US20020116397A1 - Method and system for communicating an information packet through multiple router devices - Google Patents
Method and system for communicating an information packet through multiple router devices Download PDFInfo
- Publication number
- US20020116397A1 US20020116397A1 US09/872,376 US87237601A US2002116397A1 US 20020116397 A1 US20020116397 A1 US 20020116397A1 US 87237601 A US87237601 A US 87237601A US 2002116397 A1 US2002116397 A1 US 2002116397A1
- Authority
- US
- United States
- Prior art keywords
- server
- packet
- inic
- connection
- response
- Prior art date
- Legal status (The legal status is an assumption and is not a legal conclusion. Google has not performed a legal analysis and makes no representation as to the accuracy of the status listed.)
- Abandoned
Links
- 238000000034 method Methods 0.000 title claims description 167
- 230000010365 information processing Effects 0.000 claims description 5
- 230000008878 coupling Effects 0.000 claims 2
- 238000010168 coupling process Methods 0.000 claims 2
- 238000005859 coupling reaction Methods 0.000 claims 2
- 230000004044 response Effects 0.000 description 254
- 230000008569 process Effects 0.000 description 123
- 238000005538 encapsulation Methods 0.000 description 59
- 238000012545 processing Methods 0.000 description 53
- 230000015654 memory Effects 0.000 description 50
- 238000010586 diagram Methods 0.000 description 44
- 235000014510 cooky Nutrition 0.000 description 15
- 230000009471 action Effects 0.000 description 13
- 238000013508 migration Methods 0.000 description 13
- 230000005012 migration Effects 0.000 description 13
- 230000001360 synchronised effect Effects 0.000 description 13
- FFBHFFJDDLITSX-UHFFFAOYSA-N benzyl N-[2-hydroxy-4-(3-oxomorpholin-4-yl)phenyl]carbamate Chemical compound OC1=C(NC(=O)OCC2=CC=CC=C2)C=CC(=C1)N1CCOCC1=O FFBHFFJDDLITSX-UHFFFAOYSA-N 0.000 description 11
- 238000004891 communication Methods 0.000 description 11
- 238000012795 verification Methods 0.000 description 11
- 239000000463 material Substances 0.000 description 10
- 238000007796 conventional method Methods 0.000 description 9
- 238000011330 nucleic acid test Methods 0.000 description 9
- 238000013459 approach Methods 0.000 description 8
- 238000004422 calculation algorithm Methods 0.000 description 8
- 238000012423 maintenance Methods 0.000 description 8
- 230000015572 biosynthetic process Effects 0.000 description 5
- 238000004364 calculation method Methods 0.000 description 5
- 238000013519 translation Methods 0.000 description 5
- 230000014616 translation Effects 0.000 description 5
- 238000004883 computer application Methods 0.000 description 4
- 238000004590 computer program Methods 0.000 description 4
- 230000003111 delayed effect Effects 0.000 description 4
- 238000011161 development Methods 0.000 description 4
- 230000000977 initiatory effect Effects 0.000 description 4
- 238000013507 mapping Methods 0.000 description 4
- 238000012986 modification Methods 0.000 description 4
- 230000004048 modification Effects 0.000 description 4
- 230000008901 benefit Effects 0.000 description 3
- 230000001965 increasing effect Effects 0.000 description 3
- 230000037361 pathway Effects 0.000 description 3
- 230000000694 effects Effects 0.000 description 2
- 230000001960 triggered effect Effects 0.000 description 2
- 230000000007 visual effect Effects 0.000 description 2
- 230000005540 biological transmission Effects 0.000 description 1
- 230000008859 change Effects 0.000 description 1
- 230000003247 decreasing effect Effects 0.000 description 1
- 230000002708 enhancing effect Effects 0.000 description 1
- 230000006870 function Effects 0.000 description 1
- 230000000737 periodic effect Effects 0.000 description 1
- 238000012552 review Methods 0.000 description 1
- 239000007787 solid Substances 0.000 description 1
- 238000006467 substitution reaction Methods 0.000 description 1
- 230000001502 supplementing effect Effects 0.000 description 1
Images
Classifications
-
- H—ELECTRICITY
- H04—ELECTRIC COMMUNICATION TECHNIQUE
- H04L—TRANSMISSION OF DIGITAL INFORMATION, e.g. TELEGRAPHIC COMMUNICATION
- H04L67/00—Network arrangements or protocols for supporting network services or applications
- H04L67/01—Protocols
- H04L67/10—Protocols in which an application is distributed across nodes in the network
- H04L67/1001—Protocols in which an application is distributed across nodes in the network for accessing one among a plurality of replicated servers
- H04L67/1004—Server selection for load balancing
- H04L67/1008—Server selection for load balancing based on parameters of servers, e.g. available memory or workload
-
- H—ELECTRICITY
- H04—ELECTRIC COMMUNICATION TECHNIQUE
- H04L—TRANSMISSION OF DIGITAL INFORMATION, e.g. TELEGRAPHIC COMMUNICATION
- H04L67/00—Network arrangements or protocols for supporting network services or applications
- H04L67/01—Protocols
- H04L67/02—Protocols based on web technology, e.g. hypertext transfer protocol [HTTP]
-
- H—ELECTRICITY
- H04—ELECTRIC COMMUNICATION TECHNIQUE
- H04L—TRANSMISSION OF DIGITAL INFORMATION, e.g. TELEGRAPHIC COMMUNICATION
- H04L67/00—Network arrangements or protocols for supporting network services or applications
- H04L67/01—Protocols
- H04L67/10—Protocols in which an application is distributed across nodes in the network
- H04L67/1001—Protocols in which an application is distributed across nodes in the network for accessing one among a plurality of replicated servers
-
- H—ELECTRICITY
- H04—ELECTRIC COMMUNICATION TECHNIQUE
- H04L—TRANSMISSION OF DIGITAL INFORMATION, e.g. TELEGRAPHIC COMMUNICATION
- H04L67/00—Network arrangements or protocols for supporting network services or applications
- H04L67/01—Protocols
- H04L67/10—Protocols in which an application is distributed across nodes in the network
- H04L67/1001—Protocols in which an application is distributed across nodes in the network for accessing one among a plurality of replicated servers
- H04L67/1004—Server selection for load balancing
- H04L67/101—Server selection for load balancing based on network conditions
-
- H—ELECTRICITY
- H04—ELECTRIC COMMUNICATION TECHNIQUE
- H04L—TRANSMISSION OF DIGITAL INFORMATION, e.g. TELEGRAPHIC COMMUNICATION
- H04L67/00—Network arrangements or protocols for supporting network services or applications
- H04L67/01—Protocols
- H04L67/10—Protocols in which an application is distributed across nodes in the network
- H04L67/1001—Protocols in which an application is distributed across nodes in the network for accessing one among a plurality of replicated servers
- H04L67/1004—Server selection for load balancing
- H04L67/1012—Server selection for load balancing based on compliance of requirements or conditions with available server resources
-
- H—ELECTRICITY
- H04—ELECTRIC COMMUNICATION TECHNIQUE
- H04L—TRANSMISSION OF DIGITAL INFORMATION, e.g. TELEGRAPHIC COMMUNICATION
- H04L67/00—Network arrangements or protocols for supporting network services or applications
- H04L67/01—Protocols
- H04L67/10—Protocols in which an application is distributed across nodes in the network
- H04L67/1001—Protocols in which an application is distributed across nodes in the network for accessing one among a plurality of replicated servers
- H04L67/1004—Server selection for load balancing
- H04L67/1014—Server selection for load balancing based on the content of a request
-
- H—ELECTRICITY
- H04—ELECTRIC COMMUNICATION TECHNIQUE
- H04L—TRANSMISSION OF DIGITAL INFORMATION, e.g. TELEGRAPHIC COMMUNICATION
- H04L67/00—Network arrangements or protocols for supporting network services or applications
- H04L67/01—Protocols
- H04L67/10—Protocols in which an application is distributed across nodes in the network
- H04L67/1001—Protocols in which an application is distributed across nodes in the network for accessing one among a plurality of replicated servers
- H04L67/1004—Server selection for load balancing
- H04L67/1019—Random or heuristic server selection
-
- H—ELECTRICITY
- H04—ELECTRIC COMMUNICATION TECHNIQUE
- H04L—TRANSMISSION OF DIGITAL INFORMATION, e.g. TELEGRAPHIC COMMUNICATION
- H04L67/00—Network arrangements or protocols for supporting network services or applications
- H04L67/01—Protocols
- H04L67/10—Protocols in which an application is distributed across nodes in the network
- H04L67/1001—Protocols in which an application is distributed across nodes in the network for accessing one among a plurality of replicated servers
- H04L67/1004—Server selection for load balancing
- H04L67/1023—Server selection for load balancing based on a hash applied to IP addresses or costs
-
- H—ELECTRICITY
- H04—ELECTRIC COMMUNICATION TECHNIQUE
- H04L—TRANSMISSION OF DIGITAL INFORMATION, e.g. TELEGRAPHIC COMMUNICATION
- H04L67/00—Network arrangements or protocols for supporting network services or applications
- H04L67/14—Session management
-
- H—ELECTRICITY
- H04—ELECTRIC COMMUNICATION TECHNIQUE
- H04L—TRANSMISSION OF DIGITAL INFORMATION, e.g. TELEGRAPHIC COMMUNICATION
- H04L67/00—Network arrangements or protocols for supporting network services or applications
- H04L67/14—Session management
- H04L67/142—Managing session states for stateless protocols; Signalling session states; State transitions; Keeping-state mechanisms
-
- H—ELECTRICITY
- H04—ELECTRIC COMMUNICATION TECHNIQUE
- H04L—TRANSMISSION OF DIGITAL INFORMATION, e.g. TELEGRAPHIC COMMUNICATION
- H04L69/00—Network arrangements, protocols or services independent of the application payload and not provided for in the other groups of this subclass
- H04L69/16—Implementation or adaptation of Internet protocol [IP], of transmission control protocol [TCP] or of user datagram protocol [UDP]
- H04L69/161—Implementation details of TCP/IP or UDP/IP stack architecture; Specification of modified or new header fields
-
- H—ELECTRICITY
- H04—ELECTRIC COMMUNICATION TECHNIQUE
- H04L—TRANSMISSION OF DIGITAL INFORMATION, e.g. TELEGRAPHIC COMMUNICATION
- H04L69/00—Network arrangements, protocols or services independent of the application payload and not provided for in the other groups of this subclass
- H04L69/16—Implementation or adaptation of Internet protocol [IP], of transmission control protocol [TCP] or of user datagram protocol [UDP]
- H04L69/163—In-band adaptation of TCP data exchange; In-band control procedures
-
- H—ELECTRICITY
- H04—ELECTRIC COMMUNICATION TECHNIQUE
- H04L—TRANSMISSION OF DIGITAL INFORMATION, e.g. TELEGRAPHIC COMMUNICATION
- H04L69/00—Network arrangements, protocols or services independent of the application payload and not provided for in the other groups of this subclass
- H04L69/16—Implementation or adaptation of Internet protocol [IP], of transmission control protocol [TCP] or of user datagram protocol [UDP]
- H04L69/164—Adaptation or special uses of UDP protocol
-
- H—ELECTRICITY
- H04—ELECTRIC COMMUNICATION TECHNIQUE
- H04L—TRANSMISSION OF DIGITAL INFORMATION, e.g. TELEGRAPHIC COMMUNICATION
- H04L69/00—Network arrangements, protocols or services independent of the application payload and not provided for in the other groups of this subclass
- H04L69/16—Implementation or adaptation of Internet protocol [IP], of transmission control protocol [TCP] or of user datagram protocol [UDP]
- H04L69/165—Combined use of TCP and UDP protocols; selection criteria therefor
-
- H—ELECTRICITY
- H04—ELECTRIC COMMUNICATION TECHNIQUE
- H04L—TRANSMISSION OF DIGITAL INFORMATION, e.g. TELEGRAPHIC COMMUNICATION
- H04L9/00—Cryptographic mechanisms or cryptographic arrangements for secret or secure communications; Network security protocols
- H04L9/40—Network security protocols
-
- H—ELECTRICITY
- H04—ELECTRIC COMMUNICATION TECHNIQUE
- H04L—TRANSMISSION OF DIGITAL INFORMATION, e.g. TELEGRAPHIC COMMUNICATION
- H04L67/00—Network arrangements or protocols for supporting network services or applications
- H04L67/01—Protocols
- H04L67/10—Protocols in which an application is distributed across nodes in the network
- H04L67/1001—Protocols in which an application is distributed across nodes in the network for accessing one among a plurality of replicated servers
- H04L67/10015—Access to distributed or replicated servers, e.g. using brokers
-
- H—ELECTRICITY
- H04—ELECTRIC COMMUNICATION TECHNIQUE
- H04L—TRANSMISSION OF DIGITAL INFORMATION, e.g. TELEGRAPHIC COMMUNICATION
- H04L67/00—Network arrangements or protocols for supporting network services or applications
- H04L67/01—Protocols
- H04L67/10—Protocols in which an application is distributed across nodes in the network
- H04L67/1001—Protocols in which an application is distributed across nodes in the network for accessing one among a plurality of replicated servers
- H04L67/1027—Persistence of sessions during load balancing
-
- H—ELECTRICITY
- H04—ELECTRIC COMMUNICATION TECHNIQUE
- H04L—TRANSMISSION OF DIGITAL INFORMATION, e.g. TELEGRAPHIC COMMUNICATION
- H04L69/00—Network arrangements, protocols or services independent of the application payload and not provided for in the other groups of this subclass
- H04L69/16—Implementation or adaptation of Internet protocol [IP], of transmission control protocol [TCP] or of user datagram protocol [UDP]
-
- H—ELECTRICITY
- H04—ELECTRIC COMMUNICATION TECHNIQUE
- H04L—TRANSMISSION OF DIGITAL INFORMATION, e.g. TELEGRAPHIC COMMUNICATION
- H04L69/00—Network arrangements, protocols or services independent of the application payload and not provided for in the other groups of this subclass
- H04L69/22—Parsing or analysis of headers
-
- H—ELECTRICITY
- H04—ELECTRIC COMMUNICATION TECHNIQUE
- H04L—TRANSMISSION OF DIGITAL INFORMATION, e.g. TELEGRAPHIC COMMUNICATION
- H04L69/00—Network arrangements, protocols or services independent of the application payload and not provided for in the other groups of this subclass
- H04L69/30—Definitions, standards or architectural aspects of layered protocol stacks
- H04L69/32—Architecture of open systems interconnection [OSI] 7-layer type protocol stacks, e.g. the interfaces between the data link level and the physical level
- H04L69/322—Intralayer communication protocols among peer entities or protocol data unit [PDU] definitions
- H04L69/329—Intralayer communication protocols among peer entities or protocol data unit [PDU] definitions in the application layer [OSI layer 7]
Definitions
- This description relates in general to information processing systems, and in particular to a server farm information processing system and method of operation.
- a software application can be deployed through a global computer network, such as an Internet Protocol (“IP”) global computer network (e.g. the Internet or an intranet).
- IP Internet Protocol
- Such applications include IP socket-based software applications (e.g. web site application or Internet gaming site application).
- client client computer system
- server server computer system
- the server stores and executes the deployed application, which is used by the client through the global computer network.
- one or more applications can be deployed by the server through the global computer network. If the application (or group of applications) is large, or is used by a large number of clients, then a group of servers (“server farm”) stores and executes the application.
- a conventional server farm is coupled through a flow switch to the global computer network (and, accordingly, to clients that are coupled to the global computer network).
- a client and the server farm communicate packets of information (“information packets”) to one another.
- the flow switch has various shortcomings which reduce the overall performance and efficiency of deploying software applications with the server farm through the global computer network.
- a first computing device receives a first information packet from a second computing device.
- the second computing device receives the first information packet from a global computer network through a first router device.
- the first computing device outputs a second information packet to the global computer network through a second router device, such that the second information packet bypasses the first router device.
- a principal advantage of these embodiments is that various shortcomings of previous techniques are overcome.
- a principal advantage of these embodiments is that overall performance and efficiency are enhanced of deploying software applications with a server farm through a global computer network.
- FIG. 1 a is a block diagram of a conventional system for processing information with client and server computer systems that communicate with one another through an Internet Protocol (“IP”) global computer network.
- IP Internet Protocol
- FIG. 1 b is a block diagram of a conventional system for processing information with a server farm and a client computer system that communicate with one another through a global computer network with IP socket-based applications.
- FIG. 2 a is a block diagram of a system for processing information with a server farm, according to a first illustrative embodiment.
- FIG. 2 b is a block diagram of a system for processing information with a server farm, according to a second illustrative embodiment.
- FIG. 2 c is a block diagram of a system for processing information with a server farm, according to a third illustrative embodiment.
- FIG. 2 d is a block diagram of a system for processing information with a server farm, according to a fourth illustrative embodiment.
- FIG. 3 is a block diagram of an intelligent network interface controller (“iNIC”) circuitry and main board circuitry of a server of a server farm, according to the illustrative embodiments.
- iNIC intelligent network interface controller
- FIG. 4 a is a block diagram of a system for processing information with a server farm, according to an illustrative embodiment in which a first server forwards packets for processing by a second server.
- FIG. 4 b is a block diagram of the system of FIG. 4 a , according to an illustrative embodiment in which the second server processes packets without forwarding to the first server.
- FIG. 5 a is a block diagram of the iNIC and main board circuitry of FIG. 3, according to an illustrative embodiment in which the iNIC processes information received and output through a Port A.
- FIG. 5 b is a block diagram of the iNIC and main board circuitry of FIG. 3, according to an illustrative embodiment in which the iNIC processes information received through a Port B.
- FIG. 5 c is a block diagram of the iNIC and main board circuitry of FIG. 3, according to an illustrative embodiment in which the iNIC processes information received and output through a Synch Port.
- FIG. 6 is a conceptual illustration of information stored in a memory of the representative iNIC of FIG. 3.
- FIG. 7 is a block diagram of a system for processing information with a server farm, according to an illustrative embodiment in which three servers perform load-balancing of client requests.
- FIG. 8 is a data flow diagram of process threads executed by the representative iNIC of FIG. 3.
- FIG. 9 a is a flowchart of a balance thread of FIG. 8.
- FIG. 9 b is a flowchart of a forward thread of FIG. 8.
- FIG. 9 c is a flowchart of a synchronization thread of FIG. 8.
- FIG. 10 a is a sequence diagram of steps for establishing a local connection between a client and a server, according to the illustrative embodiments.
- FIG. 10 b is a sequence diagram of steps for establishing a forwarded connection between a client and a server, according to the illustrative embodiments.
- FIG. 10 c is a sequence diagram of steps for processing a forwarded connection with a server, according to the illustrative embodiments.
- FIG. 11 a is a conceptual illustration of a conventional Ethernet encapsulation header.
- FIG. 11 b is a conceptual illustration of an ipOS encapsulation header, according to the illustrative embodiments.
- FIG. 11 c is a conceptual illustration of ipOS connection information for migration of a UDP connection endpoint, according to the illustrative embodiments.
- FIG. 11 d is a conceptual illustration of ipOS connection information for migration of a TCP connection endpoint, according to the illustrative embodiments.
- FIG. 11 e is a conceptual illustration of an ipOS TCP connection endpoint packet, according to the illustrative embodiments.
- FIG. 11 f is a conceptual illustration of an ipOS UDP connection endpoint packet, according to the illustrative embodiments.
- FIG. 11 g is a conceptual illustration of a packet having a TCP/IP payload, according to the illustrative embodiments.
- FIG. 11 h is a conceptual illustration of a packet having a UTDP/IP payload, according to the illustrative embodiments.
- FIG. 11 i is a conceptual illustration of a connection endpoint migration acknowledgement packet, according to the illustrative embodiments.
- FIG. 12 is a conceptual illustration of tables stored by a server's iNIC memory, according to the illustrative embodiments.
- FIG. 13 is a block diagram of the iNIC and main board circuitry of FIG. 3, according to the illustrative embodiments in which a socket application is related to a socket and its associated connection endpoint.
- FIG. 14 is a block diagram of servers within a server farm, according to an illustrative embodiment in which the servers establish sockets and associated connection endpoints for a local connection and a forwarded connection.
- FIG. 15 is a block diagram of a server farm including a deployment workstation for deploying application processes and associated software component objects to servers within the server farm, according to the illustrative embodiments.
- FIG. 16 is a block diagram of servers within a server farm, according to an illustrative embodiment in which a first server selectively spawns an application process that is stored by a second server.
- FIG. 17 is a block diagram of servers within a server farm, according to an illustrative embodiment in which a first server selectively spawns an object that is stored by a second server.
- FIG. 1 a is a block diagram of a conventional system for processing information with a client computer system (“client”) and server computer system (“server”) that communicate (e.g. receive and output information) with one another through an Internet Protocol (“IP”) global computer network (e.g. the Internet or an intranet).
- client client computer system
- server server computer system
- IP Internet Protocol
- FIG. 1 a shows only a single client and a single server, although multiple clients and multiple servers are connected to the IP network.
- the client is a representative one of the multiple clients
- the server is a representative one of the multiple servers.
- a server makes its socket application (or “socket-based application”) available through the IP network and waits for a client to establish a connection with the server through a specified IP address and TCP port (e.g. through a listening socket).
- a server executing a World Wide Web application has a listening socket associated with an assigned 32-bit IP address on the standard TCP port 80 for a World Wide Web server application.
- the server After accepting a connection from a requesting client, the server creates (or “establishes” or “forms”) a client specific socket.
- the socket represents the server's connection for the sending (and receiving) information to (and from) the specific client.
- OS operating system
- the server allocates (or “establishes” or “forms”) a data structure (of the connection with the client) to store client-to-server protocol specific connection information. This data structure is referred to as a socket connection endpoint (or “connection endpoint”).
- connection endpoint information varies according to the type of connection established (e.g. TCP or UDP).
- the connection endpoint information includes the client's and server's respective 32-bit IP addresses, the client application's and server application's respective 16-bit TCP connection ports, a pointer reference to a socket structure, and IP options such as Time to Live (“TTL”) and Type of Service (“TOS”).
- TTL Time to Live
- TOS Type of Service
- the connection endpoint information includes a group of send and receive sequence numbers (including start, current, and acknowledgement sequence numbers of the server and client) and variables for timing individual sent packets.
- the connection endpoint information includes additional suitable information.
- the client performs similar operations.
- a socket layer which manages sockets
- the client (with a client application) creates a connection endpoint of a specified type (e.g. UDP or TCP) and attempts a connection to a server's listening socket.
- a connection endpoint e.g. UDP or TCP
- a conventional web browser e.g. Netscape Navigator or Microsoft Internet Explorer
- the client opens a TCP type of connection endpoint and attempts connection through an IP network to a web server through the web server's advertised IP address on the standard web service TCP port 80 .
- the client and server are operable to send (and receive) information to (and from) one another through the associated socket connection.
- the client and server are operable to send and receive information at the application level.
- the client and server communicate with one another through IP packets sent through the IP network.
- the computer system e.g. client or server
- the computer system encapsulates such information according to the IP protocol.
- the computer system in response to receiving information from a network interface, directs such information to an associated application.
- the client and server have respective protocol stacks, which process IP packets (sent and received) and manage connection endpoint information.
- the computer system (a) adds transport specific information before sending information to the network interface and (b) removes transport specific information before alerting an application of the receipt of information from the network interface.
- the protocol stack is part of the OS and executes in kernel mode.
- the protocol stack includes a series of routines (e.g. software instructions) to process a packet in accordance with one or more network protocols such as HTTP, Ethernet, IP, TCP or UDP.
- routines e.g. software instructions
- the network interface sends the packet through its associated device driver to the protocol stack's routines.
- the computer system verifies the IP packet according to the packet's checksum algorithm and then moves the packet up the protocol stack for additional processing in accordance with a network protocol.
- the computer system reads, processes and removes a header from the packet.
- the final result is information that the computer system stores in a destination socket queue.
- the computer system (with its OS) initiates a software interrupt to the destination application, alerting the destination application that such information has been received.
- the computer system For sending information through the network interface to the IP network, the computer system (with the socket application) outputs such information (which has been formed according to software instructions of the socket application) to the protocol stack along with a reference to a suitable connection endpoint. Then, the computer system (with the connection endpoint) moves the information down the protocol stack for additional processing in accordance with a network protocol. At various levels of the protocol stack processing, the computer system forms a packet by supplementing the information with TCP or UDP header information, IP header information, link layer header information (e.g. Ethernet), and calculation of packet checksums. After forming the packet, the computer system outputs the packet to a device driver output queue of the network interface.
- TCP or UDP header information IP header information
- link layer header information e.g. Ethernet
- FIG. 1 b is a block diagram of a conventional system for processing information with a group of servers (“server farm”) and a client that communicate with one another through a global computer network with IP socket-based applications.
- server farm including n servers, where n is an integer number
- Server farms are useful for deploying software applications (e.g. web site application or Internet gaming site application) for use through a global computer network.
- each of the n servers is connected to a flow switch at egress ports of the flow switch. At an ingress port of the flow switch, it is coupled through a router to the IP network.
- a client connects to a server's application by connecting to the entire server farm through a single IP address.
- the IP address is associated with the ingress port of the flow switch.
- the client obtains the IP address by sending a Uniform Resource Locator (“URL”) to a Domain Name System (“DNS”).
- DNS is a set of special servers deployed on the IP network, with responsibility for translating a URL into an associated IP address.
- a client if a client has already received the IP address, the client is able to connect to the server farm without relying on the DNS.
- All communications between a server (of the server farm) and a client are directed through the flow switch.
- the flow switch helps to balance client request loads on servers within the server farm (“server farm load-balancing”) by selecting a server to handle a particular client's connection.
- server farm load-balancing client request loads on servers within the server farm
- the flow switch (a) maps packets from the flow switch's ingress port to the selected server through a suitable one of the flow switch's egress ports, (b) maps packets from the selected server to the particular client, and (c) performs various administrative operations.
- the conventional flow switch performs a range of operations, which may include network address translation (“NAT”), checksum calculation, and TCP sequence number rewriting (“TCP splicing”).
- NAT network address translation
- TCP splicing TCP sequence number rewriting
- FIG. 2 a is a block diagram of a system for processing information with a server farm, according to a first illustrative embodiment.
- the server farm includes a redirector device and n servers for deploying socket-based applications.
- the hardware configurations of the redirector device and servers are substantially identical to one another, so that at least one of the servers is configurable to perform the same types of operations as the redirector device.
- the redirector device and the servers are coupled to one another through a LAN A hub/switch (e.g. conventional Layer 2 / 3 switch), a LAN B hub/switch, and a synchronization hub, which are part of the server farm.
- a LAN A hub/switch e.g. conventional Layer 2 / 3 switch
- LAN B hub/switch e.g. conventional Layer 2 / 3 switch
- a synchronization hub which are part of the server farm.
- the LAN A hub/switch is coupled through a router and a suitable WAN to an IP network service provider (“ISP”) for communication with the IP network.
- ISP IP network service provider
- LAN A hub/switch is directly connected to the ISP, and other alternative embodiments are possible for connecting LAN A hub/switch to the IP network.
- each of the n servers and the redirector device is coupled to the IP network through the LAN A hub/switch and the router, without interposing a flow switch between the router and the servers (nor between the router and the redirector device).
- the router is coupled to the LAN A hub/switch through a suitable LAN or WAN link.
- Each of the n servers and the redirector device includes intelligent network interface controller (“iNIC”) circuitry, as shown in FIG. 2 a .
- iNIC intelligent network interface controller
- each of the n servers and the redirector device (with its respective iNIC) has a respective IP address that is advertised to clients through the IP network.
- the redirector device and the servers communicate with one another through the iNICs, in order to operate together in a cooperative manner as a distributed system.
- a primary objective of such a cooperative distributed system is to achieve server farm load-balancing (e.g. of handling client connections), efficiently communicating packets from clients directly to socket applications, reducing packet manipulations, and increasing the effective use of server farm resources (e.g. by the load-balancing of server application processes and of associated software component objects).
- a client connects to a server farm application by obtaining and connecting to a server's IP address, instead of a flow switch's IP address.
- the servers' respective IP addresses are advertised to clients in one of multiple possible ways. For example, according to a first technique, if multiple servers deploy a single application under a single URL, the DNS advertises IP addresses of those servers in a round-robin manner (e.g. one IP address at a time, alternating in a rotational manner). For example, if two servers deploy a web site application under a single URL (e.g. www.mysite.com), the DNS advertises the two servers' respective IP addresses (in association with the web site's URL) in round-robin manner.
- the DNS advertises the redirector device's IP address (in association with the web site's URL).
- a client initially communicates with the redirector device.
- the redirector device selects a server (in a round-robin manner among the servers that deploy the application) and outputs the selected server's IP address to the client.
- LANs local area networks
- WANs wide area networks
- IP network connections through ISPs increases at rate faster than the increase in computing capabilities of servers
- the resulting disparity in performance effectively shifts the performance bottleneck from (a) the capacity of a network to carry information to (b) the capacity of server farms to process client application requests (e.g. IP packets).
- client application requests e.g. IP packets
- individual servers in the server farm experience a vast increase in the rate of packets received and sent. Under such conditions, with the network interface and protocol stack, each server's performance becomes increasingly tied to the processing of such packets.
- the protocol stack is part of the OS, and OS overhead is increased in response to processing of more packets, so that fewer CPU cycles remain available for user-level applications. In that situation, individual server efficiency is decreased in response to increases in CPU contention, bus traffic contention, and memory traffic.
- the protocol stack is part of the iNIC instead of the OS, so the server farm operates more efficiently in processing client application requests.
- each iNIC has a first port (“Port A”) connected to LAN A (through LAN A hub/switch) for receiving (and sending) IP packets to (and from) clients through the IP network.
- each iNIC has a second port (“Port B”) connected to LAN B (through LAN B hub/switch) for receiving (and sending) IP packets to (and from) other iNICs in the server farm.
- each iNIC has a third port (“Synch Port”) connected to a synchronization hub (which operates as a local area network) for receiving (and sending) state information (e.g. number of TCP connections) to (and from) other iNICs in the server farm.
- each iNIC has a fourth port (“Port C”) for receiving (and sending) IP packets to (and from) clients through the IP network.
- Port C fourth port
- FIG. 2 b is a block diagram of a system for processing information with a server farm, according to a second illustrative embodiment.
- FIG. 2 b shows a situation where server farm bandwidth is increased by adding routers and LAN hub/switches. Similar to the system of FIG. 2 a , in the system of FIG. 2 b , each router is coupled through a suitable WAN link to an ISP for communication with the IP network, and each router is coupled to a respective LAN hub/switch through a suitable LAN or WAN link.
- router A is coupled to LAN A hub/switch
- router B is coupled to LAN B hub/switch.
- LAN A hub/switch is coupled to two servers (server 1 and server 2 ) in the server farm
- LAN B hub/switch is coupled to three servers (Server 3 , Server 4 and Server 5 ) in the server farm.
- all servers in the server farm are coupled to one another through a LAN C hub/switch and a synchronization hub, which are part of the server farm.
- FIG. 2 b shows scalability of the hardware architecture of the illustrative embodiments according to received network traffic (e.g. adding bandwidth with additional routers and LAN hub/switches to accommodate increases in IP packets received from clients through the IP network).
- FIG. 2 b shows a situation where two routers are coupled through suitable WANs to one or more ISPs for communication with the IP network, additional routers and LAN hub/switches can be added to the system of FIG. 2 b in a similar manner.
- the system of FIG. 2 b is expandable with additional servers in a variety of ways, such as by adding a server (in parallel with existing servers) to an existing LAN hub/switch (e.g.
- the system of FIG. 2 b likewise achieves scalability to accommodate increases in IP packets (e.g. application response packets) sent by servers to clients through the IP network.
- IP packets e.g. application response packets
- FIG. 2 c is a block diagram of a system for processing information with a server farm, according to a third illustrative embodiment.
- FIG. 2 c shows a situation where additional bandwidth is added for scalability of application response packets.
- router B receives packets from the IP network. These packets include requests from clients, such as a request for a large file according to HTTP protocol (HyperText Transport Protocol).
- HTTP protocol HyperText Transport Protocol
- Router B forwards each received packet to a server (whose IP address is specified in the packet) in the server farm through LAN A hub/switch.
- LAN A hub/switch is a Layer 2 switch.
- LAN A hub/switch is a Layer 3 switch.
- a server outputs response packets to clients through a router other than router B, so that the output response packets bypasses the network (e.g.
- server 1 outputs response packets to clients through router A which is dedicated to server 1 for such purpose
- server 2 outputs response packets to clients through router C which is dedicated to server 2 for such purpose.
- the additional router A and router C are coupled through a suitable WAN link to an ISP for communication with the IP network.
- the ISP may be the same or different for each of routers A, B and C.
- Router A is connected to a Port C (discussed further hereinbelow in connection with FIG. 3) of the iNIC of server 1 .
- router C is connected to a Port C of the iNIC of server 2 .
- the server farm is expandable with additional servers, routers and IP network connections.
- additional servers, routers and IP network connections In the illustrative embodiments, various combinations of scalability in incoming and outgoing bandwidth are possible.
- the system of FIG. 2 c is particularly advantageous in a situation where server 1 and server 2 output a relatively high volume of response packets in response to a smaller volume of received packets.
- FIG. 2 d is a block diagram of a system for processing information with a server farm, according to a fourth illustrative embodiment.
- two applications namely, “application 1 ” and “application 2 ”
- the system of FIG. 2 d is similar to the system of FIG. 2 a .
- the distributed architecture (of the illustrative embodiments) provides for deployment of multiple applications with a single IP network connection.
- servers 1 and 2 are grouped (“application 1 group”) to deploy application 1
- servers 3 , 4 and 5 (“application 2 group”) are grouped to deploy application 2
- the server farm of FIG. 2 d is configurable to host two web sites (e.g. www.firstsite.com and www.secondsite.com) with a single IP network connection.
- Client requests to a first URE e.g. www.firstsite.com
- client requests to a second URL e.g. www.secondsite.com
- IP addresses are advertised by either the DNS round-robin approach or the redirector device round-robin approach, as discussed hereinabove in connection with FIG. 2 a .
- IP addresses of servers 1 and 2 are associated with the first URL (www.firstsite.com), and such IP addresses can be advertised in round-robin manner.
- IP addresses of servers 3 , 4 and 5 are associated with the second URL (www.secondsite.com), and such IP addresses can be advertised in round-robin manner.
- the DNS Under a first version of the redirector device round-robin approach: (a) for application 1 group in association with the first URL, the DNS advertises a first redirector device's IP address; and (b) for application 2 group in association with the second URL, the DNS advertises a second redirector device's IP address.
- a client initially communicates with the first redirector device (for application 1 group in association with the first URL) or the second redirector device (for application 2 group in association with the second URL).
- a single redirector device operates in association with both the first and second URLs for application 1 group and application 2 group, respectively.
- the first redirector device In response to the first redirector device receiving a connection request from a client, the first redirector device selects a server (in a round-robin manner among servers 1 and 2 ) and outputs the selected server's IP address to the client (e.g. via HTTP redirect command). Likewise, in response to the second redirector device receiving a connection request from a client, the second redirector device selects a server (in a round-robin manner among servers 3, 4 and 5) and outputs the selected server's IP address to the client.
- iNIC Intelligent Network Interface Controller
- FIG. 3 is a block diagram of intelligent network interface controller (“iNIC”) circuitry and conventional main board circuitry of a server of a server farm, according to the illustrative embodiments.
- FIG. 3 shows example components of the iNIC. For clarity, various interconnections between such components are discussed hereinbelow in connection with FIGS. 5 a - c, 8 and 13 - 17 , rather than FIG. 3.
- the iNIC of FIG. 3 is a representative one of the iNICs of the systems of FIGS. 2 a - d, 4 a - b, 7 and 13 - 17 .
- each iNIC includes at least one network processor.
- the network processor includes programmable hardware and firmware for performing various operations, including packet classification, table lookups, packet manipulation, and packet routing.
- the network processor includes a packet classification engine and a general-purpose processor core, as discussed hereinbelow in connection with FIGS. 5 a - c and FIG. 8.
- the classification engine is an application specific integrated circuit (“ASIC”) or a set of integrated programmable multi-threaded microengines.
