US20020165604A1 - Expandable medical device with ductile hinges - Google Patents
Expandable medical device with ductile hinges Download PDFInfo
- Publication number
- US20020165604A1 US20020165604A1 US09/902,105 US90210501A US2002165604A1 US 20020165604 A1 US20020165604 A1 US 20020165604A1 US 90210501 A US90210501 A US 90210501A US 2002165604 A1 US2002165604 A1 US 2002165604A1
- Authority
- US
- United States
- Prior art keywords
- ductile
- ductile hinges
- width
- hinge
- expansion
- Prior art date
- Legal status (The legal status is an assumption and is not a legal conclusion. Google has not performed a legal analysis and makes no representation as to the accuracy of the status listed.)
- Abandoned
Links
- 239000004033 plastic Substances 0.000 claims abstract description 32
- 229920003023 plastic Polymers 0.000 claims abstract description 32
- 238000000034 method Methods 0.000 claims description 17
- 238000005452 bending Methods 0.000 claims description 8
- 210000001367 artery Anatomy 0.000 claims description 4
- 239000012141 concentrate Substances 0.000 abstract description 5
- 239000000463 material Substances 0.000 description 41
- 238000013461 design Methods 0.000 description 39
- 230000006870 function Effects 0.000 description 10
- 230000014509 gene expression Effects 0.000 description 10
- 230000008859 change Effects 0.000 description 9
- 230000008602 contraction Effects 0.000 description 9
- 229910001000 nickel titanium Inorganic materials 0.000 description 9
- 239000010935 stainless steel Substances 0.000 description 9
- HLXZNVUGXRDIFK-UHFFFAOYSA-N nickel titanium Chemical compound [Ti].[Ti].[Ti].[Ti].[Ti].[Ti].[Ti].[Ti].[Ti].[Ti].[Ti].[Ni].[Ni].[Ni].[Ni].[Ni].[Ni].[Ni].[Ni].[Ni].[Ni].[Ni].[Ni].[Ni].[Ni] HLXZNVUGXRDIFK-UHFFFAOYSA-N 0.000 description 8
- 229910001220 stainless steel Inorganic materials 0.000 description 8
- 239000003795 chemical substances by application Substances 0.000 description 7
- 230000009286 beneficial effect Effects 0.000 description 6
- 230000006835 compression Effects 0.000 description 6
- 238000007906 compression Methods 0.000 description 6
- 238000002788 crimping Methods 0.000 description 6
- 238000004458 analytical method Methods 0.000 description 5
- 230000008901 benefit Effects 0.000 description 5
- 230000007423 decrease Effects 0.000 description 5
- 238000002513 implantation Methods 0.000 description 5
- 229910052751 metal Inorganic materials 0.000 description 5
- 239000002184 metal Substances 0.000 description 5
- 238000013459 approach Methods 0.000 description 3
- 238000004519 manufacturing process Methods 0.000 description 3
- 238000005259 measurement Methods 0.000 description 3
- 238000011084 recovery Methods 0.000 description 3
- 229910001285 shape-memory alloy Inorganic materials 0.000 description 3
- BQCADISMDOOEFD-UHFFFAOYSA-N Silver Chemical compound [Ag] BQCADISMDOOEFD-UHFFFAOYSA-N 0.000 description 2
- RTAQQCXQSZGOHL-UHFFFAOYSA-N Titanium Chemical compound [Ti] RTAQQCXQSZGOHL-UHFFFAOYSA-N 0.000 description 2
- 230000006399 behavior Effects 0.000 description 2
- 238000000576 coating method Methods 0.000 description 2
- 230000006378 damage Effects 0.000 description 2
- 230000003247 decreasing effect Effects 0.000 description 2
- 230000000694 effects Effects 0.000 description 2
- 230000005489 elastic deformation Effects 0.000 description 2
- PCHJSUWPFVWCPO-UHFFFAOYSA-N gold Chemical compound [Au] PCHJSUWPFVWCPO-UHFFFAOYSA-N 0.000 description 2
- 239000010931 gold Substances 0.000 description 2
- 238000003780 insertion Methods 0.000 description 2
- 230000037431 insertion Effects 0.000 description 2
- 230000007246 mechanism Effects 0.000 description 2
- 150000002739 metals Chemical class 0.000 description 2
- 229920000642 polymer Polymers 0.000 description 2
- 239000004332 silver Substances 0.000 description 2
- 238000005482 strain hardening Methods 0.000 description 2
- GUVRBAGPIYLISA-UHFFFAOYSA-N tantalum atom Chemical compound [Ta] GUVRBAGPIYLISA-UHFFFAOYSA-N 0.000 description 2
- 239000010936 titanium Substances 0.000 description 2
- 229910001316 Ag alloy Inorganic materials 0.000 description 1
- 229910001020 Au alloy Inorganic materials 0.000 description 1
- 229910000831 Steel Inorganic materials 0.000 description 1
- 229910001362 Ta alloys Inorganic materials 0.000 description 1
- 208000007536 Thrombosis Diseases 0.000 description 1
- 229910001069 Ti alloy Inorganic materials 0.000 description 1
- HZEWFHLRYVTOIW-UHFFFAOYSA-N [Ti].[Ni] Chemical compound [Ti].[Ni] HZEWFHLRYVTOIW-UHFFFAOYSA-N 0.000 description 1
- 229910045601 alloy Inorganic materials 0.000 description 1
- 239000000956 alloy Substances 0.000 description 1
- 230000004323 axial length Effects 0.000 description 1
- 238000004364 calculation method Methods 0.000 description 1
- 238000003486 chemical etching Methods 0.000 description 1
- 238000002512 chemotherapy Methods 0.000 description 1
- 238000010276 construction Methods 0.000 description 1
- 239000004035 construction material Substances 0.000 description 1
- 230000001066 destructive effect Effects 0.000 description 1
- 229910003460 diamond Inorganic materials 0.000 description 1
- 239000010432 diamond Substances 0.000 description 1
- 239000003814 drug Substances 0.000 description 1
- 229940079593 drug Drugs 0.000 description 1
- 238000002474 experimental method Methods 0.000 description 1
- 239000004744 fabric Substances 0.000 description 1
- 239000012530 fluid Substances 0.000 description 1
- 229910052737 gold Inorganic materials 0.000 description 1
- 239000007943 implant Substances 0.000 description 1
- 238000010348 incorporation Methods 0.000 description 1
- 238000003698 laser cutting Methods 0.000 description 1
- 238000003754 machining Methods 0.000 description 1
- 229910000734 martensite Inorganic materials 0.000 description 1
- 238000012986 modification Methods 0.000 description 1
- 230000004048 modification Effects 0.000 description 1
- 230000007935 neutral effect Effects 0.000 description 1
- 210000000056 organ Anatomy 0.000 description 1
- 230000008569 process Effects 0.000 description 1
- 230000000630 rising effect Effects 0.000 description 1
- 238000005096 rolling process Methods 0.000 description 1
- 238000001878 scanning electron micrograph Methods 0.000 description 1
- 238000004904 shortening Methods 0.000 description 1
- 229910052709 silver Inorganic materials 0.000 description 1
- 229910001256 stainless steel alloy Inorganic materials 0.000 description 1
- 239000010959 steel Substances 0.000 description 1
- -1 such as Substances 0.000 description 1
- 229910052715 tantalum Inorganic materials 0.000 description 1
- 230000000451 tissue damage Effects 0.000 description 1
- 231100000827 tissue damage Toxicity 0.000 description 1
- 229910052719 titanium Inorganic materials 0.000 description 1
- 230000002792 vascular Effects 0.000 description 1
- 210000005166 vasculature Anatomy 0.000 description 1
- 238000003466 welding Methods 0.000 description 1
Images
Classifications
-
- A—HUMAN NECESSITIES
- A61—MEDICAL OR VETERINARY SCIENCE; HYGIENE
- A61F—FILTERS IMPLANTABLE INTO BLOOD VESSELS; PROSTHESES; DEVICES PROVIDING PATENCY TO, OR PREVENTING COLLAPSING OF, TUBULAR STRUCTURES OF THE BODY, e.g. STENTS; ORTHOPAEDIC, NURSING OR CONTRACEPTIVE DEVICES; FOMENTATION; TREATMENT OR PROTECTION OF EYES OR EARS; BANDAGES, DRESSINGS OR ABSORBENT PADS; FIRST-AID KITS
- A61F2/00—Filters implantable into blood vessels; Prostheses, i.e. artificial substitutes or replacements for parts of the body; Appliances for connecting them with the body; Devices providing patency to, or preventing collapsing of, tubular structures of the body, e.g. stents
- A61F2/82—Devices providing patency to, or preventing collapsing of, tubular structures of the body, e.g. stents
- A61F2/856—Single tubular stent with a side portal passage
-
- A—HUMAN NECESSITIES
- A61—MEDICAL OR VETERINARY SCIENCE; HYGIENE
- A61F—FILTERS IMPLANTABLE INTO BLOOD VESSELS; PROSTHESES; DEVICES PROVIDING PATENCY TO, OR PREVENTING COLLAPSING OF, TUBULAR STRUCTURES OF THE BODY, e.g. STENTS; ORTHOPAEDIC, NURSING OR CONTRACEPTIVE DEVICES; FOMENTATION; TREATMENT OR PROTECTION OF EYES OR EARS; BANDAGES, DRESSINGS OR ABSORBENT PADS; FIRST-AID KITS
- A61F2/00—Filters implantable into blood vessels; Prostheses, i.e. artificial substitutes or replacements for parts of the body; Appliances for connecting them with the body; Devices providing patency to, or preventing collapsing of, tubular structures of the body, e.g. stents
- A61F2/82—Devices providing patency to, or preventing collapsing of, tubular structures of the body, e.g. stents
- A61F2/86—Stents in a form characterised by the wire-like elements; Stents in the form characterised by a net-like or mesh-like structure
- A61F2/90—Stents in a form characterised by the wire-like elements; Stents in the form characterised by a net-like or mesh-like structure characterised by a net-like or mesh-like structure
- A61F2/91—Stents in a form characterised by the wire-like elements; Stents in the form characterised by a net-like or mesh-like structure characterised by a net-like or mesh-like structure made from perforated sheets or tubes, e.g. perforated by laser cuts or etched holes
-
- A—HUMAN NECESSITIES
- A61—MEDICAL OR VETERINARY SCIENCE; HYGIENE
- A61F—FILTERS IMPLANTABLE INTO BLOOD VESSELS; PROSTHESES; DEVICES PROVIDING PATENCY TO, OR PREVENTING COLLAPSING OF, TUBULAR STRUCTURES OF THE BODY, e.g. STENTS; ORTHOPAEDIC, NURSING OR CONTRACEPTIVE DEVICES; FOMENTATION; TREATMENT OR PROTECTION OF EYES OR EARS; BANDAGES, DRESSINGS OR ABSORBENT PADS; FIRST-AID KITS
- A61F2/00—Filters implantable into blood vessels; Prostheses, i.e. artificial substitutes or replacements for parts of the body; Appliances for connecting them with the body; Devices providing patency to, or preventing collapsing of, tubular structures of the body, e.g. stents
- A61F2/82—Devices providing patency to, or preventing collapsing of, tubular structures of the body, e.g. stents
- A61F2/86—Stents in a form characterised by the wire-like elements; Stents in the form characterised by a net-like or mesh-like structure
- A61F2/90—Stents in a form characterised by the wire-like elements; Stents in the form characterised by a net-like or mesh-like structure characterised by a net-like or mesh-like structure
- A61F2/91—Stents in a form characterised by the wire-like elements; Stents in the form characterised by a net-like or mesh-like structure characterised by a net-like or mesh-like structure made from perforated sheets or tubes, e.g. perforated by laser cuts or etched holes
- A61F2/915—Stents in a form characterised by the wire-like elements; Stents in the form characterised by a net-like or mesh-like structure characterised by a net-like or mesh-like structure made from perforated sheets or tubes, e.g. perforated by laser cuts or etched holes with bands having a meander structure, adjacent bands being connected to each other
-
- A—HUMAN NECESSITIES
- A61—MEDICAL OR VETERINARY SCIENCE; HYGIENE
- A61F—FILTERS IMPLANTABLE INTO BLOOD VESSELS; PROSTHESES; DEVICES PROVIDING PATENCY TO, OR PREVENTING COLLAPSING OF, TUBULAR STRUCTURES OF THE BODY, e.g. STENTS; ORTHOPAEDIC, NURSING OR CONTRACEPTIVE DEVICES; FOMENTATION; TREATMENT OR PROTECTION OF EYES OR EARS; BANDAGES, DRESSINGS OR ABSORBENT PADS; FIRST-AID KITS
- A61F2/00—Filters implantable into blood vessels; Prostheses, i.e. artificial substitutes or replacements for parts of the body; Appliances for connecting them with the body; Devices providing patency to, or preventing collapsing of, tubular structures of the body, e.g. stents
- A61F2/82—Devices providing patency to, or preventing collapsing of, tubular structures of the body, e.g. stents
- A61F2/86—Stents in a form characterised by the wire-like elements; Stents in the form characterised by a net-like or mesh-like structure
- A61F2/90—Stents in a form characterised by the wire-like elements; Stents in the form characterised by a net-like or mesh-like structure characterised by a net-like or mesh-like structure
- A61F2/91—Stents in a form characterised by the wire-like elements; Stents in the form characterised by a net-like or mesh-like structure characterised by a net-like or mesh-like structure made from perforated sheets or tubes, e.g. perforated by laser cuts or etched holes
- A61F2/915—Stents in a form characterised by the wire-like elements; Stents in the form characterised by a net-like or mesh-like structure characterised by a net-like or mesh-like structure made from perforated sheets or tubes, e.g. perforated by laser cuts or etched holes with bands having a meander structure, adjacent bands being connected to each other
- A61F2002/91508—Stents in a form characterised by the wire-like elements; Stents in the form characterised by a net-like or mesh-like structure characterised by a net-like or mesh-like structure made from perforated sheets or tubes, e.g. perforated by laser cuts or etched holes with bands having a meander structure, adjacent bands being connected to each other the meander having a difference in amplitude along the band
-
- A—HUMAN NECESSITIES
- A61—MEDICAL OR VETERINARY SCIENCE; HYGIENE
- A61F—FILTERS IMPLANTABLE INTO BLOOD VESSELS; PROSTHESES; DEVICES PROVIDING PATENCY TO, OR PREVENTING COLLAPSING OF, TUBULAR STRUCTURES OF THE BODY, e.g. STENTS; ORTHOPAEDIC, NURSING OR CONTRACEPTIVE DEVICES; FOMENTATION; TREATMENT OR PROTECTION OF EYES OR EARS; BANDAGES, DRESSINGS OR ABSORBENT PADS; FIRST-AID KITS
- A61F2/00—Filters implantable into blood vessels; Prostheses, i.e. artificial substitutes or replacements for parts of the body; Appliances for connecting them with the body; Devices providing patency to, or preventing collapsing of, tubular structures of the body, e.g. stents
- A61F2/82—Devices providing patency to, or preventing collapsing of, tubular structures of the body, e.g. stents
- A61F2/86—Stents in a form characterised by the wire-like elements; Stents in the form characterised by a net-like or mesh-like structure
- A61F2/90—Stents in a form characterised by the wire-like elements; Stents in the form characterised by a net-like or mesh-like structure characterised by a net-like or mesh-like structure
- A61F2/91—Stents in a form characterised by the wire-like elements; Stents in the form characterised by a net-like or mesh-like structure characterised by a net-like or mesh-like structure made from perforated sheets or tubes, e.g. perforated by laser cuts or etched holes
- A61F2/915—Stents in a form characterised by the wire-like elements; Stents in the form characterised by a net-like or mesh-like structure characterised by a net-like or mesh-like structure made from perforated sheets or tubes, e.g. perforated by laser cuts or etched holes with bands having a meander structure, adjacent bands being connected to each other
- A61F2002/91516—Stents in a form characterised by the wire-like elements; Stents in the form characterised by a net-like or mesh-like structure characterised by a net-like or mesh-like structure made from perforated sheets or tubes, e.g. perforated by laser cuts or etched holes with bands having a meander structure, adjacent bands being connected to each other the meander having a change in frequency along the band
-
- A—HUMAN NECESSITIES
- A61—MEDICAL OR VETERINARY SCIENCE; HYGIENE
- A61F—FILTERS IMPLANTABLE INTO BLOOD VESSELS; PROSTHESES; DEVICES PROVIDING PATENCY TO, OR PREVENTING COLLAPSING OF, TUBULAR STRUCTURES OF THE BODY, e.g. STENTS; ORTHOPAEDIC, NURSING OR CONTRACEPTIVE DEVICES; FOMENTATION; TREATMENT OR PROTECTION OF EYES OR EARS; BANDAGES, DRESSINGS OR ABSORBENT PADS; FIRST-AID KITS
- A61F2/00—Filters implantable into blood vessels; Prostheses, i.e. artificial substitutes or replacements for parts of the body; Appliances for connecting them with the body; Devices providing patency to, or preventing collapsing of, tubular structures of the body, e.g. stents
- A61F2/82—Devices providing patency to, or preventing collapsing of, tubular structures of the body, e.g. stents
- A61F2/86—Stents in a form characterised by the wire-like elements; Stents in the form characterised by a net-like or mesh-like structure
- A61F2/90—Stents in a form characterised by the wire-like elements; Stents in the form characterised by a net-like or mesh-like structure characterised by a net-like or mesh-like structure
- A61F2/91—Stents in a form characterised by the wire-like elements; Stents in the form characterised by a net-like or mesh-like structure characterised by a net-like or mesh-like structure made from perforated sheets or tubes, e.g. perforated by laser cuts or etched holes
- A61F2/915—Stents in a form characterised by the wire-like elements; Stents in the form characterised by a net-like or mesh-like structure characterised by a net-like or mesh-like structure made from perforated sheets or tubes, e.g. perforated by laser cuts or etched holes with bands having a meander structure, adjacent bands being connected to each other
- A61F2002/91525—Stents in a form characterised by the wire-like elements; Stents in the form characterised by a net-like or mesh-like structure characterised by a net-like or mesh-like structure made from perforated sheets or tubes, e.g. perforated by laser cuts or etched holes with bands having a meander structure, adjacent bands being connected to each other within the whole structure different bands showing different meander characteristics, e.g. frequency or amplitude
-
- A—HUMAN NECESSITIES
- A61—MEDICAL OR VETERINARY SCIENCE; HYGIENE
- A61F—FILTERS IMPLANTABLE INTO BLOOD VESSELS; PROSTHESES; DEVICES PROVIDING PATENCY TO, OR PREVENTING COLLAPSING OF, TUBULAR STRUCTURES OF THE BODY, e.g. STENTS; ORTHOPAEDIC, NURSING OR CONTRACEPTIVE DEVICES; FOMENTATION; TREATMENT OR PROTECTION OF EYES OR EARS; BANDAGES, DRESSINGS OR ABSORBENT PADS; FIRST-AID KITS
- A61F2/00—Filters implantable into blood vessels; Prostheses, i.e. artificial substitutes or replacements for parts of the body; Appliances for connecting them with the body; Devices providing patency to, or preventing collapsing of, tubular structures of the body, e.g. stents
- A61F2/82—Devices providing patency to, or preventing collapsing of, tubular structures of the body, e.g. stents
- A61F2/86—Stents in a form characterised by the wire-like elements; Stents in the form characterised by a net-like or mesh-like structure
- A61F2/90—Stents in a form characterised by the wire-like elements; Stents in the form characterised by a net-like or mesh-like structure characterised by a net-like or mesh-like structure
- A61F2/91—Stents in a form characterised by the wire-like elements; Stents in the form characterised by a net-like or mesh-like structure characterised by a net-like or mesh-like structure made from perforated sheets or tubes, e.g. perforated by laser cuts or etched holes
- A61F2/915—Stents in a form characterised by the wire-like elements; Stents in the form characterised by a net-like or mesh-like structure characterised by a net-like or mesh-like structure made from perforated sheets or tubes, e.g. perforated by laser cuts or etched holes with bands having a meander structure, adjacent bands being connected to each other
- A61F2002/91533—Stents in a form characterised by the wire-like elements; Stents in the form characterised by a net-like or mesh-like structure characterised by a net-like or mesh-like structure made from perforated sheets or tubes, e.g. perforated by laser cuts or etched holes with bands having a meander structure, adjacent bands being connected to each other characterised by the phase between adjacent bands
-
- A—HUMAN NECESSITIES
- A61—MEDICAL OR VETERINARY SCIENCE; HYGIENE
- A61F—FILTERS IMPLANTABLE INTO BLOOD VESSELS; PROSTHESES; DEVICES PROVIDING PATENCY TO, OR PREVENTING COLLAPSING OF, TUBULAR STRUCTURES OF THE BODY, e.g. STENTS; ORTHOPAEDIC, NURSING OR CONTRACEPTIVE DEVICES; FOMENTATION; TREATMENT OR PROTECTION OF EYES OR EARS; BANDAGES, DRESSINGS OR ABSORBENT PADS; FIRST-AID KITS
- A61F2/00—Filters implantable into blood vessels; Prostheses, i.e. artificial substitutes or replacements for parts of the body; Appliances for connecting them with the body; Devices providing patency to, or preventing collapsing of, tubular structures of the body, e.g. stents
- A61F2/82—Devices providing patency to, or preventing collapsing of, tubular structures of the body, e.g. stents
- A61F2/86—Stents in a form characterised by the wire-like elements; Stents in the form characterised by a net-like or mesh-like structure
- A61F2/90—Stents in a form characterised by the wire-like elements; Stents in the form characterised by a net-like or mesh-like structure characterised by a net-like or mesh-like structure
- A61F2/91—Stents in a form characterised by the wire-like elements; Stents in the form characterised by a net-like or mesh-like structure characterised by a net-like or mesh-like structure made from perforated sheets or tubes, e.g. perforated by laser cuts or etched holes
- A61F2/915—Stents in a form characterised by the wire-like elements; Stents in the form characterised by a net-like or mesh-like structure characterised by a net-like or mesh-like structure made from perforated sheets or tubes, e.g. perforated by laser cuts or etched holes with bands having a meander structure, adjacent bands being connected to each other
- A61F2002/91533—Stents in a form characterised by the wire-like elements; Stents in the form characterised by a net-like or mesh-like structure characterised by a net-like or mesh-like structure made from perforated sheets or tubes, e.g. perforated by laser cuts or etched holes with bands having a meander structure, adjacent bands being connected to each other characterised by the phase between adjacent bands
- A61F2002/91541—Adjacent bands are arranged out of phase
-
- A—HUMAN NECESSITIES
- A61—MEDICAL OR VETERINARY SCIENCE; HYGIENE
- A61F—FILTERS IMPLANTABLE INTO BLOOD VESSELS; PROSTHESES; DEVICES PROVIDING PATENCY TO, OR PREVENTING COLLAPSING OF, TUBULAR STRUCTURES OF THE BODY, e.g. STENTS; ORTHOPAEDIC, NURSING OR CONTRACEPTIVE DEVICES; FOMENTATION; TREATMENT OR PROTECTION OF EYES OR EARS; BANDAGES, DRESSINGS OR ABSORBENT PADS; FIRST-AID KITS
- A61F2/00—Filters implantable into blood vessels; Prostheses, i.e. artificial substitutes or replacements for parts of the body; Appliances for connecting them with the body; Devices providing patency to, or preventing collapsing of, tubular structures of the body, e.g. stents
- A61F2/82—Devices providing patency to, or preventing collapsing of, tubular structures of the body, e.g. stents
- A61F2/86—Stents in a form characterised by the wire-like elements; Stents in the form characterised by a net-like or mesh-like structure
- A61F2/90—Stents in a form characterised by the wire-like elements; Stents in the form characterised by a net-like or mesh-like structure characterised by a net-like or mesh-like structure
- A61F2/91—Stents in a form characterised by the wire-like elements; Stents in the form characterised by a net-like or mesh-like structure characterised by a net-like or mesh-like structure made from perforated sheets or tubes, e.g. perforated by laser cuts or etched holes
- A61F2/915—Stents in a form characterised by the wire-like elements; Stents in the form characterised by a net-like or mesh-like structure characterised by a net-like or mesh-like structure made from perforated sheets or tubes, e.g. perforated by laser cuts or etched holes with bands having a meander structure, adjacent bands being connected to each other
- A61F2002/9155—Adjacent bands being connected to each other
- A61F2002/91558—Adjacent bands being connected to each other connected peak to peak
Definitions
- the present invention relates to tissue-supporting medical devices, and more particularly to expandable, non-removable devices that are implanted within a bodily lumen of a living animal or human to support the organ and maintain patency.
