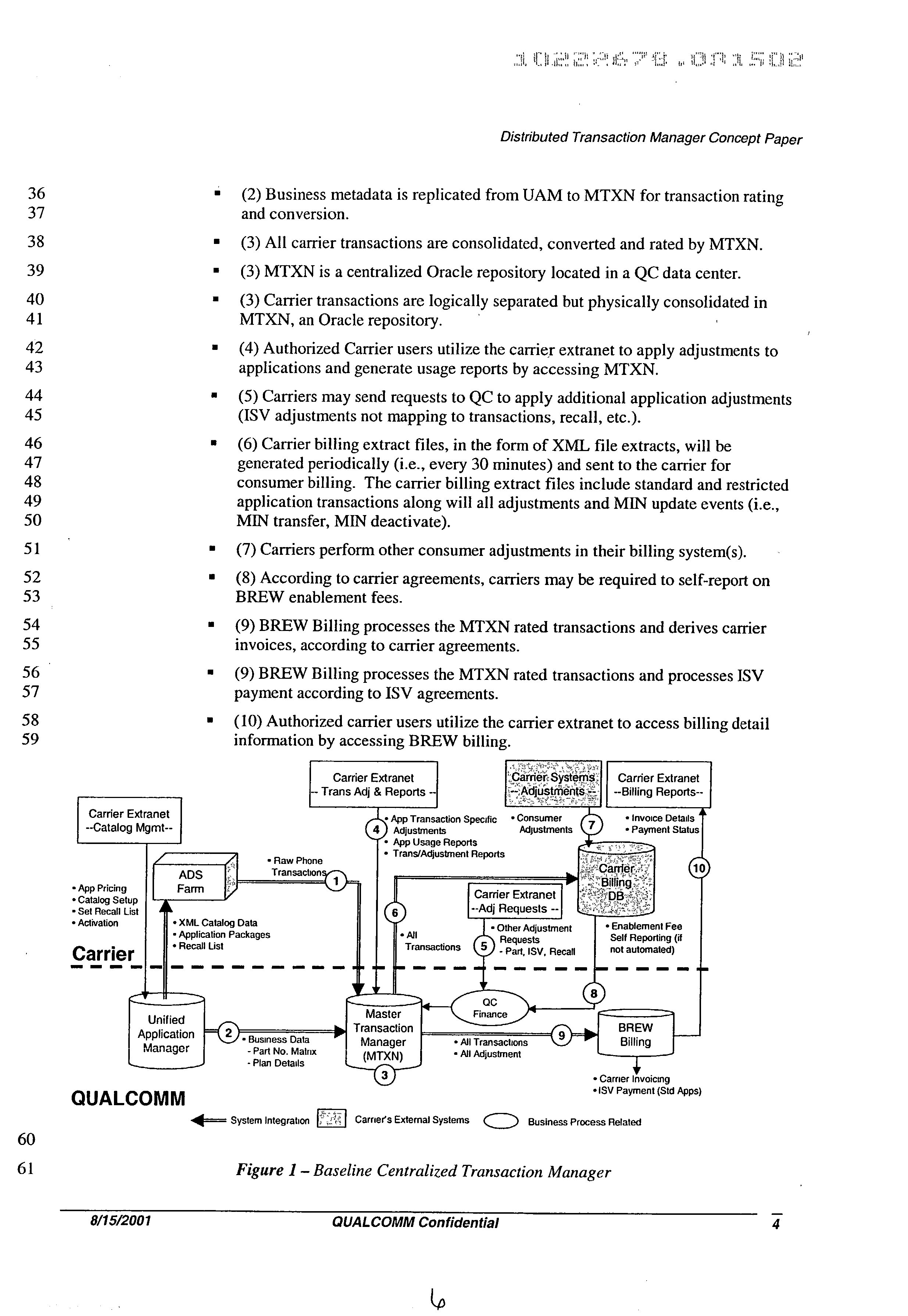
- G06F16/00—Information retrieval; Database structures therefor; File system structures therefor
- G06F16/20—Information retrieval; Database structures therefor; File system structures therefor of structured data, e.g. relational data
- G06F16/27—Replication, distribution or synchronisation of data between databases or within a distributed database system; Distributed database system architectures therefor
-
- G—PHYSICS
- G06—COMPUTING OR CALCULATING; COUNTING
- G06Q—INFORMATION AND COMMUNICATION TECHNOLOGY [ICT] SPECIALLY ADAPTED FOR ADMINISTRATIVE, COMMERCIAL, FINANCIAL, MANAGERIAL OR SUPERVISORY PURPOSES; SYSTEMS OR METHODS SPECIALLY ADAPTED FOR ADMINISTRATIVE, COMMERCIAL, FINANCIAL, MANAGERIAL OR SUPERVISORY PURPOSES, NOT OTHERWISE PROVIDED FOR
- G06Q30/00—Commerce
- G06Q30/02—Marketing; Price estimation or determination; Fundraising
-
- G—PHYSICS
- G06—COMPUTING OR CALCULATING; COUNTING
- G06Q—INFORMATION AND COMMUNICATION TECHNOLOGY [ICT] SPECIALLY ADAPTED FOR ADMINISTRATIVE, COMMERCIAL, FINANCIAL, MANAGERIAL OR SUPERVISORY PURPOSES; SYSTEMS OR METHODS SPECIALLY ADAPTED FOR ADMINISTRATIVE, COMMERCIAL, FINANCIAL, MANAGERIAL OR SUPERVISORY PURPOSES, NOT OTHERWISE PROVIDED FOR
- G06Q30/00—Commerce
- G06Q30/04—Billing or invoicing
-
- H—ELECTRICITY
- H04—ELECTRIC COMMUNICATION TECHNIQUE
- H04L—TRANSMISSION OF DIGITAL INFORMATION, e.g. TELEGRAPHIC COMMUNICATION
- H04L67/00—Network arrangements or protocols for supporting network services or applications
- H04L67/01—Protocols
- H04L67/04—Protocols specially adapted for terminals or networks with limited capabilities; specially adapted for terminal portability
-
- H—ELECTRICITY
- H04—ELECTRIC COMMUNICATION TECHNIQUE
- H04L—TRANSMISSION OF DIGITAL INFORMATION, e.g. TELEGRAPHIC COMMUNICATION
- H04L67/00—Network arrangements or protocols for supporting network services or applications
- H04L67/14—Session management
-
- H—ELECTRICITY
- H04—ELECTRIC COMMUNICATION TECHNIQUE
- H04L—TRANSMISSION OF DIGITAL INFORMATION, e.g. TELEGRAPHIC COMMUNICATION
- H04L67/00—Network arrangements or protocols for supporting network services or applications
- H04L67/50—Network services
- H04L67/56—Provisioning of proxy services
- H04L67/565—Conversion or adaptation of application format or content
-
- H—ELECTRICITY
- H04—ELECTRIC COMMUNICATION TECHNIQUE
- H04L—TRANSMISSION OF DIGITAL INFORMATION, e.g. TELEGRAPHIC COMMUNICATION
- H04L67/00—Network arrangements or protocols for supporting network services or applications
- H04L67/50—Network services
- H04L67/56—Provisioning of proxy services
- H04L67/568—Storing data temporarily at an intermediate stage, e.g. caching
-
- H—ELECTRICITY
- H04—ELECTRIC COMMUNICATION TECHNIQUE
- H04M—TELEPHONIC COMMUNICATION
- H04M15/00—Arrangements for metering, time-control or time indication ; Metering, charging or billing arrangements for voice wireline or wireless communications, e.g. VoIP
- H04M15/31—Distributed metering or calculation of charges
-
- H—ELECTRICITY
- H04—ELECTRIC COMMUNICATION TECHNIQUE
- H04M—TELEPHONIC COMMUNICATION
- H04M15/00—Arrangements for metering, time-control or time indication ; Metering, charging or billing arrangements for voice wireline or wireless communications, e.g. VoIP
- H04M15/41—Billing record details, i.e. parameters, identifiers, structure of call data record [CDR]
-
- H—ELECTRICITY
- H04—ELECTRIC COMMUNICATION TECHNIQUE
- H04M—TELEPHONIC COMMUNICATION
- H04M15/00—Arrangements for metering, time-control or time indication ; Metering, charging or billing arrangements for voice wireline or wireless communications, e.g. VoIP
- H04M15/70—Administration or customization aspects; Counter-checking correct charges
-
- H—ELECTRICITY
- H04—ELECTRIC COMMUNICATION TECHNIQUE
- H04M—TELEPHONIC COMMUNICATION
- H04M15/00—Arrangements for metering, time-control or time indication ; Metering, charging or billing arrangements for voice wireline or wireless communications, e.g. VoIP
- H04M15/70—Administration or customization aspects; Counter-checking correct charges
- H04M15/73—Validating charges
-
- H—ELECTRICITY
- H04—ELECTRIC COMMUNICATION TECHNIQUE
- H04W—WIRELESS COMMUNICATION NETWORKS
- H04W4/00—Services specially adapted for wireless communication networks; Facilities therefor
- H04W4/24—Accounting or billing
-
- H—ELECTRICITY
- H04—ELECTRIC COMMUNICATION TECHNIQUE
- H04M—TELEPHONIC COMMUNICATION
- H04M2215/00—Metering arrangements; Time controlling arrangements; Time indicating arrangements
- H04M2215/01—Details of billing arrangements
- H04M2215/0164—Billing record, e.g. Call Data Record [CDR], Toll Ticket[TT], Automatic Message Accounting [AMA], Call Line Identifier [CLI], details, i.e. parameters, identifiers, structure
-
- H—ELECTRICITY
- H04—ELECTRIC COMMUNICATION TECHNIQUE
- H04M—TELEPHONIC COMMUNICATION
- H04M2215/00—Metering arrangements; Time controlling arrangements; Time indicating arrangements
- H04M2215/20—Technology dependant metering
- H04M2215/2026—Wireless network, e.g. GSM, PCS, TACS
-
- H—ELECTRICITY
- H04—ELECTRIC COMMUNICATION TECHNIQUE
- H04M—TELEPHONIC COMMUNICATION
- H04M2215/00—Metering arrangements; Time controlling arrangements; Time indicating arrangements
- H04M2215/32—Involving wireless systems
-
- H—ELECTRICITY
- H04—ELECTRIC COMMUNICATION TECHNIQUE
- H04M—TELEPHONIC COMMUNICATION
- H04M2215/00—Metering arrangements; Time controlling arrangements; Time indicating arrangements
- H04M2215/70—Administration aspects, modify settings or limits or counter-check correct charges
-
- H—ELECTRICITY
- H04—ELECTRIC COMMUNICATION TECHNIQUE
- H04M—TELEPHONIC COMMUNICATION
- H04M2215/00—Metering arrangements; Time controlling arrangements; Time indicating arrangements
- H04M2215/70—Administration aspects, modify settings or limits or counter-check correct charges
- H04M2215/7072—Validate charges
-
- H—ELECTRICITY
- H04—ELECTRIC COMMUNICATION TECHNIQUE
- H04M—TELEPHONIC COMMUNICATION
- H04M2215/00—Metering arrangements; Time controlling arrangements; Time indicating arrangements
- H04M2215/96—Distributed calculation of charges, e.g. in different nodes like for mobiles between HLR and VLR, or between the terminal and the billing function
Definitions
- the present invention generally relates to data networks and computer communications and processing. More particularly, the invention relates to the interfacing between systems, transaction processing and billing, and product negotiation and management.
- Wireless devices such as cellular telephones, personal digital assistants (“PDAs”), pagers, laptops with wireless connectivity, etc., communicate packets including voice and data over a wireless network.
- PDAs personal digital assistants
- These wireless devices have installed application programming interfaces (“APIs”) onto their local computer platform that allow software developers to create software applications that operate on the wireless device.
- APIs application programming interfaces
- the API sits between the wireless device system software and the software application, making the wireless device functionality available to the application without requiring the software developer to have the specific wireless device system source code.
- the software applications can come pre-loaded at the time the wireless telephone is manufactured, or the user may later request that additional programs be downloaded over cellular telecommunication carrier networks, where the downloaded applications are executable on the wireless telephone.
- users of wireless telephones can customize their wireless telephones through the selective downloading of applications, such as games, printed media, stock updates, news, or any other type of information or application that is available for download through the wireless network.
- the user of the wireless telephone purposefully deletes applications and data from the wireless telephone platform to clear storage space so that new applications can be loaded onto the cleared storage.
- wireless devices In contrast to the larger computer platforms of personal computers and PDAs, wireless devices have limited resources, such as storage and processing, to devote to non-essential applications. Typically, the telecommunication applications have priority of usage of the system resources, with other applications allocated resources as available. The wireless device thus only has a limited capacity for holding all files for applications, and the managing of resources is left up to the discretion of user of the telephone to delete applications to make room for new applications desired downloaded to the wireless device. The wireless device will not otherwise download an application that it does not have the resources to hold and execute.
- wireless devices typically need to communicate with other systems and databases within the other systems.
- the wireless device may lose a signal during communication or be otherwise unavailable when transmitting information to other systems. This may cause errors when attempting to access a database when the signal is lost.
- the wireless device may be required to reinitiate the database access and resubmit the database request when the signal is reacquired.
- EDP Electronic Data Interchange
- the EDI message formats do not address the data exchange needs as it relates to wireless services, system integration considerations and billing specificity.
- products offered for use by the wireless device require negotiation between parties who created the product and the carriers who's networks will transmit the product to the wireless devices.
- the negotiation of the product parameters, such as prices becomes more complex and the managing of all the product offerings and agreed to prices become much more difficult.
- Systems and methods consistent with the present invention overcome the shortcomings of existing systems by providing systems and methods for interfacing between systems, transaction processing and billing, and product negotiation and management.
- a method comprises a method as disclosed herein.
- an apparatus comprises an apparatus as disclosed here.
Landscapes
- Engineering & Computer Science (AREA)
- Business, Economics & Management (AREA)
- Computer Networks & Wireless Communication (AREA)
- Signal Processing (AREA)
- Accounting & Taxation (AREA)
- Finance (AREA)
- Theoretical Computer Science (AREA)
- Development Economics (AREA)
- Physics & Mathematics (AREA)
- General Physics & Mathematics (AREA)
- Strategic Management (AREA)
- Economics (AREA)
- General Business, Economics & Management (AREA)
- Marketing (AREA)
- Databases & Information Systems (AREA)
- General Engineering & Computer Science (AREA)
- Game Theory and Decision Science (AREA)
- Entrepreneurship & Innovation (AREA)
- Computer Hardware Design (AREA)
- Computing Systems (AREA)
- Data Mining & Analysis (AREA)
- Software Systems (AREA)
- Mobile Radio Communication Systems (AREA)
- Meter Arrangements (AREA)
- Management, Administration, Business Operations System, And Electronic Commerce (AREA)
- Communication Control (AREA)
- Information Retrieval, Db Structures And Fs Structures Therefor (AREA)
- Financial Or Insurance-Related Operations Such As Payment And Settlement (AREA)
Abstract
A system, method, and computer program for tracking billable events occurring on wireless devices on a wireless network and billing the appropriate parties. The billable events occur from the end-users of the wireless devices selectively communicating with other computer devices across the wireless network and downloading and executing software applications thereupon. The billable event data is ultimately gathered at a server on the wireless network from which billing for the wireless device billable events can be generated.
Description
- This application claims the benefit of Provisional Application No. 60/312,737, filed Aug. 15, 2001, pending, which application is incorporated herein by reference in its entirety.
- I. Field of the Invention
- The present invention generally relates to data networks and computer communications and processing. More particularly, the invention relates to the interfacing between systems, transaction processing and billing, and product negotiation and management.
- II. Description of the Related Art
- Wireless devices, such as cellular telephones, personal digital assistants (“PDAs”), pagers, laptops with wireless connectivity, etc., communicate packets including voice and data over a wireless network. These wireless devices have installed application programming interfaces (“APIs”) onto their local computer platform that allow software developers to create software applications that operate on the wireless device. The API sits between the wireless device system software and the software application, making the wireless device functionality available to the application without requiring the software developer to have the specific wireless device system source code.
