US20030035804A1 - Drug complex for treatment of metastatic prostate cancer - Google Patents
Drug complex for treatment of metastatic prostate cancer Download PDFInfo
- Publication number
- US20030035804A1 US20030035804A1 US10/119,417 US11941702A US2003035804A1 US 20030035804 A1 US20030035804 A1 US 20030035804A1 US 11941702 A US11941702 A US 11941702A US 2003035804 A1 US2003035804 A1 US 2003035804A1
- Authority
- US
- United States
- Prior art keywords
- drug
- group
- prostate cancer
- peptide
- drug complex
- Prior art date
- Legal status (The legal status is an assumption and is not a legal conclusion. Google has not performed a legal analysis and makes no representation as to the accuracy of the status listed.)
- Abandoned
Links
- 229940079593 drug Drugs 0.000 title claims abstract description 91
- 239000003814 drug Substances 0.000 title claims abstract description 91
- 208000010658 metastatic prostate carcinoma Diseases 0.000 title claims description 9
- 238000011282 treatment Methods 0.000 title description 15
- 206010060862 Prostate cancer Diseases 0.000 claims abstract description 49
- 208000000236 Prostatic Neoplasms Diseases 0.000 claims abstract description 43
- 102000007066 Prostate-Specific Antigen Human genes 0.000 claims abstract description 35
- 108010072866 Prostate-Specific Antigen Proteins 0.000 claims abstract description 35
- 229940127089 cytotoxic agent Drugs 0.000 claims abstract description 33
- 239000002254 cytotoxic agent Substances 0.000 claims abstract description 33
- 230000008685 targeting Effects 0.000 claims abstract description 31
- 108090000765 processed proteins & peptides Proteins 0.000 claims abstract description 29
- 239000003795 chemical substances by application Substances 0.000 claims abstract description 27
- 239000000758 substrate Substances 0.000 claims abstract description 22
- 239000003098 androgen Substances 0.000 claims abstract description 18
- 210000002307 prostate Anatomy 0.000 claims abstract description 12
- 210000000988 bone and bone Anatomy 0.000 claims abstract description 10
- 210000001519 tissue Anatomy 0.000 claims abstract description 8
- 231100000331 toxic Toxicity 0.000 claims abstract description 5
- 230000002588 toxic effect Effects 0.000 claims abstract description 5
- AOJJSUZBOXZQNB-TZSSRYMLSA-N Doxorubicin Chemical compound O([C@H]1C[C@@](O)(CC=2C(O)=C3C(=O)C=4C=CC=C(C=4C(=O)C3=C(O)C=21)OC)C(=O)CO)[C@H]1C[C@H](N)[C@H](O)[C@H](C)O1 AOJJSUZBOXZQNB-TZSSRYMLSA-N 0.000 claims description 72
- ALYNCZNDIQEVRV-UHFFFAOYSA-N 4-aminobenzoic acid Chemical compound NC1=CC=C(C(O)=O)C=C1 ALYNCZNDIQEVRV-UHFFFAOYSA-N 0.000 claims description 45
- 238000000034 method Methods 0.000 claims description 34
- 229940009456 adriamycin Drugs 0.000 claims description 32
- HATRDXDCPOXQJX-UHFFFAOYSA-N Thapsigargin Natural products CCCCCCCC(=O)OC1C(OC(O)C(=C/C)C)C(=C2C3OC(=O)C(C)(O)C3(O)C(CC(C)(OC(=O)C)C12)OC(=O)CCC)C HATRDXDCPOXQJX-UHFFFAOYSA-N 0.000 claims description 28
- IXFPJGBNCFXKPI-FSIHEZPISA-N thapsigargin Chemical compound CCCC(=O)O[C@H]1C[C@](C)(OC(C)=O)[C@H]2[C@H](OC(=O)CCCCCCC)[C@@H](OC(=O)C(\C)=C/C)C(C)=C2[C@@H]2OC(=O)[C@@](C)(O)[C@]21O IXFPJGBNCFXKPI-FSIHEZPISA-N 0.000 claims description 27
- KIDHWZJUCRJVML-UHFFFAOYSA-N putrescine Chemical compound NCCCCN KIDHWZJUCRJVML-UHFFFAOYSA-N 0.000 claims description 16
- 229920000768 polyamine Polymers 0.000 claims description 11
- ATHGHQPFGPMSJY-UHFFFAOYSA-N spermidine Chemical compound NCCCCNCCCN ATHGHQPFGPMSJY-UHFFFAOYSA-N 0.000 claims description 10
- PFNFFQXMRSDOHW-UHFFFAOYSA-N spermine Chemical compound NCCCNCCCCNCCCN PFNFFQXMRSDOHW-UHFFFAOYSA-N 0.000 claims description 10
- NWIBSHFKIJFRCO-WUDYKRTCSA-N Mytomycin Chemical compound C1N2C(C(C(C)=C(N)C3=O)=O)=C3[C@@H](COC(N)=O)[C@@]2(OC)[C@@H]2[C@H]1N2 NWIBSHFKIJFRCO-WUDYKRTCSA-N 0.000 claims description 8
- 239000005700 Putrescine Substances 0.000 claims description 8
- JXLYSJRDGCGARV-WWYNWVTFSA-N Vinblastine Natural products O=C(O[C@H]1[C@](O)(C(=O)OC)[C@@H]2N(C)c3c(cc(c(OC)c3)[C@]3(C(=O)OC)c4[nH]c5c(c4CCN4C[C@](O)(CC)C[C@H](C3)C4)cccc5)[C@@]32[C@H]2[C@@]1(CC)C=CCN2CC3)C JXLYSJRDGCGARV-WWYNWVTFSA-N 0.000 claims description 8
- DBEPLOCGEIEOCV-WSBQPABSSA-N finasteride Chemical compound N([C@@H]1CC2)C(=O)C=C[C@]1(C)[C@@H]1[C@@H]2[C@@H]2CC[C@H](C(=O)NC(C)(C)C)[C@@]2(C)CC1 DBEPLOCGEIEOCV-WSBQPABSSA-N 0.000 claims description 8
- CHPZKNULDCNCBW-UHFFFAOYSA-N gallium nitrate Chemical compound [Ga+3].[O-][N+]([O-])=O.[O-][N+]([O-])=O.[O-][N+]([O-])=O CHPZKNULDCNCBW-UHFFFAOYSA-N 0.000 claims description 8
- 229960003048 vinblastine Drugs 0.000 claims description 8
- JXLYSJRDGCGARV-XQKSVPLYSA-N vincaleukoblastine Chemical compound C([C@@H](C[C@]1(C(=O)OC)C=2C(=CC3=C([C@]45[C@H]([C@@]([C@H](OC(C)=O)[C@]6(CC)C=CCN([C@H]56)CC4)(O)C(=O)OC)N3C)C=2)OC)C[C@@](C2)(O)CC)N2CCC2=C1NC1=CC=CC=C21 JXLYSJRDGCGARV-XQKSVPLYSA-N 0.000 claims description 8
- JUGPUOGZSGQOPG-UHFFFAOYSA-N n'-(3-fluoropropyl)butane-1,4-diamine Chemical group NCCCCNCCCF JUGPUOGZSGQOPG-UHFFFAOYSA-N 0.000 claims description 7
- 239000000126 substance Substances 0.000 claims description 6
- -1 CHIP Chemical compound 0.000 claims description 5
- 229940063673 spermidine Drugs 0.000 claims description 5
- 229940063675 spermine Drugs 0.000 claims description 5
- XMAYWYJOQHXEEK-OZXSUGGESA-N (2R,4S)-ketoconazole Chemical compound C1CN(C(=O)C)CCN1C(C=C1)=CC=C1OC[C@@H]1O[C@@](CN2C=NC=C2)(C=2C(=CC(Cl)=CC=2)Cl)OC1 XMAYWYJOQHXEEK-OZXSUGGESA-N 0.000 claims description 4
- AOJJSUZBOXZQNB-VTZDEGQISA-N 4'-epidoxorubicin Chemical compound O([C@H]1C[C@@](O)(CC=2C(O)=C3C(=O)C=4C=CC=C(C=4C(=O)C3=C(O)C=21)OC)C(=O)CO)[C@H]1C[C@H](N)[C@@H](O)[C@H](C)O1 AOJJSUZBOXZQNB-VTZDEGQISA-N 0.000 claims description 4
- UPALIKSFLSVKIS-UHFFFAOYSA-N 5-amino-2-[2-(dimethylamino)ethyl]benzo[de]isoquinoline-1,3-dione Chemical compound NC1=CC(C(N(CCN(C)C)C2=O)=O)=C3C2=CC=CC3=C1 UPALIKSFLSVKIS-UHFFFAOYSA-N 0.000 claims description 4
- CMSMOCZEIVJLDB-UHFFFAOYSA-N Cyclophosphamide Chemical compound ClCCN(CCCl)P1(=O)NCCCO1 CMSMOCZEIVJLDB-UHFFFAOYSA-N 0.000 claims description 4
- HTIJFSOGRVMCQR-UHFFFAOYSA-N Epirubicin Natural products COc1cccc2C(=O)c3c(O)c4CC(O)(CC(OC5CC(N)C(=O)C(C)O5)c4c(O)c3C(=O)c12)C(=O)CO HTIJFSOGRVMCQR-UHFFFAOYSA-N 0.000 claims description 4
- GHASVSINZRGABV-UHFFFAOYSA-N Fluorouracil Chemical compound FC1=CNC(=O)NC1=O GHASVSINZRGABV-UHFFFAOYSA-N 0.000 claims description 4
- XDXDZDZNSLXDNA-TZNDIEGXSA-N Idarubicin Chemical compound C1[C@H](N)[C@H](O)[C@H](C)O[C@H]1O[C@@H]1C2=C(O)C(C(=O)C3=CC=CC=C3C3=O)=C3C(O)=C2C[C@@](O)(C(C)=O)C1 XDXDZDZNSLXDNA-TZNDIEGXSA-N 0.000 claims description 4
- XDXDZDZNSLXDNA-UHFFFAOYSA-N Idarubicin Natural products C1C(N)C(O)C(C)OC1OC1C2=C(O)C(C(=O)C3=CC=CC=C3C3=O)=C3C(O)=C2CC(O)(C(C)=O)C1 XDXDZDZNSLXDNA-UHFFFAOYSA-N 0.000 claims description 4
- FBOZXECLQNJBKD-ZDUSSCGKSA-N L-methotrexate Chemical compound C=1N=C2N=C(N)N=C(N)C2=NC=1CN(C)C1=CC=C(C(=O)N[C@@H](CCC(O)=O)C(O)=O)C=C1 FBOZXECLQNJBKD-ZDUSSCGKSA-N 0.000 claims description 4
- XOGTZOOQQBDUSI-UHFFFAOYSA-M Mesna Chemical compound [Na+].[O-]S(=O)(=O)CCS XOGTZOOQQBDUSI-UHFFFAOYSA-M 0.000 claims description 4
- 229930012538 Paclitaxel Natural products 0.000 claims description 4
- 229960004701 amonafide Drugs 0.000 claims description 4
- 229960004562 carboplatin Drugs 0.000 claims description 4
- DQLATGHUWYMOKM-UHFFFAOYSA-L cisplatin Chemical compound N[Pt](N)(Cl)Cl DQLATGHUWYMOKM-UHFFFAOYSA-L 0.000 claims description 4
- 229960004316 cisplatin Drugs 0.000 claims description 4
- 229960004397 cyclophosphamide Drugs 0.000 claims description 4
- 229960004679 doxorubicin Drugs 0.000 claims description 4
- 229940000733 emcyt Drugs 0.000 claims description 4
- 229960001904 epirubicin Drugs 0.000 claims description 4
- FRPJXPJMRWBBIH-RBRWEJTLSA-N estramustine Chemical compound ClCCN(CCCl)C(=O)OC1=CC=C2[C@H]3CC[C@](C)([C@H](CC4)O)[C@@H]4[C@@H]3CCC2=C1 FRPJXPJMRWBBIH-RBRWEJTLSA-N 0.000 claims description 4
- 229960001842 estramustine Drugs 0.000 claims description 4
- IIUMCNJTGSMNRO-VVSKJQCTSA-L estramustine sodium phosphate Chemical compound [Na+].[Na+].ClCCN(CCCl)C(=O)OC1=CC=C2[C@H]3CC[C@](C)([C@H](CC4)OP([O-])([O-])=O)[C@@H]4[C@@H]3CCC2=C1 IIUMCNJTGSMNRO-VVSKJQCTSA-L 0.000 claims description 4
- 229960005420 etoposide Drugs 0.000 claims description 4
- VJJPUSNTGOMMGY-MRVIYFEKSA-N etoposide Chemical compound COC1=C(O)C(OC)=CC([C@@H]2C3=CC=4OCOC=4C=C3[C@@H](O[C@H]3[C@@H]([C@@H](O)[C@@H]4O[C@H](C)OC[C@H]4O3)O)[C@@H]3[C@@H]2C(OC3)=O)=C1 VJJPUSNTGOMMGY-MRVIYFEKSA-N 0.000 claims description 4
- 229960004039 finasteride Drugs 0.000 claims description 4
- 229960002949 fluorouracil Drugs 0.000 claims description 4
- 229940044658 gallium nitrate Drugs 0.000 claims description 4
- 229960000908 idarubicin Drugs 0.000 claims description 4
- HOMGKSMUEGBAAB-UHFFFAOYSA-N ifosfamide Chemical compound ClCCNP1(=O)OCCCN1CCCl HOMGKSMUEGBAAB-UHFFFAOYSA-N 0.000 claims description 4
- 229960001101 ifosfamide Drugs 0.000 claims description 4
- 229960004125 ketoconazole Drugs 0.000 claims description 4
- UGFHIPBXIWJXNA-UHFFFAOYSA-N liarozole Chemical compound ClC1=CC=CC(C(C=2C=C3NC=NC3=CC=2)N2C=NC=C2)=C1 UGFHIPBXIWJXNA-UHFFFAOYSA-N 0.000 claims description 4
- 229950007056 liarozole Drugs 0.000 claims description 4
- 229960004635 mesna Drugs 0.000 claims description 4
- 229960000485 methotrexate Drugs 0.000 claims description 4
- MXWHMTNPTTVWDM-NXOFHUPFSA-N mitoguazone Chemical compound NC(N)=N\N=C(/C)\C=N\N=C(N)N MXWHMTNPTTVWDM-NXOFHUPFSA-N 0.000 claims description 4
- 229960003539 mitoguazone Drugs 0.000 claims description 4
- 229960004857 mitomycin Drugs 0.000 claims description 4
- KKZJGLLVHKMTCM-UHFFFAOYSA-N mitoxantrone Chemical compound O=C1C2=C(O)C=CC(O)=C2C(=O)C2=C1C(NCCNCCO)=CC=C2NCCNCCO KKZJGLLVHKMTCM-UHFFFAOYSA-N 0.000 claims description 4
- 229960001156 mitoxantrone Drugs 0.000 claims description 4
- 229960001592 paclitaxel Drugs 0.000 claims description 4
- 229940072254 proscar Drugs 0.000 claims description 4
- FIAFUQMPZJWCLV-UHFFFAOYSA-N suramin Chemical compound OS(=O)(=O)C1=CC(S(O)(=O)=O)=C2C(NC(=O)C3=CC=C(C(=C3)NC(=O)C=3C=C(NC(=O)NC=4C=C(C=CC=4)C(=O)NC=4C(=CC=C(C=4)C(=O)NC=4C5=C(C=C(C=C5C(=CC=4)S(O)(=O)=O)S(O)(=O)=O)S(O)(=O)=O)C)C=CC=3)C)=CC=C(S(O)(=O)=O)C2=C1 FIAFUQMPZJWCLV-UHFFFAOYSA-N 0.000 claims description 4
- 229960005314 suramin Drugs 0.000 claims description 4
- RCINICONZNJXQF-MZXODVADSA-N taxol Chemical compound O([C@@H]1[C@@]2(C[C@@H](C(C)=C(C2(C)C)[C@H](C([C@]2(C)[C@@H](O)C[C@H]3OC[C@]3([C@H]21)OC(C)=O)=O)OC(=O)C)OC(=O)[C@H](O)[C@@H](NC(=O)C=1C=CC=CC=1)C=1C=CC=CC=1)O)C(=O)C1=CC=CC=C1 RCINICONZNJXQF-MZXODVADSA-N 0.000 claims description 4
- NOYPYLRCIDNJJB-UHFFFAOYSA-N trimetrexate Chemical compound COC1=C(OC)C(OC)=CC(NCC=2C(=C3C(N)=NC(N)=NC3=CC=2)C)=C1 NOYPYLRCIDNJJB-UHFFFAOYSA-N 0.000 claims description 4
- 229960001099 trimetrexate Drugs 0.000 claims description 4
- DVQHYTBCTGYNNN-UHFFFAOYSA-N azane;cyclobutane-1,1-dicarboxylic acid;platinum Chemical compound N.N.[Pt].OC(=O)C1(C(O)=O)CCC1 DVQHYTBCTGYNNN-UHFFFAOYSA-N 0.000 claims 6
- 210000004027 cell Anatomy 0.000 description 77
- 125000000539 amino acid group Chemical group 0.000 description 26
- OUYCCCASQSFEME-UHFFFAOYSA-N tyrosine Natural products OC(=O)C(N)CC1=CC=C(O)C=C1 OUYCCCASQSFEME-UHFFFAOYSA-N 0.000 description 22
- 206010028980 Neoplasm Diseases 0.000 description 19
- 150000001875 compounds Chemical class 0.000 description 17
- OUYCCCASQSFEME-QMMMGPOBSA-N L-tyrosine Chemical compound OC(=O)[C@@H](N)CC1=CC=C(O)C=C1 OUYCCCASQSFEME-QMMMGPOBSA-N 0.000 description 15
- 238000003776 cleavage reaction Methods 0.000 description 13
- 230000000694 effects Effects 0.000 description 13
- 230000007017 scission Effects 0.000 description 13
- 201000011510 cancer Diseases 0.000 description 12
- 238000001959 radiotherapy Methods 0.000 description 11
- 238000000338 in vitro Methods 0.000 description 8
- 102000004190 Enzymes Human genes 0.000 description 7
- 108090000790 Enzymes Proteins 0.000 description 7
- 230000007062 hydrolysis Effects 0.000 description 6
- 238000006460 hydrolysis reaction Methods 0.000 description 6
- 201000001514 prostate carcinoma Diseases 0.000 description 6
- 108020004414 DNA Proteins 0.000 description 5
- 230000004083 survival effect Effects 0.000 description 5
- 208000012766 Growth delay Diseases 0.000 description 4
- 230000008901 benefit Effects 0.000 description 4
- 230000004663 cell proliferation Effects 0.000 description 4
- 229940125782 compound 2 Drugs 0.000 description 4
- 125000004185 ester group Chemical group 0.000 description 4
- 239000012216 imaging agent Substances 0.000 description 4
- 125000002924 primary amino group Chemical group [H]N([H])* 0.000 description 4
- 230000010076 replication Effects 0.000 description 4
- 230000004044 response Effects 0.000 description 4
- 125000002730 succinyl group Chemical group C(CCC(=O)*)(=O)* 0.000 description 4
- 230000001988 toxicity Effects 0.000 description 4
- 231100000419 toxicity Toxicity 0.000 description 4
- YCKRFDGAMUMZLT-UHFFFAOYSA-N Fluorine atom Chemical compound [F] YCKRFDGAMUMZLT-UHFFFAOYSA-N 0.000 description 3
- 150000001413 amino acids Chemical class 0.000 description 3
- 125000003178 carboxy group Chemical group [H]OC(*)=O 0.000 description 3
- 230000003021 clonogenic effect Effects 0.000 description 3
- 230000005025 clonogenic survival Effects 0.000 description 3
- 229940125904 compound 1 Drugs 0.000 description 3
- 229940125898 compound 5 Drugs 0.000 description 3
- 210000002919 epithelial cell Anatomy 0.000 description 3
- 229910052731 fluorine Inorganic materials 0.000 description 3
- 239000011737 fluorine Substances 0.000 description 3
- 238000001727 in vivo Methods 0.000 description 3
- 230000005855 radiation Effects 0.000 description 3
- 238000012360 testing method Methods 0.000 description 3
