US20010006191A1 - Detecting bar code candidates - Google Patents
Detecting bar code candidates Download PDFInfo
- Publication number
- US20010006191A1 US20010006191A1 US09/792,901 US79290101A US2001006191A1 US 20010006191 A1 US20010006191 A1 US 20010006191A1 US 79290101 A US79290101 A US 79290101A US 2001006191 A1 US2001006191 A1 US 2001006191A1
- Authority
- US
- United States
- Prior art keywords
- orientation
- bar code
- determining
- barcode
- block
- Prior art date
- Legal status (The legal status is an assumption and is not a legal conclusion. Google has not performed a legal analysis and makes no representation as to the accuracy of the status listed.)
- Granted
Links
Images
Classifications
-
- G—PHYSICS
- G06—COMPUTING OR CALCULATING; COUNTING
- G06K—GRAPHICAL DATA READING; PRESENTATION OF DATA; RECORD CARRIERS; HANDLING RECORD CARRIERS
- G06K7/00—Methods or arrangements for sensing record carriers, e.g. for reading patterns
- G06K7/10—Methods or arrangements for sensing record carriers, e.g. for reading patterns by electromagnetic radiation, e.g. optical sensing; by corpuscular radiation
- G06K7/14—Methods or arrangements for sensing record carriers, e.g. for reading patterns by electromagnetic radiation, e.g. optical sensing; by corpuscular radiation using light without selection of wavelength, e.g. sensing reflected white light
- G06K7/1404—Methods for optical code recognition
- G06K7/1439—Methods for optical code recognition including a method step for retrieval of the optical code
- G06K7/1443—Methods for optical code recognition including a method step for retrieval of the optical code locating of the code in an image
-
- G—PHYSICS
- G06—COMPUTING OR CALCULATING; COUNTING
- G06K—GRAPHICAL DATA READING; PRESENTATION OF DATA; RECORD CARRIERS; HANDLING RECORD CARRIERS
- G06K7/00—Methods or arrangements for sensing record carriers, e.g. for reading patterns
- G06K7/10—Methods or arrangements for sensing record carriers, e.g. for reading patterns by electromagnetic radiation, e.g. optical sensing; by corpuscular radiation
- G06K7/14—Methods or arrangements for sensing record carriers, e.g. for reading patterns by electromagnetic radiation, e.g. optical sensing; by corpuscular radiation using light without selection of wavelength, e.g. sensing reflected white light
-
- G—PHYSICS
- G06—COMPUTING OR CALCULATING; COUNTING
- G06K—GRAPHICAL DATA READING; PRESENTATION OF DATA; RECORD CARRIERS; HANDLING RECORD CARRIERS
- G06K7/00—Methods or arrangements for sensing record carriers, e.g. for reading patterns
- G06K7/10—Methods or arrangements for sensing record carriers, e.g. for reading patterns by electromagnetic radiation, e.g. optical sensing; by corpuscular radiation
- G06K7/14—Methods or arrangements for sensing record carriers, e.g. for reading patterns by electromagnetic radiation, e.g. optical sensing; by corpuscular radiation using light without selection of wavelength, e.g. sensing reflected white light
- G06K7/1404—Methods for optical code recognition
- G06K7/1439—Methods for optical code recognition including a method step for retrieval of the optical code
- G06K7/1456—Methods for optical code recognition including a method step for retrieval of the optical code determining the orientation of the optical code with respect to the reader and correcting therefore
Definitions
- the present invention generally relates to a system and method for acquiring an image in the form of coded information symbols. More particularly, the present invention relates to a system and method for locating and decoding barcode symbols which may be partially obscured, poorly printed or contaminated.
- Barcode symbols are formed from bars or elements that are typically rectangular in shape with a variety of possible widths.
- the specific arrangement of elements defines a character according to a set of rules specified by the code or “symbology” used.
- a collection of element arrangements are concatenated to form a complete barcode symbol, with each character of the message being represented by a unique group of elements.
- a unique “start” and “stop” character is also used to indicate where the barcode symbol begins and ends respectively.
- Various optical readers and optical scanning systems have been developed for acquiring an image, such as a barcode symbol, appearing on the surface of an article and for reading and decoding the acquired barcode symbol.
- Scanning systems typically include a laser light source to illuminate the barcode symbol and a photodetector to detect light reflected from the symbol.
- Another common type of optical scanner incorporates a non-laser light source and a charge coupled device (CCD) detector. A portion of the light which is reflected off the symbol is detected by the CCD detector and converted into an electrical signal which provides a digital image of the barcode symbol that has been scanned. The digital image is then processed and decoded according to the specific barcode symbology used.
- CCD charge coupled device
- barcode symbols can be easily read in ideal conditions, such as when the barcode symbol is stationary, clearly visible and without flaws.
- a barcode symbol is located on an object moving at a high speed, narrow bars and spaces cannot be easily located. Smearing of bars may result from low resolution imaging or high-speed motion of the barcode symbol in relation to the scanner. Extraneous markings or other contaminants may also partially obscure the barcode symbol.
- the present invention is an apparatus and method for high speed acquisition, location and decoding of a barcode symbol.
- the system locates a series of potential barcode candidates within a scanned image and filters the candidates to eliminate invalid data. This approach allows computational resources to be focused on decoding the information most likely to be an actual barcode symbol.
- a potential barcode candidate Once a potential barcode candidate has been located, the barcode symbol is processed to determine the barcode symbol orientation and symbology. The elements within the barcode symbol are then detected and the barcode symbol is decoded in accordance with the specific symbology.
- FIG. 1 is a barcode scanner made in accordance with the present invention
- FIGS. 2A and 2B are flow diagrams of the barcode symbol locating procedure in accordance with the present invention.
- FIGS. 2 C- 2 F illustrates the tracing method in accordance with the present invention
- FIG. 2G shows the procedure for skipping to the end of a bar code to avoid speaker reflection
- FIG. 2H is a flow diagram of the procedure for determining the difference between two-and multi-width barcode symbols
- FIG. 3 shows the equally sized image blocks created by the horizontal and vertical grid lines
- FIG. 4 is an enlarged view of a trigger line
- FIG. 5 is a diagram of the data from the trigger line
- FIG. 6 illustrates selection of a neighboring scan line and comparison to the trigger line
- FIGS. 7A and 7B are flow diagrams of the preferred method of decoding a barcode symbol in accordance with the present invention.
- FIG. 8 is a flow diagram of procedure for finding the peaks and valleys of the scan line data
- FIG. 9 illustrates peaks and valleys
- FIG. 10 is a diagram of the dynamic range of the data in a trigger line
- FIGS. 11 A- 11 C are examples of the start of a barcode symbol
- FIG. 12 is a flow diagram of the determination of the number of wide bars and wide spaces
- FIGS. 13A and 13B are flow diagrams of the method of determining the orientation of a barcode symbol
- FIG. 14 is a flow diagram of the method for determining the number of wide bars and wide spaces in accordance with the present invention.
- FIGS. 15A and 15B are flow diagrams of a method for processing barcode symbol information in accordance with the present invention.
- FIG. 16A is a gray scale image of barcode symbol having a plurality of unreadable regions
- FIG. 16B is a plot of the gray scale amplitude from a selected scan line before sorting
- FIG. 16C is the gray scale image of FIG. 16A after sorting
- FIG. 16D is a plot of the gray scale amplitude from the scan line of FIG. 16B after sorting
- FIG. 16E shows aliasing which occurs due to pixel misalignment
- FIG. 17 is a flow diagram of an alternative method for locating barcode symbols in accordance with the present invention.
- FIG. 18A is an imposter after color blob analysis
- FIG. 18B is a valid barcode symbol after color analysis
- FIG. 19 is a method of decoding a Code 128 barcode symbology
- FIG. 20 is a plot of the gray scale amplitude from a multi-width barcode symbol.
- FIG. 21 shows gray scale composition in accordance with the present invention.
- the scanning system 10 comprises a light source 12 which illuminates a subject barcode symbol 18 .
- Light reflected from the barcode symbol 18 is detected by a photo-sensitive detector 20 .
- the detector 20 produces an electrical signal representative of the light reflected from the barcode symbol 18 which is output to the processor 22 .
- the processor 22 decodes the signal and forwards the resulting information, which corresponds to the information encoded in the barcode symbol 18 to an output means 24 .
- the output means 24 may be a printer, a CRT or an information system as is well known by those skilled in the art.
- the scanning system 10 shown in FIG. 1 may be embodied in a mobile hand-held unit, or may be a stationary unit wherein an object carrying the barcode symbol 18 is passed under the light source 12 either manually or via a conveyor.
- the detector 20 is a charge coupled device (CCD) one dimensional array (line) detector which detects and stores an electronic image of the barcode symbol 18 . Additional detail regarding the scanning system 10 may be obtained with reference to currently pending U.S. patent application Ser. No. (Not Yet Known) filed on Feb. 23, 1996 entitled “HIGH SPEED IMAGING APPARATUS FOR CCD BASED SCANNERS”, assigned to the present assignee.
- the scanning system 10 utilizes a two step approach to decoding barcode symbols: 1) locating valid barcode candidates on an object; and 2) determining the type of barcode symbology which has been detected and decoding the barcode symbol in accordance with that symbology
- the system 10 performs a barcode symbol locating procedure 40 as shown.
- Light reflected from the barcode symbol 18 is detected by an array of light sensitive pixels within the CCD detector 20 , thus creating an electronic image of the barcode symbol 18 .
- Each pixel has a specific gray scale value which represents the amount of light detected by the pixel.
- the image is divided (step 42 ) into a grid having equally sized image blocks 74 .
- the size of the blocks 74 depend on the height of the barcode symbol 18 and on the resolution of the image.
- the equally sized image blocks 74 are created by horizontal grid lines 70 and vertical grid lines 72 .
- the pixel array is 4096 by 1024 pixels and the horizontal and vertical grid lines 70 , 72 are thirty-two pixels apart in the vertical and horizontal direction respectively.
- the system 10 begins searching for the barcode symbol by performing a series of grid line analyses.
- the horizontal grid lines (in a “picket fence” orientation) and vertical grid lines (in a “ladder” orientation) are analyzed to determine if a potential barcode candidate exists (step 43 ).
- a first grid line, called a “trigger line”, for example, line 78 in FIGS. 3 and 4, is selected (step 44 ).
- the trigger line 78 is in the middle of the grid.
- the trigger line 78 is analyzed for potential barcode candidates (step 46 ) by seeking for a transition pattern along the trigger line 78 (skipping every other pixel to increase the speed).
- a transition pattern is defined as two successively chosen pixels having a gray scale magnitude difference of at least (out of 255 gray scale levels).
- the transition pattern must have a quiet zone of a minimum number of pixels followed by a “threshold” number of transitions within the selected length of pixels, such as at the beginning of a barcode symbol, or a threshold number of transitions within selected length of pixels followed by quiet zone, such as at the end of a barcode symbol.
- the selected length of pixels is 140 in the vertical direction and 90 in the horizontal direction
- the threshold number of transitions is 16
- the threshold quiet zone is a minimum of 20 pixels.
- Successful barcode candidate locations comprising grid line and pixel coordinates are queued in a barcode candidate list.
- the sign (positive or negative) of the candidate position indicates whether the quiet zone of the candidate appeared prior to the transitions, indicating the beginning of a barcode symbol, or after the transitions, indicating the end of the barcode symbol.
- the candidates are filtered (step 48 ) to eliminate illegal candidates.
- the system 10 analyzes a predetermined number of pixels along the trigger line 78 , as shown in FIG. 5, and determines whether a threshold number of bars and spaces are present within that region.
- the threshold is two bars and two spaces in a region 65 pixels long. However, the threshold is dependent upon the specific application.
- the system 10 determines the number of bars and spaces by analyzing the region and determining black and white thresholds utilizing the following equations:
- a bar is defined when successive pixels have a gray scale value less than the black level threshold and the number of pixels is greater than a predetermined minimum width.
- a space is defined when successive pixels have a gray scale value greater than the white level and the width is greater than a predetermined minimum width.
- the number of bars and spaces in the region is then determined. If any bar is wider than the maximum width, the region fails because a wide bar in a barcode symbol cannot be greater than the maximum width. Although similar reasoning can be applied to a space, specular light reflection may “wash out” the CCD detector 20 in certain regions, thereby causing the detector 20 to interpret these washed out regions as spaces that are too wide. Accordingly, in the preferred embodiment, the width of spaces is not used to filter out potential candidates. Once the number of bars and spaces has been determined, it is compared to a threshold number. Any barcode candidate having less than the threshold number bars and spaces is discarded.
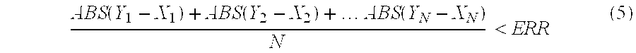
- a verification is performed by matching pixels in adjacent scan lines to pixels in the trigger line 78 (step 50 ).
- the system 10 selects a neighboring scan line, for example line 98 in FIG. 6, that is a predetermined number of scans away from the trigger line 78 ; preferably eight pixels from the trigger line 78 .
- the system 10 begins the matching process by collecting pixels starting at point Z 1 , which is an offset of approximately 12 pixels to left of X 1 .
- the first transition, a gray scale difference of 20, is identified at Y 1 .
- Gray scale values of 40 pixels to the right of Y 1 are then collected (Y 1 . . . Y 40 ) and compared with gray values of 40 pixels to right of X 1 (X 1 . . . X 40 ).
- the mean of the absolute value of the difference is calculated using:
- the candidate has passed the matching test. If the adjacent scan line 98 fails to match the trigger line 78 , a second scan line 100 on the other side of the trigger line 78 is selected. If this second scan line 100 fails the matching test (step 50 ), the candidate is rejected.
- barcode candidates have been selected and confirmed as the beginning of a detected barcode symbol 18 .
- the system 10 must then analyze the first wide bar to ensure that the bar is not too tall, too short and also that the bar does not curve (step 52 ).
- the leading edge of the bar is traced to the top of the bar and to the bottom of the bar to define the first two corners of the barcode symbol.
- the tracing procedure will be described with reference to FIGS. 2 C- 2 F.
- the height is compared to a predetermined threshold to determine whether the bar is too tall or too short.
- the system 10 begins tracing the detected bar at point 1.
- the initial direction of travel depends upon whether the barcode candidate was located from the horizontal search or the vertical search and on sign of the barcode candidate. For example, consider a horizontal candidate with a negative sign.
- the system 10 starts at point 1, which is in a quiet zone, and traverses from the quiet zone to the detected bar in direction DR0, as shown in the mapping table in FIG. 2D.
- the system 10 To trace and determine the two end points of a bar element, the system 10 must travel in the clockwise (DR0, DR7, . . . DR1) and counter-clockwise (DR0, DR1, . . . DR7) directions.
