US20010002486A1 - Leak-resistant cryptographic method and apparatus - Google Patents
Leak-resistant cryptographic method and apparatus Download PDFInfo
- Publication number
- US20010002486A1 US20010002486A1 US09/737,182 US73718200A US2001002486A1 US 20010002486 A1 US20010002486 A1 US 20010002486A1 US 73718200 A US73718200 A US 73718200A US 2001002486 A1 US2001002486 A1 US 2001002486A1
- Authority
- US
- United States
- Prior art keywords
- key
- cryptographic
- rsa
- parameters
- private key
- Prior art date
- Legal status (The legal status is an assumption and is not a legal conclusion. Google has not performed a legal analysis and makes no representation as to the accuracy of the status listed.)
- Granted
Links
Images
Classifications
-
- H—ELECTRICITY
- H04—ELECTRIC COMMUNICATION TECHNIQUE
- H04L—TRANSMISSION OF DIGITAL INFORMATION, e.g. TELEGRAPHIC COMMUNICATION
- H04L9/00—Cryptographic mechanisms or cryptographic arrangements for secret or secure communications; Network security protocols
- H04L9/32—Cryptographic mechanisms or cryptographic arrangements for secret or secure communications; Network security protocols including means for verifying the identity or authority of a user of the system or for message authentication, e.g. authorization, entity authentication, data integrity or data verification, non-repudiation, key authentication or verification of credentials
- H04L9/3247—Cryptographic mechanisms or cryptographic arrangements for secret or secure communications; Network security protocols including means for verifying the identity or authority of a user of the system or for message authentication, e.g. authorization, entity authentication, data integrity or data verification, non-repudiation, key authentication or verification of credentials involving digital signatures
-
- G—PHYSICS
- G06—COMPUTING OR CALCULATING; COUNTING
- G06F—ELECTRIC DIGITAL DATA PROCESSING
- G06F21/00—Security arrangements for protecting computers, components thereof, programs or data against unauthorised activity
- G06F21/50—Monitoring users, programs or devices to maintain the integrity of platforms, e.g. of processors, firmware or operating systems
- G06F21/55—Detecting local intrusion or implementing counter-measures
- G06F21/556—Detecting local intrusion or implementing counter-measures involving covert channels, i.e. data leakage between processes
-
- G—PHYSICS
- G06—COMPUTING OR CALCULATING; COUNTING
- G06F—ELECTRIC DIGITAL DATA PROCESSING
- G06F21/00—Security arrangements for protecting computers, components thereof, programs or data against unauthorised activity
- G06F21/60—Protecting data
- G06F21/602—Providing cryptographic facilities or services
-
- G—PHYSICS
- G06—COMPUTING OR CALCULATING; COUNTING
- G06F—ELECTRIC DIGITAL DATA PROCESSING
- G06F21/00—Security arrangements for protecting computers, components thereof, programs or data against unauthorised activity
- G06F21/70—Protecting specific internal or peripheral components, in which the protection of a component leads to protection of the entire computer
- G06F21/71—Protecting specific internal or peripheral components, in which the protection of a component leads to protection of the entire computer to assure secure computing or processing of information
- G06F21/75—Protecting specific internal or peripheral components, in which the protection of a component leads to protection of the entire computer to assure secure computing or processing of information by inhibiting the analysis of circuitry or operation
- G06F21/755—Protecting specific internal or peripheral components, in which the protection of a component leads to protection of the entire computer to assure secure computing or processing of information by inhibiting the analysis of circuitry or operation with measures against power attack
-
- G—PHYSICS
- G06—COMPUTING OR CALCULATING; COUNTING
- G06F—ELECTRIC DIGITAL DATA PROCESSING
- G06F7/00—Methods or arrangements for processing data by operating upon the order or content of the data handled
- G06F7/60—Methods or arrangements for performing computations using a digital non-denominational number representation, i.e. number representation without radix; Computing devices using combinations of denominational and non-denominational quantity representations, e.g. using difunction pulse trains, STEELE computers, phase computers
- G06F7/72—Methods or arrangements for performing computations using a digital non-denominational number representation, i.e. number representation without radix; Computing devices using combinations of denominational and non-denominational quantity representations, e.g. using difunction pulse trains, STEELE computers, phase computers using residue arithmetic
- G06F7/723—Modular exponentiation
-
- G—PHYSICS
- G06—COMPUTING OR CALCULATING; COUNTING
- G06Q—INFORMATION AND COMMUNICATION TECHNOLOGY [ICT] SPECIALLY ADAPTED FOR ADMINISTRATIVE, COMMERCIAL, FINANCIAL, MANAGERIAL OR SUPERVISORY PURPOSES; SYSTEMS OR METHODS SPECIALLY ADAPTED FOR ADMINISTRATIVE, COMMERCIAL, FINANCIAL, MANAGERIAL OR SUPERVISORY PURPOSES, NOT OTHERWISE PROVIDED FOR
- G06Q20/00—Payment architectures, schemes or protocols
- G06Q20/30—Payment architectures, schemes or protocols characterised by the use of specific devices or networks
- G06Q20/36—Payment architectures, schemes or protocols characterised by the use of specific devices or networks using electronic wallets or electronic money safes
- G06Q20/367—Payment architectures, schemes or protocols characterised by the use of specific devices or networks using electronic wallets or electronic money safes involving electronic purses or money safes
-
- H—ELECTRICITY
- H04—ELECTRIC COMMUNICATION TECHNIQUE
- H04L—TRANSMISSION OF DIGITAL INFORMATION, e.g. TELEGRAPHIC COMMUNICATION
- H04L63/00—Network architectures or network communication protocols for network security
- H04L63/14—Network architectures or network communication protocols for network security for detecting or protecting against malicious traffic
- H04L63/1441—Countermeasures against malicious traffic
-
- H—ELECTRICITY
- H04—ELECTRIC COMMUNICATION TECHNIQUE
- H04L—TRANSMISSION OF DIGITAL INFORMATION, e.g. TELEGRAPHIC COMMUNICATION
- H04L9/00—Cryptographic mechanisms or cryptographic arrangements for secret or secure communications; Network security protocols
- H04L9/002—Countermeasures against attacks on cryptographic mechanisms
-
- H—ELECTRICITY
- H04—ELECTRIC COMMUNICATION TECHNIQUE
- H04L—TRANSMISSION OF DIGITAL INFORMATION, e.g. TELEGRAPHIC COMMUNICATION
- H04L9/00—Cryptographic mechanisms or cryptographic arrangements for secret or secure communications; Network security protocols
- H04L9/08—Key distribution or management, e.g. generation, sharing or updating, of cryptographic keys or passwords
- H04L9/0816—Key establishment, i.e. cryptographic processes or cryptographic protocols whereby a shared secret becomes available to two or more parties, for subsequent use
- H04L9/0838—Key agreement, i.e. key establishment technique in which a shared key is derived by parties as a function of information contributed by, or associated with, each of these
- H04L9/0841—Key agreement, i.e. key establishment technique in which a shared key is derived by parties as a function of information contributed by, or associated with, each of these involving Diffie-Hellman or related key agreement protocols
-
- H—ELECTRICITY
- H04—ELECTRIC COMMUNICATION TECHNIQUE
- H04L—TRANSMISSION OF DIGITAL INFORMATION, e.g. TELEGRAPHIC COMMUNICATION
- H04L9/00—Cryptographic mechanisms or cryptographic arrangements for secret or secure communications; Network security protocols
- H04L9/08—Key distribution or management, e.g. generation, sharing or updating, of cryptographic keys or passwords
- H04L9/0891—Revocation or update of secret information, e.g. encryption key update or rekeying
-
- H—ELECTRICITY
- H04—ELECTRIC COMMUNICATION TECHNIQUE
- H04L—TRANSMISSION OF DIGITAL INFORMATION, e.g. TELEGRAPHIC COMMUNICATION
- H04L9/00—Cryptographic mechanisms or cryptographic arrangements for secret or secure communications; Network security protocols
- H04L9/30—Public key, i.e. encryption algorithm being computationally infeasible to invert or user's encryption keys not requiring secrecy
- H04L9/3006—Public key, i.e. encryption algorithm being computationally infeasible to invert or user's encryption keys not requiring secrecy underlying computational problems or public-key parameters
- H04L9/3013—Public key, i.e. encryption algorithm being computationally infeasible to invert or user's encryption keys not requiring secrecy underlying computational problems or public-key parameters involving the discrete logarithm problem, e.g. ElGamal or Diffie-Hellman systems
-
- H—ELECTRICITY
- H04—ELECTRIC COMMUNICATION TECHNIQUE
- H04L—TRANSMISSION OF DIGITAL INFORMATION, e.g. TELEGRAPHIC COMMUNICATION
- H04L9/00—Cryptographic mechanisms or cryptographic arrangements for secret or secure communications; Network security protocols
- H04L9/30—Public key, i.e. encryption algorithm being computationally infeasible to invert or user's encryption keys not requiring secrecy
- H04L9/3006—Public key, i.e. encryption algorithm being computationally infeasible to invert or user's encryption keys not requiring secrecy underlying computational problems or public-key parameters
- H04L9/302—Public key, i.e. encryption algorithm being computationally infeasible to invert or user's encryption keys not requiring secrecy underlying computational problems or public-key parameters involving the integer factorization problem, e.g. RSA or quadratic sieve [QS] schemes
-
- G—PHYSICS
- G06—COMPUTING OR CALCULATING; COUNTING
- G06F—ELECTRIC DIGITAL DATA PROCESSING
- G06F2207/00—Indexing scheme relating to methods or arrangements for processing data by operating upon the order or content of the data handled
- G06F2207/72—Indexing scheme relating to groups G06F7/72 - G06F7/729
- G06F2207/7219—Countermeasures against side channel or fault attacks
-
- G—PHYSICS
- G06—COMPUTING OR CALCULATING; COUNTING
- G06F—ELECTRIC DIGITAL DATA PROCESSING
- G06F2207/00—Indexing scheme relating to methods or arrangements for processing data by operating upon the order or content of the data handled
- G06F2207/72—Indexing scheme relating to groups G06F7/72 - G06F7/729
- G06F2207/7219—Countermeasures against side channel or fault attacks
- G06F2207/7223—Randomisation as countermeasure against side channel attacks
- G06F2207/7257—Random modification not requiring correction
-
- H—ELECTRICITY
- H04—ELECTRIC COMMUNICATION TECHNIQUE
- H04L—TRANSMISSION OF DIGITAL INFORMATION, e.g. TELEGRAPHIC COMMUNICATION
- H04L2209/00—Additional information or applications relating to cryptographic mechanisms or cryptographic arrangements for secret or secure communication H04L9/00
- H04L2209/56—Financial cryptography, e.g. electronic payment or e-cash
Definitions
- the method and apparatus of the present invention relate generally to cryptographic systems and, more specifically, to securing cryptographic tokens that must maintain the security of secret information in hostile environments.
- cryptographic tokens such as smartcards used in electronic cash and copy protection schemes
- a token is a device that contains or manipulates cryptographic keys that need to be protected from attackers.
- tokens may be manufactured include, without limitation, smartcards, specialized encryption and key management devices, secure telephones, secure picture phones, secure web servers, consumer electronics devices using cryptography, secure microprocessors, and other tamper-resistant cryptographic systems.
- a variety of physical techniques for protecting cryptographic devices are known, including enclosing key management systems in physically durable enclosures, coating integrated circuits with special coatings that destroy the chip when removed, and wrapping devices with fine wires that detect tampering.
- these approaches are expensive, difficult to use in single-chip solutions (such as smartcards), and difficult to evaluate since there is no mathematical basis for their security.
- Physical tamper resistance techniques are also ineffective against some attacks. For example, recent work by Cryptography Research has shown that attackers can non-invasively extract secret keys using careful measurement and analysis of many devices' power consumption. Analysis of timing measurements or electromagnetic radiation can also be used to find secret keys.
- Some techniques for hindering external monitoring of cryptographic secrets are known, such as using power supplies with large capacitors to mask fluctuations in power consumption, enclosing devices in well-shielded cases to prevent electromagnetic radiation, message blinding to prevent timing attacks, and buffering of inputs/outputs to prevent signals from leaking out on I/O lines. Shielding, introduction of noise, and other such countermeasures are often, however, of limited value, since skilled attackers can still find keys by amplifying signals and filtering out noise by averaging data collected from many operations. Further, in smartcards and other tamper-resistant chips, these countermeasures are often inapplicable or insufficient due to reliance on external power sources, impracticality of shielding, and other physical constraints.
- Timing attacks are also known, but does not prevent more complex attacks such as power consumption analysis (particularly if the system designer cannot perfectly predict what information will be available to an attacker, as is often the case before a device has been physically manufactured and characterized).
- the present invention makes use of previously-known cryptographic primitives and operations.
- U.S. Pat. 5,136,646 to Haber et al. and the pseudorandom number generator used in the RSAREF cryptographic library use repeated application of hash functions; anonymous digital cash schemes use blinding techniques; zero knowledge protocols use hash functions to mask information; and key splitting and threshold schemes store secrets in multiple parts.
- the present invention introduces leak-proof and leak-resistant cryptography, mathematical approaches to tamper resistance that support many existing cryptographic primitives, are inexpensive, can be implemented on existing hardware (whether by itself or via software capable of running on such hardware), and can solve problems involving secrets leaking out of cryptographic devices. Rather than assuming that physical devices will provide perfect security, leak-proof and leak-resistant cryptographic systems may be designed to remain secure even if attackers are able to gather some information about the system and its secrets.
- This invention describes leak-proof and leak-resistant systems that implement symmetric authentication, Diffie-Hellman exponential key agreement, ElGamal public key encryption, ElGamal signatures, the Digital Signature Standard, RSA, and other algorithms.
- leak-proof cryptosystems are able to withstand leaks of up to L MAX bits of information per transaction, where L MAX is a security factor chosen by the system designer to exceed to the maximum anticipated leak rate.
- L MAX is a security factor chosen by the system designer to exceed to the maximum anticipated leak rate.
- the more general class of leak-resistant cryptosystems includes leak-proof cryptosystems, and others that can withstand leaks but are not necessarily defined to withstand any defined maximum information leakage rate. Therefore, any leak-proof system shall also be understood to be leak-resistant.
- the leak-resistant systems of the present invention can survive a variety of monitoring and eavesdropping attacks that would break traditional (non-leak-resistant) cryptosystems.
- a typical leak-resistant cryptosystem of the present invention consists of three general parts.
- the initialization or key generation step produces secure keying material appropriate for the scheme.
- the update process cryptographically modifies the secret key material in a manner designed to render useless any information about the secrets that may have previously leaked from the system, thus providing security advantages over systems of the background art.
- the final process performs cryptographic operations, such as producing digital signatures or decrypting messages.
- FIG. 1 shows an exemplary leak-resistant symmetric authentication method.
- FIG. 2 shows an exemplary leak-resistant Diffie-Hellman exponential key exchange operation.
- FIG. 3 shows an exemplary leak-resistant RSA private key operation.
- FIG. 4 shows an exemplary leak-resistant ElGamal signing operation.
- the leakage rate L is defined as the number of bits of useful information about a cryptosystem's secrets that are revealed per operation, where an operation is a cryptographic transaction. Although an attacker may be able to collect more than L bits worth of measurement data, by definition this data yields no more than L bits of useful information about the system's secrets.
- L MAX the maximum amount of leakage per operation the system may allow if it is to remain uncompromised.
- L MAX should be chosen conservatively, and normally should significantly exceed the amount of useful information known to be leaked to attackers about the system's secrets during each transaction.
- Designers do not necessarily need to know accurately or completely the quantity and type of information that may leak from their systems; the choice of L MAX may be made using estimates and models for the system's behavior.
- General factors affecting the choice of L MAX include the types of monitoring potentially available to attackers, the amount of error in attacker 3 measurements, and engineering constraints that limit L MAX .
- L MAX Larger values of L MAX increase memory and performance requirements of the device, and in some cases may increase L.
- L Larger values of L MAX increase memory and performance requirements of the device, and in some cases may increase L.
- an attacker could collect by monitoring a device's power consumption, for example, a designer might consider the amount of noise in the device's power usage, the power line capacitance, the useful time resolution for power consumption measurements, as well as the strength of the signals being monitored. Similarly, the designer knows that timing measurements can rarely yield more than a few bits of information per operation, since timing information is normally quantized to an integral number of clock cycles. In choosing L MAX , the designer should assume that attackers will be able to combine information gleaned from multiple types of attacks.
- additional design features should be added to reduce L and reduce the value needed for L MAX .
- additional measures can include known methods, such as filtering the device's power inputs, adding shielding, introducing noise into the timing or power consumption, implementing constant-time and constant execution path algorithms, and changing the device layout.
- Attackers can gain additional information about the keys by measuring additional operations; unless leak-resistance is used, finding the key becomes easy after just a few dozen operations.
- Leak-proof (and, more generally, leak-resistant) cryptosystems provide system designers with important advantages.
- a careful cryptosystem designer should study all possible information available to attackers if he or she is to ensure that no analytical techniques could be used to compromise the keys.
- many insecure systems are developed and deployed because such analysis is incomplete, too difficult even to attempt, or because the cryptographers working on the system do not understand or cannot completely control the physical characteristics of the device they are designing. Unexpected manufacturing defects or process changes, alterations made to the product by attackers, or modifications made to the product in the field can also introduce problems.
- leak-proof cryptography Even a system designed and analyzed with great care can be broken if new or improved data collection and analysis techniques are found later. In contrast, with leak-proof cryptography, the system designer only needs to define an upper bound on the maximum rate at which attackers can extract information about the keys. A detailed understanding of the information available to attackers is not required, since leak-proof (and leak-resistant) cryptosystem designs allow for secret information in the device to leak out in (virtually) any way, yet remain secure despite this because leaked information is only of momentary value.
- the attacker is assumed to be able to choose any function F i and determine the L MAX -bit result of computing F i on the device's secrets, inputs, intermediates, and outputs over the course of the operation.
- the attacker is even allowed to choose a new function F i with each new operation.
- the system may be considered leak-proof with a security factor n and leak rate L MAX if, after observing a large number of operations, an attacker cannot forge signatures, decrypt data, or perform other sensitive operations without performing an exhaustive search to find an n-bit key or performing a comparable O(2 n ) operation.
- An exemplary cryptographic protocol that can be secured using the techniques of the present invention is symmetric authentication.
- n-bit secret key K
- K n-bit secret key
- the cryptographic token should be able to resist tampering to prevent, for example, attackers from being able to extract secrets from a stolen token.
- L tamper resistance
- the user sends A to the server, which independently computes A (using its copy of K) and compares its result with the received value. The user authentication succeeds only if the comparison operation indicates a match.