- 230000003442 weekly effect Effects 0.000 description 3
- OWSMKCJUBAPHED-JYJNAYRXSA-N Arg-Pro-Tyr Chemical compound NC(N)=NCCC[C@H](N)C(=O)N1CCC[C@H]1C(=O)N[C@H](C(O)=O)CC1=CC=C(O)C=C1 OWSMKCJUBAPHED-JYJNAYRXSA-N 0.000 description 2
- 108091003079 Bovine Serum Albumin Proteins 0.000 description 2
- 241001465754 Metazoa Species 0.000 description 2
- 238000011579 SCID mouse model Methods 0.000 description 2
- 125000003277 amino group Chemical group 0.000 description 2
- 238000004458 analytical method Methods 0.000 description 2
- VSRXQHXAPYXROS-UHFFFAOYSA-N azanide;cyclobutane-1,1-dicarboxylic acid;platinum(2+) Chemical compound [NH2-].[NH2-].[Pt+2].OC(=O)C1(C(O)=O)CCC1 VSRXQHXAPYXROS-UHFFFAOYSA-N 0.000 description 2
- 210000004369 blood Anatomy 0.000 description 2
- 239000008280 blood Substances 0.000 description 2
- 230000015556 catabolic process Effects 0.000 description 2
- 230000001413 cellular effect Effects 0.000 description 2
- 201000010099 disease Diseases 0.000 description 2
- 208000037265 diseases, disorders, signs and symptoms Diseases 0.000 description 2
- 238000009472 formulation Methods 0.000 description 2
- 238000011404 fractionated radiotherapy Methods 0.000 description 2
- 238000013467 fragmentation Methods 0.000 description 2
- 238000006062 fragmentation reaction Methods 0.000 description 2
- 230000036541 health Effects 0.000 description 2
- 239000005556 hormone Substances 0.000 description 2
- 229940088597 hormone Drugs 0.000 description 2
- 238000005259 measurement Methods 0.000 description 2
- 239000000203 mixture Substances 0.000 description 2
- 229940002612 prodrug Drugs 0.000 description 2
- 239000000651 prodrug Substances 0.000 description 2
- 230000035755 proliferation Effects 0.000 description 2
- 102000005962 receptors Human genes 0.000 description 2
- 108020003175 receptors Proteins 0.000 description 2
- 210000002966 serum Anatomy 0.000 description 2
- 230000001225 therapeutic effect Effects 0.000 description 2
- 230000004614 tumor growth Effects 0.000 description 2
- 0 *CC1=CC=C(NC(C)=O)C=C1.CC(=O)NC1=CC=C(C)C=C1.CC(=O)NC1=CC=C(COC(=O)ON2C(=O)CCC2=O)C=C1.CC(=O)O.CC1=CC=C(N)C=C1.CN.CNC(=O)OCC1=CC=C(NC(C)=O)C=C1.O=C(ON1C(=O)CCC1=O)ON1C(=O)CCC1=O Chemical compound *CC1=CC=C(NC(C)=O)C=C1.CC(=O)NC1=CC=C(C)C=C1.CC(=O)NC1=CC=C(COC(=O)ON2C(=O)CCC2=O)C=C1.CC(=O)O.CC1=CC=C(N)C=C1.CN.CNC(=O)OCC1=CC=C(NC(C)=O)C=C1.O=C(ON1C(=O)CCC1=O)ON1C(=O)CCC1=O 0.000 description 1
- MEKOFIRRDATTAG-UHFFFAOYSA-N 2,2,5,8-tetramethyl-3,4-dihydrochromen-6-ol Chemical compound C1CC(C)(C)OC2=C1C(C)=C(O)C=C2C MEKOFIRRDATTAG-UHFFFAOYSA-N 0.000 description 1
- FWBHETKCLVMNFS-UHFFFAOYSA-N 4',6-Diamino-2-phenylindol Chemical compound C1=CC(C(=N)N)=CC=C1C1=CC2=CC=C(C(N)=N)C=C2N1 FWBHETKCLVMNFS-UHFFFAOYSA-N 0.000 description 1
- YVWUQHMLWJEYFX-UHFFFAOYSA-N CC(=O)OCC1=CC=C(NC=O)C=C1 Chemical compound CC(=O)OCC1=CC=C(NC=O)C=C1 YVWUQHMLWJEYFX-UHFFFAOYSA-N 0.000 description 1
- NDUJLVOJRIUVEX-QAGSIAHDSA-N CC1=CC=CC2=C1C(=O)C1=C(C2=O)C(O)=C2CC(C(=O)CO)C[C@H](OC3CC(N)C(O)C(C)O3)C2=C1O.O Chemical compound CC1=CC=CC2=C1C(=O)C1=C(C2=O)C(O)=C2CC(C(=O)CO)C[C@H](OC3CC(N)C(O)C(C)O3)C2=C1O.O NDUJLVOJRIUVEX-QAGSIAHDSA-N 0.000 description 1
- ROSDSFDQCJNGOL-UHFFFAOYSA-N CNC Chemical compound CNC ROSDSFDQCJNGOL-UHFFFAOYSA-N 0.000 description 1
- 208000010224 Castration-Resistant Prostatic Neoplasms Diseases 0.000 description 1
- AHCYMLUZIRLXAA-SHYZEUOFSA-N Deoxyuridine 5'-triphosphate Chemical compound O1[C@H](COP(O)(=O)OP(O)(=O)OP(O)(O)=O)[C@@H](O)C[C@@H]1N1C(=O)NC(=O)C=C1 AHCYMLUZIRLXAA-SHYZEUOFSA-N 0.000 description 1
- 102000001554 Hemoglobins Human genes 0.000 description 1
- 108010054147 Hemoglobins Proteins 0.000 description 1
- 125000001429 N-terminal alpha-amino-acid group Chemical group 0.000 description 1
- 102000035195 Peptidases Human genes 0.000 description 1
- 108091005804 Peptidases Proteins 0.000 description 1
- 239000004365 Protease Substances 0.000 description 1
- 239000012980 RPMI-1640 medium Substances 0.000 description 1
- FAPWRFPIFSIZLT-UHFFFAOYSA-M Sodium chloride Chemical compound [Na+].[Cl-] FAPWRFPIFSIZLT-UHFFFAOYSA-M 0.000 description 1
- 241001336776 Thapsia garganica Species 0.000 description 1
- 231100000230 acceptable toxicity Toxicity 0.000 description 1
- 230000009471 action Effects 0.000 description 1
- 239000000654 additive Substances 0.000 description 1
- 230000000996 additive effect Effects 0.000 description 1
- 238000000246 agarose gel electrophoresis Methods 0.000 description 1
- 125000003275 alpha amino acid group Chemical group 0.000 description 1
- 102000001307 androgen receptors Human genes 0.000 description 1
- 108010080146 androgen receptors Proteins 0.000 description 1
- 229940030486 androgens Drugs 0.000 description 1
- 239000003242 anti bacterial agent Substances 0.000 description 1
- 230000001093 anti-cancer Effects 0.000 description 1
- 229940088710 antibiotic agent Drugs 0.000 description 1
- 230000001640 apoptogenic effect Effects 0.000 description 1
- 230000006907 apoptotic process Effects 0.000 description 1
- 230000005735 apoptotic response Effects 0.000 description 1
- 238000013459 approach Methods 0.000 description 1
- 238000003556 assay Methods 0.000 description 1
- 210000001185 bone marrow Anatomy 0.000 description 1
- 238000007469 bone scintigraphy Methods 0.000 description 1
- 244000309464 bull Species 0.000 description 1
- 210000004899 c-terminal region Anatomy 0.000 description 1
- 244000309466 calf Species 0.000 description 1
- 125000002915 carbonyl group Chemical group [*:2]C([*:1])=O 0.000 description 1
- 231100000504 carcinogenesis Toxicity 0.000 description 1
- 230000002802 cardiorespiratory effect Effects 0.000 description 1
- 210000000170 cell membrane Anatomy 0.000 description 1
- 230000008859 change Effects 0.000 description 1
- 238000006243 chemical reaction Methods 0.000 description 1
- 238000011284 combination treatment Methods 0.000 description 1
- 238000010276 construction Methods 0.000 description 1
- 231100000433 cytotoxic Toxicity 0.000 description 1
- 230000001472 cytotoxic effect Effects 0.000 description 1
- 230000034994 death Effects 0.000 description 1
- 238000006731 degradation reaction Methods 0.000 description 1
- 230000001419 dependent effect Effects 0.000 description 1
- 238000002405 diagnostic procedure Methods 0.000 description 1
- 210000002472 endoplasmic reticulum Anatomy 0.000 description 1
- 210000003743 erythrocyte Anatomy 0.000 description 1
- 238000011156 evaluation Methods 0.000 description 1
- 210000003414 extremity Anatomy 0.000 description 1
- 239000012091 fetal bovine serum Substances 0.000 description 1
- 239000012894 fetal calf serum Substances 0.000 description 1
- 239000000945 filler Substances 0.000 description 1
- 125000001153 fluoro group Chemical group F* 0.000 description 1
- ZDXPYRJPNDTMRX-UHFFFAOYSA-N glutamine Natural products OC(=O)C(N)CCC(N)=O ZDXPYRJPNDTMRX-UHFFFAOYSA-N 0.000 description 1
- HNDVDQJCIGZPNO-UHFFFAOYSA-N histidine Natural products OC(=O)C(N)CC1=CN=CN1 HNDVDQJCIGZPNO-UHFFFAOYSA-N 0.000 description 1
- 125000004435 hydrogen atom Chemical group [H]* 0.000 description 1
- 238000002513 implantation Methods 0.000 description 1
- 230000002401 inhibitory effect Effects 0.000 description 1
- 230000005764 inhibitory process Effects 0.000 description 1
- 230000003834 intracellular effect Effects 0.000 description 1
- 239000007928 intraperitoneal injection Substances 0.000 description 1
- 238000001990 intravenous administration Methods 0.000 description 1
- 238000011835 investigation Methods 0.000 description 1
- 238000002372 labelling Methods 0.000 description 1
- 230000004807 localization Effects 0.000 description 1
- 210000003141 lower extremity Anatomy 0.000 description 1
- 230000036210 malignancy Effects 0.000 description 1
- 230000003211 malignant effect Effects 0.000 description 1
- 230000001404 mediated effect Effects 0.000 description 1
- 208000037819 metastatic cancer Diseases 0.000 description 1
- 208000011575 metastatic malignant neoplasm Diseases 0.000 description 1
- 210000001700 mitochondrial membrane Anatomy 0.000 description 1
- 238000012544 monitoring process Methods 0.000 description 1
- 238000004264 monolayer culture Methods 0.000 description 1
- 230000000877 morphologic effect Effects 0.000 description 1
- 210000003205 muscle Anatomy 0.000 description 1
- 239000013642 negative control Substances 0.000 description 1
- 210000004789 organ system Anatomy 0.000 description 1
- 238000009520 phase I clinical trial Methods 0.000 description 1
- 230000004962 physiological condition Effects 0.000 description 1
- 238000001556 precipitation Methods 0.000 description 1
- 102000004196 processed proteins & peptides Human genes 0.000 description 1
- 210000005267 prostate cell Anatomy 0.000 description 1
- 230000009467 reduction Effects 0.000 description 1
- 238000011160 research Methods 0.000 description 1
- 238000012552 review Methods 0.000 description 1
- 229930009674 sesquiterpene lactone Natural products 0.000 description 1
- 150000002107 sesquiterpene lactone derivatives Chemical class 0.000 description 1
- 125000006850 spacer group Chemical group 0.000 description 1
- 230000002269 spontaneous effect Effects 0.000 description 1
- 238000010186 staining Methods 0.000 description 1
- 238000001356 surgical procedure Methods 0.000 description 1
- 230000002459 sustained effect Effects 0.000 description 1
- 238000002560 therapeutic procedure Methods 0.000 description 1
- 231100000048 toxicity data Toxicity 0.000 description 1
- 210000004881 tumor cell Anatomy 0.000 description 1
- 125000001493 tyrosinyl group Chemical group [H]OC1=C([H])C([H])=C(C([H])=C1[H])C([H])([H])C([H])(N([H])[H])C(*)=O 0.000 description 1
- 210000002700 urine Anatomy 0.000 description 1
- XLYOFNOQVPJJNP-UHFFFAOYSA-N water Substances O XLYOFNOQVPJJNP-UHFFFAOYSA-N 0.000 description 1
Images
Classifications
-
- A—HUMAN NECESSITIES
- A61—MEDICAL OR VETERINARY SCIENCE; HYGIENE
- A61K—PREPARATIONS FOR MEDICAL, DENTAL OR TOILETRY PURPOSES
- A61K38/00—Medicinal preparations containing peptides
- A61K38/04—Peptides having up to 20 amino acids in a fully defined sequence; Derivatives thereof
- A61K38/06—Tripeptides
-
- A—HUMAN NECESSITIES
- A61—MEDICAL OR VETERINARY SCIENCE; HYGIENE
- A61K—PREPARATIONS FOR MEDICAL, DENTAL OR TOILETRY PURPOSES
- A61K38/00—Medicinal preparations containing peptides
- A61K38/04—Peptides having up to 20 amino acids in a fully defined sequence; Derivatives thereof
- A61K38/08—Peptides having 5 to 11 amino acids
-
- A—HUMAN NECESSITIES
- A61—MEDICAL OR VETERINARY SCIENCE; HYGIENE
- A61K—PREPARATIONS FOR MEDICAL, DENTAL OR TOILETRY PURPOSES
- A61K47/00—Medicinal preparations characterised by the non-active ingredients used, e.g. carriers or inert additives; Targeting or modifying agents chemically bound to the active ingredient
- A61K47/50—Medicinal preparations characterised by the non-active ingredients used, e.g. carriers or inert additives; Targeting or modifying agents chemically bound to the active ingredient the non-active ingredient being chemically bound to the active ingredient, e.g. polymer-drug conjugates
- A61K47/51—Medicinal preparations characterised by the non-active ingredients used, e.g. carriers or inert additives; Targeting or modifying agents chemically bound to the active ingredient the non-active ingredient being chemically bound to the active ingredient, e.g. polymer-drug conjugates the non-active ingredient being a modifying agent
- A61K47/54—Medicinal preparations characterised by the non-active ingredients used, e.g. carriers or inert additives; Targeting or modifying agents chemically bound to the active ingredient the non-active ingredient being chemically bound to the active ingredient, e.g. polymer-drug conjugates the non-active ingredient being a modifying agent the modifying agent being an organic compound
- A61K47/543—Lipids, e.g. triglycerides; Polyamines, e.g. spermine or spermidine
-
- A—HUMAN NECESSITIES
- A61—MEDICAL OR VETERINARY SCIENCE; HYGIENE
- A61K—PREPARATIONS FOR MEDICAL, DENTAL OR TOILETRY PURPOSES
- A61K47/00—Medicinal preparations characterised by the non-active ingredients used, e.g. carriers or inert additives; Targeting or modifying agents chemically bound to the active ingredient
- A61K47/50—Medicinal preparations characterised by the non-active ingredients used, e.g. carriers or inert additives; Targeting or modifying agents chemically bound to the active ingredient the non-active ingredient being chemically bound to the active ingredient, e.g. polymer-drug conjugates
- A61K47/51—Medicinal preparations characterised by the non-active ingredients used, e.g. carriers or inert additives; Targeting or modifying agents chemically bound to the active ingredient the non-active ingredient being chemically bound to the active ingredient, e.g. polymer-drug conjugates the non-active ingredient being a modifying agent
- A61K47/62—Medicinal preparations characterised by the non-active ingredients used, e.g. carriers or inert additives; Targeting or modifying agents chemically bound to the active ingredient the non-active ingredient being chemically bound to the active ingredient, e.g. polymer-drug conjugates the non-active ingredient being a modifying agent the modifying agent being a protein, peptide or polyamino acid
- A61K47/65—Peptidic linkers, binders or spacers, e.g. peptidic enzyme-labile linkers
-
- A—HUMAN NECESSITIES
- A61—MEDICAL OR VETERINARY SCIENCE; HYGIENE
- A61P—SPECIFIC THERAPEUTIC ACTIVITY OF CHEMICAL COMPOUNDS OR MEDICINAL PREPARATIONS
- A61P35/00—Antineoplastic agents
- A61P35/04—Antineoplastic agents specific for metastasis
Definitions
- Prostate cancer is the second most common malignancy in men and is the third most common cause of cancer death in men older than age 55.