- The software applications can come pre-loaded at the time the wireless telephone is manufactured, or the user may later request that additional programs be downloaded over cellular telecommunication carrier networks, where the downloaded applications are executable on the wireless telephone. As a result, users of wireless telephones can customize their wireless telephones through the selective downloading of applications, such as games, printed media, stock updates, news, or any other type of information or application that is available for download through the wireless network. In order to manage the cellular telephone resources, the user of the wireless telephone purposefully deletes applications and data from the wireless telephone platform to clear storage space so that new applications can be loaded onto the cleared storage.
- In contrast to the larger computer platforms of personal computers and PDAs, wireless devices have limited resources, such as storage and processing, to devote to non-essential applications. Typically, the telecommunication applications have priority of usage of the system resources, with other applications allocated resources as available. The wireless device thus only has a limited capacity for holding all files for applications, and the managing of resources is left up to the discretion of user of the telephone to delete applications to make room for new applications desired downloaded to the wireless device. The wireless device will not otherwise download an application that it does not have the resources to hold and execute.
- Applications, and other data, that will be downloaded to a wireless device will require billing processing. Downloading applications, content or other transactions that occur with a wireless device take up resources on a network. A carrier, in the case of a wireless network, will want to record these transactions and bill for it appropriately.
- In the case with voice, a carrier only needs to keep track of the amount of time the wireless device is used on the network and bill for the minutes of use. With data, however, the billing paradigm may be different. Carriers may bill for the download or use of a data application separate from how much time it takes on the carrier's network to download the application. To bill for these transactions, the specific transaction will need to be accounted for and billed, not just the amount of time used on the network to perform the transaction.
- In addition, with applications, there may be multiple party settlements involved who share in the fee for the billed transaction. For example with an application download transaction, a carrier and a developer may share the download transaction fee incurred by the wireless device. In other cases, such as with downloading content, the carrier, a content provider and/or a third party involved may get part of the fee incurred by the wireless device's use of that content. Consequently, tracking, billing, and maintaining who shares in the fee for the multitude of transactions that occur becomes quite complex. This becomes even more complex when an extremely high number of transactions that may occur on a carrier's network, with thousands, if not millions, of wireless devices performing numerous transactions each.
- Additionally, wireless devices typically need to communicate with other systems and databases within the other systems. Unfortunately, the wireless device may lose a signal during communication or be otherwise unavailable when transmitting information to other systems. This may cause errors when attempting to access a database when the signal is lost. The wireless device may be required to reinitiate the database access and resubmit the database request when the signal is reacquired.
- Extended beyond wireless devices, often wire-based systems need to communicate with each other but do not share a similar “language” for communication. For example, as with wireless devices, one system may need to communicate with the database in another system to receive or insert data. To communicate with the database, the system must be aware of the database language, record and field structures, and formats in order to access and store information in the database. While current technologies provide for the ability for the interface between the system and the database to include the language, structure and format of the database, this becomes more complex when multiple databases, possibly requiring multiple unique database languages, etc., need to be accessed.
- Furthermore, when data is to be sent to multiple systems, or conversely received from multiple systems, a common interface does not exist to integrate across the multiple systems to simplify the data transmission. This is problematic for systems communicating with several other systems.
- Current methods in the art do not address this need. Database replication services and custom built database interfaces can become very complex and unwieldy if multiple databases need to be accessed. In addition, all systems that access the custom database must have that interface. Also, custom built databases are required to stay online for transactions to occur.
- Electronic Data Interchange (EDI) only addresses the need for pre-defined message types and content specific to electronic commerce. The EDI message formats do not address the data exchange needs as it relates to wireless services, system integration considerations and billing specificity.
- In addition, products offered for use by the wireless device require negotiation between parties who created the product and the carriers who's networks will transmit the product to the wireless devices. As the product list and number of carriers and wireless devices capable of using the product increases, the negotiation of the product parameters, such as prices, becomes more complex and the managing of all the product offerings and agreed to prices become much more difficult.
- Therefore what is needed in the art are systems and methods to address the above recognized shortcomings in the art.
- Systems and methods consistent with the present invention overcome the shortcomings of existing systems by providing systems and methods for interfacing between systems, transaction processing and billing, and product negotiation and management.
- In one embodiment of the present invention, a method comprises a method as disclosed herein.
- In another embodiment of the present invention, an apparatus comprises an apparatus as disclosed here.
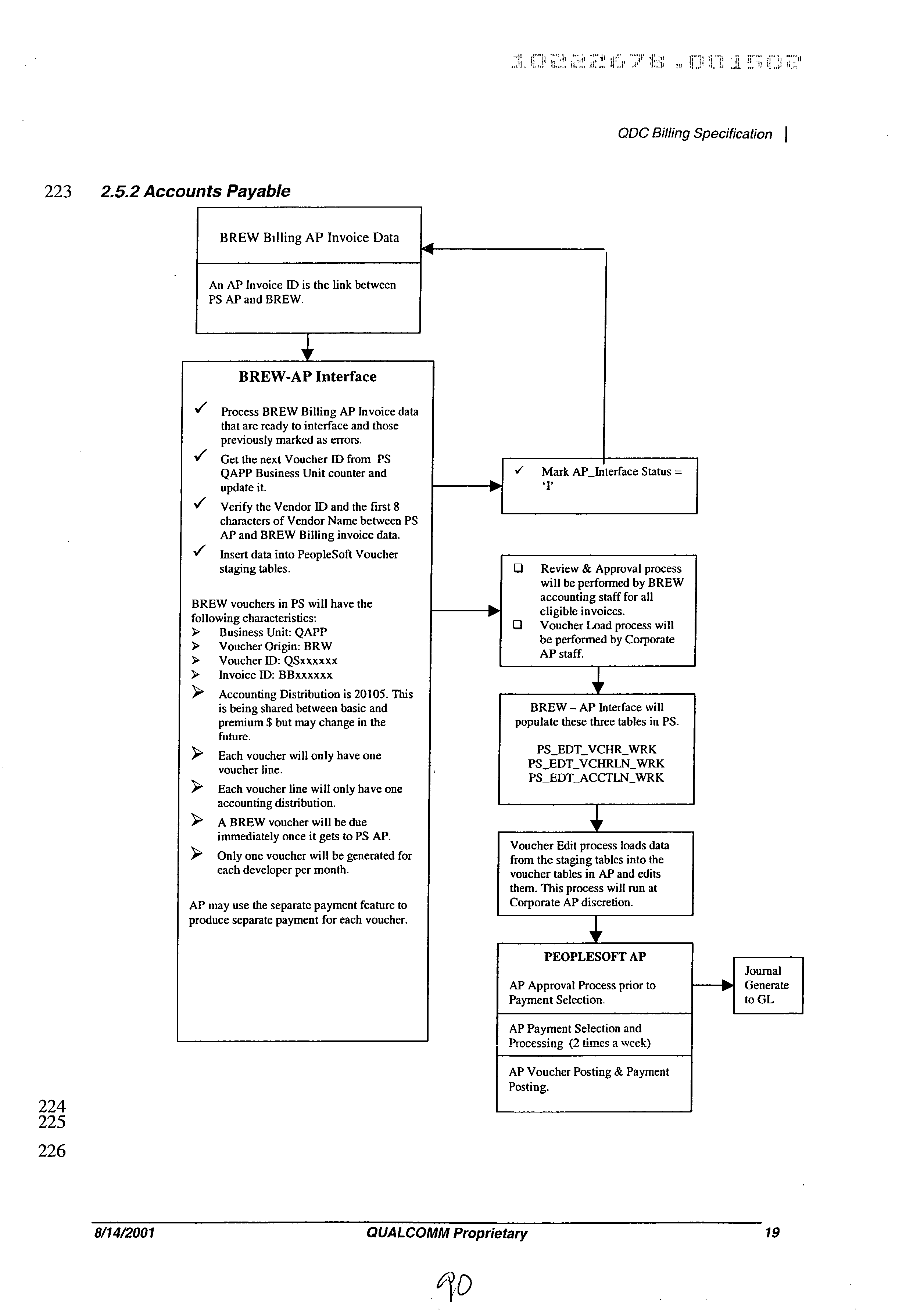
-
Claims (3)
1. A system for distributing applications over a wireless network, comprising:
a centralized processor operable to perform administrative functions associated with downloading an application to a wireless device;
a local processor connected to the centralized processor and operable to receive catalog data and the application from the centralized processor, to transmit the catalog and application to the wireless device, and to record transaction data associated with the transmission of the application; and
a transaction history server connected to the centralized processor and the local processor and operable to receive metadata information from the centralized processor, receive transaction data from the local processor, and processor the metadata information and transaction data for billing.
2. An apparatus as disclosed herein.
3. A method as disclosed herein.
Priority Applications (1)
| Application Number | Priority Date | Filing Date | Title |
|---|---|---|---|
| US10/222,678 US20030078886A1 (en) | 2001-08-15 | 2002-08-15 | Application distribution and billing system in a wireless network |
Applications Claiming Priority (2)
| Application Number | Priority Date | Filing Date | Title |
|---|---|---|---|
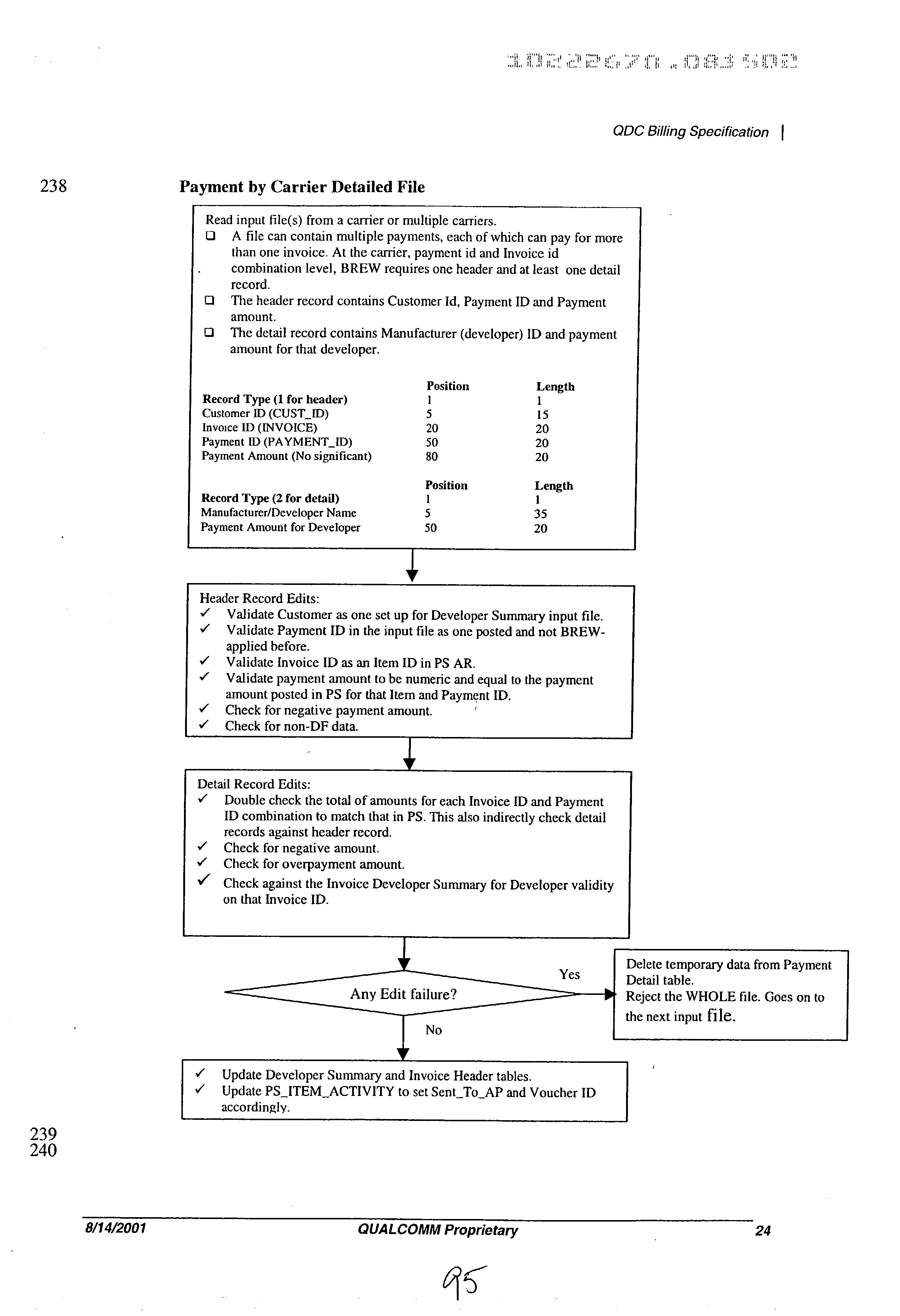
| US31273701P | 2001-08-15 | 2001-08-15 | |
| US10/222,678 US20030078886A1 (en) | 2001-08-15 | 2002-08-15 | Application distribution and billing system in a wireless network |
Publications (1)
| Publication Number | Publication Date |
|---|---|
| US20030078886A1 true US20030078886A1 (en) | 2003-04-24 |
Family
ID=23212785
Family Applications (2)
| Application Number | Title | Priority Date | Filing Date |
|---|---|---|---|
| US10/218,371 Expired - Fee Related US9203923B2 (en) | 2001-08-15 | 2002-08-13 | Data synchronization interface |
| US10/222,678 Abandoned US20030078886A1 (en) | 2001-08-15 | 2002-08-15 | Application distribution and billing system in a wireless network |
Family Applications Before (1)
| Application Number | Title | Priority Date | Filing Date |
|---|---|---|---|
| US10/218,371 Expired - Fee Related US9203923B2 (en) | 2001-08-15 | 2002-08-13 | Data synchronization interface |
Country Status (13)
| Country | Link |
|---|---|
| US (2) | US9203923B2 (en) |
| EP (2) | EP1417620A4 (en) |
| JP (2) | JP4343684B2 (en) |
| KR (2) | KR100585306B1 (en) |
| CN (2) | CN100394423C (en) |
| AU (2) | AU2002323181A1 (en) |
| BR (2) | BR0211949A (en) |
| CA (2) | CA2459688A1 (en) |
| IL (2) | IL160415A0 (en) |
| MX (2) | MXPA04001473A (en) |
| NZ (2) | NZ531210A (en) |
| RU (2) | RU2298225C2 (en) |
| WO (3) | WO2003036416A2 (en) |
Cited By (30)
| Publication number | Priority date | Publication date | Assignee | Title |
|---|---|---|---|---|
| US20020107795A1 (en) * | 2001-02-02 | 2002-08-08 | Brian Minear | Application distribution and billing system in a wireless network |
| US20030051047A1 (en) * | 2001-08-15 | 2003-03-13 | Gerald Horel | Data synchronization interface |
| US20030186699A1 (en) * | 2002-03-28 | 2003-10-02 | Arlene Havlark | Wireless telecommunications location based services scheme selection |
| US20040044623A1 (en) * | 2002-08-28 | 2004-03-04 | Wake Susan L. | Billing system for wireless device activity |
| US20040181591A1 (en) * | 2003-03-12 | 2004-09-16 | Julie Yu | Automatic subscription system for applications and services provided to wireless devices |
| US20050118999A1 (en) * | 2003-12-02 | 2005-06-02 | Yinjun Zhu | User plane location based service using message tunneling to support roaming |
| US20050172072A1 (en) * | 2004-01-30 | 2005-08-04 | Cochran Robert A. | Multiple site data replication |
| US20050289047A1 (en) * | 2004-06-28 | 2005-12-29 | Oliver Mitchell B | Virtual marketplace for wireless device applications and services with integrated multi-party settlement |
| US20060173758A1 (en) * | 2001-08-13 | 2006-08-03 | Brian Minear | System and method for providing subscribed applications on wireless devices over a wireless network |
| US20060271449A1 (en) * | 2005-05-31 | 2006-11-30 | Oliver Mitchell B | Wireless subscriber application and content distribution and differentiated pricing |
| US20060270386A1 (en) * | 2005-05-31 | 2006-11-30 | Julie Yu | Wireless subscriber billing and distribution |
| US20070197189A1 (en) * | 2006-02-22 | 2007-08-23 | Gerald Charles Horel | Automated account mapping in a wireless subscriber billing system |
| US7411546B2 (en) | 2004-10-15 | 2008-08-12 | Telecommunication Systems, Inc. | Other cell sites used as reference point to cull satellite ephemeris information for quick, accurate assisted locating satellite location determination |
| US20080300967A1 (en) * | 2007-06-04 | 2008-12-04 | David John Buckley | Interactive Marketing, Product/Market Research, Contact Access and Usage Tracking for Wireless |
| US20090015469A1 (en) * | 2004-10-15 | 2009-01-15 | Lance Douglas Pitt | Culled satellite ephemeris information for quick, accurate assisted locating satellite location determination for cell site antennas |
| US20090149193A1 (en) * | 2005-08-24 | 2009-06-11 | Leslie Johann Lamprecht | Creating optimum temporal location trigger for multiple requests |
| US7629926B2 (en) | 2004-10-15 | 2009-12-08 | Telecommunication Systems, Inc. | Culled satellite ephemeris information for quick, accurate assisted locating satellite location determination for cell site antennas |
| US8068587B2 (en) | 2008-08-22 | 2011-11-29 | Telecommunication Systems, Inc. | Nationwide table routing of voice over internet protocol (VOIP) emergency calls |
| US8126889B2 (en) | 2002-03-28 | 2012-02-28 | Telecommunication Systems, Inc. | Location fidelity adjustment based on mobile subscriber privacy profile |
| US8185087B2 (en) | 2007-09-17 | 2012-05-22 | Telecommunication Systems, Inc. | Emergency 911 data messaging |
| US20120209717A1 (en) * | 2011-02-16 | 2012-08-16 | Pascal Henry | Targeted delivery of payload to mobile users |
| US20120271718A1 (en) * | 2010-11-05 | 2012-10-25 | Chung Hee Sung | Method and system for providing background advertisement of virtual key input device |
| US8385964B2 (en) | 2005-04-04 | 2013-02-26 | Xone, Inc. | Methods and apparatuses for geospatial-based sharing of information by multiple devices |
| US8660573B2 (en) | 2005-07-19 | 2014-02-25 | Telecommunications Systems, Inc. | Location service requests throttling |
| US8867485B2 (en) | 2009-05-05 | 2014-10-21 | Telecommunication Systems, Inc. | Multiple location retrieval function (LRF) network having location continuity |
| US20150112769A1 (en) * | 2013-10-18 | 2015-04-23 | Caterpillar Inc. | System and method for managing a worksite |
| US9143622B2 (en) | 2006-02-17 | 2015-09-22 | Qualcomm Incorporated | Prepay accounts for applications, services and content for communication devices |
| US10043170B2 (en) * | 2004-01-21 | 2018-08-07 | Qualcomm Incorporated | Application-based value billing in a wireless subscriber network |
| US11948171B2 (en) | 2009-05-01 | 2024-04-02 | Ryan Hardin | Exclusive delivery of content within geographic areas |
| US12039570B2 (en) | 2010-11-05 | 2024-07-16 | Neopad Inc. | User-customizable, user-personalizable and user compensable keyboard providing system and method |
Families Citing this family (27)
| Publication number | Priority date | Publication date | Assignee | Title |
|---|---|---|---|---|
| US20040205151A1 (en) | 2002-12-19 | 2004-10-14 | Sprigg Stephen A. | Triggering event processing |
| US7856454B2 (en) | 2002-12-20 | 2010-12-21 | Siebel Systems, Inc. | Data model for business relationships |
| US8510179B2 (en) * | 2003-03-24 | 2013-08-13 | Siebel Systems, Inc. | Inventory transaction common object |
| US7624112B2 (en) * | 2003-04-03 | 2009-11-24 | Oracle International Corporation | Asynchronously storing transaction information from memory to a persistent storage |
