US20030074747A1 - Composition for the oxidation dyeing of keratin fibres, comprising at least one fatty alcohol chosen from mono- and polyglycerolated fatty alcohols and a particular polyol - Google Patents
Composition for the oxidation dyeing of keratin fibres, comprising at least one fatty alcohol chosen from mono- and polyglycerolated fatty alcohols and a particular polyol Download PDFInfo
- Publication number
- US20030074747A1 US20030074747A1 US10/206,569 US20656902A US2003074747A1 US 20030074747 A1 US20030074747 A1 US 20030074747A1 US 20656902 A US20656902 A US 20656902A US 2003074747 A1 US2003074747 A1 US 2003074747A1
- Authority
- US
- United States
- Prior art keywords
- equal
- chosen
- composition
- composition according
- radicals
- Prior art date
- Legal status (The legal status is an assumption and is not a legal conclusion. Google has not performed a legal analysis and makes no representation as to the accuracy of the status listed.)
- Abandoned
Links
- 0 [1*]C([2*])(O)CC([3*])([4*])O Chemical compound [1*]C([2*])(O)CC([3*])([4*])O 0.000 description 30
- RXYPXQSKLGGKOL-UHFFFAOYSA-N CN1CCN(C)CC1 Chemical compound CN1CCN(C)CC1 RXYPXQSKLGGKOL-UHFFFAOYSA-N 0.000 description 3
- NRSBNCXJBPYBHV-UHFFFAOYSA-N C.C.C.CC[N+](C)(C)CCC[N+](C)(C)C.[Cl-].[Cl-] Chemical compound C.C.C.CC[N+](C)(C)CCC[N+](C)(C)C.[Cl-].[Cl-] NRSBNCXJBPYBHV-UHFFFAOYSA-N 0.000 description 1
- UOFLGUTVCINOPC-UHFFFAOYSA-N C.C.C.CC[N+](CC)(CC)CCC[N+](C)(C)C.[Br-].[Br-] Chemical compound C.C.C.CC[N+](CC)(CC)CCC[N+](C)(C)C.[Br-].[Br-] UOFLGUTVCINOPC-UHFFFAOYSA-N 0.000 description 1
- QQAADPDDKWNUIE-LCHKCHLFSA-O C.C.CCCOCC[N+](C)(C)CN[2H]C(=O)NC[N+](C)(C)C Chemical compound C.C.CCCOCC[N+](C)(C)CN[2H]C(=O)NC[N+](C)(C)C QQAADPDDKWNUIE-LCHKCHLFSA-O 0.000 description 1
- HIYYPKHHTADKNX-UHFFFAOYSA-N C.C.CNCNC Chemical compound C.C.CNCNC HIYYPKHHTADKNX-UHFFFAOYSA-N 0.000 description 1
- HRZQNDWDAPBHSB-UHFFFAOYSA-N CCCCCCC[N+](C)(C)CCC[N+](C)(C)C.[Cl-].[Cl-] Chemical compound CCCCCCC[N+](C)(C)CCC[N+](C)(C)C.[Cl-].[Cl-] HRZQNDWDAPBHSB-UHFFFAOYSA-N 0.000 description 1
- ZVJKFWMKKKISMP-UHFFFAOYSA-N CCCC[N+](CC)(CC)CCC[N+](C)(C)C.[Br-].[Br-] Chemical compound CCCC[N+](CC)(CC)CCC[N+](C)(C)C.[Br-].[Br-] ZVJKFWMKKKISMP-UHFFFAOYSA-N 0.000 description 1
Classifications
-
- A—HUMAN NECESSITIES
- A61—MEDICAL OR VETERINARY SCIENCE; HYGIENE
- A61K—PREPARATIONS FOR MEDICAL, DENTAL OR TOILETRY PURPOSES
- A61K8/00—Cosmetics or similar toiletry preparations
- A61K8/18—Cosmetics or similar toiletry preparations characterised by the composition
- A61K8/30—Cosmetics or similar toiletry preparations characterised by the composition containing organic compounds
- A61K8/33—Cosmetics or similar toiletry preparations characterised by the composition containing organic compounds containing oxygen
- A61K8/34—Alcohols
-
- A—HUMAN NECESSITIES
- A61—MEDICAL OR VETERINARY SCIENCE; HYGIENE
- A61Q—SPECIFIC USE OF COSMETICS OR SIMILAR TOILETRY PREPARATIONS
- A61Q5/00—Preparations for care of the hair
- A61Q5/10—Preparations for permanently dyeing the hair
-
- A—HUMAN NECESSITIES
- A61—MEDICAL OR VETERINARY SCIENCE; HYGIENE
- A61K—PREPARATIONS FOR MEDICAL, DENTAL OR TOILETRY PURPOSES
- A61K8/00—Cosmetics or similar toiletry preparations
- A61K8/18—Cosmetics or similar toiletry preparations characterised by the composition
- A61K8/30—Cosmetics or similar toiletry preparations characterised by the composition containing organic compounds
- A61K8/33—Cosmetics or similar toiletry preparations characterised by the composition containing organic compounds containing oxygen
- A61K8/34—Alcohols
- A61K8/345—Alcohols containing more than one hydroxy group
Definitions
- polyethylene glycols such as, for example, the product known as PEG-6 in the CTFA publication (International Cosmetic Ingredient Dictionary, Seventh Edition).
- R 9 denotes a hydrogen atom or a methyl radical
- R 7 and R 8 independently of each other, denote an alkyl group comprising from 1 to 6 carbon atoms, a hydroxyalkyl group in which the alkyl group comprises 1 to 5 carbon atoms, a lower C 1 -C 4 amidoalkyl group, or R 7 and R 8 can denote, together with the nitrogen atom to which they are attached, heterocyclic groups such as piperidyl or morpholinyl
- R 7 and R 8 independently of each other, denote an alkyl group comprising from 1 to 4 carbon atoms
- Y ⁇ is an anion such as bromide, chloride, acetate, borate, citrate, tartrate, bisulphate, bisulphite, sulphate, or phosphate.
- R 10 , R 11 , R 12 and R 13 which may be identical or different, represent aliphatic, alicyclic, or arylaliphatic radicals comprising from 1 to 20 carbon atoms or lower hydroxyalkylaliphatic radicals, or alternatively R 10 , R 1 , R 12 and R 13 , together or separately, constitute, with the nitrogen atoms to which they are attached, heterocycles optionally comprising a second hetero atom other than nitrogen, or alternatively R 10 , R 11 , R 12 and R 13 represent a linear or branched C 1 -C 6 alkyl radical substituted with a nitrile, ester, acyl, or amide group or a group —CO—O—R 14 —D or —CO—NH—R 14 —D where R 14 is an alkylene and D is a quaternary ammonium group;
- a 1 and B 1 represent polymethylene groups comprising from 2 to 20 carbon atoms which may be linear or branched, saturated or unsaturated, and which may comprise, linked to or intercalated in the main chain, one or more aromatic rings or one or more oxygen or sulphur atoms or sulphoxide, sulphone, disulphide, amino, alkylamino, hydroxyl, quaternary ammonium, ureido, amide, or ester groups, and
- Such polymers may be prepared according to the processes described, for example, in U.S. Pat. Nos. 4,157,388, 4,702,906, and 4,719,282 (the disclosures of which are incorporated herein by reference). They are also described, for example, in patent application EP-A-122 324 (the disclosure of which is incorporated herein by reference).
- copolymers whose CTFA (4th edition, 1991) name is octylacrylamide/acrylates/butylaminoethyl methacrylate copolymer such as the products sold under the name Amphomer or Lovocryl 47 by the company National Starch can be used.
- R 20 denotes a polymerizable unsaturated group such as an acrylate, methacrylate, acrylamide, or methacrylamide group
- y and z represent an integer from 1 to 3
- R 2 , and R 22 represent a hydrogen atom, methyl, ethyl or propyl
- R 23 and R 24 represent a hydrogen atom or an alkyl radical such that the sum of the carbon atoms in R 23 and R 24 does not exceed 10.
- E or E′, E or E′ which may be identical or different, denote a divalent radical which is an alkylene radical with a straight or branched chain comprising up to 7 carbon atoms in the main chain, which is unsubstituted or substituted with hydroxyl groups and which can contain, in addition to the oxygen, nitrogen and sulphur atoms, 1 to 3 aromatic and/or heterocyclic rings; the oxygen, nitrogen and sulphur atoms being present in the form of ether, thioether, sulphoxide, sulphone, sulphonium, alkylamine or alkenylamine groups, hydroxyl, benzylamine, amine oxide, quaternary ammonium, amide, imide, alcohol, ester and/or urethane groups;
- nonionic surfactants are, themselves also, compounds that are well known by one of ordinary skill in the art (see, for example, “Handbook of Surfactants” by M. R. Porter, published by Blackie & Son (Glasgow and London), 1991, pp. 116-178) and their nature is not a critical factor in the context of the present invention.
- they can be chosen from (non-limiting list) polyethoxylated or polypropoxylated, alkylphenols, alpha-diols or alcohols, comprising a fatty chain that comprises, for example, 8 to 18 carbon atoms, wherein the number of ethylene oxide or propylene oxide groups can range from 2 to 50, for example.
- fatty-chain anionic thickening polymers of this type which can be used are polymers formed from a monomer blend comprising:
- hydroxyethylcelluloses modified with groups comprising at least one fatty chain such as alkyl, arylalkyl, or alkylaryl groups, or mixtures thereof, and in which the alkyl groups can be C 8 -C 22 , for instance the product Natrosol Plus Grade 330 CS (C 16 alkyls) sold by the company Aqualon, or the product Bermocoll EHM 100 sold by the company Berol Nobel,
- Such polymers are prepared by reacting, in a solvent medium, ammonia gas with a hydrophobic maleic acid monoamide, polyoxyalkylenated and modified with a linear or branched C 8 -C 30 alkyl or alkenyl chain, optionally as a mixture with a maleic acid monoester.
Landscapes
- Health & Medical Sciences (AREA)
- Life Sciences & Earth Sciences (AREA)
- Animal Behavior & Ethology (AREA)
- General Health & Medical Sciences (AREA)
- Public Health (AREA)
- Veterinary Medicine (AREA)
- Emergency Medicine (AREA)
- Birds (AREA)
- Epidemiology (AREA)
- Cosmetics (AREA)
- Coloring (AREA)
Abstract
A composition for the oxidation dyeing of keratin fibers, such as human keratin fibers and further such as the hair, comprising, in a medium that is suitable for dyeing and that is free of glycerol and of cationic synthetic thickening polymer comprising at least one fatty chain, at least one oxidation dye, at least one fatty alcohol chosen from mono- and polyglycerolated fatty alcohols, and at least one particular polyol. The invention also relates to the dyeing processes and devices using the said composition.
Description
- The present invention relates to a composition for the oxidation dyeing of keratin fibres, such as human keratin fibres and further such as the hair, comprising, in a medium that is suitable for dyeing and that is free of glycerol and of cationic synthetic thickening polymer comprising at least one fatty chain, at least one oxidation dye, at least one fatty alcohol chosen from mono- and polyglycerolated fatty alcohols and at least one particular polyol.
- It is known practice to dye keratin fibres, such as human hair, with dye compositions containing oxidation dye precursors, generally known as “oxidation bases.” Representative “oxidation bases” are ortho- or para-phenylenediamines, ortho- or para-aminophenols and heterocyclic bases.
- Oxidation dye precursors are compounds which are initially uncoloured or only weakly coloured and which develop their dyeing power on the hair in the presence of oxidizing agents leading to the formation of coloured compounds. The formation of these coloured compounds results either from an oxidative condensation of the “oxidation bases” with themselves or from an oxidative condensation of the “oxidation bases” with coloration modifiers, or “couplers”, which are generally present in the dye compositions used in oxidation dyeing and are represented by meta-phenylenediamines, meta-aminophenols and meta-diphenols, and certain heterocyclic compounds.
- The variety of molecules used, which comprise on the one hand the “oxidation bases” and on the other hand, the “couplers”, allows a very wide range of colours to be obtained.
- These oxidation bases and these couplers are formulated in vehicles that allow them to be applied to keratin fibres after mixing with an oxidizing agent.
- These vehicles are generally aqueous and can comprise one or more surfactants, such as nonionic surfactants, that may be optionally combined with one or more solvents.
- However, the Inventors have found that the systems mentioned above are not always able to produce shades that are entirely satisfactory in terms of strength, chromaticity, or staying power. The Inventors have in particular found that at least certain dye compositions of the prior art cannot achieve a sufficient strength on sensitized hair.
- After considerable research conducted in this matter, the Inventors have now discovered that it is possible to obtain oxidation dye compositions that can produce strong and chromatic (luminous) shades with good staying power with respect to chemical agents (shampoo, permanent-waving agents, etc.) or natural agents (light, perspiration, etc.), thus giving a satisfactory strength on sensitized hair, by introducing into the dye composition at least one fatty alcohol chosen from mono- and polyglycerolated fatty alcohols and at least one particular polyol.
- These discoveries can be present, in full or in part, in embodiments of the present invention.
- One subject of the present invention is thus a composition for the oxidation dyeing of keratin fibres, such as human keratin fibres and further such as the hair, comprising, in a medium that is suitable for dyeing, at least one oxidation dye, and characterized in that:
-
- in which:
- R 1, R2, R3, and R4 are chosen from, independently of each other, a hydrogen atom, C1-C6 alkyl radicals, C1-C6 monohydroxyalkyl radicals, and C1-C6 polyhydroxyalkyl radicals;
- A is chosen from linear and branched alkylene radicals containing a number of carbon atoms “n” ranging from 1 to 18, and optionally interrupted with a number of oxygen atoms “z” ranging from 0 to 9; and
- m is chosen from 0 and 1;
- wherein the total number of carbon atoms in both radical A and all of the substituents R 1, R2, R3, and R4 is greater than or equal to 2;
- wherein the molecular weight of said at least one polyol ranges (i) from 95 to 500, if m is equal to 0, or if m and n are equal to 1, or if m is equal to 1 and A is a linear alkylene radical and n is equal to 2 and z is equal to 0; or (ii) from 140 to 500, if n is greater than or equal to 2, or if m is equal to 1 and n is equal to 2 and z does not equal 0; or (iii) from 90 to 500, if m is equal to 1 and n does not equal 1 or 2 and z is equal to 0, or if m is equal to 1 and A is a branched alkylene radical and n is equal to 2 and z is equal to 0; and
- (b) said composition contains no glycerol and no cationic synthetic thickening polymer comprising at least one fatty chain.
- Another subject of the invention relates to a ready-to-use composition for the oxidation dyeing of keratin fibres, which comprises, in a medium that is suitable for dyeing, at least one composition as described above and at least one oxidizing agent.
- For the purposes of the present invention, the expression “ready-to-use composition” is defined herein as a composition to be applied immediately to the keratin fibres. Said “ready-to-use composition” may be stored in unmodified form before use, or may result from the extemporaneous mixing of two or more compositions.
- The invention is also directed towards a process for the oxidation dyeing of keratin fibres, such as human keratin fibres such as the hair, comprising applying to the fibres a composition (A) comprising, in a medium that is suitable for dyeing, at least one oxidation dye in combination with at least one fatty alcohol chosen from mono- and polyglycerolated fatty alcohols and at least one polyol of formula (Ia) below:
- in which:
- R 1, R2, R3, and R4 are chosen from, independently of each other, a hydrogen atom, C1-C6 alkyl radicals, C1-C6 monohydroxyalkyl radicals, and C1-C6 polyhydroxyalkyl radicals;
- A is chosen from linear and branched alkylene radicals containing a number of carbon atoms “n” ranging from 1 to 18, and optionally interrupted with a number of oxygen atoms “z” ranging from 0 to 9; and
- m is chosen from 0 and 1;
- wherein the total number of carbon atoms in both radical A and all of the substituents R 1, R2, R3, and R4 is greater than or equal to 2;
- wherein the molecular weight of said at least one polyol ranges (i) from 95 to 500, if m is equal to 0, or if m and n are equal to 1, or if m is equal to 1 and A is a linear alkylene radical and n is equal to 2 and z is equal to 0; or (ii) from 140 to 500, if n is greater than or equal to 2, or if m is equal to 1 and n is equal to 2 and z does not equal 0; or (iii) from 90 to 500, if m is equal to 1 and n does not equal 1 or 2 and z is equal to 0, or if m is equal to 1 and A is a branched alkylene radical and n is equal to 2 and z is equal to 0; and containing no glycerol and no cationic synthetic thickening polymer comprising at least one fatty chain;
- wherein the colour can be developed at alkaline, neutral, or acidic pH with the aid of a composition (B) comprising at least one oxidizing agent, which is mixed with composition (A) just at the time of use, or which is applied sequentially without intermediate rinsing.
- A subject of the invention is also a multi-compartment dyeing device or “kit” for the oxidation dyeing of keratin fibres, such as human keratin fibres and further such as the hair, which comprises at least one first compartment comprising a composition, free of glycerol and free of cationic synthetic thickening polymer comprising at least one fatty chain, comprising at least one oxidation dye, at least one fatty alcohol chosen from mono- and polyglycerolated fatty alcohols and at least one polyol of formula (Ia) below:
- in which:
- R 1, R2, R3, and R4 are chosen from, independently of each other, a hydrogen atom, C1-C6 alkyl radicals, C1-C6 monohydroxyalkyl radicals, and C1-C6 polyhydroxyalkyl radicals;
- A is chosen from linear and branched alkylene radicals containing a number of carbon atoms “n” ranging from 1 to 18, and optionally interrupted with a number of oxygen atoms “z” ranging from 0 to 9; and
- m is chosen from 0 and 1;
- wherein the total number of carbon atoms in both radical A and all of the substituents R 1, R2, R3, and R4 is greater than or equal to 2;
- wherein the molecular weight of said at least one polyol ranges (i) from 95 to 500, if m is equal to 0, or if m and n are equal to 1, or if m is equal to 1 and A is a linear alkylene radical and n is equal to 2 and z is equal to 0; or (ii) from 140 to 500, if n is greater than or equal to 2, or if m is equal to 1 and n is equal to 2 and z does not equal 0; or (iii) from 90 to 500, if m is equal to 1 and n does not equal 1 or 2 and z is equal to 0, or if m is equal to 1 and A is a branched alkylene radical and n is equal to 2 and z is equal to 0; and a second compartment comprising at least one oxidizing agent.
- However, other characteristics, aspects, objects, and advantages of certain embodiments of the invention should emerge even more clearly on reading the description and the examples that follow.
-
- wherein R is chosen from saturated, and unsaturated, linear, and branched radicals comprising from 8 to 40 carbon atoms, such as from 10 to 30 carbon atoms; and wherein n represents a number ranging from 1 to 30, such as from 1 to 10.
- Compounds of this type that may be mentioned include, for example, lauryl alcohol containing 4 mol of glycerol (INCI name: polyglyceryl-4 lauryl ether), oleyl alcohol containing 4 mol of glycerol (INCI name: polyglyceryl-4 oleyl ether), oleyl alcohol containing 2 mol of glycerol (INCI name: polyglyceryl-2 oleyl ether), cetearyl alcohol containing 2 mol of glycerol, cetearyl alcohol containing 6 mol of glycerol, oleocetyl alcohol containing 6 mol of glycerol and octadecanol containing 6 mol of glycerol.
- The fatty alcohol may represent a mixture of fatty alcohols in the same respect that the value of n represents a random value, which means that several species of polyglycerolated fatty alcohol may coexist in the form of a mixture in a commercial product.
- The at least one fatty alcohol chosen from mono- and polyglycerolated fatty alcohols represents from about 0.01% to about 30%, such as from about 0.05% to about 20% and further such as from about 0.1% to about 15%, relative to the total weight of the composition.
- Among the polyols of formula (Ia), and in which m=0, mention may be made of pinacol (2,3-dimethyl-2,3-butanediol) and 1,2,3-butanetriol.
- Among the polyols of formula (Ia) that may be mentioned are those for which, in formula (Ia), m=1 and R 1 to R4 are chosen, independently of each other, from a hydrogen atom and C1-C6 alkyl radicals.
- Additional polyols of formula (Ia) that may be mentioned are polyethylene glycols such as, for example, the product known as PEG-6 in the CTFA publication (International Cosmetic Ingredient Dictionary, Seventh Edition).
- Polyols of formula (Ia) that can be used can, for example, be chosen from those in formula (Ia) for which m=1, R 1 to R4 are chosen, independently of each other, from a hydrogen atom and C1-C6 alkyl radicals, and which have a molecular weight of less than 200.
- Representative polyols of this type can be chosen from 3-methyl-1,3,5-pentanetriol, 1,2,4-butanetriol, 1,5-pentanediol, 2-methyl-1,3-propaned iol, 3-methyl-1,5-pentanediol, neopentyl glycol, also called 2,2-dimethyl-1,3-propanediol, isoprene glycol, also called 3-methyl-1,3-butanediol, and hexylene glycol, also called 2-methyl-2,4-pentanediol. Additional representative polyols of this type include hexylene glycol, neopentyl glycol, and 3-methyl-1,5-pentanediol.
- The at least one polyols of formula (Ia) represents from about 0.1% to about 40%, such as from about 0.5% to about 30% and further such as from about 1% to about 20% relative to the total weight of the composition.
- The oxidation dyes that may be used according to the invention can be chosen from oxidation bases and/or couplers.
- In one embodiment of the invention, the compositions comprise at least one oxidation base.
- The oxidation bases that may be used in the context of the present invention can be chosen from those conventionally known in oxidation dyeing, such as ortho- and para-phenylenediamines, double bases, ortho- and para-aminophenols, heterocyclic bases such as those described below, and also the addition salts thereof with an acid.