- Harrison's Principles of Internal Medicine Eds. J. D. Wilson et al., 11th Edition, pp. 1630-1633, McGraw Hill, New York, 1991.
- New methods of identifying and treating prostate cancer early are extremely important in saving the lives of those afflicted.
- Presently, only a limited number of treatments are available for treatment of prostate cancer. These treatments include surgery, radiation therapy, and androgen deprivation.
- the present invention relates to a method of delivering a drug to a specific cell type, such as a cancer cell, in an individual by means of a drug complex which comprises three components and is also the subject of the present invention.
- the three components of the drug complex include the following: a targeting carrier molecule; a linker which is acted upon by a molecule present at an effective concentration in the environs of the specific cell (referred to as a target cell); and a drug (or agent) to be delivered to the specific cell type.
- the targeting carrier molecule is one which is delivered specifically to (has a biodistribution which favors) a specific cell type, or tissue containing the specific cell type, to which the drug is to be delivered.
- the linker can be any type of molecule such as a peptide, provided that it is a substrate for a molecule, such as an enzyme (e.g., a protease), which is found in the environs of the target cell to which the drug is to be delivered and is present in sufficient quantities at the site(s) of the target cell to act upon the linker and release the drug or agent to be delivered, such as by cleaving the linker.
- the linker can comprise more than one type of molecule.
- the linker can comprise a component which is a substrate for a molecule which acts upon it and releases the drug to be delivered and an additional component(s), such as a molecule which acts as a good leaving group; additional amino acid residues or other molecule, such as one which acts as a spacer between the targeting carrier molecule and the drug to be delivered.
- the drug or agent to be delivered can be any therapeutically or diagnostically useful drug or agent, such as a cytotoxic drug or an imaging agent. It remains essentially functionally inactive while it is a component of the drug complex; upon release at the site(s) of the target cells, the drug is functionally active (exerts or displays its therapeutic or diagnostic function(s)).
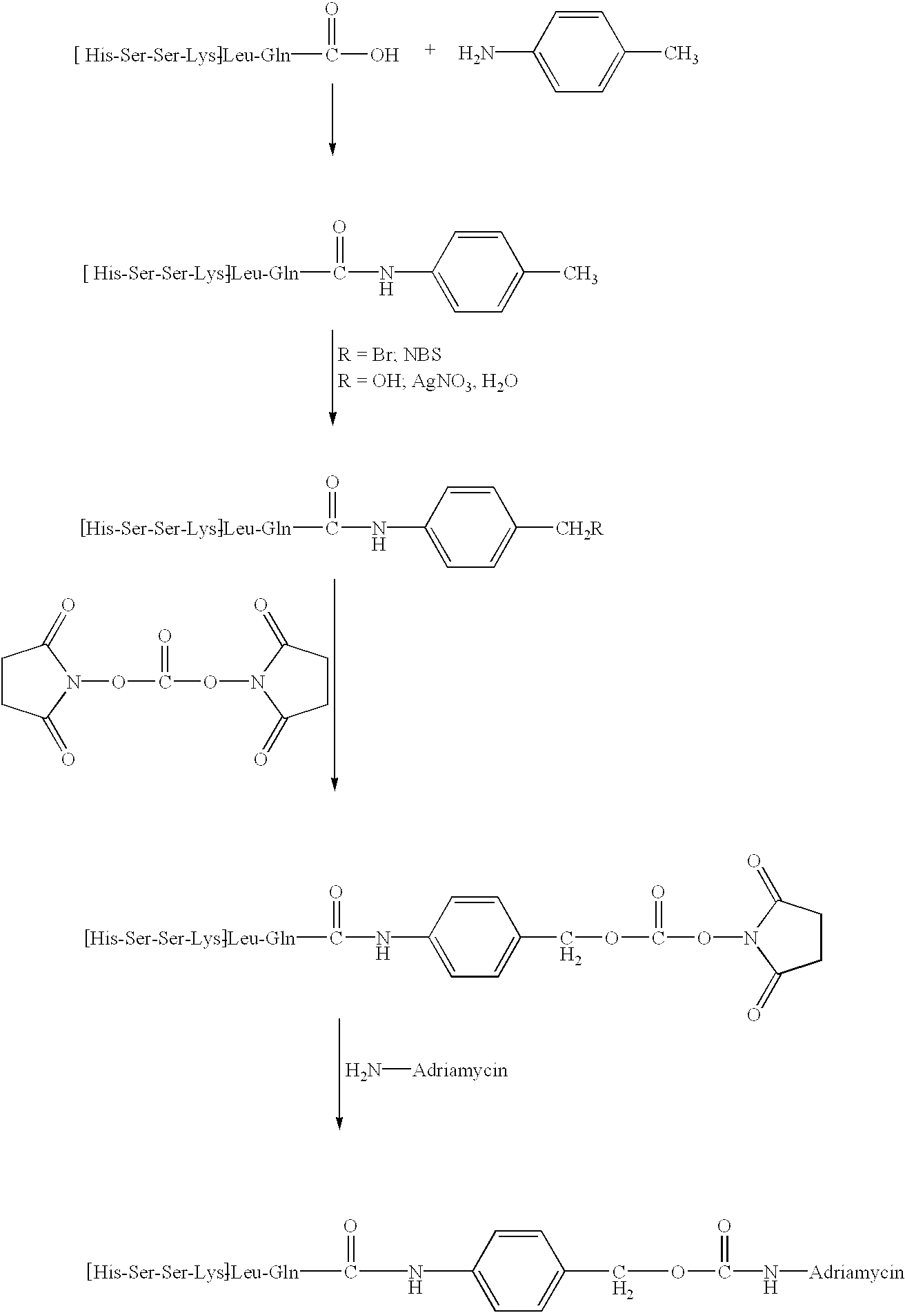
- the linker comprises a substrate for a molecule as described previously, and one or more other additional components, such as chemical molecules, e.g. para-amino benzoic acid (PABA) and para-aminobenzyloxycarbonyl (pABOC), which are good leaving groups.
- PABA para-amino benzoic acid
- pABOC para-aminobenzyloxycarbonyl
- amino acid residues there can be amino acid residues in addition to those acted upon by the enzyme or other molecule.
- Such amino acid residues can be at either or both ends (amino and/or carboxy terminus) of the amino acid residues acted upon.
- additional amino acid residue (or residues) is/are included between the carboxy terminal amino acid of the substrate and the drug or agent to be delivered.
- amino acid residues can be, for example, one or more amino acid residues of the substrate (e.g., if the enzyme cleaves at an internal amino acid residue in the substrate), one or more amino acid residues which are not substrate amino acid residues (e.g., if the enzyme cleaves between the carboxyl terminal amino acid residue of the substrate and the amino terminal amino acid residue of additional amino acids) or both.
- the additional amino acid residue(s) between the substrate carboxyl terminal amino acid residue and the drug or agent to be delivered to the target cell can be linked to the drug or agent in such a manner (e.g., through an amide bond, disulfide bond or ester bond) that cellular enzymes act upon them; resulting in release of the amino acid residue(s) attached to the drug or agent when it enters the cell.
- the drug or agent to be delivered can be any therapeutically or diagnostically useful drug or agent, such as a cytotoxic drug or an imaging agent.
- the present invention also relates to a method of delivering a drug to a specific cell type by means of the drug complex described herein.
- the drug complex is administered to an individual in need of therapy or in whom a diagnostic procedure or assessment is to be conducted.
- the present invention is a method of killing prostate cancer cells, including metastatic prostate cancer cells or androgen independent prostate cancer cells, in a man with prostate cancer.
- the method is particularly effective because it makes use of a drug complex whose components provide the basis for localization to and killing prostate cancer cells, particularly androgen-independent cancer cells.
- the method of killing metastatic prostate cancer cells comprises administering to the man a therapeutically effective amount of a drug complex which comprises three components: a targeting carrier molecule which is selectively delivered to prostate tissue, bone or both; a linker which comprises a component acted upon by prostate specific antigen (PSA) which is present in the microenvironment of malignant prostatic epithelial cells; and a cytotoxic drug which is toxic to prostatic cancer cells.
- PSA prostate specific antigen
- the present invention also relates to a method of treating metastatic cancer in an individual, in which the drug complex described above is administered to a man with prostate cancer, in a quantity sufficient to deliver the cytotoxic drug to prostate cancer cells at a concentration sufficient to kill some or all of the cancer cells or inhibit replication or division of the cancer cells.
- Drug complexes useful in the method of treating prostate cancer and the method of killing prostate cancer cells are also the subject of this invention.
- the drug complex comprises a targeting carrier molecule which is an imaging agent for prostate and prostate derived tumors, such as fluoropropylputrescine (e.g., N-3 fluoropropylputrescine); a peptide which serves as a linker and comprises amino acid residues acted upon by PSA; and a cytotoxic drug, which is linked to the targeting carrier molecule by the peptide.
- the linker can be comprised of more than one type of molecule, as described herein.
- the drug complex is administered to an individual by any route which results in delivery of the cytotoxic drug to prostate cells. In one embodiment, the drug complex is administered intravenously.
- FIG. 1 is a graphic representation of growth delay of the human DU-145 prostate carcinoma xenograft after treatment with fractionated radiation therapy (RT) on days 7-11 or with thapsigargin (TG) on days 4-18.
- RT fractionated radiation therapy
- TG thapsigargin
- FIG. 2 is a graphic representation of growth delay of the human DU-145 prostate carcinoma xenograft after treatment with fractionated RT on days 7-11 and 14-18 or with TG on days 4-18.
- FIG. 3 is a schematic representation of one embodiment of a drug complex of the present invention, which comprises a targeting carrier molecule (“carrier”), a peptide linker (“peptide”), and a drug (“drug”); the peptide is a substrate for a molecule whose action at the cleavage site results in cleavage of the drug from the drug complex.
- carrier a targeting carrier molecule
- peptide a peptide linker
- drug drug
- FIG. 4 is a schematic representation of one embodiment of a drug complex of the present invention in which the carrier is a polyamine, the peptide is a PSA-specific peptide and the drug is a cytotoxic drug.
- FIG. 5 is a schematic representation of a tyrosine-containing tripeptide (1) to which a succinyl ester group (MeO-Suc) is attached and of a para-nitroanilide (pNA) derivative of the tyrosine-containing peptide (2), with the PSA cleavage site indicated an arrow.
- a succinyl ester group MeO-Suc
- pNA para-nitroanilide
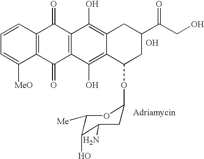
- FIG. 6 is a schematic representation of a tyrosine-containing tripeptide with adriamycin attached directly to the tripeptide via adriamycin's NH 2 group; MeO-Suc represents a succinyl ester group attached to the tyrosine-containing tripeptide.
- FIG. 7 is a schematic representation of one embodiment of the present invention in which the synthesized compound contains pABA.
- FIG. 7 shows a model compound (4) that demonstrated that pABA is a good leaving group and that pABA can activate the tyrosine carbonyl for hydrolysis.
- FIG. 7 further shows a compound (5) comprising a succinyl ester group (MeO-Suc) attached to a tripeptide (Arg-Pro-Tyr), which is attached to pABA, which is attached to adriamycin.
- FIG. 7 shows a compound (6), which arises as a result of the cleavage of compound (5) by PSA.
- FIG. 8 is a schematic representation of one embodiment of the present invention in which the synthesized compound contains pABOC.
- FIG. 8 shows a compound (7) comprising a succinyl ester group (MeO-Suc) attached to a tripeptide (Arg-Pro-Tyr), which is attached to pABOC, which is attached to adriamycin.
- FIG. 8 further shows how the fluorine-containing pABOC, being electron-withdrawing, activates the tyrosine carbonyl toward hydrolysis (8).
- FIG. 8 shows how the spontaneous breakdown of 8, results in the release of “native” adriamycin.
- the present invention relates to a method of selectively delivering a drug or other agent to a particular cell type by means of a drug complex which includes at least three components: a targeting carrier molecule which is selectively distributed to the cell type or tissue to which the drug or agent is to be delivered; a linker which is acted upon (cleaved or otherwise broken or disrupted) by a molecule present at the site to which the drug or agent is to be delivered; and a drug or agent to be delivered.
- the invention also relates to the drug complex, which, optionally, includes additional components.
- the drug complex is administered via an appropriate route to an individual in need of the drug or agent.
- the drug complex moves to the cells or tissues to which the targeting carrier molecule is specifically delivered.
- the linker is cleaved by the molecule present at the site to which the drug or agent is to be delivered and the drug or agent is made available to enter into or otherwise interact with the specific cell type.
- the location(s) in the body at which the tissue or cell type(s) to which a drug or agent is to be delivered are referred to as site(s) of the target cell(s).
- the invention is a method of treating prostate cancer by killing prostate cancer cells or inhibiting replication or division of prostate cancer cells, such as androgen independent prostate cancer cells.
- the drug complex comprises three components: a targeting carrier molecule which is any agent or molecule which is selectively delivered to prostate, bone or both; a linker which is cleaved by PSA; and a drug which is cytotoxic to cancer cells, particularly androgen independent prostatic cancer cells.