- Known stent designs include monofilament wire coil stents (U.S. Pat. No. 4,969,458); welded metal cages (U.S. Pat. Nos. 4,733,665 and 4,776,337); and, most prominently, thin-walled metal cylinders with axial slots formed around the circumference (U.S. Pat. Nos. 4,733,665, 4,739,762, and 4,776,337).
- Known construction materials for use in stents include polymers, organic fabrics and biocompatible metals, such as, stainless steel, gold, silver, tantalum, titanium, and shape memory alloys such as Nitinol.
- U.S. Pat. Nos. 4,733,665, 4,739,762, and 4,776,337 disclose expandable and deformable interluminal vascular grafts in the form of thin-walled tubular members with axial slots allowing the members to be expanded radially outwardly into contact with a body passageway. After insertion, the tubular members are mechanically expanded beyond their elastic limit and thus permanently fixed within the body. The force required to expand these tubular stents is proportional to the thickness of the wall material in a radial direction. To keep expansion forces within acceptable levels for use within the body (e.g., 5-10 atm), these designs must use very thin-walled materials (e.g., stainless steel tubing with 0.0025 inch thick walls). However, materials this thin are not visible on conventional fluoroscopic and x-ray equipment and it is therefore difficult to place the stents accurately or to find and retrieve stents that subsequently become dislodged and lost in the circulatory system.
- very thin-walled materials e.g
- a second, high-pressure balloon e.g., 12 to 18 atm
- a second, high-pressure balloon would be used to attempt to drive the twisted struts further into the lumen wall.
- a typical delivery catheter for use in expanding a stent includes a balloon folded into a compact shape for catheter insertion. The balloon is expanded by fluid pressure to unfold the balloon and deploy the stent. This process of unfolding the balloon causes uneven stresses to be applied to the stent during expansion of the balloon due to the folds causing the problem non-uniform stent expansion.
- U.S. Pat. No. 5,545,210 discloses a thin-walled tubular stent geometrically similar to those discussed above, but constructed of a nickel-titanium shape memory alloy (“Nitinol”).
- Nitinol nickel-titanium shape memory alloy
- This design permits the use of cylinders with thicker walls by making use of the lower yield stress and lower elastic modulus of martensitic phase Nitinol alloys.
- the expansion force required to expand a Nitinol stent is less than that of comparable thickness stainless steel stents of a conventional design.
- the “recoil” problem after expansion is significantly greater with Nitinol than with other materials.
- recoil of a typical design Nitinol stent is about 9%.
- Nitinol is also more expensive, and more difficult to fabricate and machine than other stent materials, such as stainless steel.
- FIG. 1 shows a typical prior art “expanding cage” stent design.
- the stent 10 includes a series of axial slots 12 formed in a cylindrical tube 14 .
- Each axial row of slots 12 is displaced axially from the adjacent row by approximately half the slot length providing a staggered slot arrangement.
- the material between the slots 12 forms a network of axial struts 16 joined by short circumferential links 18 .
- the cross section of each strut 16 remains constant or varies gradually along the entire length of the strut and thus the rectangular moment of inertia and the elastic and plastic section moduli of the cross section also remain constant or vary gradually along the length of the strut.
- Such a strut 16 is commonly referred to as a prismatic beam.
- Struts 16 in this type of design are typically 0.005 to 0.006 inches (0.127-0.1524 mm) wide in the circumferential direction. Strut thicknesses in the radial direction are typically about 0.0025 inches (0.0635 mm) or less to keep expansion forces within acceptable levels. However, most stent materials must be approximately 0.005 inches (0.127 mm) thick for good visibility on conventional fluoroscopic equipment. This high ratio of strut width to thickness, combined with the relatively high strut length and the initial curvature of the stent tubing combine to cause the instability and bucking often seen in this type of stent design. When expanded, the stent structure of FIG. 1 assumes the roughly diamond pattern commonly seen in expanded sheet metal.
- Another stent described in PCT publication number WO 96/29028 uses struts with relatively weak portions of locally-reduced cross sections which on expansion of the stent act to concentrate deformation at these areas.
- the locally-reduced cross section portions described in this document are formed by pairs of circular holes.
- the shape of the locally-reduced cross section portions undesirably concentrates the plastic strain at the narrowest portion. This concentration of plastic strain without any provision for controlling the level of plastic strain makes the stent highly vulnerable to failure.
- tissue-supporting device that permits a choice of material thickness that could be viewed easily on conventional fluoroscopic equipment for any material.
- tissue-supporting device that is inherently stable during expansion, thus eliminating buckling and twisting of structural features during stent deployment.
- tissue-supporting device with minimal elastic recovery, or “recoil” of the device after expansion.
- tissue supporting device that can be securely crimped to the delivery catheter without requiring special tools, techniques, or ancillary clamping features.
- tissue-supporting device that has improved resistance to compressive forces (improved crush strength) after expansion.
- tissue-supporting device which is differentially expandable and/or which has framed hole features for accommodating bifurcations.
- the present invention addresses several important problems in expandable medical device design including: high expansion force requirements; lack of radio-opacity in thin-walled stents; buckling and twisting of stent features during expansion; poor crimping properties; and excessive elastic recovery (“recoil”) after implantation.
- the invention also provides benefits of improved resistance to compressive forces after expansion, control of the level of plastic strain, and low axial shortening during expansion.
- Some embodiments of the invention also provide improved uniformity of expansion by limiting a maximum geometric deflection between struts.
- Other embodiments of the invention include segments of the expandable device which may be expanded in a specified sequence and/or framed hole features for accommodating bifurcations.
- the invention involves the incorporation of stress/strain concentration features or “ductile hinges” at selected points in the body of an expandable cylindrical medical device.
- ductile hinges concentrate expansion stresses and strains in small, well-defined areas while limiting strut deflection and plastic strain to specified levels.
- an expandable medical device includes a plurality of elongated beams and a plurality of ductile hinges connecting the plurality of beams together in a radially expandable substantially cylindrical device.
- the plurality of elongated beams have a beam width in a circumferential direction.
- the ductile hinges have a width in a circumferential direction along a portion of a hinge length which is smaller than the beam width such that as the device is expanded the ductile hinges experience plastic deformation while the beams are not plastically deformed.
- a first section of the substantially cylindrical device includes ductile hinges having a first width and a second section of the substantially cylindrical device includes ductile hinges having a second width different from the first width such that the first section expands before the second section.
- an expandable medical device includes a plurality of elongated beams and a plurality of ductile hinges connecting the plurality of beams together in a radially expandable substantially cylindrical device.
- the plurality of elongated beams are joined together in a regular pattern to form the substantially cylindrical device.
- the plurality of elongated beams have a beam width in a circumferential direction and the ductile hinges have a width in a circumferential direction along a portion of a hinge length which is smaller than the beam width such that as the device is expanded the ductile hinges experience plastic deformation while the beams are not plastically deformed.
- a hole feature interrupts the regular pattern of the plurality of beams, the hole feature accommodating a bifurcation in a vessel.
- a method of expanding a medical device includes the steps of:
- a substantially cylindrical expandable medical device having a first section with ductile hinges of a first configuration and a second section with ductile hinges of a second configuration which requires a different force for expansion than the first configuration;
- FIG. 1 is an isometric view of a prior art tissue-supporting device
- FIG. 2 is an isometric view of a tissue-supporting device in accordance with one embodiment of the invention.
- FIGS. 3 a - d are perspective views of ductile hinges according to several variations of the invention.
- FIG. 3 e is a side view of another embodiment of a ductile hinge
- FIGS. 4 a and 4 b are an isometric view and an enlarged side view of a tissue-supporting device in accordance with an alternative embodiment of the invention.
- FIGS. 5 a - 5 c are perspective, side, and cross-sectional views of an idealized ductile hinge for purposes of analysis
- FIG. 5 d is a stress/strain curve for the idealized ductile hinge
- FIGS. 6 is a perspective view of a simple beam for purposes of calculation
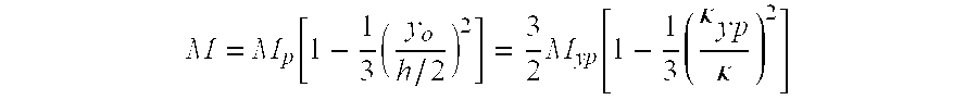
- FIG. 7 is a moment verses curvature graph for a rectangular beam
- FIG. 8 is an enlarged side view of a bent ductile hinge
- FIGS. 9 a and 9 b are enlarged side views of ductile hinges in initial and expanded positions with shortened struts to illustrate axial contraction relationships
- FIG. 10 is a side view of a portion of an alternative embodiment of a tissue supporting device having a high-crush-strength and low-recoil;
- FIGS. 11 a - c are schematic side views of unexpanded, partially expanded, and fully expanded views of a differentially expanding tissue supporting device
- FIG. 12 a is an unexpanded side view of a cylindrical tissue supporting device with a side hole feature, which has been laid flat for ease of illustration;
- FIGS. 12 b and 12 c are unexpanded and expanded schematic side views of the tissue supporting device of FIG. 12 a.
- FIG. 2 shows one embodiment of an expandable tissue supporting device 20 in accordance with the present invention.
- the tissue supporting device 20 includes a series of axial slots 22 formed in a cylindrical tube 24 .
- Each axial slot 22 is displaced axially from the slots in adjacent rows of slots by approximately half the slot length resulting in a staggered slot arrangement.
- the offset between adjacent rows of slots results in alternate rows of slots which extend to the ends of the cylindrical tube 24 .
- a circumferential slot 26 is formed at each interior end of each of the axial slots 22 .
- the material between the slots 22 forms a network of axial struts 28 extending substantially parallel to an axis of the tube 24 .
- the axial struts 28 are joined by short circumferential links 30 .
- the circumferential links 30 are positioned at both the interior of the cylindrical tube and at the ends of the cylindrical tube.
- the cross section (and rectangular moment of inertia) of each of the struts 28 is not constant along the length of the strut. Rather, the strut cross section changes abruptly at both ends of each strut 28 at the location of the circumferential slots 26 .
- the struts 28 are thus not prismatic.
- Each individual strut 28 is linked to the rest of the structure through a pair of reduced sections 32 , one at each end, which act as stress/strain concentration features.
- the reduced sections 32 of the struts function as hinges in the cylindrical structure.
- the stress/strain concentration features 32 are designed to operate into the plastic deformation range of generally ductile materials, they are referred to as ductile hinges. Such features are also commonly referred to as “Notch Hinges” or “Notch Springs” in ultra-precision mechanism design, where they are used exclusively in the elastic range.
- the width of any feature is defined as its dimension in the circumferential direction of the cylinder.
- the length of any feature is defined as its dimension in the axial direction of the cylinder.
- the thickness of any feature is defined as the wall thickness of the cylinder.
- the presence of the ductile hinges 32 allows all of the remaining features in the tissue supporting device to be increased in width or the circumferentially oriented component of their respective rectangular moments of inertia—thus greatly increasing the strength and rigidity of these features.
- the net result is that elastic, and then plastic deformation commence and propagate in the ductile hinges 32 before other structural elements of the device undergo any significant elastic deformation.
- the force required to expand the tissue supporting device 20 becomes a function of the geometry of the ductile hinges 32 , rather than the device structure as a whole, and arbitrarily small expansion forces can be specified by changing hinge geometry for virtually any material wall thickness. In particular, wall thicknesses great enough to be visible on a fluoroscope can be chosen for any material of interest.
- the ductile hinges 32 should be designed to operate well into the plastic range of the material, and relatively high local strain-curvatures are developed. When these conditions apply, elastic curvature is a very small fraction of plastic or total curvature, and thus when expansion forces are relaxed, the percent change in hinge curvature is very small. When incorporated into a strut network designed to take maximum advantage of this effect, the elastic springback, or “recoil,” of the overall stent structure is minimized.
- strut width is the maximum width that is geometrically possible for a given diameter and a given number of struts arrayed around that diameter.
- the only geometric limitation on strut width is the minimum practical width of the slots 22 which is about 0.002 inches (0.0508 mm) for laser machining.
- Lateral stiffness of the struts 28 increases as the cube of strut width, so that relatively small increases in strut width significantly increase strut stiffness.
- the net result of inserting ductile hinges 32 and increasing strut width is that the struts 28 no longer act as flexible leaf springs, but act as essentially rigid beams between the ductile hinges. All radial expansion or compression of the cylindrical tissue supporting device 20 is accommodated by mechanical strain in the hinge features 32 , and yield in the hinge commences at very small overall radial expansion or compression.
- the geometric details of the stress/strain concentration features or ductile hinges 32 can be varied greatly to tailor the exact mechanical expansion properties to those required in a specific application.
- the most obvious and straightforward ductile hinges are formed by slots or notches with rounded roots, as in FIGS. 3 a and 3 c . Since the laser beams often used to fabricate these features are themselves round, slots or notches with circular roots are also among the easiest to fabricate.
- FIG. 3 a shows a ductile hinge 36 formed by a pair of opposed circular grooves 38 , 40 .
- the circumferential slot 26 has semicircular ends 38 having a radius of curvature r.
- Outer semicircular grooves 40 opposed the semicircular ends 38 and also have a radius of curvature r.
- FIG. 3 c shows another ductile hinge 54 formed by a parabolic groove 56 .
- the ductile hinges 36 of the embodiment of FIG. 3 a formed between pairs of concave curves 38 , 40 have a minimum width along a line connecting their respective centers of curvature.
- strut deflection angles for device expansion are often in the 25° to 45° range. At these angles, strain at the root or bisecting plane of concave ductile hinge features can easily exceed the 50 to 60% elongation-to-failure of 316L stainless steel, one of the most ductile stent materials. Deflection limiting features which will be described further below limit the geometric deflection of struts, but these features do not in themselves affect the propagation pattern of plastic deformation in a given ductile hinge design. For concave ductile hinges at large bend angles, very high strain concentrations remain. Scanning electron micrographs have confirmed this analysis.
- FIG. 3 b shows a simple ductile hinge design that allows material strain to be limited to some specified level.
- the ductile hinge of FIG. 3 b is formed by a rectangular circumferential groove 46 with filleted corners 48 on one side of a strut, the opposite side 50 of the strut remaining straight.
- the ductile hinges 44 are substantially rectangular sections between the ends of the groove 46 and the side walls 50 .
- the ductile hinge 44 has a constant or substantially constant width along at least a portion of its total length. In this configuration, there is no local minimum width along the ductile hinge axis, as there is with pairs of concave roots. There is therefore no point concentration of stresses and strains along the length of the ductile hinge beam during stent expansion. In particular, maximum tensile and compressive strains will be distributed evenly along the upper and lower surfaces of the hinge 44 during stent expansion. With the gross bend angle limited by mechanical stops, which are described below in detail, the maximum material strain (at the hinge surfaces) can therefore be reliably limited by adjusting the initial length of the ductile hinge over which the total elongation is distributed.
- FIG. 3 d shows a ductile hinge 60 in a cylindrical wire 62 for incorporating into a wire-form tissue-supporting device.
- the ductile hinge 60 is formed by a reduced diameter portion of the wire 62 .
- the ductile hinge has a substantially constant width over a portion of its length in order to provide strain control.
- the ductile hinge is prismatic over a portion of its length. Maximum material strain can be varied by adjusting the hinge length.
- the ductile hinges of the present invention have a constant or substantially constant width over at least 1 ⁇ 3 of the ductile hinge length, and preferably over at least 1 ⁇ 2 of the ductile hinge length.
- FIG. 3 e shows an asymmetric ductile hinge 63 that produces different strain versus deflection-angle functions in expansion and compression.
- Each of the ductile hinges 64 is formed between a convex surface 68 and a concave surface 69 .
- the ductile hinge 64 according to a preferred embodiment essentially takes the form of a small, prismatic curved beam having a substantially constant cross section. However, a thickness of the curved ductile hinge 64 may vary somewhat as long as the ductile hinge width remains constant along a portion of the hinge length. The width of the curved beam is measured along the radius of curvature of the beam.
- This small curved beam is oriented such that the smaller concave surface 69 is placed in tension in the device crimping direction, while the larger convex surface 68 of the ductile hinges is placed in tension in the device expansion direction.
- tensile strain will be distributed along the convex surface 68 of the hinge 64 and maximum expansion will be limited by the angle of the walls of the concave notch 69 which provide a geometric deflection limiting feature.
- Maximum tensile strain can therefore be reliably limited by adjusting the initial length of the convex arc shaped ductile hinge 64 over which the total elongation is distributed.
- the ductile hinges illustrated in FIGS. 3 a - e are examples of different structures that will function as a stress/strain concentrator. Many other stress/strain concentrator configurations may also be used as the ductile hinges in the present invention.
- the ductile hinges according to the present invention generally include an abrupt change in width of a strut that functions to concentrate stresses and strains in the narrower section of the strut. These ductile hinges also generally include features to limit mechanical deflection of attached struts and features to control material strain during large strut deflections.
- the ductile hinges have been illustrated in FIG. 2 as positioned at the ends of each of the axial slots 22 , they may also be positioned at other locations in other designs without departing from the present invention.
- FIG. 4 a An alternative embodiment of a tissue supporting device 80 is illustrated in FIG. 4 a and in the enlarged side view of FIG. 4 b .
- the tissue supporting device 80 includes a plurality of cylindrical tubes 82 connected by S-shaped bridging elements 84 .
- the bridging elements 84 allow the tissue supporting device to bend axially when passing through the tortuous path of the vasculature to the deployment site and allow the device to bend when necessary to match the curvature of a lumen to be supported.
- the S-shaped bridging elements 84 provide improved axial flexibility over prior art devices due to the thickness of the elements in the radial direction which allows the width of the elements to be relatively small without sacrificing radial strength.
- the width of the bridging elements 84 may be about 0.0012-0.0013 inches (0.0305-0.0330 mm).
- Each of the cylindrical tubes 82 has a plurality of axial slots 86 extending from an end surface of the cylindrical tube toward an opposite end surface.
- a plurality of axial struts 88 having ductile hinges 90 are formed between the axial slots 86 .
- the ductile hinges 90 are formed by circumferential slots 92 formed at the interior ends of the axial slots 86 and opposed notches 94 .
- the notches 94 each have two opposed angled walls 96 which function as a stop to limit geometric deflection of the ductile hinge, and thus limit maximum device expansion.
- the angled side walls 96 of the notches 94 move toward each other. Once the opposite side walls 96 of a notch come into contact with each other, they resist further expansion of the particular ductile hinge causing further expansion to occur at other sections of the tissue supporting device.
- This geometric deflection limiting feature is particularly useful where uneven expansion is caused by either variations in the tissue supporting device 80 due to manufacturing tolerances' or uneven balloon expansion.
- the tissue supporting device 20 , 80 may be formed of any ductile material, such as steel, gold, silver, tantalum, titanium, Nitinol, other shape memory alloys, other metals, or even some plastics.
- One preferred method for making the tissue supporting device 20 , 80 involves forming a cylindrical tube and then laser cutting the slots 22 , 26 , 86 , 92 and notches 94 into the tube.
- the tissue supporting device may be formed by electromachining, chemical etching followed by rolling and welding, or any other known method.
- the stress concentration factor for the simplified ductile hinge geometry of FIG. 3 a can be calculated and is given by the following expression where D is the width of the struts 28 , h is the height of the circular grooves 38 , 40 , and r is the radius of curvature of the grooves.
- D is the width of the struts 28
- h is the height of the circular grooves 38 , 40
- r is the radius of curvature of the grooves.
- the ratio of h/r is taken to be 4.
- other ratios of h/r can also be implemented successfully.
- K 4.935 - 7.586 ⁇ ( 2 ⁇ h D ) + 0.515 ⁇ ( 2 ⁇ h D ) 2 + 0.432 ⁇ ( 2 ⁇ h D ) 3
- the stress concentration factors are generally useful only in the linear elastic range. Stress concentration patterns for a number of other geometries can be determined through photoelastic measurements and other experimental methods. Stent designs based on the use of stress/strain concentration features, or ductile hinges, generally involve more complex hinge geometries and operate in the non-linear elastic and plastic deformation regimes.
- the general nature of the relationship among applied forces, material properties, and ductile hinge geometry can be more easily understood through analysis of an idealized hinge 66 as shown in FIGS. 5 a - 5 c .
- the hinge 66 is a simple beam of rectangular cross section having a width h, length L and thickness b.
- b corresponds to the cylindrical tube wall thickness
- h is the circumferential width of the ductile hinge
- ⁇ yp is the yield stress of the hinge material.
- the stent wall thickness b should be as thin as possible while still providing good visibility on a fluoroscope. For most stent materials, including stainless steel, this would suggest a thickness of about 0.005-0.007 inches (0.127-0.178 mm) or greater.
- ductile hinges in a stent design can lower expansion forces/pressures to very low levels for any material thickness of interest. Thus ductile hinges allow the construction of optimal wall thickness tissue supporting devices at expansion force levels significantly lower than current non-visible designs.
- the expansion forces required to expand the tissue supporting device 20 according to the present invention from an initial condition illustrated in FIG. 2 to an expanded condition is between 1 and 5 atmospheres, preferably between 2 and 3 atmospheres.
- the expansion may be performed in a known manner, such as by inflation of a balloon or by a mandrel.
- the tissue supporting device 20 in the expanded condition has a diameter which is preferably up to three times the diameter of the device in the initial unexpanded condition.
- tissue supporting devices fashioned from cylindrical tubes comprise networks of long, narrow, prismatic beams of essentially rectangular cross section as shown in FIG. 6. These beams which make up the known tissue supporting devices may be straight or curved, depending on the particular design.
- Known expandable tissue supporting devices have a typical wall thickness b of 0.0025 inches (0.0635 mm), and a typical strut width h of 0.005 to 0.006 inches (0.127-0.1524 mm). The ratio of b:h for most known designs is 1:2 or lower. As b decreases and as the beam length L increases, the beam is increasingly likely to respond to an applied bending moment M by buckling, and many designs of the prior art have displayed this behavior.
- M crit ⁇ ⁇ ⁇ b 3 ⁇ h ⁇ E ⁇ ⁇ G ⁇ ( 1 - 0.63 ⁇ ⁇ b / h ) 6 ⁇ L
- the typical ductile hinge 32 is not a long narrow beam as are the struts in the known stents.
- Wall thickness of the present invention may be increased to 0.005 inches (0.127 mm) or greater, while hinge width is typically 0.002-0.003 inches (0.0508-0.0762 mm), preferably 0.0025 inches (0.0635 mm) or less.
- Typical hinge length, at 0.002 to 0.005 inches (0.0508-0.0127 mm), is more than an order of magnitude less than typical strut length.
- the ratio of b:h in a typical ductile hinge 32 is 2:1 or greater.
- strain at the yield point is an independent material property (yield stress divided by elastic modulus); L is the length of the ductile hinge; and h is the width of the hinge.
- yield stress divided by elastic modulus yield stress divided by elastic modulus
- L is the length of the ductile hinge
- h is the width of the hinge.
- the constant 3 in the above expression is replaced by a slowly rising function of total strain, but the effect of geometry would remain the same.
- the elastic rebound angle of a ductile hinge decreases as the hinge width h increases, and increases as the hinge length L increases. To minimize recoil, therefore, hinge width h should be increased and length L should be decreased.