| US8112296B2 (en) * | 2004-05-21 | 2012-02-07 | Siebel Systems, Inc. | Modeling of job profile data |
| US7707498B2 (en) | 2004-09-30 | 2010-04-27 | Microsoft Corporation | Specific type content manager in an electronic document |
| US8055821B2 (en) * | 2004-11-17 | 2011-11-08 | International Business Machines Corporation | Apparatus, system, and method for converting a synchronous interface into an asynchronous interface |
| US8855107B1 (en) | 2005-07-01 | 2014-10-07 | Callwave Communications, Llc | Methods and systems for call routing via a telephone number |
| US7953696B2 (en) * | 2005-09-09 | 2011-05-31 | Microsoft Corporation | Real-time synchronization of XML data between applications |
| US8548447B1 (en) | 2006-10-06 | 2013-10-01 | Callwave Communications, Llc | Methods and systems for blocking unwanted telecommunications |
| WO2009082051A1 (en) * | 2007-12-21 | 2009-07-02 | Youn, Hyun Jin | Method for conducting network real estate transactions using real estate trust |
| US8484204B2 (en) | 2008-08-28 | 2013-07-09 | Microsoft Corporation | Dynamic metadata |
| CA2665939C (en) * | 2008-10-08 | 2014-10-21 | Research In Motion Limited | Mobile wireless communications device and system providing dynamic management of carrier applications and related methods |
| KR20110040185A (en) * | 2009-10-13 | 2011-04-20 | 한국전자통신연구원 | Apparatus and method for adaptive information synchronization between ship and land |
| EA016432B1 (en) * | 2010-04-16 | 2012-04-30 | "Газпромбанк" (Открытое Акционерное Общество) | Processing center and method of fund transfer in banking payment system |
| US8321345B2 (en) * | 2010-06-02 | 2012-11-27 | Visa International Service Association | Trusted internal interface |
| CN102123269B (en) * | 2010-12-16 | 2013-03-20 | 华为数字技术(成都)有限公司 | Method and device for acquiring video monitoring data acquisition as well as video monitoring system |
| CN102073680B (en) * | 2010-12-17 | 2014-04-16 | 中广核(北京)仿真技术有限公司 | Data switching method and system of nuclear simulation platform and configuration management system |
| CN102184237B (en) * | 2011-05-11 | 2012-11-14 | 中山市中商港科技有限公司 | Service data synchronization method between associated platforms based on network |
| US20130339160A1 (en) * | 2012-05-31 | 2013-12-19 | AppNexus Inc. | Application marketplace for online advertising applications |
| US9307043B2 (en) | 2013-07-12 | 2016-04-05 | Sap Se | Staging engine |
| US10706069B2 (en) | 2016-06-30 | 2020-07-07 | Facebook, Inc. | Techniques for replication of a client database to remote devices |
| US20180004829A1 (en) * | 2016-06-30 | 2018-01-04 | Facebook, Inc. | Techniques for database replication between client devices |
| CN110489389B (en) * | 2019-08-16 | 2022-04-22 | 北京旷视科技有限公司 | Data synchronization method and device |
| US11687519B2 (en) | 2021-08-11 | 2023-06-27 | T-Mobile Usa, Inc. | Ensuring availability and integrity of a database across geographical regions |
| US12346105B2 (en) | 2022-10-05 | 2025-07-01 | Skydio, Inc. | Task management for unmanned aerial vehicles |
| US12192266B2 (en) * | 2022-10-20 | 2025-01-07 | Skydio, Inc. | Data transfer management for unmanned aerial vehicles |
Citations (100)
| Publication number | Priority date | Publication date | Assignee | Title |
|---|---|---|---|---|
| US4156903A (en) * | 1974-02-28 | 1979-05-29 | Burroughs Corporation | Data driven digital data processor |
| US5329619A (en) * | 1992-10-30 | 1994-07-12 | Software Ag | Cooperative processing interface and communication broker for heterogeneous computing environments |
| US5505122A (en) * | 1991-03-12 | 1996-04-09 | Gerrit; Smit | Apparatus for transport of warm foodstuffs |
| US5608781A (en) * | 1995-04-12 | 1997-03-04 | Seiderman; Abe | Method of eliminating or reducing cloning of electronic identification numbers of cellular telephones |
| US5619247A (en) * | 1995-02-24 | 1997-04-08 | Smart Vcr Limited Partnership | Stored program pay-per-play |
| US5634012A (en) * | 1994-11-23 | 1997-05-27 | Xerox Corporation | System for controlling the distribution and use of digital works having a fee reporting mechanism |
| US5761485A (en) * | 1995-12-01 | 1998-06-02 | Munyan; Daniel E. | Personal electronic book system |
| US5852812A (en) * | 1995-08-23 | 1998-12-22 | Microsoft Corporation | Billing system for a network |
| US5907837A (en) * | 1995-07-17 | 1999-05-25 | Microsoft Corporation | Information retrieval system in an on-line network including separate content and layout of published titles |
| US6035281A (en) * | 1997-06-16 | 2000-03-07 | International Business Machines Corporation | System and method of multiparty billing for Web access |
| US6047051A (en) * | 1996-11-11 | 2000-04-04 | Nokia Telecommunications Oy | Implementation of charging in a telecommunications system |
| US6181704B1 (en) * | 1997-08-29 | 2001-01-30 | Intel Corporation | Method and apparatus for input/output link retry, failure and recovery in a computer network |
| US6185198B1 (en) * | 1996-03-20 | 2001-02-06 | Aeris Communications, Inc. | Time division multiple access downlink personal communications system voice and data debit billing method |
| US6185683B1 (en) * | 1995-02-13 | 2001-02-06 | Intertrust Technologies Corp. | Trusted and secure techniques, systems and methods for item delivery and execution |
| US6230168B1 (en) * | 1997-11-26 | 2001-05-08 | International Business Machines Corp. | Method for automatically constructing contexts in a hypertext collection |
| US6230269B1 (en) * | 1998-03-04 | 2001-05-08 | Microsoft Corporation | Distributed authentication system and method |
| US6253239B1 (en) * | 1997-09-23 | 2001-06-26 | Information Architects Corporation | System for indexing and display requested data having heterogeneous content and representation |
| US6263362B1 (en) * | 1998-09-01 | 2001-07-17 | Bigfix, Inc. | Inspector for computed relevance messaging |
| US6263326B1 (en) * | 1998-05-13 | 2001-07-17 | International Business Machines Corporation | Method product ‘apparatus for modulations’ |
| US6266401B1 (en) * | 1998-09-17 | 2001-07-24 | Sprint Communications Company, L.P. | Consolidated billing system and method for use in telephony networks |
| US20010056362A1 (en) * | 1998-07-29 | 2001-12-27 | Mike Hanagan | Modular, convergent customer care and billing system |
| US20020004935A1 (en) * | 2000-07-03 | 2002-01-10 | Huotari Allen Joseph | System for remote automated installation and configuration of digital subscriber line modems |
| US20020029200A1 (en) * | 1999-09-10 | 2002-03-07 | Charles Dulin | System and method for providing certificate validation and other services |
| US20020029197A1 (en) * | 2000-05-09 | 2002-03-07 | Kari Kailamaki | Method and system for billing over a wireless application protocol gateway |
| US20020029347A1 (en) * | 2000-09-01 | 2002-03-07 | Edelman Martin S. | System and method for preventing unauthorized access to electronic data |
| US20020035688A1 (en) * | 2000-09-01 | 2002-03-21 | Ken Kutaragi | Method and system for monitoring utilizing condition of contents, computer program and recording medium |
| US20020035699A1 (en) * | 2000-07-24 | 2002-03-21 | Bluesocket, Inc. | Method and system for enabling seamless roaming in a wireless network |
| US20020038369A1 (en) * | 2000-09-15 | 2002-03-28 | Jun-Ho Sung | Internet interface service system and method |
| US20020049717A1 (en) * | 2000-05-10 | 2002-04-25 | Routtenberg Michael D. | Digital content distribution system and method |
| US6381325B1 (en) * | 1998-09-22 | 2002-04-30 | Operator Service Co. | System and method for wireless directory assistance |
| US20020052968A1 (en) * | 2000-01-31 | 2002-05-02 | Rudy Bonefas | Messaging method and apparatus for routing messages in a client server environment over multiple wireless and wireline networks |
| US20020052754A1 (en) * | 1998-09-15 | 2002-05-02 | Joyce Simon James | Convergent communications platform and method for mobile and electronic commerce in a heterogeneous network environment |
| US20020062290A1 (en) * | 2000-11-22 | 2002-05-23 | Chris Ricci | Method for distributing and licensing digital media |
| US20020069176A1 (en) * | 2000-12-06 | 2002-06-06 | Daniel Newman | System for obtaining fee-based data and services |
| US20020069244A1 (en) * | 1999-11-24 | 2002-06-06 | John Blair | Message delivery system billing method and apparatus |
| US20020069263A1 (en) * | 2000-10-13 | 2002-06-06 | Mark Sears | Wireless java technology |
| US20020071559A1 (en) * | 2000-07-20 | 2002-06-13 | Christensen Jakob Hjorth | Method and apparatus for providing electronic data |
| US20020083050A1 (en) * | 2000-12-22 | 2002-06-27 | Yi Bo Liu | Client / server based dynamic information feedback system and method thereof |
| US20020083006A1 (en) * | 2000-12-14 | 2002-06-27 | Intertainer, Inc. | Systems and methods for delivering media content |
| US6427076B2 (en) * | 1998-09-30 | 2002-07-30 | Telefonaktiebolaget Lm Ericsson (Publ) | Method and system for manipulating subscriber data |
| US20020107706A1 (en) * | 2001-02-02 | 2002-08-08 | Oliver Mitchell B. | Virtual negotiation |
| US20020128984A1 (en) * | 2001-02-26 | 2002-09-12 | 4Thpass Inc. | Method and system for transmission-based billing of applications |
| US20020131404A1 (en) * | 2000-11-28 | 2002-09-19 | 4Thpass Inc. | Method and system for maintaining and distributing wireless applications |
| US20030023550A1 (en) * | 2000-02-10 | 2003-01-30 | Lee Sang Won | Method and system for billing on the internet |
| US20030028903A1 (en) * | 2001-07-31 | 2003-02-06 | Klaus Hofrichter | System and method for storing and processing data for display on a display device |
| US20030033209A1 (en) * | 2001-08-13 | 2003-02-13 | Brian Minear | System and method for providing subscribed applications on wireless devices over a wireless network |
| US20030046396A1 (en) * | 2000-03-03 | 2003-03-06 | Richter Roger K. | Systems and methods for managing resource utilization in information management environments |
| US20030051047A1 (en) * | 2001-08-15 | 2003-03-13 | Gerald Horel | Data synchronization interface |
| US6535726B1 (en) * | 2000-01-12 | 2003-03-18 | Gilbarco Inc. | Cellular telephone-based transaction processing |
| US6549770B1 (en) * | 2000-05-26 | 2003-04-15 | Cellco Partnership | Over the air programming and/or service activation |
| US20030074328A1 (en) * | 2001-10-09 | 2003-04-17 | Steven Schiff | System and method for conducting a financial transaction using a communication device |
| US20030083973A1 (en) * | 2001-08-29 | 2003-05-01 | Horsfall Peter R. | Electronic trading system |
| US20030083991A1 (en) * | 2001-10-25 | 2003-05-01 | Dan Kikinis | Method and apparatus for tracking and billing cellular roaming charges via a data packet network |
| US20030093565A1 (en) * | 2001-07-03 | 2003-05-15 | Berger Adam L. | System and method for converting an attachment in an e-mail for delivery to a device of limited rendering capability |
| US20030096591A1 (en) * | 2001-11-19 | 2003-05-22 | Joseph Pohutsky | Financing party payment for calls with a wireless subscriber |
| US20030110044A1 (en) * | 2001-12-06 | 2003-06-12 | Nix John A. | Distributed resource metering system for billing |
| US20030110213A1 (en) * | 2001-12-07 | 2003-06-12 | Toshihiko Munetsugu | Media contents distribution system and method |
| US20030110296A1 (en) * | 2001-12-07 | 2003-06-12 | Kirsch Steven T. | Method and system for reducing network latency in data communication |
| US20030112927A1 (en) * | 2001-12-17 | 2003-06-19 | International Business Machines Corporation | Controlling advertising output during hold periods |
| US20030120594A1 (en) * | 2001-12-04 | 2003-06-26 | Cibernet, Inc. | Method, system and data structure for an improved billing protocol |
| US20030149958A1 (en) * | 2002-02-06 | 2003-08-07 | Shumeet Baluja | Automatic code generation for applications which run on common platforms |
| US20040002923A1 (en) * | 2002-05-13 | 2004-01-01 | Kumar Ramaswamy | Pre-paid data card authentication in a public wireless LAN access system |
| US20040006517A1 (en) * | 2000-02-23 | 2004-01-08 | Sunao Takatori | Rental machine and storage medium |
| US20040015562A1 (en) * | 2002-06-18 | 2004-01-22 | Harper David Walker | Method, apparatus and system for management of information content for enhanced accessibility over wireless communication networks |
| US20040015413A1 (en) * | 2000-12-06 | 2004-01-22 | Abu-Hejleh Nasser Mufid Yousef | System and method for third party facilitation of electronic payments over a network of computers |
| US20040032936A1 (en) * | 2002-08-15 | 2004-02-19 | Gerald Horel | Transaction processing |
| US20040043753A1 (en) * | 2002-08-30 | 2004-03-04 | Wake Susan L. | System and method for third party application sales and services to wireless devices |
| US6721716B1 (en) * | 1999-06-17 | 2004-04-13 | Mobius Management Systems, Inc. | Payment certification string and related electronic payment system and method |
| US6741980B1 (en) * | 1999-03-23 | 2004-05-25 | Microstrategy Inc. | System and method for automatic, real-time delivery of personalized informational and transactional data to users via content delivery device |
| US6742043B1 (en) * | 2000-01-14 | 2004-05-25 | Webtv Networks, Inc. | Reformatting with modular proxy server |
| US20040116119A1 (en) * | 2000-12-22 | 2004-06-17 | Lewis Allan D. | Wireless router system and method |
| US6754320B2 (en) * | 2000-01-12 | 2004-06-22 | Alcatel | Process, exchange, charge computer, charge billing computer and program modules for the processing of charge data for telecommunications services |
| US6757710B2 (en) * | 1996-02-29 | 2004-06-29 | Onename Corporation | Object-based on-line transaction infrastructure |
| US20040137890A1 (en) * | 2002-11-01 | 2004-07-15 | At&T Wireless Services, Inc. | General purpose automated activation and provisioning technologies |
| US6816721B1 (en) * | 2000-04-05 | 2004-11-09 | Nortel Networks Limited | System and method of purchasing products and services using prepaid wireless communications services account |
| US20050027872A1 (en) * | 2000-06-23 | 2005-02-03 | Microsoft Corporation | System and method for enhancing a server's ability to withstand a "SYN flood" denial of service attack |
| US6873936B2 (en) * | 1999-09-03 | 2005-03-29 | Marathon Products, Inc. | Method and system for procuring, storing and distributing remotely accessed data gathered by logging devices |
| US6880750B2 (en) * | 1998-04-17 | 2005-04-19 | Randolph M. Pentel | Remote ordering device |