- the system 10 initially moves in direction DR0 and detects a black pixel at point 2, a pixel having a gray scale value less than the black level threshold of Equation 3. Initially, the system 10 travels in the counter-clockwise direction. If the current pixel is a black pixel, the system 10 continues searching for a white pixel by incrementing the direction number to DR1. Accordingly, the system 10 will be at point 3, which is a white pixel.
- the gray scale value and coordinates of each pixel are stored in a buffer.
- the direction number is then remapped based on the table shown in FIG. 2E.
- the new direction number is DR6 since the last direction was DR1.
- the system 10 then traverses from point 3 to point 4. As soon as five points are stored in the buffer, the direction of a reference vector is calculated. For all other points traced, the system 10 calculates a vector direction. If the vector direction diverts from the reference vector by an error threshold, the third to the last point stored in the buffer is selected and marked as one of the corners.
- the opposite end of the barcode element is found by tracing the element using the same procedure as described above, however, the system 10 moves in a clockwise direction using the mapping table shown in FIG. 2F. After the edge has been traced, the system 10 stores the coordinates of the first two corners of the barcode symbol for later use.
- the system 10 initiates a search for the opposite end of the barcode symbol (step 54 ).
- the coordinates of a line perpendicular to the first edge are calculated and the system 10 moves along that perpendicular line while searching for another quiet zone. If a quiet zone has not been found within a reasonable distance, the barcode candidate is eliminated.
- the distance may be predetermined or may be based upon the height of the first bar, thereby maintaining a preset height-to-width aspect ratio.
- the second edge is traced to detect height and curvature (step 52 ).
- the length of the barcode symbol is then checked (step 56 ) to ensure that it is within an expected value and the coordinates of the second two corners are stored.
- point “1” may falsely appear as a quiet zone.
- the system 10 may skip to point “2” along the scan line to search for the last bar (c′ d′). In this example, the last bar (c′ d′) will not be detected and steps 52 and 54 will fail.
- the barcode symbol area (a′ b′ c′ d′) can be artificially bounded.
- Step 50 may be performed on the last bar to confirm whether it is a valid barcode.
- a “bounding box” is determined, whereby the coordinates of the four corners of a barcode symbol are stored for later use.
- the system 10 must determine whether a two-width or a multi-width barcode has been located since the subsequent decoding steps will be dependent upon the type (two-or multi-width) of barcode that has been detected.
- a multi-width barcode symbology is defined as any symbology having greater than two different width elements.
- step 60 the procedure for determining whether the code is a two-width or a multi-width code is shown.
- the system 10 extracts data corresponding to the start/stop characters of the barcode symbol (step 61 ) This encompasses approximately forty pixels at the beginning and forty pixels at the end of the barcode symbol.
- the width of each bar and space is calculated (step 62 ) and the system 10 determines whether the symbology is Code 128 (step 63 ), PDF 417 (step 65 ) or some other type of multi-width symbology (step 67 ).
- the barcode candidate is a multi-width symbology, it is processed in accordance with its respective symbology (steps 64 , 66 , 68 ). If the candidate fails all of the multi-width symbology tests, it is assumed that the detected barcode symbol is a two-width code.
- each candidate is decoded as will be explained in greater detail hereinafter. It will be appreciated by skilled artisans that several barcode labels are often located on a single object. To locate vertical barcodes in a ladder orientation the system 10 proceeds to perform a vertical grid line analysis (step 59 ) in the same manner as the horizontal grid line analysis was performed (step 43 ). The present invention will be able to simultaneously locate the coordinates of a plurality of barcode labels on an object.
- the system 10 extracts the coordinates of the barcode symbol and associated data from the image buffer (step 200 ).
- the image buffer includes location coordinates and gray scale data for the area of interest which approximates an electronic image of the barcode symbol in pixel format.
- the system 10 copies gray scale values for pixels of each scan line into a separate portion of memory for processing as needed (step 202 ).
- the peaks and valleys of the line data are found (step 204 ) and the exact start and stop location of the barcode symbol is determined (step 206 ).
- the number of wide bars and wide spaces are detected (step 208 ) in order to specify the type of barcode symbology which is being used in the detected barcode symbol.
- the barcode symbol information is then processed (step 210 ) in accordance with the type of symbology which has been determined in step 208 .
- the system 10 outputs a signal that the barcode symbol was successfully read (step 214 ) and the system 10 returns to the barcode symbol location procedure.
- step 212 If processing of the barcode symbol has not been confirmed (step 212 ), an analysis of up to ten scan lines (step 216 ) is repeated. If no confirmation of the barcode symbol is made after ten attempts (step 216 ), the data is reorganized (step 220 ) and five more attempts to decode the barcode symbol are made (step 222 ). Once a total of fifteen attempts have been made to decode and confirm the barcode symbol without success (step 222 ), a “no read” signal is returned to the operator (step 224 ) and the barcode candidate is discarded. It should be recognized by those skilled in the art that the number of attempts could be a parameter set by the operator depending upon the application.
- Peaks and valleys are defined as portions of the barcode symbol data which have a first derivative of zero and thus no slope. Portions of the barcode symbol that have been determined to be peaks are given a positive (+) identifier and values that have been determined to be valleys are given a negative ( ⁇ ) identifier as shown in FIG. 9.
- the system 10 determines whether a point is a peak or a valley by calculating first and second derivatives.
- a point has a first derivative equal to zero and a second derivative less than zero, the point is classified as a peak. If a point has a first derivative equal to zero and a second derivative greater than zero, the point is classified as a valley. Essentially, if neighboring pixels of pixel x have values less than pixel x, pixel x is a peak. If the neighboring pixels of pixel x have values greater than pixel x. pixel x is a valley.
- the system 10 then calculates threshold levels (step 204 B) for comparison to the transition from one peak/valley to the next peak/valley.
- the thresholds are dependent upon the location of the transition within the dynamic range of the barcode symbol data.
- the dynamic range for an illustrative barcode symbol is shown in FIG. 10. The dynamic range is calculated at the beginning of each scan line and then segmented into five distinct regions. Near the middle of the dynamic range 300 , the threshold is fixed at a “low” value. Located above and below the middle of the dynamic range are two regions of the dynamic range wherein a variable threshold 302 , 304 is calculated. At the upper and lower limits of the dynamic range 306 , 308 , the threshold is fixed at a “high” value.
- the system 10 has an 8 bit gray scale resolution resulting in 256 available gray scale levels (0-255). With 8 bit resolution, the threshold in the middle of the dynamic range 300 is fixed. For the portion of the dynamic range, when a variable threshold 302 , 304 is calculated, a linear approximation is performed.
- a variable threshold 302 , 304 is calculated, a linear approximation is performed.
- the threshold is fixed at a minimum threshold of 5.
- the threshold at the upper and lower limits of the dynamic range 306 , 308 is fixed at 20 gray scale levels.
- Noise is greater at higher and lower gray scale levels due to variations in printing and reflection characteristics of a label. Noise in the middle of the gray scale, typically caused by thermal (CCD noise), is significantly lower. Specular reflection and other variations greatly effect the barcode symbol data at the upper and lower limits of the dynamic range. These variable thresholds are effective in distinguishing a valid barcode symbol transition from noise and specular reflections.
- step 204 C if the transition value is greater than the calculated threshold (step 204 C), the data is stored (step 204 D) and the next pixel is analyzed (step 204 E). If the transition value is smaller than the calculated threshold (step 204 C), then the system 10 proceeds directly to the next pixel (step 204 E). Once the end of the scan line data has been reached (step 204 F) the routine is exited (step 204 G).
- step 206 shown in FIG. 7A The method of locating the edges of the barcode symbol (step 206 shown in FIG. 7A) will now be described in detail with reference to FIGS. 11 A-C.
- the system 10 searches for the first wide bar and the quiet zone. This provides a region of interest in which computational resources are focused on a detailed analysis. Typically, narrow bars and spaces will be present between the quiet zone and the first wide bar.
- the system 10 calculates the slope, or first derivative, for every two pixels between the quiet zone and the first wide bar.
- first derivative approaches zero, or a plateau is present, a narrow bar has been detected. This is shown in FIGS. 11 A-C.
- FIG. 11A a narrow bar 153 is clearly present between the quiet zone and the first wide bar 152 .
- FIGS. 11B and 11C although a clear plateau is not detected, the slight slope indicates that a narrow bar 156 , 161 is present.
- step 208 of FIG. 7A The determination of the number of wide bars and wide spaces (step 208 of FIG. 7A), will be explained in greater detail with reference to FIG. 12.
- the system 10 first finds a reference wide bar/space and narrow bar/space (step 300 A).
- a region of the scan line data which encompasses the first sixteen peaks and valleys is analyzed to determine the dynamic range and the highest and lowest values of the data.
- the highest value and lowest value are discarded and the second to the highest peak is marked as a reference wide space and the second to the lowest valley is marked as a reference wide bar.
- the reference narrow bar and space are initially set to be equal to the average value of peaks and valleys.
- step 300 B The system 10 subsequently analyzes each peak and valley (step 300 B) If the transition is a peak (or a space) the system 10 proceeds to step 300 C to determine whether the peak is closer to a reference wide space or narrow space. If the peak is closer to a reference wide space, it is designated to be a wide space (step 300 D) and the reference wide space is updated (step 300 E) by averaging the reference wide space with the current wide space. This provides a weighted average of the wide spaces. The counter is then incremented at step 300 H. If the peak is closer to a narrow space (step 300 C) the counter is incremented (step 300 H).
- step 300 B determines whether the valley (or bar) is closer to a reference wide bar or narrow bar (step 300 M). If the valley is closer to the reference wide bar, the distance D1 from the wide bar to the end of the barcode symbol (step 300 G) is measured. This procedure is repeated (step 3001 ) for the opposite end of the barcode symbol to obtain the distance from the first wide bar D2 to the end of the barcode symbol. Once both ends of the barcode symbol have been analyzed (step 300 N) the system 10 determines whether the orientation is forward or backward ( 300 J).
- the first wide bar is further from the beginning of the barcode symbol than the last wide bar is to the end of the barcode symbol. Accordingly, if D1 is greater than D2, the orientation of the barcode symbol is forward (step 300 K), whereas if D2 is greater than D1 than the orientation of the barcode symbol is reverse (step 300 L).
- the system 10 determines the number of wide bars and wide spaces (step 302 ) using the process shown in FIG. 14. This procedure is similar to the procedure shown in FIG. 13, however, the system 10 analyzes every bar and space to determine whether the bar and space is narrow or wide.
- the system 10 determines the type of barcode symbology being used. If the number of wide spaces is approximately equal to the number of wide bars (step 304 ) the barcode symbology is Interleaved 2 of 5 (step 306 ) If the number of wide spaces is approximately equal to one-half ( ⁇ fraction (1/2) ⁇ ) the number of wide bars (step 308 ) the barcode symbology is Code 39 (step 310 ). If the number of wide spaces is approximately two times the number of wide bars (step 312 ), the barcode symbology is Codabar (step 314 ).
- the barcode symbol is then processed (step 318 ) in accordance with the symbology. If the barcode symbol which has been detected fails all of the tests (steps 304 , 308 and 312 ), then the symbology is unknown (step 316 ). It will be appreciated by those skilled in the art that additional tests may be included to detect (step 315 ) and decode (step 317 ) other types of barcode symbologies.
- the barcode symbol information is processed in accordance with the rules of construction for the type of symbology 210 . This is shown in greater detail in FIGS. 15A and 15B.
- a simple decode procedure is initiated (step 600 )
- the system 10 determines whether the number of peaks and valleys in the line scan data is equal to the expected number of peaks and valleys for the particular symbology.
- the number of characters in the barcode symbol is determined by counting the number of wide bars and spaces as follows: If the code is code I2 of 5 then the number of characters is equal to the number of wide spaces or one less than the number of wide bars. For Code 39, the number of characters is equal to the number of wide spaces, or half the number of wide bars minus one (WB/2 ⁇ 1). For Codabar, the number of characters is equal to the number of wide bars. It should be appreciated that the number of Code 39 characters includes start and stop characters.
- the scan line data is divided into segments (step 604 ).
- the highest peaks are designated as wide spaces and the lowest valleys are designated as wide bars with the remainder of the elements designated as narrow elements (step 606 ).
- Each character, or character pair, is then decoded (step 608 ) which completes processing of the barcode symbol (step 405 ).
- step 602 If it has been determined (step 602 ) that the number of peaks and valleys is not equal to the expected number of peaks and valleys for that particular symbology, (step 602 ) then a more detailed decoding procedure as shown in FIG. 15B is required. First, the entire scan line is divided into character segments and the highest peaks are designated as reference wide spaces and the lowest valleys are designated as reference wide bars (step 401 ). The system 10 then measures the distance between the wide elements and calculates the number of narrow elements that should be located between the wide elements (step 402 ). The measurement of the distance-may be adjusted based on symbology characteristics. For example, at the boundary between two characters, it may initially be unclear whether a wide bar or space pertains to the first character or the second character.
- the present procedure permits a decoding attempt of the first character by using one or more of the wide elements located within the border region. If the attempt is unsuccessful, the wide elements may be associated with the second character in attempting a decoding of the second character.
- the system 10 then decodes the character, or character pair if the particular symbology requires decoding of pairs (step 403 ). Once all of the characters have been processed (step 404 ) the barcode symbol has been decoded.
- the processing of the barcode symbol must then be confirmed (step 212 ) as shown in FIG. 7A.
- the confirmation of the processing of the barcode symbol comprises comparing the decoding of a subsequent scan line with an earlier scan line to determine if they are the same.
- the confirmation threshold may be set as desired by the operator for “two out of three” or “three out of four” scan lines that match.
- the barcode symbol has not been confirmed after ten passes (step 216 ) the data is reorganized for specular preprocessing (step 220 ). This process (step 220 ) will be described hereinafter with reference to FIGS. 16 A- 16 C.
- Step 220 may be either a primary or a secondary operation. For example, if specular reflection is anticipated on packages to be scanned, the system 10 may proceed directly to step 220 after enough scans have been acquired.
- FIG. 16A a gray scale image of a barcode symbol 700 having a plurality of unreadable regions 702 , 704 , 706 , 708 is shown.
- the system 10 will be unable to obtain a completely readable confirm scan line due to the unreadable regions 702 , 704 , 706 , 708 .
- the regions 702 , 704 , 706 , 708 may be caused by specular reflections 704 , 706 , 708 that wash out the CCD detector 20 or may be contaminants or markings 702 located on the barcode symbol 700 .
- a region of interest 703 showing a plurality of scan lines 705 will be discussed hereinafter.