- Ductile hinge width h will generally be determined by expansion force criteria, so it is important to reduce hinge length to a practical minimum in order to minimize elastic rebound. Empirical data on recoil for ductile hinges of different lengths show significantly lower recoil for shorter hinge lengths, in good agreement with the above analysis.
- the ductile hinges 32 of the tissue supporting device 20 provide a second important advantage in minimizing device recoil.
- the embodiment of FIG. 2 shows a network of struts joined together through ductile hinges to form a cylinder.
- the struts 28 are initially parallel to an axis of the device.
- curvature is imparted to the hinges 32 , and the struts 28 assume an angle ⁇ with respect to their original orientation, as shown in FIG. 8.
- the total circumferential expansion of the tissue supporting device structure is a function of hinge curvature (strut angle) and strut length.
- the incremental contribution to stent expansion (or recoil) for an individual strut depends on the instantaneous strut angle. Specifically, for an incremental change in strut angle ⁇ , the incremental change in circumference ⁇ C will depend on the strut length R and the cosine of the strut angle ⁇ .
- the device can be expanded by application of an internal pressure of about 2 atmospheres or less, and once expanded to a diameter between 2 and 3 times the initial diameter can withstand a compressive force of about 16 to 20 gm/mm or greater.
- Examples of typical compression force values for prior art devices are 3.8 to 4.0 gm/mm.
- ⁇ max is maximum strain
- h is ductile hinge width
- L is ductile hinge length
- ⁇ is bend angle in radians.
- ductile hinge 44 of FIG. 3 b was to be fabricated of 316L stainless steel with a maximum strain of 30%; ductile hinge width h is set at 0.0025 inch (0.0635 mm) by expansion force criteria; and the bend angle ⁇ is mechanically limited to 0.5 radians ( ⁇ 30%) at full stent expansion. Solving the above expression for L gives the required ductile hinge length of at least about 0.0033 inches (0.0838 mm).
- FIG. 3 e Similar expressions may be developed to determine required lengths for more complicated ductile hinge geometries, such as shown in FIG. 3 e .
- Typical values for the prismatic portions of these curved ductile hinges range from about 0.002 to about 0.0035 inches (0.051-0.089 mm) in hinge width and about 0.002 to about 0.006 inches (0.051-0.152 mm) in hinge length.
- the tissue supporting device design of FIGS. 4 a and 4 b include a stop which limits the maximum geometric deflection at the ductile hinges by the design of the angled walls 96 of the notches 94 .
- FIGS. 9 a and 9 b illustrate an exaggerated ductile hinge 32 and shortened struts 28 in initial and expanded conditions.
- Each strut 28 is attached to two ductile hinges 32 at opposite ends.
- Each ductile hinge 32 has an instant center of rotation C 1 , C 2 that is an effective pivot point for the attached strut 28 .
- C 1 is displaced vertically by a distance d until C 1 is positioned even with C 2 as shown in FIG. 9 b .
- the axial struts 28 move in a circular arc with respect to the pivot points, as shown in FIG. 9 b .
- FIG. 10 shows a portion of a tissue supporting device 70 having an array of struts 72 and ductile hinges 74 in the unexpanded state.
- the struts 72 are positioned initially at an angle ⁇ 1 with respect to a longitudinal axis X of the device.
- the angle ⁇ 1 increases.
- the device contracts axially from the onset of vertical expansion throughout the expansion.
- the final angle ⁇ 1 made by the strut 72 with the horizontal will be much greater than the angle ⁇ in the device of FIG. 8 a and 8 b .
- a higher final strut angle ⁇ 1 can significantly increase crush strength and decrease circumferential recoil of the stent structure.
- the struts 72 are positioned initially at an angle of about 0° to 45° with respect to a longitudinal axis of the device.
- the strut angle increases to about 20° to 80°.
- Tissue supporting devices including ductile hinges as described above can be used to create many useful device configurations in addition to the substantially cylindrical devices described above.
- tissue supporting devices having ductile hinges may be designed in which various sections or areas of the device open at differential expansion pressures by varying the hinge configuration. This feature makes it possible to control the expansion sequence of different features and areas of the device.
- Another tissue supporting device design variation allows the creation of specially shaped side-access holes in the device which open up as the device expands and can be used accommodate vessel bifurcations.
- Ductile hinges are especially useful in creating tissue supporting devices that expand in a specified sequence.
- the expansion pressure of each of the different areas of the device can be adjusted independently.
- a method of delivering an expandable medical device employing controlled expansion of the device is described in U.S. patent application Ser. No. ______, filed on even date herewith (attorney docket number. 032304-006) which is incorporated herein by reference in its entirety.
- FIGS. 11 a - 11 c show the sequence of expansion of a differentially expanding tissue supporting device 100 according to one embodiment of the invention.
- FIG. 11 a shows an unexpanded tissue supporting device 100 in which a left portion 102 of the device has ductile hinges with larger hinge widths than a right portion 104 of the device.
- the two left rows of struts of the device may have larger hinge widths than the two right rows of struts on the same device.
- the hinges in different sections 102 , 104 of the device 100 have been described as having differing widths for achieving the desired differential expansion, the hinge geometry may alternatively be modified in other ways to achieve differential expansion.
- a balloon or other expansion device is inserted into the central lumen of the device and the balloon is inflated.
- the inflation pressure of the balloon is increased, the right side 104 of the device expands as shown in FIG. 11 b .
- expansion can be halted with one half of the device expanded and the other unexpanded.
- the expansion may be halted to perform some other task such as removal of a locating device or for other reasons.
- Pressurization of the balloon is then continued to complete deployment of the left side 102 of the device as shown in FIG. 11 c .
- Many more complex sequences of expansion are possible and potentially useful. For example, three or more segments of the device may be expanded at different times.
- the sections of the device which are differentially expanded may be cylindrical sections, longitudinal sections, rectangular sections, or sections of any other shape. Differential expansion is very useful in special deployment situations, such as treatment of bifurcations, and in creating special tissue supporting device features, such as side access holes as shown in FIGS. 12 a - 12 c.
- a framed hole feature such as the feature shown in FIGS. 12 a - 12 c , is capable of providing strong, uniform support to the tissue at a bifurcation in an artery.
- Known techniques for treating bifurcations generally deliver a mesh tissue supporting device into the artery and position the device over the bifurcation. According to the known methods, a surgeon then attempts to create one or more branch lumen access holes by inserting a balloon through the sidewall of the mesh device, and then inflating the balloon to simply push the local features of the mesh aside. These techniques are inherently random in nature: the exact point of expansion in the device lattice cannot be predicted, and the device may or may not expand satisfactorily at that point. Tissue support provided by these known techniques for treating bifurcated arteries is similarly unpredictable.
- FIG. 12 a shows an unexpanded tissue support device 110 in which a rectangular hole 112 has been formed in the center.
- Ductile hinges 116 connect all the struts 118 and links 120 of the device as described above with respect to the previous embodiments.
- the ends of the device 110 have a regular pattern of struts 118 and ductile hinges 116 .
- the hole 112 is formed by removing several axial struts and connecting their respective side links into two longer circumferential side links 114 , which provide a vertical frame for the hole 112 .
- the struts 122 which frame the hole 112 and connect the side links 114 may be straight, as shown, rounded, or contoured in some other way, depending on the desired final shape of the expanded hole feature.
- the ductile hinges 116 connecting the frame struts 122 and the side links 114 will be designed to open at a somewhat lower inflation pressure than the remainder of the ductile hinges around the rest of the circumference of the device.
- the struts 122 and side links 114 that frame the hole feature 112 will open first.
- the frame surrounding the hole 112 “locks” in its desired shape.
- the remaining struts 118 around the circumference of the device then expand in a normal fashion, providing full strength and support to the lumen opposite the hole 112 .
- FIGS. 12 b and 12 c show schematic representations of the device of FIG. 12 a in unexpanded and expanded configurations. As shown in FIG. 12 c , the rectangular unexpanded hole feature 112 expands into an octagon shape.
- a second property of ductile hinges is important in the creation of the side hole features 112 .
- the expanded side hole may span less of the circumference of the expanded stent than the struts that were removed to create the hole. For this reason, the remaining struts in the rows containing the hole feature must span a larger portion of the circumference of the device. To do this, they must assume a greater bend angle, often as high as 60 degrees. This is easily accomplished with ductile hinges such as the one shown in FIG. 3 e by increasing the arc length of the hinge.
- the hole features according to the present invention may take on different shapes and sizes depending on the application.
- the framed-hole features can also be designed to take advantage of the superior crimping properties of ductile hinges.
- ancillary devices can be crimped into a stenticatheter assembly in specially designed holes.
- the expandable tissue supporting device can also be used as a delivery device for certain beneficial agents including drugs, chemotherapy, or other agents. Due to the structure of the tissue supporting device incorporating ductile hinges, the widths of the struts can be substantially larger than the struts of the prior art devices. The struts due to their large size can be used for beneficial agent delivery by providing beneficial agent on the struts or within the struts. Examples of beneficial agent delivery mechanisms include coatings on the struts, such as polymer coatings containing beneficial agents, laser drilled holes in the struts containing beneficial agent, and the like.
Landscapes
- Health & Medical Sciences (AREA)
- Engineering & Computer Science (AREA)
- Biomedical Technology (AREA)
- Heart & Thoracic Surgery (AREA)
- Life Sciences & Earth Sciences (AREA)
- Cardiology (AREA)
- Oral & Maxillofacial Surgery (AREA)
- Transplantation (AREA)
- Veterinary Medicine (AREA)
- Vascular Medicine (AREA)
- Public Health (AREA)
- Animal Behavior & Ethology (AREA)
- General Health & Medical Sciences (AREA)
- Optics & Photonics (AREA)
- Physics & Mathematics (AREA)
- Media Introduction/Drainage Providing Device (AREA)
- Prostheses (AREA)
- Materials For Medical Uses (AREA)
Abstract
An expandable tissue supporting device of the present invention employs ductile hinges at selected points in the expandable device. When expansion forces are applied to the device as a whole, the ductile hinges concentrate expansion stresses and strains in small well defined areas. The expandable tissue supporting device includes a plurality of elongated-beams arranged in a cylindrical device and connected together by a plurality of ductile hinges. Although many ductile hinge configurations are possible, the ductile hinges preferably have a substantially constant hinge cross sectional area which is smaller than a beam cross sectional area such that as the device is expanded from a first diameter to a second diameter, the ductile hinges experience plastic deformation while the beams are not plastically deformed. The expandable tissue supporting device can be provided with segments which may be expanded in a specified sequence and/or framed hole features for accommodating bifurcations.
Description
- This application is a continuation-in-part of U.S. Ser. No. 09/183,555, filed Oct. 29, 1998, which is incorporated herein by reference in its entirety.
- 1. Field of the Invention
- The present invention relates to tissue-supporting medical devices, and more particularly to expandable, non-removable devices that are implanted within a bodily lumen of a living animal or human to support the organ and maintain patency.
- 2. Summary of the Related Art
- In the past, permanent or biodegradable devices have been developed for implantation within a body passageway to maintain patency of the passageway. These devices are typically introduced percutaneously, and transported transluminally until positioned at a desired location. These devices are then expanded either mechanically, such as by the expansion of a mandrel or balloon positioned inside the device, or expand themselves by releasing stored energy upon actuation within the body. Once expanded within the lumen, these devices, called stents, become encapsulated within the body tissue and remain a permanent implant.
- Known stent designs include monofilament wire coil stents (U.S. Pat. No. 4,969,458); welded metal cages (U.S. Pat. Nos. 4,733,665 and 4,776,337); and, most prominently, thin-walled metal cylinders with axial slots formed around the circumference (U.S. Pat. Nos. 4,733,665, 4,739,762, and 4,776,337). Known construction materials for use in stents include polymers, organic fabrics and biocompatible metals, such as, stainless steel, gold, silver, tantalum, titanium, and shape memory alloys such as Nitinol.
- U.S. Pat. Nos. 4,733,665, 4,739,762, and 4,776,337 disclose expandable and deformable interluminal vascular grafts in the form of thin-walled tubular members with axial slots allowing the members to be expanded radially outwardly into contact with a body passageway. After insertion, the tubular members are mechanically expanded beyond their elastic limit and thus permanently fixed within the body. The force required to expand these tubular stents is proportional to the thickness of the wall material in a radial direction. To keep expansion forces within acceptable levels for use within the body (e.g., 5-10 atm), these designs must use very thin-walled materials (e.g., stainless steel tubing with 0.0025 inch thick walls). However, materials this thin are not visible on conventional fluoroscopic and x-ray equipment and it is therefore difficult to place the stents accurately or to find and retrieve stents that subsequently become dislodged and lost in the circulatory system.
- Further, many of these thin-walled tubular stent designs employ networks of long, slender struts whose width in a circumferential direction is two or more times greater than their thickness in a radial direction. When expanded, these struts are frequently unstable, that is, they display a tendency to buckle, with individual struts twisting out of plane. Excessive protrusion of these twisted struts into the bloodstream has been observed to increase turbulence, and thus encourage thrombosis. Additional procedures have often been required to attempt to correct this problem of buckled struts. For example, after initial stent implantation is determined to have caused buckling of struts, a second, high-pressure balloon (e.g., 12 to 18 atm) would be used to attempt to drive the twisted struts further into the lumen wall. These secondary procedures can be dangerous to the patient due to the risk of collateral damage to the lumen wall.
- Many of the known stents display a large elastic recovery, known in the field as “recoil,” after expansion inside a lumen. Large recoil necessitates over-expansion of the stent during implantation to achieve the desired final diameter. Over-expansion is potentially destructive to the lumen tissue. Known stents of the type described above experience recoil of up to about 6 to 12% from maximum expansion.
- Large recoil also makes it very difficult to securely crimp most known stents onto delivery catheter balloons. As a result, slippage of stents on balloons during interlumenal transportation, final positioning, and implantation has been an ongoing problem. Many ancillary stent securing devices and techniques have been advanced to attempt to compensate for this basic design problem. Some of the stent securing devices include collars and sleeves used to secure the stent onto the balloon.
- Another problem with known stent designs is non-uniformity in the geometry of the expanded stent. Non-uniform expansion can lead to non-uniform coverage of the lumen wall creating gaps in coverage and inadequate lumen support. Further, over expansion in some regions or cells of the stent can lead to excessive material strain and even failure of stent features. This problem is potentially worse in low expansion force stents having smaller feature widths and thicknesses in which manufacturing variations become proportionately more significant. In addition, a typical delivery catheter for use in expanding a stent includes a balloon folded into a compact shape for catheter insertion. The balloon is expanded by fluid pressure to unfold the balloon and deploy the stent. This process of unfolding the balloon causes uneven stresses to be applied to the stent during expansion of the balloon due to the folds causing the problem non-uniform stent expansion.
- U.S. Pat. No. 5,545,210 discloses a thin-walled tubular stent geometrically similar to those discussed above, but constructed of a nickel-titanium shape memory alloy (“Nitinol”). This design permits the use of cylinders with thicker walls by making use of the lower yield stress and lower elastic modulus of martensitic phase Nitinol alloys. The expansion force required to expand a Nitinol stent is less than that of comparable thickness stainless steel stents of a conventional design. However, the “recoil” problem after expansion is significantly greater with Nitinol than with other materials. For example, recoil of a typical design Nitinol stent is about 9%. Nitinol is also more expensive, and more difficult to fabricate and machine than other stent materials, such as stainless steel.
- All of the above stents share a critical design property: in each design, the features that undergo permanent deformation during stent expansion are prismatic, i.e., the cross sections of these features remain constant or change very gradually along their, entire active length. To a first approximation, such features deform under transverse stress as simple beams with fixed or guided ends: essentially, the features act as a leaf springs. These leaf spring like structures are ideally suited to providing large amounts of elastic deformation before permanent deformation commences. This is exactly the opposite of ideal stent behavior. Further, the force required to deflect prismatic stent struts in the circumferential direction during stent expansion is proportional to the square of the width of the strut in the circumferential direction. Expansion forces thus increase rapidly with strut width in the above stent designs. Typical expansion pressures required to expand known stents are between about 5 and 10 atmospheres. These forces can cause substantial damage to tissue if misapplied.
- FIG. 1 shows a typical prior art “expanding cage” stent design. The
stent 10 includes a series ofaxial slots 12 formed in acylindrical tube 14. Each axial row ofslots 12 is displaced axially from the adjacent row by approximately half the slot length providing a staggered slot arrangement. The material between theslots 12 forms a network ofaxial struts 16 joined by shortcircumferential links 18. The cross section of eachstrut 16 remains constant or varies gradually along the entire length of the strut and thus the rectangular moment of inertia and the elastic and plastic section moduli of the cross section also remain constant or vary gradually along the length of the strut. Such astrut 16 is commonly referred to as a prismatic beam.Struts 16 in this type of design are typically 0.005 to 0.006 inches (0.127-0.1524 mm) wide in the circumferential direction. Strut thicknesses in the radial direction are typically about 0.0025 inches (0.0635 mm) or less to keep expansion forces within acceptable levels. However, most stent materials must be approximately 0.005 inches (0.127 mm) thick for good visibility on conventional fluoroscopic equipment. This high ratio of strut width to thickness, combined with the relatively high strut length and the initial curvature of the stent tubing combine to cause the instability and bucking often seen in this type of stent design. When expanded, the stent structure of FIG. 1 assumes the roughly diamond pattern commonly seen in expanded sheet metal. - Another stent described in PCT publication number WO 96/29028 uses struts with relatively weak portions of locally-reduced cross sections which on expansion of the stent act to concentrate deformation at these areas. However, as discussed above non-uniform expansion is even more of a problem when smaller feature widths and thicknesses are involved because manufacturing variations become proportionately more significant. The locally-reduced cross section portions described in this document are formed by pairs of circular holes. The shape of the locally-reduced cross section portions undesirably concentrates the plastic strain at the narrowest portion. This concentration of plastic strain without any provision for controlling the level of plastic strain makes the stent highly vulnerable to failure.
- In view of the drawbacks of the prior art stents, it would be advantageous to be able to expand a stent with an expansion force at a low level independent of choice of stent materials, material thickness, or strut dimensions.
- It would further be advantageous to have a tissue-supporting device that permits a choice of material thickness that could be viewed easily on conventional fluoroscopic equipment for any material.
- It would also be advantageous to have a tissue-supporting device that is inherently stable during expansion, thus eliminating buckling and twisting of structural features during stent deployment.
- It would also be desirable to control strain to a desired level which takes advantage of work hardening without approaching a level of plastic strain at which failure may occur.
- In addition, it would be advantageous to have a tissue-supporting device with minimal elastic recovery, or “recoil” of the device after expansion.
- It would be advantageous to have a tissue supporting device that can be securely crimped to the delivery catheter without requiring special tools, techniques, or ancillary clamping features.
- It would further be advantageous to have a tissue-supporting device that has improved resistance to compressive forces (improved crush strength) after expansion.
- It would also be advantageous to have a tissue-supporting device that achieves all the above improvements with minimal foreshortening of the overall stent length during expansion.
- Finally, it would also be advantageous to provide a tissue-supporting device which is differentially expandable and/or which has framed hole features for accommodating bifurcations.
- The present invention addresses several important problems in expandable medical device design including: high expansion force requirements; lack of radio-opacity in thin-walled stents; buckling and twisting of stent features during expansion; poor crimping properties; and excessive elastic recovery (“recoil”) after implantation. The invention also provides benefits of improved resistance to compressive forces after expansion, control of the level of plastic strain, and low axial shortening during expansion. Some embodiments of the invention also provide improved uniformity of expansion by limiting a maximum geometric deflection between struts. Other embodiments of the invention include segments of the expandable device which may be expanded in a specified sequence and/or framed hole features for accommodating bifurcations.
- The invention involves the incorporation of stress/strain concentration features or “ductile hinges” at selected points in the body of an expandable cylindrical medical device. When expansion forces are applied to the device as a whole, these ductile hinges concentrate expansion stresses and strains in small, well-defined areas while limiting strut deflection and plastic strain to specified levels.
- In accordance with one aspect of the present invention, an expandable medical device includes a plurality of elongated beams and a plurality of ductile hinges connecting the plurality of beams together in a radially expandable substantially cylindrical device. The plurality of elongated beams have a beam width in a circumferential direction. The ductile hinges have a width in a circumferential direction along a portion of a hinge length which is smaller than the beam width such that as the device is expanded the ductile hinges experience plastic deformation while the beams are not plastically deformed. A first section of the substantially cylindrical device includes ductile hinges having a first width and a second section of the substantially cylindrical device includes ductile hinges having a second width different from the first width such that the first section expands before the second section.
- In accordance with a further aspect of the invention, an expandable medical device includes a plurality of elongated beams and a plurality of ductile hinges connecting the plurality of beams together in a radially expandable substantially cylindrical device. The plurality of elongated beams are joined together in a regular pattern to form the substantially cylindrical device. The plurality of elongated beams have a beam width in a circumferential direction and the ductile hinges have a width in a circumferential direction along a portion of a hinge length which is smaller than the beam width such that as the device is expanded the ductile hinges experience plastic deformation while the beams are not plastically deformed. A hole feature interrupts the regular pattern of the plurality of beams, the hole feature accommodating a bifurcation in a vessel.
- In accordance with another aspect of the present invention, a method of expanding a medical device includes the steps of:
- providing a substantially cylindrical expandable medical device having a first section with ductile hinges of a first configuration and a second section with ductile hinges of a second configuration which requires a different force for expansion than the first configuration; and
- expanding the device in a controlled expansion sequence with an expandable member.
- The invention will now be described in greater detail with reference to the preferred embodiments illustrated in the accompanying drawings, in which like elements bear like reference numerals, and wherein:
- FIG. 1 is an isometric view of a prior art tissue-supporting device;
- FIG. 2 is an isometric view of a tissue-supporting device in accordance with one embodiment of the invention;
- FIGS. 3 a-d are perspective views of ductile hinges according to several variations of the invention;
- FIG. 3 e is a side view of another embodiment of a ductile hinge;
- FIGS. 4 a and 4 b are an isometric view and an enlarged side view of a tissue-supporting device in accordance with an alternative embodiment of the invention;
- FIGS. 5 a-5 c are perspective, side, and cross-sectional views of an idealized ductile hinge for purposes of analysis;
- FIG. 5 d is a stress/strain curve for the idealized ductile hinge;
- FIGS. 6 is a perspective view of a simple beam for purposes of calculation;
- FIG. 7 is a moment verses curvature graph for a rectangular beam;
- FIG. 8 is an enlarged side view of a bent ductile hinge;
- FIGS. 9 a and 9 b are enlarged side views of ductile hinges in initial and expanded positions with shortened struts to illustrate axial contraction relationships; and
- FIG. 10 is a side view of a portion of an alternative embodiment of a tissue supporting device having a high-crush-strength and low-recoil;
- FIGS. 11 a-c are schematic side views of unexpanded, partially expanded, and fully expanded views of a differentially expanding tissue supporting device;
- FIG. 12 a is an unexpanded side view of a cylindrical tissue supporting device with a side hole feature, which has been laid flat for ease of illustration; and
- FIGS. 12 b and 12 c are unexpanded and expanded schematic side views of the tissue supporting device of FIG. 12a.