| US6883142B2 (en) * | 2000-04-03 | 2005-04-19 | Komatsu Ltd. | Method and system for providing service to remote users by inter-computer communications |
| US20050114155A1 (en) * | 2003-11-24 | 2005-05-26 | Hodges Donna K. | Methods for providing communications services |
| US6941139B1 (en) * | 2000-08-25 | 2005-09-06 | Qwest Communications International, Inc. | Method and system for automatically updating a serving MSC with a change in a subscriber profile |
| US20060015565A1 (en) * | 2001-12-19 | 2006-01-19 | Nainani Bhagat V | Method and apparatus to facilitate access and propagation of messages in communication queues using a public network |
| US7010500B2 (en) * | 1999-12-30 | 2006-03-07 | Nokia Corporation | On-line subscription method |
| US7020688B2 (en) * | 2000-09-05 | 2006-03-28 | Financial Network, Inc. | Methods and systems for archiving and verification of electronic communications |
| US7043447B2 (en) * | 2000-04-19 | 2006-05-09 | Sony Corporation | Method for facilitating a transaction for purchasable content over an electronic network |
| US7047405B2 (en) * | 2001-04-05 | 2006-05-16 | Qualcomm, Inc. | Method and apparatus for providing secure processing and data storage for a wireless communication device |
| US20060143119A1 (en) * | 1999-12-16 | 2006-06-29 | Scott Krueger | Secure networked transaction system |
| US7177837B2 (en) * | 2003-07-11 | 2007-02-13 | Pascal Pegaz-Paquet | Computer-implemented method and system for managing accounting and billing of transactions over public media such as the internet |
| US20070038703A1 (en) * | 2005-07-14 | 2007-02-15 | Yahoo! Inc. | Content router gateway |
| US20070066279A1 (en) * | 2005-09-19 | 2007-03-22 | Silverbrook Research Pty Ltd | Bill per card print |
| US7200566B1 (en) * | 2000-01-11 | 2007-04-03 | International Business Machines Corporation | Method and system for local wireless commerce |
| US7218917B2 (en) * | 2002-01-15 | 2007-05-15 | Hewlett-Packard Development Company, L.P. | Method for searching nodes for information |
| US7228333B1 (en) * | 2000-04-25 | 2007-06-05 | Telecommunication Systems, Inc. | Wireless internet gateway |
| US7233790B2 (en) * | 2002-06-28 | 2007-06-19 | Openwave Systems, Inc. | Device capability based discovery, packaging and provisioning of content for wireless mobile devices |
| US7334025B2 (en) * | 2001-07-05 | 2008-02-19 | Sony Corporation | Communication system using communication network and communication method |
| US7490045B1 (en) * | 2001-06-04 | 2009-02-10 | Palmsource, Inc. | Automatic collection and updating of application usage |
| US7526450B2 (en) * | 2000-04-19 | 2009-04-28 | Sony Corporation | Interface for presenting downloadable digital data content format options |
| US7577616B2 (en) * | 2005-12-07 | 2009-08-18 | Xi Zhu | Method and apparatus of secure authentication and electronic payment through mobile communication tool |
| US7894803B2 (en) * | 2000-07-03 | 2011-02-22 | Access Co., Ltd. | Mobile information terminal device, storage, server, and method for providing storage region |
| US7904528B2 (en) * | 1999-12-22 | 2011-03-08 | Nokia Corporation | Apparatus and associated method for downloading an application with a variable lifetime to a mobile terminal |
Family Cites Families (242)
| Publication number | Priority date | Publication date | Assignee | Title |
|---|---|---|---|---|
| US628294A (en) | 1899-03-17 | 1899-07-04 | Ira D Alderman | Luggage-carrier for bicycles. |
| US5005122A (en) | 1987-09-08 | 1991-04-02 | Digital Equipment Corporation | Arrangement with cooperating management server node and network service node |
| SU1599864A1 (en) * | 1988-12-15 | 1990-10-15 | Харьковское Научно-Производственное Объединение По Системам Автоматизированного Управления | Device for exchanging data in computer network |
| JPH0744261B2 (en) | 1988-12-28 | 1995-05-15 | 凸版印刷株式会社 | Transparent coating for semiconductor devices |
| US4975942A (en) | 1989-07-21 | 1990-12-04 | The Boston Communications Group | Credit/calling card pay telephone method and system employing telephone unit local card-checking and other intelligence cooperative with local personal host computer |
| GB9121995D0 (en) | 1991-10-16 | 1991-11-27 | Jonhig Ltd | Value transfer system |
| US5986690A (en) | 1992-12-09 | 1999-11-16 | Discovery Communications, Inc. | Electronic book selection and delivery system |
| US5564070A (en) | 1993-07-30 | 1996-10-08 | Xerox Corporation | Method and system for maintaining processing continuity to mobile computers in a wireless network |
| US5812988A (en) | 1993-12-06 | 1998-09-22 | Investments Analytic, Inc. | Method and system for jointly estimating cash flows, simulated returns, risk measures and present values for a plurality of assets |
| US5457732A (en) * | 1994-02-28 | 1995-10-10 | Motorola, Inc. | Method and apparatus for delivery of a response in a messaging system |
| JPH07319691A (en) | 1994-03-29 | 1995-12-08 | Toshiba Corp | Resource protection device, privilege protection device, software usage control device, and software usage control system |
| US5666293A (en) | 1994-05-27 | 1997-09-09 | Bell Atlantic Network Services, Inc. | Downloading operating system software through a broadcast channel |
| US5666397A (en) | 1995-03-07 | 1997-09-09 | Clearwave Communications, Inc. | Individual telephone line call event buffering system |
| US7937312B1 (en) | 1995-04-26 | 2011-05-03 | Ebay Inc. | Facilitating electronic commerce transactions through binding offers |
| US6269157B1 (en) | 1995-11-06 | 2001-07-31 | Summit Telecom Systems, Inc. | Bidding for telecommunications traffic with request for service |
| FI102860B (en) | 1995-11-07 | 1999-02-26 | Nokia Telecommunications Oy | Procedure and apparatus for transmitting an electronic payment |
| EP0780802A3 (en) | 1995-12-19 | 1999-08-18 | AT&T Corp. | Wireless billing system |
| US5878036A (en) * | 1995-12-20 | 1999-03-02 | Spartz; Michael K. | Wireless telecommunications system utilizing CDMA radio frequency signal modulation in conjunction with the GSM A-interface telecommunications network protocol |
| FI102232B1 (en) | 1996-01-15 | 1998-10-30 | Nokia Telecommunications Oy | packet radio networks |
| US5862325A (en) | 1996-02-29 | 1999-01-19 | Intermind Corporation | Computer-based communication system and method using metadata defining a control structure |
| WO1997045814A1 (en) | 1996-05-24 | 1997-12-04 | Behruz Vazvan | Real time system and method for remote purchase payment and remote bill payment transactions and transferring of electronic cash and other required data |
| JPH09319573A (en) | 1996-05-28 | 1997-12-12 | Nec Corp | Distribution program charging system, charging method, and computer-readable medium storing program for charging distribution program |
| US6141404A (en) | 1996-06-13 | 2000-10-31 | @Track Communications, Inc. | Voice and data communication |
| US5857201A (en) * | 1996-06-18 | 1999-01-05 | Wright Strategies, Inc. | Enterprise connectivity to handheld devices |
| US5940752A (en) | 1996-07-31 | 1999-08-17 | Lucent Technologies Inc. | Arrangement for remotely programming a cellular telephone terminal |
| US5956034A (en) | 1996-08-13 | 1999-09-21 | Softbook Press, Inc. | Method and apparatus for viewing electronic reading materials |
| US5845267A (en) | 1996-09-06 | 1998-12-01 | At&T Corp | System and method for billing for transactions conducted over the internet from within an intranet |
| US5970490A (en) | 1996-11-05 | 1999-10-19 | Xerox Corporation | Integration platform for heterogeneous databases |
| JP3220975B2 (en) | 1996-11-12 | 2001-10-22 | 住友金属工業株式会社 | Manufacturing method of steel pipe for high strength and high toughness air bag |
| US20010034686A1 (en) | 1997-12-10 | 2001-10-25 | Eder Jeff Scott | Method of and system for defining and measuring the real options of a commercial enterprise |
| US6131098A (en) * | 1997-03-04 | 2000-10-10 | Zellweger; Paul | Method and apparatus for a database management system content menu |
| JPH10262059A (en) | 1997-03-19 | 1998-09-29 | Fujitsu Ltd | Billing data transfer device and billing data transfer method |
| US6389464B1 (en) * | 1997-06-27 | 2002-05-14 | Cornet Technology, Inc. | Device management system for managing standards-compliant and non-compliant network elements using standard management protocols and a universal site server which is configurable from remote locations via internet browser technology |
| US6324565B1 (en) * | 1997-07-28 | 2001-11-27 | Qwest Communications International Inc. | Dynamically generated document cache system |
| EP0895148B1 (en) | 1997-07-31 | 2003-09-17 | Siemens Aktiengesellschaft | Software rental system and method for renting software |
| JPH1153185A (en) | 1997-07-31 | 1999-02-26 | Nippon Telegr & Teleph Corp <Ntt> | How to charge the function unit usage of the program |
| JPH1169017A (en) | 1997-08-15 | 1999-03-09 | Sony Corp | Information distribution system |
| US6253189B1 (en) | 1997-09-15 | 2001-06-26 | At&T Corp. | System and method for completing advertising time slot transactions |
| EP0907120A3 (en) | 1997-10-02 | 2004-03-24 | Tumbleweed Software Corporation | Method amd apparatus for delivering documents over an electronic network |
| JPH11126188A (en) | 1997-10-22 | 1999-05-11 | Sony Corp | Computer equipment |
| US6334114B1 (en) | 1997-10-31 | 2001-12-25 | Oracle Corporation | Method and apparatus for performing transactions in a stateless web environment which supports a declarative paradigm |
| US6311223B1 (en) * | 1997-11-03 | 2001-10-30 | International Business Machines Corporation | Effective transmission of documents in hypertext markup language (HTML) |
| JP3861413B2 (en) | 1997-11-05 | 2006-12-20 | ソニー株式会社 | Information distribution system, information processing terminal device, portable terminal device |
| EP1040437B1 (en) | 1997-12-15 | 2003-03-05 | BRITISH TELECOMMUNICATIONS public limited company | Data communications |
| US6282294B1 (en) | 1998-01-07 | 2001-08-28 | Microsoft Corporation | System for broadcasting to, and programming, a motor device in a protocol, device, and network independent fashion |
| US6151606A (en) | 1998-01-16 | 2000-11-21 | Visto Corporation | System and method for using a workspace data manager to access, manipulate and synchronize network data |
| US6334116B1 (en) | 1998-02-02 | 2001-12-25 | Checkfree Corporation | Technique for centrally tracking transactions in an electronic billing system |
| AU2653799A (en) | 1998-02-12 | 1999-08-30 | Summit Telecom Systems, Inc. | Bidding for telecommunications traffic |
| US6650892B1 (en) | 1998-02-24 | 2003-11-18 | Solaic | Mobile communications apparatus adapted for executing computer game programs |
| JP3639108B2 (en) | 1998-03-31 | 2005-04-20 | 株式会社ソニー・コンピュータエンタテインメント | Drawing apparatus, drawing method, and providing medium |
| US6138158A (en) * | 1998-04-30 | 2000-10-24 | Phone.Com, Inc. | Method and system for pushing and pulling data using wideband and narrowband transport systems |
| US6590588B2 (en) * | 1998-05-29 | 2003-07-08 | Palm, Inc. | Wireless, radio-frequency communications using a handheld computer |
| US7025209B2 (en) * | 1998-05-29 | 2006-04-11 | Palmsource, Inc. | Method and apparatus for wireless internet access |
| US6343318B1 (en) * | 1998-05-29 | 2002-01-29 | Palm, Inc. | Method and apparatus for communicating information over low bandwidth communications networks |
| US6253326B1 (en) * | 1998-05-29 | 2001-06-26 | Palm, Inc. | Method and system for secure communications |
| RU2191482C1 (en) | 1998-06-23 | 2002-10-20 | Свисском Мобиле Аг | Method for making sale offers, filing orders and selling goods and services |
| US6327574B1 (en) | 1998-07-07 | 2001-12-04 | Encirq Corporation | Hierarchical models of consumer attributes for targeting content in a privacy-preserving manner |
| US6226618B1 (en) | 1998-08-13 | 2001-05-01 | International Business Machines Corporation | Electronic content delivery system |
| JP2000056967A (en) | 1998-08-17 | 2000-02-25 | Nec Corp | Managing method and its device for client license and recording medium storing managing program of client license |
| JP3142821B2 (en) | 1998-08-27 | 2001-03-07 | 株式会社エヌ・ティ・ティ・ドコモ | Information communication network billing method |
| US7293099B1 (en) * | 1998-09-29 | 2007-11-06 | Sun Microsystems, Inc. | Heterogeneous network file access |
| US6301471B1 (en) | 1998-11-02 | 2001-10-09 | Openwave System Inc. | Online churn reduction and loyalty system |
| US6434535B1 (en) | 1998-11-13 | 2002-08-13 | Iomega Corporation | System for prepayment of electronic content using removable media and for prevention of unauthorized copying of same |
| US20020002513A1 (en) | 1998-11-25 | 2002-01-03 | James P. Chiasson | Computer network transaction system |
| US6460076B1 (en) | 1998-12-21 | 2002-10-01 | Qwest Communications International, Inc. | Pay per record system and method |
| US20020055847A1 (en) | 1999-01-20 | 2002-05-09 | Masahiro Nakano | Method and apparatus of providing secure transactions on a network |
| US6598026B1 (en) | 1999-01-25 | 2003-07-22 | Nextag.Com, Inc. | Methods and apparatus for brokering transactions |
| US6985882B1 (en) | 1999-02-05 | 2006-01-10 | Directrep, Llc | Method and system for selling and purchasing media advertising over a distributed communication network |
| FI990461A7 (en) | 1999-03-03 | 2000-10-20 | Nokia Corp | Method for downloading software from a server to a terminal device |
| US6826597B1 (en) | 1999-03-17 | 2004-11-30 | Oracle International Corporation | Providing clients with services that retrieve data from data sources that do not necessarily support the format required by the clients |
| JP4299911B2 (en) * | 1999-03-24 | 2009-07-22 | 株式会社東芝 | Information transfer system |
| US6463534B1 (en) | 1999-03-26 | 2002-10-08 | Motorola, Inc. | Secure wireless electronic-commerce system with wireless network domain |
| CA2267549A1 (en) | 1999-03-30 | 2000-09-30 | Object Technology International Inc. | Loading and unloading of application components |
| JP2000357196A (en) | 1999-04-13 | 2000-12-26 | Sony Corp | Information processing apparatus and method, management apparatus and method, providing medium, information providing system and method, and information transmitting apparatus |
| US6493722B1 (en) | 1999-04-13 | 2002-12-10 | Daleen Technologies, Inc. | Billing system for distributing third party messages to form a community of subscribers to negotiate a group purchase from the third party |