- ASIC application specific integrated circuit
- the classification engine is programmable and examines the headers and contents of packets at rates approaching wire speed. Other embodiments of the classification engine are possible.
- the network processor classifies and manipulates packets that are examined by the classification engine.
- the classification engine executes a set of instructions that are collectively referred to as the “rules code.”
- the processor core performs various management tasks.
- the processor core executes a set of instructions that is referred to as the “action code.”
- the classification engine examines packet information (e.g. header information), verifies checksums, and matches IP fields to records of previously stored tables of information.
- packet information e.g. header information
- FIG. 12 Various tables of the illustrative embodiments are shown in FIG. 12, which is discussed further hereinbelow.
- the classification engine is operable to classify a packet according to whether the packet is a TCP/IP packet, and according to whether the packet's source IP address and source TCP port match an existing record in a table (e.g. with table keys being source IP address and source TCP port).
- the network processor is operable to perform an action on the packet (e.g. send the packet to the protocol stack) in response to software instructions stored in the iNIC's memory (e.g. SRAM/SDRAM).
- the network processor is a commercially available processor, such as Intel's IXP1200 processor (available from www.intel.com) or Motorola's C-5 Digital Communications processor (available from www.motorola.com).
- the IP operations system refers to methods, circuitry, and system architecture of the iNIC for classifying, manipulating and performing actions in response to packets.
- the ipOS includes the instructions executable by the network processor, the forwarding processor, and the protocol stack processor of FIG. 3.
- the ipOS includes various instructions for performing operations of the iNIC within the server farm, such as client request load-balancing, packet routing, maintenance of connection endpoints, communications to and from particular applications, and control of application processes (and associated software component objects) deployed on the server farm.
- the iNIC stores various tables of information in support of ipOS decisions about packets and control of server farm resources. As shown in FIG. 3, the tables include various information, such as state information, routing information, process information, and protocol stack information. Such tables are shown in FIG. 12, which is discussed further hereinbelow.
- the protocol stack includes a series of routines for processing packets.
- the protocol stack has been part of the OS and has executed in kernel mode.
- the iNIC's protocol stack processor executes instructions to perform the protocol stack operations. Accordingly, such operations are offloaded from the OS.
- the iNIC includes circuitry for processing of forwarded packets, which are sent from one server's iNIC to another server's iNIC for processing.
- the forwarding processor operates to route forwarded packets at rates approaching wire speed. Possible embodiments of the forwarding processor include a field programmable gate array (“FPGA”) or an ASIC.
- FPGA field programmable gate array
- FIG. 3 shows an example iNIC configuration that includes three IP packet ports (designated as Port A, Port B, and Port C) and a single synchronization port (designated as Synch Port).
- Each IP packet port is configurable to be full duplex and to accommodate a variety of port protocols (e.g. Ethernet, ATM and FDDI).
- the synchronization port is configurable in the same manner as an IP packet port or, in an alternative embodiment, is specially configured.
- the configuration of the synchronization port is selected according to a particular application deployed on the server farm. With suitable circuitry, extremely fast synchronization is achievable for a particular application.
- the iNIC includes a memory for storing various data structures to represent the connection endpoints for client-server socket-based application connections.
- the iNIC includes Direct Memory Access (“DMA”) circuitry for sending information (a) from the iNIC directly to the main board circuitry's memory and (b) from the main board circuitry's memory to the iNIC's memory.
- DMA Direct Memory Access
- the iNIC includes additional circuitry and firmware (for clarity, not shown in FIG. 3) for performing specified encryption operations.
- the iNIC performs server farm load-balancing of socket application client requests.
- Round-robin approaches to advertise IP addresses e.g. DNS round-robin approach or redirector device round-robin approach
- round-robin approaches substantially fail to account for the client request's specific details such as session management.
- the selected server is operable to selectively forward packets (received from a client) for processing by another server (within the server farm).
- FIG. 4 a is a block diagram of a system for processing information with a server farm, according to an illustrative embodiment in which server 1 's iNIC forwards (or “outputs”) packets for processing by server 2 's iNIC (and, in some instances, by server 2 's application layer), according to ipOS logic of server 1 's iNIC.
- server 1 's iNIC operates substantially independently of server 1 's application layer.
- Server 2 's iNIC is substantially identical to server 1 's iNIC, so the operation of server 1 is likewise representative of the operation of server 2 .
- arrows show the directions in which packets are communicated between router A, server 1 and server 2 .
- a client sends (or “outputs”) a request to server 1 at IP 123.123.123.1.
- Router A receives the client request and outputs it to LAN A hub/switch for receipt by server 1 .
- Server 1 's iNIC determines whether to forward packets associated with the client connection from server 1 's iNIC to server 2 's iNIC. If so, in response to receiving such a packet from the client, server 1 's iNIC (in response to instructions of its ipOS) encapsulates the packet with additional information (as discussed hereinbelow) and forwards it to a physical port (IP 222.222.222.3) on server 2 's iNIC. In response to receiving the encapsulated packet from server 1 's iNIC, server 2 's iNIC (in response to instructions of its ipOS) unpacks and processes the encapsulated packet.
- server 1 's iNIC in response to instructions of its ipOS
- server 2 in response to instructions of its ipOS:
- FIG. 4 b is a block diagram of the system of FIG. 4 a, according to an illustrative embodiment in which server 2 processes packets without forwarding to server 1 .
- Server 1 is substantially identical to server 2 , so the operation of server 2 is likewise representative of the operation of server 1 .
- arrows show the directions in which packets are communicated between router A and server 2 .
- a client sends a request to server 2 at IP 123.123.123.3.
- Router A receives the client request and outputs it to LAN A hub/switch for receipt by server 2 .
- Server 2 's iNIC determines (in response to instructions of its ipOS) whether to forward packets associated with the client request to server 2 . If not, in response to receiving such a packet from the client, server 2 's iNIC (in response to instructions of its ipOS) keeps the packet and processes it.
- server 2 's iNIC in response to instructions of its ipOS: (a) establishes a connection endpoint in the memory of server 2 's iNIC for the particular client-server socket-based application connection (b) if appropriate for the packet, processes and sends information from the packet to server 2 's application layer; and (c) if appropriate for the packet, processes and sends response packets to the client through the IP network in response to information from server 2 's application layer.
- the protocol stack processor of server 2 's iNIC (in response to instructions of its ipOS) adds suitable header information to the response packet and sends it to the client through the IP network-connected port (IP 123.123.123.3) of server 2 's iNIC.
- IP network-connected port IP 123.123.123.3
- the response packet appears (from the client's perspective) to be sent from server 2 .
- FIG. 5 a is a block diagram of the iNIC and main board circuitry of FIG. 3, according to an illustrative embodiment in which the iNIC processes information received and sent through a Port A.
- FIG. 5 a shows pathways by which various packets (received from clients through Port A) are communicated through the iNIC.
- the iNIC has two IP packet ports (Port A and Port B) and a single synchronization port (Synch Port).
- the iNIC receives a packet and classifies it with the network processor classification engine.
- the classification engine executes the rules code to determine whether a match exists for the packet. If the packet is not destined for the server, fails checksum verification, or fails to match other criteria, then the classification engine drops (or “discards”) the packet. If the packet is not dropped, the classification engine sends the classified packet, along with possible table lookup results, to either (a) the processor core for execution of ipOS action code, (b) the forwarding processor for processing, or (c) the protocol stack processor for processing.
- the classification engine is operable to perform the packet classification by reviewing one or more tables in response to a packet's information. For example, in response to the rules code, the classification engine determines whether a match exists between (a) the packet's source IP and source TCP port and (b) an existing table of source IP addresses and source TCP ports (e.g. to determine whether the packet should be forwarded to another server).
- the processor core receives the packet and processes it according to the ipOS action code. In response to the action code, the processor core determines whether to (a) drop the packet, (b) send the packet to the protocol stack processor, or (c) process the packet and send it to the forwarding processor. If the processor core drops the packet, the processor core erases the packet's information from the iNIC's memory.
- the processor core sends the packet to the protocol stack processor, it does so during the connection setup process which is discussed further hereinbelow.
- the packet either: (a) is part of the connection setup process (e.g. SYN packet); or (b) is a request packet (e.g. during the socket to connection endpoint setup process) that is being processed locally without forwarding to another server.
- the processor core sends the packet to the forwarding processor, the packet either (a) is part of a new connection (e.g. including a connection endpoint) that is being migrated to another server's iNIC, or (b) is part of an existing connection that has already been migrated to another server's iNIC.
- the processor core also sends information to the forwarding processor for encapsulation of the packet, thereby enabling the forwarding processor to encapsulate the packet before forwarding the packet to another server. If a connection is migrated from a first server to a second server, the client request packet (see FIGS.
- the forwarding processor is operable to receive packets from either the classification engine or processor core (in response to the processor core's action code). If the forwarding processor receives a packet from the classification engine, the forwarding processor forwards the packet to another iNIC through Port B at rates approaching wire speed. Before forwarding the packet, the forwarding processor encapsulates it with header information.
- the protocol stack processor is operable to receive packets from either the processor core or the classification engine. If the protocol stack processor receives a packet from the processor core (in response to the processor core's action code), the packet is part of the connection setup process (e.g. during delayed connection endpoint to application socket binding). In the connection setup process for a packet received at Port A, the first packet received by the protocol stack processor from the processor core is the SYN packet (the SYN packet initiates creation of a connection endpoint). In association with such connection, the next packet received by the protocol stack processor from the processor core indicates a decision to process the connection locally without forwarding to another server.
- the protocol stack processor receives a packet from the classification engine, the packet either: (a) is part of the connection setup process (e.g. SYN packet); or (b) is a packet associated with an already established connection that is being processed locally without forwarding to another server.
- the protocol stack processor sends the packet to the client through Port A (which is coupled to the IP network). If a packet has moved up the protocol stack for destination to the main board circuitry's memory, the protocol stack processor sends information from the packet to the DMA circuitry.
- the DMA circuitry (a) sends information from the iNIC directly to the main board circuitry's memory and (b) receives information from the main board circuitry's memory to the iNIC's memory. Accordingly, through the DMA circuitry and main board circuitry's memory, the protocol stack processor outputs information (from a packet) and a connection endpoint reference to an application that is associated with the connection endpoint. Likewise, through the main board circuitry's memory and the DMA circuitry, the protocol stack processor receives information from an application that is associated with a connection endpoint and, in response thereto, the protocol stack processor assembles a packet for destination to a client.
- FIG. 5 b is a block diagram of the iNIC and main board circuitry of FIG. 3, according to an illustrative embodiment in which the iNIC processes information received through a Port B.
- FIG. 5 b shows pathways by which various packets (received from other server iNICs within the server farm through Port B) are communicated through the iNIC. Such packets from other server iNICs are received as encapsulated packets at Port B and are classified by the classification engine, which executes the rules code to determine whether a match exists for the packet.
- the classification engine does not drop the packet, the packet is classified and either (a) is part of a new connection (e.g. including a connection endpoint) that is being migrated to the server's iNIC, or (b) is part of an existing connection that has already been migrated to the server's iNIC, or (c) is a verification that a connection was successfully migrated to another server's iNIC. If the packet is not dropped, the classification engine sends the classified packet to either (a) the processor core for execution of ipOS action code or (b) the protocol stack processor for processing.
- a new connection e.g. including a connection endpoint
- the classification engine verifies the packet according to the packet's checksum algorithm. If the packet is verified, the classification engine sends information (e.g. the payload) of the packet to the processor core for establishing a connection endpoint that is associated with the new connection.
- the processor core After the processor core establishes the connection endpoint, (a) the processor core sends information to the protocol stack processor for binding (or “associating”) the connection endpoint to an appropriate socket and its associated socket application, and (b) the processor core forms an encapsulated acknowledgement packet and sends it to the forwarding processor, which outputs such packet to another server's iNIC (“forwarding server's iNIC”) through Port B as a verification that the connection endpoint was successfully migrated to the receiving server's iNIC.
- the processor core After the processor core establishes the connection endpoint, (a) the processor core sends information to the protocol stack processor for binding (or “associating”) the connection endpoint to an appropriate socket and its associated socket application, and (b) the processor core forms an encapsulated acknowledgement packet and sends it to the forwarding processor, which outputs such packet to another server's iNIC (“forwarding server's iNIC”) through Port B as a verification that the connection endpoint was successfully migrated to the receiving server's
- the classification engine sends information of the packet (along with a reference to the connection endpoint) to the processor core.
- the processor core in response to instructions of its ipOS
- the processor core erases the connection endpoint from the iNIC's memory and drops the packet.
- the iNIC in response to instructions of its ipOS
- the protocol stack processor is operable to receive packets from either the classification engine or the processor core. If the encapsulated packet (received at Port B) is part of an existing connection that has already been migrated to the server's iNIC, the protocol stack processor receives the packet from the classification engine. In response thereto, the protocol stack processor (a) verifies and removes the packet's header and (b) processes information (e.g. the IP packet payload) of the packet associated with an already established connection endpoint.
- information e.g. the IP packet payload
- the protocol stack processor receives a packet from the processor core, the packet is part of the connection setup process. In response to such a packet from the processor core, the protocol stack processor binds (or “associates”) the packet's associated connection endpoint to an appropriate socket and its associated socket application.
- the socket application is executed by the main board circuitry.
- connection endpoint reference (“connection endpoint reference”) within a socket.
- the socket is related to a suitable associated socket application for servicing the connection. In that manner, the socket application is related to (and associated with) the connection endpoint, as discussed further hereinbelow in connection with FIG. 13.
- the protocol stack processor if a packet has moved down the protocol stack for destination to a client, the protocol stack processor outputs the packet to the client through Port A (which is coupled to the IP network). If a packet has moved up the protocol stack for destination to the main board circuitry's memory, the protocol stack processor outputs information from the packet to the DMA circuitry.
- the DMA circuitry sends information (a) from the iNIC directly to the main board circuitry's memory and (b) from the main board circuitry's memory to the iNIC's memory. Accordingly, through the DMA circuitry and main board circuitry's memory, the protocol stack processor outputs information (from a packet) and a connection endpoint reference to an application that is associated with the connection endpoint. Likewise, through the main board circuitry's memory and the DMA circuitry, the protocol stack processor receives information from an application that is associated with a connection endpoint and, in response thereto, the protocol stack processor assembles a packet for destination to a client.
- FIG. 5 c is a block diagram of the iNIC and main board circuitry of FIG. 3, according to an illustrative embodiment in which the iNIC processes information received and sent through a Synch Port.
- FIG. 5 c shows pathways by which various packets (received from other servers within the server farm through the Synch Port) are communicated through the iNIC.
- the iNIC receives the packet and classifies it with the classification engine.
- the classification engine determines that the packet is a synchronization packet, the classification engine sends the packet to the processor core for processing according to the ipOS action code.
- the processor core reads synchronization information from the synchronization packet and writes such information into a suitable state table of the iNIC memory. After suitably processing the synchronization packet, the processor core drops it.
- the processor core is responsible for sending the server's state to others servers in the server farm. Accordingly, at specified synchronization intervals, the processor core assembles specified synchronization information into a packet. Then, the processor core outputs the assembled packet through the Synch Port for distribution to other servers in the server farm.
- FIG. 6 is a conceptual illustration of information stored in a memory of the representative iNIC of FIG. 3.
- the servers in the server farm endeavor to synchronize state information with one another by sending and receiving the state information through the server farm's synchronization hub.
- FIG. 6 illustrates the types of information stored by the iNIC in the synchronization process.
- the server sends information to the other servers in the server farm.
- the server stores information that represents the state of other servers in the server farm. Such information is accessible to the server's ipOS.
- the iNIC receives information that represents the state of other servers in the server farm.
- server farm state information includes the other servers' respective number of then-currently established TCP connections, CPU utilization, available main board circuitry memory, available server bandwidth, and/or other suitable information for high priority synchronization of the server farm's servers.
- the iNIC receives information about local and foreign object instances being executed by servers in the server farm (“object instances”).
- object instances such information includes an object identification tag (along with its IP address) and a shadow object identification tag (if any, along with its IP address), and/or other suitable information for medium priority synchronization of the server farm's servers.
- the iNIC receives information about local and foreign application processes being executed by servers in the server farm.
- information includes an application process identification tag (along with its IP address), TCP port (e.g. listening socket connection information), and/or other suitable information for medium priority synchronization of the server farm's servers.
- the iNIC receives application process (and component object) performance information.
- such information includes an application process (or object) identification tag, application process (or object) memory size, average CPU utilization, information on application processes (and component objects) that are stored by particular servers for execution, and/or other suitable information for low priority synchronization of the server farm's servers.
- the iNIC's application information table (included within the process information in iNIC memory) stores information for mapping a specified application process (or object) identification tag to the application process's (or object's) memory requirements and CPU utilization.
- each server advertises its state by outputting a UDP message through the synchronization port of the server's iNIC.
- Other servers (in the server farm) receive the message and store information from the message into their respective iNIC memories. Accordingly, in that manner within the server farm, such information is accessible to any server's ipOS, and the server farm's servers perform load-balancing and resource management operations in response to such information.
- the iNIC (in response to instructions of its ipOS) executes a process for dynamic load-balancing of client requests across servers within the server farm.
- the load-balancing technique includes a process to select a suitable server for processing a client request. For efficiency, the technique favors selection of the server that initially receives the client request.
- the server With a set of n available servers that synchronize their state tables (e.g. by storing identical server farm state information), the server (which initially receives the client request) executes the load-balancing process to select a server (from among the n available servers in the server farm) for processing the client request.
- the iNIC of a server executes the load-balancing process only when the server reaches a predetermined threshold of activity.
- the server calculates whether such threshold has been reached, in response to some or all of the state table information.
- Example thresholds are (a) a maximum number of TCP connections then-currently established by the server or (b) a maximum CPU utilization within the server.
- a potential shortcoming of load-balancing techniques is that multiple simultaneous client requests may result in one particular server processing many (or all) of the simultaneous client requests, without forwarding a suitable number of the simultaneous client requests to another server in the server farm (e.g. the load-balancing process may select the same server for processing all of the simultaneous client requests). Such a result leads to a process called thrashing.
- the load-balancing technique substantially avoids thrashing by selecting a server to process a request in response to a probability distribution.
- the iNIC (in response to instructions of its ipOS) executes a process for dynamic load-balancing in response to a number of TCP connections then-currently established by each server.
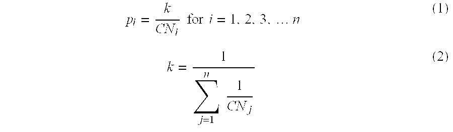
- the probability of a server being selected is inversely proportional to the number of TCP connections then-currently established by the server. In the illustrative embodiments, this probability is calculated in accordance with Equations (1) and (2) below.
- Equation (1) (a) p i is the probability that the load-balancing technique will result in the client request being serviced by the i th server (among n servers in the server farm), (b) CN i is the number of TCP connections then-currently established by server i, and (c) k is a constant that is calculated in accordance with Equation (2).
- Equation (2) (a) CN j is the number of TCP connections then-currently established by server j and (b) n is the number of servers in the server farm.
- FIG. 7 is a block diagram of a system for processing information with a server farm, according to an illustrative embodiment in which servers 1 , 2 and 3 perform load-balancing of client requests.
- servers 1 , 2 and 3 have synchronized (e.g. servers 1 , 2 and 3 have identical state tables in their respective iNIC memories).
- each of servers 1 , 2 and 3 has exceeded a predefined threshold of activity (e.g. number of TCP connections greater than a threshold).
- received client requests are load-balanced within the server farm.
- server 1 receives a client request, and the iNIC of server 1 (in response to instructions of its ipOS) executes the load-balancing process.
- the iNIC of server 1 calculates a probability that any one of servers 1 , 2 or 3 will be selected to process the client request.
- the iNIC of server 1 executes a pseudo random number generator for identifying a random number between 0 and 1 and (b) compares the random number to the calculated probabilities, in order to select one of servers 1 , 2 or 3 .
- the iNIC of server 1 (in response to instructions of its ipOS) selects server 1 .
- the iNIC of server 1 (in response to instructions of its ipOS) selects server 2 .
- the iNIC of server 1 (in response to instructions of its ipOS) selects server 3 .
- FIG. 8 is a data flow diagram of process threads executed by the representative iNIC of FIG. 3.
- FIG. 8 shows ipOS components, which include one or more threads of execution.
- the ipOS components include four threads of execution.
- FIG. 8 does not illustrate the packet processing performed by the forwarding processor (e.g. the splicing of an ipOS encapsulation header to a packet) for the creation and sending of encapsulated packets through Port B.
- the forwarding processor e.g. the splicing of an ipOS encapsulation header to a packet
- Each thread of execution includes a packet classification component and an action code component. For example, if applicable to a particular thread, the thread processes a packet by classifying the packet according to a set of classification rules. After classifying the packet, the thread processes the packet by performing operations associated with the classification.
- the ipOS components include a balance thread, a forward thread, and a synchronization thread. Each of those threads includes program code that is executable by the network processor for performing operations associated with the particular thread. Also, the ipOS components include a protocol stack thread. The protocol stack thread includes program code that is executable by the protocol stack processor for performing operations associated with the protocol stack thread.
- the iNIC's memory stores routing information, which includes tables that are searchable in response to a thread's packet classification component or action code component.
- the iNIC in response to instructions of its ipOS, searches a table to locate a record of information associated with the search key.
- the iNIC in response to instructions of its ipOS is programmed to match the search key with specific fields of a packet.
- the iNIC (a) receives a packet from a client through the IP network and (b) sends the packet to the balance thread.
- the balance thread processes the packet by classifying the packet according to a set of classification rules.
- the balance thread reads local, temporary, forward, and listening socket tables.
- FIG. 12 is a conceptual illustration of tables stored by a server's iNIC memory, according to the illustrative embodiments.
- FIG. 12 shows the types of fields (and descriptions thereof) in each table.
- FIG. 12 shows whether a particular field is used as a key for locating records in the table. Accordingly, for example, the local, forward-connect, and temporary tables have the same types of fields and keys.
- the local, forward-connect, and temporary tables store information representative of connection endpoints in various states. Because these tables store information representative of connection endpoints, a packet's source IP address, source TCP port, destination IP address, and destination TCP port are used as keys for locating records in the tables. Each record is capable of storing additional information beyond the fields shown in FIG. 12, and the server's iNIC is capable of storing additional tables beyond the tables shown in FIG. 12.
- the local table stores information representative of connection endpoints that are attached to a socket associated with a local application (i.e. an application executed by the server that stores the table).
- the forward-connect table stores information representative of connection endpoints that have been migrated to the server.
- the temporary table stores information representative of connection endpoints that are not yet attached to a socket associated with an application (e.g. the server is assessing the client request). Accordingly, in the temporary table, such connection endpoints have a state associated with a delayed connection endpoint to application socket bind (as discussed further hereinbelow).
- the forward table stores information representative of connection endpoints that have been migrated to a different server. Accordingly, such connection endpoints are attached to a socket that is associated with a non-local application (i.e. an application executed by the different server).
- the listening sockets table stores information representative of an IP address and TCP port of a listening socket associated with an application.
- FIG. 9 a is a flowchart of the balance thread of FIG. 8 for TCP/IP based applications.
- FIG. 9 a shows a detailed communication of a packet through the balance thread, in which the packet is processed in a sequence of steps until the packet is either dropped or output from the balance thread. If the packet satisfies a particular rule, the iNIC (in response to instructions of its ipOS) performs a suitable operation in response to the packet.
- an IP packet enters the balance thread from Port A.
- the iNIC in response to instructions of its balance thread verifies the packet according to its checksum algorithm (16-bit one's compliment sum). If the packet is corrupt (as evidenced by a failure to verify according to its checksum algorithm), then the packet is dropped.
- the iNIC After verifying the packet according to its checksum algorithm, the iNIC (in response to instructions of its balance thread) reads the packet's destination IP address to verify that the packet is addressed to the iNIC's server. If the packet is not addressed to the iNIC's server, then the packet is dropped.
- the iNIC After verifying that the packet's destination IP address matches the server's IP address, the iNIC (in response to instructions of its balance thread) determines whether the packet's source IP address and source TCP port match a record in the temporary table. If so, a client has initiated a connection, but the connection endpoint has not yet attached to a socket associated with an application. In such a situation, the iNIC (in response to instructions of its balance thread) reads the packet to determine whether it represents a client request (e.g. the first packet in which the TCP flag is set to PUSH).
- a client request e.g. the first packet in which the TCP flag is set to PUSH
- the iNIC in response to instructions of its balance thread sends the packet and a reference to the connection endpoint (stored in the temporary table's matching record) to the protocol stack thread (which is executed by the iNIC's protocol stack processor).
- the iNIC in response to instructions of its balance thread reviews the request and selects a server to process the request (e.g. according to the load-balancing technique). If the selected server is a different server (i.e. not the iNIC's server), the iNIC (in response to instructions of its balance thread) migrates the connection endpoint to the selected server.
- the iNIC determines whether the packet is part of an already established connection to a different server. Accordingly, the iNIC (in response to instructions of its balance thread) determines whether the packet's source IP address and source TCP port match a record in the forward table. If so, the iNIC (in response to instructions of its balance thread) (a) identifies the different server's iNIC as storing the connection endpoint, (b) encapsulates the packet with an ipOS encapsulation header (FIG.
- the forward table stores the following information in association with the matching record: (a) the IP address of the different server's iNIC and (b) the TCP port of the server application which is executed by the different server.
- the iNIC By encapsulating the packet with an encapsulation header, the iNIC (in response to instructions of its balance thread) addresses the packet to the previously selected server and migrated connection endpoint.
- the IP packet is not rewritten. Such encapsulation is discussed further hereinbelow in connection with FIGS. 11 a - i.
- the iNIC determines whether the packet's source IP address and source TCP port match a record in the local table. If so, the iNIC (in response to instructions of its balance thread) identifies the packet as having a connection endpoint that is attached to a socket associated with a local application. Accordingly, in such a situation, the iNIC identifies itself as storing the connection endpoint. In such a situation, the iNIC (in response to instructions of its balance thread) sends the packet and a reference to the connection endpoint (stored in the local table's matching record) to the protocol stack thread.
- the iNIC determines whether the IP packet's TCP SYN flag is set (e.g. determines whether a client is initiating a new connection) and whether the packet specifies an IP address and TCP port that match a record in the listening sockets table. If so, the iNIC sends the packet to the protocol stack processor for establishing a temporary connection. The protocol stack processor responds to the client with a SYN-ACK response packet as part of the TCP/IP initiation of a connection. Also, the iNIC creates a connection endpoint that has yet to be attached to a socket associated with an application. In the temporary table, the iNIC stores a record which includes a reference to such connection endpoint.
- FIG. 9 b is a flowchart of the forward thread of FIG. 8 for TCP/IP based applications.
- FIG. 9 b shows a detailed communication of a packet through the forward thread. The packet enters the forward thread from Port B. Packets from Port B are encapsulated packets and are sent to the forward thread.
- the forward thread receives a packet from Port B, the packet either (a) is part of a new connection that is being migrated to the server's iNIC, or (b) is part of an existing connection that has already been migrated to the server's iNIC, or (c) is a verification that a connection was successfully migrated to another server's iNIC.
- the forward-connect table stores information representative of connection endpoints that have been migrated to the server. In response to such information, the forward thread determines a suitable operation to perform on the packet, using an IP address and TCP port as keys to locate records in the forward-connect table.
- the iNIC (in response to instructions of its forward thread) verifies the packet's encapsulation header according to its checksum algorithm (16-bit one's compliment sum of the header). If the encapsulation header is corrupt (as evidenced by a failure to verify according to its checksum algorithm), then the packet is dropped.
- the iNIC After verifying the encapsulation header according to its checksum algorithm, the iNIC (in response to instructions of its forward thread) reads the encapsulation header's destination IP address to verify that the encapsulated packet is addressed to the iNIC's Port B. If the encapsulated packet is not addressed to the iNIC's Port B, then the packet is dropped.
- the iNIC After verifying that the encapsulated header's destination IP address matches the iNIC's Port B IP address, the iNIC (in response to instructions of its forward thread) determines whether the encapsulation header's type field is set to 0 ⁇ 01. If so, the packet is part of a new connection that is being migrated to the server's iNIC. In such a situation, the iNIC removes the encapsulation header and performs a one-time connection endpoint setup. As verification that the connection was successfully migrated, the iNIC (in response to instructions of its forward thread) sends a packet (with type field set to 0 ⁇ 03) through Port B to the originating iNIC (i.e. to the iNIC that requested the migration).
- the packet e.g. PUSH, ACK or FIN types of packets
- the iNIC in response to instructions of its forward thread, reads the client source IP address and source TCP port from the encapsulation header and, in response thereto, locates a matching connection endpoint record in the forward-connect table.
- the iNIC in response to instructions of its forward thread, removes the encapsulation header and sends the unencapsulated packet (which is an IP packet) and a reference to the connection endpoint (stored in the forward-connect table's matching record) to the protocol stack thread.
- the packet is a verification that a connection was successfully migrated to another server's iNIC.
- the iNIC in response to instructions of its forward thread reads information from the encapsulation header and, in response thereto, locates a matching connection endpoint record in the temporary table. Then, the iNIC (in response to instructions of its forward thread): (a) moves such record from the temporary table to the forward table, (b) deletes such record in the temporary table, and (c) drops the packet.
- FIG. 9 c is a flowchart of the synchronization thread of FIG. 8.
- FIG. 9 c shows a detailed communication of a packet through the synchronization thread. The packet enters the synchronization thread from the Synch Port. Packets from the Synch Port are sent to the synchronization thread.
- the iNIC After receiving a packet from the Synch Port, the iNIC (in response to instructions of its synchronization thread) classifies the packet according to the synchronization thread's classification rules. Numerous embodiments of the synchronization thread and Synch Port are possible. As shown in FIG. 12, the iNIC includes a server state table for storing information representative of the current states of all servers in the server farm.
- the iNIC (in response to instructions of its synchronization thread) determines whether the packet is a UDP packet. If not, then the packet is dropped.
- the iNIC (in response to instructions of its synchronization thread) determines whether the packet's source IP address matches a record in the server state table. If so, the packet indicates either an update to a server's state information or a removal of a server from the server state table (e.g. a removal of the server from the server farm due to maintenance). If the packet indicates an update to a server's state information, the iNIC (in response to instructions of its synchronization thread) updates the matching record in the server state table and drops the packet. By comparison, if the packet indicates a removal of a server from the server state table, the iNIC (in response to instructions of its synchronization thread) removes the matching record and drops the packet.
- the iNIC in response to instructions of its synchronization thread determines that the packet's source IP address does not match a record in the server state table
- the iNIC in response to instructions of its synchronization thread: (a) adds a new record in the server state table in association with the packet's source IP address, (b) updates the new record in response to other information from the packet, and (c) drops the packet.
- the iNIC assembles state information of the iNIC's server into a packet for broadcast to other servers within the server farm.
- the iNIC (in response to instructions of its synchronization thread) assembles such information into a UDP packet and outputs the UDP packet through the Synch Port.
- the protocol stack thread implements the IP, UDP and TCP protocols, including operations that are commonly referred to as the Network and Transport Layers.
- Some conventional techniques would perform the protocol stack operations in the OS of the server's main board circuitry. Accordingly, such conventional techniques would perform (a) network address translations in IP packets that are communicated between clients and specified servers in the server farm and (b) TCP splicing (e.g. rewriting of sequence numbers).
- the protocol stack operations are performed advantageously by the protocol stack processor (in response to protocol stack instructions) of the server's iNIC.
- the protocol stack thread avoids the need to perform network address translations (“NATs”) in IP packets that are communicated between clients and specified servers in the server farm.
- the protocol stack thread avoids the need to perform TCP splicing (e.g. rewriting of sequence numbers).
- FIG. 13 is a block diagram of the iNIC and main board circuitry of FIG. 3, according to the illustrative embodiments in which a socket application is related to a socket and its associated connection endpoint.
- a socket application includes instructions for initiating the formation of a socket by calling a system function (or by calling an application program interface (“API”)) to form a socket of a specific type (e.g. UDP or TCP) within a socket layer.
- API application program interface
- the main board circuitry manages the socket layer.
- the OS kernel includes instructions for forming the socket and returning a file descriptor (which references the socket) to the application.
- FIG. 13 shows a single socket
- a socket application can be related to numerous sockets at any particular time.
- the socket layer includes instructions for sending one or more requests to the iNIC, in order to initiate the iNIC's formation of a new connection endpoint (of a specified type), and in order to initiate the iNIC's formation of a socket reference.
- Such request is associated with a socket, and the socket reference is a reference to that socket.
- the iNIC (a) forms the new connection endpoint, irrespective of whether a socket application is associated with the new connection endpoint, and (b) returns a reference (which references the connection endpoint) to the socket layer.
- the socket includes a reference (“connection endpoint reference”) for associating the socket with the connection endpoint.
- the connection endpoint includes a reference (“socket reference”) for associating the connection endpoint with the socket.
- the protocol stack thread (executed by the protocol stack processor) has access to the iNIC's memory, where connection endpoints are stored in various tables (as discussed further herein in connection with FIG. 12).
- the iNIC (in response to instructions of its protocol stack thread) is operable to associate an existing connection endpoint and a socket with one another. For such association, through the DMA circuitry and main board circuitry's memory, the iNIC's protocol stack processor sends a request (along with a reference to the connection endpoint) to the main board circuitry. In response to such request, the main board circuitry (a) forms a client specific socket (if a listening socket exists for the IP address and TCP Port), (b) stores the connection endpoint reference within the socket, and (c) returns a reference (which references the socket) to the iNIC. The iNIC completes the association by storing the socket reference within the connection endpoint.
- the protocol stack thread of the illustrative embodiments is similar to a conventional standard protocol stack (e.g. BSD protocol stack), but the protocol stack thread of the illustrative embodiments is modified from the conventional standard protocol stack in various ways. Such modifications include (a) the addition of several fields to the connection endpoint data structure, (b) the revision of protocol stack code to use the modified connection endpoint, and (c) the revision of protocol stack code to selectively add special information within an IP packet's data portion (e.g. session management). Moreover, the protocol stack thread of the illustrative embodiments is modified to advantageously avoid several conventional protocol stack operations, including checksum calculations and connection endpoint searches, because such operations are performed by the classification engine (e.g. a packet sent to the protocol stack thread is accompanied by a reference to the packet's associated connection endpoint).
- the classification engine e.g. a packet sent to the protocol stack thread is accompanied by a reference to the packet's associated connection endpoint.
- packets are sent to the protocol stack thread from the balance thread and the forward thread (en route to a server application). Such packets are moving up the protocol stack during a receive operation.
- the protocol stack processor After the protocol stack thread processes the packet, the protocol stack processor outputs the payload information (destined for the application) to the main board circuitry's memory through DMA circuitry (as discussed further hereinabove in connection with FIG. 3).
- connection endpoint includes a socket reference.
- the main board circuitry In response to receiving payload information from the protocol stack processor, the main board circuitry appends the payload information to a socket queue for the referenced socket. Also, the main board circuitry alerts the application about such appending.
- packets are sent to the protocol stack thread from an application (en route to Port A). Such packets are moving down the protocol stack during a send operation.
- the socket includes a connection endpoint reference, so a packet sent to the protocol stack thread is accompanied by a reference to the packet's associated connection endpoint, and the protocol stack thread does not perform connection endpoint searching.
- the protocol stack processor outputs the packet to a client through Port A without TCP splicing or packet rewriting.
- a server's protocol stack processor in response to instructions of its protocol stack thread, is operable to selectively form and add special information (for causing the client to perform an operation) within an IP packet before sending it to the client through Port A.
- the client in response to instructions of its application, is operable to: (a) maintain a session, as discussed further hereinbelow, (b) selectively update state information (stored by the client) in a manner specified by the special information (e.g. for state maintenance, such as modifying state information); and/or (c) selectively perform another application specific operation in a manner specified by the special information.
- the server's protocol stack processor is operable to add the special information in response to the synchronized state information (which is discussed further hereinabove such as in connection with FIG. 6) of servers in the server farm.
- the protocol stack processor adds the special information within the IP packet's data portion (e.g. TCP payload), so that the special information is not contained in the IP packet's headers (e.g. IP, TCP or UDP header).
