US20020010970A1 - Compositions for oxidation dyeing keratin fibers comprising at least one fatty alcohol having more than twenty carbon atoms and at least one oxyalkylenated nonionic surfactant with an HLB greater than 5 - Google Patents
Compositions for oxidation dyeing keratin fibers comprising at least one fatty alcohol having more than twenty carbon atoms and at least one oxyalkylenated nonionic surfactant with an HLB greater than 5 Download PDFInfo
- Publication number
- US20020010970A1 US20020010970A1 US09/750,757 US75075701A US2002010970A1 US 20020010970 A1 US20020010970 A1 US 20020010970A1 US 75075701 A US75075701 A US 75075701A US 2002010970 A1 US2002010970 A1 US 2002010970A1
- Authority
- US
- United States
- Prior art keywords
- chosen
- composition according
- groups
- composition
- alkyl
- Prior art date
- Legal status (The legal status is an assumption and is not a legal conclusion. Google has not performed a legal analysis and makes no representation as to the accuracy of the status listed.)
- Granted
Links
- 0 CC(*)=C(C=CC(N)=C)O Chemical compound CC(*)=C(C=CC(N)=C)O 0.000 description 5
- RXYPXQSKLGGKOL-UHFFFAOYSA-N CN1CCN(C)CC1 Chemical compound CN1CCN(C)CC1 RXYPXQSKLGGKOL-UHFFFAOYSA-N 0.000 description 3
- IQJHEMFGPGNNCW-UHFFFAOYSA-N C#C=NC1=C(C)C=C(N)C=C1.CC Chemical compound C#C=NC1=C(C)C=C(N)C=C1.CC IQJHEMFGPGNNCW-UHFFFAOYSA-N 0.000 description 2
- DQLCPUYFXBETDZ-UHFFFAOYSA-N C#C=NC1=CC(C)=C(C)C=C1.C#C=NC1=CC=C(C)C(C)=C1.CC.CC.C[Y]C.II Chemical compound C#C=NC1=CC(C)=C(C)C=C1.C#C=NC1=CC=C(C)C(C)=C1.CC.CC.C[Y]C.II DQLCPUYFXBETDZ-UHFFFAOYSA-N 0.000 description 2
- YGGAECGPFBPDLQ-UHFFFAOYSA-N C=C(C)C(=O)O.II Chemical compound C=C(C)C(=O)O.II YGGAECGPFBPDLQ-UHFFFAOYSA-N 0.000 description 2
- VVQNEPGJFQJSBK-UHFFFAOYSA-N C=C(C)C(=O)OC Chemical compound C=C(C)C(=O)OC VVQNEPGJFQJSBK-UHFFFAOYSA-N 0.000 description 2
- JKHYRUUDROTZNX-UHFFFAOYSA-N CC.CC1=C(O)C=CC(N)=C1 Chemical compound CC.CC1=C(O)C=CC(N)=C1 JKHYRUUDROTZNX-UHFFFAOYSA-N 0.000 description 2
- MYCBNXFSQPBCQJ-UHFFFAOYSA-N *.C.C.CC(C)(C)[N+](C)(C)CC(=O)[O-] Chemical compound *.C.C.CC(C)(C)[N+](C)(C)CC(=O)[O-] MYCBNXFSQPBCQJ-UHFFFAOYSA-N 0.000 description 1
- OXPMIZVBCLLJDQ-SGNQUONSSA-N *.[2HH].[H]C1(CO)OC([H])(COC)C([H])(NC(=O)CC(=O)O)C([H])(O)C1([H])CC.[H]C1(CO)OC([H])(COC)C([H])(NC(C)=O)C([H])(O)C1([H])CC.[H]C1(COC)OC([H])(CO)C([H])(CC)C([H])(O)C1([H])N Chemical compound *.[2HH].[H]C1(CO)OC([H])(COC)C([H])(NC(=O)CC(=O)O)C([H])(O)C1([H])CC.[H]C1(CO)OC([H])(COC)C([H])(NC(C)=O)C([H])(O)C1([H])CC.[H]C1(COC)OC([H])(CO)C([H])(CC)C([H])(O)C1([H])N OXPMIZVBCLLJDQ-SGNQUONSSA-N 0.000 description 1
- SSMYXFZZOMFZKY-UHFFFAOYSA-N C.C.C.CC[N+](C)(C)CCC[N+](C)(C)C.[Cl-].[Cl-].[W] Chemical compound C.C.C.CC[N+](C)(C)CCC[N+](C)(C)C.[Cl-].[Cl-].[W] SSMYXFZZOMFZKY-UHFFFAOYSA-N 0.000 description 1
- LCYKKXRNAZDAIR-UHFFFAOYSA-N C.C.C.CC[N+](CC)(CC)CCC[N+](C)(C)C.[Br-].[Br-].[U] Chemical compound C.C.C.CC[N+](CC)(CC)CCC[N+](C)(C)C.[Br-].[Br-].[U] LCYKKXRNAZDAIR-UHFFFAOYSA-N 0.000 description 1
- CGOADCFINJJNPW-UHFFFAOYSA-N C.CC[N+](C)(CC)CCC[N+](C)(C)C.[Br-].[Br-].[U] Chemical compound C.CC[N+](C)(CC)CCC[N+](C)(C)C.[Br-].[Br-].[U] CGOADCFINJJNPW-UHFFFAOYSA-N 0.000 description 1
- AXWDDBJDONLUQL-UHFFFAOYSA-N C.C[N+](C)(C)CCC[N+](C)(C)C.[Cl-].[Cl-].[W] Chemical compound C.C[N+](C)(C)CCC[N+](C)(C)C.[Cl-].[Cl-].[W] AXWDDBJDONLUQL-UHFFFAOYSA-N 0.000 description 1
- ZJAHKOIBXXNAER-UHFFFAOYSA-L CB[N+](C)(C)C[N+](C)(C)C.I[V]I Chemical compound CB[N+](C)(C)C[N+](C)(C)C.I[V]I ZJAHKOIBXXNAER-UHFFFAOYSA-L 0.000 description 1
- SGFNYJKYGOWJLF-UHFFFAOYSA-N CC(C)CC(C(=O)O)C(C)C(=O)N(C)CN(C)C Chemical compound CC(C)CC(C(=O)O)C(C)C(=O)N(C)CN(C)C SGFNYJKYGOWJLF-UHFFFAOYSA-N 0.000 description 1
- NHTMVDHEPJAVLT-UHFFFAOYSA-N CC(C)CC(C)(C)C Chemical compound CC(C)CC(C)(C)C NHTMVDHEPJAVLT-UHFFFAOYSA-N 0.000 description 1
- ROKYHCQYELSDHC-UHFFFAOYSA-M CCC.CCC.CCC1(C)CCCN(C)C1.CCC1(C)CCC[N+](C)(C)C1.[V]I.[Y-] Chemical compound CCC.CCC.CCC1(C)CCCN(C)C1.CCC1(C)CCC[N+](C)(C)C1.[V]I.[Y-] ROKYHCQYELSDHC-UHFFFAOYSA-M 0.000 description 1
- GTEGKACKJWLADG-IMQOCRLPSA-L CCCOCC[N+](C)(C)CN[2H]C(=O)NC[N+](C)(C)C.I[V](I)I Chemical compound CCCOCC[N+](C)(C)CN[2H]C(=O)NC[N+](C)(C)C.I[V](I)I GTEGKACKJWLADG-IMQOCRLPSA-L 0.000 description 1
- DWWJEDTXHLAVNQ-UHFFFAOYSA-N CC[N+](C)(C)C[N+](C)(C)C Chemical compound CC[N+](C)(C)C[N+](C)(C)C DWWJEDTXHLAVNQ-UHFFFAOYSA-N 0.000 description 1
Classifications
-
- A—HUMAN NECESSITIES
- A61—MEDICAL OR VETERINARY SCIENCE; HYGIENE
- A61K—PREPARATIONS FOR MEDICAL, DENTAL OR TOILETRY PURPOSES
- A61K8/00—Cosmetics or similar toiletry preparations
- A61K8/18—Cosmetics or similar toiletry preparations characterised by the composition
- A61K8/30—Cosmetics or similar toiletry preparations characterised by the composition containing organic compounds
- A61K8/33—Cosmetics or similar toiletry preparations characterised by the composition containing organic compounds containing oxygen
- A61K8/34—Alcohols
-
- A—HUMAN NECESSITIES
- A61—MEDICAL OR VETERINARY SCIENCE; HYGIENE
- A61Q—SPECIFIC USE OF COSMETICS OR SIMILAR TOILETRY PREPARATIONS
- A61Q5/00—Preparations for care of the hair
- A61Q5/10—Preparations for permanently dyeing the hair
-
- A—HUMAN NECESSITIES
- A61—MEDICAL OR VETERINARY SCIENCE; HYGIENE
- A61K—PREPARATIONS FOR MEDICAL, DENTAL OR TOILETRY PURPOSES
- A61K8/00—Cosmetics or similar toiletry preparations
- A61K8/18—Cosmetics or similar toiletry preparations characterised by the composition
- A61K8/30—Cosmetics or similar toiletry preparations characterised by the composition containing organic compounds
- A61K8/33—Cosmetics or similar toiletry preparations characterised by the composition containing organic compounds containing oxygen
- A61K8/34—Alcohols
- A61K8/342—Alcohols having more than seven atoms in an unbroken chain
-
- A—HUMAN NECESSITIES
- A61—MEDICAL OR VETERINARY SCIENCE; HYGIENE
- A61K—PREPARATIONS FOR MEDICAL, DENTAL OR TOILETRY PURPOSES
- A61K8/00—Cosmetics or similar toiletry preparations
- A61K8/18—Cosmetics or similar toiletry preparations characterised by the composition
- A61K8/30—Cosmetics or similar toiletry preparations characterised by the composition containing organic compounds
- A61K8/33—Cosmetics or similar toiletry preparations characterised by the composition containing organic compounds containing oxygen
- A61K8/39—Derivatives containing from 2 to 10 oxyalkylene groups
Definitions
- the present invention relates to a composition for oxidation dyeing keratin fibers, in particular human keratin fibers such as hair, comprising, in a cosmetically acceptable dyeing medium, (1) at least one oxidation dye, (2) at least one fatty alcohol comprising more than twenty carbon atoms, (3) optionally comprising at least one fatty alcohol comprising at most twenty carbon atoms, (4) at least one oxyalkylenated nonionic surfactant with an HLB greater than 5, and (5) optionally comprising at least one oxyalkylenated surfactant with an HLB at most equal to 5, provided that (2), (3), (4), and (5) are present in a proportion such that the weight ratio [(4)]/[(2)+(3)+(5)] is at most 1:1.
- oxidation bases include ortho- and para-phenylenediamines, ortho- and para-aminophenols, and heterocyclic bases.
- Oxidation dye precursors are compounds initially only slightly colored or not colored which develop their dyeing power in the hair in the presence of oxidizing agents, leading to the formation of colored compounds.
- the formation of these colored compounds results either from oxidative condensation of the “oxidation bases” with themselves, or oxidative condensation of the “oxidation bases” with color modifying compounds, or “couplers”, which are generally present in the dyeing compositions used in oxidation dyeing and are represented more particularly by meta-phenylenediamines, meta-aminophenols and meta-diphenols, and certain heterocyclic compounds.
- compositions that can be employed in oxidation coloration chosen from oxidation bases, oxidation couplers and mixtures of oxidation bases and couplers, can contribute to a pallet very rich in color.
- a dyeing product should be able to be confined upon application to the hair so that, on the one hand, it does not run over the face or outside the areas which it is desired to dye, and, on the other hand, a uniform and regular coloration may be obtained on the hair as a whole.
- Compositions comprising oxidation dye(s) prior to combining with an oxidizing agent should also be stable over time, such as, for example, from the rheological point of view.
- compositions that resist running and tend to remain well-confined to the site of application. Additionally, such compositions may favor more intense and more chromatic (radiant) shades, while exhibiting low selectivities and good fastness toward chemical agents (shampoo, permanent waving and the like) and/or natural agents (light, perspiration and the like), and while offering the hair good cosmetic properties.
- a ready-to-use cosmetic dyeing composition comprising (1) at least one oxidation dye, (2) at least one fatty alcohol comprising more than twenty carbon atoms, (3) optionally comprising at least one fatty alcohol comprising at most twenty carbon atoms, (4) at least one oxyalkylenated nonionic surfactant with an HLB greater than 5, and (5) optionally comprising at least one oxyalkylenated surfactant with an HLB at most equal to 5, provided that (2), (3), (4), and (5) are present in a proportion such that the weight ratio [(4)]/[(2)+(3)+(5)] is at most 1:1.
- the subject of the present invention is thus a cosmetic composition for oxidation dyeing keratin fibers, such as human keratin fibers like hair, comprising, in a dyeing medium:
- Another subject of the invention relates to a ready-to-use cosmetic composition for oxidation dyeing keratin fibers comprising, in a dyeing medium, (1) at least one oxidation dye, (2) at least one oxidizing agent (3) at least one fatty alcohol comprising more than twenty carbon atoms, (4) optionally comprising at least one fatty alcohol comprising at most twenty carbon atoms, (5) at least one oxyalkylenated nonionic surfactant with an HLB greater than 5, and (6) optionally comprising at least one oxyalkylenated surfactant with an HLB at most equal to 5, provided that (2), (3), (4), and (5) are present in a proportion such that the weight ratio [(4)]/[(2)+(3)+(5)] is at most 1:1.
- the term “ready-to-use composition” is understood to mean, for the purposes of the present invention, a composition intended to be applied immediately to the keratin fibers, either stored as it is before use or obtained from the mixture of two or more compositions.
- the invention also relates to a method for oxidation dyeing keratin fibers, such as human keratin fibers like hair, comprising:
- composition (A) comprising, in a dyeing medium, (1) at least one oxidation dye, (2) at least one fatty alcohol comprising more than twenty carbon atoms, (3) optionally comprising at least one fatty alcohol comprising at most twenty carbon atoms, (4) at least one oxyalkylenated nonionic surfactant with an HLB greater than 5, and (5) optionally comprising at least one oxyalkylenated surfactant with an HLB at most equal to 5, provided that (2), (3), (4), and (5) are present in a proportion such that the weight ratio [(4)]/[(2)+(3)+(5)] is at most 1:1, and
- One embodiment of the invention relates to multicompartment dyeing devices or “kits” for oxidation dyeing keratin fibers, such as human keratin fibers like hair.
- a kit according to the invention comprises at least two compartments, wherein:
- a first compartment comprises:
- [0029] (5) optionally comprising at least one oxyalkylenated surfactant with an HLB at most equal to 5, provided that (2), (3), (4), and (5) are present in a proportion such that the weight ratio [(4)]/[(2)+(3)+(5)] is at most 1:1; and
- a second compartment comprises at least one oxidizing agent.
- fatty alcohols includes, but is not limited to, fatty alcohols chosen from branched and unbranched, saturated and unsaturated fatty alcohols.
- the expression at least one (as used herein, “at least one” means one or more and thus includes mixtures and combinations) fatty alcohol comprising more than 20 carbon atoms includes, but is not limited to, fatty alcohols comprising more than twenty carbon atoms, mixtures of fatty alcohols comprising at least 30% by weight of at least one fatty alcohol comprising more than twenty carbon atoms, and mixtures of fatty alcohols comprising more than 30% by weight of at least one fatty alcohol comprising more than twenty carbon atoms.
- the fatty alcohol is a pure alcohol, i.e., a single fatty alcohol comprising more than 20 carbon atoms.
- Representative at least one fatty alcohol that can be used according to the invention include for example behenyl alcohol and erucyl alcohol.
- the at least one fatty alcohol comprising more than twenty carbon atoms may be present in an amount ranging for example from 0.01% to 30% by weight relative to the total weight of the composition, such as from 0.05% to 20% by weight relative to the total weight of the composition, and further such as from 0.1% to 15% by weight relative to the total weight of the composition.
- composition according to the invention may also comprise at least one fatty alcohol comprising at most twenty carbon atoms.
- Representative fatty alcohols comprising at most twenty carbon atoms that may be used include lauryl, cetyl, stearyl and oleyl alcohols. These additional fatty alcohols may be present in an amount generally ranging for example up to 20% by weight relative to the total weight of the composition.
- the HLB (hydrophilic-lipophilic balance) of the surfactant(s) used according to the invention is the HLB according to GRIFFIN defined in the publication J. Soc. Cosm. Chem. 1954 (Volume 5), pages 249-256, the disclosure of which is incorporated herein by reference, or the HLB determined experimentally and as defined in the manual by the authors F. PUISIEUX and M.
- oxyalkylenated nonionic surfactants is understood, for the purposes of the present invention, to mean nonionic surfactants which comprise at least one group chosen from —CH 2 —CH 2 —O—, —CH 2 —CH 2 —CH 2 —O—, and CH 2 —CH(CH 3 )—O—.
- Representative at least one oxyalkylenated nonionic surfactants with an HLB greater than 5 include, for example:
- esters of fatty acids and of polyethylene glycols [0044] esters of fatty acids and of polyethylene glycols
- the at least one oxyalkylenated nonionic surfactant with an HLB greater than 5 may be present in an amount ranging for example from 0.1% to 30% by weight relative to the total weight of the composition, such as from 0.5% to 25% by weight relative to the total weight of the composition, and further such as from 1% to 20% by weight relative to the total weight of the composition.
- At least one oxyalkylenated nonionic surfactant with an HLB at most equal to 5 include:
- oxyethylenated vegetable oils comprising at most 5 mol of EO
- oxyethylenated fatty alcohols comprising at most 2 mol of EO.
- the at least one oxyalkylenated nonionic surfactant with an HLB at most equal to 5 may be present in an amount generally ranging for example up 30% by weight relative to the total weight of the composition, such as up to 10% by weight relative to the total weight of the composition.
- the at least one oxidation dye which can be used according to the present invention is chosen from oxidation bases, and oxidation couplers.
- the compositions can comprise at least one oxidation base.
- the oxidation bases usable in the context of the present invention are chosen from those conventionally known as oxidation dyes.
- Representative oxidation dyes include ortho- and para-phenylenediamines, double bases, ortho- and para-aminophenols and heterocyclic bases as well as their addition salts with an acid.
- oxidation bases may be used:
- R 1 is chosen from hydrogen, C 1 -C 4 alkyl groups, monohydroxy(C 1 -C 4 alkyl) groups, polyhydroxy(C 2 -C 4 alkyl) groups, (C 1 -C 4 )alkoxy(C 1 -C 4 )alkyl groups, C 1 -C 4 alkyl groups substituted with at least one group chosen from nitrogen-containing groups, phenyl groups and 4′-aminophenyl groups, and
- R 2 is chosen from hydrogen, C 1 -C 4 alkyl groups, monohydroxy(C 1 -C 4 alkyl) groups, polyhydroxy(C 2 -C 4 alkyl) groups, (C 1 -C 4 )alkoxy(C 1 -C 4 )alkyl groups, and C 1 -C 4 alkyl groups substituted with a nitrogen-containing group;
- R 1 and R 2 may also form, together with the nitrogen atom to which they are bonded, a 5- or 6- membered nitrogen-containing heterocycle ring, optionally substituted with at least one group chosen from alkyl groups, hydroxyl groups and ureido groups;
- R 3 is chosen from hydrogen, halogens, such as chlorine, C 1 -C 4 alkyl groups, sulfo groups, carboxyl groups, monohydroxy(C 1 -C 4 alkyl) groups, hydroxy(C 1 -C 4 alkyoxy) groups, acetylamino(C 1 -C 4 alkoxy) groups, mesylamino(C 1 -C 4 alkoxy) groups, and carbamoylamino(C 1 -C 4 alkoxy) groups;
- halogens such as chlorine, C 1 -C 4 alkyl groups, sulfo groups, carboxyl groups, monohydroxy(C 1 -C 4 alkyl) groups, hydroxy(C 1 -C 4 alkyoxy) groups, acetylamino(C 1 -C 4 alkoxy) groups, mesylamino(C 1 -C 4 alkoxy) groups, and carbamoylamino(C 1 -C 4 alkoxy) groups;
- R 4 is chosen from hydrogen, halogens, and C 1 -C 4 alkyl groups.
- Suitable nitrogen-containing groups of formula (I) above may, for example, be chosen from amino, (C 1 -C 4 ) monoalkylamino, (C 1 -C 4 )dialkylamino, (C 1 -C 4 )trialkylamino, monohydroxy(C 1 -C 4 )alkylamino, imidazolinium, and ammonium groups.
- Representative para-phenylenediamines of formula (I) above which may be used include para-phenylenediamine, para-tolylenediamine, 2-chloro-para-phenylenediamine, 2,3-dimethyl-para-phenylenediamine, 2,6-dimethyl-para-phenylenediamine, 2,6-diethyl-para-phenylenediamine, 2,5-dimethyl-para-phenylenediamine, N,N-dimethyl-para-phenylenediamine, N,N-diethyl-para-phenylenediamine, N,N-dipropyl-para-phenylenediamine, 4-amino-N,N-diethyl-3-methylaniline, N,N-bis( ⁇ -hydroxyethyl)-para-phenylenediamine, 4-N,N-bis( ⁇ -hydroxyethyl)amino-2-methylaniline, 4-N,N-bis( ⁇ -hydroxyethyl)
- para-phenylenediamines of formula (I) above can, for example, be chosen from para-phenylenediamine, para-tolylenediamine, 2-isopropyl-para-phenylenediamine, 2- ⁇ -hydroxyethyl-para-phenylenediamine, 2- ⁇ -hydroxyethyloxy-para-phenylenediamine, 2,6-dimethyl-para-phenylenediamine, 2,6-diethyl-para-phenylenediamine, 2,3-dimethyl-para-phenylenediamine, N,N-bis( ⁇ -hydroxyethyl)-para-phenylenediamine, 2-chloro-para-phenylenediamine, and their acid addition salts.
- double bases is understood to mean the compounds comprising at least two aromatic rings on which at least one functional group chosen from amino groups and hydroxyl groups are carried.
- Such double bases may be chosen from compounds of formula (II), and their acid addition salts:
- Z 1 and Z 2 which may be identical or different, are each chosen from hydroxyl groups, and —NH 2 groups, optionally substituted with a group chosen from C 1 -C 4 alkyl groups, and linkers Y;
- linker Y is chosen from linear and branched, divalent alkylene groups comprising from 1 to 14 carbon atoms, optionally interrupted by, or optionally terminating with, at least one entity chosen from nitrogen-containing groups and heteroatoms such as oxygen, sulfur, and nitrogen, and optionally substituted with at least one group chosen from hydroxyl groups, and C 1 -C 6 alkoxy groups;
- R 5 and R 6 which may be identical or different, are each chosen from hydrogen, halogens, C 1 -C 4 alkyl groups, monohydroxy(C 1 -C 4 alkyl) groups, polyhydroxy(C 2 -C 4 alkyl) groups, amino(C 1 -C 4 alkyl) groups, and linkers Y;
- R 7 , R 8 , R 9 , R 10 , R 11 and R 12 which may be identical or different, are each chosen from hydrogen, linkers Y, and C 1 -C 4 alkyl groups;
- Suitable nitrogen-containing groups of formula (II) include mono(C 1 -C 4 )alkylamino, (C 1 -C 4 )dialkylamino, (C 1 -C 4 )trialkylamino, monohydroxy(C 1 -C 4 )alkylamino, imidazolinium and ammonium groups.
- Representative double bases of formula (II) include N,N′-bis( ⁇ -hydroxyethyl)-N,N′-bis(4′-aminophenyl)-1,3-diaminopropanol, N,N′-bis( ⁇ -hydroxyethyl)-N,N′-bis(4′-aminophenyl)ethylenediamine, N,N′-bis(4-aminophenyl)tetramethylenediamine, N,N′-bis( ⁇ -hydroxyethyl)-N,N′-bis(4-aminophenyl)tetramethylenediamine, N,N′-bis(4-methylaminophenyl)tetramethylenediamine, N,N′-bis(ethyl)-N,N′-bis(4′-amino-3′-methylphenyl)ethylenediamine, 1,8-bis(2,5-diaminophenoxy)-3,5-dioxaoct
- the double bases of formula (II) may be chosen from N,N′-bis( ⁇ -hydroxyethyl)-N,N′-bis(4′-aminophenyl)-1,3-diaminopropanol, 1,8-bis(2,5-diaminophenoxy)-3,5-dioxaoctane, and their acid addition salts.
- R 13 is chosen from hydrogen, halogens, such as fluorine, C 1 -C 4 alkyl groups, monohydroxy(C 1 -C 4 alkyl) groups, (C 1 -C 4 )alkoxy(C 1 -C 4 )alkyl groups, amino(C 1 -C 4 alkyl), hydroxy(C 1 -C 4 )alkylamino(C 1 -C 4 alkyl) groups;
- halogens such as fluorine, C 1 -C 4 alkyl groups, monohydroxy(C 1 -C 4 alkyl) groups, (C 1 -C 4 )alkoxy(C 1 -C 4 )alkyl groups, amino(C 1 -C 4 alkyl), hydroxy(C 1 -C 4 )alkylamino(C 1 -C 4 alkyl) groups;
- R 14 is chosen from hydrogen, halogens, such as fluorine, C 1 -C 4 alkyl groups, monohydroxy(C 1 -C 4 alkyl) groups, polyhydroxy(C 2 -C 4 alkyl) groups, amino(C 1 -C 4 alkyl) groups, cyano(C 1 -C 4 alkyl) groups, and (C 1 -C 4 )alkoxy(C 1 -C 4 )alkyl groups.
- halogens such as fluorine, C 1 -C 4 alkyl groups, monohydroxy(C 1 -C 4 alkyl) groups, polyhydroxy(C 2 -C 4 alkyl) groups, amino(C 1 -C 4 alkyl) groups, cyano(C 1 -C 4 alkyl) groups, and (C 1 -C 4 )alkoxy(C 1 -C 4 )alkyl groups.
- Representative para-aminophenols of formula (III) above include para-aminophenol, 4-amino-3-methylphenol, 4-amino-3-fluorophenol, 4-amino-3-hydroxymethylphenol, 4-amino-2-methylphenol, 4-amino-2-hydroxymethylphenol, 4-amino-2-methoxymethylphenol, 4-amino-2-aminomethylphenol, 4-amino-2-( ⁇ -hydroxyethylaminomethyl)phenol, and their acid addition salts.
- ortho-aminophenols chosen, for example, from 2-aminophenol, 2-amino-1-hydroxy-5-methylbenzene, 2-amino-1-hydroxy-6-methylbenzene, 5-acetamido-2-aminophenol, and their acid addition salts.
- (V) heterocyclic bases chosen, for example, from pyridine derivatives, pyrimidine derivatives, pyrazole derivatives, pyrazolo-pyrimidine derivatives, and their acid addition salts.
- Representative pyridine derivatives include 2,5-diaminopyridine, 2-(4-methoxyphenyl)amino-3-aminopyridine, 2,3-diamino-6-methoxypyridine, 2-( ⁇ -methoxyethyl)amino-3-amino-6-methoxypyridine, 3,4-diaminopyridine, and their acid addition salts.
- Some of the aforementioned pyridine derivatives have been described, for example in the patents GB 1,026,978 and GB 1,153,196, the disclosures of which are incorporated by reference herein.
- Representative pyrimidine derivatives include 2,4,5,6-tetraaminopyrimidine, 4-hydroxy-2,5,6-triaminopyrimidine, 2-hydroxy-4,5,6-triaminopyrimidine, 2,4-dihydroxy-5,6-diaminopyrimidine, 2,5,6-triaminopyrimidine, and their acid addition salts.
- Some of the aforementioned pyrimidine derivatives have been described, for example in German Patent DE 2,359,399, Japanese Patents JP 88-169,571 and JP 91-10659, and Patent Application WO 96/15765, the disclosures of which are incorporated by reference herein.
- Representative pyrazolo-pyrimidine derivatives include those described, for example, in the patent application FR-A-2 750 048, the disclosure of which is incorporated by reference herein.
- Such pyrazolo-pyrimidine derivatives include pyrazolo[1,5-a]pyrimidines, such as
- Representative pyrazole derivatives include 4,5-diamino-1-methylpyrazole, 3,4-diaminopyrazole, 4,5-diamino-l-(4′-chlorobenzyl)pyrazole, 4,5-diamino-1,3-dimethylpyrazole, 4,5-diamino-3-methyl-1-phenylpyrazole, 4,5-diamino-1-methyl-3-phenylpyrazole, 4-amino-1,3-dimethyl-5-hydrazinopyrazole, 1-benzyl-4,5-diamino-3-methyl-pyrazole, 4, 5-diamino-3-tert-butyl-1-methylpyrazole, 4,5-diamino-1-tert-butyl-3-methylpyrazole, 4,5-diamino-1-( ⁇ -hydroxyethyl)-3-methylpyrazole, 4,5-diamino-1-( ⁇ -hydroxyethyl)
- the oxidation bases may be present in an amount ranging for example from 0.0005% to 12% by weight relative to the total weight of the composition, such as from 0.005% to 8% by weight relative to the total weight of the composition.
- Suitable couplers which may be used in the dyeing process of the invention include couplers conventionally used in oxidation dyeing compositions. Such couplers can be chosen, for example, from meta-phenylenediamines, meta-aminophenols, meta-diphenols, naphthols, sesamol and its derivatives, heterocyclic couplers, such as, for example, indole derivatives, indoline derivatives, pyridine derivatives, pyrazolotriazole derivatives, pyrazolones, indazoles, benzimidazoles, benzothiazoles, benzoxazoles, 1,3-benzodioxoles, quinolines and their acid addition salts.
- Representative couplers include 2,4-diamino-1-( ⁇ -hydroxyethyloxy)benzene, 2-methyl-5-aminophenol, 5-N-( ⁇ -hydroxyethyl)amino-2-methylphenol, 3-aminophenol, 1,3-dihydroxybenzene, 1,3-dihydroxy-2-methylbenzene, 4-chloro-1,3-dihydroxybenzene, 2-amino-4-( ⁇ -hydroxyethylamino)-1-methoxybenzene, 1,3-diaminobenzene, 1,3-bis(2,4-diaminophenoxy)propane 1 sesamol, ⁇ -naphthol, 6-hydroxyindole, 4-hydroxyindole, 4-hydroxy-N-methylindole, 6-hydroxyindoline, 2,6-dihydroxy-4-methylpyridine, 1-H-3-methylpyrazol-5-one, 1-phenyl-3-methylpyrazol-5-one, 1-amino-2-me
- couplers When these couplers are present, they are generally present in an amount ranging for example from 0.0001% to 10% by weight relative to the total weight of the composition, such as from 0.005% to 5% by weight relative to the total weight of the composition.