- FIG. 2 shows one embodiment of an expandable
tissue supporting device 20 in accordance with the present invention. Thetissue supporting device 20 includes a series ofaxial slots 22 formed in acylindrical tube 24. Eachaxial slot 22 is displaced axially from the slots in adjacent rows of slots by approximately half the slot length resulting in a staggered slot arrangement. The offset between adjacent rows of slots results in alternate rows of slots which extend to the ends of thecylindrical tube 24. At each interior end of each of the axial slots 22 acircumferential slot 26 is formed. The material between theslots 22 forms a network ofaxial struts 28 extending substantially parallel to an axis of thetube 24. The axial struts 28 are joined by shortcircumferential links 30. Thecircumferential links 30 are positioned at both the interior of the cylindrical tube and at the ends of the cylindrical tube. The cross section (and rectangular moment of inertia) of each of thestruts 28 is not constant along the length of the strut. Rather, the strut cross section changes abruptly at both ends of eachstrut 28 at the location of thecircumferential slots 26. Thestruts 28 are thus not prismatic. Eachindividual strut 28 is linked to the rest of the structure through a pair of reducedsections 32, one at each end, which act as stress/strain concentration features. The reducedsections 32 of the struts function as hinges in the cylindrical structure. Since the stress/strain concentration features 32 are designed to operate into the plastic deformation range of generally ductile materials, they are referred to as ductile hinges. Such features are also commonly referred to as “Notch Hinges” or “Notch Springs” in ultra-precision mechanism design, where they are used exclusively in the elastic range. - With reference to the drawings and the discussion, the width of any feature is defined as its dimension in the circumferential direction of the cylinder. The length of any feature is defined as its dimension in the axial direction of the cylinder. The thickness of any feature is defined as the wall thickness of the cylinder.
- The presence of the ductile hinges 32 allows all of the remaining features in the tissue supporting device to be increased in width or the circumferentially oriented component of their respective rectangular moments of inertia—thus greatly increasing the strength and rigidity of these features. The net result is that elastic, and then plastic deformation commence and propagate in the ductile hinges 32 before other structural elements of the device undergo any significant elastic deformation. The force required to expand the
tissue supporting device 20 becomes a function of the geometry of the ductile hinges 32, rather than the device structure as a whole, and arbitrarily small expansion forces can be specified by changing hinge geometry for virtually any material wall thickness. In particular, wall thicknesses great enough to be visible on a fluoroscope can be chosen for any material of interest. - In order to get minimum recoil, the ductile hinges 32 should be designed to operate well into the plastic range of the material, and relatively high local strain-curvatures are developed. When these conditions apply, elastic curvature is a very small fraction of plastic or total curvature, and thus when expansion forces are relaxed, the percent change in hinge curvature is very small. When incorporated into a strut network designed to take maximum advantage of this effect, the elastic springback, or “recoil,” of the overall stent structure is minimized.
- In the embodiment of FIG. 2, it is desirable to increase the width of the individual struts 28 between the ductile hinges 32 to the maximum width that is geometrically possible for a given diameter and a given number of struts arrayed around that diameter. The only geometric limitation on strut width is the minimum practical width of the
slots 22 which is about 0.002 inches (0.0508 mm) for laser machining. Lateral stiffness of thestruts 28 increases as the cube of strut width, so that relatively small increases in strut width significantly increase strut stiffness. The net result of inserting ductile hinges 32 and increasing strut width is that thestruts 28 no longer act as flexible leaf springs, but act as essentially rigid beams between the ductile hinges. All radial expansion or compression of the cylindricaltissue supporting device 20 is accommodated by mechanical strain in the hinge features 32, and yield in the hinge commences at very small overall radial expansion or compression. - Yield in ductile hinges at very low gross radial deflections also provides the superior crimping properties displayed by the ductile hinge-based designs. When a tissue supporting device is crimped onto a folded catheter balloon, very little radial compression of the device is possible since the initial fit between balloon and device is already snug. Most stents simply rebound elastically after such compression, resulting in very low clamping forces and the attendant tendency for the stent to slip on the balloon. Ductile hinges, however, sustain significant plastic deformation even at the low deflections occurring during crimping onto the balloon, and therefore a device employing ductile hinges displays much higher clamping forces. The ductile hinge designs according to the present invention may be securely crimped onto a balloon of a delivery catheter by hand or by machine without the need for auxiliary retaining devices commonly used to hold known stents in place.
- The geometric details of the stress/strain concentration features or ductile hinges 32 can be varied greatly to tailor the exact mechanical expansion properties to those required in a specific application. The most obvious and straightforward ductile hinges are formed by slots or notches with rounded roots, as in FIGS. 3a and 3 c. Since the laser beams often used to fabricate these features are themselves round, slots or notches with circular roots are also among the easiest to fabricate.
- FIG. 3 a shows a
ductile hinge 36 formed by a pair of opposed 38, 40. According to this embodiment thecircular grooves circumferential slot 26 has semicircular ends 38 having a radius of curvature r. Outersemicircular grooves 40 opposed the semicircular ends 38 and also have a radius of curvature r. FIG. 3c shows anotherductile hinge 54 formed by aparabolic groove 56. - Generally, the ductile hinges 36 of the embodiment of FIG. 3a formed between pairs of
38, 40 have a minimum width along a line connecting their respective centers of curvature. When the struts connected by the ductile hinge are moved apart or together, plastic deformation is highly concentrated in a region immediately adjacent to the plane that bisects the hinge at this narrow point.concave curves - For smaller deflection, this very high strain concentration at the bisecting plane is acceptable, and in some cases, useful. For stent crimping purposed, for example, it is desirable to generate relatively large plastic deformations at very small deflection angles.
- As a practical matter, however, strut deflection angles for device expansion are often in the 25° to 45° range. At these angles, strain at the root or bisecting plane of concave ductile hinge features can easily exceed the 50 to 60% elongation-to-failure of 316L stainless steel, one of the most ductile stent materials. Deflection limiting features which will be described further below limit the geometric deflection of struts, but these features do not in themselves affect the propagation pattern of plastic deformation in a given ductile hinge design. For concave ductile hinges at large bend angles, very high strain concentrations remain. Scanning electron micrographs have confirmed this analysis.
- In many engineering applications, it is desirable to limit the amount of strain, or “cold-work,” in a material to a specified level in order to optimize material properties and to assure safe operation. For example, in medical applications it is desirable to limit the amount of cold-work in 316L stainless steel to about 30%. At this level, the strength of the material is increased, while the material strain is still well below the failure range. Ideally, therefore, a safe and effective ductile hinge should not simply limit gross deflection, but reliably limit material strain to a specified level.
- FIG. 3 b shows a simple ductile hinge design that allows material strain to be limited to some specified level. The ductile hinge of FIG. 3b is formed by a rectangular
circumferential groove 46 with filletedcorners 48 on one side of a strut, theopposite side 50 of the strut remaining straight. The ductile hinges 44 are substantially rectangular sections between the ends of thegroove 46 and theside walls 50. - One of the key concepts in FIG. 3 b is that the
ductile hinge 44 has a constant or substantially constant width along at least a portion of its total length. In this configuration, there is no local minimum width along the ductile hinge axis, as there is with pairs of concave roots. There is therefore no point concentration of stresses and strains along the length of the ductile hinge beam during stent expansion. In particular, maximum tensile and compressive strains will be distributed evenly along the upper and lower surfaces of thehinge 44 during stent expansion. With the gross bend angle limited by mechanical stops, which are described below in detail, the maximum material strain (at the hinge surfaces) can therefore be reliably limited by adjusting the initial length of the ductile hinge over which the total elongation is distributed. - FIG. 3 d shows a
ductile hinge 60 in acylindrical wire 62 for incorporating into a wire-form tissue-supporting device. Theductile hinge 60 is formed by a reduced diameter portion of thewire 62. Again, it is important that the ductile hinge have a substantially constant width over a portion of its length in order to provide strain control. Preferably, the ductile hinge is prismatic over a portion of its length. Maximum material strain can be varied by adjusting the hinge length. The ductile hinges of the present invention have a constant or substantially constant width over at least ⅓ of the ductile hinge length, and preferably over at least ½ of the ductile hinge length. - FIG. 3 e shows an asymmetric ductile hinge 63 that produces different strain versus deflection-angle functions in expansion and compression. Each of the ductile hinges 64 is formed between a
convex surface 68 and aconcave surface 69. Theductile hinge 64 according to a preferred embodiment essentially takes the form of a small, prismatic curved beam having a substantially constant cross section. However, a thickness of the curvedductile hinge 64 may vary somewhat as long as the ductile hinge width remains constant along a portion of the hinge length. The width of the curved beam is measured along the radius of curvature of the beam. This small curved beam is oriented such that the smallerconcave surface 69 is placed in tension in the device crimping direction, while the largerconvex surface 68 of the ductile hinges is placed in tension in the device expansion direction. Again, there is no local minimum width of theductile hinge 64 along the (curved) ductile hinge axis, and no concentration of material strain. During device expansion tensile strain will be distributed along theconvex surface 68 of thehinge 64 and maximum expansion will be limited by the angle of the walls of theconcave notch 69 which provide a geometric deflection limiting feature. Maximum tensile strain can therefore be reliably limited by adjusting the initial length of the convex arc shapedductile hinge 64 over which the total elongation is distributed. - The ductile hinges illustrated in FIGS. 3 a-e are examples of different structures that will function as a stress/strain concentrator. Many other stress/strain concentrator configurations may also be used as the ductile hinges in the present invention. The ductile hinges according to the present invention generally include an abrupt change in width of a strut that functions to concentrate stresses and strains in the narrower section of the strut. These ductile hinges also generally include features to limit mechanical deflection of attached struts and features to control material strain during large strut deflections. Although the ductile hinges have been illustrated in FIG. 2 as positioned at the ends of each of the
axial slots 22, they may also be positioned at other locations in other designs without departing from the present invention. - An alternative embodiment of a
tissue supporting device 80 is illustrated in FIG. 4a and in the enlarged side view of FIG. 4b. Thetissue supporting device 80 includes a plurality ofcylindrical tubes 82 connected by S-shapedbridging elements 84. The bridgingelements 84 allow the tissue supporting device to bend axially when passing through the tortuous path of the vasculature to the deployment site and allow the device to bend when necessary to match the curvature of a lumen to be supported. The S-shapedbridging elements 84 provide improved axial flexibility over prior art devices due to the thickness of the elements in the radial direction which allows the width of the elements to be relatively small without sacrificing radial strength. For example, the width of thebridging elements 84 may be about 0.0012-0.0013 inches (0.0305-0.0330 mm). Each of thecylindrical tubes 82 has a plurality ofaxial slots 86 extending from an end surface of the cylindrical tube toward an opposite end surface. A plurality ofaxial struts 88 having ductile hinges 90 are formed between theaxial slots 86. The ductile hinges 90 are formed bycircumferential slots 92 formed at the interior ends of theaxial slots 86 and opposednotches 94. - The
notches 94 each have two opposed angled walls 96 which function as a stop to limit geometric deflection of the ductile hinge, and thus limit maximum device expansion. As thecylindrical tubes 82 are expanded and bending occurs at the ductile hinges 90, the angled side walls 96 of thenotches 94 move toward each other. Once the opposite side walls 96 of a notch come into contact with each other, they resist further expansion of the particular ductile hinge causing further expansion to occur at other sections of the tissue supporting device. This geometric deflection limiting feature is particularly useful where uneven expansion is caused by either variations in thetissue supporting device 80 due to manufacturing tolerances' or uneven balloon expansion. - The
20, 80 according to the present invention may be formed of any ductile material, such as steel, gold, silver, tantalum, titanium, Nitinol, other shape memory alloys, other metals, or even some plastics. One preferred method for making thetissue supporting device 20, 80 involves forming a cylindrical tube and then laser cutting thetissue supporting device 22, 26, 86, 92 andslots notches 94 into the tube. Alternatively, the tissue supporting device may be formed by electromachining, chemical etching followed by rolling and welding, or any other known method. - The design and analysis of stress/strain concentration for ductile hinges, and stress/strain concentration features in general, is complex. For example, the stress concentration factor for the simplified ductile hinge geometry of FIG. 3 a can be calculated and is given by the following expression where D is the width of the
struts 28, h is the height of the 38, 40, and r is the radius of curvature of the grooves. For purposes of this example the ratio of h/r is taken to be 4. However, other ratios of h/r can also be implemented successfully.circular grooves - The stress concentration factors are generally useful only in the linear elastic range. Stress concentration patterns for a number of other geometries can be determined through photoelastic measurements and other experimental methods. Stent designs based on the use of stress/strain concentration features, or ductile hinges, generally involve more complex hinge geometries and operate in the non-linear elastic and plastic deformation regimes.
- The general nature of the relationship among applied forces, material properties, and ductile hinge geometry can be more easily understood through analysis of an
idealized hinge 66 as shown in FIGS. 5a-5 c. Thehinge 66 is a simple beam of rectangular cross section having a width h, length L and thickness b. Theidealized hinge 66 has elastic-ideally-plastic material properties which are characterized by the ideal stress/strain curve of FIG. 5d. It can be shown that the “plastic” or “ultimate bending moment” for such a beam is given by the expression: - Where b corresponds to the cylindrical tube wall thickness, h is the circumferential width of the ductile hinge, and δ yp is the yield stress of the hinge material. Assuming only that expansion pressure is proportional to the plastic moment, it can be seen that the required expansion pressure to expand the tissue supporting device increases linearly with wall thickness b and as the square of ductile hinge width h. It is thus possible to compensate for relatively large changes in wall thickness b with relatively small changes in hinge width h. While the above idealized case is only approximate, empirical measurements of expansion forces for different hinge widths in several different ductile hinge geometries have confirmed the general form of this relationship. Accordingly, for different ductile hinge geometries it is possible to increase the thickness of the tissue supporting device to achieve radiopacity while compensating for the increased thickness with a much smaller decrease in hinge width.
- Ideally, the stent wall thickness b should be as thin as possible while still providing good visibility on a fluoroscope. For most stent materials, including stainless steel, this would suggest a thickness of about 0.005-0.007 inches (0.127-0.178 mm) or greater. The inclusion of ductile hinges in a stent design can lower expansion forces/pressures to very low levels for any material thickness of interest. Thus ductile hinges allow the construction of optimal wall thickness tissue supporting devices at expansion force levels significantly lower than current non-visible designs.
- The expansion forces required to expand the
tissue supporting device 20 according to the present invention from an initial condition illustrated in FIG. 2 to an expanded condition is between 1 and 5 atmospheres, preferably between 2 and 3 atmospheres. The expansion may be performed in a known manner, such as by inflation of a balloon or by a mandrel. Thetissue supporting device 20 in the expanded condition has a diameter which is preferably up to three times the diameter of the device in the initial unexpanded condition. - Many tissue supporting devices fashioned from cylindrical tubes comprise networks of long, narrow, prismatic beams of essentially rectangular cross section as shown in FIG. 6. These beams which make up the known tissue supporting devices may be straight or curved, depending on the particular design. Known expandable tissue supporting devices have a typical wall thickness b of 0.0025 inches (0.0635 mm), and a typical strut width h of 0.005 to 0.006 inches (0.127-0.1524 mm). The ratio of b:h for most known designs is 1:2 or lower. As b decreases and as the beam length L increases, the beam is increasingly likely to respond to an applied bending moment M by buckling, and many designs of the prior art have displayed this behavior. This can be seen in the following expression for the “critical buckling moment” for the beam of FIG. 6.
- Where: E=Modulus of Elasticity
- G=Shear Modulus
- By contrast, in a ductile hinge based design according to the present invention, only the hinge itself deforms during expansion. The typical
ductile hinge 32 is not a long narrow beam as are the struts in the known stents. Wall thickness of the present invention may be increased to 0.005 inches (0.127 mm) or greater, while hinge width is typically 0.002-0.003 inches (0.0508-0.0762 mm), preferably 0.0025 inches (0.0635 mm) or less. Typical hinge length, at 0.002 to 0.005 inches (0.0508-0.0127 mm), is more than an order of magnitude less than typical strut length. Thus, the ratio of b:h in a typicalductile hinge 32 is 2:1 or greater. This is an inherently stable ratio, meaning that the plastic moment for such a ductile hinge beam is much lower than the critical buckling moment Mcrit, and the ductile hinge beam deforms through normal strain-curvature. Ductile hinges 32 are thus not vulnerable to buckling when subjected to bending moments during expansion of thetissue supporting device 20. - To provide optimal recoil and crush-strength properties, it is desirable to design the ductile hinges so that relatively large strains, and thus large curvatures, are imparted to the hinge during expansion of the tissue supporting device. Curvature is defined as the reciprocal of the radius of curvature of the neutral axis of a beam in pure bending. A larger curvature during expansion results in the elastic curvature of the hinge being a small fraction of the total hinge curvature. Thus, the gross elastic recoil of the tissue supporting device is a small fraction of the total change in circumference. It is generally possible to do this because common stent materials, such as 316L Stainless Steel have very large elongations-to-failure (i.e., they are very ductile).
- It is not practical to derive exact expressions for residual curvatures for complex hinge geometries and real materials (i.e., materials with non-idealized stress/strain curves). The general nature of residual curvatures and recoil of a ductile hinge may be understood by examining the moment-curvature relationship for the elastic-ideally-plastic
rectangular hinge 66 shown in FIGS. 5a-c. It may be shown that the relationship between the applied moment and the resulting beam curvature is: - This function is plotted in FIG. 7. It may be seen in this plot that the applied moment M asymptotically approaches a limiting value M p, called the plastic or ultimate moment. Beyond {fraction (11/12)} Mp large plastic deformations occur with little additional increase in applied moment. When the applied moment is removed, the beam rebounds elastically along a line such as a-b. Thus, the elastic portion of the total curvature approaches a limit of {fraction (3/2)} the curvature at the yield point. These relations may be expressed as follows:
- Imparting additional curvature in the plastic zone cannot further increase the elastic curvature, but will decrease the ratio of elastic to plastic curvature. Thus, additional curvature or larger expansion of the tissue supporting device will reduce the percentage recoil of the overall stent structure.
- As shown in FIG. 8, when a
rigid strut 28 is linked to theductile hinge 66 described above, thestrut 28 forms an angle θ with the horizontal that is a function of hinge curvature. A change in hinge curvature results in a corresponding change in this angle θ. The angular elastic rebound of the hinge is the change in angle Δθ that results from the rebound in elastic curvature described above, and thus angular rebound also approaches a limiting value as plastic deformation proceeds. The following expression gives the limiting value of angular elastic rebound for the idealized hinge of FIG. 8. - Where strain at the yield point is an independent material property (yield stress divided by elastic modulus); L is the length of the ductile hinge; and h is the width of the hinge. For non-idealized ductile hinges made of real materials, the constant 3 in the above expression is replaced by a slowly rising function of total strain, but the effect of geometry would remain the same. Specifically, the elastic rebound angle of a ductile hinge decreases as the hinge width h increases, and increases as the hinge length L increases. To minimize recoil, therefore, hinge width h should be increased and length L should be decreased.
- Ductile hinge width h will generally be determined by expansion force criteria, so it is important to reduce hinge length to a practical minimum in order to minimize elastic rebound. Empirical data on recoil for ductile hinges of different lengths show significantly lower recoil for shorter hinge lengths, in good agreement with the above analysis.
- The ductile hinges 32 of the
tissue supporting device 20 provide a second important advantage in minimizing device recoil. The embodiment of FIG. 2 shows a network of struts joined together through ductile hinges to form a cylinder. In this design, thestruts 28 are initially parallel to an axis of the device. As the device is expanded, curvature is imparted to thehinges 32, and thestruts 28 assume an angle θ with respect to their original orientation, as shown in FIG. 8. The total circumferential expansion of the tissue supporting device structure is a function of hinge curvature (strut angle) and strut length. Moreover, the incremental contribution to stent expansion (or recoil) for an individual strut depends on the instantaneous strut angle. Specifically, for an incremental change in strut angle Δθ, the incremental change in circumference ΔC will depend on the strut length R and the cosine of the strut angle θ. - ΔC=RΔθ cosθ
- Since elastic rebound of hinge curvature is nearly constant at any gross curvature, the net contribution to circumferential recoil ΔC is lower at higher strut angles θ. The final device circumference is usually specified as some fixed value, so decreasing overall strut length can increase the final strut angle θ. Total stent recoil can thus be minimized with ductile hinges by using shorter struts and higher hinge curvatures when expanded.
- Empirical measurements have shown that tissue supporting device designs based on ductile hinges, such as the embodiment of FIG. 2, display superior resistance to compressive forces once expanded despite their very low expansion force. This asymmetry between compressive and expansion forces may be due to a combination of factors including the geometry of the ductile hinge, the increased wall thickness, and increased work hardening due to higher strain levels.
- According to one example of the tissue supporting device of the invention, the device can be expanded by application of an internal pressure of about 2 atmospheres or less, and once expanded to a diameter between 2 and 3 times the initial diameter can withstand a compressive force of about 16 to 20 gm/mm or greater. Examples of typical compression force values for prior art devices are 3.8 to 4.0 gm/mm.
- While both recoil and crush strength properties of tissue supporting devices can be improved by use of ductile hinges with large curvatures in the expanded configuration, care must be taken not to exceed an acceptable maximum strain level for the material being used. For the
ductile hinge 44 of FIG. 3b, for example, it may be shown that the maximum material strain for a given bend angle is given by the expression: - Where ε max is maximum strain, h is ductile hinge width, L is ductile hinge length and θ is bend angle in radians. When strain, hinge width and bend angle are determined through other criteria, this expression can be evaluated to determine the correct ductile hinge length L.
- For example, suppose the
ductile hinge 44 of FIG. 3b was to be fabricated of 316L stainless steel with a maximum strain of 30%; ductile hinge width h is set at 0.0025 inch (0.0635 mm) by expansion force criteria; and the bend angle θ is mechanically limited to 0.5 radians (˜30%) at full stent expansion. Solving the above expression for L gives the required ductile hinge length of at least about 0.0033 inches (0.0838 mm). - Similar expressions may be developed to determine required lengths for more complicated ductile hinge geometries, such as shown in FIG. 3 e. Typical values for the prismatic portions of these curved ductile hinges range from about 0.002 to about 0.0035 inches (0.051-0.089 mm) in hinge width and about 0.002 to about 0.006 inches (0.051-0.152 mm) in hinge length. The tissue supporting device design of FIGS. 4a and 4 b include a stop which limits the maximum geometric deflection at the ductile hinges by the design of the angled walls 96 of the
notches 94. - In many designs of the prior art, circumferential expansion was accompanied by a significant contraction of the axial length of the stent which may be up to 15% of the initial device length. Excessive axial contraction can cause a number of problems in device deployment and performance including difficulty in proper placement and tissue damage. Designs based on
ductile hinges 32 can minimize the axial contraction, or foreshortening, of a tissue supporting device during expansion as follows. - FIGS. 9 a and 9 b illustrate an exaggerated
ductile hinge 32 and shortenedstruts 28 in initial and expanded conditions. Eachstrut 28 is attached to twoductile hinges 32 at opposite ends. Eachductile hinge 32 has an instant center of rotation C1, C2 that is an effective pivot point for the attachedstrut 28. Initially, during expansion the pivot point C1 is displaced vertically by a distance d until C1 is positioned even with C2 as shown in FIG. 9b. When the array is expanded vertically, theaxial struts 28 move in a circular arc with respect to the pivot points, as shown in FIG. 9b. It can be seen that the horizontal distance e between pivot points C1 and C2 actually increases initially, reaching a maximum emax when the two points are on the same horizontal axis as shown in FIG. 9b. As the vertical expansion continues, the device compresses axially back to its original length. Only when vertical expansion of the array continues beyond the point where the horizontal distance e between C1 and C2 is the same as the original horizontal distance e does the overall length of the array actually begin to contract. For the stent shown in FIG. 2, for example, approximately ⅓ of the total circumferential expansion has been accomplished by the time the configuration of FIG. 9b is reached, and the stent exhibits very low axial contraction. - This ability to control axial contraction based on hinge and strut design provides great design flexibility when using ductile hinges. For example, a stent could be designed with zero axial contraction.