- the protocol stack processor adds the special information (e.g. session maintenance information, state maintenance information) in a manner that is independent of the main board circuitry, and independent of whether the server application includes any instructions for such purpose.
- the protocol stack instructions affect the IP packet's headers (not the IP packet's data portion), so that session maintenance information (in the IP packet's data portion) is added by the main board circuitry in response to instructions of a server application (rather than in response to protocol stack instructions).
- a session (e.g. HTTP session) includes multiple connections.
- the first server after establishing a first connection of a session with a client (which executes an application, such as a web browser), the first server receives a request packet from the client.
- the first server's iNIC is operable to (a) select a server for maintaining the session with the client and (b) notify the client of the selection by outputting special information (e.g. HTTP session identifier, such as a cookie) in a response packet to the client.
- the special information is added to the response packet by the protocol stack processor of the first server's iNIC.
- the first server's iNIC is operable to either: (a) in response to the synchronized state information (which identifies servers in the server farm that have access to suitable resources for servicing the client request), select one of the identified servers for maintaining the session with the client; or (b) select the first server for maintaining the session with the client, irrespective of the synchronized state information.
- the special information is an HTTP session identifier (which specifies a server for maintaining the session with the client).
- the client receives the response packet (which includes the HTTP session identifier) from the first server; (b) establishes a second connection of the session with the server farm; and (c) after establishing the second connection, adds the HTTP session identifier within a request packet (of the second connection) before sending it to the server farm.
- the server farm is responsible for sending the request packet to the specified server.
- the client establishes the second connection of the session with a server (“connecting server”) of the server farm, as discussed further hereinabove in connection with FIG. 2 a .
- the connecting server either: (a) keeps the request packet and processes it, if the request packet's HTTP session identifier specifies the connecting server; or (b) forwards the request packet to a different server (within the server farm) for processing, if the request packet's HTTP session identifier specifies the different server (as discussed further hereinbelow in connection with FIG. 10 a and the cookie map table of FIG. 12).
- the servers in the server farm endeavor to synchronize state information with one another by sending and receiving the state information (including information for the cookie map table) through the server farm's synchronization hub, as discussed further hereinabove in connection with FIGS. 5 c and 6 .
- the client would establish the second connection of the session with a flow switch, which in turn would send the second connection's request packet to a server as specified by the request packet's HTTP session identifier.
- the client in response to instructions of its application: (a) during the first connection, receives the response packet (which includes the special information) from the first server; (b) if the special information specifies the first server, establishes the second connection of the session directly with the first server; and (c) if the special information specifies a second server (i.e. different than the first server), establishes the second connection of the session directly with the second server (instead of the first server).
- the client in response to instructions of its application is operable to: (a) selectively update state information (stored by the client) in a manner specified by the special information (e.g. for state maintenance); and (b) selectively perform another application specific operation in a manner specified by the special information.
- the first server's iNIC is operable to selectively migrate the session to a second server in response to the synchronized state information.
- the second server's iNIC is operable to either: (a) in response to the synchronized state information, select a suitable server for maintaining the session with the client; or (b) select the second server for maintaining the session with the client, irrespective of the synchronized state information.
- a server's iNIC is operable to selectively migrate a session by outputting special information in a response packet to the client during any connection of the session, not merely during the first connection.
- FIG. 10 a is a sequence diagram of steps for establishing a local TCP/IP connection between a client and a server, according to the illustrative embodiments.
- a client initiates a new connection to a server by sending an IP SYN packet to Port A of the server's iNIC.
- the IP SYN packet is an initialization packet originating from the client.
- the packet is addressed to a particular destination IP address and destination TCP port (e.g. a specific listening socket for an application).
- the iNIC classifies and processes the packet according to the balance thread's classification rules and action code.
- the iNIC in response to instructions of its balance thread creates a connection endpoint and stores a record (in the temporary table of FIG. 12) which includes a reference to such connection endpoint. Also, the iNIC (in response to instructions of its balance thread) sends the SYN packet and a reference to the connection endpoint (stored in the temporary table's record) to the protocol stack thread. In response to the SYN packet, the protocol stack processor outputs a SYN-ACK response packet (as part of the standard TCP/IP socket connection setup process) to the client through Port A without modification. In response to the SYN-ACK response packet, the client sends an ACK packet to the server, thereby acknowledging receipt of the SYN-ACK response packet. Accordingly, the ACK packet originates from the client.
- the ACK packet (and subsequent packets from the client) has a source IP address and source TCP port that match the record in the temporary table. Accordingly, the iNIC (in response to instructions of its balance thread) sends the ACK packet and a reference to the connection endpoint (stored in the temporary table's matching record) to the protocol stack thread. In response to such packet and reference, the protocol stack processor updates the connection endpoint in the iNIC's memory and drops the packet.
- the next packet sent from the client is a client request packet (e.g. the first packet in which the TCP flag is set to PUSH). Accordingly, the client request packet originates from the client.
- the client request packet is sent by the client at a later time.
- the client request packet includes the client request for resource (e.g. GET request using the HTTP protocol).
- the iNIC in response to instructions of its balance thread, selects a server to process the request.
- the iNIC examines the client request packet to determine whether the packet includes special information in the form of a cookie.
- the client is able to request connection to a specified server in the server farm.
- the client is able to insert a cookie in the packet for maintaining an HTTP session (e.g. a series of connections) between the client and the specified server.
- the client is able to pass special information (within a packet to a server) according to the different protocol without a cookie.
- the iNIC selects the cookie's specified server to service the request (including performing a suitable operation).
- the cookie's specified server is the iNIC's server (i.e. the balance thread's server)
- the iNIC performs the suitable operation in response to the packet.
- the cookie's specified server is a different server (i.e. not the balance thread's server)
- the iNIC migrates the packet's associated connection endpoint to the cookie's specified server for performing the suitable operation in response to the packet.
- the iNIC's cookie map table (included within the process information in iNIC memory) stores information for mapping a specified cookie identification tag to an associated server.
- the iNIC examines the client request packet to determine whether information in the packet has been mapped (e.g. by an administrator of the server farm) to one or more associated servers in the server farm. For example, the iNIC examines the client request (e.g. HTTP request) to determine whether a specific URL has been mapped to one or more associated servers in the server farm (e.g. see discussion hereinabove in connection with FIG. 2 d ).
- the iNIC's URL map table (included within the process information in iNIC memory) stores information for mapping a specified URL address of a server application to one or more associated servers within the server farm.
- the iNIC selects the associated server to service the connection (including performing a suitable operation). If the associated server is the iNIC's server, the iNIC performs the suitable operation in response to the request packet. If the associated server is different than the iNIC's server, the iNIC outputs the request packet to the associated server's iNIC for performing the suitable operation in response to the request packet. If the URL map table indicates that the specified URL is associated with multiple servers within the server farm, the iNIC selects one of the multiple servers to service the connection (including performing the suitable operation), according to the load-balancing technique in response to the synchronized state information.
- the iNIC memory's process information includes an SSL (secure socket layer) map table for mapping a specified SSL connection (port 443 ) to one or more associated servers within the server farm.
- the SSL map table indicates that the specified SSL connection (as represented by an identifier in a request packet) is associated with a single server within the server farm, the iNIC selects the associated server to service the SSL connection (including performing a suitable operation). If the associated server is the iNIC's server, the iNIC performs the suitable operation in response to the request packet. If the associated server is different than the iNIC's server, the iNIC outputs the request packet to the associated server's iNIC for performing the suitable operation in response to the request packet. If the SSL map table indicates that the specified SSL connection is associated with multiple servers within the server farm, the iNIC selects one of the multiple servers to service the SSL connection (including performing the suitable operation), according to the load-balancing technique in response to the synchronized state information.
- the iNIC selects a server (to process the request) according to the load-balancing technique in response to the synchronized state information.
- connection is reclassified from being a temporary connection to being either a local connection or a forwarded connection.
- the connection is reclassified to being a local connection if the client request packet is processed by the server (“first server”) without forwarding to a second server.
- the connection is reclassified to being a forwarded connection if the client request packet is forwarded to a second server for processing (e.g. if the first server is too busy, or if the client request is part of a session maintained by the second server).
- connection is reclassified to being a local connection.
- the iNIC in response to instructions of its balance thread moves the associated connection endpoint record from the temporary table to the local table.
- the protocol stack processor establishes the actual connection to the application through the socket layer by forming the socket reference in the connection endpoint and forming the connection endpoint reference in the socket.
- FIG. 14 is a block diagram of servers within a server farm, according to an illustrative embodiment in which the servers establish sockets and associated connection endpoints for a local connection and a forwarded (or “migrated”) connection.
- FIG. 14 shows servers 1 and 2 in the server farm.
- Server 1 includes main board circuitry 1 and iNIC 1 .
- Server 2 includes main board circuitry 2 and iNIC 2 .
- FIG. 14 does not show (a) the complete association between a specific application and a specific socket(s) through a socket layer, which is discussed elsewhere herein in connection with the protocol stack thread, (b) other connections that have already been established, or (c) the association between connection endpoints (e.g. in a doubly linked list) within an iNIC memory.
- connection endpoint 2 (which includes information for the connection) formed as part of the SYN, SYN-ACK, and ACK packet processing of FIG. 10 a .
- connection endpoint 2 is not yet associated with a socket in the socket layer of main board circuitry 1 , so an application has not yet been assigned to process the connection.
- the connection is reclassified to being a local connection if the client request packet is processed by a first server (e.g. server 1 in FIG. 14) without forwarding to a second server (e.g. server 2 in FIG. 14).
- connection is reclassified to being a local connection
- iNIC 1 sends a request to main board circuitry 1 .
- main board circuitry 1 initiates the formation of socket 2 within the socket layer of main board circuitry 1 .
- Socket 2 is associated with the application, connection endpoint 2 , and the client.
- the protocol stack thread receives information from the application (along with a reference to its associated connection endpoint).
- the iNIC in response to instructions of its protocol stack thread, forms a packet by adding suitable header information (including checksum calculations) and sends the packet to the client through Port A.
- the packet sent by the iNIC is received by the client without intervening network address translation (“NAT”) or TCP splicing (e.g. without rewriting of sequence numbers), in contrast to the conventional flow switch architecture of FIG. 1 b.
- NAT network address translation
- TCP splicing e.g. without rewriting of sequence numbers
- the iNIC in response to instructions of its balance thread determines that a source IP address and source TCP port of a packet (originating from the client and received at Port A) match a record in the local table, the iNIC sends the packet and a reference to the connection endpoint (stored in the local table's matching record) to the protocol stack thread.
- the protocol stack processor sends the payload information (destined for the connection endpoint's associated socket application) to the main board circuitry's memory through DMA circuitry (as discussed further hereinabove in connection with FIG. 3).
- the main board circuitry adds the payload information to a socket queue associated with the socket application.
- the protocol stack thread processes the packet without performing NAT or TCP splicing.
- FIG. 10 b is a sequence diagram of steps for establishing a forwarded connection between a client and a server, according to the illustrative embodiments.
- FIG. 10 c is a sequence diagram of steps for processing a forwarded connection with a server, according to the illustrative embodiments.
- a client initiates a new connection to a server by sending an IP SYN packet to Port A of the server's iNIC.
- the iNIC in response to instructions of its balance thread creates a connection endpoint and stores a record (in the temporary table of FIG. 12) which includes a reference to such connection endpoint. Also, the iNIC (in response to instructions of its balance thread) sends the SYN packet and a reference to the connection endpoint (stored in the temporary table's record) to the protocol stack thread. In response to the SYN packet, the protocol stack processor sends a SYN-ACK response packet (as part of the standard TCP/IP socket connection setup process) to the client through Port A without modification.
- the client In response to the SYN-ACK response packet, the client sends an ACK packet to the server, thereby acknowledging receipt of the SYN-ACK response packet.
- the ACK packet (and subsequent packets from the client) has a source IP address and source TCP port that match the record in the temporary table.
- the iNIC in response to instructions of its balance thread, sends the ACK packet and a reference to the connection endpoint (stored in the temporary table's matching record) to the protocol stack thread.
- the protocol stack processor updates the connection endpoint in the iNIC's memory and drops the packet.
- the next packet sent from the client is a client request packet.
- the iNIC in response to instructions of its balance thread, selects a server to process the request, in the same manner as discussed further hereinabove in connection with FIG. 10 a . If the iNIC selects a different server (i.e. not the balance thread's server), the iNIC migrates the packet's associated connection endpoint to the different server, and the connection is reclassified to being a forwarded connection.
- connection endpoint 3 (which includes information for the connection) formed as part of the SYN, SYN-ACK, and ACK packet processing of FIG. 10 b .
- connection endpoint 3 is not yet associated with a socket in the socket layer of main board circuitry 1 , so an application has not yet been assigned to process the connection.
- connection endpoint B For clarity, on iNIC 2 , the migrated connection endpoint 3 is denoted as connection endpoint B in FIG. 14.
- connection endpoint 3 In migrating connection endpoint 3 from iNIC 1 to iNIC 2 , iNIC 1 prepends connection endpoint 3 with an ipOS encapsulation header to form an ipOS encapsulated packet, which iNIC 1 outputs through its Port B to iNIC 2 , as discussed further hereinbelow in connection with FIGS. 11 a - i.
- connection endpoint B includes a copy of information from connection endpoint 3 and additional information such as server 1 's IP address and the destination TCP port of the client request.
- the encapsulation header's type field is set to 0 ⁇ 01.
- iNIC 2 in response to receiving such an ipOS encapsulated packet at Port B of iNIC 2 , iNIC 2 (in response to rules code of its forward thread) (a) determines that such packet is a migration of a connection endpoint, (b) unpacks the packet, and (c) sends the connection endpoint to the protocol stack thread. Also, in such a situation, iNIC 2 (a) establishes connection endpoint B and (b) in response to instructions of its protocol stack thread, sends a request to main board circuitry 2 . In response to such request, main board circuitry 2 initiates the formation of socket B within the socket layer of main board circuitry 2 .
- Socket B is associated with the application, connection endpoint B, and the client.
- the protocol stack processor of iNIC 2 establishes the actual connection to the application through the socket layer of main board circuitry 2 by storing the socket reference within connection endpoint B and storing the connection endpoint reference within socket B.
- the forward-connect table of iNIC 2 it stores a record which includes a reference to connection endpoint B.
- iNIC 2 After storing such record in its forward-connect table, iNIC 2 (in response to instructions of its forward thread) forms an encapsulated acknowledgement packet and outputs such packet to iNIC 1 through Port B as a verification that the connection endpoint was successfully migrated to iNIC 2 .
- the encapsulation header's type field is set to 0 ⁇ 03.
- the encapsulated acknowledgement packet is received by iNIC 1 (at its Port B), which processes the packet as discussed further hereinabove in connection with FIG. 9 b (including moving the associated connection endpoint record from the temporary table of iNIC 1 to the forward table of iNIC 1 ).
- the client is unaware of the connection endpoint migration from iNIC 1 to iNIC 2 . Accordingly, the client sends packets (of the connection) addressed to server 1 instead of server 2 . Examples of such packets (originating from the client) include TCP/IP packets with PUSH, ACK or FIN flags set.
- packets originating from the client
- Examples of such packets include TCP/IP packets with PUSH, ACK or FIN flags set.
- FIG. 9 a (a) such a packet's source IP address and source TCP port match a record in the forward table of iNIC 1 , (b) in response to such match, iNIC 1 encapsulates such packet with an encapsulation header (whose type field is set to 0 ⁇ 02), as discussed further hereinbelow in connection with FIGS.
- the forwarding processor of iNIC 1 sends (through Port B) the encapsulated packet to iNIC 2 , which processes (e.g. performs an operation in response to) such packet as discussed further hereinabove in connection with FIG. 9 b .
- the original IP packet is not rewritten (e.g. without NAT or TCP splicing).
- the client receives packets (of the connection) which appear to be sent from server 1 instead of server 2 (even though such packets bypass server 1 and, instead, are sent from server 2 ).
- Server 2 achieves such a result by specifying (in such packets) a source IP address of server 1 instead of server 2 , plus the sequence numbers associated with the connection.
- server 2 's iNIC avoids NATs and TCP splicing, because server 2 's iNIC forms a response packet according to the addresses of server 1 and the client and sequence numbers associated with the connection between the client and server 2 .
- packets are sent to the protocol stack thread from an application (en route to Port A of iNIC 2 ).
- the socket includes a connection endpoint reference, so a packet sent to the protocol stack thread is accompanied by a reference to the packet's associated connection endpoint, and the protocol stack thread does not perform connection endpoint searching.
- the protocol stack processor sends the packet to a client through Port A without TCP splicing or packet rewriting.
- the packet is received by the client without intervening TCP splicing or NAT, in contrast to the conventional flow switch architecture of FIG. 1 b.
- a content aware flow switch performs a “connection spoof” in which a connection is established between the client and the flow switch.
- Such a connection is conventionally referred to as a delayed bind and operates to delay selection of a server in the server farm until the client request packet is received by the flow switch.
- the flow switch After the flow switch receives the client request packet, the flow switch selects a server to process the client request. After selecting a server, the flow switch establishes another connection between the flow switch and the selected server. Accordingly, for processing the client request, the flow switch maintains two connections, namely (a) a first connection between the client and the flow switch and (b) a second connection between the flow switch and the selected server.
- packets between the client and the selected server are passed through the flow switch.
- the client does not establish a direct connection with the selected server.
- the flow switch manipulates (e.g. rewrites) the packets in the course of performing “translation” operations such as TCP splicing, NATs, and checksum calculations.
- connection spoof By comparison, the illustrative embodiments do not perform such a “connection spoof.” Instead, the illustrative embodiments perform a delayed connection endpoint to application socket bind.
- the illustrative embodiments after performing such bind (or “association”) between the connection endpoint and application socket, send packets between the client and the selected server without TCP splicing or NATs.
- a server's iNIC in response to instructions of its ipOS remains operable to selectively migrate the connection endpoint during the same connection (e.g. before closing the TCP or UDP connection).
- a first server's iNIC (in response to instructions of its ipOS) remains operable to selectively migrate the connection endpoint to a second server's iNIC in response to (a) the request packet(s) received from the client, (b) the synchronized state information (which is discussed further hereinabove such as in connection with FIG. 6) of servers in the server farm, and/or (c) a command received at Port B of the first server's iNIC from a system administrator (e.g. in the course of performing server maintenance).
- a client in response to instructions of its application, such as an Internet gaming application sends first and second request packets to a first server
- the first server's iNIC in response to instructions of its ipOS is operable to selectively classify the connection as a local connection and process it accordingly, as discussed further hereinabove in connection with FIGS. 10 a and 14
- the first server's iNIC in response to instructions of its ipOS remains operable to selectively migrate the connection endpoint to a second server's iNIC.
- the first server's iNIC After performing a connection endpoint to application socket bind, in migrating the connection endpoint from the first server's iNIC to the second server's iNIC, the first server's iNIC: (a) removes the association between (or “disassociates”) the connection endpoint and the first server's application socket; and (b) through Port B, migrates the connection endpoint to the second server's iNIC, as discussed further herein in connection with FIGS. 10 b - c , 13 and 14 .
- a first server's iNIC in response to instructions of its ipOS is operable to selectively migrate the connection endpoint to a second server's iNIC.
- the second server's iNIC performs a connection endpoint to application socket bind at the second server.
- the second server's iNIC is operable to selectively: (a) maintain the connection endpoint to application socket bind at the second server; or (b) in response to a request from the first server's iNIC (via its Port B) to the second server's iNIC (via its Port B), or vice versa, migrate the connection endpoint back to the first server's iNIC; or (c) in response to a request from the first server's iNIC (via its Port B) to the second server's iNIC (via its Port B), or vice versa, migrate the connection endpoint to a third server's iNIC.
- the second server's iNIC In migrating the connection endpoint from the second server's iNIC back to the first server's iNIC, the second server's iNIC: (a) removes the association between the connection endpoint and the second server's application socket; (b) removes the matching connection endpoint record in the forward-connect table of the second server's iNIC; and (c) through Port B, migrates the connection endpoint to the first server's iNIC, similar to the manner discussed further herein in connection with FIGS. 10 b - c , 13 and 14 . However, in such migration, the first server's iNIC stores the matching connection endpoint record in its local table instead of its forward-connect table. Moreover, the first server's iNIC removes the matching record in the forward table of the first server's iNIC.
- the second server's iNIC In migrating the connection endpoint from the second server's iNIC to a third server's iNIC, the second server's iNIC: (a) removes the association between the connection endpoint and the second server's application socket; (b) removes the matching connection endpoint record in the forward-connect table of the second server's iNIC; (c) modifies the connection endpoint to specify the IP address and TCP port of the third server's iNIC instead of the second server's iNIC and (d) through Port B, migrates the connection endpoint to the third server's iNIC, similar to the manner discussed further herein in connection with FIGS. 10 b - c , 13 and 14 .
- the first server's iNIC modifies the matching record in the forward table of the first server's iNIC to specify the IP address and TCP port of the third server's iNIC instead of the second server's iNIC and (b) modifies the connection endpoint to specify the IP address and TCP port of the third server's iNIC instead of the second server's iNIC.
- FIG. 11 a is a conceptual illustration of a conventional Ethernet encapsulation header.
- the header includes 14 bytes of information.
- the first field (6 bytes) specifies a 48-bit destination address
- the second field (6 bytes) specifies a 48-bit source address
- the last field (2 bytes) specifies a type of information within the packet (i.e. the packet to which the header is appended).
- the header of FIG. 11 a is conventional, it has an unconventional aspect in which a type of 0 ⁇ 007 indicates that the packet includes ipOS encapsulation information.
- the ipOS encapsulation protocol is advantageous for sending packets through Port B from a first server in the server farm to a second server in the server farm.
- the first server (with its iNIC's forwarding processor) splices encapsulation headers to packets that are sent through its iNIC's Port B to the second server's iNIC.
- the first server (with its iNIC's forwarding processor) splices encapsulation headers to packets that are sent through its iNIC's Port B to the second server's iNIC.
- the first iNIC in migrating a connection endpoint from a first iNIC (of a first server) to a second iNIC (of a second server), the first iNIC (with its forwarding processor) prepends the connection endpoint with an ipOS encapsulation header to form an ipOS encapsulated packet, which the first iNIC sends through its Port B to the second iNIC.
- iNICs communicate packets to one another through Port B according to the Ethernet protocol. Accordingly, a packet encapsulated according to the ipOS encapsulation protocol (“ipOS encapsulated packet”) is further encapsulated by an Ethernet encapsulation header that specifies a type of 0 ⁇ 007. Additional elements of the ipOS encapsulation protocol are discussed hereinbelow in connection with FIGS. 11 b - i.
- FIG. 11 b is a conceptual illustration of an ipOS encapsulation header, according to the illustrative embodiments. As shown in FIG. 11 b, the header includes 16 bytes of information. Such a header is useful for migrating a connection endpoint from a first iNIC (of a first server) to a second iNIC (of a second server).
- the first field (4 bytes) specifies a source IP address of a client
- the second field (2 bytes) specifies a source port (which is a TCP or UDP port) of the client application which is executed by the client.
- the third field (4 bytes) specifies a destination IP address of the second server
- the fourth field (2 bytes) specifies a destination port (which is a TCP or UDP port) of the server application which is executed by the second server.
- the fifth field (1 byte) specifies a type of information within the packet (i.e. the packet to which the header is appended).
- a type of 0 ⁇ 01 indicates that the packet includes connection endpoint information (e.g. see FIGS. 11 c , 11 d, 11 e and 11 f ) that is being migrated to the second server.
- a type of 0 ⁇ 02 indicates that the packet includes an IP packet (e.g. see FIGS. 11 g and 11 h ).
- a type of 0 ⁇ 03 indicates that the packet includes a verification that a connection endpoint was successfully migrated to the first server's iNIC (e.g. see FIG. 11 i ).
- the sixth field (1 byte) specifies a type of protocol for communicating information between a client and a server. For example, a protocol of 0 ⁇ 01 indicates that the IP packet includes a TCP payload. By comparison, a protocol of 0 ⁇ 02 indicates that the IP packet includes a UDP payload.
- the last field (2 bytes) specifies a checksum for verifying the packet header.
- connection endpoint specifies the (a) IP address of the client, (b) port (which is a TCP or UDP port) of the client application which is executed by the client, (c) IP address of the first server, (d) port (which is a TCP or UDP port) of the associated server application (“first server application”) that is executed by the first server (“first server application's port”), (e) IP address of the second server, and (f) port (which is a TCP or UDP port) of the associated server application (“second server application”) that is executed by the second server (“second server application's port”).
- the first server application is not necessarily identical to the second server application, and the first server application's port is not necessarily identical to the second server application's port.
- the connection endpoint is identifiable in response to the (a) IP address of the client, (b) port (which is a TCP or UDP port) of the client application which is executed by the client, (c) IP address of the second server, and (d) port (which is a TCP or UDP port) of the server application which is executed by the second server.
- the forward table (FIG. 12) includes sufficient information for identifying the connection endpoint associated with the packet. In that manner, such information operates as a reference to the connection endpoint. Likewise, sufficient information (for operating as a reference to the connection endpoint associated with the packet) is included within the single ipOS encapsulation header of FIG. 11 b , so that the second iNIC identifies the connection endpoint in response to the single ipOS encapsulation header. In that manner, the second iNIC (with its protocol stack processor in response to instructions of its protocol stack thread) processes the packet more efficiently in accordance with the packet's associated connection endpoint.
- the second iNIC more readily and efficiently distinguishes between packets that are received from the first iNIC (through Port B) versus packets that are received from a client (through Port A).
- the ipOS encapsulation header of FIG. 11 b is superior to IP-IP encapsulation.
- the second iNIC would execute additional protocol stack instructions to identify the connection endpoint.
- the network processor (discussed further hereinabove, such as in connection with FIGS. 5 a - c, 8 and 9 a - c ) identifies the connection endpoint associated with the packet. Accordingly, the network processor sends the packet and a reference to the connection endpoint to the protocol stack processor (which executes the protocol stack thread), as discussed further hereinabove. In that manner, the protocol stack processor's efficiency is enhanced.
- FIG. 11 c is a conceptual illustration of ipOS connection information for migration of a UDP connection endpoint, according to the illustrative embodiments.
- the information includes 6 bytes.
- the first field (4 bytes) specifies a source IP address of a first server
- the second field (2 bytes) specifies a source UDP port of the first server, which received the SYN packet from the client.
- the ipOS encapsulation header, together with the UDP ipOS connection information of FIG. 11 c is sufficient information for a second server (receiving such information) to establish a UDP connection endpoint.
- FIG. 11 d is a conceptual illustration of ipOS connection information for migration of a TCP connection endpoint, according to the illustrative embodiments.
- the information includes 146 bytes.
- the first field (4 bytes) specifies a source IP address of a first server
- the second field (2 bytes) specifies a source TCP port of the first server, which received the SYN packet from the client.
- the last field (140 bytes) specifies additional information for the TCP connection endpoint, such as information for output sequence variables, receive sequence variables, transmit timing variables, out-of-bound variables, and other suitable information.
- the ipOS encapsulation header, together with the TCP ipOS connection information of FIG. 11 d is sufficient information for a second server (receiving such information) to establish a TCP connection endpoint.
- FIG. 11 e is a conceptual illustration of an ipOS TCP connection endpoint packet, according to the illustrative embodiments.
- the packet includes 176 bytes.
- the first field (14 bytes) specifies an Ethernet encapsulation header (that specifies a type of 0 ⁇ 007) according to FIG. 11 a
- the second field (16 bytes) specifies an ipOS encapsulation header according to FIG. 11 b .
- the last field (146 bytes) specifies TCP ipOS connection information according to FIG. 11 d.
- the ipOS encapsulation header specifies a type of 0 ⁇ 01 and a protocol of 0 ⁇ 01.
- FIG. 11 f is a conceptual illustration of an ipOS UDP connection endpoint packet, according to the illustrative embodiments.
- the packet includes 36 bytes.
- the first field (14 bytes) specifies an Ethernet encapsulation header (that specifies a type of 0 ⁇ 007) according to FIG. 11 a
- the second field (16 bytes) specifies an ipOS encapsulation header according to FIG. 11 b .
- the last field (6 bytes) specifies UDP ipOS connection information according to FIG. 11 c.
- the ipOS encapsulation header specifies a type of 0 ⁇ 01 and a protocol of 0 ⁇ 02.
- FIG. 11 g is a conceptual illustration of a packet having an IP/TCP payload, according to the illustrative embodiments.
- the packet includes 70 bytes, plus the number of bytes of information in the TCP payload.
- the number of bytes of information in the TCP payload varies according to the type and protocol that are specified by the ipOS encapsulation header.
- the first field (14 bytes) specifies an Ethernet encapsulation header (that specifies a type of 0 ⁇ 007) according to FIG. 11 a
- the second field (16 bytes) specifies an ipOS encapsulation header according to FIG. 11 b .
- the ipOS encapsulation header specifies a type of 0 ⁇ 02 and a protocol of 0 ⁇ 01.
- FIG. 11 h is a conceptual illustration of a packet having an IP/UDP payload, according to the illustrative embodiments.
- the packet includes 58 bytes, plus the number of bytes of information in the UDP payload.
- the number of bytes of information in the UDP payload varies according to the type and protocol that are specified by the ipOS encapsulation header.
- the first field (14 bytes) specifies an Ethernet encapsulation header (that specifies a type of 0 ⁇ 007) according to FIG. 11 a
- the second field (16 bytes) specifies an ipOS encapsulation header according to FIG. 11 b .
- the ipOS encapsulation header specifies a type of 0 ⁇ 02 and a protocol of 0 ⁇ 02.
- FIG. 11 i is a conceptual illustration of a connection endpoint migration acknowledgement packet, which is a verification that a connection endpoint was successfully migrated to the iNIC of the server which sent the connection endpoint migration acknowledgement packet, according to the illustrative embodiments.
- the packet includes 30 bytes.
- the first field (14 bytes) specifies an Ethernet encapsulation header (that specifies a type of 0 ⁇ 007) according to FIG. 11 a
- the second field (16 bytes) specifies an ipOS encapsulation header according to FIG. 11 b .
- the ipOS encapsulation header specifies a type of 0 ⁇ 03.
- FIG. 15 is a block diagram of a server farm including a deployment workstation for deploying application processes and associated software component objects to servers within the server farm, according to the illustrative embodiments.
- the illustrative embodiments achieve an improved overall use of the server farm's resources for applications.
- such an improved overall use of the server farm's resources is optional for other portions of the illustrative embodiments (e.g. client request load-balancing).
- the server farm architecture of the illustrative embodiments enables an application-aware server farm.
- Such an application-aware server farm includes a distributed system of iNICs (executing the ipOS) that are aware of the state of applications executing on servers within the server farm, as discussed further hereinabove in connection with the Synch Port.
- the iNICs execute the ipOS as a distributed system (“ipOS distributed operations system”) in coordination with one another to improve overall use of the server farm's resources.
- the ipOS distributed operations system achieves two primary objectives in deploying and executing applications within the server farm.
- the ipOS distributed operations system achieves an improved dynamic deployment of socket application processes on the server farm. Accordingly, the ipOS distributed operations system selects a server for executing a particular application process, along with the timing of such execution.
- the illustrative embodiments are compatible with conventional techniques in development of applications (and associated software component objects) deployed within a server farm for IP networks.
- a conventional development cycle involves the development of an application with reusable software objects (or component objects) that are deployed in a middleware component model, such as the development of an application process that calls service objects deployed in a middleware component model.
- middleware component models include Microsoft's Transaction Server (available from www.microsoft.com) and BEA's WebLogic Server (available from www.BEA.com).
- the server farm includes an additional workstation, denoted as a deployment workstation. Nevertheless, the addition of the deployment workstation is optional in a situation where a server in the server farm performs the same or similar operation of the deployment workstation.
- the deployment workstation operates as a central location (or repository) for deploying application processes and associated software component objects within the server farm.
- ipOS deployment software includes the repository of application process executables (i.e. software instructions that are executable by a processor) and associated software component object executables.
- the deployment workstation (a) selectively groups various application process executables and associated component object executables with one another into application packages and (b) makes the application packages available for deployment to servers in the server farm.
- the deployment workstation deploys an executable to a server in response to a request from either a user (e.g. network administrator), the server's iNIC (in response to instructions of its ipOS), or another server's iNIC (in response to instructions of its ipOS).
- the deployment workstation deploys applications to servers within the server farm in accordance with FIG. 2 d and its associated discussion.
- servers 1 through n in the server farm are configurable as shown in FIGS. 2 a - c , but actual connections are not shown in FIG. 15 for clarity.
- the deployment workstation is coupled to servers 1 through n through the deployment workstation's iNIC.
- the deployment workstation is connected to an IP network.
- the processor of the deployment workstation's main board circuitry executes the ipOS deployment software, which is written with conventional programming techniques.
- the ipOS deployment software includes software for managing application process executables and associated software component object executables (e.g. application packages) to improve overall use of the server farm's resources.
- the deployment workstation deploys the application process executables and component object executables (e.g. an application package) to servers in the server farm.
- the deployment workstation In performing its operations, the deployment workstation (in response to instructions of the ipOS deployment software) communicates indirectly with an ipOS component object model which is executed by the processor of a server's main board circuitry.
- the server receives and stores copies of application process executables and component object executables (e.g. application packages) from the deployment workstation.
- FIG. 15 shows two examples of an application package being sent from the deployment workstation to an ipOS component object model.
- the deployment workstation's main board circuitry in response to instructions of the ipOS deployment software, sends a first request (e.g. for sending an application package) to the deployment workstation's iNIC (e.g. triggered in response to a request from a network administrator).
- a first request e.g. for sending an application package
- the deployment workstation's iNIC in response to instructions of its ipOS
- server 1 's iNIC in response to instructions of its ipOS
- server 1 's iNIC in response to instructions of its ipOS sends an associated third request to the ipOS component object model of the main board circuitry of server 1 .
- the deployment workstation (in response to instructions of the ipOS deployment software) sends the application package to the ipOS component object model of server 1 through the respective iNICs of the deployment workstation and server 1 .
- the iNIC of server 1 stores a record of the availability of the executables (e.g. one or more application processes and/or component objects).
- the deployment workstation (in response to instructions of the ipOS deployment software) sends process performance information to notify iNICs about application processes and component objects that are stored by particular servers for execution.
- the deployment workstation sends such process performance information to the iNICs of servers within the server farm, in addition to the process instances that are output during synchronization (which is discussed further hereinabove such as in connection with FIG. 6).
- the process instances represent a current state of processes that are already being executed by servers in the server farm.
- the process instances and process performance information are advertised by iNICs (of servers in the server farm) to one another, as discussed further hereinabove such as in connection with FIG. 6.
- the iNIC of server n (in response to instructions of its ipOS) sends a first request (e.g. for sending an application package) to the deployment workstation's iNIC (e.g. triggered in response to an application load-balancing process of the ipOS of server n's iNIC).
- the deployment workstation's iNIC (in response to instructions of its ipOS) sends an associated second request to the deployment workstation's main board circuitry.
- the deployment workstation's main board circuitry sends an associated third request (e.g. for sending the application package) to the deployment workstation's iNIC.
- the deployment workstation's iNIC in response to instructions of its ipOS sends an associated fourth request to server 2 's iNIC.
- server 2 's iNIC in response to instructions of its ipOS sends an associated fifth request to the ipOS component object model of the main board circuitry of server 2 .
- the deployment workstation (in response to instructions of the ipOS deployment software) sends the application package to the ipOS component object model of server 2 through the respective iNICs of the deployment workstation and server 2 .
- the iNIC of server 2 stores a record of the availability of the executables (e.g. one or more application processes and/or component objects).
- the deployment workstation (in response to instructions of the ipOS deployment software) sends process performance information to notify iNICs about application processes and component objects that are stored by particular servers for execution.
- FIG. 16 is a block diagram of servers within a server farm, according to an illustrative embodiment in which a server 1 selectively initiates execution of (or “spawns”) an application process that is stored by a server 2 .
- FIG. 17 is a block diagram of servers within a server farm, according to an illustrative embodiment in which a server 1 selectively spawns an object that is stored by a server 2 .