- the acid addition salts of the oxidation bases and couplers can be chosen from hydrochlorides, hydrobromides, sulfates, tartrates, lactates and acetates.
- compositions according to the invention may also comprise at least one direct dye.
- direct dyes which can be used in the present invention include direct dyes that have conventionally been used in direct dyeing compositions and lighting direct dyeing compositions.
- the dyes can be chosen from neutral, cationic, and anionic nitro dyes, neutral, cationic, and anionic anthraquinone dyes, and neutral, cationic, and anionic azo dyes.
- the direct dyes are present in amounts ranging for example from 0.001% to 20% by weight of the total weight of the composition, such as for example from 0.01% to 10% by weight of the total weight of the composition.
- said at least one composition (A) and said at least one composition (B) can further comprise at least one polymer chosen from cationic and amphoteric polymers, such as substantive polymers.
- the at least one thickening polymer comprising at least one fatty chain according to the invention can be chosen from nonionic, anionic and cationic thickening polymers comprising at least one fatty chain.
- Such anionic thickening polymers comprising at least one fatty chain can be chosen from:
- anionic polymers comprising at least one hydrophilic unit and at least one allyl ether unit comprising at least one fatty chain
- said anionic polymers wherein said at least one hydrophilic unit comprises at least one ethylenic unsaturated anionic monomeric residue, such as vinylcarboxylic acid and further such as at least one monomeric residue chosen from acrylic acid and methacrylic acid residues, and wherein said at least one allyl ether unit comprising at least one fatty chain corresponds to the monomeric residue resulting from the monomer of formula (I):
- R′ is chosen from H and CH 3
- B is chosen from ethyleneoxy groups
- n is chosen from zero and integers ranging from 1 to 100
- R is a hydrocarbon group chosen from alkyl, arylalkyl, aryl, alkylaryl and cycloalkyl groups, comprising from 8 to 30 carbon atoms, such as from 10 to 24, and further such as from 12 to 18 carbon atoms.
- One embodiment of the invention comprises at least one allyl ether unit of the monomeric residue resulting from the monomer of formula (I), wherein R′ is H, n is equal to 10, and R is a stearyl (C 18 ) group.
- lower alkyl means an alkyl chosen from saturated and unsaturated, branched and unbranched C 1 -C 6 alkyl groups.
- Representative anionic thickening polymers comprising at least one fatty chain include for example polymers formed from 20% to 60% by weight of at least one monomer chosen from acrylic acid and methacrylic acid, 5% to 60% by weight of C 1 -C 6 alkyl(meth)acrylates, 2% to 50% by weight of allyl ether comprising at least one fatty chain of formula (I), and up to 1% by weight of a crosslinking agent chosen from well known copolymerizable polyethylenic unsaturated monomers such as diallyl phthalate, allyl (meth)acrylate, divinylbenzene, (poly)ethylene glycol dimethacrylate and methylenebisacrylamide.
- a crosslinking agent chosen from well known copolymerizable polyethylenic unsaturated monomers such as diallyl phthalate, allyl (meth)acrylate, divinylbenzene, (poly)ethylene glycol dimethacrylate and methylenebisacrylamide.
- the composition comprises at least one anionic thickening polymer chosen from crosslinked terpolymers of methacrylic acid, ethyl acrylate, and polyethylene glycol (10 EO) stearyl alcohol ether (Steareth 10), such as the products sold by the company ALLIED COLLOIDS under the names SALCARE SC 80 and SALCARE SC 90, which are aqueous emulsions comprising 30% of a crosslinked terpolymer of methacrylic acid, of ethyl acrylate and of steareth-10-allyl ether (40/50/10).
- anionic thickening polymer chosen from crosslinked terpolymers of methacrylic acid, ethyl acrylate, and polyethylene glycol (10 EO) stearyl alcohol ether (Steareth 10), such as the products sold by the company ALLIED COLLOIDS under the names SALCARE SC 80 and SALCARE SC 90, which are aqueous emulsions comprising 30% of a cross
- Anionic thickening polymers comprising at least one fatty chain can also be chosen from:
- anionic polymers comprising at least one hydrophilic unit of the olefinic unsaturated carboxylic acid type and at least one hydrophobic unit of the (C 10 -C 30 )alkyl ester of unsaturated carboxylic acid type.
- Such polymers are chosen from polymers comprising:
- R 1 is chosen from H, CH 3 , and C 2 H 5 , (which corresponds with acrylic acid, methacrylic acid and ethacrylic acid units), and
- R 2 is chosen from H, CH 3 , and C 2 H 5 , (which corresponds with acrylate, methacrylate and ethacrylate units) and R 3 is chosen from saturated and unsaturated, branched and unbranched C 10 -C 30 alkyl groups.
- R 2 is chosen from H (acrylate units) and CH 3 (methacrylate units) and R 3 is chosen from C 12 -C 22 alkyl groups.
- (C 10 -C 30 )alkyl esters of unsaturated carboxylic acids in accordance with the invention include for example lauryl acrylate, stearyl acrylate, decyl acrylate, isodecyl acrylate, dodecyl acrylate, lauryl methacrylate, stearyl methacrylate, decyl methacrylate, isodecyl methacrylate, and dodecyl methacrylate.
- Anionic thickening polymers comprising at least one fatty chain that can be used include polymers formed from a mixture of monomers comprising:
- At least one crosslinking agent chosen from well known copolymerizable polyethylenic unsaturated monomers such as diallyl phthalate, allyl (meth)acrylate, divinylbenzene, (poly)ethylene glycol dimethacrylate and methylenebisacrylamide.
- anionic thickening polymers comprising at least one fatty chain that can be used include (i) polymers comprising 95% to 60% by weight of acrylic acid monomeric residue (hydrophilic unit), 4% to 40% by weight of C 10 -C 30 alkyl acrylate monomeric residue (hydrophobic unit), and 0% to 6% by weight of crosslinking polymerizable monomeric residue, and (ii) polymers comprising 98% to 96% by weight of acrylic acid monomeric residue (hydrophilic unit), 1% to 4% by weight of C 10 -C 30 alkyl acrylate monomeric residue (hydrophobic unit) and 0.1% to 0.6% by weight of crosslinking polymerizable monomeric residue such as those described above.
- Anionic thickening polymers comprising at least one fatty chain can also be chosen from:
- acrylic terpolymers described in patent application EP-A-0,173,109 the disclosure of which is incorporated by reference herein, and more particularly acrylic terpolymers described therein in Example 3, namely a methacrylic acid/methyl acrylate/dimethyl metaisopropenyl benzyl isocyanate of ethoxylated (40 EO) behenyl alcohol terpolymer in 25% aqueous dispersion,
- these compounds can also comprise, as monomer, a carboxylic acid ester comprising an ⁇ , ⁇ -monoethylenic unsaturation and a C 1 -C 4 alcohol.
- a carboxylic acid ester comprising an ⁇ , ⁇ -monoethylenic unsaturation and a C 1 -C 4 alcohol.
- ACULYN 22 sold by the company ROHM and HMS, which is an oxyalkylenated stearyl methacrylate/ethyl acrylate/methacrylic acid terpolymer.
- Nonionic thickening polymers comprising at least one fatty chain according to the invention can be chosen from:
- celluloses modified by at least one group comprising at least one fatty chain such as:
- hydroxyethylcelluloses modified by at least one group comprising at least one fatty chain such as alkyl, arylalkyl and alkylaryl groups and further such as alkyl, arylalkyl and alkylaryl groups wherein said alkyl groups comprise from 8 to 22 carbon atoms, such as the product NATROSOL PLUS GRADE 330 CS (C 16 alkyls) sold by the company AQUALON, and the product BERMOCOLL EHM 100 sold by the company BEROL NOBEL,
- hydroxyethylcelluloses modified by at least one polyalkylene glycol ether of alkylphenol group such as the product AMERCELL POLYMER HM-1500 (polyethylene glycol (15) ether of nonylphenol) sold by the company AMERCHOL;
- hydroxypropylguars modified by at least one group comprising at least one fatty chain such as the product ESAFLOR HM 22 (C 22 alkyl chain) sold by the company LAMBERTI, the products RE 210-18 (C 14 alkyl chain) and RE 205-1 (C 20 alkyl chain) sold by the company RHONE POULENC (Succeeded by RHODIA CHIMIE);
- copolymers formed from vinylpyrrolidone and at least one hydrophobic monomer comprising at least one fatty chain such as for example:
- copolymers formed from at least one hydrophilic methacrylate and at least one hydrophobic monomer comprising at least one fatty chain and copolymers formed from at least one hydrophilic acrylate and at least one hydrophobic monomer comprising at least one fatty chain such as for example the polyethylene glycol methacrylate/lauryl methacrylate copolymer;
- polyether-polyurethanes comprising in their chain both hydrophilic sequences which are most often of a polyoxyethylenated nature and hydrophobic sequences which may be chains chosen from aliphatic chains, cycloaliphatic chains, and aromatic chains;
- polymers comprising an aminoplast ether backbone possessing at least one fatty chain, such as the compounds PURE THIX provided by the company SUD-CHEMIE.
- Nonionic thickening polymers can additionally include polyether-polyurethanes comprising at least two lipophilic (i.e., hydrophobic) hydrocarbon chains, comprising from 6 to 30 carbon atoms, separated by a hydrophilic sequence, it being possible for the hydrocarbon chains to be chosen from pendant chains and chains at the end of a hydrophilic sequence.
- One embodiment may comprise at least one pendant chain.
- the polymer may comprise a hydrocarbon chain at at least one end of a hydrophilic sequence.
- Representative polyether-polyurethanes useful in the present invention may be polyblocks, such as in triblock form.
- the hydrophobic sequences may be at each end of the chain (for example: triblock copolymer with hydrophilic central sequence) and optionally both at the ends and in the chain (polyblock copolymer for example).
- These same polymers may also be in the form of graft units or may be star-shaped.
- the nonionic polyether-polyurethanes comprising at least one fatty chain may be triblock copolymers whose hydrophilic sequence is a polyoxyethylenated chain comprising from 50 to 1000 oxyethylenated groups. Certain nonionic polyether-polyurethanes comprise a urethane bond between the hydrophilic sequences.
- Representative nonionic polyether-polyurethanes comprising at least one fatty chain include Rhéolate 205 comprising a urea function sold by the company RHEOX and Rhéolate 208, 204 and 212, as well as Acrysol RM 184, Aculyn 44 and Aculyn 46 from the company ROHM and HAAS
- ACULYN 46 is a polycondensate of polyethylene glycol comprising 150 or 180 mol of ethylene oxide, stearyl alcohol and methylene-bis(4-cyclohexylisocyanate) (SMDI), at 15% by weight in a maltodextrin (4%) and water (81%) matrix
- ACULYN 44 is a polycondensate of polyethylene glycol comprising 150 or 180 mol of ethylene oxide, decyl alcohol and methylenebis(4-cyclohexylisocyanate) (SMDI), at 35% by weight in a propylene glycol (39%) and water (26
- the product DW 1206B from RHOM & HAAS comprising a C 20 alkyl chain and with a urethane bond, sold at 20% dry matter content in water, may also be used.
- polyether-polyurethanes that can be used according to the invention include polyether-polyurethanes described in the article by G. Fonnum, J. Bakke and Fk. Hansen-Colloid Polym. Sci 271, 380, 389 (1993), the disclosure of which is incorporated by reference herein.
- cationic thickener refers to polymers chosen from polymers comprising at least one cationic group and polymers comprising at least one group which can be ionized to form cationic groups.
- Representative cationic thickening polymers comprising at least one fatty chain used in the present invention can be chosen from quaternized cellulose derivatives and polyacrylates with noncyclic amine-containing side groups.
- Such quaternized cellulose derivatives can be chosen from:
- quaternized celluloses modified by groups comprising at least one fatty chain, such as at least one group chosen from alkyl, arylalkyl and alkylaryl groups comprising at least 8 carbon atoms,
- quaternized hydroxyethylcelluloses modified by at least one group comprising at least one fatty chain, such as at least one group chosen from alkyl, arylalkyl and alkylaryl groups comprising at least 8 carbon atoms.
- said alkyl groups carried by the above quaternized celluloses and hydroxyethylcelluloses comprise from 8 to 30 carbon atoms and the aryl groups are chosen from phenyl, benzyl, naphthyl and anthryl groups.
- quaternized alkylhydroxyethylcelluloses comprising at least one C 8 -C 30 fatty chain the products QUATRISOFT LM 200, QUATRISOFT LM-X 529-18-A, QUATRISOFT LM-X 529-18B (C 12 alkyl) and QUATRISOFT LM-X 529-8 (C 18 alkyl) marketed by the company AMERCHOL and the products CRODACEL QM, CRODACEL QL (C 12 alkyl) and CRODACEL QS (C 18 alkyl) marketed by the company CRODA.
- Representative polyacrylates with amine-containing side groups, quaternized and otherwise, comprise for example hydrophobic groups of the steareth 20 type (polyoxyethylenated stearyl alcohol (20)).
- polyacrylates with amine-containing side groups there may be mentioned the polymers 8781-121B or 9492-103 from the company NATIONAL STARCH.
- One embodiment of the oxidation dyeing composition according to the invention may comprise at least one nonionic thickening polymer comprising at least one fatty chain.
- the anionic, nonionic and cationic at least one thickening polymer comprising at least one fatty chain are generally present in an amount ranging for example from 0.01% to 10% by weight relative to the total weight of the dyeing composition, such as from 0.1% to 5% by weight relative to the total weight of the dyeing composition.
- said at least one composition (A) and said at least one composition (B) can further comprise at least one polymer chosen from cationic and amphoteric polymers, such as substantive polymers.
- cationic polymer refers to polymers chosen from polymers comprising at least one cationic group and polymers comprising at least one group which can be ionized to form cationic groups.
- Representative cationic polymers which may be used in accordance with the present invention include any of those already known to improve at least one cosmetic property of hair, such as, for example, those described in patent application EP-A-0 337 354 and in French patent applications FR-A-2 270 846, 2 383 660, 2 598 611, 2 470 596 and 2 519 863, the disclosures of which are incorporated herein by reference.
- the at least one cationic polymer may be chosen from polymers comprising at least one unit, wherein said at least one unit comprises at least one group chosen from primary amine groups, secondary amine groups, tertiary amine groups and quaternary amine groups, wherein said at least one group forms part of the polymer skeleton, or is carried by at least one lateral substituent on said polymer skeleton.
- the at least one cationic polymer has a number-average molecular mass generally ranging for example from 500 to 5 ⁇ 10 6 , such as from 1 ⁇ 10 3 to 3 ⁇ 10 6 .
- the at least one cationic polymer may, for example, be chosen from polymers of quaternary polyammonium type, polymers of polyamino amide type and polymers of polyamine type. Such types of polymers are known in the art. They are for example described in French patents Nos. 2,505, 348 and 2,542,997, the disclosures of which are incorporated by reference herein.
- Non-limiting examples of cationic polymers include:
- homo- and co-polymers derived from at least one monomer chosen from acrylic esters, methacrylic esters and amides, wherein said homo- and co-polymers comprise at least one unit chosen from units of formulae:
- R 3 which may be identical or different, are each chosen from hydrogen atoms and CH 3 groups;
- A which may be identical or different, are each chosen from linear and branched alkyl groups comprising from 1 to 6 carbon atoms, such as 2 and 3 carbon atoms, and hydroxyalkyl groups comprising from 1 to 4 carbon atoms;
- R 4 , R 5 and R 6 which may be identical or different, are each chosen from alkyl groups comprising from 1 to 18 carbon atoms, such as from 1 to 6 carbon atoms, and benzyl groups;
- R 1 and R 2 which may be identical or different, are each chosen from hydrogen atoms and alkyl groups comprising from 1 to 6 carbon atoms, such as methyl and ethyl;
- X ⁇ is an anion chosen from anions derived from at least one inorganic acid and anions derived from at least one organic acid, such as methosulfate anions and halides, such as chlorides and bromides.
- Copolymers of family(1) may further comprise at least one unit derived from at least one comonomer chosen from vinyllactams, vinyl esters, acrylamides, methacrylamides, diacetone acrylamides, acrylamides and methacrylamides substituted on the nitrogen with at least one group chosen from (C 1 -C 4 ) alkyls, acrylic acids, methacrylic acids, acrylic esters, and methacrylic esters.
- vinyllactams include vinylpyrrolidone and vinylcaprolactam.
- Non-limiting examples of copolymers of family(1) include:
- copolymers derived from at least one monomer of (i) acrylamide and (ii) methacryloyloxy-ethyltrimethylammonium chloride described, for example, in patent application EP-A-080 976, the disclosure of which is incorporated herein by reference, and which is sold under the name BINA QUAT P 100 by the company Ciba Geigy;
- dimethylaminoethyl methacrylate/vinylcaprolactam/vinylpyrrolidone terpolymers such as the product sold under the name GAFFIX VC 713 by the company ISP;
- quaternized vinylpyrrolidone/dimethylaminopropylmethacrylamide copolymers such as the product sold under the name “GAFQUAT HS 100” by the company ISP;
- cationic cellulose derivatives such as cellulose copolymers and cellulose derivatives grafted with at least one water-soluble monomer of quaternary ammonium, such as those described in U.S. Pat. No. 4,131,576, the disclosure of which is incorporated herein by reference, such as hydroxyalkylcelluloses (such as, for example, hydroxymethylcelluloses, hydroxyethylcelluloses and hydroxypropylcelluloses, wherein said hydroxyalkylcelluloses are grafted with at least one salt chosen from, for example, methacryloylethyltrimethylammonium salts, methacrylamidopropyltrimethylammonium salts and dimethyldiallylammonium salts).
- commercial products corresponding to the aforementioned cationic cellulose derivatives include the products sold under the names “CELQUAT L 200” and “CELQUAT H 100” by the company National Starch;
- cationic polysaccharides such as those described in U.S. Pat. Nos. 3,589,578 and 4,031,307, the disclosures of which are incorporated herein by reference, such as guar gums comprising at least one cationic trialkylammonium group.
- guar gums modified with at least one salt, such as a chloride salt, of 2,3-epoxypropyltrimethylammonium may be used in the present invention.
- salt such as a chloride salt
- Such products are sold in particular under the trade names JAGUAR C13 S, JAGUAR C 15, JAGUAR C 17 and JAGUAR C162 by the company Meyhall;
- polymers comprising (i) at least one piperazinyl unit and (ii) at least one group chosen from divalent alkylene groups and divalent hydroxyalkylene groups, wherein said at least one group optionally comprises at least one chain chosen from straight chains and branched chains, wherein said at least one chain is optionally interrupted by at least one entity chosen from oxygen atoms, sulfur atoms, nitrogen atoms, aromatic rings and heterocyclic rings, the oxidation products of said polymers and the quaternization products of said polymers.
- such polymers are described in French patents 2,162,025 and 2,280,361, the disclosures of which are incorporated herein by reference;
- water-soluble polyamino amides which may be prepared by at least one polycondensation reaction of at least one acidic compound and at least one polyamine compound, wherein said polyamino amides may be crosslinked with at least one crosslinking agent chosen from epihalohydrins, diepoxides, dianhydrides, unsaturated dianhydrides, bis-unsaturated derivatives, bis-halohydrins, bis-azetidiniums, bis-haloacyldiamines, bis-alkyl halides and oligomers derived from reaction of at least one difunctional compound with at least one compound chosen from bis-halohydrins, bis-azetidiniums, bis-haloacyldiamines, bis-alkyl halides, epihalohydrins, diepoxides and bis-unsaturated derivatives, wherein said crosslinking agent may be used in a proportion generally ranging from 0.025 mol to 0.35 mol per amine
- polyamino amide derivatives derived from condensation of at least one polyalkylene polyamine with at least one polycarboxylic acid, followed by alkylation with at least one bifunctional agent.
- Non-limiting examples of such polyamino amide derivatives include adipic acid/dialkylaminohydroxyalkyldialkylenetriamine polymers wherein the alkyl group comprises from 1 to 4 carbon atoms, such as methyl groups, ethyl groups and propyl groups.
- such polymers are described in French patent 1,583,363, the disclosure of which is incorporated herein by reference.
- the molar ratio of the at least one polyalkylene polyamine to the at least one dicarboxylic acid generally ranges from 0.8:1 to 1.4:1.
- the polyamino amide resulting from the above reaction may be reacted with epichlorohydrin in a molar ratio of epichlorohydrin to the at least one secondary amine group of the polyamino amide generally ranging from 0.5:1 to 1.8:1.
- epichlorohydrin in a molar ratio of epichlorohydrin to the at least one secondary amine group of the polyamino amide generally ranging from 0.5:1 to 1.8:1.
- such polymers are described in U.S. Pat. Nos. 3,227,615 and 2,961,347, the disclosures of which are incorporated herein by reference.
- Polymers of this type are sold in particular under the name “HERCOSETT 57” by the company Hercules Inc. and under the name “PD 170” or “DELSETTE 101” by the company Hercules in the case of adipic acid/epoxypropyl/diethylenetriamine copolymers.
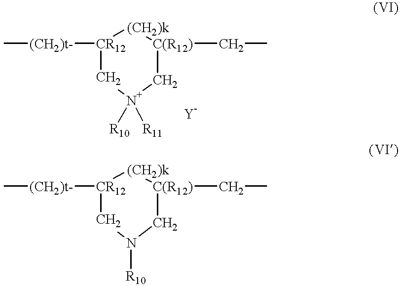
- k and t which may be identical or different, are each chosen from 0 and 1, with the proviso that the sum of k+tis equal to 1;
- R 12 which may be identical or different, are each chosen from hydrogen atoms and methyl groups;
- R 10 and R 11 which may be identical or different, are each chosen from alkyl groups comprising from 1 to 22 carbon atoms, such as from 1 to 4 carbon atoms, hydroxyalkyl groups, such as hydroxy alkyl groups wherein the alkyl radical comprises from 1 to 5 carbon atoms, and C 1 -C 4 amidoalkyl groups;
- R 10 and R 11 together with the nitrogen atom to which they are commonly bonded, may additionally form at least one heterocyclic group, such as piperidyl groups and morpholinyl groups;
- Y ⁇ is an anion, such as bromide, chloride, acetate, borate, citrate, tartrate, bisulfate, bisulfite, sulfate and phosphate.
- anion such as bromide, chloride, acetate, borate, citrate, tartrate, bisulfate, bisulfite, sulfate and phosphate.
- Non-limiting examples of the polymers defined above include the dimethyldiallyl-ammonium chloride homopolymer sold under the name “MERQUAT 100” by the company Calgon (and its homologues of low weight-average molecular mass) and copolymers of diallyldimethylammonium chloride and of acrylamide, sold under the name “MERQUAT 550”.
- R 13 , R 14 , R 15 and R 16 which may be identical or different, are each chosen from aliphatic groups comprising from 1 to 20 carbon atoms, alicyclic groups comprising from 2 to 20 carbon atoms, arylaliphatic groups comprising from 5 to 20 carbon atoms, and lower hydroxyalkyl groups; and
- R 13 , R 14 , R 15 and R 16 together with the nitrogen atoms to which they are attached, may form at least one heterocycle optionally comprising an additional heteroatom other than nitrogen;
- R 13 , R 14 , R 15 and R 16 which may be identical or different, may each be chosen from linear and branched C 1 -C 6 alkyl groups substituted with at least one group chosen from nitrile groups, ester groups, acyl groups, amide groups and groups chosen from groups of formulae —CO—O—R 17 —D and —CO—NH—R 17 —D wherein R 17 is chosen from alkylene groups and D is chosen from quaternary ammonium groups;
- a 1 and B 1 which may be identical or different, are each chosen from polymethylene groups comprising from 2 to 20 carbon atoms, chosen from linear and branched, saturated and unsaturated polymethylene groups wherein said polymethylene groups may optionally comprise, optionally linked to and optionally intercalated in the main chain, at least one entity chosen from aromatic rings, oxygen atoms, sulfur atoms, sulfoxide groups, sulfone groups, disulfide groups, amino groups, alkylamino groups, hydroxyl groups, quaternary ammonium groups, ureido groups, amide groups and ester groups; and
- X ⁇ is an anion chosen from anions derived from inorganic acids and anions derived from organic acids.
- a 1 , R 13 and R 15 may optionally form, together with the nitrogen atoms to which they are attached, at least one piperazine ring;
- B 1 may also be chosen from groups of formula:
- n is a number such that the overall quaternary diammonium polymer has a number-average molecular mass generally ranging for example from 1000 to 100,000;
- D is chosen from:
- x and y which may be identical or different, are each chosen from integers ranging from 1 to 4 (in which case x and y represent a defined and unique degree of polymerization) and any number ranging from 1 to 4 (in which case x and y represent an average degree of polymerization);
- Y is chosen from linear and branched hydrocarbon groups and residues of formula —CH 2 —CH 2 —S—S—CH 2 —CH 2 —;
- X ⁇ is an anion chosen from chloride ions and bromide ions.
- the quarternary diammonium polymers have a number-average molecular mass generally ranging from 1000 to 100,000.
- polymers of this type are described in French Pat. Nos. 2,320,330, 2,270,846, 2,316,271, 2,336,434 and 2,413,907 and U.S. Pat. Nos. 2,273,780, 2,375,853, 2,388,614, 2,454,547, 3,206,462, 2,261,002, 2,271,378, 3,874,870, 4,001,432, 3,929,990, 3,966,904, 4,005,193, 4,025,617, 4,025,627, 4,025,653, 4,026,945 and 4,027,020, the disclosures of which are incorporated herein by reference.
- polymers comprising repeating units of formula (a) may be used:
- R 1 , R 2 , R 3 and R 4 which may be identical or different, are each chosen from alkyl groups comprising from 1 to 4 carbon atoms and hydroxyalkyl groups comprising from 1 to 4 carbon atoms;
- n and p which may be identical or different, are each chosen from integers ranging from 2 to 20;
- X ⁇ is an anion chosen from anions derived from inorganic acids and anions derived from organic acids.
- p is an integer ranging from 1 to 6
- D is chosen from direct bonds and —(CH 2 ) r —CO— groups, wherein r is a number equal to 4 or 7, and
- X ⁇ is an anion chosen from anions derived from inorganic acids and anions derived from organic acids.
- polyamines such as POLYQUART H sold by Henkel under the reference name “POLYETHYLENE GLYCOL (15) TALLOW POLYAMINE” in the CTFA dictionary.
- a crosslinked acrylamide/methacryloyloxyethyltrimethylammonium chloride copolymer (20/80 by weight) in the form of a dispersion comprising about 50% by weight of said copolymer in mineral oil may be used.
- This dispersion is sold under the name “SALCARE SC 92” by the company Allied Colloids.
- a crosslinked methacryloyloxyethyltrimethylammonium chloride homopolymer comprising about 50% by weight of the homopolymer in mineral oil or in a liquid ester may be used.
- These dispersions are sold under the names “SALCARE SC 95” and “SALCARE SC 96” by the company Allied Colloids.
- cationic polymers which may be used as the at least one cationic polymer according to the present invention are polyalkyleneimines (such as polyethyleneimines), polymers comprising at least one vinylpyridine unit, polymers comprising at least one vinylpyridinium unit, condensates of polyamines, condensates of epichlorohydrin, quaternary polyureylenes and chitin derivatives.
- polyalkyleneimines such as polyethyleneimines
- polymers comprising at least one vinylpyridine unit polymers comprising at least one vinylpyridinium unit
- condensates of polyamines condensates of epichlorohydrin
- quaternary polyureylenes and chitin derivatives.
- the cationic polymers are present in an amount ranging for example from 0.01% to 10% by weight relative to the total weight of the final composition, such as from 0.05% to 5% by weight relative to the total weight of the final composition and further such as from 0.01% to 3% by weight relative to the total weight of the final composition.
- amphoteric polymers which can be used in the present invention can be chosen from polymers comprising K and M units distributed statistically in the polymer chain,
- K is a unit derived from a monomer comprising at least one basic nitrogen atom and M is a unit derived from an acid monomer comprising at least one group chosen from carboxylic groups and sulfonic groups; or alternatively
- K and M which are identical or different, are each groups chosen from groups derived from zwitterionic monomers of carboxybetaines and groups derived from zwitterionic monomers of sulfobetaines; or alternatively
- K and M which are identical or different, are each chosen from polymers comprising cationic polymer chains comprising at least one amine group chosen from primary, secondary, tertiary and quaternary amine groups, wherein at least one of the amine groups is substituted with a group chosen from carboxylic groups and sulphonic groups linked via a hydrocarbon radical; or alternatively
- K and M form part of a chain of a polymer with an ⁇ , ⁇ -dicarboxylic ethylene unit wherein one of the carboxylic groups has been caused to react with a polyamine comprising at least one amine group chosen from primary amine groups and secondary amine groups.
- film forming amphoteric polymers include the following polymers:
- the vinyl compound can also be a salt of dialkyldiallylammonium such as diethyldiallylammonium chloride.
- dialkyldiallylammonium such as diethyldiallylammonium chloride.
- the copolymers of acrylic acid and the latter monomer are proposed under the name “MERQUAT 280”, “MERQUAT 295” and “MERQUAT PLUS 3330” by the company CALGON.
- basic comonomer such as comonomers chosen from esters of acrylic acid and esters of methacrylic acid, said esters being substituted with at least one amine chosen from primary, secondary, tertiary and quaternary amines, and the product of quaternization of dimethylaminoethyl methacrylate with a sulfate chosen from dimethyl sulfate and diethyl sulfate.
- Some embodiments according to the invention utilize N-substituted acrylamides and methacrylamides comprising (C 2 -C 12 )alkyl groups, such as N-ethylacrylamide, N-tert-butylacrylamide, N-tert-octylacrylamide, N-octylacrylamide, N-decylacrylamide, and N-dodecylacrylamide, as well as the corresponding methacrylamides.
- the acidic comonomers can be chosen, for example, from acrylic, methacrylic, crotonic, itaconic, maleic and fumaric acids as well as the (C 1 -C 4 )alkyl monoesters of entities chosen from maleic anhydride, fumaric anhydride, maleic acid, and fumaric acid.