-
- wherein
- R 1 is chosen from a hydrogen atom, C1-C4 alkyl radicals, C1-C4 monohydroxyalkyl radicals, C2-C4 polyhydroxyalkyl radicals, (C1-C4)alkoxy(C1-C4)alkyl radicals and C1-C4 alkyl radicals substituted with a group chosen from nitrogenous, phenyl, and 4′-aminophenyl groups;
- R 2 is chosen from a hydrogen atom, C1-C4 alkyl radicals, C1-C4 monohydroxyalkyl radicals, C2-C4 polyhydroxyalkyl radicals, (C1-C4)alkoxy(C1-C4)alkyl radicals and C1-C4 alkyl radicals substituted with a nitrogenous group;
- R 1 and R2 optionally form, with the nitrogen atom which bears them, a heterocycle chosen from 5- and 6-membered nitrogenous heterocycles optionally substituted with at least one substituent chosen from alkyl, hydroxyl, and ureido groups;
- R 3 is chosen from a hydrogen atom, a halogen atom, such as a chlorine atom, C1-C4 alkyl radicals, a sulpho radical, a carboxy radical, C1-C4 monohydroxyalkyl radicals, C1-C4 hydroxyalkoxy radicals, acetylamino(C1-C4)alkoxy radicals, mesylamino(C1-C4)alkoxy radicals, and carbamoylamino(C1-C4)alkoxy radicals; and
- R 4 is chosen from a hydrogen atom, a halogen atom, and C1-C4 alkyl radicals.
- Among the nitrogenous groups of formula (II) above, mention may be made of, for example, amino, mono(C 1-C4)alkylamino, di(C1-C4)alkylamino, tri(C1-C4)alkylamino, monohydroxy(C1-C4)alkylamino, imidazolinium, and ammonium radicals.
- Among the para-phenylenediamines of formula (II) above, further mention may be made, for example, of para-phenylenediamine, para-tolylenediamine, 2-chloro-para-phenylenediamine, 2,3-dimethyl-para-phenylenediamine, 2,6-dimethyl-para-phenylenediamine, 2,6-diethyl-para-phenylenediamine, 2,5-dimethyl-para-phenylenediamine, N,N-dimethyl-para-phenylenediamine, N,N-diethyl-para-phenylenediamine, N,N-dipropyl-para-phenylenediamine, 4-amino-N,N-diethyl-3-methylaniline, N,N-bis(β-hydroxyethyl)-para-phenylenediamine, 4-N,N-bis(β-hydroxyethyl)amino-2-methylaniline, 4-N,N-bis(β-hydroxyethyl)amino-2-chloroaniline, 2-β-hydroxyethyl-para-phenylenediamine, 2-fluoro-para-phenylenediamine, 2-isopropyl-para-phenylenediamine, N-(β-hydroxypropyl)-para-phenylenediamine, 2-hydroxymethyl-para-phenylenediamine, N,N-dimethyl-3-methyl-para-phenylenediamine, N,N-(ethyl-β-hydroxyethyl)-para-phenylenediamine, N-(β,y-dihydroxypropyl)-para-phenylenediamine, N,N-(ethyl-β-(4′-aminophenyl)-para-phenylenediamine, N-phenyl-para-phenylenediamine, 2-β-hydroxy-ethyloxy-para-phenylenediamine, 2-β-acetylaminoethyloxy-para-phenylenediamine, N-(β-methoxyethyl)-para-phenylenediamine, and 2-methyl-1-N-β-hydroxyethyl-para-phenylenediamine, and the addition salts thereof with an acid.
- Among the para-phenylenediamines of formula (II) above, para-phenylenediamine, para-tolylenediamine, 2-isopropyl-para-phenylenediamine, 2-β-hydroxyethyl-para-phenylenediamine, 2-β-hydroxyethyloxy-para-phenylenediamine, 2,6-dimethyl-para-phenylenediamine, 2,6-diethyl-para-phenylenediamine, 2,3-dimethyl-para-phenylenediamine, N,N-bis(β-hydroxyethyl)-para-phenylenediamine, and 2-chloro-para-phenylenediamine, and the addition salts thereof with an acid.
- As disclosed herein, the term double bases is defined as compounds comprising at least two aromatic nuclei bearing amino and/or hydroxyl groups.
-
- wherein:
- Z 1 and Z2, which may be identical or different, are chosen from a hydroxyl radical and a —NH2 radical which may be substituted with at least one substituent chosen from C1-C4 alkyl radicals and a linker arm Y;
- the linker arm Y is chosen from linear and branched alkylene chains comprising from 1 to 14 carbon atoms, which may be interrupted by or terminated with at least one entity chosen from nitrogenous groups and hetero atoms, such as oxygen, sulphur, and nitrogen atoms, and optionally substituted with at least one radical chosen from hydroxyl and C 1-C6 alkoxy radicals;
- R 5 and R6 are chosen from a hydrogen atom, a halogen atom, C1-C4 alkyl radicals, C1-C4 monohydroxyalkyl radicals, C2-C4 polyhydroxyalkyl radicals, C1-C4 aminoalkyl radicals, and a linker arm Y;
- R 7, R8, R9, R10, R11 and R12, which may be identical or different, are chosen from a hydrogen atom, a linker arm Y, and C1-C4 alkyl radicals;
- wherein the compounds of formula (III) comprise only one linker arm Y per molecule.
- Among the nitrogenous groups of formula (III) above, mention may be made of amino, mono(C 1-C4)alkylamino, di(C1-C4)alkylamino, tri(C1-C4)alkylamino, monohydroxy(C1-C4)alkylamino, imidazolinium, and ammonium radicals.
- Among the double bases of formula (III) above, mention may be made of N,N′-bis(β-hydroxyethyl)-N,N′-bis(4′-aminophenyl)-1,3-diaminopropanol, N,N′-bis(β-hydroxyethyl)-N,N′-bis(4′-aminophenyl)ethylenediamine, N,N′-bis(4-aminophenyl)-tetramethylenediamine, N,N′-bis(β-hydroxyethyl)-N,N′-bis(4-aminophenyl)-tetramethylenediamine, N,N′-bis(4-methylaminophenyl)tetramethylenediamine, N,N′-bis-(ethyl)-N,N′-bis(4′-amino-3′-methylphenyl)ethylenediamine, and 1,8-bis(2,5-diaminophenoxy)-3,5-dioxaoctane, and the addition salts thereof with an acid.
- Additional representative double bases of formula (III) include, for example, N,N′-bis(β-hydroxyethyl)-N,N′-bis(4′-aminophenyl)-1,3-diaminopropanol, and 1,8-bis(2,5-diaminophenoxy)-3,5-dioxaoctane, and one of the addition salts thereof with an acid. Representative para-aminophenols which can be used, for example, include those para-aminophenols corresponding to formula (IV) below, and the addition salts thereof with an acid:
- wherein:
- R 13 is chosen from a hydrogen atom, a halogen atom such as fluorine, and C1-C4 alkyl, C1-C4 monohydroxyalkyl, (C1-C4)alkoxy(C1-C4)alkyl, C1-C4 aminoalkyl, and hydroxy(C1-C4)alkylamino(C1-C4)alkyl radicals;
- R 14 is chosen from a hydrogen atom, a halogen atom such as fluorine, and C1-C4 alkyl, C1-C4 monohydroxyalkyl, C2-C4 polyhydroxyalkyl, C1-C4 aminoalkyl, C1-C4 cyanoalkyl, and (C1-C4)alkoxy(C1-C4)alkyl radicals.
- Among the para-aminophenols of formula (IV) above, mention may be made, for example, of para-aminophenol, 4-amino-3-methylphenol, 4-amino-3-fluorophenol, 4-amino-3-hydroxymethylphenol, 4-amino-2-methylphenol, 4-amino-2-hydroxymethylphenol, 4-amino-2-methoxymethylphenol, 4-amino-2-aminomethylphenol, and 4-amino-2-(β-hydroxyethylaminomethyl)phenol, and the addition salts thereof with an acid.
- Representative ortho-aminophenols which can be used as oxidation bases in the context of the present invention include, for instance, 2-aminophenol, 2-amino-1-hydroxy-5-methylbenzene, 2-amino-1-hydroxy-6-methylbenzene, and 5-acetamido-2-aminophenol, and the addition salts thereof with an acid.
- Representative heterocyclic bases which can be used as oxidation bases in the dye compositions in accordance with the invention include, for instance, pyridine derivatives, pyrimidine derivatives, and pyrazole derivatives, and the addition salts thereof with an acid.
- Such pyridine derivatives may include the compounds described, for example, in patents GB 1 026 978 and GB 1 153 196 (the disclosures of which are incorporated herein by reference), such as 2,5-diaminopyridine, 2-(4-methoxyphenyl)amino-3-aminopyridine, 2,3-diamino-6-methoxypyridine, 2-(β-methoxyethyl)amino-3-amino-6-methoxypyridine, and 3,4-diaminopyridine, and the addition salts thereof with an acid.
- Additional pyrimidine derivatives which may be used include those compounds described, for example, in German patent DE 2 359 399 or Japanese patents JP 88-169 571 and JP 91-10659 or patent application WO 96/15765 (the disclosures of which are incorporated herein by reference), such as 2,4,5,6-tetraaminopyrimidine, 4-hydroxy-2,5,6-triaminopyrimidine, 2-hydroxy-4,5,6-triaminopyrimidine, 2,4-dihydroxy-5,6-diaminopyrimidine, and 2,5,6-triaminopyrimidine, and pyrazolopyrimidine derivatives such as those mentioned in patent application FR-A-2 750 048 (the disclosure of which is incorporated herein by reference) and among which mention may be made of pyrazolo[1,5-a]pyrimidine-3,7-diamine; 2,5-dimethylpyrazolo[1,5-a]pyrimidine-3,7-diamine; pyrazolo[1,5-a]pyrimidine-3,5-diamine; 2,7-dimethylpyrazolo[1,5-a]pyrimidine-3,5-diamine; 3-aminopyrazolo[1,5-a]pyrimidin-7-ol; 3-aminopyrazolo[1,5-a]pyrimidin-5-ol; 2-(3-aminopyrazolo[1,5-a]pyrimidin-7-ylamino)ethanol; 2-(7-aminopyrazolo[1,5-a]pyrimidin-3-ylamino)ethanol; 2-[(3-aminopyrazolo[1,5-a]pyrimidin-7-yl)(2-hydroxyethyl)amino]ethanol; 2-[(7-aminopyrazolo[1,5-a]pyrimidin-3-yl)(2-hydroxyethyl)amino]ethanol; 5,6-dimethylpyrazolo[1,5-a]pyrimidine-3,7-diamine; 2,6-dimethylpyrazolo[1,5-a]pyrimidine-3,7-diamine; 2,5,N7,N7-tetramethylpyrazolo[1,5-a]pyrimidine-3,7-diamine and 3-amino-5-methyl-7-imidazolylpropylaminopyrazolo[1,5-a]pyrimidine, and the addition salts thereof and the tautomeric forms thereof, when a tautomeric equilibrium exists, and the addition salts thereof with an acid.
- Among the pyrazole derivatives, mention may also be made of the compounds described in patents DE 3 843 892, DE 4 133 957 and patent applications WO 94/08969, WO 94/08970, FR-A-2 733 749 and DE 195 43 988 (the disclosures of which are incorporated herein by reference), such as 4,5-diamino-1-methylpyrazole, 3,4-diaminopyrazole, 4,5-diamino-1-(4′-chlorobenzyl)pyrazole, 4,5-diamino-1,3-dimethyl-pyrazole, 4,5-diamino-3-methyl-1-phenylpyrazole, 4,5-diamino-1-methyl-3-phenylpyrazole, 4-amino-1,3-dimethyl-5-hydrazinopyrazole, 1-benzyl-4,5-diamino-3-methylpyrazole, 4,5-diamino-3-tert-butyl-1-methyl pyrazole, 4,5-diamino-1-tert-butyl-3-methylpyrazole, 4,5-diamino-1-(β-hydroxyethyl)-3-methylpyrazole, 4,5-diamino-1-(β-hydroxyethyl)pyrazole, 4,5-diamino-1-ethyl-3-methylpyrazole, 4,5-diamino-1-ethyl-3-(4′-methoxyphenyl)pyrazole, 4,5-diamino-1-ethyl-3-hydroxymethylpyrazole, 4,5-diamino-3-hydroxymethyl-1-methylpyrazole, 4,5-diamino-3-hydroxymethyl-1-isopropylpyrazole, 4,5-diamino-3-methyl-1-isopropyl-pyrazole, 4-amino-5-(2′-aminoethyl)amino-1,3-dimethylpyrazole, 3,4,5-triaminopyrazole, 1-methyl-3,4,5-triaminopyrazole,3,5-diamino-1-methyl-4-methylaminopyrazole and 3,5-diamino-4-(β-hydroxyethyl)amino-1-methylpyrazole, and the addition salts thereof with an acid.
- In an embodiment of the invention, the oxidation bases represent from 0.0005% to 12% by weight approximately relative to the total weight of the composition, such as from 0.005% to 8% by weight approximately relative to this weight.
- The couplers which may be used in the dye composition according to the invention include those conventionally used in oxidation dye compositions, such as meta-aminophenols, meta-phenylenediamines, meta-diphenols, naphthols, and heterocyclic couplers such as indole derivatives, indoline derivatives, sesamol and its derivatives, pyridine derivatives, pyrazolotriazole derivatives, pyrazolones, indazoles, benzimidazoles, benzothiazoles, benzoxazoles, 1,3-benzodioxoles and quinolines, and the addition salts thereof with an acid.
- Representative couplers that can be used include 2,4-diamino-1-(β-hydroxyethyloxy)benzene, 2-methyl-5-aminophenol, 5-N-(β-hydroxyethyl)amino-2-methylphenol, 3-aminophenol, 1,3-dihydroxybenzene, 1,3-dihydroxy-2-methylbenzene, 4-chloro-1,3-dihydroxybenzene, 2-amino-4-(β-hydroxyethylamino)-1-methoxybenzene, 1,3-diaminobenzene, 1,3-bis(2,4-diaminophenoxy)propane, sesamol, 1-amino-2-methoxy-4,5-methylenedioxybenzene, α-naphthol, 6-hydroxyindole, 4-hydroxyindole, 4-hydroxy-N-methylindole, 6-hydroxyindoline, 2,6-dihydroxy-4-methyl pyridine, 1H-3-methylpyrazol-5-one, 1-phenyl-3-methylpyrazol-5-one, 2-amino-3-hydroxypyridine, 3,6-dimethylpyrazolo[3,2-c]-1,2,4-triazole, and 2,6-dimethylpyrazolo[1,5-b]-1,2,4-triazole, and the addition salts thereof with an acid.
- When they are present, these couplers represent from 0.0001% to 10% by weight approximately relative to the total weight of the composition, such as from 0.005% to 5% by weight approximately.
- In general, the addition salts with an acid of the oxidation bases and couplers can be hydrochlorides, hydrobromides, sulphates, tartrates, lactates, and/or acetates.
- In addition to the oxidation dyes mentioned above, the composition according to the invention may also comprise direct dyes to enrich the shades with glints. In this case, these direct dyes may be chosen from neutral, cationic, anionic, nitro, azo, or anthraquinone dyes, in a weight proportion from about 0.001% to 20% relative to the total weight of the composition, such as from 0.01% to 10% relative to the total weight of the composition.
- In an embodiment of the invention, a ready-to-use composition which can be used according to the invention include composition (A) and/or composition (B) that may also comprise at least one cationic or amphoteric polymer.
- Cationic Polymers
- For the purposes of the present invention as disclosed herein, the expression “cationic polymer” is defined as any polymer comprising cationic groups and/or groups which may be ionized into cationic groups.
- Representative cationic polymers which may be used in accordance with the present invention may be chosen from any of those already known in the art for improving the cosmetic properties of the hair, such as those described, for example, in patent application EP-A-337 354 and in French patents FR-2 270 846, 2 383 660, 2 598 611, 2 470 596 and 2 519 863 (the disclosures of which are incorporated herein by reference).
- Cationic polymers which may be used include those cationic polymer comprising units which comprise of primary, secondary, tertiary, and/or quaternary amine groups, which may either form part of the main polymer chain or may be borne by a side substituent directly attached thereto.
- Said cationic polymers can have an approximate number-average molecular mass of from about 500 to about 5×10 6 such as from about 103 to about 3×106.
- Additional cationic polymers which may be mentioned are polymers of the polyamine, polyamino amide, and polyquaternary ammonium type.
- Said cationic polymers are products that are well known to one of ordinary skill in the art. They are described, for example, in French patents 2 505 348 and 2 542 997 (the disclosures of which are incorporated herein by reference). Among said polymers, mention may be made, for instance, of:
-
- wherein
- R 3, which may be identical or different, denote a hydrogen atom or a CH3 radical;
- A, which may be identical or different, represent a linear or branched alkyl group of 1 to 6 carbon atoms such as 2 or 3 carbon atoms, or a hydroxyalkyl group of 1 to 4 carbon atoms;
- R 4, R5 and R6, which may be identical or different, represent an alkyl group comprising 1 to 18 carbon atoms such as an alkyl group comprising from 1 to 6 carbon atoms, or a benzyl radical;
- R 1 and R2, which may be identical or different, represent hydrogen or an alkyl group comprising from 1 to 6 carbon atoms, such as methyl or ethyl;
- X denotes an anion derived from an inorganic or organic acid, such as a methosulphate anion or a halide such as chloride or bromide.
- The homopolymers or copolymers of (1) can further comprise one or more units derived from comonomers which may be chosen from acrylamides, methacrylamides, diacetoneacrylamides, acrylamides, methacrylamides substituted on the nitrogen with lower (C 1-C4) alkyls, acrylic, or methacrylic acids or esters thereof, vinyllactams such as vinylpyrrolidone or vinylcaprolactam, and vinyl esters.
- Thus, among homopolymers or copolymers of (1), mention may be made, for example, of:
- copolymers of acrylamide and of dimethylaminoethyl methacrylate quaternized with dimethyl sulphate or with a dimethyl halide, such as the product sold under the name Hercofloc by the company Hercules,
- the copolymers of acrylamide and of methacryloyloxyethyltrimethylammonium chloride described, for example, in patent application EP-A-080 976 and sold under the name Bina Quat P 100 by the company Ciba Geigy,
- the copolymer of acrylamide and of methacryloyloxyethyltrimethylammonium methosulphate sold under the name Reten by the company Hercules,
- quaternized or non-quaternized vinylpyrrolidone/dialkylaminoalkyl acrylate or methacrylate copolymers, such as the products sold under the name “Gafquat” by the company ISP, such as, for example, “Gafquat 734” or “Gafquat 755”, or alternatively the products known as “Copolymer 845, 958 and 937”. These polymers are described in detail in French patents 2 077 143 and 2 393 573,
- dimethylaminoethyl methacrylate/vinylcaprolactam/vinylpyrrolidone terpolymers, such as the product sold under the name Gaffix VC 713 by the company ISP,
- vinylpyrrolidone/methacrylamidopropyldimethylamine copolymers sold in particular under the name Styleze CC 10 by ISP, and
- quaternized vinylpyrrolidone/dimethylaminopropylmethacrylamide copolymers such as the product sold under the name “Gafquat HS 100” by the company ISP.
- (2) The cellulose ether derivatives containing quaternary ammonium groups, described in French patent 1 492 597 (the disclosure of which is incorporated herein by reference), such as polymers sold under the names “JR” (JR 400, JR 125 and JR 30M) or “LR” (LR 400, or LR 30M) by the company Union Carbide Corporation. These polymers are also defined in the CTFA dictionary as quaternary ammoniums of hydroxyethylcellulose which has reacted with an epoxide substituted with a trimethylammonium group.
- (3) Cationic cellulose derivatives such as cellulose copolymers or cellulose derivatives grafted with a water-soluble monomer of quaternary ammonium, and described for example in U.S. Pat. No. 4,131,576 (the disclosure of which is incorporated herein by reference), such as hydroxyalkylcelluloses, for instance hydroxymethyl-, hydroxyethyl-, or hydroxypropylcelluloses grafted with a methacryloyloxyethyltrimethylammonium, methacrylamidopropyltrimethylammonium, or dimethyidiallylammonium salt, for instance.
- The commercial products corresponding to this definition, for instance, are sold under the names “Celquat L 200” and “Celquat H 100” by the company National Starch.
- (4) The cationic polysaccharides described, for example, in U.S. Pat. Nos. 3,589,578 and 4,031,307 (the disclosures of which are incorporated herein by reference), such as guar gums comprising cationic trialkylammonium groups. Guar gums modified with a salt (e.g. chloride) of 2,3-epoxypropyltrimethylammonium can be used, for example.
- Such products are sold, for instance, under the trade names Jaguar C13 S, Jaguar C 15, Jaguar C 17, or Jaguar C162 by the company Meyhall.
- (5) Polymers comprising of piperazinyl units and of divalent alkylene or hydroxyalkylene radicals comprising straight or branched chains, optionally interrupted by oxygen, sulphur, or nitrogen atoms or by aromatic or heterocyclic rings, and also the oxidation and/or quaternization products of these polymers. Such polymers are described, for example, in French patents 2 162 025 and 2 280 361 (the disclosures of which are incorporated herein by reference).
- (6) Water-soluble polyamino amides prepared, for example, by polycondensation of an acidic compound with a polyamine; these polyamino amides can be crosslinked with an epihalohydrin, a diepoxide, a dianhydride, an unsaturated dianhydride, a bis-unsaturated derivative, a bis-halohydrin, a bis-azetidinium, a bis-haloacyldiamine, a bis-alkyl halide, or alternatively with an oligomer resulting from the reaction of a difunctional compound which is reactive with a bis-halohydrin, a bis-azetidinium, a bis-haloacyldiamine, a bis-alkyl halide, an epihalohydrin, a diepoxide, or a bis-unsaturated derivative; the crosslinking agent being used in proportions ranging from 0.025 to 0.35 mol per amine group of the polyamino amide; these polyamino amides can be alkylated or, if they contain one or more tertiary amine functions, they can be quaternized. Such polymers are described, for example, in French patents 2 252 840 and 2 368 508 (the disclosures of which are incorporated herein by reference).