- An alternative embodiment that illustrates the trade off between crush strength and axial contraction is shown in FIG. 10. FIG. 10 shows a portion of a
tissue supporting device 70 having an array ofstruts 72 and ductile hinges 74 in the unexpanded state. Thestruts 72 are positioned initially at an angle θ1with respect to a longitudinal axis X of the device. As the device is expanded radially from the unexpanded state illustrated in FIG. 10, the angle θ1 increases. In this case the device contracts axially from the onset of vertical expansion throughout the expansion. Once the device has been completely expanded the final angle θ1 made by thestrut 72 with the horizontal will be much greater than the angle θ in the device of FIG. 8a and 8 b. As shown previously, a higher final strut angle θ1, can significantly increase crush strength and decrease circumferential recoil of the stent structure. However, there is a trade off between increased crush strength and increase in axial contraction. - According to one example of the present invention, the
struts 72 are positioned initially at an angle of about 0° to 45° with respect to a longitudinal axis of the device. - As the device is expanded radially from the unexpanded state illustrated in FIG. 10 a, the strut angle increases to about 20° to 80°.
- Tissue supporting devices including ductile hinges as described above can be used to create many useful device configurations in addition to the substantially cylindrical devices described above. For example, tissue supporting devices having ductile hinges may be designed in which various sections or areas of the device open at differential expansion pressures by varying the hinge configuration. This feature makes it possible to control the expansion sequence of different features and areas of the device. Another tissue supporting device design variation allows the creation of specially shaped side-access holes in the device which open up as the device expands and can be used accommodate vessel bifurcations.
- Ductile hinges are especially useful in creating tissue supporting devices that expand in a specified sequence. By varying the width of specific ductile hinges in different areas of the tissue supporting device, the expansion pressure of each of the different areas of the device can be adjusted independently. As the device is expanded, such as by increasing pressure within a balloon, areas with the smallest hinge width open first, followed by expansion of areas with progressively wider hinge widths. A method of delivering an expandable medical device employing controlled expansion of the device is described in U.S. patent application Ser. No. ______, filed on even date herewith (attorney docket number. 032304-006) which is incorporated herein by reference in its entirety.
- FIGS. 11 a-11 c show the sequence of expansion of a differentially expanding
tissue supporting device 100 according to one embodiment of the invention. FIG. 11a shows an unexpandedtissue supporting device 100 in which aleft portion 102 of the device has ductile hinges with larger hinge widths than aright portion 104 of the device. For example, the two left rows of struts of the device may have larger hinge widths than the two right rows of struts on the same device. Although the hinges in 102, 104 of thedifferent sections device 100 have been described as having differing widths for achieving the desired differential expansion, the hinge geometry may alternatively be modified in other ways to achieve differential expansion. - To expand the
device 100, a balloon or other expansion device is inserted into the central lumen of the device and the balloon is inflated. As the inflation pressure of the balloon is increased, theright side 104 of the device expands as shown in FIG. 11b. At this point, expansion can be halted with one half of the device expanded and the other unexpanded. The expansion may be halted to perform some other task such as removal of a locating device or for other reasons. Pressurization of the balloon is then continued to complete deployment of theleft side 102 of the device as shown in FIG. 11 c. Many more complex sequences of expansion are possible and potentially useful. For example, three or more segments of the device may be expanded at different times. Alternatively, the sections of the device which are differentially expanded may be cylindrical sections, longitudinal sections, rectangular sections, or sections of any other shape. Differential expansion is very useful in special deployment situations, such as treatment of bifurcations, and in creating special tissue supporting device features, such as side access holes as shown in FIGS. 12a-12 c. - A framed hole feature, such as the feature shown in FIGS. 12 a-12 c, is capable of providing strong, uniform support to the tissue at a bifurcation in an artery. Known techniques for treating bifurcations generally deliver a mesh tissue supporting device into the artery and position the device over the bifurcation. According to the known methods, a surgeon then attempts to create one or more branch lumen access holes by inserting a balloon through the sidewall of the mesh device, and then inflating the balloon to simply push the local features of the mesh aside. These techniques are inherently random in nature: the exact point of expansion in the device lattice cannot be predicted, and the device may or may not expand satisfactorily at that point. Tissue support provided by these known techniques for treating bifurcated arteries is similarly unpredictable.
- FIG. 12 a shows an unexpanded
tissue support device 110 in which arectangular hole 112 has been formed in the center. Ductile hinges 116 connect all thestruts 118 andlinks 120 of the device as described above with respect to the previous embodiments. The ends of thedevice 110 have a regular pattern ofstruts 118 and ductile hinges 116. Thehole 112 is formed by removing several axial struts and connecting their respective side links into two longercircumferential side links 114, which provide a vertical frame for thehole 112. Thestruts 122 which frame thehole 112 and connect the side links 114 may be straight, as shown, rounded, or contoured in some other way, depending on the desired final shape of the expanded hole feature. - According to one alternative embodiment of the invention, the ductile hinges 116 connecting the frame struts 122 and the side links 114 will be designed to open at a somewhat lower inflation pressure than the remainder of the ductile hinges around the rest of the circumference of the device. Thus, when the
device 110 is expanded thestruts 122 andside links 114 that frame thehole feature 112 will open first. When thesestruts 122 reach their maximum angle, defined by the hinge angles, the frame surrounding thehole 112 “locks” in its desired shape. The remainingstruts 118 around the circumference of the device then expand in a normal fashion, providing full strength and support to the lumen opposite thehole 112. FIGS. 12b and 12 c show schematic representations of the device of FIG. 12a in unexpanded and expanded configurations. As shown in FIG. 12c, the rectangularunexpanded hole feature 112 expands into an octagon shape. - A second property of ductile hinges is important in the creation of the side hole features 112. In applications requiring larger side holes, the expanded side hole may span less of the circumference of the expanded stent than the struts that were removed to create the hole. For this reason, the remaining struts in the rows containing the hole feature must span a larger portion of the circumference of the device. To do this, they must assume a greater bend angle, often as high as 60 degrees. This is easily accomplished with ductile hinges such as the one shown in FIG. 3e by increasing the arc length of the hinge.
- The hole features according to the present invention may take on different shapes and sizes depending on the application. The framed-hole features can also be designed to take advantage of the superior crimping properties of ductile hinges. For example, ancillary devices can be crimped into a stenticatheter assembly in specially designed holes.
- According to one alternative embodiment of the present invention, the expandable tissue supporting device can also be used as a delivery device for certain beneficial agents including drugs, chemotherapy, or other agents. Due to the structure of the tissue supporting device incorporating ductile hinges, the widths of the struts can be substantially larger than the struts of the prior art devices. The struts due to their large size can be used for beneficial agent delivery by providing beneficial agent on the struts or within the struts. Examples of beneficial agent delivery mechanisms include coatings on the struts, such as polymer coatings containing beneficial agents, laser drilled holes in the struts containing beneficial agent, and the like.
- While the invention has been described in detail with reference to the preferred embodiments thereof, it will be apparent to one skilled in the art that various changes and modifications can be made and equivalents employed, without departing from the present invention.
Claims (18)
1. An expandable medical device comprising:
a plurality of elongated beams, the plurality of elongated beams joined together to form a substantially cylindrical device which is radially expandable, the plurality of elongated beams having a beam width in a circumferential direction;
a plurality of ductile hinges connecting the plurality of beams together in the substantially cylindrical device, the ductile hinges having a width in a circumferential direction along a portion of a hinge length which is smaller than the beam width such that as the device is expanded the ductile hinges experience plastic deformation while the beams are not plastically deformed; and
wherein a first section of the substantially cylindrical device includes ductile hinges having a first width and a second section of the substantially cylindrical device includes ductile hinges having a second width different from the first width such that the first section expands before the second section.
2. The expandable medical device according to claim 1 , wherein the first section is a substantially cylindrical section at a first end of the device and the second section is a substantially cylindrical section at a second end of the device.
3. The expandable medical device according to claim 1 , wherein the first width and the second width are selected such that the entire first section expands prior to expansion of the second section.
4. The expandable medical device according to claim 1 , further comprising a balloon for expanding the device from a first diameter to a second diameter.
5. The expandable medical device according the claim 1 , further comprising a geometric deflection limiting feature for limiting an amount of bending of the ductile hinges.
6. The expandable medical device according to claim 5 , wherein the geometric deflection limiting feature is a V-shaped notch having side surfaces which contact each other when a maximum amount of bending is reached.
7. The expandable medical device according to claim 1 , wherein the plurality of elongated beams extend substantially axially and a plurality of circumferential beams are each connected at first and second ends to one of the axial beams by a ductile hinge.
8. The expandable medical device according to claim 1 , further comprising a side access hole formed in the device in an unexpanded state which accommodate a vessel bifurcation when the device is expanded.
9. An expandable medical device comprising:
a plurality of elongated beams, the plurality of elongated beams joined together in a regular pattern to form a substantially cylindrical device which is radially expandable, the plurality of elongated beams having a beam width in a circumferential direction;
a plurality of ductile hinges connecting the plurality of beams together in the substantially cylindrical device, the ductile hinges having a width in a circumferential direction along a portion of a hinge length which is smaller than the beam width such that as the device is expanded the ductile hinges experience plastic deformation while the beams are not plastically deformed; and
a hole feature interrupting the regular pattern of the plurality of beams.
10. The expandable medical device according to claim 9 , wherein the hole feature is configured to accommodate a bifurcation in an artery.
11. The expandable medical device according to claim 9 , wherein the hole feature has a width in an unexpanded configuration of the device which is at least the width of two beams.
12. The expandable medical device according to claim 9 , wherein a plurality of ductile hinges surrounding the hole feature bend at a lower expansion force than a remainder of the ductile hinges.
13. The expandable medical device according to claim 9 , further comprising a geometric deflection limiting feature for limiting an amount of bending of the ductile hinges.
14. The expandable medical device according to claim 9 , wherein the hole feature is framed by a plurality of the elongated beams connected by a plurality of the ductile hinges.
15. A method of expanding a medical device comprising:
providing a substantially cylindrical expandable medical device having a first section with ductile hinges of a first configuration and a second section with ductile hinges of a second configuration which requires a different force for expansion than the first configuration; and
expanding the device in a controlled expansion sequence with an expandable member.
16. The method according to claim 15 , wherein the hinges having the first configuration have a first hinge width which is smaller than a second hinge width of the hinges having the second configuration.
17. The method according to claim 15 , wherein the first section is expanded prior to expansion of the second section.
18. The method according to claim 15 , wherein the expansion is performed by inflating a balloon inside the cylindrical device.
Priority Applications (1)
| Application Number | Priority Date | Filing Date | Title |
|---|---|---|---|
| US09/902,105 US20020165604A1 (en) | 1998-10-29 | 2001-07-11 | Expandable medical device with ductile hinges |
Applications Claiming Priority (3)
| Application Number | Priority Date | Filing Date | Title |
|---|---|---|---|
| US09/183,555 US6241762B1 (en) | 1998-03-30 | 1998-10-29 | Expandable medical device with ductile hinges |
| US09/315,892 US6293967B1 (en) | 1998-10-29 | 1999-05-20 | Expandable medical device with ductile hinges |
| US09/902,105 US20020165604A1 (en) | 1998-10-29 | 2001-07-11 | Expandable medical device with ductile hinges |
Related Parent Applications (1)
| Application Number | Title | Priority Date | Filing Date |
|---|---|---|---|
| US09/315,892 Division US6293967B1 (en) | 1998-10-29 | 1999-05-20 | Expandable medical device with ductile hinges |
Publications (1)
| Publication Number | Publication Date |
|---|---|
| US20020165604A1 true US20020165604A1 (en) | 2002-11-07 |
Family
ID=23226519
Family Applications (3)
| Application Number | Title | Priority Date | Filing Date |
|---|---|---|---|
| US09/315,892 Expired - Lifetime US6293967B1 (en) | 1998-10-29 | 1999-05-20 | Expandable medical device with ductile hinges |
| US09/902,105 Abandoned US20020165604A1 (en) | 1998-10-29 | 2001-07-11 | Expandable medical device with ductile hinges |
| US09/932,093 Expired - Lifetime US6527799B2 (en) | 1998-10-29 | 2001-08-20 | Expandable medical device with ductile hinges |
Family Applications Before (1)
| Application Number | Title | Priority Date | Filing Date |
|---|---|---|---|
| US09/315,892 Expired - Lifetime US6293967B1 (en) | 1998-10-29 | 1999-05-20 | Expandable medical device with ductile hinges |
Family Applications After (1)
| Application Number | Title | Priority Date | Filing Date |
|---|---|---|---|
| US09/932,093 Expired - Lifetime US6527799B2 (en) | 1998-10-29 | 2001-08-20 | Expandable medical device with ductile hinges |
Country Status (8)
| Country | Link |
|---|---|
| US (3) | US6293967B1 (en) |
| EP (2) | EP1795153B1 (en) |
| JP (1) | JP2003500101A (en) |
| AT (1) | ATE358457T1 (en) |
| AU (1) | AU5014300A (en) |
| DE (2) | DE20023924U1 (en) |
| ES (1) | ES2282113T3 (en) |
| WO (1) | WO2000071054A1 (en) |
Cited By (59)
| Publication number | Priority date | Publication date | Assignee | Title |
|---|---|---|---|---|
| US6835203B1 (en) | 1996-11-04 | 2004-12-28 | Advanced Stent Technologies, Inc. | Extendible stent apparatus |
| US20050059991A1 (en) * | 1999-05-20 | 2005-03-17 | Shanley John F. | Expandable medical device delivery system and method |
| US6884258B2 (en) | 1999-06-04 | 2005-04-26 | Advanced Stent Technologies, Inc. | Bifurcation lesion stent delivery using multiple guidewires |
| US20060079956A1 (en) * | 2004-09-15 | 2006-04-13 | Conor Medsystems, Inc. | Bifurcation stent with crushable end and method for delivery of a stent to a bifurcation |
| US20060122688A1 (en) * | 2004-12-08 | 2006-06-08 | Conor Medsystems, Inc. | Expandable medical device with differential hinge performance |
| US7118593B2 (en) | 1998-01-14 | 2006-10-10 | Advanced Stent Technologies, Inc. | Extendible stent apparatus |
| US7179289B2 (en) | 1998-03-30 | 2007-02-20 | Conor Medsystems, Inc. | Expandable medical device for delivery of beneficial agent |
| US7220275B2 (en) | 1996-11-04 | 2007-05-22 | Advanced Stent Technologies, Inc. | Stent with protruding branch portion for bifurcated vessels |
| US7341598B2 (en) | 1999-01-13 | 2008-03-11 | Boston Scientific Scimed, Inc. | Stent with protruding branch portion for bifurcated vessels |
| US7344557B2 (en) | 2003-11-12 | 2008-03-18 | Advanced Stent Technologies, Inc. | Catheter balloon systems and methods |
| US7517362B2 (en) | 2001-08-20 | 2009-04-14 | Innovational Holdings Llc. | Therapeutic agent delivery device with controlled therapeutic agent release rates |
| US7540881B2 (en) | 2005-12-22 | 2009-06-02 | Boston Scientific Scimed, Inc. | Bifurcation stent pattern |
| US7578841B2 (en) | 2001-09-24 | 2009-08-25 | Boston Scientific Scimed, Inc. | Stent with protruding branch portion for bifurcated vessels |
| US7585317B2 (en) | 1999-09-23 | 2009-09-08 | Boston Scientific Scimed, Inc. | Stent range transducers |
| US7591846B2 (en) | 1996-11-04 | 2009-09-22 | Boston Scientific Scimed, Inc. | Methods for deploying stents in bifurcations |
| US20090299454A1 (en) * | 2008-06-02 | 2009-12-03 | Boston Scientific Scimed, Inc. | Staggered Two Balloon Bifurcation Catheter Assembly and Methods |
| US7655030B2 (en) | 2003-07-18 | 2010-02-02 | Boston Scientific Scimed, Inc. | Catheter balloon systems and methods |
| US7658758B2 (en) | 2001-09-07 | 2010-02-09 | Innovational Holdings, Llc | Method and apparatus for loading a beneficial agent into an expandable medical device |
| US7731741B2 (en) | 2005-09-08 | 2010-06-08 | Boston Scientific Scimed, Inc. | Inflatable bifurcation stent |
| US7758636B2 (en) | 2002-09-20 | 2010-07-20 | Innovational Holdings Llc | Expandable medical device with openings for delivery of multiple beneficial agents |
| US7758634B2 (en) | 2001-02-26 | 2010-07-20 | Boston Scientific Scimed, Inc. | Bifurcated stent and delivery system |
| US7766955B2 (en) | 1996-11-04 | 2010-08-03 | Boston Scientific Scimed, Inc. | Extendible stent apparatus |
| US7771462B1 (en) | 1999-06-04 | 2010-08-10 | Boston Scientific Scimed, Inc. | Catheter with side sheath and methods |
| US7833264B2 (en) | 2006-03-06 | 2010-11-16 | Boston Scientific Scimed, Inc. | Bifurcated stent |
| US7833266B2 (en) | 2007-11-28 | 2010-11-16 | Boston Scientific Scimed, Inc. | Bifurcated stent with drug wells for specific ostial, carina, and side branch treatment |
| US7842083B2 (en) | 2001-08-20 | 2010-11-30 | Innovational Holdings, Llc. | Expandable medical device with improved spatial distribution |
| US7842081B2 (en) | 2005-11-14 | 2010-11-30 | Boston Scientific Scimed, Inc. | Stent with spiral side-branch |
| US7842082B2 (en) | 2006-11-16 | 2010-11-30 | Boston Scientific Scimed, Inc. | Bifurcated stent |
| US7850727B2 (en) | 2001-08-20 | 2010-12-14 | Innovational Holdings, Llc | Expandable medical device for delivery of beneficial agent |
| US7922758B2 (en) | 2006-06-23 | 2011-04-12 | Boston Scientific Scimed, Inc. | Nesting twisting hinge points in a bifurcated petal geometry |
| US7951191B2 (en) | 2006-10-10 | 2011-05-31 | Boston Scientific Scimed, Inc. | Bifurcated stent with entire circumferential petal |
| US7959669B2 (en) | 2007-09-12 | 2011-06-14 | Boston Scientific Scimed, Inc. | Bifurcated stent with open ended side branch support |
| US7959668B2 (en) | 2007-01-16 | 2011-06-14 | Boston Scientific Scimed, Inc. | Bifurcated stent |
| US8007528B2 (en) | 2004-03-17 | 2011-08-30 | Boston Scientific Scimed, Inc. | Bifurcated stent |
| US8038706B2 (en) | 2005-09-08 | 2011-10-18 | Boston Scientific Scimed, Inc. | Crown stent assembly |
| US8043366B2 (en) | 2005-09-08 | 2011-10-25 | Boston Scientific Scimed, Inc. | Overlapping stent |