- the server If the function H is secure and if K is sufficiently large to prevent brute force attacks, attackers should not be able to obtain any useful information from the (R,A) values of old authentication sessions. To ensure that attackers cannot impersonate users by replaying old values of A, the server generates values of R that are effectively (with sufficiently high probability) unique. In most cases, the server should also make R unpredictable to ensure that an attacker with temporary possession of a token cannot compute future values of A. For example, R might be a 128-bit number produced using a secure random number generator (or pseudorandom number generator) in the server.
- the properties of cryptographic hash functions such as H have been the subject of considerable discussion in the literature, and need not be described in detail here.
- Hash functions typically provide functionality modeled after a random oracle, deterministically producing a particular output from any input. Ideally, such functions should be collision-resistant, non-invertable, should not leak partial information about the input from the output, and should not leak information about the output unless the entire input is known. Hash functions can have any output size. For example, MD5 produces 128-bit outputs and SHA produces 160-bit outputs. Hash functions may be constructed from other cryptographic primitives or other hash functions.
- n a leak-resistant (and, in fact, also leak-proof) symmetric authentication protocol, described in the context of a maximum leakage rate of L MAX bits per transaction from the token and a security factor n, meaning that attacks of complexity O(2 n ), such as brute-force attacks against an n-bit key, are acceptable, but there should not be significantly easier attacks.
- the user's token maintains a counter t, which is initialized to zero, and an (n+2L MAX )-bit shared secret K t , which is initialized with a secret K 0 . Note that against adversaries performing precomputation attacks based on Hellman's time/memory trade-off, larger values of n may be in order.
- the server begins the authentication process by generating a unique and unpredictable value R at step 105.
- R might be a 128-bit output from a secure random number generator.
- the server sends R to the user's token.
- the token receives R.
- the token increments its counter t by computing t ⁇ t+1.
- the token updates K t by computing K t ⁇ H K (t
- the token deletes the old values of t and K t , replacing them with the new values. By deleting the old K t , the token ensures that future leak functions cannot reveal information about the old (deleted) value.
- the token sends both t and the authenticator A to the server, which receives them at step 130.
- the server verifies that t is acceptable (e.g., not too large but larger than the value received in the last successful authentication). If t is invalid, the server proceeds to step 175.
- the server initializes its loop counter i to zero and its key register K t ′ to K 0 .
- the server compares i with the received value of t, proceeding to step 160 if they are equal. Otherwise, at step 150, the server increments i by computing i ⁇ i+1.
- the server computes K t ′ ⁇ H K (i
- the server compares A and A′, where the authentication succeeds at step 170 if they match, or fails at 175 if they do not match.
- the attacker is assumed to begin with L MAX bits of useful information about K t before the token's K t ⁇ H K (t
- Initial information about anything other than K t is of no value to an attacker because K t is the only secret value in the token.
- the function H K and the value of t are not assumed to be secret.
- the attacker's information can be any function of K t produced from the previous operation's leaks.
- the leak function F might reveal up to L MAX information about the system and its secrets.
- the hash function H K effectively mixes up these n bits to produce a secure new K t during each transaction such that the attacker's information about the old K t is no longer useful.
- a third possibility is that the attacker's L MAX bits of information might describe intermediates computed during the operation H K .
- the system would be secure, since the attacker would never have more than 2L MAX bits of information about the input K t or more than L MAX bits of information about the output K t .
- L MAX bits of information from within H K cannot reveal more than L MAX bits of information about the input, or more than L MAX bits of information about the output, the system will be secure. This will be true unless H K somehow compresses the input to form a short intermediate which is expanded to form the output. While hash functions whose internal states are smaller than their outputs should not be used, most cryptographic hash functions are fine.
- H A should not leak information about deleted or future values of K t that are not used in or produced by the given operation. As with the similar assumptions on leaks from H K , this limitation is primarily academic and of little practical concern, since real-world leak functions do not reveal information about deleted or not-yet-computed data.
- leak-resistant symmetric data verification is often useful where a device needs to support symmetrically-signed code, data, content, or parameter updates (all of which will, as a matter of convenience, be denoted as “data” herein).
- a hash or MAC of the data is typically computed using a secret key and the data is rejected if computed hash or MAC does not match a value received with the data.
- a MAC may be computed as HMAC(K,data), where HMAC is defined in “RFC 2104, HMAC:Keyed-Hashing for Message Authentication” by H. Krawczyk, M. Bellare, and R. Canetti, 1997.
- Traditional (non-leak-resistant) designs are often vulnerable to attacks including power consumption analysis of MAC finctions and timing analysis of comparison operations.
- a verifying device maintains a counter t and a key K t , which are initialized (for example at the factory) with t ⁇ 0 and K t ⁇ K 0 .
- the verifier provides t to the device providing the signed data (the “signer”), which also knows K 0 .
- the signer uses t to compute K t+1 ′ (the prime indicating a quantity derived by the signer, rather than at the verifier) from K 0 (or K t ′ or any other available value of K i ′).
- K i ′ H K (i
- computes signature S′ HMAC(K t+ 1 ′, data)
- the verifier confirms that the received value of t (if any) matches its value of t, and rejects the signature if it does not. If t matches, the verifier increments t and updates K t in its nonvolatile memory by computing t ⁇ t+1 and K t ⁇ H K (t
- leak-resistant symmetric cryptography can also be tailored to a wide variety of applications and environments. For example, if data encryption is desired instead of authentication, the same techniques as were disclosed above may be used to generate a key K t used for encryption rather than verification.
- the protocol can include a step whereby the server can authenticates itself to the user (or user's token) after the user's authentication is complete.
- the server needs to be secured against leaks as well (as in the case where the role of “server” is played by an ordinary user), it can maintain its own counter t. In each transaction, the parties agree to use the larger of their two t values, where the device with the smaller t value performs extra updates to K t to synchronize t.
- the update operation may be performed periodically, for example by computing K t ⁇ H K (t
- R) or, if the token does not have any means for receiving R, it can output A HA(K t ).
- the server can use its clock and local copy of the secret to maintain its own version of K t , which it can use to determine whether received values of A are recent and correct.
- Diffie-Hellman exponential key exchange is a widely used asymmetric protocol whereby two parties who do not share a secret key can negotiate a shared secret key. Implementations of Diffie-Hellman can leak information about the secret exponents, enabling attackers to determine the secret keys produced by those implementations. Consequently, a leak-resistant implementation of Diffie-Hellman would be useful. To understand such a leak-resistant implementation, it will be useful to first review a conventional Diffie-Hellman implementation.
- Typical protocols in the background art for performing certified Diffie-Hellman exponential key agreement involve two communicating users (or devices) and a certifying authority (CA).
- the CA uses an asymmetric signature algorithm (such as DSA) to sign certificates that specify a user's public Diffie-Heilman parameters (the prime p and generator g), public key (p x mod g, where x is the user's secret exponent), and auxiliary information (such as the user's identity, a description of privileges granted to the certificate holder, a serial number, expiration date, etc.). Certificates may be verified by anyone with the CA's public signature verification key.
- DSA asymmetric signature algorithm
- ⁇ ⁇ u
- ⁇ ⁇ u
- p ⁇ u
- p ⁇ u
- p ⁇
- Alice and Bob can positively identify themselves by showing that they correctly found z. For example, each can compute and send the other the hash of z concatenated with their own certificate. Once Alice and Bob have verified each other, they can use a symmetric key derived from z to secure their communications. (For an example of a protocol in the background art that uses authenticated Diffie-Hellman, see “The SSL Protocol Version 3.0” by A. Freier, P. Karlton, and P. Kocher, Mar. 1996.)
- a satisfactory leak-resistant public key cryptographic scheme should overcome the problem that, while certification requires the public key be constant, information about the corresponding private key should not leak out of the token that contains it.
- the design assumes that the leak function reveals no useful information about old deleted values of K t or about future values of K t that have not yet been computed.
- Existing public key schemes require that implementations repeatedly perform a consistent, usually deterministic, operation using the private key. For example, in the case of Diffie-Hellman, a leak-resistant token that is compatible with existing protocols and implementations should be able to perform the secret key operation y x mod p, while ensuring that the exponent x remains secret. The radical reshuffling of the secret provided by the hash finction H K in the symmetric approach cannot be used because the device should be able to perform the same operation consistently.
- the prime p and generator g may be global parameters, or may be specific to individual users or groups of users (or tokens). In either case, the certificate recipient should be able to obtain p and g securely, usually as built-in constants or by extracting them from the certificate.
- the key generation device (often but not always the cryptographic token that will contain the key) first obtains or generates p and g, where p is the prime and g is a generator mod p. If p and g are not system-wide parameters, algorithms known in the background art for selecting large prime numbers and generators may be used. It is recommended that p be chosen with (p ⁇ 1)/2 also prime, or at least that ⁇ (p) not be smooth. (When (p ⁇ 1)/2 is not prime, information about x 1 and x 2 modulo small factors of ⁇ (p) may be leaked, which is why it is preferable that ⁇ (p) not be smooth.
- the device Once p and g have been chosen, the device generates two random exponents x 1 and x 2 . The lowest-order bit of x 1 and of x 2 is not considered secret, and may be set to 1. Using p, g, x 1 and x 2 , the device can then compute its public key as g x 1 x 2 mod p and submit it, along with any required identifying information or parameters needed (e.g., p and g), to the CA for certification.
- FIG. 2 illustrates the process followed by the token to perform private key operations.
- the token obtains the input message y, its own (non-secret) prime p, and its own secret key halves (x 1 and x 2 ). If x 1 , x 2 , and p are stored in encrypted and/or authenticated form, they would be decrypted or verified at this point.
- the token should verify that 1 ⁇ y ⁇ 1.
- the token uses a random number generator (or pseudorandom number generator) to select a random integer b 0 , where 0 ⁇ b 0 ⁇ p.
- b 1 is no longer needed; its storage space may be used to store b 2 .
- Efficient algorithms for computing modular exponentiation widely known in the art, may be used to complete step 220.
- the token updates x 1 by computing x 1 ⁇ x 1 r 1 mod ⁇ (p). The old value of x 1 is deleted and replaced with the updated value.
- the token updates x 2 by computing x 2 ⁇ x 2 r 2 mod ⁇ (p).
- the token erases and frees any remaining temporary variables.
- the invention is useful for private key owners communicating with other users (or devices) who have certificates, and also when communicating with users who do not.
- Alice has a certificate and wishes to communicate with Bob who does not have a certificate
- the protocol proceeds as follows.
- Alice sends her certificate (C Alice ) to Bob, who receives it and verifies that it is acceptable.
- Bob extracts y Alice (along with p Alice and g Alice , unless they are system-wide parameters) from C Alice .
- Bob generates a random exponent X BA , where 0 ⁇ X AB ⁇ (P Alice ).
- Bob sends Y BA to Alice, who performs the operation illustrated in FIG.
- Alice and Bob can use z (or, more commonly, a key derived from z) to secure their communications.
- Bob sen Alice, and Alice sends y AB to Bob.
- Alice and Bob each perform the operation shown in FIG. 2, where each uses the prime p from their own certificate and their own secret exponent halves (x 1 and x 2 ).
- Alice uses y BA (received from Bob), and Bob uses y AB (received from Alice).
- Alice computes z.
- the value of z Bob obtains using the process shown in FIG. 2 should equal Alice's z AB
- Alice and Bob now share K.
- Alice can prove her identity by showing that she computed K correctly, for example by sending Bob H(K
- Bob can prove his identity by sending Alice H(K
- Alice and Bob can then secure their communications by encrypting and authenticating using K or a key derived from K.
- certificates may come from a directory, more than two parties can participate in the key agreement, key escrow functionality may be added, the prime modulus p may be replaced with a composite number, etc.
- Alice and Bob as they are called in the protocol are not necessarily people; they would normally be computers, cryptographic devices, etc.
- RSA asymmetric cryptographic protocol
- RSA private key operations rely on secret exponents. If information about these secret exponents leaks from an implementation, its security can be compromised. Consequently, a leak-resistant implementation of RSA would be useful.
- the first, private key signing involves signing a message with one's own private key to produce a digital signature verifiable by anyone with one's corresponding public key.
- An RSA public key consists of e and n, while an RSA private key consists of d and n (or other representations of them). For RSA to be secure, d, ⁇ (n), p, and q should all be secret.
- the other RSA operation is decryption, which is used to recover messages encrypted using one's public key.
- An exemplary leak-resistant scheme for RSA implementations may be constructed as illustrated in FIG. 3.
- the device is initialized with (or creates) the public and private keys.
- d 1 and d 2 replace the usual RSA secret exponent d.
- Techniques for generating the initial RSA primes (e.g., p and q) and modulus (n) are well known in the background art.
- the device computes a random prime k′ of medium size (e.g., 0 ⁇ k′ ⁇ 2 128 ). (Algorithms for efficiently generating prime numbers are known in the art.)
- the device receives a message M to sign (or to decrypt).
- the device updates z by computing z ⁇ k′z.
- the device updates z again by computing z ⁇ z/k. (There should be no remainder from this operation, since k divides z.)
- k is replaced with k′ by performing k ⁇ k′. Because k′will not be used in subsequent operations, its storage space may be used to hold R (produced at step 325).
- the device updates d 1 by computing d 1 R mod z.
- the device finds the inverse of R by computing R′ ⁇ R -1 mod z using, for example, the extended Euclidean algorithm. Note that R is no longer needed after this step, so its storage space may be erased and used to hold R′.
- the device updates d 2 by computing d 2 ⁇ d 2 R′ mod z.
- the device computes a random integer r where 0 ⁇ r ⁇ d 1 , adds r to d 2 (i.e., d 2 ⁇ d 2 +r), and subtracts r from d 1 , (i.e., d 1 ⁇ d 1 -r). Otherwise, if d 1 ⁇ d 2 , then the device chooses a random integer r where 0 ⁇ r ⁇ d 2 , adds r to d 1 (i.e., d 1 ⁇ d 1 +r), and subtracts r from d 2 (i.e., d 2 ⁇ d 2 -r).
- this approach of splitting the exponent into two halves whose sum equals the exponent can also be used with Diffie-Hellman and other cryptosystems, dividing the exponent into the product of two numbers mod ⁇ (p) is usually preferable since the assumption that information about d 1 +d 2 will not leak is less conservative than the assumption that information about x 1 x 2 mod ⁇ (p) will not leak.
- updates mod ⁇ (n) cannot be done safely, since ⁇ (n) must be kept secret.
- An exemplary embodiment maintains state information consisting of the values n, B i , B f , pk , qk , d pk , d qk , PInv , and f.
- a random value for k is chosen, where 0 ⁇ k ⁇ 2 64 .
- the value B i is chosen at random where 0 ⁇ B i ⁇ n
- R l and R 2 are chosen at random where 0 ⁇ R l ⁇ 2 64 and 0 ⁇ R 2 ⁇ 2 64 .
- the leak-resistant private key state is then initialized by setting n ⁇ pq,B f ⁇ B i -d p k mod n, pk ⁇ (k)(p), qk ⁇ (k)(q),d pk ⁇ d p +(R l )(p)-R l d qk ⁇ d q +(R 2 )(q)-R 2 , PInv ⁇ k(p -1 mod q), and f ⁇ 0.
- a random value ⁇ may be produced where 0 ⁇ 2 64 . Then compute p k ⁇ (( ⁇ )(qk))/k, PInv ⁇ (( ⁇ )( PInv ))/k,k ⁇ The exponents d pk and d qk may be updated by computing d pk ⁇ d pk ⁇ (R 3p -R 3 k) and d qk ⁇ d qk ⁇ (R 4qk -R 4 k), where R 3 and R 4 can be random or constant values (even 1).
- Update processes should be performed as often as practical, for example before or after each modular exponentiation process. Before the update begins, a failure counter f is incremented, and when the update completes fis set to zero. If f ever exceeds a threshold value indicating too many consecutive failures, the device should temporarily or permanently disable itself. Note that if the update process is interrupted, memory values should not be left in intermediate states. This can be done by using complete reliable memory updates. If the total set of variable changes is too large for a single complete update, it is possible to store ⁇ first then do each variable update reliably which keeping track of how many have been completed.
- the input message C is received by the modular exponentiator.
- the value is blinded by computing C′ ⁇ (C)(B i ) mod n.
- the blinded input message is then used to compute modified CRT intermediates by computing m pk ⁇ (C′) d pk P k mod p k and m qk ⁇ (C′) d qk mod q k .
- the CRT intermediates are multiplied by k, e.g.
- m pk (m pk [+qk]-m qk) [mod qk], where the addition of qk and/or reduction mod qk are optional. (The addition of qk ensures that the result is non-negative.)
- exponent vector codings may be rechosen frequently using, for example, a random number generator.
- ElGamal and related cryptosystems are widely used for digital signatures and public key encryption. If information about the secret exponents and parameters leaks from an ElGamal implementation, security can be compromised. Consequently, leak-resistant implementations of ElGamal would be useful.
- the private key in the ElGamal public key encryption scheme is a randomly selected secret ⁇ where 1 ⁇ p ⁇ 2.
- the non-secret parameters are a prime p, a generator ⁇ , and ⁇ ⁇ mod p.
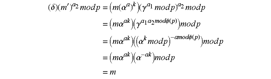
- FIG. 4 illustrates an exemplary leak-resistant ElGamal decryption process.
- the decryption device receives an encrypted message pair ( ⁇ , ⁇ ).
- the device updates ⁇ 1 by computing ⁇ 1 r 1 , mod ⁇ (p), over-writing the old value of ⁇ 1 with the new value.
- the device updates a 2 by computing a 2 ⁇ 2 r 2 mod ⁇ (p).
- the private key for the ElGamal digital signature scheme is a randomly-selected secret ⁇ , where 1 ⁇ p ⁇ 2.
- the private key holder chooses or precomputes a random secret integer k (where 1 ⁇ k ⁇ p ⁇ 2 and k is relatively prime to p ⁇ 1) and its inverse, k -1 mod ⁇ (p).
- the token When a message m is to be signed (or during the precomputation before signing), the token generates a random number b and its inverse b -1 mod ⁇ (p), where b is relatively prime to ⁇ (p) and 0 ⁇ b ⁇ (p).
- the token then updates a k , w, and r by computing a k ⁇ (a k )(b -1 ) mod 526 (p), w ⁇ (w)(b -1 ) mod ⁇ (p), and r ⁇ (r b ) mod p.
- DSA Digital Signature Algorithm
- DSS Digital Signature Standard
- DSS Digital Signature Standard
- Federal Information Processing Standards Publication 186 National Institute of Standards and Technology, May 19, 1994 and described in detail in the Handbook of Applied Cryptography, pages 452 to 454.
- DSA is widely used for digital signatures. If information about the secret key leaks from a DSA implementation, security can be compromised. Consequently, leak-resistant implementations of DSA would be useful.
- the private key consists of a secret parameter ⁇
- the token When a message m is to be signed (or during the precomputation before signing), the token generates a random integer b and its inverse b -1 mod q, where 0 ⁇ b ⁇ q.