- the basic comonomers can be chosen, for example, from methacrylates of aminoethyl, butylaminoethyl, N,N′-dimethylaminoethyl, and N-tert-butylaminoethyl.
- R 27 is a divalent group chosen from groups derived from saturated dicarboxylic acids, groups derived from dicarboxylic aromatic acids, groups derived from mono- and dicarbocylic aliphatic acids comprising at least one ethylenic double bond, groups derived from an ester of (C 1 -C 6 )alkanols of said acids, and groups derived from the addition of any one of said aforementioned acids with an amine chosen from bis-primary and bis-secondary amines, and
- Z is a divalent group derived from polyalkylene-polyamines chosen from bis-primary, mono- and bis-secondary polyalkylene-polyamines, for example, Z represents:
- group Z of formula a) is derived from a compound chosen from diethylenetriamine, triethylenetetraamine and dipropylenetriamine;
- the saturated dicarboxylic acids are for example chosen from saturated (C 6 -C 10 ) dicarboxylic acids such as adipic, 2,2,4trimethyladipic and 2,4,4-trimethyladipic acid.
- Representative dicarboxylic aromatic acids include for example (C 6 -C 10 ) dicarboxylic aromatic acids, such as terephthalic acid.
- representative mono- and dicarboxylic aliphatic acids comprising at least one ethylenic double bond include for example acrylic, methacrylic and itaconic acids.
- the alkanesultones used in the alkylation can, for example, be chosen from propanesultone and butanesultone, and the salts of the alkylating agents can be chosen from sodium and potassium salts of said alkylating agents.
- R 20 is chosen from polymerizable unsaturated groups such as acrylate, methacrylate, acrylamide and methacrylamide groups,
- y and z which can be identical or different, are each chosen from integers ranging from 1 to 3,
- R 31 and R 32 which may be identical or different, are each chosen from hydrogen and alkyl groups, provided that the sum of the carbon atoms in R 31 and R 32 does not exceed 10.
- the polymers comprising such units may also comprise units derived from nonzwitterionic monomers such as dimethylaminoethyl acrylate, dimethylaminoethyl methacrylate, diethylaminoethyl acrylate, diethylaminoethyl methacrylate, alkyl acrylates, alkyl methacrylates, alkyl acrylamides, alkyl methacrylamides, and vinyl acetate.
- nonzwitterionic monomers such as dimethylaminoethyl acrylate, dimethylaminoethyl methacrylate, diethylaminoethyl acrylate, diethylaminoethyl methacrylate, alkyl acrylates, alkyl methacrylates, alkyl acrylamides, alkyl methacrylamides, and vinyl acetate.
- said unit (D) is present in an amount ranging for example from 0% to 30%, by weight relative to the total weight of said polymer
- said unit (E) is present in an amount ranging for example from 5% to 50% by weight relative to the total weight of said polymer
- said unit (F) is present in an amount ranging for example from 30% to 90% by weight relative to the total weight of said polymer
- R 33 is chosen from groups of formula:
- R 34 , R 35 and R 36 which may be identical or different, are each chosen from:
- monoalkylamine and dialkylamine groups optionally interrupted by at least one nitrogen atom and/or optionally substituted with at least one group chosen from amine, hydroxyl, carboxyl, alkylthio and sulfonic groups, and
- alkylthio groups wherein said alkyl portion of said alkylthio group carries an amino group
- R 37 is chosen from hydrogen and CH 3 O, CH 3 CH 2 O, and phenyl groups,
- R 38 and R 39 which are identical or different, are each chosen from hydrogen and lower alkyl groups such as methyl and ethyl,
- R 40 is chosen from lower alkyl groups such as methyl and ethyl and groups of formula: —R 41 —N(R 39 ) 2 , comprising up to 6 carbon atoms, wherein R 39 is as defined above and R 41 is defined below,
- R 4 is chosen from —CH 2 —CH 2 —, —CH 2 —CH 2 —CH 2 —, and —CH 2 —CH(CH 3 )—.
- E and E′ are each chosen from bivalent groups chosen from alkylene groups comprising at least one chain chosen from linear and branched chains comprising up to 7 carbon atoms in the principal chain, wherein said principal chain is optionally substituted with at least one hydroxyl group, and wherein said alkylene groups optionally comprise at least one atom chosen from oxygen atoms, nitrogen atoms and sulfur atoms, wherein said at least one optional atom is present in the form of at least one group chosen from ether, thioether, sulfoxide, sulfone, sulfonium, alkylamine and alkenylamine groups, and hydroxyl, benzylamine, amine oxide, quaternary ammonium, amide, imide, alcohol, ester and urethane groups, and wherein said alkylene groups optionally comprise 1 to 3 rings chosen from aromatic rings and heterocyclic rings,
- D is a group:
- X is chosen from the symbols E and E′ and wherein at least one X is chosen from E′,
- E is chosen from bivalent groups chosen from alkylene groups comprising at least one chain chosen from linear and branched chains comprising up to 7 carbon atoms in the principal chain, wherein said principal chain is optionally substituted with at least one hydroxyl group, and wherein said alkylene groups optionally comprise at least one atom chosen from oxygen atoms, nitrogen atoms, and sulfur atoms, wherein said at least one optional atom is present in the form of at least one group chosen from ether, thioether, sulfoxide, sulfone, sulfonium, alkylamine and alkenylamine groups, and hydroxyl, benzylamine, amine oxide, quaternary ammonium, amide, imide, alcohol, ester and urethane groups, and wherein said alkylene groups optionally comprise 1 to 3 rings chosen from aromatic rings and heterocyclic rings, and
- E′ is a bivalent group chosen from alkylene groups comprising at least one chain chosen from linear and branched chains comprising up to 7 carbon atoms in the principal chain, wherein said principal chain is optionally substituted with at least one hydroxyl group, and wherein said alkylene groups comprise at least one nitrogen atom substituted with an alkyl chain, wherein said alkyl chain is optionally interrupted by an oxygen atom and, wherein said alkyl chain comprises at least one functional group chosen from carboxyl and hydroxyl functional groups, and wherein said at least one alkyl chain is betainized by reaction with a reactant chosen from chloroacetic acid and sodium chloroacetate.
- These copolymers may also comprise other vinyl comonomers such as vinylcaprolactam.
- amphoteric polymers of family(1) are utilized in certain embodiments of the invention.
- the at least one polymer chosen from cationic and amphoteric polymers may be present in an amount ranging for example from 0.01% to 10% by weight relative to the total weight of the composition, such as from 0.05% to 5% by weight relative to the total weight of the composition, and further such as from 0.01% to 3% by weight relative to the total weight of the composition.
- the ready-to-use composition according to the invention can comprise at least one additional surfactant, which is present in at least one of said at least one dyeing composition (A), said at least one oxidizing composition (B), and said at least one dyeing composition (A) and said at least one oxidizing composition (B).
- the at least one additional surfactant may be chosen from anionic, amphoteric, nonionic, zwitterionic and cationic surfactants.
- At least one additional surfactant include the following:
- anionic surfactants include salts (for example alkaline salts, such as sodium salts, ammonium salts, amine salts, amino alcohol salts and magnesium salts) of the following compounds: alkyl sulfates, alkyl ether sulfates, alkylamidoether sulfates, alkylarylpolyether sulfates, monoglyceride sulfates; alkyl sulfonates, alkyl phosphates, alkylamide sulfonates, alkylaryl sulfonates, ⁇ -olefin sulfonates, paraffin sulfonates; alkyl(C 6 -C 24 ) sulfosuccinates, alkyl(C 6 -C 24 ) ether sulfosuccinates, alkyl(C 6 -C 24 )amide sulfosuccinates, alkylsulfosuccinamates alkyl(C 6
- anionic surfactants can be chosen from fatty acid salts such as the salts of oleic acid, ricinoleic acid, palmitic acid, stearic acid, the acids of copra oil and the acids of hydrogenated copra oil, and acyl lactylates in which the acyl radical comprises from 8 to 20 carbon atoms.
- At least one weakly anionic surfactant can also be used, such as alkyl-D-galactosideuronic acids and their salts, as well as polyoxyalkylenated carboxylic (C 6 -C 24 )alkyl ether acids, polyoxyalkylenated carboxylic (C 6 -C 24 )alkylaryl ether acids, polyoxyalkylenated carboxylic (C 6 -C 24 )alkyl amidoether acids and their salts, for example, those comprising from 2 to 50 ethylene oxide groups.
- nonionic surfactants include compounds that are well known per se (see for example in this respect “Handbook of Surfactants” by M. R. Porter, published by Blackie & Son (Glasgow and London), 1991, pp. 116-178), the disclosure of which is incorporated by reference herein.
- nonionic surfactants can include alcohols, ⁇ -diols, and polyethoxylated alkylphenols and polypropoxylated alkylphenols comprising at least one fatty chain comprising for example from 8 to 18 carbon atoms, wherein the number of ethylene oxide and propylene oxide groups can range for example from 2 to 50.
- Representative amphoteric and zwitterionic surfactants can be chosen from aliphatic secondary and tertiary amine derivatives in which the aliphatic radical is chosen from linear and branched chain radicals comprising 8 to 18 carbon atoms and comprising at least one water-soluble anionic group (chosen for example from carboxylate, sulfonate, sulfate, phosphate and phosphonate); mention may also be made of (C 8 -C 20 )alkylbetaines, sulfobetaines, (C 8 -C 20 )alkylamido(C 1 -C 6 )alkylbetaines and (C 8 -C 20 )alkylamido(C 1 -C 6 )alkylsulfobetaines.
- Representative amine derivatives include the products sold under the name MIRANOL, as described in U.S. Pat. Nos. 2,528,378 and 2,781,354, the disclosures of which are incorporated by reference herein, and classified in the CTFA dictionary, 3 rd edition, 1982, under the names Amphocarboxyglycinates and Amphocarboxypropionates, having the respective structures:
- R 2 is chosen from alkyl groups derived from an acid R 2 —COOH present in hydrolysed copra oil, and heptyl, nonyl and undecyl radicals,
- R 3 is a beta-hydroxyethyl group, and- R 4 is a carboxymethyl group
- (B) is —CH 2 CH 2 OX′, wherein X′ is an entity chosen from a —CH 2 CH 2 —COOH group and a hydrogen atom,
- R 5 is chosen from alkyl groups, such as (a) alkyl groups of an acid R 5 —COOH present in oils chosen from copra oil and hydrolysed linseed oil, (b) alkyl groups, such as C 7 , C 9 , C 11 and C 13 alkyl groups, and (c) C 17 alkyl groups and the iso forms, and unsaturated C 17 groups.
- Such representative compounds are classified in the CTFA dictionary, 5th edition, 1993, under the names disodium cocoamphodiacetate, disodium lauroamphodiacetate, disodium caprylamphodiacetate, disodium capryloamphodiacetate, disodium cocoamphodipropionate, disodium lauroamphodipropionate, disodium caprylamphodipropionate, disodium capryloamphodipropionate, lauroamphodipropionic acid, and cocoamphodipropionic acid.
- MIRANOL C2M Concentrate by the company RHODIA CHIMIE.
- Representative cationic surfactants include salts of optionally polyoxyalkylenated primary, secondary and tertiary fatty amines; quaternary ammonium salts such as tetraalkylammonium, alkylamidoalkyltrialkylammonium, trialkylbenzylammonium, and trialkylhydroxyalkylammonium, alkylpyridinium chlorides, alkylpyridinium bromides, imidazoline derivatives; and amine oxides of cationic nature.
- the dyeing composition (A) comprises at least one nonionic surfactant.
- the at least one additional surfactant may be present in the composition according to the invention generally in an amount ranging for example from 0.01% to 40% by weight relative to the total weight of the composition, such as from 0.1% to 30% by weight relative to the total weight of the composition.
- the ready-to-use composition according to the present invention may eventually comprise, in composition (A), composition (B), or both compositions (A) and (B), at least one other agent for adjustment of rheology, such as agents chosen from cellulose thickeners (for example, hydroxyethylcellulose, hydroxypropylcellulose, and carboxymethylcellulose), guar gum and its derivatives (for example, hydroxypropylguar), gums of microbial origin (for example, xanthan gum and scleroglucan gum), and synthetic thickeners (for example, crosslinked homopolymers of acrylic acid and crosslinked homopolymers of acrylamidopropanesulfonic acid.
- cellulose thickeners for example, hydroxyethylcellulose, hydroxypropylcellulose, and carboxymethylcellulose
- guar gum and its derivatives for example, hydroxypropylguar
- gums of microbial origin for example, xanthan gum and scleroglucan gum
- synthetic thickeners for example, crosslinked
- these thickeners may be present in an amount ranging for example from 0.01% to 10% by weight relative to the total weight of the composition.
- the medium of the composition appropriate for dyeing can be an aqueous medium, optionally comprising at least one cosmetically acceptable organic solvent.
- Representative organic solvents may be chosen from alcohols, such as ethyl alcohol, isopropyl alcohol, benzyl alcohol, and phenylethyl alcohol.
- the organic solvents may also be chosen from glycols (for example, ethyleneglycol, propyleneglycol, butyleneglycol, dipropyleneglycol, and diethyleneglycol) and ethers of glycols (for example, monomethyl, monoethyl and monobutyl ethers of ethyleneglycol and for example monomethyl ether of propyleneglycol and alkyl ethers of diethyleneglycol glycol, such as, for example, monoethylether and monobutylether of diethyleneglycol).
- alcohols such as ethyl alcohol, isopropyl alcohol, benzyl alcohol, and phenylethyl alcohol.
- the organic solvents may also be chosen from glycols (for example, ethyleneglycol, propyleneglycol, buty
- the organic solvents are generally present in an amount ranging for example from 0.5% to 20% by weight relative to the total weight of the composition, such as from 2% to 10% by weight relative to the total weight of the composition.
- composition according to the invention may further comprise an effective quantity of other agents.
- agents that are already known for oxidation coloration such as various ordinary adjuvants including sequesterizers such as EDTA and etidronic acid, UV-screening agents, waxes, volatile and nonvolatile, cyclic and non-cyclic, linear and branched, organomodified (such as by amine groups) silicones, preservatives, ceramides, pseudoceramides, vegetable, mineral and synthetic oils, vitamins and provitamins such as panthenol, and opacifiers, may be included.
- sequesterizers such as EDTA and etidronic acid
- UV-screening agents such as EDTA and etidronic acid
- waxes volatile and nonvolatile, cyclic and non-cyclic, linear and branched, organomodified (such as by amine groups) silicones, preservatives, ceramides, pseudoceramides, vegetable, mineral and synthetic oils,
- the composition can also comprise at least one agent chosen from reducing agents and antioxidants.
- Representative additional agents may include sodium sulfite, thioglycolic acid, thiolactic acid, sodium bisulfite, dehydroascorbic acid, hydroquinone, 2-methylhydroquinone, tert-butylhydroquinone and homogentisic acid.
- such agents may be present in the an amount ranging for example from 0.05% to 3.0% by weight relative to the total weight of the composition, such as from 0.05% to 1.5% by weight relative to the total weight of the composition.
- composition according to the invention may also comprise at least one fatty alcohol comprising at most twenty carbon atoms.
- Representative fatty alcohols comprising at most twenty carbon atoms that may be used include lauryl, cetyl, stearyl and oleyl alcohols. These additional fatty alcohols may be present in an amount ranging for example from 0.001% to 20% by weight relative to the total weight of the composition.
- said at least one composition (B) may comprise at least one oxidizing agent chosen, for example, from hydrogen peroxide, urea peroxide, alkali metal bromates and ferricyanides, and persalts such as perborates and persulfates. More specifically, hydrogen peroxide may be used.
- This oxidizing agent is advantageously constituted by an oxygenated aqueous solution of which the titre may range from 1 to 40 in volume, such as from 5 to 40.
- At least one oxidation-reduction enzyme such as laccases, peroxydases and 2-electron oxydoreductases (such as uricase), if necessary in the presence of their respective donor or cofactor, may also be used.
- the pH of the dyeing composition (A) or of the ready-to-use composition applied to the keratin fibers generally ranges from 4 to 12, such as from 6 to 11, and may be adjusted to the desired value by means of at least one agent chosen from acidifying and basifying agents well-known in the art of dyeing keratin fibers.
- Representative basifying agents include aqueous ammonia, alkali metal carbonates, alkanolamines such as mono-, di- and triethanolamines and derivatives thereof, hydroxyalkylamines and oxyethylenated and oxypropylenated ethylenediamines, sodium and potassium hydroxide and compounds of formula (XIV):
- R is a propylene residue optionally substituted with a group chosen from hydroxyl and C 1 -C 4 alkyl groups;
- R 42 , R 43 , R 44 and R 45 which may be identical or different, are each chosen from hydrogen, C 1 -C 4 alkyl groups and C 1 -C 4 hydroxyalkyl groups.
- Representative acidifying agents include, classically, by way of example, organic and inorganic acids such as hydrochloric acid, orthophosphoric acid, and carboxylic acids such as tartaric acid, citric acid, lactic acid and sulfonic acids.
- One dyeing method comprises applying on dry or wet keratin fibers, such as human keratin fibers like hair, at least one ready-to-use cosmetic composition, prepared at the time of use from at least one compositions (A) and at least one composition (B), leaving said at least one ready-to-use composition on said keratin fibers for a time ranging from 1 to 60 minutes, such as from 10 to 45 minutes, rinsing said keratin fibers, optionally shampooing said keratin fibers, rinsing said keratin fibers after said optional shampooing, and drying said keratin fibers, wherein said at least one ready-to-use cosmetic composition comprises, in a dyeing medium:
- Oxidizing composition Fatty alcohol 2.3 g Oxyethylenated fatty alcohol 0.6 g Fatty amide 0.9 g Glycerin 0.5 g Hydrogen peroxide 7.5 g Perfume qs Demineralized water qs 100 g
- Dyeing composition (expressed in grams) Mixture of C18 to C24 linear alcohols [C18/C20/C22/C24, 3 7/58/30/6] (NAFOL 20-22) Mixture of oxyethylenated C18 to C24 linear alcohols 1.35 [C18/C20/C22/C24, 7/58/30/6] 30 EO (NAFOLOX 20-22 30EO) Oxyethylenated stearyl alcohol 2 EO 4 Oxyethylenated stearyl alcohol 21 EO 2 Oleic acid 2.6 Glycol distearate 2 Propylene glycol 5 Monoisopropanolamide of copra acids 2 Aculyn 44 sold by the company ROHM & HAAS 1.4 AS* Crosslinked polyacrylic acid 0.6 Cationic polymer of formula (W) 3 AS* Merquat 100 sold by the company CALGON 0.4 AS* Reducing agents 0.7 Seqestrants 0.2 1,3-Dihydroxybenzene (re
- the dyeing composition was mixed, at the time of use, in a plastic bowl and for 2 minutes, with the oxidizing composition given above, in an amount of I part of dyeing composition per 1.5 parts of oxidizing composition.
- the mixture obtained was applied to locks of natural grey hair which is 90% white and allowed to act for 30 minutes.
- the locks were then rinsed with water, they were washed with shampoo and again rinsed with water, and then dried and disentangled.
- the hair was then dyed in an intense light chestnut brown shade.
Landscapes
- Health & Medical Sciences (AREA)
- Life Sciences & Earth Sciences (AREA)
- Animal Behavior & Ethology (AREA)
- General Health & Medical Sciences (AREA)
- Public Health (AREA)
- Veterinary Medicine (AREA)
- Emergency Medicine (AREA)
- Birds (AREA)
- Epidemiology (AREA)
- Cosmetics (AREA)
- Coloring (AREA)
Abstract
Description
- The present invention relates to a composition for oxidation dyeing keratin fibers, in particular human keratin fibers such as hair, comprising, in a cosmetically acceptable dyeing medium, (1) at least one oxidation dye, (2) at least one fatty alcohol comprising more than twenty carbon atoms, (3) optionally comprising at least one fatty alcohol comprising at most twenty carbon atoms, (4) at least one oxyalkylenated nonionic surfactant with an HLB greater than 5, and (5) optionally comprising at least one oxyalkylenated surfactant with an HLB at most equal to 5, provided that (2), (3), (4), and (5) are present in a proportion such that the weight ratio [(4)]/[(2)+(3)+(5)] is at most 1:1.
- It is known to dye keratin fibers, for example human hair, with dyeing compositions comprising oxidation dye precursors, generally called “oxidation bases.” Representative oxidation bases include ortho- and para-phenylenediamines, ortho- and para-aminophenols, and heterocyclic bases.
- Oxidation dye precursors are compounds initially only slightly colored or not colored which develop their dyeing power in the hair in the presence of oxidizing agents, leading to the formation of colored compounds. The formation of these colored compounds results either from oxidative condensation of the “oxidation bases” with themselves, or oxidative condensation of the “oxidation bases” with color modifying compounds, or “couplers”, which are generally present in the dyeing compositions used in oxidation dyeing and are represented more particularly by meta-phenylenediamines, meta-aminophenols and meta-diphenols, and certain heterocyclic compounds.
- The variety of compositions that can be employed in oxidation coloration, chosen from oxidation bases, oxidation couplers and mixtures of oxidation bases and couplers, can contribute to a pallet very rich in color.
- A dyeing product should be able to be confined upon application to the hair so that, on the one hand, it does not run over the face or outside the areas which it is desired to dye, and, on the other hand, a uniform and regular coloration may be obtained on the hair as a whole. Compositions comprising oxidation dye(s) prior to combining with an oxidizing agent should also be stable over time, such as, for example, from the rheological point of view.
- Traditional thickeners, which can provide a gelling effect when diluted by water and/or surfactants, have been used conventionally to localize the dye product as applied on hair, so that the dye product does not touch the face or the area outside the area to be dyed. Such thickeners, chosen as appropriate, for example include crosslinked polyacrylic acid, hydroxyethylcelluloses, certain polyurethanes, waxes or mixtures of nonionic surfactants having an HLB (Hydrophilic Lipophilic Balance).
- However, the inventors have observed that the above-mentioned thickening systems may impede a result of intense and chromatic shades of low selectivity and good fastness and a good cosmetic condition to the treated hair. However, it has also been observed that the ready-to-use dyeing compositions comprising known oxidation dye(s) and thickening systems tend to result in imprecise application of such compositions and/or a decrease in viscosity over time.
- However, the inventors have observed that the abovementioned systems do not make it possible to obtain intense and chromatic shades of low selectivity and good fastness while offering good stability of the compositions, good ease of application leading to uniform and regular colorations of the hair and a good cosmetic condition to the treated hair. However, it has also been observed that the ready-to-use dyeing compositions containing the oxidation dye(s), and the thickening systems of the prior art do not allow a sufficiently precise application without running or drops in viscosity over time.
- The inventors have discovered that it is possible to obtain ready-to-use oxidation dyeing compositions that resist running and tend to remain well-confined to the site of application. Additionally, such compositions may favor more intense and more chromatic (radiant) shades, while exhibiting low selectivities and good fastness toward chemical agents (shampoo, permanent waving and the like) and/or natural agents (light, perspiration and the like), and while offering the hair good cosmetic properties. The inventors have discovered that it is possible to obtain at least one of the aforementioned characteristics by formulating a ready-to-use cosmetic dyeing composition comprising (1) at least one oxidation dye, (2) at least one fatty alcohol comprising more than twenty carbon atoms, (3) optionally comprising at least one fatty alcohol comprising at most twenty carbon atoms, (4) at least one oxyalkylenated nonionic surfactant with an HLB greater than 5, and (5) optionally comprising at least one oxyalkylenated surfactant with an HLB at most equal to 5, provided that (2), (3), (4), and (5) are present in a proportion such that the weight ratio [(4)]/[(2)+(3)+(5)] is at most 1:1.
- At least one of these discoveries forms the basis of the present invention.
- The subject of the present invention is thus a cosmetic composition for oxidation dyeing keratin fibers, such as human keratin fibers like hair, comprising, in a dyeing medium:
- (1) at least one oxidation dye;
- (2) at least one fatty alcohol comprising more than twenty carbon atoms;
- (3) optionally comprising at least one fatty alcohol comprising at most twenty carbon atoms;
- (4) at least one oxyalkylenated nonionic surfactant with an HLB greater than 5; and
- (5) optionally comprising at least one oxyalkylenated surfactant with an HLB at most equal to 5,
- provided that (2), (3), (4), and (5) are present in a proportion such that the weight ratio [(4)]/[(2)+(3)+(5)] is at most 1:1.
- Another subject of the invention relates to a ready-to-use cosmetic composition for oxidation dyeing keratin fibers comprising, in a dyeing medium, (1) at least one oxidation dye, (2) at least one oxidizing agent (3) at least one fatty alcohol comprising more than twenty carbon atoms, (4) optionally comprising at least one fatty alcohol comprising at most twenty carbon atoms, (5) at least one oxyalkylenated nonionic surfactant with an HLB greater than 5, and (6) optionally comprising at least one oxyalkylenated surfactant with an HLB at most equal to 5, provided that (2), (3), (4), and (5) are present in a proportion such that the weight ratio [(4)]/[(2)+(3)+(5)] is at most 1:1. The term “ready-to-use composition” is understood to mean, for the purposes of the present invention, a composition intended to be applied immediately to the keratin fibers, either stored as it is before use or obtained from the mixture of two or more compositions.
- The invention also relates to a method for oxidation dyeing keratin fibers, such as human keratin fibers like hair, comprising:
- (i) applying to said keratin fibers at least one composition (A) comprising, in a dyeing medium, (1) at least one oxidation dye, (2) at least one fatty alcohol comprising more than twenty carbon atoms, (3) optionally comprising at least one fatty alcohol comprising at most twenty carbon atoms, (4) at least one oxyalkylenated nonionic surfactant with an HLB greater than 5, and (5) optionally comprising at least one oxyalkylenated surfactant with an HLB at most equal to 5, provided that (2), (3), (4), and (5) are present in a proportion such that the weight ratio [(4)]/[(2)+(3)+(5)] is at most 1:1, and
- (ii) developing a color with the aid of at least one composition (B) comprising at least one oxidizing agent, wherein said at least one oxidizing composition (B) is combined at the time of use with said at least one composition (A) or said at least one oxidizing composition (B) is applied sequentially to said at least one composition (A) without intermediate rinsing.
- One embodiment of the invention relates to multicompartment dyeing devices or “kits” for oxidation dyeing keratin fibers, such as human keratin fibers like hair.
- A kit according to the invention comprises at least two compartments, wherein:
- a first compartment comprises:
- (1) at least one oxidation dye;
- (2) at least one fatty alcohol comprising more than twenty carbon atoms;
- (3) optionally comprising at least one fatty alcohol comprising at most twenty carbon atoms;
- (4) at least one oxyalkylenated nonionic surfactant with an HLB greater than 5; and
- (5) optionally comprising at least one oxyalkylenated surfactant with an HLB at most equal to 5, provided that (2), (3), (4), and (5) are present in a proportion such that the weight ratio [(4)]/[(2)+(3)+(5)] is at most 1:1; and
- a second compartment comprises at least one oxidizing agent.
- The expression fatty alcohols includes, but is not limited to, fatty alcohols chosen from branched and unbranched, saturated and unsaturated fatty alcohols. The expression at least one (as used herein, “at least one” means one or more and thus includes mixtures and combinations) fatty alcohol comprising more than 20 carbon atoms includes, but is not limited to, fatty alcohols comprising more than twenty carbon atoms, mixtures of fatty alcohols comprising at least 30% by weight of at least one fatty alcohol comprising more than twenty carbon atoms, and mixtures of fatty alcohols comprising more than 30% by weight of at least one fatty alcohol comprising more than twenty carbon atoms. In one embodiment the fatty alcohol is a pure alcohol, i.e., a single fatty alcohol comprising more than 20 carbon atoms.
- Representative at least one fatty alcohol that can be used according to the invention include for example behenyl alcohol and erucyl alcohol.
- There may also be mentioned the commercial products NAFOL 18-22, NAFOL 18-22B, NAFOL 18-22 C, NAFOL 20+, NAFOL 20-22, and NACOL 22-98 from the company CONDEA, the commercial product CRODACID PG 3220 from the company CRODA, and the commercial product EDENOR U 122 from the company HENKEL.
- The at least one fatty alcohol comprising more than twenty carbon atoms may be present in an amount ranging for example from 0.01% to 30% by weight relative to the total weight of the composition, such as from 0.05% to 20% by weight relative to the total weight of the composition, and further such as from 0.1% to 15% by weight relative to the total weight of the composition.
- The composition according to the invention may also comprise at least one fatty alcohol comprising at most twenty carbon atoms. Representative fatty alcohols comprising at most twenty carbon atoms that may be used include lauryl, cetyl, stearyl and oleyl alcohols. These additional fatty alcohols may be present in an amount generally ranging for example up to 20% by weight relative to the total weight of the composition.
- The HLB (hydrophilic-lipophilic balance) of the surfactant(s) used according to the invention is the HLB according to GRIFFIN defined in the publication J. Soc. Cosm. Chem. 1954 (Volume 5), pages 249-256, the disclosure of which is incorporated herein by reference, or the HLB determined experimentally and as defined in the manual by the authors F. PUISIEUX and M. SEILLER entitled “GALENICA 5: Les systemes dispersés [Dispersed systems]—Volume I—Agents de surface et emulsions [Surfactants and emulsions]—Chapter IV—Notions de HLB et de HLB critique [Basics of HLB and critical HLB], pages 153-194—paragraph 1.1.2, Determination of HLB by the experimental route, pages 164-180, the disclosure of which is incorporated herein by reference.
- As used herein, the expression “oxyalkylenated nonionic surfactants” is understood, for the purposes of the present invention, to mean nonionic surfactants which comprise at least one group chosen from —CH 2—CH2—O—, —CH2—CH2—CH2—O—, and CH2—CH(CH3)—O—.
- (i) At Least One Oxyalkylenated Nonionic Surfactants with an HLB Greater than 5
- Representative at least one oxyalkylenated nonionic surfactants with an HLB greater than 5 include, for example:
- oxyethylenated alkylphenols comprising more than 2 mol of EO,
- EO/PO condensates whose PO/EO ratio in numerical terms is less than 0.71:1,
- oxyethylenated vegetable oils comprising more than 5 mol of EO,
- oxyethylenated fatty alcohols comprising more than 2 mol of EO,
- esters of fatty acids and of polyethylene glycols, and
- polyoxyethylenated esters of fatty acids and of sorbitol.