- the linker may be comprised of more than one type of molecule.
- the linker may comprise a substrate for a molecule as described previously, and may also include one or more other molecules, such as one or more desirable chemical molecules, e.g. para-amino benzoic acid (pABA) and para-aminobenzyloxycarbonyl (pABOC).
- a selectively delivered drug is one which is delivered or distributed to the targeted cell or tissue to an extent sufficient for delivery of the drug or agent, such as a cytotoxic drug or agent, in a quantity or concentration sufficient to have the desired therapeutic or diagnostic effects.
- the desired effect is killing of some or all of the cancer cells (e.g., prostatic cancer cells) in an individual or at least a reduction in replication or division of the cancerous cells.
- the targeting carrier molecule generally will be a molecule which is distributed to a limited number of sites within the body, but it is not necessary that it be delivered only to those sites.
- the targeting carrier molecule can be an imaging agent, such as N-3 fluoropropylputrescine which is selectively distributed to prostate and bone, relative to blood and muscle, after administration to a man.
- the targeting carrier molecule is a polyamine (e.g., putrescine, spermine or spermidine) because of its affinity to prostatic cancer cells through the polyamine surface receptor molecules present on prostatic epithelial cells.
- the linker which is acted upon by a molecule which is present at an effective concentration in the environs of the specific cell, may be any entity which is acted upon by a molecule, such as an enzyme, at or within a given target cell. Acted upon is defined as any change in the linker induced by the molecule at or within the given target cell which results in release of the drug.
- the linker comprises amino acid residues which are acted upon by PSA.
- the linker used comprises at least those amino acid residues necessary for PSA to act, resulting in cleavage of the linker and release of the cytotoxic drug.
- the linker may comprise additional amino acid residues, which may be the same as those in the PSA peptide substrate or different (e.g., they can be random or filler amino acid residues, amino acid residues which enhance uptake of the cytotoxic drug into the prostatic cancer cell, amino acid residues which stabilize the cytotoxic drug or enhance its resistance to degradation once inside the cell or amino acid residues which are substrates for cellular enzymes).
- the linker can comprise more than one type of molecule.
- the linker may comprise amino acid residues acted upon by PSA as described previously, and may also include one or more other molecules, such as one or more desirable chemical molecules, e.g. para-amino benzoic acid (PABA) and para-aminobenzyloxycarbonyl (pABOC).
- PABA para-amino benzoic acid
- pABOC para-aminobenzyloxycarbonyl
- Examples of possible amino acids that can be used in the subject invention include the following combinations of amino acid residues, as represented in Table 1 of Denmeade et al., Cancer Research 57: 4924-4930 (1997): KGISSQY (SEQ ID NO.: 1); SRKSQQY (SEQ ID NO.: 2); GQKGQHY (SEQ ID NO.: 3); EHSSKLQ (SEQ ID NO.: 4); QNKISYQ (SEQ ID NO.: 5); ENKISYQ (SEQ ID NO.: 6); ATKSKQH (SEQ ID NO.: 7); KGLSSQC (SEQ ID NO.: 8); LGGSQQL (SEQ ID NO.: 9); QNKGHYQ (SEQ ID NO.: 10); TEERQLH (SEQ ID NO.: 11); GSFSIQH (SEQ ID NO.: 12); HSSKLQ (SEQ ID NO.: 13); SKLQ (SEQ ID NO.: 14); KLQ
- AKFE SEQ ID NO. 17
- the peptide link between the targeting carrier molecule and the cytotoxic drug will be sustained because there is insufficient unbound PSA to act to a significant extent on the linking peptide that is substrate for unbound PSA.
- PSA will cleave the linking peptide to a great extent and thereby release the cytotoxic drug into the cell.
- the targeting carrier molecule is highly target specific for the androgen independent prostate cancer cell. Such a highly target specific targeting carrier molecule will increase the efficacy of and decrease the toxicity of the cytotoxic drug component used.
- Targeting molecules can be, for example, polyamines, e.g., putrescine, spermine or spermidine, which provide affinity to prostatic cancer cells through the polyamine surface receptor molecules present on prostatic epithelial cells.
- a specific example of such a targeting carrier molecule is N-3 fluoropropylputrescine. (Hwang, D. et al., J. Nucl. Med., 30:1205-1210 (1989)).
- the cytotoxic drug which is a component of the drug complex can be any agent effective in killing prostate cancer cells, including metastatic prostate cancer cells.
- any of the following drugs can be used: adriamycin, amonafide, cisplatin, carboplatin (CBDCA), CHIP, cyclophosphamide, doxorubicin, epirubicin, estramustine, etoposide, 5-fluorouracil, gallium nitrate, idarubicin, ifosfamide+mesna, ketoconazole, liarozole (R85,246), methotrexate, mitomycin C, mitoguazone, mitoxantrone, proscar (finasteride), suramin, taxol, thapsigargin, trimetrexate, vinblastine (CI), and vinblastine and emcyt.
- Adriamycin is particularly desirable for several reasons. First, it gives a response rate of 15-20% in hormone refractory metastatic prostate cancer with a median survival of 33 weeks. These results are among the best noted for single agents in this disease. (Kreis, W., Cancer Investigation, 13:296-312 (1996)). Second, the chemistry is well established. For example, adriamycin can be easily coupled to peptides through its amino (—NH 2 ) group. (Nogusa, H. et al., Chem. Pharm. Bull. Jpn., 43:1931-1936 (1995). Moreover, several of its analogs, including N-substituted ones, are known to display high anticancer activity. (Israel, A. et al., Cancer Treatment Reviews, 14:163-167 (1987).
- Thapsigargin is a sesquiterpene lactone extracted from the roots of the umbelliferous plant Thapsia garganica L. (Thastrup, O. et al., Proc. Nat. Acad. Sci., USA, 87:2466-2470 (1990)).
- This highly lipophilic agent specifically inhibits Ca ++ -ATPase pumps of the endoplasmic reticulum, but not the pumps of erythrocytes, plasma, or mitochondrial membranes.
- the dose of the drug complex to be used is a sufficient quantity of complex to result in delivery and availability to target cells of the cytotoxic drug at a therapeutically effective level. Dose will be determined empirically and will be determined, for example, by the stage or condition of the disease for which an individual is being treated, the individual's general health, size, age, and sex. In the embodiment of the present invention in which a man is treated for prostate cancer, the dose will be determined by taking into consideration the cytotoxic drug being used, the stage of the cancer, and the man's age, general health and size.
- the timing and number of doses of the drug complex administered will also be determined empirically.
- the number of doses may be at any interval sufficient to promote or to result in killing of cells and/or inhibition of replication or division.
- the drug complex can be administered hourly, daily, weekly, monthly, or any combination thereof.
- the route of administration can be any route that delivers a therapeutically effective quantity of the drug complex to the target cells, such as to prostate cancer cells.
- the formulation of the drug complex can be any pharmaceutically effective formulation or carrier, such as any physiologically acceptable buffer, saline solution, or water.
- the prodrug of the invention has the structure shown below, and is believed to have a prostate specific antigen (PSA) cleavage site as indicated.
- PSA prostate specific antigen
- R represents a polyarnine attached through the amino group of the N-terminal amino acid Histidine
- Adriamycin indicates attachment of Adriamycin (structure given below) through its amino group.
- PC3 and DU-145 androgen-independent human prostate cancer cell lines obtained from the American Tissue Culture Collection (ATCC) are used for in vitro studies.
- Cells are grown as monolayer cultures in RPMI 1640 medium supplemented with 10% fetal bovine serum, 2 mM glutamine and antibiotics. Radiation survival curves and radiation-induced apoptotic DNA fragmentation patterns in these cell lines are already established in the laboratory. Cells are treated with this drug, carrier-peptide, or carrier-peptide-drug complex with or without radiation. After 24 hours, the cells are trypsinized and plated for clonogenic survival studies.
- Apoptotic response to the treatments is determined by: 1) agarose gel electrophoresis analysis of DNA fragmentation at 48 and 72 hours after treatment, 2) morphological observations after staining with DAPI, and 3) terminal deoxytransferase-mediated dUTP Nick End Labeling (TUNEL) assay.
- Two human prostate carcinoma tumor lines grown as xenografts in male SCID mice are used: the human DU-145 prostate carcinoma which is not androgen dependent and the human LNCaP prostate carcinoma which produces PSA and has a well characterized androgen receptor and response to androgens.
- the drug complexes are administered up to maximally tolerated doses alone and in conjunction with fractionated radiation therapy ( 137 Cs Gamma Cell 40) delivered to the tumor bearing limb.
- the progress of each tumor is assessed thrice weekly by caliper measurements until the tumors reach 2000 mm 3 .
- Tumor growth delay is calculated as the number of days for each tumor to reach a volume of 500 mm 3 as compared to untreated controls.
- the efficacy of combination treatments is assessed using isobologram analysis for determination of additivity/synergy.
- a drug complex is chosen for testing in ten patients with hormone refractory metastatic prostate cancer.
- a single intravenous dose of the drug complex is given on an inpatient basis with cardiorespiratory monitoring.
- Toxicity evaluation of all major organ systems is evaluated using blood, urine, stool, and, if necessary, bone marrow studies. Doses are escalated in 10% increments per patient until the maximal response with acceptable toxicity is reached. Response is assessed using a combination of a weekly digital rectal examination (DRE), PSA, LDH, hemoglobin, and monthly bone scan.
- the starting dose is selected on the toxicity data from the preceding animal studies.
- Table 1 shows the effect of thapsigargin and radiotherapy on proliferation of DU-145 prostate cancer cells. The results indicate that thapsigargin inhibits cell proliferation in vitro. TABLE 1 Effect of TG and RT on proliferation of DU-145 prostate cancer cells* Total Number of Cells per Thapsigargin Dish (10 6 ) (nM) 0 Gy 2 Gy 4 Gy 8 Gy 0 2.1 1.4 1.2 0.5 20 1.0 0.8 0.3 0.4 100 0.7 0.5 0.5 0.4 400 0.7 0.4 0.3 0.3 0.3 0.3 0.3 0.3
- Table 2 shows the effect of thapsigargin and radiotherapy on clonogenic cell survival of PC3 prostate cancer cells. The results indicate that thapsigargin inhibits clonogenic survival in vitro.
- TABLE 2 Effect of TG and RT on clonogenic survival of PC3 cells**
- Surviving Fraction (SF) NET survival
- Thapsigargin (PE treated/PE control) (SF/TG toxicity) (nM) 0 Gy 2 Gy 4 Gy 2 Gy 4 Gy 0 1 (0.8) 0.57 0.38 0.57 0.38 20 0.69 0.42 0.23 0.61 0.33 50 0.80 0.39 0.23 0.49 0.29 100 0.62 0.25 0.18 0.40 0.30 200 0.58 0.25 0.13 0.43 0.22 400 0.60 0.25 0.13 0.42 0.22
- mice bearing the human DU-145 prostate carcinoma Xenograft growing subcutaneously in a hind-limb were treated daily with TG (0.5 mg/kg) by IP injection from day 4-18 post tumor cell implantation.
- Some animal groups also received fractionated RT locally to the tumor bearing region on days 7-11 or days 7-11 and 14-18.
- FIG. 1 low dose TG (0.5 mg/kg) administration produced a measurable tumor growth delay and, when given in conjunction with RT, the independent effects of TG and RT were additive.
- the RT regimen was extended to 2 weeks, the additional benefit of the TG administration was maintained.
- a tyrosine tripeptide (compound 1 in FIG. 5) was prepared using methods known to those in the peptide chemistry art. It is known that PSA cleaves its para-nitroanilide (pNA) derivative at the tyrosine site (compound 2 in FIG. 5). (Christensson, A. et al., Eur. J. Biochem., 194:755-763 (1990)). It is also known that the “released” pNA makes it possible to study this reaction colormetrically. Using this feature, it was demonstrated that the sonicate from a cell line that is known to produce PSA, i.e. LNCaP, cleaves compound 2 in FIG. 5.
- pNA para-nitroanilide
- the pNA group was replaced with adriamycin, i.e. by attaching adriamycin directly to the tyrosine (FIG. 6) via adriamycin's —NH 2 group. It was hypothesized that PSA would cleave the molecule of FIG. 6 at the tyrosine site and release adriamycin. However, there was no cleavage and no release of adriamycin.
- adriamycin to a tripeptide molecule (see compound 1 of FIG. 5) through a para-amino benzoic acid can solve the problems previously discussed for the following reasons: (a) pABA can function as a good leaving group because it contains an electron withdrawing carbonyl group in the para-position, (b) because pABA is electron-withdrawing, it can activate the tyrosine carbonyl hydrolysis, and (c) PSA activity may not be sterically hindered as the pABA linker can keep adriamycin away from the tyrosine cleavage site.
- Cleavage of compound 5 can be assessed using the sonicate of LNCaP that exhibits “PSA-like” activity. It is expected that cleavage will occur at the tyrosine site of compound 5. However, what will be “released” is an analog of adriamycin (compound 6 of FIG. 7) and not adriamycin itself. The ability of this analog to intercalate DNA can be assessed and compared with that of native adriamycin using known methods, such as measurement of emissions at 450 nm on ethanol-precipitated DNA. The data is also normalized for efficiency of precipitation by assaying the DNA at 260 nm.
Landscapes
- Health & Medical Sciences (AREA)
- Life Sciences & Earth Sciences (AREA)
- Veterinary Medicine (AREA)
- Animal Behavior & Ethology (AREA)
- Public Health (AREA)
- Chemical & Material Sciences (AREA)
- Medicinal Chemistry (AREA)
- Pharmacology & Pharmacy (AREA)
- General Health & Medical Sciences (AREA)
- Engineering & Computer Science (AREA)
- Bioinformatics & Cheminformatics (AREA)
- Epidemiology (AREA)
- Proteomics, Peptides & Aminoacids (AREA)
- Immunology (AREA)
- Gastroenterology & Hepatology (AREA)
- Molecular Biology (AREA)
- Biophysics (AREA)
- Oncology (AREA)
- Chemical Kinetics & Catalysis (AREA)
- Organic Chemistry (AREA)
- Nuclear Medicine, Radiotherapy & Molecular Imaging (AREA)
- General Chemical & Material Sciences (AREA)
- Medicines That Contain Protein Lipid Enzymes And Other Medicines (AREA)
- Medicinal Preparation (AREA)
- Peptides Or Proteins (AREA)
- Pharmaceuticals Containing Other Organic And Inorganic Compounds (AREA)
Abstract
A drug complex for delivery of a drug or other agent to a target cell, comprising a targeting carrier molecule which is selectively distributed to a specific cell type or tissue containing the specific cell type; a linker which is acted upon by a molecule which is present at an effective concentration in the environs of the specific cell type; and a drug or an agent to be delivered to the specific cell type. In particular, a drug complex for delivering a cytotoxic drug to prostate cancer cells, comprising a targeting carrier molecule which is selectively delivered to prostate tissue, bone or both; a peptide which is a substrate for prostate specific antigen; and a cytotoxic drug which is toxic to androgen independent prostate cancer cells.
Description
- This application is a divisional of U.S. application Ser. No. 09/110,822 filed Jul. 6, 1998, which is a continuation-in-part of application Ser. No. 09/003,838 filed Jan. 7, 1998, which is a continuation of application Ser. No. 08/713,114 filed Sep. 16, 1996, now abandoned, the teachings of which are incorporated herein in their entirety.
- Prostate cancer is the second most common malignancy in men and is the third most common cause of cancer death in men older than age 55. Harrison's Principles of Internal Medicine, Eds. J. D. Wilson et al., 11th Edition, pp. 1630-1633, McGraw Hill, New York, 1991. New methods of identifying and treating prostate cancer early are extremely important in saving the lives of those afflicted. Presently, only a limited number of treatments are available for treatment of prostate cancer. These treatments include surgery, radiation therapy, and androgen deprivation.
- There is a need for additional methods of treatment of prostate cancer.