| US8118861B2 (en) | 2007-03-28 | 2012-02-21 | Boston Scientific Scimed, Inc. | Bifurcation stent and balloon assemblies |
| US8206429B2 (en) | 2006-11-02 | 2012-06-26 | Boston Scientific Scimed, Inc. | Adjustable bifurcation catheter incorporating electroactive polymer and methods of making and using the same |
| US8211167B2 (en) | 1999-12-06 | 2012-07-03 | Boston Scientific Scimed, Inc. | Method of using a catheter with attached flexible side sheath |
| US8216267B2 (en) | 2006-09-12 | 2012-07-10 | Boston Scientific Scimed, Inc. | Multilayer balloon for bifurcated stent delivery and methods of making and using the same |
| US8257425B2 (en) | 1999-01-13 | 2012-09-04 | Boston Scientific Scimed, Inc. | Stent with protruding branch portion for bifurcated vessels |
| US8277501B2 (en) | 2007-12-21 | 2012-10-02 | Boston Scientific Scimed, Inc. | Bi-stable bifurcated stent petal geometry |
| US8298278B2 (en) | 2006-03-07 | 2012-10-30 | Boston Scientific Scimed, Inc. | Bifurcated stent with improvement securement |
| US8298280B2 (en) | 2003-08-21 | 2012-10-30 | Boston Scientific Scimed, Inc. | Stent with protruding branch portion for bifurcated vessels |
| US8317855B2 (en) | 2005-05-26 | 2012-11-27 | Boston Scientific Scimed, Inc. | Crimpable and expandable side branch cell |
| US8343211B2 (en) | 2005-12-14 | 2013-01-01 | Boston Scientific Scimed, Inc. | Connectors for bifurcated stent |
| US8435284B2 (en) | 2005-12-14 | 2013-05-07 | Boston Scientific Scimed, Inc. | Telescoping bifurcated stent |
| US8449901B2 (en) | 2003-03-28 | 2013-05-28 | Innovational Holdings, Llc | Implantable medical device with beneficial agent concentration gradient |
| US8480728B2 (en) | 2005-05-26 | 2013-07-09 | Boston Scientific Scimed, Inc. | Stent side branch deployment initiation geometry |
| US8486134B2 (en) | 2007-08-01 | 2013-07-16 | Boston Scientific Scimed, Inc. | Bifurcation treatment system and methods |
| US8617231B2 (en) | 2001-05-18 | 2013-12-31 | Boston Scientific Scimed, Inc. | Dual guidewire exchange catheter system |
| US8647376B2 (en) | 2007-03-30 | 2014-02-11 | Boston Scientific Scimed, Inc. | Balloon fold design for deployment of bifurcated stent petal architecture |
| US8747456B2 (en) | 2007-12-31 | 2014-06-10 | Boston Scientific Scimed, Inc. | Bifurcation stent delivery system and methods |
| US8821561B2 (en) | 2006-02-22 | 2014-09-02 | Boston Scientific Scimed, Inc. | Marker arrangement for bifurcation catheter |
| US8827954B2 (en) | 2008-06-05 | 2014-09-09 | Boston Scientific Scimed, Inc. | Deflatable bifurcated device |
| KR101467739B1 (en) | 2008-08-28 | 2014-12-01 | 마르코 안토니오 페나 듀크 | Directional expansion of intraluminal devices |
| US8932340B2 (en) | 2008-05-29 | 2015-01-13 | Boston Scientific Scimed, Inc. | Bifurcated stent and delivery system |
| US8936567B2 (en) | 2007-11-14 | 2015-01-20 | Boston Scientific Scimed, Inc. | Balloon bifurcated lumen treatment |
| US9427340B2 (en) | 2004-12-14 | 2016-08-30 | Boston Scientific Scimed, Inc. | Stent with protruding branch portion for bifurcated vessels |
Families Citing this family (223)
| Publication number | Priority date | Publication date | Assignee | Title |
|---|---|---|---|---|
| US6783543B2 (en) * | 2000-06-05 | 2004-08-31 | Scimed Life Systems, Inc. | Intravascular stent with increasing coating retaining capacity |
| US7070590B1 (en) * | 1996-07-02 | 2006-07-04 | Massachusetts Institute Of Technology | Microchip drug delivery devices |
| WO1998019628A1 (en) | 1996-11-04 | 1998-05-14 | Vardi Gil M | Extendible stent apparatus and method for deploying the same |
| IT1289815B1 (en) | 1996-12-30 | 1998-10-16 | Sorin Biomedica Cardio Spa | ANGIOPLASTIC STENT AND RELATED PRODUCTION PROCESS |
| US20040254635A1 (en) | 1998-03-30 | 2004-12-16 | Shanley John F. | Expandable medical device for delivery of beneficial agent |
| US7208011B2 (en) * | 2001-08-20 | 2007-04-24 | Conor Medsystems, Inc. | Implantable medical device with drug filled holes |
| US6241762B1 (en) | 1998-03-30 | 2001-06-05 | Conor Medsystems, Inc. | Expandable medical device with ductile hinges |
| US7713297B2 (en) | 1998-04-11 | 2010-05-11 | Boston Scientific Scimed, Inc. | Drug-releasing stent with ceramic-containing layer |
| US20040088041A1 (en) * | 1999-07-20 | 2004-05-06 | Stanford Ulf Harry | Expandable stent with array of relief cuts |
| US6293967B1 (en) | 1998-10-29 | 2001-09-25 | Conor Medsystems, Inc. | Expandable medical device with ductile hinges |
| US20050060027A1 (en) * | 1999-01-13 | 2005-03-17 | Advanced Stent Technologies, Inc. | Catheter balloon systems and methods |
| US7387639B2 (en) * | 1999-06-04 | 2008-06-17 | Advanced Stent Technologies, Inc. | Short sleeve stent delivery catheter and methods |
| US6890350B1 (en) | 1999-07-28 | 2005-05-10 | Scimed Life Systems, Inc. | Combination self-expandable, balloon-expandable endoluminal device |
| KR20020064881A (en) * | 1999-09-23 | 2002-08-10 | 어드밴스트 스텐트 테크놀로지스, 인코포레이티드 | Bifurcation stent system and method |
| US6733513B2 (en) | 1999-11-04 | 2004-05-11 | Advanced Bioprosthetic Surfaces, Ltd. | Balloon catheter having metal balloon and method of making same |
| CA2392006C (en) * | 1999-11-17 | 2011-03-15 | Microchips, Inc. | Microfabricated devices for the delivery of molecules into a carrier fluid |
| US8458879B2 (en) * | 2001-07-03 | 2013-06-11 | Advanced Bio Prosthetic Surfaces, Ltd., A Wholly Owned Subsidiary Of Palmaz Scientific, Inc. | Method of fabricating an implantable medical device |
| US7300457B2 (en) * | 1999-11-19 | 2007-11-27 | Advanced Bio Prosthetic Surfaces, Ltd. | Self-supporting metallic implantable grafts, compliant implantable medical devices and methods of making same |
| US6936066B2 (en) | 1999-11-19 | 2005-08-30 | Advanced Bio Prosthetic Surfaces, Ltd. | Complaint implantable medical devices and methods of making same |
| AU2001253479A1 (en) * | 2000-04-13 | 2001-10-30 | Sts Biopolymers, Inc. | Targeted therapeutic agent release devices and methods of making and using the same |
| US20030114918A1 (en) | 2000-04-28 | 2003-06-19 | Garrison Michi E. | Stent graft assembly and method |
| JP4754714B2 (en) * | 2000-06-01 | 2011-08-24 | テルモ株式会社 | Intraluminal indwelling |
| EP1296615B2 (en) * | 2000-06-05 | 2012-06-13 | Boston Scientific Limited | INTRAVASCULAR STENT WITH improved COATING RETAINING CAPACITY |
| US6764507B2 (en) | 2000-10-16 | 2004-07-20 | Conor Medsystems, Inc. | Expandable medical device with improved spatial distribution |
| ATE387169T1 (en) * | 2000-10-16 | 2008-03-15 | Conor Medsystems Inc | EXPANDABLE MEDICAL DEVICE FOR DELIVERING A MEDICINE |
| US6582394B1 (en) * | 2000-11-14 | 2003-06-24 | Advanced Cardiovascular Systems, Inc. | Stent and catheter assembly and method for treating bifurcated vessels |
| JP2002200175A (en) * | 2000-12-27 | 2002-07-16 | Gunze Ltd | Biological duct stent |
| US20040220660A1 (en) * | 2001-02-05 | 2004-11-04 | Shanley John F. | Bioresorbable stent with beneficial agent reservoirs |
| EP1676547A1 (en) * | 2001-02-05 | 2006-07-05 | Conor Medsystems, Inc. | Expandable medical device |
| US6964680B2 (en) | 2001-02-05 | 2005-11-15 | Conor Medsystems, Inc. | Expandable medical device with tapered hinge |
| US6679911B2 (en) | 2001-03-01 | 2004-01-20 | Cordis Corporation | Flexible stent |
| US6790227B2 (en) * | 2001-03-01 | 2004-09-14 | Cordis Corporation | Flexible stent |
| US6740114B2 (en) | 2001-03-01 | 2004-05-25 | Cordis Corporation | Flexible stent |
| AU784552B2 (en) | 2001-03-02 | 2006-05-04 | Cardinal Health 529, Llc | Flexible stent |
| EP1258230A3 (en) | 2001-03-29 | 2003-12-10 | CardioSafe Ltd | Balloon catheter device |
| ES2266148T5 (en) † | 2001-07-20 | 2012-11-06 | Sorin Biomedica Cardio S.R.L. | Stent |
| JP2003062084A (en) * | 2001-08-27 | 2003-03-04 | Nipro Corp | Stent with improved flexibility |
| GB0121980D0 (en) | 2001-09-11 | 2001-10-31 | Cathnet Science Holding As | Expandable stent |
| EP1304092B1 (en) | 2001-10-22 | 2007-12-05 | Terumo Kabushiki Kaisha | Stent and method of producing the same |
| US7147656B2 (en) | 2001-12-03 | 2006-12-12 | Xtent, Inc. | Apparatus and methods for delivery of braided prostheses |
| US7351255B2 (en) | 2001-12-03 | 2008-04-01 | Xtent, Inc. | Stent delivery apparatus and method |
| US7309350B2 (en) * | 2001-12-03 | 2007-12-18 | Xtent, Inc. | Apparatus and methods for deployment of vascular prostheses |
| US8080048B2 (en) * | 2001-12-03 | 2011-12-20 | Xtent, Inc. | Stent delivery for bifurcated vessels |
| US7294146B2 (en) | 2001-12-03 | 2007-11-13 | Xtent, Inc. | Apparatus and methods for delivery of variable length stents |
| US7182779B2 (en) * | 2001-12-03 | 2007-02-27 | Xtent, Inc. | Apparatus and methods for positioning prostheses for deployment from a catheter |
| US20030135266A1 (en) * | 2001-12-03 | 2003-07-17 | Xtent, Inc. | Apparatus and methods for delivery of multiple distributed stents |
| US7892273B2 (en) * | 2001-12-03 | 2011-02-22 | Xtent, Inc. | Custom length stent apparatus |
| US7270668B2 (en) * | 2001-12-03 | 2007-09-18 | Xtent, Inc. | Apparatus and methods for delivering coiled prostheses |
| US20040186551A1 (en) | 2003-01-17 | 2004-09-23 | Xtent, Inc. | Multiple independent nested stent structures and methods for their preparation and deployment |
| US7137993B2 (en) | 2001-12-03 | 2006-11-21 | Xtent, Inc. | Apparatus and methods for delivery of multiple distributed stents |
| US7147661B2 (en) | 2001-12-20 | 2006-12-12 | Boston Scientific Santa Rosa Corp. | Radially expandable stent |
| US20040010315A1 (en) * | 2002-03-29 | 2004-01-15 | Song John K. | Self-expanding intervertebral device |
| WO2003105695A2 (en) * | 2002-06-13 | 2003-12-24 | Existent, Inc. | Mechanical structures and implants using said structures |
| US20050065596A1 (en) * | 2002-07-24 | 2005-03-24 | Xufan Tseng | Stents capable of controllably releasing histone deacetylase inhibitors |
| US7086476B2 (en) * | 2002-08-06 | 2006-08-08 | Schlumberger Technology Corporation | Expandable devices and method |
| US20040054398A1 (en) * | 2002-09-13 | 2004-03-18 | Cully Edward H. | Stent device with multiple helix construction |
| AU2003276920A1 (en) | 2002-09-20 | 2004-04-08 | Innovational Holdings, Llc | Expandable medical device with openings for delivery of multiple beneficial agents |
| AU2003272682C1 (en) | 2002-09-20 | 2009-07-16 | Nellix, Inc. | Stent-graft with positioning anchor |
| AU2003270817B2 (en) | 2002-09-26 | 2009-09-17 | Vactronix Scientific, Llc | High strength vacuum deposited nitionol alloy films, medical thin film graft materials and method of making same |
| US20040142014A1 (en) * | 2002-11-08 | 2004-07-22 | Conor Medsystems, Inc. | Method and apparatus for reducing tissue damage after ischemic injury |
| CA2505576A1 (en) * | 2002-11-08 | 2004-05-27 | Conor Medsystems, Inc. | Expandable medical device and method for treating chronic total occlusions with local delivery of an angiogenic factor |
| WO2004047689A1 (en) * | 2002-11-21 | 2004-06-10 | Sdgi Holdings, Inc. | Systems and techniques for intravertebral spinal stablization with expandable devices |
| WO2004047691A1 (en) * | 2002-11-21 | 2004-06-10 | Sdgi Holdings, Inc. | Systems and techniques for interbody spinal stablization with expandable devices |
| US20070239251A1 (en) * | 2002-12-31 | 2007-10-11 | Abbott Cardiovascular Systems Inc. | Flexible stent |
| US20040202692A1 (en) * | 2003-03-28 | 2004-10-14 | Conor Medsystems, Inc. | Implantable medical device and method for in situ selective modulation of agent delivery |
| CN101005812A (en) | 2003-05-07 | 2007-07-25 | 先进生物假体表面有限公司 | Implantable metal graft and method of making the same |
| DE10323628A1 (en) * | 2003-05-20 | 2004-12-30 | Biotronik Ag | Stents made of a material with low elongation at break |
| US7169179B2 (en) | 2003-06-05 | 2007-01-30 | Conor Medsystems, Inc. | Drug delivery device and method for bi-directional drug delivery |
| US6916336B2 (en) * | 2003-06-09 | 2005-07-12 | Avantec Vascular Corporation | Vascular prosthesis |
| US7241308B2 (en) * | 2003-06-09 | 2007-07-10 | Xtent, Inc. | Stent deployment systems and methods |
| US6840569B1 (en) * | 2003-07-22 | 2005-01-11 | Arthur Donald Leigh | Caravan |
| US20050038497A1 (en) * | 2003-08-11 | 2005-02-17 | Scimed Life Systems, Inc. | Deformation medical device without material deformation |
| US7785653B2 (en) | 2003-09-22 | 2010-08-31 | Innovational Holdings Llc | Method and apparatus for loading a beneficial agent into an expandable medical device |
| US7553324B2 (en) * | 2003-10-14 | 2009-06-30 | Xtent, Inc. | Fixed stent delivery devices and methods |
| US20050080475A1 (en) * | 2003-10-14 | 2005-04-14 | Xtent, Inc. A Delaware Corporation | Stent delivery devices and methods |
| US7192440B2 (en) * | 2003-10-15 | 2007-03-20 | Xtent, Inc. | Implantable stent delivery devices and methods |
| US20050090888A1 (en) * | 2003-10-28 | 2005-04-28 | Hines Richard A. | Pleated stent assembly |
| EP3424463A1 (en) | 2003-11-08 | 2019-01-09 | Cook Medical Technologies LLC | Aorta and branch vessel stent grafts and system |
| US20050100577A1 (en) * | 2003-11-10 | 2005-05-12 | Parker Theodore L. | Expandable medical device with beneficial agent matrix formed by a multi solvent system |
| US7403966B2 (en) * | 2003-12-08 | 2008-07-22 | Freescale Semiconductor, Inc. | Hardware for performing an arithmetic function |
| US7326236B2 (en) | 2003-12-23 | 2008-02-05 | Xtent, Inc. | Devices and methods for controlling and indicating the length of an interventional element |
| US20070156225A1 (en) * | 2003-12-23 | 2007-07-05 | Xtent, Inc. | Automated control mechanisms and methods for custom length stent apparatus |
| CA2556212C (en) * | 2004-02-13 | 2013-05-28 | Conor Medsystems, Inc. | Implantable drug delivery device including wire filaments |
| EP1744707A4 (en) * | 2004-03-04 | 2008-09-03 | Biolok Int Inc | Surgical stent having micro-geometric patterned surface |
| US7323006B2 (en) * | 2004-03-30 | 2008-01-29 | Xtent, Inc. | Rapid exchange interventional devices and methods |
| EP1729684B1 (en) | 2004-03-31 | 2010-12-15 | Cook Incorporated | Stent deployment device |
| US8003122B2 (en) | 2004-03-31 | 2011-08-23 | Cordis Corporation | Device for local and/or regional delivery employing liquid formulations of therapeutic agents |
| US8048140B2 (en) | 2004-03-31 | 2011-11-01 | Cook Medical Technologies Llc | Fenestrated intraluminal stent system |
| US7846940B2 (en) * | 2004-03-31 | 2010-12-07 | Cordis Corporation | Solution formulations of sirolimus and its analogs for CAD treatment |
| US20050228477A1 (en) * | 2004-04-09 | 2005-10-13 | Xtent, Inc. | Topographic coatings and coating methods for medical devices |
| US20060122686A1 (en) * | 2004-05-10 | 2006-06-08 | Ran Gilad | Stent and method of manufacturing same |
| US20060122693A1 (en) * | 2004-05-10 | 2006-06-08 | Youssef Biadillah | Stent valve and method of manufacturing same |
| US20060122692A1 (en) * | 2004-05-10 | 2006-06-08 | Ran Gilad | Stent valve and method of using same |
| US7887587B2 (en) | 2004-06-04 | 2011-02-15 | Synthes Usa, Llc | Soft tissue spacer |
| US20050288766A1 (en) * | 2004-06-28 | 2005-12-29 | Xtent, Inc. | Devices and methods for controlling expandable prostheses during deployment |
| US8317859B2 (en) * | 2004-06-28 | 2012-11-27 | J.W. Medical Systems Ltd. | Devices and methods for controlling expandable prostheses during deployment |
| USD516723S1 (en) | 2004-07-06 | 2006-03-07 | Conor Medsystems, Inc. | Stent wall structure |
| US8048145B2 (en) | 2004-07-22 | 2011-11-01 | Endologix, Inc. | Graft systems having filling structures supported by scaffolds and methods for their use |
| WO2006034436A2 (en) | 2004-09-21 | 2006-03-30 | Stout Medical Group, L.P. | Expandable support device and method of use |
| US20060069424A1 (en) * | 2004-09-27 | 2006-03-30 | Xtent, Inc. | Self-constrained segmented stents and methods for their deployment |
| AR054656A1 (en) * | 2005-04-03 | 2007-07-11 | Liliana Rosa Grinfeld | STENT FOR OSTIAL INJURIES AND VASCULAR FORKS |
| US7402168B2 (en) * | 2005-04-11 | 2008-07-22 | Xtent, Inc. | Custom-length stent delivery system with independently operable expansion elements |
| US20060271170A1 (en) * | 2005-05-31 | 2006-11-30 | Gale David C | Stent with flexible sections in high strain regions |
| US7938851B2 (en) | 2005-06-08 | 2011-05-10 | Xtent, Inc. | Devices and methods for operating and controlling interventional apparatus |
| US8157851B2 (en) * | 2005-06-08 | 2012-04-17 | Xtent, Inc. | Apparatus and methods for deployment of multiple custom-length prostheses |
| US8574285B2 (en) * | 2005-06-15 | 2013-11-05 | Cook Medical Technologies Llc | Intraluminal device with improved tapered beams |
| WO2007008600A2 (en) | 2005-07-07 | 2007-01-18 | Nellix, Inc. | Systems and methods for endovascular aneurysm treatment |
| EP1903949A2 (en) | 2005-07-14 | 2008-04-02 | Stout Medical Group, L.P. | Expandable support device and method of use |
| WO2007014088A2 (en) * | 2005-07-25 | 2007-02-01 | Cook Incorporated | Intraluminal prosthesis and stent |
| US8231669B2 (en) * | 2005-09-22 | 2012-07-31 | Boston Scientific Scimed, Inc. | Tether guided stent side branch |
| US20070078511A1 (en) * | 2005-09-30 | 2007-04-05 | Boston Scientific Scimed, Inc. | Hybrid bifurcated stent |
| JP2007117548A (en) * | 2005-10-31 | 2007-05-17 | Japan Stent Technology Co Ltd | Stent |
| WO2007076377A2 (en) * | 2005-12-19 | 2007-07-05 | Stout Medical Group, L.P. | Expandable support device |
| US20070150041A1 (en) * | 2005-12-22 | 2007-06-28 | Nellix, Inc. | Methods and systems for aneurysm treatment using filling structures |
| US20070179587A1 (en) * | 2006-01-30 | 2007-08-02 | Xtent, Inc. | Apparatus and methods for deployment of custom-length prostheses |
| ATE480206T1 (en) * | 2006-03-03 | 2010-09-15 | Prescient Medical Inc | ENDOLUMINAL PROSTHESIS FOR THE TREATMENT OF SENSITIVE PLAQUE |
| US20070208419A1 (en) * | 2006-03-06 | 2007-09-06 | Boston Scientific Scimed, Inc. | Bifurcation stent with uniform side branch projection |
| US20070208411A1 (en) * | 2006-03-06 | 2007-09-06 | Boston Scientific Scimed, Inc. | Bifurcated stent with surface area gradient |
| US8652198B2 (en) | 2006-03-20 | 2014-02-18 | J.W. Medical Systems Ltd. | Apparatus and methods for deployment of linked prosthetic segments |
| US20070224235A1 (en) | 2006-03-24 | 2007-09-27 | Barron Tenney | Medical devices having nanoporous coatings for controlled therapeutic agent delivery |
| US8187620B2 (en) | 2006-03-27 | 2012-05-29 | Boston Scientific Scimed, Inc. | Medical devices comprising a porous metal oxide or metal material and a polymer coating for delivering therapeutic agents |
| US20070233233A1 (en) * | 2006-03-31 | 2007-10-04 | Boston Scientific Scimed, Inc | Tethered expansion columns for controlled stent expansion |
| US8066760B2 (en) * | 2006-04-18 | 2011-11-29 | Medtronic Vascular, Inc. | Stent with movable crown |
| EP2023864B1 (en) | 2006-05-01 | 2019-07-10 | Stout Medical Group, L.P. | Expandable support device |
| EP2020967B1 (en) * | 2006-05-12 | 2020-09-23 | Cardinal Health Switzerland 515 GmbH | Baloon expandable bioabsorbable drug eluting stent |
| US20070281117A1 (en) * | 2006-06-02 | 2007-12-06 | Xtent, Inc. | Use of plasma in formation of biodegradable stent coating |
| US20070293878A1 (en) * | 2006-06-16 | 2007-12-20 | Butsch John L | Magnetic mesh support for tissue walls |
| US8815275B2 (en) | 2006-06-28 | 2014-08-26 | Boston Scientific Scimed, Inc. | Coatings for medical devices comprising a therapeutic agent and a metallic material |
| JP2009542359A (en) | 2006-06-29 | 2009-12-03 | ボストン サイエンティフィック リミテッド | Medical device with selective covering |
| US20100016951A1 (en) * | 2006-07-20 | 2010-01-21 | Kim Young-Shin | Stent |
| US20080269865A1 (en) * | 2006-08-07 | 2008-10-30 | Xtent, Inc. | Custom Length Stent Apparatus |
| WO2008033711A2 (en) | 2006-09-14 | 2008-03-20 | Boston Scientific Limited | Medical devices with drug-eluting coating |
| US7780730B2 (en) | 2006-09-25 | 2010-08-24 | Iyad Saidi | Nasal implant introduced through a non-surgical injection technique |
| EP2073765A2 (en) * | 2006-09-25 | 2009-07-01 | Boston Scientific Limited | Injection of therapeutic into porous regions of a medical device |
| US7981150B2 (en) | 2006-11-09 | 2011-07-19 | Boston Scientific Scimed, Inc. | Endoprosthesis with coatings |
| US7972382B2 (en) * | 2006-12-26 | 2011-07-05 | Warsaw Orthopedic, Inc. | Minimally invasive spinal distraction devices and methods |
| US8814930B2 (en) | 2007-01-19 | 2014-08-26 | Elixir Medical Corporation | Biodegradable endoprosthesis and methods for their fabrication |
| US8182890B2 (en) * | 2007-01-19 | 2012-05-22 | Elixir Medical Corporation | Biodegradable endoprostheses and methods for their fabrication |
| JP2010516393A (en) * | 2007-01-29 | 2010-05-20 | クック・インコーポレイテッド | Medical prosthesis and manufacturing method |
| US8221496B2 (en) * | 2007-02-01 | 2012-07-17 | Cordis Corporation | Antithrombotic and anti-restenotic drug eluting stent |
| US20080199510A1 (en) | 2007-02-20 | 2008-08-21 | Xtent, Inc. | Thermo-mechanically controlled implants and methods of use |
| US8431149B2 (en) | 2007-03-01 | 2013-04-30 | Boston Scientific Scimed, Inc. | Coated medical devices for abluminal drug delivery |