- (7) The polyamino amide derivatives resulting from the condensation of polyalkylene polyamines with polycarboxylic acids followed by alkylation with difunctional agents. Mention may be made, for example, of adipic acid/dialkylaminohydroxyalkyldialkylene-triamine polymers in which the alkyl radical comprises from 1 to 4 carbon atoms and preferably denotes methyl, ethyl, or propyl. Such polymers are described for example in French patent 1 583 363 (the disclosure of which is incorporated herein by reference).
- Among these derivatives, further mention may be made of the adipic acid/dimethylaminohydroxypropyl/diethylenetriamine polymers sold under the name “Cartaretine F, F4 or F8” by the company Sandoz, for example.
- (8) The polymers obtained by reaction of a polyalkylene polyamine comprising two primary amine groups and at least one secondary amine group with a dicarboxylic acid chosen from diglycolic acid and saturated aliphatic dicarboxylic acids comprising from 3 to 8 carbon atoms. The molar ratio between the polyalkylene polyamine and the dicarboxylic acid is between 0.8:1 and 1.4:1; the polyamino amide resulting therefrom is reacted with epichlorohydrin in a molar ratio of epichlorohydrin relative to the secondary amine group of the polyamino amide of between 0.5:1 and 1.8:1. Such polymers are described, for example, in U.S. Pat. Nos. 3,227,615 and 2,961,347 (the disclosures of which are incorporated herein by reference).
- Polymers of this type are sold under the name “Hercosett 57” by the company Hercules Inc. or alternatively under the name “PD 170” or “Delsette 101 ” by the company Hercules, for example, in the case of the adipic acid/epoxypropyl/diethylenetriamine copolymer.
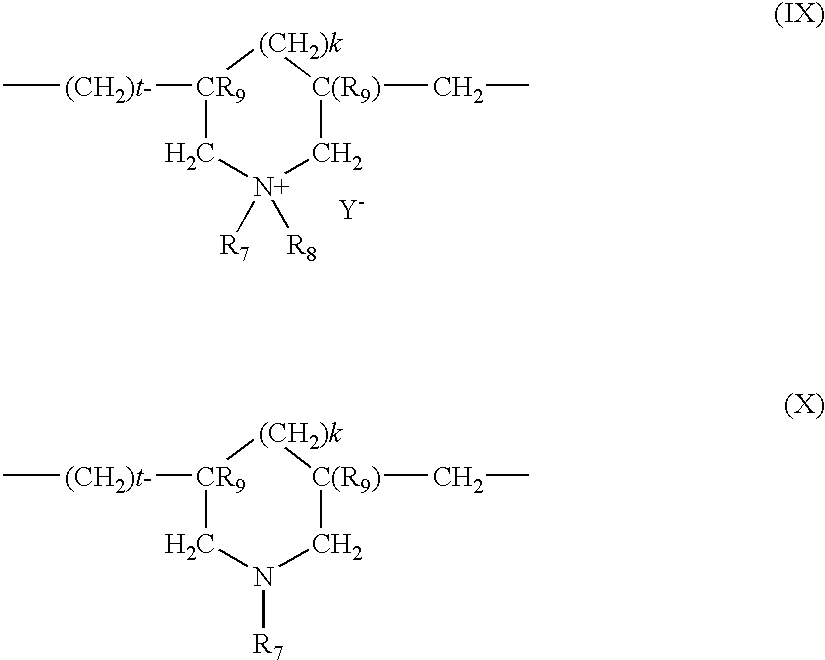
-
- in which formulae k and t are equal to 0 or 1, the sum k+t being equal to 1; R 9 denotes a hydrogen atom or a methyl radical; R7 and R8, independently of each other, denote an alkyl group comprising from 1 to 6 carbon atoms, a hydroxyalkyl group in which the alkyl group comprises 1 to 5 carbon atoms, a lower C1-C4 amidoalkyl group, or R7 and R8 can denote, together with the nitrogen atom to which they are attached, heterocyclic groups such as piperidyl or morpholinyl; R7 and R8, independently of each other, denote an alkyl group comprising from 1 to 4 carbon atoms; Y− is an anion such as bromide, chloride, acetate, borate, citrate, tartrate, bisulphate, bisulphite, sulphate, or phosphate. These polymers are described, for example, in French patent 2 080 759 and in its Certificate of Addition 2 190 406 (the disclosures of which are incorporated herein by reference).
- Among the polymers defined above, mention may be made, for example, of the dimethyldiallylammonium chloride homopolymer sold under the name “Merquat 100” by the company Calgon (and its homologues of low weight-average molecular mass) and copolymers of diallyldimethylammonium chloride and of acrylamide, sold under the name “Merquat 550”.
-
- wherein:
- R 10, R11, R12 and R13, which may be identical or different, represent aliphatic, alicyclic, or arylaliphatic radicals comprising from 1 to 20 carbon atoms or lower hydroxyalkylaliphatic radicals, or alternatively R10, R1, R12 and R13, together or separately, constitute, with the nitrogen atoms to which they are attached, heterocycles optionally comprising a second hetero atom other than nitrogen, or alternatively R10, R11, R12 and R13 represent a linear or branched C1-C6 alkyl radical substituted with a nitrile, ester, acyl, or amide group or a group —CO—O—R14—D or —CO—NH—R14—D where R14 is an alkylene and D is a quaternary ammonium group;
- A 1 and B1 represent polymethylene groups comprising from 2 to 20 carbon atoms which may be linear or branched, saturated or unsaturated, and which may comprise, linked to or intercalated in the main chain, one or more aromatic rings or one or more oxygen or sulphur atoms or sulphoxide, sulphone, disulphide, amino, alkylamino, hydroxyl, quaternary ammonium, ureido, amide, or ester groups, and
- X − denotes an anion derived from a mineral or organic acid;
- A 1, R10 and R12 can form, with the two nitrogen atoms to which they are attached, a piperazine ring; in addition, if A1 denotes a linear or branched, saturated or unsaturated alkylene or hydroxyalkylene radical, B1 can also denote a group —(CH2)n—CO—D—OC—(CH2)n— in which D denotes:
- a) a glycol residue of formula: —O—Z—O—, where Z denotes a linear or branched hydrocarbon-based radical or a group corresponding to one of the following formulae:
- —(CH2—CH2—O)x—CH2—CH2—
- —[CH2—CH(CH3)—O]y—CH2—CH(CH3)—
- where x and y denote an integer from 1 to 4, representing a defined and unique degree of polymerization or any number from 1 to 4 representing an average degree of polymerization;
- b) a bis-secondary diamine residue such as a piperazine derivative;
- c) a bis-primary diamine residue of formula: —NH—Y—NH—, where Y denotes a linear or branched hydrocarbon-based radical, or alternatively the divalent radical
- —CH2—CH2—S—S—CH2—CH2—;
- d) a ureylene group of formula: —NH—CO—NH—.
- Substituent X − can be an anion such as chloride or bromide, for example.
- These polymers can have a number-average molecular mass of from 1,000 to 100,000.
- Polymers of this type are described, for example, in French patents 2 320 330, 2 270 846, 2 316 271, 2 336 434 and 2 413 907 and U.S. Pat. Nos. 2,273,780, 2,375,853, 2,388,614, 2,454,547, 3,206,462, 2,261,002, 2,271,378, 3,874,870, 4,001,432, 3,929,990, 3,966,904, 4,005,193, 4,025,617, 4,025,627, 4,025,653, 4,026,945 and 4,027,020 (the disclosures of which are incorporated herein by reference).
-
- in which R 10, R11, R12 and R13, which may be identical or different, denote an alkyl or hydroxyalkyl radical comprising from 1 to 4 carbon atoms approximately, n and p are integers ranging from 2 to 20 approximately, and X− is an anion derived from a mineral or organic acid.
-
- in which p denotes an integer ranging from 1 to 6 approximately, D may be nothing or may represent a group —(CH 2)r—CO— in which r denotes a number equal to 4 or 7, X− is an anion.
- Such polymers may be prepared according to the processes described, for example, in U.S. Pat. Nos. 4,157,388, 4,702,906, and 4,719,282 (the disclosures of which are incorporated herein by reference). They are also described, for example, in patent application EP-A-122 324 (the disclosure of which is incorporated herein by reference).
- Among these products, mention may be made, for example, of “Mirapol A 15”, “Mirapol AD1”, “Mirapol AZ1” and “Mirapol 175” sold by the company Miranol.
- (12) Quaternary polymers of vinylpyrrolidone and of vinylimidazole, such as, for example, the products sold under the names Luviquat FC 905, FC 550 and FC 370 by the company BASF.
- (13) Polyamines such as Polyquart H sold by Henkel, which are given under the reference name “Polyethylene glycol (15) tallow polyamine” in the CTFA dictionary.
- (14) Crosslinked methacryloyloxy(C 1-C4)alkyltri(C1-C4)alkylammonium salt polymers such as the polymers obtained by homopolymerization of dimethylaminoethyl methacrylate quaternized with methyl chloride, or by copolymerization of acrylamide with dimethylaminoethyl methacrylate quaternized with methyl chloride, the homo- or copolymerization being followed by crosslinking with a compound comprising olefinic unsaturation, such as methylenebisacrylamide. A crosslinked acrylamide/methacryloyloxyethyltrimethylammonium chloride copolymer (20/80 by weight) in the form of a dispersion containing 50% by weight of the said copolymer in mineral oil can also be used, for example. This dispersion is sold under the name “Salcare® SC 92” by the company Allied Colloids. A crosslinked methacryloyloxyethyltrimethylammonium chloride homopolymer comprising about 50% by weight of the homopolymer in mineral oil or in a liquid ester can also be used. These dispersions, for example, are sold under the names “Salcare® SC 95” and “Salcare® SC 96” by the company Allied Colloids.
- Other cationic polymers which can be used in the context of the invention are, polyalkyleneimines, polymers comprising vinylpyridine or vinylpyridinium units, condensates of polyamines and of epichlorohydrin, quaternary polyureylenes and chitin derivatives.
-
-
- wherein the weight-average molar mass, determined by gel permeation chromatography, is about 1200.
- The concentration of cationic polymer in the composition according to the present invention may range from 0.01% to 10% by weight relative to the total weight of the composition, such as from 0.05% to 5% and further such as from 0.1% to 3%.
- Amphoteric Polymers
- The amphoteric polymers which may be used in accordance with the present invention may be chosen from polymers comprising units K and M randomly distributed in the polymer chain, in which K denotes a unit derived from a monomer comprising at least one basic nitrogen atom and M denotes a unit derived from an acidic monomer comprising one or more carboxylic or sulphonic groups, or alternatively K and M may denote groups derived from zwitterionic carboxybetaine or sulphobetaine monomers;
- K and M may also denote a cationic polymer chain comprising primary, secondary, tertiary, or quaternary amine groups, in which at least one of the amine groups bears a carboxylic or sulphonic group linked via a hydrocarbon-based radical, or alternatively K and M forms part of a chain of a polymer containing an α,β-dicarboxylic ethylene unit in which one of the carboxylic groups has been made to react with a polyamine comprising one or more primary or secondary amine groups.
- The amphoteric polymers corresponding to the above definition can be chosen from the following polymers:
- (1) polymers resulting from the copolymerization of a monomer derived from a vinyl compound bearing a carboxylic group, such as acrylic acid, methacrylic acid, maleic acid, α-chloroacrylic acid, and a basic monomer derived from a substituted vinyl compound comprising at least one basic atom, such as dialkylaminoalkyl methacrylate and acrylate, dialkylaminoalkylmethacrylamide and -acrylamide. Such compounds are described, for example, in U.S. Pat. No. 3,836,537 (the disclosure of which is incorporated herein by reference).
- Mention may also be made of the sodium acrylate/acrylamidopropyltrimethylammonium chloride copolymer sold under the name Polyquart KE 3033 by the company Henkel.
- The vinyl compound may also be a dialkyldiallylammonium salt such as dimethyldiallylammonium chloride. The copolymers of acrylic acid and of the latter monomer are sold under the names Merquat 280, Merquat 295 and Merquat Plus 3330 by the company Calgon.
- (2) polymers comprising units derived from:
- a) at least one monomer chosen from acrylamides and methacrylamides substituted on the nitrogen with an alkyl radical,
- b) at least one acidic comonomer comprising one or more reactive carboxylic groups, and
- c) at least one basic comonomer such as esters comprising primary, secondary, tertiary, and/or quaternary amine substituents of acrylic and methacrylic acids and the product of quaternization of dimethylaminoethyl methacrylate with dimethyl or diethyl sulphate.
- The N-substituted acrylamides or methacrylamides which can be used according to the invention are groups wherein the alkyl radicals comprise from 2 to 12 carbon atoms such as N-ethylacrylamide, N-tert-butylacrylamide, N-tert-octylacrylamide, N-octylacrylamide, N-decylacrylamide, N-dodecylacrylamide, and the corresponding methacrylamides.
- The acidic comonomers can be chosen from acrylic acid, methacrylic acid, crotonic acid, itaconic acid, maleic acid, fumaric acid, and alkyl monoesters, comprising 1 to 4 carbon atoms, of maleic or fumaric acids or anhydrides.
- Representative basic comonomers are aminoethyl, butylaminoethyl, N,N′-dimethylaminoethyl, and N-tert-butylaminoethyl methacrylates.
- The copolymers whose CTFA (4th edition, 1991) name is octylacrylamide/acrylates/butylaminoethyl methacrylate copolymer such as the products sold under the name Amphomer or Lovocryl 47 by the company National Starch can be used.
-
- in which R 19 represents a divalent radical derived from a saturated dicarboxylic acid, a mono- or dicarboxylic aliphatic acid containing an ethylenic double bond, an ester of a lower alkanol, comprising 1 to 6 carbon atoms, of these acids or a radical derived from the addition of any one of the said acids to a bis(primary) or bis(secondary) amine, and Z denotes a bis(primary), mono- or bis(secondary) polyalkylene-polyamine radical and represents:
-
- where x=2 and p=2 or 3, or alternatively x=3 and p=2;
- this radical being derived from diethylenetriamine, from triethylenetetraamine, or from dipropylenetriamine;
-
- c) in proportions of from 0 to 20 mol %, the —NH—(CH 2)6—NH— radical derived from hexamethylenediamine, these polyamino amines being crosslinked by addition of a difunctional crosslinking agent chosen from epihalohydrins, diepoxides, dianhydrides, and bis-unsaturated derivatives, using from 0.025 to 0.35 mol of crosslinking agent per amine group of the polyamino amide and alkylated by the action of acrylic acid, chloroacetic acid or an alkane sultone, or salts thereof.
- The saturated carboxylic acids can be chosen from acids comprising 6 to 10 carbon atoms, such as adipic acid, 2,2,4-trimethyladipic acid, 2,4,4-trimethyladipic acid, terephthalic acid, and acids containing an ethylenic double bond such as, for example, acrylic acid, methacrylic acid, and itaconic acid.
- The alkane sultones used in the alkylation can be propane sultone or butane sultone, and the salts of the alkylating agents can be the sodium or potassium salts.
-
- wherein R 20 denotes a polymerizable unsaturated group such as an acrylate, methacrylate, acrylamide, or methacrylamide group, y and z represent an integer from 1 to 3, R2, and R22 represent a hydrogen atom, methyl, ethyl or propyl, R23 and R24 represent a hydrogen atom or an alkyl radical such that the sum of the carbon atoms in R23 and R24 does not exceed 10.
- The polymers comprising such units can also comprise units derived from non-zwitterionic monomers such as dimethyl or diethylaminoethyl acrylate or methacrylate or alkyl acrylates or methacrylates, acrylamides or methacrylamides or vinyl acetate.
- By way of example, mention may be made of the copolymer of methyl methacrylate/methyl dimethylcarboxymethylammonioethylmethacrylate such as the product sold under the name Diaformer Z301 by the company Sandoz.
-
-
- in which q denotes zero or 1;
- if q=0, R 26, R27 and R28, which may be identical or different, each represent a hydrogen atom, a methyl, hydroxyl, acetoxy or amino residue, a monoalkylamine residue or a dialkylamine residue which are optionally interrupted by one or more nitrogen atoms and/or optionally substituted with one or more amine, hydroxyl, carboxyl, alkylthio or sulphonic groups, an alkylthio residue in which the alkyl group bears an amino residue, at least one of the radicals R26, R27 and R28 being, in this case, a hydrogen atom;
- or, if q=1, R 26, R27 and R28 each represent a hydrogen atom, and also the salts formed by these compounds with bases or acids.
- (6) polymers derived from the N-carboxyalkylation of chitosan, such as N-carboxymethylchitosan or N-carboxybutylchitosan sold under the name “Evalsan” by the company Jan Dekker.
-
- in which R 29 represents a hydrogen atom, a CH3O, CH3CH2O or phenyl radical, R30 denotes hydrogen or a lower alkyl radical such as methyl or ethyl, R31 denotes hydrogen or a lower alkyl radical such as methyl or ethyl, R32 denotes a lower alkyl radical such as methyl or ethyl or a radical corresponding to the formula: —R33—N(R31)2, R33 representing a —CH2—CH2—, —CH2—CH2—CH2— or —CH2—CH(CH3)— group, R31 having the meanings mentioned above, and also the higher homologues of these radicals and containing up to 6 carbon atoms, r is such that the molecular weight is from 500 to 6,000,000,such as from 1,000 to 1,000,000.
- (8) amphoteric polymers of the type —D—X—D—X— chosen from:
- a) polymers obtained by the action of chloroacetic acid or sodium chloroacetate on compounds containing at least one unit of formula:
- —D—X—D—X—D— (XXI)
-
- and X denotes the symbol E or E′, E or E′, which may be identical or different, denote a divalent radical which is an alkylene radical with a straight or branched chain comprising up to 7 carbon atoms in the main chain, which is unsubstituted or substituted with hydroxyl groups and which can contain, in addition to the oxygen, nitrogen and sulphur atoms, 1 to 3 aromatic and/or heterocyclic rings; the oxygen, nitrogen and sulphur atoms being present in the form of ether, thioether, sulphoxide, sulphone, sulphonium, alkylamine or alkenylamine groups, hydroxyl, benzylamine, amine oxide, quaternary ammonium, amide, imide, alcohol, ester and/or urethane groups;
- b) polymers of formula:
- —D—X—D—X— (XXII)
-
- and X denotes the symbol E or E′ and at least one E′; E having the meaning given above and E′ being a divalent radical which is an alkylene radical with a straight or branched chain comprising up to 7 carbon atoms in the main chain, which is unsubstituted or substituted with one or more hydroxyl radicals and containing one or more nitrogen atoms, the nitrogen atom being substituted with an alkyl chain which is optionally interrupted by an oxygen atom and necessarily comprising one or more carboxyl functions or one or more hydroxyl functions and betainized by reaction with chloroacetic acid or sodium chloroacetate.
- (9) (C 1-C5)alkyl vinyl ether/maleic anhydride copolymers partially modified by semiamidation with an N,N-dialkylaminoalkylamine such as N,N-dimethylaminopropylamine or by semiesterification with an N,N-dialkanolamine. These copolymers can also comprise other vinyl comonomers such as vinylcaprolactam.
- Representative amphoteric polymers that can be used according to the invention are those of (1).
- According to the invention, the amphoteric polymer(s) may represent from 0.01% to 10% by weight relative to the total weight of the composition, such as from 0.05% to 5% by weight and further such as from 0.1% to 3% by weight relative to the total weight of the composition.
- The ready-to-use composition according to the invention can further comprises one or more additional surfactants in the dye composition (A) and/or in the oxidizing composition (B).
- The additional surfactant(s) may be chosen, without discrimination, alone or as mixtures, from anionic, amphoteric, nonionic, zwitterionic, and cationic surfactants.
- The additional surfactants that are suitable for carrying out the present invention may be the following, for example:
- (i) Anionic Surfactant(s)
- By way of example of anionic surfactants which can be used, alone or as mixtures, in the context of the present invention, mention may be made (nonlimiting list) of salts (for example, alkali metal salts, such as sodium salts, ammonium salts, amine salts, amino alcohol salts, or magnesium salts) of the following compounds: alkyl sulphates, alkyl ether sulphates, alkylamido ether sulphates, alkylarylpolyether sulphates, monoglyceride sulphates; alkyl sulphonates, alkyl phosphates, alkylamide sulphonates, alkylaryl sulphonates, a-olefin sulphonates, paraffin sulphonates; (C 6-C24)alkyl sulphosuccinates, (C6-C24)alkyl ether sulphosuccinates, (C6-C24)alkylamide sulphosuccinates; (C6-C24)alkyl sulphoacetates; (C6-C24)acyl sarcosinates; and (C6-C24)acyl glutamates. It is also possible to use (C6-C24)alkylpolyglycoside carboxylic esters such as alkylglucoside citrates, alkylpolyglycoside tartrates and alkylpolyglycoside sulphosuccinates, alkylsulphosuccinamates; acyl isethionates and N-acyl taurates, the alkyl or acyl radical of all of these different compounds can comprise from 12 to 20 carbon atoms and the aryl radical may denote a phenyl or benzyl group. Among the anionic surfactants which can also be used, mention may also be made of fatty acid salts such as oleic, ricinoleic, palmitic and stearic acid salts, coconut oil acid or hydrogenated coconut oil acid; acyl lactylates in which the acyl radical comprise from 8 to 20 carbon atoms. It is also possible to use alkyl D-galactoside uronic acids and their salts, polyoxyalkylenated (C6-C24)alkyl ether carboxylic acids, polyoxyalkylenated (C6-C24)alkylaryl ether carboxylic acids, polyoxyalkylenated (C6-C24)alkylamido ether carboxylic acids and their salts, such as those comprising from 2 to 50 alkylene oxide groups, for example ethylene oxide groups, and mixtures thereof.