- The present invention relates to a method of delivering a drug to a specific cell type, such as a cancer cell, in an individual by means of a drug complex which comprises three components and is also the subject of the present invention. The three components of the drug complex include the following: a targeting carrier molecule; a linker which is acted upon by a molecule present at an effective concentration in the environs of the specific cell (referred to as a target cell); and a drug (or agent) to be delivered to the specific cell type. The targeting carrier molecule is one which is delivered specifically to (has a biodistribution which favors) a specific cell type, or tissue containing the specific cell type, to which the drug is to be delivered. The linker can be any type of molecule such as a peptide, provided that it is a substrate for a molecule, such as an enzyme (e.g., a protease), which is found in the environs of the target cell to which the drug is to be delivered and is present in sufficient quantities at the site(s) of the target cell to act upon the linker and release the drug or agent to be delivered, such as by cleaving the linker. The linker can comprise more than one type of molecule. For example, the linker can comprise a component which is a substrate for a molecule which acts upon it and releases the drug to be delivered and an additional component(s), such as a molecule which acts as a good leaving group; additional amino acid residues or other molecule, such as one which acts as a spacer between the targeting carrier molecule and the drug to be delivered. The drug or agent to be delivered can be any therapeutically or diagnostically useful drug or agent, such as a cytotoxic drug or an imaging agent. It remains essentially functionally inactive while it is a component of the drug complex; upon release at the site(s) of the target cells, the drug is functionally active (exerts or displays its therapeutic or diagnostic function(s)). In one embodiment, the linker comprises a substrate for a molecule as described previously, and one or more other additional components, such as chemical molecules, e.g. para-amino benzoic acid (PABA) and para-aminobenzyloxycarbonyl (pABOC), which are good leaving groups. Optionally, there can be amino acid residues in addition to those acted upon by the enzyme or other molecule. Such amino acid residues can be at either or both ends (amino and/or carboxy terminus) of the amino acid residues acted upon. In one embodiment, additional amino acid residue (or residues) is/are included between the carboxy terminal amino acid of the substrate and the drug or agent to be delivered. Cleavage of the substrate results in a product in which an amino acid residue(s) is attached to the drug or agent delivered to the target cell. Such amino acid residues can be, for example, one or more amino acid residues of the substrate (e.g., if the enzyme cleaves at an internal amino acid residue in the substrate), one or more amino acid residues which are not substrate amino acid residues (e.g., if the enzyme cleaves between the carboxyl terminal amino acid residue of the substrate and the amino terminal amino acid residue of additional amino acids) or both. The additional amino acid residue(s) between the substrate carboxyl terminal amino acid residue and the drug or agent to be delivered to the target cell can be linked to the drug or agent in such a manner (e.g., through an amide bond, disulfide bond or ester bond) that cellular enzymes act upon them; resulting in release of the amino acid residue(s) attached to the drug or agent when it enters the cell. The drug or agent to be delivered can be any therapeutically or diagnostically useful drug or agent, such as a cytotoxic drug or an imaging agent.
- The present invention also relates to a method of delivering a drug to a specific cell type by means of the drug complex described herein. In the method, the drug complex is administered to an individual in need of therapy or in whom a diagnostic procedure or assessment is to be conducted.
- In one embodiment, the present invention is a method of killing prostate cancer cells, including metastatic prostate cancer cells or androgen independent prostate cancer cells, in a man with prostate cancer. The method is particularly effective because it makes use of a drug complex whose components provide the basis for localization to and killing prostate cancer cells, particularly androgen-independent cancer cells. The method of killing metastatic prostate cancer cells comprises administering to the man a therapeutically effective amount of a drug complex which comprises three components: a targeting carrier molecule which is selectively delivered to prostate tissue, bone or both; a linker which comprises a component acted upon by prostate specific antigen (PSA) which is present in the microenvironment of malignant prostatic epithelial cells; and a cytotoxic drug which is toxic to prostatic cancer cells. The present invention also relates to a method of treating metastatic cancer in an individual, in which the drug complex described above is administered to a man with prostate cancer, in a quantity sufficient to deliver the cytotoxic drug to prostate cancer cells at a concentration sufficient to kill some or all of the cancer cells or inhibit replication or division of the cancer cells. Drug complexes useful in the method of treating prostate cancer and the method of killing prostate cancer cells (such as androgen independent cells) are also the subject of this invention.
- In a further embodiment, the drug complex comprises a targeting carrier molecule which is an imaging agent for prostate and prostate derived tumors, such as fluoropropylputrescine (e.g., N-3 fluoropropylputrescine); a peptide which serves as a linker and comprises amino acid residues acted upon by PSA; and a cytotoxic drug, which is linked to the targeting carrier molecule by the peptide. The linker can be comprised of more than one type of molecule, as described herein. The drug complex is administered to an individual by any route which results in delivery of the cytotoxic drug to prostate cells. In one embodiment, the drug complex is administered intravenously.
- Combining a targeting carrier molecule with specificity for prostate tissue, bone or both with a cytotoxic drug, which are joined by a linking peptide that is a substrate for PSA, provides a treatment for cancer having higher efficacy and lower toxicity than presently available treatments.
- FIG. 1 is a graphic representation of growth delay of the human DU-145 prostate carcinoma xenograft after treatment with fractionated radiation therapy (RT) on days 7-11 or with thapsigargin (TG) on days 4-18.
- FIG. 2 is a graphic representation of growth delay of the human DU-145 prostate carcinoma xenograft after treatment with fractionated RT on days 7-11 and 14-18 or with TG on days 4-18.
- FIG. 3 is a schematic representation of one embodiment of a drug complex of the present invention, which comprises a targeting carrier molecule (“carrier”), a peptide linker (“peptide”), and a drug (“drug”); the peptide is a substrate for a molecule whose action at the cleavage site results in cleavage of the drug from the drug complex.
- FIG. 4 is a schematic representation of one embodiment of a drug complex of the present invention in which the carrier is a polyamine, the peptide is a PSA-specific peptide and the drug is a cytotoxic drug.
- FIG. 5 is a schematic representation of a tyrosine-containing tripeptide (1) to which a succinyl ester group (MeO-Suc) is attached and of a para-nitroanilide (pNA) derivative of the tyrosine-containing peptide (2), with the PSA cleavage site indicated an arrow.
- FIG. 6 is a schematic representation of a tyrosine-containing tripeptide with adriamycin attached directly to the tripeptide via adriamycin's NH 2 group; MeO-Suc represents a succinyl ester group attached to the tyrosine-containing tripeptide.
- FIG. 7 is a schematic representation of one embodiment of the present invention in which the synthesized compound contains pABA. FIG. 7 shows a model compound (4) that demonstrated that pABA is a good leaving group and that pABA can activate the tyrosine carbonyl for hydrolysis. FIG. 7 further shows a compound (5) comprising a succinyl ester group (MeO-Suc) attached to a tripeptide (Arg-Pro-Tyr), which is attached to pABA, which is attached to adriamycin. Finally, FIG. 7 shows a compound (6), which arises as a result of the cleavage of compound (5) by PSA.
- FIG. 8 is a schematic representation of one embodiment of the present invention in which the synthesized compound contains pABOC. FIG. 8 shows a compound (7) comprising a succinyl ester group (MeO-Suc) attached to a tripeptide (Arg-Pro-Tyr), which is attached to pABOC, which is attached to adriamycin. FIG. 8 further shows how the fluorine-containing pABOC, being electron-withdrawing, activates the tyrosine carbonyl toward hydrolysis (8). Finally, FIG. 8 shows how the spontaneous breakdown of 8, results in the release of “native” adriamycin.
- The present invention relates to a method of selectively delivering a drug or other agent to a particular cell type by means of a drug complex which includes at least three components: a targeting carrier molecule which is selectively distributed to the cell type or tissue to which the drug or agent is to be delivered; a linker which is acted upon (cleaved or otherwise broken or disrupted) by a molecule present at the site to which the drug or agent is to be delivered; and a drug or agent to be delivered. The invention also relates to the drug complex, which, optionally, includes additional components. In the method, the drug complex is administered via an appropriate route to an individual in need of the drug or agent. The drug complex moves to the cells or tissues to which the targeting carrier molecule is specifically delivered. The linker is cleaved by the molecule present at the site to which the drug or agent is to be delivered and the drug or agent is made available to enter into or otherwise interact with the specific cell type. The location(s) in the body at which the tissue or cell type(s) to which a drug or agent is to be delivered are referred to as site(s) of the target cell(s).
- In a particular embodiment, the invention is a method of treating prostate cancer by killing prostate cancer cells or inhibiting replication or division of prostate cancer cells, such as androgen independent prostate cancer cells. In this embodiment, the drug complex comprises three components: a targeting carrier molecule which is any agent or molecule which is selectively delivered to prostate, bone or both; a linker which is cleaved by PSA; and a drug which is cytotoxic to cancer cells, particularly androgen independent prostatic cancer cells. Additionally, the linker may be comprised of more than one type of molecule. For example, the linker may comprise a substrate for a molecule as described previously, and may also include one or more other molecules, such as one or more desirable chemical molecules, e.g. para-amino benzoic acid (pABA) and para-aminobenzyloxycarbonyl (pABOC).
- A selectively delivered drug is one which is delivered or distributed to the targeted cell or tissue to an extent sufficient for delivery of the drug or agent, such as a cytotoxic drug or agent, in a quantity or concentration sufficient to have the desired therapeutic or diagnostic effects. In the case of treatment of cancer, such as the treatment of prostate cancer, the desired effect is killing of some or all of the cancer cells (e.g., prostatic cancer cells) in an individual or at least a reduction in replication or division of the cancerous cells. In other words, the targeting carrier molecule generally will be a molecule which is distributed to a limited number of sites within the body, but it is not necessary that it be delivered only to those sites. For example, the targeting carrier molecule can be an imaging agent, such as N-3 fluoropropylputrescine which is selectively distributed to prostate and bone, relative to blood and muscle, after administration to a man. In the embodiment in which prostate cancer is treated, the targeting carrier molecule is a polyamine (e.g., putrescine, spermine or spermidine) because of its affinity to prostatic cancer cells through the polyamine surface receptor molecules present on prostatic epithelial cells.
- The linker, which is acted upon by a molecule which is present at an effective concentration in the environs of the specific cell, may be any entity which is acted upon by a molecule, such as an enzyme, at or within a given target cell. Acted upon is defined as any change in the linker induced by the molecule at or within the given target cell which results in release of the drug.
- In the embodiment in which the drug complex is used to treat prostate cancer, the linker comprises amino acid residues which are acted upon by PSA. The linker used comprises at least those amino acid residues necessary for PSA to act, resulting in cleavage of the linker and release of the cytotoxic drug. The linker may comprise additional amino acid residues, which may be the same as those in the PSA peptide substrate or different (e.g., they can be random or filler amino acid residues, amino acid residues which enhance uptake of the cytotoxic drug into the prostatic cancer cell, amino acid residues which stabilize the cytotoxic drug or enhance its resistance to degradation once inside the cell or amino acid residues which are substrates for cellular enzymes). Optionally, the linker can comprise more than one type of molecule. For example, the linker may comprise amino acid residues acted upon by PSA as described previously, and may also include one or more other molecules, such as one or more desirable chemical molecules, e.g. para-amino benzoic acid (PABA) and para-aminobenzyloxycarbonyl (pABOC).
- Examples of possible amino acids that can be used in the subject invention include the following combinations of amino acid residues, as represented in Table 1 of Denmeade et al., Cancer Research 57: 4924-4930 (1997): KGISSQY (SEQ ID NO.: 1); SRKSQQY (SEQ ID NO.: 2); GQKGQHY (SEQ ID NO.: 3); EHSSKLQ (SEQ ID NO.: 4); QNKISYQ (SEQ ID NO.: 5); ENKISYQ (SEQ ID NO.: 6); ATKSKQH (SEQ ID NO.: 7); KGLSSQC (SEQ ID NO.: 8); LGGSQQL (SEQ ID NO.: 9); QNKGHYQ (SEQ ID NO.: 10); TEERQLH (SEQ ID NO.: 11); GSFSIQH (SEQ ID NO.: 12); HSSKLQ (SEQ ID NO.: 13); SKLQ (SEQ ID NO.: 14); KLQ (SEQ ID NO.: 15) and LQ (SEQ ID NO.: 16).
- Another example of a possible combination of amino acids that can be used in the subject invention is AKFE (SEQ ID NO.: 17).
- In the bloodstream, the peptide link between the targeting carrier molecule and the cytotoxic drug will be sustained because there is insufficient unbound PSA to act to a significant extent on the linking peptide that is substrate for unbound PSA. In the microenvironment of the androgen independent prostate cancer cells, where unbound PSA is found in large concentrations, PSA will cleave the linking peptide to a great extent and thereby release the cytotoxic drug into the cell. By having the features of specificity for prostate and bone and the required presence of unbound PSA for drug release, the targeting carrier molecule is highly target specific for the androgen independent prostate cancer cell. Such a highly target specific targeting carrier molecule will increase the efficacy of and decrease the toxicity of the cytotoxic drug component used. Targeting molecules can be, for example, polyamines, e.g., putrescine, spermine or spermidine, which provide affinity to prostatic cancer cells through the polyamine surface receptor molecules present on prostatic epithelial cells. A specific example of such a targeting carrier molecule is N-3 fluoropropylputrescine. (Hwang, D. et al., J. Nucl. Med., 30:1205-1210 (1989)).
- The cytotoxic drug which is a component of the drug complex can be any agent effective in killing prostate cancer cells, including metastatic prostate cancer cells. For example, any of the following drugs can be used: adriamycin, amonafide, cisplatin, carboplatin (CBDCA), CHIP, cyclophosphamide, doxorubicin, epirubicin, estramustine, etoposide, 5-fluorouracil, gallium nitrate, idarubicin, ifosfamide+mesna, ketoconazole, liarozole (R85,246), methotrexate, mitomycin C, mitoguazone, mitoxantrone, proscar (finasteride), suramin, taxol, thapsigargin, trimetrexate, vinblastine (CI), and vinblastine and emcyt.
- Adriamycin is particularly desirable for several reasons. First, it gives a response rate of 15-20% in hormone refractory metastatic prostate cancer with a median survival of 33 weeks. These results are among the best noted for single agents in this disease. (Kreis, W., Cancer Investigation, 13:296-312 (1996)). Second, the chemistry is well established. For example, adriamycin can be easily coupled to peptides through its amino (—NH2) group. (Nogusa, H. et al., Chem. Pharm. Bull. Jpn., 43:1931-1936 (1995). Moreover, several of its analogs, including N-substituted ones, are known to display high anticancer activity. (Israel, A. et al., Cancer Treatment Reviews, 14:163-167 (1987).
- Another cytotoxic drug, Thapsigargin, is a sesquiterpene lactone extracted from the roots of the umbelliferous plant Thapsia garganica L. (Thastrup, O. et al., Proc. Nat. Acad. Sci., USA, 87:2466-2470 (1990)). This highly lipophilic agent specifically inhibits Ca++-ATPase pumps of the endoplasmic reticulum, but not the pumps of erythrocytes, plasma, or mitochondrial membranes.
- In vitro treatment with 500 nm thapsigargin in a series of both rat and human androgen independent prostate cancer cell lines, which either express or completely lack p53 protein expression, results in the elevation of intracellular Ca ++. Within 72 to 96 hours, these cells undergo apoptosis and lose their clonogenic potential.
- The dose of the drug complex to be used is a sufficient quantity of complex to result in delivery and availability to target cells of the cytotoxic drug at a therapeutically effective level. Dose will be determined empirically and will be determined, for example, by the stage or condition of the disease for which an individual is being treated, the individual's general health, size, age, and sex. In the embodiment of the present invention in which a man is treated for prostate cancer, the dose will be determined by taking into consideration the cytotoxic drug being used, the stage of the cancer, and the man's age, general health and size.
- The timing and number of doses of the drug complex administered will also be determined empirically. The number of doses may be at any interval sufficient to promote or to result in killing of cells and/or inhibition of replication or division. For example, the drug complex can be administered hourly, daily, weekly, monthly, or any combination thereof.
- The route of administration can be any route that delivers a therapeutically effective quantity of the drug complex to the target cells, such as to prostate cancer cells. The formulation of the drug complex can be any pharmaceutically effective formulation or carrier, such as any physiologically acceptable buffer, saline solution, or water.
-
-
-
-
- The present invention is illustrated by the following examples, which are not intended to be limiting in any way.
- In Vitro Testing of Drug Complexes
- PC3 and DU-145 androgen-independent human prostate cancer cell lines obtained from the American Tissue Culture Collection (ATCC) are used for in vitro studies. Cells are grown as monolayer cultures in RPMI 1640 medium supplemented with 10% fetal bovine serum, 2 mM glutamine and antibiotics. Radiation survival curves and radiation-induced apoptotic DNA fragmentation patterns in these cell lines are already established in the laboratory. Cells are treated with this drug, carrier-peptide, or carrier-peptide-drug complex with or without radiation. After 24 hours, the cells are trypsinized and plated for clonogenic survival studies. Apoptotic response to the treatments is determined by: 1) agarose gel electrophoresis analysis of DNA fragmentation at 48 and 72 hours after treatment, 2) morphological observations after staining with DAPI, and 3) terminal deoxytransferase-mediated dUTP Nick End Labeling (TUNEL) assay.