- the ipOS distributed operations system performs operations for improving overall use of the server farm's resources for application processes and objects.
- server 1 executes m application processes (where m is an integer number).
- the main board circuitry's processor (in response to instructions of its OS) manages the state of such application processes.
- the iNIC of server 1 determines whether to spawn an application process (e.g. process 1 ) on another server (e.g. server 2 ), as for example to support additional resources for process 1 executing on server 1 .
- the iNIC of server 1 (in response to instructions of its ipOS) makes such determination in response to information stored within its server state table (see FIG. 12).
- the iNIC (in response to instructions of its ipOS) performs load-balancing of application processes within the server farm in response to the synchronized state information.
- the iNIC of server 1 sends a request to the iNIC of server 2 to spawn process 1 on server 2 .
- the iNIC of server 2 (in response to instructions of its ipOS) sends the request to the ipOS component object model of server 2 to spawn process 1 .
- the ipOS component object model sends the request to the OS which is executing on the main board circuitry of server 2 , and the OS spawns process 1 (e.g. loads the executable of process 1 into the main board circuitry's memory for execution) on server 2 (which executes n application processes, where n is an integer number).
- the ipOS component object model of server 1 stores information for execution of q objects, where q is an integer number.
- process 1 of server 1 sends a request to the ipOS component object model of server 1 for execution of an object 1 .
- object 1 may perform a database operation.
- the ipOS component object model of server 1 determines whether to spawn object 1 on server 1 or another server (e.g. server 2 ). For making such determination, the iNIC (in response to instructions of its ipOS) sends information to the ipOS component object model, such as (a) the state of other servers in the server farm and (b) whether particular servers store particular objects. In response to such information, the ipOS component object model performs load-balancing of objects within the server farm in response to the synchronized state information.
- the ipOS component object model performs load-balancing of objects within the server farm in response to the synchronized state information.
- the ipOS component object model of server 1 determines to spawn object 1 on server 2 , it sends a request to the iNIC of server 1 . Accordingly, the iNIC of server 1 (in response to instructions of its ipOS) sends the request to the iNIC of server 2 . In response to the request, the iNIC of server 2 (in response to instructions of its ipOS) sends the request to the ipOS component object model of server 2 (which stores information for execution of r objects, where r is an integer number), and the ipOS component object model of server 2 spawns object 1 (e.g. loads the executable of object 1 into the main board circuitry's memory for execution) on server 2 (on behalf of process 1 of server 1 ), independent of a type of application that is associated with the object.
- the ipOS component object model of server 1 determines to spawn object 1 on server 2 , it sends a request to the iNIC of server 1 . Accordingly, the iNIC of server
- the respective iNICs of server 1 and server 2 coordinate the communication of information between process 1 of server 1 and object 1 executing on server 2 . Accordingly, information from process 1 to object 1 is sent from process 1 to object 1 through the iNIC of server 1 and the iNIC of server 2 , and vice versa.
- redundant service objects e.g. shadow objects
- a shadow object is a duplicate of a primary service object that is spawned by an application process. During execution, the shadow object maintains the same state as the primary service object.
- a server failure is more easily recoverable. For example, if execution of a primary service object fails (e.g. due to a fault in the primary service object's server), the shadow object is available to replace the primary service object in continuing such execution. This feature is especially advantageous for service objects that maintain state during an extended period of time (e.g. multi-player game objects).
- the deployment workstation (in response to instructions of the ipOS deployment software) sends a request to a server for deploying a shadow object.
- the server deploys the shadow object with the server's ipOS component object model. For example, referring to FIG. 17, even if the ipOS component object model of server 1 determines to spawn a primary service object 1 on server 1 , the ipOS component object model of server 1 is operable to spawn a shadow object 1 on server 2 , thereby achieving a level of fault tolerance.
- an application process requesting a service object is unaware that a shadow object has been spawned (and likewise is unaware of where the shadow object has been spawned).
- the ipOS component object model is responsible for spawning and maintaining primary service objects and shadow objects.
- the iNIC in response to instructions of its ipOS, sends information to the ipOS component object model, such as (a) the state of other servers in the server farm and (b) whether particular servers store particular objects.
- Each computer system of the illustrative embodiments includes (a) optionally, input devices for receiving information from a human user, (b) optionally, a display device (e.g. a conventional electronic cathode ray tube (“CRT”) device) for displaying information to the user, (c) a computing device (e.g. iNIC) for executing and otherwise processing instructions, (d) optionally, a nonvolatile storage device (e.g. a hard disk drive or other computer-readable medium (or apparatus), as discussed further hereinbelow) for storing information, and (e) various other electronic circuitry for performing other operations of the computer system.
- a display device e.g. a conventional electronic cathode ray tube (“CRT”) device
- a computing device e.g. iNIC
- a nonvolatile storage device e.g. a hard disk drive or other computer-readable medium (or apparatus), as discussed further hereinbelow
- various other electronic circuitry for performing other operations of the computer system.
- the computing device includes a memory device (e.g. random access memory (“RAM”) device and read only memory (“ROM”) device) for storing information (e.g. instructions executed by the computing device and data operated on by the computing device in response to such instructions).
- the computing device is connected to the input devices, the display device, and the computer-readable medium.
- the illustrative embodiments are independent of current computer architectures and methods of connecting devices (e.g. PCI bus).
- the illustrative embodiments are compatible with emerging techniques for connecting computing devices (e.g. Infiniband).
- the display device displays visual images in response to signals from the computing device, and the user views such visual images. If the computing device is connected to the input devices, the user operates the input devices in order to output information to the computing device, and the computing device receives such information from the input devices.
- the input devices include, for example, a conventional electronic keyboard or keypad and a pointing device such as a conventional electronic “mouse,” rollerball, or light pen.
- a pointing device such as a conventional electronic “mouse,” rollerball, or light pen.
- the user operates the keyboard or keypad to output alphanumeric text information from the keyboard.
- the computing device is connected to the pointing device, the user operates the pointing device to output cursor-control information to the computing device, and the computing device receives such cursor-control information from the pointing device.
- the computing device is connected to (or includes) a computer-readable medium
- the computing device and computer-readable medium are structurally and functionally interrelated with one another as discussed further hereinbelow.
- the computer-readable medium stores (or encodes, or records, or embodies) functional descriptive material (e.g. including but not limited to software (also referred to as computer programs or applications) and data structures).
- functional descriptive material imparts functionality when encoded on the computer-readable medium.
- functional descriptive material is structurally and functionally interrelated to the computer-readable medium.
- data structures define structural and functional interrelationships between such data structures and the computer-readable medium (and other aspects of the computing device and the computer system). Such interrelationships permit the data structures' functionality to be realized.
- computer programs define structural and functional interrelationships between such computer programs and the computer-readable medium (and other aspects of the computing device and the computer system). Such interrelationships permit the computer programs' functionality to be realized.
- the computing device reads (or accesses, or copies) such functional descriptive material from the computer-readable medium into the memory device of the computing device, and the computing device performs its operations (as discussed elsewhere herein) in response to such material which is stored in the memory device of the computing device. More particularly, the computing device performs the operation of processing a computer application (that is stored, encoded, recorded or embodied on a computer-readable medium) for causing the computing device to perform additional operations (as discussed elsewhere herein). Accordingly, such functional descriptive material exhibits a functional interrelationship with the way in which the computing device executes its processes and performs its operations.
- the computer-readable medium is an apparatus from which the computer application is accessible by the computing device, and the computer application is processable by the computing device for causing the computing device to perform such additional operations.
- the computing device is capable of reading such functional descriptive material from (or through) a network which is also a computer-readable medium (or apparatus).
- the memory device of the computing device is itself a computer-readable medium (or apparatus).
Landscapes
- Engineering & Computer Science (AREA)
- Computer Networks & Wireless Communication (AREA)
- Signal Processing (AREA)
- Computer Security & Cryptography (AREA)
- Computer Hardware Design (AREA)
- General Engineering & Computer Science (AREA)
- Data Exchanges In Wide-Area Networks (AREA)
Abstract
Description
- This application claims priority to U.S. Provisional Patent Application No. 60/257,456, filed Dec. 21, 2000, entitled SYSTEM AND METHOD FOR COMMUNICATING BETWEEN CLIENT AND SERVER COMPUTING DEVICE APPLICATIONS AND ENHANCING SERVER FARM RESOURCE UTILIZATION, naming Mitchell T. Berg as inventor.
- This application relates to co-pending U.S. patent applications (a) Ser. No. ______, entitled METHOD AND SYSTEM FOR COMMUNICATING AN INFORMATION PACKET THROUGH MULTIPLE NETWORKS, (b) Ser. No. ______, entitled METHOD AND SYSTEM FOR COMMUNICATING A REQUEST PACKET IN RESPONSE TO A STATE, (c) Ser. No. ______, entitled METHOD AND SYSTEM FOR COMMUNICATING AN INFORMATION PACKET AND IDENTIFYING A DATA STRUCTURE, (d) Ser. No. ______, entitled METHOD AND SYSTEM FOR INITIATING EXECUTION OF SOFTWARE IN RESPONSE TO A STATE, (e) Ser. No. ______, entitled METHOD AND SYSTEM FOR ESTABLISHING A DATA STRUCTURE OF A CONNECTION WITH A CLIENT, (f) Ser. No. ______, entitled METHOD AND SYSTEM FOR IDENTIFYING A COMPUTING DEVICE IN RESPONSE TO A REQUEST PACKET, and (g) Ser. No. ______, entitled METHOD AND SYSTEM FOR EXECUTING PROTOCOL STACK INSTRUCTIONS TO FORM A PACKET FOR CAUSING A COMPUTING DEVICE TO PERFORM AN OPERATION. Each of these co-pending applications is filed concurrently herewith, names Mitchell T. Berg as inventor, is incorporated herein by reference in its entirety, and is assigned to the assignee of this application.
- This description relates in general to information processing systems, and in particular to a server farm information processing system and method of operation.
- A software application can be deployed through a global computer network, such as an Internet Protocol (“IP”) global computer network (e.g. the Internet or an intranet). Such applications include IP socket-based software applications (e.g. web site application or Internet gaming site application). For deploying an application through a global computer network, a client computer system (“client”) communicates with at least one server computer system (“server) through the global computer network.
- Accordingly, the server stores and executes the deployed application, which is used by the client through the global computer network. In such a manner, one or more applications can be deployed by the server through the global computer network. If the application (or group of applications) is large, or is used by a large number of clients, then a group of servers (“server farm”) stores and executes the application.
- A conventional server farm is coupled through a flow switch to the global computer network (and, accordingly, to clients that are coupled to the global computer network). Through the flow switch, a client and the server farm communicate packets of information (“information packets”) to one another. As a conduit between clients and the server farm, the flow switch has various shortcomings which reduce the overall performance and efficiency of deploying software applications with the server farm through the global computer network.
- Accordingly, a need has arisen for a server farm information processing system and method of operation, in which overall performance and efficiency are enhanced of deploying software applications with a server farm through a global computer network.
- According to one embodiment, a first computing device receives a first information packet from a second computing device. The second computing device receives the first information packet from a global computer network through a first router device. The first computing device outputs a second information packet to the global computer network through a second router device, such that the second information packet bypasses the first router device.
- A principal advantage of these embodiments is that various shortcomings of previous techniques are overcome. For example, a principal advantage of these embodiments is that overall performance and efficiency are enhanced of deploying software applications with a server farm through a global computer network.
- FIG. 1 a is a block diagram of a conventional system for processing information with client and server computer systems that communicate with one another through an Internet Protocol (“IP”) global computer network.
- FIG. 1 b is a block diagram of a conventional system for processing information with a server farm and a client computer system that communicate with one another through a global computer network with IP socket-based applications.
- FIG. 2 a is a block diagram of a system for processing information with a server farm, according to a first illustrative embodiment.
- FIG. 2 b is a block diagram of a system for processing information with a server farm, according to a second illustrative embodiment.
- FIG. 2 c is a block diagram of a system for processing information with a server farm, according to a third illustrative embodiment.
- FIG. 2 d is a block diagram of a system for processing information with a server farm, according to a fourth illustrative embodiment.
- FIG. 3 is a block diagram of an intelligent network interface controller (“iNIC”) circuitry and main board circuitry of a server of a server farm, according to the illustrative embodiments.
- FIG. 4 a is a block diagram of a system for processing information with a server farm, according to an illustrative embodiment in which a first server forwards packets for processing by a second server.
- FIG. 4 b is a block diagram of the system of FIG. 4a, according to an illustrative embodiment in which the second server processes packets without forwarding to the first server.
- FIG. 5 a is a block diagram of the iNIC and main board circuitry of FIG. 3, according to an illustrative embodiment in which the iNIC processes information received and output through a Port A.
- FIG. 5 b is a block diagram of the iNIC and main board circuitry of FIG. 3, according to an illustrative embodiment in which the iNIC processes information received through a Port B.
- FIG. 5 c is a block diagram of the iNIC and main board circuitry of FIG. 3, according to an illustrative embodiment in which the iNIC processes information received and output through a Synch Port.
- FIG. 6 is a conceptual illustration of information stored in a memory of the representative iNIC of FIG. 3.
- FIG. 7 is a block diagram of a system for processing information with a server farm, according to an illustrative embodiment in which three servers perform load-balancing of client requests.
- FIG. 8 is a data flow diagram of process threads executed by the representative iNIC of FIG. 3.
- FIG. 9 a is a flowchart of a balance thread of FIG. 8.
- FIG. 9 b is a flowchart of a forward thread of FIG. 8.
- FIG. 9 c is a flowchart of a synchronization thread of FIG. 8.
- FIG. 10 a is a sequence diagram of steps for establishing a local connection between a client and a server, according to the illustrative embodiments.
- FIG. 10 b is a sequence diagram of steps for establishing a forwarded connection between a client and a server, according to the illustrative embodiments.
- FIG. 10 c is a sequence diagram of steps for processing a forwarded connection with a server, according to the illustrative embodiments.
- FIG. 11 a is a conceptual illustration of a conventional Ethernet encapsulation header.
- FIG. 11 b is a conceptual illustration of an ipOS encapsulation header, according to the illustrative embodiments.
- FIG. 11 c is a conceptual illustration of ipOS connection information for migration of a UDP connection endpoint, according to the illustrative embodiments.
- FIG. 11 d is a conceptual illustration of ipOS connection information for migration of a TCP connection endpoint, according to the illustrative embodiments.
- FIG. 11 e is a conceptual illustration of an ipOS TCP connection endpoint packet, according to the illustrative embodiments.
- FIG. 11 f is a conceptual illustration of an ipOS UDP connection endpoint packet, according to the illustrative embodiments.
- FIG. 11 g is a conceptual illustration of a packet having a TCP/IP payload, according to the illustrative embodiments.
- FIG. 11 h is a conceptual illustration of a packet having a UTDP/IP payload, according to the illustrative embodiments.
- FIG. 11 i is a conceptual illustration of a connection endpoint migration acknowledgement packet, according to the illustrative embodiments.
- FIG. 12 is a conceptual illustration of tables stored by a server's iNIC memory, according to the illustrative embodiments.
- FIG. 13 is a block diagram of the iNIC and main board circuitry of FIG. 3, according to the illustrative embodiments in which a socket application is related to a socket and its associated connection endpoint.
- FIG. 14 is a block diagram of servers within a server farm, according to an illustrative embodiment in which the servers establish sockets and associated connection endpoints for a local connection and a forwarded connection.
- FIG. 15 is a block diagram of a server farm including a deployment workstation for deploying application processes and associated software component objects to servers within the server farm, according to the illustrative embodiments.
- FIG. 16 is a block diagram of servers within a server farm, according to an illustrative embodiment in which a first server selectively spawns an application process that is stored by a second server.
- FIG. 17 is a block diagram of servers within a server farm, according to an illustrative embodiment in which a first server selectively spawns an object that is stored by a second server.
- FIG. 1 a is a block diagram of a conventional system for processing information with a client computer system (“client”) and server computer system (“server”) that communicate (e.g. receive and output information) with one another through an Internet Protocol (“IP”) global computer network (e.g. the Internet or an intranet). For clarity, FIG. 1a shows only a single client and a single server, although multiple clients and multiple servers are connected to the IP network. In FIG. 1a, the client is a representative one of the multiple clients, and the server is a representative one of the multiple servers.
- Conventionally, clients and servers communicate with one another through the IP network according to either the Transmission Control Protocol (“TCP”) or User Datagram Protocol (“UDP”). In FIG. 1 a, a server makes its socket application (or “socket-based application”) available through the IP network and waits for a client to establish a connection with the server through a specified IP address and TCP port (e.g. through a listening socket). For example, a server executing a World Wide Web application has a listening socket associated with an assigned 32-bit IP address on the standard TCP port 80 for a World Wide Web server application.
- After accepting a connection from a requesting client, the server creates (or “establishes” or “forms”) a client specific socket. The socket (created by the server) represents the server's connection for the sending (and receiving) information to (and from) the specific client. Conventionally, in response to creation of a socket, the server (with its operating system (“OS”) kernel) allocates (or “establishes” or “forms”) a data structure (of the connection with the client) to store client-to-server protocol specific connection information. This data structure is referred to as a socket connection endpoint (or “connection endpoint”).
- Information within the connection endpoint varies according to the type of connection established (e.g. TCP or UDP). For UDP and TCP types of connections, the connection endpoint information includes the client's and server's respective 32-bit IP addresses, the client application's and server application's respective 16-bit TCP connection ports, a pointer reference to a socket structure, and IP options such as Time to Live (“TTL”) and Type of Service (“TOS”). Additionally, for a TCP type of connection, the connection endpoint information includes a group of send and receive sequence numbers (including start, current, and acknowledgement sequence numbers of the server and client) and variables for timing individual sent packets. In various embodiments, the connection endpoint information includes additional suitable information.
- The client performs similar operations. With a socket layer (which manages sockets), the client (with a client application) creates a connection endpoint of a specified type (e.g. UDP or TCP) and attempts a connection to a server's listening socket. For example, with a conventional web browser (e.g. Netscape Navigator or Microsoft Internet Explorer), the client opens a TCP type of connection endpoint and attempts connection through an IP network to a web server through the web server's advertised IP address on the standard web service TCP port 80. After establishing a successful connection, the client and server are operable to send (and receive) information to (and from) one another through the associated socket connection.
- With read and write calls to the socket layer, the client and server are operable to send and receive information at the application level. The client and server communicate with one another through IP packets sent through the IP network. Accordingly, before sending information from an application through the IP network (in response to a suitable connection endpoint), the computer system (e.g. client or server) encapsulates such information according to the IP protocol. Also, in response to receiving information from a network interface, the computer system (in response to a suitable connection endpoint) directs such information to an associated application.
- As shown in FIG. 1 a, the client and server have respective protocol stacks, which process IP packets (sent and received) and manage connection endpoint information. With the protocol stack, the computer system (a) adds transport specific information before sending information to the network interface and (b) removes transport specific information before alerting an application of the receipt of information from the network interface. Conventionally, the protocol stack is part of the OS and executes in kernel mode.
- The protocol stack includes a series of routines (e.g. software instructions) to process a packet in accordance with one or more network protocols such as HTTP, Ethernet, IP, TCP or UDP. In response to receiving a packet from the IP network, the network interface sends the packet through its associated device driver to the protocol stack's routines. For example, in response to receiving an IP packet, the computer system (with its protocol stack) verifies the IP packet according to the packet's checksum algorithm and then moves the packet up the protocol stack for additional processing in accordance with a network protocol.
- At each level of the protocol stack processing, the computer system reads, processes and removes a header from the packet. At the end of protocol stack processing, the final result is information that the computer system stores in a destination socket queue. In response to information in the destination socket queue, the computer system (with its OS) initiates a software interrupt to the destination application, alerting the destination application that such information has been received.
- For sending information through the network interface to the IP network, the computer system (with the socket application) outputs such information (which has been formed according to software instructions of the socket application) to the protocol stack along with a reference to a suitable connection endpoint. Then, the computer system (with the connection endpoint) moves the information down the protocol stack for additional processing in accordance with a network protocol. At various levels of the protocol stack processing, the computer system forms a packet by supplementing the information with TCP or UDP header information, IP header information, link layer header information (e.g. Ethernet), and calculation of packet checksums. After forming the packet, the computer system outputs the packet to a device driver output queue of the network interface.
- FIG. 1 b is a block diagram of a conventional system for processing information with a group of servers (“server farm”) and a client that communicate with one another through a global computer network with IP socket-based applications. In this example, a server farm (including n servers, where n is an integer number) stores the applications to be deployed. Server farms are useful for deploying software applications (e.g. web site application or Internet gaming site application) for use through a global computer network.
- As shown in FIG. 1 b, each of the n servers is connected to a flow switch at egress ports of the flow switch. At an ingress port of the flow switch, it is coupled through a router to the IP network.
- In the example of FIG. 1 b, a client connects to a server's application by connecting to the entire server farm through a single IP address. The IP address is associated with the ingress port of the flow switch. Typically, the client obtains the IP address by sending a Uniform Resource Locator (“URL”) to a Domain Name System (“DNS”). DNS is a set of special servers deployed on the IP network, with responsibility for translating a URL into an associated IP address. Alternatively, if a client has already received the IP address, the client is able to connect to the server farm without relying on the DNS.
- All communications between a server (of the server farm) and a client are directed through the flow switch. The flow switch helps to balance client request loads on servers within the server farm (“server farm load-balancing”) by selecting a server to handle a particular client's connection. Accordingly, the flow switch (a) maps packets from the flow switch's ingress port to the selected server through a suitable one of the flow switch's egress ports, (b) maps packets from the selected server to the particular client, and (c) performs various administrative operations. In processing a packet that is communicated between a server and a client, the conventional flow switch performs a range of operations, which may include network address translation (“NAT”), checksum calculation, and TCP sequence number rewriting (“TCP splicing”).
- FIG. 2 a is a block diagram of a system for processing information with a server farm, according to a first illustrative embodiment. As shown in FIG. 2a, the server farm includes a redirector device and n servers for deploying socket-based applications. In the example of FIG. 2a, the hardware configurations of the redirector device and servers are substantially identical to one another, so that at least one of the servers is configurable to perform the same types of operations as the redirector device.
- The redirector device and the servers are coupled to one another through a LAN A hub/switch (e.g.
conventional Layer 2/3 switch), a LAN B hub/switch, and a synchronization hub, which are part of the server farm. As shown in FIG. 2a, the LAN A hub/switch is coupled through a router and a suitable WAN to an IP network service provider (“ISP”) for communication with the IP network. In an alternative embodiment, LAN A hub/switch is directly connected to the ISP, and other alternative embodiments are possible for connecting LAN A hub/switch to the IP network. Accordingly, each of the n servers and the redirector device is coupled to the IP network through the LAN A hub/switch and the router, without interposing a flow switch between the router and the servers (nor between the router and the redirector device). The router is coupled to the LAN A hub/switch through a suitable LAN or WAN link. - Each of the n servers and the redirector device includes intelligent network interface controller (“iNIC”) circuitry, as shown in FIG. 2 a. Within the server farm, each of the n servers and the redirector device (with its respective iNIC) has a respective IP address that is advertised to clients through the IP network. The redirector device and the servers communicate with one another through the iNICs, in order to operate together in a cooperative manner as a distributed system. A primary objective of such a cooperative distributed system is to achieve server farm load-balancing (e.g. of handling client connections), efficiently communicating packets from clients directly to socket applications, reducing packet manipulations, and increasing the effective use of server farm resources (e.g. by the load-balancing of server application processes and of associated software component objects).
- Unlike the system of FIG. 1 b, in the system of FIG. 2a, a client connects to a server farm application by obtaining and connecting to a server's IP address, instead of a flow switch's IP address. In the illustrative embodiments, the servers' respective IP addresses are advertised to clients in one of multiple possible ways. For example, according to a first technique, if multiple servers deploy a single application under a single URL, the DNS advertises IP addresses of those servers in a round-robin manner (e.g. one IP address at a time, alternating in a rotational manner). For example, if two servers deploy a web site application under a single URL (e.g. www.mysite.com), the DNS advertises the two servers' respective IP addresses (in association with the web site's URL) in round-robin manner.
- According to a second technique, if multiple servers deploy a single application under a single URL, the DNS advertises the redirector device's IP address (in association with the web site's URL). In that manner, a client initially communicates with the redirector device. In response to the redirector device receiving a connection request from a client, the redirector device selects a server (in a round-robin manner among the servers that deploy the application) and outputs the selected server's IP address to the client.
- As the network bandwidth of the IP network, local area networks (“LANs”), wide area networks (“WANs”), and IP network connections through ISPs increases at rate faster than the increase in computing capabilities of servers, the resulting disparity in performance effectively shifts the performance bottleneck from (a) the capacity of a network to carry information to (b) the capacity of server farms to process client application requests (e.g. IP packets). Accordingly, individual servers in the server farm experience a vast increase in the rate of packets received and sent. Under such conditions, with the network interface and protocol stack, each server's performance becomes increasingly tied to the processing of such packets.
- Conventionally, as discussed hereinabove in connection with FIG. 1 a, the protocol stack is part of the OS, and OS overhead is increased in response to processing of more packets, so that fewer CPU cycles remain available for user-level applications. In that situation, individual server efficiency is decreased in response to increases in CPU contention, bus traffic contention, and memory traffic. By comparison, in the illustrative embodiments, the protocol stack is part of the iNIC instead of the OS, so the server farm operates more efficiently in processing client application requests.
- As shown in FIG. 2 a and FIG. 3, each iNIC has a first port (“Port A”) connected to LAN A (through LAN A hub/switch) for receiving (and sending) IP packets to (and from) clients through the IP network. Also, each iNIC has a second port (“Port B”) connected to LAN B (through LAN B hub/switch) for receiving (and sending) IP packets to (and from) other iNICs in the server farm. Moreover, each iNIC has a third port (“Synch Port”) connected to a synchronization hub (which operates as a local area network) for receiving (and sending) state information (e.g. number of TCP connections) to (and from) other iNICs in the server farm.
- The architecture of FIG. 2 a provides for scalability of bandwidth connections to the server farm. The scalability is achievable in various ways, as discussed for example in connection with FIGS. 2b, 2 c and 2 d. For example, in an alternative embodiment, each iNIC has a fourth port (“Port C”) for receiving (and sending) IP packets to (and from) clients through the IP network.
- FIG. 2 b is a block diagram of a system for processing information with a server farm, according to a second illustrative embodiment. FIG. 2b shows a situation where server farm bandwidth is increased by adding routers and LAN hub/switches. Similar to the system of FIG. 2a, in the system of FIG. 2b, each router is coupled through a suitable WAN link to an ISP for communication with the IP network, and each router is coupled to a respective LAN hub/switch through a suitable LAN or WAN link.
- Accordingly, in FIG. 2 b, router A is coupled to LAN A hub/switch, and router B is coupled to LAN B hub/switch. LAN A hub/switch is coupled to two servers (
server 1 and server 2) in the server farm, and LAN B hub/switch is coupled to three servers (Server 3,Server 4 and Server 5) in the server farm. Similar to the system of FIG. 2a, in the system of FIG. 2b, all servers in the server farm are coupled to one another through a LAN C hub/switch and a synchronization hub, which are part of the server farm. - FIG. 2 b shows scalability of the hardware architecture of the illustrative embodiments according to received network traffic (e.g. adding bandwidth with additional routers and LAN hub/switches to accommodate increases in IP packets received from clients through the IP network). Although FIG. 2b shows a situation where two routers are coupled through suitable WANs to one or more ISPs for communication with the IP network, additional routers and LAN hub/switches can be added to the system of FIG. 2b in a similar manner. Also, the system of FIG. 2b is expandable with additional servers in a variety of ways, such as by adding a server (in parallel with existing servers) to an existing LAN hub/switch (e.g. to LAN A hub/switch or LAN B hub/switch) or by adding a server to an additional LAN hub/switch (which is coupled to an additional router through a suitable LAN or WAN). Such additional servers would likewise be coupled to the other servers through LAN C hub/switch and the synchronization hub. In addition to achieving scalability according to received network traffic, the system of FIG. 2b likewise achieves scalability to accommodate increases in IP packets (e.g. application response packets) sent by servers to clients through the IP network.
- FIG. 2 c is a block diagram of a system for processing information with a server farm, according to a third illustrative embodiment. FIG. 2c shows a situation where additional bandwidth is added for scalability of application response packets. In the system of FIG. 2c, router B receives packets from the IP network. These packets include requests from clients, such as a request for a large file according to HTTP protocol (HyperText Transport Protocol).
- Router B forwards each received packet to a server (whose IP address is specified in the packet) in the server farm through LAN A hub/switch. In the illustrative embodiment of FIG. 2 c (in which LAN A hub/switch is coupled through Router B to the global computer network), LAN A hub/switch is a
Layer 2 switch. By comparison, in an alternative embodiment (in which LAN A hub/switch is coupled directly to the global computer network without an interposed router device), LAN A hub/switch is aLayer 3 switch. In the example of FIG. 2c, a server outputs response packets to clients through a router other than router B, so that the output response packets bypasses the network (e.g. LAN A in FIGS. 2a, 2 c, 2 d, 4 a, 4 b and 7) that is connected to Port A. Accordingly, as shown in FIG. 2c,server 1 outputs response packets to clients through router A which is dedicated toserver 1 for such purpose, andserver 2 outputs response packets to clients through router C which is dedicated toserver 2 for such purpose. - Similar to router B, the additional router A and router C are coupled through a suitable WAN link to an ISP for communication with the IP network. The ISP may be the same or different for each of routers A, B and C. Router A is connected to a Port C (discussed further hereinbelow in connection with FIG. 3) of the iNIC of
server 1. Likewise, router C is connected to a Port C of the iNIC ofserver 2. - In a similar manner, the server farm is expandable with additional servers, routers and IP network connections. In the illustrative embodiments, various combinations of scalability in incoming and outgoing bandwidth are possible. The system of FIG. 2 c is particularly advantageous in a situation where
server 1 andserver 2 output a relatively high volume of response packets in response to a smaller volume of received packets. - FIG. 2 d is a block diagram of a system for processing information with a server farm, according to a fourth illustrative embodiment. In the example of FIG. 2d, two applications (namely, “
application 1” and “application 2”) are deployed by servers within the server farm. In other respects, the system of FIG. 2d is similar to the system of FIG. 2a. Accordingly, the distributed architecture (of the illustrative embodiments) provides for deployment of multiple applications with a single IP network connection. - As shown in FIG. 2 d,
1 and 2 are grouped (“servers application 1 group”) to deployapplication 1, and 3, 4 and 5 (“servers application 2 group”) are grouped to deployapplication 2. For example, the server farm of FIG. 2d is configurable to host two web sites (e.g. www.firstsite.com and www.secondsite.com) with a single IP network connection. Client requests to a first URE (e.g. www.firstsite.com) are processed byapplication 1 group, and client requests to a second URL (e.g. www.secondsite.com) are processed byapplication 2 group. - For each web site, IP addresses are advertised by either the DNS round-robin approach or the redirector device round-robin approach, as discussed hereinabove in connection with FIG. 2 a. For example, IP addresses of
1 and 2 are associated with the first URL (www.firstsite.com), and such IP addresses can be advertised in round-robin manner. Similarly, IP addresses ofservers 3, 4 and 5 are associated with the second URL (www.secondsite.com), and such IP addresses can be advertised in round-robin manner.servers - Under the DNS round-robin approach: (a) for
application 1 group in association with the first URL, the DNS advertises IP addresses of 1 and 2 in a round-robin manner; and (b) forservers application 2 group in association with the second URL, the DNS advertises IP addresses of 3, 4 and 5 in a round-robin manner.servers - Under a first version of the redirector device round-robin approach: (a) for
application 1 group in association with the first URL, the DNS advertises a first redirector device's IP address; and (b) forapplication 2 group in association with the second URL, the DNS advertises a second redirector device's IP address. In that manner, a client initially communicates with the first redirector device (forapplication 1 group in association with the first URL) or the second redirector device (forapplication 2 group in association with the second URL). In an alternative embodiment, a single redirector device operates in association with both the first and second URLs forapplication 1 group andapplication 2 group, respectively. - In response to the first redirector device receiving a connection request from a client, the first redirector device selects a server (in a round-robin manner among
servers 1 and 2) and outputs the selected server's IP address to the client (e.g. via HTTP redirect command). Likewise, in response to the second redirector device receiving a connection request from a client, the second redirector device selects a server (in a round-robin manner among 3, 4 and 5) and outputs the selected server's IP address to the client.servers - FIG. 3 is a block diagram of intelligent network interface controller (“iNIC”) circuitry and conventional main board circuitry of a server of a server farm, according to the illustrative embodiments. FIG. 3 shows example components of the iNIC. For clarity, various interconnections between such components are discussed hereinbelow in connection with FIGS. 5 a-c, 8 and 13-17, rather than FIG. 3. The iNIC of FIG. 3 is a representative one of the iNICs of the systems of FIGS. 2a-d, 4 a-b, 7 and 13-17.
- As shown in FIG. 3, each iNIC includes at least one network processor. The network processor includes programmable hardware and firmware for performing various operations, including packet classification, table lookups, packet manipulation, and packet routing. For example, the network processor includes a packet classification engine and a general-purpose processor core, as discussed hereinbelow in connection with FIGS. 5 a-c and FIG. 8.
- In the illustrative embodiments, the classification engine is an application specific integrated circuit (“ASIC”) or a set of integrated programmable multi-threaded microengines. The classification engine is programmable and examines the headers and contents of packets at rates approaching wire speed. Other embodiments of the classification engine are possible.
- The network processor classifies and manipulates packets that are examined by the classification engine. The classification engine executes a set of instructions that are collectively referred to as the “rules code.” In the network processor, the processor core performs various management tasks. The processor core executes a set of instructions that is referred to as the “action code.”
- The classification engine examines packet information (e.g. header information), verifies checksums, and matches IP fields to records of previously stored tables of information. Various tables of the illustrative embodiments are shown in FIG. 12, which is discussed further hereinbelow. For example, the classification engine is operable to classify a packet according to whether the packet is a TCP/IP packet, and according to whether the packet's source IP address and source TCP port match an existing record in a table (e.g. with table keys being source IP address and source TCP port).
- In response to such a match, the network processor is operable to perform an action on the packet (e.g. send the packet to the protocol stack) in response to software instructions stored in the iNIC's memory (e.g. SRAM/SDRAM). In the illustrative embodiments, the network processor is a commercially available processor, such as Intel's IXP1200 processor (available from www.intel.com) or Motorola's C-5 Digital Communications processor (available from www.motorola.com).
- In the illustrative embodiments, the IP operations system (“ipOS”) refers to methods, circuitry, and system architecture of the iNIC for classifying, manipulating and performing actions in response to packets. Accordingly, the ipOS includes the instructions executable by the network processor, the forwarding processor, and the protocol stack processor of FIG. 3. For example, the ipOS includes various instructions for performing operations of the iNIC within the server farm, such as client request load-balancing, packet routing, maintenance of connection endpoints, communications to and from particular applications, and control of application processes (and associated software component objects) deployed on the server farm.
- The iNIC stores various tables of information in support of ipOS decisions about packets and control of server farm resources. As shown in FIG. 3, the tables include various information, such as state information, routing information, process information, and protocol stack information. Such tables are shown in FIG. 12, which is discussed further hereinbelow.
- The protocol stack includes a series of routines for processing packets. Conventionally, the protocol stack has been part of the OS and has executed in kernel mode. By comparison, in the illustrative embodiments, the iNIC's protocol stack processor executes instructions to perform the protocol stack operations. Accordingly, such operations are offloaded from the OS.
- Also, the iNIC includes circuitry for processing of forwarded packets, which are sent from one server's iNIC to another server's iNIC for processing. The forwarding processor operates to route forwarded packets at rates approaching wire speed. Possible embodiments of the forwarding processor include a field programmable gate array (“FPGA”) or an ASIC.
- FIG. 3 shows an example iNIC configuration that includes three IP packet ports (designated as Port A, Port B, and Port C) and a single synchronization port (designated as Synch Port). Each IP packet port is configurable to be full duplex and to accommodate a variety of port protocols (e.g. Ethernet, ATM and FDDI). The synchronization port is configurable in the same manner as an IP packet port or, in an alternative embodiment, is specially configured. The configuration of the synchronization port is selected according to a particular application deployed on the server farm. With suitable circuitry, extremely fast synchronization is achievable for a particular application.