- FIG. 16B a plot of the gray scale amplitude for scan line number 5 in the area of interest 703 is shown.
- the specular reflection and dark markings upon the barcode symbol 700 create large differences in the gray scale values of the pixels along the scan line. As shown in Table 1, specular reflection causes the gray scale values of selective pixels to be extremely high. Likewise, black marks upon the barcode symbol 700 cause the gray scale values to be extremely low. This may lead to errors in decoding the barcode symbol 700 .
- the data is reorganized so that the decoding of the barcode symbol 700 may be performed.
- the pixels in each column are sorted such that the largest value in each column appears in the top row and the smallest value appears in the bottom row.
- the portions of the image due to specular reflection float to the top and the portions of the image due to dark markings sink to the bottom.
- the center rows contain data which is most likely to be correctly representative of a complete barcode symbol. Sorting of the data acts as a low-pass filter on the image due to the low resolution of the CCD pixel grid utilized to acquire the image and slight alignment irregularities.
- FIG. 16C A gray scale image which has been sorted in accordance with the present invention is shown in FIG. 16C. It can clearly be seen that the higher (and thus brighter) gray scale values are located at the top of the gray scale image and the lower (and thus darker) values are located at the bottom of the image 709 . The middle portion of the image 709 contains accurate information which is representative of the barcode symbol.
- the gray scale values associated with the sorted image 709 are shown in Table 2.
- FIG. 16D a plot along scan line 5 after sorting of the data associated with each pixel is shown. The sorting process normalizes the data by eliminating the excessive peaks and valleys which are most likely not representative of the actual barcode symbol.
- Sorting of the pixels also removes the effects of pixel aliasing.
- the gray scale value is a function of the pixel alignment on the barcode image. Aliasing occurs when the CCD pixels are misaligned with respect to the bars and spaces. For example, as shown in FIG. 16E, if the pixels are misaligned with the space, a lower amplitude pulse will be obtained. However, if the pixels are correctly aligned a higher, squarer pulse output will be obtained. Sorting the pixel values normalizes the inconsistencies such that similar width elements in a scan line have similar gray values. Once the effects of aliasing are removed, subsequent gray scale composition analysis can be performed on any multi-width element codes to determine the encoded information. Gray scale composition analysis will be described in detail hereinafter with reference to FIG. 19 (step 914 ).
- step 800 an alternate method for locating barcode symbols in accordance with the present invention is shown.
- the image buffer is copied into memory for analysis (step 802 ).
- the image is binarized (step 804 ) whereby pixels having a gray scale value greater than the threshold limit are designated as white and those having a gray scale value less than the threshold are designated as black.
- the image is divided into a grid (step 806 ) wherein horizontal and vertical lines are placed throughout the image.
- the grid lines are evenly spaced in both directions (e.g., every 32 pixels in the horizontal and vertical directions), but it is not essential that blocks are square.
- the system 10 searches for a transition near the center of each grid element (step 808 ).
- the objective is to locate the longest spanning line in the block to eliminate noise caused by contaminants and other extraneous marks on the barcode symbol.
- the block is divided by placing “cross hairs” on the center of the block. Starting from the center of the cross hairs and moving outward, the system 10 searches for the first transition (black-to-white or white-to-black) within the block. If no transitions are found (step 810 ) in either of the horizontal or vertical direction, the block is considered to contain no spanning line. For faster processing, the system 10 may only consider transitions near the center of the cross hairs. If no transition is found, a new grid block is selected (step 812 ) and the search for a transition (step 808 ) begins again.
- a transition is found (step 810 ) the edge of the transition must be traced.
- two things may take place: 1) the edge will eventually reach the edge of the grid block; or 2) the edge will wrap around on itself to the same point as the starting point. If the edge does wrap around (step 816 ) that the grid block is considered to have no spanning lines and a new grid block is examined (step 812 ).
- the system 10 must then determine if the edge exceeds the maximum number of pixels along a straight line between the initial transition and the furthest grid element edge. If the maximum number of pixels has been exceeded before reaching the edge of a block (step 818 ), the search can be terminated since the transition edge can not lead to a spanning line. Using the maximum pixel count will eliminate wandering transition edges that eventually reach the edge of a block, for example, a spiral.
- the system 10 returns to the initial transition and traces the edge in the opposite direction (step 822 ). If a trace of the opposite direction fails to reach the block edge within the maximum number of pixels, the block is considered to contain no spanning line.
- a series of tests is performed to confirm that the line is a true spanning line. First, the system 10 determines whether both ends of the spanning line reach the same side of the block (step 824 ). If so, the spanning line is invalid. Next, the system 10 determines whether the entire spanning line exceeds the maximum number of pixels (step 826 ). If not, the spanning line has been confirmed as a valid spanning line (step 830 ).
- each spanning line may be determined by using the slope formed by the end points of each traced edge.
- the orientation of a line is the angle of that particular line.
- the oriented blocks must then be clustered into barcode candidates. In a typical situation, most of the blocks will have no spanning lines. The blocks with no spanning lines will have no orientation. The blocks from a valid barcode candidate should have the same spanning line orientation within a certain tolerance level. In simple cases, a standard color blob analysis algorithm is performed. In a color blob analysis, each orientation of a line is assigned a particular color. All squares with similar colors are grouped together form one blob.
- the preferred method of decoding a multi-width barcode is shown in FIG. 19.
- the system 10 analyzes the start and stop pattern of the multi-width barcode symbol to determine what type of symbology is present.
- Code 128, UPC and EAN comprise bars and spaces having 4 different widths, (1, 2, 3 and 4 elements wide). Some codes have even more, such as PDF417 with 6 widths.
- Gray scale amplitude levels are selected for each the different widths of the bar and space elements after the effects of pixel aliasing have been removed.
- the gray scale level may be calculated by analyzing the start and stop patterns, or may be determined by ranking the gray scale amplitudes located within the area of interest, in terms of width; wherein the highest plateau having the longest duration corresponds to the widest spaces and the lowest plateau having the longest duration corresponds to the widest bars.
- the gray scale levels reach a plateau, for example the 4X elements in FIG. 20, that element width is considered to be resolved.
- Gray scale composition analysis examines the remainder of the unresolved element widths. These element widths will proportionally fall between the widest elements (4X) as shown in FIG. 20.
- the system 10 subsequently extracts data along a trigger line within the barcode symbol (step 904 ) and numerically sorts the data corresponding to each pixel (step 906 ) to filter out specular reflections and damaged or otherwise unreadable portions of the barcode symbol. Even in the absence of specular or damaged barcode symbols, sorting of data corresponding to each pixel is required to normalize the amplitudes of the peaks and valleys. The sorting procedure was previously described with reference to FIGS. 16 A- 16 C.
- the system 10 calculates the run length (step 908 ) which is basically the width of a bar or space.
- Min-area is the area of the narrowest element in the start/stop pattern.
- a Code 128 barcode is used in the present example, it should be understood that this procedure is equally applicable to any multi-width symbology.
- each character has three bars and three spaces and the width of each character is the same for all characters. Accordingly, the width of the character is evaluated (step 910 ) to determine whether the sum of the widths of six elements does not exceed the predetermined value for the width of a Code 128 character.
- the system 10 determines whether the character is decodable based solely upon analysis of the run length data (step 912 ) If the character is decodable, the character is decoded (step 916 ). If the character is not decodable, the widths of the unresolved elements are resolved using gray scale composition analysis (step 914 ). For example, consider the situation where a 2 width bar is preceded by a one width space and a one width bar which have merged together. This provides an element of width 4. When the gray scale value of that 4 width element is analyzed, it becomes apparent that the gray scale value is closer to a 2 width bar than to a 4 width bar. In this manner, the system 10 determines the presence of a 2 width bar.
- the character is decoded (step 916 ).
- the system 10 may determine that there are too many elements present. In this case, once a character having six elements is resolved (step 914 ) and decoded (step 916 ) the extra elements are carried over for further analysis (step 920 ). If there is more data present (step 918 ) the system 10 analyzes the next character (step 920 ) and the evaluation of that character is performed as described above. If no more data is present (step 918 ) the barcode symbol has been successfully decoded (step 922 ).
Landscapes
- Engineering & Computer Science (AREA)
- Physics & Mathematics (AREA)
- General Physics & Mathematics (AREA)
- Theoretical Computer Science (AREA)
- Toxicology (AREA)
- Electromagnetism (AREA)
- Artificial Intelligence (AREA)
- Computer Vision & Pattern Recognition (AREA)
- Health & Medical Sciences (AREA)
- General Health & Medical Sciences (AREA)
- Image Processing (AREA)
- Compression, Expansion, Code Conversion, And Decoders (AREA)
- Apparatus For Radiation Diagnosis (AREA)
- Stereoscopic And Panoramic Photography (AREA)
- Image Analysis (AREA)
- Instruments For Viewing The Inside Of Hollow Bodies (AREA)
Abstract
Description
- 1. Field of the Invention
- The present invention generally relates to a system and method for acquiring an image in the form of coded information symbols. More particularly, the present invention relates to a system and method for locating and decoding barcode symbols which may be partially obscured, poorly printed or contaminated.
- 2. Description of Prior Art
- Barcode symbols are formed from bars or elements that are typically rectangular in shape with a variety of possible widths. The specific arrangement of elements defines a character according to a set of rules specified by the code or “symbology” used. To encode a desired sequence of characters, a collection of element arrangements are concatenated to form a complete barcode symbol, with each character of the message being represented by a unique group of elements. In some symbologies a unique “start” and “stop” character is also used to indicate where the barcode symbol begins and ends respectively. A number of different barcode symbologies exist, including UPC/EAN,
Code 39,Code 128, Codabar, PDF417 and Interleaved 2 of 5. - Various optical readers and optical scanning systems have been developed for acquiring an image, such as a barcode symbol, appearing on the surface of an article and for reading and decoding the acquired barcode symbol. Scanning systems typically include a laser light source to illuminate the barcode symbol and a photodetector to detect light reflected from the symbol. Another common type of optical scanner incorporates a non-laser light source and a charge coupled device (CCD) detector. A portion of the light which is reflected off the symbol is detected by the CCD detector and converted into an electrical signal which provides a digital image of the barcode symbol that has been scanned. The digital image is then processed and decoded according to the specific barcode symbology used.
- Most barcode symbols can be easily read in ideal conditions, such as when the barcode symbol is stationary, clearly visible and without flaws. However, when a barcode symbol is located on an object moving at a high speed, narrow bars and spaces cannot be easily located. Smearing of bars may result from low resolution imaging or high-speed motion of the barcode symbol in relation to the scanner. Extraneous markings or other contaminants may also partially obscure the barcode symbol.
- An additional problem with many current scanners is that an attempt to decode a scan will fail if one or more characters in the sequence (including the start and stop characters) are not recognized as legitimate characters. Typically, the results of a partial decoding will not be saved. As a consequence, a variety of barcode symbols, including long barcode symbols with a short height, poorly printed barcode symbols, or barcode symbols which have been marred by extraneous markings, are impossible to decode unless repeated attempts are made by the operator to reorient the scanning line over the symbol. Barcode symbols may contain printing defects which are arranged such that it is impossible to obtain a single distortion free scan. Using conventional methods of decoding, such barcode symbols are unreadable since reading along any single scan line through the symbol would not result in a sequence of valid characters.
- Accordingly, there exists a need for a scanner that quickly determines whether a scanned image is a valid barcode candidate and accurately decodes valid barcode candidates.
- The present invention is an apparatus and method for high speed acquisition, location and decoding of a barcode symbol. The system locates a series of potential barcode candidates within a scanned image and filters the candidates to eliminate invalid data. This approach allows computational resources to be focused on decoding the information most likely to be an actual barcode symbol. Once a potential barcode candidate has been located, the barcode symbol is processed to determine the barcode symbol orientation and symbology. The elements within the barcode symbol are then detected and the barcode symbol is decoded in accordance with the specific symbology.
- It is an object of the invention to provide a symbology locating and decoding system and method which accurately locate and decode barcode symbols while conserving computational resources.
- Other objects and advantages will become apparent to those skilled in the art after reading the detailed description of a presently preferred embodiment.
- FIG. 1 is a barcode scanner made in accordance with the present invention;
- FIGS. 2A and 2B are flow diagrams of the barcode symbol locating procedure in accordance with the present invention;
- FIGS. 2C-2F illustrates the tracing method in accordance with the present invention;
- FIG. 2G shows the procedure for skipping to the end of a bar code to avoid speaker reflection;
- FIG. 2H is a flow diagram of the procedure for determining the difference between two-and multi-width barcode symbols;
- FIG. 3 shows the equally sized image blocks created by the horizontal and vertical grid lines;
- FIG. 4 is an enlarged view of a trigger line;
- FIG. 5 is a diagram of the data from the trigger line;
- FIG. 6 illustrates selection of a neighboring scan line and comparison to the trigger line;
- FIGS. 7A and 7B are flow diagrams of the preferred method of decoding a barcode symbol in accordance with the present invention;
- FIG. 8 is a flow diagram of procedure for finding the peaks and valleys of the scan line data;
- FIG. 9 illustrates peaks and valleys;
- FIG. 10 is a diagram of the dynamic range of the data in a trigger line;
- FIGS. 11A-11C are examples of the start of a barcode symbol;
- FIG. 12 is a flow diagram of the determination of the number of wide bars and wide spaces;
- FIGS. 13A and 13B are flow diagrams of the method of determining the orientation of a barcode symbol;
- FIG. 14 is a flow diagram of the method for determining the number of wide bars and wide spaces in accordance with the present invention;
- FIGS. 15A and 15B are flow diagrams of a method for processing barcode symbol information in accordance with the present invention;
- FIG. 16A is a gray scale image of barcode symbol having a plurality of unreadable regions;
- FIG. 16B is a plot of the gray scale amplitude from a selected scan line before sorting;
- FIG. 16C is the gray scale image of FIG. 16A after sorting;
- FIG. 16D is a plot of the gray scale amplitude from the scan line of FIG. 16B after sorting;
- FIG. 16E shows aliasing which occurs due to pixel misalignment;
- FIG. 17 is a flow diagram of an alternative method for locating barcode symbols in accordance with the present invention;
- FIG. 18A is an imposter after color blob analysis;
- FIG. 18B is a valid barcode symbol after color analysis;
- FIG. 19 is a method of decoding a
Code 128 barcode symbology; - FIG. 20 is a plot of the gray scale amplitude from a multi-width barcode symbol; and
- FIG. 21 shows gray scale composition in accordance with the present invention.