- For example, the at least one oxyalkylenated nonionic surfactant with an HLB greater than 5 includes the following commercial embodiments:
Imbentin POA/024 (HLB = 5.5) (ICI) Synperonic PE L92 (HLB = 5.5) (ICI) Mergital LM2 (HLB = 5.8) (HENKEL) Atlas G-70140 (HLB = 6) (ICI) Imbentin. AG/124S/020 (HLB = 6) (KOLB) Imbentin. L/125/025 (HLB = 6) (KOLB) Simulsol 989 (HLB = 6) (SEPPIC) Soprophor HR10 (HLB = 6) (RHONE POULENC) Kotilen O/1/050 (HLB = 6.2) (KOLB) Croduret 10 (HLB = 6.3) (CRODA) Etocas 10 (HLB = 6.3) (CRODA) Imbentin OA/030 (HLB = 6.3) (KOLB) Soprophor 208 (HLB = 6.9) (RHONE POULENC) Ethylan 172 (HLB = 7) (HARCROS) Akyporox NP 40 (HLB = 7.1) (CHEM-Y) Polychol 5 (HLB = 7.3) (CRODA) Arlatone 985 (HLB = 7.5) (ICI Sandoxylate FOL4 (HLB = 7.5) (SANDOZ) Radiasurf 7453 (HLB = 7.8) (OLEOFINA) Prox-onic OA-1/04 (HLB = 7.9) (PROTEX) Prox-onic TD-1/03 (HLB = 7.9) (PROTEX) Genapol PF 40 (HLB = 8) (HOECHST) PGE-400 - DS (HLB = 8) (HEFTI) PGE-400- DO (HLB = 8) (HEFTI) Sapogenat 6-040 (HLB = 8) (HOECHST) Intrasol FA28/50/4 (HLB = 8.1) (STOCKHAUSEN) Serdox NOG 200 S (HLB = 8.5) (SERVO) Berol 26 (HLB = 8.9) (BEROL NOBEL) Genapol O-050 (HLB = 9) (HOECHST) Prox-onic LA-1/04 (HLB = 9.2) (PROTEX) Eumulgin O5 (HLB = 9.5) (HENKEL) Etocas 20 (HLB = 9.6) (CRODA) Antarox CO 520 (HLB = 10) (RHONE POULENC) Imbentin POA/060 (HLB = 10) (KOLB) TO-55-EL (HLB = 10) (HEFTI) Atlas G-1086 (HLB = 10.2) (ICI) Atlox 4878B (HLB = 10.5) (ICI) Berol 059 (HLB = 10.5) (BEROL NOBEL) Kessco PEG 600 Dilaurate (HLB = 10.5) (AKZO) Mergital LT6 (HLB = 10.6) (HENKEL) Polychol 10 (HLB = 10.7) (CRODA) Prox-onic HR-025 (HLB = 10.8) (PROTEX) Tebenal NP6 (HLB = 10.9) (BOHME) Cremophor A6 (HLB = 11) (BASF) Genapol O-080 (HLB = 11) (HOECHST) Genapol T-080 (HLB = 11) (HOECHST) Kotilen- O/3 (HLB = 11) (KOLB) Lutensol AP 7 (HLB = 11) (BASF) Tween 85 (HLB = 11) (ICI) Tebecid S8 (HLB = 11.2) (BOHME) Berol 047 (HLB = 11.4) (BEROL NOBEL) Soprophor 860P (HLB = 11.4) (RHONE POULENC) Dobanol 45-7 (HLB = 11.6) (SHELL) Prox-onic HR-030 (HLB = 11.7) (PROTEX) Ethonic 1214-6.5 (HLB = 11.8) (ETHYL) Prox-onic OA-1/09 (HLB = 11.9) (PROTEX) Cremophor S9 (HLB = 12) (BASF) Imbentin AG/128/080 (HLB = 12) (KOLB) Serdox NOG 440 (HLB = 12) (SERVO) Softanol 70 (HLB = 12.1) (B.P CHEMICALS) Renex 707 (HLB = 12.2) (ICI) Simulsol 830 NP (HLB = 12.3) (SEPPIC) Brij 76 (HLB = 12.4) (ICI) Tebenal T10 (HLB = 12.4) (BOHME) Volpo S-10 (HLB = 12.4) (CRODA) Eumulgin O10 (HLB = 12.5) (HENKEL) Berol 199 (HLB = 12.6) (BEROL NOBEL) Triton N-87 (HLB 12.6) (ROHM AND HAAS) Polychol 15 (HLB = 12.7) (CRODA) Brij 56 (HLB = 12.9) (ICI) Simulsol 56 (HLB = 12.9) (SEPPIC) Cremophor A11 (HLB = 13) (BASF) Eumulgin 286 (HLB = 13) (HENKEL) Genapol T-110 (HLB = 13) (HOECHST) Sandoxylate FOL12 (HLB = 13) (SANDOZ) Bio soft HR 40 (HLB = 13.1) (STEPAN) Berol 046 (HLB = 13.5) (BEROL NOBEL) Eumulgin B1 (HLB = 13.5) (HENKEL) Dobanol 45-11 (HLB = 13.7) (SHELL) Aqualose W20 (HLB = 14) (WESTBROCK LANO- LIN) Ethylan DP (HLB = 14) (HARCROS) Mergital OC12 (HLB = 14) (HENKEL) Simulsol 1230 NP (HLB = 14) (SEPPIC) Tagat R1 (HLB = 14) (GOLDSCHMIDT) Tagat I 2 (HLB = 14.2) (GOLDSCHMIDT) Tebecid RM20 (HLB = 14.4) (BOHME) Imbentin AG/168/150 (HLB = 14.5) (KOLB) Prox-onic LA-1/012 (HLB = 14.5) (PROTEX) Etocas 60 (HLB = 14.7) (CRODA) Radiasurf 7157 (HLB = 14 9) (OLEOFINA) Genapol T-180 (HLB = 15) (HOECHST) Montanox 80 (HLB = 15) (SEPPIC) Serdox NJAD 20 (HLB = 15) (SERVO) Tagat R60 (HLB = 15) (GOLDSCHMIDT) Berol 278 (HLB = 15.2) (BEROL NOBEL) Brij 78 (HLB = 15.3) (ICI) Simulsol 98 (HLB = 15.3) (SEPPIC) Montanox 40 (HLB 15.6) (SEPPIC) Brij 58 (HLB = 15.7) (ICI) Aqualose L75 (HLB = 16) (WESTBROCK LANO- LIN) Atlas G-1471 (HLB = 16) (ICI) Berol 281 (HLB = 16) (BEROL NOBEL) Berol 292 (HLB = 16) (BEROL NOBEL) Nafolox 20-22 30OE (HLB = 16) (CONDEA) Genapol C-200 (HLB = 16) (HOECHST) Myrj 51 (HLB = 16) (ICI) Simulsol PS 20 (HLB = 16) (SEPPIC) Tergitol 15 S 20 (HLB 16.3) (UNION CARBIDE) Synperonic PE P75 (HLB = 16.5) (ICI) Montanox 20 (HLB = 16.7) (SEPPIC) Myrjj 52 (HLB = 16.9) (ICI) Simulsol 3030 NP (HLB = 17) (SEPPIC) Imbentin AG/168/400 (HLB = 17.5) (KOLB) Rhodia Surf NP40 (HLB = 17.7) (RHONE POULENC) Incropol CS-50 (HLB = 17.9) (CRODA) Servirox OEG 90/50 (HLB = 18) (SERVO) Prox-onic HR-0200 (HLB = 18.1) (PROTEX) Berol 243 (HLB = 18.2) (BEROL NOBEL) Imbentin N/600 (HLB = 18.5) (KOLB) Antarox CO 980 (HLB = 18.7) (RHONE POULENC) Antarox CO 987 (HLB = 18.7) (RHONE POULENC) Berol 08 (HLB = 18.7) (BEROL NOBEL) Brij 700 (HLB = 18.8) (ICI) Prox-onic NP-0100 (HLB = 19) (PROTEX) Rs-55-100 (HLB = 19) (HEFTI) Imbentin AG/168S/950 (HLB = 20) (KOLB) Synperonic PE F87 (HLB = 24) (ICI) Alkasurf BA-PE80 (HLB = 26.1) (RHONE POULENC) Synperonic PE F38 (HLB = 30.5) (ICI) - The at least one oxyalkylenated nonionic surfactant with an HLB greater than 5 may be present in an amount ranging for example from 0.1% to 30% by weight relative to the total weight of the composition, such as from 0.5% to 25% by weight relative to the total weight of the composition, and further such as from 1% to 20% by weight relative to the total weight of the composition.
- (i) At Least One Oxyalkylenated Nonionic Surfactant with an HLB at Most Equal to 5
- Representative examples of at least one oxyalkylenated nonionic surfactant with an HLB at most equal to 5 include:
- oxyethylenated alkylphenols comprising at most 2 mol of EO,
- EO/PO condensates whose PO/EO ratio is greater than 0.71:1,
- oxyethylenated vegetable oils comprising at most 5 mol of EO, and
- oxyethylenated fatty alcohols comprising at most 2 mol of EO.
- For example, the at least one oxyalkylenated nonionic surfactant includes the following commercial embodiments:
Synperonic PE L121 (HLB = 0.5) ICI Prox-Onic EP 4060-1 (HLB = 1) PROTEX Synperonic PE L101 (HLB = 1) ICI Etocas 29 (HLB = 1.7) CRODA Genapol PF 10 (HLB = 2) HOECHST Synperonic PE L81 (HLB = 2) ICI Prox-Onic EP 1090-1 (HLB = 3) PROTEX Sinnopal DPN2 (HLB = 3.3) HENKEL Antarox CA 210 (HLB = 3.5) RHONE-POULENC Alkasurf OP11 (HLB = 3.6) RHONE-POULENC Triton X15 (HLB = 3.6) ROHM et HAAS Alkasurf OP1 (HLB = 3.6) RHONE-POULENC Arlacel 121 (HLB = 3.8) ICI Prox-Onic HR or HRH-05 (HLB = 3.8) PROTEX Etocas 5 (HLB = 3.9) HOECHST Genapol PF20 (HLB = 4) HOECHST Imbentin N/7 A (HLB = 4) KOLB Synperonic PE L122 (HLB = 4) ICI Ethylan NP1 (HLB = 4.5) HARCROS Imbentin N/020 (HLB = 4.5) KOLB Kotilen O/3/020 (HLB = 4.5) KOLB Synperonic PE L31 (HLB = 4.5) ICI TO-55-A (HLB = 4.5) HEFTI Alkasurf NP-1 (HLB = 4.6) RHONE-POULENC Antarox CO 210 (HLB = 4.6) RHONE-POULENC Prox-Onic NP-1 (HLB = 4.6) PROTEX Rhodiasurf NP2 (HLB = 4.6) RHONE-POULENC Soprophor BC2 (HLB = 4.6) RHONE-POULENC Triton N17 (HLB = 4.6) ROHM et HAAS Akyporox NP15 (HLB = 4.7) CHEM-Y Texofor M2 (HLB = 4.8) RHONE-POULENC Alkasurf SA2 (HLB = 4.9) RHONE-POULENC Arlacel 989 (HLB = 4.9) ICI Brij 72 (HLB = 4.9) ICI Brij 92 (HLB = 4.9) ICI Brij 93 (HLB = 4.9) ICI Prox-Onic SA-1 or 2/02 (HLB = 4.9) PROTEX Simulsol 72 (HLB = 4.9) SEPPIC Simulsol 92 (HLB = 4.9) SEPPIC Volpo S-2 (HLB = 4.9) CRODA Arlacel 581 (HLB = 5.0) ICI Arlacel 582 (HLB = 5.0) ICI Genapol O-020 (HLB = 5.0) HOECHST Imbentin POA/020 (HLB = 5.0) KOLB Mergital Q2 (HLB = 5.0) HENKEL - If present, the at least one oxyalkylenated nonionic surfactant with an HLB at most equal to 5 may be present in an amount generally ranging for example up 30% by weight relative to the total weight of the composition, such as up to 10% by weight relative to the total weight of the composition.
- The at least one oxidation dye which can be used according to the present invention is chosen from oxidation bases, and oxidation couplers. In one embodiment, the compositions can comprise at least one oxidation base.
- The oxidation bases usable in the context of the present invention are chosen from those conventionally known as oxidation dyes. Representative oxidation dyes include ortho- and para-phenylenediamines, double bases, ortho- and para-aminophenols and heterocyclic bases as well as their addition salts with an acid.
- For example, the following oxidation bases may be used:
-
- wherein:
- R 1 is chosen from hydrogen, C1-C4 alkyl groups, monohydroxy(C1-C4 alkyl) groups, polyhydroxy(C2-C4 alkyl) groups, (C1-C4)alkoxy(C1-C4)alkyl groups, C1-C4 alkyl groups substituted with at least one group chosen from nitrogen-containing groups, phenyl groups and 4′-aminophenyl groups, and
- R 2 is chosen from hydrogen, C1-C4 alkyl groups, monohydroxy(C1-C4 alkyl) groups, polyhydroxy(C2-C4 alkyl) groups, (C1-C4)alkoxy(C1-C4)alkyl groups, and C1-C4 alkyl groups substituted with a nitrogen-containing group;
- R 1 and R2may also form, together with the nitrogen atom to which they are bonded, a 5- or 6- membered nitrogen-containing heterocycle ring, optionally substituted with at least one group chosen from alkyl groups, hydroxyl groups and ureido groups;
- R 3 is chosen from hydrogen, halogens, such as chlorine, C1-C4 alkyl groups, sulfo groups, carboxyl groups, monohydroxy(C1-C4 alkyl) groups, hydroxy(C1-C4 alkyoxy) groups, acetylamino(C1-C4 alkoxy) groups, mesylamino(C1-C4 alkoxy) groups, and carbamoylamino(C1-C4 alkoxy) groups;
- R 4 is chosen from hydrogen, halogens, and C1-C4 alkyl groups.
- Suitable nitrogen-containing groups of formula (I) above may, for example, be chosen from amino, (C 1-C4) monoalkylamino, (C1-C4)dialkylamino, (C1-C4)trialkylamino, monohydroxy(C1-C4)alkylamino, imidazolinium, and ammonium groups.
- Representative para-phenylenediamines of formula (I) above which may be used include para-phenylenediamine, para-tolylenediamine, 2-chloro-para-phenylenediamine, 2,3-dimethyl-para-phenylenediamine, 2,6-dimethyl-para-phenylenediamine, 2,6-diethyl-para-phenylenediamine, 2,5-dimethyl-para-phenylenediamine, N,N-dimethyl-para-phenylenediamine, N,N-diethyl-para-phenylenediamine, N,N-dipropyl-para-phenylenediamine, 4-amino-N,N-diethyl-3-methylaniline, N,N-bis(β-hydroxyethyl)-para-phenylenediamine, 4-N,N-bis(β-hydroxyethyl)amino-2-methylaniline, 4-N,N-bis(β-hydroxyethyl)amino-2-chloroaniline, 2-β-hydroxyethyl-para-phenylenediamine, 2-fluoro-para-phenylenediamine, 2-isopropyl-para-phenylenediamine, N-(β-hydroxypropyl)-para-phenylenediamine, 2-hydroxymethyl-para-phenylenediamine, N,N-dimethyl-3-methyl-para-phenylenediamine, N,N-(ethyl-β-hydroxyethyl)-para-phenylenediamine, N-(β,γ-dihydroxypropyl)-para-phenylenediamine, N-(4′-aminophenyl)-para-phenylenediamine, N-phenyl-para-phenylenediamine, 2-β-hydroxyethyloxy-para-phenylenediamine, 2-β-acetylaminoethyloxy-para-phenylenediamine, N-(β-methoxyethyl)-para-phenylenediamine, 2-methyl-1-N-β-hydroxyethyl-para-phenylenediamine and their acid addition salts.
- In other embodiments of the present invention, para-phenylenediamines of formula (I) above can, for example, be chosen from para-phenylenediamine, para-tolylenediamine, 2-isopropyl-para-phenylenediamine, 2-β-hydroxyethyl-para-phenylenediamine, 2-β-hydroxyethyloxy-para-phenylenediamine, 2,6-dimethyl-para-phenylenediamine, 2,6-diethyl-para-phenylenediamine, 2,3-dimethyl-para-phenylenediamine, N,N-bis(β-hydroxyethyl)-para-phenylenediamine, 2-chloro-para-phenylenediamine, and their acid addition salts.
- According to the invention, “double bases” is understood to mean the compounds comprising at least two aromatic rings on which at least one functional group chosen from amino groups and hydroxyl groups are carried.
-
- wherein:
- Z 1 and Z2, which may be identical or different, are each chosen from hydroxyl groups, and —NH2 groups, optionally substituted with a group chosen from C1-C4 alkyl groups, and linkers Y;
- linker Y is chosen from linear and branched, divalent alkylene groups comprising from 1 to 14 carbon atoms, optionally interrupted by, or optionally terminating with, at least one entity chosen from nitrogen-containing groups and heteroatoms such as oxygen, sulfur, and nitrogen, and optionally substituted with at least one group chosen from hydroxyl groups, and C 1-C6 alkoxy groups;
- R 5and R6, which may be identical or different, are each chosen from hydrogen, halogens, C1-C4 alkyl groups, monohydroxy(C1-C4 alkyl) groups, polyhydroxy(C2-C4 alkyl) groups, amino(C1-C4 alkyl) groups, and linkers Y;
- R 7, R8, R9, R10, R11 and R12, which may be identical or different, are each chosen from hydrogen, linkers Y, and C1-C4 alkyl groups;
- provided that said compounds of formula (II) comprise only one linker Y per molecule.
- Suitable nitrogen-containing groups of formula (II) include mono(C 1-C4)alkylamino, (C1-C4)dialkylamino, (C1-C4)trialkylamino, monohydroxy(C1-C4)alkylamino, imidazolinium and ammonium groups.
- Representative double bases of formula (II) include N,N′-bis(β-hydroxyethyl)-N,N′-bis(4′-aminophenyl)-1,3-diaminopropanol, N,N′-bis(β-hydroxyethyl)-N,N′-bis(4′-aminophenyl)ethylenediamine, N,N′-bis(4-aminophenyl)tetramethylenediamine, N,N′-bis(β-hydroxyethyl)-N,N′-bis(4-aminophenyl)tetramethylenediamine, N,N′-bis(4-methylaminophenyl)tetramethylenediamine, N,N′-bis(ethyl)-N,N′-bis(4′-amino-3′-methylphenyl)ethylenediamine, 1,8-bis(2,5-diaminophenoxy)-3,5-dioxaoctane, and their acid addition salts.
- In another embodiment of the invention, the double bases of formula (II) may be chosen from N,N′-bis(β-hydroxyethyl)-N,N′-bis(4′-aminophenyl)-1,3-diaminopropanol, 1,8-bis(2,5-diaminophenoxy)-3,5-dioxaoctane, and their acid addition salts.
-
- wherein:
- R 13 is chosen from hydrogen, halogens, such as fluorine, C1-C4 alkyl groups, monohydroxy(C1-C4 alkyl) groups, (C1-C4)alkoxy(C1-C4)alkyl groups, amino(C1-C4 alkyl), hydroxy(C1-C4)alkylamino(C1-C4 alkyl) groups;
- R 14 is chosen from hydrogen, halogens, such as fluorine, C1-C4 alkyl groups, monohydroxy(C1-C4 alkyl) groups, polyhydroxy(C2-C4 alkyl) groups, amino(C1-C4 alkyl) groups, cyano(C1-C4 alkyl) groups, and (C1-C4)alkoxy(C1-C4)alkyl groups.
- Representative para-aminophenols of formula (III) above include para-aminophenol, 4-amino-3-methylphenol, 4-amino-3-fluorophenol, 4-amino-3-hydroxymethylphenol, 4-amino-2-methylphenol, 4-amino-2-hydroxymethylphenol, 4-amino-2-methoxymethylphenol, 4-amino-2-aminomethylphenol, 4-amino-2-(β-hydroxyethylaminomethyl)phenol, and their acid addition salts.
- (IV) ortho-aminophenols chosen, for example, from 2-aminophenol, 2-amino-1-hydroxy-5-methylbenzene, 2-amino-1-hydroxy-6-methylbenzene, 5-acetamido-2-aminophenol, and their acid addition salts.
- (V) heterocyclic bases chosen, for example, from pyridine derivatives, pyrimidine derivatives, pyrazole derivatives, pyrazolo-pyrimidine derivatives, and their acid addition salts.
- Representative pyridine derivatives include 2,5-diaminopyridine, 2-(4-methoxyphenyl)amino-3-aminopyridine, 2,3-diamino-6-methoxypyridine, 2-(β-methoxyethyl)amino-3-amino-6-methoxypyridine, 3,4-diaminopyridine, and their acid addition salts. Some of the aforementioned pyridine derivatives have been described, for example in the patents GB 1,026,978 and GB 1,153,196, the disclosures of which are incorporated by reference herein.
- Representative pyrimidine derivatives include 2,4,5,6-tetraaminopyrimidine, 4-hydroxy-2,5,6-triaminopyrimidine, 2-hydroxy-4,5,6-triaminopyrimidine, 2,4-dihydroxy-5,6-diaminopyrimidine, 2,5,6-triaminopyrimidine, and their acid addition salts. Some of the aforementioned pyrimidine derivatives have been described, for example in German Patent DE 2,359,399, Japanese Patents JP 88-169,571 and JP 91-10659, and Patent Application WO 96/15765, the disclosures of which are incorporated by reference herein.
- Representative pyrazolo-pyrimidine derivatives include those described, for example, in the patent application FR-A-2 750 048, the disclosure of which is incorporated by reference herein. Such pyrazolo-pyrimidine derivatives include pyrazolo[1,5-a]pyrimidines, such as
- pyrazolo[1,5-a]pyrimidine-3,7-diamine;
- 2,5-dimethylpyrazolo[1,5-a]pyrimidine-3,7-diamine;
- pyrazolo[1,5-a]pyrimidine-3,5-diamine;
- 2,7-dimethylpyrazolo[1,5-a]pyrimidine-3,5-diamine;
- 3-aminopyrazolo[1,5-a]pyrimidin-7-ol;
- 3-aminopyrazolo[1,5-a]pyrimidin-5-ol;
- 2-(3-aminopyrazolo[1, 5-a]pyrimidin-7-ylamino)ethanol;
- 2-(7-aminopyrazolo[1,5-a]pyrimidin-3-ylamino)ethanol;
- 2-[(3-aminopyrazolo[1,5-a]pyrimidin-7-yl)-(2-hydroxyethyl)amino]ethanol;
- 2-[(7-aminopyrazolo[1,5-a]pyrimidin-3-yl)-(2-hydroxyethyl)amino]ethanol;
- 5,6-dimethylpyrazolo[1,5-a]pyrimidine-3,7-diamine;
- 2,6-dimethylpyrazolo[1,5-a]pyrimidine-3,7-diamine;
- 2,5,N7,N7-tetramethylpyrazolo[1,5-a]pyrimidine-3,7-diamine;
- 3-amino-5-methyl-7-imidazolylpropylaminopyrazolo[1,5-a]pyrimidine; their salts, such as their acid addition salts, and their tautomeric forms when a tautomeric equilibrium exists.
- Representative pyrazole derivatives include 4,5-diamino-1-methylpyrazole, 3,4-diaminopyrazole, 4,5-diamino-l-(4′-chlorobenzyl)pyrazole, 4,5-diamino-1,3-dimethylpyrazole, 4,5-diamino-3-methyl-1-phenylpyrazole, 4,5-diamino-1-methyl-3-phenylpyrazole, 4-amino-1,3-dimethyl-5-hydrazinopyrazole, 1-benzyl-4,5-diamino-3-methyl-pyrazole, 4, 5-diamino-3-tert-butyl-1-methylpyrazole, 4,5-diamino-1-tert-butyl-3-methylpyrazole, 4,5-diamino-1-(β-hydroxyethyl)-3-methylpyrazole, 4,5-diamino-1-(β-hydroxyethyl)pyrazole, 4,5-diamino-1-ethyl-3-methylpyrazole, 4,5-diamino-1-ethyl-3-(4′-methoxyphenyl)pyrazole, 4,5-diamino-1-ethyl-3-hydroxymethylpyrazole, 4,5-diamino-3-hydroxymethyl-1-methylpyrazole, 4,5-diamino-3-hydroxymethyl-1-isopropylpyrazole, 4,5-diamino-3-methyl-1-isopropylpyrazole, 4-amino-5-(2′-aminoethyl)amino-1,3-dimethyl-pyrazole, 3,4,5-triaminopyrazole, 1-methyl-3,4,5-triaminopyrazole, 3,5-diamino-1-methyl-4-methylaminopyrazole, 3,5-diamino-4-(β-hydroxyethyl)amino-1-methylpyrazole, and their acid addition salts. Some of the aforementioned pyrazole derivatives have been described, for example in Patents DE 3,843,892, DE 4,133,957 and Patent Applications WO 94/08969, WO 94/08970, FR-A-2,733,749 and DE 195 43 988, the disclosures of which are incorporated by reference herein.
- The oxidation bases may be present in an amount ranging for example from 0.0005% to 12% by weight relative to the total weight of the composition, such as from 0.005% to 8% by weight relative to the total weight of the composition.
- Suitable couplers which may be used in the dyeing process of the invention include couplers conventionally used in oxidation dyeing compositions. Such couplers can be chosen, for example, from meta-phenylenediamines, meta-aminophenols, meta-diphenols, naphthols, sesamol and its derivatives, heterocyclic couplers, such as, for example, indole derivatives, indoline derivatives, pyridine derivatives, pyrazolotriazole derivatives, pyrazolones, indazoles, benzimidazoles, benzothiazoles, benzoxazoles, 1,3-benzodioxoles, quinolines and their acid addition salts.
- Representative couplers include 2,4-diamino-1-(β-hydroxyethyloxy)benzene, 2-methyl-5-aminophenol, 5-N-(β-hydroxyethyl)amino-2-methylphenol, 3-aminophenol, 1,3-dihydroxybenzene, 1,3-dihydroxy-2-methylbenzene, 4-chloro-1,3-dihydroxybenzene, 2-amino-4-(β-hydroxyethylamino)-1-methoxybenzene, 1,3-diaminobenzene, 1,3-bis(2,4-diaminophenoxy)propane 1 sesamol, α-naphthol, 6-hydroxyindole, 4-hydroxyindole, 4-hydroxy-N-methylindole, 6-hydroxyindoline, 2,6-dihydroxy-4-methylpyridine, 1-H-3-methylpyrazol-5-one, 1-phenyl-3-methylpyrazol-5-one, 1-amino-2-methoxy-4,5-methylenedioxybenzene, 2-amino-3-hydroxypyridine, 3,6-dimethylpyrazolo[3,2-c]-1,2,4-triazole, 2,6-dimethylpyrazolo[1,5-b]-1,2,4-triazole, and their acid addition salts.
- When these couplers are present, they are generally present in an amount ranging for example from 0.0001% to 10% by weight relative to the total weight of the composition, such as from 0.005% to 5% by weight relative to the total weight of the composition.
- Generally, the acid addition salts of the oxidation bases and couplers can be chosen from hydrochlorides, hydrobromides, sulfates, tartrates, lactates and acetates.
- The compositions according to the invention may also comprise at least one direct dye. Representative direct dyes which can be used in the present invention include direct dyes that have conventionally been used in direct dyeing compositions and lighting direct dyeing compositions. For example, the dyes can be chosen from neutral, cationic, and anionic nitro dyes, neutral, cationic, and anionic anthraquinone dyes, and neutral, cationic, and anionic azo dyes. Generally, the direct dyes are present in amounts ranging for example from 0.001% to 20% by weight of the total weight of the composition, such as for example from 0.01% to 10% by weight of the total weight of the composition.
- In one embodiment of the invention, namely within the ready-to-use composition, said at least one composition (A) and said at least one composition (B) can further comprise at least one polymer chosen from cationic and amphoteric polymers, such as substantive polymers.
- The at least one thickening polymer comprising at least one fatty chain according to the invention can be chosen from nonionic, anionic and cationic thickening polymers comprising at least one fatty chain.
- (i) Anionic Thickeners
- Such anionic thickening polymers comprising at least one fatty chain can be chosen from:
- (I) anionic polymers comprising at least one hydrophilic unit and at least one allyl ether unit comprising at least one fatty chain, for example said anionic polymers wherein said at least one hydrophilic unit comprises at least one ethylenic unsaturated anionic monomeric residue, such as vinylcarboxylic acid and further such as at least one monomeric residue chosen from acrylic acid and methacrylic acid residues, and wherein said at least one allyl ether unit comprising at least one fatty chain corresponds to the monomeric residue resulting from the monomer of formula (I):
- CH2═C—R′—CH2—O—Bn—R (I)
- in which R′ is chosen from H and CH 3, B is chosen from ethyleneoxy groups, n is chosen from zero and integers ranging from 1 to 100, R is a hydrocarbon group chosen from alkyl, arylalkyl, aryl, alkylaryl and cycloalkyl groups, comprising from 8 to 30 carbon atoms, such as from 10 to 24, and further such as from 12 to 18 carbon atoms. One embodiment of the invention comprises at least one allyl ether unit of the monomeric residue resulting from the monomer of formula (I), wherein R′ is H, n is equal to 10, and R is a stearyl (C18) group.
- Representative anionic amphiphilic polymers of this type are described and prepared, according to a method of emulsion polymerization, in patent EP-0,216,479, the disclosure of which is incorporated by reference herein.
- As used herein, the term “lower alkyl” means an alkyl chosen from saturated and unsaturated, branched and unbranched C 1-C6 alkyl groups.
- Representative anionic thickening polymers comprising at least one fatty chain include for example polymers formed from 20% to 60% by weight of at least one monomer chosen from acrylic acid and methacrylic acid, 5% to 60% by weight of C 1-C6 alkyl(meth)acrylates, 2% to 50% by weight of allyl ether comprising at least one fatty chain of formula (I), and up to 1% by weight of a crosslinking agent chosen from well known copolymerizable polyethylenic unsaturated monomers such as diallyl phthalate, allyl (meth)acrylate, divinylbenzene, (poly)ethylene glycol dimethacrylate and methylenebisacrylamide.