- the token then updates ak and k by computing a k ⁇ ( ⁇ kb -1 mod q)(k) mod q, followed by k ⁇ b.
- b -1 H(m) mod q and (a k r) mod q are computed first, then combined mod q.
- a k and k should be randomized prior to the first operation, since the first update may leak more information than subsequent updates. It is thus recommended that a dummy signature (or parameter update) be performed immediately after key generation.
- Valid signatures produced using the leak-resistant DSA process may be checked using the normal DSA signature verification procedure.
- Still other cryptographic processes can be made leak-proof or leak-resistant, or may be incorporated into leak-resistant cryptosystems.
- cryptosystems such as those based on elliptic curves (including elliptic curve analogs of other cryptosystems), secret sharing schemes, anonymous electronic cash protocols, threshold signatures schemes, etc. be made leak resistant using the techniques of the present invention.
- Leak-resistant designs avoid performing repeated mathematical operations using non-changing (static) secret values, since they are likely to leak out.
- a simple function such as an exclusive OR
- Implementers should also be aware of interruption attacks, such as those that involve disconnecting the power or resetting a device during an operation, to ensure that secrets will not be compromised or that a single leaky operation will not be performed repeatedly.
- interruption attacks such as those that involve disconnecting the power or resetting a device during an operation, to ensure that secrets will not be compromised or that a single leaky operation will not be performed repeatedly.
- devices can increment a counter in nonvolatile memory prior to each operation, and reset or reduce the counter value when the operation completes successfully. If the number of interrupted operations since the last successful update exceeds a threshold value, the device can disable itself.
- Other tamper resistance mechanisms and techniques such as the use of fixed-time and fixed-execution path code or implementations for critical operat conjunction with leak resistance, particularly for systems with a relatively low self-healing rate (e.g., L MAX is small).
- Leak-resistant algorithms, protocols, and devices may be used in virtually any application requiring cryptographic security and secure key management, including without limitation: smartcards, electronic cash, electronic payments, funds transfer, remote access, timestamping, certification, certificate validation, secure e-mail, secure facsimile, telecommunications security (voice and data), computer networks, radio and satellite communications, infrared communications, access control, door locks, wireless keys, biometric devices, automobile ignition locks, copy protection devices, payment systems, systems for controlling the use and payment of copyrighted information, and point of sale terminals.
Landscapes
- Engineering & Computer Science (AREA)
- Computer Security & Cryptography (AREA)
- Theoretical Computer Science (AREA)
- Computer Networks & Wireless Communication (AREA)
- Physics & Mathematics (AREA)
- General Physics & Mathematics (AREA)
- Signal Processing (AREA)
- Computing Systems (AREA)
- Computer Hardware Design (AREA)
- General Engineering & Computer Science (AREA)
- Business, Economics & Management (AREA)
- Software Systems (AREA)
- Accounting & Taxation (AREA)
- Mathematical Analysis (AREA)
- Computational Mathematics (AREA)
- Pure & Applied Mathematics (AREA)
- Mathematical Optimization (AREA)
- Finance (AREA)
- Mathematical Physics (AREA)
- Strategic Management (AREA)
- General Business, Economics & Management (AREA)
- General Health & Medical Sciences (AREA)
- Bioethics (AREA)
- Health & Medical Sciences (AREA)
- Storage Device Security (AREA)
- Electrical Discharge Machining, Electrochemical Machining, And Combined Machining (AREA)
- Radar Systems Or Details Thereof (AREA)
- Cash Registers Or Receiving Machines (AREA)
- Telephone Function (AREA)
- Detergent Compositions (AREA)
- Bidet-Like Cleaning Device And Other Flush Toilet Accessories (AREA)
- Burglar Alarm Systems (AREA)
Abstract
Description
- This application claims the benefit of U.S. Provisional application Ser. No. 60/070,344 filed Jan. 2, 1998, and U.S. Provisional application Ser. No. 60/089,529 filed June 15, 1998.
- The method and apparatus of the present invention relate generally to cryptographic systems and, more specifically, to securing cryptographic tokens that must maintain the security of secret information in hostile environments.
- Most cryptosystems require secure key management. In public-key based security systems, private keys must be protected so that attackers cannot use the keys to forge digital signatures, modify data, or decrypt sensitive information. Systems employing symmetric cryptography similarly require that keys be kept secret. Well-designed cryptographic algorithms and protocols should prevent attackers who eavesdrop on communications from breaking systems. However, cryptographic algorithms and protocols traditionally require that tamper-resistant hardware or other implementation-specific measures prevent attackers from accessing or finding the keys.
- If the cryptosystem designer can safely assume that the key management system is completely tamper-proof and will not reveal any information relating to the keys except via the messages and operations defined in the protocol, then previously known cryptographic techniques are often sufficient for good security. It is currently extremely difficult, however, to make hardware key management systems that provide good security, particularly in low-cost unshielded cryptographic devices for use in applications where attackers will have physical control over the device. For example, cryptographic tokens (such as smartcards used in electronic cash and copy protection schemes) must protect their keys even in potentially hostile environments. (A token is a device that contains or manipulates cryptographic keys that need to be protected from attackers. Forms in which tokens may be manufactured include, without limitation, smartcards, specialized encryption and key management devices, secure telephones, secure picture phones, secure web servers, consumer electronics devices using cryptography, secure microprocessors, and other tamper-resistant cryptographic systems.)
- A variety of physical techniques for protecting cryptographic devices are known, including enclosing key management systems in physically durable enclosures, coating integrated circuits with special coatings that destroy the chip when removed, and wrapping devices with fine wires that detect tampering. However, these approaches are expensive, difficult to use in single-chip solutions (such as smartcards), and difficult to evaluate since there is no mathematical basis for their security. Physical tamper resistance techniques are also ineffective against some attacks. For example, recent work by Cryptography Research has shown that attackers can non-invasively extract secret keys using careful measurement and analysis of many devices' power consumption. Analysis of timing measurements or electromagnetic radiation can also be used to find secret keys.
- Some techniques for hindering external monitoring of cryptographic secrets are known, such as using power supplies with large capacitors to mask fluctuations in power consumption, enclosing devices in well-shielded cases to prevent electromagnetic radiation, message blinding to prevent timing attacks, and buffering of inputs/outputs to prevent signals from leaking out on I/O lines. Shielding, introduction of noise, and other such countermeasures are often, however, of limited value, since skilled attackers can still find keys by amplifying signals and filtering out noise by averaging data collected from many operations. Further, in smartcards and other tamper-resistant chips, these countermeasures are often inapplicable or insufficient due to reliance on external power sources, impracticality of shielding, and other physical constraints. The use of blinding and constant-time mathematical algorithms to prevent timing attacks is also known, but does not prevent more complex attacks such as power consumption analysis (particularly if the system designer cannot perfectly predict what information will be available to an attacker, as is often the case before a device has been physically manufactured and characterized).
- The present invention makes use of previously-known cryptographic primitives and operations. For example: U.S. Pat. 5,136,646 to Haber et al. and the pseudorandom number generator used in the RSAREF cryptographic library use repeated application of hash functions; anonymous digital cash schemes use blinding techniques; zero knowledge protocols use hash functions to mask information; and key splitting and threshold schemes store secrets in multiple parts.
- The present invention introduces leak-proof and leak-resistant cryptography, mathematical approaches to tamper resistance that support many existing cryptographic primitives, are inexpensive, can be implemented on existing hardware (whether by itself or via software capable of running on such hardware), and can solve problems involving secrets leaking out of cryptographic devices. Rather than assuming that physical devices will provide perfect security, leak-proof and leak-resistant cryptographic systems may be designed to remain secure even if attackers are able to gather some information about the system and its secrets. This invention describes leak-proof and leak-resistant systems that implement symmetric authentication, Diffie-Hellman exponential key agreement, ElGamal public key encryption, ElGamal signatures, the Digital Signature Standard, RSA, and other algorithms.
- One of the characteristic attributes of a typical leak-proof or leak-resistant cryptosystem is that it is “self-healing” such that the value of information leaked to an attacker decreases or vanishes with time. Leak-proof cryptosystems are able to withstand leaks of up to L MAX bits of information per transaction, where LMAX is a security factor chosen by the system designer to exceed to the maximum anticipated leak rate. The more general class of leak-resistant cryptosystems includes leak-proof cryptosystems, and others that can withstand leaks but are not necessarily defined to withstand any defined maximum information leakage rate. Therefore, any leak-proof system shall also be understood to be leak-resistant. The leak-resistant systems of the present invention can survive a variety of monitoring and eavesdropping attacks that would break traditional (non-leak-resistant) cryptosystems.
- A typical leak-resistant cryptosystem of the present invention consists of three general parts. The initialization or key generation step produces secure keying material appropriate for the scheme. The update process cryptographically modifies the secret key material in a manner designed to render useless any information about the secrets that may have previously leaked from the system, thus providing security advantages over systems of the background art. The final process performs cryptographic operations, such as producing digital signatures or decrypting messages.
- FIG. 1 shows an exemplary leak-resistant symmetric authentication method.
- FIG. 2 shows an exemplary leak-resistant Diffie-Hellman exponential key exchange operation.
- FIG. 3 shows an exemplary leak-resistant RSA private key operation.
- FIG. 4 shows an exemplary leak-resistant ElGamal signing operation.
- The sections following will describe an introduction to leak-proof/leak-resistant cryptography, followed by various embodiments of the general techniques of the invention as applied to improve the security of common cryptographic protocols.
- I. Introduction and Terminology
- The leakage rate L is defined as the number of bits of useful information about a cryptosystem's secrets that are revealed per operation, where an operation is a cryptographic transaction. Although an attacker may be able to collect more than L bits worth of measurement data, by definition this data yields no more than L bits of useful information about the system's secrets.
- The implementer of a leak-proof system chooses a design parameter L MAX, the maximum amount of leakage per operation the system may allow if it is to remain uncompromised. LMAX should be chosen conservatively, and normally should significantly exceed the amount of useful information known to be leaked to attackers about the system's secrets during each transaction. Designers do not necessarily need to know accurately or completely the quantity and type of information that may leak from their systems; the choice of LMAX may be made using estimates and models for the system's behavior. General factors affecting the choice of LMAX include the types of monitoring potentially available to attackers, the amount of error in attacker3 measurements, and engineering constraints that limit LMAX. (Larger values of LMAX increase memory and performance requirements of the device, and in some cases may increase L.) To estimate the amount of useful information an attacker could collect by monitoring a device's power consumption, for example, a designer might consider the amount of noise in the device's power usage, the power line capacitance, the useful time resolution for power consumption measurements, as well as the strength of the signals being monitored. Similarly, the designer knows that timing measurements can rarely yield more than a few bits of information per operation, since timing information is normally quantized to an integral number of clock cycles. In choosing LMAX, the designer should assume that attackers will be able to combine information gleaned from multiple types of attacks. If the leakage rate is too large (as in the extreme case where L equals the key size because the entire key can be extracted during a single transaction), additional design features should be added to reduce L and reduce the value needed for LMAX. Such additional measures can include known methods, such as filtering the device's power inputs, adding shielding, introducing noise into the timing or power consumption, implementing constant-time and constant execution path algorithms, and changing the device layout. Again, note that the designer of a leak-resistant system does not actually need to know what information is being revealed or how it is leaked; all he or she need do is choose an upper bound for the rate at which attackers might learn information about the keys. In contrast, the designer of a traditional system faces the much harder task of ensuring that no information about the secrets will leak out.
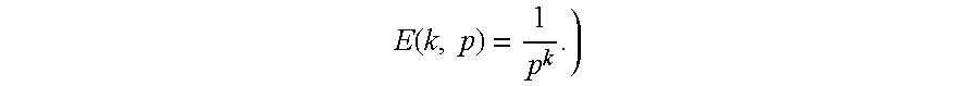
- There are many ways information about secrets can leak from cryptosystems. For example, an attacker can use a high-speed analog-to-digital converter to record a smartcard's power consumption during a cryptographic operation. The amount of useful information that can be gained from such a measurement varies, but it would be fairly typical to gain enough information to guess each of 128 key bits correctly with a probability of 0.7. This information can reduce the amount of effort required for a brute force attack. For example, a brute force attack with one message against a key containing k bits where each bit's value is known with probability p can be completed in
- operations. The reduction in the effort for a brute force attack is equivalent to shortening the key by L=log 2(E(k,{fraction (1/2)})/E(k,p))=log2(k−E(k,p)−1) bits. (For example, in the case of k=128 and p=0.7, L is estimated to be about 11 bits for the first measurement. With a multiple message attack, the attacker's effort can fall to as low as
- Attackers can gain additional information about the keys by measuring additional operations; unless leak-resistance is used, finding the key becomes easy after just a few dozen operations.
- When choosing L MAX, a system designer should consider the signal-to-noise ratio of an attacker's measurements. For example, if the signal and noise are of roughly equivalent magnitude, the designer knows that an attacker's measurements should be incorrect about 25 percent of the time (e.g., p=0.75 if only one observation per key bit is possible). Many measurement techniques, such as those involving timing, may have signal-to-noise ratios of 1:100 or worse. With such systems, L is generally quite small, but attackers who can make a large number of measurements can use averaging or other statistical techniques to recover the entire key. In extreme cases, attackers may be able to obtain all key bits with virtually perfect accuracy from a single transaction (i.e., L=k), necessitating the addition of shielding, noise in the power consumption (or elsewhere), and other measures to reduce p and L. Of course, LMAX should be chosen conservatively; in the example above where less than 4 useful bits are obtained per operation for the given attack, the designer might select LMAX =64 for a leak-proof design.
- Leak-proof (and, more generally, leak-resistant) cryptosystems provide system designers with important advantages. When designing a traditional (i.e., non-leak-resistant and non-leak-proof) cryptosystem, a careful cryptosystem designer should study all possible information available to attackers if he or she is to ensure that no analytical techniques could be used to compromise the keys. In practice, many insecure systems are developed and deployed because such analysis is incomplete, too difficult even to attempt, or because the cryptographers working on the system do not understand or cannot completely control the physical characteristics of the device they are designing. Unexpected manufacturing defects or process changes, alterations made to the product by attackers, or modifications made to the product in the field can also introduce problems. Even a system designed and analyzed with great care can be broken if new or improved data collection and analysis techniques are found later. In contrast, with leak-proof cryptography, the system designer only needs to define an upper bound on the maximum rate at which attackers can extract information about the keys. A detailed understanding of the information available to attackers is not required, since leak-proof (and leak-resistant) cryptosystem designs allow for secret information in the device to leak out in (virtually) any way, yet remain secure despite this because leaked information is only of momentary value.
- In a typical leak-proof design, with each new cryptographic operation i, the attacker is assumed to be able to choose any function F i and determine the LMAX-bit result of computing Fi on the device's secrets, inputs, intermediates, and outputs over the course of the operation. The attacker is even allowed to choose a new function Fi with each new operation. The system may be considered leak-proof with a security factor n and leak rate LMAX if, after observing a large number of operations, an attacker cannot forge signatures, decrypt data, or perform other sensitive operations without performing an exhaustive search to find an n-bit key or performing a comparable O(2n) operation. In addition to choosing LMAX, designers also choose n, and should select a value large enough to make exhaustive search infeasible. In the sections that follow, various embodiments of the invention, as applied to improve the security of common cryptographic operations and protocols, will be described in more detail.
- II. Symmetric Cryptographic Protocols
- A. Symmetric Authentication
- An exemplary cryptographic protocol that can be secured using the techniques of the present invention is symmetric authentication.
- 1. Conventional Symmetric Authentication
- Assume a user wishes to authenticate herself to a server using an n-bit secret key, K, known to both the server and the user's cryptographic token, but not known to attackers. The cryptographic token should be able to resist tampering to prevent, for example, attackers from being able to extract secrets from a stolen token. If the user's token has perfect tamper resistance (i.e., L=0), authentication protocols of the background art can be used. Typically the server sends a unique, unpredictable challenge value R to the user's token, which computes the value A=H(R||K), where “|” denotes concatenation and H is a one-way cryptographic hash function such as SHA. The user sends A to the server, which independently computes A (using its copy of K) and compares its result with the received value. The user authentication succeeds only if the comparison operation indicates a match.
- If the function H is secure and if K is sufficiently large to prevent brute force attacks, attackers should not be able to obtain any useful information from the (R,A) values of old authentication sessions. To ensure that attackers cannot impersonate users by replaying old values of A, the server generates values of R that are effectively (with sufficiently high probability) unique. In most cases, the server should also make R unpredictable to ensure that an attacker with temporary possession of a token cannot compute future values of A. For example, R might be a 128-bit number produced using a secure random number generator (or pseudorandom number generator) in the server. The properties of cryptographic hash functions such as H have been the subject of considerable discussion in the literature, and need not be described in detail here. Hash functions typically provide functionality modeled after a random oracle, deterministically producing a particular output from any input. Ideally, such functions should be collision-resistant, non-invertable, should not leak partial information about the input from the output, and should not leak information about the output unless the entire input is known. Hash functions can have any output size. For example, MD5 produces 128-bit outputs and SHA produces 160-bit outputs. Hash functions may be constructed from other cryptographic primitives or other hash functions.
- While the cryptographic security of the protocol using technology of the background art may be good, it is not leak-proof; even a one-bit leak function (with L=1) can reveal the key. For example, if the leak function F equals bit (R mod n) of K, an attacker can break the system quickly since a new key bit is revealed with every transaction where (R mod n) has a new value. Therefore, there is a need for a leak-proof/leak-resistant symmetric authentication protocol.
- 2. Leak-Resistant Symmetric Authentication
- The following is one embodiment of a leak-resistant (and, in fact, also leak-proof) symmetric authentication protocol, described in the context of a maximum leakage rate of L MAX bits per transaction from the token and a security factor n, meaning that attacks of complexity O(2n), such as brute-force attacks against an n-bit key, are acceptable, but there should not be significantly easier attacks. The user's token maintains a counter t, which is initialized to zero, and an (n+2LMAX)-bit shared secret Kt, which is initialized with a secret K0. Note that against adversaries performing precomputation attacks based on Hellman's time/memory trade-off, larger values of n may be in order. Note also that some useful protocol security features, such as user and/or server identifiers in the hash operation inputs, have been omitted for simplicity in the protocol description. It is also assumed that no leaking will occur from the server. For simplicity in the protocol description, some possible security features (such as user and/or server identifiers in the hash operation inputs) have been omitted, and it is assumed that the server is in a physically secure environment. However, those skilled in the art will appreciate that the invention is not limited to such assumptions, which have been made as a matter of convenience rather than necessity.