- The preferred embodiment will be described with reference to drawing figures where identical numerals represent the same elements throughout. Referring to FIG. 1, a
barcode scanner 10 made in accordance with the present invention is shown. Thescanning system 10 comprises alight source 12 which illuminates asubject barcode symbol 18. Light reflected from thebarcode symbol 18 is detected by a photo-sensitive detector 20. Thedetector 20 produces an electrical signal representative of the light reflected from thebarcode symbol 18 which is output to theprocessor 22. Theprocessor 22 decodes the signal and forwards the resulting information, which corresponds to the information encoded in thebarcode symbol 18 to an output means 24. The output means 24 may be a printer, a CRT or an information system as is well known by those skilled in the art. - The
scanning system 10 shown in FIG. 1 may be embodied in a mobile hand-held unit, or may be a stationary unit wherein an object carrying thebarcode symbol 18 is passed under thelight source 12 either manually or via a conveyor. In the preferred embodiment, thedetector 20 is a charge coupled device (CCD) one dimensional array (line) detector which detects and stores an electronic image of thebarcode symbol 18. Additional detail regarding thescanning system 10 may be obtained with reference to currently pending U.S. patent application Ser. No. (Not Yet Known) filed on Feb. 23, 1996 entitled “HIGH SPEED IMAGING APPARATUS FOR CCD BASED SCANNERS”, assigned to the present assignee. - The
scanning system 10 utilizes a two step approach to decoding barcode symbols: 1) locating valid barcode candidates on an object; and 2) determining the type of barcode symbology which has been detected and decoding the barcode symbol in accordance with that symbology - Referring to FIGS. 2A and 2B, the
system 10 performs a barcodesymbol locating procedure 40 as shown. Light reflected from thebarcode symbol 18 is detected by an array of light sensitive pixels within theCCD detector 20, thus creating an electronic image of thebarcode symbol 18. Each pixel has a specific gray scale value which represents the amount of light detected by the pixel. The image is divided (step 42) into a grid having equally sized image blocks 74. The size of theblocks 74 depend on the height of thebarcode symbol 18 and on the resolution of the image. As shown in FIG. 3, the equally sized image blocks 74 are created byhorizontal grid lines 70 and vertical grid lines 72. In the preferred embodiment, the pixel array is 4096 by 1024 pixels and the horizontal and 70, 72 are thirty-two pixels apart in the vertical and horizontal direction respectively. Although a smaller grid size will facilitate locating of smaller barcode symbols, it is computationally expensive.vertical grid lines - The
system 10 begins searching for the barcode symbol by performing a series of grid line analyses. The horizontal grid lines (in a “picket fence” orientation) and vertical grid lines (in a “ladder” orientation) are analyzed to determine if a potential barcode candidate exists (step 43). A first grid line, called a “trigger line”, for example,line 78 in FIGS. 3 and 4, is selected (step 44). Typically, thetrigger line 78 is in the middle of the grid. Thetrigger line 78 is analyzed for potential barcode candidates (step 46) by seeking for a transition pattern along the trigger line 78 (skipping every other pixel to increase the speed). A transition pattern is defined as two successively chosen pixels having a gray scale magnitude difference of at least (out of 255 gray scale levels). To qualify as an initial barcode candidate, the transition pattern must have a quiet zone of a minimum number of pixels followed by a “threshold” number of transitions within the selected length of pixels, such as at the beginning of a barcode symbol, or a threshold number of transitions within selected length of pixels followed by quiet zone, such as at the end of a barcode symbol. Preferably, the selected length of pixels is 140 in the vertical direction and 90 in the horizontal direction, the threshold number of transitions is 16 and the threshold quiet zone is a minimum of 20 pixels. - Successful barcode candidate locations comprising grid line and pixel coordinates are queued in a barcode candidate list. The sign (positive or negative) of the candidate position (x in case of horizontal search and y in case of vertical search) indicates whether the quiet zone of the candidate appeared prior to the transitions, indicating the beginning of a barcode symbol, or after the transitions, indicating the end of the barcode symbol.
- After one or more potential barcode candidates have been detected (step 46) the candidates are filtered (step 48) to eliminate illegal candidates. In filtering the candidates (step 48), the
system 10 analyzes a predetermined number of pixels along thetrigger line 78, as shown in FIG. 5, and determines whether a threshold number of bars and spaces are present within that region. In one application, the threshold is two bars and two spaces in aregion 65 pixels long. However, the threshold is dependent upon the specific application. Thesystem 10 determines the number of bars and spaces by analyzing the region and determining black and white thresholds utilizing the following equations: - MIDPOINT=((MAX−MIN)*0.75)+MIN; (1)
- DROP LEVEL=(MAX−MIN)*0.18; (2)
- BLACK LEVEL THRESHOLD=MIDPOINT−DROP LEVEL; (3)
- WHITE LEVEL THRESHOLD=MIDPOINT+DROP LEVEL; (4)
-
- A bar is defined when successive pixels have a gray scale value less than the black level threshold and the number of pixels is greater than a predetermined minimum width. A space is defined when successive pixels have a gray scale value greater than the white level and the width is greater than a predetermined minimum width.
- The number of bars and spaces in the region is then determined. If any bar is wider than the maximum width, the region fails because a wide bar in a barcode symbol cannot be greater than the maximum width. Although similar reasoning can be applied to a space, specular light reflection may “wash out” the
CCD detector 20 in certain regions, thereby causing thedetector 20 to interpret these washed out regions as spaces that are too wide. Accordingly, in the preferred embodiment, the width of spaces is not used to filter out potential candidates. Once the number of bars and spaces has been determined, it is compared to a threshold number. Any barcode candidate having less than the threshold number bars and spaces is discarded. - After a barcode candidate passes the filtering procedure (step 48), a verification is performed by matching pixels in adjacent scan lines to pixels in the trigger line 78 (step 50). The
system 10 selects a neighboring scan line, forexample line 98 in FIG. 6, that is a predetermined number of scans away from thetrigger line 78; preferably eight pixels from thetrigger line 78. Thesystem 10 begins the matching process by collecting pixels starting at point Z1, which is an offset of approximately 12 pixels to left of X1. The first transition, a gray scale difference of 20, is identified at Y1. Gray scale values of 40 pixels to the right of Y1 are then collected (Y1 . . . Y40) and compared with gray values of 40 pixels to right of X1 (X1 . . . X40). The mean of the absolute value of the difference is calculated using: -
- (N=# pixels compared; preferably N=40).
- If this value is less than 25, the error constant, the candidate has passed the matching test. If the
adjacent scan line 98 fails to match thetrigger line 78, asecond scan line 100 on the other side of thetrigger line 78 is selected. If thissecond scan line 100 fails the matching test (step 50), the candidate is rejected. - At this point, barcode candidates have been selected and confirmed as the beginning of a detected
barcode symbol 18. Thesystem 10 must then analyze the first wide bar to ensure that the bar is not too tall, too short and also that the bar does not curve (step 52). The leading edge of the bar is traced to the top of the bar and to the bottom of the bar to define the first two corners of the barcode symbol. The tracing procedure will be described with reference to FIGS. 2C-2F. Preferably, the height is compared to a predetermined threshold to determine whether the bar is too tall or too short. - Referring to FIG. 2C, the
system 10 begins tracing the detected bar atpoint 1. The initial direction of travel depends upon whether the barcode candidate was located from the horizontal search or the vertical search and on sign of the barcode candidate. For example, consider a horizontal candidate with a negative sign. Thesystem 10 starts atpoint 1, which is in a quiet zone, and traverses from the quiet zone to the detected bar in direction DR0, as shown in the mapping table in FIG. 2D. - To trace and determine the two end points of a bar element, the
system 10 must travel in the clockwise (DR0, DR7, . . . DR1) and counter-clockwise (DR0, DR1, . . . DR7) directions. Referring to FIG. 2C, thesystem 10 initially moves in direction DR0 and detects a black pixel atpoint 2, a pixel having a gray scale value less than the black level threshold ofEquation 3. Initially, thesystem 10 travels in the counter-clockwise direction. If the current pixel is a black pixel, thesystem 10 continues searching for a white pixel by incrementing the direction number to DR1. Accordingly, thesystem 10 will be atpoint 3, which is a white pixel. The gray scale value and coordinates of each pixel are stored in a buffer. The direction number is then remapped based on the table shown in FIG. 2E. The new direction number is DR6 since the last direction was DR1. Thesystem 10 then traverses frompoint 3 to point 4. As soon as five points are stored in the buffer, the direction of a reference vector is calculated. For all other points traced, thesystem 10 calculates a vector direction. If the vector direction diverts from the reference vector by an error threshold, the third to the last point stored in the buffer is selected and marked as one of the corners. - The opposite end of the barcode element is found by tracing the element using the same procedure as described above, however, the
system 10 moves in a clockwise direction using the mapping table shown in FIG. 2F. After the edge has been traced, thesystem 10 stores the coordinates of the first two corners of the barcode symbol for later use. - The
system 10 initiates a search for the opposite end of the barcode symbol (step 54). The coordinates of a line perpendicular to the first edge are calculated and thesystem 10 moves along that perpendicular line while searching for another quiet zone. If a quiet zone has not been found within a reasonable distance, the barcode candidate is eliminated. The distance may be predetermined or may be based upon the height of the first bar, thereby maintaining a preset height-to-width aspect ratio. When the quiet zone is detected, the second edge is traced to detect height and curvature (step 52). - The length of the barcode symbol is then checked (step 56) to ensure that it is within an expected value and the coordinates of the second two corners are stored. Referring briefly to FIG. 2G, if the label is washed out due to specular reflection, point “1” may falsely appear as a quiet zone. For fixed length barcodes, it may be preferable to skip a predetermined number of pixels to avoid specular reflections within the middle of the barcode symbol. As shown in FIG. 2G, the
system 10 may skip to point “2” along the scan line to search for the last bar (c′ d′). In this example, the last bar (c′ d′) will not be detected and 52 and 54 will fail. However, if an approximate length of code is known, the barcode symbol area (a′ b′ c′ d′) can be artificially bounded.steps Step 50 may be performed on the last bar to confirm whether it is a valid barcode. - If the barcode candidate passes the check length procedure of
step 56, a “bounding box” is determined, whereby the coordinates of the four corners of a barcode symbol are stored for later use. At this point, thesystem 10 must determine whether a two-width or a multi-width barcode has been located since the subsequent decoding steps will be dependent upon the type (two-or multi-width) of barcode that has been detected. A multi-width barcode symbology is defined as any symbology having greater than two different width elements. - Referring to FIG. 2H, the procedure for determining whether the code is a two-width or a multi-width code is shown. After the barcode has been located (step 60) the
system 10 extracts data corresponding to the start/stop characters of the barcode symbol (step 61) This encompasses approximately forty pixels at the beginning and forty pixels at the end of the barcode symbol. The width of each bar and space is calculated (step 62) and thesystem 10 determines whether the symbology is Code 128 (step 63), PDF 417 (step 65) or some other type of multi-width symbology (step 67). If it has been determined that the barcode candidate is a multi-width symbology, it is processed in accordance with its respective symbology ( 64, 66, 68). If the candidate fails all of the multi-width symbology tests, it is assumed that the detected barcode symbol is a two-width code.steps - Referring again to FIG. 2B, after the type of candidate has been determined (step 57) each candidate is decoded as will be explained in greater detail hereinafter. It will be appreciated by skilled artisans that several barcode labels are often located on a single object. To locate vertical barcodes in a ladder orientation the
system 10 proceeds to perform a vertical grid line analysis (step 59) in the same manner as the horizontal grid line analysis was performed (step 43). The present invention will be able to simultaneously locate the coordinates of a plurality of barcode labels on an object. - The preferred method of decoding a two-width barcode symbol in accordance with the present invention will be briefly explained with reference to FIGS. 7A and 7B and will subsequently be explained in detail. Referring to FIG. 7A, the
system 10 extracts the coordinates of the barcode symbol and associated data from the image buffer (step 200). The image buffer includes location coordinates and gray scale data for the area of interest which approximates an electronic image of the barcode symbol in pixel format. Thesystem 10 copies gray scale values for pixels of each scan line into a separate portion of memory for processing as needed (step 202). The peaks and valleys of the line data are found (step 204) and the exact start and stop location of the barcode symbol is determined (step 206). The number of wide bars and wide spaces are detected (step 208) in order to specify the type of barcode symbology which is being used in the detected barcode symbol. The barcode symbol information is then processed (step 210) in accordance with the type of symbology which has been determined instep 208. After processing of the barcode symbol has been confirmed (step 212), thesystem 10 outputs a signal that the barcode symbol was successfully read (step 214) and thesystem 10 returns to the barcode symbol location procedure. - If processing of the barcode symbol has not been confirmed (step 212), an analysis of up to ten scan lines (step 216) is repeated. If no confirmation of the barcode symbol is made after ten attempts (step 216), the data is reorganized (step 220) and five more attempts to decode the barcode symbol are made (step 222). Once a total of fifteen attempts have been made to decode and confirm the barcode symbol without success (step 222), a “no read” signal is returned to the operator (step 224) and the barcode candidate is discarded. It should be recognized by those skilled in the art that the number of attempts could be a parameter set by the operator depending upon the application.
- The method of decoding two-width barcode symbols shown in FIGS. 7A and 7B will now be described in greater detail. Referring to FIG. 8, the procedure for finding the peaks and valleys of the scan line data (step 204) is shown. Peaks and valleys are defined as portions of the barcode symbol data which have a first derivative of zero and thus no slope. Portions of the barcode symbol that have been determined to be peaks are given a positive (+) identifier and values that have been determined to be valleys are given a negative (−) identifier as shown in FIG. 9. The
system 10 determines whether a point is a peak or a valley by calculating first and second derivatives. If a point has a first derivative equal to zero and a second derivative less than zero, the point is classified as a peak. If a point has a first derivative equal to zero and a second derivative greater than zero, the point is classified as a valley. Essentially, if neighboring pixels of pixel x have values less than pixel x, pixel x is a peak. If the neighboring pixels of pixel x have values greater than pixel x. pixel x is a valley. - The
system 10 then calculates threshold levels (step 204B) for comparison to the transition from one peak/valley to the next peak/valley. The thresholds are dependent upon the location of the transition within the dynamic range of the barcode symbol data. The dynamic range for an illustrative barcode symbol is shown in FIG. 10. The dynamic range is calculated at the beginning of each scan line and then segmented into five distinct regions. Near the middle of thedynamic range 300, the threshold is fixed at a “low” value. Located above and below the middle of the dynamic range are two regions of the dynamic range wherein a 302, 304 is calculated. At the upper and lower limits of thevariable threshold 306, 308, the threshold is fixed at a “high” value.dynamic range - In the preferred embodiment, the
system 10 has an 8 bit gray scale resolution resulting in 256 available gray scale levels (0-255). With 8 bit resolution, the threshold in the middle of thedynamic range 300 is fixed. For the portion of the dynamic range, when a 302, 304 is calculated, a linear approximation is performed. Consider an example where the highest gray value for a peak is 250, the lowest given for a valley is 100, and the average pixel value is 180. The dynamic range is calculated as 250−100=150, and 15% of 150=22. Accordingly, for every peak and valley difference between (180−22) and (180+22), the threshold is fixed at a minimum threshold of 5. The threshold at the upper and lower limits of thevariable threshold 306, 308 is fixed at 20 gray scale levels.dynamic range - Noise is greater at higher and lower gray scale levels due to variations in printing and reflection characteristics of a label. Noise in the middle of the gray scale, typically caused by thermal (CCD noise), is significantly lower. Specular reflection and other variations greatly effect the barcode symbol data at the upper and lower limits of the dynamic range. These variable thresholds are effective in distinguishing a valid barcode symbol transition from noise and specular reflections.