- In one embodiment, the composition comprises at least one anionic thickening polymer chosen from crosslinked terpolymers of methacrylic acid, ethyl acrylate, and polyethylene glycol (10 EO) stearyl alcohol ether (Steareth 10), such as the products sold by the company ALLIED COLLOIDS under the names SALCARE SC 80 and SALCARE SC 90, which are aqueous emulsions comprising 30% of a crosslinked terpolymer of methacrylic acid, of ethyl acrylate and of steareth-10-allyl ether (40/50/10).
- Anionic thickening polymers comprising at least one fatty chain can also be chosen from:
- (II) anionic polymers comprising at least one hydrophilic unit of the olefinic unsaturated carboxylic acid type and at least one hydrophobic unit of the (C 10-C30)alkyl ester of unsaturated carboxylic acid type.
- Such polymers are chosen from polymers comprising:
-
- in which R 1 is chosen from H, CH3, and C2H5, (which corresponds with acrylic acid, methacrylic acid and ethacrylic acid units), and
-
- in which R 2 is chosen from H, CH3, and C2H5, (which corresponds with acrylate, methacrylate and ethacrylate units) and R3 is chosen from saturated and unsaturated, branched and unbranched C10-C30 alkyl groups. In one embodiment, for example, R2 is chosen from H (acrylate units) and CH3 (methacrylate units) and R3 is chosen from C12-C22 alkyl groups.
- (C 10-C30)alkyl esters of unsaturated carboxylic acids in accordance with the invention include for example lauryl acrylate, stearyl acrylate, decyl acrylate, isodecyl acrylate, dodecyl acrylate, lauryl methacrylate, stearyl methacrylate, decyl methacrylate, isodecyl methacrylate, and dodecyl methacrylate.
- Anionic polymers of this type are for example described and prepared according to patents U.S. Pat. Nos. 3,915,921 and 4,509,949, the disclosures of which are incorporated by reference herein.
- Anionic thickening polymers comprising at least one fatty chain that can be used include polymers formed from a mixture of monomers comprising:
- (i) acrylic acid,
- (ii) at least one ester of formula (III) described above wherein R 2 is chosen from H and CH3, and R3 is chosen from alkyl groups comprising from 12 to 22 carbon atoms, and
- (iii) at least one crosslinking agent chosen from well known copolymerizable polyethylenic unsaturated monomers such as diallyl phthalate, allyl (meth)acrylate, divinylbenzene, (poly)ethylene glycol dimethacrylate and methylenebisacrylamide.
- Representative anionic thickening polymers comprising at least one fatty chain that can be used include (i) polymers comprising 95% to 60% by weight of acrylic acid monomeric residue (hydrophilic unit), 4% to 40% by weight of C 10-C30 alkyl acrylate monomeric residue (hydrophobic unit), and 0% to 6% by weight of crosslinking polymerizable monomeric residue, and (ii) polymers comprising 98% to 96% by weight of acrylic acid monomeric residue (hydrophilic unit), 1% to 4% by weight of C10-C30 alkyl acrylate monomeric residue (hydrophobic unit) and 0.1% to 0.6% by weight of crosslinking polymerizable monomeric residue such as those described above.
- Among the above polymers, the products sold by the company GOODRICH under the trade names PEMULEN TR1, PEMULEN TR2, and CARBOPOL 1382 can be used. One embodiment could employ at least one polymer chosen from PEMULEN TR1, and the product sold by the company S.E.P.P.I.C. under the name COATEX SX.
- Anionic thickening polymers comprising at least one fatty chain can also be chosen from:
- (III) terpolymers formed from maleic anhydride/C 30-C38 α-olefin/alkyl maleate such as the product (maleic anhydride/C30-C38 α-olefin/isopropyl maleate copolymer) sold under the name PERFORMA V 1608 by the company NEWPHASE TECHNOLOGIES,
- (IV) acrylic terpolymers formed from:
- (a) 20% to 70% by weight of a carboxylic acid with α,β-monoethylenic unsaturation
- (b) 20% to 80% by weight of a nonsurfactant monomer with α, β-monoethylenic unsaturation different from (a)
- (c) 0.5% to 60% by weight of a nonionic monourethane which is the product of the reaction of a monohydric surfactant with a monoisocyanate with monoethylenic unsaturation
- such as acrylic terpolymers described in patent application EP-A-0,173,109, the disclosure of which is incorporated by reference herein, and more particularly acrylic terpolymers described therein in Example 3, namely a methacrylic acid/methyl acrylate/dimethyl metaisopropenyl benzyl isocyanate of ethoxylated (40 EO) behenyl alcohol terpolymer in 25% aqueous dispersion,
- (V) copolymers formed from at least two monomers, wherein at least one of said at least two monomers is chosen from a carboxylic acid with α,β-monoethylenic unsaturation, an ester of a carboxylic acid with α,β-monoethylenic unsaturation, and an oxyalkylenated fatty alcohol, and
- (VI) copolymers formed from at least three monomers, wherein at least one of said at least three monomers is chosen from a carboxylic acid with α,β-monoethylenic unsaturation, at least one of said at least three monomers is chosen from an ester of a carboxylic acid with α,β-monoethylenic unsaturation and at least one of said at least three monomers is chosen from an oxyalkylenated fatty alcohol.
- Additionally, these compounds can also comprise, as monomer, a carboxylic acid ester comprising an α,β-monoethylenic unsaturation and a C 1-C4 alcohol. By way of example of this type of compound, there may be mentioned ACULYN 22 sold by the company ROHM and HMS, which is an oxyalkylenated stearyl methacrylate/ethyl acrylate/methacrylic acid terpolymer.
- (ii) Nonionic Thickeners
- Nonionic thickening polymers comprising at least one fatty chain according to the invention can be chosen from:
- (1) celluloses modified by at least one group comprising at least one fatty chain such as:
- hydroxyethylcelluloses modified by at least one group comprising at least one fatty chain such as alkyl, arylalkyl and alkylaryl groups and further such as alkyl, arylalkyl and alkylaryl groups wherein said alkyl groups comprise from 8 to 22 carbon atoms, such as the product NATROSOL PLUS GRADE 330 CS (C 16 alkyls) sold by the company AQUALON, and the product BERMOCOLL EHM 100 sold by the company BEROL NOBEL,
- hydroxyethylcelluloses modified by at least one polyalkylene glycol ether of alkylphenol group, such as the product AMERCELL POLYMER HM-1500 (polyethylene glycol (15) ether of nonylphenol) sold by the company AMERCHOL;
- (2) hydroxypropylguars modified by at least one group comprising at least one fatty chain such as the product ESAFLOR HM 22 (C 22 alkyl chain) sold by the company LAMBERTI, the products RE 210-18 (C14 alkyl chain) and RE 205-1 (C20 alkyl chain) sold by the company RHONE POULENC (Succeeded by RHODIA CHIMIE);
- (3) copolymers formed from vinylpyrrolidone and at least one hydrophobic monomer comprising at least one fatty chain such as for example:
- the products ANTARON V216 and GANEX V216 (vinylpyrrolidone/hexadecene copolymer) sold by the company I.S.P., and
- the products ANTARON V220 and GANEX V220 (vinylpyrrolidone/eicosene copolymer) sold by the company I.S.P.;
- (4) copolymers formed from at least one C 1-C6 alkyl methacrylate and at least one amphiphilic monomer comprising at least one fatty chain and copolymers formed from at least one C1-C6 alkyl acrylate and at least one amphiphilic monomer comprising at least one fatty chain such as for example the oxyethylenated stearyl acrylate/methyl acrylate copolymer sold by the company GOLDSCHMIDT under the name ANTIL 208;
- (5) copolymers formed from at least one hydrophilic methacrylate and at least one hydrophobic monomer comprising at least one fatty chain and copolymers formed from at least one hydrophilic acrylate and at least one hydrophobic monomer comprising at least one fatty chain such as for example the polyethylene glycol methacrylate/lauryl methacrylate copolymer;
- (6) polyether-polyurethanes comprising in their chain both hydrophilic sequences which are most often of a polyoxyethylenated nature and hydrophobic sequences which may be chains chosen from aliphatic chains, cycloaliphatic chains, and aromatic chains;
- (7) polymers comprising an aminoplast ether backbone possessing at least one fatty chain, such as the compounds PURE THIX provided by the company SUD-CHEMIE.
- Nonionic thickening polymers can additionally include polyether-polyurethanes comprising at least two lipophilic (i.e., hydrophobic) hydrocarbon chains, comprising from 6 to 30 carbon atoms, separated by a hydrophilic sequence, it being possible for the hydrocarbon chains to be chosen from pendant chains and chains at the end of a hydrophilic sequence. One embodiment may comprise at least one pendant chain. In addition, the polymer may comprise a hydrocarbon chain at at least one end of a hydrophilic sequence.
- Representative polyether-polyurethanes useful in the present invention may be polyblocks, such as in triblock form. The hydrophobic sequences may be at each end of the chain (for example: triblock copolymer with hydrophilic central sequence) and optionally both at the ends and in the chain (polyblock copolymer for example). These same polymers may also be in the form of graft units or may be star-shaped.
- The nonionic polyether-polyurethanes comprising at least one fatty chain may be triblock copolymers whose hydrophilic sequence is a polyoxyethylenated chain comprising from 50 to 1000 oxyethylenated groups. Certain nonionic polyether-polyurethanes comprise a urethane bond between the hydrophilic sequences.
- By extension, those whose hydrophilic sequences are linked by other chemical bonds to the lipophilic sequences are also included among the nonionic polyether-polyurethanes comprising at least one fatty chain.
- Representative nonionic polyether-polyurethanes comprising at least one fatty chain include Rhéolate 205 comprising a urea function sold by the company RHEOX and Rhéolate 208, 204 and 212, as well as Acrysol RM 184, Aculyn 44 and Aculyn 46 from the company ROHM and HAAS [ACULYN 46 is a polycondensate of polyethylene glycol comprising 150 or 180 mol of ethylene oxide, stearyl alcohol and methylene-bis(4-cyclohexylisocyanate) (SMDI), at 15% by weight in a maltodextrin (4%) and water (81%) matrix; ACULYN 44 is a polycondensate of polyethylene glycol comprising 150 or 180 mol of ethylene oxide, decyl alcohol and methylenebis(4-cyclohexylisocyanate) (SMDI), at 35% by weight in a propylene glycol (39%) and water (26%) mixture].
- There may also be mentioned the product ELFACOS T210 comprising a C 12-C14 alkyl chain and the product ELFACOS T212 comprising a C18 alkyl chain from AKZO.
- The product DW 1206B from RHOM & HAAS comprising a C 20 alkyl chain and with a urethane bond, sold at 20% dry matter content in water, may also be used.
- It is also possible to use solutions and dispersions of these polymers for example in water and for example in an aqueous-alcoholic medium. By way of example of such polymers, there may be mentioned Rhéolate 255, Rhéolate 278 and Rhéolate 244 sold by the company RHEOX. It is also possible to use the product DW 1206F and DW 1206J provided by the company ROHM & HAAS.
- Representative polyether-polyurethanes that can be used according to the invention include polyether-polyurethanes described in the article by G. Fonnum, J. Bakke and Fk. Hansen-Colloid Polym. Sci 271, 380, 389 (1993), the disclosure of which is incorporated by reference herein.
- (iii) Cationic Thickeners
- As used herein, “cationic thickener” refers to polymers chosen from polymers comprising at least one cationic group and polymers comprising at least one group which can be ionized to form cationic groups.
- Representative cationic thickening polymers comprising at least one fatty chain used in the present invention can be chosen from quaternized cellulose derivatives and polyacrylates with noncyclic amine-containing side groups.
- Such quaternized cellulose derivatives can be chosen from:
- quaternized celluloses modified by groups comprising at least one fatty chain, such as at least one group chosen from alkyl, arylalkyl and alkylaryl groups comprising at least 8 carbon atoms,
- quaternized hydroxyethylcelluloses modified by at least one group comprising at least one fatty chain, such as at least one group chosen from alkyl, arylalkyl and alkylaryl groups comprising at least 8 carbon atoms.
- In one embodiment, said alkyl groups carried by the above quaternized celluloses and hydroxyethylcelluloses comprise from 8 to 30 carbon atoms and the aryl groups are chosen from phenyl, benzyl, naphthyl and anthryl groups.
- There may be mentioned as examples of quaternized alkylhydroxyethylcelluloses comprising at least one C 8-C30 fatty chain the products QUATRISOFT LM 200, QUATRISOFT LM-X 529-18-A, QUATRISOFT LM-X 529-18B (C12 alkyl) and QUATRISOFT LM-X 529-8 (C18 alkyl) marketed by the company AMERCHOL and the products CRODACEL QM, CRODACEL QL (C12 alkyl) and CRODACEL QS (C18 alkyl) marketed by the company CRODA.
- Representative polyacrylates with amine-containing side groups, quaternized and otherwise, comprise for example hydrophobic groups of the steareth 20 type (polyoxyethylenated stearyl alcohol (20)).
- As examples of polyacrylates with amine-containing side groups, there may be mentioned the polymers 8781-121B or 9492-103 from the company NATIONAL STARCH.
- One embodiment of the oxidation dyeing composition according to the invention may comprise at least one nonionic thickening polymer comprising at least one fatty chain.
- The anionic, nonionic and cationic at least one thickening polymer comprising at least one fatty chain are generally present in an amount ranging for example from 0.01% to 10% by weight relative to the total weight of the dyeing composition, such as from 0.1% to 5% by weight relative to the total weight of the dyeing composition.
- In one embodiment of the invention, namely within the ready-to-use composition, said at least one composition (A) and said at least one composition (B) can further comprise at least one polymer chosen from cationic and amphoteric polymers, such as substantive polymers.
- As used herein, “cationic polymer” refers to polymers chosen from polymers comprising at least one cationic group and polymers comprising at least one group which can be ionized to form cationic groups.
- Representative cationic polymers which may be used in accordance with the present invention include any of those already known to improve at least one cosmetic property of hair, such as, for example, those described in patent application EP-A-0 337 354 and in French patent applications FR-A-2 270 846, 2 383 660, 2 598 611, 2 470 596 and 2 519 863, the disclosures of which are incorporated herein by reference.
- According to the present invention, the at least one cationic polymer may be chosen from polymers comprising at least one unit, wherein said at least one unit comprises at least one group chosen from primary amine groups, secondary amine groups, tertiary amine groups and quaternary amine groups, wherein said at least one group forms part of the polymer skeleton, or is carried by at least one lateral substituent on said polymer skeleton.
- According to the present invention, the at least one cationic polymer has a number-average molecular mass generally ranging for example from 500 to 5×10 6, such as from 1×103 to 3×10 6.
- The at least one cationic polymer may, for example, be chosen from polymers of quaternary polyammonium type, polymers of polyamino amide type and polymers of polyamine type. Such types of polymers are known in the art. They are for example described in French patents Nos. 2,505, 348 and 2,542,997, the disclosures of which are incorporated by reference herein.
- Non-limiting examples of cationic polymers include:
-
- R 3, which may be identical or different, are each chosen from hydrogen atoms and CH3 groups;
- A, which may be identical or different, are each chosen from linear and branched alkyl groups comprising from 1 to 6 carbon atoms, such as 2 and 3 carbon atoms, and hydroxyalkyl groups comprising from 1 to 4 carbon atoms;
- R 4, R5 and R6, which may be identical or different, are each chosen from alkyl groups comprising from 1 to 18 carbon atoms, such as from 1 to 6 carbon atoms, and benzyl groups;
- R 1 and R2, which may be identical or different, are each chosen from hydrogen atoms and alkyl groups comprising from 1 to 6 carbon atoms, such as methyl and ethyl;
- X − is an anion chosen from anions derived from at least one inorganic acid and anions derived from at least one organic acid, such as methosulfate anions and halides, such as chlorides and bromides.
- Copolymers of family(1) may further comprise at least one unit derived from at least one comonomer chosen from vinyllactams, vinyl esters, acrylamides, methacrylamides, diacetone acrylamides, acrylamides and methacrylamides substituted on the nitrogen with at least one group chosen from (C 1-C4) alkyls, acrylic acids, methacrylic acids, acrylic esters, and methacrylic esters. Non-limiting examples of vinyllactams include vinylpyrrolidone and vinylcaprolactam.
- Non-limiting examples of copolymers of family(1) include:
- copolymers derived from at least one monomer of (i) acrylamide and (ii) dimethylaminoethyl methacrylate quaternized with at least one group chosen from dimethyl sulfate and dimethyl halide, such as the product sold under the name HERCOFLOC by the company Hercules;
- copolymers derived from at least one monomer of (i) acrylamide and (ii) methacryloyloxy-ethyltrimethylammonium chloride described, for example, in patent application EP-A-080 976, the disclosure of which is incorporated herein by reference, and which is sold under the name BINA QUAT P 100 by the company Ciba Geigy;
- copolymers derived from at least one monomer of (i) acrylamide and (ii) methacryloyloxy-ethyltrimethylammonium methosulfate, such as, for example, copolymers sold under the name RETEN by the company Hercules;
- quaternized and non-quaternized vinylpyrrolidone/dialkylaminoalkyl acrylate copolymers and quaternized and non-quaternized vinylpyrrolidone/dialkylaminoalkyl methacrylate copolymers, such as the products sold under the name “GAFQUAT” by the company ISP, such as, for example, “GAFQUAT 734” or “GAFQUAT 755” and the products known as “COPOLYMER 845, 958 and 937”. These polymers are described in detail in French patents 2 077 143 and 2 393 573, the disclosures of which are incorporated herein by reference,
- dimethylaminoethyl methacrylate/vinylcaprolactam/vinylpyrrolidone terpolymers, such as the product sold under the name GAFFIX VC 713 by the company ISP;
- vinylpyrrolidone/methacrylamidopropyldimethylamine copolymers, such as the product sold under the name STYLEZE CC 10 by ISP; and
- quaternized vinylpyrrolidone/dimethylaminopropylmethacrylamide copolymers, such as the product sold under the name “GAFQUAT HS 100” by the company ISP;
- (2) cellulose ether derivatives comprising quaternary ammonium groups, such as those described in French patent 1,492,597, the disclosure of which is incorporated herein by reference, and polymers sold under the names “JR” (JR 400, JR 125 and JR 30M) and “LR” (LR 400, or LR 30M) by the company Union Carbide Corporation. These polymers are also defined in the CTFA dictionary as quaternary ammoniums of hydroxyethylcellulose which have reacted with an epoxide substituted with a trimethylammonium group;
- (3) cationic cellulose derivatives such as cellulose copolymers and cellulose derivatives grafted with at least one water-soluble monomer of quaternary ammonium, such as those described in U.S. Pat. No. 4,131,576, the disclosure of which is incorporated herein by reference, such as hydroxyalkylcelluloses (such as, for example, hydroxymethylcelluloses, hydroxyethylcelluloses and hydroxypropylcelluloses, wherein said hydroxyalkylcelluloses are grafted with at least one salt chosen from, for example, methacryloylethyltrimethylammonium salts, methacrylamidopropyltrimethylammonium salts and dimethyldiallylammonium salts). For example, commercial products corresponding to the aforementioned cationic cellulose derivatives include the products sold under the names “CELQUAT L 200” and “CELQUAT H 100” by the company National Starch;
- (4) cationic polysaccharides, such as those described in U.S. Pat. Nos. 3,589,578 and 4,031,307, the disclosures of which are incorporated herein by reference, such as guar gums comprising at least one cationic trialkylammonium group. For example, guar gums modified with at least one salt, such as a chloride salt, of 2,3-epoxypropyltrimethylammonium may be used in the present invention. Such products are sold in particular under the trade names JAGUAR C13 S, JAGUAR C 15, JAGUAR C 17 and JAGUAR C162 by the company Meyhall;
- (5) polymers comprising (i) at least one piperazinyl unit and (ii) at least one group chosen from divalent alkylene groups and divalent hydroxyalkylene groups, wherein said at least one group optionally comprises at least one chain chosen from straight chains and branched chains, wherein said at least one chain is optionally interrupted by at least one entity chosen from oxygen atoms, sulfur atoms, nitrogen atoms, aromatic rings and heterocyclic rings, the oxidation products of said polymers and the quaternization products of said polymers. For example, such polymers are described in French patents 2,162,025 and 2,280,361, the disclosures of which are incorporated herein by reference;
- (6) water-soluble polyamino amides which may be prepared by at least one polycondensation reaction of at least one acidic compound and at least one polyamine compound, wherein said polyamino amides may be crosslinked with at least one crosslinking agent chosen from epihalohydrins, diepoxides, dianhydrides, unsaturated dianhydrides, bis-unsaturated derivatives, bis-halohydrins, bis-azetidiniums, bis-haloacyldiamines, bis-alkyl halides and oligomers derived from reaction of at least one difunctional compound with at least one compound chosen from bis-halohydrins, bis-azetidiniums, bis-haloacyldiamines, bis-alkyl halides, epihalohydrins, diepoxides and bis-unsaturated derivatives, wherein said crosslinking agent may be used in a proportion generally ranging from 0.025 mol to 0.35 mol per amine group of said polyamino amide, wherein said polyamino amides may optionally be alkylated, and wherein if said polyamino amides comprise at least one tertiary amine group, said polyamino amides may optionally be quaternized. For example, such polymers are described in French patents 2,252,840 and 2,368,508, the disclosures of which are incorporated herein by reference;
- (7) polyamino amide derivatives derived from condensation of at least one polyalkylene polyamine with at least one polycarboxylic acid, followed by alkylation with at least one bifunctional agent. Non-limiting examples of such polyamino amide derivatives include adipic acid/dialkylaminohydroxyalkyldialkylenetriamine polymers wherein the alkyl group comprises from 1 to 4 carbon atoms, such as methyl groups, ethyl groups and propyl groups. For example, such polymers are described in French patent 1,583,363, the disclosure of which is incorporated herein by reference.
- Other non-limiting examples of such derivatives include the adipic acid/dimethylamino-hydroxypropyl/diethylenetriamine polymers sold under the name “CARTARETINE F, F4 or F8” by the company Sandoz.
- (8) polymers derived from the reaction of (i) at least one polyalkylene polyamine comprising two primary amine groups and at least one secondary amine group with (ii) at least one dicarboxylic acid chosen from diglycolic acid and saturated aliphatic dicarboxylic acids comprising from 3 to 8 carbon atoms. According to the present invention, the molar ratio of the at least one polyalkylene polyamine to the at least one dicarboxylic acid generally ranges from 0.8:1 to 1.4:1. The polyamino amide resulting from the above reaction may be reacted with epichlorohydrin in a molar ratio of epichlorohydrin to the at least one secondary amine group of the polyamino amide generally ranging from 0.5:1 to 1.8:1. For example, such polymers are described in U.S. Pat. Nos. 3,227,615 and 2,961,347, the disclosures of which are incorporated herein by reference.
- Polymers of this type are sold in particular under the name “HERCOSETT 57” by the company Hercules Inc. and under the name “PD 170” or “DELSETTE 101” by the company Hercules in the case of adipic acid/epoxypropyl/diethylenetriamine copolymers.
-
- wherein:
- k and t, which may be identical or different, are each chosen from 0 and 1, with the proviso that the sum of k+tis equal to 1;
- R 12, which may be identical or different, are each chosen from hydrogen atoms and methyl groups;
- R 10 and R11, which may be identical or different, are each chosen from alkyl groups comprising from 1 to 22 carbon atoms, such as from 1 to 4 carbon atoms, hydroxyalkyl groups, such as hydroxy alkyl groups wherein the alkyl radical comprises from 1 to 5 carbon atoms, and C1-C4 amidoalkyl groups;
- R 10 and R11, together with the nitrogen atom to which they are commonly bonded, may additionally form at least one heterocyclic group, such as piperidyl groups and morpholinyl groups;
- Y − is an anion, such as bromide, chloride, acetate, borate, citrate, tartrate, bisulfate, bisulfite, sulfate and phosphate. For example, such polymers are described in French patent 2,080,759 and in its Certificate of Addition 2,190,406, the disclosures of which are incorporated herein by reference.
- Non-limiting examples of the polymers defined above include the dimethyldiallyl-ammonium chloride homopolymer sold under the name “MERQUAT 100” by the company Calgon (and its homologues of low weight-average molecular mass) and copolymers of diallyldimethylammonium chloride and of acrylamide, sold under the name “MERQUAT 550”.
-
- wherein:
- R 13, R14, R15 and R16, which may be identical or different, are each chosen from aliphatic groups comprising from 1 to 20 carbon atoms, alicyclic groups comprising from 2 to 20 carbon atoms, arylaliphatic groups comprising from 5 to 20 carbon atoms, and lower hydroxyalkyl groups; and
- additionally at least two of said R 13, R14, R15 and R16, together with the nitrogen atoms to which they are attached, may form at least one heterocycle optionally comprising an additional heteroatom other than nitrogen; and
- additionally, R 13, R14, R15 and R16, which may be identical or different, may each be chosen from linear and branched C1-C6 alkyl groups substituted with at least one group chosen from nitrile groups, ester groups, acyl groups, amide groups and groups chosen from groups of formulae —CO—O—R17—D and —CO—NH—R17—D wherein R17 is chosen from alkylene groups and D is chosen from quaternary ammonium groups;
- A 1 and B1, which may be identical or different, are each chosen from polymethylene groups comprising from 2 to 20 carbon atoms, chosen from linear and branched, saturated and unsaturated polymethylene groups wherein said polymethylene groups may optionally comprise, optionally linked to and optionally intercalated in the main chain, at least one entity chosen from aromatic rings, oxygen atoms, sulfur atoms, sulfoxide groups, sulfone groups, disulfide groups, amino groups, alkylamino groups, hydroxyl groups, quaternary ammonium groups, ureido groups, amide groups and ester groups; and
- X − is an anion chosen from anions derived from inorganic acids and anions derived from organic acids; and
- A 1, R13 and R15 may optionally form, together with the nitrogen atoms to which they are attached, at least one piperazine ring;
- with the proviso that if A 1 is chosen from linear and branched, saturated and unsaturated alkylene groups and linear and branched, saturated and unsaturated hydroxyalkylene groups, B1 may also be chosen from groups of formula:
- —(CH2)n—CO—D—OC—(CH2)n—
- wherein:
- n is a number such that the overall quaternary diammonium polymer has a number-average molecular mass generally ranging for example from 1000 to 100,000;
- D is chosen from:
- a) glycol residues of formula: —O—Z—O—, wherein Z is chosen from linear and branched hydrocarbon groups and groups chosen from groups of formulae:
- —(CH2—CH2—O)x—CH2—CH2—;
- and
- —[CH2—CH(CH3)—O]y—CH2—CH(CH3)—
- wherein x and y, which may be identical or different, are each chosen from integers ranging from 1 to 4 (in which case x and y represent a defined and unique degree of polymerization) and any number ranging from 1 to 4 (in which case x and y represent an average degree of polymerization);
- b) bis-secondary diamine residues such as piperazine derivatives;
- c) bis-primary diamine residues chosen from residues of formula: —NH—Y—NH—,
- wherein Y is chosen from linear and branched hydrocarbon groups and residues of formula —CH 2—CH2—S—S—CH2—CH2—; and
- d) urcylene groups of formula: —NH—CO—NH—.
- In one embodiment, X − is an anion chosen from chloride ions and bromide ions. According to the present invention, the quarternary diammonium polymers have a number-average molecular mass generally ranging from 1000 to 100,000.
- For example, polymers of this type are described in French Pat. Nos. 2,320,330, 2,270,846, 2,316,271, 2,336,434 and 2,413,907 and U.S. Pat. Nos. 2,273,780, 2,375,853, 2,388,614, 2,454,547, 3,206,462, 2,261,002, 2,271,378, 3,874,870, 4,001,432, 3,929,990, 3,966,904, 4,005,193, 4,025,617, 4,025,627, 4,025,653, 4,026,945 and 4,027,020, the disclosures of which are incorporated herein by reference.
-
- wherein:
- R 1, R2, R3 and R4, which may be identical or different, are each chosen from alkyl groups comprising from 1 to 4 carbon atoms and hydroxyalkyl groups comprising from 1 to 4 carbon atoms;
- n and p, which may be identical or different, are each chosen from integers ranging from 2 to 20; and
- X − is an anion chosen from anions derived from inorganic acids and anions derived from organic acids.
-
- wherein:
- p is an integer ranging from 1 to 6,
- D is chosen from direct bonds and —(CH 2)r—CO— groups, wherein r is a number equal to 4 or 7, and
- X − is an anion chosen from anions derived from inorganic acids and anions derived from organic acids.
- For example, such compounds are described in patent application EP-A-122,324, the disclosure of which is incorporated by reference herein, and may be prepared according to the procedures described in the U.S. Pat. Nos. 4,157,388, 4,390,689, 4,702,906, and 4,719,282, the disclosures of which are incorporated by reference herein.
- Among these, there may be mentioned for example the products “Mirapol A 15”, “Mirapol AD1”, “Mirapol AZ1” and Mirapol 175″ sold by the company Miranol.
- (12) quaternary polymers of vinylpyrrolidone and quaternary polymers of vinylimidazole, such as, for example, the products sold under the names LUVIQUAT FC 905, FC 550 and FC 370 by the company BASF.
- (13) polyamines, such as POLYQUART H sold by Henkel under the reference name “POLYETHYLENE GLYCOL (15) TALLOW POLYAMINE” in the CTFA dictionary.
- (14) crosslinked (meth)acryloyloxy(C 1-C4)alkyltri(C1-C4)alkylammonium salt polymers, such as the polymers derived from homopolymerization of dimethylaminoethyl methacrylate quaternized with methyl chloride and polymers derived from copolymerization, for example, of acrylamide with dimethylaminoethyl methacrylate quaternized with a methyl halide (such as methyl chloride), wherein the homo- or copolymerization is followed by crosslinking with at least one compound comprising olefinic unsaturation, such as methylenebisacrylamide. For example, a crosslinked acrylamide/methacryloyloxyethyltrimethylammonium chloride copolymer (20/80 by weight) in the form of a dispersion comprising about 50% by weight of said copolymer in mineral oil may be used. This dispersion is sold under the name “SALCARE SC 92” by the company Allied Colloids. Further, a crosslinked methacryloyloxyethyltrimethylammonium chloride homopolymer comprising about 50% by weight of the homopolymer in mineral oil or in a liquid ester may be used. These dispersions are sold under the names “SALCARE SC 95” and “SALCARE SC 96” by the company Allied Colloids.