- Also, the iNIC includes a memory for storing various data structures to represent the connection endpoints for client-server socket-based application connections. Moreover, the iNIC includes Direct Memory Access (“DMA”) circuitry for sending information (a) from the iNIC directly to the main board circuitry's memory and (b) from the main board circuitry's memory to the iNIC's memory. In an alternative embodiment, the iNIC includes additional circuitry and firmware (for clarity, not shown in FIG. 3) for performing specified encryption operations.
- The iNIC performs server farm load-balancing of socket application client requests. Round-robin approaches to advertise IP addresses (e.g. DNS round-robin approach or redirector device round-robin approach) have limited ability to effectively load-balance. For example, in selecting a server to process a client request, round-robin approaches substantially fail to account for the client request's specific details such as session management. Accordingly, in the illustrative embodiments, after a connection is established between the selected server and a client, the selected server is operable to selectively forward packets (received from a client) for processing by another server (within the server farm).
- FIG. 4 a is a block diagram of a system for processing information with a server farm, according to an illustrative embodiment in which
server 1's iNIC forwards (or “outputs”) packets for processing byserver 2's iNIC (and, in some instances, byserver 2's application layer), according to ipOS logic ofserver 1's iNIC. For clarity, the processing of response packets byserver 2's application layer is not shown in FIG. 4a. In forwarding packets,server 1's iNIC operates substantially independently ofserver 1's application layer.Server 2's iNIC is substantially identical toserver 1's iNIC, so the operation ofserver 1 is likewise representative of the operation ofserver 2. - In the example of FIG. 4 a, arrows show the directions in which packets are communicated between router A,
server 1 andserver 2. For example, a client sends (or “outputs”) a request toserver 1 at IP 123.123.123.1. Router A receives the client request and outputs it to LAN A hub/switch for receipt byserver 1. -
Server 1's iNIC (in response to instructions of its ipOS) determines whether to forward packets associated with the client connection from server 1 's iNIC toserver 2's iNIC. If so, in response to receiving such a packet from the client,server 1's iNIC (in response to instructions of its ipOS) encapsulates the packet with additional information (as discussed hereinbelow) and forwards it to a physical port (IP 222.222.222.3) onserver 2's iNIC. In response to receiving the encapsulated packet fromserver 1's iNIC,server 2's iNIC (in response to instructions of its ipOS) unpacks and processes the encapsulated packet. - Accordingly, in such a situation,
server 2's iNIC (in response to instructions of its ipOS): - (a) in response to such information received from
server 1's iNIC, establishes a connection endpoint in the memory ofserver 2's iNIC for the particular client-server socket-based application connection; (b) if appropriate for the packet, processes and sends information from the packet toserver 2's application layer; and (c) if appropriate for the packet, processes and sends response packets to the client through the IP network in response to information fromserver 2's application layer. The protocol stack processor ofserver 2's iNIC (in response to instructions of its ipOS) adds suitable header information to the response packet and sends it to the client through the IP network-connected port (IP 123.123.123.3) ofserver 2's iNIC. Although the response packet is sent to the client fromserver 2, the response packet appears (from the client's perspective) to be sent fromserver 1. - FIG. 4 b is a block diagram of the system of FIG. 4a, according to an illustrative embodiment in which
server 2 processes packets without forwarding toserver 1.Server 1 is substantially identical toserver 2, so the operation ofserver 2 is likewise representative of the operation ofserver 1. In the example of FIG. 4b, arrows show the directions in which packets are communicated between router A andserver 2. For example, a client sends a request toserver 2 at IP 123.123.123.3. Router A receives the client request and outputs it to LAN A hub/switch for receipt byserver 2. -
Server 2's iNIC determines (in response to instructions of its ipOS) whether to forward packets associated with the client request toserver 2. If not, in response to receiving such a packet from the client,server 2's iNIC (in response to instructions of its ipOS) keeps the packet and processes it. - Accordingly, in such a situation,
server 2's iNIC (in response to instructions of its ipOS): (a) establishes a connection endpoint in the memory ofserver 2's iNIC for the particular client-server socket-based application connection (b) if appropriate for the packet, processes and sends information from the packet toserver 2's application layer; and (c) if appropriate for the packet, processes and sends response packets to the client through the IP network in response to information fromserver 2's application layer. The protocol stack processor ofserver 2's iNIC (in response to instructions of its ipOS) adds suitable header information to the response packet and sends it to the client through the IP network-connected port (IP 123.123.123.3) ofserver 2's iNIC. The response packet appears (from the client's perspective) to be sent fromserver 2. - FIG. 5 a is a block diagram of the iNIC and main board circuitry of FIG. 3, according to an illustrative embodiment in which the iNIC processes information received and sent through a Port A. FIG. 5a shows pathways by which various packets (received from clients through Port A) are communicated through the iNIC. For clarity, in the example of FIG. 5a, the iNIC has two IP packet ports (Port A and Port B) and a single synchronization port (Synch Port).
- At Port A, the iNIC receives a packet and classifies it with the network processor classification engine. The classification engine executes the rules code to determine whether a match exists for the packet. If the packet is not destined for the server, fails checksum verification, or fails to match other criteria, then the classification engine drops (or “discards”) the packet. If the packet is not dropped, the classification engine sends the classified packet, along with possible table lookup results, to either (a) the processor core for execution of ipOS action code, (b) the forwarding processor for processing, or (c) the protocol stack processor for processing.
- In the illustrative embodiments, the classification engine is operable to perform the packet classification by reviewing one or more tables in response to a packet's information. For example, in response to the rules code, the classification engine determines whether a match exists between (a) the packet's source IP and source TCP port and (b) an existing table of source IP addresses and source TCP ports (e.g. to determine whether the packet should be forwarded to another server).
- If the classification engine sends a classified packet to the processor core, then the processor core receives the packet and processes it according to the ipOS action code. In response to the action code, the processor core determines whether to (a) drop the packet, (b) send the packet to the protocol stack processor, or (c) process the packet and send it to the forwarding processor. If the processor core drops the packet, the processor core erases the packet's information from the iNIC's memory.
- If the processor core sends the packet to the protocol stack processor, it does so during the connection setup process which is discussed further hereinbelow. In such a situation, the packet either: (a) is part of the connection setup process (e.g. SYN packet); or (b) is a request packet (e.g. during the socket to connection endpoint setup process) that is being processed locally without forwarding to another server.
- If the processor core sends the packet to the forwarding processor, the packet either (a) is part of a new connection (e.g. including a connection endpoint) that is being migrated to another server's iNIC, or (b) is part of an existing connection that has already been migrated to another server's iNIC. In sending the packet to the forwarding processor, the processor core also sends information to the forwarding processor for encapsulation of the packet, thereby enabling the forwarding processor to encapsulate the packet before forwarding the packet to another server. If a connection is migrated from a first server to a second server, the client request packet (see FIGS. 10 a-c) and all subsequent packets of the migrated connection bypass the first server's protocol stack and, instead, are processed by the second server's protocol stack. The forwarding processor is operable to receive packets from either the classification engine or processor core (in response to the processor core's action code). If the forwarding processor receives a packet from the classification engine, the forwarding processor forwards the packet to another iNIC through Port B at rates approaching wire speed. Before forwarding the packet, the forwarding processor encapsulates it with header information.
- The protocol stack processor is operable to receive packets from either the processor core or the classification engine. If the protocol stack processor receives a packet from the processor core (in response to the processor core's action code), the packet is part of the connection setup process (e.g. during delayed connection endpoint to application socket binding). In the connection setup process for a packet received at Port A, the first packet received by the protocol stack processor from the processor core is the SYN packet (the SYN packet initiates creation of a connection endpoint). In association with such connection, the next packet received by the protocol stack processor from the processor core indicates a decision to process the connection locally without forwarding to another server.
- If the protocol stack processor receives a packet from the classification engine, the packet either: (a) is part of the connection setup process (e.g. SYN packet); or (b) is a packet associated with an already established connection that is being processed locally without forwarding to another server. In FIG. 5 a, if a packet has moved down the protocol stack for destination to a client, the protocol stack processor sends the packet to the client through Port A (which is coupled to the IP network). If a packet has moved up the protocol stack for destination to the main board circuitry's memory, the protocol stack processor sends information from the packet to the DMA circuitry.
- Also, in FIG. 5 a, the DMA circuitry (a) sends information from the iNIC directly to the main board circuitry's memory and (b) receives information from the main board circuitry's memory to the iNIC's memory. Accordingly, through the DMA circuitry and main board circuitry's memory, the protocol stack processor outputs information (from a packet) and a connection endpoint reference to an application that is associated with the connection endpoint. Likewise, through the main board circuitry's memory and the DMA circuitry, the protocol stack processor receives information from an application that is associated with a connection endpoint and, in response thereto, the protocol stack processor assembles a packet for destination to a client.
- FIG. 5 b is a block diagram of the iNIC and main board circuitry of FIG. 3, according to an illustrative embodiment in which the iNIC processes information received through a Port B. FIG. 5b shows pathways by which various packets (received from other server iNICs within the server farm through Port B) are communicated through the iNIC. Such packets from other server iNICs are received as encapsulated packets at Port B and are classified by the classification engine, which executes the rules code to determine whether a match exists for the packet.
- If the classification engine does not drop the packet, the packet is classified and either (a) is part of a new connection (e.g. including a connection endpoint) that is being migrated to the server's iNIC, or (b) is part of an existing connection that has already been migrated to the server's iNIC, or (c) is a verification that a connection was successfully migrated to another server's iNIC. If the packet is not dropped, the classification engine sends the classified packet to either (a) the processor core for execution of ipOS action code or (b) the protocol stack processor for processing.
- If the encapsulated packet (received at Port B) is part of a new connection that is being migrated to the server's iNIC (“receiving server's iNIC”), the classification engine verifies the packet according to the packet's checksum algorithm. If the packet is verified, the classification engine sends information (e.g. the payload) of the packet to the processor core for establishing a connection endpoint that is associated with the new connection. After the processor core establishes the connection endpoint, (a) the processor core sends information to the protocol stack processor for binding (or “associating”) the connection endpoint to an appropriate socket and its associated socket application, and (b) the processor core forms an encapsulated acknowledgement packet and sends it to the forwarding processor, which outputs such packet to another server's iNIC (“forwarding server's iNIC”) through Port B as a verification that the connection endpoint was successfully migrated to the receiving server's iNIC.
- If the encapsulated packet (received at Port B) is a verification that a connection endpoint was successfully migrated to the iNIC of another server (“receiving server”), the classification engine sends information of the packet (along with a reference to the connection endpoint) to the processor core. In response to such information and reference, the processor core (in response to instructions of its ipOS) erases the connection endpoint from the iNIC's memory and drops the packet. After such verification of the connection endpoint migration, the iNIC (in response to instructions of its ipOS) sends (through the forwarding processor) all packets associated with the connection to the receiving server.
- The protocol stack processor is operable to receive packets from either the classification engine or the processor core. If the encapsulated packet (received at Port B) is part of an existing connection that has already been migrated to the server's iNIC, the protocol stack processor receives the packet from the classification engine. In response thereto, the protocol stack processor (a) verifies and removes the packet's header and (b) processes information (e.g. the IP packet payload) of the packet associated with an already established connection endpoint.
- If the protocol stack processor receives a packet from the processor core, the packet is part of the connection setup process. In response to such a packet from the processor core, the protocol stack processor binds (or “associates”) the packet's associated connection endpoint to an appropriate socket and its associated socket application. The socket application is executed by the main board circuitry.
- Accordingly, in such a situation, through the DMA circuitry and main board circuitry's memory, the iNIC's protocol stack processor sends a request (along with a reference to the connection endpoint) to the main board circuitry. In response to such request, the main board circuitry stores the reference (“connection endpoint reference”) within a socket. The socket is related to a suitable associated socket application for servicing the connection. In that manner, the socket application is related to (and associated with) the connection endpoint, as discussed further hereinbelow in connection with FIG. 13.
- In FIG. 5 b, if a packet has moved down the protocol stack for destination to a client, the protocol stack processor outputs the packet to the client through Port A (which is coupled to the IP network). If a packet has moved up the protocol stack for destination to the main board circuitry's memory, the protocol stack processor outputs information from the packet to the DMA circuitry.
- Also, in FIG. 5 b, the DMA circuitry sends information (a) from the iNIC directly to the main board circuitry's memory and (b) from the main board circuitry's memory to the iNIC's memory. Accordingly, through the DMA circuitry and main board circuitry's memory, the protocol stack processor outputs information (from a packet) and a connection endpoint reference to an application that is associated with the connection endpoint. Likewise, through the main board circuitry's memory and the DMA circuitry, the protocol stack processor receives information from an application that is associated with a connection endpoint and, in response thereto, the protocol stack processor assembles a packet for destination to a client.
- FIG. 5 c is a block diagram of the iNIC and main board circuitry of FIG. 3, according to an illustrative embodiment in which the iNIC processes information received and sent through a Synch Port. FIG. 5c shows pathways by which various packets (received from other servers within the server farm through the Synch Port) are communicated through the iNIC. At the Synch Port, the iNIC receives the packet and classifies it with the classification engine.
- If the classification engine determines that the packet is a synchronization packet, the classification engine sends the packet to the processor core for processing according to the ipOS action code. In response thereto, the processor core reads synchronization information from the synchronization packet and writes such information into a suitable state table of the iNIC memory. After suitably processing the synchronization packet, the processor core drops it.
- Also, through the Synch Port, the processor core is responsible for sending the server's state to others servers in the server farm. Accordingly, at specified synchronization intervals, the processor core assembles specified synchronization information into a packet. Then, the processor core outputs the assembled packet through the Synch Port for distribution to other servers in the server farm.
- FIG. 6 is a conceptual illustration of information stored in a memory of the representative iNIC of FIG. 3. In the illustrative embodiments, the servers in the server farm endeavor to synchronize state information with one another by sending and receiving the state information through the server farm's synchronization hub. FIG. 6 illustrates the types of information stored by the iNIC in the synchronization process.
- Through the synchronization port of a server's iNIC, the server sends information to the other servers in the server farm. In the memory of the server's iNIC, the server stores information that represents the state of other servers in the server farm. Such information is accessible to the server's ipOS.
- On a high priority basis (e.g. high frequency), the iNIC receives information that represents the state of other servers in the server farm. In an illustrative embodiment, such information (“server farm state information”) includes the other servers' respective number of then-currently established TCP connections, CPU utilization, available main board circuitry memory, available server bandwidth, and/or other suitable information for high priority synchronization of the server farm's servers.
- On a medium priority basis (e.g. medium frequency), the iNIC receives information about local and foreign object instances being executed by servers in the server farm (“object instances”). In an illustrative embodiment, for object instances, such information includes an object identification tag (along with its IP address) and a shadow object identification tag (if any, along with its IP address), and/or other suitable information for medium priority synchronization of the server farm's servers.
- Also, on a medium priority basis, the iNIC receives information about local and foreign application processes being executed by servers in the server farm. In an illustrative embodiment, for application processes, such information includes an application process identification tag (along with its IP address), TCP port (e.g. listening socket connection information), and/or other suitable information for medium priority synchronization of the server farm's servers.
- On a much lower priority basis (e.g. lower frequency), the iNIC receives application process (and component object) performance information. In an illustrative embodiment, such information includes an application process (or object) identification tag, application process (or object) memory size, average CPU utilization, information on application processes (and component objects) that are stored by particular servers for execution, and/or other suitable information for low priority synchronization of the server farm's servers. Referring also to FIGS. 3 and 12, the iNIC's application information table (included within the process information in iNIC memory) stores information for mapping a specified application process (or object) identification tag to the application process's (or object's) memory requirements and CPU utilization.
- Within the server farm, on a periodic basis, each server advertises its state by outputting a UDP message through the synchronization port of the server's iNIC. Other servers (in the server farm) receive the message and store information from the message into their respective iNIC memories. Accordingly, in that manner within the server farm, such information is accessible to any server's ipOS, and the server farm's servers perform load-balancing and resource management operations in response to such information.
- In the illustrative embodiments, the iNIC (in response to instructions of its ipOS) executes a process for dynamic load-balancing of client requests across servers within the server farm. The load-balancing technique includes a process to select a suitable server for processing a client request. For efficiency, the technique favors selection of the server that initially receives the client request. With a set of n available servers that synchronize their state tables (e.g. by storing identical server farm state information), the server (which initially receives the client request) executes the load-balancing process to select a server (from among the n available servers in the server farm) for processing the client request.
- For additional efficiency in the illustrative embodiments, in response to instructions of its ipOS, the iNIC of a server (which initially receives the client request) executes the load-balancing process only when the server reaches a predetermined threshold of activity. In the illustrative embodiments, the server calculates whether such threshold has been reached, in response to some or all of the state table information. Example thresholds are (a) a maximum number of TCP connections then-currently established by the server or (b) a maximum CPU utilization within the server.
- A potential shortcoming of load-balancing techniques is that multiple simultaneous client requests may result in one particular server processing many (or all) of the simultaneous client requests, without forwarding a suitable number of the simultaneous client requests to another server in the server farm (e.g. the load-balancing process may select the same server for processing all of the simultaneous client requests). Such a result leads to a process called thrashing. In the illustrative embodiments, the load-balancing technique substantially avoids thrashing by selecting a server to process a request in response to a probability distribution.
- According to such a probabilistic technique, the iNIC (in response to instructions of its ipOS) executes a process for dynamic load-balancing in response to a number of TCP connections then-currently established by each server. The probability of a server being selected is inversely proportional to the number of TCP connections then-currently established by the server. In the illustrative embodiments, this probability is calculated in accordance with Equations (1) and (2) below.
- In Equation (1), (a) p i is the probability that the load-balancing technique will result in the client request being serviced by the ith server (among n servers in the server farm), (b) CNi is the number of TCP connections then-currently established by server i, and (c) k is a constant that is calculated in accordance with Equation (2). In Equation (2), (a) CNj is the number of TCP connections then-currently established by server j and (b) n is the number of servers in the server farm.
- FIG. 7 is a block diagram of a system for processing information with a server farm, according to an illustrative embodiment in which
1, 2 and 3 perform load-balancing of client requests. In the example of FIG. 7,servers 1, 2 and 3 have synchronized (servers 1, 2 and 3 have identical state tables in their respective iNIC memories). Moreover, in the example of FIG. 7, each ofe.g. servers 1, 2 and 3 has exceeded a predefined threshold of activity (e.g. number of TCP connections greater than a threshold).servers - Accordingly, in the illustrative embodiments, received client requests are load-balanced within the server farm. In the example of FIG. 7,
server 1 receives a client request, and the iNIC of server 1 (in response to instructions of its ipOS) executes the load-balancing process. The iNIC of server 1 (in response to instructions of its ipOS) calculates a probability that any one of 1, 2 or 3 will be selected to process the client request.servers - In response to the example state information of FIG. 7, the iNIC of server 1 (in response to instructions of its ipOS) calculates the following probabilities for
1, 2 or 3, respectively: p1=0.37, p2=0.33, and p3=0.30. To determine which ofservers 1, 2 or 3 will actually be selected to process the client request, the iNIC ofservers server 1, in response to instructions of its ipOS, (a) executes a pseudo random number generator for identifying a random number between 0 and 1 and (b) compares the random number to the calculated probabilities, in order to select one of 1, 2 or 3. For example, if the random number is less than 0.37, the iNIC of server 1 (in response to instructions of its ipOS) selectsservers server 1. By comparison, if the random number is greater than 0.37 yet less than 0.7 (0.37+0.33), the iNIC of server 1 (in response to instructions of its ipOS) selectsserver 2. Otherwise, if the random number is greater than 0.7, the iNIC of server 1 (in response to instructions of its ipOS) selectsserver 3. - FIG. 8 is a data flow diagram of process threads executed by the representative iNIC of FIG. 3. FIG. 8 shows ipOS components, which include one or more threads of execution. In the example of FIG. 8, the ipOS components include four threads of execution. For clarity, FIG. 8 does not illustrate the packet processing performed by the forwarding processor (e.g. the splicing of an ipOS encapsulation header to a packet) for the creation and sending of encapsulated packets through Port B.
- Each thread of execution includes a packet classification component and an action code component. For example, if applicable to a particular thread, the thread processes a packet by classifying the packet according to a set of classification rules. After classifying the packet, the thread processes the packet by performing operations associated with the classification.
- As shown in FIG. 8, the ipOS components include a balance thread, a forward thread, and a synchronization thread. Each of those threads includes program code that is executable by the network processor for performing operations associated with the particular thread. Also, the ipOS components include a protocol stack thread. The protocol stack thread includes program code that is executable by the protocol stack processor for performing operations associated with the protocol stack thread.
- Referring also to FIG. 3, the iNIC's memory stores routing information, which includes tables that are searchable in response to a thread's packet classification component or action code component. In response to a search key, the iNIC (in response to instructions of its ipOS) searches a table to locate a record of information associated with the search key. The iNIC (in response to instructions of its ipOS) is programmed to match the search key with specific fields of a packet.
- As shown in FIG. 8, at Port A, the iNIC (a) receives a packet from a client through the IP network and (b) sends the packet to the balance thread. The balance thread processes the packet by classifying the packet according to a set of classification rules. In communicating the packet through the balance thread, the balance thread reads local, temporary, forward, and listening socket tables.
- FIG. 12 is a conceptual illustration of tables stored by a server's iNIC memory, according to the illustrative embodiments. In particular, FIG. 12 shows the types of fields (and descriptions thereof) in each table. Also, FIG. 12 shows whether a particular field is used as a key for locating records in the table. Accordingly, for example, the local, forward-connect, and temporary tables have the same types of fields and keys.
- The local, forward-connect, and temporary tables store information representative of connection endpoints in various states. Because these tables store information representative of connection endpoints, a packet's source IP address, source TCP port, destination IP address, and destination TCP port are used as keys for locating records in the tables. Each record is capable of storing additional information beyond the fields shown in FIG. 12, and the server's iNIC is capable of storing additional tables beyond the tables shown in FIG. 12.
- The local table stores information representative of connection endpoints that are attached to a socket associated with a local application (i.e. an application executed by the server that stores the table). The forward-connect table stores information representative of connection endpoints that have been migrated to the server. The temporary table stores information representative of connection endpoints that are not yet attached to a socket associated with an application (e.g. the server is assessing the client request). Accordingly, in the temporary table, such connection endpoints have a state associated with a delayed connection endpoint to application socket bind (as discussed further hereinbelow).
- The forward table stores information representative of connection endpoints that have been migrated to a different server. Accordingly, such connection endpoints are attached to a socket that is associated with a non-local application (i.e. an application executed by the different server). The listening sockets table stores information representative of an IP address and TCP port of a listening socket associated with an application.
- FIG. 9 a is a flowchart of the balance thread of FIG. 8 for TCP/IP based applications. FIG. 9a shows a detailed communication of a packet through the balance thread, in which the packet is processed in a sequence of steps until the packet is either dropped or output from the balance thread. If the packet satisfies a particular rule, the iNIC (in response to instructions of its ipOS) performs a suitable operation in response to the packet.
- As shown in FIG. 9 a, an IP packet enters the balance thread from Port A. The iNIC (in response to instructions of its balance thread) verifies the packet according to its checksum algorithm (16-bit one's compliment sum). If the packet is corrupt (as evidenced by a failure to verify according to its checksum algorithm), then the packet is dropped.
- After verifying the packet according to its checksum algorithm, the iNIC (in response to instructions of its balance thread) reads the packet's destination IP address to verify that the packet is addressed to the iNIC's server. If the packet is not addressed to the iNIC's server, then the packet is dropped.
- After verifying that the packet's destination IP address matches the server's IP address, the iNIC (in response to instructions of its balance thread) determines whether the packet's source IP address and source TCP port match a record in the temporary table. If so, a client has initiated a connection, but the connection endpoint has not yet attached to a socket associated with an application. In such a situation, the iNIC (in response to instructions of its balance thread) reads the packet to determine whether it represents a client request (e.g. the first packet in which the TCP flag is set to PUSH).
- If the packet is not a client request (e.g. TCP Flag set to ACK), the iNIC (in response to instructions of its balance thread) sends the packet and a reference to the connection endpoint (stored in the temporary table's matching record) to the protocol stack thread (which is executed by the iNIC's protocol stack processor). By comparison, if the packet is a client request (i.e. PUSH), the iNIC (in response to instructions of its balance thread) reviews the request and selects a server to process the request (e.g. according to the load-balancing technique). If the selected server is a different server (i.e. not the iNIC's server), the iNIC (in response to instructions of its balance thread) migrates the connection endpoint to the selected server.
- If the packet's source IP address and source TCP port do not match a record in the temporary table, the iNIC (in response to instructions of its balance thread) determines whether the packet is part of an already established connection to a different server. Accordingly, the iNIC (in response to instructions of its balance thread) determines whether the packet's source IP address and source TCP port match a record in the forward table. If so, the iNIC (in response to instructions of its balance thread) (a) identifies the different server's iNIC as storing the connection endpoint, (b) encapsulates the packet with an ipOS encapsulation header (FIG. 11 a), and (c) with the iNIC's forwarding processor, outputs the encapsulated packet through Port B to the different server's iNIC, so that the output encapsulated packet bypasses the network (e.g. LAN A in FIGS. 2a, 2 c, 2 d, 4 a, 4 b and 7) that is connected to Port A. In order to form the ipOS encapsulation header, the forward table stores the following information in association with the matching record: (a) the IP address of the different server's iNIC and (b) the TCP port of the server application which is executed by the different server.
- By encapsulating the packet with an encapsulation header, the iNIC (in response to instructions of its balance thread) addresses the packet to the previously selected server and migrated connection endpoint. Advantageously, in the illustrative embodiments, the IP packet is not rewritten. Such encapsulation is discussed further hereinbelow in connection with FIGS. 11 a-i.
- If the packet's source IP address and source TCP port do not match a record in the forward table, the iNIC (in response to instructions of its balance thread) determines whether the packet's source IP address and source TCP port match a record in the local table. If so, the iNIC (in response to instructions of its balance thread) identifies the packet as having a connection endpoint that is attached to a socket associated with a local application. Accordingly, in such a situation, the iNIC identifies itself as storing the connection endpoint. In such a situation, the iNIC (in response to instructions of its balance thread) sends the packet and a reference to the connection endpoint (stored in the local table's matching record) to the protocol stack thread.
- If the packet's source IP address and source TCP port do not match a record in the local table, the iNIC (in response to instructions of its balance thread) determines whether the IP packet's TCP SYN flag is set (e.g. determines whether a client is initiating a new connection) and whether the packet specifies an IP address and TCP port that match a record in the listening sockets table. If so, the iNIC sends the packet to the protocol stack processor for establishing a temporary connection. The protocol stack processor responds to the client with a SYN-ACK response packet as part of the TCP/IP initiation of a connection. Also, the iNIC creates a connection endpoint that has yet to be attached to a socket associated with an application. In the temporary table, the iNIC stores a record which includes a reference to such connection endpoint.
- As shown in FIG. 9 a, if the IP packet's TCP SYN flag is not set, or if the packet specifies an IP address and TCP port that do not match a record in the listening sockets table, then the packet is dropped.
- FIG. 9 b is a flowchart of the forward thread of FIG. 8 for TCP/IP based applications. FIG. 9b shows a detailed communication of a packet through the forward thread. The packet enters the forward thread from Port B. Packets from Port B are encapsulated packets and are sent to the forward thread.
- Accordingly, if the forward thread receives a packet from Port B, the packet either (a) is part of a new connection that is being migrated to the server's iNIC, or (b) is part of an existing connection that has already been migrated to the server's iNIC, or (c) is a verification that a connection was successfully migrated to another server's iNIC. In FIG. 12, the forward-connect table stores information representative of connection endpoints that have been migrated to the server. In response to such information, the forward thread determines a suitable operation to perform on the packet, using an IP address and TCP port as keys to locate records in the forward-connect table.
- As shown in FIG. 9 b, after receiving a packet from Port B, the iNIC (in response to instructions of its forward thread) verifies the packet's encapsulation header according to its checksum algorithm (16-bit one's compliment sum of the header). If the encapsulation header is corrupt (as evidenced by a failure to verify according to its checksum algorithm), then the packet is dropped.
- After verifying the encapsulation header according to its checksum algorithm, the iNIC (in response to instructions of its forward thread) reads the encapsulation header's destination IP address to verify that the encapsulated packet is addressed to the iNIC's Port B. If the encapsulated packet is not addressed to the iNIC's Port B, then the packet is dropped.
- After verifying that the encapsulated header's destination IP address matches the iNIC's Port B IP address, the iNIC (in response to instructions of its forward thread) determines whether the encapsulation header's type field is set to 0×01. If so, the packet is part of a new connection that is being migrated to the server's iNIC. In such a situation, the iNIC removes the encapsulation header and performs a one-time connection endpoint setup. As verification that the connection was successfully migrated, the iNIC (in response to instructions of its forward thread) sends a packet (with type field set to 0×03) through Port B to the originating iNIC (i.e. to the iNIC that requested the migration).
- By comparison, if the encapsulation header's type field is set to 0×02, the packet (e.g. PUSH, ACK or FIN types of packets) is part of an existing connection that has already been migrated to the server's iNIC. In such a situation, the iNIC (in response to instructions of its forward thread) reads the client source IP address and source TCP port from the encapsulation header and, in response thereto, locates a matching connection endpoint record in the forward-connect table. Also, the iNIC (in response to instructions of its forward thread) removes the encapsulation header and sends the unencapsulated packet (which is an IP packet) and a reference to the connection endpoint (stored in the forward-connect table's matching record) to the protocol stack thread.
- If the encapsulation header's type field is set to 0×03, then the packet is a verification that a connection was successfully migrated to another server's iNIC. In such a situation, the iNIC (in response to instructions of its forward thread) reads information from the encapsulation header and, in response thereto, locates a matching connection endpoint record in the temporary table. Then, the iNIC (in response to instructions of its forward thread): (a) moves such record from the temporary table to the forward table, (b) deletes such record in the temporary table, and (c) drops the packet.
- If the encapsulation header's type field is set to neither 0×01, 0×02 nor 0×03, then the packet is dropped.
- FIG. 9 c is a flowchart of the synchronization thread of FIG. 8. FIG. 9c shows a detailed communication of a packet through the synchronization thread. The packet enters the synchronization thread from the Synch Port. Packets from the Synch Port are sent to the synchronization thread.
- After receiving a packet from the Synch Port, the iNIC (in response to instructions of its synchronization thread) classifies the packet according to the synchronization thread's classification rules. Numerous embodiments of the synchronization thread and Synch Port are possible. As shown in FIG. 12, the iNIC includes a server state table for storing information representative of the current states of all servers in the server farm.
- As shown in FIG. 9 c, after receiving a packet from the Synch Port, the iNIC (in response to instructions of its synchronization thread) determines whether the packet is a UDP packet. If not, then the packet is dropped.
- After determining that the packet is a UDP packet, the iNIC (in response to instructions of its synchronization thread) determines whether the packet's source IP address matches a record in the server state table. If so, the packet indicates either an update to a server's state information or a removal of a server from the server state table (e.g. a removal of the server from the server farm due to maintenance). If the packet indicates an update to a server's state information, the iNIC (in response to instructions of its synchronization thread) updates the matching record in the server state table and drops the packet. By comparison, if the packet indicates a removal of a server from the server state table, the iNIC (in response to instructions of its synchronization thread) removes the matching record and drops the packet.
- If the iNIC (in response to instructions of its synchronization thread) determines that the packet's source IP address does not match a record in the server state table, the iNIC (in response to instructions of its synchronization thread): (a) adds a new record in the server state table in association with the packet's source IP address, (b) updates the new record in response to other information from the packet, and (c) drops the packet.
- Also, with the synchronization thread, the iNIC assembles state information of the iNIC's server into a packet for broadcast to other servers within the server farm. In the illustrative embodiments, the iNIC (in response to instructions of its synchronization thread) assembles such information into a UDP packet and outputs the UDP packet through the Synch Port.
- Referring to FIG. 8, the protocol stack thread implements the IP, UDP and TCP protocols, including operations that are commonly referred to as the Network and Transport Layers. Some conventional techniques would perform the protocol stack operations in the OS of the server's main board circuitry. Accordingly, such conventional techniques would perform (a) network address translations in IP packets that are communicated between clients and specified servers in the server farm and (b) TCP splicing (e.g. rewriting of sequence numbers).
- By comparison, in the illustrative embodiments, the protocol stack operations are performed advantageously by the protocol stack processor (in response to protocol stack instructions) of the server's iNIC. For example, in the illustrative embodiments, the protocol stack thread avoids the need to perform network address translations (“NATs”) in IP packets that are communicated between clients and specified servers in the server farm. Moreover, in the illustrative embodiments, the protocol stack thread avoids the need to perform TCP splicing (e.g. rewriting of sequence numbers).
- FIG. 13 is a block diagram of the iNIC and main board circuitry of FIG. 3, according to the illustrative embodiments in which a socket application is related to a socket and its associated connection endpoint. In FIG. 13, a socket application includes instructions for initiating the formation of a socket by calling a system function (or by calling an application program interface (“API”)) to form a socket of a specific type (e.g. UDP or TCP) within a socket layer. In response to instructions of the OS kernel, the main board circuitry manages the socket layer. In response to such a call, the OS kernel includes instructions for forming the socket and returning a file descriptor (which references the socket) to the application.
- Although FIG. 13 shows a single socket, a socket application can be related to numerous sockets at any particular time. The socket layer includes instructions for sending one or more requests to the iNIC, in order to initiate the iNIC's formation of a new connection endpoint (of a specified type), and in order to initiate the iNIC's formation of a socket reference. Such request is associated with a socket, and the socket reference is a reference to that socket.
- In response to such a request, the iNIC (a) forms the new connection endpoint, irrespective of whether a socket application is associated with the new connection endpoint, and (b) returns a reference (which references the connection endpoint) to the socket layer. As shown in FIG. 13, the socket includes a reference (“connection endpoint reference”) for associating the socket with the connection endpoint. Likewise, the connection endpoint includes a reference (“socket reference”) for associating the connection endpoint with the socket. The protocol stack thread (executed by the protocol stack processor) has access to the iNIC's memory, where connection endpoints are stored in various tables (as discussed further herein in connection with FIG. 12).
- Also, the iNIC (in response to instructions of its protocol stack thread) is operable to associate an existing connection endpoint and a socket with one another. For such association, through the DMA circuitry and main board circuitry's memory, the iNIC's protocol stack processor sends a request (along with a reference to the connection endpoint) to the main board circuitry. In response to such request, the main board circuitry (a) forms a client specific socket (if a listening socket exists for the IP address and TCP Port), (b) stores the connection endpoint reference within the socket, and (c) returns a reference (which references the socket) to the iNIC. The iNIC completes the association by storing the socket reference within the connection endpoint.
- The protocol stack thread of the illustrative embodiments is similar to a conventional standard protocol stack (e.g. BSD protocol stack), but the protocol stack thread of the illustrative embodiments is modified from the conventional standard protocol stack in various ways. Such modifications include (a) the addition of several fields to the connection endpoint data structure, (b) the revision of protocol stack code to use the modified connection endpoint, and (c) the revision of protocol stack code to selectively add special information within an IP packet's data portion (e.g. session management). Moreover, the protocol stack thread of the illustrative embodiments is modified to advantageously avoid several conventional protocol stack operations, including checksum calculations and connection endpoint searches, because such operations are performed by the classification engine (e.g. a packet sent to the protocol stack thread is accompanied by a reference to the packet's associated connection endpoint).
- Referring again to FIG. 8, packets are sent to the protocol stack thread from the balance thread and the forward thread (en route to a server application). Such packets are moving up the protocol stack during a receive operation. After the protocol stack thread processes the packet, the protocol stack processor outputs the payload information (destined for the application) to the main board circuitry's memory through DMA circuitry (as discussed further hereinabove in connection with FIG. 3).
- As discussed herein in connection with FIG. 13, the connection endpoint includes a socket reference. In response to receiving payload information from the protocol stack processor, the main board circuitry appends the payload information to a socket queue for the referenced socket. Also, the main board circuitry alerts the application about such appending.