- In Vivo Testing of Drug Complexes
- Two human prostate carcinoma tumor lines grown as xenografts in male SCID mice are used: the human DU-145 prostate carcinoma which is not androgen dependent and the human LNCaP prostate carcinoma which produces PSA and has a well characterized androgen receptor and response to androgens. The drug complexes are administered up to maximally tolerated doses alone and in conjunction with fractionated radiation therapy ( 137Cs Gamma Cell 40) delivered to the tumor bearing limb.
- The progress of each tumor is assessed thrice weekly by caliper measurements until the tumors reach 2000 mm 3. Tumor growth delay is calculated as the number of days for each tumor to reach a volume of 500 mm3 as compared to untreated controls. The efficacy of combination treatments is assessed using isobologram analysis for determination of additivity/synergy.
- Phase I Clinical Trial: (Maximal Tolerable Dose Assessment)
- Based on the results of the in vitro and in vivo studies of the drug complexes, a drug complex is chosen for testing in ten patients with hormone refractory metastatic prostate cancer. A single intravenous dose of the drug complex is given on an inpatient basis with cardiorespiratory monitoring. Toxicity evaluation of all major organ systems is evaluated using blood, urine, stool, and, if necessary, bone marrow studies. Doses are escalated in 10% increments per patient until the maximal response with acceptable toxicity is reached. Response is assessed using a combination of a weekly digital rectal examination (DRE), PSA, LDH, hemoglobin, and monthly bone scan. The starting dose is selected on the toxicity data from the preceding animal studies.
- Effect of Thapsigargin (TG) on Cell Proliferation in vitro
- Preliminary in vitro data indicate that TG inhibits cell proliferation (Table 1,
DU 145 cells) clonogenic cell survival (Table 2, PC3 cells) of androgen independent human prostate cancer cells. - Table 1 shows the effect of thapsigargin and radiotherapy on proliferation of DU-145 prostate cancer cells. The results indicate that thapsigargin inhibits cell proliferation in vitro.
TABLE 1 Effect of TG and RT on proliferation of DU-145 prostate cancer cells* Total Number of Cells per Thapsigargin Dish (106) (nM) 0 Gy 2 Gy 4 Gy 8 Gy 0 2.1 1.4 1.2 0.5 20 1.0 0.8 0.3 0.4 100 0.7 0.5 0.5 0.4 400 0.7 0.4 0.3 0.3 - Table 2 shows the effect of thapsigargin and radiotherapy on clonogenic cell survival of PC3 prostate cancer cells. The results indicate that thapsigargin inhibits clonogenic survival in vitro.
TABLE 2 Effect of TG and RT on clonogenic survival of PC3 cells** Surviving Fraction (SF) NET survival Thapsigargin (PE treated/PE control) (SF/TG toxicity) (nM) 0 Gy 2 Gy 4 Gy 2 Gy 4 Gy 0 1 (0.8) 0.57 0.38 0.57 0.38 20 0.69 0.42 0.23 0.61 0.33 50 0.80 0.39 0.23 0.49 0.29 100 0.62 0.25 0.18 0.40 0.30 200 0.58 0.25 0.13 0.43 0.22 400 0.60 0.25 0.13 0.42 0.22 - Effect of Thapsigargin (TG) on Cell Proliferation in vivo
- Male SCID mice bearing the human DU-145 prostate carcinoma Xenograft growing subcutaneously in a hind-limb were treated daily with TG (0.5 mg/kg) by IP injection from day 4-18 post tumor cell implantation. Some animal groups also received fractionated RT locally to the tumor bearing region on days 7-11 or days 7-11 and 14-18. FIG. 1, low dose TG (0.5 mg/kg) administration produced a measurable tumor growth delay and, when given in conjunction with RT, the independent effects of TG and RT were additive. Moreover, when the RT regimen was extended to 2 weeks, the additional benefit of the TG administration was maintained.
- PSA Cleaving of pNA Derivative
- A tyrosine tripeptide (compound 1 in FIG. 5) was prepared using methods known to those in the peptide chemistry art. It is known that PSA cleaves its para-nitroanilide (pNA) derivative at the tyrosine site (
compound 2 in FIG. 5). (Christensson, A. et al., Eur. J. Biochem., 194:755-763 (1990)). It is also known that the “released” pNA makes it possible to study this reaction colormetrically. Using this feature, it was demonstrated that the sonicate from a cell line that is known to produce PSA, i.e. LNCaP, cleavescompound 2 in FIG. 5. It was also shown that a negative control, i.e. CV-1 cell line, that does not produce PSA did not cleavecompound 2 in FIG. 5 and that neither newborn calf serum, nor pooled human serum cleavedcompound 2 in FIG. 5. These results indicate that a “PSA-like” activity exists in the sonicate of LNCaP (and not in human or fetal calf serum) that can cleave compound 1 in FIG. 5 at the tyrosine site and release pNA. - Based on the above results, the pNA group was replaced with adriamycin, i.e. by attaching adriamycin directly to the tyrosine (FIG. 6) via adriamycin's —NH 2 group. It was hypothesized that PSA would cleave the molecule of FIG. 6 at the tyrosine site and release adriamycin. However, there was no cleavage and no release of adriamycin.
- There are several reasons why cleavage and release did not occur. First, pNA, because of its electron withdrawing para-NO 2 group, is a better leaving group than adriamycin. Second, because pNA is electron-withdrawing, it can greatly activate the tyrosine carbonyl group toward hydrolysis relative to adriamycin. Finally, since adriamycin is sterically bulkier than the pNA group, the drug may have prevented PSA from approaching the tyrosine site.
- Construction of Molecules Containing para-Amino Benzoic Acid and para-Aminobenzyloxycarbonyl
- Attaching adriamycin to a tripeptide molecule (see compound 1 of FIG. 5) through a para-amino benzoic acid can solve the problems previously discussed for the following reasons: (a) pABA can function as a good leaving group because it contains an electron withdrawing carbonyl group in the para-position, (b) because pABA is electron-withdrawing, it can activate the tyrosine carbonyl hydrolysis, and (c) PSA activity may not be sterically hindered as the pABA linker can keep adriamycin away from the tyrosine cleavage site.
- The results with this molecule indicate that pABA is a good leaving group and that it can activate the tyrosine carbonyl for hydrolysis. That is, the sonicate of LNCaP that showed “PSA-like” activity cleaved
compound 4 of FIG. 7 at the tyrosine site and released pABA. - Since it is established, based on the above results, that there is a linker suitable for the attachment of adriamycin,
compound 5 of FIG. 7 can be synthesized. Furthermore, it can be examined to determine if it can also be cleaved at the tyrosine site to release an active form of adriamycin, namely compound 6 of FIG. 7. - Cleavage of
compound 5 can be assessed using the sonicate of LNCaP that exhibits “PSA-like” activity. It is expected that cleavage will occur at the tyrosine site ofcompound 5. However, what will be “released” is an analog of adriamycin (compound 6 of FIG. 7) and not adriamycin itself. The ability of this analog to intercalate DNA can be assessed and compared with that of native adriamycin using known methods, such as measurement of emissions at 450 nm on ethanol-precipitated DNA. The data is also normalized for efficiency of precipitation by assaying the DNA at 260 nm. - An alternative approach takes advantage of a compound that is similar to pABA. This compound is para-aminobenzyloxycarbonyl (pABOC), which offers the advantage of breaking down spontaneously (compound 8 of FIG. 8) to release “native” adriamycin (i.e. adriamycin lacking N-substituents;
compound 9 of FIG. 8). Because of the similarity between pABA and pABOC, the latter offers many of the same advantages. First, since the physical size of pABOC is similar to that of pABA, it can keep the “bulky” adriamycin away from the tyrosine cleavage site. Second, electron-withdrawing fluorine substituents to be added at the two ortho-positions (shown incompounds 7 and 8 of FIG. 8) should make pABOC a good leaving group without introducing any steric bulk, since fluorine and hydrogen atoms are essentially the same size. Finally, the fluorine-containing pABOC is electron-withdrawing and, thus, can also activate the tyrosine carbonyl toward hydrolysis. Based on this information, it can be expected that PSA will cleavecompound 7 of FIG. 8 at the tyrosine site and release compound 8 of FIG. 8. Then, as described above, compound 8 of FIG. 8 should break down spontaneously under physiological conditions to release “native” adriamycin. This can be assessed using known methods. - Equivalents
- Those skilled in the art will recognize, or be able to ascertain using no more than routine experimentation, many equivalents to the specific embodiments of the invention described herein. Such equivalents are intended to be encompassed by the following claims.
Claims (22)
1. A drug complex comprising:
a) a targeting carrier molecule which, when introduced into an individual, is selectively distributed to a specific cell type or tissue containing the specific cell type;
b) a linker which is acted upon by a molecule present at an effective concentration in the environs of the specific cell type; and
c) a drug or an agent to be delivered to the specific cell type.
2. A drug complex comprising:
a) a targeting carrier molecule which, when introduced into an individual, is selectively delivered to prostate tissue, bone or both;
b) a peptide which is a substrate for prostate specific antigen; and
c) a cytotoxic drug which is toxic to androgen independent prostate cancer cells,
wherein the peptide links the targeting molecule and the cytotoxic drug.
3. The drug complex of claim 2 , wherein the targeting carrier molecule is selected from the group consisting of polyamines; the peptide linker is selected from the group consisting of SEQ ID NOS. 1-14 and alanine-lysine-phenylalanine-glutamate; and the cytotoxic drug is selected from the group consisting of: adriamycin, amonafide, cisplatin, carboplatin (CBDCA), CHIP, cyclophosphamide, doxorubicin, epirubicin, estramustine, etoposide, 5-fluorouracil, gallium nitrate, idarubicin, ifosfamide+mesna, ketoconazole, liarozole (R85,246), methotrexate, mitomycin C, mitoguazone, mitoxantrone, proscar (finasteride), suramin, taxol, thapsigargin, trimetrexate, vinblastine (CI), and vinblastine and emcyt.
4. The drug complex of claim 3 , wherein the polyamine is selected from the group consisting of putrescine, spermine, and spermidine.
5. The drug complex of claim 4 , wherein the putrescine is fluoropropylputrescine.
6. The drug complex of claim 2 , wherein the peptide linker additionally comprises a chemical selected from the group consisting of para-amino benzoic acid and para-aminobenzyloxycarbonyl.
7. A method of killing androgen independent prostate cancer cells in a man with prostate cancer, comprising administering to the man a therapeutically effective amount of a drug complex which comprises:
a) a targeting carrier molecule which is selectively delivered to prostate tissue and bone;
b) a peptide which is a substrate for prostate specific antigen; and
c) a cytotoxic drug which is toxic to androgen independent prostate cancer cells,
wherein the peptide links the targeting molecule and the cytotoxic drug and wherein the drug complex is administered to the man in such a manner that it is delivered to androgen independent prostate cancer cells and the cytotoxic drug enters androgen independent prostate cancer cells, thereby killing the cells.
8. The method of claim 7 , wherein the peptide which is a substrate for prostate specific antigen is selected from the group consisting of SEQ ID NOS. 1-14 and alanine-lysine-phenylalanine-glutamate.
9. The method of claim 7 , wherein the targeting carrier molecule is selected from the group consisting of polyamines.
10. The method of claim 9 , wherein the polyamine is selected from the group consisting of putrescine, spermine, and spermidine.
11. The method of claim 10 , wherein the putrescine is fluoropropylputrescine.
12. The method of claim 7 , wherein the peptide linker additionally comprises a chemical selected from the group consisting of para-amino benzoic acid and para-aminobenzyloxycarbonyl.
13. The method of claim 12 , wherein the drug complex is administered intravenously.
14. The method of claim 13 , wherein the cytotoxic drug is selected from the group consisting of: adriamycin, amonafide, cisplatin, carboplatin (CBDCA), CHIP, cyclophosphamide, doxorubicin, epirubicin, estramustine, etoposide, 5-fluorouracil, gallium nitrate, idarubicin, ifosfamide+mesna, ketoconazole, liarozole (R85,246), methotrexate, mitomycin C, mitoguazone, mitoxantrone, proscar (finasteride), suramin, taxol, thapsigargin, trimetrexate, vinblastine (CI), and vinblastine and emcyt.
15. A method of treating metastatic prostate cancer in an man, comprising administering to the man a therapeutically effective amount of a drug complex which comprises:
a) a targeting carrier molecule which is selectively delivered to prostate tissue and bone;
b) a peptide which is a substrate for prostate specific antigen; and
c) a cytotoxic drug which is toxic to metastatic prostate cancer cells,
wherein the peptide links the targeting molecule and the cytotoxic drug and wherein the drug complex is administered to the man in such a manner that it is delivered to prostate tissue and bone and the cytotoxic drug enters metastatic prostate cancer cells, thereby killing the cells.
16. The method of claim 15 , wherein the peptide which is a substrate for prostate specific antigen is selected from the group consisting of SEQ ID NOS. 1-14 and alanine-lysine-phenylalanine-glutamate.
17. The method of claim 15 , wherein the targeting carrier molecule is selected from the group consisting of polyamines.
18. The method of claim 17 , wherein the polyamine is selected from the group consisting of putrescine, spermine, and spermidine.
19. The method of claim 18 , wherein the putrescine is fluoropropylputrescine.
20. The method of claim 15 , wherein the peptide linker additionally comprises a chemical selected from the group consisting of para-amino benzoic acid and para-aminobenzyloxycarbonyl.
21. The method of claim 20 , wherein the drug complex is administered intravenously.
22. The method of claim 21 , wherein the cytotoxic drug is selected from the group consisting of: adriamycin, amonafide, cisplatin, carboplatin (CBDCA), CHIP, cyclophosphamide, doxorubicin, epirubicin, estramustine, etoposide, 5-fluorouracil, gallium nitrate, idarubicin, ifosfamide+mesna, ketoconazole, liarozole (R85,246), methotrexate, mitomycin C, mitoguazone, mitoxantrone, proscar (finasteride), suramin, taxol, thapsigargin, trimetrexate, vinblastine (CI), and vinblastine and emcyt.