| US8070797B2 (en) | 2007-03-01 | 2011-12-06 | Boston Scientific Scimed, Inc. | Medical device with a porous surface for delivery of a therapeutic agent |
| US8486132B2 (en) | 2007-03-22 | 2013-07-16 | J.W. Medical Systems Ltd. | Devices and methods for controlling expandable prostheses during deployment |
| US20080243241A1 (en) | 2007-03-28 | 2008-10-02 | Zhao Jonathon Z | Short term sustained drug-delivery system for implantable medical devices and method of making the same |
| US8067054B2 (en) | 2007-04-05 | 2011-11-29 | Boston Scientific Scimed, Inc. | Stents with ceramic drug reservoir layer and methods of making and using the same |
| DE102007016415A1 (en) * | 2007-04-05 | 2008-10-09 | Biotronik Vi Patent Ag | Medical vessel-supporting implant i.e. stent, for use in stenosis therapy of coronary vessel, has props shaped in joint such that bending load occurred during dilating arrives from outer side of angle into props |
| US7976915B2 (en) | 2007-05-23 | 2011-07-12 | Boston Scientific Scimed, Inc. | Endoprosthesis with select ceramic morphology |
| US8002823B2 (en) | 2007-07-11 | 2011-08-23 | Boston Scientific Scimed, Inc. | Endoprosthesis coating |
| US7942926B2 (en) | 2007-07-11 | 2011-05-17 | Boston Scientific Scimed, Inc. | Endoprosthesis coating |
| US9284409B2 (en) | 2007-07-19 | 2016-03-15 | Boston Scientific Scimed, Inc. | Endoprosthesis having a non-fouling surface |
| US7931683B2 (en) | 2007-07-27 | 2011-04-26 | Boston Scientific Scimed, Inc. | Articles having ceramic coated surfaces |
| US8815273B2 (en) | 2007-07-27 | 2014-08-26 | Boston Scientific Scimed, Inc. | Drug eluting medical devices having porous layers |
| WO2009018340A2 (en) | 2007-07-31 | 2009-02-05 | Boston Scientific Scimed, Inc. | Medical device coating by laser cladding |
| JP2010535541A (en) | 2007-08-03 | 2010-11-25 | ボストン サイエンティフィック リミテッド | Coating for medical devices with large surface area |
| US20090076584A1 (en) * | 2007-09-19 | 2009-03-19 | Xtent, Inc. | Apparatus and methods for deployment of multiple custom-length prostheses |
| EP3505142B1 (en) | 2007-10-19 | 2020-10-28 | CeloNova Biosciences, Inc. | Implantable and lumen-supporting stents |
| US8029554B2 (en) | 2007-11-02 | 2011-10-04 | Boston Scientific Scimed, Inc. | Stent with embedded material |
| US7938855B2 (en) | 2007-11-02 | 2011-05-10 | Boston Scientific Scimed, Inc. | Deformable underlayer for stent |
| US8216632B2 (en) | 2007-11-02 | 2012-07-10 | Boston Scientific Scimed, Inc. | Endoprosthesis coating |
| US9440058B2 (en) | 2007-12-17 | 2016-09-13 | Cook Medical Technologies, LLC | Device for enabling repeated access to a vessel |
| CN101909554A (en) * | 2008-02-13 | 2010-12-08 | 耐利克斯股份有限公司 | Transplanted inner frame with axially variable properties |
| US9603980B2 (en) | 2008-02-26 | 2017-03-28 | CARDINAL HEALTH SWITZERLAND 515 GmbH | Layer-by-layer stereocomplexed polymers as drug depot carriers or coatings in medical devices |
| US9101503B2 (en) * | 2008-03-06 | 2015-08-11 | J.W. Medical Systems Ltd. | Apparatus having variable strut length and methods of use |
| US8420110B2 (en) * | 2008-03-31 | 2013-04-16 | Cordis Corporation | Drug coated expandable devices |
| US8409601B2 (en) | 2008-03-31 | 2013-04-02 | Cordis Corporation | Rapamycin coated expandable devices |
| JP5581311B2 (en) | 2008-04-22 | 2014-08-27 | ボストン サイエンティフィック サイムド,インコーポレイテッド | MEDICAL DEVICE HAVING INORGANIC MATERIAL COATING AND MANUFACTURING METHOD THEREOF |
| WO2009132176A2 (en) | 2008-04-24 | 2009-10-29 | Boston Scientific Scimed, Inc. | Medical devices having inorganic particle layers |
| US20100036360A1 (en) | 2008-04-25 | 2010-02-11 | Nellix, Inc. | Stent graft delivery system |
| US8273404B2 (en) * | 2008-05-19 | 2012-09-25 | Cordis Corporation | Extraction of solvents from drug containing polymer reservoirs |
| US8945199B2 (en) * | 2008-06-04 | 2015-02-03 | Nellix, Inc. | Sealing apparatus and methods of use |
| US20090319029A1 (en) * | 2008-06-04 | 2009-12-24 | Nellix, Inc. | Docking apparatus and methods of use |
| EP2303350A2 (en) | 2008-06-18 | 2011-04-06 | Boston Scientific Scimed, Inc. | Endoprosthesis coating |
| WO2010027450A1 (en) * | 2008-09-02 | 2010-03-11 | Med Institute, Inc. | Stent having less invasive ends and improved radial force |
| US8821562B2 (en) | 2008-09-25 | 2014-09-02 | Advanced Bifurcation Systems, Inc. | Partially crimped stent |
| US12324756B2 (en) | 2008-09-25 | 2025-06-10 | Advanced Bifurcation Systems Inc. | System and methods for treating a bifurcation |
| US8828071B2 (en) | 2008-09-25 | 2014-09-09 | Advanced Bifurcation Systems, Inc. | Methods and systems for ostial stenting of a bifurcation |
| US12076258B2 (en) | 2008-09-25 | 2024-09-03 | Advanced Bifurcation Systems Inc. | Selective stent crimping |
| US11298252B2 (en) | 2008-09-25 | 2022-04-12 | Advanced Bifurcation Systems Inc. | Stent alignment during treatment of a bifurcation |
| CN102215780B (en) | 2008-09-25 | 2015-10-14 | 高级分支系统股份有限公司 | Part crimped stent |
| US20100211176A1 (en) | 2008-11-12 | 2010-08-19 | Stout Medical Group, L.P. | Fixation device and method |
| WO2010056895A1 (en) | 2008-11-12 | 2010-05-20 | Stout Medical Group, L.P. | Fixation device and method |
| WO2010059586A1 (en) | 2008-11-19 | 2010-05-27 | Entrigue Surgical, Inc. | Apparatus and methods for correcting nasal valve collapse |
| US8231980B2 (en) | 2008-12-03 | 2012-07-31 | Boston Scientific Scimed, Inc. | Medical implants including iridium oxide |
| US7819914B2 (en) * | 2008-12-16 | 2010-10-26 | Cordis Corporation | Adhesion promoting primer for coated surfaces |
| US20100161039A1 (en) * | 2008-12-23 | 2010-06-24 | Vipul Dave | Adhesion promoting temporary mask for coated surfaces |
| AU2010200316A1 (en) | 2009-01-30 | 2010-08-19 | Cordis Corporation | Reservoir Eluting Stent |
| US8071156B2 (en) | 2009-03-04 | 2011-12-06 | Boston Scientific Scimed, Inc. | Endoprostheses |
| GB2468861B (en) * | 2009-03-23 | 2011-05-18 | Cook William Europ | Conformable stent structure and method of making same |
| US8287937B2 (en) | 2009-04-24 | 2012-10-16 | Boston Scientific Scimed, Inc. | Endoprosthese |
| US20100280600A1 (en) * | 2009-04-30 | 2010-11-04 | Vipul Bhupendra Dave | Dual drug stent |
| EP2427132B1 (en) | 2009-05-08 | 2015-04-08 | Synthes GmbH | Expandable bone implant |
| US20100292777A1 (en) * | 2009-05-13 | 2010-11-18 | Boston Scientific Scimed, Inc. | Stent |
| US20110137407A1 (en) | 2009-07-09 | 2011-06-09 | Thai Minh Nguyen | Bare metal stent with drug eluting reservoirs |
| US9327060B2 (en) * | 2009-07-09 | 2016-05-03 | CARDINAL HEALTH SWITZERLAND 515 GmbH | Rapamycin reservoir eluting stent |
| US20110276078A1 (en) | 2009-12-30 | 2011-11-10 | Nellix, Inc. | Filling structure for a graft system and methods of use |
| WO2011119882A1 (en) | 2010-03-24 | 2011-09-29 | Advanced Bifurcation Systems, Inc | Methods and systems for treating a bifurcation with provisional side branch stenting |
| WO2011119884A1 (en) | 2010-03-24 | 2011-09-29 | Advanced Bifurcation Systems, Inc | System and methods for treating a bifurcation |
| CN103068345B (en) | 2010-03-24 | 2015-10-14 | 高级分支系统股份有限公司 | Furcation is being carried out to the rack alignment in processing procedure |
| US8328863B2 (en) | 2010-04-22 | 2012-12-11 | Abbott Cardiovascular Systems Inc. | Optimal ratio of polar and bending moment of inertia for stent strut design |
| US8535380B2 (en) | 2010-05-13 | 2013-09-17 | Stout Medical Group, L.P. | Fixation device and method |
| WO2012009152A1 (en) | 2010-07-15 | 2012-01-19 | Hugues Malandain | A plastically deformable inter-osseous device |
| WO2012027490A2 (en) | 2010-08-24 | 2012-03-01 | Stout Medical Group, L.P. | Support device and method for use |
| US8556511B2 (en) | 2010-09-08 | 2013-10-15 | Abbott Cardiovascular Systems, Inc. | Fluid bearing to support stent tubing during laser cutting |
| US9149286B1 (en) | 2010-11-12 | 2015-10-06 | Flexmedex, LLC | Guidance tool and method for use |
| US8801768B2 (en) | 2011-01-21 | 2014-08-12 | Endologix, Inc. | Graft systems having semi-permeable filling structures and methods for their use |
| EP4424283A3 (en) | 2011-02-08 | 2024-12-25 | Advanced Bifurcation Systems Inc. | System and methods for treating a bifurcation with a fully crimped stent |
| EP2672925B1 (en) | 2011-02-08 | 2017-05-03 | Advanced Bifurcation Systems, Inc. | Multi-stent and multi-balloon apparatus for treating bifurcations |
| JP5976777B2 (en) | 2011-04-06 | 2016-08-24 | エンドーロジックス インコーポレイテッド | Methods and systems for the treatment of intravascular aneurysms |
| JP2014529445A (en) | 2011-08-23 | 2014-11-13 | フレックスメデックス,エルエルシー | Tissue removal apparatus and method |
| PT2961350T (en) | 2013-02-27 | 2018-05-09 | Spirox Inc | Nasal implants and systems |
| WO2014159093A1 (en) | 2013-03-14 | 2014-10-02 | Endologix, Inc. | Method for forming materials in situ within a medical device |
| US9730819B2 (en) | 2014-08-15 | 2017-08-15 | Elixir Medical Corporation | Biodegradable endoprostheses and methods of their fabrication |
| US9259339B1 (en) | 2014-08-15 | 2016-02-16 | Elixir Medical Corporation | Biodegradable endoprostheses and methods of their fabrication |
| US9480588B2 (en) | 2014-08-15 | 2016-11-01 | Elixir Medical Corporation | Biodegradable endoprostheses and methods of their fabrication |
| US9855156B2 (en) | 2014-08-15 | 2018-01-02 | Elixir Medical Corporation | Biodegradable endoprostheses and methods of their fabrication |
| EP3185819B1 (en) | 2014-08-26 | 2025-02-19 | Stryker Corporation | Nasal implant |
| KR101643230B1 (en) * | 2015-09-17 | 2016-07-28 | 주식회사 바이오알파 | Stent |
| CA2996673A1 (en) | 2015-09-25 | 2017-03-30 | Spirox, Inc. | Nasal implants and systems and method of use |
| CN115429486B (en) | 2016-05-02 | 2025-08-19 | 史赛克公司 | Nasal valve implant and implantation method thereof |
| EP3457985B1 (en) | 2016-05-16 | 2021-02-17 | Elixir Medical Corporation | Uncaging stent |
| US11622872B2 (en) | 2016-05-16 | 2023-04-11 | Elixir Medical Corporation | Uncaging stent |
| US11559668B2 (en) * | 2019-02-21 | 2023-01-24 | Vactronix Scientific, Llc. | Drug-elution control sleeve for drug-eluting balloon and method |
Family Cites Families (155)
| Publication number | Priority date | Publication date | Assignee | Title |
|---|---|---|---|---|
| US3657744A (en) | 1970-05-08 | 1972-04-25 | Univ Minnesota | Method for fixing prosthetic implants in a living body |
| US5876419A (en) | 1976-10-02 | 1999-03-02 | Navius Corporation | Stent and method for making a stent |
| US5643314A (en) | 1995-11-13 | 1997-07-01 | Navius Corporation | Self-expanding stent |
| US4300244A (en) | 1979-09-19 | 1981-11-17 | Carbomedics, Inc. | Cardiovascular grafts |
| US4531936A (en) | 1981-01-29 | 1985-07-30 | Gordon Robert T | Device and method for the selective delivery of drugs to the myocardium |
| US5441745A (en) | 1982-03-30 | 1995-08-15 | Vestar, Inc. | Method of delivering micellular particles encapsulating chemotherapeutic agents to tumors in a body |
| US4542025A (en) | 1982-07-29 | 1985-09-17 | The Stolle Research And Development Corporation | Injectable, long-acting microparticle formulation for the delivery of anti-inflammatory agents |
| US4834755A (en) | 1983-04-04 | 1989-05-30 | Pfizer Hospital Products Group, Inc. | Triaxially-braided fabric prosthesis |
| US4580568A (en) | 1984-10-01 | 1986-04-08 | Cook, Incorporated | Percutaneous endovascular stent and method for insertion thereof |
| US4824436A (en) | 1985-04-09 | 1989-04-25 | Harvey Wolinsky | Method for the prevention of restenosis |
| US4650466A (en) | 1985-11-01 | 1987-03-17 | Angiobrade Partners | Angioplasty device |
| US5102417A (en) | 1985-11-07 | 1992-04-07 | Expandable Grafts Partnership | Expandable intraluminal graft, and method and apparatus for implanting an expandable intraluminal graft |
| US4733665C2 (en) | 1985-11-07 | 2002-01-29 | Expandable Grafts Partnership | Expandable intraluminal graft and method and apparatus for implanting an expandable intraluminal graft |
| US4955878A (en) | 1986-04-04 | 1990-09-11 | Biotechnology, Inc. | Kit for preventing or treating arterial dysfunction resulting from angioplasty procedures |
| JPH0763489B2 (en) | 1986-10-31 | 1995-07-12 | 宇部興産株式会社 | Medical tube |
| US4800882A (en) | 1987-03-13 | 1989-01-31 | Cook Incorporated | Endovascular stent and delivery system |
| US5059211A (en) | 1987-06-25 | 1991-10-22 | Duke University | Absorbable vascular stent |
| US4969458A (en) | 1987-07-06 | 1990-11-13 | Medtronic, Inc. | Intracoronary stent and method of simultaneous angioplasty and stent implant |
| US5460817A (en) | 1988-01-19 | 1995-10-24 | Allied Colloids Ltd. | Particulate composition comprising a core of matrix polymer with active ingredient distributed therein |
| JPH01259872A (en) | 1988-04-11 | 1989-10-17 | Fukuda Denshi Co Ltd | Electrode for defibrillator |
| US4989601A (en) | 1988-05-02 | 1991-02-05 | Medical Engineering & Development Institute, Inc. | Method, apparatus, and substance for treating tissue having neoplastic cells |
| JPH0255064A (en) | 1988-08-03 | 1990-02-23 | Toa O | Skin removal for throm bus in blood vessel using catheter and throm bus removing system in blood vessel using catheter |
| US5213580A (en) | 1988-08-24 | 1993-05-25 | Endoluminal Therapeutics, Inc. | Biodegradable polymeric endoluminal sealing process |
| US5019090A (en) | 1988-09-01 | 1991-05-28 | Corvita Corporation | Radially expandable endoprosthesis and the like |
| US5053048A (en) | 1988-09-22 | 1991-10-01 | Cordis Corporation | Thromboresistant coating |
| CA1322628C (en) | 1988-10-04 | 1993-10-05 | Richard A. Schatz | Expandable intraluminal graft |
| LU87410A1 (en) | 1988-12-20 | 1990-07-10 | Cird | COSMETIC OR PHARMACEUTICAL COMPOSITION CONTAINING POLYMERIC OR FATTY BODY MICROSPHERES CHARGED WITH AT LEAST ONE ACTIVE PRODUCT |
| CH678393A5 (en) | 1989-01-26 | 1991-09-13 | Ulrich Prof Dr Med Sigwart | |
| US5078726A (en) | 1989-02-01 | 1992-01-07 | Kreamer Jeffry W | Graft stent and method of repairing blood vessels |
| US4960790A (en) | 1989-03-09 | 1990-10-02 | University Of Kansas | Derivatives of taxol, pharmaceutical compositions thereof and methods for the preparation thereof |
| US4990155A (en) | 1989-05-19 | 1991-02-05 | Wilkoff Howard M | Surgical stent method and apparatus |
| US4994071A (en) | 1989-05-22 | 1991-02-19 | Cordis Corporation | Bifurcating stent apparatus and method |
| US5171262A (en) | 1989-06-15 | 1992-12-15 | Cordis Corporation | Non-woven endoprosthesis |
| US5674278A (en) | 1989-08-24 | 1997-10-07 | Arterial Vascular Engineering, Inc. | Endovascular support device |
| US5176617A (en) | 1989-12-11 | 1993-01-05 | Medical Innovative Technologies R & D Limited Partnership | Use of a stent with the capability to inhibit malignant growth in a vessel such as a biliary duct |
| US5059166A (en) | 1989-12-11 | 1991-10-22 | Medical Innovative Technologies R & D Limited Partnership | Intra-arterial stent with the capability to inhibit intimal hyperplasia |
| US5439446A (en) | 1994-06-30 | 1995-08-08 | Boston Scientific Corporation | Stent and therapeutic delivery system |
| US5304121A (en) | 1990-12-28 | 1994-04-19 | Boston Scientific Corporation | Drug delivery system making use of a hydrogel polymer coating |
| US5049132A (en) | 1990-01-08 | 1991-09-17 | Cordis Corporation | Balloon catheter for delivering therapeutic agents |
| ES2071207T3 (en) | 1990-02-08 | 1995-06-16 | Howmedica | INFLATABLE DILATOR. |
| US5344426A (en) | 1990-04-25 | 1994-09-06 | Advanced Cardiovascular Systems, Inc. | Method and system for stent delivery |
| US5242399A (en) | 1990-04-25 | 1993-09-07 | Advanced Cardiovascular Systems, Inc. | Method and system for stent delivery |
| US5092841A (en) | 1990-05-17 | 1992-03-03 | Wayne State University | Method for treating an arterial wall injured during angioplasty |
| AU7998091A (en) | 1990-05-17 | 1991-12-10 | Harbor Medical Devices, Inc. | Medical device polymer |
| US5407683A (en) | 1990-06-01 | 1995-04-18 | Research Corporation Technologies, Inc. | Pharmaceutical solutions and emulsions containing taxol |
| AU8074591A (en) | 1990-06-15 | 1992-01-07 | Cortrak Medical, Inc. | Drug delivery apparatus and method |
| EP0470569B1 (en) | 1990-08-08 | 1995-11-22 | Takeda Chemical Industries, Ltd. | Intravascular embolizing agent containing angiogenesis inhibiting substance |
| US5171217A (en) | 1991-02-28 | 1992-12-15 | Indiana University Foundation | Method for delivery of smooth muscle cell inhibitors |
| US5197978B1 (en) | 1991-04-26 | 1996-05-28 | Advanced Coronary Tech | Removable heat-recoverable tissue supporting device |
| FR2678833B1 (en) | 1991-07-08 | 1995-04-07 | Rhone Poulenc Rorer Sa | NEW PHARMACEUTICAL COMPOSITIONS BASED ON DERIVATIVES OF THE TAXANE CLASS. |
| US5464450A (en) | 1991-10-04 | 1995-11-07 | Scimed Lifesystems Inc. | Biodegradable drug delivery vascular stent |
| US5500013A (en) | 1991-10-04 | 1996-03-19 | Scimed Life Systems, Inc. | Biodegradable drug delivery vascular stent |
| FR2683449A1 (en) | 1991-11-08 | 1993-05-14 | Cardon Alain | ENDOPROTHESIS FOR TRANSLUMINAL IMPLANTATION. |
| US5270047A (en) | 1991-11-21 | 1993-12-14 | Kauffman Raymond F | Local delivery of dipyridamole for the treatment of proliferative diseases |
| GB2262365B (en) | 1991-12-10 | 1995-08-09 | Sony Broadcast & Communication | Apparatus and methods for designing,analyzing or simulating signal processing functions |
| US5260002A (en) | 1991-12-23 | 1993-11-09 | Vanderbilt University | Method and apparatus for producing uniform polymeric spheres |
| CA2087132A1 (en) | 1992-01-31 | 1993-08-01 | Michael S. Williams | Stent capable of attachment within a body lumen |
| US5282823A (en) | 1992-03-19 | 1994-02-01 | Medtronic, Inc. | Intravascular radially expandable stent |
| DE69326631T2 (en) | 1992-03-19 | 2000-06-08 | Medtronic, Inc. | Intraluminal expansion device |
| DE4214215A1 (en) | 1992-04-30 | 1993-11-04 | Behringwerke Ag | USE OF INHIBITORS OF PLASMINOGEN ACTIVATORS FOR TREATING INFLAMMATION |
| US5383928A (en) | 1992-06-10 | 1995-01-24 | Emory University | Stent sheath for local drug delivery |
| GB9213077D0 (en) | 1992-06-19 | 1992-08-05 | Erba Carlo Spa | Polymerbound taxol derivatives |
| DE4222380A1 (en) | 1992-07-08 | 1994-01-13 | Ernst Peter Prof Dr M Strecker | Endoprosthesis implantable percutaneously in a patient's body |
| KR940003548U (en) | 1992-08-14 | 1994-02-21 | 김형술 | Laundry dryer |
| US5342621A (en) | 1992-09-15 | 1994-08-30 | Advanced Cardiovascular Systems, Inc. | Antithrombogenic surface |
| US5578075B1 (en) | 1992-11-04 | 2000-02-08 | Daynke Res Inc | Minimally invasive bioactivated endoprosthesis for vessel repair |
| US5342348A (en) | 1992-12-04 | 1994-08-30 | Kaplan Aaron V | Method and device for treating and enlarging body lumens |
| US5419760A (en) | 1993-01-08 | 1995-05-30 | Pdt Systems, Inc. | Medicament dispensing stent for prevention of restenosis of a blood vessel |
| KR960700025A (en) | 1993-01-19 | 1996-01-19 | 알렌 제이.스피겔 | CLAD COMPOSITE STENT |
| US5439686A (en) | 1993-02-22 | 1995-08-08 | Vivorx Pharmaceuticals, Inc. | Methods for in vivo delivery of substantially water insoluble pharmacologically active agents and compositions useful therefor |
| US5523092A (en) | 1993-04-14 | 1996-06-04 | Emory University | Device for local drug delivery and methods for using the same |
| US5441515A (en) | 1993-04-23 | 1995-08-15 | Advanced Cardiovascular Systems, Inc. | Ratcheting stent |
| US5464650A (en) | 1993-04-26 | 1995-11-07 | Medtronic, Inc. | Intravascular stent and method |
| IT1276342B1 (en) | 1993-06-04 | 1997-10-30 | Ist Naz Stud Cura Dei Tumori | METAL STENT COVERED WITH BIOCOMPATIBLE POLYMERIC MATERIAL |
| US5886026A (en) | 1993-07-19 | 1999-03-23 | Angiotech Pharmaceuticals Inc. | Anti-angiogenic compositions and methods of use |
| ATE502664T1 (en) | 1993-07-19 | 2011-04-15 | Angiotech Pharm Inc | METHOD OF PRODUCTION OF A STENT WITH ANTI-ANGIOGENIC COMPOSITION |
| ATE314845T1 (en) | 1993-07-29 | 2006-02-15 | Us Health | USE OF PACLITAXEL AND ITS DERIVATIVES FOR THE PRODUCTION OF A MEDICATION FOR THE TREATMENT OF RESTENOSES |
| US5380299A (en) | 1993-08-30 | 1995-01-10 | Med Institute, Inc. | Thrombolytic treated intravascular medical device |
| FR2710834B1 (en) * | 1993-10-05 | 1995-12-22 | Guerbet Sa | Expandable tubular organ for intraluminal endoprosthesis, intraluminal endoprosthesis, manufacturing process. |
| US5457113A (en) | 1993-10-15 | 1995-10-10 | Eli Lilly And Company | Methods for inhibiting vascular smooth muscle cell proliferation and restinosis |
| US5415869A (en) | 1993-11-12 | 1995-05-16 | The Research Foundation Of State University Of New York | Taxol formulation |
| US5443497A (en) | 1993-11-22 | 1995-08-22 | The Johns Hopkins University | Percutaneous prosthetic by-pass graft and method of use |
| US5556413A (en) | 1994-03-11 | 1996-09-17 | Advanced Cardiovascular Systems, Inc. | Coiled stent with locking ends |
| US5843120A (en) | 1994-03-17 | 1998-12-01 | Medinol Ltd. | Flexible-expandable stent |
| US5449373A (en) | 1994-03-17 | 1995-09-12 | Medinol Ltd. | Articulated stent |
| US5733303A (en) | 1994-03-17 | 1998-03-31 | Medinol Ltd. | Flexible expandable stent |