| EP1047030A2 (en) | 1999-04-13 | 2000-10-25 | Sony Corporation | Information processing apparatus and method, information management apparatus and method, information providing medium, information providing system and method, and information transmission apparatus |
| GB2349548A (en) | 1999-04-27 | 2000-11-01 | Roke Manor Research | Downloading software to mobile telecommunication users |
| US6321078B1 (en) | 1999-06-16 | 2001-11-20 | Ronald J. Menelli | System and method for providing expense reports to wireless service subscribers |
| US6941270B1 (en) | 1999-06-21 | 2005-09-06 | Nokia Corporation | Apparatus, and associated method, for loading a mobile terminal with an application program installed at a peer device |
| WO2001003410A1 (en) | 1999-07-05 | 2001-01-11 | Sanyo Electric Co., Ltd. | Information distribution system and distribution server |
| TW388021B (en) | 1999-08-17 | 2000-04-21 | Chungwha Telecome Lab | Electronic payment gateway system of security transaction and independent authority |
| US20010036271A1 (en) | 1999-09-13 | 2001-11-01 | Javed Shoeb M. | System and method for securely distributing digital content for short term use |
| US7068680B1 (en) * | 1999-10-01 | 2006-06-27 | Accenture Llp | Communication service architectures for netcentric computing systems |
| US7020697B1 (en) * | 1999-10-01 | 2006-03-28 | Accenture Llp | Architectures for netcentric computing systems |
| JP2002197294A (en) | 1999-10-29 | 2002-07-12 | Toppan Printing Co Ltd | Distribution method of paid information |
| EP1102191A3 (en) | 1999-11-17 | 2002-06-12 | Nokia Corporation | Method and apparatus for reconciling data between devices |
| US6606744B1 (en) | 1999-11-22 | 2003-08-12 | Accenture, Llp | Providing collaborative installation management in a network-based supply chain environment |
| DK1238509T3 (en) | 1999-12-13 | 2006-03-06 | Markport Ltd | Wap service personalization, management and object-oriented bill printing platform |
| FI112151B (en) | 1999-12-23 | 2003-10-31 | Nokia Corp | Dissemination of a message |
| US6629163B1 (en) * | 1999-12-29 | 2003-09-30 | Implicit Networks, Inc. | Method and system for demultiplexing a first sequence of packet components to identify specific components wherein subsequent components are processed without re-identifying components |
| AU2101901A (en) | 2000-01-06 | 2001-07-16 | Andrew Stearns Brenneman | Method and system for supervising on-line purchasing |
| JP2001195451A (en) | 2000-01-13 | 2001-07-19 | Mitsubishi Corp | Trading support system |
| WO2001052178A1 (en) * | 2000-01-13 | 2001-07-19 | Digimarc Corporation | Authenticating metadata and embedding metadata in watermarks of media signals |
| KR100407922B1 (en) | 2000-01-18 | 2003-12-01 | 마이크로 인스펙션 주식회사 | Certified method on the internet using cellular phone |
| JP2001202434A (en) | 2000-01-20 | 2001-07-27 | Hitachi Seibu Software Ltd | Information providing system |
| JP2001202437A (en) | 2000-01-20 | 2001-07-27 | Kyocera Communication Systems Co Ltd | Service system |
| US6754482B1 (en) | 2000-02-02 | 2004-06-22 | Lucent Technologies Inc. | Flexible access authorization feature to enable mobile users to access services in 3G wireless networks |
| RU2170455C1 (en) * | 2000-02-03 | 2001-07-10 | Закрытое акционерное общество "МЕРА ПЛЮС" | Electronic system for executing financial transactions |
| AU3689301A (en) * | 2000-02-09 | 2001-08-20 | Apriva Inc | Communication systems, components, and methods operative with programmable wireless devices |
| US20010037304A1 (en) | 2000-03-28 | 2001-11-01 | Paiz Richard S. | Method of and apparatus for delivery of proprietary audio and visual works to purchaser electronic devices |
| US6622017B1 (en) | 2000-02-25 | 2003-09-16 | Cellco Parntership | Over-the-air programming of wireless terminal features |
| US20010034677A1 (en) | 2000-02-25 | 2001-10-25 | Jay Farhat | Method and system to normalize transaction data pertaining to accesses to a service provided via a plurality of service providers |
| JP2001243382A (en) | 2000-02-28 | 2001-09-07 | Sony Corp | Payment method using mobile communication terminal, payment system, and mobile communication terminal |
| JP2001250069A (en) | 2000-03-06 | 2001-09-14 | Ntt Data Corp | Billing and payment system, billing and payment method, billing and payment management device, billing and payment management method, billing system, payment system, and recording medium |
| US6977917B2 (en) | 2000-03-10 | 2005-12-20 | Telefonaktiebolaget Lm Ericsson (Publ) | Method and apparatus for mapping an IP address to an MSISDN number within a service network |
| FI108828B (en) | 2000-03-14 | 2002-03-28 | Sonera Oyj | Providing billing in a telecommunications system |
| JP2001265938A (en) | 2000-03-21 | 2001-09-28 | Nec Corp | Method and system for charging contents and recording medium with contents charging program recorded thereon |
| FR2806694B1 (en) | 2000-03-23 | 2002-08-02 | Gerard Gautier | CONTACT SUPPORT FOR A CYCLE SAFETY DEVICE |
| US6336137B1 (en) * | 2000-03-31 | 2002-01-01 | Siebel Systems, Inc. | Web client-server system and method for incompatible page markup and presentation languages |
| FI109949B (en) | 2000-04-07 | 2002-10-31 | Domiras Oy | Method of billing services, server and communication system |
| AU2001253533A1 (en) * | 2000-04-17 | 2001-10-30 | Circadence Corporation | System and method for reformatting data traffic |
| JP2002132367A (en) | 2000-10-23 | 2002-05-10 | Canon Inc | Application program charging system, apparatus, totalizing server, charging management server, application program charging method, charging program, and recording medium recording charging program |
| JP2002133316A (en) | 2000-10-27 | 2002-05-10 | Canon Inc | Application program charging system, apparatus, totalizing server, charging management server, application program charging method, charging program, and recording medium recording charging program |
| JP3976472B2 (en) | 2000-04-28 | 2007-09-19 | Necネクサソリューションズ株式会社 | User authentication and billing method and recording medium therefor |
| JP2001312666A (en) | 2000-04-28 | 2001-11-09 | Kyocera Communication Systems Co Ltd | System and method for managing rate information |
| JP2001320509A (en) | 2000-05-12 | 2001-11-16 | Nec Corp | Method and system for selling digital data |
| RU2165679C1 (en) | 2000-05-25 | 2001-04-20 | Ямилев Ильгиз Амирович | Telecommunication-network pay-service system (alternatives) |
| JP2001325234A (en) | 2000-05-17 | 2001-11-22 | Nec Corp | Chargeable content utilization system and method |
| US7565326B2 (en) | 2000-05-25 | 2009-07-21 | Randle William M | Dialect independent multi-dimensional integrator using a normalized language platform and secure controlled access |
| US20020107809A1 (en) | 2000-06-02 | 2002-08-08 | Biddle John Denton | System and method for licensing management |
| JP2001352583A (en) | 2000-06-07 | 2001-12-21 | Komu Square:Kk | Billing system |
| US6898710B1 (en) * | 2000-06-09 | 2005-05-24 | Northop Grumman Corporation | System and method for secure legacy enclaves in a public key infrastructure |
| FI113098B (en) | 2000-06-16 | 2004-02-27 | Swwap Oy | Procedures and systems for billing services delivered through a computer network |
| JP2002007839A (en) | 2000-06-26 | 2002-01-11 | Digital Rights Japan:Kk | Commercial transaction point totaling system in virtual market |
| JP2002015160A (en) | 2000-06-29 | 2002-01-18 | Canon Inc | E-commerce system |
| WO2002003219A1 (en) | 2000-06-30 | 2002-01-10 | Plurimus Corporation | Method and system for monitoring online computer network behavior and creating online behavior profiles |
| WO2002005196A2 (en) | 2000-07-06 | 2002-01-17 | Protigen, Inc. | System and method for anonymous transaction in a data network and classification of individuals without knowing their real identity |
| JP2002027151A (en) | 2000-07-11 | 2002-01-25 | Yukihiro Furuse | Accounting system and its method |
| JP3385014B2 (en) | 2000-07-14 | 2003-03-10 | 松下電器産業株式会社 | High pressure discharge lamp and method of manufacturing the same |
| CA2416775C (en) | 2000-07-21 | 2011-03-29 | Telemac Corporation | Multiple virtual wallets in wireless devices |
| US6453160B1 (en) | 2000-07-31 | 2002-09-17 | Motorola, Inc. | Exploiting a broadcast system to enhance a wireless gaming experience using position holders to replace data |
| US20020022971A1 (en) | 2000-08-21 | 2002-02-21 | Masanori Tanaka | Software rental system, software rental method, and computer program for being executed on the software rental system |
| US6820121B1 (en) * | 2000-08-24 | 2004-11-16 | International Business Machines Corporation | Methods systems and computer program products for processing an event based on policy rules using hashing |
| US6937996B1 (en) | 2000-08-29 | 2005-08-30 | Charles Bradley Forsythe | Method and system for selecting and purchasing media advertising |
| EP1184818A1 (en) | 2000-09-01 | 2002-03-06 | Marconi Commerce Systems S.r.L. | Vending system for selling products or services to purchasers having mobile communicators |
| TW499645B (en) | 2000-09-04 | 2002-08-21 | Netasp Internat Co Ltd | Method and system for managing the time-based charge of software leasing |
| US6704716B1 (en) | 2000-09-08 | 2004-03-09 | Mindepper, Llc | Method and system for conducting an online transaction that allows the seller and bidder to negotiate |
| AU2001290874A1 (en) | 2000-09-15 | 2002-03-26 | Mobliss, Inc. | System for conducting user-specific promotional campaigns using multiple communications device platforms |
| JP2002094450A (en) | 2000-09-19 | 2002-03-29 | Easter Egg:Kk | Bar code distribution system utilizing internet function of portable information terminal (including portable telephone) |
| JP4750254B2 (en) | 2000-09-19 | 2011-08-17 | テックファーム株式会社 | Information distribution server system, application authentication method for the system, and recording medium |
| JP3793913B2 (en) | 2000-09-22 | 2006-07-05 | 株式会社リコー | Remote control system, remote control method and recording medium |
| JP2002099289A (en) | 2000-09-25 | 2002-04-05 | Uniden Corp | Internet karaoke system |
| JP2002099441A (en) | 2000-09-26 | 2002-04-05 | Mitsubishi Electric Corp | Communication terminal device and operation method of communication terminal device |
| JP2002109395A (en) | 2000-09-26 | 2002-04-12 | Matsushita Electric Ind Co Ltd | Content acquisition system and content acquisition device |
| US7774231B2 (en) | 2000-09-29 | 2010-08-10 | Nokia Corporation | Electronic payment methods for a mobile device |
| FI113428B (en) | 2000-10-10 | 2004-04-15 | Smarttrust Systems Oy | Procedure for using services in a wireless telecommunications network |
| JP2002334173A (en) | 2000-11-02 | 2002-11-22 | Matsushita Electric Ind Co Ltd | Content distribution method, server and terminal used therefor, and computer program |
| JP4269023B2 (en) | 2000-11-29 | 2009-05-27 | 株式会社ウィルコム | Content present management device, content present management system |
| JP5319039B2 (en) | 2000-11-29 | 2013-10-16 | 京セラ株式会社 | Information distribution system and information distribution method |
| JP2001319168A (en) | 2000-12-12 | 2001-11-16 | Make Softwear:Kk | Transmission device and reception device of demand content, portable terminal, electronic settlement system, electronic settlement method, demand content reader and demand content reading method |
| US7278164B2 (en) | 2001-01-05 | 2007-10-02 | Revit Technology Corporation | Software usage/procurement management |
| EP1366630A4 (en) | 2001-02-09 | 2008-03-05 | Comverse Ltd | Management of pre-paid billing system for wireless communication |
| US20020111904A1 (en) | 2001-02-13 | 2002-08-15 | Gruber Harry E. | Method and system for soliciting charitable donation during electronic commerce |
| JP2002245350A (en) | 2001-02-21 | 2002-08-30 | Matsushita Electric Ind Co Ltd | Electronic catalog, electronic catalog display device, electronic catalog display system, electronic catalog display method, program download system |
| US7013289B2 (en) * | 2001-02-21 | 2006-03-14 | Michel Horn | Global electronic commerce system |
| US20020162112A1 (en) | 2001-02-21 | 2002-10-31 | Vesta Broadband Services, Inc. | PC-based virtual set-top box for internet-based distribution of video and other data |
| WO2002071287A2 (en) | 2001-02-23 | 2002-09-12 | Mobilitec Inc. | System and method for charging for directed provisioning of user applications on limited-resource devices |
| US7509435B2 (en) * | 2001-03-12 | 2009-03-24 | International Business Machines Corporation | Network Address Translation and Port Mapping |
| US20020131401A1 (en) | 2001-03-14 | 2002-09-19 | David Ehreth | Sharing remote terminals |
| JP2002279103A (en) | 2001-03-15 | 2002-09-27 | B M C:Kk | Contents distribution system and its distribution data base |
| WO2002082336A1 (en) | 2001-03-30 | 2002-10-17 | Yozan Inc. | Charging system |
| GB0108354D0 (en) | 2001-04-03 | 2001-05-23 | Thirdspace Living Ltd | System and method for providing a user with access to a plurality of sevices and content from a broadband television service |
| US20020194143A1 (en) | 2001-04-26 | 2002-12-19 | International Business Machines Corporation | Method and system for usage-based pricing of E-content |
| EP1253771A1 (en) | 2001-04-26 | 2002-10-30 | Siemens Aktiengesellschaft | Method for accounting telecommunication fees |
| JP3795344B2 (en) | 2001-04-27 | 2006-07-12 | 株式会社野村総合研究所 | Application management system |
| JP3937752B2 (en) | 2001-05-10 | 2007-06-27 | 株式会社日立製作所 | Mobile phones and base stations |
| JP4099070B2 (en) | 2001-05-14 | 2008-06-11 | 株式会社エヌ・ティ・ティ・ドコモ | System for managing a program stored in a storage unit of a mobile terminal |
| KR20010078968A (en) | 2001-05-28 | 2001-08-22 | 이상욱 | Method for providing software ASP through the internet |
| JP4364454B2 (en) | 2001-05-29 | 2009-11-18 | 株式会社神戸製鋼所 | Information distribution system and communication method thereof |
| US7099891B2 (en) * | 2001-06-15 | 2006-08-29 | International Business Machines Corporation | Method for allowing simple interoperation between backend database systems |
| US7869826B2 (en) | 2001-06-15 | 2011-01-11 | Nokia Corporation | Method and apparatus for relating communications system identifications (SIDS) |
| US6978273B1 (en) | 2001-06-18 | 2005-12-20 | Trilogy Development Group, Inc. | Rules based custom catalogs generated from a central catalog database for multiple entities |