- Similarly, packets are sent to the protocol stack thread from an application (en route to Port A). Such packets are moving down the protocol stack during a send operation. As discussed herein in connection with FIG. 13, the socket includes a connection endpoint reference, so a packet sent to the protocol stack thread is accompanied by a reference to the packet's associated connection endpoint, and the protocol stack thread does not perform connection endpoint searching. Moreover, in processing such a packet, the protocol stack processor outputs the packet to a client through Port A without TCP splicing or packet rewriting.
- In an illustrative embodiment, for any server application that services a client request, a server's protocol stack processor (in response to instructions of its protocol stack thread) is operable to selectively form and add special information (for causing the client to perform an operation) within an IP packet before sending it to the client through Port A. In response to the special information, the client (in response to instructions of its application) is operable to: (a) maintain a session, as discussed further hereinbelow, (b) selectively update state information (stored by the client) in a manner specified by the special information (e.g. for state maintenance, such as modifying state information); and/or (c) selectively perform another application specific operation in a manner specified by the special information.
- For example, the server's protocol stack processor is operable to add the special information in response to the synchronized state information (which is discussed further hereinabove such as in connection with FIG. 6) of servers in the server farm. The protocol stack processor adds the special information within the IP packet's data portion (e.g. TCP payload), so that the special information is not contained in the IP packet's headers (e.g. IP, TCP or UDP header).
- Advantegeously, unlike at least one conventional technique, the protocol stack processor (of such an illustrative embodiment) adds the special information (e.g. session maintenance information, state maintenance information) in a manner that is independent of the main board circuitry, and independent of whether the server application includes any instructions for such purpose. By comparison, in at least one conventional technique, the protocol stack instructions affect the IP packet's headers (not the IP packet's data portion), so that session maintenance information (in the IP packet's data portion) is added by the main board circuitry in response to instructions of a server application (rather than in response to protocol stack instructions).
- A session (e.g. HTTP session) includes multiple connections. For example, in such an illustrative embodiment, after establishing a first connection of a session with a client (which executes an application, such as a web browser), the first server receives a request packet from the client. In response to the request packet, the first server's iNIC is operable to (a) select a server for maintaining the session with the client and (b) notify the client of the selection by outputting special information (e.g. HTTP session identifier, such as a cookie) in a response packet to the client. The special information is added to the response packet by the protocol stack processor of the first server's iNIC.
- Accordingly, in response to the request packet from the client, the first server's iNIC is operable to either: (a) in response to the synchronized state information (which identifies servers in the server farm that have access to suitable resources for servicing the client request), select one of the identified servers for maintaining the session with the client; or (b) select the first server for maintaining the session with the client, irrespective of the synchronized state information.
- In a first illustrative embodiment according to the HTTP protocol, the special information is an HTTP session identifier (which specifies a server for maintaining the session with the client). In the first illustrative embodiment, the client: (a) during the first connection, receives the response packet (which includes the HTTP session identifier) from the first server; (b) establishes a second connection of the session with the server farm; and (c) after establishing the second connection, adds the HTTP session identifier within a request packet (of the second connection) before sending it to the server farm. In response to the request packet (which includes the HTTP session identifier), the server farm is responsible for sending the request packet to the specified server.
- For example, in the first illustrative embodiment, the client establishes the second connection of the session with a server (“connecting server”) of the server farm, as discussed further hereinabove in connection with FIG. 2 a. In response to the second connection's request packet, the connecting server either: (a) keeps the request packet and processes it, if the request packet's HTTP session identifier specifies the connecting server; or (b) forwards the request packet to a different server (within the server farm) for processing, if the request packet's HTTP session identifier specifies the different server (as discussed further hereinbelow in connection with FIG. 10a and the cookie map table of FIG. 12). Accordingly, in the first illustrative embodiment, the servers in the server farm endeavor to synchronize state information with one another by sending and receiving the state information (including information for the cookie map table) through the server farm's synchronization hub, as discussed further hereinabove in connection with FIGS. 5c and 6. By comparison, in a conventional technique, the client would establish the second connection of the session with a flow switch, which in turn would send the second connection's request packet to a server as specified by the request packet's HTTP session identifier.
- In a second illustrative embodiment, the client (in response to instructions of its application): (a) during the first connection, receives the response packet (which includes the special information) from the first server; (b) if the special information specifies the first server, establishes the second connection of the session directly with the first server; and (c) if the special information specifies a second server (i.e. different than the first server), establishes the second connection of the session directly with the second server (instead of the first server). Also, in the second illustrative embodiment, the client (in response to instructions of its application) is operable to: (a) selectively update state information (stored by the client) in a manner specified by the special information (e.g. for state maintenance); and (b) selectively perform another application specific operation in a manner specified by the special information.
- Accordingly, in the first and second illustrative embodiments, the first server's iNIC is operable to selectively migrate the session to a second server in response to the synchronized state information. Likewise, after such migration, the second server's iNIC is operable to either: (a) in response to the synchronized state information, select a suitable server for maintaining the session with the client; or (b) select the second server for maintaining the session with the client, irrespective of the synchronized state information. In that manner, a server's iNIC is operable to selectively migrate a session by outputting special information in a response packet to the client during any connection of the session, not merely during the first connection.
- FIG. 10 a is a sequence diagram of steps for establishing a local TCP/IP connection between a client and a server, according to the illustrative embodiments. Referring also to FIG. 9a, a client initiates a new connection to a server by sending an IP SYN packet to Port A of the server's iNIC. Accordingly, the IP SYN packet is an initialization packet originating from the client. The packet is addressed to a particular destination IP address and destination TCP port (e.g. a specific listening socket for an application). The iNIC classifies and processes the packet according to the balance thread's classification rules and action code.
- If an application is listening for such a connection, the iNIC (in response to instructions of its balance thread) creates a connection endpoint and stores a record (in the temporary table of FIG. 12) which includes a reference to such connection endpoint. Also, the iNIC (in response to instructions of its balance thread) sends the SYN packet and a reference to the connection endpoint (stored in the temporary table's record) to the protocol stack thread. In response to the SYN packet, the protocol stack processor outputs a SYN-ACK response packet (as part of the standard TCP/IP socket connection setup process) to the client through Port A without modification. In response to the SYN-ACK response packet, the client sends an ACK packet to the server, thereby acknowledging receipt of the SYN-ACK response packet. Accordingly, the ACK packet originates from the client.
- The ACK packet (and subsequent packets from the client) has a source IP address and source TCP port that match the record in the temporary table. Accordingly, the iNIC (in response to instructions of its balance thread) sends the ACK packet and a reference to the connection endpoint (stored in the temporary table's matching record) to the protocol stack thread. In response to such packet and reference, the protocol stack processor updates the connection endpoint in the iNIC's memory and drops the packet.
- In an illustrative embodiment, the next packet sent from the client is a client request packet (e.g. the first packet in which the TCP flag is set to PUSH). Accordingly, the client request packet originates from the client. In an alternative embodiment, the client request packet is sent by the client at a later time. In this example, the client request packet includes the client request for resource (e.g. GET request using the HTTP protocol). In response to such client request for resource, the iNIC (in response to instructions of its balance thread) selects a server to process the request.
- For example, in selecting a server to process the request, the iNIC examines the client request packet to determine whether the packet includes special information in the form of a cookie. With a cookie, the client is able to request connection to a specified server in the server farm. In a first illustrative embodiment according to the HTTP protocol, the client is able to insert a cookie in the packet for maintaining an HTTP session (e.g. a series of connections) between the client and the specified server. In a second illustrative embodiment according to a different protocol, the client is able to pass special information (within a packet to a server) according to the different protocol without a cookie.
- Accordingly, if the packet includes a cookie (as represented by an identifier in the packet), the iNIC selects the cookie's specified server to service the request (including performing a suitable operation). In such a situation, if the cookie's specified server is the iNIC's server (i.e. the balance thread's server), the iNIC performs the suitable operation in response to the packet. By comparison, if the cookie's specified server is a different server (i.e. not the balance thread's server), the iNIC migrates the packet's associated connection endpoint to the cookie's specified server for performing the suitable operation in response to the packet. Referring also to FIGS. 3 and 12, the iNIC's cookie map table (included within the process information in iNIC memory) stores information for mapping a specified cookie identification tag to an associated server.
- Similarly, in selecting a server to process the request, the iNIC examines the client request packet to determine whether information in the packet has been mapped (e.g. by an administrator of the server farm) to one or more associated servers in the server farm. For example, the iNIC examines the client request (e.g. HTTP request) to determine whether a specific URL has been mapped to one or more associated servers in the server farm (e.g. see discussion hereinabove in connection with FIG. 2 d). Referring also to FIGS. 3 and 12, the iNIC's URL map table (included within the process information in iNIC memory) stores information for mapping a specified URL address of a server application to one or more associated servers within the server farm. Accordingly, if the URL map table indicates that the specified URL (as represented by an identifier in a request packet) is associated with a single server within the server farm, the iNIC selects the associated server to service the connection (including performing a suitable operation). If the associated server is the iNIC's server, the iNIC performs the suitable operation in response to the request packet. If the associated server is different than the iNIC's server, the iNIC outputs the request packet to the associated server's iNIC for performing the suitable operation in response to the request packet. If the URL map table indicates that the specified URL is associated with multiple servers within the server farm, the iNIC selects one of the multiple servers to service the connection (including performing the suitable operation), according to the load-balancing technique in response to the synchronized state information.
- Similarly, the iNIC memory's process information includes an SSL (secure socket layer) map table for mapping a specified SSL connection (port 443) to one or more associated servers within the server farm. Accordingly, if the SSL map table indicates that the specified SSL connection (as represented by an identifier in a request packet) is associated with a single server within the server farm, the iNIC selects the associated server to service the SSL connection (including performing a suitable operation). If the associated server is the iNIC's server, the iNIC performs the suitable operation in response to the request packet. If the associated server is different than the iNIC's server, the iNIC outputs the request packet to the associated server's iNIC for performing the suitable operation in response to the request packet. If the SSL map table indicates that the specified SSL connection is associated with multiple servers within the server farm, the iNIC selects one of the multiple servers to service the SSL connection (including performing the suitable operation), according to the load-balancing technique in response to the synchronized state information.
- If the client request packet does not contain special information for connection to a specified server (e.g. does not include a cookie) and does not specify information (e.g. a URL or SSL) that is mapped to one or more associated servers, then the iNIC selects a server (to process the request) according to the load-balancing technique in response to the synchronized state information.
- In selecting a server to process the request, the connection is reclassified from being a temporary connection to being either a local connection or a forwarded connection. The connection is reclassified to being a local connection if the client request packet is processed by the server (“first server”) without forwarding to a second server. By comparison, the connection is reclassified to being a forwarded connection if the client request packet is forwarded to a second server for processing (e.g. if the first server is too busy, or if the client request is part of a session maintained by the second server).
- In the example of FIG. 10 a, the connection is reclassified to being a local connection. In such a situation, the iNIC (in response to instructions of its balance thread) moves the associated connection endpoint record from the temporary table to the local table. Also, in such a situation, the protocol stack processor establishes the actual connection to the application through the socket layer by forming the socket reference in the connection endpoint and forming the connection endpoint reference in the socket.
- FIG. 14 is a block diagram of servers within a server farm, according to an illustrative embodiment in which the servers establish sockets and associated connection endpoints for a local connection and a forwarded (or “migrated”) connection. FIG. 14
1 and 2 in the server farm.shows servers Server 1 includesmain board circuitry 1 andiNIC 1.Server 2 includesmain board circuitry 2 andiNIC 2. - In the example of FIG. 14, an application of
server 1 has established a connection to a client throughsocket 1 andconnection endpoint 1 to a client. Likewise, an application ofserver 2 has established a connection to a client through socket A and connection endpoint A. For clarity, FIG. 14 does not show (a) the complete association between a specific application and a specific socket(s) through a socket layer, which is discussed elsewhere herein in connection with the protocol stack thread, (b) other connections that have already been established, or (c) the association between connection endpoints (e.g. in a doubly linked list) within an iNIC memory. - In one example, a connection with a client is represented by connection endpoint 2 (which includes information for the connection) formed as part of the SYN, SYN-ACK, and ACK packet processing of FIG. 10a. For the connection, before
iNIC 1 receives the client request packet from the client,connection endpoint 2 is not yet associated with a socket in the socket layer ofmain board circuitry 1, so an application has not yet been assigned to process the connection. As discussed hereinabove in connection with FIG. 10a, the connection is reclassified to being a local connection if the client request packet is processed by a first server (e.g. server 1 in FIG. 14) without forwarding to a second server (e.g. server 2 in FIG. 14). If the connection is reclassified to being a local connection,iNIC 1 sends a request tomain board circuitry 1. In response to such request,main board circuitry 1 initiates the formation ofsocket 2 within the socket layer ofmain board circuitry 1.Socket 2 is associated with the application,connection endpoint 2, and the client. - Referring also to FIG. 10 a, the protocol stack thread receives information from the application (along with a reference to its associated connection endpoint). In response to such information, the iNIC (in response to instructions of its protocol stack thread) forms a packet by adding suitable header information (including checksum calculations) and sends the packet to the client through Port A. Advantageously, the packet sent by the iNIC is received by the client without intervening network address translation (“NAT”) or TCP splicing (e.g. without rewriting of sequence numbers), in contrast to the conventional flow switch architecture of FIG. 1b.
- If the iNIC (in response to instructions of its balance thread) determines that a source IP address and source TCP port of a packet (originating from the client and received at Port A) match a record in the local table, the iNIC sends the packet and a reference to the connection endpoint (stored in the local table's matching record) to the protocol stack thread. After the protocol stack thread processes the packet, the protocol stack processor sends the payload information (destined for the connection endpoint's associated socket application) to the main board circuitry's memory through DMA circuitry (as discussed further hereinabove in connection with FIG. 3). The main board circuitry adds the payload information to a socket queue associated with the socket application. Advantageously, the protocol stack thread processes the packet without performing NAT or TCP splicing.
- FIG. 10 b is a sequence diagram of steps for establishing a forwarded connection between a client and a server, according to the illustrative embodiments. FIG. 10c is a sequence diagram of steps for processing a forwarded connection with a server, according to the illustrative embodiments. In FIG. 10b (as in FIG. 10a), a client initiates a new connection to a server by sending an IP SYN packet to Port A of the server's iNIC.
- If an application is listening for such a connection attempt, the iNIC (in response to instructions of its balance thread) creates a connection endpoint and stores a record (in the temporary table of FIG. 12) which includes a reference to such connection endpoint. Also, the iNIC (in response to instructions of its balance thread) sends the SYN packet and a reference to the connection endpoint (stored in the temporary table's record) to the protocol stack thread. In response to the SYN packet, the protocol stack processor sends a SYN-ACK response packet (as part of the standard TCP/IP socket connection setup process) to the client through Port A without modification.
- In response to the SYN-ACK response packet, the client sends an ACK packet to the server, thereby acknowledging receipt of the SYN-ACK response packet. The ACK packet (and subsequent packets from the client) has a source IP address and source TCP port that match the record in the temporary table. Accordingly, the iNIC (in response to instructions of its balance thread) sends the ACK packet and a reference to the connection endpoint (stored in the temporary table's matching record) to the protocol stack thread. In response to such packet and reference, the protocol stack processor updates the connection endpoint in the iNIC's memory and drops the packet.
- In this example, the next packet sent from the client is a client request packet. In response to the client request packet, the iNIC (in response to instructions of its balance thread) selects a server to process the request, in the same manner as discussed further hereinabove in connection with FIG. 10 a. If the iNIC selects a different server (i.e. not the balance thread's server), the iNIC migrates the packet's associated connection endpoint to the different server, and the connection is reclassified to being a forwarded connection.
- In the example of FIG. 10 b, the connection is reclassified to being a forwarded connection. Referring also to FIG. 14, the connection is represented by connection endpoint 3 (which includes information for the connection) formed as part of the SYN, SYN-ACK, and ACK packet processing of FIG. 10b. For the connection, before
iNIC 1 receives the client request packet from the client,connection endpoint 3 is not yet associated with a socket in the socket layer ofmain board circuitry 1, so an application has not yet been assigned to process the connection. - For example, if
iNIC 1 selectsserver 2 to process the client request,iNIC 1 migratesconnection endpoint 3 toiNIC 2 in reclassifying the connection to being a forwarded connection. For clarity, oniNIC 2, the migratedconnection endpoint 3 is denoted as connection endpoint B in FIG. 14. - In migrating
connection endpoint 3 fromiNIC 1 toiNIC 2,iNIC 1 prependsconnection endpoint 3 with an ipOS encapsulation header to form an ipOS encapsulated packet, whichiNIC 1 outputs through its Port B toiNIC 2, as discussed further hereinbelow in connection with FIGS. 11a-i. Accordingly, connection endpoint B includes a copy of information fromconnection endpoint 3 and additional information such asserver 1's IP address and the destination TCP port of the client request. Moreover, in such an ipOS encapsulated packet, the encapsulation header's type field is set to 0×01. - Referring to FIGS. 9 b and 10 c, in response to receiving such an ipOS encapsulated packet at Port B of
iNIC 2, iNIC 2 (in response to rules code of its forward thread) (a) determines that such packet is a migration of a connection endpoint, (b) unpacks the packet, and (c) sends the connection endpoint to the protocol stack thread. Also, in such a situation, iNIC 2 (a) establishes connection endpoint B and (b) in response to instructions of its protocol stack thread, sends a request tomain board circuitry 2. In response to such request,main board circuitry 2 initiates the formation of socket B within the socket layer ofmain board circuitry 2. - Socket B is associated with the application, connection endpoint B, and the client. In such a situation, the protocol stack processor of
iNIC 2 establishes the actual connection to the application through the socket layer ofmain board circuitry 2 by storing the socket reference within connection endpoint B and storing the connection endpoint reference within socket B. Moreover, in the forward-connect table ofiNIC 2, it stores a record which includes a reference to connection endpoint B. - After storing such record in its forward-connect table, iNIC 2 (in response to instructions of its forward thread) forms an encapsulated acknowledgement packet and outputs such packet to
iNIC 1 through Port B as a verification that the connection endpoint was successfully migrated toiNIC 2. In such a packet, the encapsulation header's type field is set to 0×03. The encapsulated acknowledgement packet is received by iNIC 1 (at its Port B), which processes the packet as discussed further hereinabove in connection with FIG. 9b (including moving the associated connection endpoint record from the temporary table ofiNIC 1 to the forward table of iNIC 1). - The client is unaware of the connection endpoint migration from
iNIC 1 toiNIC 2. Accordingly, the client sends packets (of the connection) addressed toserver 1 instead ofserver 2. Examples of such packets (originating from the client) include TCP/IP packets with PUSH, ACK or FIN flags set. Referring also to FIG. 9a, (a) such a packet's source IP address and source TCP port match a record in the forward table ofiNIC 1, (b) in response to such match,iNIC 1 encapsulates such packet with an encapsulation header (whose type field is set to 0×02), as discussed further hereinbelow in connection with FIGS. 11a-i, and (c) the forwarding processor ofiNIC 1 sends (through Port B) the encapsulated packet toiNIC 2, which processes (e.g. performs an operation in response to) such packet as discussed further hereinabove in connection with FIG. 9b. Advantageously, in the illustrative embodiments, the original IP packet is not rewritten (e.g. without NAT or TCP splicing). - Likewise, the client receives packets (of the connection) which appear to be sent from
server 1 instead of server 2 (even though such packets bypassserver 1 and, instead, are sent from server 2).Server 2 achieves such a result by specifying (in such packets) a source IP address ofserver 1 instead ofserver 2, plus the sequence numbers associated with the connection. By reading the associated connection endpoint (which includes the addresses ofserver 1 and the client, plus the sequence numbers associated with the connection),server 2's iNIC avoids NATs and TCP splicing, becauseserver 2's iNIC forms a response packet according to the addresses ofserver 1 and the client and sequence numbers associated with the connection between the client andserver 2. - For example, referring to FIG. 10 c, in
server 2, packets are sent to the protocol stack thread from an application (en route to Port A of iNIC 2). As discussed herein in connection with FIG. 13, the socket includes a connection endpoint reference, so a packet sent to the protocol stack thread is accompanied by a reference to the packet's associated connection endpoint, and the protocol stack thread does not perform connection endpoint searching. Moreover, in processing such a packet, the protocol stack processor sends the packet to a client through Port A without TCP splicing or packet rewriting. Advantageously, the packet is received by the client without intervening TCP splicing or NAT, in contrast to the conventional flow switch architecture of FIG. 1b. - For establishing a connection between a client and a server's socket application, the illustrative embodiments achieve various advantages over conventional techniques. According to one conventional technique, a content aware flow switch performs a “connection spoof” in which a connection is established between the client and the flow switch. Such a connection (between the client and the flow switch) is conventionally referred to as a delayed bind and operates to delay selection of a server in the server farm until the client request packet is received by the flow switch.
- After the flow switch receives the client request packet, the flow switch selects a server to process the client request. After selecting a server, the flow switch establishes another connection between the flow switch and the selected server. Accordingly, for processing the client request, the flow switch maintains two connections, namely (a) a first connection between the client and the flow switch and (b) a second connection between the flow switch and the selected server.
- With such a conventional technique, packets between the client and the selected server are passed through the flow switch. The client does not establish a direct connection with the selected server. In such a situation, the flow switch manipulates (e.g. rewrites) the packets in the course of performing “translation” operations such as TCP splicing, NATs, and checksum calculations.
- By comparison, the illustrative embodiments do not perform such a “connection spoof.” Instead, the illustrative embodiments perform a delayed connection endpoint to application socket bind. Advantageously, after performing such bind (or “association”) between the connection endpoint and application socket, the illustrative embodiments send packets between the client and the selected server without TCP splicing or NATs.
- Even after performing a connection endpoint to application socket bind in response to a first request packet (as discussed further hereinabove in connection with FIGS. 10 a-c), a server's iNIC (in response to instructions of its ipOS) remains operable to selectively migrate the connection endpoint during the same connection (e.g. before closing the TCP or UDP connection). For example, even after performing a connection endpoint to application socket bind, a first server's iNIC (in response to instructions of its ipOS) remains operable to selectively migrate the connection endpoint to a second server's iNIC in response to (a) the request packet(s) received from the client, (b) the synchronized state information (which is discussed further hereinabove such as in connection with FIG. 6) of servers in the server farm, and/or (c) a command received at Port B of the first server's iNIC from a system administrator (e.g. in the course of performing server maintenance).
- In a first example, during a connection, if a client (in response to instructions of its application, such as an Internet gaming application) sends first and second request packets to a first server, (a) in response to the first request packet, the first server's iNIC (in response to instructions of its ipOS) is operable to selectively classify the connection as a local connection and process it accordingly, as discussed further hereinabove in connection with FIGS. 10 a and 14, and (b) in response to the second request packet, the first server's iNIC (in response to instructions of its ipOS) remains operable to selectively migrate the connection endpoint to a second server's iNIC.
- After performing a connection endpoint to application socket bind, in migrating the connection endpoint from the first server's iNIC to the second server's iNIC, the first server's iNIC: (a) removes the association between (or “disassociates”) the connection endpoint and the first server's application socket; and (b) through Port B, migrates the connection endpoint to the second server's iNIC, as discussed further herein in connection with FIGS. 10 b-c, 13 and 14.
- In a second example, during a connection, in response to a request packet of the connection, a first server's iNIC (in response to instructions of its ipOS) is operable to selectively migrate the connection endpoint to a second server's iNIC. In such a situation, the second server's iNIC performs a connection endpoint to application socket bind at the second server. Subsequently, during the connection, the second server's iNIC is operable to selectively: (a) maintain the connection endpoint to application socket bind at the second server; or (b) in response to a request from the first server's iNIC (via its Port B) to the second server's iNIC (via its Port B), or vice versa, migrate the connection endpoint back to the first server's iNIC; or (c) in response to a request from the first server's iNIC (via its Port B) to the second server's iNIC (via its Port B), or vice versa, migrate the connection endpoint to a third server's iNIC.
- In migrating the connection endpoint from the second server's iNIC back to the first server's iNIC, the second server's iNIC: (a) removes the association between the connection endpoint and the second server's application socket; (b) removes the matching connection endpoint record in the forward-connect table of the second server's iNIC; and (c) through Port B, migrates the connection endpoint to the first server's iNIC, similar to the manner discussed further herein in connection with FIGS. 10 b-c, 13 and 14. However, in such migration, the first server's iNIC stores the matching connection endpoint record in its local table instead of its forward-connect table. Moreover, the first server's iNIC removes the matching record in the forward table of the first server's iNIC.
- In migrating the connection endpoint from the second server's iNIC to a third server's iNIC, the second server's iNIC: (a) removes the association between the connection endpoint and the second server's application socket; (b) removes the matching connection endpoint record in the forward-connect table of the second server's iNIC; (c) modifies the connection endpoint to specify the IP address and TCP port of the third server's iNIC instead of the second server's iNIC and (d) through Port B, migrates the connection endpoint to the third server's iNIC, similar to the manner discussed further herein in connection with FIGS. 10 b-c, 13 and 14. Moreover, the first server's iNIC (a) modifies the matching record in the forward table of the first server's iNIC to specify the IP address and TCP port of the third server's iNIC instead of the second server's iNIC and (b) modifies the connection endpoint to specify the IP address and TCP port of the third server's iNIC instead of the second server's iNIC.
- FIG. 11 a is a conceptual illustration of a conventional Ethernet encapsulation header. As shown in FIG. 11a, the header includes 14 bytes of information. The first field (6 bytes) specifies a 48-bit destination address, the second field (6 bytes) specifies a 48-bit source address, and the last field (2 bytes) specifies a type of information within the packet (i.e. the packet to which the header is appended). Although the header of FIG. 11a is conventional, it has an unconventional aspect in which a type of 0×007 indicates that the packet includes ipOS encapsulation information.
- In the illustrative embodiments, the ipOS encapsulation protocol is advantageous for sending packets through Port B from a first server in the server farm to a second server in the server farm. The first server (with its iNIC's forwarding processor) splices encapsulation headers to packets that are sent through its iNIC's Port B to the second server's iNIC. For example, as discussed further hereinabove in connection with FIGS. 10 b and 14, in migrating a connection endpoint from a first iNIC (of a first server) to a second iNIC (of a second server), the first iNIC (with its forwarding processor) prepends the connection endpoint with an ipOS encapsulation header to form an ipOS encapsulated packet, which the first iNIC sends through its Port B to the second iNIC.
- In the illustrative embodiments, iNICs communicate packets to one another through Port B according to the Ethernet protocol. Accordingly, a packet encapsulated according to the ipOS encapsulation protocol (“ipOS encapsulated packet”) is further encapsulated by an Ethernet encapsulation header that specifies a type of 0×007. Additional elements of the ipOS encapsulation protocol are discussed hereinbelow in connection with FIGS. 11 b-i.
- FIG. 11 b is a conceptual illustration of an ipOS encapsulation header, according to the illustrative embodiments. As shown in FIG. 11b, the header includes 16 bytes of information. Such a header is useful for migrating a connection endpoint from a first iNIC (of a first server) to a second iNIC (of a second server).
- In the header of FIG. 11 b, the first field (4 bytes) specifies a source IP address of a client, and the second field (2 bytes) specifies a source port (which is a TCP or UDP port) of the client application which is executed by the client. The third field (4 bytes) specifies a destination IP address of the second server, and the fourth field (2 bytes) specifies a destination port (which is a TCP or UDP port) of the server application which is executed by the second server. The fifth field (1 byte) specifies a type of information within the packet (i.e. the packet to which the header is appended).
- For example, a type of 0×01 indicates that the packet includes connection endpoint information (e.g. see FIGS. 11 c, 11 d, 11 e and 11 f) that is being migrated to the second server. By comparison, a type of 0×02 indicates that the packet includes an IP packet (e.g. see FIGS. 11g and 11 h). A type of 0×03 indicates that the packet includes a verification that a connection endpoint was successfully migrated to the first server's iNIC (e.g. see FIG. 11i).
- Also, in the header of FIG. 11 b, the sixth field (1 byte) specifies a type of protocol for communicating information between a client and a server. For example, a protocol of 0×01 indicates that the IP packet includes a TCP payload. By comparison, a protocol of 0×02 indicates that the IP packet includes a UDP payload.
- Finally, in the header of FIG. 11 b, the last field (2 bytes) specifies a checksum for verifying the packet header.
- If a connection endpoint is migrated from a first iNIC (of a first server) to a second iNIC (of a second server), the connection endpoint specifies the (a) IP address of the client, (b) port (which is a TCP or UDP port) of the client application which is executed by the client, (c) IP address of the first server, (d) port (which is a TCP or UDP port) of the associated server application (“first server application”) that is executed by the first server (“first server application's port”), (e) IP address of the second server, and (f) port (which is a TCP or UDP port) of the associated server application (“second server application”) that is executed by the second server (“second server application's port”). The first server application is not necessarily identical to the second server application, and the first server application's port is not necessarily identical to the second server application's port. The connection endpoint is identifiable in response to the (a) IP address of the client, (b) port (which is a TCP or UDP port) of the client application which is executed by the client, (c) IP address of the second server, and (d) port (which is a TCP or UDP port) of the server application which is executed by the second server.
- Accordingly, the forward table (FIG. 12) includes sufficient information for identifying the connection endpoint associated with the packet. In that manner, such information operates as a reference to the connection endpoint. Likewise, sufficient information (for operating as a reference to the connection endpoint associated with the packet) is included within the single ipOS encapsulation header of FIG. 11 b, so that the second iNIC identifies the connection endpoint in response to the single ipOS encapsulation header. In that manner, the second iNIC (with its protocol stack processor in response to instructions of its protocol stack thread) processes the packet more efficiently in accordance with the packet's associated connection endpoint. Moreover, by sending packets from the first iNIC's Port B to the second iNIC's Port B, the second iNIC more readily and efficiently distinguishes between packets that are received from the first iNIC (through Port B) versus packets that are received from a client (through Port A).
- The ipOS encapsulation header of FIG. 11 b is superior to IP-IP encapsulation. For example, with IP-IP encapsulation, the second iNIC would execute additional protocol stack instructions to identify the connection endpoint. By comparison, with the ipOS encapsulation header of FIG. 11b, the network processor (discussed further hereinabove, such as in connection with FIGS. 5a-c, 8 and 9 a-c) identifies the connection endpoint associated with the packet. Accordingly, the network processor sends the packet and a reference to the connection endpoint to the protocol stack processor (which executes the protocol stack thread), as discussed further hereinabove. In that manner, the protocol stack processor's efficiency is enhanced.
- FIG. 11 c is a conceptual illustration of ipOS connection information for migration of a UDP connection endpoint, according to the illustrative embodiments. As shown in FIG. 11c, the information includes 6 bytes. The first field (4 bytes) specifies a source IP address of a first server, and the second field (2 bytes) specifies a source UDP port of the first server, which received the SYN packet from the client. The ipOS encapsulation header, together with the UDP ipOS connection information of FIG. 11c, is sufficient information for a second server (receiving such information) to establish a UDP connection endpoint.
- FIG. 11 d is a conceptual illustration of ipOS connection information for migration of a TCP connection endpoint, according to the illustrative embodiments. As shown in FIG. 11d, the information includes 146 bytes. The first field (4 bytes) specifies a source IP address of a first server, and the second field (2 bytes) specifies a source TCP port of the first server, which received the SYN packet from the client. The last field (140 bytes) specifies additional information for the TCP connection endpoint, such as information for output sequence variables, receive sequence variables, transmit timing variables, out-of-bound variables, and other suitable information. The ipOS encapsulation header, together with the TCP ipOS connection information of FIG. 11d, is sufficient information for a second server (receiving such information) to establish a TCP connection endpoint.
- FIG. 11 e is a conceptual illustration of an ipOS TCP connection endpoint packet, according to the illustrative embodiments. As shown in FIG. 11e, the packet includes 176 bytes. The first field (14 bytes) specifies an Ethernet encapsulation header (that specifies a type of 0×007) according to FIG. 11a, and the second field (16 bytes) specifies an ipOS encapsulation header according to FIG. 11b. The last field (146 bytes) specifies TCP ipOS connection information according to FIG. 11d. In the packet of FIG. 11e, the ipOS encapsulation header specifies a type of 0×01 and a protocol of 0×01.
- FIG. 11 f is a conceptual illustration of an ipOS UDP connection endpoint packet, according to the illustrative embodiments. As shown in FIG. 11f, the packet includes 36 bytes. The first field (14 bytes) specifies an Ethernet encapsulation header (that specifies a type of 0×007) according to FIG. 11a, and the second field (16 bytes) specifies an ipOS encapsulation header according to FIG. 11b. The last field (6 bytes) specifies UDP ipOS connection information according to FIG. 11c. In the packet of FIG. 11f, the ipOS encapsulation header specifies a type of 0×01 and a protocol of 0×02.
- FIG. 11 g is a conceptual illustration of a packet having an IP/TCP payload, according to the illustrative embodiments. As shown in FIG. 11g, the packet includes 70 bytes, plus the number of bytes of information in the TCP payload. The number of bytes of information in the TCP payload varies according to the type and protocol that are specified by the ipOS encapsulation header. In the packet of FIG. 11g, the first field (14 bytes) specifies an Ethernet encapsulation header (that specifies a type of 0×007) according to FIG. 11a, and the second field (16 bytes) specifies an ipOS encapsulation header according to FIG. 11b. Also, in the packet of FIG. 11g, the ipOS encapsulation header specifies a type of 0×02 and a protocol of 0×01.
- FIG. 11 h is a conceptual illustration of a packet having an IP/UDP payload, according to the illustrative embodiments. As shown in FIG. 11h, the packet includes 58 bytes, plus the number of bytes of information in the UDP payload. The number of bytes of information in the UDP payload varies according to the type and protocol that are specified by the ipOS encapsulation header. In the packet of FIG. 11h, the first field (14 bytes) specifies an Ethernet encapsulation header (that specifies a type of 0×007) according to FIG. 11a, and the second field (16 bytes) specifies an ipOS encapsulation header according to FIG. 11b. Also, in the packet of FIG. 11h, the ipOS encapsulation header specifies a type of 0×02 and a protocol of 0×02.
- FIG. 11 i is a conceptual illustration of a connection endpoint migration acknowledgement packet, which is a verification that a connection endpoint was successfully migrated to the iNIC of the server which sent the connection endpoint migration acknowledgement packet, according to the illustrative embodiments. As shown in FIG. 11i, the packet includes 30 bytes. In the packet of FIG. 11i, the first field (14 bytes) specifies an Ethernet encapsulation header (that specifies a type of 0×007) according to FIG. 11a, and the second field (16 bytes) specifies an ipOS encapsulation header according to FIG. 11b. Also, in the packet of FIG. 11i, the ipOS encapsulation header specifies a type of 0×03.
- FIG. 15 is a block diagram of a server farm including a deployment workstation for deploying application processes and associated software component objects to servers within the server farm, according to the illustrative embodiments. The illustrative embodiments achieve an improved overall use of the server farm's resources for applications. Advantageously, such an improved overall use of the server farm's resources is optional for other portions of the illustrative embodiments (e.g. client request load-balancing).
- The server farm architecture of the illustrative embodiments (e.g. FIG. 2 a) enables an application-aware server farm. Such an application-aware server farm includes a distributed system of iNICs (executing the ipOS) that are aware of the state of applications executing on servers within the server farm, as discussed further hereinabove in connection with the Synch Port. The iNICs execute the ipOS as a distributed system (“ipOS distributed operations system”) in coordination with one another to improve overall use of the server farm's resources.
- In the illustrative embodiments, the ipOS distributed operations system achieves two primary objectives in deploying and executing applications within the server farm. First, the ipOS distributed operations system achieves an improved dynamic deployment of socket application processes on the server farm. Accordingly, the ipOS distributed operations system selects a server for executing a particular application process, along with the timing of such execution.
- Second, with the ipOS distributed operations system, application developers have a platform to deploy and execute software component objects in support of socket applications. With the ipOS distributed operations system, the processor of an individual server's main board circuitry and associated resources operate efficiently in relation to the entire server farm. Accordingly, the ipOS distributed operations system architecture achieves load-balancing of application process resources (and their associated software component objects) within the server farm.