- Referring again to FIG. 8, if the transition value is greater than the calculated threshold (step 204C), the data is stored (step 204D) and the next pixel is analyzed (step 204E). If the transition value is smaller than the calculated threshold (step 204C), then the
system 10 proceeds directly to the next pixel (step 204E). Once the end of the scan line data has been reached (step 204F) the routine is exited (step 204G). - The location of the beginning and end of a barcode symbol is often difficult to ascertain since narrow bars and spaces may be marred or blurred. To accurately decode a two-width barcode symbol, the location of the beginning and end edges of the barcode symbol must be determined with accuracy. The method of locating the edges of the barcode symbol (step 206 shown in FIG. 7A) will now be described in detail with reference to FIGS. 11A-C. In order to minimize computational resources and to speed the locating of the beginning of the barcode symbol the
system 10 searches for the first wide bar and the quiet zone. This provides a region of interest in which computational resources are focused on a detailed analysis. Typically, narrow bars and spaces will be present between the quiet zone and the first wide bar. Thesystem 10 calculates the slope, or first derivative, for every two pixels between the quiet zone and the first wide bar. When the first derivative approaches zero, or a plateau is present, a narrow bar has been detected. This is shown in FIGS. 11A-C. Referring to FIG. 11A, anarrow bar 153 is clearly present between the quiet zone and the firstwide bar 152. In FIGS. 11B and 11C, although a clear plateau is not detected, the slight slope indicates that anarrow bar 156, 161 is present. - The determination of the number of wide bars and wide spaces (step 208 of FIG. 7A), will be explained in greater detail with reference to FIG. 12. First the
system 10 tests for start/stop pattern for aCode 128 symbology (step 290) and PDF417 (step 292) If either one of these tests are successful, the barcode symbol is processed in accordance with that symbology (steps 294 or 296). Otherwise, the orientation of the barcode symbol (step 300) must be determined. This is shown in greater detail in FIG. 13. Thesystem 10 first finds a reference wide bar/space and narrow bar/space (step 300A). A region of the scan line data which encompasses the first sixteen peaks and valleys is analyzed to determine the dynamic range and the highest and lowest values of the data. First, the highest value and lowest value are discarded and the second to the highest peak is marked as a reference wide space and the second to the lowest valley is marked as a reference wide bar. Next, the reference narrow bar and space are initially set to be equal to the average value of peaks and valleys. - The
system 10 subsequently analyzes each peak and valley (step 300B) If the transition is a peak (or a space) thesystem 10 proceeds to step 300C to determine whether the peak is closer to a reference wide space or narrow space. If the peak is closer to a reference wide space, it is designated to be a wide space (step 300D) and the reference wide space is updated (step 300E) by averaging the reference wide space with the current wide space. This provides a weighted average of the wide spaces. The counter is then incremented atstep 300H. If the peak is closer to a narrow space (step 300C) the counter is incremented (step 300H). - If a valley has been detected (step 300B) then the
system 10 determines whether the valley (or bar) is closer to a reference wide bar or narrow bar (step 300M). If the valley is closer to the reference wide bar, the distance D1 from the wide bar to the end of the barcode symbol (step 300G) is measured. This procedure is repeated (step 3001) for the opposite end of the barcode symbol to obtain the distance from the first wide bar D2 to the end of the barcode symbol. Once both ends of the barcode symbol have been analyzed (step 300N) thesystem 10 determines whether the orientation is forward or backward (300J). In all widely used 2-width barcode symbologies, the first wide bar is further from the beginning of the barcode symbol than the last wide bar is to the end of the barcode symbol. Accordingly, if D1 is greater than D2, the orientation of the barcode symbol is forward (step 300K), whereas if D2 is greater than D1 than the orientation of the barcode symbol is reverse (step 300L). - After the barcode symbol orientation has been determined (step 300), the
system 10 determines the number of wide bars and wide spaces (step 302) using the process shown in FIG. 14. This procedure is similar to the procedure shown in FIG. 13, however, thesystem 10 analyzes every bar and space to determine whether the bar and space is narrow or wide. - Referring again to FIG. 12, once the barcode symbol orientation (step 300) and the number of wide bars and wide spaces (step 302) have been determined, the
system 10 determines the type of barcode symbology being used. If the number of wide spaces is approximately equal to the number of wide bars (step 304) the barcode symbology is Interleaved 2 of 5 (step 306) If the number of wide spaces is approximately equal to one-half ({fraction (1/2)}) the number of wide bars (step 308) the barcode symbology is Code 39 (step 310). If the number of wide spaces is approximately two times the number of wide bars (step 312), the barcode symbology is Codabar (step 314). If the barcode symbology has been determined to theI 2 of 5,Code 39 or Codabar, the barcode symbol is then processed (step 318) in accordance with the symbology. If the barcode symbol which has been detected fails all of the tests ( 304, 308 and 312), then the symbology is unknown (step 316). It will be appreciated by those skilled in the art that additional tests may be included to detect (step 315) and decode (step 317) other types of barcode symbologies.steps - Referring again to FIG. 7A, once the type of barcode symbology has been determined 208, the barcode symbol information is processed in accordance with the rules of construction for the type of
symbology 210. This is shown in greater detail in FIGS. 15A and 15B. - Referring to FIG. 15A, a simple decode procedure is initiated (step 600) The
system 10 determines whether the number of peaks and valleys in the line scan data is equal to the expected number of peaks and valleys for the particular symbology. The number of characters in the barcode symbol is determined by counting the number of wide bars and spaces as follows: If the code is code I2 of 5 then the number of characters is equal to the number of wide spaces or one less than the number of wide bars. ForCode 39, the number of characters is equal to the number of wide spaces, or half the number of wide bars minus one (WB/2−1). For Codabar, the number of characters is equal to the number of wide bars. It should be appreciated that the number ofCode 39 characters includes start and stop characters. - If the number of peaks and valleys is equal to the expected number of characters for the particular symbology, the scan line data is divided into segments (step 604). The highest peaks are designated as wide spaces and the lowest valleys are designated as wide bars with the remainder of the elements designated as narrow elements (step 606). Each character, or character pair, is then decoded (step 608) which completes processing of the barcode symbol (step 405).
- If it has been determined (step 602) that the number of peaks and valleys is not equal to the expected number of peaks and valleys for that particular symbology, (step 602) then a more detailed decoding procedure as shown in FIG. 15B is required. First, the entire scan line is divided into character segments and the highest peaks are designated as reference wide spaces and the lowest valleys are designated as reference wide bars (step 401). The
system 10 then measures the distance between the wide elements and calculates the number of narrow elements that should be located between the wide elements (step 402). The measurement of the distance-may be adjusted based on symbology characteristics. For example, at the boundary between two characters, it may initially be unclear whether a wide bar or space pertains to the first character or the second character. The present procedure permits a decoding attempt of the first character by using one or more of the wide elements located within the border region. If the attempt is unsuccessful, the wide elements may be associated with the second character in attempting a decoding of the second character. Thesystem 10 then decodes the character, or character pair if the particular symbology requires decoding of pairs (step 403). Once all of the characters have been processed (step 404) the barcode symbol has been decoded. - The processing of the barcode symbol must then be confirmed (step 212) as shown in FIG. 7A. In the preferred embodiment of the present invention, the confirmation of the processing of the barcode symbol (step 212) comprises comparing the decoding of a subsequent scan line with an earlier scan line to determine if they are the same. As is well known to those skilled in the art, the confirmation threshold may be set as desired by the operator for “two out of three” or “three out of four” scan lines that match. If the barcode symbol has not been confirmed after ten passes (step 216) the data is reorganized for specular preprocessing (step 220). This process (step 220) will be described hereinafter with reference to FIGS. 16A-16C. Step 220 may be either a primary or a secondary operation. For example, if specular reflection is anticipated on packages to be scanned, the
system 10 may proceed directly to step 220 after enough scans have been acquired. - Referring to FIG. 16A, a gray scale image of a
barcode symbol 700 having a plurality of 702, 704, 706, 708 is shown. With this gray scale image of theunreadable regions barcode symbol 700, thesystem 10 will be unable to obtain a completely readable confirm scan line due to the 702, 704, 706, 708. Theunreadable regions 702, 704, 706, 708 may be caused byregions 704, 706, 708 that wash out thespecular reflections CCD detector 20 or may be contaminants ormarkings 702 located on thebarcode symbol 700. A region ofinterest 703, showing a plurality ofscan lines 705 will be discussed hereinafter. - Referring to FIG. 16B, a plot of the gray scale amplitude for
scan line number 5 in the area ofinterest 703 is shown. The specular reflection and dark markings upon thebarcode symbol 700 create large differences in the gray scale values of the pixels along the scan line. As shown in Table 1, specular reflection causes the gray scale values of selective pixels to be extremely high. Likewise, black marks upon thebarcode symbol 700 cause the gray scale values to be extremely low. This may lead to errors in decoding thebarcode symbol 700. - In the preferred embodiment, the data is reorganized so that the decoding of the
barcode symbol 700 may be performed. The pixels in each column are sorted such that the largest value in each column appears in the top row and the smallest value appears in the bottom row. Using this technique, the portions of the image due to specular reflection float to the top and the portions of the image due to dark markings sink to the bottom. Thus, the center rows contain data which is most likely to be correctly representative of a complete barcode symbol. Sorting of the data acts as a low-pass filter on the image due to the low resolution of the CCD pixel grid utilized to acquire the image and slight alignment irregularities. - A gray scale image which has been sorted in accordance with the present invention is shown in FIG. 16C. It can clearly be seen that the higher (and thus brighter) gray scale values are located at the top of the gray scale image and the lower (and thus darker) values are located at the bottom of the
image 709. The middle portion of theimage 709 contains accurate information which is representative of the barcode symbol. The gray scale values associated with thesorted image 709 are shown in Table 2. Referring to FIG. 16D, a plot alongscan line 5 after sorting of the data associated with each pixel is shown. The sorting process normalizes the data by eliminating the excessive peaks and valleys which are most likely not representative of the actual barcode symbol. - Sorting of the pixels also removes the effects of pixel aliasing. As is well known by those of skill in the art the gray scale value is a function of the pixel alignment on the barcode image. Aliasing occurs when the CCD pixels are misaligned with respect to the bars and spaces. For example, as shown in FIG. 16E, if the pixels are misaligned with the space, a lower amplitude pulse will be obtained. However, if the pixels are correctly aligned a higher, squarer pulse output will be obtained. Sorting the pixel values normalizes the inconsistencies such that similar width elements in a scan line have similar gray values. Once the effects of aliasing are removed, subsequent gray scale composition analysis can be performed on any multi-width element codes to determine the encoded information. Gray scale composition analysis will be described in detail hereinafter with reference to FIG. 19 (step 914).
- Referring to FIGS. 17A and 17B, an alternate method (step 800) for locating barcode symbols in accordance with the present invention is shown. First, the image buffer is copied into memory for analysis (step 802). The image is binarized (step 804) whereby pixels having a gray scale value greater than the threshold limit are designated as white and those having a gray scale value less than the threshold are designated as black. The image is divided into a grid (step 806) wherein horizontal and vertical lines are placed throughout the image. Preferably, the grid lines are evenly spaced in both directions (e.g., every 32 pixels in the horizontal and vertical directions), but it is not essential that blocks are square.
- The
system 10 searches for a transition near the center of each grid element (step 808). The objective is to locate the longest spanning line in the block to eliminate noise caused by contaminants and other extraneous marks on the barcode symbol. First, the block is divided by placing “cross hairs” on the center of the block. Starting from the center of the cross hairs and moving outward, thesystem 10 searches for the first transition (black-to-white or white-to-black) within the block. If no transitions are found (step 810) in either of the horizontal or vertical direction, the block is considered to contain no spanning line. For faster processing, thesystem 10 may only consider transitions near the center of the cross hairs. If no transition is found, a new grid block is selected (step 812) and the search for a transition (step 808) begins again. - If a transition is found (step 810) the edge of the transition must be traced. When tracing the edge of a transition (step 814) two things may take place: 1) the edge will eventually reach the edge of the grid block; or 2) the edge will wrap around on itself to the same point as the starting point. If the edge does wrap around (step 816) that the grid block is considered to have no spanning lines and a new grid block is examined (step 812).
- The
system 10 must then determine if the edge exceeds the maximum number of pixels along a straight line between the initial transition and the furthest grid element edge. If the maximum number of pixels has been exceeded before reaching the edge of a block (step 818), the search can be terminated since the transition edge can not lead to a spanning line. Using the maximum pixel count will eliminate wandering transition edges that eventually reach the edge of a block, for example, a spiral. - If the transition edge reaches a block edge, the
system 10 returns to the initial transition and traces the edge in the opposite direction (step 822). If a trace of the opposite direction fails to reach the block edge within the maximum number of pixels, the block is considered to contain no spanning line. When thesystem 10 has traced the line in both directions with success (step 820), a series of tests is performed to confirm that the line is a true spanning line. First, thesystem 10 determines whether both ends of the spanning line reach the same side of the block (step 824). If so, the spanning line is invalid. Next, thesystem 10 determines whether the entire spanning line exceeds the maximum number of pixels (step 826). If not, the spanning line has been confirmed as a valid spanning line (step 830). - Once a valid spanning line has been determined for a particular block, the same procedure is performed for all blocks. The orientation of each spanning line may be determined by using the slope formed by the end points of each traced edge. The orientation of a line is the angle of that particular line.
- The oriented blocks must then be clustered into barcode candidates. In a typical situation, most of the blocks will have no spanning lines. The blocks with no spanning lines will have no orientation. The blocks from a valid barcode candidate should have the same spanning line orientation within a certain tolerance level. In simple cases, a standard color blob analysis algorithm is performed. In a color blob analysis, each orientation of a line is assigned a particular color. All squares with similar colors are grouped together form one blob.