Priority Applications (2)
| Application Number | Priority Date | Filing Date | Title |
|---|---|---|---|
| US10/119,417 US20030035804A1 (en) | 1996-09-16 | 2002-04-09 | Drug complex for treatment of metastatic prostate cancer |
| US11/102,277 US20050233948A1 (en) | 1996-09-16 | 2005-04-08 | Drug complex for treatment of metastatic prostate cancer |
Applications Claiming Priority (4)
| Application Number | Priority Date | Filing Date | Title |
|---|---|---|---|
| US71311496A | 1996-09-16 | 1996-09-16 | |
| US383898A | 1998-01-07 | 1998-01-07 | |
| US09/110,822 US6368598B1 (en) | 1996-09-16 | 1998-07-06 | Drug complex for treatment of metastatic prostate cancer |
| US10/119,417 US20030035804A1 (en) | 1996-09-16 | 2002-04-09 | Drug complex for treatment of metastatic prostate cancer |
Related Parent Applications (1)
| Application Number | Title | Priority Date | Filing Date |
|---|---|---|---|
| US09/110,822 Division US6368598B1 (en) | 1996-09-16 | 1998-07-06 | Drug complex for treatment of metastatic prostate cancer |
Related Child Applications (1)
| Application Number | Title | Priority Date | Filing Date |
|---|---|---|---|
| US11/102,277 Division US20050233948A1 (en) | 1996-09-16 | 2005-04-08 | Drug complex for treatment of metastatic prostate cancer |
Publications (1)
| Publication Number | Publication Date |
|---|---|
| US20030035804A1 true US20030035804A1 (en) | 2003-02-20 |
Family
ID=22335136
Family Applications (3)
| Application Number | Title | Priority Date | Filing Date |
|---|---|---|---|
| US09/110,822 Expired - Fee Related US6368598B1 (en) | 1996-09-16 | 1998-07-06 | Drug complex for treatment of metastatic prostate cancer |
| US10/119,417 Abandoned US20030035804A1 (en) | 1996-09-16 | 2002-04-09 | Drug complex for treatment of metastatic prostate cancer |
| US11/102,277 Abandoned US20050233948A1 (en) | 1996-09-16 | 2005-04-08 | Drug complex for treatment of metastatic prostate cancer |
Family Applications Before (1)
| Application Number | Title | Priority Date | Filing Date |
|---|---|---|---|
| US09/110,822 Expired - Fee Related US6368598B1 (en) | 1996-09-16 | 1998-07-06 | Drug complex for treatment of metastatic prostate cancer |
Family Applications After (1)
| Application Number | Title | Priority Date | Filing Date |
|---|---|---|---|
| US11/102,277 Abandoned US20050233948A1 (en) | 1996-09-16 | 2005-04-08 | Drug complex for treatment of metastatic prostate cancer |
Country Status (3)
| Country | Link |
|---|---|
| US (3) | US6368598B1 (en) |
| AU (1) | AU5089799A (en) |
| WO (1) | WO2000001419A1 (en) |
Cited By (40)
| Publication number | Priority date | Publication date | Assignee | Title |
|---|---|---|---|---|
| WO2004108083A3 (en) * | 2003-05-30 | 2005-05-19 | Charles E Zeilig | Methods for the selective treatment of tumors by calcium-mediated induction of apoptosis |
| US20080045589A1 (en) * | 2006-05-26 | 2008-02-21 | Susan Kelley | Drug Combinations with Substituted Diaryl Ureas for the Treatment of Cancer |
| US20080268063A1 (en) * | 2004-11-04 | 2008-10-30 | Sangyong Jon | Coated Controlled Release Polymer Particles as Efficient Oral Delivery Vehicles for Biopharmaceuticals |
| US20090298710A1 (en) * | 2005-12-15 | 2009-12-03 | Farokhzad Omid C | System for Screening Particles |
| US20100092425A1 (en) * | 2008-10-12 | 2010-04-15 | Von Andrian Ulrich | Nicotine Immunonanotherapeutics |
| US20100129439A1 (en) * | 2008-10-12 | 2010-05-27 | Frank Alexis | Adjuvant Incorporation in Immunonanotherapeutics |
| US20100144845A1 (en) * | 2006-08-04 | 2010-06-10 | Massachusetts Institute Of Technology | Oligonucleotide systems for targeted intracellular delivery |
| US20100183727A1 (en) * | 2008-10-12 | 2010-07-22 | Matteo Iannacone | Immunonanotherapeutics that Provide IgG Humoral Response Without T-Cell Antigen |
| US20100233251A1 (en) * | 2007-10-12 | 2010-09-16 | Massachusetts Institute of Technology Massachusetts | Vaccine Nanotechnology |
| US20100266491A1 (en) * | 2006-03-31 | 2010-10-21 | Massachusetts Institute Of Technology | System for targeted delivery of therapeutic agents |
| US20100297233A1 (en) * | 2007-02-09 | 2010-11-25 | Massachusetts Institute Of Technology | Oscillating cell culture bioreactor |
| US20100303723A1 (en) * | 2006-11-20 | 2010-12-02 | Massachusetts Institute Of Technology | Drug delivery systems using fc fragments |
| US20110020388A1 (en) * | 2009-05-27 | 2011-01-27 | Selecta Biosciences, Inc. | Targeted synthetic nanocarriers with ph sensitive release of immunomodulatory agents |
| US20110052697A1 (en) * | 2006-05-17 | 2011-03-03 | Gwangju Institute Of Science & Technology | Aptamer-Directed Drug Delivery |
| US20110098232A1 (en) * | 2003-05-30 | 2011-04-28 | Zeilig Charles E | Methods For The Selective Treatment Of Tumors By Calcium-Mediated Induction Of Apoptosis |
| US20110110965A1 (en) * | 2009-08-26 | 2011-05-12 | Selecta Biosciences, Inc. | Compositions that induce t cell help |
| US20110223201A1 (en) * | 2009-04-21 | 2011-09-15 | Selecta Biosciences, Inc. | Immunonanotherapeutics Providing a Th1-Biased Response |
| EP2436376A1 (en) | 2007-09-28 | 2012-04-04 | Bind Biosciences, Inc. | Cancer cell targeting using nanoparticles |
| US8193334B2 (en) | 2007-04-04 | 2012-06-05 | The Brigham And Women's Hospital | Polymer-encapsulated reverse micelles |
| US8323698B2 (en) | 2006-05-15 | 2012-12-04 | Massachusetts Institute Of Technology | Polymers for functional particles |
| US8343497B2 (en) | 2008-10-12 | 2013-01-01 | The Brigham And Women's Hospital, Inc. | Targeting of antigen presenting cells with immunonanotherapeutics |
| US9333179B2 (en) | 2007-04-04 | 2016-05-10 | Massachusetts Institute Of Technology | Amphiphilic compound assisted nanoparticles for targeted delivery |
| US9381477B2 (en) | 2006-06-23 | 2016-07-05 | Massachusetts Institute Of Technology | Microfluidic synthesis of organic nanoparticles |
| US9636413B2 (en) | 2012-11-15 | 2017-05-02 | Endocyte, Inc. | Conjugates for treating diseases caused by PSMA expressing cells |
| US9951324B2 (en) | 2010-02-25 | 2018-04-24 | Purdue Research Foundation | PSMA binding ligand-linker conjugates and methods for using |
| US9994443B2 (en) | 2010-11-05 | 2018-06-12 | Selecta Biosciences, Inc. | Modified nicotinic compounds and related methods |
| US10039822B2 (en) | 2011-04-29 | 2018-08-07 | Selecta Biosciences, Inc. | Method for providing polymeric synthetic nanocarriers for generating antigen-specific tolerance immune responses |
| US10046054B2 (en) | 2007-08-17 | 2018-08-14 | Purdue Research Foundation | PSMA binding ligand-linker conjugates and methods for using |
| US10188759B2 (en) | 2015-01-07 | 2019-01-29 | Endocyte, Inc. | Conjugates for imaging |
| WO2022074152A1 (en) | 2020-10-08 | 2022-04-14 | Targimmune Therapeutics Ag | Immunotherapy for the treatment of cancer |
| WO2023079142A2 (en) | 2021-11-05 | 2023-05-11 | Targimmune Therapeutics Ag | Targeted linear conjugates comprising polyethyleneimine and polyethylene glycol and polyplexes comprising the same |
| US11951190B2 (en) | 2013-10-18 | 2024-04-09 | Novartis Ag | Use of labeled inhibitors of prostate specific membrane antigen (PSMA), as agents for the treatment of prostate cancer |
| WO2024097875A1 (en) * | 2022-11-02 | 2024-05-10 | Shattuck Labs, Inc. | Fusion proteins for the treatment of nonalcoholic steatohepatitis |
| WO2024100044A1 (en) | 2022-11-07 | 2024-05-16 | Targimmune Therapeutics Ag | Polyplexes of nucleic acids and targeted conjugates comprising polyethyleneimine and polyethylene glycol |
| WO2024100040A1 (en) | 2022-11-07 | 2024-05-16 | Targimmune Therapeutics Ag | Psma-targeting linear conjugates comprising polyethyleneimine and polyethylene glycol and polyplexes comprising the same |
| WO2024100046A1 (en) | 2022-11-07 | 2024-05-16 | Targimmune Therapeutics Ag | Targeted linear conjugates comprising polyethyleneimine and polyethylene glycol and polyplexes comprising the same |
| US12178892B2 (en) | 2013-11-14 | 2024-12-31 | Purdue Research Foundation | Compounds for positron emission tomography |
| US12208102B2 (en) | 2018-04-17 | 2025-01-28 | Endocyte, Inc. | Methods of treating cancer |
| US12473265B2 (en) | 2019-05-20 | 2025-11-18 | Endocyte, Inc. | Methods for preparing PSMA conjugates |
| WO2025238236A1 (en) | 2024-05-16 | 2025-11-20 | Targimmune Therapeutics Ag | Polyplexes of nucleic acids and targeted conjugates comprising polyethyleneimine and polyethylene glycol |
Families Citing this family (29)
| Publication number | Priority date | Publication date | Assignee | Title |
|---|---|---|---|---|
| US6368598B1 (en) * | 1996-09-16 | 2002-04-09 | Jcrt Radiation Oncology Support Services, Inc. | Drug complex for treatment of metastatic prostate cancer |
| KR100581443B1 (en) * | 1998-05-22 | 2006-05-23 | 다이이찌 세이야꾸 가부시기가이샤 | Drug complex |
| CA2348931A1 (en) * | 1998-10-30 | 2000-05-11 | Daiichi Pharmaceutical Co., Ltd. | Dds compound and method for measurement thereof |
| BR0010700A (en) * | 1999-04-30 | 2002-02-13 | Slil Biomedical Corp | Analog conjugates of polyamine and quinone conjugates as therapies for cancers and prostate diseases |
| US6482943B1 (en) | 1999-04-30 | 2002-11-19 | Slil Biomedical Corporation | Quinones as disease therapies |
| GB0012718D0 (en) * | 2000-05-24 | 2000-07-19 | Angeletti P Ist Richerche Bio | Conjugates of aminodrugs |
| EP1337504A4 (en) | 2000-11-08 | 2005-10-05 | Cellgate Inc | NOVEL AMINO ACID CONJUGATES AND POLYAMINE ANALOGUES USEFUL AS ANTICANCING AGENTS |
| US7282476B2 (en) * | 2001-08-24 | 2007-10-16 | University Of Victoria Innovation And Development Corporation | Proaerolysin containing protease activation sequences and methods of use for treatment of prostate cancer |
| WO2004012574A2 (en) * | 2002-07-16 | 2004-02-12 | Deltagen Proteomics Inc. | Negative selections assays, and compositions thereof |
| EP1386927B1 (en) | 2002-08-02 | 2005-03-30 | Institut Curie | Shiga toxin B-subunit as a vector for tumor diagnosis and drug delivery to GB3 expressing tumors |
| US8809504B2 (en) * | 2002-09-03 | 2014-08-19 | Vit Lauermann | Inhibitor which is deactivatable by a reagent produced by a target cell |
| US7691905B2 (en) * | 2002-12-24 | 2010-04-06 | New York University | Inhibition of melanogenesis and melanoma metastasis with p-aminobenzoic acid (PABA) |
| US8198328B2 (en) | 2004-01-21 | 2012-06-12 | New York University | Treatment of cancer using benzoic acid derivatives |
| CA2583389A1 (en) * | 2004-10-07 | 2006-04-20 | Emory University | Multifunctional nanoparticles conjugates and their use |
| US20060093639A1 (en) * | 2004-10-29 | 2006-05-04 | Starkebaum Warren L | Method and device for destroying body tissue |
| NZ564954A (en) | 2005-06-14 | 2011-02-25 | Protox Therapeutics Inc | Method of treating or preventing benign prostatic hyperplasia using modified pore-forming proteins |
| US10307481B2 (en) | 2005-07-25 | 2019-06-04 | Aptevo Research And Development Llc | CD37 immunotherapeutics and uses thereof |
| ATE503025T1 (en) | 2006-07-14 | 2011-04-15 | Us Gov Health & Human Serv | METHOD FOR DETERMINING THE PROGNOSIS OF ADENOCARCINOMA |
| CA3128656A1 (en) | 2007-08-22 | 2009-02-26 | The Regents Of The University Of California | Activatable binding polypeptides and methods of identification and use thereof |
| US20100048912A1 (en) | 2008-03-14 | 2010-02-25 | Angela Brodie | Novel C-17-Heteroaryl Steroidal CYP17 Inhibitors/Antiandrogens, In Vitro Biological Activities, Pharmacokinetics and Antitumor Activity |
| US8785423B2 (en) * | 2008-04-14 | 2014-07-22 | University Of Maryland, Baltimore | Compositions and methods of inducing endoplasmic reticulum stress response for the treatment of cell proliferative diseases |
| CN106995495A (en) | 2009-01-12 | 2017-08-01 | 希托马克斯医疗有限责任公司 | Modified antibodies composition and its preparation and application |
| AU2010210422A1 (en) | 2009-02-05 | 2011-08-18 | Tokai Pharmaceuticals, Inc. | Novel prodrugs of steroidal CYP17 inhibitors/antiandrogens |
| US10441561B2 (en) | 2012-07-26 | 2019-10-15 | The William M. Yanbrough Foundation | Method for treating benign prostatic hyperplasia (BPH), prostatitis, and prostate cancer |
| EP4066841A1 (en) | 2013-03-14 | 2022-10-05 | University of Maryland, Baltimore | Androgen receptor down-regulating agents and uses thereof |
| AU2014293011A1 (en) | 2013-07-26 | 2016-03-17 | Race Oncology Ltd. | Compositions to improve the therapeutic benefit of bisantrene |
| KR20160058774A (en) | 2013-08-12 | 2016-05-25 | 토카이 파마슈티컬, 아이엔씨. | Biomarkers for treatment of neoplastic disorders using androgen-targeted therapies |
| WO2016073708A2 (en) * | 2014-11-05 | 2016-05-12 | Dana-Farber Cancer Institute, Inc. | Folate-conjugated molecules for delivery of toxic small molecule inhibitors to cancer cells and methods of use |
| EP3294301A4 (en) * | 2015-05-12 | 2019-01-09 | Drexel University | COMPOUNDS AND COMPOSITIONS USEFUL IN TREATING OR PREVENTING CANCER METASTASES, AND METHODS IN WHICH THEY ARE EMPLOYED |
Family Cites Families (7)
| Publication number | Priority date | Publication date | Assignee | Title |
|---|---|---|---|---|
| US5208020A (en) | 1989-10-25 | 1993-05-04 | Immunogen Inc. | Cytotoxic agents comprising maytansinoids and their therapeutic use |
| ES2149768T3 (en) | 1992-03-25 | 2000-11-16 | Immunogen Inc | CONJUGATES OF BINDING AGENTS OF CELLS DERIVED FROM CC-1065. |
| US6214345B1 (en) | 1993-05-14 | 2001-04-10 | Bristol-Myers Squibb Co. | Lysosomal enzyme-cleavable antitumor drug conjugates |
| US5599686A (en) | 1994-06-28 | 1997-02-04 | Merck & Co., Inc. | Peptides |
| US5866679A (en) | 1994-06-28 | 1999-02-02 | Merck & Co., Inc. | Peptides |
| CA2177644A1 (en) | 1995-05-31 | 1996-12-01 | Peter D. Senter | Polymeric prodrugs for beta-lactamase and uses thereof |
| US6368598B1 (en) * | 1996-09-16 | 2002-04-09 | Jcrt Radiation Oncology Support Services, Inc. | Drug complex for treatment of metastatic prostate cancer |
-
1998
- 1998-07-06 US US09/110,822 patent/US6368598B1/en not_active Expired - Fee Related
-
1999
- 1999-07-06 WO PCT/US1999/015126 patent/WO2000001419A1/en not_active Ceased
- 1999-07-06 AU AU50897/99A patent/AU5089799A/en not_active Abandoned
-
2002
- 2002-04-09 US US10/119,417 patent/US20030035804A1/en not_active Abandoned
-
2005
- 2005-04-08 US US11/102,277 patent/US20050233948A1/en not_active Abandoned
Cited By (91)
| Publication number | Priority date | Publication date | Assignee | Title |
|---|---|---|---|---|
| US20070054874A1 (en) * | 2003-05-30 | 2007-03-08 | Zeilig Charles E | Methods for the selective treatment of tumors by calcium-mediated induction of apoptosis |
| WO2004108083A3 (en) * | 2003-05-30 | 2005-05-19 | Charles E Zeilig | Methods for the selective treatment of tumors by calcium-mediated induction of apoptosis |
| US20110098232A1 (en) * | 2003-05-30 | 2011-04-28 | Zeilig Charles E | Methods For The Selective Treatment Of Tumors By Calcium-Mediated Induction Of Apoptosis |
| US9492400B2 (en) | 2004-11-04 | 2016-11-15 | Massachusetts Institute Of Technology | Coated controlled release polymer particles as efficient oral delivery vehicles for biopharmaceuticals |