- As in the traditional protocol, the server begins the authentication process by generating a unique and unpredictable value R at
step 105. For example, R might be a 128-bit output from a secure random number generator. Atstep 110, the server sends R to the user's token. Atstep 112, the token receives R. Atstep 115, the token increments its counter t by computing t ←t+ 1. Atstep 120, the token updates Kt by computing Kt ←HK(t ||Kt), where HK is a cryptographic hash finction that produces an (n+2LMAX) bit output from the old value of Kt and the (newly incremented) value of t. Note that in the replacement operations (denoted “←”), the token deletes the old values of t and Kt, replacing them with the new values. By deleting the old Kt, the token ensures that future leak functions cannot reveal information about the old (deleted) value. Atstep 122, the token uses the new values of t and Kt to compute an authenticator A=HA(Kt||t||R). Atstep 125, the token sends both t and the authenticator A to the server, which receives them atstep 130. Atstep 135, the server verifies that t is acceptable (e.g., not too large but larger than the value received in the last successful authentication). If t is invalid, the server proceeds to step 175. Otherwise, atstep 140, the server initializes its loop counter i to zero and its key register Kt′ to K0. Atstep 145, the server compares i with the received value of t, proceeding to step 160 if they are equal. Otherwise, atstep 150, the server increments i by computing i←i+1. Atstep 155, the server computes Kt′←HK(i||Kt), then proceeds back tostep 145. Atstep 160, the server computes A′=HA(Kt′||t||R). Finally, atstep 165, the server compares A and A′, where the authentication succeeds atstep 170 if they match, or fails at 175 if they do not match. - This design assumes that at the beginning of any transaction the attacker may have L MAX bits of useful information about the state of the token (e.g., Kt) that were obtained using the leak function F in a previous operation. During the transaction, the attacker can gain an additional LMAX bits of useful information from the token. If, at any time, any 2LMAX (or fewer) bits of useful information about the secret are known to the attacker, there are still (n+2LMAX)−2LMAX=n or more unknown bits. These n bits of unknown information ensure that attacks will require O(2n) effort, corresponding to the desired security factor. However, the attacker should have no more than LMAX bits of useful information about Kt at the end of the transaction. The property that attackers lose useful information during normal operation of the system is a characteristic of the leak-proof or leak-resistant cryptosystem. In general, this information loss is achieved when the cryptosystem performs operations that convert attackers' useful partial information about the secret into useless information. (Information is considered useless if it gives an attacker nothing better than the ability to test candidate values in an O(2n) exhaustive search or other “hard” operation. For example, if exhaustive search of X is hard and H is a good hash function, H(X) is useless information to an attacker trying to find X.)
- Thus, the attacker is assumed to begin with L MAX bits of useful information about Kt before the token's Kt←HK(t||Kt) computation. (Initial information about anything other than Kt is of no value to an attacker because Kt is the only secret value in the token. The function HK and the value of t are not assumed to be secret.) The attacker's information can be any function of Kt produced from the previous operation's leaks.
- 3. Security Characteristics of Leak-Proof Systems
- The following section provides a technical discussion of the security characteristics of the exemplary leak-proof system described above. The following analysis is provided as an example of how the design can be analyzed, and how a system may be designed using general assumptions about attackers' capabilities. The discussion and assumptions do not necessarily apply to other embodiments of the invention and should not be construed as limiting the scope or applicability of the invention in any way.
- During the course of a transaction, the leak function F might reveal up to L MAX information about the system and its secrets. The design assumed that any information contained in the system may be leaked by F, provided that F does not reveal useful new information about values of Kt that were deleted before the operation started, and F does not reveal useful information about values of Kt that will be computed in future operations. These constraints are completely reasonable, since real-world leaks would not reveal information about deleted or not-yet-existent data. (The only way information about future Kt values could be leaked would be the bizarre case where the leak function itself included, or was somehow derived from, the function HK.) In practice, these constraints on F are academic and of little concern, but they are relevant when constructing proofs to demonstrate the security of a leak-proof system.
- If the leak occurs at the beginning of the H K computation, it could give the attacker up to 2LMAX bits of useful information about the input value of Kt. Because Kt contains (2LMAX+n) bits of secret information and the attacker may have up to 2LMAX bits of useful information about the initial value of Kt, there remain at least (2LMAX+n)−2LMAX=n bits of information in Kt that are secret. The hash function HK effectively mixes up these n bits to produce a secure new Kt during each transaction such that the attacker's information about the old Kt is no longer useful.
- If the leak occurs at the end of the H K computation, it could give an attacker up to LMAX bits of information about the final value of HK, yielding LMAX bits of information about the input to the subsequent transaction. This is not a problem, since the design assumes that attackers have up to LMAX bits of information about Kt at the beginning of each transaction.
- A third possibility is that the attacker's L MAX bits of information might describe intermediates computed during the operation HK. However, even if the attacker could obtain LMAX new bits of information about the input to HK and also LMAX bits of information about the output from HK, the system would be secure, since the attacker would never have more than 2LMAX bits of information about the input Kt or more than LMAX bits of information about the output Kt. Provided that LMAX bits of information from within HK cannot reveal more than LMAX bits of information about the input, or more than LMAX bits of information about the output, the system will be secure. This will be true unless HK somehow compresses the input to form a short intermediate which is expanded to form the output. While hash functions whose internal states are smaller than their outputs should not be used, most cryptographic hash functions are fine.
- A fourth possibility is that part or all of the leak could occur during the A=H A(Kt||t||R) calculation. The attacker's total “budget” for observations is LMAX bits. If L1 bits of leak occur during the HK computation, an additional L2 bits of information can leak during the A=HA(Kt||R) operation, where L 2<L MAX−L1. If the second leak provides information about Kt, this is no different from leaking information about the result of the HK computation; the attacker will still conclude the transaction with no more than LMAX bits of information about Kt because L1 +L2<LMAX. However, the second leak could reveal information about A. To keep A secure against leaks (to prevent, for example, an attacker from using a leak to capture A and using A before the legitimate user can), the size of A should include an extra LMAX bits (to provide security even if L2=LMAX). Like HK, HA should not leak information about deleted or future values of Kt that are not used in or produced by the given operation. As with the similar assumptions on leaks from HK, this limitation is primarily academic and of little practical concern, since real-world leak functions do not reveal information about deleted or not-yet-computed data. However, designers might be cautious when using unusual designs for HA that are based on or derived from HK, particularly if the operation HA(Kt||t||R) could reveal useful information about the result of computing HK(t||Kt).
- B. Other Leak-Resistant Symmetric Schemes
- The same basic technique of updating a key (K) with each transaction, such that leakage about a key during one transaction does not reveal useful information about a key in a subsequent (or past) transaction, can be easily extended to other applications besides authentication.
- 1. Symmetric Data Verification
- For example and without limitation, leak-resistant symmetric data verification is often useful where a device needs to support symmetrically-signed code, data, content, or parameter updates (all of which will, as a matter of convenience, be denoted as “data” herein). In existing systems, a hash or MAC of the data is typically computed using a secret key and the data is rejected if computed hash or MAC does not match a value received with the data. For example, a MAC may be computed as HMAC(K,data), where HMAC is defined in “RFC 2104, HMAC:Keyed-Hashing for Message Authentication” by H. Krawczyk, M. Bellare, and R. Canetti, 1997. Traditional (non-leak-resistant) designs are often vulnerable to attacks including power consumption analysis of MAC finctions and timing analysis of comparison operations.
- In an exemplary leak-resistant verification protocol, a verifying device (the “verifier”) maintains a counter t and a key K t, which are initialized (for example at the factory) with t←0 and Kt←K0. Before the transaction, the verifier provides t to the device providing the signed data (the “signer”), which also knows K0. The signer uses t to compute Kt+1′ (the prime indicating a quantity derived by the signer, rather than at the verifier) from K0 (or Kt′ or any other available value of Ki′). using the relation Ki′=HK(i||Ki−1′), computes signature S′=HMAC(
K t+ 1′, data), and sends S′ plus any other needed information (such as data or t) to the verifier. The verifier confirms that the received value of t (if any) matches its value of t, and rejects the signature if it does not. If t matches, the verifier increments t and updates Kt in its nonvolatile memory by computing t←t+1 and Kt←HK(t||Kt). In an alternative embodiment, if the received value of t is larger than the internal value but the difference is not unreasonably large, it may be more appropriate to accept the signature and perform multiple updates to Kt (to catch up with the signer) instead of rejecting the signature outright. Finally, the verifier computes S=HMAC(Kt, data) and verifies that S=S′, rejecting the signature if S does not equal the value of S′ received with the data. - 2. Symmetric Encryption
- Besides authentication and verification, leak-resistant symmetric cryptography can also be tailored to a wide variety of applications and environments. For example, if data encryption is desired instead of authentication, the same techniques as were disclosed above may be used to generate a key K t used for encryption rather than verification.
- 3. Variations in Computational Implementation
- In the foregoing, various applications were disclosed for the basic technique of updating a key K t in accordance with a counter and deleting old key values to ensure that future leakage cannot reveal information about the now-deleted key. Those skilled in the art will realize, however, that the exemplary techniques described above may be modified in various ways without departing from the spirit and scope of the invention. For example, if communications between the device and the server are unreliable (for example if the server uses voice recognition or manual input to receive t and A), then small errors in the signature may be ignored. (One skilled in the art will appreciate that many functions may be used to determine whether a signature corresponds—sufficiently closely—to its expected value.) In another variation of the basic technique, the order of operations and of data values may be adjusted, or additional steps and parameters may be added, without significantly changing the invention. In another variation, to save on communication bandwidth or memory, the high order bits or digits of t may not need to be communicated or remembered. In another variation, as a performance optimization, devices need not recompute Kt from K0 with each new transaction. For example, when a transaction succeeds, the server can discard K0 and maintain the validated version of Kt. In another variation, if bi-directional authentication is required, the protocol can include a step whereby the server can authenticates itself to the user (or user's token) after the user's authentication is complete. In another variation, if the server needs to be secured against leaks as well (as in the case where the role of “server” is played by an ordinary user), it can maintain its own counter t. In each transaction, the parties agree to use the larger of their two t values, where the device with the smaller t value performs extra updates to Kt to synchronize t. In an alternate embodiment for devices that contain a clock and a reliable power source (e.g., battery), the update operation may be performed periodically, for example by computing Kt←HK(t||Kt) once per second. The token uses the current Kt to compute A=HA(Kt||t||R) or, if the token does not have any means for receiving R, it can output A=HA(Kt). The server can use its clock and local copy of the secret to maintain its own version of Kt, which it can use to determine whether received values of A are recent and correct. All of the foregoing show that the method and apparatus of the present invention can be implemented using numerous variations and modifications to the exemplary embodiments described herein, as would be understood by one skilled in the art.
- III. Asymmetric Cryptographic Protocols
- The foregoing illustrates various embodiments of the invention that may be used with symmetric cryptographic protocols. As will be seen below, still other techniques of the present invention may be used in connection with asymmetric cryptographic operations and protocols. While symmetric cryptosystems are sufficient for some applications, asymmetric cryptography is required for many applications. There are several ways leak resistance can be incorporated into public key cryptosystems, but it is often preferable to have as little impact as possible on the overall system architecture. Most of the exemplary designs have thus been chosen to incorporate leak resistance into widely used cryptosystems in a way that only alters the key management device, and does not affect the certification process, certificate format, public key format, or processes for using the public key.
- A. Certified Diffie-Heilman
- Diffie-Hellman exponential key exchange is a widely used asymmetric protocol whereby two parties who do not share a secret key can negotiate a shared secret key. Implementations of Diffie-Hellman can leak information about the secret exponents, enabling attackers to determine the secret keys produced by those implementations. Consequently, a leak-resistant implementation of Diffie-Hellman would be useful. To understand such a leak-resistant implementation, it will be useful to first review a conventional Diffie-Hellman implementation.
- 1. Conventional Certified Diffie-Hellman
- Typical protocols in the background art for performing certified Diffie-Hellman exponential key agreement involve two communicating users (or devices) and a certifying authority (CA). The CA uses an asymmetric signature algorithm (such as DSA) to sign certificates that specify a user's public Diffie-Heilman parameters (the prime p and generator g), public key (p x mod g, where x is the user's secret exponent), and auxiliary information (such as the user's identity, a description of privileges granted to the certificate holder, a serial number, expiration date, etc.). Certificates may be verified by anyone with the CA's public signature verification key. To obtain a certificate, user U typically generates a secret exponent (xu), computes his or her own public key yu=gx u mod p, presents yu along with any required auxiliary identifying or authenticating information (e.g., a passport) to the CA, who issues the user a certificate Cu Depending on the system, p and g may be unique for each user, or they may be system-wide constants (as will be assumed in the following description of Diffie-Hellman using the background art).
- Using techniques of the background art, Alice and Bob can use their certificates to establish a secure communication channel. They first exchange certificates (C Alice and CBob). Each verifies that the other's certificate is acceptable (e.g., properly formatted, properly signed by a trusted CA, not expired, not revoked, etc.). Because this protocol will assume thatp and g are constants, they also check that the certificate's p and g match the expected values. Alice extracts Bob's public key (yBob) from CBob and uses her secret exponent (xAlice) to compute zAlice=(Y Bob)X Alice mod p. Bob uses his secret exponent and Alice's public key to compute ZBob=(YAlice)X Bob mod p. If everything works correctly, zAlice=ZBob, since:
- Thus, Alice and Bob have a shared key z=z Alice=z=Bob. An attacker who pretends to be Alice but does not know her secret exponent (xAlice) will not be able to compute zAlice=(yBob)x Alice mod p correctly. Alice and Bob can positively identify themselves by showing that they correctly found z. For example, each can compute and send the other the hash of z concatenated with their own certificate. Once Alice and Bob have verified each other, they can use a symmetric key derived from z to secure their communications. (For an example of a protocol in the background art that uses authenticated Diffie-Hellman, see “The SSL Protocol Version 3.0” by A. Freier, P. Karlton, and P. Kocher, Mar. 1996.)
- 2. Leak-Resistant Certified Diffie-Hellman
- A satisfactory leak-resistant public key cryptographic scheme should overcome the problem that, while certification requires the public key be constant, information about the corresponding private key should not leak out of the token that contains it. In the symmetric protocol described above, the design assumes that the leak function reveals no useful information about old deleted values of K t or about future values of Kt that have not yet been computed. Existing public key schemes, however, require that implementations repeatedly perform a consistent, usually deterministic, operation using the private key. For example, in the case of Diffie-Hellman, a leak-resistant token that is compatible with existing protocols and implementations should be able to perform the secret key operation yx mod p, while ensuring that the exponent x remains secret. The radical reshuffling of the secret provided by the hash finction HK in the symmetric approach cannot be used because the device should be able to perform the same operation consistently.
- The operations used by the token to perform the private key operation are modified to add leak resistance using the following variables:
Register Comment x1 First part of the secret key (in nonvolatile updateable memory) x2 Second part of the secret key (in nonvolatile updateable memory) g The generator (not secret). p The public prime, preferably a strong prime (not secret). - The prime p and generator g may be global parameters, or may be specific to individual users or groups of users (or tokens). In either case, the certificate recipient should be able to obtain p and g securely, usually as built-in constants or by extracting them from the certificate.
- To generate a new secret key, the key generation device (often but not always the cryptographic token that will contain the key) first obtains or generates p and g, where p is the prime and g is a generator mod p. If p and g are not system-wide parameters, algorithms known in the background art for selecting large prime numbers and generators may be used. It is recommended that p be chosen with (p−1)/2 also prime, or at least that ø(p) not be smooth. (When (p−1)/2 is not prime, information about x 1 and x2 modulo small factors of ø(p) may be leaked, which is why it is preferable that ø(p) not be smooth. Note that ø denotes Euler's totient function.) Once p and g have been chosen, the device generates two random exponents x1 and x2. The lowest-order bit of x1 and of x2 is not considered secret, and may be set to 1. Using p, g, x1 and x2, the device can then compute its public key as gx 1 x 2 mod p and submit it, along with any required identifying information or parameters needed (e.g., p and g), to the CA for certification.
- FIG. 2 illustrates the process followed by the token to perform private key operations. At
step 205, the token obtains the input message y, its own (non-secret) prime p, and its own secret key halves (x1 and x2). If x1, x2, and p are stored in encrypted and/or authenticated form, they would be decrypted or verified at this point. At this step, the token should verify that 1 <y <−1. Atstep 210, the token uses a random number generator (or pseudorandom number generator) to select a random integer b0, where 0 < b0<p. Atstep 215, the token computes b1=b0 −1 mod p. The inverse computation mod p may be performed using the extended Euclidean algorithm or the formula b1=b0 ø(p)-1 mod p. Atstep 220, the token computes b2 =b1 x 1 mod p. At this point, b1 is no longer needed; its storage space may be used to store b2. Efficient algorithms for computing modular exponentiation, widely known in the art, may be used to completestep 220. Alternatively, when a fast modular exponentiator is available, the computation b2 may be performed using the relationship b2=b0 ø(p)-x 1 mod p. Atstep 225, the token computes b3=b2 x 2 mod p. At this point, b2 is no longer needed; its storage space may be used to store b3. Atstep 230, the token computes z0=b0y mod p. At this point,y and b0 are no longer needed; their space may be used to store r1 (computed at step 235) and z0. Atstep 235, the token uses a random number generator to select a random integer r1, where 0<r1<ø(p) and gcd(r1, ø(p))=1. (If (p−1/2 is known to be prime, it is sufficient to verify that r1 is odd.) Atstep 240, the token updates x1 by computing x1←x1r1 mod ø(p). The old value of x1 is deleted and replaced with the updated value. Atstep 245, the token computes r2=(r1 −1) mod ø(p). If (p−1/2 is prime, then r2 can be found using a modular exponentiator and the Chinese Remainder Theorem. Note that r1 is not needed after this step, so its space may be used to store r2. Atstep 250, the token updates x2 by computing x2←x2r2 mod ø(p). The old value of x2 should be deleted and replaced with the updated value. Atstep 255, the token computes z1=(z0)x 1 mod p. Note that z0 is not needed after this step, so its space may be used to store z1. Atstep 260, the token computes z2=(z1)x 2 mod p. Note that z1 is not needed after this step, so its space may be used to store z2. Atstep 265, the token finds the exponential key exchange result by computing z=z2b3 mod p. Finally, atstep 270, the token erases and frees any remaining temporary variables. -
- The invention is useful for private key owners communicating with other users (or devices) who have certificates, and also when communicating with users who do not.
- If Alice has a certificate and wishes to communicate with Bob who does not have a certificate, the protocol proceeds as follows. Alice sends her certificate (C Alice) to Bob, who receives it and verifies that it is acceptable. Bob extracts yAlice (along with pAlice and gAlice, unless they are system-wide parameters) from CAlice. Next, Bob generates a random exponent XBA, where 0 <XAB<ø(PAlice). Bob then uses his exponent XAB and Alice's parameters to calculate YBA=(gAlice x BA )mod pAlice and the session key z=(yAlice X BA )mod pAlice. Bob sends YBA to Alice, who performs the operation illustrated in FIG. 2 to update her internal parameters and derive z from yBA. Alice then proves that she computed z correctly, for example by sending Bob H(z||CAlice). (Alice cannot authenticate Bob because he does not have a certificate. Consequently, she does not necessarily need to verify that he computed z successfully.) Finally, Alice and Bob can use z (or, more commonly, a key derived from z) to secure their communications.