- Thus, all squares in a blob will have a similar angle orientation. Certain geometric patterns will have blobs with similarly oriented grid elements. As shown in FIG. 18A, if an imposter pattern has a number of long lines, it may produce a long skinny blob that appears to be a valid barcode symbol. However, the imposter blob will have its orientation parallel to its length. Referring to FIG. 18B, while a barcode symbol produces a similar blob, the color will be different since its orientation is parallel to its width. Using this procedure, final candidates may be filtered or preliminary candidates may be prescreened.
- The preferred method of decoding a multi-width barcode is shown in FIG. 19. Referring to step 900, the
system 10 analyzes the start and stop pattern of the multi-width barcode symbol to determine what type of symbology is present. As is well known to those skilled in the art,Code 128, UPC and EAN comprise bars and spaces having 4 different widths, (1, 2, 3 and 4 elements wide). Some codes have even more, such as PDF417 with 6 widths. - Gray scale amplitude levels are selected for each the different widths of the bar and space elements after the effects of pixel aliasing have been removed. The gray scale level may be calculated by analyzing the start and stop patterns, or may be determined by ranking the gray scale amplitudes located within the area of interest, in terms of width; wherein the highest plateau having the longest duration corresponds to the widest spaces and the lowest plateau having the longest duration corresponds to the widest bars. When the gray scale levels reach a plateau, for example the 4X elements in FIG. 20, that element width is considered to be resolved. Gray scale composition analysis examines the remainder of the unresolved element widths. These element widths will proportionally fall between the widest elements (4X) as shown in FIG. 20.
- The
system 10 subsequently extracts data along a trigger line within the barcode symbol (step 904) and numerically sorts the data corresponding to each pixel (step 906) to filter out specular reflections and damaged or otherwise unreadable portions of the barcode symbol. Even in the absence of specular or damaged barcode symbols, sorting of data corresponding to each pixel is required to normalize the amplitudes of the peaks and valleys. The sorting procedure was previously described with reference to FIGS. 16A-16C. - After a data set has been determined, the
system 10 calculates the run length (step 908) which is basically the width of a bar or space. Referring to FIG. 21, the width is determined by calculating the area under a selected portion of the gray scale waveform corresponding to the bar or space using the following equation: - Min-area is the area of the narrowest element in the start/stop pattern. Although a
Code 128 barcode is used in the present example, it should be understood that this procedure is equally applicable to any multi-width symbology. ForCode 128, each character has three bars and three spaces and the width of each character is the same for all characters. Accordingly, the width of the character is evaluated (step 910) to determine whether the sum of the widths of six elements does not exceed the predetermined value for the width of aCode 128 character. - The
system 10 determines whether the character is decodable based solely upon analysis of the run length data (step 912) If the character is decodable, the character is decoded (step 916). If the character is not decodable, the widths of the unresolved elements are resolved using gray scale composition analysis (step 914). For example, consider the situation where a 2 width bar is preceded by a one width space and a one width bar which have merged together. This provides an element of width 4. When the gray scale value of that 4 width element is analyzed, it becomes apparent that the gray scale value is closer to a 2 width bar than to a 4 width bar. In this manner, thesystem 10 determines the presence of a 2 width bar. The remaining elements are subsequently analyzed in the same manner. Accordingly, using Equation (7), the bars and spaces present within the portion of the character being decoded may be resolved: - Using the above example, the number of unresolved or missing elements is calculated as: number of unresolved elements=(4−2)/1=2.
- Once the widths have been resolved using gray scale composition analysis (step 914) the character is decoded (step 916). Upon resolving the width (step 914) the
system 10 may determine that there are too many elements present. In this case, once a character having six elements is resolved (step 914) and decoded (step 916) the extra elements are carried over for further analysis (step 920). If there is more data present (step 918) thesystem 10 analyzes the next character (step 920) and the evaluation of that character is performed as described above. If no more data is present (step 918) the barcode symbol has been successfully decoded (step 922). - Although the invention has been described in part by making detailed reference to the preferred embodiment, such detail is intended to be instructive rather than restrictive. It will be appreciated by those skilled in the art that many variations may be made in the structure and mode of operation without departing from the spirit and scope of the invention as disclosed in the teachings herein.
Claims (19)
Priority Applications (1)
| Application Number | Priority Date | Filing Date | Title |
|---|---|---|---|
| US09/792,901 US6386454B2 (en) | 1996-06-03 | 2001-02-26 | Detecting bar code candidates |
Applications Claiming Priority (4)
| Application Number | Priority Date | Filing Date | Title |
|---|---|---|---|
| US08/660,152 US5969325A (en) | 1996-06-03 | 1996-06-03 | High speed image acquisition system and method of processing and decoding barcode symbol |
| US09/287,448 US6015089A (en) | 1996-06-03 | 1999-04-07 | High speed image acquisition system and method of processing and decoding bar code symbol |
| US09/483,154 US6193158B1 (en) | 1996-06-03 | 2000-01-14 | High speed image acquisition system and method |
| US09/792,901 US6386454B2 (en) | 1996-06-03 | 2001-02-26 | Detecting bar code candidates |
Related Parent Applications (1)
| Application Number | Title | Priority Date | Filing Date |
|---|---|---|---|
| US09/483,154 Continuation US6193158B1 (en) | 1996-06-03 | 2000-01-14 | High speed image acquisition system and method |
Publications (2)
| Publication Number | Publication Date |
|---|---|
| US20010006191A1 true US20010006191A1 (en) | 2001-07-05 |
| US6386454B2 US6386454B2 (en) | 2002-05-14 |
Family
ID=24648376
Family Applications (4)
| Application Number | Title | Priority Date | Filing Date |
|---|---|---|---|
| US08/660,152 Expired - Fee Related US5969325A (en) | 1996-06-03 | 1996-06-03 | High speed image acquisition system and method of processing and decoding barcode symbol |
| US09/287,448 Expired - Lifetime US6015089A (en) | 1996-06-03 | 1999-04-07 | High speed image acquisition system and method of processing and decoding bar code symbol |
| US09/483,154 Expired - Lifetime US6193158B1 (en) | 1996-06-03 | 2000-01-14 | High speed image acquisition system and method |
| US09/792,901 Expired - Lifetime US6386454B2 (en) | 1996-06-03 | 2001-02-26 | Detecting bar code candidates |
Family Applications Before (3)
| Application Number | Title | Priority Date | Filing Date |
|---|---|---|---|
| US08/660,152 Expired - Fee Related US5969325A (en) | 1996-06-03 | 1996-06-03 | High speed image acquisition system and method of processing and decoding barcode symbol |
| US09/287,448 Expired - Lifetime US6015089A (en) | 1996-06-03 | 1999-04-07 | High speed image acquisition system and method of processing and decoding bar code symbol |
| US09/483,154 Expired - Lifetime US6193158B1 (en) | 1996-06-03 | 2000-01-14 | High speed image acquisition system and method |
Country Status (8)
| Country | Link |
|---|---|
| US (4) | US5969325A (en) |
| EP (2) | EP0917685B1 (en) |
| JP (1) | JP3115610B2 (en) |
| AT (1) | ATE225539T1 (en) |
| AU (1) | AU3152897A (en) |
| CA (1) | CA2255576C (en) |
| DE (1) | DE69716087T2 (en) |
| WO (1) | WO1997046965A2 (en) |
Cited By (16)
| Publication number | Priority date | Publication date | Assignee | Title |
|---|---|---|---|---|
| US20030127518A1 (en) * | 2001-12-28 | 2003-07-10 | Park Moon Sung | System and method for identifying object information |
| US6708884B1 (en) * | 2002-06-25 | 2004-03-23 | The United States Of America As Represented By The Secretary Of The Army | Method and apparatus for rapid and precision detection of omnidirectional postnet barcode location |
| US20060094127A1 (en) * | 2003-05-22 | 2006-05-04 | Wen-Chao Tseng | Method of automatically detecting a test result of a probe zone of a test strip |
| US20060180669A1 (en) * | 2005-02-16 | 2006-08-17 | Denso Wave Incorporated | Method and apparatus for optically reading out information stored in a barcode |
| US20060202039A1 (en) * | 2005-03-10 | 2006-09-14 | Microsoft Corporation | Camera-based barcode recognition |
| US20070158426A1 (en) * | 2004-04-16 | 2007-07-12 | Kolstad Jesse J | Barcode scanner with linear automatic gain control (AGC), modulation transfer function detector, and selectable noise filter |
| US20080169352A1 (en) * | 2000-07-18 | 2008-07-17 | Harris Scott C | Barcode Device |
| US20090127326A1 (en) * | 2007-11-20 | 2009-05-21 | Datalogic Scanning, Inc. | Enhanced virtual scan line processing |
| WO2010093680A1 (en) * | 2009-02-11 | 2010-08-19 | Cognex Corporation | System and method for capturing and detecting barcodes using vision on chip processor |
| CN103150536A (en) * | 2011-11-03 | 2013-06-12 | 康耐视公司 | Method and apparatus for ordering code candidates in an image for decoding attempts |
| US8550349B2 (en) | 2011-08-25 | 2013-10-08 | International Business Machines Corporation | System for recovering a barcode |
| US8570393B2 (en) | 2007-11-30 | 2013-10-29 | Cognex Corporation | System and method for processing image data relative to a focus of attention within the overall image |
| US9104935B1 (en) | 2010-12-30 | 2015-08-11 | Cognex Corporation | Mark reader configured to prioritize images |
| US9818012B2 (en) | 2014-12-02 | 2017-11-14 | International Business Machines Corporation | Method for barcode detection, barcode detection system, and program therefor |
| CN112955896A (en) * | 2018-10-31 | 2021-06-11 | 三星电子株式会社 | Method and electronic device for reading bar code |
| US11341384B2 (en) * | 2014-08-28 | 2022-05-24 | Banctec, Incorporated | Document processing system and method for associating metadata with a physical document while maintaining the integrity of its content |
Families Citing this family (106)
| Publication number | Priority date | Publication date | Assignee | Title |
|---|---|---|---|---|
| US5969325A (en) * | 1996-06-03 | 1999-10-19 | Accu-Sort Systems, Inc. | High speed image acquisition system and method of processing and decoding barcode symbol |
| US5974147A (en) * | 1996-11-07 | 1999-10-26 | Pitney Bowes Inc. | Method of verifying unreadable indicia for an information-based indicia program |
| US6053408A (en) * | 1997-12-02 | 2000-04-25 | Telxon Corporation | Multi-focal length imaging based portable dataform reader |
| EP0926620B1 (en) * | 1997-12-24 | 2001-05-30 | Datalogic S.P.A. | A method of detecting a bar code on a scan line, and an apparatus for detecting and decoding a bar code |
| US6250551B1 (en) * | 1998-06-12 | 2001-06-26 | Symbol Technologies, Inc. | Autodiscrimination and line drawing techniques for code readers |
| US6636896B1 (en) | 1998-09-11 | 2003-10-21 | Lv Partners, L.P. | Method and apparatus for utilizing an audibly coded signal to conduct commerce over the internet |
| US7379901B1 (en) | 1998-09-11 | 2008-05-27 | Lv Partners, L.P. | Accessing a vendor web site using personal account information retrieved from a credit card company web site |
| US6708208B1 (en) * | 1998-09-11 | 2004-03-16 | L.V. Partners, L.P. | Unique bar code for indicating a link between a product and a remote location on a web network |
| US7159037B1 (en) | 1998-09-11 | 2007-01-02 | Lv Partners, Lp | Method and apparatus for utilizing an existing product code to issue a match to a predetermined location on a global network |
| US7440993B1 (en) | 1998-09-11 | 2008-10-21 | Lv Partners, L.P. | Method and apparatus for launching a web browser in response to scanning of product information |
| US7191247B1 (en) | 1998-09-11 | 2007-03-13 | Lv Partners, Lp | Method for connecting a wireless device to a remote location on a network |
| US7370114B1 (en) | 1998-09-11 | 2008-05-06 | Lv Partners, L.P. | Software downloading using a television broadcast channel |
| US7386600B1 (en) | 1998-09-11 | 2008-06-10 | Lv Partners, L.P. | Launching a web site using a personal device |
| US6823388B1 (en) | 1998-09-11 | 2004-11-23 | L.V. Parners, L.P. | Method and apparatus for accessing a remote location with an optical reader having a programmable memory system |
| US7392945B1 (en) | 1998-09-11 | 2008-07-01 | Lv Partners, L.P. | Portable scanner for enabling automatic commerce transactions |
| US6704864B1 (en) | 1999-08-19 | 2004-03-09 | L.V. Partners, L.P. | Automatic configuration of equipment software |
| US6745234B1 (en) | 1998-09-11 | 2004-06-01 | Digital:Convergence Corporation | Method and apparatus for accessing a remote location by scanning an optical code |