- Other cationic polymers which may be used as the at least one cationic polymer according to the present invention are polyalkyleneimines (such as polyethyleneimines), polymers comprising at least one vinylpyridine unit, polymers comprising at least one vinylpyridinium unit, condensates of polyamines, condensates of epichlorohydrin, quaternary polyureylenes and chitin derivatives.
-
-
- and in particular those of which the molecular weight, determined by gel chromatography, is approximately 1200.
- Generally, the cationic polymers are present in an amount ranging for example from 0.01% to 10% by weight relative to the total weight of the final composition, such as from 0.05% to 5% by weight relative to the total weight of the final composition and further such as from 0.01% to 3% by weight relative to the total weight of the final composition.
- The amphoteric polymers which can be used in the present invention can be chosen from polymers comprising K and M units distributed statistically in the polymer chain,
- wherein:
- K is a unit derived from a monomer comprising at least one basic nitrogen atom and M is a unit derived from an acid monomer comprising at least one group chosen from carboxylic groups and sulfonic groups; or alternatively
- K and M, which are identical or different, are each groups chosen from groups derived from zwitterionic monomers of carboxybetaines and groups derived from zwitterionic monomers of sulfobetaines; or alternatively
- K and M, which are identical or different, are each chosen from polymers comprising cationic polymer chains comprising at least one amine group chosen from primary, secondary, tertiary and quaternary amine groups, wherein at least one of the amine groups is substituted with a group chosen from carboxylic groups and sulphonic groups linked via a hydrocarbon radical; or alternatively
- K and M form part of a chain of a polymer with an α,β-dicarboxylic ethylene unit wherein one of the carboxylic groups has been caused to react with a polyamine comprising at least one amine group chosen from primary amine groups and secondary amine groups.
- Representative of the film forming amphoteric polymers defined above that can be used include the following polymers:
- (1) The polymers resulting from the copolymerization of a monomer derived from a vinyl compound substituted with a carboxylic group such as acrylic acid, methacrylic acid, maleic acid, and α-chloroacrylic acid, and of a basic monomer derived from a substituted vinyl compound comprising at least one basic atom such as dialkylaminoalkyl methacrylate and acrylate, dialkylaminoalkylmethacrylamide and acrylamide. Such compounds are described in U.S. Pat. No. 3 836 537, the disclosure of which is incorporated by reference herein. Copolymer of the sodium acrylate/acrylamidopropyl-trimethylammonium chloride sold under the name of “POLYQUART KE 3033” by the company HENKEL can also be cited.
- The vinyl compound can also be a salt of dialkyldiallylammonium such as diethyldiallylammonium chloride. The copolymers of acrylic acid and the latter monomer are proposed under the name “MERQUAT 280”, “MERQUAT 295” and “MERQUAT PLUS 3330” by the company CALGON.
- (2) The polymers comprising units derived from:
- a) at least one monomer chosen from acrylamides substituted on the nitrogen by an alkyl radical and methacrylamides substituted on the nitrogen by an alkyl radical,
- b) at least one acidic comonomer comprising at least one reactive carboxylic group, and
- c) at least one basic comonomer such as comonomers chosen from esters of acrylic acid and esters of methacrylic acid, said esters being substituted with at least one amine chosen from primary, secondary, tertiary and quaternary amines, and the product of quaternization of dimethylaminoethyl methacrylate with a sulfate chosen from dimethyl sulfate and diethyl sulfate.
- Some embodiments according to the invention utilize N-substituted acrylamides and methacrylamides comprising (C 2-C12)alkyl groups, such as N-ethylacrylamide, N-tert-butylacrylamide, N-tert-octylacrylamide, N-octylacrylamide, N-decylacrylamide, and N-dodecylacrylamide, as well as the corresponding methacrylamides.
- The acidic comonomers can be chosen, for example, from acrylic, methacrylic, crotonic, itaconic, maleic and fumaric acids as well as the (C 1-C4)alkyl monoesters of entities chosen from maleic anhydride, fumaric anhydride, maleic acid, and fumaric acid.
- The basic comonomers can be chosen, for example, from methacrylates of aminoethyl, butylaminoethyl, N,N′-dimethylaminoethyl, and N-tert-butylaminoethyl.
- Additionally, the copolymers having the CTFA name (4 th edition, 1991) Octylacrylamide/acrylates/butylaminoethylmethacrylate copolymer such as the products sold under the name AMPHOMER and LOVOCRYL 47 by the company NATIONAL STARCH can also be used.
- (3) The partially and completely alkylated and crosslinked polyaminoamides derived from polyaminoamides of formula:
- CO—R27—CO—Z (VIII)
- wherein:
- R 27 is a divalent group chosen from groups derived from saturated dicarboxylic acids, groups derived from dicarboxylic aromatic acids, groups derived from mono- and dicarbocylic aliphatic acids comprising at least one ethylenic double bond, groups derived from an ester of (C1-C6)alkanols of said acids, and groups derived from the addition of any one of said aforementioned acids with an amine chosen from bis-primary and bis-secondary amines, and
- Z is a divalent group derived from polyalkylene-polyamines chosen from bis-primary, mono- and bis-secondary polyalkylene-polyamines, for example, Z represents:
-
- wherein x=2 and p=2 or 3, or alternatively x=3 and p=2,
- it being understood that group Z of formula a) is derived from a compound chosen from diethylenetriamine, triethylenetetraamine and dipropylenetriamine;
-
- c) in an amount ranging from 0 mol % to 20 mol %,the polyalkylene-polyamine group —NH—(CH 2)6—NH—, which is derived from hexamethylenediamine, wherein said polyalkylene-polyamine group is crosslinked by adding a bifunctional crosslinking agent (chosen from the epihalohydrins, diepoxides, dianhydrides, and bis-unsaturated derivatives) present in an amount ranging from 0.025 mol to 0.35 mol of crosslinking agent per amine group of the polyamino amide and alkylated by the action of at least one compound chosen from acrylic acid, chloroacetic acid, alkanesultones, and salts thereof.
- The saturated dicarboxylic acids are for example chosen from saturated (C 6-C10) dicarboxylic acids such as adipic, 2,2,4trimethyladipic and 2,4,4-trimethyladipic acid.
- Representative dicarboxylic aromatic acids include for example (C 6-C10) dicarboxylic aromatic acids, such as terephthalic acid. And representative mono- and dicarboxylic aliphatic acids comprising at least one ethylenic double bond include for example acrylic, methacrylic and itaconic acids.
- The alkanesultones used in the alkylation can, for example, be chosen from propanesultone and butanesultone, and the salts of the alkylating agents can be chosen from sodium and potassium salts of said alkylating agents.
-
- wherein:
- R 20 is chosen from polymerizable unsaturated groups such as acrylate, methacrylate, acrylamide and methacrylamide groups,
- y and z, which can be identical or different, are each chosen from integers ranging from 1 to 3,
- R 29 and R30, which may be identical or different, are each chosen from hydrogen, and methyl, ethyl and propyl groups,
- R 31 and R32, which may be identical or different, are each chosen from hydrogen and alkyl groups, provided that the sum of the carbon atoms in R31 and R32 does not exceed 10.
- The polymers comprising such units may also comprise units derived from nonzwitterionic monomers such as dimethylaminoethyl acrylate, dimethylaminoethyl methacrylate, diethylaminoethyl acrylate, diethylaminoethyl methacrylate, alkyl acrylates, alkyl methacrylates, alkyl acrylamides, alkyl methacrylamides, and vinyl acetate. By way of example, there may be mentioned the copolymer of methyl methacrylate/methyl dimethylcarboxymethylammonioethyl methacrylate such as the product sold under the name DIAFORMER Z301 by the company SANDOZ.
-
- wherein said unit (D) is present in an amount ranging for example from 0% to 30%, by weight relative to the total weight of said polymer, said unit (E) is present in an amount ranging for example from 5% to 50% by weight relative to the total weight of said polymer, and said unit (F) is present in an amount ranging for example from 30% to 90% by weight relative to the total weight of said polymer,
-
- wherein:
- q is equal to 0 or 1, and (i) when q is equal to 0, R 34, R35 and R36, which may be identical or different, are each chosen from:
- hydrogen,
- methyl, hydroxyl, acetoxy, and amino groups,
- monoalkylamine and dialkylamine groups optionally interrupted by at least one nitrogen atom and/or optionally substituted with at least one group chosen from amine, hydroxyl, carboxyl, alkylthio and sulfonic groups, and
- alkylthio groups wherein said alkyl portion of said alkylthio group carries an amino group,
- provided that at least one of said R 34, R35 and R36 groups is chosen from hydrogen; and
- (ii) when q is equal to 1, R 34, R35 and R36, which may be identical or different, are each chosen from hydrogen,
- and the salts formed by these polymers (5) with bases, and the salts formed by these polymers (5) with acids.
- (6) The polymers derived from the N-carboxyalkylation of chitosan such as N-carboxymethyl chitosan and N-carboxybutyl chitosan sold under the name “EVALSAN” by the company JAN DEKKER.
-
- wherein:
- r is chosen such that the number-average molecular weight of said polymer ranges from 500 to 6,000,000, such as from 1000 to 1,000,000.
- R 37 is chosen from hydrogen and CH3O, CH3CH2O, and phenyl groups,
- R 38 and R39, which are identical or different, are each chosen from hydrogen and lower alkyl groups such as methyl and ethyl,
- R 40 is chosen from lower alkyl groups such as methyl and ethyl and groups of formula: —R41—N(R39)2, comprising up to 6 carbon atoms, wherein R39 is as defined above and R41 is defined below,
- R 4, is chosen from —CH2—CH2—, —CH2—CH2—CH2—, and —CH2—CH(CH3)—.
- (8) Amphoteric polymers of the —D—X—D—X— type, which are described for example in U.S. Pat. No. 4,996,059, the disclosure of which is herein incorporated by reference, chosen from:
- a) polymers derived from reaction of chloroacetic acid or sodium chloroacetate with at least one compound comprising at least one unit of formula (XII):
- —D—X—D—X—D— (XII)
-
- and X is chosen from the symbols E and E′, wherein E and E′, which are identical or different, are each chosen from bivalent groups chosen from alkylene groups comprising at least one chain chosen from linear and branched chains comprising up to 7 carbon atoms in the principal chain, wherein said principal chain is optionally substituted with at least one hydroxyl group, and wherein said alkylene groups optionally comprise at least one atom chosen from oxygen atoms, nitrogen atoms and sulfur atoms, wherein said at least one optional atom is present in the form of at least one group chosen from ether, thioether, sulfoxide, sulfone, sulfonium, alkylamine and alkenylamine groups, and hydroxyl, benzylamine, amine oxide, quaternary ammonium, amide, imide, alcohol, ester and urethane groups, and wherein said alkylene groups optionally comprise 1 to 3 rings chosen from aromatic rings and heterocyclic rings,
- b) polymers of formula:
- —D—X—D—X— (XIII)
- wherein:
-
- X is chosen from the symbols E and E′ and wherein at least one X is chosen from E′,
- E is chosen from bivalent groups chosen from alkylene groups comprising at least one chain chosen from linear and branched chains comprising up to 7 carbon atoms in the principal chain, wherein said principal chain is optionally substituted with at least one hydroxyl group, and wherein said alkylene groups optionally comprise at least one atom chosen from oxygen atoms, nitrogen atoms, and sulfur atoms, wherein said at least one optional atom is present in the form of at least one group chosen from ether, thioether, sulfoxide, sulfone, sulfonium, alkylamine and alkenylamine groups, and hydroxyl, benzylamine, amine oxide, quaternary ammonium, amide, imide, alcohol, ester and urethane groups, and wherein said alkylene groups optionally comprise 1 to 3 rings chosen from aromatic rings and heterocyclic rings, and
- E′ is a bivalent group chosen from alkylene groups comprising at least one chain chosen from linear and branched chains comprising up to 7 carbon atoms in the principal chain, wherein said principal chain is optionally substituted with at least one hydroxyl group, and wherein said alkylene groups comprise at least one nitrogen atom substituted with an alkyl chain, wherein said alkyl chain is optionally interrupted by an oxygen atom and, wherein said alkyl chain comprises at least one functional group chosen from carboxyl and hydroxyl functional groups, and wherein said at least one alkyl chain is betainized by reaction with a reactant chosen from chloroacetic acid and sodium chloroacetate.
- (9) The copolymers (C 1-C5)alkyl vinyl ether/maleic anhydride partially modified by semiamidation with an N,N-dialkylaminoalkylamine such as N,N-dimethylaminopropylamine or by semiesterification with an N,N-dialkanolamine. These copolymers may also comprise other vinyl comonomers such as vinylcaprolactam.
- The amphoteric polymers of family(1) are utilized in certain embodiments of the invention.
- According to the invention, the at least one polymer chosen from cationic and amphoteric polymers may be present in an amount ranging for example from 0.01% to 10% by weight relative to the total weight of the composition, such as from 0.05% to 5% by weight relative to the total weight of the composition, and further such as from 0.01% to 3% by weight relative to the total weight of the composition.
- The ready-to-use composition according to the invention can comprise at least one additional surfactant, which is present in at least one of said at least one dyeing composition (A), said at least one oxidizing composition (B), and said at least one dyeing composition (A) and said at least one oxidizing composition (B).
- The at least one additional surfactant may be chosen from anionic, amphoteric, nonionic, zwitterionic and cationic surfactants.
- Representative choices for the at least one additional surfactant include the following:
- (i) Anionic surfactant(s)
- Representative anionic surfactants include salts (for example alkaline salts, such as sodium salts, ammonium salts, amine salts, amino alcohol salts and magnesium salts) of the following compounds: alkyl sulfates, alkyl ether sulfates, alkylamidoether sulfates, alkylarylpolyether sulfates, monoglyceride sulfates; alkyl sulfonates, alkyl phosphates, alkylamide sulfonates, alkylaryl sulfonates, α-olefin sulfonates, paraffin sulfonates; alkyl(C 6-C24) sulfosuccinates, alkyl(C6-C24) ether sulfosuccinates, alkyl(C6-C24)amide sulfosuccinates, alkylsulfosuccinamates alkyl(C1-C24) sulfoacetates, acyl(C6-C24) sarcosinates, acyl(C6-C24) glutamates, acyl isethionates, N-acyltaurates, and alkyl(C6-C24)polyglycoside carboxylic esters such as alkylglucoside citrates, alkylpolyglycoside tartrate, alkylpolyglycoside sulfosuccinates, and alkyl sulfosuccinamates. The alkyl and acyl radicals of all of these various compounds can for example comprise from 12 to 20 carbon atoms, and the aryl radicals can for example be chosen from phenyl and benzyl groups.
- For example, anionic surfactants can be chosen from fatty acid salts such as the salts of oleic acid, ricinoleic acid, palmitic acid, stearic acid, the acids of copra oil and the acids of hydrogenated copra oil, and acyl lactylates in which the acyl radical comprises from 8 to 20 carbon atoms. At least one weakly anionic surfactant can also be used, such as alkyl-D-galactosideuronic acids and their salts, as well as polyoxyalkylenated carboxylic (C 6-C24)alkyl ether acids, polyoxyalkylenated carboxylic (C6-C24)alkylaryl ether acids, polyoxyalkylenated carboxylic (C6-C24)alkyl amidoether acids and their salts, for example, those comprising from 2 to 50 ethylene oxide groups.
- Useful nonionic surfactants include compounds that are well known per se (see for example in this respect “Handbook of Surfactants” by M. R. Porter, published by Blackie & Son (Glasgow and London), 1991, pp. 116-178), the disclosure of which is incorporated by reference herein. Thus, nonionic surfactants can include alcohols, α-diols, and polyethoxylated alkylphenols and polypropoxylated alkylphenols comprising at least one fatty chain comprising for example from 8 to 18 carbon atoms, wherein the number of ethylene oxide and propylene oxide groups can range for example from 2 to 50. Additionally, copolymers of ethylene oxide, copolymers of propylene oxide, condensates of ethylene oxide with fatty alcohols, condensates of propylene oxide with fatty alcohols, polyethoxylated fatty amides, such as those comprising from 2 to 30 mol of ethylene oxide, polyglycerolated fatty amides on average comprising 1 to 5 glycerol groups, such as from 1.5 to 4, polyethoxylated fatty amines comprising for example from 2 to 30 mol of ethylene oxide, oxyethylenated fatty acid esters of sorbitan comprising from 2 to 30 mol of ethylene oxide, fatty acid esters of sucrose, fatty acid esters of polyethylene glycol, alkylpolyglycosides, N-alkylglucamine derivatives, amine oxides, such as the oxides of (C 10-C14) alkylamines, and N-acylaminopropylmorpholine oxides can also be used. It will be noted that the alkylpolyglycosides are nonionic surfactants that can be suitable in the context of the present invention.
- (iii) Amphoteric or Zwifterionic Surfactant(s)
- Representative amphoteric and zwitterionic surfactants can be chosen from aliphatic secondary and tertiary amine derivatives in which the aliphatic radical is chosen from linear and branched chain radicals comprising 8 to 18 carbon atoms and comprising at least one water-soluble anionic group (chosen for example from carboxylate, sulfonate, sulfate, phosphate and phosphonate); mention may also be made of (C 8-C20)alkylbetaines, sulfobetaines, (C8-C20)alkylamido(C1-C6)alkylbetaines and (C8-C20)alkylamido(C1-C6)alkylsulfobetaines. Representative amine derivatives include the products sold under the name MIRANOL, as described in U.S. Pat. Nos. 2,528,378 and 2,781,354, the disclosures of which are incorporated by reference herein, and classified in the CTFA dictionary, 3rd edition, 1982, under the names Amphocarboxyglycinates and Amphocarboxypropionates, having the respective structures:
- R2—CONHCH2CH2—N+(R3)(R4)(CH2COO—) (2)
- in which:
- R 2 is chosen from alkyl groups derived from an acid R2—COOH present in hydrolysed copra oil, and heptyl, nonyl and undecyl radicals,
- R 3 is a beta-hydroxyethyl group, and- R4 is a carboxymethyl group; and
- R5—CONHCH2CH2—N(B)(C) (3)
- in which:
- (B) is —CH 2CH2OX′, wherein X′ is an entity chosen from a —CH2CH2—COOH group and a hydrogen atom,
- (C) is —(CH 2)z—Y′, wherein z=1 or 2, and wherein Y′ is an entity chosen from —COOH and —CH2—CHOH—SO3H groups,
- R 5 is chosen from alkyl groups, such as (a) alkyl groups of an acid R5—COOH present in oils chosen from copra oil and hydrolysed linseed oil, (b) alkyl groups, such as C7, C9, C11 and C13 alkyl groups, and (c) C17 alkyl groups and the iso forms, and unsaturated C17 groups.
- Such representative compounds are classified in the CTFA dictionary, 5th edition, 1993, under the names disodium cocoamphodiacetate, disodium lauroamphodiacetate, disodium caprylamphodiacetate, disodium capryloamphodiacetate, disodium cocoamphodipropionate, disodium lauroamphodipropionate, disodium caprylamphodipropionate, disodium capryloamphodipropionate, lauroamphodipropionic acid, and cocoamphodipropionic acid. By way of example, mention may be made of the cocoamphodiacetate sold under the trade name MIRANOL C2M Concentrate by the company RHODIA CHIMIE.
- (iv) Cationic Surfactants
- Representative cationic surfactants include salts of optionally polyoxyalkylenated primary, secondary and tertiary fatty amines; quaternary ammonium salts such as tetraalkylammonium, alkylamidoalkyltrialkylammonium, trialkylbenzylammonium, and trialkylhydroxyalkylammonium, alkylpyridinium chlorides, alkylpyridinium bromides, imidazoline derivatives; and amine oxides of cationic nature.
- In one embodiment, in the ready-to -use composition according to the invention, the dyeing composition (A) comprises at least one nonionic surfactant.
- The at least one additional surfactant may be present in the composition according to the invention generally in an amount ranging for example from 0.01% to 40% by weight relative to the total weight of the composition, such as from 0.1% to 30% by weight relative to the total weight of the composition.
- The ready-to-use composition according to the present invention may eventually comprise, in composition (A), composition (B), or both compositions (A) and (B), at least one other agent for adjustment of rheology, such as agents chosen from cellulose thickeners (for example, hydroxyethylcellulose, hydroxypropylcellulose, and carboxymethylcellulose), guar gum and its derivatives (for example, hydroxypropylguar), gums of microbial origin (for example, xanthan gum and scleroglucan gum), and synthetic thickeners (for example, crosslinked homopolymers of acrylic acid and crosslinked homopolymers of acrylamidopropanesulfonic acid.
- Generally, these thickeners may be present in an amount ranging for example from 0.01% to 10% by weight relative to the total weight of the composition.
- The medium of the composition appropriate for dyeing can be an aqueous medium, optionally comprising at least one cosmetically acceptable organic solvent.
- Representative organic solvents may be chosen from alcohols, such as ethyl alcohol, isopropyl alcohol, benzyl alcohol, and phenylethyl alcohol. The organic solvents may also be chosen from glycols (for example, ethyleneglycol, propyleneglycol, butyleneglycol, dipropyleneglycol, and diethyleneglycol) and ethers of glycols (for example, monomethyl, monoethyl and monobutyl ethers of ethyleneglycol and for example monomethyl ether of propyleneglycol and alkyl ethers of diethyleneglycol glycol, such as, for example, monoethylether and monobutylether of diethyleneglycol).
- The organic solvents are generally present in an amount ranging for example from 0.5% to 20% by weight relative to the total weight of the composition, such as from 2% to 10% by weight relative to the total weight of the composition.
- The composition according to the invention may further comprise an effective quantity of other agents. For example, agents that are already known for oxidation coloration, such as various ordinary adjuvants including sequesterizers such as EDTA and etidronic acid, UV-screening agents, waxes, volatile and nonvolatile, cyclic and non-cyclic, linear and branched, organomodified (such as by amine groups) silicones, preservatives, ceramides, pseudoceramides, vegetable, mineral and synthetic oils, vitamins and provitamins such as panthenol, and opacifiers, may be included.
- The composition can also comprise at least one agent chosen from reducing agents and antioxidants. Representative additional agents may include sodium sulfite, thioglycolic acid, thiolactic acid, sodium bisulfite, dehydroascorbic acid, hydroquinone, 2-methylhydroquinone, tert-butylhydroquinone and homogentisic acid. Generally, such agents may be present in the an amount ranging for example from 0.05% to 3.0% by weight relative to the total weight of the composition, such as from 0.05% to 1.5% by weight relative to the total weight of the composition.
- The composition according to the invention may also comprise at least one fatty alcohol comprising at most twenty carbon atoms. Representative fatty alcohols comprising at most twenty carbon atoms that may be used include lauryl, cetyl, stearyl and oleyl alcohols. These additional fatty alcohols may be present in an amount ranging for example from 0.001% to 20% by weight relative to the total weight of the composition.
- One skilled in the art should take care to select said optionally complementary compounds, such that the advantageous properties intrinsically associated with the dye composition according to the invention are not, or are not substantially, adversely affected by the additions envisaged.
- In the composition ready-to-use composition, said at least one composition (B) may comprise at least one oxidizing agent chosen, for example, from hydrogen peroxide, urea peroxide, alkali metal bromates and ferricyanides, and persalts such as perborates and persulfates. More specifically, hydrogen peroxide may be used. This oxidizing agent is advantageously constituted by an oxygenated aqueous solution of which the titre may range from 1 to 40 in volume, such as from 5 to 40.
- As an oxidizing agent, at least one oxidation-reduction enzyme such as laccases, peroxydases and 2-electron oxydoreductases (such as uricase), if necessary in the presence of their respective donor or cofactor, may also be used.
- The pH of the dyeing composition (A) or of the ready-to-use composition applied to the keratin fibers [composition resulting from including at least one the dye composition (A) and the oxidizing composition (B)], generally ranges from 4 to 12, such as from 6 to 11, and may be adjusted to the desired value by means of at least one agent chosen from acidifying and basifying agents well-known in the art of dyeing keratin fibers.
-
- wherein:
- R is a propylene residue optionally substituted with a group chosen from hydroxyl and C 1-C4 alkyl groups;
- R 42, R43, R44 and R45, which may be identical or different, are each chosen from hydrogen, C1-C4 alkyl groups and C1-C4 hydroxyalkyl groups.
- Representative acidifying agents include, classically, by way of example, organic and inorganic acids such as hydrochloric acid, orthophosphoric acid, and carboxylic acids such as tartaric acid, citric acid, lactic acid and sulfonic acids.
- One dyeing method according to the invention comprises applying on dry or wet keratin fibers, such as human keratin fibers like hair, at least one ready-to-use cosmetic composition, prepared at the time of use from at least one compositions (A) and at least one composition (B), leaving said at least one ready-to-use composition on said keratin fibers for a time ranging from 1 to 60 minutes, such as from 10 to 45 minutes, rinsing said keratin fibers, optionally shampooing said keratin fibers, rinsing said keratin fibers after said optional shampooing, and drying said keratin fibers, wherein said at least one ready-to-use cosmetic composition comprises, in a dyeing medium:
- (1) at least one oxidation dye,
- (2) at least one oxidizing agent,
- (3) at least one fatty alcohol comprising more than twenty carbon atoms,
- (4) optionally comprising at least one fatty alcohol comprising at most twenty carbon atoms,
- (5) at least one oxyalkylenated nonionic surfactant with an HLB greater than 5, and
- (6) optionally comprising at least one oxyalkylenated surfactant with an HLB at most equal to 5,
- provided that (2), (3), (4), and (5) are present in a proportion such that the weight ratio [(4)]/[(2)+(3)+(5)] is at most 1:1.
- Unless otherwise indicated, all numbers expressing quantities of ingredients, properties such as molecular weight, reaction conditions, and so forth used in the specification and claims are to be understood as being modified in all instances by the term “about.” Accordingly, unless indicated to the contrary, the numerical parameters set forth in the following specification and attached claims are approximations that may vary depending upon the desired properties sought to be obtained by the present invention. At the very least, and not as an attempt to limit the application of the doctrine of equivalents to the scope of the claims, each numerical parameter should at least be construed in light of the number of reported significant digits and by applying ordinary rounding techniques. Notwithstanding that the numerical ranges and parameters setting forth the broad scope of the invention are approximations, the numerical values set forth in the specific examples are reported as precisely as possible. Any numerical value, however, inherently contain certain errors necessarily resulting from the standard deviation found in their respective testing measurements.
- Concrete examples illustrating the invention are indicated below without however exhibiting a limiting character.
- The following compositions were prepared:
Oxidizing composition: Fatty alcohol 2.3 g Oxyethylenated fatty alcohol 0.6 g Fatty amide 0.9 g Glycerin 0.5 g Hydrogen peroxide 7.5 g Perfume qs Demineralized water qs 100 g -
Dyeing composition: (expressed in grams) Mixture of C18 to C24 linear alcohols [C18/C20/C22/C24, 3 7/58/30/6] (NAFOL 20-22) Mixture of oxyethylenated C18 to C24 linear alcohols 1.35 [C18/C20/C22/C24, 7/58/30/6] 30 EO (NAFOLOX 20-22 30EO) Oxyethylenated stearyl alcohol 2 EO 4 Oxyethylenated stearyl alcohol 21 EO 2 Oleic acid 2.6 Glycol distearate 2 Propylene glycol 5 Monoisopropanolamide of copra acids 2 Aculyn 44 sold by the company ROHM & HAAS 1.4 AS* Crosslinked polyacrylic acid 0.6 Cationic polymer of formula (W) 3 AS* Merquat 100 sold by the company CALGON 0.4 AS* Reducing agents 0.7 Seqestrants 0.2 1,3-Dihydroxybenzene (resorcinol) 0.6 1,4-Diaminobenzene 0.5 1-Hydroxy-3-aminobenzene 0.1 1-Hydroxy-2-aminobenzene 0.05 1-Hydroxy-4-aminobenzene 0.09 6-Hydroxybenzomorpholine 0.017 1-β-Hydroxyethyloxy-2,4-diaminobenzene, 0.039 dihydrochloride Propylene glycol monobutyl ether 2.5 Pure monoethanolamine 1.06 Aqueous ammonia (containing 20.5% of ammonia). 11.1 Water qs 100 - The dyeing composition was mixed, at the time of use, in a plastic bowl and for 2 minutes, with the oxidizing composition given above, in an amount of I part of dyeing composition per 1.5 parts of oxidizing composition. The mixture obtained was applied to locks of natural grey hair which is 90% white and allowed to act for 30 minutes. The locks were then rinsed with water, they were washed with shampoo and again rinsed with water, and then dried and disentangled. The hair was then dyed in an intense light chestnut brown shade.