- If both Alice and Bob have certificates, the protocol works as follows. First, Alice and Bob exchange certificates (C Alice and CBob), and each verifies that other's certificate is valid. Alice then extracts the parameters pBob, gBob, and YBob from CBob, and Bob extracts pAlice, gAlice, and yAlice from CAlice Alice then generates a random exponent X AB where 0 <XAB<ø(pBob), computes yAB=(gBob)x AB mod pBob, and computes z AB-(YBob. Bob generates a random XBA where 0<XBA<ø(pAlice), computes YBA=(gAlice)X BA mod pAlice, and computes ZBA-(YAlice)x BA mod pAlice. Bob sen Alice, and Alice sends yAB to Bob. Alice and Bob each perform the operation shown in FIG. 2, where each uses the prime p from their own certificate and their own secret exponent halves (x1 and x2). For the message y in FIG. 2, Alice uses yBA (received from Bob), and Bob uses yAB (received from Alice). Using the process shown in FIG. 2, Alice computes z. Using z and zAB (computed previously), she can find a session key K. This may be done, for example, by using a hash function H to compute K=H(z||zAB). The value of z Bob obtains using the process shown in FIG. 2 should equal Alice's zAB, and Bob's zBA (computed previously) should equal Alice's z. If there were no errors or attacks, Bob should thus be able to find K, e.g., by computing K=H(zBA||z). Alice and Bob now share K. Alice can prove her identity by showing that she computed K correctly, for example by sending Bob H(K||CAlice). Bob can prove his identity by sending Alice H(K||CBob). Alice and Bob can then secure their communications by encrypting and authenticating using K or a key derived from K.
- Note that this protocol, like the others, is provided as an example only; many variations and enhancements of the present invention are possible and will be evident to one skilled in the art. For example, certificates may come from a directory, more than two parties can participate in the key agreement, key escrow functionality may be added, the prime modulus p may be replaced with a composite number, etc. Note also that Alice and Bob as they are called in the protocol are not necessarily people; they would normally be computers, cryptographic devices, etc.
- For leak resistance to be effective, attackers should not be able to gain new useful information about the secret variables with each additional operation unless a comparable amount of old useful information is made useless. While the symmetric design is based on the assumption that leaked information will not survive the hash operation H K, this design uses multiplication operations mod ø(p) to update x1 and x2. The most common variety of leaked information, statistical information about exponent bits, is not of use to attackers in this design, as the exponent update process (x1←x1r1 mod ø(p) and x2←x2r2 mod ø(p)) destroys the utility of this information. The only relevant characteristic that survives the update process is that x1x2 mod ø(p) remains constant, so the system designer should be careful to ensure that the leak function does not reveal information allowing the attacker to find new useful information about x1x2 mod ø(p).
- There is a modest performance penalty, approximately a factor of four, for the leak-resistant design as described. One way to improve performance is to remove the blinding and unblinding operations, which are often unnecessary. (The blinding operations prevent attackers from correlating input values of y with the numbers processed by the modular exponentiation operation.) Alternatively or additionally, it is possible to update and reuse values of b 0, b3, r1, and r2 by computing b0←(b0) mod p, b3←(b3)v mod p,r1←(r1)w mod ø(p), and r2←(r2)w mod ø(p), where v and w are fairly short random exponents. Note that the relationship b3←b0 -x 1 x 2 mod p remains true when b0 and b3 are both raised to the power v (mod p). The relationship r2=(r1 -1) mod ø(p) also remains true when r1 and r2 are exponentiated (mod ø(p)). Other parameter update operations may also be used, such as exponentiation with fixed exponents (e.g., v=w= 3), or multiplication with random values and their inverses, mod p and ø(p). The time per transaction with this update process is about half that of the unoptimized leak-resistant implementation, but additional storage is required and care should be taken to ensure that b0, b3, r2 will not be leaked or otherwise compromised.
- It should also be noted that with this particular type of certified Diffie-Hellman, the negotiated key is the same every time any given pair of users communicate. Consequently, though the blinding operation performed using b 0 and b3 does serve to protect the exponents, the result K can be leaked in the final step or by the system after the process is complete. If storage is available, parties could keep track of the values of y they have received (or their hashes) and reject duplicates. Alternatively, to ensure that a different result is obtained from each negotiation, Alice and Bob can generate and exchange additional exponents, wAlice and wBob, for example with 0<w<2128 (where 2128 <<p). Alice sets y=(yBA)w Alice W Bob mod p instead ofjust y=YBA, and Bob sets y=(yAB)w Bob w Alice mod p instead of y=yAB before performing the operation shown in FIG. 2.
- B. Leak-Resistant RSA
- Another asymmetric cryptographic protocol is RSA, which is widely used for digital signatures and public key encryption. RSA private key operations rely on secret exponents. If information about these secret exponents leaks from an implementation, its security can be compromised. Consequently, a leak-resistant implementation of RSA would be useful.
- To give RSA private key operations resistance to leaks, it is possible to divide the secret exponent into two halves such that information about either half is destroyed with each operation. These are two kinds of RSA private key operations. The first, private key signing, involves signing a message with one's own private key to produce a digital signature verifiable by anyone with one's corresponding public key. RSA signing operations involve computing S=M d mod n, where M is the message, S is the signature (verifiable using M=Se mod n), d is the secret exponent and equals e-1 mod ø(n), and n is the modulus and equals pq, where n and e are public and p and q are secret primes, and ø is Euler's phi finction. An RSA public key consists of e and n, while an RSA private key consists of d and n (or other representations of them). For RSA to be secure, d, ø(n), p, and q should all be secret.
- The other RSA operation is decryption, which is used to recover messages encrypted using one's public key. RSA decryption is virtually identical to signing, since the decrypted message M is recovered from the ciphertext C by computing M=C d mod n, where the ciphertext C was produced by computing C=Me mod n. Although the following discussion uses variable names from the RSA signing operation, the same techniques may be applied similarly to decryption.
- An exemplary leak-resistant scheme for RSA implementations may be constructed as illustrated in FIG. 3. At
step 300, prior to the commencement of any signing or decryption operations, the device is initialized with (or creates) the public and private keys. The device contains the public modulus n and the secret key components d1, d2, and z, and k, where k is a prime number of medium-size (e.g., 0<k<2128) chosen at random, z=kø(n), d1 is a random number such that 0<d1<z and gcd(d1z)=1, and d2 =(e-1 mod ø(n))(d1 -1 mod z) mod z. In this invention, d1 and d2 replace the usual RSA secret exponent d. Techniques for generating the initial RSA primes (e.g., p and q) and modulus (n) are well known in the background art. Atstep 305, the device computes a random prime k′ of medium size (e.g., 0<k′<2128). (Algorithms for efficiently generating prime numbers are known in the art.) - At
step 303, the device (token) receives a message M to sign (or to decrypt). Atstep 310, the device updates z by computing z←k′z. Atstep 315, the device updates z again by computing z←z/k. (There should be no remainder from this operation, since k divides z.) Atstep 320, k is replaced with k′ by performing k←k′. Because k′will not be used in subsequent operations, its storage space may be used to hold R (produced at step 325). Atstep 325, the device selects a random R where 0<R<z and gcd(R,z)=1. Atstep 330, the device updates d1 by computing d1R mod z. Atstep 335, the device finds the inverse of R by computing R′←R-1 mod z using, for example, the extended Euclidean algorithm. Note that R is no longer needed after this step, so its storage space may be erased and used to hold R′. Atstep 340, the device updates d2 by computing d2←d2R′ mod z. Atstep 345, the device computes S0=Md 1 mod n, where M is the input message to be signed (or the message to be decrypted). Note that M is no longer needed after this step, so its storage space may be used for S0. Atstep 350, the device computes S=S0 d 2 mod n, yielding the final signature (or plaintext if decrypting a message). Leak-resistant RSA has similar security ch Characteristics as normal RSA; standard message padding, post-processing, and key sizes may be used. Public key operations are also performed normally (e.g., M=Se mod n). - A simpler RSA leak resistance scheme may be implemented by splitting the exponent d into two halves d 1 and d2 such that d1+d2=d. This can be achieved during key generation by choosing d1 to be a random integer where 0<d1<d, and choosing d2 ←d-d1. To perform private key operations, the device needs d1 and d2, but it does not need to contain d. Prior to each private key operation, the cryptographic device identifies which of d1 and d2 is larger. If d1>d 2, then the device computes a random integer r where 0<r<d1, adds r to d2 (i.e., d2←d2+r), and subtracts r from d1, (i.e., d1←d 1-r). Otherwise, if d1<d 2, then the device chooses a random integer r where 0<r<d2, adds r to d1(i.e., d1←d 1+r), and subtracts r from d2 (i.e., d2←d2-r). Then, to perform the private key operation on a message M, the device computes s1=M d 1 mod n, s2=Md 2 modn, and computes the signature S=s1s2mod n. While this approach of splitting the exponent into two halves whose sum equals the exponent can also be used with Diffie-Hellman and other cryptosystems, dividing the exponent into the product of two numbers mod ø(p) is usually preferable since the assumption that information about d1+d2 will not leak is less conservative than the assumption that information about x1x2 mod ø(p) will not leak. In the case of RSA, updates mod ø(n) cannot be done safely, since ø(n) must be kept secret.
- When the Chinese Remainder Theorem is required for performance, it is possible to use similar techniques to add leak resistance by maintaining multiples of the secret primes (p and q) that are updated every time (e.g., multiplying by the new multiple then dividing by the old multiple). These techniques also protect the exponents (dp and dq) as multiples of their normal values. At the end of the operation, the result S is corrected to compensate for the adjustments to dp, dq, p, and q.
- An exemplary embodiment maintains state information consisting of the values n, B i, Bf, pk, qk, dpk, dqk, PInv, and f. To convert a traditional RSA CRT private key (consisting of p, q, dp, and dq with p<q) into the new representation, a random value for k is chosen, where 0<k<264. The value Bi is chosen at random where 0<Bi<n, and Rl and R2 are chosen at random where 0<Rl<264 and 0<R2<264. (Of course, constants such as 264 are chosen as example values. It is possible, but not necessary, to place constraints on random numbers, such as requiring that they be prime.) The leak-resistant private key state is then initialized by setting n←pq,Bf←Bi -d pk mod n,pk←(k)(p), qk←(k)(q),dpk←dp+(Rl)(p)-Rldqk←dq+(R2)(q)-R2, PInv←k(p -1mod q), and f←0.
- To update the system state, first a random value α may be produced where 0<α< 2 64. Then compute pk←((α)(qk))/k, PInv←((α)(PInv))/k,k←αThe exponents dpk and dqk may be updated by computing dpk←dpk±(R3p-R3k) and dqk←dqk±(R4qk-R4k), where R3 and R4 can be random or constant values (even 1). The blinding factors Bi and Bf may be updated by computing Bi=Bi 2 mod n and Bf=Bf 2 mod n, by computing new blinding factors, by exponentiating with a value other than 2, etc. Update processes should be performed as often as practical, for example before or after each modular exponentiation process. Before the update begins, a failure counter f is incremented, and when the update completes fis set to zero. If f ever exceeds a threshold value indicating too many consecutive failures, the device should temporarily or permanently disable itself. Note that if the update process is interrupted, memory values should not be left in intermediate states. This can be done by using complete reliable memory updates. If the total set of variable changes is too large for a single complete update, it is possible to store α first then do each variable update reliably which keeping track of how many have been completed.
- To perform a private key operation (such as decryption or signing), the input message C is received by the modular exponentiator. Next, the value is blinded by computing C′←(C)(B i) mod n. The blinded input message is then used to compute modified CRT intermediates by computing mpk←(C′)d pk Pk mod pk and mqk←(C′)d qk mod qk. Next in the exemplary embodiment, the CRT intermediates are multiplied by k, e.g. mpk←(k)(mpk) mod pk and mqk←(k)(mqk) mod qk. The CRT difference is then computed as mpqk=(mpk[+qk]-mqk) [mod qk], where the addition of qk and/or reduction mod qk are optional. (The addition of qk ensures that the result is non-negative.) The blinded result can be computed as
- As one of ordinary skill in the art will appreciate, variant forms of the invention are possible. For example, the computational processes can be re-ordered or modified without significantly changing the invention. Some portions (such as the initial and blinding steps) can be skipped. In another example, it is also possible to use multiple blinding factors (for example, instead of or in addition to the value k).
- In some cases, other techniques may also be appropriate. For example, exponent vector codings may be rechosen frequently using, for example, a random number generator. Also, Montgomery arithmetic may be performed mod j where j is a value that is changed with each operation (as opposed to traditional Montgomery implementations where j is constant with j=2 k). The foregoing shows that the method and apparatus of the present invention can be implemented using numerous variations and modifications to the exemplary embodiments described herein, as would be known by one skilled in the art.
- C. Leak-Resistant ElGamal Public Key Encryption and Digital Signatures Sti
- Still other asymmetric cryptographic protocols that may be improved using the techniques of the invention. For example, ElGamal and related cryptosystems are widely used for digital signatures and public key encryption. If information about the secret exponents and parameters leaks from an ElGamal implementation, security can be compromised. Consequently, leak-resistant implementations of ElGamal would be useful.
- The private key in the ElGamal public key encryption scheme is a randomly selected secret α where 1 <α<p−2. The non-secret parameters are a prime p, a generator α, and α αmod p. To encrypt a message m, one selects a random k (where 1<k<p−2) and computes the ciphertext (γ, δ) where γ=αk mod p and δ=m(ααmod p)k mod p. Decryption is performed by computing m=δ(γp−1α) mod p. (See the Handbook of Applied Cryptography by A. Menezes, P. van Oorschot, and S. Vanstone, 1997, pages 294-298, for a description of ElGamal public-key encryption).
- To make the ElGamal public-key decryption process leak-resistant, the secret exponent (p−1-α) is stored in two halves α 1 and α2, such that α1α2=(ø(p)−α) mod ø(p).
- When generating ElGamal parameters for this leak-resistant implementation, it is recommended, but not required, that p be chosen with (p−1)/2 prime so that ø(p)/2 is prime.
- The variables α 1 and α2 are normally chosen initially as random integers between 0 and ø(p). Alternatively, it is possible. to generate a first, then choose α1 and α2, as by selecting a, relatively prime to ø(p) and computing α2= (α-1 mod ø(p))(α1 -1 mod ø(p)) mod ø(p).
- FIG. 4 illustrates an exemplary leak-resistant ElGamal decryption process. At
step 405, the decryption device receives an encrypted message pair (γ, δ). Atstep 410, the device selects a random r1 where 1<r1<ø(p) and gcd(r1, ø(p))=1. Atstep 415, the device updates α1 by computing α←α1r1 , mod ø(p), over-writing the old value of α1 with the new value. Atstep 420, the device computes the inverse of r1 by computing r2 =(r1)-1 mod ø(p). Because r1 is not used after this step, its storage space may be used to hold r2. Note that if (p−1)/2 is prime, then r2 may also be found by finding r2′=r1 (P−1)/2-2 mod (p−1)/2 and using the CRT to find r2 (mod p−1). Atstep 425, the device updates a2 by computing a2←α2r2 mod ø(p). Atstep 430, the device begins the private key (decryption) process by computing m′=γα 1 mod p. Atstep 435, the device computes m=δ(m′)α 2 mod p and returns the message m. If verification is successful, the result equals the original message because: - As with the ElGamal public key encryption scheme, the private key for the ElGamal digital signature scheme is a randomly-selected secret α, where 1<α<p−2. The public key is also similar, consisting of a prime p, a generator α, and public parameter y where y=α αmod p. To sign a message m, the private key holder chooses or precomputes a random secret integer k (where 1<k<p−2 and k is relatively prime to p−1) and its inverse, k-1 mod ø(p). Next, the signer computes the signature (r, s), where r= αk mod p, s=((k-1 modø(p))[H(m)−αr])mod ø(p), and H(m) is the hash of the message. Signature verification is performed using the public key (p, α, y) by verifying that 1<r< p and by verifying that yrrs mod p=αh(m) mod p.
- To make the ElGamal digital signing process leak-resistant, the token containing the private key maintains three persistent variables, α k, w, and r. Initially, αak=α(the private exponent), w=1, and r=α. When a message m is to be signed (or during the precomputation before signing), the token generates a random number b and its inverse b-1 mod ø(p), where b is relatively prime to ø(p) and 0 <b<ø(p). The token then updates ak, w, and r by computing ak←(ak)(b-1) mod 526 (p), w←(w)(b-1) mod ø(p), and r←(rb) mod p. The signature (r, s) is formed from the updated value of r and s, where s=(w(H(m)−akr))modø(p). Note that ak, w, and r are not randomized prior to the first operation, but should be randomized before exposure to possible attack, since otherwise the first operation may leak more information than subsequent ones. It is thus recommended that a dummy signature or parameter update with ak←(ak)(b-1) mod ø(p), w←(w)(b-1) mod ø(p), and r←(rb) mod p be performed immediately after key generation. Valid signatures produced using the exemplary tamper-resistant ElGamal process may be checked using the normal ElGamal signature verification procedure.
- It is also possible to split all or some the ElGamal variables into two halves as part of the leak resistance scheme. In such a variant, α is replaced with α 1 and α2, w with w1 and w2, and r with r1 and r2. It is also possible to reorder the operations by performing, for example, the parameter updates as a precomputation step prior to receipt of the enciphered message. Other variations and modifications to the exemplary embodiments described herein will be evident to one skilled in the art.
- D. Leak-Resistant DSA
- Another commonly used asymmetric cryptographic protocol is the Digital Signature Algorithm (DSA, also known as the Digital Signature Standard, or DSS), which is defined in “Digital Signature Standard (DSS),” Federal Information Processing Standards Publication 186, National Institute of Standards and Technology, May 19, 1994 and described in detail in the Handbook of Applied Cryptography, pages 452 to 454. DSA is widely used for digital signatures. If information about the secret key leaks from a DSA implementation, security can be compromised. Consequently, leak-resistant implementations of DSA would be useful.
- In non-leak-proof systems, the private key consists of a secret parameter α, and the public key consists of (p, q, α, y), where p is a large (usually 512 to 1024 bit) prime, q is a 160-bit prime, α is a generator of the cyclic group of order q mod p, and y=α αmod p. To sign a message whose hash is H(m), the signer first generates (or precomputes) a random integer k and its inverse k-1 mod q, where 0<k<q. The signer then computes the signature (r, s), where r=(ak mod p) mod q, and s=(k-1 mod q)(H(m)+αr) mod q.