- Advantageously, the illustrative embodiments are compatible with conventional techniques in development of applications (and associated software component objects) deployed within a server farm for IP networks. A conventional development cycle involves the development of an application with reusable software objects (or component objects) that are deployed in a middleware component model, such as the development of an application process that calls service objects deployed in a middleware component model. Commercially available embodiments of middleware component models include Microsoft's Transaction Server (available from www.microsoft.com) and BEA's WebLogic Server (available from www.BEA.com).
- As shown in FIG. 15 for an illustrative embodiment, the server farm includes an additional workstation, denoted as a deployment workstation. Nevertheless, the addition of the deployment workstation is optional in a situation where a server in the server farm performs the same or similar operation of the deployment workstation. The deployment workstation operates as a central location (or repository) for deploying application processes and associated software component objects within the server farm.
- In the deployment workstation, ipOS deployment software includes the repository of application process executables (i.e. software instructions that are executable by a processor) and associated software component object executables. In response to instructions of the ipOS deployment software, the deployment workstation (a) selectively groups various application process executables and associated component object executables with one another into application packages and (b) makes the application packages available for deployment to servers in the server farm. The deployment workstation deploys an executable to a server in response to a request from either a user (e.g. network administrator), the server's iNIC (in response to instructions of its ipOS), or another server's iNIC (in response to instructions of its ipOS). For example, the deployment workstation deploys applications to servers within the server farm in accordance with FIG. 2 d and its associated discussion.
- In FIG. 15,
servers 1 through n in the server farm are configurable as shown in FIGS. 2a-c, but actual connections are not shown in FIG. 15 for clarity. In the example of FIG. 15, the deployment workstation is coupled toservers 1 through n through the deployment workstation's iNIC. Moreover, throughservers 1 through n, the deployment workstation is connected to an IP network. - The processor of the deployment workstation's main board circuitry executes the ipOS deployment software, which is written with conventional programming techniques. The ipOS deployment software includes software for managing application process executables and associated software component object executables (e.g. application packages) to improve overall use of the server farm's resources. For example, in response to instructions of the ipOS deployment software, the deployment workstation deploys the application process executables and component object executables (e.g. an application package) to servers in the server farm.
- In performing its operations, the deployment workstation (in response to instructions of the ipOS deployment software) communicates indirectly with an ipOS component object model which is executed by the processor of a server's main board circuitry. In response to instructions of either (a) the ipOS deployment software or (b) the ipOS of a server's iNIC, the server receives and stores copies of application process executables and component object executables (e.g. application packages) from the deployment workstation. FIG. 15 shows two examples of an application package being sent from the deployment workstation to an ipOS component object model.
- As shown by solid arrows in FIG. 15, in response to instructions of the ipOS deployment software, the deployment workstation's main board circuitry sends a first request (e.g. for sending an application package) to the deployment workstation's iNIC (e.g. triggered in response to a request from a network administrator). In response to the first request, the deployment workstation's iNIC (in response to instructions of its ipOS) sends an associated second request to
server 1's iNIC. In response to the second request,server 1's iNIC (in response to instructions of its ipOS) sends an associated third request to the ipOS component object model of the main board circuitry ofserver 1. - After the third request is processed by the ipOS component object model of the main board circuitry of
server 1, the deployment workstation (in response to instructions of the ipOS deployment software) sends the application package to the ipOS component object model ofserver 1 through the respective iNICs of the deployment workstation andserver 1. The iNIC ofserver 1 stores a record of the availability of the executables (e.g. one or more application processes and/or component objects). Similarly, the deployment workstation (in response to instructions of the ipOS deployment software) sends process performance information to notify iNICs about application processes and component objects that are stored by particular servers for execution. - The deployment workstation sends such process performance information to the iNICs of servers within the server farm, in addition to the process instances that are output during synchronization (which is discussed further hereinabove such as in connection with FIG. 6). For example, the process instances represent a current state of processes that are already being executed by servers in the server farm. During synchronization, the process instances and process performance information are advertised by iNICs (of servers in the server farm) to one another, as discussed further hereinabove such as in connection with FIG. 6.
- As shown by dashed arrows in FIG. 15, the iNIC of server n (in response to instructions of its ipOS) sends a first request (e.g. for sending an application package) to the deployment workstation's iNIC (e.g. triggered in response to an application load-balancing process of the ipOS of server n's iNIC). In response to the first request, the deployment workstation's iNIC (in response to instructions of its ipOS) sends an associated second request to the deployment workstation's main board circuitry. In response to the second request and instructions of the ipOS deployment software, the deployment workstation's main board circuitry sends an associated third request (e.g. for sending the application package) to the deployment workstation's iNIC.
- In response to the third request, the deployment workstation's iNIC (in response to instructions of its ipOS) sends an associated fourth request to
server 2's iNIC. In response to the fourth request,server 2's iNIC (in response to instructions of its ipOS) sends an associated fifth request to the ipOS component object model of the main board circuitry ofserver 2. - After the fifth request is processed by the ipOS component object model of the main board circuitry of
server 2, the deployment workstation (in response to instructions of the ipOS deployment software) sends the application package to the ipOS component object model ofserver 2 through the respective iNICs of the deployment workstation andserver 2. The iNIC ofserver 2 stores a record of the availability of the executables (e.g. one or more application processes and/or component objects). Similarly, the deployment workstation (in response to instructions of the ipOS deployment software) sends process performance information to notify iNICs about application processes and component objects that are stored by particular servers for execution. - FIG. 16 is a block diagram of servers within a server farm, according to an illustrative embodiment in which a
server 1 selectively initiates execution of (or “spawns”) an application process that is stored by aserver 2. FIG. 17 is a block diagram of servers within a server farm, according to an illustrative embodiment in which aserver 1 selectively spawns an object that is stored by aserver 2. In such illustrative embodiments, the ipOS distributed operations system performs operations for improving overall use of the server farm's resources for application processes and objects. - In FIG. 16,
server 1 executes m application processes (where m is an integer number). The main board circuitry's processor (in response to instructions of its OS) manages the state of such application processes. - In the example of FIG. 16, the iNIC of server 1 (in response to instructions of its ipOS) determines whether to spawn an application process (e.g. process 1) on another server (e.g. server 2), as for example to support additional resources for
process 1 executing onserver 1. The iNIC of server 1 (in response to instructions of its ipOS) makes such determination in response to information stored within its server state table (see FIG. 12). In response to such information, the iNIC (in response to instructions of its ipOS) performs load-balancing of application processes within the server farm in response to the synchronized state information. - As shown in FIG. 16, in support of additional resources, the iNIC of
server 1 sends a request to the iNIC ofserver 2 to spawnprocess 1 onserver 2. In response to the request, the iNIC of server 2 (in response to instructions of its ipOS) sends the request to the ipOS component object model ofserver 2 to spawnprocess 1. Accordingly, the ipOS component object model sends the request to the OS which is executing on the main board circuitry ofserver 2, and the OS spawns process 1 (e.g. loads the executable ofprocess 1 into the main board circuitry's memory for execution) on server 2 (which executes n application processes, where n is an integer number). - Conventional application processes are built upon service objects. In the example of FIG. 17, the ipOS component object model of
server 1 stores information for execution of q objects, where q is an integer number. As shown in FIG. 17,process 1 ofserver 1 sends a request to the ipOS component object model ofserver 1 for execution of anobject 1. For example,object 1 may perform a database operation. - In the example of FIG. 17, the ipOS component object model of
server 1 determines whether to spawnobject 1 onserver 1 or another server (e.g. server 2). For making such determination, the iNIC (in response to instructions of its ipOS) sends information to the ipOS component object model, such as (a) the state of other servers in the server farm and (b) whether particular servers store particular objects. In response to such information, the ipOS component object model performs load-balancing of objects within the server farm in response to the synchronized state information. - If the ipOS component object model of
server 1 determines to spawnobject 1 onserver 2, it sends a request to the iNIC ofserver 1. Accordingly, the iNIC of server 1 (in response to instructions of its ipOS) sends the request to the iNIC ofserver 2. In response to the request, the iNIC of server 2 (in response to instructions of its ipOS) sends the request to the ipOS component object model of server 2 (which stores information for execution of r objects, where r is an integer number), and the ipOS component object model ofserver 2 spawns object 1 (e.g. loads the executable ofobject 1 into the main board circuitry's memory for execution) on server 2 (on behalf ofprocess 1 of server 1), independent of a type of application that is associated with the object. - The respective iNICs of
server 1 andserver 2 coordinate the communication of information betweenprocess 1 ofserver 1 andobject 1 executing onserver 2. Accordingly, information fromprocess 1 to object 1 is sent fromprocess 1 to object 1 through the iNIC ofserver 1 and the iNIC ofserver 2, and vice versa. - With the architecture of the ipOS distributed operations system, redundant service objects (e.g. shadow objects) are executable by one or more servers (within the server farm). A shadow object is a duplicate of a primary service object that is spawned by an application process. During execution, the shadow object maintains the same state as the primary service object.
- With a shadow object, a server failure is more easily recoverable. For example, if execution of a primary service object fails (e.g. due to a fault in the primary service object's server), the shadow object is available to replace the primary service object in continuing such execution. This feature is especially advantageous for service objects that maintain state during an extended period of time (e.g. multi-player game objects).
- Referring to FIG. 15, the deployment workstation (in response to instructions of the ipOS deployment software) sends a request to a server for deploying a shadow object. In response to such request, the server deploys the shadow object with the server's ipOS component object model. For example, referring to FIG. 17, even if the ipOS component object model of
server 1 determines to spawn aprimary service object 1 onserver 1, the ipOS component object model ofserver 1 is operable to spawn ashadow object 1 onserver 2, thereby achieving a level of fault tolerance. - During execution, an application process requesting a service object is unaware that a shadow object has been spawned (and likewise is unaware of where the shadow object has been spawned). On behalf of the application process, the ipOS component object model is responsible for spawning and maintaining primary service objects and shadow objects. For the ipOS component object model's determination of when and where to spawn a shadow object, the iNIC (in response to instructions of its ipOS) sends information to the ipOS component object model, such as (a) the state of other servers in the server farm and (b) whether particular servers store particular objects.
- Each computer system of the illustrative embodiments includes (a) optionally, input devices for receiving information from a human user, (b) optionally, a display device (e.g. a conventional electronic cathode ray tube (“CRT”) device) for displaying information to the user, (c) a computing device (e.g. iNIC) for executing and otherwise processing instructions, (d) optionally, a nonvolatile storage device (e.g. a hard disk drive or other computer-readable medium (or apparatus), as discussed further hereinbelow) for storing information, and (e) various other electronic circuitry for performing other operations of the computer system.
- For example, the computing device includes a memory device (e.g. random access memory (“RAM”) device and read only memory (“ROM”) device) for storing information (e.g. instructions executed by the computing device and data operated on by the computing device in response to such instructions). Optionally, the computing device is connected to the input devices, the display device, and the computer-readable medium. The illustrative embodiments are independent of current computer architectures and methods of connecting devices (e.g. PCI bus). Moreover, the illustrative embodiments are compatible with emerging techniques for connecting computing devices (e.g. Infiniband).
- If the computing device is connected to the display device, the display device displays visual images in response to signals from the computing device, and the user views such visual images. If the computing device is connected to the input devices, the user operates the input devices in order to output information to the computing device, and the computing device receives such information from the input devices.
- The input devices include, for example, a conventional electronic keyboard or keypad and a pointing device such as a conventional electronic “mouse,” rollerball, or light pen. The user operates the keyboard or keypad to output alphanumeric text information from the keyboard. If the computing device is connected to the pointing device, the user operates the pointing device to output cursor-control information to the computing device, and the computing device receives such cursor-control information from the pointing device.
- If the computing device is connected to (or includes) a computer-readable medium, the computing device and computer-readable medium are structurally and functionally interrelated with one another as discussed further hereinbelow. The computer-readable medium stores (or encodes, or records, or embodies) functional descriptive material (e.g. including but not limited to software (also referred to as computer programs or applications) and data structures). Such functional descriptive material imparts functionality when encoded on the computer-readable medium. Also, such functional descriptive material is structurally and functionally interrelated to the computer-readable medium.
- Within such functional descriptive material, data structures define structural and functional interrelationships between such data structures and the computer-readable medium (and other aspects of the computing device and the computer system). Such interrelationships permit the data structures' functionality to be realized. Also, within such functional descriptive material, computer programs define structural and functional interrelationships between such computer programs and the computer-readable medium (and other aspects of the computing device and the computer system). Such interrelationships permit the computer programs' functionality to be realized.
- For example, the computing device reads (or accesses, or copies) such functional descriptive material from the computer-readable medium into the memory device of the computing device, and the computing device performs its operations (as discussed elsewhere herein) in response to such material which is stored in the memory device of the computing device. More particularly, the computing device performs the operation of processing a computer application (that is stored, encoded, recorded or embodied on a computer-readable medium) for causing the computing device to perform additional operations (as discussed elsewhere herein). Accordingly, such functional descriptive material exhibits a functional interrelationship with the way in which the computing device executes its processes and performs its operations.
- Further, the computer-readable medium is an apparatus from which the computer application is accessible by the computing device, and the computer application is processable by the computing device for causing the computing device to perform such additional operations. In addition to reading such functional descriptive material from the computer-readable medium, the computing device is capable of reading such functional descriptive material from (or through) a network which is also a computer-readable medium (or apparatus). Moreover, the memory device of the computing device is itself a computer-readable medium (or apparatus).
- Although illustrative embodiments have been shown and described, a wide range of modification, change and substitution is contemplated in the foregoing disclosure and, in some instances, some features of the embodiments may be employed without a corresponding use of other features. Accordingly, it is appropriate that the appended claims be construed broadly and in a manner consistent with the scope of the embodiments disclosed herein.
Claims (20)
Priority Applications (10)
| Application Number | Priority Date | Filing Date | Title |
|---|---|---|---|
| US09/872,376 US20020116397A1 (en) | 2000-12-21 | 2001-06-01 | Method and system for communicating an information packet through multiple router devices |
| PCT/US2001/049285 WO2002059742A1 (en) | 2000-12-21 | 2001-12-18 | Server farm information processing system and method of operation |
| US11/265,558 US7640298B2 (en) | 2000-12-21 | 2005-11-01 | Method and system for communicating an information packet through multiple router devices |
| US11/512,050 US20070067046A1 (en) | 2000-12-21 | 2006-08-28 | Method and system for communicating an information packet through multiple networks |
| US11/513,510 US7649876B2 (en) | 2000-12-21 | 2006-08-31 | Method and system for communicating an information packet through multiple router devices |
| US11/514,395 US7506063B2 (en) | 2000-12-21 | 2006-08-31 | Method and system for initiating execution of software in response to a state |
| US11/513,829 US20070061417A1 (en) | 2000-12-21 | 2006-08-31 | Method and system for selectively initiating execution of a software object |
| US11/513,840 US7406538B2 (en) | 2000-12-21 | 2006-08-31 | Method and system for identifying a computing device in response to an information packet |
| US11/513,511 US8341290B2 (en) | 2000-12-21 | 2006-08-31 | Method and system for selecting a computing device for maintaining a client session in response to a request packet |
| US13/674,447 US9100409B2 (en) | 2000-12-21 | 2012-11-12 | Method and system for selecting a computing device for maintaining a client session in response to a request packet |
Applications Claiming Priority (2)
| Application Number | Priority Date | Filing Date | Title |
|---|---|---|---|
| US25745600P | 2000-12-21 | 2000-12-21 | |
| US09/872,376 US20020116397A1 (en) | 2000-12-21 | 2001-06-01 | Method and system for communicating an information packet through multiple router devices |
Related Parent Applications (1)
| Application Number | Title | Priority Date | Filing Date |
|---|---|---|---|
| US09/872,329 Continuation US7546369B2 (en) | 2000-12-21 | 2001-06-01 | Method and system for communicating a request packet in response to a state |
Related Child Applications (2)
| Application Number | Title | Priority Date | Filing Date |
|---|---|---|---|
| US11/265,558 Continuation US7640298B2 (en) | 2000-12-21 | 2005-11-01 | Method and system for communicating an information packet through multiple router devices |
| US11/514,395 Continuation US7506063B2 (en) | 2000-12-21 | 2006-08-31 | Method and system for initiating execution of software in response to a state |
Publications (1)
| Publication Number | Publication Date |
|---|---|
| US20020116397A1 true US20020116397A1 (en) | 2002-08-22 |
Family
ID=26945971
Family Applications (4)
| Application Number | Title | Priority Date | Filing Date |
|---|---|---|---|
| US09/872,376 Abandoned US20020116397A1 (en) | 2000-12-21 | 2001-06-01 | Method and system for communicating an information packet through multiple router devices |
| US11/265,558 Expired - Lifetime US7640298B2 (en) | 2000-12-21 | 2005-11-01 | Method and system for communicating an information packet through multiple router devices |
| US11/513,510 Expired - Lifetime US7649876B2 (en) | 2000-12-21 | 2006-08-31 | Method and system for communicating an information packet through multiple router devices |
| US13/674,447 Expired - Fee Related US9100409B2 (en) | 2000-12-21 | 2012-11-12 | Method and system for selecting a computing device for maintaining a client session in response to a request packet |
Family Applications After (3)
| Application Number | Title | Priority Date | Filing Date |
|---|---|---|---|
| US11/265,558 Expired - Lifetime US7640298B2 (en) | 2000-12-21 | 2005-11-01 | Method and system for communicating an information packet through multiple router devices |
| US11/513,510 Expired - Lifetime US7649876B2 (en) | 2000-12-21 | 2006-08-31 | Method and system for communicating an information packet through multiple router devices |
| US13/674,447 Expired - Fee Related US9100409B2 (en) | 2000-12-21 | 2012-11-12 | Method and system for selecting a computing device for maintaining a client session in response to a request packet |
Country Status (1)
| Country | Link |
|---|---|
| US (4) | US20020116397A1 (en) |
Cited By (16)
| Publication number | Priority date | Publication date | Assignee | Title |
|---|---|---|---|---|
| US20040122963A1 (en) * | 2002-12-19 | 2004-06-24 | Dan Krejsa | System and method for implementing an asynchronous sockets interface |
| US20050044268A1 (en) * | 2003-07-31 | 2005-02-24 | Enigmatec Corporation | Self-managed mediated information flow |
| US20050060380A1 (en) * | 2003-07-31 | 2005-03-17 | Enigmatec Corporation | Mediated information flow |
| US20050254480A1 (en) * | 2004-05-17 | 2005-11-17 | Kicheon Kim | Router using clock synchronizer for distributed traffic control |
| US20080184228A1 (en) * | 2002-08-06 | 2008-07-31 | Tsao Sheng Tai Ted | Concurrent web based multi-task support for a standalone system or for an central controlled virtual system |
| US20080243867A1 (en) * | 2007-03-29 | 2008-10-02 | Microsoft Corporation | Reliable and scalable multi-tenant asynchronous processing |
| US7475157B1 (en) * | 2001-09-14 | 2009-01-06 | Swsoft Holding, Ltd. | Server load balancing system |
| US20130080627A1 (en) * | 2011-09-27 | 2013-03-28 | Oracle International Corporation | System and method for surge protection and rate acceleration in a traffic director environment |
| US8812729B2 (en) | 2006-06-12 | 2014-08-19 | Cloudsoft Corporation Limited | Self-managed distributed mediation networks |
| US20140359698A1 (en) * | 2011-06-23 | 2014-12-04 | Amazon Technologies, Inc. | System and method for distributed load balancing with distributed direct server return |
| US20150012832A1 (en) * | 2005-06-01 | 2015-01-08 | Qualcomm Incorporated | System and method to support data applications in a multi-homing, multi-mode communication device |
| US20150012665A1 (en) * | 2012-04-26 | 2015-01-08 | Huawei Technologies Co., Ltd. | Method, Apparatus, and System for Network Address Translation |
| US20160241513A1 (en) * | 2011-08-16 | 2016-08-18 | Microsoft Technology Licensing, Llc | Virtualization gateway between virtualized and non-virtualized networks |
| US20170093723A1 (en) * | 2015-09-29 | 2017-03-30 | Dell Products L.P. | Programmable data plane hardware load balancing system |
| US10313252B2 (en) * | 2003-06-17 | 2019-06-04 | Citrix Systems, Inc. | Method and system for dynamic interleaving |
| US20190342263A1 (en) * | 2018-05-02 | 2019-11-07 | Forcepoint Llc | Route reply back interface for cloud internal communication |
Families Citing this family (39)
| Publication number | Priority date | Publication date | Assignee | Title |
|---|---|---|---|---|
| US20020116397A1 (en) * | 2000-12-21 | 2002-08-22 | Berg Mitchell T. | Method and system for communicating an information packet through multiple router devices |
| US7167547B2 (en) * | 2002-03-20 | 2007-01-23 | Bellsouth Intellectual Property Corporation | Personal calendaring, schedules, and notification using directory data |
| US7711847B2 (en) | 2002-04-26 | 2010-05-04 | Sony Computer Entertainment America Inc. | Managing users in a multi-user network game environment |
| US20030217135A1 (en) | 2002-05-17 | 2003-11-20 | Masayuki Chatani | Dynamic player management |
| US8131802B2 (en) | 2007-10-05 | 2012-03-06 | Sony Computer Entertainment America Llc | Systems and methods for seamless host migration |
| US8560707B2 (en) | 2007-10-05 | 2013-10-15 | Sony Computer Entertainment America Llc | Seamless host migration based on NAT type |
| US8539089B2 (en) * | 2003-04-23 | 2013-09-17 | Oracle America, Inc. | System and method for vertical perimeter protection |
| US7593320B1 (en) * | 2004-04-30 | 2009-09-22 | Marvell International, Ltd. | Failover scheme for stackable network switches |
| US7606236B2 (en) * | 2004-05-21 | 2009-10-20 | Intel Corporation | Forwarding information base lookup method |
| ATE429110T1 (en) * | 2005-10-19 | 2009-05-15 | Alcatel Lucent | METHOD FOR PROCESSING AN INFORMATION PACKAGE AND COMMUNICATION DEVICES FOR USE THEREOF |
| US8161168B2 (en) * | 2006-03-18 | 2012-04-17 | Metafluent, Llc | JMS provider with plug-able business logic |
| US8619771B2 (en) | 2009-09-30 | 2013-12-31 | Vmware, Inc. | Private allocated networks over shared communications infrastructure |
| US8838756B2 (en) * | 2009-07-27 | 2014-09-16 | Vmware, Inc. | Management and implementation of enclosed local networks in a virtual lab |
| US8924524B2 (en) | 2009-07-27 | 2014-12-30 | Vmware, Inc. | Automated network configuration of virtual machines in a virtual lab data environment |
| US8892706B1 (en) | 2010-06-21 | 2014-11-18 | Vmware, Inc. | Private ethernet overlay networks over a shared ethernet in a virtual environment |
| US20100070650A1 (en) * | 2006-12-02 | 2010-03-18 | Macgaffey Andrew | Smart jms network stack |
| US20100299680A1 (en) * | 2007-01-26 | 2010-11-25 | Macgaffey Andrew | Novel JMS API for Standardized Access to Financial Market Data System |
| US7890662B2 (en) * | 2007-08-14 | 2011-02-15 | Cisco Technology, Inc. | System and method for providing unified IP presence |
| US8195774B2 (en) | 2008-05-23 | 2012-06-05 | Vmware, Inc. | Distributed virtual switch for virtualized computer systems |
| US8738780B2 (en) * | 2009-01-22 | 2014-05-27 | Citrix Systems, Inc. | System and method for hybrid communication mechanism utilizing both communication server-based and direct endpoint-to-endpoint connections |
| JP5458688B2 (en) * | 2009-03-19 | 2014-04-02 | 富士通株式会社 | Uniqueness guarantee support program, service providing system, and uniqueness guarantee realization method |
| US9501795B1 (en) | 2010-08-23 | 2016-11-22 | Seth Gregory Friedman | Validating an electronic order transmitted over a network between a client server and an exchange server with a hardware device |
| EP2656293B1 (en) | 2010-12-22 | 2019-10-09 | HyannisPort Research, Inc. | Data capture and real time risk controls for electronic markets |
| US8566842B2 (en) * | 2011-04-01 | 2013-10-22 | International Business Machines Corporation | Identification of a protocol used in a message |
| US8824471B2 (en) | 2011-06-01 | 2014-09-02 | Cisco Technology, Inc. | Maintained message delivery during routing domain migration |
| US8918392B1 (en) | 2012-03-29 | 2014-12-23 | Amazon Technologies, Inc. | Data storage mapping and management |
| US8930364B1 (en) * | 2012-03-29 | 2015-01-06 | Amazon Technologies, Inc. | Intelligent data integration |
| US8935203B1 (en) | 2012-03-29 | 2015-01-13 | Amazon Technologies, Inc. | Environment-sensitive distributed data management |
| US8832234B1 (en) | 2012-03-29 | 2014-09-09 | Amazon Technologies, Inc. | Distributed data storage controller |
| EP2747386A1 (en) * | 2012-12-20 | 2014-06-25 | Telefonica S.A. | Method and System for the creation, modification and removal of a distributed virtual customer premises equipment |
| US9646163B2 (en) | 2014-11-14 | 2017-05-09 | Getgo, Inc. | Communicating data between client devices using a hybrid connection having a regular communications pathway and a highly confidential communications pathway |
| US10637800B2 (en) | 2017-06-30 | 2020-04-28 | Nicira, Inc | Replacement of logical network addresses with physical network addresses |
| US10681000B2 (en) | 2017-06-30 | 2020-06-09 | Nicira, Inc. | Assignment of unique physical network addresses for logical network addresses |
| CN107566206B (en) * | 2017-08-04 | 2020-09-04 | 华为技术有限公司 | Flow measuring method, equipment and system |
| US10765952B2 (en) | 2018-09-21 | 2020-09-08 | Sony Interactive Entertainment LLC | System-level multiplayer matchmaking |
| US10695671B2 (en) | 2018-09-28 | 2020-06-30 | Sony Interactive Entertainment LLC | Establishing and managing multiplayer sessions |
| US10880211B2 (en) | 2019-05-06 | 2020-12-29 | Seth Gregory Friedman | Transaction encoding and verification by way of data-link layer fields |
| US10868707B1 (en) | 2019-09-16 | 2020-12-15 | Liquid-Markets-Holdings, Incorporated | Zero-latency message processing with validity checks |
| US11935120B2 (en) | 2020-06-08 | 2024-03-19 | Liquid-Markets GmbH | Hardware-based transaction exchange |
Citations (64)
| Publication number | Priority date | Publication date | Assignee | Title |
|---|---|---|---|---|
| US3622707A (en) * | 1969-09-03 | 1971-11-23 | Bell Telephone Labor Inc | Multiple channel subscriber loop |
| US4383280A (en) * | 1978-08-16 | 1983-05-10 | Peter Copeland | Recorder with timing channel |
| US5774660A (en) * | 1996-08-05 | 1998-06-30 | Resonate, Inc. | World-wide-web server with delayed resource-binding for resource-based load balancing on a distributed resource multi-node network |
| US5918017A (en) * | 1996-08-23 | 1999-06-29 | Internatioinal Business Machines Corp. | System and method for providing dynamically alterable computer clusters for message routing |
| US5937169A (en) * | 1997-10-29 | 1999-08-10 | 3Com Corporation | Offload of TCP segmentation to a smart adapter |
| US6006264A (en) * | 1997-08-01 | 1999-12-21 | Arrowpoint Communications, Inc. | Method and system for directing a flow between a client and a server |
| US6023563A (en) * | 1996-08-20 | 2000-02-08 | Shani; Ron | Networking switch having the network presence of a bridge |
| US6061349A (en) * | 1995-11-03 | 2000-05-09 | Cisco Technology, Inc. | System and method for implementing multiple IP addresses on multiple ports |
| US6104717A (en) * | 1995-11-03 | 2000-08-15 | Cisco Technology, Inc. | System and method for providing backup machines for implementing multiple IP addresses on multiple ports |
| US6105119A (en) * | 1997-04-04 | 2000-08-15 | Texas Instruments Incorporated | Data transfer circuitry, DSP wrapper circuitry and improved processor devices, methods and systems |
| US6182139B1 (en) * | 1996-08-05 | 2001-01-30 | Resonate Inc. | Client-side resource-based load-balancing with delayed-resource-binding using TCP state migration to WWW server farm |
| US6179489B1 (en) * | 1997-04-04 | 2001-01-30 | Texas Instruments Incorporated | Devices, methods, systems and software products for coordination of computer main microprocessor and second microprocessor coupled thereto |
| US6185619B1 (en) * | 1996-12-09 | 2001-02-06 | Genuity Inc. | Method and apparatus for balancing the process load on network servers according to network and serve based policies |
| US6195705B1 (en) * | 1998-06-30 | 2001-02-27 | Cisco Technology, Inc. | Mobile IP mobility agent standby protocol |
| US6226678B1 (en) * | 1995-09-25 | 2001-05-01 | Netspeak Corporation | Method and apparatus for dynamically defining data communication utilities |
| US6246683B1 (en) * | 1998-05-01 | 2001-06-12 | 3Com Corporation | Receive processing with network protocol bypass |
| US6247060B1 (en) * | 1997-10-14 | 2001-06-12 | Alacritech, Inc. | Passing a communication control block from host to a local device such that a message is processed on the device |
| US6252878B1 (en) * | 1997-10-30 | 2001-06-26 | Cisco Technology, Inc. | Switched architecture access server |
| US6256322B1 (en) * | 1998-10-02 | 2001-07-03 | Canon Kabushiki Kaisha | Bundling multiple network management packets |
| US6298370B1 (en) * | 1997-04-04 | 2001-10-02 | Texas Instruments Incorporated | Computer operating process allocating tasks between first and second processors at run time based upon current processor load |
| US20010037406A1 (en) * | 1997-10-14 | 2001-11-01 | Philbrick Clive M. | Intelligent network storage interface system |
| US6330602B1 (en) * | 1997-04-14 | 2001-12-11 | Nortel Networks Limited | Scaleable web server and method of efficiently managing multiple servers |
| US6363477B1 (en) * | 1998-08-28 | 2002-03-26 | 3Com Corporation | Method for analyzing network application flows in an encrypted environment |
| US6370584B1 (en) * | 1998-01-13 | 2002-04-09 | Trustees Of Boston University | Distributed routing |
| US6374300B2 (en) * | 1999-07-15 | 2002-04-16 | F5 Networks, Inc. | Method and system for storing load balancing information with an HTTP cookie |
| US6389462B1 (en) * | 1998-12-16 | 2002-05-14 | Lucent Technologies Inc. | Method and apparatus for transparently directing requests for web objects to proxy caches |
| US6400730B1 (en) * | 1999-03-10 | 2002-06-04 | Nishan Systems, Inc. | Method and apparatus for transferring data between IP network devices and SCSI and fibre channel devices over an IP network |
| US20020095519A1 (en) * | 1997-10-14 | 2002-07-18 | Alacritech, Inc. | TCP/IP offload device with fast-path TCP ACK generating and transmitting mechanism |
| US6427171B1 (en) * | 1997-10-14 | 2002-07-30 | Alacritech, Inc. | Protocol processing stack for use with intelligent network interface device |
| US6434620B1 (en) * | 1998-08-27 | 2002-08-13 | Alacritech, Inc. | TCP/IP offload network interface device |
| US6442612B1 (en) * | 1999-02-17 | 2002-08-27 | Axis Ab | Device and method for communication over a network |
| US6453360B1 (en) * | 1999-03-01 | 2002-09-17 | Sun Microsystems, Inc. | High performance network interface |
| US20020133529A1 (en) * | 2001-01-16 | 2002-09-19 | Schmidt Brian Keith | Method and apparatus for representing and encapsulating active computing environments |
| US20020152403A1 (en) * | 2001-04-12 | 2002-10-17 | International Business Machines Corporation | Method and system providing secure socket layer session sharing between network based servers and a client |
| US6473425B1 (en) * | 1997-10-02 | 2002-10-29 | Sun Microsystems, Inc. | Mechanism for dispatching packets via a telecommunications network |
| US6523068B1 (en) * | 1999-08-27 | 2003-02-18 | 3Com Corporation | Method for encapsulating and transmitting a message includes private and forwarding network addresses with payload to an end of a tunneling association |
| US6539494B1 (en) * | 1999-06-17 | 2003-03-25 | Art Technology Group, Inc. | Internet server session backup apparatus |
| US6549522B1 (en) * | 1997-12-17 | 2003-04-15 | British Telecommunications Public Limited Company | Mobile data rate enhancement via foreign agent load balancing |
| US6578066B1 (en) * | 1999-09-17 | 2003-06-10 | Alteon Websystems | Distributed load-balancing internet servers |