| US6001123A (en) | 1994-04-01 | 1999-12-14 | Gore Enterprise Holdings Inc. | Folding self-expandable intravascular stent-graft |
| CA2147813A1 (en) | 1994-04-28 | 1995-10-29 | Richard Dixon | Intravascular prosthesis with anti-thrombogenic coating |
| ATE240694T1 (en) * | 1994-06-13 | 2003-06-15 | Endomed Inc | EXPANDABLE ENDOVASCULAR TRANSPLANT AND METHOD FOR PRODUCING SAME |
| US5545210A (en) | 1994-09-22 | 1996-08-13 | Advanced Coronary Technology, Inc. | Method of implanting a permanent shape memory alloy stent |
| US5817152A (en) | 1994-10-19 | 1998-10-06 | Birdsall; Matthew | Connected stent apparatus |
| AU3783295A (en) | 1994-11-16 | 1996-05-23 | Advanced Cardiovascular Systems Inc. | Shape memory locking mechanism for intravascular stent |
| US5707385A (en) | 1994-11-16 | 1998-01-13 | Advanced Cardiovascular Systems, Inc. | Drug loaded elastic membrane and method for delivery |
| CA2301351C (en) | 1994-11-28 | 2002-01-22 | Advanced Cardiovascular Systems, Inc. | Method and apparatus for direct laser cutting of metal stents |
| GB9505721D0 (en) | 1995-03-21 | 1995-05-10 | Univ London | Expandable surgical stent |
| ATE169484T1 (en) | 1995-04-01 | 1998-08-15 | Variomed Ag | STENT FOR TRANSLUMINAL IMPLANTATION IN HOLLOW ORGANS |
| US5837313A (en) | 1995-04-19 | 1998-11-17 | Schneider (Usa) Inc | Drug release stent coating process |
| US5575771A (en) | 1995-04-24 | 1996-11-19 | Walinsky; Paul | Balloon catheter with external guidewire |
| US5609629A (en) | 1995-06-07 | 1997-03-11 | Med Institute, Inc. | Coated implantable medical device |
| CA2178541C (en) | 1995-06-07 | 2009-11-24 | Neal E. Fearnot | Implantable medical device |
| DE69636867T2 (en) | 1995-07-25 | 2007-08-30 | Medstent Inc., Rexdale | EXPANDABLE STENT |
| US5607442A (en) | 1995-11-13 | 1997-03-04 | Isostent, Inc. | Stent with improved radiopacity and appearance characteristics |
| US5741293A (en) | 1995-11-28 | 1998-04-21 | Wijay; Bandula | Locking stent |
| US6017363A (en) * | 1997-09-22 | 2000-01-25 | Cordis Corporation | Bifurcated axially flexible stent |
| US5843117A (en) | 1996-02-14 | 1998-12-01 | Inflow Dynamics Inc. | Implantable vascular and endoluminal stents and process of fabricating the same |
| US5713949A (en) | 1996-08-06 | 1998-02-03 | Jayaraman; Swaminathan | Microporous covered stents and method of coating |
| US5725548A (en) | 1996-04-08 | 1998-03-10 | Iowa India Investments Company Limited | Self-locking stent and method for its production |
| NZ331269A (en) * | 1996-04-10 | 2000-01-28 | Advanced Cardiovascular System | Expandable stent, its structural strength varying along its length |
| US5922021A (en) | 1996-04-26 | 1999-07-13 | Jang; G. David | Intravascular stent |
| US5617878A (en) | 1996-05-31 | 1997-04-08 | Taheri; Syde A. | Stent and method for treatment of aortic occlusive disease |
| US5697971A (en) | 1996-06-11 | 1997-12-16 | Fischell; Robert E. | Multi-cell stent with cells having differing characteristics |
| US6120535A (en) | 1996-07-29 | 2000-09-19 | Radiance Medical Systems, Inc. | Microporous tubular prosthesis |
| US5922020A (en) * | 1996-08-02 | 1999-07-13 | Localmed, Inc. | Tubular prosthesis having improved expansion and imaging characteristics |
| US6007517A (en) | 1996-08-19 | 1999-12-28 | Anderson; R. David | Rapid exchange/perfusion angioplasty catheter |
| US6174326B1 (en) | 1996-09-25 | 2001-01-16 | Terumo Kabushiki Kaisha | Radiopaque, antithrombogenic stent and method for its production |
| US5824045A (en) * | 1996-10-21 | 1998-10-20 | Inflow Dynamics Inc. | Vascular and endoluminal stents |
| US6099561A (en) | 1996-10-21 | 2000-08-08 | Inflow Dynamics, Inc. | Vascular and endoluminal stents with improved coatings |
| US5868781A (en) | 1996-10-22 | 1999-02-09 | Scimed Life Systems, Inc. | Locking stent |
| EP0934036B1 (en) | 1996-10-28 | 2004-03-03 | BIOTRONIK Mess- und Therapiegeräte GmbH & Co Ingenieurbüro Berlin | Stent |
| WO1998019628A1 (en) * | 1996-11-04 | 1998-05-14 | Vardi Gil M | Extendible stent apparatus and method for deploying the same |
| US5733330A (en) | 1997-01-13 | 1998-03-31 | Advanced Cardiovascular Systems, Inc. | Balloon-expandable, crush-resistant locking stent |
| US5853419A (en) | 1997-03-17 | 1998-12-29 | Surface Genesis, Inc. | Stent |
| US6240616B1 (en) | 1997-04-15 | 2001-06-05 | Advanced Cardiovascular Systems, Inc. | Method of manufacturing a medicated porous metal prosthesis |
| US6273913B1 (en) | 1997-04-18 | 2001-08-14 | Cordis Corporation | Modified stent useful for delivery of drugs along stent strut |
| DE29708803U1 (en) * | 1997-05-17 | 1997-07-31 | Jomed Implantate GmbH, 72414 Rangendingen | Radially expandable stent for implantation in a body vessel in the area of a vascular branch |
| US5843175A (en) | 1997-06-13 | 1998-12-01 | Global Therapeutics, Inc. | Enhanced flexibility surgical stent |
| FR2764794B1 (en) * | 1997-06-20 | 1999-11-12 | Nycomed Lab Sa | EXPANDED TUBULAR DEVICE WITH VARIABLE THICKNESS |
| US5855600A (en) * | 1997-08-01 | 1999-01-05 | Inflow Dynamics Inc. | Flexible implantable stent with composite design |
| US5899935A (en) | 1997-08-04 | 1999-05-04 | Schneider (Usa) Inc. | Balloon expandable braided stent with restraint |
| US5984957A (en) | 1997-08-12 | 1999-11-16 | Schneider (Usa) Inc | Radially expanded prostheses with axial diameter control |
| US6165195A (en) | 1997-08-13 | 2000-12-26 | Advanced Cardiovascylar Systems, Inc. | Stent and catheter assembly and method for treating bifurcations |
| US6056722A (en) | 1997-09-18 | 2000-05-02 | Iowa-India Investments Company Limited Of Douglas | Delivery mechanism for balloons, drugs, stents and other physical/mechanical agents and methods of use |
| US6231598B1 (en) | 1997-09-24 | 2001-05-15 | Med Institute, Inc. | Radially expandable stent |
| US6042606A (en) | 1997-09-29 | 2000-03-28 | Cook Incorporated | Radially expandable non-axially contracting surgical stent |
| US5972027A (en) | 1997-09-30 | 1999-10-26 | Scimed Life Systems, Inc | Porous stent drug delivery system |
| US5976182A (en) | 1997-10-03 | 1999-11-02 | Advanced Cardiovascular Systems, Inc. | Balloon-expandable, crush-resistant locking stent and method of loading the same |
| US6309414B1 (en) | 1997-11-04 | 2001-10-30 | Sorin Biomedica Cardio S.P.A. | Angioplasty stents |
| US6030414A (en) * | 1997-11-13 | 2000-02-29 | Taheri; Syde A. | Variable stent and method for treatment of arterial disease |
| US6156062A (en) | 1997-12-03 | 2000-12-05 | Ave Connaught | Helically wrapped interlocking stent |
| US5964798A (en) | 1997-12-16 | 1999-10-12 | Cardiovasc, Inc. | Stent having high radial strength |
| US6533807B2 (en) | 1998-02-05 | 2003-03-18 | Medtronic, Inc. | Radially-expandable stent and delivery system |
| US6241762B1 (en) | 1998-03-30 | 2001-06-05 | Conor Medsystems, Inc. | Expandable medical device with ductile hinges |
| US6019789A (en) | 1998-04-01 | 2000-02-01 | Quanam Medical Corporation | Expandable unit cell and intraluminal stent |
| US6206916B1 (en) | 1998-04-15 | 2001-03-27 | Joseph G. Furst | Coated intraluminal graft |
| US6206914B1 (en) | 1998-04-30 | 2001-03-27 | Medtronic, Inc. | Implantable system with drug-eluting cells for on-demand local drug delivery |
| US6280411B1 (en) | 1998-05-18 | 2001-08-28 | Scimed Life Systems, Inc. | Localized delivery of drug agents |
| US6083258A (en) | 1998-05-28 | 2000-07-04 | Yadav; Jay S. | Locking stent |
| US6206915B1 (en) | 1998-09-29 | 2001-03-27 | Medtronic Ave, Inc. | Drug storing and metering stent |
| US6293967B1 (en) | 1998-10-29 | 2001-09-25 | Conor Medsystems, Inc. | Expandable medical device with ductile hinges |
| US6063101A (en) | 1998-11-20 | 2000-05-16 | Precision Vascular Systems, Inc. | Stent apparatus and method |
| US6273910B1 (en) | 1999-03-11 | 2001-08-14 | Advanced Cardiovascular Systems, Inc. | Stent with varying strut geometry |
| US6290673B1 (en) | 1999-05-20 | 2001-09-18 | Conor Medsystems, Inc. | Expandable medical device delivery system and method |
| US7828835B2 (en) | 2000-03-01 | 2010-11-09 | Medinol Ltd. | Longitudinally flexible stent |
| EP1132058A1 (en) | 2000-03-06 | 2001-09-12 | Advanced Laser Applications Holding S.A. | Intravascular prothesis |
| US6395326B1 (en) | 2000-05-31 | 2002-05-28 | Advanced Cardiovascular Systems, Inc. | Apparatus and method for depositing a coating onto a surface of a prosthesis |
-
1999
- 1999-05-20 US US09/315,892 patent/US6293967B1/en not_active Expired - Lifetime
-
2000
- 2000-05-12 WO PCT/US2000/013244 patent/WO2000071054A1/en not_active Ceased
- 2000-05-12 EP EP07006868.9A patent/EP1795153B1/en not_active Expired - Lifetime
- 2000-05-12 JP JP2000619367A patent/JP2003500101A/en active Pending
- 2000-05-12 AT AT00932419T patent/ATE358457T1/en active
- 2000-05-12 EP EP00932419A patent/EP1185215B9/en not_active Expired - Lifetime
- 2000-05-12 DE DE20023924U patent/DE20023924U1/en not_active Expired - Lifetime
- 2000-05-12 ES ES00932419T patent/ES2282113T3/en not_active Expired - Lifetime
- 2000-05-12 DE DE60034229T patent/DE60034229T2/en not_active Expired - Lifetime
- 2000-05-12 AU AU50143/00A patent/AU5014300A/en not_active Abandoned
-
2001
- 2001-07-11 US US09/902,105 patent/US20020165604A1/en not_active Abandoned
- 2001-08-20 US US09/932,093 patent/US6527799B2/en not_active Expired - Lifetime
Cited By (81)
| Publication number | Priority date | Publication date | Assignee | Title |
|---|---|---|---|---|
| US7815675B2 (en) | 1996-11-04 | 2010-10-19 | Boston Scientific Scimed, Inc. | Stent with protruding branch portion for bifurcated vessels |
| US7591846B2 (en) | 1996-11-04 | 2009-09-22 | Boston Scientific Scimed, Inc. | Methods for deploying stents in bifurcations |
| US7766955B2 (en) | 1996-11-04 | 2010-08-03 | Boston Scientific Scimed, Inc. | Extendible stent apparatus |
| US8771342B2 (en) | 1996-11-04 | 2014-07-08 | Boston Scientific Scimed, Inc. | Methods for deploying stents in bifurcations |
| US6835203B1 (en) | 1996-11-04 | 2004-12-28 | Advanced Stent Technologies, Inc. | Extendible stent apparatus |
| US9561126B2 (en) | 1996-11-04 | 2017-02-07 | Boston Scientific Scimed, Inc. | Catheter with attached flexible side sheath |
| US7850725B2 (en) | 1996-11-04 | 2010-12-14 | Boston Scientific Scimed, Inc. | Extendible stent apparatus |
| US7220275B2 (en) | 1996-11-04 | 2007-05-22 | Advanced Stent Technologies, Inc. | Stent with protruding branch portion for bifurcated vessels |
| US7678142B2 (en) | 1996-11-04 | 2010-03-16 | Boston Scientific Scimed, Inc. | Extendible stent apparatus |
| US7892279B2 (en) | 1998-01-14 | 2011-02-22 | Boston Scientific Scimed, Inc. | Extendible stent apparatus |
| US7537609B2 (en) | 1998-01-14 | 2009-05-26 | Boston Scientific Scimed, Inc. | Extendible stent apparatus |
| US7118593B2 (en) | 1998-01-14 | 2006-10-10 | Advanced Stent Technologies, Inc. | Extendible stent apparatus |
| US8241349B2 (en) | 1998-01-14 | 2012-08-14 | Boston Scientific Scimed, Inc. | Extendible stent apparatus |
| US7179289B2 (en) | 1998-03-30 | 2007-02-20 | Conor Medsystems, Inc. | Expandable medical device for delivery of beneficial agent |
| US7341598B2 (en) | 1999-01-13 | 2008-03-11 | Boston Scientific Scimed, Inc. | Stent with protruding branch portion for bifurcated vessels |
| US8257425B2 (en) | 1999-01-13 | 2012-09-04 | Boston Scientific Scimed, Inc. | Stent with protruding branch portion for bifurcated vessels |
| US7479127B2 (en) | 1999-05-20 | 2009-01-20 | Innovational Holding, Llc | Expandable medical device delivery system and method |
| US7344514B2 (en) | 1999-05-20 | 2008-03-18 | Innovational Holdings, Llc | Expandable medical device delivery system and method |
| US20050059991A1 (en) * | 1999-05-20 | 2005-03-17 | Shanley John F. | Expandable medical device delivery system and method |
| US7771462B1 (en) | 1999-06-04 | 2010-08-10 | Boston Scientific Scimed, Inc. | Catheter with side sheath and methods |
| US6884258B2 (en) | 1999-06-04 | 2005-04-26 | Advanced Stent Technologies, Inc. | Bifurcation lesion stent delivery using multiple guidewires |
| US7585317B2 (en) | 1999-09-23 | 2009-09-08 | Boston Scientific Scimed, Inc. | Stent range transducers |
| US8211167B2 (en) | 1999-12-06 | 2012-07-03 | Boston Scientific Scimed, Inc. | Method of using a catheter with attached flexible side sheath |
| US8187321B2 (en) | 2000-10-16 | 2012-05-29 | Innovational Holdings, Llc | Expandable medical device for delivery of beneficial agent |
| US7758634B2 (en) | 2001-02-26 | 2010-07-20 | Boston Scientific Scimed, Inc. | Bifurcated stent and delivery system |
| US8617231B2 (en) | 2001-05-18 | 2013-12-31 | Boston Scientific Scimed, Inc. | Dual guidewire exchange catheter system |
| US7517362B2 (en) | 2001-08-20 | 2009-04-14 | Innovational Holdings Llc. | Therapeutic agent delivery device with controlled therapeutic agent release rates |
| US7842083B2 (en) | 2001-08-20 | 2010-11-30 | Innovational Holdings, Llc. | Expandable medical device with improved spatial distribution |
| US7850727B2 (en) | 2001-08-20 | 2010-12-14 | Innovational Holdings, Llc | Expandable medical device for delivery of beneficial agent |
| US7658758B2 (en) | 2001-09-07 | 2010-02-09 | Innovational Holdings, Llc | Method and apparatus for loading a beneficial agent into an expandable medical device |
| US8425590B2 (en) | 2001-09-24 | 2013-04-23 | Boston Scientific Scimed, Inc. | Stent with protruding branch portion for bifurcated vessels |
| US7578841B2 (en) | 2001-09-24 | 2009-08-25 | Boston Scientific Scimed, Inc. | Stent with protruding branch portion for bifurcated vessels |
| US7951192B2 (en) | 2001-09-24 | 2011-05-31 | Boston Scientific Scimed, Inc. | Stent with protruding branch portion for bifurcated vessels |
| US9254202B2 (en) | 2002-09-20 | 2016-02-09 | Innovational Holdings Llc | Method and apparatus for loading a beneficial agent into an expandable medical device |
| US8349390B2 (en) | 2002-09-20 | 2013-01-08 | Conor Medsystems, Inc. | Method and apparatus for loading a beneficial agent into an expandable medical device |
| US7758636B2 (en) | 2002-09-20 | 2010-07-20 | Innovational Holdings Llc | Expandable medical device with openings for delivery of multiple beneficial agents |
| US8449901B2 (en) | 2003-03-28 | 2013-05-28 | Innovational Holdings, Llc | Implantable medical device with beneficial agent concentration gradient |
| US8771334B2 (en) | 2003-07-18 | 2014-07-08 | Boston Scientific Scimed, Inc. | Catheter balloon systems and methods |
| US7655030B2 (en) | 2003-07-18 | 2010-02-02 | Boston Scientific Scimed, Inc. | Catheter balloon systems and methods |
| US8298280B2 (en) | 2003-08-21 | 2012-10-30 | Boston Scientific Scimed, Inc. | Stent with protruding branch portion for bifurcated vessels |
| US7344557B2 (en) | 2003-11-12 | 2008-03-18 | Advanced Stent Technologies, Inc. | Catheter balloon systems and methods |
| US8702779B2 (en) | 2003-11-12 | 2014-04-22 | Boston Scientific Scimed, Inc. | Catheter balloon systems and methods |
| US8007528B2 (en) | 2004-03-17 | 2011-08-30 | Boston Scientific Scimed, Inc. | Bifurcated stent |
| US20060079956A1 (en) * | 2004-09-15 | 2006-04-13 | Conor Medsystems, Inc. | Bifurcation stent with crushable end and method for delivery of a stent to a bifurcation |
| US20060122688A1 (en) * | 2004-12-08 | 2006-06-08 | Conor Medsystems, Inc. | Expandable medical device with differential hinge performance |
| US7429268B2 (en) | 2004-12-08 | 2008-09-30 | Innovational Holdings, Llc | Expandable medical device with differential hinge performance |
| US9427340B2 (en) | 2004-12-14 | 2016-08-30 | Boston Scientific Scimed, Inc. | Stent with protruding branch portion for bifurcated vessels |
| US8480728B2 (en) | 2005-05-26 | 2013-07-09 | Boston Scientific Scimed, Inc. | Stent side branch deployment initiation geometry |
| US8317855B2 (en) | 2005-05-26 | 2012-11-27 | Boston Scientific Scimed, Inc. | Crimpable and expandable side branch cell |
| US8038706B2 (en) | 2005-09-08 | 2011-10-18 | Boston Scientific Scimed, Inc. | Crown stent assembly |
| US8043366B2 (en) | 2005-09-08 | 2011-10-25 | Boston Scientific Scimed, Inc. | Overlapping stent |
| US7731741B2 (en) | 2005-09-08 | 2010-06-08 | Boston Scientific Scimed, Inc. | Inflatable bifurcation stent |
| US7842081B2 (en) | 2005-11-14 | 2010-11-30 | Boston Scientific Scimed, Inc. | Stent with spiral side-branch |
| US8435284B2 (en) | 2005-12-14 | 2013-05-07 | Boston Scientific Scimed, Inc. | Telescoping bifurcated stent |
| US8343211B2 (en) | 2005-12-14 | 2013-01-01 | Boston Scientific Scimed, Inc. | Connectors for bifurcated stent |
| US7540881B2 (en) | 2005-12-22 | 2009-06-02 | Boston Scientific Scimed, Inc. | Bifurcation stent pattern |
| US8016878B2 (en) | 2005-12-22 | 2011-09-13 | Boston Scientific Scimed, Inc. | Bifurcation stent pattern |
| US8821561B2 (en) | 2006-02-22 | 2014-09-02 | Boston Scientific Scimed, Inc. | Marker arrangement for bifurcation catheter |
| US7833264B2 (en) | 2006-03-06 | 2010-11-16 | Boston Scientific Scimed, Inc. | Bifurcated stent |
| US8298278B2 (en) | 2006-03-07 | 2012-10-30 | Boston Scientific Scimed, Inc. | Bifurcated stent with improvement securement |
| US7922758B2 (en) | 2006-06-23 | 2011-04-12 | Boston Scientific Scimed, Inc. | Nesting twisting hinge points in a bifurcated petal geometry |
| US8216267B2 (en) | 2006-09-12 | 2012-07-10 | Boston Scientific Scimed, Inc. | Multilayer balloon for bifurcated stent delivery and methods of making and using the same |
| US9492297B2 (en) | 2006-09-12 | 2016-11-15 | Boston Scientific Scimed, Inc. | Multilayer balloon for bifurcated stent delivery and methods of making and using the same |
| US7951191B2 (en) | 2006-10-10 | 2011-05-31 | Boston Scientific Scimed, Inc. | Bifurcated stent with entire circumferential petal |
| US8556955B2 (en) | 2006-11-02 | 2013-10-15 | Boston Scientific Scimed, Inc. | Adjustable bifurcation catheter incorporating electroactive polymer and methods of makings and using the same |
| US8206429B2 (en) | 2006-11-02 | 2012-06-26 | Boston Scientific Scimed, Inc. | Adjustable bifurcation catheter incorporating electroactive polymer and methods of making and using the same |
| US7842082B2 (en) | 2006-11-16 | 2010-11-30 | Boston Scientific Scimed, Inc. | Bifurcated stent |
| US7959668B2 (en) | 2007-01-16 | 2011-06-14 | Boston Scientific Scimed, Inc. | Bifurcated stent |
| US8118861B2 (en) | 2007-03-28 | 2012-02-21 | Boston Scientific Scimed, Inc. | Bifurcation stent and balloon assemblies |
| US8647376B2 (en) | 2007-03-30 | 2014-02-11 | Boston Scientific Scimed, Inc. | Balloon fold design for deployment of bifurcated stent petal architecture |
| US8486134B2 (en) | 2007-08-01 | 2013-07-16 | Boston Scientific Scimed, Inc. | Bifurcation treatment system and methods |
| US7959669B2 (en) | 2007-09-12 | 2011-06-14 | Boston Scientific Scimed, Inc. | Bifurcated stent with open ended side branch support |
| US8936567B2 (en) | 2007-11-14 | 2015-01-20 | Boston Scientific Scimed, Inc. | Balloon bifurcated lumen treatment |
| US7833266B2 (en) | 2007-11-28 | 2010-11-16 | Boston Scientific Scimed, Inc. | Bifurcated stent with drug wells for specific ostial, carina, and side branch treatment |
| US8277501B2 (en) | 2007-12-21 | 2012-10-02 | Boston Scientific Scimed, Inc. | Bi-stable bifurcated stent petal geometry |
| US8747456B2 (en) | 2007-12-31 | 2014-06-10 | Boston Scientific Scimed, Inc. | Bifurcation stent delivery system and methods |
| US8932340B2 (en) | 2008-05-29 | 2015-01-13 | Boston Scientific Scimed, Inc. | Bifurcated stent and delivery system |
| US8377108B2 (en) | 2008-06-02 | 2013-02-19 | Boston Scientific Scimed, Inc. | Staggered two balloon bifurcation catheter assembly and methods |
| US20090299454A1 (en) * | 2008-06-02 | 2009-12-03 | Boston Scientific Scimed, Inc. | Staggered Two Balloon Bifurcation Catheter Assembly and Methods |
| US8827954B2 (en) | 2008-06-05 | 2014-09-09 | Boston Scientific Scimed, Inc. | Deflatable bifurcated device |
| KR101467739B1 (en) | 2008-08-28 | 2014-12-01 | 마르코 안토니오 페나 듀크 | Directional expansion of intraluminal devices |
Also Published As
| Publication number | Publication date |
|---|---|
| ATE358457T1 (en) | 2007-04-15 |
| AU5014300A (en) | 2000-12-12 |
| US20020013619A1 (en) | 2002-01-31 |
| DE60034229T2 (en) | 2007-12-20 |
| EP1795153A2 (en) | 2007-06-13 |
| EP1185215B1 (en) | 2007-04-04 |
| EP1795153A3 (en) | 2007-08-29 |
| US6527799B2 (en) | 2003-03-04 |
| EP1795153B1 (en) | 2016-09-21 |
| EP1185215A1 (en) | 2002-03-13 |
| EP1185215B9 (en) | 2007-06-13 |
| WO2000071054A9 (en) | 2003-01-16 |
| US6293967B1 (en) | 2001-09-25 |
| WO2000071054A1 (en) | 2000-11-30 |
| DE20023924U1 (en) | 2007-08-16 |
| DE60034229D1 (en) | 2007-05-16 |
| ES2282113T3 (en) | 2007-10-16 |
| JP2003500101A (en) | 2003-01-07 |
Similar Documents
| Publication | Publication Date | Title |
|---|---|---|
| US6527799B2 (en) | Expandable medical device with ductile hinges | |
| US6562065B1 (en) | Expandable medical device with beneficial agent delivery mechanism | |
| EP1222941B1 (en) | Flexible medical device | |
| CA2565311C (en) | Expandable medical device with ductile hinges |
Legal Events
| Date | Code | Title | Description |
|---|---|---|---|
| STCB | Information on status: application discontinuation |
Free format text: ABANDONED -- FAILURE TO RESPOND TO AN OFFICE ACTION |