- In an exemplary embodiment of a leak-resistant DSA signing process, the token containing the private key maintains two variables in nonvolatile memory, a k and k, which are initialized with ak=αand k=1. When a message m is to be signed (or during the precomputation before signing), the token generates a random integer b and its inverse b-1 mod q, where 0 <b<q. The token then updates ak and k by computing ak←(αkb -1 mod q)(k) mod q, followed by k←b. The signature (r, s) is formed from the updated values of ak and k by computing r=αk mod p (which may be reduced mod q), and s=[(b-1H(m) mod q)+(αkr) mod q] mod q. As indicated, when computing s, b-1H(m) mod q and (akr) mod q are computed first, then combined mod q. Note that ak and k should be randomized prior to the first operation, since the first update may leak more information than subsequent updates. It is thus recommended that a dummy signature (or parameter update) be performed immediately after key generation. Valid signatures produced using the leak-resistant DSA process may be checked using the normal DSA signature verification procedure.
- IV. Other Algorithms and Applications
- Still other cryptographic processes can be made leak-proof or leak-resistant, or may be incorporated into leak-resistant cryptosystems. For example, cryptosystems such as those based on elliptic curves (including elliptic curve analogs of other cryptosystems), secret sharing schemes, anonymous electronic cash protocols, threshold signatures schemes, etc. be made leak resistant using the techniques of the present invention.
- Implementation details of the schemes described may be adjusted without materially changing the invention, for example by re-ordering operations, inserting steps, substituting equivalent or similar operations, etc. Also, while new keys are normally generated when a new system is produced, it is often possible to add leak resistance retroactively while maintaining or converting existing private keys.
- Leak-resistant designs avoid performing repeated mathematical operations using non-changing (static) secret values, since they are likely to leak out. However, in environments where it is possible to implement a simple function (such as an exclusive OR) that does not leak information, it is possible use this finction to implement more complex cryptographic operations.
- While the exemplary implementations assume that the leak functions can reveal any information present in the system, designers may often safely use the (weaker) assumption that information not used in a given operation will not be leaked by that operation. Schemes using this weaker assumption may contain a large table of precomputed subkey values, from which a unique or random subset are selected and/or updated for each operation. For example, DES implementations may use indexed permutation lookup tables in which a few table elements are exchanged with each operation.
- While leak resistance provides many advantages, the use of leak resistance by itself cannot guarantee good security. For example, leak-resistant cryptosystems are not inherently secure against error attacks, so operations should be verified. (Changes can even be made to the cryptosystem and/or leak resistance operations to detect errors.) Similarly, leak resistance by itself does not prevent attacks that extract the entire state out of a device (e.g., L=L MAX). For example, traditional tamper resistance techniques may be required to prevent attackers from staining ROM or EEPROM memory cells and reading the contents under a microscope. Implementers should also be aware of interruption attacks, such as those that involve disconnecting the power or resetting a device during an operation, to ensure that secrets will not be compromised or that a single leaky operation will not be performed repeatedly. (As a countermeasure, devices can increment a counter in nonvolatile memory prior to each operation, and reset or reduce the counter value when the operation completes successfully. If the number of interrupted operations since the last successful update exceeds a threshold value, the device can disable itself.) Other tamper resistance mechanisms and techniques, such as the use of fixed-time and fixed-execution path code or implementations for critical operat conjunction with leak resistance, particularly for systems with a relatively low self-healing rate (e.g., LMAX is small).
- Leak-resistant algorithms, protocols, and devices may be used in virtually any application requiring cryptographic security and secure key management, including without limitation: smartcards, electronic cash, electronic payments, funds transfer, remote access, timestamping, certification, certificate validation, secure e-mail, secure facsimile, telecommunications security (voice and data), computer networks, radio and satellite communications, infrared communications, access control, door locks, wireless keys, biometric devices, automobile ignition locks, copy protection devices, payment systems, systems for controlling the use and payment of copyrighted information, and point of sale terminals.
- The foregoing shows that the method and apparatus of the present invention can be implemented using numerous variations and modifications to the exemplary embodiments described herein, as would be known by one skilled in the art. Thus, it is intended that the scope of the present invention be limited only with regard to the claims below.
Claims (71)
Priority Applications (9)
| Application Number | Priority Date | Filing Date | Title |
|---|---|---|---|
| US09/737,182 US6381699B2 (en) | 1998-01-02 | 2000-12-13 | Leak-resistant cryptographic method and apparatus |
| US10/005,105 US7587044B2 (en) | 1998-01-02 | 2001-12-03 | Differential power analysis method and apparatus |
| US10/136,012 US7506165B2 (en) | 1998-01-02 | 2002-04-29 | Leak-resistant cryptographic payment smartcard |
| US11/643,349 US7634083B2 (en) | 1998-01-02 | 2006-12-21 | Differential power analysis |
| US11/978,364 US7599488B2 (en) | 1998-01-02 | 2007-10-29 | Differential power analysis |
| US11/981,495 US7792287B2 (en) | 1998-01-02 | 2007-10-30 | Leak-resistant cryptographic payment smartcard |
| US12/637,565 US8879724B2 (en) | 1998-01-02 | 2009-12-14 | Differential power analysis—resistant cryptographic processing |
| US14/530,905 US9419790B2 (en) | 1998-01-02 | 2014-11-03 | Differential power analysis—resistant cryptographic processing |
| US15/236,739 US20170099134A1 (en) | 1998-01-02 | 2016-08-15 | Differential power analysis - resistant cryptographic processing |
Applications Claiming Priority (4)
| Application Number | Priority Date | Filing Date | Title |
|---|---|---|---|
| US7034498P | 1998-01-02 | 1998-01-02 | |
| US8952998P | 1998-06-15 | 1998-06-15 | |
| US09/224,682 US6304658B1 (en) | 1998-01-02 | 1998-12-31 | Leak-resistant cryptographic method and apparatus |
| US09/737,182 US6381699B2 (en) | 1998-01-02 | 2000-12-13 | Leak-resistant cryptographic method and apparatus |
Related Parent Applications (2)
| Application Number | Title | Priority Date | Filing Date |
|---|---|---|---|
| US09/224,682 Division US6304658B1 (en) | 1998-01-02 | 1998-12-31 | Leak-resistant cryptographic method and apparatus |
| US09/326,222 Continuation-In-Part US6327661B1 (en) | 1998-01-02 | 1999-06-03 | Using unpredictable information to minimize leakage from smartcards and other cryptosystems |
Related Child Applications (3)
| Application Number | Title | Priority Date | Filing Date |
|---|---|---|---|
| US09/930,836 Continuation-In-Part US7668310B2 (en) | 1998-01-02 | 2001-08-15 | Cryptographic computation using masking to prevent differential power analysis and other attacks |
| US10/005,105 Continuation-In-Part US7587044B2 (en) | 1998-01-02 | 2001-12-03 | Differential power analysis method and apparatus |
| US10/136,012 Division US7506165B2 (en) | 1998-01-02 | 2002-04-29 | Leak-resistant cryptographic payment smartcard |
Publications (2)
| Publication Number | Publication Date |
|---|---|
| US20010002486A1 true US20010002486A1 (en) | 2001-05-31 |
| US6381699B2 US6381699B2 (en) | 2002-04-30 |
Family
ID=26751037
Family Applications (4)
| Application Number | Title | Priority Date | Filing Date |
|---|---|---|---|
| US09/224,682 Expired - Lifetime US6304658B1 (en) | 1998-01-02 | 1998-12-31 | Leak-resistant cryptographic method and apparatus |
| US09/737,182 Expired - Lifetime US6381699B2 (en) | 1998-01-02 | 2000-12-13 | Leak-resistant cryptographic method and apparatus |
| US10/136,012 Expired - Fee Related US7506165B2 (en) | 1998-01-02 | 2002-04-29 | Leak-resistant cryptographic payment smartcard |
| US11/981,495 Expired - Fee Related US7792287B2 (en) | 1998-01-02 | 2007-10-30 | Leak-resistant cryptographic payment smartcard |
Family Applications Before (1)
| Application Number | Title | Priority Date | Filing Date |
|---|---|---|---|
| US09/224,682 Expired - Lifetime US6304658B1 (en) | 1998-01-02 | 1998-12-31 | Leak-resistant cryptographic method and apparatus |
Family Applications After (2)
| Application Number | Title | Priority Date | Filing Date |
|---|---|---|---|
| US10/136,012 Expired - Fee Related US7506165B2 (en) | 1998-01-02 | 2002-04-29 | Leak-resistant cryptographic payment smartcard |
| US11/981,495 Expired - Fee Related US7792287B2 (en) | 1998-01-02 | 2007-10-30 | Leak-resistant cryptographic payment smartcard |
Country Status (7)
| Country | Link |
|---|---|
| US (4) | US6304658B1 (en) |
| EP (1) | EP1050133B2 (en) |
| AT (2) | ATE325478T1 (en) |
| AU (1) | AU2557399A (en) |
| CA (1) | CA2316227C (en) |
| DE (2) | DE69840782D1 (en) |
| WO (1) | WO1999035782A1 (en) |
Cited By (115)
| Publication number | Priority date | Publication date | Assignee | Title |
|---|---|---|---|---|
| US20020089725A1 (en) * | 2000-10-04 | 2002-07-11 | Wave7 Optics, Inc. | System and method for communicating optical signals upstream and downstream between a data service provider and subscribers |
| US20030016692A1 (en) * | 2000-10-26 | 2003-01-23 | Wave7 Optics, Inc. | Method and system for processing upstream packets of an optical network |
| US20030046547A1 (en) * | 2001-05-30 | 2003-03-06 | Jakobsson Bjorn Markus | Secure distributed computation in cryptographic applications |
| US20030044003A1 (en) * | 2001-08-14 | 2003-03-06 | International Business Machines Corporation | Space-efficient, side-channel attack resistant table lookups |
| US20030044014A1 (en) * | 2001-09-06 | 2003-03-06 | Pierre-Yvan Liardet | Method for scrambling a calculation with a secret quantity |
| US20030072059A1 (en) * | 2001-07-05 | 2003-04-17 | Wave7 Optics, Inc. | System and method for securing a communication channel over an optical network |
| US20030152218A1 (en) * | 2000-04-18 | 2003-08-14 | Jean-Sebastien Coron | Cryptography method on elliptic curves |
| US20030200202A1 (en) * | 2002-04-23 | 2003-10-23 | International Business Machines Corporation | Content management system and methodology employing non-transferable access tokens to control data access |
| US20030200224A1 (en) * | 2002-04-23 | 2003-10-23 | International Business Machines Corporation | Content management system and methodology employing a tree-based table hierarchy featuring arbitrary information retrieval from different locations in the hierarchy |
| US20030200218A1 (en) * | 2002-04-23 | 2003-10-23 | International Business Machines Corporation | Content management system and methodology featuring query conversion capability for efficient searching |
| US20030200256A1 (en) * | 2002-04-23 | 2003-10-23 | International Business Machines Corporation | Method and apparatus of parameter passing of structured data for stored procedures in a content management system |
| US20030204537A1 (en) * | 2002-04-23 | 2003-10-30 | International Business Machines Corporation | Content management system and methodology for implementing a complex object using nested/recursive structures |
| US20030223750A1 (en) * | 2001-07-05 | 2003-12-04 | Farmer James O. | Method and system for providing a return path for signals generated by legacy terminals in an optical network |
| US20040131357A1 (en) * | 2001-07-05 | 2004-07-08 | Wave7 Optics, Inc. | Method and system for supporting multiple services with a subscriber optical interface located outside a subscriber's premises |
| WO2003098429A3 (en) * | 2002-05-16 | 2004-07-15 | Giesecke & Devrient Gmbh | Modular inversion that is protected against espionage |
| US20040141747A1 (en) * | 2001-07-05 | 2004-07-22 | Wave7 Optics, Inc. | Method and system for supporting multiple service providers within a single optical network |
| US20040151310A1 (en) * | 2003-01-31 | 2004-08-05 | Fu Kevin E. | Method and system for relating cryptographic keys |
| US20040179680A1 (en) * | 2001-04-30 | 2004-09-16 | Pierre-Yvan Liardet | Method for encrypting a calculation using a modular function |
| US20050018842A1 (en) * | 2003-07-21 | 2005-01-27 | Fu Kevin E. | Windowed backward key rotation |
| US20050053350A1 (en) * | 2002-10-15 | 2005-03-10 | Wave7 Optics, Inc. | Reflection suppression for an optical fiber |
| US20050081041A1 (en) * | 2003-10-10 | 2005-04-14 | Jing-Jang Hwang | Partition and recovery of a verifiable digital secret |
| US20050125837A1 (en) * | 2001-07-05 | 2005-06-09 | Wave7 Optics, Inc. | Method and system for providing a return path for signals generated by legacy video service terminals in an optical network |
| US20050160432A1 (en) * | 2004-01-16 | 2005-07-21 | International Business Machines Corporation | Parameter passing of data structures where API and corresponding stored procedure are different versions/releases |
| US6938050B2 (en) | 2002-04-23 | 2005-08-30 | International Business Machines Corporation | Content management system and methodology employing a tree-based table hierarchy which accomodates opening a dynamically variable number of cursors therefor |
| US6947948B2 (en) | 2002-04-23 | 2005-09-20 | International Business Machines Corporation | Version-enabled, multi-typed, multi-targeting referential integrity relational database system and methodology |
| US6973271B2 (en) | 2000-10-04 | 2005-12-06 | Wave7 Optics, Inc. | System and method for communicating optical signals between a data service provider and subscribers |
| US20060020975A1 (en) * | 2001-07-05 | 2006-01-26 | Wave7 Optics, Inc. | System and method for propagating satellite TV-band, cable TV-band, and data signals over an optical network |
| US20060039699A1 (en) * | 2004-08-10 | 2006-02-23 | Wave7 Optics, Inc. | Countermeasures for idle pattern SRS interference in ethernet optical network systems |
| US20060075428A1 (en) * | 2004-10-04 | 2006-04-06 | Wave7 Optics, Inc. | Minimizing channel change time for IP video |
| US7039329B2 (en) | 2001-07-05 | 2006-05-02 | Wave7 Optics, Inc. | System and method for increasing upstream communication efficiency in an optical network |
| US20060092251A1 (en) * | 2004-11-04 | 2006-05-04 | Hewlett-Packard Development Company, L.P. | Inkjet compositions |
| US20060159457A1 (en) * | 2001-07-05 | 2006-07-20 | Wave7 Optics, Inc. | System and method for communicating optical signals between a data service provider and subscribers |
| US20060187863A1 (en) * | 2004-12-21 | 2006-08-24 | Wave7 Optics, Inc. | System and method for operating a wideband return channel in a bi-directional optical communication system |
| US20060248336A1 (en) * | 2005-04-28 | 2006-11-02 | Secure Data In Motion, Inc. | Mediated key exchange between source and target of communication |
| US20060269285A1 (en) * | 2002-01-08 | 2006-11-30 | Wave7 Optics, Inc. | Optical network system and method for supporting upstream signals propagated according to a cable modem protocol |
| US7146104B2 (en) | 2001-07-05 | 2006-12-05 | Wave7 Optics, Inc. | Method and system for providing a return data path for legacy terminals by using existing electrical waveguides of a structure |
| US20070043945A1 (en) * | 2005-08-19 | 2007-02-22 | Choi Jin-Hyeock | Method for performing multiple pre-shared key based authentication at once and system for executing the method |
| US7184664B2 (en) | 2001-07-05 | 2007-02-27 | Wave7 Optics, Inc. | Method and system for providing a return path for signals generated by legacy terminals in an optical network |
| US20070047959A1 (en) * | 2005-08-12 | 2007-03-01 | Wave7 Optics, Inc. | System and method for supporting communications between subcriber optical interfaces coupled to the same laser transceiver node in an optical network |
| US20070077069A1 (en) * | 2000-10-04 | 2007-04-05 | Farmer James O | System and method for communicating optical signals upstream and downstream between a data service provider and subscribers |
| US7218855B2 (en) | 2001-07-05 | 2007-05-15 | Wave7 Optics, Inc. | System and method for communicating optical signals to multiple subscribers having various bandwidth demands connected to the same optical waveguide |
| US7254600B2 (en) | 2002-09-20 | 2007-08-07 | Stmicroelectronics S.A. | Masking of factorized data in a residue number system |
| US20070212070A1 (en) * | 2003-03-14 | 2007-09-13 | Farmer James O | Method and system for providing a return path for signals generated by legacy terminals in an optical network |
| US20070223928A1 (en) * | 2001-08-03 | 2007-09-27 | Farmer James O | Method and system for providing a return path for signals generated by legacy terminals in an optical network |