- (ii) Nonionic Surfactant(s)
- The nonionic surfactants are, themselves also, compounds that are well known by one of ordinary skill in the art (see, for example, “Handbook of Surfactants” by M. R. Porter, published by Blackie & Son (Glasgow and London), 1991, pp. 116-178) and their nature is not a critical factor in the context of the present invention. Thus, they can be chosen from (non-limiting list) polyethoxylated or polypropoxylated, alkylphenols, alpha-diols or alcohols, comprising a fatty chain that comprises, for example, 8 to 18 carbon atoms, wherein the number of ethylene oxide or propylene oxide groups can range from 2 to 50, for example. Mention may also be made of copolymers of ethylene oxide and of propylene oxide, condensates of ethylene oxide and of propylene oxide with fatty alcohols; polyethoxylated fatty amides comprising from 2 to 30 mol of ethylene oxide, polyglycerolated fatty amides comprising on average 1 to 5 glycerol groups, such as from 1.5 to 4 glycerol groups; polyethoxylated fatty amines comprising from 2 to 30 mol of ethylene oxide; oxyethylenated fatty acid esters of sorbitan comprising from 2 to 30 mol of ethylene oxide; fatty acid esters of sucrose, fatty acid esters of polyethylene glycol, alkylpolyglycosides, N-alkylglucamine derivatives, and amine oxides such as (C 10-C14)alkylamine oxides or N-acylaminopropylmorpholine oxides. It will be noted that alkylpolyglycosides are nonionic surfactants that can be used within the context of the present invention, as are ethoxylated fatty alcohols.
- (iii) Amphoteric or Zwitterionic Surfactant(s)
- The amphoteric or zwitterionic surfactants, the nature of which is not a critical factor in the context of the present invention, can be, for example (nonlimiting list), aliphatic secondary or tertiary amine derivatives in which the aliphatic radical is a linear or branched chain comprising 8 to 18 carbon atoms and containing at least one water-solubilizing anionic group (for example carboxylate, sulphonate, sulphate, phosphate or phosphonate); mention may also be made of (C 8-C20)alkylbetaines, sulphobetaines, (C8-C20)alkylamido(C1-C6)alkylbetaines or (C8-C20)alkylamido(C1-C6)alkylsulphobetaines.
- Among the amine derivatives, mention may be made of the products sold under the name Miranol, as described in U.S. Pat. Nos. 2,528,378 and 2,781,354 and classified in the CTFA dictionary, 3rd edition, 1982 (the disclosures of which are incorporated herein by reference, under the names Amphocarboxyglycinates and Amphocarboxypropionates, with the respective structures:
- R34—CONHCH2CH2—N(R35)(R36)(CH2COO31)
- in which:
- R 34 denotes an alkyl radical of an acid R34—COOH present in hydrolysed coconut oil, a heptyl, nonyl or undecyl radical, R35 denotes a beta-hydroxyethyl group and R36 denotes a carboxymethyl group; and
- R34—CONHCH2CH2—N(B)(C)
- in which:
- B represents —CH 2CH2OX′, C represents —(CH2)z−Y′, with z=1 or 2,
- X′ denotes the —CH 2CH2—COOH group or a hydrogen atom,
- Y′ denotes —COOH or the —CH 2—CHOH—SO3H radical,
- R 34′ denotes an alkyl radical of an acid R37—COOH present in coconut oil or in hydrolysed linseed oil, an alkyl radical, such as a C7, C9, C11 or C13 alkyl radical, a C17 alkyl radical and its iso form, or an unsaturated C17 radical.
- These compounds are classified in the CTFA dictionary, 5th edition, 1993, under the names Disodium Cocoamphodiacetate, Disodium Lauroamphodiacetate, Disodium Caprylamphodiacetate, Disodium Capryloamphodiacetate, Disodium Cocoamphodipropionate, Disodium Lauroamphopropionate, Disodium Caprylamphodipropionate, Disodium Caprylamphodipropionate, Lauroamphodipropionic acid and Cocoamphodipropionic acid.
- By way of example, mention may be made of the cocoamphodiacetate sold under the trade name Miranol® C2M concentrate by the company Rhodia Chimie.
- (iv) Cationic Surfactants
- Among the cationic surfactants, mention may be made, for example, (non-limiting list) of: salts of optionally polyoxyalkylenated primary, secondary, or tertiary fatty amines; quaternary ammonium salts such as tetraalkylammonium, alkylamidoalkyltrialkylammonium, trialkylbenzylammonium, trialkylhydroxyalkylammonium or alkylpyridinium chlorides or bromides; imidazoline derivatives; or amine oxides of cationic nature.
- The amounts of the additional surfactants present in the composition according to the invention can range from 0.01% to 40% such as from 0.1% to 30% relative to the total weight of the composition.
- The ready-to-use composition according to the invention can also contain in the dye composition (A) and/or the oxidizing composition (B) agents for adjusting the rheology, such as cellulosic thickeners (hydroxyethylcellulose, hydroxypropylcellulose, carboxymethylcellulose, etc.), guar gum and its derivatives (hydroxypropyl guar, etc.), gums of microbial origin (xanthan gum, scleroglucan gum, etc.), synthetic thickeners not comprising a fatty chain, such as crosslinked homopolymers of acrylic acid or of acrylamidopropanesulphonic acid and synthetic thickeners comprising at least one fatty chain.
- The thickening polymers comprising at least one fatty chain are of nonionic, anionic, or amphoteric type.
- Among the thickening polymers comprising at least one fatty chain and of anionic type, mention may be made of:
- (I) those comprising at least one hydrophilic unit and at least one fatty-chain allyl ether unit, such as those in which the hydrophilic unit comprises of an ethylenic unsaturated anionic monomer, for example a vinylcarboxylic acid, an acrylic acid, a methacrylic acid, or mixtures thereof, and in which the fatty-chain allyl ether unit corresponds to the monomer of formula (XXIII) below:
- CH2═CR′CH2OBnR (XXIII)
- in which R′ denotes H or CH 3, B denotes an ethyleneoxy radical, n is zero or denotes an integer ranging from 1 to 100, R denotes a hydrocarbon-based radical chosen from alkyl, arylalkyl, aryl, alkylaryl, and cycloalkyl radicals, comprising from 8 to 30 carbon atoms, such as from 10 to 24 carbon atoms and further such as from 12 to 18 carbon atoms. A unit of formula (XXIII) which can be used is a unit in which R′ denotes H, n is equal to 10 and R denotes a stearyl (C18) radical.
- Anionic amphiphilic polymers of this type are described and prepared, according to an emulsion polymerization process, in patent EP-0 216 479 (the disclosure of which is incorporated herein by reference), for example.
- Representative fatty-chain anionic thickening polymers which can be used according to the invention are polymers formed from 20% to 60% by weight of acrylic acid and/or of methacrylic acid, from 5% to 60% by weight of lower alkyl (meth)acrylates, from 2% to 50% by weight of fatty-chain allyl ether of formula (XXIII), and from 0% to 1% by weight of a crosslinking agent which is a well-known copolymerizable unsaturated polyethylenic monomer, for instance diallyl phthalate, allyl (meth)acrylate, divinylbenzene, (poly)ethylene glycol dimethacrylate, or methylenebisacrylamide.
- Among the latter polymers, representative examples such as crosslinked terpolymers of methacrylic acid, of ethyl acrylate and of polyethylene glycol (10 EO) stearyl ether (Steareth-10), for example those sold by the company Allied Colloids under the names Salcare SC 80 and Salcare SC 90, which are aqueous 30% emulsions of a crosslinked terpolymer of methacrylic acid, of ethyl acrylate and of steareth-10 allyl ether (40/50/10).
- (II) those comprising at least one hydrophilic unit of unsaturated olefinic carboxylic acid type, and at least one hydrophobic unit of (C 10-C30)alkyl ester of unsaturated carboxylic acid type.
-
-
- in which R 2 denotes H or CH3 or C2H5, for example like acrylate, methacrylate, or ethacrylate units, such as methacrylate and acrylate units,, and R3 denoting a C10-C30 alkyl such as a C12-C22 alkyl radical.
- (C 10-C30) alkyl esters of unsaturated carboxylic acids in accordance with the invention include, for example, lauryl acrylate, stearyl acrylate, decyl acrylate, isodecyl acrylate, and dodecyl acrylate, and the corresponding methacrylates, lauryl methacrylate, stearyl methacrylate, decyl methacrylate, isodecyl methacrylate, and dodecyl methacrylate.
- Anionic polymers of this type are described and prepared, for example, according to U.S. Pat. Nos. 3,915,921 and 4,509,949 (the disclosures of which are incorporated herein by reference).
- Among the fatty-chain anionic thickening polymers of this type which can be used are polymers formed from a monomer blend comprising:
- (i) acrylic acid,
- (ii) an ester of formula (XXV) described above in which R 2 denotes H or CH3, R3 denoting an alkyl radical comprising from 12 to 22 carbon atoms,
- (iii) and a crosslinking agent, which can be a well-known copolymerizable polyethylenic unsaturated monomer, for instance diallyl phthalate, allyl (meth)acrylate, divinylbenzene, (poly)ethylene glycol dimethacrylate, and methylenebisacrylamide.
- Among fatty-chain anionic thickening polymers of this type which can be used are those comprise of from 95% to 60% by weight of acrylic acid (hydrophilic unit), 4% to 40% by weight of C 10-C30 alkyl acrylate (hydrophobic unit) and 0% to 6% by weight of crosslinking polymerizable monomer, or alternatively those comprise of from 98% to 96% by weight of acrylic acid (hydrophilic unit), 1% to 4% by weight of C10-C30 alkyl acrylate (hydrophobic unit) and 0.1% to 0.6% by weight of crosslinking polymerizable monomer such as those described above.
- Among the said above polymers, those which can be used according to the present invention are the products sold by the company Goodrich under the trade names Pemulen TR1, Pemulen TR2 and Carbopol 1382, and further examples include Pemulen TR1, and the product sold by the company S.E.P.P.I.C under the name Coatex SX.
- (III) maleic anhydride/C 30-C38 α-olefin/alkyl maleate terpolymers, such as the product (maleic anhydride/C30-C38 α-olefin/isopropyl maleate copolymer) sold under the name Performa V 1608 by the company Newphase Technologies.
- (IV) acrylic terpolymers comprising:
- (a) about 20% to 70% by weight of a carboxylic acid comprising α,β-monoethylenic unsaturation,
- (b) about 20% to 80% by weight of a non-surfactant monomer comprising α,β-monoethylenic unsaturation other than (a),
- (c) about 0.5% to 60% by weight of a nonionic monourethane which is the product of reaction of a monohydric surfactant with a monoisocyanate comprising monoethylenic unsaturation, such as those described in patent application EP-A-0 173 109 (the disclosure of which is incorporated herein by reference) such as the terpolymer described in Example 3, namely a methacrylic acid/methyl acrylate/behenyl dimethyl-meta-isopropenylbenzylisocyanate ethoxylated (40 EO) terpolymer, as an aqueous 25% dispersion.
- (V) copolymers comprising among their monomers a carboxylic acid comprising α,β-monoethylenic unsaturation and an ester of a carboxylic acid containing α,β-monoethylenic unsaturation and of an oxyalkylenated fatty alcohol.
- For example, these compounds can further comprise as monomer an ester of a carboxylic acid comprising α,β-monoethylenic unsaturation and of a C 1-C4 alcohol.
- An example of a compound of this type which may be mentioned is Aculyn 22 sold by the company Rohm & Haas, which is a methacrylic acid/ethyl acrylate/stearyl methacrylate oxyalkylenated terpolymer.
- The fatty-chain thickening polymers of nonionic type which can be used according to the invention can be chosen from:
- (1) celluloses modified with groups comprising at least one fatty chain; examples which may be mentioned include:
- hydroxyethylcelluloses modified with groups comprising at least one fatty chain, such as alkyl, arylalkyl, or alkylaryl groups, or mixtures thereof, and in which the alkyl groups can be C 8-C22, for instance the product Natrosol Plus Grade 330 CS (C16 alkyls) sold by the company Aqualon, or the product Bermocoll EHM 100 sold by the company Berol Nobel,
- those modified with alkylphenyl polyalkylene glycol ether groups, such as the product Amercell Polymer HM-1500 (nonylphenyl polyethylene glycol (15) ether) sold by the company Amerchol.
- (2) hydroxypropylguars modified with groups comprising at least one fatty chain, such as the product Esaflor HM 22 (C 22 alkyl chain) sold by the company Lamberti, and the products RE210-18 (C14 alkyl chain) and RE205-1 (C20 alkyl chain) sold by the company Rhône-Poulenc.
- (3) copolymers of vinylpyrrolidone and of fatty-chain hydrophobic monomers; examples which may be mentioned include:
- the products Antaron V216 or Ganex V216 (vinylpyrrolidone/hexadecene copolymer) sold by the company I.S.P.
- the products Antaron V220 or Ganex V220 (vinylpyrrolidone/eicosene copolymer) sold by the company I.S.P.
- (4) copolymers of C 1-C6 alkyl methacrylates or acrylates and of amphiphilic monomers comprising at least one fatty chain, such as, for example, the oxyethylenated methyl acrylate/stearyl acrylate copolymer sold by the company Goldschmidt under the name Antil 208.
- (5) copolymers of hydrophilic methacrylates or acrylates and of hydrophobic monomers comprising at least one fatty chain, such as, for example, the polyethylene glycol methacrylate/lauryl methacrylate copolymer.
- (6) polyether polyurethanes comprising in their chain both hydrophilic blocks usually of polyoxyethylenated nature and hydrophobic blocks which may be aliphatic sequences alone and/or cycloaliphatic and/or aromatic sequences.
- (7) polymers with an aminoplast ether skeleton comprising at least one fatty chain, such as the Pure Thix compounds sold by the company Sud-Chemie.
- For example, the polyether polyurethanes comprise at least two hydrocarbon-based lipophilic chains comprising from 6 to 30 carbon atoms, separated by a hydrophilic block, the hydrocarbon-based chains possibly being pendent chains, or chains at the end of the hydrophilic block. For example, it is possible for one or more pendent chains to be included. In addition, the polymer may further comprise a triblock copolymer whose hydrophilic block is a polyoxyethylenated hydrocarbon-based chain at one end or at both ends of a hydrophilic block.
- The polyether polyurethanes may be multiblock, for example in triblock form. Hydrophobic blocks may be at each end of the chain (for example: triblock copolymer with a hydrophilic central block) or distributed both at the ends and in the chain (for example: multiblock copolymer). These same polymers may also be graft polymers or starburst polymers.
- The nonionic fatty-chain polyether polyurethanes may comprise from 50 to 1000 oxyethylene groups. The nonionic polyether polyurethanes can comprise a urethane linkage between the hydrophilic blocks, whence arises the name.
- By extension, also included among the nonionic fatty-chain polyether polyurethanes are those in which the hydrophilic blocks are linked to the lipophilic blocks via other chemical bonds.
- As examples of nonionic fatty-chain polyether polyurethanes which may be used in the invention, use may also be made of Rheolate 205 comprising a urea function, sold by the company Rheox, or Rheolate 208, 204 or 212, and also Acrysol RM 184, Aculyn 44 and Aculyn 46 from the company Rohm & Haas [Aculyn 46 is a polycondensate of polyethylene glycol comprising 150 or 180 mol of ethylene oxide, of stearyl alcohol, and of methylenebis(4-cyclohexyl isocyanate) (SMDI), at 15% by weight in a matrix of maltodextrin (4%) and water (81%); Aculyn 44 is a polycondensate of polyethylene glycol comprising 150 or 180 mol of ethylene oxide, of decyl alcohol and of methylenebis(4-cyclohexyl isocyanate) (SMDI), at 35% by weight in a mixture of propylene glycol (39%) and water (26%)].
- Mention may also be made of the product Elfacos T210 comprising a C 12-14 alkyl chain, and the product Elfacos T212 comprising a C18 alkyl chain, from Akzo.
- The product DW 1206B from Rohm & Haas comprising a C 20 alkyl chain and urethane linkage, sold at a solids content of 20% in water, may also be used.
- It is also possible to use solutions or dispersions of these polymers, especially in water or in aqueous-alcoholic medium. Examples of such polymers which may be mentioned are Rheolate 255, Rheolate 278 and Rheolate 244 sold by the company Rheox. The products DW 1206F and DW 1206J sold by the company Rohm & Haas may also be used.
- The polyether polyurethanes which may be used according to the invention are described, for example, in the article by G. Fonnum, J. Bakke and Fk. Hansen, Colloid Polym. Sci 271, 380-389 (1993), the disclosures of which is incorporated herein by reference.
- The fatty-chain thickening polymers of amphoteric type used in the present invention comprise at least one fatty chain comprise from 8 to 30 carbon atoms, and may be chosen, for example, from polymers derived from polyaspartic acid comprising at least one fatty chain comprise from 8 to 30 carbon atoms, such as those described and prepared in patent application EP 0 767 191 (the disclosure of which is incorporated herein by reference). Such polymers can be prepared, in a known manner, by reacting polysuccinimide (PSI) with fatty-chain (C 8-C24) amines, in a solvent medium, in the presence or absence of a basic catalyst such as, for example, aliphatic tertiary amines, followed by amphoterization of the product obtained by reacting with a haloorganic acid.
- Among the C 8-C24 fatty-chain amines that are reacted with PSI, mention may be made of octylamine, nonylamine, decylamine, dodecylamine, tetradecylamine, hexadecylamine, octadecylamine, octadecenylamine, eicosyldecylamine, octynylamine, decenylamine, dodecenylamine, tetradecenylamine, hexadecenylamine, octadecenylamine, and eicosenylamine.
- Examples of such polymers are prepared by reacting PSI with n-laurylamine or n-stearylamine in the presence of N,N-dimethyl-1,3-propanediamine as basic catalyst, followed by amphoterization of the product obtained by reaction with potassium monochloroacetate. These polymers are prepared with further details on pages 13 to 20 (lines 1-4) and in Examples 1 to 5 on pages 28 to 34 (lines 1-4) of patent application EP-0 767 191, the disclosure of which is incorporated herein by reference, and such as those described and prepared in patent application EP-0 884 344, the disclosure of which is incorporated herein by reference. Such polymers are prepared by reacting ammonia gas with a C 8-C24 alkyl or alkenyl monomaleate, in a solvent medium, under reduced pressure and at a temperature of 120-140° C. for 4 to 6 hours.
- The C 8-C24 alkyl or alkenyl radicals may be chosen from the following linear or branched radicals: decyl, dodecyl, tetradecyl, hexadecyl, octadecyl, and oleyl.
- Examples of such polymers which comprise aspartic acid units and decyl aspartate units, polymers comprising aspartic acid units and dodecyl aspartate units, polymers comprising aspartic acid units and cetyl aspartate units, polymers comprising aspartic acid units and stearyl aspartate units, and polymers comprising aspartic acid units and n-decylaspartamide units, as described, for instance, in Examples 1 to 6 of the patent application EP-0 959 094, the disclosure of which is incorporated herein by reference. Such polymers are prepared by reacting, in a solvent medium, ammonia gas with a hydrophobic maleic acid monoamide, polyoxyalkylenated and modified with a linear or branched C 8-C30 alkyl or alkenyl chain, optionally as a mixture with a maleic acid monoester.
- An example of a polymer that can be prepared is described, for instance, in Example 2, page 11 of the patent application EP-0 959 090, the disclosure of which is incorporated herein by reference. Such hydrophobic modified polymers of high molecular weight are obtained from maleic acid derivatives and ammonia gas and di- or polyfunctional alcohols or amines, for instance.
- Examples of copolymers comprising aspartic acid and cetyl aspartate units or comprising aspartic acid and cetyl aspartate units are mentioned, respectively, in Examples 3 and 5 of patent application EP-0 959 091 (the disclosure of which is incorporated herein by reference), for example. Such hydrophobic modified polymers can be prepared from maleic acid monoester or monoamide and ammonia gas, for instance.
- Examples of such polymers are given in Examples 1, 2, 3 and 5 of the said patent application, for instance.
- For example, the amphoteric polymers used in the instant invention can comprise at least one fatty chain comprising from 8 to 30 carbon atoms can be chosen from those comprising at least one non-cyclic cationic unit. The ones that can be used are those prepared from or comprising 1 to 20 mol % of monomer comprising a fatty chain, such as 1.5 to 15 mol % and further such as 1.5 to 6 mol % relative to the total number of moles of monomers.
- The said fatty-chain amphoteric polymers according to the invention can comprise, or are prepared by copolymerizing:
-
- in which R 1 and R2, which may be identical or different, represent a hydrogen atom or a methyl radical, R3, R4 and R5, which may be identical or different, represent a linear or branched alkyl radical comprising from 1 to 30 carbon atoms,
- Z represents an NH group or an oxygen atom,
- n is an integer from 2 to 5,
- A − is an anion derived from an organic or mineral acid, such as a methosulphate anion or a halide such as chloride or bromide;
- 2) at least one monomer of formula (IIb)
- R6—CH═CR7—COOH (IIb)
- in which R 6 and R7, which may be identical or different, represent a hydrogen atom or a methyl radical; and
- 3) at least one monomer of formula (IIIa):
- R6—CH═CR7—COXR8 (IIIa)
- in which R 6 and R7, which may be identical or different, represent a hydrogen atom or a methyl radical, X denotes an oxygen or nitrogen atom and R8 denotes a linear or branched alkyl radical comprising from 1 to 30 carbon atoms;
- at least one of the monomers of formula (Ib), (Ic) or (IIIa) comprising at least one fatty chain.
- The monomers of formulae (Ib) and (Ic) of the present invention can be chosen from:
- dimethylaminoethyl methacrylate, dimethylaminoethyl acrylate, diethylaminoethyl methacrylate, diethylaminoethyl acrylate, dimethylaminopropyl methacrylate, dimethylaminopropyl acrylate, dimethylaminopropylmethacrylamide, dimethylaminopropylacrylamide,
- these monomers optionally being quaternized, for example with a C 1-C4 alkyl halide or a C1-C4 dialkyl sulphate.
- For example, the monomer of formula (Ib) can be chosen from acrylamidopropyltrimethylammonium chloride and methacrylamidopropyltrimethylammonium chloride.
- The monomers of formula (IIb) of the present invention can be chosen from acrylic acid, methacrylic acid, crotonic acid, and 2-methylcrotonic acid. For instance, the monomer of formula (IIb) is acrylic acid.
- The monomers of formula (IIIa) of the present invention can be chosen from C 12-C22 alkyl acrylates or methacrylates such as C16-C18 alkyl acrylates or methacrylates.