Claims (82)
Applications Claiming Priority (2)
| Application Number | Priority Date | Filing Date | Title |
|---|---|---|---|
| FR9916760A FR2803196B1 (en) | 1999-12-30 | 1999-12-30 | COMPOSITION FOR THE OXIDATION DYE OF KERATINIC FIBERS COMPRISING A FATTY ALCOHOL HAVING MORE THAN TWENTY CARBON ATOMS AND A NON-IONIC HLB OXYALKYLENE SURFACTANT HIGHER THAN 5 |
| FR9916760 | 1999-12-30 |
Publications (3)
| Publication Number | Publication Date |
|---|---|
| US20020010970A1 true US20020010970A1 (en) | 2002-01-31 |
| US20020184717A9 US20020184717A9 (en) | 2002-12-12 |
| US6695887B2 US6695887B2 (en) | 2004-02-24 |
Family
ID=9554071
Family Applications (1)
| Application Number | Title | Priority Date | Filing Date |
|---|---|---|---|
| US09/750,757 Expired - Lifetime US6695887B2 (en) | 1999-12-30 | 2001-01-02 | Compositions for oxidation dyeing keratin fibers comprising at least one fatty alcohol having more than twenty carbon atoms and at least one oxyalkylenated nonionic surfactant with an hlb greater than 5 |
Country Status (16)
| Country | Link |
|---|---|
| US (1) | US6695887B2 (en) |
| EP (1) | EP1142557B2 (en) |
| JP (1) | JP2001206829A (en) |
| KR (1) | KR100416827B1 (en) |
| CN (1) | CN1308931B (en) |
| AR (1) | AR027910A1 (en) |
| AT (1) | ATE410205T1 (en) |
| AU (1) | AU749404B2 (en) |
| BR (1) | BR0006584B1 (en) |
| CA (1) | CA2330335A1 (en) |
| DE (1) | DE60040455D1 (en) |
| ES (1) | ES2313876T5 (en) |
| FR (1) | FR2803196B1 (en) |
| PL (1) | PL344850A1 (en) |
| PT (1) | PT1142557E (en) |
| RU (1) | RU2207839C2 (en) |
Cited By (52)
| Publication number | Priority date | Publication date | Assignee | Title |
|---|---|---|---|---|
| US7153331B2 (en) | 2001-12-21 | 2006-12-26 | L'oreal S.A. | Dyeing composition for keratinous fibers comprising an oxyethylene rapeseed fatty acid amide |
| US20130205515A1 (en) * | 2010-05-07 | 2013-08-15 | L'oreal | Ready-to-use cosmetic composition for oxidation dyeing keratin fibers |
| US8628586B2 (en) | 2010-12-07 | 2014-01-14 | L'oreal | Composition comprising an oxidation dye precursor, a polycondensate of ethylene oxide and propylene oxide and a cationic polymer with a charge density of greater than or equal to 4 meq./g |
| US8814951B2 (en) | 2010-12-07 | 2014-08-26 | L'oreal | Oxidation dye composition comprising a polycondensate of ethylene oxide and of propylene oxide, and an unsaturated fatty alcohol |
| US20150082554A1 (en) * | 2012-03-30 | 2015-03-26 | L'oreal | Composition comprising (2,5-diaminophenyl)ethanol, an alkylpolyglucoside nonionic surfactant, an oxyethylenated sorbitan ester or a polyalkoxylated or polyglycerolated fatty alcohol in a medium rich in fatty substances, dyeing process and device therefor |
| US9044412B2 (en) | 2011-07-05 | 2015-06-02 | L'oreal | Dye composition using a long-chain ether of an alkoxylated fatty alcohol and a cationic polymer, processes and devices using the same |
| US9060944B2 (en) | 2011-07-05 | 2015-06-23 | L'oreal | Cosmetic composition rich in fatty substances comprising a polyoxyalkylenated fatty alcohol ether and a direct dye and/or an oxidation dye, the dyeing method and the device |
| US9066890B2 (en) | 2011-07-05 | 2015-06-30 | L'oreal | Dye composition comprising an alkoxylated fatty alcohol ether and a fatty alcohol |
| US20150202125A1 (en) * | 2012-08-02 | 2015-07-23 | L'oreal | Dye composition comprising nonionic guar gum or a nonionic derivative thereof, process and device for the same |
| US20150202142A1 (en) * | 2012-08-02 | 2015-07-23 | L'oreal | Dyeing composition comprising at least one fatty substance, at least one oxidizing agent and at least one non-ionic, anionic and amphoteric surfactant |
| US20150257993A1 (en) * | 2012-08-02 | 2015-09-17 | L'oreal | Dyeing composition comprising a fatty substance, a non-ionic guar gum, an amphoteric surfactant and a non-ionic or anionic surfactant, and an oxidizing agent, dyeing process and suitable device |
| US20150335564A1 (en) * | 2013-01-09 | 2015-11-26 | L'oreal | Dyeing composition free of chemical oxidizing agent, comprising an oxidation dye, an alkyl sulfate, an alkylpolyglycoside, a fatty substance and non-ionic guar gum |
| CN105377223A (en) * | 2013-07-19 | 2016-03-02 | 莱雅公司 | Dye composition comprising a particular amphoteric surfactant and a sulfate or sulfonate surfactant |
| US9295632B1 (en) * | 2014-12-17 | 2016-03-29 | L'oreal | Compositions comprising latex polymers and methods for altering the color of hair |
| US20160151264A1 (en) * | 2013-07-19 | 2016-06-02 | L'oreal | Dye composition comprising a particular amphoteric surfactant and an oxyethylenated amide surfactant or an oxyethylatenated fatty alcohol surfactant comprising less than 10 oe units and mixture thereof dye composition comprising a particular amphoteric surfactant and an oxyethylenated amide surfactant |
| US20160151263A1 (en) * | 2013-07-19 | 2016-06-02 | L'oreal | Dye composition comprising a particular amphoteric surfactant and a particular thickening polymer |
| US20160296452A1 (en) * | 2013-12-19 | 2016-10-13 | Henkel Ag & Co. Kgaa | Oxidation dye with reduced hair damage |
| US20170165174A1 (en) * | 2015-12-14 | 2017-06-15 | The Procter & Gamble Company | Hair Coloring Composition Comprising One or More Acrylate Monomers |
| US20170165173A1 (en) * | 2015-12-14 | 2017-06-15 | The Procter & Gamble Company | Hair Coloring Composition Comprising One or More Acrylic Compounds |
| US20170172867A1 (en) * | 2015-12-16 | 2017-06-22 | Henkel Ag & Co. Kgaa | Combinations of preservatives for hair dyes |
| US20170172882A1 (en) * | 2015-12-16 | 2017-06-22 | Henkel Ag & Co. Kgaa | Fashionable copper shades in a nonionic base |
| US9750678B2 (en) * | 2014-12-19 | 2017-09-05 | L'oreal | Hair coloring compositions comprising latex polymers |
| US9788627B2 (en) | 2013-06-28 | 2017-10-17 | L'oreal | Compositions and methods for treating hair |
| US9789051B2 (en) | 2013-06-28 | 2017-10-17 | L'oreal | Compositions and methods for treating hair |
| US9789050B2 (en) | 2013-06-28 | 2017-10-17 | L'oreal | Compositions and methods for treating hair |
| US9795555B2 (en) | 2013-06-28 | 2017-10-24 | L'oreal | Compositions and methods for treating hair |
| US9795556B2 (en) | 2013-06-28 | 2017-10-24 | L'oreal | Compositions and methods for treating hair |
| US9801808B2 (en) | 2014-12-19 | 2017-10-31 | Loreal | Hair styling compositions comprising latex polymers and wax dispersions |
| US9801804B2 (en) | 2013-06-28 | 2017-10-31 | L'oreal | Compositions and methods for treating hair |
| US9814669B2 (en) | 2014-12-19 | 2017-11-14 | L'oreal | Hair cosmetic composition containing latex polymers and a silicone-organic polymer compound |
| US9814668B2 (en) | 2014-12-19 | 2017-11-14 | L'oreal | Hair styling compositions comprising latex polymers |
| US20170348210A1 (en) * | 2014-12-17 | 2017-12-07 | L'oreal | Dye composition comprising a para-phenylenediamine oxidation base, a polysaccharide thickener in a medium rich in fatty substances |
| US9839600B2 (en) | 2013-06-28 | 2017-12-12 | L'oreal | Compositions and methods for treating hair |
| US9849071B2 (en) * | 2011-12-19 | 2017-12-26 | L'oreal | Composition for the oxidation dyeing of keratin fibres, comprising particular fatty alcohols, a liquid fatty substance and a cationic polymer |
| US9884002B2 (en) | 2013-06-28 | 2018-02-06 | L'oreal | Compositions and methods for treating hair |
| US9884003B2 (en) | 2013-06-28 | 2018-02-06 | L'oreal | Compositions and methods for treating hair |
| US9884004B2 (en) | 2013-06-28 | 2018-02-06 | L'oreal | Compositions and methods for treating hair |
| US20180111011A1 (en) * | 2015-04-16 | 2018-04-26 | Kao Germany Gmbh | Hair dyeing composition |
| US20180168945A1 (en) * | 2016-12-19 | 2018-06-21 | Henkel Ag & Co. Kgaa | Cream-type hair coloring agent iii |
| US20180168944A1 (en) * | 2016-12-19 | 2018-06-21 | Henkel Ag & Co. Kgaa | Cream-type hair coloring agent |
| US20180168942A1 (en) * | 2016-12-19 | 2018-06-21 | Henkel Ag & Co. Kgaa | Cream-type hair coloring agent |
| US20180168946A1 (en) * | 2016-12-19 | 2018-06-21 | Henkel Ag & Co. Kgaa | Cream-type hair coloring agent ii |
| US10130568B2 (en) * | 2011-01-10 | 2018-11-20 | L'oreal | Process for dyeing or lightening keratin fibres in two parts, using an oil-rich alkaline direct emulsion based on a solid nonionic surfactant with an HLB ranging from 1.5 to 10 |
| US10130575B2 (en) * | 2014-12-17 | 2018-11-20 | L'oreal | Dye composition comprising a para-phenylenediamine oxidation base, an amphoteric surfactant in a medium rich in fatty substances |
| US10179097B2 (en) * | 2014-12-17 | 2019-01-15 | L'oreal | Dye composition comprising a para-phenylenediamine oxidation base and an amphoteric or cationic polymer in a medium rich in fatty substances |
| US10195122B2 (en) | 2014-12-19 | 2019-02-05 | L'oreal | Compositions and methods for hair |
| US10195126B2 (en) | 2014-12-17 | 2019-02-05 | L'oreal | Dye composition comprising a para-phenylenediamine oxidation base and a heterocyclic oxidation base |
| US10201483B2 (en) | 2012-08-02 | 2019-02-12 | L'oreal | Dye composition in cream form comprising at least one oil and little or no solid fatty alcohol, dyeing process and suitable device |
| US10314773B2 (en) | 2014-12-17 | 2019-06-11 | L'oreal | Dye composition comprising a para-phenylenediamine oxidation base, a nonionic surfactant in a medium rich in fatty substances |
| US10537510B2 (en) | 2014-12-17 | 2020-01-21 | L'oreal | Dye composition comprising a para-phenylenediamine oxidation base and a particular coupler |
| US10639254B2 (en) | 2014-12-17 | 2020-05-05 | L'oreal | Dye composition comprising a para-phenylenediamine oxidation base and an additional base |
| US10813853B2 (en) | 2014-12-30 | 2020-10-27 | L'oreal | Compositions and methods for hair |
Families Citing this family (60)
| Publication number | Priority date | Publication date | Assignee | Title |
|---|---|---|---|---|
| US6842861B1 (en) * | 2000-03-24 | 2005-01-11 | Networks Associates Technology, Inc. | Method and system for detecting viruses on handheld computers |
| JP4870883B2 (en) * | 2001-08-06 | 2012-02-08 | ホーユー株式会社 | Hair cosmetic composition |
| JP4612249B2 (en) * | 2001-08-10 | 2011-01-12 | ホーユー株式会社 | Permanent wave agent composition and permanent wave agent |
| DE60303752T2 (en) * | 2002-09-30 | 2006-09-21 | Rohm And Haas Co. | Thickener for aqueous systems with a high content of surfactants |
| DE102004005769A1 (en) * | 2004-02-05 | 2005-08-25 | Wella Ag | Coloring agent with pearlescent for keratin fibers |
| DE102004005767A1 (en) * | 2004-02-05 | 2005-09-01 | Wella Ag | Colorant for keratin fibers with pearlescent |
| JP2006076914A (en) * | 2004-09-09 | 2006-03-23 | Kao Corp | 1st agent composition for hair dyeing or decoloring |
| US7766976B2 (en) * | 2004-12-02 | 2010-08-03 | The Procter & Gamble Company | Polymer thickened hair colouring and bleaching compositions |
| JP4515308B2 (en) * | 2005-03-31 | 2010-07-28 | 株式会社マンダム | Hair treatment composition |
| US20070134191A1 (en) * | 2005-12-14 | 2007-06-14 | L'oreal | Hair styling compositions containing a nonionic amphiphilic polymer in combination with styling polymers and emulsifying agents |
| WO2007071683A1 (en) * | 2005-12-22 | 2007-06-28 | L'oréal | Composition for dyeing keratin fibres with a tetraazapentamethine cationic direct dye and a nonionic surfactant |
| FR2895241B1 (en) * | 2005-12-22 | 2008-07-04 | Oreal | DYEING COMPOSITION FOR KERATIN FIBERS WITH TETRAAZAPENTA-METHINIC CATIONIC DIRECT COLORANT AND NON-IONIC SURFACTANT |
| CN100415984C (en) * | 2006-03-14 | 2008-09-03 | 苏州润宝化学品有限公司 | Guar gum natural silk printing paste and method for preparing same |
| US20080131391A1 (en) * | 2006-12-01 | 2008-06-05 | L'oreal | Compositions containing a quaternary ammonium polymer, a fatty quaternary agent and a nonionic surfactant |
| FR2923382B1 (en) | 2007-11-09 | 2012-08-03 | Oreal | COMPOSITION COMPRISING MODIFIED CELLULOSE DERIVATIVE, FATTY ACID AMIDE AND / OR ESTER AND OXIDATION DYES, METHOD OF DYING AND USE |
| FR2923388B1 (en) | 2007-11-09 | 2009-11-27 | Oreal | KERATIN FIBER OXIDATION DYEING COMPOSITION COMPRISING HYDROPHOBIC SUBSTITUTING CELLULOSE, OXIDATION COLOR, AND LONG CHAIN FATTY ALCOHOL |
| FR2925311B1 (en) | 2007-12-21 | 2009-12-18 | Oreal | PROCESS FOR LIGHTENING HUMAN KERATINOUS FIBERS USING ANHYDROUS COMPOSITION AND A PARTICULAR ORGANIC AMINE AND APPROPRIATE DEVICE |
| FR2925307B1 (en) | 2007-12-21 | 2009-12-18 | Oreal | METHOD FOR DIRECT LIGHTENING OR OXIDATION COLORING IN THE PRESENCE OF A PARTICULAR ORGANIC AMINE AND DEVICE |
| FR2925323B1 (en) | 2007-12-21 | 2009-12-18 | Oreal | COLORING PROCESS IN THE PRESENCE OF AN OXIDIZING AGENT AND A PARTICULAR ORGANIC AMINE AND DEVICE |
| JP5504173B2 (en) * | 2007-12-31 | 2014-05-28 | ボストン サイエンティフィック サイムド,インコーポレイテッド | Catheter assembly for vascular bifurcation treatment |
| BRPI0906917B1 (en) * | 2008-01-17 | 2018-07-17 | Basf Se | cationic oligomeric dye, cosmetic composition, and method for dyeing organic material |
| DE102008061857A1 (en) * | 2008-10-22 | 2010-04-29 | Henkel Ag & Co. Kgaa | Colorants based on CH-acidic compounds |
| FR2940108B1 (en) | 2008-12-19 | 2011-04-29 | Oreal | METHOD FOR LIGHTENING KERATINIC MATERIALS USING ANHYDROUS COMPOSITION COMPRISING AN ALKALI AGENT AND AN OXIDIZING COMPOSITION |
| FR2940079B1 (en) | 2008-12-19 | 2011-02-18 | Oreal | COMPOSITION COMPRISING AT LEAST ONE SOLID FATTY ALCOHOL, METHOD FOR COLORING THE SAME AND DEVICES THEREOF |
| US7927381B2 (en) | 2008-12-19 | 2011-04-19 | L'oreal S.A. | Process for lightening or lightening direct dyeing or oxidation dyeing in the presence of an aqueous composition comprising at least one fatty substance, and device |
| FR2940067B1 (en) * | 2008-12-19 | 2011-02-25 | Oreal | OXIDIZING COMPOSITION FOR THE TREATMENT OF KERATIN FIBERS COMPRISING A CATIONIC POLYMER, A FATTY AMIDE AND AN OXYGEN AGENT |
| FR2940102B1 (en) * | 2008-12-19 | 2016-03-11 | Oreal | KERATIN FIBER OXIDATION DYEING COMPOSITION COMPRISING A FATTY BODY, A THICKENER AND AN OXIDATION COLORING PRECURSOR |
| FR2940101B1 (en) | 2008-12-19 | 2011-02-18 | Oreal | KERATIN FIBER OXIDATION DYEING COMPOSITION COMPRISING A FATTY BODY AND A 4,5-DIAMINOPYRAZOLE DERIVATIVE |
| FR2940090B1 (en) | 2008-12-19 | 2011-02-25 | Oreal | OXIDIZING COMPOSITION FOR THE TREATMENT OF KERATIN FIBERS COMPRISING OIL, FATTY ALCOHOL AND OXYALKYLENE FATTY ALCOHOL |
| FR2940092B1 (en) * | 2008-12-19 | 2011-02-18 | Oreal | KERATIN FIBER OXIDATION DYE COMPOSITION COMPRISING AN AMIDE OR ESTER FATTY BODY |
| FR2940100B1 (en) | 2008-12-19 | 2011-02-18 | Oreal | KERATIN FIBER OXIDATION DYE COMPOSITION COMPRISING A FATTY BODY AND N, N BIS (BETA-HYDROXYETHYL) -PARAPHENYLENE DIAMINE |
| JP5748953B2 (en) | 2008-12-19 | 2015-07-15 | ロレアル | Method for dyeing or lightening human keratin fibers using anhydrous compositions and monoethanolamine / basic amino acid mixtures and suitable devices therefor |
| FR2940105B1 (en) * | 2008-12-19 | 2011-04-08 | Oreal | COMPOSITION COMPRISING A PARTICULAR OXYETHYLENE FIBER AND SURFACTANT, METHOD FOR COLORING THE SAME AND DEVICES THEREFOR |
| US7918902B2 (en) | 2008-12-19 | 2011-04-05 | L'oreal S.A. | Process for lightening or process for direct dyeing or oxidation dyeing of keratin fibers in the presence of at least one ammonium salt and device therefor |
| FR2940077B1 (en) | 2008-12-19 | 2012-07-20 | Oreal | METHOD FOR LIGHTENING COLORING KERATINIC MATERIALS USING A COLORING ANHYDROUS COMPOSITION COMPRISING AN ALKALI AGENT AND AN OXIDIZING COMPOSITION |
| FR2940061B1 (en) | 2008-12-19 | 2011-03-04 | Oreal | KERATIN FIBER OXIDATION DYE COMPOSITION COMPRISING A FATTY BODY AND A DIAMINOPYRAZOLONE DERIVATIVE. |
| FR2940104B1 (en) | 2008-12-19 | 2011-08-19 | Oreal | HAIR PROCESSING METHOD USING DIRECT EMULSION COMPRISING OXIDIZING AGENT AND COMPOSITION CONTAINING ALKALINE AGENT |
| FR2940078B1 (en) | 2008-12-19 | 2011-05-13 | Oreal | COMPOSITION COMPRISING A FATTY BODY AND A CATIONIC POLYMER, A METHOD FOR COLORING THE SAME AND DEVICES |
| FR2940107B1 (en) | 2008-12-19 | 2011-03-18 | Oreal | PROCESS FOR LIGHTENING KERATINIC MATERIALS USING AN EMULSION COMPRISING AN ALKALI AGENT AND AN OXIDIZING COMPOSITION |
| FR2940055B1 (en) | 2008-12-19 | 2015-03-27 | Oreal | KERATIN FIBER OXIDATION DYEING COMPOSITION COMPRISING PARA-AMINOPHENOL, DIPROPYLENE GLYCOL, AND ADDITIONAL COLOURANT PRECURSOR |
| EP2198843B1 (en) | 2008-12-19 | 2017-09-13 | L'Oréal | Lightening of human keratinic fibers with a anhydrous composition comprising a mixture of monoethanolamine/basic amine acid and kit |
| FR2940106B1 (en) | 2008-12-19 | 2013-04-12 | Oreal | COMPOSITION COMPRISING A FATTY BODY AND A SILICATE, COLORING PROCESS USING THE SAME AND DEVICES |
| JP5815205B2 (en) | 2008-12-19 | 2015-11-17 | ロレアル | Method for lightening or direct lightening or oxidation dyeing in the presence of organic amine and inorganic base, and device therefor |
| JP5808077B2 (en) | 2008-12-19 | 2015-11-10 | ロレアル | Method and kit for coloring or brightening in the presence of an inorganic base |
| FR2940103B1 (en) | 2008-12-19 | 2011-06-10 | Oreal | METHOD FOR LIGHTENING COLORING KERATINIC MATERIALS USING AN EMULSION COMPRISING A COLORANT AND AN ALKALI AGENT AND AN OXIDIZING COMPOSITION |
| FR2954159B1 (en) | 2009-12-22 | 2012-02-10 | Oreal | A KERATIN FIBER COLORING AND / OR DECOLOURING AGENT COMPRISING A COMPOSITION COMPRISING AN ALKALINIZING AGENT AND AN ANHYDROUS COMPOSITION COMPRISING AN OXIDANT, EITHER OF THE COMPOSITIONS CONTAINING A FATTY BODY |
| FR2954121B1 (en) | 2009-12-22 | 2016-03-25 | Oreal | COLORING AND / OR DECOLOURING AGENT OF TWO - PART KERATIN FIBERS, COMPRISING A PARTICULAR FOLDER AND A REDUCTONE. |
| FR2954127B1 (en) | 2009-12-22 | 2015-10-30 | Oreal | COLORING AND / OR DECOLOURING AGENT OF TWO-PART KERATINOUS FIBERS, COMPRISING A BODY AND A SEQUESTRING AGENT. |
| FR2954160B1 (en) | 2009-12-22 | 2012-03-30 | Oreal | COLORING OR LIGHTENING COMPOSITION COMPRISING A FATTY BODY AND AN AMPHOTERIC POLYMER |
| FR2968202B1 (en) * | 2010-12-07 | 2013-07-12 | Oreal | COMPOSITION COMPRISING OXIDATION COLORING PRECURSOR, ETHYLENE OXIDE POLYCONDENSATE AND PROPYLENE OXIDE AND POLYOXYALKYLENE FATTY ACID |
| FR2968207B1 (en) * | 2010-12-07 | 2013-04-12 | Oreal | OXIDATION COLORING COMPOSITION, ETHYLENE OXIDE POLYCONDENSATE AND PROPYLENE OXIDE AND NON-OXYALKYLENE GLYCEROOLE NONIONIC SURFACTANT |
| FR2970174B1 (en) | 2011-01-10 | 2013-07-05 | Oreal | COLORING OR LIGHTENING PROCESS USING A RICH BODY COMPOSITION COMPRISING AT LEAST 20 CARBON ALCOHOL, COMPOSITIONS AND DEVICE |
| KR101076914B1 (en) * | 2011-04-22 | 2011-10-25 | 동성제약주식회사 | Foam Hair Dye Composition |
| FR2977480B1 (en) * | 2011-07-05 | 2013-07-05 | Oreal | COLORING COMPOSITION COMPRISING ALCOHOLIC FATTY ALCOHOL ETHER AND FATTY ALCOHOL |
| FR2984135B1 (en) * | 2011-12-19 | 2013-12-20 | Oreal | COSMETIC COMPOSITION COMPRISING AN ANIONIC OR NON-IONIC ASSOCIATIVE POLYMER, A FIXING POLYMER AND A PARTICULAR SURFACTANT AND USE IN STAPLING |
| FR2988592B1 (en) * | 2012-03-30 | 2016-07-15 | Oreal | COLORING COMPOSITION USING (2,5-DIAMINOPHENYL) ETHANOL, ALIPHATIC FATTY ALCOHOL IN A BODY-RICH MEDIUM, THE COLORING PROCESS AND THE DEVICE |
| JP6847570B2 (en) * | 2014-12-16 | 2021-03-24 | ロレアル | O / W emulsion type composition |
| FR3030235B1 (en) * | 2014-12-17 | 2017-07-14 | Oreal | COLORING COMPOSITION COMPRISING A PARA-PHENYLENEDIAMINE OXIDATION BASE, A PARTICULAR FATTY ALCOHOL IN A BODY-RICH MEDIUM |
| FR3060319B1 (en) * | 2016-12-20 | 2019-05-24 | L'oreal | OXIDIZING COMPOSITION FOR THE TREATMENT OF KERATIN FIBERS COMPRISING A SCLEROGLUCAN GUM AND A PHOSPHORUS SEQUESTER |
| JP7726998B2 (en) * | 2020-12-16 | 2025-08-20 | ロレアル | Composition for caring for the skin |
Family Cites Families (95)
| Publication number | Priority date | Publication date | Assignee | Title |
|---|---|---|---|---|
| US2271378A (en) | 1939-08-30 | 1942-01-27 | Du Pont | Pest control |
| US2273780A (en) | 1939-12-30 | 1942-02-17 | Du Pont | Wax acryalte ester blends |
| US2261002A (en) | 1941-06-17 | 1941-10-28 | Du Pont | Organic nitrogen compounds |
| US2388614A (en) | 1942-05-05 | 1945-11-06 | Du Pont | Disinfectant compositions |
| US2375853A (en) | 1942-10-07 | 1945-05-15 | Du Pont | Diamine derivatives |
| US2454547A (en) | 1946-10-15 | 1948-11-23 | Rohm & Haas | Polymeric quaternary ammonium salts |
| US2528376A (en) | 1947-08-01 | 1950-10-31 | Super Density Tie Connector Co | Combination bale tie and connector |
| US2781354A (en) | 1956-03-26 | 1957-02-12 | John J Mccabe Jr | Imidazoline derivatives and process |
| US2961347A (en) | 1957-11-13 | 1960-11-22 | Hercules Powder Co Ltd | Process for preventing shrinkage and felting of wool |
| BE626050A (en) | 1962-03-30 | |||
| US3227615A (en) | 1962-05-29 | 1966-01-04 | Hercules Powder Co Ltd | Process and composition for the permanent waving of hair |
| US3206462A (en) | 1962-10-31 | 1965-09-14 | Dow Chemical Co | Quaternary poly(oxyalkylene)alkylbis(diethylenetriamine) compounds |
| FR1400366A (en) | 1963-05-15 | 1965-05-28 | Oreal | New compounds which can be used in particular for the treatment of hair |
| DE1492175A1 (en) | 1965-07-07 | 1970-02-12 | Schwarzkopf Gmbh Hans | Method for coloring living hair |
| FR1492597A (en) | 1965-09-14 | 1967-08-18 | Union Carbide Corp | New cellulose ethers containing quaternary nitrogen |
| CH491153A (en) | 1967-09-28 | 1970-05-31 | Sandoz Ag | Process for the production of new cation-active, water-soluble polyamides |
| SE375780B (en) | 1970-01-30 | 1975-04-28 | Gaf Corp | |
| IT1035032B (en) | 1970-02-25 | 1979-10-20 | Gillette Co | COSMETIC COMPOSITION AND PACKAGING THAT CONTAINS IT |
| US3836537A (en) | 1970-10-07 | 1974-09-17 | Minnesota Mining & Mfg | Zwitterionic polymer hairsetting compositions and method of using same |
| US4013787A (en) | 1971-11-29 | 1977-03-22 | Societe Anonyme Dite: L'oreal | Piperazine based polymer and hair treating composition containing the same |
| FR2280361A2 (en) | 1974-08-02 | 1976-02-27 | Oreal | HAIR TREATMENT AND CONDITIONING COMPOSITIONS |
| LU64371A1 (en) | 1971-11-29 | 1973-06-21 | ||
| US3986825A (en) | 1972-06-29 | 1976-10-19 | The Gillette Company | Hair coloring composition containing water-soluble amino and quaternary ammonium polymers |
| GB1394353A (en) | 1972-06-29 | 1975-05-14 | Gillette Co | Hair treating composition |
| US3893803A (en) * | 1972-10-10 | 1975-07-08 | Procter & Gamble | Hair dyeing premixes containing peroxidase enzymes stabilized with heme complexing agents |
| US4003699A (en) | 1974-11-22 | 1977-01-18 | Henkel & Cie G.M.B.H. | Oxidation hair dyes based upon tetraaminopyrimidine developers |
| DE2359399C3 (en) | 1973-11-29 | 1979-01-25 | Henkel Kgaa, 4000 Duesseldorf | Hair dye |
| LU68901A1 (en) | 1973-11-30 | 1975-08-20 | ||
| US4277581A (en) | 1973-11-30 | 1981-07-07 | L'oreal | Polyamino-polyamide crosslinked with crosslinking agent |
| US4172887A (en) | 1973-11-30 | 1979-10-30 | L'oreal | Hair conditioning compositions containing crosslinked polyaminopolyamides |
| FR2368508A2 (en) | 1977-03-02 | 1978-05-19 | Oreal | HAIR CONDITIONING COMPOSITION |
| US3874870A (en) | 1973-12-18 | 1975-04-01 | Mill Master Onyx Corp | Microbiocidal polymeric quarternary ammonium compounds |
| US3929990A (en) | 1973-12-18 | 1975-12-30 | Millmaster Onyx Corp | Microbiocidal polymeric quaternary ammonium compounds |
| US4025627A (en) | 1973-12-18 | 1977-05-24 | Millmaster Onyx Corporation | Microbiocidal polymeric quaternary ammonium compounds |
| DK659674A (en) | 1974-01-25 | 1975-09-29 | Calgon Corp | |
| BE829081A (en) | 1974-05-16 | 1975-11-14 | NEW COSMETIC AGENTS BASED ON QUATERNIZED POLYMERS | |
| US5196189A (en) | 1974-05-16 | 1993-03-23 | Societe Anonyme Dite: L'oreal | Quaternized polymer for use as a cosmetic agent in cosmetic compositions for the hair and skin |
| CH606154A5 (en) | 1974-07-02 | 1978-11-15 | Goodrich Co B F | |
| US4005193A (en) | 1974-08-07 | 1977-01-25 | Millmaster Onyx Corporation | Microbiocidal polymeric quaternary ammonium compounds |
| US4025617A (en) | 1974-10-03 | 1977-05-24 | Millmaster Onyx Corporation | Anti-microbial quaternary ammonium co-polymers |
| US3966904A (en) | 1974-10-03 | 1976-06-29 | Millmaster Onyx Corporation | Quaternary ammonium co-polymers for controlling the proliferation of bacteria |
| US4026945A (en) | 1974-10-03 | 1977-05-31 | Millmaster Onyx Corporation | Anti-microbial quaternary ammonium co-polymers |
| US4027020A (en) | 1974-10-29 | 1977-05-31 | Millmaster Onyx Corporation | Randomly terminated capped polymers |
| US4001432A (en) | 1974-10-29 | 1977-01-04 | Millmaster Onyx Corporation | Method of inhibiting the growth of bacteria by the application thereto of capped polymers |
| US4025653A (en) | 1975-04-07 | 1977-05-24 | Millmaster Onyx Corporation | Microbiocidal polymeric quaternary ammonium compounds |
| US4197865A (en) | 1975-07-04 | 1980-04-15 | L'oreal | Treating hair with quaternized polymers |