| US20070253551A1 (en) * | 2003-10-06 | 2007-11-01 | Canal + Technologies | Portable Security Module Pairing |
| US20070263577A1 (en) * | 2004-08-20 | 2007-11-15 | Paolo Gallo | Method for Enrolling a User Terminal in a Wireless Local Area Network |
| US20070292133A1 (en) * | 2002-05-20 | 2007-12-20 | Whittlesey Paul F | System and method for communicating optical signals to multiple subscribers having various bandwidth demands connected to the same optical waveguide |
| US20080082824A1 (en) * | 2006-09-28 | 2008-04-03 | Ibrahim Wael M | Changing of shared encryption key |
| US7355848B1 (en) | 2002-01-07 | 2008-04-08 | Wave7 Optics, Inc. | System and method for removing heat from a subscriber optical interface |
| US20080085117A1 (en) * | 2004-08-19 | 2008-04-10 | Farmer James O | System and method for communicating optical signals between a data service provider and subscribers |
| US7363339B2 (en) | 2000-12-22 | 2008-04-22 | Oracle International Corporation | Determining group membership |
| US7392246B2 (en) | 2003-02-14 | 2008-06-24 | International Business Machines Corporation | Method for implementing access control for queries to a content management system |
| US20080219450A1 (en) * | 2007-03-07 | 2008-09-11 | Nevine Maurice Nassif Ebeid | Methods And Apparatus For Performing An Elliptic Curve Scalar Multiplication Operation Using Splitting |
| WO2008106792A1 (en) * | 2007-03-06 | 2008-09-12 | Research In Motion Limited | Methods and apparatus for performing an elliptic curve scalar multiplication operation using splitting |
| US20090003606A1 (en) * | 2007-06-28 | 2009-01-01 | Samsung Electronics Co., Ltd. | Changing the order of public key cryptographic computations |
| US7477741B1 (en) | 2004-10-01 | 2009-01-13 | The United States Of America As Represented By The Administrator Of The National Aeronautics And Space Administration | Analysis resistant cipher method and apparatus |
| US20090052657A1 (en) * | 2005-10-28 | 2009-02-26 | Telecom Italia S.P.A. | Method for Scalar Multiplication in Elliptic Curve Groups Over Binary Polynomial Fields for Side-Channel Attack-Resistant Cryptosystems |
| EP1815411A4 (en) * | 2004-09-30 | 2009-04-29 | American Express Travel Relate | System and method for authenticating a rf transaction using a radio frequency identification device including a transactions counter |
| US20090164796A1 (en) * | 2007-12-21 | 2009-06-25 | Daon Holdings Limited | Anonymous biometric tokens |
| US7616901B2 (en) | 2005-08-10 | 2009-11-10 | Enablence Usa Fttx Networks Inc. | Countermeasures for idle pattern SRS interference in ethernet optical network systems |
| US7764785B2 (en) | 2004-11-08 | 2010-07-27 | King Fahd University Of Petroleum And Minerals | Method for communicating securely over an insecure communication channel |
| US20100299198A1 (en) * | 2009-05-20 | 2010-11-25 | M-Dot, Inc. | Message Broker for Redemption of Digital Incentives |
| US20100296654A1 (en) * | 2009-05-19 | 2010-11-25 | Terence Wilson | Configuring a network connection |
| US8059814B1 (en) * | 2007-09-28 | 2011-11-15 | Emc Corporation | Techniques for carrying out seed or key derivation |
| US20120082307A1 (en) * | 2009-06-16 | 2012-04-05 | Morpho | Cryptography on a elliptical curve |
| CN103221917A (en) * | 2010-09-29 | 2013-07-24 | 纳格拉影像股份有限公司 | Protecting modular exponentiation in cryptographic operations |
| US20130218937A1 (en) * | 2010-12-27 | 2013-08-22 | Mitsubishi Electric Corporation | Arithmetic apparatus, elliptic scalar multiplication method of arithmetic apparatus, elliptic scalar multiplication program, residue operation method of arithmetic apparatus, and residue operation program |
| US8539254B1 (en) | 2010-06-01 | 2013-09-17 | Xilinx, Inc. | Method and integrated circuit for protecting against differential power analysis attacks |
| US8583944B1 (en) | 2010-08-04 | 2013-11-12 | Xilinx, Inc. | Method and integrated circuit for secure encryption and decryption |
| US8650408B2 (en) | 2010-09-08 | 2014-02-11 | Xilinx, Inc. | Protecting against differential power analysis attacks on decryption keys |
| US8712038B2 (en) | 2009-06-16 | 2014-04-29 | Morpho | Cryptography on a simplified elliptical curve |
| US20140129604A1 (en) * | 2012-11-07 | 2014-05-08 | Inside Secure | Cryptographic method comprising a modular exponentiation operation |
| US8832462B2 (en) | 2010-09-08 | 2014-09-09 | Xilinx, Inc. | Protecting against differential power analysis attacks on sensitive data |
| US20140331051A1 (en) * | 2002-10-08 | 2014-11-06 | Koolspan, Inc. | Localized network authentication and security using tamper-resistant keys |
| US8909941B1 (en) | 2011-03-31 | 2014-12-09 | Xilinx, Inc. | Programmable integrated circuit and a method of enabling the detection of tampering with data provided to a programmable integrated circuit |
| US8966253B1 (en) | 2010-06-01 | 2015-02-24 | Xilinx, Inc. | Method and apparatus for authenticating a programmable device bitstream |
| US20150222422A1 (en) * | 2014-01-31 | 2015-08-06 | Google Inc. | Systems and methods for faster public key encryption using the associated private key portion |
| CN104917608A (en) * | 2015-05-19 | 2015-09-16 | 清华大学 | Key anti-power attack method |
| US20160134419A1 (en) * | 2014-11-11 | 2016-05-12 | Ned M. Smith | Technologies for trusted device on-boarding |
| US20160323097A1 (en) * | 2015-04-30 | 2016-11-03 | Nxp B.V. | Securing a cryptographic device |
| US20170063556A1 (en) * | 2002-07-26 | 2017-03-02 | Koninklijke Philips N.V. | Secure authenticated distance measurement |
| EP2201718A4 (en) * | 2007-10-08 | 2017-07-19 | Microsoft Technology Licensing, LLC | An efficient certified email protocol |
| US20170237780A1 (en) * | 2016-02-17 | 2017-08-17 | Nagravision S.A. | Methods and systems for enabling legal-intercept mode for a targeted secure element |
| US20170244551A1 (en) * | 2016-02-22 | 2017-08-24 | Eshard | Method of protecting a circuit against a side-channel analysis |
| WO2017152056A1 (en) * | 2016-03-03 | 2017-09-08 | Cryptography Research, Inc. | Converting a boolean masked value to an arithmetically masked value for cryptographic operations |
| US9773111B2 (en) | 2012-08-14 | 2017-09-26 | Empire Technology Development Llc | Software-based side-channel attack prevention |
| US9866371B2 (en) | 2009-06-16 | 2018-01-09 | Morpho | Cryptography on a simplified elliptical curve |
| US10027483B2 (en) | 2009-06-16 | 2018-07-17 | Morpho | Cryptography on an elliptical curve |
| CN109379176A (en) * | 2018-12-10 | 2019-02-22 | 湖北工业大学 | An Authentication and Key Agreement Method Against Password Disclosure |
| US10397269B2 (en) * | 2014-03-21 | 2019-08-27 | Sun Patent Trust | Security key derivation in dual connectivity |
| CN110363030A (en) * | 2018-04-09 | 2019-10-22 | 英飞凌科技股份有限公司 | Method and processing device for performing lattice-based cryptographic operations |
| US10642962B2 (en) | 2015-07-28 | 2020-05-05 | Western Digital Technologies, Inc. | Licensable function for securing stored data |
| US10686598B2 (en) * | 2017-02-27 | 2020-06-16 | Cord3 Innovation Inc. | One-to-many symmetric cryptographic system and method |
| US20200287712A1 (en) * | 2016-05-18 | 2020-09-10 | Nagravision S.A. | Method and device to protect a cryptographic exponent |
| US10986626B2 (en) | 2017-04-21 | 2021-04-20 | Netgear, Inc. | Robust control plane for management of a multi-band wireless networking system |
| US11063743B2 (en) * | 2017-03-21 | 2021-07-13 | Thales Dis France Sa | Method of RSA signature of decryption protected using assymetric multiplicative splitting |
| CN114024667A (en) * | 2021-10-12 | 2022-02-08 | 杭州趣链科技有限公司 | Data aggregation method based on bilinear ElGamal cryptosystem and capable of resisting differential attack |
| CN114128213A (en) * | 2019-05-29 | 2022-03-01 | 比特飞翔区块链株式会社 | Apparatus, method, and program for verifying authenticity of public key |
| US20220083665A1 (en) * | 2009-12-04 | 2022-03-17 | Cryptography Research, Inc. | Security chip with resistance to external monitoring attacks |
| US20220283794A1 (en) * | 2021-03-05 | 2022-09-08 | EMC IP Holding Company LLC | Optimizing docker image encryption - kubernetes using shamir secrets to enforce multiple constraints in container runtime environment |
| CN115276960A (en) * | 2022-08-02 | 2022-11-01 | 山东大学 | Device and method for realizing fast modular inversion chip on SM2 Montgomery domain |
| US11531603B2 (en) * | 2018-02-12 | 2022-12-20 | Ripple Labs Inc. | Byzantine agreement in open networks |
| US20230107243A1 (en) * | 2016-02-23 | 2023-04-06 | nChain Holdings Limited | Personal device security using cryptocurrency wallets |
| US20230216662A1 (en) * | 2021-12-30 | 2023-07-06 | Arris Enterprises Llc | Optimized key management for data signing systems |
| CN116453670A (en) * | 2023-06-16 | 2023-07-18 | 高密市人民医院 | Storage system and method for blood sample test data |
| US12182805B2 (en) | 2016-02-23 | 2024-12-31 | Nchain Licensing Ag | Tokenisation method and system for implementing exchanges on a blockchain |
| US12217224B2 (en) | 2016-02-23 | 2025-02-04 | Nchain Licensing Ag | Method and system for efficient transfer of cryptocurrency associated with a payroll on a blockchain that leads to an automated payroll method and system based on smart contracts |
| US12271466B2 (en) | 2016-02-23 | 2025-04-08 | Nchain Licensing Ag | Blockchain implemented counting system and method for use in secure voting and distribution |
| US12367468B2 (en) | 2016-02-23 | 2025-07-22 | Nchain Licensing Ag | Blockchain-implemented method for control and distribution of digital content |
| US12406237B2 (en) | 2016-02-23 | 2025-09-02 | Nchain Licensing Ag | Universal tokenisation system for blockchain-based cryptocurrencies |
| US12470369B2 (en) | 2016-02-23 | 2025-11-11 | Nchain Licensing Ag | Determining a common secret for the secure exchange of information and hierarchical, deterministic cryptographic keys |
| US12470371B2 (en) | 2016-02-23 | 2025-11-11 | Nchain Licensing Ag | Secure multiparty loss resistant storage and transfer of cryptographic keys for blockchain based systems in conjunction with a wallet management system |
| US12499424B2 (en) | 2016-02-23 | 2025-12-16 | Nchain Licensing Ag | Blockchain-based exchange with tokenisation |
| US12505435B2 (en) | 2016-02-23 | 2025-12-23 | Nchain Licensing Ag | Registry and automated management method for blockchain-enforced smart contracts |
| US12536599B2 (en) | 2016-02-23 | 2026-01-27 | Nchain Licensing Ag | Cryptographic method and system for secure extraction of data from a blockchain |
Families Citing this family (200)
| Publication number | Priority date | Publication date | Assignee | Title |
|---|---|---|---|---|
| JPH08263438A (en) | 1994-11-23 | 1996-10-11 | Xerox Corp | Distribution and use control system of digital work and access control method to digital work |
| US6963859B2 (en) | 1994-11-23 | 2005-11-08 | Contentguard Holdings, Inc. | Content rendering repository |
| US6233684B1 (en) | 1997-02-28 | 2001-05-15 | Contenaguard Holdings, Inc. | System for controlling the distribution and use of rendered digital works through watermaking |
| US6748410B1 (en) | 1997-05-04 | 2004-06-08 | M-Systems Flash Disk Pioneers, Ltd. | Apparatus and method for modular multiplication and exponentiation based on montgomery multiplication |
| DE69840782D1 (en) * | 1998-01-02 | 2009-06-04 | Cryptography Res Inc | Leak-resistant cryptographic method and device |
| US7587044B2 (en) | 1998-01-02 | 2009-09-08 | Cryptography Research, Inc. | Differential power analysis method and apparatus |
| FR2776445A1 (en) | 1998-03-17 | 1999-09-24 | Schlumberger Ind Sa | Cryptographic algorithm security technique |
| US8457302B1 (en) * | 1998-05-18 | 2013-06-04 | Giesecke & Devrient Gmbh | Access-controlled data storage medium |
| IL139935A (en) | 1998-06-03 | 2005-06-19 | Cryptography Res Inc | Des and other cryptographic processes with leak minimization for smartcards and other cryptosystems |
| ATE360866T1 (en) | 1998-07-02 | 2007-05-15 | Cryptography Res Inc | LEAK-RESISTANT UPDATING OF AN INDEXED CRYPTOGRAPHIC KEY |
| CA2243761C (en) * | 1998-07-21 | 2009-10-06 | Certicom Corp. | Timing attack resistant cryptographic system |
| JP4317607B2 (en) * | 1998-12-14 | 2009-08-19 | 株式会社日立製作所 | Information processing equipment, tamper resistant processing equipment |
| US6578143B1 (en) * | 1998-12-18 | 2003-06-10 | Qualcomm Incorporated | Method for negotiating weakened keys in encryption systems |
| US7092523B2 (en) | 1999-01-11 | 2006-08-15 | Certicom Corp. | Method and apparatus for minimizing differential power attacks on processors |
| US7599491B2 (en) * | 1999-01-11 | 2009-10-06 | Certicom Corp. | Method for strengthening the implementation of ECDSA against power analysis |
| AU2878800A (en) | 1999-02-12 | 2000-08-29 | Allen Freudenstein | System and method for providing certification-related and other services |
| FR2790890B1 (en) * | 1999-03-08 | 2001-04-27 | Gemplus Card Int | COUNTER-MEASUREMENT METHOD IN AN ELECTRONIC COMPONENT USING A SECRET KEY CRYPTOGRAPHY ALGORITHM |
| US6298135B1 (en) | 1999-04-29 | 2001-10-02 | Motorola, Inc. | Method of preventing power analysis attacks on microelectronic assemblies |
| FR2793904B1 (en) * | 1999-05-21 | 2001-07-27 | St Microelectronics Sa | METHOD AND DEVICE FOR MANAGING AN ELECTRONIC CIRCUIT |
| FR2794592B1 (en) * | 1999-06-04 | 2001-08-24 | France Telecom | BIT GENERATOR FOR ESTABLISHING A SECRET ENCRYPTION KEY AND CORRESPONDING METHOD |
| US6804782B1 (en) * | 1999-06-11 | 2004-10-12 | General Instrument Corporation | Countermeasure to power attack and timing attack on cryptographic operations |
| FI115259B (en) | 1999-07-16 | 2005-03-31 | Setec Oy | Procedure for generating a response |
| EP1081891A3 (en) * | 1999-09-02 | 2002-05-22 | Compaq Computer Corporation | Autokey initialization of cryptographic devices |
| US20020029200A1 (en) | 1999-09-10 | 2002-03-07 | Charles Dulin | System and method for providing certificate validation and other services |
| WO2001024082A1 (en) | 1999-09-24 | 2001-04-05 | Mary Mckenney | System and method for providing payment services in electronic commerce |
| FR2799851B1 (en) * | 1999-10-14 | 2002-01-25 | Gemplus Card Int | COUNTER-MEASUREMENT METHOD IN AN ELECTRONIC COMPONENT USING A RSA-TYPE PUBLIC KEY CRYPTOGRAPHY ALGORITHM |
| FR2800478B1 (en) * | 1999-10-28 | 2001-11-30 | Bull Cp8 | METHOD FOR SECURING AN ELECTRONIC CRYPTOGRAPHY ASSEMBLY BASED ON MODULAR EXPONENTIATION AGAINST ATTACKS BY PHYSICAL ANALYSIS |
| EP1098469B1 (en) * | 1999-11-03 | 2007-06-06 | Infineon Technologies AG | Coding device |
| US6724894B1 (en) * | 1999-11-05 | 2004-04-20 | Pitney Bowes Inc. | Cryptographic device having reduced vulnerability to side-channel attack and method of operating same |
| TW548940B (en) * | 1999-11-29 | 2003-08-21 | Gen Instrument Corp | Generation of a mathematically constrained key using a one-way function |
| DE19963407A1 (en) * | 1999-12-28 | 2001-07-12 | Giesecke & Devrient Gmbh | Portable data carrier with access protection through message alienation |
| DE19963408A1 (en) * | 1999-12-28 | 2001-08-30 | Giesecke & Devrient Gmbh | Portable data carrier with access protection by key division |
| US6973570B1 (en) * | 1999-12-31 | 2005-12-06 | Western Digital Ventures, Inc. | Integrated circuit comprising encryption circuitry selectively enabled by verifying a device |
| US6983366B1 (en) * | 2000-02-14 | 2006-01-03 | Safenet, Inc. | Packet Processor |
| JP3926532B2 (en) | 2000-03-16 | 2007-06-06 | 株式会社日立製作所 | Information processing apparatus, information processing method, and card member |
| US6732175B1 (en) * | 2000-04-13 | 2004-05-04 | Intel Corporation | Network apparatus for switching based on content of application data |
| DE50010164D1 (en) * | 2000-05-22 | 2005-06-02 | Infineon Technologies Ag | Security data processing unit and associated method |
| KR100377172B1 (en) * | 2000-06-13 | 2003-03-26 | 주식회사 하이닉스반도체 | Key Scheduller of encryption device using data encryption standard algorithm |
| FR2810481B1 (en) * | 2000-06-20 | 2003-04-04 | Gemplus Card Int | CONTROL OF ACCESS TO A DATA PROCESSING MEANS |
| FI112013B (en) * | 2000-07-11 | 2003-10-15 | Setec Oy | Procedure for processing a secret key and device |
| US20020112156A1 (en) * | 2000-08-14 | 2002-08-15 | Gien Peter H. | System and method for secure smartcard issuance |
| US7743259B2 (en) | 2000-08-28 | 2010-06-22 | Contentguard Holdings, Inc. | System and method for digital rights management using a standard rendering engine |
| US7913095B2 (en) | 2000-08-28 | 2011-03-22 | Contentguard Holdings, Inc. | Method and apparatus for providing a specific user interface in a system for managing content |
| FR2813468B1 (en) * | 2000-08-29 | 2003-01-10 | Gemplus Card Int | SECURITY OF ACCESS BY SECRET CODE TO A DATA PROCESSING MEANS |
| WO2002032064A1 (en) | 2000-09-08 | 2002-04-18 | Tallent Guy S | System and method for providing authorization and other services |
| WO2002021409A1 (en) | 2000-09-08 | 2002-03-14 | Tallent Guy S | System and method for transparently providing certificate validation and other services within an electronic transaction |
| US7620832B2 (en) * | 2000-09-20 | 2009-11-17 | Mips Technologies, Inc. | Method and apparatus for masking a microprocessor execution signature |
| FI112708B (en) * | 2000-09-29 | 2003-12-31 | Setec Oy | Method and apparatus for calculating a response |
| FI112707B (en) * | 2000-09-29 | 2003-12-31 | Setec Oy | Procedure for managing a secret key |