- The monomers constituting the fatty-chain amphoteric polymers of the invention can be already neutralized and/or quaternized.
- The ratio of the number of cationic charges/anionic charges can be equal to about 1.
- The fatty-chain amphoteric polymers according to the invention can comprise from 1 mol % to 10 mol % of the monomer comprising a fatty chain (monomer of formula (Ib), (Ic) or (IIIa)), such as from 1.5 mol % to 6 mol %.
- The weight-average molecular weights of the fatty-chain amphoteric polymers according to the invention may range from 500 to 50 000 000 such as from 10 000 and 5 000 000.
- The fatty-chain amphoteric polymers according to the invention may also comprise other monomers such as nonionic monomers and further such as C 1-C4 alkyl acrylates or methacrylates.
- Fatty-chain amphoteric polymers according to the invention are described and prepared, for example, in patent application WO 98/44012, the disclosure of which is incorporated herein by reference.
- Among the fatty-chain amphoteric polymers according to the invention, the ones that are acrylic acid/(meth)acrylamidopropyltrimethylammonium chloride/stearyl methacrylate terpolymers.
- In an embodiment of the invention, a fatty-chain thickening polymer of nonionic type can be used in the oxidation dye composition according to the invention.
- The thickening polymers can be used in an amount that can range from about 0.01% to about 10% by weight relative to the total weight of the dye composition. For instance, this amount ranges from about 0.1% to about 5% by weight.
- The medium for the composition that is suitable for dyeing can be an aqueous medium comprising of water and can further comprise cosmetically acceptable organic solvents other than the polyol(s) of the invention including, for example, other polyols, for instance propylene glycol, alcohols such as ethyl alcohol, isopropyl alcohol, benzyl alcohol and phenylethyl alcohol, or glycol ethers such as, for example, ethylene glycol monomethyl, monoethyl or monobutyl ether, propylene glycol monomethyl ether, and also diethylene glycol alkyl ethers such as, for example, diethylene glycol monoethyl ether or monobutyl ether, in concentrations ranging from about 0.5% to about 20% such as from about 2% to 10% by weight relative to the total weight of the composition.
- The composition according to the invention may also comprise an effective amount of other agents, known previously elsewhere in oxidation dyeing, such as various common adjuvants, for instance sequestering agents such as EDTA and etidronic acid, UV screening agents, waxes, volatile or non-volatile, cyclic or linear or branched silicones, which are optionally organomodified (such as with amine groups), preserving agents, ceramides, pseudoceramides, plant, mineral or synthetic oils, vitamins or provitamins, for instance panthenol, opacifiers, etc.
- The said composition may also comprise reducing agents or antioxidants. These agents may be chosen from sodium sulphite, thioglycolic acid, thiolactic acid, sodium bisulphite, dehydroascorbic acid, hydroquinone, 2-methylhydroquinone, tert-butylhydroquinone and homogentisic acid, and, in this case, they can be present in amounts ranging from about 0.05% to 3% by weight relative to the total weight of the composition, for instance.
- The composition according to the invention can further comprise one or more fatty alcohols, these fatty alcohols being introduced in pure form or as a mixture. Among these, mention may be made of lauryl alcohol, cetyl alcohol, stearyl alcohol, oleyl alcohol, and mixtures thereof. These additional fatty alcohols can represent from 0.001% to 20% by weight approximately relative to the total weight of the composition.
- Needless to say, a person skilled in the art will take care to select the optional additional compound(s) mentioned above such that the advantageous properties intrinsically associated with the ready-to-use composition according to the invention are not, or are not substantially, adversely affected by the envisaged addition(s).
- In the oxidizing composition (B), the oxidizing agent can be chosen from hydrogen peroxide, urea peroxide, alkali metal bromates or ferricyanides, and persalts such as perborates and persulphates. For example, hydrogen peroxide can be used. This oxidizing agent may comprise of an aqueous hydrogen peroxide solution whose titre may range from about 1 to 40 volumes such as from about 5 to 40 volumes.
- Oxidizing agents which may also be used are one or more redox enzymes such as laccases, peroxidases, and 2-electron oxidoreductases (such as uricase), where appropriate in the presence of their respective donor or co-factor.
- The pH of the dye composition (A) or of the ready-to-use composition applied to the keratin fibres [composition resulting from mixing together the dye composition (A) and the oxidizing composition (B)] is generally, for example, from 4 to 12. It can range from 6 to 11 and may be adjusted to the desired value using acidifying or basifying agents that are well known in the prior art in the dyeing of keratin fibres.
- Among the basifying agents which may be mentioned, for example, are aqueous ammonia, alkali metal carbonates, alkanolamines such as monoethanolamine, diethanolamine and triethanolamine and derivatives thereof, oxyethylenated and/or oxypropylenated hydroxyalkylamines and ethylenediamines, sodium hydroxide, potassium hydroxide and the compounds of formula (XXVI) below:
- in which R is a propylene residue optionally substituted with a hydroxyl group or a C 1-C4 alkyl radical; R38, R39, R40 and R41, which may be identical or different, represent a hydrogen atom, a C1-C4 alkyl radical, or a C1-C4 hydroxyalkyl radical.
- The acidifying agents can be, for example, mineral or organic acids, for instance hydrochloric acid, orthophosphoric acid, carboxylic acids, for instance tartaric acid, citric acid, lactic acid, or sulphonic acids.
- The dyeing process according to the invention can comprise in applying the ready-to-use composition, prepared extemporaneously at the time of use from compositions (A) and (B) described above, to wet or dry keratin fibres, and in leaving the composition to act for an exposure time, such as ranging from 1 to 60 minutes approximately, and further such as from 10 to 45 minutes approximately, in rinsing the fibres and then in optionally washing them with shampoo, rinsing them again and then drying them.
- Concrete examples illustrating the invention are given below without, however, being limiting in nature.
-
EXAMPLE 1 The following composition was prepared: Dye composition: (expressed in grams) Oleyl alcohol 6 Oleic acid 3 Oleyl alcohol polyglycerolated with 2 mol of glycerol 6 Oleyl alcohol polyglycerolated with 6 mol of glycerol 6 Diethylaminopropyl laurylaminosuccinamate, 3 sodium salt Oleylamine oxyethylenated with 2 mol of ethylene oxide 7 Alkyl ether carboxylic acid monoethanolamide comprising 10 2 mol of ethylene oxide Ammonium acetate 0.8 Hexylene glycol 20 Reducing agents, antioxidants 0.915 Sequestering agent 1 1,3-Dihydroxybenzene (resorcinol) 0.085 para-Phenylenediamine 0.27 5-N-(β-Hydroxyethyl)amino-2-methylphenol 0.16 2-Methyl-5-aminophenol 1.12 para-Aminophenol 0.2 6-Hydroxyindole 0.045 Fragrance qs Aqueous ammonia (containing 20.5% ammonia) 10.2 Demineralized water qs 100 - The dye composition was mixed, at the time of use, in a plastic bowl and for 2 minutes, with an oxidizing composition having a titre of 20 volumes of aqueous hydrogen peroxide solution, at a rate of 1 part of dye composition per 1 part of oxidizing composition.
- The mixture obtained was applied to locks of hair containing 90% grey hairs, and was left in place for 30 minutes.
- The locks were then rinsed with water, washed with shampoo, rinsed again with water and then dried and disentangled.
- A particularly strong dark red-blond shade was then obtained on hair sensitized with a permanent wave.
EXAMPLE 2 The following composition was prepared: Dye composition: (expressed in grams) Oleyl alcohol 4 Oleic acid 5 Oleyl alcohol polyglycerolated with 2 mol of glycerol 4 Lauryl alcohol polyglycerolated with 4 mol of glycerol 3.6 Rapeseed acid amide oxyethylenated with 4 mol of ethylene 7.99 oxide Oleylamine oxyethylenated with 2 mol of ethylene oxide 4 Decyl alcohol oxyethylenated with 3 mol of ethylene oxide 2.7 Ethyl alcohol 7.45 3-Methyl-1,5-pentanediol 15 Reducing agents, antioxidants 0.63 Sequestering agent 1 1,3-Dihydroxybenzene (resorcinol) 0.49 para-Phenylenediamine 0.50 1,3-Dihydroxy-2-methylbenzene 0.17 3-Methyl-1-phenyl-5-pyrazolone 0.15 2,4-Diamino-1-(β-hydroxyethyloxy)benzene 0.049 dihydrochloride Pure monoethanolamine 2 Fragrance qs Aqueous ammonia (containing 20.5% ammonia) 10 Demineralized water qs 100 - The dye composition was mixed, at the time of use, in a plastic bowl and for 2 minutes, with an oxidizing composition having a titre of 20 volumes of aqueous hydrogen peroxide solution, at a rate of 1 part of dye composition per 1 part of oxidizing composition.
- The mixture obtained was applied to locks of hair containing 90% grey hairs, and was left in place for 30 minutes.
- The locks were then rinsed with water, washed with shampoo, rinsed again with water and then dried and disentangled.
- A light chestnut shade was then obtained.
EXAMPLE 3 The following composition was prepared: Dye composition: (expressed in grams) Oleic acid 3 Oleyl alcohol polyglycerolated with 4 mol of glycerol 5.46 Lauryl alcohol polyglycerolated with 1.5 mol of glycerol 5 Alkyl(70/30 G13/C15 - 50% linear) ether carboxylic acid 5 monoethanolamide oxyethylenated with 2 mol of ethylene oxide Decyl alcohol oxyethylenated with 5 mol of ethylene oxide 5.4 Ethyl alcohol 6.52 2,2-Dimethyl-1,3-propanediol (neopentyl glycol) 12 Reducing agents, antioxidants 0.774 Sequestering agent 1.2 6-Hydroxybenzomorpholine 3.018 para-Phenylenediamine 2.39 1,3-Dihydroxy-2-methylbenzene 0.165 3-Methyl-1-phenyl-5-pyrazolone 0.15 2,4-Diamino-1-(β-hydroxyethyloxy)benzene 0.196 dihydrochloride Pure monoethanolamine 2 Fragrance qs Aqueous ammonia (containing 20.5% ammonia) 12 Demineralized water qs 100 - The dye composition was mixed, at the time of use, in a plastic bowl and for 2 minutes, with an oxidizing composition having a titre of 20 volumes of aqueous hydrogen peroxide solution, at a rate of 1 part of dye composition per 1 part of oxidizing composition.
- The mixture obtained was applied to locks of hair containing 90% grey hairs, and was left in place for 30 minutes.
- The locks were then rinsed with water, washed with shampoo, rinsed again with water and then dried and disentangled.
- A black shade was then obtained.
Claims (58)
1. A composition for the oxidation dyeing of a keratin fibre comprising, in a medium that is suitable for dyeing, at least one oxidation dye and at least one fatty alcohol chosen from mono- and polyglycerolated fatty alcohols and at least one polyol of formula (Ia) below:
in which:
R1, R2, R3, and R4 are chosen from, independently of each other, a hydrogen atom, C1-C6 alkyl radicals, C1-C6 monohydroxyalkyl radicals, and C1-C6 polyhydroxyalkyl radicals;
A is chosen from linear and branched alkylene radicals containing a number of carbon atoms “n” ranging from 1 to 18, and optionally interrupted with a number of oxygen atoms “z” ranging from 0 to 9; and
m is chosen from 0 and 1;
wherein the total number of carbon atoms in both radical A and all of the substituents R1, R2, R3, and R4 is greater than or equal to 2;
wherein the molecular weight of said at least one polyol ranges (i) from 95 to 500, if m is equal to 0, or if m and n are equal to 1, or if m is equal to 1 and A is a linear alkylene radical and n is equal to 2 and z is equal to 0; or (ii) from 140 to 500, if n is greater than or equal to 2, or if m is equal to 1 and n is equal to 2 and z does not equal 0; or (iii) from 90 to 500, if m is equal to 1 and n does not equal 1 or 2 and z is equal to 0, or if m is equal to 1 and A is a branched alkylene radical and n is equal to 2 and z is equal to 0; and
wherein the composition contains no glycerol and no cationic synthetic thickening polymer comprising at least one fatty chain.
2. The composition according to claim 1 , wherein the keratin fibre is human keratin fibre.
3. The composition according to claim 2 , wherein the human keratin fibre is hair.
5. The composition according to claim 4 , wherein R of formula (IIa) comprises from 10 to 30 carbon atoms.
6. The composition according to claim 4 , wherein n of formula (IIa) ranges from 1 to 10.
7. The composition according to claim 1 , wherein said at least one fatty alcohol represents from 0.01% to 30% by weight relative to the total weight of the composition.
8. The composition according to claim 7 , wherein said at least one fatty alcohol represents from 0.05% to 20% by weight relative to the total weight of the composition.
9. The composition according to claim 8 , wherein said at least one fatty alcohol represents from 0.1% to 15% by weight relative to the total weight of the composition.
10. The composition according to claim 1 , wherein said at least one polyol is a compound of formula (Ia) wherein m=1 and R1, R2, R3, and R4 are chosen from, independently of each other, a hydrogen atom and C1-C6 alkyl radicals.
11. The composition according to claim 10 , wherein said at least one polyol of formula (Ia) is chosen from polyethylene glycols.
12. The composition according to claim 10 , wherein said at least one polyol of formula (Ia) has a molecular weight of less than 200.
13. The composition according to claim 12 , wherein said at least one polyol of formula (Ia) is chosen from 3-methyl-1,3,5-pentanetriol, 1,2,4-butanetriol, 1,5-pentanediol, 2-methyl-1,3-propanediol, 3-methyl-1,5-pentanediol, neopentyl glycol, isoprene glycol, and hexylene glycol.
14. The composition according to claim 13 , wherein said at least one polyol of formula (Ia) is chosen from hexylene glycol, neopentyl glycol, and 3-methyl-1,5-pentanediol.
15. The composition according to claim 1 , wherein said at least one polyol of formula (Ia) represents from 0.1% to 40% relative to the total weight of the composition.
16. The composition according to claim 15 , wherein said at least one polyol of formula (Ia) represents from 0.5% to 30% relative to the total weight of the composition.
17. The composition according to claim 16 , wherein said at least one polyol of formula (Ia) represents from 1% to 20% relative to the total weight of the composition.
18. The composition according to claim 1 , wherein said at least one oxidation dye is chosen from oxidation bases and couplers.
19. The composition according to claim 18 , wherein the composition comprises at least one oxidation base.
20. The composition according to claim 19 , wherein said at least one oxidation base is chosen from ortho- and para-phenylenediamines, double bases, ortho- and para-aminophenols, heterocyclic bases, and the addition salts thereof with an acid.
21. The composition according to claim 20 , wherein the para-phenylenediamines are chosen from compounds of formula (II) below:
in which:
R1 is chosen from a hydrogen atom, C1-C4 alkyl radicals, C1-C4 monohydroxyalkyl radicals, C2-C4 polyhydroxyalkyl radicals, (C1-C4)alkoxy(C1-C4)alkyl radicals and C1-C4 alkyl radicals substituted with a group chosen from nitrogenous, phenyl, and 4′-aminophenyl groups;
R2 is chosen from a hydrogen atom, C1-C4 alkyl radicals, C1-C4 monohydroxyalkyl radicals, C2-C4 polyhydroxyalkyl radicals, (C1-C4)alkoxy(C1-C4)alkyl radicals and C1-C4 alkyl radicals substituted with a nitrogenous group;
R1 and R2 optionally form, with the nitrogen atom which bears them, a heterocycle chosen from 5- and 6-membered nitrogenous heterocycles optionally substituted with at least one substituent chosen from alkyl, hydroxyl, and ureido groups;
R3 is chosen from a hydrogen atom, a halogen atom, C1-C4 alkyl radicals, a sulpho radical, a carboxy radical, C1-C4 monohydroxyalkyl radicals, C1-C4 hydroxyalkoxy radicals, acetylamino(C1-C4)alkoxy radicals, mesylamino(C1-C4)alkoxy radicals, and carbamoylamino(C1-C4)alkoxy radicals; and
R4 is chosen from a hydrogen atom, a halogen atom, and C1-C4 alkyl radicals.
22. The composition according to claim 20 , wherein the double bases are chosen from compounds of structure (III) below:
in which:
Z1, and Z2, which may be identical or different, are chosen from a hydroxyl radical and a —NH2 radical which may be substituted with at least one substituent chosen from C1-C4 alkyl radicals and a linker arm Y;
the linker arm Y is chosen from linear and branched alkylene chains comprising from 1 to 14 carbon atoms, which may be interrupted by or terminated with at least one entity chosen from nitrogenous groups and hetero atoms, and optionally substituted with at least one radical chosen from hydroxyl and C1-C6 alkoxy radicals;
R5 and R6 are chosen from a hydrogen atom, a halogen atom, C1-C4 alkyl radicals, C1-C4 monohydroxyalkyl radicals, C2-C4 polyhydroxyalkyl radicals, C1-C4 aminoalkyl radicals, and a linker arm Y;
R7, R8, R9, R10, R11 and R12, which may be identical or different, are chosen from a hydrogen atom, a linker arm Y, and C1-C4 alkyl radicals;
wherein the compounds of formula (III) comprise only one linker arm Y per molecule.
23. The composition according to claim 21 , wherein the nitrogenous groups are chosen from amino, mono(C1-C4)alkylamino, di(C1-C4)alkylamino, tri(C1-C4)alkylamino, monohydroxy(C1-C4)alkylamino, imidazolinium, and ammonium radicals.
24. The composition according to claim 20 , wherein said para-aminophenols are chosen from the compounds of structure (IV) below:
in which:
R13 is chosen from a hydrogen atom, a halogen atom, and C1-C4 alkyl, C1-C4 monohydroxyalkyl, (C1-C4)alkoxy(C1-C4)alkyl, C1-C4 aminoalkyl, and hydroxy(C1-C4)alkylamino(C1-C4)alkyl radicals,
R14 is chosen from a hydrogen atom, a halogen atom, and C1-C4 alkyl, C1-C4 monohydroxyalkyl, C2-C4 polyhydroxyalkyl, C1-C4 aminoalkyl, C1-C4 cyanoalkyl, and (C1-C4)alkoxy(C1-C4)alkyl radicals.
25. The composition according to claim 20 , wherein the heterocyclic bases are chosen from pyridine derivatives, pyrimidine derivatives, pyrazolopyrimidines, and pyrazole derivatives.
26. The composition according to claim 18 , wherein the oxidation bases are present in concentrations ranging from 0.0005% to 12% by weight relative to the total weight of the composition.
27. The composition according to claim 27 , wherein the oxidation bases are present in concentrations ranging from 0.005% to 8% by weight relative to the total weight of the composition.
28. The composition according to claim 18 , wherein the couplers are chosen from meta-phenylenediamines, meta-aminophenols, meta-diphenols, heterocyclic couplers, and the addition salts thereof with an acid.
29. The composition according to claim 18 , wherein the couplers are present in concentrations ranging from 0.0001% to 10% by weight relative to the total weight of the composition.
30. The composition according to claim 29 , wherein the couplers are present in concentrations ranging from 0.005% to 5% by weight relative to the total weight of the composition.
31. The composition according to claim 20 , wherein the addition salts with an acid of the oxidation bases are chosen from hydrochlorides, hydrobromides, sulphates, tartrates, lactates, and acetates.
32. The composition according to claim 1 , wherein the composition further comprises at least one direct dye.
33. The composition according to claim 1 , wherein the composition further comprises at least one reducing agent in an amount ranging from 0.05% to 3% by weight relative to the total weight of the composition.
34. The composition according to claim 1 , wherein the composition comprises at least one additional fatty alcohol.
35. The composition according to claim 34 , wherein said at least one fatty alcohol represents from 0.001% to 20% by weight relative to the total weight of the composition.
36. A ready-to-use composition for the oxidation dyeing of a keratin fibre comprising composition (A) which comprises in a medium that is suitable for dyeing, at least one oxidation dye and at least one fatty alcohol chosen from mono- and polyglycerolated fatty alcohols and at least one polyol of formula (Ia) below:
in which:
R1, R2, R3, and R4 are chosen from, independently of each other, a hydrogen atom, C1-C6 alkyl radicals, C1-C6 monohydroxyalkyl radicals, and C1-C6 polyhydroxyalkyl radicals;
A is chosen from linear and branched alkylene radicals containing a number of carbon atoms “n” ranging from 1 to 18, and optionally interrupted with a number of oxygen atoms “z” ranging from 0 to 9; and
m is chosen from 0 and 1;
wherein the total number of carbon atoms in both radical A and all of the substituents R1, R2, R3, and R4 is greater than or equal to 2;
wherein the molecular weight of said at least one polyol ranges (i) from 95 to 500, if m is equal to 0, or if m and n are equal to 1, or if m is equal to 1 and A is a linear alkylene radical and n is equal to 2 and z is equal to 0; or (ii) from 140 to 500, if n is greater than or equal to 2, or if m is equal to 1 and n is equal to 2 and z does not equal 0; or (iii) from 90 to 500, if m is equal to 1 and n does not equal 1 or 2 and z is equal to 0, or if m is equal to 1 and A is a branched alkylene radical and n is equal to 2 and z is equal to 0; and
wherein the composition contains no glycerol and no cationic synthetic thickening polymer comprising at least one fatty chain and composition (B) which comprises at least one oxidizing agent.
37. The composition according to claim 36 , wherein said at least one oxidizing agent is chosen from hydrogen peroxide, urea peroxide, alkali metal bromates, ferricyanides, persalts, redox enzymes, and respective donor or co-factor of said redox enzymes where appropriate.
38. The composition according to claim 37 , wherein the at least one oxidizing agent is hydrogen peroxide.
39. The composition according to claim 38 , wherein the at least one oxidizing agent is chosen from aqueous hydrogen peroxide solutions with a titre ranging from 1 to 40 volumes.
40. The composition according to claim 1 , wherein the composition has a pH ranging from 4 to 12.
41. The composition according to claim 36 , wherein at least one of compositions (A) and (B) comprises at least one polymer chosen from cationic and amphoteric polymers.