| JP2003016093A (en) | 2001-06-27 | 2003-01-17 | Nec Corp | Apparatus, system, method and program for information delivery |
| US7421411B2 (en) | 2001-07-06 | 2008-09-02 | Nokia Corporation | Digital rights management in a mobile communications environment |
| US7117504B2 (en) * | 2001-07-10 | 2006-10-03 | Microsoft Corporation | Application program interface that enables communication for a network software platform |
| US6628934B2 (en) | 2001-07-12 | 2003-09-30 | Earthlink, Inc. | Systems and methods for automatically provisioning wireless services on a wireless device |
| US7184747B2 (en) | 2001-07-25 | 2007-02-27 | Ncr Corporation | System and method for implementing financial transactions using cellular telephone data |
| US7362745B1 (en) | 2001-09-05 | 2008-04-22 | Sprint Communications Company L.P. | End-user systems for communication services over peer-to-peer internet protocol connections between service providers |
| SE0103337D0 (en) | 2001-10-08 | 2001-10-08 | Service Factory Sf Ab | System and method relating to mobile communications |
| CA2408469A1 (en) | 2001-10-19 | 2003-04-19 | J.J. Mackay Canada Limited | Use of cellular phones for payment of vending machines |
| US6792271B1 (en) | 2001-11-06 | 2004-09-14 | Bellsouth Intellectual Property, Inc. | Alternative wireless telephone roaming using prepaid services |
| JP4132788B2 (en) * | 2001-11-15 | 2008-08-13 | 三菱電機株式会社 | Data communication device |
| CA2363220A1 (en) | 2001-11-23 | 2003-05-23 | Trustshield Technologies Inc. | Simcard authorization: online credit card transaction approval, privacy, authentication and non-repudiation |
| KR100414226B1 (en) | 2001-11-23 | 2004-01-13 | 엔캐시 주식회사 | A billing management system and the billing managing method in a network |
| CA2469026A1 (en) | 2001-12-06 | 2003-06-19 | Access Co., Ltd. | System and method for providing subscription content services to mobile devices |
| JP2003187083A (en) | 2001-12-14 | 2003-07-04 | Nikko Cordial Corp | Customer asset control system |
| JP4163930B2 (en) * | 2002-01-16 | 2008-10-08 | 株式会社エコロジカルプレゼンツ | Drainage valve spacer for toilet bowl |
| US6965883B2 (en) | 2002-02-20 | 2005-11-15 | Nokia Corporation | Charging mechanism for multicasting |
| US20030167230A1 (en) | 2002-03-01 | 2003-09-04 | Mccarthy Kevin | Method and communication terminal for handling payment of downloadable content |
| US7155205B2 (en) | 2002-03-12 | 2006-12-26 | Bellsouth Intellectual Property Corporation | System and method for verifying subscriber data records in a telephone system |
| KR100467005B1 (en) | 2002-03-15 | 2005-01-24 | 김영신 | Wireless Application Service Provider system |
| EP1489541A1 (en) | 2002-03-20 | 2004-12-22 | Matsushita Electric Industrial Co., Ltd. | Mobile settlement system and device |
| KR20030078446A (en) | 2002-03-29 | 2003-10-08 | 주식회사 인코닉스 | Method and system for providing business to business electronic commerce service including tracking information |
| US6751295B2 (en) | 2002-04-03 | 2004-06-15 | Criterion Wireless Corp. | Method and apparatus for measuring communication market statistics |
| US6928441B2 (en) | 2002-04-16 | 2005-08-09 | International Business Machines Corporation | Electronic catalogs that provide hierarchical access for buyers of goods and services |
| JP4053350B2 (en) | 2002-04-22 | 2008-02-27 | 株式会社エー・アール・アイ | Content distribution system and method, and content distribution program |
| US20030208444A1 (en) | 2002-05-06 | 2003-11-06 | Hermann Sauer | Payment system and method |
| JP2004005044A (en) | 2002-05-30 | 2004-01-08 | Sony Corp | Information transmitting / receiving apparatus, information transmitting apparatus and method, information receiving apparatus and method, information processing apparatus and method, information transmission managing apparatus and method, information receiving managing apparatus and method, recording medium, and program |
| US7260194B1 (en) | 2002-06-12 | 2007-08-21 | At&T Intellectual Property, Inc. | Method and system for providing long distance service |
| US20040203681A1 (en) | 2002-07-01 | 2004-10-14 | Ross David J. | Application catalog on an application server for wireless devices |
| US20040044623A1 (en) | 2002-08-28 | 2004-03-04 | Wake Susan L. | Billing system for wireless device activity |
| EP1404100A1 (en) | 2002-09-30 | 2004-03-31 | Koninklijke KPN N.V. | Billing of differentiated services |
| JP2004135229A (en) | 2002-10-15 | 2004-04-30 | Victor Co Of Japan Ltd | Contents distribution system, contents distribution server, and the program |
| KR100438056B1 (en) | 2002-10-21 | 2004-07-01 | 에스케이 텔레콤주식회사 | Apparatus and Method for Transport Fee Generation of Mobile Telecommunication System |
| JP2004220546A (en) | 2002-11-20 | 2004-08-05 | Yoshinobu Inada | Management server of electronic utilization right, terminal device, management system and management method |
| JP2004185197A (en) | 2002-12-02 | 2004-07-02 | Shigeru Hayashi | Content sale system |
| US8812382B2 (en) | 2003-01-15 | 2014-08-19 | Nokia Corporation | Charging for a communication system |
| KR100509935B1 (en) | 2003-02-11 | 2005-08-24 | 주식회사 케이티프리텔 | System and method for subdividing data service charge in mobile communication network |
| US9232077B2 (en) | 2003-03-12 | 2016-01-05 | Qualcomm Incorporated | Automatic subscription system for applications and services provided to wireless devices |
| US7333809B2 (en) | 2003-03-18 | 2008-02-19 | At&T Mobility Ii Llc | Multi-standard prepaid communication services |
| US8489470B2 (en) * | 2003-03-24 | 2013-07-16 | Siebel Systems, Inc. | Inventory location common object |
| WO2004086198A2 (en) * | 2003-03-24 | 2004-10-07 | Siebel Systems, Inc. | Common common object |
| CN1792085A (en) | 2003-06-18 | 2006-06-21 | 艾利森电话股份有限公司 | Online charging in mobile network |
| CA2433471A1 (en) | 2003-06-26 | 2004-12-26 | Ibm Canada Limited - Ibm Canada Limitee | Supplier hub with hosted supplier stores |
| US7676432B2 (en) | 2003-07-08 | 2010-03-09 | Paybyclick Corporation | Methods and apparatus for transacting electronic commerce using account hierarchy and locking of accounts |
| US20050079855A1 (en) | 2003-08-20 | 2005-04-14 | Jethi Rashesh J. | Architecture that enables a mobile virtual network operator (MVNO) to create a branded wireless offering |
| JP2005078325A (en) | 2003-08-29 | 2005-03-24 | Kddi Corp | Authentication system, computer program |
| US7660755B2 (en) | 2003-09-18 | 2010-02-09 | At&T Intellectual Property I, L.P. | Methods, systems, and computer-readable-mediums for managing rollover usage units of communication services |
| JP3609398B1 (en) | 2003-11-11 | 2005-01-12 | 株式会社青山キャピタル | Product information provision system |
| US20050125315A1 (en) | 2003-12-08 | 2005-06-09 | Munoz Jaime M.N. | System for account management and method therefor |
| JP4269162B2 (en) | 2004-01-07 | 2009-05-27 | 日本電気株式会社 | Wireless route selection method for portable communication terminal, portable communication terminal and wireless communication system |
| AU2005206954A1 (en) | 2004-01-21 | 2005-08-04 | Qualcomm Incorporated | Application-based value billing in a wireless subscriber network |
| US20060253350A1 (en) | 2004-03-05 | 2006-11-09 | Frank Falkenhain | Method and system for billing and content delivery |
| US8819711B2 (en) | 2004-05-04 | 2014-08-26 | Qualcomm Incorporated | Hierarchical program packages for user terminal subscribable services |
| US20050289047A1 (en) | 2004-06-28 | 2005-12-29 | Oliver Mitchell B | Virtual marketplace for wireless device applications and services with integrated multi-party settlement |
| DE102004046568A1 (en) | 2004-09-24 | 2006-04-06 | Construction Research & Technology Gmbh | Fluoromodified reactive resin systems, process for their preparation and their use |
| JP4516815B2 (en) * | 2004-09-28 | 2010-08-04 | 株式会社ニューズウォッチ | Search device |
| US20060080232A1 (en) | 2004-10-08 | 2006-04-13 | Randy Epps | Cellular telephone based payment apparatus and method for use in purchase of good and services |
| US20060235931A1 (en) * | 2005-04-19 | 2006-10-19 | Ruthe Garry E | System for two-way exchange of personal data over mobile telephone networks |
| US9350875B2 (en) | 2005-05-31 | 2016-05-24 | Qualcomm Incorporated | Wireless subscriber billing and distribution |
| US9185538B2 (en) | 2005-05-31 | 2015-11-10 | Qualcomm Incorporated | Wireless subscriber application and content distribution and differentiated pricing |
| US7826829B2 (en) | 2005-09-07 | 2010-11-02 | Sms.Ac, Inc. | Automated billing and distribution platform for application providers |
| US7593714B2 (en) | 2005-06-24 | 2009-09-22 | Motorola, Inc. | Communication services payment method and system |
| US7860484B2 (en) | 2005-09-07 | 2010-12-28 | Sms.Ac, Inc. | Automated billing and distribution platform for application providers |
| US8200575B2 (en) | 2005-10-11 | 2012-06-12 | Raul Armando Cordero Torres | Secure electronic payment system and methods |
| US7653722B1 (en) * | 2005-12-05 | 2010-01-26 | Netapp, Inc. | Server monitoring framework |
| US7676478B2 (en) * | 2006-01-10 | 2010-03-09 | Sas Institute Inc. | Data warehousing systems and methods having reusable user transforms |
| US9143622B2 (en) | 2006-02-17 | 2015-09-22 | Qualcomm Incorporated | Prepay accounts for applications, services and content for communication devices |
| US9185234B2 (en) | 2006-02-22 | 2015-11-10 | Qualcomm Incorporated | Automated account mapping in a wireless subscriber billing system |
| US7962195B2 (en) | 2006-06-01 | 2011-06-14 | Biosense Webster, Inc. | Model-based correction of position measurements |
| JP2010178027A (en) | 2009-01-29 | 2010-08-12 | Canon Inc | Camera system |
| US8402511B2 (en) * | 2009-07-30 | 2013-03-19 | Hewlett-Packard Development Company, L.P. | LDAPI communication across OS instances |
-
2002
- 2002-08-13 US US10/218,371 patent/US9203923B2/en not_active Expired - Fee Related
- 2002-08-15 BR BR0211949-8A patent/BR0211949A/en not_active Application Discontinuation
- 2002-08-15 IL IL16041502A patent/IL160415A0/en unknown
- 2002-08-15 JP JP2003522005A patent/JP4343684B2/en not_active Expired - Lifetime
- 2002-08-15 KR KR1020037002204A patent/KR100585306B1/en not_active Expired - Lifetime
- 2002-08-15 JP JP2003522004A patent/JP2005526301A/en active Pending
- 2002-08-15 IL IL16036102A patent/IL160361A0/en unknown
- 2002-08-15 AU AU2002323181A patent/AU2002323181A1/en not_active Abandoned
- 2002-08-15 EP EP02752842A patent/EP1417620A4/en not_active Withdrawn
- 2002-08-15 RU RU2004107490/09A patent/RU2298225C2/en active
- 2002-08-15 CN CNB028182677A patent/CN100394423C/en not_active Expired - Fee Related
- 2002-08-15 WO PCT/US2002/026033 patent/WO2003036416A2/en not_active Ceased
- 2002-08-15 US US10/222,678 patent/US20030078886A1/en not_active Abandoned
- 2002-08-15 CA CA002459688A patent/CA2459688A1/en not_active Abandoned
- 2002-08-15 CA CA002457706A patent/CA2457706A1/en not_active Abandoned
- 2002-08-15 BR BR0211916-1A patent/BR0211916A/en not_active IP Right Cessation
- 2002-08-15 NZ NZ531210A patent/NZ531210A/en not_active IP Right Cessation
- 2002-08-15 AU AU2002323186A patent/AU2002323186B2/en not_active Expired
- 2002-08-15 MX MXPA04001473A patent/MXPA04001473A/en not_active Application Discontinuation
- 2002-08-15 WO PCT/US2002/026035 patent/WO2003017170A1/en not_active Ceased
- 2002-08-15 NZ NZ531148A patent/NZ531148A/en not_active IP Right Cessation
- 2002-08-15 KR KR1020037002151A patent/KR100590414B1/en not_active Expired - Fee Related
- 2002-08-15 EP EP02757151A patent/EP1423811A4/en not_active Ceased
- 2002-08-15 MX MXPA04001385A patent/MXPA04001385A/en active IP Right Grant
- 2002-08-15 RU RU2004107494/09A patent/RU2304851C2/en not_active IP Right Cessation
- 2002-08-15 CN CN02820078.0A patent/CN1568473B/en not_active Expired - Lifetime
- 2002-08-15 WO PCT/US2002/026041 patent/WO2003017171A1/en not_active Ceased
Patent Citations (107)
| Publication number | Priority date | Publication date | Assignee | Title |
|---|---|---|---|---|
| US4156903A (en) * | 1974-02-28 | 1979-05-29 | Burroughs Corporation | Data driven digital data processor |
| US5505122A (en) * | 1991-03-12 | 1996-04-09 | Gerrit; Smit | Apparatus for transport of warm foodstuffs |
| US5329619A (en) * | 1992-10-30 | 1994-07-12 | Software Ag | Cooperative processing interface and communication broker for heterogeneous computing environments |
| US5634012A (en) * | 1994-11-23 | 1997-05-27 | Xerox Corporation | System for controlling the distribution and use of digital works having a fee reporting mechanism |
| US6185683B1 (en) * | 1995-02-13 | 2001-02-06 | Intertrust Technologies Corp. | Trusted and secure techniques, systems and methods for item delivery and execution |
| US5619247A (en) * | 1995-02-24 | 1997-04-08 | Smart Vcr Limited Partnership | Stored program pay-per-play |
| US5608781A (en) * | 1995-04-12 | 1997-03-04 | Seiderman; Abe | Method of eliminating or reducing cloning of electronic identification numbers of cellular telephones |
| US5907837A (en) * | 1995-07-17 | 1999-05-25 | Microsoft Corporation | Information retrieval system in an on-line network including separate content and layout of published titles |
| US5852812A (en) * | 1995-08-23 | 1998-12-22 | Microsoft Corporation | Billing system for a network |
| US5761485A (en) * | 1995-12-01 | 1998-06-02 | Munyan; Daniel E. | Personal electronic book system |
| US6757710B2 (en) * | 1996-02-29 | 2004-06-29 | Onename Corporation | Object-based on-line transaction infrastructure |
| US6185198B1 (en) * | 1996-03-20 | 2001-02-06 | Aeris Communications, Inc. | Time division multiple access downlink personal communications system voice and data debit billing method |
| US6047051A (en) * | 1996-11-11 | 2000-04-04 | Nokia Telecommunications Oy | Implementation of charging in a telecommunications system |
| US6035281A (en) * | 1997-06-16 | 2000-03-07 | International Business Machines Corporation | System and method of multiparty billing for Web access |
| US6181704B1 (en) * | 1997-08-29 | 2001-01-30 | Intel Corporation | Method and apparatus for input/output link retry, failure and recovery in a computer network |
| US6253239B1 (en) * | 1997-09-23 | 2001-06-26 | Information Architects Corporation | System for indexing and display requested data having heterogeneous content and representation |
| US6230168B1 (en) * | 1997-11-26 | 2001-05-08 | International Business Machines Corp. | Method for automatically constructing contexts in a hypertext collection |