| US6587438B1 (en) * | 1999-12-22 | 2003-07-01 | Resonate Inc. | World-wide-web server that finds optimal path by sending multiple syn+ack packets to a single client |
| US20030135666A1 (en) * | 1998-05-06 | 2003-07-17 | Kim Do-Hyoung | Method for displaying operation state of system devices in network system |
| US6598077B2 (en) * | 1999-12-06 | 2003-07-22 | Warp Solutions, Inc. | System and method for dynamic content routing |
| US20030140153A1 (en) * | 1999-07-20 | 2003-07-24 | Thomas David Lawrence | Automatic initialization of a protocol stack |
| US6606301B1 (en) * | 1999-03-01 | 2003-08-12 | Sun Microsystems, Inc. | Method and apparatus for early random discard of packets |
| US6650640B1 (en) * | 1999-03-01 | 2003-11-18 | Sun Microsystems, Inc. | Method and apparatus for managing a network flow in a high performance network interface |
| US6671273B1 (en) * | 1998-12-31 | 2003-12-30 | Compaq Information Technologies Group L.P. | Method for using outgoing TCP/IP sequence number fields to provide a desired cluster node |
| US6691165B1 (en) * | 1998-11-10 | 2004-02-10 | Rainfinity, Inc. | Distributed server cluster for controlling network traffic |
| US6725272B1 (en) * | 2000-02-18 | 2004-04-20 | Netscaler, Inc. | Apparatus, method and computer program product for guaranteed content delivery incorporating putting a client on-hold based on response time |
| US6735169B1 (en) * | 1999-07-02 | 2004-05-11 | Cisco Technology, Inc. | Cascading multiple services on a forwarding agent |
| US6748420B1 (en) * | 1999-11-23 | 2004-06-08 | Cisco Technology, Inc. | Methods and apparatus for providing shared access to an application |
| US6754713B1 (en) * | 1996-10-29 | 2004-06-22 | Computer Associates Think, Inc. | System and method of controlling communication sessions |
| US6772333B1 (en) * | 1999-09-01 | 2004-08-03 | Dickens Coal Llc | Atomic session-start operation combining clear-text and encrypted sessions to provide id visibility to middleware such as load-balancers |
| US6778540B1 (en) * | 2000-05-31 | 2004-08-17 | International Business Machines Corporation | Facility for forwarding data from a network adapter to a router partition without internet protocol (ip) processing |
| US6785226B1 (en) * | 1999-09-01 | 2004-08-31 | Carriercomm, Inc. | System and method for data routing over a network |
| US6788649B1 (en) * | 1998-08-03 | 2004-09-07 | Mci, Inc. | Method and apparatus for supporting ATM services in an intelligent network |
| US6788980B1 (en) * | 1999-06-11 | 2004-09-07 | Invensys Systems, Inc. | Methods and apparatus for control using control devices that provide a virtual machine environment and that communicate via an IP network |
| US6799202B1 (en) * | 1999-12-16 | 2004-09-28 | Hachiro Kawaii | Federated operating system for a server |
| US6801949B1 (en) * | 1999-04-12 | 2004-10-05 | Rainfinity, Inc. | Distributed server cluster with graphical user interface |
| US6807183B1 (en) * | 2000-05-09 | 2004-10-19 | Advanced Micro Devices, Inc. | Arrangement for reading a prescribed location of a FIFO buffer in a network switch port |
| US6807176B1 (en) * | 2000-07-13 | 2004-10-19 | Advanced Micro Devices, Inc. | Arrangement for switching data packets in a network switch based on subnet identifier |
| US6823373B1 (en) * | 2000-08-11 | 2004-11-23 | Informatica Corporation | System and method for coupling remote data stores and mobile devices via an internet based server |
| US6850531B1 (en) * | 1999-02-23 | 2005-02-01 | Alcatel | Multi-service network switch |
| US6891839B2 (en) * | 1999-07-01 | 2005-05-10 | Cisco Technology, Inc. | Distributing packets among multiple tiers of network appliances |
| US6961346B1 (en) * | 1999-11-24 | 2005-11-01 | Cisco Technology, Inc. | System and method for converting packet payload size |
Family Cites Families (97)
| Publication number | Priority date | Publication date | Assignee | Title |
|---|---|---|---|---|
| US5214646A (en) * | 1990-01-31 | 1993-05-25 | Amnon Yacoby | System and method for interconnecting local area networks |
| US5251205A (en) | 1990-09-04 | 1993-10-05 | Digital Equipment Corporation | Multiple protocol routing |
| JPH0778776B2 (en) | 1991-09-24 | 1995-08-23 | インターナショナル・ビジネス・マシーンズ・コーポレイション | Access method and network for distributed resource part |
| US5323394A (en) * | 1992-04-07 | 1994-06-21 | Digital Equipment Corporation | Selecting optimal routes in source routing bridging without exponential flooding of explorer packets |
| US5432907A (en) * | 1992-05-12 | 1995-07-11 | Network Resources Corporation | Network hub with integrated bridge |
| US5619650A (en) | 1992-12-31 | 1997-04-08 | International Business Machines Corporation | Network processor for transforming a message transported from an I/O channel to a network by adding a message identifier and then converting the message |
| US5408469A (en) * | 1993-07-22 | 1995-04-18 | Synoptics Communications, Inc. | Routing device utilizing an ATM switch as a multi-channel backplane in a communication network |
| JP3599364B2 (en) | 1993-12-15 | 2004-12-08 | 富士通株式会社 | Network equipment |
| JPH07235939A (en) * | 1994-02-22 | 1995-09-05 | Fujitsu Ltd | Traffic distribution device and method, relay device and terminal device |
| US5987432A (en) * | 1994-06-29 | 1999-11-16 | Reuters, Ltd. | Fault-tolerant central ticker plant system for distributing financial market data |
| JPH0879309A (en) * | 1994-09-02 | 1996-03-22 | Fujitsu Ltd | LAN connection device and LAN connection system |
| CA2167634A1 (en) | 1995-01-23 | 1996-07-24 | Michael E. Fisher | Method and apparatus for maintaining network connections across a voluntary process switchover |
| US5692126A (en) * | 1995-01-24 | 1997-11-25 | Bell Atlantic Network Services, Inc. | ISDN access to fast packet data network |
| DE59605921D1 (en) | 1995-07-05 | 2000-10-26 | Siemens Ag | METHOD FOR TRANSMITTING INFORMATION PACKAGES BETWEEN EMULATED LANS |
| CN1078997C (en) * | 1995-07-05 | 2002-02-06 | 西门子公司 | Process for transferring data packets between emulated LANs |
| US5745703A (en) | 1995-07-18 | 1998-04-28 | Nec Research Institute, Inc. | Transmission of higher-order objects across a network of heterogeneous machines |
| US6330231B1 (en) | 1995-10-16 | 2001-12-11 | Nec Corporation | Dynamic server allocation for load balancing wireless remote interface processing |
| US6058429A (en) | 1995-12-08 | 2000-05-02 | Nortel Networks Corporation | Method and apparatus for forwarding traffic between locality attached networks using level 3 addressing information |
| US5781726A (en) * | 1996-01-31 | 1998-07-14 | 3Com Corporation | Management of polling traffic in connection oriented protocol sessions |
| CA2243359A1 (en) | 1996-01-31 | 1997-08-07 | Ipsilon Networks, Inc. | Improved method and apparatus for dynamically shifting between routing and switching packets in a transmission network |
| JPH09289520A (en) | 1996-02-19 | 1997-11-04 | Canon Inc | Transmission control method and network system using the same |
| US6085238A (en) | 1996-04-23 | 2000-07-04 | Matsushita Electric Works, Ltd. | Virtual LAN system |
| US5748897A (en) | 1996-07-02 | 1998-05-05 | Sun Microsystems, Inc. | Apparatus and method for operating an aggregation of server computers using a dual-role proxy server computer |
| US5889776A (en) | 1997-01-31 | 1999-03-30 | Alpnet Corporation | Physical layer switch system for ethernet local area network communication system |
| US6078943A (en) | 1997-02-07 | 2000-06-20 | International Business Machines Corporation | Method and apparatus for dynamic interval-based load balancing |
| CA2229652C (en) | 1997-02-14 | 2002-05-21 | Naoki Mori | Atm network with a filtering table for securing communication |
| US6052733A (en) | 1997-05-13 | 2000-04-18 | 3Com Corporation | Method of detecting errors in a network |
| US6457050B1 (en) | 1997-08-01 | 2002-09-24 | Mci Communications Corporation | System and method for dynamically restoring communications within a network |
| JP3319367B2 (en) | 1997-10-14 | 2002-08-26 | ケイディーディーアイ株式会社 | Network connection device |
| US6697868B2 (en) | 2000-02-28 | 2004-02-24 | Alacritech, Inc. | Protocol processing stack for use with intelligent network interface device |
| US6757746B2 (en) | 1997-10-14 | 2004-06-29 | Alacritech, Inc. | Obtaining a destination address so that a network interface device can write network data without headers directly into host memory |
| US6389479B1 (en) | 1997-10-14 | 2002-05-14 | Alacritech, Inc. | Intelligent network interface device and system for accelerated communication |
| US6591302B2 (en) | 1997-10-14 | 2003-07-08 | Alacritech, Inc. | Fast-path apparatus for receiving data corresponding to a TCP connection |
| US6807581B1 (en) | 2000-09-29 | 2004-10-19 | Alacritech, Inc. | Intelligent network storage interface system |
| US6427173B1 (en) | 1997-10-14 | 2002-07-30 | Alacritech, Inc. | Intelligent network interfaced device and system for accelerated communication |
| US6070191A (en) | 1997-10-17 | 2000-05-30 | Lucent Technologies Inc. | Data distribution techniques for load-balanced fault-tolerant web access |
| US6047325A (en) * | 1997-10-24 | 2000-04-04 | Jain; Lalit | Network device for supporting construction of virtual local area networks on arbitrary local and wide area computer networks |
| US6415329B1 (en) | 1998-03-06 | 2002-07-02 | Massachusetts Institute Of Technology | Method and apparatus for improving efficiency of TCP/IP protocol over high delay-bandwidth network |
| JPH11275097A (en) | 1998-03-20 | 1999-10-08 | Fujitsu Ltd | Network system |
| US6603769B1 (en) * | 1998-05-28 | 2003-08-05 | Cisco Technology, Inc. | Method and system for improving traffic operation in an internet environment |
| US6904519B2 (en) | 1998-06-12 | 2005-06-07 | Microsoft Corporation | Method and computer program product for offloading processing tasks from software to hardware |
| US6141705A (en) | 1998-06-12 | 2000-10-31 | Microsoft Corporation | System for querying a peripheral device to determine its processing capabilities and then offloading specific processing tasks from a host to the peripheral device when needed |
| US6157955A (en) | 1998-06-15 | 2000-12-05 | Intel Corporation | Packet processing system including a policy engine having a classification unit |
| US6452922B1 (en) | 1998-06-19 | 2002-09-17 | Nortel Networks Limited | Method and apparatus for fallback routing of voice over internet protocol call |
| US6745243B2 (en) | 1998-06-30 | 2004-06-01 | Nortel Networks Limited | Method and apparatus for network caching and load balancing |
| US6092178A (en) | 1998-09-03 | 2000-07-18 | Sun Microsystems, Inc. | System for responding to a resource request |
| US6253230B1 (en) | 1998-09-22 | 2001-06-26 | International Business Machines Corporation | Distributed scalable device for selecting a server from a server cluster and a switched path to the selected server |
| US6338089B1 (en) | 1998-10-06 | 2002-01-08 | Bull Hn Information Systems Inc. | Method and system for providing session pools for high performance web browser and server communications |
| US6546425B1 (en) | 1998-10-09 | 2003-04-08 | Netmotion Wireless, Inc. | Method and apparatus for providing mobile and other intermittent connectivity in a computing environment |
| US6006259A (en) | 1998-11-20 | 1999-12-21 | Network Alchemy, Inc. | Method and apparatus for an internet protocol (IP) network clustering system |
| US6665304B2 (en) | 1998-12-31 | 2003-12-16 | Hewlett-Packard Development Company, L.P. | Method and apparatus for providing an integrated cluster alias address |
| US6567377B1 (en) | 1999-03-18 | 2003-05-20 | 3Com Corporation | High performance load balancing of outbound internet protocol traffic over multiple network interface cards |
| US6512774B1 (en) | 1999-03-18 | 2003-01-28 | 3Com Corporation | Fail over with multiple network interface cards |
| US6590861B1 (en) | 1999-03-18 | 2003-07-08 | 3Com Corporation | Combining virtual local area networks and load balancing with fault tolerance in a high performance protocol |
| US6490632B1 (en) | 1999-03-18 | 2002-12-03 | 3Com Corporation | High performance load balancing and fail over support of internet protocol exchange traffic over multiple network interface cards |
| EP1051000B1 (en) | 1999-03-25 | 2014-05-07 | Canon Kabushiki Kaisha | Method and device for allocating at least one routing identifier to at least one bridge in a network |
| US8375127B1 (en) | 1999-03-31 | 2013-02-12 | International Business Machines Corporation | Method and system for using virtual URLs for load balancing |
| US6591306B1 (en) | 1999-04-01 | 2003-07-08 | Nec Corporation | IP network access for portable devices |
| US7299294B1 (en) * | 1999-11-10 | 2007-11-20 | Emc Corporation | Distributed traffic controller for network data |
| US6563824B1 (en) | 1999-04-20 | 2003-05-13 | 3Com Corporation | Apparatus and methods for determining the correct workstation within a LAN for a LAN modem to route a packet |
| US6788692B1 (en) | 1999-05-03 | 2004-09-07 | Nortel Networks Limited | Network switch load balancing |
| US7197547B1 (en) | 1999-05-11 | 2007-03-27 | Andrew Karl Miller | Load balancing technique implemented in a data network device utilizing a data cache |
| US6779016B1 (en) * | 1999-08-23 | 2004-08-17 | Terraspring, Inc. | Extensible computing system |
| JP4001698B2 (en) | 1999-10-14 | 2007-10-31 | 富士通株式会社 | Load balancing system |
| EP1912124B8 (en) | 1999-10-14 | 2013-01-09 | Bluearc UK Limited | Apparatus and system for implementation of service functions |
| US6683882B1 (en) | 1999-11-09 | 2004-01-27 | 3Com Corporation | Method and system for directing transmission of IPX control packets to influence reception of IPX data packets |
| US6874147B1 (en) | 1999-11-18 | 2005-03-29 | Intel Corporation | Apparatus and method for networking driver protocol enhancement |
| JP2001186193A (en) | 1999-12-24 | 2001-07-06 | Fujitsu Ltd | IP communication interface device, circuit switch, and IP communication network system |
| US6295276B1 (en) * | 1999-12-31 | 2001-09-25 | Ragula Systems | Combining routers to increase concurrency and redundancy in external network access |
| US6628615B1 (en) | 2000-01-18 | 2003-09-30 | International Business Machines Corporation | Two level virtual channels |
| DE10009570A1 (en) * | 2000-02-29 | 2001-08-30 | Partec Ag | Method for controlling the communication of individual computers in a computer network |
| US6718361B1 (en) | 2000-04-07 | 2004-04-06 | Network Appliance Inc. | Method and apparatus for reliable and scalable distribution of data files in distributed networks |
| AU2001253533A1 (en) | 2000-04-17 | 2001-10-30 | Circadence Corporation | System and method for reformatting data traffic |
| US7103626B1 (en) * | 2000-05-24 | 2006-09-05 | Hewlett-Packard Development, L.P. | Partitioning in distributed computer system |
| US6996617B1 (en) | 2000-08-17 | 2006-02-07 | International Business Machines Corporation | Methods, systems and computer program products for non-disruptively transferring a virtual internet protocol address between communication protocol stacks |
| US7698463B2 (en) * | 2000-09-12 | 2010-04-13 | Sri International | System and method for disseminating topology and link-state information to routing nodes in a mobile ad hoc network |
| US7165120B1 (en) | 2000-10-11 | 2007-01-16 | Sun Microsystems, Inc. | Server node with interated networking capabilities |
| US6879559B1 (en) | 2000-10-31 | 2005-04-12 | Chiaro Networks, Ltd. | Router line card protection using one-for-N redundancy |
| US7003574B1 (en) | 2000-11-01 | 2006-02-21 | Microsoft Corporation | Session load balancing and use of VIP as source address for inter-cluster traffic through the use of a session identifier |
| US7353277B1 (en) | 2000-11-14 | 2008-04-01 | Hewlett-Packard Development Company, L.P. | Dynamic load balancing of video requests |
| US7739398B1 (en) | 2000-11-21 | 2010-06-15 | Avaya Inc. | Dynamic load balancer |
| US6980521B1 (en) | 2000-11-29 | 2005-12-27 | Cisco Technology, Inc. | Method and apparatus for per session load balancing with improved load sharing in a packet switched network |
| US7421505B2 (en) * | 2000-12-21 | 2008-09-02 | Noatak Software Llc | Method and system for executing protocol stack instructions to form a packet for causing a computing device to perform an operation |
| US20020116397A1 (en) * | 2000-12-21 | 2002-08-22 | Berg Mitchell T. | Method and system for communicating an information packet through multiple router devices |
| US7546369B2 (en) * | 2000-12-21 | 2009-06-09 | Berg Mitchell T | Method and system for communicating a request packet in response to a state |
| US7418522B2 (en) * | 2000-12-21 | 2008-08-26 | Noatak Software Llc | Method and system for communicating an information packet through multiple networks |
| US7287090B1 (en) * | 2000-12-21 | 2007-10-23 | Noatak Software, Llc | Method and system for identifying a computing device in response to a request packet |
| US7512686B2 (en) * | 2000-12-21 | 2009-03-31 | Berg Mitchell T | Method and system for establishing a data structure of a connection with a client |
| US20020143954A1 (en) | 2001-04-03 | 2002-10-03 | Aiken John Andrew | Methods, systems and computer program products for content-based routing via active TCP connection transfer |
| US6931428B2 (en) | 2001-04-12 | 2005-08-16 | International Business Machines Corporation | Method and apparatus for handling requests for content in a network data processing system |
| US7543066B2 (en) | 2001-04-30 | 2009-06-02 | International Business Machines Corporation | Method and apparatus for maintaining session affinity across multiple server groups |
| US7480705B2 (en) | 2001-07-24 | 2009-01-20 | International Business Machines Corporation | Dynamic HTTP load balancing method and apparatus |
| FI20011651A7 (en) | 2001-08-15 | 2003-02-16 | Nokia Corp | Balancing the load of a service cluster |
| US7475157B1 (en) | 2001-09-14 | 2009-01-06 | Swsoft Holding, Ltd. | Server load balancing system |
| DE60142989D1 (en) | 2001-10-26 | 2010-10-14 | Ericsson Telefon Ab L M | DATA PACKAGES WITH A PREFERRED DELAY OF THE UKMUNICATIONS NETWORK |
| US7118522B2 (en) * | 2003-04-15 | 2006-10-10 | Beckman Coulter, Inc. | Centrifuge adapter |
| US6784147B1 (en) * | 2003-07-03 | 2004-08-31 | State Industrial Products | Soy based drain cleaner |
-
2001
- 2001-06-01 US US09/872,376 patent/US20020116397A1/en not_active Abandoned
-
2005
- 2005-11-01 US US11/265,558 patent/US7640298B2/en not_active Expired - Lifetime
-
2006
- 2006-08-31 US US11/513,510 patent/US7649876B2/en not_active Expired - Lifetime
-
2012
- 2012-11-12 US US13/674,447 patent/US9100409B2/en not_active Expired - Fee Related
Patent Citations (65)
| Publication number | Priority date | Publication date | Assignee | Title |
|---|---|---|---|---|
| US3622707A (en) * | 1969-09-03 | 1971-11-23 | Bell Telephone Labor Inc | Multiple channel subscriber loop |
| US4383280A (en) * | 1978-08-16 | 1983-05-10 | Peter Copeland | Recorder with timing channel |
| US6226678B1 (en) * | 1995-09-25 | 2001-05-01 | Netspeak Corporation | Method and apparatus for dynamically defining data communication utilities |
| US6061349A (en) * | 1995-11-03 | 2000-05-09 | Cisco Technology, Inc. | System and method for implementing multiple IP addresses on multiple ports |
| US6104717A (en) * | 1995-11-03 | 2000-08-15 | Cisco Technology, Inc. | System and method for providing backup machines for implementing multiple IP addresses on multiple ports |
| US5774660A (en) * | 1996-08-05 | 1998-06-30 | Resonate, Inc. | World-wide-web server with delayed resource-binding for resource-based load balancing on a distributed resource multi-node network |
| US6182139B1 (en) * | 1996-08-05 | 2001-01-30 | Resonate Inc. | Client-side resource-based load-balancing with delayed-resource-binding using TCP state migration to WWW server farm |
| US6023563A (en) * | 1996-08-20 | 2000-02-08 | Shani; Ron | Networking switch having the network presence of a bridge |
| US5918017A (en) * | 1996-08-23 | 1999-06-29 | Internatioinal Business Machines Corp. | System and method for providing dynamically alterable computer clusters for message routing |
| US6754713B1 (en) * | 1996-10-29 | 2004-06-22 | Computer Associates Think, Inc. | System and method of controlling communication sessions |
| US6185619B1 (en) * | 1996-12-09 | 2001-02-06 | Genuity Inc. | Method and apparatus for balancing the process load on network servers according to network and serve based policies |
| US6298370B1 (en) * | 1997-04-04 | 2001-10-02 | Texas Instruments Incorporated | Computer operating process allocating tasks between first and second processors at run time based upon current processor load |
| US6105119A (en) * | 1997-04-04 | 2000-08-15 | Texas Instruments Incorporated | Data transfer circuitry, DSP wrapper circuitry and improved processor devices, methods and systems |
| US6179489B1 (en) * | 1997-04-04 | 2001-01-30 | Texas Instruments Incorporated | Devices, methods, systems and software products for coordination of computer main microprocessor and second microprocessor coupled thereto |
| US6330602B1 (en) * | 1997-04-14 | 2001-12-11 | Nortel Networks Limited | Scaleable web server and method of efficiently managing multiple servers |
| US6006264A (en) * | 1997-08-01 | 1999-12-21 | Arrowpoint Communications, Inc. | Method and system for directing a flow between a client and a server |
| US6473425B1 (en) * | 1997-10-02 | 2002-10-29 | Sun Microsystems, Inc. | Mechanism for dispatching packets via a telecommunications network |
| US6247060B1 (en) * | 1997-10-14 | 2001-06-12 | Alacritech, Inc. | Passing a communication control block from host to a local device such that a message is processed on the device |
| US20010037406A1 (en) * | 1997-10-14 | 2001-11-01 | Philbrick Clive M. | Intelligent network storage interface system |
| US6427171B1 (en) * | 1997-10-14 | 2002-07-30 | Alacritech, Inc. | Protocol processing stack for use with intelligent network interface device |
| US6393487B2 (en) * | 1997-10-14 | 2002-05-21 | Alacritech, Inc. | Passing a communication control block to a local device such that a message is processed on the device |
| US20020095519A1 (en) * | 1997-10-14 | 2002-07-18 | Alacritech, Inc. | TCP/IP offload device with fast-path TCP ACK generating and transmitting mechanism |
| US5937169A (en) * | 1997-10-29 | 1999-08-10 | 3Com Corporation | Offload of TCP segmentation to a smart adapter |
| US6252878B1 (en) * | 1997-10-30 | 2001-06-26 | Cisco Technology, Inc. | Switched architecture access server |
| US6549522B1 (en) * | 1997-12-17 | 2003-04-15 | British Telecommunications Public Limited Company | Mobile data rate enhancement via foreign agent load balancing |
| US6370584B1 (en) * | 1998-01-13 | 2002-04-09 | Trustees Of Boston University | Distributed routing |
| US6246683B1 (en) * | 1998-05-01 | 2001-06-12 | 3Com Corporation | Receive processing with network protocol bypass |
| US20030135666A1 (en) * | 1998-05-06 | 2003-07-17 | Kim Do-Hyoung | Method for displaying operation state of system devices in network system |
| US6195705B1 (en) * | 1998-06-30 | 2001-02-27 | Cisco Technology, Inc. | Mobile IP mobility agent standby protocol |
| US6788649B1 (en) * | 1998-08-03 | 2004-09-07 | Mci, Inc. | Method and apparatus for supporting ATM services in an intelligent network |
| US6434620B1 (en) * | 1998-08-27 | 2002-08-13 | Alacritech, Inc. | TCP/IP offload network interface device |
| US6363477B1 (en) * | 1998-08-28 | 2002-03-26 | 3Com Corporation | Method for analyzing network application flows in an encrypted environment |
| US6256322B1 (en) * | 1998-10-02 | 2001-07-03 | Canon Kabushiki Kaisha | Bundling multiple network management packets |
| US6691165B1 (en) * | 1998-11-10 | 2004-02-10 | Rainfinity, Inc. | Distributed server cluster for controlling network traffic |
| US6389462B1 (en) * | 1998-12-16 | 2002-05-14 | Lucent Technologies Inc. | Method and apparatus for transparently directing requests for web objects to proxy caches |
| US6671273B1 (en) * | 1998-12-31 | 2003-12-30 | Compaq Information Technologies Group L.P. | Method for using outgoing TCP/IP sequence number fields to provide a desired cluster node |
| US6442612B1 (en) * | 1999-02-17 | 2002-08-27 | Axis Ab | Device and method for communication over a network |
| US6850531B1 (en) * | 1999-02-23 | 2005-02-01 | Alcatel | Multi-service network switch |
| US6453360B1 (en) * | 1999-03-01 | 2002-09-17 | Sun Microsystems, Inc. | High performance network interface |
| US6650640B1 (en) * | 1999-03-01 | 2003-11-18 | Sun Microsystems, Inc. | Method and apparatus for managing a network flow in a high performance network interface |
| US6606301B1 (en) * | 1999-03-01 | 2003-08-12 | Sun Microsystems, Inc. | Method and apparatus for early random discard of packets |
| US6400730B1 (en) * | 1999-03-10 | 2002-06-04 | Nishan Systems, Inc. | Method and apparatus for transferring data between IP network devices and SCSI and fibre channel devices over an IP network |
| US6801949B1 (en) * | 1999-04-12 | 2004-10-05 | Rainfinity, Inc. | Distributed server cluster with graphical user interface |
| US6788980B1 (en) * | 1999-06-11 | 2004-09-07 | Invensys Systems, Inc. | Methods and apparatus for control using control devices that provide a virtual machine environment and that communicate via an IP network |
| US6539494B1 (en) * | 1999-06-17 | 2003-03-25 | Art Technology Group, Inc. | Internet server session backup apparatus |
| US6891839B2 (en) * | 1999-07-01 | 2005-05-10 | Cisco Technology, Inc. | Distributing packets among multiple tiers of network appliances |
| US6735169B1 (en) * | 1999-07-02 | 2004-05-11 | Cisco Technology, Inc. | Cascading multiple services on a forwarding agent |
| US6374300B2 (en) * | 1999-07-15 | 2002-04-16 | F5 Networks, Inc. | Method and system for storing load balancing information with an HTTP cookie |
| US20030140153A1 (en) * | 1999-07-20 | 2003-07-24 | Thomas David Lawrence | Automatic initialization of a protocol stack |
| US6523068B1 (en) * | 1999-08-27 | 2003-02-18 | 3Com Corporation | Method for encapsulating and transmitting a message includes private and forwarding network addresses with payload to an end of a tunneling association |
| US6772333B1 (en) * | 1999-09-01 | 2004-08-03 | Dickens Coal Llc | Atomic session-start operation combining clear-text and encrypted sessions to provide id visibility to middleware such as load-balancers |
| US6785226B1 (en) * | 1999-09-01 | 2004-08-31 | Carriercomm, Inc. | System and method for data routing over a network |
| US6578066B1 (en) * | 1999-09-17 | 2003-06-10 | Alteon Websystems | Distributed load-balancing internet servers |
| US6748420B1 (en) * | 1999-11-23 | 2004-06-08 | Cisco Technology, Inc. | Methods and apparatus for providing shared access to an application |
| US6961346B1 (en) * | 1999-11-24 | 2005-11-01 | Cisco Technology, Inc. | System and method for converting packet payload size |
| US6598077B2 (en) * | 1999-12-06 | 2003-07-22 | Warp Solutions, Inc. | System and method for dynamic content routing |
| US6799202B1 (en) * | 1999-12-16 | 2004-09-28 | Hachiro Kawaii | Federated operating system for a server |
| US6587438B1 (en) * | 1999-12-22 | 2003-07-01 | Resonate Inc. | World-wide-web server that finds optimal path by sending multiple syn+ack packets to a single client |
| US6725272B1 (en) * | 2000-02-18 | 2004-04-20 | Netscaler, Inc. | Apparatus, method and computer program product for guaranteed content delivery incorporating putting a client on-hold based on response time |
| US6807183B1 (en) * | 2000-05-09 | 2004-10-19 | Advanced Micro Devices, Inc. | Arrangement for reading a prescribed location of a FIFO buffer in a network switch port |
| US6778540B1 (en) * | 2000-05-31 | 2004-08-17 | International Business Machines Corporation | Facility for forwarding data from a network adapter to a router partition without internet protocol (ip) processing |
| US6807176B1 (en) * | 2000-07-13 | 2004-10-19 | Advanced Micro Devices, Inc. | Arrangement for switching data packets in a network switch based on subnet identifier |
| US6823373B1 (en) * | 2000-08-11 | 2004-11-23 | Informatica Corporation | System and method for coupling remote data stores and mobile devices via an internet based server |
| US20020133529A1 (en) * | 2001-01-16 | 2002-09-19 | Schmidt Brian Keith | Method and apparatus for representing and encapsulating active computing environments |
| US20020152403A1 (en) * | 2001-04-12 | 2002-10-17 | International Business Machines Corporation | Method and system providing secure socket layer session sharing between network based servers and a client |
Cited By (34)
| Publication number | Priority date | Publication date | Assignee | Title |
|---|---|---|---|---|
| US7475157B1 (en) * | 2001-09-14 | 2009-01-06 | Swsoft Holding, Ltd. | Server load balancing system |
| US8171385B1 (en) | 2001-09-14 | 2012-05-01 | Parallels IP Holdings GmbH | Load balancing service for servers of a web farm |
| US20080184228A1 (en) * | 2002-08-06 | 2008-07-31 | Tsao Sheng Tai Ted | Concurrent web based multi-task support for a standalone system or for an central controlled virtual system |
| US9015321B2 (en) * | 2002-08-06 | 2015-04-21 | Sheng Tai Tsao | Concurrent web based multitasking support for computing system |
| US20040122963A1 (en) * | 2002-12-19 | 2004-06-24 | Dan Krejsa | System and method for implementing an asynchronous sockets interface |
| US10361959B2 (en) | 2003-06-17 | 2019-07-23 | Citrix Systems, Inc. | Method and system for dynamic interleaving |
| US10313252B2 (en) * | 2003-06-17 | 2019-06-04 | Citrix Systems, Inc. | Method and system for dynamic interleaving |
| US8307112B2 (en) | 2003-07-31 | 2012-11-06 | Cloudsoft Corporation Limited | Mediated information flow |
| US20050044268A1 (en) * | 2003-07-31 | 2005-02-24 | Enigmatec Corporation | Self-managed mediated information flow |
| US9525566B2 (en) * | 2003-07-31 | 2016-12-20 | Cloudsoft Corporation Limited | Self-managed mediated information flow |
| US20050060380A1 (en) * | 2003-07-31 | 2005-03-17 | Enigmatec Corporation | Mediated information flow |
| US20050254480A1 (en) * | 2004-05-17 | 2005-11-17 | Kicheon Kim | Router using clock synchronizer for distributed traffic control |
| US9258721B2 (en) | 2005-06-01 | 2016-02-09 | Qualcomm Incorporated | System and method to support data applications in a multi-homing, multi-mode communication device |
| US9185583B2 (en) * | 2005-06-01 | 2015-11-10 | Qualcomm Incorporated | System and method to support data applications in a multi-homing, multi-mode communication device |
| US20150012832A1 (en) * | 2005-06-01 | 2015-01-08 | Qualcomm Incorporated | System and method to support data applications in a multi-homing, multi-mode communication device |
| US20150010006A1 (en) * | 2005-06-01 | 2015-01-08 | Qualcomm Incorporated | System and method to support data applications in a multi-homing, multi-mode communication device |
| US9185582B2 (en) | 2005-06-01 | 2015-11-10 | Qualcomm Incorporated | System and method to support data applications in a multi-homing, multi-mode communication device |
| US8812729B2 (en) | 2006-06-12 | 2014-08-19 | Cloudsoft Corporation Limited | Self-managed distributed mediation networks |
| US7680848B2 (en) * | 2007-03-29 | 2010-03-16 | Microsoft Corporation | Reliable and scalable multi-tenant asynchronous processing |
| US20080243867A1 (en) * | 2007-03-29 | 2008-10-02 | Microsoft Corporation | Reliable and scalable multi-tenant asynchronous processing |
| US20140359698A1 (en) * | 2011-06-23 | 2014-12-04 | Amazon Technologies, Inc. | System and method for distributed load balancing with distributed direct server return |
| US10027712B2 (en) * | 2011-06-23 | 2018-07-17 | Amazon Technologies, Inc. | System and method for distributed load balancing with distributed direct server return |
| US20160241513A1 (en) * | 2011-08-16 | 2016-08-18 | Microsoft Technology Licensing, Llc | Virtualization gateway between virtualized and non-virtualized networks |
| US9935920B2 (en) * | 2011-08-16 | 2018-04-03 | Microsoft Technology Licensing, Llc | Virtualization gateway between virtualized and non-virtualized networks |
| CN103917956A (en) * | 2011-09-27 | 2014-07-09 | 甲骨文国际公司 | System and method for active-passive routing and control of traffic in a traffic director environment |
| US20130080627A1 (en) * | 2011-09-27 | 2013-03-28 | Oracle International Corporation | System and method for surge protection and rate acceleration in a traffic director environment |
| US9652293B2 (en) | 2011-09-27 | 2017-05-16 | Oracle International Corporation | System and method for dynamic cache data decompression in a traffic director environment |
| US9733983B2 (en) * | 2011-09-27 | 2017-08-15 | Oracle International Corporation | System and method for surge protection and rate acceleration in a traffic director environment |
| US20150012665A1 (en) * | 2012-04-26 | 2015-01-08 | Huawei Technologies Co., Ltd. | Method, Apparatus, and System for Network Address Translation |
| US9515987B2 (en) * | 2012-04-26 | 2016-12-06 | Huawei Technologies Co., Ltd. | Method, apparatus, and system for network address translation |
| US10033645B2 (en) * | 2015-09-29 | 2018-07-24 | Dell Products L.P. | Programmable data plane hardware load balancing system |
| US20170093723A1 (en) * | 2015-09-29 | 2017-03-30 | Dell Products L.P. | Programmable data plane hardware load balancing system |
| US20190342263A1 (en) * | 2018-05-02 | 2019-11-07 | Forcepoint Llc | Route reply back interface for cloud internal communication |
| US10938778B2 (en) * | 2018-05-02 | 2021-03-02 | Forcepoint Llc | Route reply back interface for cloud internal communication |
Also Published As
| Publication number | Publication date |
|---|---|
| US20130073739A1 (en) | 2013-03-21 |
| US20070086360A1 (en) | 2007-04-19 |
| US20060098630A1 (en) | 2006-05-11 |
| US7649876B2 (en) | 2010-01-19 |
| US9100409B2 (en) | 2015-08-04 |
| US7640298B2 (en) | 2009-12-29 |
Similar Documents
| Publication | Publication Date | Title |
|---|---|---|
| US7640298B2 (en) | Method and system for communicating an information packet through multiple router devices | |
| US7287090B1 (en) | Method and system for identifying a computing device in response to a request packet | |
| US7421505B2 (en) | Method and system for executing protocol stack instructions to form a packet for causing a computing device to perform an operation | |
| US7418522B2 (en) | Method and system for communicating an information packet through multiple networks | |
| US7512686B2 (en) | Method and system for establishing a data structure of a connection with a client | |
| US7546369B2 (en) | Method and system for communicating a request packet in response to a state | |
| US20020116532A1 (en) | Method and system for communicating an information packet and identifying a data structure | |
| US7127518B2 (en) | System and method for implementing application functionality within a network infrastructure | |
| US8560693B1 (en) | Method of and system for allocating resources to resource requests based on application of persistence policies | |
| US10033840B2 (en) | System and devices facilitating dynamic network link acceleration | |
| US6862606B1 (en) | System and method for partitioning address space in a proxy cache server cluster | |
| US8024481B2 (en) | System and method for reducing traffic and congestion on distributed interactive simulation networks | |
| US20020116605A1 (en) | Method and system for initiating execution of software in response to a state | |
| CN1466840A (en) | Virtual IP framework and interface method | |
| US20030225873A1 (en) | Optimization of network performance through uni-directional encapsulation | |
| JP4658546B2 (en) | Multiple offloads of network state objects that support failover events | |
| WO2002059742A1 (en) | Server farm information processing system and method of operation | |
| EP3525412A1 (en) | Improved connectionless data transport protocol | |
| Barrenechea | Transparent Distributed Web Caching Architecture | |
| EP3525419A1 (en) | Connectionless protocol with bandwidth and congestion control | |
| EP3525413A1 (en) | Connectionless protocol with bandwidth and congestion control |
Legal Events
| Date | Code | Title | Description |
|---|---|---|---|
| AS | Assignment |
Owner name: BERG-EVANS, INC., TEXAS Free format text: ASSIGNMENT OF ASSIGNORS INTEREST;ASSIGNOR:BERG, MITCHELL T.;REEL/FRAME:012086/0580 Effective date: 20010112 |
|
| AS | Assignment |
Owner name: REBA TECHNOLOGIES, INC., TEXAS Free format text: CHANGE OF NAME;ASSIGNOR:BERG-EVANS, INC.;REEL/FRAME:012629/0323 Effective date: 20010402 |
|
| AS | Assignment |
Owner name: REBA TECHNOLOGIES, INC., TEXAS Free format text: ASSIGNMENT OF ASSIGNORS INTEREST;ASSIGNOR:BERG, MITCHELL T.;REEL/FRAME:012926/0249 Effective date: 20020318 |
|
| AS | Assignment |
Owner name: LIBRA NETWORKS, INC., WASHINGTON Free format text: ASSIGNMENT OF ASSIGNORS INTEREST;ASSIGNOR:REBA TECHNOLOGIES, INC.;REEL/FRAME:013368/0989 Effective date: 20020517 |
|
| AS | Assignment |
Owner name: APPLIED MICROSYSTEMS CORPORATION, WASHINGTON Free format text: ASSIGNMENT OF ASSIGNORS INTEREST;ASSIGNOR:LIBRA NETWORKS, INC.;REEL/FRAME:015362/0700 Effective date: 20041110 |
|
| AS | Assignment |
Owner name: NOATAK SOFTWARE LLC, NEVADA Free format text: ASSIGNMENT OF ASSIGNORS INTEREST;ASSIGNOR:APPLIED MICROSYSTEMS INC.;REEL/FRAME:017001/0013 Effective date: 20041208 |
|
| STCB | Information on status: application discontinuation |
Free format text: ABANDONED -- FAILURE TO RESPOND TO AN OFFICE ACTION |
|
| AS | Assignment |
Owner name: CLOUDROCK LLC, MARYLAND Free format text: ASSIGNMENT OF ASSIGNORS INTEREST;ASSIGNOR:INTELLECTUAL VENTURES ASSETS 171 LLC;REEL/FRAME:058139/0933 Effective date: 20210930 |