| AT365448B (en) | 1975-07-04 | 1982-01-11 | Oreal | COSMETIC PREPARATION |
| CH599389B5 (en) | 1975-12-23 | 1978-05-31 | Ciba Geigy Ag | |
| US4031307A (en) | 1976-05-03 | 1977-06-21 | Celanese Corporation | Cationic polygalactomannan compositions |
| LU76955A1 (en) | 1977-03-15 | 1978-10-18 | ||
| CA1091160A (en) | 1977-06-10 | 1980-12-09 | Paritosh M. Chakrabarti | Hair preparation containing vinyl pyrrolidone copolymer |
| US4223009A (en) | 1977-06-10 | 1980-09-16 | Gaf Corporation | Hair preparation containing vinyl pyrrolidone copolymer |
| US4157388A (en) | 1977-06-23 | 1979-06-05 | The Miranol Chemical Company, Inc. | Hair and fabric conditioning compositions containing polymeric ionenes |
| LU78153A1 (en) | 1977-09-20 | 1979-05-25 | Oreal | COSMETIC COMPOSITIONS BASED ON QUATERNARY POLYAMMONIUM POLYMERS AND PREPARATION PROCESS |
| US4131576A (en) | 1977-12-15 | 1978-12-26 | National Starch And Chemical Corporation | Process for the preparation of graft copolymers of a water soluble monomer and polysaccharide employing a two-phase reaction system |
| FR2470596A1 (en) | 1979-11-28 | 1981-06-12 | Oreal | COMPOSITION FOR THE TREATMENT OF KERATIN FIBERS BASED ON AMPHOTERIC POLYMERS AND CATIONIC POLYMERS |
| FR2471777A1 (en) | 1979-12-21 | 1981-06-26 | Oreal | NOVEL COSMETIC AGENTS BASED ON POLYCATIONIC POLYMERS, AND THEIR USE IN COSMETIC COMPOSITIONS |
| LU83349A1 (en) | 1981-05-08 | 1983-03-24 | Oreal | AEROSOL FOAM COMPOSITION BASED ON CATIONIC POLYMER AND ANIONIC POLYMER |
| DE3273489D1 (en) | 1981-11-30 | 1986-10-30 | Ciba Geigy Ag | Mixtures of quaternary polymeric acrylic ammonium salts, quaternary mono- or oligomeric ammonium salts and surfactants, their preparation and their use in cosmetic compositions |
| LU83876A1 (en) | 1982-01-15 | 1983-09-02 | Oreal | COSMETIC COMPOSITION FOR TREATMENT OF KERATINIC FIBERS AND METHOD FOR TREATING THE SAME |
| US5139037A (en) | 1982-01-15 | 1992-08-18 | L'oreal | Cosmetic composition for treating keratin fibres, and process for treating the latter |
| LU84708A1 (en) | 1983-03-23 | 1984-11-14 | Oreal | THICKENED OR GELLIED HAIR CONDITIONING COMPOSITION CONTAINING AT LEAST ONE CATIONIC POLYMER, AT LEAST ONE ANIONIC POLYMER AND AT LEAST ONE XANTHANE GUM |
| EP0122324B2 (en) | 1983-04-15 | 1993-02-03 | Miranol Inc. | Polyquaternary ammonium compounds and cosmetic compositions containing them |
| US4509949A (en) | 1983-06-13 | 1985-04-09 | The B. F. Goodrich Company | Water thickening agents consisting of copolymers of crosslinked acrylic acids and esters |
| US4514552A (en) | 1984-08-23 | 1985-04-30 | Desoto, Inc. | Alkali soluble latex thickeners |
| AU612965B2 (en) | 1985-08-12 | 1991-07-25 | Ciba Specialty Chemicals Water Treatments Limited | Polymeric thickeners and their production |
| FR2586913B1 (en) * | 1985-09-10 | 1990-08-03 | Oreal | PROCESS FOR FORMING IN SITU A COMPOSITION CONSISTING OF TWO SEPARATELY PACKED PARTS AND DISPENSING ASSEMBLY FOR THE IMPLEMENTATION OF THIS PROCESS |
| ZA868515B (en) * | 1985-11-15 | 1987-11-25 | Bristol Myers Co | Oxidation hair dye composition with colour indicsation |
| US4719282A (en) | 1986-04-22 | 1988-01-12 | Miranol Inc. | Polycationic block copolymer |
| LU86429A1 (en) | 1986-05-16 | 1987-12-16 | Oreal | COSMETIC COMPOSITIONS CONTAINING A CATIONIC POLYMER AND AN ANIONIC POLYMER AS A THICKENING AGENT |
| MY105119A (en) | 1988-04-12 | 1994-08-30 | Kao Corp | Low irritation detergent composition. |
| JP2526099B2 (en) | 1988-07-07 | 1996-08-21 | 花王株式会社 | Keratin fiber dyeing composition |
| DE3843892A1 (en) | 1988-12-24 | 1990-06-28 | Wella Ag | OXIDATION HAIR AGENTS CONTAINING DIAMINOPYRAZOL DERIVATIVES AND NEW DIAMINOPYRAZOLE DERIVATIVES |
| DE69009223T2 (en) * | 1989-02-23 | 1995-01-12 | Kao Corp | Hair treatment products. |
| DE4133957A1 (en) | 1991-10-14 | 1993-04-15 | Wella Ag | HAIR DYE CONTAINING AMINOPYRAZOLE DERIVATIVES AND NEW PYRAZOLE DERIVATIVES |
| FR2687570A1 (en) † | 1992-02-21 | 1993-08-27 | Oreal | COSMETIC COMPOSITION BASED ON NON-IONIC SURFACTANT AGENTS AND CATIONIC OR AMPHOTERIC SUBSTANTIVE POLYMERS AND ITS USE AS A DYE OR DECOLORATION SUPPORT. |
| DE4216381A1 (en) * | 1992-05-18 | 1993-11-25 | Wella Ag | Oxidative hair dye on the basis of a creamy carrier and method for dyeing hair |
| DE4234885A1 (en) | 1992-10-16 | 1994-04-21 | Wella Ag | Process for the preparation of 4,5-diaminopyrazole derivatives, their use for dyeing hair and new pyrazole derivatives |
| DE4234887A1 (en) | 1992-10-16 | 1994-04-21 | Wella Ag | Oxidation hair dye containing 4,5-diaminopyrazole derivatives as well as new 4,5-diaminopyrazole derivatives and process for their preparation |
| DE4333370A1 (en) * | 1993-09-30 | 1995-04-06 | Henkel Kgaa | Hydrogen peroxide preparations |
| DE4440957A1 (en) | 1994-11-17 | 1996-05-23 | Henkel Kgaa | Oxidation dye |
| CA2150596A1 (en) * | 1994-12-16 | 1996-06-17 | Yoshio Tsujino | Oxidation hair dye composition |
| FR2729564B1 (en) * | 1995-01-19 | 1997-02-28 | Oreal | COMPOSITION OF OXIDIZING DYE FOR KERATINIC FIBERS AND DYE PROCESS USING THIS COMPOSITION |
| FR2729565A1 (en) * | 1995-01-20 | 1996-07-26 | Oreal | KERATINIC FIBER OXIDATION DYE COMPOSITION AND DYEING METHOD USING THE SAME |
| FR2733749B1 (en) | 1995-05-05 | 1997-06-13 | Oreal | COMPOSITIONS FOR DYEING KERATINIC FIBERS CONTAINING DIAMINO PYRAZOLES, DYEING PROCESS, NOVEL DIAMINO PYRAZOLES, AND PREPARATION METHOD THEREOF |
| DE19539264C2 (en) | 1995-10-21 | 1998-04-09 | Goldwell Gmbh | Hair Dye |
| DE19543988A1 (en) | 1995-11-25 | 1997-05-28 | Wella Ag | Oxidative hair dye composition |
| FR2750048B1 (en) | 1996-06-21 | 1998-08-14 | Oreal | KERATIN FIBER DYEING COMPOSITIONS CONTAINING PYRAZOLO- (1, 5-A) -PYRIMIDINE DERIVATIVES, DYEING PROCESS, NOVEL PYRAZOLO- (1, 5-A) -PYRIMIDINE DERIVATIVES AND THEIR PREPARATION METHOD |
| FR2753093B1 (en) * | 1996-09-06 | 1998-10-16 | Oreal | COMPOSITION OF OXIDIZING DYE FOR KERATINIC FIBERS CONTAINING AN ANIONIC AMPHIPHILIC POLYMER |
| FR2753094B1 (en) * | 1996-09-06 | 1998-10-16 | Oreal | COMPOSITION OF OXIDIZING DYE FOR KERATINIC FIBERS CONTAINING AN ANIONIC AMPHIPHILIC POLYMER |
| DE19714370A1 (en) * | 1997-04-08 | 1998-10-15 | Henkel Kgaa | Aqueous caring skin and hair treatment products |
| US6015574A (en) * | 1997-06-09 | 2000-01-18 | L'oreal | Lipophilic carrier systems |
| DE19754281A1 (en) * | 1997-12-08 | 1999-06-10 | Henkel Kgaa | Hair dye preparation |
| DE19757509A1 (en) * | 1997-12-23 | 1999-06-24 | Henkel Kgaa | Use of sugar-based surfactants as viscosity regulators |
| US6143286A (en) * | 1998-08-05 | 2000-11-07 | Revlon Consumer Products Corporation | Method for improving the fade resistance of hair and related compositions |
-
1999
- 1999-12-30 FR FR9916760A patent/FR2803196B1/en not_active Expired - Lifetime
-
2000
- 2000-12-11 DE DE60040455T patent/DE60040455D1/en not_active Expired - Lifetime
- 2000-12-11 EP EP00403473.2A patent/EP1142557B2/en not_active Expired - Lifetime
- 2000-12-11 PT PT00403473T patent/PT1142557E/en unknown
- 2000-12-11 AT AT00403473T patent/ATE410205T1/en active
- 2000-12-11 ES ES00403473.2T patent/ES2313876T5/en not_active Expired - Lifetime
- 2000-12-14 AU AU72286/00A patent/AU749404B2/en not_active Ceased
- 2000-12-22 CA CA002330335A patent/CA2330335A1/en not_active Abandoned
- 2000-12-26 BR BRPI0006584-6B1A patent/BR0006584B1/en active IP Right Grant
- 2000-12-27 AR ARP000106935A patent/AR027910A1/en not_active Application Discontinuation
- 2000-12-28 RU RU2000133185/14A patent/RU2207839C2/en not_active IP Right Cessation
- 2000-12-28 PL PL00344850A patent/PL344850A1/en not_active Application Discontinuation
- 2000-12-29 CN CN001373706A patent/CN1308931B/en not_active Expired - Lifetime
- 2000-12-30 KR KR10-2000-0087155A patent/KR100416827B1/en not_active Expired - Fee Related
-
2001
- 2001-01-02 US US09/750,757 patent/US6695887B2/en not_active Expired - Lifetime
- 2001-01-04 JP JP2001000250A patent/JP2001206829A/en active Pending
Cited By (76)
| Publication number | Priority date | Publication date | Assignee | Title |
|---|---|---|---|---|
| US7153331B2 (en) | 2001-12-21 | 2006-12-26 | L'oreal S.A. | Dyeing composition for keratinous fibers comprising an oxyethylene rapeseed fatty acid amide |
| US20130205515A1 (en) * | 2010-05-07 | 2013-08-15 | L'oreal | Ready-to-use cosmetic composition for oxidation dyeing keratin fibers |
| US8628586B2 (en) | 2010-12-07 | 2014-01-14 | L'oreal | Composition comprising an oxidation dye precursor, a polycondensate of ethylene oxide and propylene oxide and a cationic polymer with a charge density of greater than or equal to 4 meq./g |
| US8814951B2 (en) | 2010-12-07 | 2014-08-26 | L'oreal | Oxidation dye composition comprising a polycondensate of ethylene oxide and of propylene oxide, and an unsaturated fatty alcohol |
| US10130568B2 (en) * | 2011-01-10 | 2018-11-20 | L'oreal | Process for dyeing or lightening keratin fibres in two parts, using an oil-rich alkaline direct emulsion based on a solid nonionic surfactant with an HLB ranging from 1.5 to 10 |
| US9044412B2 (en) | 2011-07-05 | 2015-06-02 | L'oreal | Dye composition using a long-chain ether of an alkoxylated fatty alcohol and a cationic polymer, processes and devices using the same |
| US9060944B2 (en) | 2011-07-05 | 2015-06-23 | L'oreal | Cosmetic composition rich in fatty substances comprising a polyoxyalkylenated fatty alcohol ether and a direct dye and/or an oxidation dye, the dyeing method and the device |
| US9066890B2 (en) | 2011-07-05 | 2015-06-30 | L'oreal | Dye composition comprising an alkoxylated fatty alcohol ether and a fatty alcohol |
| US9849071B2 (en) * | 2011-12-19 | 2017-12-26 | L'oreal | Composition for the oxidation dyeing of keratin fibres, comprising particular fatty alcohols, a liquid fatty substance and a cationic polymer |
| US20150082554A1 (en) * | 2012-03-30 | 2015-03-26 | L'oreal | Composition comprising (2,5-diaminophenyl)ethanol, an alkylpolyglucoside nonionic surfactant, an oxyethylenated sorbitan ester or a polyalkoxylated or polyglycerolated fatty alcohol in a medium rich in fatty substances, dyeing process and device therefor |
| US9907743B2 (en) * | 2012-03-30 | 2018-03-06 | L'oreal | Composition comprising (2,5-diaminophenyl)ethanol, an alkylpolyglucoside nonionic surfactant, an oxyethylenated sorbitan ester or a polyalkoxylated or polyglycerolated fatty alcohol in a medium rich in fatty substances, dyeing process and device therefor |
| US20150202125A1 (en) * | 2012-08-02 | 2015-07-23 | L'oreal | Dye composition comprising nonionic guar gum or a nonionic derivative thereof, process and device for the same |
| US10226411B2 (en) * | 2012-08-02 | 2019-03-12 | L'oreal | Dyeing composition comprising a fatty substance, a non-ionic guar gum, an amphoteric surfactant and a non-ionic or anionic surfactant, and an oxidizing agent, dyeing process and suitable device |
| US10201483B2 (en) | 2012-08-02 | 2019-02-12 | L'oreal | Dye composition in cream form comprising at least one oil and little or no solid fatty alcohol, dyeing process and suitable device |
| US10137063B2 (en) * | 2012-08-02 | 2018-11-27 | L'oreal | Dye composition comprising nonionic guar gum or a nonionic derivative thereof, process and device for the same |
| US20150257993A1 (en) * | 2012-08-02 | 2015-09-17 | L'oreal | Dyeing composition comprising a fatty substance, a non-ionic guar gum, an amphoteric surfactant and a non-ionic or anionic surfactant, and an oxidizing agent, dyeing process and suitable device |
| US20150202142A1 (en) * | 2012-08-02 | 2015-07-23 | L'oreal | Dyeing composition comprising at least one fatty substance, at least one oxidizing agent and at least one non-ionic, anionic and amphoteric surfactant |
| US9827185B2 (en) * | 2012-08-02 | 2017-11-28 | L'oreal | Dyeing composition comprising at least one fatty substance, at least one oxidizing agent and at least one non-ionic, anionic and amphoteric surfactant |
| US20150335564A1 (en) * | 2013-01-09 | 2015-11-26 | L'oreal | Dyeing composition free of chemical oxidizing agent, comprising an oxidation dye, an alkyl sulfate, an alkylpolyglycoside, a fatty substance and non-ionic guar gum |
| US9884003B2 (en) | 2013-06-28 | 2018-02-06 | L'oreal | Compositions and methods for treating hair |
| US10864156B2 (en) | 2013-06-28 | 2020-12-15 | L'oreal | Compositions and methods for treating hair |
| US10973752B2 (en) | 2013-06-28 | 2021-04-13 | L'oreal | Compositions for treating hair |
| US10898427B2 (en) | 2013-06-28 | 2021-01-26 | L'oreal | Compositions and methods for treating hair |
| US9788627B2 (en) | 2013-06-28 | 2017-10-17 | L'oreal | Compositions and methods for treating hair |
| US9789051B2 (en) | 2013-06-28 | 2017-10-17 | L'oreal | Compositions and methods for treating hair |
| US9789050B2 (en) | 2013-06-28 | 2017-10-17 | L'oreal | Compositions and methods for treating hair |
| US9795555B2 (en) | 2013-06-28 | 2017-10-24 | L'oreal | Compositions and methods for treating hair |
| US9795556B2 (en) | 2013-06-28 | 2017-10-24 | L'oreal | Compositions and methods for treating hair |
| US10874601B2 (en) | 2013-06-28 | 2020-12-29 | L'oreal | Compositions and methods for treating hair |
| US9801804B2 (en) | 2013-06-28 | 2017-10-31 | L'oreal | Compositions and methods for treating hair |
| US9884004B2 (en) | 2013-06-28 | 2018-02-06 | L'oreal | Compositions and methods for treating hair |
| US10709658B2 (en) | 2013-06-28 | 2020-07-14 | L'oreal | Compositions and methods for treating hair |
| US9884002B2 (en) | 2013-06-28 | 2018-02-06 | L'oreal | Compositions and methods for treating hair |
| US9839600B2 (en) | 2013-06-28 | 2017-12-12 | L'oreal | Compositions and methods for treating hair |
| US20160151263A1 (en) * | 2013-07-19 | 2016-06-02 | L'oreal | Dye composition comprising a particular amphoteric surfactant and a particular thickening polymer |
| US20160151264A1 (en) * | 2013-07-19 | 2016-06-02 | L'oreal | Dye composition comprising a particular amphoteric surfactant and an oxyethylenated amide surfactant or an oxyethylatenated fatty alcohol surfactant comprising less than 10 oe units and mixture thereof dye composition comprising a particular amphoteric surfactant and an oxyethylenated amide surfactant |
| US10098825B2 (en) * | 2013-07-19 | 2018-10-16 | L'oreal | Dye composition comprising a particular amphoteric surfactant and an oxyethylenated amide surfactant or an oxyethylatenated fatty alcohol surfactant comprising less than 10 OE units and mixture thereof |
| CN105377223A (en) * | 2013-07-19 | 2016-03-02 | 莱雅公司 | Dye composition comprising a particular amphoteric surfactant and a sulfate or sulfonate surfactant |
| US10071038B2 (en) * | 2013-07-19 | 2018-09-11 | L'oreal | Dye composition comprising a particular amphoteric surfactant and a particular thickening polymer |
| US9999583B2 (en) * | 2013-07-19 | 2018-06-19 | L'oreal | Dye composition comprising a particular amphoteric surfactant and a sulfate or sulfonate surfactant |
| US20160166486A1 (en) * | 2013-07-19 | 2016-06-16 | L'oreal | Dye composition comprising a particular amphoteric surfactant and a sulfate or sulfonate surfactant |
| US9839596B2 (en) * | 2013-12-19 | 2017-12-12 | Henkel Ag & Co. Kgaa | Oxidation dye with reduced hair damage |
| US20160296452A1 (en) * | 2013-12-19 | 2016-10-13 | Henkel Ag & Co. Kgaa | Oxidation dye with reduced hair damage |
| US9295632B1 (en) * | 2014-12-17 | 2016-03-29 | L'oreal | Compositions comprising latex polymers and methods for altering the color of hair |
| US10179097B2 (en) * | 2014-12-17 | 2019-01-15 | L'oreal | Dye composition comprising a para-phenylenediamine oxidation base and an amphoteric or cationic polymer in a medium rich in fatty substances |
| US10537510B2 (en) | 2014-12-17 | 2020-01-21 | L'oreal | Dye composition comprising a para-phenylenediamine oxidation base and a particular coupler |
| US20170348210A1 (en) * | 2014-12-17 | 2017-12-07 | L'oreal | Dye composition comprising a para-phenylenediamine oxidation base, a polysaccharide thickener in a medium rich in fatty substances |
| US10568821B2 (en) | 2014-12-17 | 2020-02-25 | L'oreal | Dye composition comprising a para-phenylenediamine oxidation base and a heterocyclic oxidation base |
| US11013675B2 (en) | 2014-12-17 | 2021-05-25 | L'oreal | Dye composition comprising a para-phenylenediamine oxidation base and a particular coupler |
| US10314773B2 (en) | 2014-12-17 | 2019-06-11 | L'oreal | Dye composition comprising a para-phenylenediamine oxidation base, a nonionic surfactant in a medium rich in fatty substances |
| US10639254B2 (en) | 2014-12-17 | 2020-05-05 | L'oreal | Dye composition comprising a para-phenylenediamine oxidation base and an additional base |
| US10201484B2 (en) * | 2014-12-17 | 2019-02-12 | L'oreal | Dye composition comprising a para-phenylenediamine oxidation base, a polysaccharide thickener in a medium rich in fatty substances |
| US10130575B2 (en) * | 2014-12-17 | 2018-11-20 | L'oreal | Dye composition comprising a para-phenylenediamine oxidation base, an amphoteric surfactant in a medium rich in fatty substances |
| US10195126B2 (en) | 2014-12-17 | 2019-02-05 | L'oreal | Dye composition comprising a para-phenylenediamine oxidation base and a heterocyclic oxidation base |
| US10195122B2 (en) | 2014-12-19 | 2019-02-05 | L'oreal | Compositions and methods for hair |
| US9814669B2 (en) | 2014-12-19 | 2017-11-14 | L'oreal | Hair cosmetic composition containing latex polymers and a silicone-organic polymer compound |
| US9750678B2 (en) * | 2014-12-19 | 2017-09-05 | L'oreal | Hair coloring compositions comprising latex polymers |
| US9814668B2 (en) | 2014-12-19 | 2017-11-14 | L'oreal | Hair styling compositions comprising latex polymers |
| US9801808B2 (en) | 2014-12-19 | 2017-10-31 | Loreal | Hair styling compositions comprising latex polymers and wax dispersions |
| US10813853B2 (en) | 2014-12-30 | 2020-10-27 | L'oreal | Compositions and methods for hair |
| US10478643B2 (en) * | 2015-04-16 | 2019-11-19 | Kao Germany Gmbh | Hair dyeing composition |
| US20180111011A1 (en) * | 2015-04-16 | 2018-04-26 | Kao Germany Gmbh | Hair dyeing composition |
| US20170165173A1 (en) * | 2015-12-14 | 2017-06-15 | The Procter & Gamble Company | Hair Coloring Composition Comprising One or More Acrylic Compounds |
| US20170165174A1 (en) * | 2015-12-14 | 2017-06-15 | The Procter & Gamble Company | Hair Coloring Composition Comprising One or More Acrylate Monomers |
| US20170172867A1 (en) * | 2015-12-16 | 2017-06-22 | Henkel Ag & Co. Kgaa | Combinations of preservatives for hair dyes |
| US20170172882A1 (en) * | 2015-12-16 | 2017-06-22 | Henkel Ag & Co. Kgaa | Fashionable copper shades in a nonionic base |
| US10034822B2 (en) * | 2015-12-16 | 2018-07-31 | Henkel Ag & Co. Kgaa | Fashionable copper shades in a nonionic base |
| US10328001B2 (en) * | 2015-12-16 | 2019-06-25 | Henkel Ag & Co. Kgaa | Combinations of preservatives for hair dyes |
| US10335353B2 (en) * | 2016-12-19 | 2019-07-02 | Henkel Ag & Co. Kgaa | Cream-type hair coloring agent III |
| US10456334B2 (en) * | 2016-12-19 | 2019-10-29 | Henkel Ag & Co. Kgaa | Cream-type hair coloring agent |
| US10500141B2 (en) * | 2016-12-19 | 2019-12-10 | Henkel Ag & Co. Kgaa | Cream-type hair coloring agent II |
| US20180168946A1 (en) * | 2016-12-19 | 2018-06-21 | Henkel Ag & Co. Kgaa | Cream-type hair coloring agent ii |
| US20180168942A1 (en) * | 2016-12-19 | 2018-06-21 | Henkel Ag & Co. Kgaa | Cream-type hair coloring agent |
| US20180168944A1 (en) * | 2016-12-19 | 2018-06-21 | Henkel Ag & Co. Kgaa | Cream-type hair coloring agent |
| US10335352B2 (en) * | 2016-12-19 | 2019-07-02 | Henkel Ag & Co. Kgaa | Cream-type hair coloring agent |
| US20180168945A1 (en) * | 2016-12-19 | 2018-06-21 | Henkel Ag & Co. Kgaa | Cream-type hair coloring agent iii |
Also Published As
| Publication number | Publication date |
|---|---|
| DE60040455D1 (en) | 2008-11-20 |
| ES2313876T5 (en) | 2017-06-29 |
| US6695887B2 (en) | 2004-02-24 |
| AU749404B2 (en) | 2002-06-27 |
| PL344850A1 (en) | 2001-07-02 |
| PT1142557E (en) | 2009-01-14 |
| CN1308931B (en) | 2012-07-18 |
| ES2313876T3 (en) | 2009-03-16 |
| EP1142557A1 (en) | 2001-10-10 |
| CA2330335A1 (en) | 2001-06-30 |
| AU7228600A (en) | 2001-07-05 |
| CN1308931A (en) | 2001-08-22 |
| FR2803196A1 (en) | 2001-07-06 |
| EP1142557B1 (en) | 2008-10-08 |
| BR0006584A (en) | 2001-07-31 |
| JP2001206829A (en) | 2001-07-31 |
| KR100416827B1 (en) | 2004-02-05 |
| EP1142557B2 (en) | 2017-03-08 |
| RU2207839C2 (en) | 2003-07-10 |
| AR027910A1 (en) | 2003-04-16 |
| ATE410205T1 (en) | 2008-10-15 |
| US20020184717A9 (en) | 2002-12-12 |
| BR0006584B1 (en) | 2013-07-30 |
| FR2803196B1 (en) | 2002-03-15 |
| KR20010062854A (en) | 2001-07-07 |
Similar Documents
| Publication | Publication Date | Title |
|---|---|---|
| US6695887B2 (en) | Compositions for oxidation dyeing keratin fibers comprising at least one fatty alcohol having more than twenty carbon atoms and at least one oxyalkylenated nonionic surfactant with an hlb greater than 5 | |
| US6436151B2 (en) | Compositions for oxidation dyeing keratin fibers comprising at least one oxidation dye, at least one thickening polymer comprising at least one fatty chain, and at least one fatty alcohol comprising more than twenty carbon atoms and uses thereof | |
| US7771492B2 (en) | Compositions for oxidation dyeing keratin fibers comprising at least one thickening polymer comprising at least one fatty chain and at least one fatty alcohol chosen from monoglycerolated fatty alcohols and polyglycerolated fatty alcohols | |
| US7198649B2 (en) | Oxidation dyeing composition for keratinous fibers comprising glycerine and a polyol other than glycerine in a specific ratio | |
| US6800098B1 (en) | Oxidation dye composition for keratinic fibres containing a thickening polymer with an ether plastic skeleton | |
| US7066966B2 (en) | Oxidation dyeing composition for keratin fibers comprising a cationic poly(vinyllactam) | |
| US7402180B2 (en) | Composition for the oxidation dyeing of keratin fibres, comprising at least one fatty alcohol chosen from mono- and polyglycerolated fatty alcohols and a particular polyol | |
| US7364594B2 (en) | Dyeing composition for keratinous fibres comprising an associative polymer and a polymer with acrylamide units, dialkyldiallylammonium halide, and vinylic carboxylic acid | |
| US7172631B2 (en) | Dyeing composition for human keratinous fibers with oxidation dyes and dicationic compounds | |
| US7101405B2 (en) | Oxidation dyeing composition for karatinous fibers comprising a cationic associative polyurethane | |
| US7431740B2 (en) | Oxidation dyeing composition for keratinous fibers comprising an associative polymer and a pearling agent | |
| US20010032368A1 (en) | Dye compositions comprising at least one nonionic compound and uses thereof | |
| US7147672B2 (en) | Oxidation dyeing composition for keratin fibers comprising a cationic poly(vinyllactam) and at least one C10-C14 fatty acid, methods and devices for oxidation dyeing | |
| US7323015B2 (en) | Oxidation dyeing composition for keratin fibers comprising a cationic poly(vinyllactam) and at least One C10-C14 fatty alcohol, methods and devices for oxidation dyeing | |
| US20040133993A1 (en) | Oxidation dyeing composition for keratin fibers comprising a cationic poly(vinyllactam) and at least one oxidation dye in the form of a sulphate ion | |
| JP2004149539A (en) | Oxidative dyeing composition for keratin fibers containing cationic poly (vinyl lactam) and at least one C10 to C14 fatty acid, oxidation dyeing method and apparatus | |
| US7695526B2 (en) | Composition for the oxidation dyeing of keratin fibers, comprising, at least one oxidation dye, at least one fatty alcohol, at least one associative polymer, and at least one C14-C30 alkyl sulphate | |
| US7060107B2 (en) | Compositions for oxidation dyeing keratin fibers comprising at least two particular quaternary polyammoniums and uses thereof |
Legal Events
| Date | Code | Title | Description |
|---|---|---|---|
| AS | Assignment |
Owner name: L'OREAL S.A., FRANCE Free format text: ASSIGNMENT OF ASSIGNORS INTEREST;ASSIGNORS:COTTARD, FRANCOIS;RONDEAU, CHRISTINE;REEL/FRAME:011710/0570;SIGNING DATES FROM 20010119 TO 20010205 Owner name: L'OREAL S.A., FRANCE Free format text: ASSIGNMENT OF ASSIGNORS INTEREST;ASSIGNORS:COTTARD, FRANCOIS;RONDEAU, CHRISTINE;SIGNING DATES FROM 20010119 TO 20010205;REEL/FRAME:011710/0570 |
|
| FEPP | Fee payment procedure |
Free format text: PAYER NUMBER DE-ASSIGNED (ORIGINAL EVENT CODE: RMPN); ENTITY STATUS OF PATENT OWNER: LARGE ENTITY Free format text: PAYOR NUMBER ASSIGNED (ORIGINAL EVENT CODE: ASPN); ENTITY STATUS OF PATENT OWNER: LARGE ENTITY |
|
| STCF | Information on status: patent grant |
Free format text: PATENTED CASE |
|
| CC | Certificate of correction | ||
| FPAY | Fee payment |
Year of fee payment: 4 |
|
| FPAY | Fee payment |
Year of fee payment: 8 |
|
| FPAY | Fee payment |
Year of fee payment: 12 |



