44. The composition according to claim 41 , wherein the amphoteric polymers are chosen from copolymers comprising at least one acrylic acid residue and at least one dimethyidiallylammonium salt residue.
45. The composition according to claim 41 , wherein said at least one polymer represents from 0.01% to 10% by weight relative to the total weight of the composition.
46. The composition according to claim 45 , wherein said at least one polymer represents from 0.05% to 5% by weight relative to the total weight of the composition.
47. The composition according to claim 46 , wherein said at least one polymer represents from 0.1% to 3% by weight relative to the total weight of the composition.
48. The composition according to claim 36 , wherein at least one of compositions (A) and (B) further comprises at least one additional surfactant chosen from anionic, cationic, nonionic, and amphoteric surfactants.
49. The composition according to claim 48 , wherein said at least one additional surfactant represents from 0.01% to 40% of the total weight of the composition.
50. The composition according to claim 49 , wherein said at least one additional surfactant represents from 0.1% to 30% of the total weight of the composition.
51. The composition according to claim 36 , wherein at least one of compositions (A) and (B) further comprises at least one polymeric thickener chosen from cellulose derivatives, guar derivatives, gums of microbial origin, synthetic thickeners not comprising a fatty chain, and synthetic thickeners, comprising a fatty chain, of nonionic, anionic, or amphoteric nature.
52. The composition according to claim 51 , wherein said at least one polymeric thickener is present in a proportion of from 0.01% to 10% by weight relative to the total weight of the composition.
53. The composition according to claim 52 , wherein said at least one polymeric thickener is present in a proportion of from 0.1% to 5% by weight relative to the total weight of the composition.
54. A process for dyeing a keratin fibre comprising:
(i) applying to said fibre a dye composition (A) which comprises in a medium that is suitable for dyeing, at least one oxidation dye and at least one fatty alcohol chosen from mono- and polyglycerolated fatty alcohols and at least one polyol of formula (Ia) below:
in which:
R1, R2, R3, and R4 are chosen from, independently of each other, a hydrogen atom, C1-C6 alkyl radicals, C1-C6 monohydroxyalkyl radicals, and C1-C6 polyhydroxyalkyl radicals;
A is chosen from linear and branched alkylene radicals containing a number of carbon atoms “n” ranging from 1 to 18, and optionally interrupted with a number of oxygen atoms “z” ranging from 0 to 9; and
m is chosen from 0 and 1;
wherein the total number of carbon atoms in both radical A and all of the substituents R1, R2, R3, and R4 is greater than or equal to 2;
wherein the molecular weight of said at least one polyol ranges (i) from 95 to 500, if m is equal to 0, or if m and n are equal to 1, or if m is equal to 1 and A is a linear alkylene radical and n is equal to 2 and z is equal to 0; or (ii) from 140 to 500, if n is greater than or equal to 2, or if m is equal to 1 and n is equal to 2 and z does not equal 0; or (iii) from 90 to 500, if m is equal to 1 and n does not equal 1 or 2 and z is equal to 0, or if m is equal to 1 and A is a branched alkylene radical and n is equal to 2 and z is equal to 0; and
wherein the composition contains no glycerol and no cationic synthetic thickening polymer comprising at least one fatty chain;
(ii) developing colour in alkaline, neutral, or acidic medium with the aid of a composition (B) which comprises at least one oxidizing agent,
wherein composition (B) is added to composition (A) at the time of use, or is applied sequentially to said keratin fibre without intermediate rinsing.
55. A multi-compartment device or kit for the oxidation dyeing of a keratin fibre wherein said device or kit comprises at least two compartments wherein one compartment comprises composition (A) which comprises in a medium that is suitable for dyeing, at least one oxidation dye and at least one fatty alcohol chosen from mono- and polyglycerolated fatty alcohols and at least one polyol of formula (Ia) below:
in which:
R1, R2, R3, and R4 are chosen from, independently of each other, a hydrogen atom, C1-C6 alkyl radicals, C1-C6 monohydroxyalkyl radicals, and C1-C6 polyhydroxyalkyl radicals;
A is chosen from linear and branched alkylene radicals containing a number of carbon atoms “n” ranging from 1 to 18, and optionally interrupted with a number of oxygen atoms “z” ranging from 0 to 9; and
m is chosen from 0 and 1;
wherein the total number of carbon atoms in both radical A and all of the substituents R1, R2, R3, and R4 is greater than or equal to 2;
wherein the molecular weight of said at least one polyol ranges (i) from 95 to 500, if m is equal to 0, or if m and n are equal to 1, or if m is equal to 1 and A is a linear alkylene radical and n is equal to 2 and z is equal to 0; or (ii) from 140 to 500, if n is greater than or equal to 2, or if m is equal to 1 and n is equal to 2 and z does not equal 0; or (iii) from 90 to 500, if m is equal to 1 and n does not equal 1 or 2 and z is equal to 0, or if m is equal to 1 and A is a branched alkylene radical and n is equal to 2 and z is equal to 0; and
wherein the composition contains no glycerol and no cationic synthetic thickening polymer comprising at least one fatty chain, and wherein the other compartment comprises composition (B) which comprises at least one oxidizing agent.
56. The process according to claim 54 , wherein the keratin fibre is human hair.
57. The device or kit according to claim 55 , wherein the keratin fibre is human hair.
58. The composition according to claim 28 , wherein the addition salts with an acid of the couplers are chosen from hydrochlorides, hydrobromides, sulphates, tartrates, lactates, and acetates.
Priority Applications (1)
| Application Number | Priority Date | Filing Date | Title |
|---|---|---|---|
| US11/483,637 US7402180B2 (en) | 2001-07-27 | 2006-07-11 | Composition for the oxidation dyeing of keratin fibres, comprising at least one fatty alcohol chosen from mono- and polyglycerolated fatty alcohols and a particular polyol |
Applications Claiming Priority (2)
| Application Number | Priority Date | Filing Date | Title |
|---|---|---|---|
| FR0110116 | 2001-07-27 | ||
| FR0110116A FR2827761B1 (en) | 2001-07-27 | 2001-07-27 | COMPOSITION FOR THE OXIDATION STAIN OF KERATIN FIBERS COMPRISING A MONO- OR POLY-GLYCEROOLE FATTY ALCOHOL AND A PARTICULAR POLYOL |
Related Child Applications (1)
| Application Number | Title | Priority Date | Filing Date |
|---|---|---|---|
| US11/483,637 Continuation US7402180B2 (en) | 2001-07-27 | 2006-07-11 | Composition for the oxidation dyeing of keratin fibres, comprising at least one fatty alcohol chosen from mono- and polyglycerolated fatty alcohols and a particular polyol |
Publications (1)
| Publication Number | Publication Date |
|---|---|
| US20030074747A1 true US20030074747A1 (en) | 2003-04-24 |
Family
ID=8866023
Family Applications (2)
| Application Number | Title | Priority Date | Filing Date |
|---|---|---|---|
| US10/206,569 Abandoned US20030074747A1 (en) | 2001-07-27 | 2002-07-29 | Composition for the oxidation dyeing of keratin fibres, comprising at least one fatty alcohol chosen from mono- and polyglycerolated fatty alcohols and a particular polyol |
| US11/483,637 Expired - Lifetime US7402180B2 (en) | 2001-07-27 | 2006-07-11 | Composition for the oxidation dyeing of keratin fibres, comprising at least one fatty alcohol chosen from mono- and polyglycerolated fatty alcohols and a particular polyol |
Family Applications After (1)
| Application Number | Title | Priority Date | Filing Date |
|---|---|---|---|
| US11/483,637 Expired - Lifetime US7402180B2 (en) | 2001-07-27 | 2006-07-11 | Composition for the oxidation dyeing of keratin fibres, comprising at least one fatty alcohol chosen from mono- and polyglycerolated fatty alcohols and a particular polyol |
Country Status (20)
| Country | Link |
|---|---|
| US (2) | US20030074747A1 (en) |
| EP (1) | EP1279395B1 (en) |
| JP (2) | JP2003055177A (en) |
| KR (1) | KR100622333B1 (en) |
| CN (1) | CN1196465C (en) |
| AR (1) | AR034908A1 (en) |
| AT (1) | ATE385763T1 (en) |
| AU (1) | AU2002300197B2 (en) |
| BR (1) | BR0203005B1 (en) |
| CA (1) | CA2395683A1 (en) |
| DE (1) | DE60224959T2 (en) |
| DK (1) | DK1279395T3 (en) |
| ES (1) | ES2300424T3 (en) |
| FR (1) | FR2827761B1 (en) |
| HU (1) | HUP0202509A2 (en) |
| MX (1) | MXPA02007237A (en) |
| PL (1) | PL205723B1 (en) |
| PT (1) | PT1279395E (en) |
| RU (1) | RU2220704C1 (en) |
| ZA (1) | ZA200205953B (en) |
Cited By (31)
| Publication number | Priority date | Publication date | Assignee | Title |
|---|---|---|---|---|
| US20040258641A1 (en) * | 2003-04-01 | 2004-12-23 | Gregory Plos | Cosmetic composition for dyeing human keratin materials, comprising at least one fluorescent dye and at least one cationic polymer, and a dyeing process therefor |
| US20040256598A1 (en) * | 2003-04-01 | 2004-12-23 | Gregory Plos | Composition for dyeing human keratin materials, comprising at least one fluorescent dye and at least one compound comprising an acid functional group and processes therefor |
| US20050008594A1 (en) * | 2003-04-01 | 2005-01-13 | Gregory Plos | Composiiton for dyeing human keratin materials, comprising at least one fluorescent dye and at least one polyol, process therefor and use thereof |
| US20050005371A1 (en) * | 2003-04-01 | 2005-01-13 | Chrystel Pourille-Grethen | Method of dyeing human keratin materials with a lightening effect with compositions comprising at least one fluorescent dye and at least one amphoteric or nonionic surfactant, composition thereof, process thereof, and device therefor |
| US20050008593A1 (en) * | 2003-04-01 | 2005-01-13 | Gregory Plos | Dye composition comprising at least one fluorescent dye and a non-associative thickening polymer for human keratin materials, process therefor, and method thereof |
| US20050005368A1 (en) * | 2003-04-01 | 2005-01-13 | Gregory Plos | Process for dyeing, with a lightening effect, human keratin fibers that have been permanently reshaped, using at least one composition comprising at least one fluorescent dye |
| US20050028301A1 (en) * | 2001-09-28 | 2005-02-10 | Florent Pastore | Dyeing composition with a brightening effect for human kerationous fibres |
| US20050028302A1 (en) * | 2003-07-01 | 2005-02-10 | Marie-Pascale Audousset | Dye composition comprising at least one oxidation base, 2-chloro-6-methyl-3-aminophenol and 3-methyl-1-phenyl-5-pyrazolone |
| US20050031562A1 (en) * | 2003-04-01 | 2005-02-10 | Luc Gourlaouen | Composition for dyeing human keratin materials, comprising at least one fluorescent dye and at least one associative polymer, process therefor and use thereof |
| US20050076457A1 (en) * | 2003-04-01 | 2005-04-14 | Gregory Plos | Composition for dyeing a human keratin material, comprising at least one fluorescent dye and at least one insoluble conditioning agent, process thereof, use thereof, and devices thereof |
| US20050098763A1 (en) * | 2003-04-01 | 2005-05-12 | Gregory Plos | Composition for dyeing human keratin materials, comprising a fluorescent dye and a particular sequestering agent, process therefor and use thereof |
| US20050125912A1 (en) * | 2001-12-21 | 2005-06-16 | Patricia Desenne | Dyeing composition for keratinous fibers comprising an oxyethylene rapeseed fatty acid amide |
| US20050144739A1 (en) * | 2003-12-11 | 2005-07-07 | L'oreal | Treatment of dyed keratain fibres with a surfactant composition, and use for protecting the colour |
| WO2005074871A1 (en) * | 2004-02-05 | 2005-08-18 | Wella Aktiengesellschaft | Coloring agent having a pearly luster for keratin fibers |
| US20060010617A1 (en) * | 2002-12-24 | 2006-01-19 | Luc Gourlaouen | Method for dyeing or coloring human keratin materials with lightening effect using a composition comprising at least one fluorescent compound and at least one optical brightener |
| US7147673B2 (en) | 2003-04-01 | 2006-12-12 | L'oreal S.A. | Composition for dyeing human keratin materials, comprising at least one fluorescent dye and at least one insoluble polyorganosiloxane conditioning polymer, process therefor and use thereof |
| US20060277691A1 (en) * | 2005-05-31 | 2006-12-14 | Jean-Baptiste Saunier | Composition for dyeing keratin fibers, comprising a diamino-N,N-dihydropyrazolone compound, a coupler, and a polyol |
| US7150765B2 (en) | 2003-07-11 | 2006-12-19 | L'oreal S.A. | Fatty acid-free liquid dye composition comprising at least one oxidation base and 2-methyl-1, 3-propanediol, dyeing process, and device |
| US7303589B2 (en) | 2003-04-01 | 2007-12-04 | L'oreal S.A. | Process for dyeing human keratin fibers, having a lightening effect, comprising at least one fluorescent compound and compositions of the same |
| US20080104775A1 (en) * | 2002-12-06 | 2008-05-08 | L,Oreal S.A. | Oxidation dye composition for keratin fibers, comprising at least one oxidation dye, at least one associative polymer, at least one nonionic cellulose-based compound not comprising a C8-C30 fatty chain, and at least one cationic polymer with a charge density of greater than 1 MEQ/G and not comprising a C8-C30 fatty chain |
| US20090288674A1 (en) * | 2003-04-01 | 2009-11-26 | L'oreal S.A. | Cosmetic dye composition with a lightening effect for human keratin materials, comprising at least one fluorescent dye and at least one aminosilicone, and process of dyeing |
| US9192555B2 (en) | 2010-12-07 | 2015-11-24 | L'oreal | Oxidation dye composition comprising a polycondensate of ethylene oxide and of propylene oxide, and a non-oxyalkylenated glycerolated nonionic surfactant |
| US20160151264A1 (en) * | 2013-07-19 | 2016-06-02 | L'oreal | Dye composition comprising a particular amphoteric surfactant and an oxyethylenated amide surfactant or an oxyethylatenated fatty alcohol surfactant comprising less than 10 oe units and mixture thereof dye composition comprising a particular amphoteric surfactant and an oxyethylenated amide surfactant |
| US9662290B2 (en) | 2012-04-24 | 2017-05-30 | L'oreal | Dyeing process using a mixture comprising a thickening polymer, obtained from an aerosol device, and device therefor |
| US9789034B2 (en) | 2012-04-24 | 2017-10-17 | L'oreal | Dyeing process using a mixture obtained from an aerosol device comprising a liquid fatty, alcohol and surfactants |
| US9855198B2 (en) | 2012-04-24 | 2018-01-02 | L'oreal | Dyeing process using a mixture obtained from an aerosol device comprising a nonionic fatty amide, and device therefor |
| US9999583B2 (en) | 2013-07-19 | 2018-06-19 | L'oreal | Dye composition comprising a particular amphoteric surfactant and a sulfate or sulfonate surfactant |
| US10016344B2 (en) | 2012-04-24 | 2018-07-10 | L'oreal | Dyeing process using a mixture obtained from an aerosol device comprising a glycerolated surfactant, and device therefor |
| US10071038B2 (en) | 2013-07-19 | 2018-09-11 | L'oreal | Dye composition comprising a particular amphoteric surfactant and a particular thickening polymer |
| US10071036B2 (en) * | 2012-04-24 | 2018-09-11 | L'oreal | Dyeing process using a mixture comprising a branched C6-C12 polyol, obtained from an aerosol device, and device therefor |
| US20220265537A1 (en) * | 2019-06-28 | 2022-08-25 | L'oreal | Composition for dyeing keratin fibres and use thereof |
Families Citing this family (13)
| Publication number | Priority date | Publication date | Assignee | Title |
|---|---|---|---|---|
| FR2853236B1 (en) * | 2003-04-01 | 2007-10-12 | Oreal | COLORING COMPOSITION FOR HUMAN KERATINIC MATERIALS COMPRISING A FLUORESCENT COLORANT AND A POLYOL, METHOD AND USE |
| FR2857259B1 (en) * | 2003-07-11 | 2007-08-24 | Oreal | FATTY ACID-FREE LIQUID TINCTORIAL COMPOSITION COMPRISING 2-METHYL 1,3-PROPANEDIOL, DYEING METHOD AND DEVICE |
| FR2870723B1 (en) * | 2004-05-28 | 2006-07-28 | Oreal | COMPOSITION FOR THE TREATMENT OF KERATINIC MATERIALS COMPRISING A PARTICULAR POLYCARBOXYLIC COMPOUND AND A PARTICULAR POLYOL AND METHODS FOR CARRYING OUT SAID METHOD |
| FR2870730B1 (en) * | 2004-05-28 | 2006-07-14 | Oreal | COMPOSITION FOR TREATING KERATINOUS FIBERS COMPRISING A PARTICULAR POLYCARBOXYLIC COMPOUND AND A HETEROCYCLIC OXIDATION BASE AND / OR COUPLER, METHODS FOR CARRYING OUT SAID METHOD AND DEVICE |
| FR2870737B1 (en) * | 2004-05-28 | 2006-07-14 | Oreal | COMPOSITION FOR THE TREATMENT OF KERATINIC MATERIALS COMPRISING A PARTICULAR POLYCARBOXYLIC COMPOUND AND A THICKENING POLYMER AND METHODS FOR CARRYING OUT SAID METHOD |
| FR2879922B1 (en) * | 2004-12-23 | 2007-03-02 | Oreal | NOVEL METHOD FOR WASHING COLORED KERATINOUS FIBERS WITH A COMPOSITION COMPRISING A PARTICULAR NON-IONIC SURFACTANT AND USE FOR PROTECTING COLOR |
| FR2910282B1 (en) | 2006-12-21 | 2009-06-05 | Oreal | DIRECT DYE COMPOSITION COMPRISING A CATIONIC SURFACTANT, A BIOHETEROPOLYSACCHARIDE, AN AMPHOTERIC OR NON-IONIC SURFACTANT AND A DIRECT COLORANT |
| FR2910281B1 (en) * | 2006-12-21 | 2009-10-16 | Oreal | OXIDATION DYE COMPOSITION COMPRISING A CATIONIC SURFACTANT, A BIOHETEROOOLYSACCHARDIE, AN AMPHOTERIC OR NON-IONIC SURFACTANT AND A COLOR PRECURSOR |
| FR2920091A1 (en) * | 2007-08-24 | 2009-02-27 | Oreal | Composition for coloring keratin fibers, preferably human hair, comprises amino pyrazolopyridine oxidation bases, couplers and polyols comprising hydrocarbon chain carrying two hydroxyl functions, where the chain is free from ether function |
| JP5093803B2 (en) * | 2007-09-14 | 2012-12-12 | 株式会社マンダム | Hairdresser |
| JP2009096743A (en) * | 2007-10-15 | 2009-05-07 | Kao Corp | Hair dye composition |
| EP2202219A1 (en) | 2008-12-24 | 2010-06-30 | Kao Corporation, S.A. | Mixture of amides and cosmetic compositions comprising said mixture |
| FR2989579B1 (en) * | 2012-04-24 | 2014-05-16 | Oreal | COLORING PROCESS USING A MIXTURE COMPRISING A LIQUID FATTY ALCOHOL AND AN AMPHOTERIC OR ZWITERRONEIC SURFACTANT, OBTAINED FROM AEROSOL DEVICE |
Citations (57)
| Publication number | Priority date | Publication date | Assignee | Title |
|---|---|---|---|---|
| US2261002A (en) * | 1941-06-17 | 1941-10-28 | Du Pont | Organic nitrogen compounds |
| US2271378A (en) * | 1939-08-30 | 1942-01-27 | Du Pont | Pest control |
| US2273780A (en) * | 1939-12-30 | 1942-02-17 | Du Pont | Wax acryalte ester blends |
| US2375853A (en) * | 1942-10-07 | 1945-05-15 | Du Pont | Diamine derivatives |
| US2388614A (en) * | 1942-05-05 | 1945-11-06 | Du Pont | Disinfectant compositions |
| US2454547A (en) * | 1946-10-15 | 1948-11-23 | Rohm & Haas | Polymeric quaternary ammonium salts |
| US2528378A (en) * | 1947-09-20 | 1950-10-31 | John J Mccabe Jr | Metal salts of substituted quaternary hydroxy cycloimidinic acid metal alcoholates and process for preparation of same |
| US2781354A (en) * | 1956-03-26 | 1957-02-12 | John J Mccabe Jr | Imidazoline derivatives and process |
| US2961347A (en) * | 1957-11-13 | 1960-11-22 | Hercules Powder Co Ltd | Process for preventing shrinkage and felting of wool |
| US3206462A (en) * | 1962-10-31 | 1965-09-14 | Dow Chemical Co | Quaternary poly(oxyalkylene)alkylbis(diethylenetriamine) compounds |
| US3227615A (en) * | 1962-05-29 | 1966-01-04 | Hercules Powder Co Ltd | Process and composition for the permanent waving of hair |
| US3632559A (en) * | 1967-09-28 | 1972-01-04 | Sandoz Ltd | Cationically active water soluble polyamides |
| US3836537A (en) * | 1970-10-07 | 1974-09-17 | Minnesota Mining & Mfg | Zwitterionic polymer hairsetting compositions and method of using same |