| US6230269B1 (en) * | 1998-03-04 | 2001-05-08 | Microsoft Corporation | Distributed authentication system and method |
| US6880750B2 (en) * | 1998-04-17 | 2005-04-19 | Randolph M. Pentel | Remote ordering device |
| US6263326B1 (en) * | 1998-05-13 | 2001-07-17 | International Business Machines Corporation | Method product ‘apparatus for modulations’ |
| US20010056362A1 (en) * | 1998-07-29 | 2001-12-27 | Mike Hanagan | Modular, convergent customer care and billing system |
| US6263362B1 (en) * | 1998-09-01 | 2001-07-17 | Bigfix, Inc. | Inspector for computed relevance messaging |
| US20020052754A1 (en) * | 1998-09-15 | 2002-05-02 | Joyce Simon James | Convergent communications platform and method for mobile and electronic commerce in a heterogeneous network environment |
| US6266401B1 (en) * | 1998-09-17 | 2001-07-24 | Sprint Communications Company, L.P. | Consolidated billing system and method for use in telephony networks |
| US6381325B1 (en) * | 1998-09-22 | 2002-04-30 | Operator Service Co. | System and method for wireless directory assistance |
| US6427076B2 (en) * | 1998-09-30 | 2002-07-30 | Telefonaktiebolaget Lm Ericsson (Publ) | Method and system for manipulating subscriber data |
| US6741980B1 (en) * | 1999-03-23 | 2004-05-25 | Microstrategy Inc. | System and method for automatic, real-time delivery of personalized informational and transactional data to users via content delivery device |
| US6721716B1 (en) * | 1999-06-17 | 2004-04-13 | Mobius Management Systems, Inc. | Payment certification string and related electronic payment system and method |
| US6873936B2 (en) * | 1999-09-03 | 2005-03-29 | Marathon Products, Inc. | Method and system for procuring, storing and distributing remotely accessed data gathered by logging devices |
| US20020029200A1 (en) * | 1999-09-10 | 2002-03-07 | Charles Dulin | System and method for providing certificate validation and other services |
| US20020069244A1 (en) * | 1999-11-24 | 2002-06-06 | John Blair | Message delivery system billing method and apparatus |
| US20060143119A1 (en) * | 1999-12-16 | 2006-06-29 | Scott Krueger | Secure networked transaction system |
| US7904528B2 (en) * | 1999-12-22 | 2011-03-08 | Nokia Corporation | Apparatus and associated method for downloading an application with a variable lifetime to a mobile terminal |
| US7010500B2 (en) * | 1999-12-30 | 2006-03-07 | Nokia Corporation | On-line subscription method |
| US7200566B1 (en) * | 2000-01-11 | 2007-04-03 | International Business Machines Corporation | Method and system for local wireless commerce |
| US6754320B2 (en) * | 2000-01-12 | 2004-06-22 | Alcatel | Process, exchange, charge computer, charge billing computer and program modules for the processing of charge data for telecommunications services |
| US6535726B1 (en) * | 2000-01-12 | 2003-03-18 | Gilbarco Inc. | Cellular telephone-based transaction processing |
| US7039389B2 (en) * | 2000-01-12 | 2006-05-02 | Gilbarco Inc. | Cellular telephone-based transaction processing |
| US6742043B1 (en) * | 2000-01-14 | 2004-05-25 | Webtv Networks, Inc. | Reformatting with modular proxy server |
| US20020052968A1 (en) * | 2000-01-31 | 2002-05-02 | Rudy Bonefas | Messaging method and apparatus for routing messages in a client server environment over multiple wireless and wireline networks |
| US20030023550A1 (en) * | 2000-02-10 | 2003-01-30 | Lee Sang Won | Method and system for billing on the internet |
| US20040006517A1 (en) * | 2000-02-23 | 2004-01-08 | Sunao Takatori | Rental machine and storage medium |
| US20030046396A1 (en) * | 2000-03-03 | 2003-03-06 | Richter Roger K. | Systems and methods for managing resource utilization in information management environments |
| US6883142B2 (en) * | 2000-04-03 | 2005-04-19 | Komatsu Ltd. | Method and system for providing service to remote users by inter-computer communications |
| US6816721B1 (en) * | 2000-04-05 | 2004-11-09 | Nortel Networks Limited | System and method of purchasing products and services using prepaid wireless communications services account |
| US7043447B2 (en) * | 2000-04-19 | 2006-05-09 | Sony Corporation | Method for facilitating a transaction for purchasable content over an electronic network |
| US7526450B2 (en) * | 2000-04-19 | 2009-04-28 | Sony Corporation | Interface for presenting downloadable digital data content format options |
| US7228333B1 (en) * | 2000-04-25 | 2007-06-05 | Telecommunication Systems, Inc. | Wireless internet gateway |
| US20020029197A1 (en) * | 2000-05-09 | 2002-03-07 | Kari Kailamaki | Method and system for billing over a wireless application protocol gateway |
| US20020049717A1 (en) * | 2000-05-10 | 2002-04-25 | Routtenberg Michael D. | Digital content distribution system and method |
| US6549770B1 (en) * | 2000-05-26 | 2003-04-15 | Cellco Partnership | Over the air programming and/or service activation |
| US20050027872A1 (en) * | 2000-06-23 | 2005-02-03 | Microsoft Corporation | System and method for enhancing a server's ability to withstand a "SYN flood" denial of service attack |
| US7894803B2 (en) * | 2000-07-03 | 2011-02-22 | Access Co., Ltd. | Mobile information terminal device, storage, server, and method for providing storage region |
| US20020004935A1 (en) * | 2000-07-03 | 2002-01-10 | Huotari Allen Joseph | System for remote automated installation and configuration of digital subscriber line modems |
| US20020071559A1 (en) * | 2000-07-20 | 2002-06-13 | Christensen Jakob Hjorth | Method and apparatus for providing electronic data |
| US20020035699A1 (en) * | 2000-07-24 | 2002-03-21 | Bluesocket, Inc. | Method and system for enabling seamless roaming in a wireless network |
| US6941139B1 (en) * | 2000-08-25 | 2005-09-06 | Qwest Communications International, Inc. | Method and system for automatically updating a serving MSC with a change in a subscriber profile |
| US20020035688A1 (en) * | 2000-09-01 | 2002-03-21 | Ken Kutaragi | Method and system for monitoring utilizing condition of contents, computer program and recording medium |
| US20020029347A1 (en) * | 2000-09-01 | 2002-03-07 | Edelman Martin S. | System and method for preventing unauthorized access to electronic data |
| US6857067B2 (en) * | 2000-09-01 | 2005-02-15 | Martin S. Edelman | System and method for preventing unauthorized access to electronic data |
| US7020688B2 (en) * | 2000-09-05 | 2006-03-28 | Financial Network, Inc. | Methods and systems for archiving and verification of electronic communications |
| US20020038369A1 (en) * | 2000-09-15 | 2002-03-28 | Jun-Ho Sung | Internet interface service system and method |
| US20020069263A1 (en) * | 2000-10-13 | 2002-06-06 | Mark Sears | Wireless java technology |
| US20020062290A1 (en) * | 2000-11-22 | 2002-05-23 | Chris Ricci | Method for distributing and licensing digital media |
| US20020131404A1 (en) * | 2000-11-28 | 2002-09-19 | 4Thpass Inc. | Method and system for maintaining and distributing wireless applications |
| US20040015413A1 (en) * | 2000-12-06 | 2004-01-22 | Abu-Hejleh Nasser Mufid Yousef | System and method for third party facilitation of electronic payments over a network of computers |
| US20020069176A1 (en) * | 2000-12-06 | 2002-06-06 | Daniel Newman | System for obtaining fee-based data and services |
| US20020083006A1 (en) * | 2000-12-14 | 2002-06-27 | Intertainer, Inc. | Systems and methods for delivering media content |
| US20020083050A1 (en) * | 2000-12-22 | 2002-06-27 | Yi Bo Liu | Client / server based dynamic information feedback system and method thereof |
| US20040116119A1 (en) * | 2000-12-22 | 2004-06-17 | Lewis Allan D. | Wireless router system and method |
| US7010303B2 (en) * | 2000-12-22 | 2006-03-07 | Research In Motion Limited | Wireless router system and method |
| US20020107706A1 (en) * | 2001-02-02 | 2002-08-08 | Oliver Mitchell B. | Virtual negotiation |
| US20020128984A1 (en) * | 2001-02-26 | 2002-09-12 | 4Thpass Inc. | Method and system for transmission-based billing of applications |
| US7047405B2 (en) * | 2001-04-05 | 2006-05-16 | Qualcomm, Inc. | Method and apparatus for providing secure processing and data storage for a wireless communication device |
| US7490045B1 (en) * | 2001-06-04 | 2009-02-10 | Palmsource, Inc. | Automatic collection and updating of application usage |
| US20030093565A1 (en) * | 2001-07-03 | 2003-05-15 | Berger Adam L. | System and method for converting an attachment in an e-mail for delivery to a device of limited rendering capability |
| US7334025B2 (en) * | 2001-07-05 | 2008-02-19 | Sony Corporation | Communication system using communication network and communication method |
| US20030028903A1 (en) * | 2001-07-31 | 2003-02-06 | Klaus Hofrichter | System and method for storing and processing data for display on a display device |
| US6996537B2 (en) * | 2001-08-13 | 2006-02-07 | Qualcomm Incorporated | System and method for providing subscribed applications on wireless devices over a wireless network |
| US20030033209A1 (en) * | 2001-08-13 | 2003-02-13 | Brian Minear | System and method for providing subscribed applications on wireless devices over a wireless network |
| US20030051047A1 (en) * | 2001-08-15 | 2003-03-13 | Gerald Horel | Data synchronization interface |
| US20030083973A1 (en) * | 2001-08-29 | 2003-05-01 | Horsfall Peter R. | Electronic trading system |
| US20030074328A1 (en) * | 2001-10-09 | 2003-04-17 | Steven Schiff | System and method for conducting a financial transaction using a communication device |
| US20030083991A1 (en) * | 2001-10-25 | 2003-05-01 | Dan Kikinis | Method and apparatus for tracking and billing cellular roaming charges via a data packet network |
| US20030096591A1 (en) * | 2001-11-19 | 2003-05-22 | Joseph Pohutsky | Financing party payment for calls with a wireless subscriber |
| US20030120594A1 (en) * | 2001-12-04 | 2003-06-26 | Cibernet, Inc. | Method, system and data structure for an improved billing protocol |
| US20030110044A1 (en) * | 2001-12-06 | 2003-06-12 | Nix John A. | Distributed resource metering system for billing |
| US20030110213A1 (en) * | 2001-12-07 | 2003-06-12 | Toshihiko Munetsugu | Media contents distribution system and method |
| US20030110296A1 (en) * | 2001-12-07 | 2003-06-12 | Kirsch Steven T. | Method and system for reducing network latency in data communication |
| US7370120B2 (en) * | 2001-12-07 | 2008-05-06 | Propel Software Corporation | Method and system for reducing network latency in data communication |
| US20030112927A1 (en) * | 2001-12-17 | 2003-06-19 | International Business Machines Corporation | Controlling advertising output during hold periods |
| US6683941B2 (en) * | 2001-12-17 | 2004-01-27 | International Business Machines Corporation | Controlling advertising output during hold periods |
| US20060015565A1 (en) * | 2001-12-19 | 2006-01-19 | Nainani Bhagat V | Method and apparatus to facilitate access and propagation of messages in communication queues using a public network |
| US7206842B2 (en) * | 2001-12-19 | 2007-04-17 | Oracle International Corp. | Method and apparatus to facilitate access and propagation of messages in communication queues using a public network |
| US7218917B2 (en) * | 2002-01-15 | 2007-05-15 | Hewlett-Packard Development Company, L.P. | Method for searching nodes for information |
| US20030149958A1 (en) * | 2002-02-06 | 2003-08-07 | Shumeet Baluja | Automatic code generation for applications which run on common platforms |
| US20040002923A1 (en) * | 2002-05-13 | 2004-01-01 | Kumar Ramaswamy | Pre-paid data card authentication in a public wireless LAN access system |
| US20040015562A1 (en) * | 2002-06-18 | 2004-01-22 | Harper David Walker | Method, apparatus and system for management of information content for enhanced accessibility over wireless communication networks |
| US7233790B2 (en) * | 2002-06-28 | 2007-06-19 | Openwave Systems, Inc. | Device capability based discovery, packaging and provisioning of content for wireless mobile devices |
| US20040032936A1 (en) * | 2002-08-15 | 2004-02-19 | Gerald Horel | Transaction processing |
| US20040043753A1 (en) * | 2002-08-30 | 2004-03-04 | Wake Susan L. | System and method for third party application sales and services to wireless devices |
| US20040137890A1 (en) * | 2002-11-01 | 2004-07-15 | At&T Wireless Services, Inc. | General purpose automated activation and provisioning technologies |
| US7177837B2 (en) * | 2003-07-11 | 2007-02-13 | Pascal Pegaz-Paquet | Computer-implemented method and system for managing accounting and billing of transactions over public media such as the internet |
| US20050114155A1 (en) * | 2003-11-24 | 2005-05-26 | Hodges Donna K. | Methods for providing communications services |
| US20070038703A1 (en) * | 2005-07-14 | 2007-02-15 | Yahoo! Inc. | Content router gateway |
| US20070066279A1 (en) * | 2005-09-19 | 2007-03-22 | Silverbrook Research Pty Ltd | Bill per card print |
| US7577616B2 (en) * | 2005-12-07 | 2009-08-18 | Xi Zhu | Method and apparatus of secure authentication and electronic payment through mobile communication tool |
Cited By (90)
| Publication number | Priority date | Publication date | Assignee | Title |
|---|---|---|---|---|
| US20020107795A1 (en) * | 2001-02-02 | 2002-08-08 | Brian Minear | Application distribution and billing system in a wireless network |
| US20060173758A1 (en) * | 2001-08-13 | 2006-08-03 | Brian Minear | System and method for providing subscribed applications on wireless devices over a wireless network |
| US10009743B2 (en) | 2001-08-13 | 2018-06-26 | Qualcomm Incorporated | System and method for providing subscribed applications on wireless devices over a wireless network |
| US20030051047A1 (en) * | 2001-08-15 | 2003-03-13 | Gerald Horel | Data synchronization interface |
| US9203923B2 (en) | 2001-08-15 | 2015-12-01 | Qualcomm Incorporated | Data synchronization interface |
| US20030186699A1 (en) * | 2002-03-28 | 2003-10-02 | Arlene Havlark | Wireless telecommunications location based services scheme selection |
| US8126889B2 (en) | 2002-03-28 | 2012-02-28 | Telecommunication Systems, Inc. | Location fidelity adjustment based on mobile subscriber privacy profile |
| US20040044623A1 (en) * | 2002-08-28 | 2004-03-04 | Wake Susan L. | Billing system for wireless device activity |
| US20120309345A1 (en) * | 2002-08-28 | 2012-12-06 | Wake Susan L | System and method for third party application sales and services to wireless devices |