| US20080268063A1 (en) * | 2004-11-04 | 2008-10-30 | Sangyong Jon | Coated Controlled Release Polymer Particles as Efficient Oral Delivery Vehicles for Biopharmaceuticals |
| US20090298710A1 (en) * | 2005-12-15 | 2009-12-03 | Farokhzad Omid C | System for Screening Particles |
| US9267937B2 (en) | 2005-12-15 | 2016-02-23 | Massachusetts Institute Of Technology | System for screening particles |
| US20100266491A1 (en) * | 2006-03-31 | 2010-10-21 | Massachusetts Institute Of Technology | System for targeted delivery of therapeutic agents |
| US8709483B2 (en) | 2006-03-31 | 2014-04-29 | Massachusetts Institute Of Technology | System for targeted delivery of therapeutic agents |
| US8802153B2 (en) | 2006-03-31 | 2014-08-12 | Massachusetts Institute Of Technology | System for targeted delivery of therapeutic agents |
| US9080014B2 (en) | 2006-05-15 | 2015-07-14 | Massachusetts Institute Of Technology | Polymers for functional particles |
| US8367113B2 (en) | 2006-05-15 | 2013-02-05 | Massachusetts Institute Of Technology | Polymers for functional particles |
| US8323698B2 (en) | 2006-05-15 | 2012-12-04 | Massachusetts Institute Of Technology | Polymers for functional particles |
| US9688812B2 (en) | 2006-05-15 | 2017-06-27 | Massachusetts Institute Of Technology | Polymers for functional particles |
| US20110052697A1 (en) * | 2006-05-17 | 2011-03-03 | Gwangju Institute Of Science & Technology | Aptamer-Directed Drug Delivery |
| US20080045589A1 (en) * | 2006-05-26 | 2008-02-21 | Susan Kelley | Drug Combinations with Substituted Diaryl Ureas for the Treatment of Cancer |
| US9381477B2 (en) | 2006-06-23 | 2016-07-05 | Massachusetts Institute Of Technology | Microfluidic synthesis of organic nanoparticles |
| US20100144845A1 (en) * | 2006-08-04 | 2010-06-10 | Massachusetts Institute Of Technology | Oligonucleotide systems for targeted intracellular delivery |
| US20100303723A1 (en) * | 2006-11-20 | 2010-12-02 | Massachusetts Institute Of Technology | Drug delivery systems using fc fragments |
| US9217129B2 (en) | 2007-02-09 | 2015-12-22 | Massachusetts Institute Of Technology | Oscillating cell culture bioreactor |
| US20100297233A1 (en) * | 2007-02-09 | 2010-11-25 | Massachusetts Institute Of Technology | Oscillating cell culture bioreactor |
| US8193334B2 (en) | 2007-04-04 | 2012-06-05 | The Brigham And Women's Hospital | Polymer-encapsulated reverse micelles |
| US9333179B2 (en) | 2007-04-04 | 2016-05-10 | Massachusetts Institute Of Technology | Amphiphilic compound assisted nanoparticles for targeted delivery |
| US10828282B2 (en) | 2007-08-17 | 2020-11-10 | Purdue Research Foundation | PSMA binding ligand-linker conjugates and methods for using |
| US11083710B2 (en) | 2007-08-17 | 2021-08-10 | Purdue Research Foundation | PSMA binding ligand-linker conjugates and methods for using |
| US12496292B2 (en) | 2007-08-17 | 2025-12-16 | Purdue Research Foundation | PSMA binding ligand-linker conjugates and methods for using |
| US11717514B2 (en) | 2007-08-17 | 2023-08-08 | Purdue Research Foundation | PSMA binding ligand-linker conjugates and methods for using |
| US10624971B2 (en) | 2007-08-17 | 2020-04-21 | Purdue Research Foundation | PSMA binding ligand-linker conjugates and methods for using |
| US10624970B2 (en) | 2007-08-17 | 2020-04-21 | Purdue Research Foundation | PSMA binding ligand-linker conjugates and methods for using |
| US10517957B2 (en) | 2007-08-17 | 2019-12-31 | Purdue Research Foundation | PSMA binding ligand-linker conjugates and methods for using |
| US10517956B2 (en) | 2007-08-17 | 2019-12-31 | Purdue Research Foundation | PSMA binding ligand-linker conjugates and methods for using |
| US10646581B2 (en) | 2007-08-17 | 2020-05-12 | Purdue Research Foundation | PSMA binding ligand-linker conjugates and methods for using |
| US11504357B2 (en) | 2007-08-17 | 2022-11-22 | Purdue Research Foundation | PSMA binding ligand-linker conjugates and methods for using |
| US10485878B2 (en) | 2007-08-17 | 2019-11-26 | Purdue Research Foundation | PSMA binding ligand-linker conjugates and methods for using |
| US10406240B2 (en) | 2007-08-17 | 2019-09-10 | Purdue Research Foundation | PSMA binding ligand-linker conjugates and methods for using |
| US10046054B2 (en) | 2007-08-17 | 2018-08-14 | Purdue Research Foundation | PSMA binding ligand-linker conjugates and methods for using |
| US10624969B2 (en) | 2007-08-17 | 2020-04-21 | Purdue Research Foundation | PSMA binding ligand-linker conjugates and methods for using |
| US11298341B2 (en) | 2007-08-17 | 2022-04-12 | Purdue Research Foundation | PSMA binding ligand-linker conjugates and methods for using |
| US11318121B2 (en) | 2007-08-17 | 2022-05-03 | Purdue Research Foundation | PSMA binding ligand-linker conjugates and methods for using |
| US11369590B2 (en) | 2007-08-17 | 2022-06-28 | Purdue Research Foundation | PSMA binding ligand-linker conjugates and methods for using |
| EP2436376A1 (en) | 2007-09-28 | 2012-04-04 | Bind Biosciences, Inc. | Cancer cell targeting using nanoparticles |
| EP2644192A1 (en) | 2007-09-28 | 2013-10-02 | Bind Therapeutics, Inc. | Cancer Cell Targeting Using Nanoparticles |
| EP2644594A1 (en) | 2007-09-28 | 2013-10-02 | Bind Therapeutics, Inc. | Cancer Cell Targeting Using Nanoparticles |
| US9474717B2 (en) | 2007-10-12 | 2016-10-25 | Massachusetts Institute Of Technology | Vaccine nanotechnology |
| US11547667B2 (en) | 2007-10-12 | 2023-01-10 | Massachusetts Institute Of Technology | Vaccine nanotechnology |
| US20100233251A1 (en) * | 2007-10-12 | 2010-09-16 | Massachusetts Institute of Technology Massachusetts | Vaccine Nanotechnology |
| US9526702B2 (en) | 2007-10-12 | 2016-12-27 | Massachusetts Institute Of Technology | Vaccine nanotechnology |
| US9539210B2 (en) | 2007-10-12 | 2017-01-10 | Massachusetts Institute Of Technology | Vaccine nanotechnology |
| US10736848B2 (en) | 2007-10-12 | 2020-08-11 | Massachusetts Institute Of Technology | Vaccine nanotechnology |
| US20100129439A1 (en) * | 2008-10-12 | 2010-05-27 | Frank Alexis | Adjuvant Incorporation in Immunonanotherapeutics |
| US8637028B2 (en) | 2008-10-12 | 2014-01-28 | President And Fellows Of Harvard College | Adjuvant incorporation in immunonanotherapeutics |
| US20100092425A1 (en) * | 2008-10-12 | 2010-04-15 | Von Andrian Ulrich | Nicotine Immunonanotherapeutics |
| US9233072B2 (en) | 2008-10-12 | 2016-01-12 | Massachusetts Institute Of Technology | Adjuvant incorporation in immunonanotherapeutics |
| US9439859B2 (en) | 2008-10-12 | 2016-09-13 | Massachusetts Institute Of Technology | Adjuvant incorporation in immunoanotherapeutics |
| US20100183727A1 (en) * | 2008-10-12 | 2010-07-22 | Matteo Iannacone | Immunonanotherapeutics that Provide IgG Humoral Response Without T-Cell Antigen |
| US9308280B2 (en) | 2008-10-12 | 2016-04-12 | Massachusetts Institute Of Technology | Targeting of antigen presenting cells with immunonanotherapeutics |
| US8562998B2 (en) | 2008-10-12 | 2013-10-22 | President And Fellows Of Harvard College | Targeting of antigen presenting cells with immunonanotherapeutics |
| US8932595B2 (en) | 2008-10-12 | 2015-01-13 | Massachusetts Institute Of Technology | Nicotine immunonanotherapeutics |
| US8906381B2 (en) | 2008-10-12 | 2014-12-09 | Massachusetts Institute Of Technology | Immunonanotherapeutics that provide IGG humoral response without T-cell antigen |
| US8343498B2 (en) | 2008-10-12 | 2013-01-01 | Massachusetts Institute Of Technology | Adjuvant incorporation in immunonanotherapeutics |
| US8277812B2 (en) | 2008-10-12 | 2012-10-02 | Massachusetts Institute Of Technology | Immunonanotherapeutics that provide IgG humoral response without T-cell antigen |
| US8343497B2 (en) | 2008-10-12 | 2013-01-01 | The Brigham And Women's Hospital, Inc. | Targeting of antigen presenting cells with immunonanotherapeutics |
| US8591905B2 (en) | 2008-10-12 | 2013-11-26 | The Brigham And Women's Hospital, Inc. | Nicotine immunonanotherapeutics |
| US20110223201A1 (en) * | 2009-04-21 | 2011-09-15 | Selecta Biosciences, Inc. | Immunonanotherapeutics Providing a Th1-Biased Response |
| US8629151B2 (en) | 2009-05-27 | 2014-01-14 | Selecta Biosciences, Inc. | Immunomodulatory agent-polymeric compounds |
| US20110020388A1 (en) * | 2009-05-27 | 2011-01-27 | Selecta Biosciences, Inc. | Targeted synthetic nanocarriers with ph sensitive release of immunomodulatory agents |
| US9006254B2 (en) | 2009-05-27 | 2015-04-14 | Selecta Biosciences, Inc. | Immunomodulatory agent-polymeric compounds |
| US9884112B2 (en) | 2009-05-27 | 2018-02-06 | Selecta Biosciences, Inc. | Immunomodulatory agent-polymeric compounds |
| US20110110965A1 (en) * | 2009-08-26 | 2011-05-12 | Selecta Biosciences, Inc. | Compositions that induce t cell help |
| US11155800B2 (en) | 2010-02-25 | 2021-10-26 | Purdue Research Foundation | PSMA binding ligand-linker conjugates and methods for using |
| US12091693B2 (en) | 2010-02-25 | 2024-09-17 | Purdue Research Foundation | PSMA binding ligand-linker conjugates and methods for using |
| US9951324B2 (en) | 2010-02-25 | 2018-04-24 | Purdue Research Foundation | PSMA binding ligand-linker conjugates and methods for using |
| US10557128B2 (en) | 2010-02-25 | 2020-02-11 | Purdue Research Foundation | PSMA binding ligand-linker conjugates and methods for using |
| US9994443B2 (en) | 2010-11-05 | 2018-06-12 | Selecta Biosciences, Inc. | Modified nicotinic compounds and related methods |
| US10039822B2 (en) | 2011-04-29 | 2018-08-07 | Selecta Biosciences, Inc. | Method for providing polymeric synthetic nanocarriers for generating antigen-specific tolerance immune responses |
| US10912840B2 (en) | 2012-11-15 | 2021-02-09 | Endocyte, Inc. | Conjugates for treating diseases caused by PSMA expressing cells |
| US9782493B2 (en) | 2012-11-15 | 2017-10-10 | Endocyte, Inc. | Conjugates for treating diseases caused by PSMA expressing cells |
| US9636413B2 (en) | 2012-11-15 | 2017-05-02 | Endocyte, Inc. | Conjugates for treating diseases caused by PSMA expressing cells |
| US11951190B2 (en) | 2013-10-18 | 2024-04-09 | Novartis Ag | Use of labeled inhibitors of prostate specific membrane antigen (PSMA), as agents for the treatment of prostate cancer |
| US12178892B2 (en) | 2013-11-14 | 2024-12-31 | Purdue Research Foundation | Compounds for positron emission tomography |
| US10188759B2 (en) | 2015-01-07 | 2019-01-29 | Endocyte, Inc. | Conjugates for imaging |
| US10898596B2 (en) | 2015-01-07 | 2021-01-26 | Endocyte, Inc. | Conjugates for imaging |
| US12208102B2 (en) | 2018-04-17 | 2025-01-28 | Endocyte, Inc. | Methods of treating cancer |
| US12473265B2 (en) | 2019-05-20 | 2025-11-18 | Endocyte, Inc. | Methods for preparing PSMA conjugates |
| WO2022074152A1 (en) | 2020-10-08 | 2022-04-14 | Targimmune Therapeutics Ag | Immunotherapy for the treatment of cancer |
| WO2023079142A2 (en) | 2021-11-05 | 2023-05-11 | Targimmune Therapeutics Ag | Targeted linear conjugates comprising polyethyleneimine and polyethylene glycol and polyplexes comprising the same |
| WO2024097875A1 (en) * | 2022-11-02 | 2024-05-10 | Shattuck Labs, Inc. | Fusion proteins for the treatment of nonalcoholic steatohepatitis |
| WO2024100046A1 (en) | 2022-11-07 | 2024-05-16 | Targimmune Therapeutics Ag | Targeted linear conjugates comprising polyethyleneimine and polyethylene glycol and polyplexes comprising the same |
| WO2024100040A1 (en) | 2022-11-07 | 2024-05-16 | Targimmune Therapeutics Ag | Psma-targeting linear conjugates comprising polyethyleneimine and polyethylene glycol and polyplexes comprising the same |
| WO2024100044A1 (en) | 2022-11-07 | 2024-05-16 | Targimmune Therapeutics Ag | Polyplexes of nucleic acids and targeted conjugates comprising polyethyleneimine and polyethylene glycol |
| WO2025238236A1 (en) | 2024-05-16 | 2025-11-20 | Targimmune Therapeutics Ag | Polyplexes of nucleic acids and targeted conjugates comprising polyethyleneimine and polyethylene glycol |
Also Published As
| Publication number | Publication date |
|---|---|
| AU5089799A (en) | 2000-01-24 |
| WO2000001419A1 (en) | 2000-01-13 |
| US20050233948A1 (en) | 2005-10-20 |
| US6368598B1 (en) | 2002-04-09 |
Similar Documents
| Publication | Publication Date | Title |
|---|---|---|
| US6368598B1 (en) | Drug complex for treatment of metastatic prostate cancer | |
| JP4675028B2 (en) | Trimethyl lock type tetrapartate prodrug | |
| US6720306B2 (en) | Tetrapartate prodrugs | |
| US9283279B2 (en) | Targeted polymeric conjugates and uses thereof | |
| EP0769967B1 (en) | Conjugates comprising an antitumour agent and their use | |
| EP3875082A1 (en) | Conjugates for treating diseases caused by psma expressing cells | |
| ES2425083T3 (en) | Antitumor agent comprising FK228 as a histone deacetylase and doxorubicin inhibitor as a topoisomerase II inhibitor | |
| JPH11500108A (en) | Methods and compositions for lipidation of hydrophilic molecules | |
| JP2004505009A (en) | Combinations for treating neoplasms | |
| WO1988007378A1 (en) | Improvements relating to drug delivery systems | |
| CA2081308A1 (en) | Method for increasing blood-brain barrier permeability | |
| EA026870B1 (en) | Combination and pharmaceutical composition for treating tumors | |
| US20230125881A1 (en) | Novel polypeptides and uses thereof | |
| Kiaris et al. | Regression of U-87 MG human glioblastomas in nude mice after treatment with a cytotoxic somatostatin analog AN-238 | |
| US11576978B2 (en) | Hemoglobin-based therapeutic agents | |
| Radulovic et al. | Cytotoxic analog of somatostatin containing methotrexate inhibits growth of MIA PaCa-2 human pancreatic cancer xenografts in nude mice | |
| US20220071918A1 (en) | Mussel adhesive protein-based photothermal agent and photothermal- responsive adhesive nanoparticles | |
| EP3811980A1 (en) | Accumulative boron 10 medicine for boron neutron capture therapy for selectively or locally targeting tumor tissues in short time | |
| US11524078B2 (en) | Water-soluble macromolecular derivative of Venetoclax | |
| Davis et al. | Progress in chemotherapy of cancer | |
| Keller et al. | Growth inhibition of experimental non‐Hodgkin's lymphomas with the targeted cytotoxic somatostatin analogue AN‐238 | |
| US20250281627A1 (en) | Cancer-targeting peptide, prodrug nanoparticles comprising same, and pharmaceutical composition comprising same for cancer prevention or treatment | |
| WO1995012414A1 (en) | Novel modified pf4 compositions and methods of use | |
| US20240252662A1 (en) | Peptide drug conjugates specific to fibronectin isotypes for cancer therapy | |
| JP5341314B2 (en) | Drug delivery system |
Legal Events
| Date | Code | Title | Description |
|---|---|---|---|
| AS | Assignment |
Owner name: BETH ISRAEL DEACONESS MEDICAL CENTER, MASSACHUSETT Free format text: ASSIGNMENT OF ASSIGNORS INTEREST;ASSIGNOR:BUBLEY, GLENN J.;REEL/FRAME:013426/0199 Effective date: 20021007 |
|
| STCB | Information on status: application discontinuation |
Free format text: ABANDONED -- FAILURE TO RESPOND TO AN OFFICE ACTION |