| US3874870A (en) * | 1973-12-18 | 1975-04-01 | Mill Master Onyx Corp | Microbiocidal polymeric quarternary ammonium compounds |
| US3915921A (en) * | 1974-07-02 | 1975-10-28 | Goodrich Co B F | Unsaturated carboxylic acid-long chain alkyl ester copolymers and tri-polymers water thickening agents and emulsifiers |
| US3917817A (en) * | 1971-11-29 | 1975-11-04 | Oreal | Hair treating cosmetic compositions containing piperazine based cationic polymer |
| US3929990A (en) * | 1973-12-18 | 1975-12-30 | Millmaster Onyx Corp | Microbiocidal polymeric quaternary ammonium compounds |
| US3966904A (en) * | 1974-10-03 | 1976-06-29 | Millmaster Onyx Corporation | Quaternary ammonium co-polymers for controlling the proliferation of bacteria |
| US3986825A (en) * | 1972-06-29 | 1976-10-19 | The Gillette Company | Hair coloring composition containing water-soluble amino and quaternary ammonium polymers |
| US4001432A (en) * | 1974-10-29 | 1977-01-04 | Millmaster Onyx Corporation | Method of inhibiting the growth of bacteria by the application thereto of capped polymers |
| US4003699A (en) * | 1974-11-22 | 1977-01-18 | Henkel & Cie G.M.B.H. | Oxidation hair dyes based upon tetraaminopyrimidine developers |
| US4005193A (en) * | 1974-08-07 | 1977-01-25 | Millmaster Onyx Corporation | Microbiocidal polymeric quaternary ammonium compounds |
| US4013787A (en) * | 1971-11-29 | 1977-03-22 | Societe Anonyme Dite: L'oreal | Piperazine based polymer and hair treating composition containing the same |
| US4025653A (en) * | 1975-04-07 | 1977-05-24 | Millmaster Onyx Corporation | Microbiocidal polymeric quaternary ammonium compounds |
| US4025617A (en) * | 1974-10-03 | 1977-05-24 | Millmaster Onyx Corporation | Anti-microbial quaternary ammonium co-polymers |
| US4025627A (en) * | 1973-12-18 | 1977-05-24 | Millmaster Onyx Corporation | Microbiocidal polymeric quaternary ammonium compounds |
| US4027020A (en) * | 1974-10-29 | 1977-05-31 | Millmaster Onyx Corporation | Randomly terminated capped polymers |
| US4026945A (en) * | 1974-10-03 | 1977-05-31 | Millmaster Onyx Corporation | Anti-microbial quaternary ammonium co-polymers |
| US4031307A (en) * | 1976-05-03 | 1977-06-21 | Celanese Corporation | Cationic polygalactomannan compositions |
| US4131576A (en) * | 1977-12-15 | 1978-12-26 | National Starch And Chemical Corporation | Process for the preparation of graft copolymers of a water soluble monomer and polysaccharide employing a two-phase reaction system |
| US4157388A (en) * | 1977-06-23 | 1979-06-05 | The Miranol Chemical Company, Inc. | Hair and fabric conditioning compositions containing polymeric ionenes |
| US4172887A (en) * | 1973-11-30 | 1979-10-30 | L'oreal | Hair conditioning compositions containing crosslinked polyaminopolyamides |
| US4349532A (en) * | 1977-09-20 | 1982-09-14 | Guy Vanlerberghe | Cosmetic compositions based on poly-(quaternary ammonium) polymers |
| US4445521A (en) * | 1977-03-15 | 1984-05-01 | L'oreal | Composition and process for the treatment of keratin materials with polymers |
| US4509949A (en) * | 1983-06-13 | 1985-04-09 | The B. F. Goodrich Company | Water thickening agents consisting of copolymers of crosslinked acrylic acids and esters |
| US4591610A (en) * | 1983-03-23 | 1986-05-27 | L'oreal | Thickened or gelled composition for conditioning hair |
| US4608250A (en) * | 1975-07-04 | 1986-08-26 | Societe Anonyme Dite: L'oreal | Quaternized polymers; process for preparing the same; and cosmetic compositions containing the same |
| US4702906A (en) * | 1979-12-21 | 1987-10-27 | Societe Anonyme Dite: L'oreal | Cosmetic agents based on polycationic polymers, and their use in cosmetic compositions |
| US4719282A (en) * | 1986-04-22 | 1988-01-12 | Miranol Inc. | Polycationic block copolymer |
| US4761273A (en) * | 1981-05-08 | 1988-08-02 | L'oreal | Composition in the form of an aerosol foam, based on a cationic polymer and an anionic polymer |
| US4839166A (en) * | 1986-05-16 | 1989-06-13 | L'oreal | Cosmestic compositions containing a cationic polymer and an anionic polymer as thickening agent |
| US5061289A (en) * | 1988-12-24 | 1991-10-29 | Wella Aktiengesellschaft | Oxidation hair dye composition containinng diaminopyrazol derivatives and new diaminopyrazol derivatives |
| US5139037A (en) * | 1982-01-15 | 1992-08-18 | L'oreal | Cosmetic composition for treating keratin fibres, and process for treating the latter |
| US5196189A (en) * | 1974-05-16 | 1993-03-23 | Societe Anonyme Dite: L'oreal | Quaternized polymer for use as a cosmetic agent in cosmetic compositions for the hair and skin |
| US5376146A (en) * | 1993-08-26 | 1994-12-27 | Bristol-Myers Squibb Company | Two-part aqueous composition for coloring hair, which forms a gel on mixing of the two parts |
| US5380340A (en) * | 1991-10-14 | 1995-01-10 | Wella Aktiengesellschaft | Hair dye containing aminopyrazole derivatives as well as pyrazole derivatives |
| US5518506A (en) * | 1992-04-09 | 1996-05-21 | L'oreal | Process for dyeing keratinous fibres with an alkaline composition containing para-aminophenols substituted in position 2 in combination with 6- or 7-hydroxindole |
| US5710311A (en) * | 1992-03-25 | 1998-01-20 | L'oreal | 2-sulphured metaphenylenediamines for dyeing hair |
| US5735908A (en) * | 1994-03-21 | 1998-04-07 | L'oreal | Compositions and processes for the oxidative dyeing of keratin fibres with para-phenylenediamine derivatives and a cationic substantive polymer |
| US5766576A (en) * | 1995-11-25 | 1998-06-16 | Wella Aktiengesellschaft | Oxidation hair dye compositions containing 3,4,5-triaminopyrazole derivatives and 3,4,5-triaminopyrazole derivatives |
| US5958392A (en) * | 1979-11-28 | 1999-09-28 | L'oreal | Composition for the treatment of keratin fibers, based on amphoteric polymers and cationic polymers |
| US6099592A (en) * | 1995-05-05 | 2000-08-08 | L'oreal | Composition for dyeing keratin fibers which contain at least one diaminopyrazole, dyeing process, novel diaminopyrazoles and process for their preparation |
| US6287578B1 (en) * | 1998-05-20 | 2001-09-11 | Th. Goldschmidt Ag | Condensation products containing polyether-modified monoesters and/or -amides of α, β-unsaturated dicarboxylic acids, their preparation and use |
| US6313260B2 (en) * | 1998-05-20 | 2001-11-06 | Goldschmidt Ag | Copolymeric, hydrophobically modified polyaspartic esters having increased molecular mass and their use |
| US20020004955A1 (en) * | 1998-05-28 | 2002-01-17 | L' Oreal S.A. | Dye composition for keratin fibers, with a cationic direct dye and a polyol or polyol ether |
| US20020023514A1 (en) * | 2000-08-24 | 2002-02-28 | Tsudakoma Kogyo Kabushiki Kaisha | Dividing head using multiple lead type worm |
| US20020046431A1 (en) * | 2000-08-11 | 2002-04-25 | Florence Laurent | Composition for the oxidation dyeing of keratinous fibers comprising at least one oxidation dye and at least one cationic amphiphilic polymer, and dyeing methods |
Family Cites Families (41)
| Publication number | Priority date | Publication date | Assignee | Title |
|---|---|---|---|---|
| BE626050A (en) | 1962-03-30 | |||
| FR1400366A (en) | 1963-05-15 | 1965-05-28 | Oreal | New compounds which can be used in particular for the treatment of hair |
| FR1492597A (en) | 1965-09-14 | 1967-08-18 | Union Carbide Corp | New cellulose ethers containing quaternary nitrogen |
| GB1153198A (en) | 1966-06-17 | 1969-05-29 | British Hydrocarbon Chem Ltd | Method of Analysis and Apparatus Suitable For Use Therein |
| SE375780B (en) | 1970-01-30 | 1975-04-28 | Gaf Corp | |
| IT1035032B (en) | 1970-02-25 | 1979-10-20 | Gillette Co | COSMETIC COMPOSITION AND PACKAGING THAT CONTAINS IT |
| FR2280361A2 (en) | 1974-08-02 | 1976-02-27 | Oreal | HAIR TREATMENT AND CONDITIONING COMPOSITIONS |
| GB1394353A (en) | 1972-06-29 | 1975-05-14 | Gillette Co | Hair treating composition |
| US3874537A (en) | 1973-10-23 | 1975-04-01 | Jean Kou | Road vehicle of the platform type |
| DE2359399C3 (en) | 1973-11-29 | 1979-01-25 | Henkel Kgaa, 4000 Duesseldorf | Hair dye |
| US4277581A (en) * | 1973-11-30 | 1981-07-07 | L'oreal | Polyamino-polyamide crosslinked with crosslinking agent |
| LU68901A1 (en) | 1973-11-30 | 1975-08-20 | ||
| FR2368508A2 (en) | 1977-03-02 | 1978-05-19 | Oreal | HAIR CONDITIONING COMPOSITION |
| DK659674A (en) | 1974-01-25 | 1975-09-29 | Calgon Corp | |
| BE829081A (en) | 1974-05-16 | 1975-11-14 | NEW COSMETIC AGENTS BASED ON QUATERNIZED POLYMERS | |
| CH599389B5 (en) | 1975-12-23 | 1978-05-31 | Ciba Geigy Ag | |
| US4223009A (en) * | 1977-06-10 | 1980-09-16 | Gaf Corporation | Hair preparation containing vinyl pyrrolidone copolymer |
| CA1091160A (en) | 1977-06-10 | 1980-12-09 | Paritosh M. Chakrabarti | Hair preparation containing vinyl pyrrolidone copolymer |
| DE3273489D1 (en) | 1981-11-30 | 1986-10-30 | Ciba Geigy Ag | Mixtures of quaternary polymeric acrylic ammonium salts, quaternary mono- or oligomeric ammonium salts and surfactants, their preparation and their use in cosmetic compositions |
| LU83876A1 (en) | 1982-01-15 | 1983-09-02 | Oreal | COSMETIC COMPOSITION FOR TREATMENT OF KERATINIC FIBERS AND METHOD FOR TREATING THE SAME |
| EP0122324B2 (en) | 1983-04-15 | 1993-02-03 | Miranol Inc. | Polyquaternary ammonium compounds and cosmetic compositions containing them |
| US4514552A (en) | 1984-08-23 | 1985-04-30 | Desoto, Inc. | Alkali soluble latex thickeners |
| AU612965B2 (en) | 1985-08-12 | 1991-07-25 | Ciba Specialty Chemicals Water Treatments Limited | Polymeric thickeners and their production |
| FR2586913B1 (en) * | 1985-09-10 | 1990-08-03 | Oreal | PROCESS FOR FORMING IN SITU A COMPOSITION CONSISTING OF TWO SEPARATELY PACKED PARTS AND DISPENSING ASSEMBLY FOR THE IMPLEMENTATION OF THIS PROCESS |
| DE3622784A1 (en) * | 1986-07-07 | 1988-01-21 | Wella Ag | NEW 5-ALKOXY-2,4-DIAMINO-ALKYLBENZOLES AND HAIR-COLORING AGENTS WITH 5-ALKOXY-2,4-DIAMINO-ALKYL-BENZOLES |
| MY105119A (en) | 1988-04-12 | 1994-08-30 | Kao Corp | Low irritation detergent composition. |
| KR100276113B1 (en) * | 1992-05-15 | 2000-12-15 | 죤엠.산드레 | Accelerated supercritical fluid extraction process |
| DE4216381A1 (en) * | 1992-05-18 | 1993-11-25 | Wella Ag | Oxidative hair dye on the basis of a creamy carrier and method for dyeing hair |
| DE4234887A1 (en) | 1992-10-16 | 1994-04-21 | Wella Ag | Oxidation hair dye containing 4,5-diaminopyrazole derivatives as well as new 4,5-diaminopyrazole derivatives and process for their preparation |
| DE4234885A1 (en) | 1992-10-16 | 1994-04-21 | Wella Ag | Process for the preparation of 4,5-diaminopyrazole derivatives, their use for dyeing hair and new pyrazole derivatives |
| DE4440957A1 (en) | 1994-11-17 | 1996-05-23 | Henkel Kgaa | Oxidation dye |
| EP0767191B1 (en) | 1995-10-05 | 2003-03-12 | Mitsui Chemicals, Inc. | Polymer, preparation process thereof, hairtreating compositions and cosmetic compositions |
| US5879670A (en) | 1997-03-31 | 1999-03-09 | Calgon Corporation | Ampholyte polymers for use in personal care products |
| EP0884344A3 (en) | 1997-06-11 | 1999-11-17 | Th. Goldschmidt AG | Mild surfactant compositions with copolymer polyaspartic acid derivatives for cosmetics or cleaning |
| FR2769217B1 (en) * | 1997-10-03 | 2000-03-17 | Oreal | OXIDIZING COMPOSITION AND USES FOR DYING, FOR PERMANENT DEFORMATION OR FOR DECOLORATION OF KERATINIC FIBERS |
| DE19755491C1 (en) * | 1997-12-13 | 1999-05-12 | Henkel Kgaa | Preparation of thickened hair dye compositions |
| PL195678B1 (en) * | 1998-03-06 | 2007-10-31 | Oreal | Method of and cationic amphophilic polymer containing compositions for oxidisingly dyeing creatine fibre |
| DE19822599C2 (en) | 1998-05-20 | 2003-02-06 | Goldschmidt Ag Th | Copolymers hydrophobically modified polyaspartic esters and their use |
| FR2803195B1 (en) * | 1999-12-30 | 2002-03-15 | Oreal | COMPOSITION FOR OXIDATION DYEING OF KERATINIC FIBERS COMPRISING A THICKENING POLYMER COMPRISING AT LEAST ONE FATTY CHAIN AND A SINGLE- OR POLY-GLYCEROLE FATTY ALCOHOL |
| FR2803197B1 (en) * | 1999-12-30 | 2002-03-15 | Oreal | COMPOSITION FOR OXIDATION DYEING OF KERATINIC FIBERS COMPRISING A THICKENING POLYMER COMPRISING AT LEAST ONE FATTY CHAIN AND A FATTY ALCOHOL HAVING MORE THAN TWENTY CARBON ATOMS |
| DE10015062B4 (en) * | 2000-03-25 | 2010-05-12 | Braun Gmbh | Brush head and method of making such a brush head |
-
2001
- 2001-07-27 FR FR0110116A patent/FR2827761B1/en not_active Expired - Lifetime
-
2002
- 2002-07-12 DK DK02291770T patent/DK1279395T3/en active
- 2002-07-12 EP EP02291770A patent/EP1279395B1/en not_active Expired - Lifetime
- 2002-07-12 ES ES02291770T patent/ES2300424T3/en not_active Expired - Lifetime
- 2002-07-12 DE DE60224959T patent/DE60224959T2/en not_active Expired - Lifetime
- 2002-07-12 AT AT02291770T patent/ATE385763T1/en active
- 2002-07-12 PT PT02291770T patent/PT1279395E/en unknown
- 2002-07-18 AU AU2002300197A patent/AU2002300197B2/en not_active Ceased
- 2002-07-23 BR BRPI0203005-5B1A patent/BR0203005B1/en not_active IP Right Cessation
- 2002-07-25 ZA ZA200205953A patent/ZA200205953B/en unknown
- 2002-07-25 MX MXPA02007237A patent/MXPA02007237A/en active IP Right Grant
- 2002-07-26 CN CNB021315191A patent/CN1196465C/en not_active Expired - Lifetime
- 2002-07-26 HU HU0202509A patent/HUP0202509A2/en unknown
- 2002-07-26 AR ARP020102826A patent/AR034908A1/en not_active Application Discontinuation
- 2002-07-26 RU RU2002120315/15A patent/RU2220704C1/en not_active IP Right Cessation
- 2002-07-26 PL PL355220A patent/PL205723B1/en unknown
- 2002-07-26 KR KR1020020044310A patent/KR100622333B1/en not_active Expired - Fee Related
- 2002-07-26 CA CA002395683A patent/CA2395683A1/en not_active Abandoned
- 2002-07-29 US US10/206,569 patent/US20030074747A1/en not_active Abandoned
- 2002-07-29 JP JP2002220498A patent/JP2003055177A/en not_active Withdrawn
-
2005
- 2005-12-21 JP JP2005368691A patent/JP4417326B2/en not_active Expired - Lifetime
-
2006
- 2006-07-11 US US11/483,637 patent/US7402180B2/en not_active Expired - Lifetime
Patent Citations (57)
| Publication number | Priority date | Publication date | Assignee | Title |
|---|---|---|---|---|
| US2271378A (en) * | 1939-08-30 | 1942-01-27 | Du Pont | Pest control |
| US2273780A (en) * | 1939-12-30 | 1942-02-17 | Du Pont | Wax acryalte ester blends |
| US2261002A (en) * | 1941-06-17 | 1941-10-28 | Du Pont | Organic nitrogen compounds |
| US2388614A (en) * | 1942-05-05 | 1945-11-06 | Du Pont | Disinfectant compositions |
| US2375853A (en) * | 1942-10-07 | 1945-05-15 | Du Pont | Diamine derivatives |
| US2454547A (en) * | 1946-10-15 | 1948-11-23 | Rohm & Haas | Polymeric quaternary ammonium salts |
| US2528378A (en) * | 1947-09-20 | 1950-10-31 | John J Mccabe Jr | Metal salts of substituted quaternary hydroxy cycloimidinic acid metal alcoholates and process for preparation of same |
| US2781354A (en) * | 1956-03-26 | 1957-02-12 | John J Mccabe Jr | Imidazoline derivatives and process |
| US2961347A (en) * | 1957-11-13 | 1960-11-22 | Hercules Powder Co Ltd | Process for preventing shrinkage and felting of wool |
| US3227615A (en) * | 1962-05-29 | 1966-01-04 | Hercules Powder Co Ltd | Process and composition for the permanent waving of hair |
| US3206462A (en) * | 1962-10-31 | 1965-09-14 | Dow Chemical Co | Quaternary poly(oxyalkylene)alkylbis(diethylenetriamine) compounds |
| US3632559A (en) * | 1967-09-28 | 1972-01-04 | Sandoz Ltd | Cationically active water soluble polyamides |
| US3836537A (en) * | 1970-10-07 | 1974-09-17 | Minnesota Mining & Mfg | Zwitterionic polymer hairsetting compositions and method of using same |
| US4013787A (en) * | 1971-11-29 | 1977-03-22 | Societe Anonyme Dite: L'oreal | Piperazine based polymer and hair treating composition containing the same |
| US3917817A (en) * | 1971-11-29 | 1975-11-04 | Oreal | Hair treating cosmetic compositions containing piperazine based cationic polymer |
| US3986825A (en) * | 1972-06-29 | 1976-10-19 | The Gillette Company | Hair coloring composition containing water-soluble amino and quaternary ammonium polymers |
| US4172887A (en) * | 1973-11-30 | 1979-10-30 | L'oreal | Hair conditioning compositions containing crosslinked polyaminopolyamides |
| US3874870A (en) * | 1973-12-18 | 1975-04-01 | Mill Master Onyx Corp | Microbiocidal polymeric quarternary ammonium compounds |
| US3929990A (en) * | 1973-12-18 | 1975-12-30 | Millmaster Onyx Corp | Microbiocidal polymeric quaternary ammonium compounds |
| US4025627A (en) * | 1973-12-18 | 1977-05-24 | Millmaster Onyx Corporation | Microbiocidal polymeric quaternary ammonium compounds |
| US5196189A (en) * | 1974-05-16 | 1993-03-23 | Societe Anonyme Dite: L'oreal | Quaternized polymer for use as a cosmetic agent in cosmetic compositions for the hair and skin |
| US3915921A (en) * | 1974-07-02 | 1975-10-28 | Goodrich Co B F | Unsaturated carboxylic acid-long chain alkyl ester copolymers and tri-polymers water thickening agents and emulsifiers |
| US4005193A (en) * | 1974-08-07 | 1977-01-25 | Millmaster Onyx Corporation | Microbiocidal polymeric quaternary ammonium compounds |
| US4025617A (en) * | 1974-10-03 | 1977-05-24 | Millmaster Onyx Corporation | Anti-microbial quaternary ammonium co-polymers |
| US4026945A (en) * | 1974-10-03 | 1977-05-31 | Millmaster Onyx Corporation | Anti-microbial quaternary ammonium co-polymers |
| US3966904A (en) * | 1974-10-03 | 1976-06-29 | Millmaster Onyx Corporation | Quaternary ammonium co-polymers for controlling the proliferation of bacteria |
| US4027020A (en) * | 1974-10-29 | 1977-05-31 | Millmaster Onyx Corporation | Randomly terminated capped polymers |
| US4001432A (en) * | 1974-10-29 | 1977-01-04 | Millmaster Onyx Corporation | Method of inhibiting the growth of bacteria by the application thereto of capped polymers |
| US4003699A (en) * | 1974-11-22 | 1977-01-18 | Henkel & Cie G.M.B.H. | Oxidation hair dyes based upon tetraaminopyrimidine developers |
| US4025653A (en) * | 1975-04-07 | 1977-05-24 | Millmaster Onyx Corporation | Microbiocidal polymeric quaternary ammonium compounds |
| US4608250A (en) * | 1975-07-04 | 1986-08-26 | Societe Anonyme Dite: L'oreal | Quaternized polymers; process for preparing the same; and cosmetic compositions containing the same |
| US4031307A (en) * | 1976-05-03 | 1977-06-21 | Celanese Corporation | Cationic polygalactomannan compositions |
| US4445521A (en) * | 1977-03-15 | 1984-05-01 | L'oreal | Composition and process for the treatment of keratin materials with polymers |
| US4157388A (en) * | 1977-06-23 | 1979-06-05 | The Miranol Chemical Company, Inc. | Hair and fabric conditioning compositions containing polymeric ionenes |
| US4349532A (en) * | 1977-09-20 | 1982-09-14 | Guy Vanlerberghe | Cosmetic compositions based on poly-(quaternary ammonium) polymers |
| US4131576A (en) * | 1977-12-15 | 1978-12-26 | National Starch And Chemical Corporation | Process for the preparation of graft copolymers of a water soluble monomer and polysaccharide employing a two-phase reaction system |
| US5958392A (en) * | 1979-11-28 | 1999-09-28 | L'oreal | Composition for the treatment of keratin fibers, based on amphoteric polymers and cationic polymers |
| US4702906A (en) * | 1979-12-21 | 1987-10-27 | Societe Anonyme Dite: L'oreal | Cosmetic agents based on polycationic polymers, and their use in cosmetic compositions |
| US4761273A (en) * | 1981-05-08 | 1988-08-02 | L'oreal | Composition in the form of an aerosol foam, based on a cationic polymer and an anionic polymer |
| US5139037A (en) * | 1982-01-15 | 1992-08-18 | L'oreal | Cosmetic composition for treating keratin fibres, and process for treating the latter |
| US4591610A (en) * | 1983-03-23 | 1986-05-27 | L'oreal | Thickened or gelled composition for conditioning hair |