| US6868433B1 (en) | 1998-09-11 | 2005-03-15 | L.V. Partners, L.P. | Input device having positional and scanning capabilities |
| US7536478B2 (en) | 1998-09-11 | 2009-05-19 | Rpx-Lv Acquisition Llc | Method and apparatus for opening and launching a web browser in response to an audible signal |
| US7284066B1 (en) | 1998-09-11 | 2007-10-16 | Lv Partners, Lp | Method and apparatus for matching a user's use profile in commerce with a broadcast |
| US6565003B1 (en) * | 1998-12-16 | 2003-05-20 | Matsushita Electric Industrial Co., Ltd. | Method for locating and reading a two-dimensional barcode |
| ATE239268T1 (en) * | 1998-12-22 | 2003-05-15 | Datalogic Spa | METHOD FOR AUTOMATICALLY REGULATING THE CHARACTERISTICS OF AN OPTICAL CODE READING SYSTEM |
| DE19904671A1 (en) * | 1999-02-04 | 2000-08-10 | Focke & Co | Method and device for checking (cigarette) packs for correct positioning of banderoles |
| US6164543A (en) * | 1999-04-13 | 2000-12-26 | Hewlett-Packard Company | Method of deciphering bar codes |
| US7107453B2 (en) * | 2000-05-25 | 2006-09-12 | Hewlett-Packard Development Company, L.P. | Authenticatable graphical bar codes |
| US6751352B1 (en) | 2000-05-25 | 2004-06-15 | Hewlett-Packard Development Company, L.P. | Method and apparatus for generating and decoding a visually significant barcode |
| US20020016750A1 (en) * | 2000-06-20 | 2002-02-07 | Olivier Attia | System and method for scan-based input, storage and retrieval of information over an interactive communication network |
| US6354503B1 (en) * | 2000-06-21 | 2002-03-12 | Rjs Systems International | Bar code online scanner/verifier |
| US7199818B1 (en) * | 2000-08-07 | 2007-04-03 | Tektronix, Inc. | Status ribbon for display for multiple channels/codes |
| JP3904840B2 (en) * | 2000-08-15 | 2007-04-11 | 富士通株式会社 | Ruled line extraction device for extracting ruled lines from multi-valued images |
| DE10040614A1 (en) * | 2000-08-16 | 2002-02-28 | Gavitec Gmbh | Method for automatic detection of a directional structure |
| DE60030296T2 (en) * | 2000-11-10 | 2007-08-30 | Datalogic S.P.A., Lippo Di Calderara Di Reno | Device for reading coded information |
| EP1205873B1 (en) * | 2000-11-14 | 2006-09-27 | Datalogic S.P.A. | Method for locating the transitions between the elements of a bar code |
| US6877665B2 (en) | 2000-11-20 | 2005-04-12 | Ecrio, Inc. | System, method, and apparatus for communicating information encoded in a light-based signal using a fob device |
| AU2002226941A1 (en) * | 2000-11-20 | 2002-06-03 | Ecrio, Inc. | Method for downloading bar code encoded information with a mobile communication |
| US8682077B1 (en) | 2000-11-28 | 2014-03-25 | Hand Held Products, Inc. | Method for omnidirectional processing of 2D images including recognizable characters |
| US6938017B2 (en) * | 2000-12-01 | 2005-08-30 | Hewlett-Packard Development Company, L.P. | Scalable, fraud resistant graphical payment indicia |
| US6502752B2 (en) * | 2001-01-23 | 2003-01-07 | Hewlett-Packard Company | Method and system for encoding information on a printed page by modulation of the dot development |
| US6895116B2 (en) * | 2001-06-07 | 2005-05-17 | Hewlett-Packard Development Company, L.P. | Automatically extracting graphical bar codes |
| US6938824B2 (en) * | 2001-09-26 | 2005-09-06 | Symbol Technologies, Inc. | Decoding algorithm for laser scanning bar code readers |
| US7051937B2 (en) | 2002-03-22 | 2006-05-30 | Lockheed Martin Corporation | System and method for fast binarization of bar codes in the presence of noise |
| US7044382B2 (en) * | 2002-06-28 | 2006-05-16 | Fujitsu Limited | Bar-code reader and computer product |
| US7050631B2 (en) * | 2002-10-30 | 2006-05-23 | Sick Auto Ident, Inc. | Barcode detection system |
| GB2395594A (en) * | 2002-11-21 | 2004-05-26 | Smartbead Technologies Ltd | Bioassay reading system using a computer to locate and identify microlabels by identifying spatially sequential groups or identification codes |
| JP4213490B2 (en) * | 2003-02-21 | 2009-01-21 | 富士通株式会社 | Bar code reader |
| JP4257131B2 (en) * | 2003-02-21 | 2009-04-22 | 富士通株式会社 | Bar code reading apparatus and bar code reading method |
| EP1615420B1 (en) * | 2003-04-15 | 2009-08-19 | Fujitsu Limited | Code recognizing method and device |
| US7156311B2 (en) * | 2003-07-16 | 2007-01-02 | Scanbuy, Inc. | System and method for decoding and analyzing barcodes using a mobile device |
| US7328847B1 (en) * | 2003-07-30 | 2008-02-12 | Hewlett-Packard Development Company, L.P. | Barcode data communication methods, barcode embedding methods, and barcode systems |
| US7242816B2 (en) * | 2003-08-11 | 2007-07-10 | Scanbuy, Inc. | Group average filter algorithm for digital image processing |
| WO2005062234A1 (en) * | 2003-12-04 | 2005-07-07 | Scanbuy, Inc. | Section based algorithm for image enhancement |
| US7387250B2 (en) * | 2003-12-04 | 2008-06-17 | Scanbuy, Inc. | System and method for on the spot purchasing by scanning barcodes from screens with a mobile device |
| CN100452077C (en) * | 2004-03-04 | 2009-01-14 | 夏普株式会社 | Method for extracting two-dimensional code area, its extracting device and electronic device |
| US7296747B2 (en) | 2004-04-20 | 2007-11-20 | Michael Rohs | Visual code system for camera-equipped mobile devices and applications thereof |
| US7309015B2 (en) * | 2004-07-14 | 2007-12-18 | Scanbuy, Inc. | Mobile device gateway providing access to instant information |
| US7528824B2 (en) * | 2004-09-30 | 2009-05-05 | Microsoft Corporation | Keyboard or other input device using ranging for detection of control piece movement |
| US7506816B2 (en) * | 2004-10-04 | 2009-03-24 | Datalogic Scanning, Inc. | System and method for determining a threshold for edge detection based on an undifferentiated equalized scan line signal |
| US20060213997A1 (en) * | 2005-03-23 | 2006-09-28 | Microsoft Corporation | Method and apparatus for a cursor control device barcode reader |
| US8286877B2 (en) * | 2005-06-13 | 2012-10-16 | Datalogic ADC, Inc. | System and method for data reading using raster scanning |
| US20060278712A1 (en) * | 2005-06-13 | 2006-12-14 | Psc Scanning, Inc. | Method and system for data reading using raster scanning |
| US7268705B2 (en) * | 2005-06-17 | 2007-09-11 | Microsoft Corporation | Input detection based on speckle-modulated laser self-mixing |
| US7557795B2 (en) * | 2005-06-30 | 2009-07-07 | Microsoft Corporation | Input device using laser self-mixing velocimeter |
| US7283214B2 (en) * | 2005-10-14 | 2007-10-16 | Microsoft Corporation | Self-mixing laser range sensor |
| US7543750B2 (en) * | 2005-11-08 | 2009-06-09 | Microsoft Corporation | Laser velocimetric image scanning |
| US7505033B2 (en) * | 2005-11-14 | 2009-03-17 | Microsoft Corporation | Speckle-based two-dimensional motion tracking |
| US20070109267A1 (en) * | 2005-11-14 | 2007-05-17 | Microsoft Corporation | Speckle-based two-dimensional motion tracking |
| US8016187B2 (en) | 2006-02-21 | 2011-09-13 | Scanbury, Inc. | Mobile payment system using barcode capture |
| US8150163B2 (en) | 2006-04-12 | 2012-04-03 | Scanbuy, Inc. | System and method for recovering image detail from multiple image frames in real-time |
| US8527285B2 (en) * | 2006-06-28 | 2013-09-03 | Pitney Bowes Inc. | Postage printing system for printing both postal and non-postal documents |
| US20080156619A1 (en) * | 2006-12-01 | 2008-07-03 | Mehul Patel | Range finder |
| JP4803091B2 (en) * | 2007-03-30 | 2011-10-26 | コニカミノルタビジネステクノロジーズ株式会社 | Image forming apparatus |
| US8186596B2 (en) * | 2008-12-16 | 2012-05-29 | Ncr Corporation | Apparatus, method and system for selective reading of pixels from an image capture device |
| JP5600278B2 (en) * | 2010-09-29 | 2014-10-01 | トッパン・フォームズ株式会社 | Bar code display medium |
| JP5623223B2 (en) * | 2010-09-29 | 2014-11-12 | トッパン・フォームズ株式会社 | Barcode display label |
| RU2583687C2 (en) | 2010-11-05 | 2016-05-10 | Моба Груп Б.В. | Method and apparatus for checking eggs |
| EP2638505B1 (en) * | 2010-11-10 | 2019-04-24 | Datalogic USA, Inc. | Adaptive data reader and method of operating |
| KR101748877B1 (en) * | 2010-12-16 | 2017-06-19 | 엘지이노텍 주식회사 | Apparatus and method for recognizing barcode |
| US10196088B2 (en) * | 2011-04-19 | 2019-02-05 | Ford Global Technologies, Llc | Target monitoring system and method |
| US8608074B2 (en) | 2011-12-20 | 2013-12-17 | Seiko Epson Corporation | Method and apparatus for locating and decoding machine-readable symbols |
| US8733656B2 (en) * | 2012-05-22 | 2014-05-27 | Cognex Corporation | Code and part associating method and apparatus |
| EP2808834B1 (en) * | 2013-05-29 | 2017-07-12 | BDT Media Automation GmbH | Method and apparatus for detecting and determining the presence of objects in storage facilities using a bar code reading device |
| US10112537B2 (en) | 2014-09-03 | 2018-10-30 | Ford Global Technologies, Llc | Trailer angle detection target fade warning |
| MX2017008822A (en) | 2014-12-31 | 2017-10-19 | Wal Mart Stores Inc | System and method for monitoring gas emission of perishable products. |
| EP3109823A1 (en) | 2015-06-22 | 2016-12-28 | Sick IVP AB | Method and arrangements for estimating one or more dominating orientations in a digital image |
| US10628736B2 (en) * | 2015-09-24 | 2020-04-21 | Huron Technologies International Inc. | Systems and methods for barcode annotations for digital images |
| US9495571B1 (en) | 2015-09-30 | 2016-11-15 | Datalogic Automation, Inc. | Two-dimensional representation of linear barcode derived from laser barcode scanner scanline data |
| CN106650862B (en) * | 2015-11-04 | 2019-06-28 | 光宝电子(广州)有限公司 | Bar code structure, decoding method and decoding device |
| US9594936B1 (en) | 2015-11-04 | 2017-03-14 | Datalogic Usa, Inc. | System and method for improved reading of data from reflective surfaces of electronic devices |
| TWI560620B (en) * | 2016-01-20 | 2016-12-01 | Qisda Corp | Barcode decoding method |
| US10466111B2 (en) * | 2016-05-05 | 2019-11-05 | Walmart Apollo, Llc | Systems and methods for monitoring temperature or movement of merchandise |
| WO2018217280A1 (en) | 2017-05-23 | 2018-11-29 | Walmart Apollo, Llc | Automated inspection system |
| US10710585B2 (en) | 2017-09-01 | 2020-07-14 | Ford Global Technologies, Llc | Trailer backup assist system with predictive hitch angle functionality |
| CN107622295A (en) * | 2017-09-20 | 2018-01-23 | 华南理工大学 | It is a kind of based on LED flat lamp the barcode encoding coding/decoding methods of EAN 13 and system |
| EP3534291B1 (en) * | 2018-03-01 | 2020-02-12 | Sick AG | Optoelectronic code reader and method for reading codes |
| US11448632B2 (en) | 2018-03-19 | 2022-09-20 | Walmart Apollo, Llc | System and method for the determination of produce shelf life |
| WO2020023762A1 (en) | 2018-07-26 | 2020-01-30 | Walmart Apollo, Llc | System and method for produce detection and classification |
| US11715059B2 (en) | 2018-10-12 | 2023-08-01 | Walmart Apollo, Llc | Systems and methods for condition compliance |
| EP3877948A4 (en) | 2018-11-05 | 2022-11-23 | Huron Technologies International Inc. | MEDICAL IMAGE MANAGEMENT SYSTEMS AND METHODS |
| WO2020106332A1 (en) | 2018-11-20 | 2020-05-28 | Walmart Apollo, Llc | Systems and methods for assessing products |
| NL2024079B1 (en) * | 2019-10-22 | 2021-07-13 | Filimade Holding B V | Method of identifying an item, waste separation and item comprising a dot code |
| EP4252190A4 (en) | 2020-11-24 | 2024-09-11 | Huron Technologies International Inc. | SYSTEMS AND METHODS FOR GENERATING CODED REPRESENTATIONS FOR MULTIPLE MAGNIFICATIONS OF IMAGE DATA |
| US12175476B2 (en) | 2022-01-31 | 2024-12-24 | Walmart Apollo, Llc | Systems and methods for assessing quality of retail products |
| EP4312150B1 (en) * | 2022-07-25 | 2024-07-10 | Sick Ag | Reading of an optical code |
| CN115759148B (en) * | 2023-01-10 | 2023-04-28 | 深圳思谋信息科技有限公司 | Image processing method, device, computer equipment and computer readable storage medium |
| US12412239B1 (en) * | 2023-03-28 | 2025-09-09 | Amazon Technologies, Inc. | Optical resolution determination from barcode chart images |
| US12425721B1 (en) | 2023-12-14 | 2025-09-23 | Amazon Technologies, Inc. | Optical lens characterization and calibration |
Family Cites Families (29)
| Publication number | Priority date | Publication date | Assignee | Title |
|---|---|---|---|---|
| US3599151A (en) * | 1969-12-29 | 1971-08-10 | Ibm | Character recognition photosensing apparatus having a threshold comparator circuit |
| US3675201A (en) * | 1970-02-24 | 1972-07-04 | Burroughs Corp | Threshold voltage determination system |
| US4143356A (en) * | 1977-10-31 | 1979-03-06 | Ncr Canada Ltd - Ncr Canada Ltee | Character recognition apparatus |
| US4356389A (en) * | 1980-06-27 | 1982-10-26 | Motorola Inc. | Bar code scanner interface |
| US4525747A (en) * | 1981-08-06 | 1985-06-25 | Toshiyuki Sakai | Analog-to-digital image signal conversion |
| US4468704A (en) * | 1982-10-28 | 1984-08-28 | Xerox Corporation | Adaptive thresholder |
| JPH0719275B2 (en) * | 1986-07-08 | 1995-03-06 | 住友電気工業株式会社 | Binarization circuit |
| US5979768A (en) * | 1988-01-14 | 1999-11-09 | Intermec I.P. Corp. | Enhanced bar code resolution through relative movement of sensor and object |
| US5635697A (en) * | 1989-03-01 | 1997-06-03 | Symbol Technologies, Inc. | Method and apparatus for decoding two-dimensional bar code |
| CA1329263C (en) * | 1989-03-01 | 1994-05-03 | Mark Krichever | Bar code scanner |