| US20040181591A1 (en) * | 2003-03-12 | 2004-09-16 | Julie Yu | Automatic subscription system for applications and services provided to wireless devices |
| US9232077B2 (en) | 2003-03-12 | 2016-01-05 | Qualcomm Incorporated | Automatic subscription system for applications and services provided to wireless devices |
| US20050118999A1 (en) * | 2003-12-02 | 2005-06-02 | Yinjun Zhu | User plane location based service using message tunneling to support roaming |
| US8626160B2 (en) | 2003-12-02 | 2014-01-07 | Telecommunication Systems, Inc. | User plane location based service using message tunneling to support roaming |
| US7424293B2 (en) | 2003-12-02 | 2008-09-09 | Telecommunication Systems, Inc. | User plane location based service using message tunneling to support roaming |
| US9271138B2 (en) | 2003-12-02 | 2016-02-23 | Telecommunication Systems, Inc. | User plane location based service using message tunneling to support roaming |
| US8965360B2 (en) | 2003-12-02 | 2015-02-24 | Telecommunication Systems, Inc. | User plane location based service using message tunneling to support roaming |
| US8126458B2 (en) | 2003-12-02 | 2012-02-28 | Telecommunication Systems, Inc. | User plane location based service using message tunneling to support roaming |
| US7890102B2 (en) | 2003-12-02 | 2011-02-15 | TeleCommunication | User plane location based service using message tunneling to support roaming |
| US10043170B2 (en) * | 2004-01-21 | 2018-08-07 | Qualcomm Incorporated | Application-based value billing in a wireless subscriber network |
| US20050172072A1 (en) * | 2004-01-30 | 2005-08-04 | Cochran Robert A. | Multiple site data replication |
| US20050289047A1 (en) * | 2004-06-28 | 2005-12-29 | Oliver Mitchell B | Virtual marketplace for wireless device applications and services with integrated multi-party settlement |
| KR101197507B1 (en) | 2004-06-28 | 2012-11-09 | 퀄컴 인코포레이티드 | Virtual marketplace for wireless device applications and services with integrated multi-party settlement |
| US8089401B2 (en) | 2004-10-15 | 2012-01-03 | Telecommunication Systems, Inc. | Culled satellite ephemeris information for quick, accurate assisted locating satellite location determination for cell site antennas |
| US7629926B2 (en) | 2004-10-15 | 2009-12-08 | Telecommunication Systems, Inc. | Culled satellite ephemeris information for quick, accurate assisted locating satellite location determination for cell site antennas |
| US7489273B2 (en) | 2004-10-15 | 2009-02-10 | Telecommunication Systems, Inc. | Culled satellite ephemeris information for quick, accurate assisted locating satellite location determination for cell site antennas |
| US20090015469A1 (en) * | 2004-10-15 | 2009-01-15 | Lance Douglas Pitt | Culled satellite ephemeris information for quick, accurate assisted locating satellite location determination for cell site antennas |
| US8681044B2 (en) | 2004-10-15 | 2014-03-25 | Telecommunication Systems, Inc. | Culled satellite ephemeris information for quick, accurate assisted locating satellite location determination for cell site antennas |
| US7411546B2 (en) | 2004-10-15 | 2008-08-12 | Telecommunication Systems, Inc. | Other cell sites used as reference point to cull satellite ephemeris information for quick, accurate assisted locating satellite location determination |
| US9883360B1 (en) | 2005-04-04 | 2018-01-30 | X One, Inc. | Rendez vous management using mobile phones or other mobile devices |
| US10200811B1 (en) | 2005-04-04 | 2019-02-05 | X One, Inc. | Map presentation on cellular device showing positions of multiple other wireless device users |
| US8538458B2 (en) | 2005-04-04 | 2013-09-17 | X One, Inc. | Location sharing and tracking using mobile phones or other wireless devices |
| US11778415B2 (en) | 2005-04-04 | 2023-10-03 | Xone, Inc. | Location sharing application in association with services provision |
| US11356799B2 (en) | 2005-04-04 | 2022-06-07 | X One, Inc. | Fleet location sharing application in association with services provision |
| US10856099B2 (en) | 2005-04-04 | 2020-12-01 | X One, Inc. | Application-based two-way tracking and mapping function with selected individuals |
| US8712441B2 (en) | 2005-04-04 | 2014-04-29 | Xone, Inc. | Methods and systems for temporarily sharing position data between mobile-device users |
| US8750898B2 (en) | 2005-04-04 | 2014-06-10 | X One, Inc. | Methods and systems for annotating target locations |
| US8798645B2 (en) | 2005-04-04 | 2014-08-05 | X One, Inc. | Methods and systems for sharing position data and tracing paths between mobile-device users |
| US8798647B1 (en) | 2005-04-04 | 2014-08-05 | X One, Inc. | Tracking proximity of services provider to services consumer |
| US8798593B2 (en) | 2005-04-04 | 2014-08-05 | X One, Inc. | Location sharing and tracking using mobile phones or other wireless devices |
| US8831635B2 (en) | 2005-04-04 | 2014-09-09 | X One, Inc. | Methods and apparatuses for transmission of an alert to multiple devices |
| US10791414B2 (en) | 2005-04-04 | 2020-09-29 | X One, Inc. | Location sharing for commercial and proprietary content applications |
| US10750310B2 (en) | 2005-04-04 | 2020-08-18 | X One, Inc. | Temporary location sharing group with event based termination |
| US10750309B2 (en) | 2005-04-04 | 2020-08-18 | X One, Inc. | Ad hoc location sharing group establishment for wireless devices with designated meeting point |
| US10750311B2 (en) | 2005-04-04 | 2020-08-18 | X One, Inc. | Application-based tracking and mapping function in connection with vehicle-based services provision |
| US9031581B1 (en) | 2005-04-04 | 2015-05-12 | X One, Inc. | Apparatus and method for obtaining content on a cellular wireless device based on proximity to other wireless devices |
| US10341808B2 (en) | 2005-04-04 | 2019-07-02 | X One, Inc. | Location sharing for commercial and proprietary content applications |
| US10341809B2 (en) | 2005-04-04 | 2019-07-02 | X One, Inc. | Location sharing with facilitated meeting point definition |
| US9167558B2 (en) | 2005-04-04 | 2015-10-20 | X One, Inc. | Methods and systems for sharing position data between subscribers involving multiple wireless providers |
| US10313826B2 (en) | 2005-04-04 | 2019-06-04 | X One, Inc. | Location sharing and map support in connection with services request |
| US9185522B1 (en) | 2005-04-04 | 2015-11-10 | X One, Inc. | Apparatus and method to transmit content to a cellular wireless device based on proximity to other wireless devices |
| US10299071B2 (en) | 2005-04-04 | 2019-05-21 | X One, Inc. | Server-implemented methods and systems for sharing location amongst web-enabled cell phones |
| US8385964B2 (en) | 2005-04-04 | 2013-02-26 | Xone, Inc. | Methods and apparatuses for geospatial-based sharing of information by multiple devices |
| US10165059B2 (en) | 2005-04-04 | 2018-12-25 | X One, Inc. | Methods, systems and apparatuses for the formation and tracking of location sharing groups |
| US9253616B1 (en) | 2005-04-04 | 2016-02-02 | X One, Inc. | Apparatus and method for obtaining content on a cellular wireless device based on proximity |
| US10149092B1 (en) | 2005-04-04 | 2018-12-04 | X One, Inc. | Location sharing service between GPS-enabled wireless devices, with shared target location exchange |
| US9967704B1 (en) | 2005-04-04 | 2018-05-08 | X One, Inc. | Location sharing group map management |
| US9955298B1 (en) | 2005-04-04 | 2018-04-24 | X One, Inc. | Methods, systems and apparatuses for the formation and tracking of location sharing groups |
| US9467832B2 (en) | 2005-04-04 | 2016-10-11 | X One, Inc. | Methods and systems for temporarily sharing position data between mobile-device users |
| US9942705B1 (en) | 2005-04-04 | 2018-04-10 | X One, Inc. | Location sharing group for services provision |
| US9584960B1 (en) | 2005-04-04 | 2017-02-28 | X One, Inc. | Rendez vous management using mobile phones or other mobile devices |
| US9615204B1 (en) | 2005-04-04 | 2017-04-04 | X One, Inc. | Techniques for communication within closed groups of mobile devices |
| US9654921B1 (en) | 2005-04-04 | 2017-05-16 | X One, Inc. | Techniques for sharing position data between first and second devices |
| US9736618B1 (en) | 2005-04-04 | 2017-08-15 | X One, Inc. | Techniques for sharing relative position between mobile devices |
| US9749790B1 (en) | 2005-04-04 | 2017-08-29 | X One, Inc. | Rendez vous management using mobile phones or other mobile devices |
| US9854394B1 (en) | 2005-04-04 | 2017-12-26 | X One, Inc. | Ad hoc location sharing group between first and second cellular wireless devices |
| US9854402B1 (en) | 2005-04-04 | 2017-12-26 | X One, Inc. | Formation of wireless device location sharing group |
| US9350875B2 (en) | 2005-05-31 | 2016-05-24 | Qualcomm Incorporated | Wireless subscriber billing and distribution |
| US20060270386A1 (en) * | 2005-05-31 | 2006-11-30 | Julie Yu | Wireless subscriber billing and distribution |
| US20060271449A1 (en) * | 2005-05-31 | 2006-11-30 | Oliver Mitchell B | Wireless subscriber application and content distribution and differentiated pricing |
| US9185538B2 (en) | 2005-05-31 | 2015-11-10 | Qualcomm Incorporated | Wireless subscriber application and content distribution and differentiated pricing |
| US8660573B2 (en) | 2005-07-19 | 2014-02-25 | Telecommunications Systems, Inc. | Location service requests throttling |
| US9288615B2 (en) | 2005-07-19 | 2016-03-15 | Telecommunication Systems, Inc. | Location service requests throttling |
| US20090149193A1 (en) * | 2005-08-24 | 2009-06-11 | Leslie Johann Lamprecht | Creating optimum temporal location trigger for multiple requests |
| US9143622B2 (en) | 2006-02-17 | 2015-09-22 | Qualcomm Incorporated | Prepay accounts for applications, services and content for communication devices |
| US9185234B2 (en) | 2006-02-22 | 2015-11-10 | Qualcomm Incorporated | Automated account mapping in a wireless subscriber billing system |
| US20070197189A1 (en) * | 2006-02-22 | 2007-08-23 | Gerald Charles Horel | Automated account mapping in a wireless subscriber billing system |
| US20080300967A1 (en) * | 2007-06-04 | 2008-12-04 | David John Buckley | Interactive Marketing, Product/Market Research, Contact Access and Usage Tracking for Wireless |
| US9467826B2 (en) | 2007-09-17 | 2016-10-11 | Telecommunications Systems, Inc. | Emergency 911 data messaging |
| US9131357B2 (en) | 2007-09-17 | 2015-09-08 | Telecommunication Systems, Inc. | Emergency 911 data messaging |
| US8185087B2 (en) | 2007-09-17 | 2012-05-22 | Telecommunication Systems, Inc. | Emergency 911 data messaging |
| US8874068B2 (en) | 2007-09-17 | 2014-10-28 | Telecommunication Systems, Inc. | Emergency 911 data messaging |
| US8068587B2 (en) | 2008-08-22 | 2011-11-29 | Telecommunication Systems, Inc. | Nationwide table routing of voice over internet protocol (VOIP) emergency calls |
| US11948171B2 (en) | 2009-05-01 | 2024-04-02 | Ryan Hardin | Exclusive delivery of content within geographic areas |
| US12056736B2 (en) | 2009-05-01 | 2024-08-06 | Ryan Hardin | Exclusive delivery of content within geographic areas |
| US12387239B2 (en) | 2009-05-01 | 2025-08-12 | Ryan Hardin | Exclusive delivery of content within geographic areas |
| US8867485B2 (en) | 2009-05-05 | 2014-10-21 | Telecommunication Systems, Inc. | Multiple location retrieval function (LRF) network having location continuity |
| US20120271718A1 (en) * | 2010-11-05 | 2012-10-25 | Chung Hee Sung | Method and system for providing background advertisement of virtual key input device |
| US12039570B2 (en) | 2010-11-05 | 2024-07-16 | Neopad Inc. | User-customizable, user-personalizable and user compensable keyboard providing system and method |
| US20120209717A1 (en) * | 2011-02-16 | 2012-08-16 | Pascal Henry | Targeted delivery of payload to mobile users |
| US20150112769A1 (en) * | 2013-10-18 | 2015-04-23 | Caterpillar Inc. | System and method for managing a worksite |
Also Published As
Similar Documents
| Publication | Publication Date | Title |
|---|---|---|
| US20030078886A1 (en) | Application distribution and billing system in a wireless network | |
| US7113766B2 (en) | Transaction processing | |
| AU2002323186A1 (en) | Transaction processing | |
| US7139372B2 (en) | Authorized distribution of digital content over mobile networks | |
| US7299033B2 (en) | Domain-based management of distribution of digital content from multiple suppliers to multiple wireless services subscribers | |
| US7233790B2 (en) | Device capability based discovery, packaging and provisioning of content for wireless mobile devices | |
| US8849242B2 (en) | System and method for charging for directed provisioning of user applications on limited-resource devices | |
| JP3958689B2 (en) | Application distribution and billing system in wireless networks | |
| US7526547B2 (en) | Intelligent network charging edge | |
| US20070100963A1 (en) | Remote Content Storage for Mobile Telephones | |
| EP1517258A2 (en) | Content download to wireless devices | |
| US20090106110A1 (en) | Method and system for promoting and transferring licensed content and applications | |
| US7444386B2 (en) | Application programming interface for provisioning services | |
| TW200407733A (en) | Application catalog on an application server for wireless devices | |
| US20130007251A1 (en) | System and Method for Storing and Providing Content to Client Devices | |
| CN101843085A (en) | Prepaid service accounts with multi-user customers and individualized quotas | |
| US20040260774A1 (en) | Protocol method for provisioning services | |
| US7710912B1 (en) | Managing content synchronization between a data service and a data processing device | |
| HK1070443A (en) | Transaction processing |
Legal Events
| Date | Code | Title | Description |
|---|---|---|---|
| AS | Assignment |
Owner name: QUALCOMM INCORPORATED, A CORP. OF DELAWARE, CALIFO Free format text: ASSIGNMENT OF ASSIGNORS INTEREST;ASSIGNORS:MINEAR, BRIAN;HOREL, GERALD;YU, JULIE;AND OTHERS;REEL/FRAME:013517/0533;SIGNING DATES FROM 20021010 TO 20021015 |
|
| STCB | Information on status: application discontinuation |
Free format text: ABANDONED -- FAILURE TO PAY ISSUE FEE |
|
| STCB | Information on status: application discontinuation |
Free format text: ABANDONED -- FAILURE TO PAY ISSUE FEE |













































































































































































