| US4509949A (en) * | 1983-06-13 | 1985-04-09 | The B. F. Goodrich Company | Water thickening agents consisting of copolymers of crosslinked acrylic acids and esters |
| US4719282A (en) * | 1986-04-22 | 1988-01-12 | Miranol Inc. | Polycationic block copolymer |
| US4839166A (en) * | 1986-05-16 | 1989-06-13 | L'oreal | Cosmestic compositions containing a cationic polymer and an anionic polymer as thickening agent |
| US5061289A (en) * | 1988-12-24 | 1991-10-29 | Wella Aktiengesellschaft | Oxidation hair dye composition containinng diaminopyrazol derivatives and new diaminopyrazol derivatives |
| US5380340A (en) * | 1991-10-14 | 1995-01-10 | Wella Aktiengesellschaft | Hair dye containing aminopyrazole derivatives as well as pyrazole derivatives |
| US5710311A (en) * | 1992-03-25 | 1998-01-20 | L'oreal | 2-sulphured metaphenylenediamines for dyeing hair |
| US5518506A (en) * | 1992-04-09 | 1996-05-21 | L'oreal | Process for dyeing keratinous fibres with an alkaline composition containing para-aminophenols substituted in position 2 in combination with 6- or 7-hydroxindole |
| US5376146A (en) * | 1993-08-26 | 1994-12-27 | Bristol-Myers Squibb Company | Two-part aqueous composition for coloring hair, which forms a gel on mixing of the two parts |
| US5735908A (en) * | 1994-03-21 | 1998-04-07 | L'oreal | Compositions and processes for the oxidative dyeing of keratin fibres with para-phenylenediamine derivatives and a cationic substantive polymer |
| US6099592A (en) * | 1995-05-05 | 2000-08-08 | L'oreal | Composition for dyeing keratin fibers which contain at least one diaminopyrazole, dyeing process, novel diaminopyrazoles and process for their preparation |
| US5766576A (en) * | 1995-11-25 | 1998-06-16 | Wella Aktiengesellschaft | Oxidation hair dye compositions containing 3,4,5-triaminopyrazole derivatives and 3,4,5-triaminopyrazole derivatives |
| US6287578B1 (en) * | 1998-05-20 | 2001-09-11 | Th. Goldschmidt Ag | Condensation products containing polyether-modified monoesters and/or -amides of α, β-unsaturated dicarboxylic acids, their preparation and use |
| US6313260B2 (en) * | 1998-05-20 | 2001-11-06 | Goldschmidt Ag | Copolymeric, hydrophobically modified polyaspartic esters having increased molecular mass and their use |
| US20020004955A1 (en) * | 1998-05-28 | 2002-01-17 | L' Oreal S.A. | Dye composition for keratin fibers, with a cationic direct dye and a polyol or polyol ether |
| US20020046431A1 (en) * | 2000-08-11 | 2002-04-25 | Florence Laurent | Composition for the oxidation dyeing of keratinous fibers comprising at least one oxidation dye and at least one cationic amphiphilic polymer, and dyeing methods |
| US20020023514A1 (en) * | 2000-08-24 | 2002-02-28 | Tsudakoma Kogyo Kabushiki Kaisha | Dividing head using multiple lead type worm |
Cited By (51)
| Publication number | Priority date | Publication date | Assignee | Title |
|---|---|---|---|---|
| US7217296B2 (en) | 2001-09-28 | 2007-05-15 | L'oreal S.A. | Dyeing composition with a lightening effect for human keratin materials comprising at least one fluorescent dye |
| US20050028301A1 (en) * | 2001-09-28 | 2005-02-10 | Florent Pastore | Dyeing composition with a brightening effect for human kerationous fibres |
| US20050125912A1 (en) * | 2001-12-21 | 2005-06-16 | Patricia Desenne | Dyeing composition for keratinous fibers comprising an oxyethylene rapeseed fatty acid amide |
| US7153331B2 (en) * | 2001-12-21 | 2006-12-26 | L'oreal S.A. | Dyeing composition for keratinous fibers comprising an oxyethylene rapeseed fatty acid amide |
| US7771491B2 (en) * | 2002-12-06 | 2010-08-10 | L'oreal S.A. | Oxidation dye composition for keratin fibers, comprising at least one oxidation dye, at least one associative polymer, at least one nonionic cellulose-based compound not comprising a C8-C30 fatty chain, and at least one cationic polymer with a charge density of greater than 1 meq/g and not comprising a C8-C30 fatty chain |
| US20080104775A1 (en) * | 2002-12-06 | 2008-05-08 | L,Oreal S.A. | Oxidation dye composition for keratin fibers, comprising at least one oxidation dye, at least one associative polymer, at least one nonionic cellulose-based compound not comprising a C8-C30 fatty chain, and at least one cationic polymer with a charge density of greater than 1 MEQ/G and not comprising a C8-C30 fatty chain |
| US7261744B2 (en) | 2002-12-24 | 2007-08-28 | L'oreal S.A. | Method for dyeing or coloring human keratin materials with lightening effect using a composition comprising at least one fluorescent compound and at least one optical brightener |
| US20060010617A1 (en) * | 2002-12-24 | 2006-01-19 | Luc Gourlaouen | Method for dyeing or coloring human keratin materials with lightening effect using a composition comprising at least one fluorescent compound and at least one optical brightener |
| US7736631B2 (en) | 2003-04-01 | 2010-06-15 | L'oreal S.A. | Cosmetic dye composition with a lightening effect for human keratin materials, comprising at least one fluorescent dye and at least one aminosilicone, and process of dyeing |
| US7250064B2 (en) | 2003-04-01 | 2007-07-31 | L'oreal S.A. | Dye composition comprising at least one fluorescent dye and a non-associative thickening polymer for human keratin materials, process therefor, and method thereof |
| US20050098763A1 (en) * | 2003-04-01 | 2005-05-12 | Gregory Plos | Composition for dyeing human keratin materials, comprising a fluorescent dye and a particular sequestering agent, process therefor and use thereof |
| US20050031562A1 (en) * | 2003-04-01 | 2005-02-10 | Luc Gourlaouen | Composition for dyeing human keratin materials, comprising at least one fluorescent dye and at least one associative polymer, process therefor and use thereof |
| US20040256598A1 (en) * | 2003-04-01 | 2004-12-23 | Gregory Plos | Composition for dyeing human keratin materials, comprising at least one fluorescent dye and at least one compound comprising an acid functional group and processes therefor |
| US20040258641A1 (en) * | 2003-04-01 | 2004-12-23 | Gregory Plos | Cosmetic composition for dyeing human keratin materials, comprising at least one fluorescent dye and at least one cationic polymer, and a dyeing process therefor |
| US20090288674A1 (en) * | 2003-04-01 | 2009-11-26 | L'oreal S.A. | Cosmetic dye composition with a lightening effect for human keratin materials, comprising at least one fluorescent dye and at least one aminosilicone, and process of dyeing |
| US7147673B2 (en) | 2003-04-01 | 2006-12-12 | L'oreal S.A. | Composition for dyeing human keratin materials, comprising at least one fluorescent dye and at least one insoluble polyorganosiloxane conditioning polymer, process therefor and use thereof |
| US20050008594A1 (en) * | 2003-04-01 | 2005-01-13 | Gregory Plos | Composiiton for dyeing human keratin materials, comprising at least one fluorescent dye and at least one polyol, process therefor and use thereof |
| US7303589B2 (en) | 2003-04-01 | 2007-12-04 | L'oreal S.A. | Process for dyeing human keratin fibers, having a lightening effect, comprising at least one fluorescent compound and compositions of the same |
| US7150764B2 (en) | 2003-04-01 | 2006-12-19 | L'oreal S.A. | Composition for dyeing a human keratin material, comprising at least one fluorescent dye and at least one insoluble conditioning agent, process thereof, use thereof, and devices thereof |
| US20050005368A1 (en) * | 2003-04-01 | 2005-01-13 | Gregory Plos | Process for dyeing, with a lightening effect, human keratin fibers that have been permanently reshaped, using at least one composition comprising at least one fluorescent dye |
| US7186278B2 (en) | 2003-04-01 | 2007-03-06 | L'oreal S.A. | Composition for dyeing human keratin materials, comprising at least one fluorescent dye and at least one compound comprising an acid functional group and processes therefor |
| US7192454B2 (en) | 2003-04-01 | 2007-03-20 | L'oreal S.A. | Composition for dyeing human keratin materials, comprising a fluorescent dye and a particular sequestering agent, process therefor and use thereof |
| US7195650B2 (en) | 2003-04-01 | 2007-03-27 | L'oreal S.A. | Process for dyeing, with a lightening effect, human keratin fibers that have been permanently reshaped, using at least one composition comprising at least one fluorescent dye |
| US7195651B2 (en) | 2003-04-01 | 2007-03-27 | L'oreal S.A. | Cosmetic composition for dyeing human keratin materials, comprising at least one fluorescent dye and at least one cationic polymer, and a dyeing process therefor |
| US7198650B2 (en) | 2003-04-01 | 2007-04-03 | L'oreal S.A. | Method of dyeing human keratin materials with a lightening effect with compositions comprising at least one fluorescent dye and at least one amphoteric or nonionic surfactant, composition thereof, process thereof, and device therefor |
| US7204860B2 (en) | 2003-04-01 | 2007-04-17 | L'oreal | Composition for dyeing human keratin materials, comprising at least one fluorescent dye and at least one polyol, process therefor and use thereof |
| US20050005371A1 (en) * | 2003-04-01 | 2005-01-13 | Chrystel Pourille-Grethen | Method of dyeing human keratin materials with a lightening effect with compositions comprising at least one fluorescent dye and at least one amphoteric or nonionic surfactant, composition thereof, process thereof, and device therefor |
| US7208018B2 (en) | 2003-04-01 | 2007-04-24 | L'oreal | Composition for dyeing human keratin materials, comprising at least one fluorescent dye and at least one associative polymer, process therefor and use thereof |
| US20050008593A1 (en) * | 2003-04-01 | 2005-01-13 | Gregory Plos | Dye composition comprising at least one fluorescent dye and a non-associative thickening polymer for human keratin materials, process therefor, and method thereof |
| US20050076457A1 (en) * | 2003-04-01 | 2005-04-14 | Gregory Plos | Composition for dyeing a human keratin material, comprising at least one fluorescent dye and at least one insoluble conditioning agent, process thereof, use thereof, and devices thereof |
| US20050028302A1 (en) * | 2003-07-01 | 2005-02-10 | Marie-Pascale Audousset | Dye composition comprising at least one oxidation base, 2-chloro-6-methyl-3-aminophenol and 3-methyl-1-phenyl-5-pyrazolone |
| US7150765B2 (en) | 2003-07-11 | 2006-12-19 | L'oreal S.A. | Fatty acid-free liquid dye composition comprising at least one oxidation base and 2-methyl-1, 3-propanediol, dyeing process, and device |
| US7208019B2 (en) | 2003-12-11 | 2007-04-24 | L'oreal | Treatment of dyed keratin fibres with a surfactant composition, and use for protecting the color |
| US20050144739A1 (en) * | 2003-12-11 | 2005-07-07 | L'oreal | Treatment of dyed keratain fibres with a surfactant composition, and use for protecting the colour |
| WO2005074871A1 (en) * | 2004-02-05 | 2005-08-18 | Wella Aktiengesellschaft | Coloring agent having a pearly luster for keratin fibers |
| US7749283B2 (en) | 2004-02-05 | 2010-07-06 | Wella Ag | Colorant with nacreous luster for keratin fibers |
| US20060277691A1 (en) * | 2005-05-31 | 2006-12-14 | Jean-Baptiste Saunier | Composition for dyeing keratin fibers, comprising a diamino-N,N-dihydropyrazolone compound, a coupler, and a polyol |
| US7488355B2 (en) * | 2005-05-31 | 2009-02-10 | L'oreal S.A. | Composition for dyeing keratin fibers, comprising a diamino-N,N-dihydropyrazolone compound, a coupler, and a polyol |
| US9192555B2 (en) | 2010-12-07 | 2015-11-24 | L'oreal | Oxidation dye composition comprising a polycondensate of ethylene oxide and of propylene oxide, and a non-oxyalkylenated glycerolated nonionic surfactant |
| US9662290B2 (en) | 2012-04-24 | 2017-05-30 | L'oreal | Dyeing process using a mixture comprising a thickening polymer, obtained from an aerosol device, and device therefor |
| US9789034B2 (en) | 2012-04-24 | 2017-10-17 | L'oreal | Dyeing process using a mixture obtained from an aerosol device comprising a liquid fatty, alcohol and surfactants |
| US9855198B2 (en) | 2012-04-24 | 2018-01-02 | L'oreal | Dyeing process using a mixture obtained from an aerosol device comprising a nonionic fatty amide, and device therefor |
| US10016344B2 (en) | 2012-04-24 | 2018-07-10 | L'oreal | Dyeing process using a mixture obtained from an aerosol device comprising a glycerolated surfactant, and device therefor |
| US10071036B2 (en) * | 2012-04-24 | 2018-09-11 | L'oreal | Dyeing process using a mixture comprising a branched C6-C12 polyol, obtained from an aerosol device, and device therefor |
| US10182978B2 (en) | 2012-04-24 | 2019-01-22 | L'oreal | Dyeing process using a mixture comprising a thickening polymer, obtained from an aerosol device, and device therefor |
| US20160151264A1 (en) * | 2013-07-19 | 2016-06-02 | L'oreal | Dye composition comprising a particular amphoteric surfactant and an oxyethylenated amide surfactant or an oxyethylatenated fatty alcohol surfactant comprising less than 10 oe units and mixture thereof dye composition comprising a particular amphoteric surfactant and an oxyethylenated amide surfactant |
| US9999583B2 (en) | 2013-07-19 | 2018-06-19 | L'oreal | Dye composition comprising a particular amphoteric surfactant and a sulfate or sulfonate surfactant |
| US10071038B2 (en) | 2013-07-19 | 2018-09-11 | L'oreal | Dye composition comprising a particular amphoteric surfactant and a particular thickening polymer |
| US10098825B2 (en) * | 2013-07-19 | 2018-10-16 | L'oreal | Dye composition comprising a particular amphoteric surfactant and an oxyethylenated amide surfactant or an oxyethylatenated fatty alcohol surfactant comprising less than 10 OE units and mixture thereof |
| US20220265537A1 (en) * | 2019-06-28 | 2022-08-25 | L'oreal | Composition for dyeing keratin fibres and use thereof |
| US11819562B2 (en) * | 2019-06-28 | 2023-11-21 | L'oreal | Composition for dyeing keratin fibres and use thereof |
Also Published As
| Publication number | Publication date |
|---|---|
| JP4417326B2 (en) | 2010-02-17 |
| ZA200205953B (en) | 2003-04-01 |
| CN1399950A (en) | 2003-03-05 |
| AR034908A1 (en) | 2004-03-24 |
| RU2220704C1 (en) | 2004-01-10 |
| CA2395683A1 (en) | 2003-01-27 |
| DE60224959D1 (en) | 2008-03-27 |
| BR0203005B1 (en) | 2013-09-24 |
| DE60224959T2 (en) | 2009-02-05 |
| KR100622333B1 (en) | 2006-09-13 |
| PL355220A1 (en) | 2003-02-10 |
| KR20030010566A (en) | 2003-02-05 |
| PT1279395E (en) | 2008-03-19 |
| FR2827761A1 (en) | 2003-01-31 |
| PL205723B1 (en) | 2010-05-31 |
| US7402180B2 (en) | 2008-07-22 |
| CN1196465C (en) | 2005-04-13 |
| AU2002300197B2 (en) | 2004-10-07 |
| US20060248664A1 (en) | 2006-11-09 |
| JP2003055177A (en) | 2003-02-26 |
| JP2006104218A (en) | 2006-04-20 |
| RU2002120315A (en) | 2004-03-20 |
| EP1279395B1 (en) | 2008-02-13 |
| HUP0202509A2 (en) | 2003-04-28 |
| DK1279395T3 (en) | 2008-06-09 |
| ES2300424T3 (en) | 2008-06-16 |
| HU0202509D0 (en) | 2002-09-28 |
| FR2827761B1 (en) | 2005-09-02 |
| EP1279395A1 (en) | 2003-01-29 |
| MXPA02007237A (en) | 2004-08-11 |
| BR0203005A (en) | 2003-05-27 |
| ATE385763T1 (en) | 2008-03-15 |
Similar Documents
| Publication | Publication Date | Title |
|---|---|---|
| US7402180B2 (en) | Composition for the oxidation dyeing of keratin fibres, comprising at least one fatty alcohol chosen from mono- and polyglycerolated fatty alcohols and a particular polyol | |
| US7722682B2 (en) | Composition for the oxidation dyeing of keratin fibers, comprising at least one fatty alcohol, at least one oxidation dye, at least one associative polymer, and at least one compound chosen from fatty acid esters and metal oxides | |
| US6436151B2 (en) | Compositions for oxidation dyeing keratin fibers comprising at least one oxidation dye, at least one thickening polymer comprising at least one fatty chain, and at least one fatty alcohol comprising more than twenty carbon atoms and uses thereof | |
| US7153331B2 (en) | Dyeing composition for keratinous fibers comprising an oxyethylene rapeseed fatty acid amide | |
| US6800098B1 (en) | Oxidation dye composition for keratinic fibres containing a thickening polymer with an ether plastic skeleton | |
| US7364594B2 (en) | Dyeing composition for keratinous fibres comprising an associative polymer and a polymer with acrylamide units, dialkyldiallylammonium halide, and vinylic carboxylic acid | |
| US7198649B2 (en) | Oxidation dyeing composition for keratinous fibers comprising glycerine and a polyol other than glycerine in a specific ratio | |
| US7771491B2 (en) | Oxidation dye composition for keratin fibers, comprising at least one oxidation dye, at least one associative polymer, at least one nonionic cellulose-based compound not comprising a C8-C30 fatty chain, and at least one cationic polymer with a charge density of greater than 1 meq/g and not comprising a C8-C30 fatty chain | |
| US7204858B2 (en) | Composition for the oxidation dyeing of keratin fibres, comprising an oxyalkylenated carboxylic acid ether and a fatty-chain quaternized cellulose | |
| US20010023514A1 (en) | Compositions for oxidation dyeing keratin fibers comprising at least one thickening polymer comprising at least one fatty chain and at least one fatty alcohol chosen from monoglycerolated fatty alcohols and polyglycerolated fatty alcohols | |
| US7172631B2 (en) | Dyeing composition for human keratinous fibers with oxidation dyes and dicationic compounds | |
| JP2010241838A (en) | Oxidative dyeing composition for keratin fibers, comprising non-oxyalkylenated fatty alcohol, oxidation dye, associative polymer, fatty acid ester and / or metal oxide | |
| US20030229948A1 (en) | Composition for the oxidation dyeing of keratin fibres, comprising an oxyalkylenated caboxylic acid ether, a mono-or polyglycerolated surfactant and a nonionic oxyalkylenated surfactant | |
| US7297167B2 (en) | Composition useful for the oxidation dyeing of keratin fibres, containing a polyoxyalkylenated carboxylic acid ether, a mono- or polyglycerolated surfactant and an unsaturated fatty alcohol | |
| US7326256B2 (en) | Composition for the oxidation dyeing of keratin fibers, comprising at least one non-oxyalkenylated fatty alcohol, at least one oxidation dye, at least one associative polymer, and at least one amide of an alkanolamine and a C14-C30 fatty acid | |
| JP4472327B2 (en) | Oxidative dyeing composition for keratin fibers comprising non-oxyalkylenated fatty alcohol, oxidation dye, associative polymer and amide of alkanolamine and C14-C30 fatty acid | |
| US20040163187A1 (en) | Composition for the oxidation dyeing of keratin fibers, comprising at least one oxidation dye, at least one associative polymer, and at least one aminosilicone | |
| US7695526B2 (en) | Composition for the oxidation dyeing of keratin fibers, comprising, at least one oxidation dye, at least one fatty alcohol, at least one associative polymer, and at least one C14-C30 alkyl sulphate | |
| JP4472328B2 (en) | Oxidative dyeing composition for keratin fibers, comprising fatty alcohol, oxidative dye, associative polymer and C14-C30 alkyl sulfate | |
| JP2005170916A6 (en) | Oxidative dyeing composition for keratin fibers, comprising fatty alcohol, oxidative dye, associative polymer and C14-C30 alkyl sulfate |
Legal Events
| Date | Code | Title | Description |
|---|---|---|---|
| AS | Assignment |
Owner name: L'OREAL S.A., FRANCE Free format text: ASSIGNMENT OF ASSIGNORS INTEREST;ASSIGNORS:VUARIER, PATRICIA;MILLEQUANT, JEAN-MARIE;REEL/FRAME:013445/0592;SIGNING DATES FROM 20020822 TO 20020826 |
|
| STCB | Information on status: application discontinuation |
Free format text: ABANDONED -- FAILURE TO RESPOND TO AN OFFICE ACTION |




