| JPH03126185A (en) * | 1989-10-12 | 1991-05-29 | Yokohama Rubber Co Ltd:The | Reading method for bar code |
| JPH041866A (en) * | 1990-04-18 | 1992-01-07 | Toyobo Co Ltd | Method and device for image processing |
| US5159340A (en) * | 1990-08-31 | 1992-10-27 | Hewlett-Packard Company | Signal digitizer for bar code readers |
| US5189710A (en) * | 1990-09-17 | 1993-02-23 | Teknekron Communications Systems, Inc. | Method and an apparatus for generating a video binary signal for a video image having a matrix of pixels |
| EP0498678B1 (en) * | 1991-02-08 | 2000-05-10 | Fujitsu Limited | High speed scan bar code reader which can read more than one type of bar code |
| JP3126185B2 (en) | 1991-11-25 | 2001-01-22 | 三井化学株式会社 | Polyamideimide resin and method for producing the same |
| US5487115A (en) * | 1992-05-14 | 1996-01-23 | United Parcel Service | Method and apparatus for determining the fine angular orientation of bar code symbols in two-dimensional CCD images |
| US5343028A (en) * | 1992-08-10 | 1994-08-30 | United Parcel Service Of America, Inc. | Method and apparatus for detecting and decoding bar code symbols using two-dimensional digital pixel images |
| JPH0687270B2 (en) * | 1992-09-16 | 1994-11-02 | インターナショナル・ビジネス・マシーンズ・コーポレイション | Line segment direction detecting device and method |
| US5486689A (en) * | 1993-01-22 | 1996-01-23 | Intermec Corporation | Method and apparatus for decoding unresolved multi-width bar code symbology profiles |
| US5389770A (en) * | 1993-01-22 | 1995-02-14 | Intermec Corporation | Method and apparatus for decoding unresolved bar code profiles |
| EP0685478B1 (en) * | 1993-02-16 | 2001-10-24 | Ube Industries, Ltd. | Quinoline derivatives |
| GB9325439D0 (en) * | 1993-12-13 | 1994-02-16 | Ncr Int Inc | Barcode reading method and apparatus |
| US5576532A (en) * | 1995-01-03 | 1996-11-19 | Xerox Corporation | Interleaved and interlaced sync codes and address codes for self-clocking glyph codes |
| US5514858A (en) * | 1995-02-10 | 1996-05-07 | Intermec Corporation | Method and apparatus for decoding unresolved complex multi-width bar code symbology profiles |
| US5694102A (en) * | 1995-12-21 | 1997-12-02 | Xerox Corporation | Vector reconstruction of asynchronously captured tiled embedded data blocks |
| US5969325A (en) * | 1996-06-03 | 1999-10-19 | Accu-Sort Systems, Inc. | High speed image acquisition system and method of processing and decoding barcode symbol |
| US5902987A (en) * | 1997-02-20 | 1999-05-11 | Intermec Ip Corporation | Apparatus and method of rapidly locating edges of machine-readable symbols or other linear images |
| US6250551B1 (en) * | 1998-06-12 | 2001-06-26 | Symbol Technologies, Inc. | Autodiscrimination and line drawing techniques for code readers |
-
1996
- 1996-06-03 US US08/660,152 patent/US5969325A/en not_active Expired - Fee Related
-
1997
- 1997-06-03 EP EP97926869A patent/EP0917685B1/en not_active Expired - Lifetime
- 1997-06-03 AU AU31528/97A patent/AU3152897A/en not_active Abandoned
- 1997-06-03 CA CA002255576A patent/CA2255576C/en not_active Expired - Fee Related
- 1997-06-03 WO PCT/US1997/009447 patent/WO1997046965A2/en not_active Ceased
- 1997-06-03 DE DE69716087T patent/DE69716087T2/en not_active Expired - Fee Related
- 1997-06-03 AT AT97926869T patent/ATE225539T1/en not_active IP Right Cessation
- 1997-06-03 JP JP10500750A patent/JP3115610B2/en not_active Expired - Fee Related
- 1997-06-03 EP EP02021639A patent/EP1278151A3/en not_active Withdrawn
-
1999
- 1999-04-07 US US09/287,448 patent/US6015089A/en not_active Expired - Lifetime
-
2000
- 2000-01-14 US US09/483,154 patent/US6193158B1/en not_active Expired - Lifetime
-
2001
- 2001-02-26 US US09/792,901 patent/US6386454B2/en not_active Expired - Lifetime
Cited By (40)
| Publication number | Priority date | Publication date | Assignee | Title |
|---|---|---|---|---|
| US8141783B2 (en) | 2000-07-18 | 2012-03-27 | Harris Scott C | Barcode device |
| US8746565B2 (en) | 2000-07-18 | 2014-06-10 | Cutting Edge Codes, LLC | Barcode device |
| US8763907B2 (en) | 2000-07-18 | 2014-07-01 | Cutting Edge Codes Llc | Barcode device |
| US7963446B2 (en) | 2000-07-18 | 2011-06-21 | Bartex Research, Llc | Bar code device |
| US8733658B2 (en) | 2000-07-18 | 2014-05-27 | Cutting Edge Codes Llc | Barcode device |
| US8733657B2 (en) | 2000-07-18 | 2014-05-27 | Cutting Edge Codes Llc | Barcode device |
| US7878400B2 (en) | 2000-07-18 | 2011-02-01 | Bartex Research, Llc | Barcode device |
| US7967207B1 (en) * | 2000-07-18 | 2011-06-28 | Bartex Research, Llc | Bar code data entry device |
| US7578443B1 (en) | 2000-07-18 | 2009-08-25 | Bartex Research Llc | Barcode device |
| US20080191025A1 (en) * | 2000-07-18 | 2008-08-14 | Harris Scott C | Bar code device |
| US20080169352A1 (en) * | 2000-07-18 | 2008-07-17 | Harris Scott C | Barcode Device |
| US20030127518A1 (en) * | 2001-12-28 | 2003-07-10 | Park Moon Sung | System and method for identifying object information |
| US6880758B2 (en) * | 2001-12-28 | 2005-04-19 | Electronics And Telecommunication Research Institute | System and method for identifying object information |
| US6708884B1 (en) * | 2002-06-25 | 2004-03-23 | The United States Of America As Represented By The Secretary Of The Army | Method and apparatus for rapid and precision detection of omnidirectional postnet barcode location |
| US7344081B2 (en) * | 2003-05-22 | 2008-03-18 | Transpacific Ip, Ltd. | Method of automatically detecting a test result of a probe zone of a test strip |
| US20060094127A1 (en) * | 2003-05-22 | 2006-05-04 | Wen-Chao Tseng | Method of automatically detecting a test result of a probe zone of a test strip |
| US20070215707A1 (en) * | 2004-04-16 | 2007-09-20 | Kolstad Jesse J | Barcode scanner with linear automatic gain control (AGC), modulation transfer function detector, and selectable noise filter |
| US20070158426A1 (en) * | 2004-04-16 | 2007-07-12 | Kolstad Jesse J | Barcode scanner with linear automatic gain control (AGC), modulation transfer function detector, and selectable noise filter |
| US7832644B2 (en) * | 2004-04-16 | 2010-11-16 | Microscan Systems, Inc. | Barcode scanner with linear automatic gain control (AGC), modulation transfer function detector, and selectable noise filter |
| US7743993B2 (en) | 2004-04-16 | 2010-06-29 | Microscan Systems, Inc. | Barcode scanner with linear automatic gain control (AGC), modulation transfer function detector, and selectable noise filter |
| US20060180669A1 (en) * | 2005-02-16 | 2006-08-17 | Denso Wave Incorporated | Method and apparatus for optically reading out information stored in a barcode |
| US9230147B2 (en) * | 2005-02-16 | 2016-01-05 | Denso Wave Incorporated | Method and apparatus for optically reading out information stored in a barcode |
| US7172124B2 (en) * | 2005-03-10 | 2007-02-06 | Microsoft Corporation | Camera-based barcode recognition |
| US20060202039A1 (en) * | 2005-03-10 | 2006-09-14 | Microsoft Corporation | Camera-based barcode recognition |
| US20090127326A1 (en) * | 2007-11-20 | 2009-05-21 | Datalogic Scanning, Inc. | Enhanced virtual scan line processing |
| US8172145B2 (en) * | 2007-11-20 | 2012-05-08 | Datalogic ADC, Inc. | Enhanced virtual scan line processing |
| US8570393B2 (en) | 2007-11-30 | 2013-10-29 | Cognex Corporation | System and method for processing image data relative to a focus of attention within the overall image |
| WO2010093680A1 (en) * | 2009-02-11 | 2010-08-19 | Cognex Corporation | System and method for capturing and detecting barcodes using vision on chip processor |
| US9189670B2 (en) | 2009-02-11 | 2015-11-17 | Cognex Corporation | System and method for capturing and detecting symbology features and parameters |
| US9104935B1 (en) | 2010-12-30 | 2015-08-11 | Cognex Corporation | Mark reader configured to prioritize images |
| US8550349B2 (en) | 2011-08-25 | 2013-10-08 | International Business Machines Corporation | System for recovering a barcode |
| US8740081B2 (en) * | 2011-11-03 | 2014-06-03 | Cognex Corporation | Method and apparatus for ordering code candidates in image for decoding attempts |
| US20140361084A1 (en) * | 2011-11-03 | 2014-12-11 | Cognex Corporation | Method and Apparatus for Ordering Code Candidates in Image for Decoding Attempts |
| CN103150536A (en) * | 2011-11-03 | 2013-06-12 | 康耐视公司 | Method and apparatus for ordering code candidates in an image for decoding attempts |
| US9760752B2 (en) * | 2011-11-03 | 2017-09-12 | Cognex Corporation | Method and apparatus for ordering code candidates in image for decoding attempts |
| US20180157886A1 (en) * | 2011-11-03 | 2018-06-07 | Cognex Corporation | Method and apparatus for ordering code candidates in image for decoding attempts |
| US10325129B2 (en) * | 2011-11-03 | 2019-06-18 | Cognex Corporation | Method and apparatus for ordering code candidates in image for decoding attempts |
| US11341384B2 (en) * | 2014-08-28 | 2022-05-24 | Banctec, Incorporated | Document processing system and method for associating metadata with a physical document while maintaining the integrity of its content |
| US9818012B2 (en) | 2014-12-02 | 2017-11-14 | International Business Machines Corporation | Method for barcode detection, barcode detection system, and program therefor |
| CN112955896A (en) * | 2018-10-31 | 2021-06-11 | 三星电子株式会社 | Method and electronic device for reading bar code |
Also Published As
| Publication number | Publication date |
|---|---|
| JP3115610B2 (en) | 2000-12-11 |
| EP1278151A2 (en) | 2003-01-22 |
| US6015089A (en) | 2000-01-18 |
| JP2000507727A (en) | 2000-06-20 |
| US6386454B2 (en) | 2002-05-14 |
| US6193158B1 (en) | 2001-02-27 |
| AU3152897A (en) | 1998-01-05 |
| WO1997046965A3 (en) | 1998-02-26 |
| US5969325A (en) | 1999-10-19 |
| DE69716087D1 (en) | 2002-11-07 |
| EP0917685B1 (en) | 2002-10-02 |
| CA2255576C (en) | 2002-01-22 |
| DE69716087T2 (en) | 2003-07-03 |
| CA2255576A1 (en) | 1997-12-11 |
| EP0917685A2 (en) | 1999-05-26 |
| ATE225539T1 (en) | 2002-10-15 |
| EP1278151A3 (en) | 2003-02-12 |
| WO1997046965A2 (en) | 1997-12-11 |
Similar Documents
| Publication | Publication Date | Title |
|---|---|---|
| US6386454B2 (en) | Detecting bar code candidates | |
| EP1086439B1 (en) | Techniques for reading postal codes | |
| EP0669593B1 (en) | Two-dimensional code recognition method | |
| US6064763A (en) | Time-efficient method of analyzing imaged input data to locate two-dimensional machine-readable symbols or other linear images therein | |
| US5504319A (en) | Method and system for bar code acquisition | |
| EP0766191B1 (en) | Method and apparatus for decoding two-dimensional symbols in the spatial domain | |
| US5936224A (en) | Method and apparatus for reading machine-readable symbols by employing a combination of multiple operators and/or processors | |
| JP3209108B2 (en) | 2D code reader | |
| US6366696B1 (en) | Visual bar code recognition method | |
| US6097839A (en) | Method and apparatus for automatic discriminating and locating patterns such as finder patterns, or portions thereof, in machine-readable symbols | |
| EP1138013B1 (en) | Skew processing of raster scan images | |
| US20020044689A1 (en) | Apparatus and method for global and local feature extraction from digital images | |
| EP0685809A2 (en) | Method and apparatus for decoding two-dimensional bar code | |
| JPH1063772A (en) | Method and device for detecting and decoding symbol having data matrix symbol and readable with machine | |
| CN110414293A (en) | Decode bar code | |
| JPH0612515A (en) | Method and apparatus for decoding two-dimensional bar code using CCD / CMD camera | |
| US7050631B2 (en) | Barcode detection system | |
| JPH0896059A (en) | Bar code reader | |
| JP7062722B2 (en) | Specifying the module size of the optical cord | |
| US5902987A (en) | Apparatus and method of rapidly locating edges of machine-readable symbols or other linear images | |
| EP1455296B1 (en) | Method and system for verifying transitions between contrasting elements | |
| JP7522168B2 (en) | Code reader and optical code reading method | |
| JP3567904B2 (en) | 2D code reader | |
| JP2001229339A (en) | Barcode reader |
Legal Events
| Date | Code | Title | Description |
|---|---|---|---|
| STCF | Information on status: patent grant |
Free format text: PATENTED CASE |
|
| AS | Assignment |
Owner name: UNION NATIONAL BANK AND TRUST COMPANY OF SOUDERTON Free format text: SECURITY INTEREST;ASSIGNOR:ACCU-SORT SYSTEMS, INC.;REEL/FRAME:013333/0727 Effective date: 20020627 |
|
| FPAY | Fee payment |
Year of fee payment: 4 |
|
| REMI | Maintenance fee reminder mailed | ||
| FPAY | Fee payment |
Year of fee payment: 8 |
|
| SULP | Surcharge for late payment |
Year of fee payment: 7 |
|
| AS | Assignment |
Owner name: ACCU-SORT SYSTEMS, INC., PENNSYLVANIA Free format text: ASSIGNMENT OF ASSIGNORS INTEREST;ASSIGNORS:HECHT, KURT;NESKOVIC, MILORAD;SHREESHA, VASANTH;AND OTHERS;REEL/FRAME:026969/0904 Effective date: 19960617 |
|
| AS | Assignment |
Owner name: ACCU-SORT SYSTEMS, INC., PENNSYLVANIA Free format text: RELEASE BY SECURED PARTY;ASSIGNOR:UNIVEST NATIONAL BANK AND TRUST COMPANY (F/K/A UNION NATIONAL BANK AND TRUST COMPANY OF SOUDERTON);REEL/FRAME:027027/0877 Effective date: 20111005 |
|
| FPAY | Fee payment |
Year of fee payment: 12 |
|
| AS | Assignment |
Owner name: DATALOGIC AUTOMATION, INC., PENNSYLVANIA Free format text: MERGER AND CHANGE OF NAME;ASSIGNORS:DATALOGIC AUTOMATION, INC.;ACCU-SORT SYSTEMS, INC.;REEL/FRAME:036327/0443 Effective date: 20120701 |