| US6769062B1 (en) | 2000-10-25 | 2004-07-27 | Ericsson Inc. | Method and system of using an insecure crypto-accelerator |
| US7343324B2 (en) | 2000-11-03 | 2008-03-11 | Contentguard Holdings Inc. | Method, system, and computer readable medium for automatically publishing content |
| FR2818846B1 (en) * | 2000-12-22 | 2004-03-05 | Gemplus Card Int | COUNTER-MEASUREMENT METHOD IN AN ELECTRONIC COMPONENT USING A CRYPTOGRAPHIC ALGORITHM |
| US6912294B2 (en) | 2000-12-29 | 2005-06-28 | Contentguard Holdings, Inc. | Multi-stage watermarking process and system |
| US7774279B2 (en) | 2001-05-31 | 2010-08-10 | Contentguard Holdings, Inc. | Rights offering and granting |
| US8069116B2 (en) | 2001-01-17 | 2011-11-29 | Contentguard Holdings, Inc. | System and method for supplying and managing usage rights associated with an item repository |
| US7028009B2 (en) | 2001-01-17 | 2006-04-11 | Contentguardiholdings, Inc. | Method and apparatus for distributing enforceable property rights |
| FR2820576B1 (en) * | 2001-02-08 | 2003-06-20 | St Microelectronics Sa | ENCRYPTION METHOD PROTECTED AGAINST ENERGY CONSUMPTION ANALYSIS, AND COMPONENT USING SUCH AN ENCRYPTION METHOD |
| JP4651212B2 (en) * | 2001-03-22 | 2011-03-16 | 大日本印刷株式会社 | Portable information storage medium and authentication method thereof |
| US7516325B2 (en) | 2001-04-06 | 2009-04-07 | Certicom Corp. | Device authentication in a PKI |
| US6895503B2 (en) | 2001-05-31 | 2005-05-17 | Contentguard Holdings, Inc. | Method and apparatus for hierarchical assignment of rights to documents and documents having such rights |
| US6876984B2 (en) | 2001-05-31 | 2005-04-05 | Contentguard Holdings, Inc. | Method and apparatus for establishing usage rights for digital content to be created in the future |
| US7725401B2 (en) | 2001-05-31 | 2010-05-25 | Contentguard Holdings, Inc. | Method and apparatus for establishing usage rights for digital content to be created in the future |
| US8099364B2 (en) | 2001-05-31 | 2012-01-17 | Contentguard Holdings, Inc. | Digital rights management of content when content is a future live event |
| US8001053B2 (en) | 2001-05-31 | 2011-08-16 | Contentguard Holdings, Inc. | System and method for rights offering and granting using shared state variables |
| US8275709B2 (en) | 2001-05-31 | 2012-09-25 | Contentguard Holdings, Inc. | Digital rights management of content when content is a future live event |
| US8275716B2 (en) | 2001-05-31 | 2012-09-25 | Contentguard Holdings, Inc. | Method and system for subscription digital rights management |
| US7318145B1 (en) | 2001-06-01 | 2008-01-08 | Mips Technologies, Inc. | Random slip generator |
| EP1340134A4 (en) | 2001-06-07 | 2004-07-28 | Contentguard Holdings Inc | Method and apparatus for supporting multiple trust zones in a digital rights management system |
| US7774280B2 (en) | 2001-06-07 | 2010-08-10 | Contentguard Holdings, Inc. | System and method for managing transfer of rights using shared state variables |
| DE10143728B4 (en) | 2001-09-06 | 2004-09-02 | Infineon Technologies Ag | Device and method for calculating a result of a modular exponentiation |
| FR2830146B1 (en) * | 2001-09-24 | 2003-10-31 | Gemplus Card Int | METHOD FOR IMPLEMENTING, IN AN ELECTRONIC COMPONENT, A CRYPTOGRAPHIC ALGORITHM AND CORRESPONDING COMPONENT |
| EP1449045A2 (en) * | 2001-11-14 | 2004-08-25 | International Business Machines Corporation | Device and method with reduced information leakage |
| WO2003044680A1 (en) | 2001-11-20 | 2003-05-30 | Contentguard Holdings, Inc. | Systems and methods for creating, manipulating and processing rights and contract expressions using tokenized templates |
| US7974923B2 (en) | 2001-11-20 | 2011-07-05 | Contentguard Holdings, Inc. | Extensible rights expression processing system |
| US7840488B2 (en) | 2001-11-20 | 2010-11-23 | Contentguard Holdings, Inc. | System and method for granting access to an item or permission to use an item based on configurable conditions |
| US7243853B1 (en) * | 2001-12-04 | 2007-07-17 | Visa U.S.A. Inc. | Method and system for facilitating memory and application management on a secured token |
| KR100431286B1 (en) * | 2002-01-14 | 2004-05-12 | 한국정보보호진흥원 | Method for preventing the CRT-based fault attack and apparatus thereof |
| US7076059B1 (en) * | 2002-01-17 | 2006-07-11 | Cavium Networks | Method and apparatus to implement the data encryption standard algorithm |
| KR100431047B1 (en) * | 2002-02-26 | 2004-05-12 | 주홍정보통신주식회사 | Digital signature method using RSA public-key cryptographic based on CRT and apparatus therefor |
| CN1653463B (en) | 2002-03-14 | 2013-03-06 | 康坦夹德控股股份有限公司 | Method and apparatus for processing usage rights expressions |
| US7805371B2 (en) | 2002-03-14 | 2010-09-28 | Contentguard Holdings, Inc. | Rights expression profile system and method |
| JP2003296680A (en) * | 2002-03-29 | 2003-10-17 | Hitachi Ltd | Data processing device |
| MXPA04010604A (en) | 2002-04-29 | 2004-12-13 | Contentguard Holdings Inc | System and method for specifying and processing legality expressions. |
| DE10230098A1 (en) * | 2002-07-04 | 2004-02-19 | Siemens Ag | Method for authenticating a first object to at least one further object, in particular a vehicle to at least one key |
| FR2842052B1 (en) * | 2002-07-05 | 2004-09-24 | France Telecom | CRYPTOGRAPHIC METHOD AND DEVICES FOR REDUCING CALCULATION DURING TRANSACTIONS |
| US7343011B2 (en) * | 2002-07-15 | 2008-03-11 | Conexant, Inc. | Secure telecommunications system for wireless local area networks |
| WO2004014020A1 (en) * | 2002-07-29 | 2004-02-12 | International Business Machines Corporation | Groups signature scheme |
| US20040139021A1 (en) | 2002-10-07 | 2004-07-15 | Visa International Service Association | Method and system for facilitating data access and management on a secure token |
| EP1550341B1 (en) | 2002-10-07 | 2007-01-03 | Telefonaktiebolaget LM Ericsson (publ) | Security and privacy enhancements for security devices |
| US7574731B2 (en) * | 2002-10-08 | 2009-08-11 | Koolspan, Inc. | Self-managed network access using localized access management |
| US7325134B2 (en) * | 2002-10-08 | 2008-01-29 | Koolspan, Inc. | Localized network authentication and security using tamper-resistant keys |
| US7607015B2 (en) * | 2002-10-08 | 2009-10-20 | Koolspan, Inc. | Shared network access using different access keys |
| KR100441397B1 (en) * | 2002-10-31 | 2004-07-23 | 소프트포럼 주식회사 | message encryption and authentication method |
| AU2003279642A1 (en) * | 2002-10-31 | 2004-05-25 | Telefonaktiebolaget Lm Ericsson (Publ.) | Secure implementation and utilization of device-specific security data |
| US7895443B2 (en) * | 2002-11-05 | 2011-02-22 | Safenet, Inc. | Secure authentication using hardware token and computer fingerprint |
| DE10304451B3 (en) * | 2003-02-04 | 2004-09-02 | Infineon Technologies Ag | Modular exponentiation with randomized exponent |
| US20060179305A1 (en) * | 2004-03-11 | 2006-08-10 | Junbiao Zhang | WLAN session management techniques with secure rekeying and logoff |
| MXPA05009804A (en) * | 2003-03-14 | 2006-05-19 | Thomson Licensing | Wlan session management techniques with secure rekeying and logoff. |
| GB2399904B (en) * | 2003-03-28 | 2005-08-17 | Sharp Kk | Side channel attack prevention in data processing apparatus |
| US7551737B2 (en) * | 2003-03-31 | 2009-06-23 | International Business Machines Corporation | Cryptographic keys using random numbers instead of random primes |
| CA2527668A1 (en) * | 2003-06-02 | 2004-12-16 | Liquid Machines, Inc. | Managing data objects in dynamic, distributed and collaborative contexts |
| US7685642B2 (en) | 2003-06-26 | 2010-03-23 | Contentguard Holdings, Inc. | System and method for controlling rights expressions by stakeholders of an item |
| FR2858496B1 (en) * | 2003-07-31 | 2005-09-30 | Gemplus Card Int | METHOD FOR SECURELY IMPLEMENTING AN RSA-TYPE CRYPTOGRAPHY ALGORITHM AND CORRESPONDING COMPONENT |
| US20060248595A1 (en) * | 2003-08-08 | 2006-11-02 | Koninklijke Philips Electronics N.V. | Reproducing encrypted content using region keys |
| US7934005B2 (en) * | 2003-09-08 | 2011-04-26 | Koolspan, Inc. | Subnet box |
| US8489452B1 (en) | 2003-09-10 | 2013-07-16 | Target Brands, Inc. | Systems and methods for providing a user incentive program using smart card technology |
| US7389530B2 (en) * | 2003-09-12 | 2008-06-17 | International Business Machines Corporation | Portable electronic door opener device and method for secure door opening |
| US7725933B2 (en) * | 2003-10-07 | 2010-05-25 | Koolspan, Inc. | Automatic hardware-enabled virtual private network system |
| US20050089190A1 (en) * | 2003-10-23 | 2005-04-28 | Eyal Shavit | Recording content distribution information into an adjunct to content |
| WO2005057507A2 (en) * | 2003-12-02 | 2005-06-23 | Koolspan, Inc | Remote secure authorization |
| JP4626148B2 (en) * | 2004-01-07 | 2011-02-02 | 株式会社日立製作所 | Calculation method of power-residue calculation in decryption or signature creation |
| US7457964B2 (en) * | 2004-02-04 | 2008-11-25 | Microsoft Corporation | Trusted path for transmitting content thereon |
| EP1757006A2 (en) * | 2004-06-01 | 2007-02-28 | Ben-Gurion University of the Negev Research and Development Authority | Structure preserving database encryption method and system |
| US7711120B2 (en) * | 2004-07-29 | 2010-05-04 | Infoassure, Inc. | Cryptographic key management |
| KR100652377B1 (en) * | 2004-08-06 | 2007-02-28 | 삼성전자주식회사 | Modular Exponential Algorithms, Record Media and Systems |
| WO2006027430A1 (en) * | 2004-08-16 | 2006-03-16 | France Telecom | Method for carrying out authentication between entities communicating with one another over a telecommunications network |
| JP4326443B2 (en) * | 2004-10-08 | 2009-09-09 | フェリカネットワークス株式会社 | Information processing apparatus, information processing method, and program |
| EP1825632B1 (en) * | 2004-11-11 | 2016-01-20 | Certicom Corp. | Secure interface for versatile key derivation function support |
| CN102170351B (en) | 2004-11-11 | 2014-02-19 | 塞尔蒂卡姆公司 | Custom static Diffie-Hellman groups |
| US8660961B2 (en) | 2004-11-18 | 2014-02-25 | Contentguard Holdings, Inc. | Method, system, and device for license-centric content consumption |
| FR2879866B1 (en) * | 2004-12-22 | 2007-07-20 | Sagem | METHOD AND DEVICE FOR PERFORMING A CRYPTOGRAPHIC CALCULATION |
| US8467535B2 (en) * | 2005-01-18 | 2013-06-18 | Certicom Corp. | Accelerated verification of digital signatures and public keys |
| EP1842128B1 (en) | 2005-01-18 | 2011-11-09 | Certicom Corp. | Accelerated verification of digital signatures and public keys |
| FR2882209A1 (en) * | 2005-02-11 | 2006-08-18 | France Telecom | METHOD OF AUTHENTICATING AN ELECTRONIC LABEL USING A CRYPTOGRAPHIC ALGORITHM WITH A PUBLIC KEY |
| US8200972B2 (en) * | 2005-03-16 | 2012-06-12 | International Business Machines Corporation | Encryption of security-sensitive data by re-using a connection |
| US20060210071A1 (en) * | 2005-03-16 | 2006-09-21 | Chandran Gayathiri R | Encryption of security-sensitive data |
| FR2884004B1 (en) * | 2005-03-30 | 2007-06-29 | Oberthur Card Syst Sa | DATA PROCESSING METHOD INVOLVING MODULAR EXPONENTIATION AND ASSOCIATED DEVICE |
| CN101167114A (en) | 2005-04-28 | 2008-04-23 | 松下电器产业株式会社 | Program conversion device, encryption processing device, and encryption processing method |
| FR2887351A1 (en) * | 2005-06-16 | 2006-12-22 | St Microelectronics Sa | PROTECTION OF A MODULAR EXPONENTIATION CALCULATION CARRIED OUT BY AN INTEGRATED CIRCUIT |
| FR2889349A1 (en) | 2005-07-26 | 2007-02-02 | St Microelectronics Sa | METHOD AND DEVICE FOR SECURING AN INTEGRATED CIRCUIT, IN PARTICULAR A MICROPROCESSOR CARD |
| JP2009505148A (en) * | 2005-08-19 | 2009-02-05 | エヌエックスピー ビー ヴィ | Circuit arrangement and method for performing inversion operation in encryption operation |
| EP1920325A2 (en) * | 2005-08-19 | 2008-05-14 | Nxp B.V. | Circuit arrangement and method rsa key generation |
| US8041032B2 (en) * | 2005-08-19 | 2011-10-18 | Cardiac Pacemakers, Inc. | Symmetric key encryption system with synchronously updating expanded key |
| FR2890267B1 (en) * | 2005-08-26 | 2007-10-05 | Viaccess Sa | METHOD FOR ESTABLISHING A SESSION KEY AND UNITS FOR IMPLEMENTING THE METHOD |
| FR2890269A1 (en) * | 2005-09-01 | 2007-03-02 | France Telecom | Electronic object e.g. radio frequency identifier type electronic label, authenticating method, involves encrypting number using one-way function, and determining cryptogram from secret identifier, of encrypted number and variable |
| US7720767B2 (en) | 2005-10-24 | 2010-05-18 | Contentguard Holdings, Inc. | Method and system to support dynamic rights and resources sharing |
| FR2895609A1 (en) * | 2005-12-26 | 2007-06-29 | Gemplus Sa | Cryptographic method for forming modular exponentiation, involves masking operand with random number, and forming modular exponentiation of operand masked by exponent using Montgomery multiplier |
| KR100850202B1 (en) * | 2006-03-04 | 2008-08-04 | 삼성전자주식회사 | Cryptographic method for countering DFA using ECC fast Montgomery power ladder algorithm |
| US7971058B2 (en) * | 2006-03-27 | 2011-06-28 | Kyocera Corporation | System and method for generating a plaintext / cyphertext database for use in device authentication |
| US8301890B2 (en) * | 2006-08-10 | 2012-10-30 | Inside Secure | Software execution randomization |
| US7613907B2 (en) * | 2006-08-11 | 2009-11-03 | Atmel Corporation | Embedded software camouflage against code reverse engineering |
| US7984301B2 (en) * | 2006-08-17 | 2011-07-19 | Inside Contactless S.A. | Bi-processor architecture for secure systems |
| US7554865B2 (en) * | 2006-09-21 | 2009-06-30 | Atmel Corporation | Randomizing current consumption in memory devices |
| US7822207B2 (en) * | 2006-12-22 | 2010-10-26 | Atmel Rousset S.A.S. | Key protection mechanism |
| US8391479B2 (en) * | 2007-03-07 | 2013-03-05 | Research In Motion Limited | Combining interleaving with fixed-sequence windowing in an elliptic curve scalar multiplication |
| US8243919B2 (en) | 2007-03-07 | 2012-08-14 | Research In Motion Limited | Method and apparatus for performing elliptic curve scalar multiplication in a manner that counters power analysis attacks |
| US8280041B2 (en) * | 2007-03-12 | 2012-10-02 | Inside Secure | Chinese remainder theorem-based computation method for cryptosystems |
| EP1998491A1 (en) * | 2007-05-31 | 2008-12-03 | Thomson Licensing | Method for calculating compressed RSA moduli |
| US7907735B2 (en) | 2007-06-15 | 2011-03-15 | Koolspan, Inc. | System and method of creating and sending broadcast and multicast data |
| US7936871B2 (en) * | 2007-06-28 | 2011-05-03 | Samsung Electronics Co., Ltd. | Altering the size of windows in public key cryptographic computations |
| US8290151B2 (en) * | 2007-10-12 | 2012-10-16 | Infineon Technologies Ag | Device and method for determining an inverse of a value related to a modulus |
| WO2009055906A1 (en) * | 2007-11-02 | 2009-05-07 | Certicom Corp. | Signed montgomery arithmetic |
| CN100488099C (en) * | 2007-11-08 | 2009-05-13 | 西安西电捷通无线网络通信有限公司 | Bidirectional access authentication method |
| ATE513377T1 (en) | 2007-12-13 | 2011-07-15 | Oberthur Technologies | METHOD FOR CRYPTOGRAPHIC DATA PROCESSING, IN PARTICULAR USING AN S BOX AND RELATED EQUIPMENT AND SOFTWARE |
| EP2232761B1 (en) | 2008-01-18 | 2021-02-24 | Identrust, Inc. | Binding a digital certificate to multiple trust domains |
| US20090184800A1 (en) | 2008-01-22 | 2009-07-23 | Harris Scott C | Cellular phone Entry Techniques |
| FR2926651B1 (en) * | 2008-01-23 | 2010-05-21 | Inside Contactless | COUNTERMEASURE METHOD AND DEVICES FOR ASYMMETRIC CRYPTOGRAPHY |
| US8312534B2 (en) * | 2008-03-03 | 2012-11-13 | Lenovo (Singapore) Pte. Ltd. | System and method for securely clearing secret data that remain in a computer system memory |
| CA2736898A1 (en) * | 2008-05-07 | 2009-11-12 | Irdeto Corporate B.V. | Exponent obfuscation |
| FR2935059B1 (en) * | 2008-08-12 | 2012-05-11 | Groupe Des Ecoles De Telecommunications Get Ecole Nationale Superieure Des Telecommunications Enst | METHOD FOR DETECTING ANOMALIES IN A DIFFERENTIAL LOGIC-PROTECTED CRYPTOGRAPHIC CIRCUIT AND CIRCUIT USING SUCH A METHOD |
| MX2011001228A (en) | 2008-08-19 | 2011-03-25 | Nxp Bv | Method for generating a cipher-based message authentication code. |
| EP2169535A1 (en) * | 2008-09-22 | 2010-03-31 | Thomson Licensing | Method, apparatus and computer program support for regular recoding of a positive integer |
| JP5407352B2 (en) * | 2009-01-19 | 2014-02-05 | 富士通株式会社 | Decoding processing device, decoding processing program, and decoding processing method |
| EP2222013A1 (en) * | 2009-02-19 | 2010-08-25 | Thomson Licensing | Method and device for countering fault attacks |
| US8577028B2 (en) * | 2009-02-27 | 2013-11-05 | Certicom Corp. | System and method for performing exponentiation in a cryptographic system |
| US8245959B1 (en) | 2009-06-30 | 2012-08-21 | Emc Corporation | Powered card and method of disposing of the same |
| EP2290872B1 (en) | 2009-08-27 | 2014-06-18 | Nxp B.V. | Device for generating a message authentication code for authenticating a message |
| US8775813B2 (en) * | 2010-02-26 | 2014-07-08 | Certicom Corp. | ElGamal signature schemes |
| KR101610917B1 (en) * | 2010-03-08 | 2016-04-11 | 삼성전자주식회사 | Decryption method of crypto algorithm and crypto system having its |
| DE102010010851A1 (en) | 2010-03-10 | 2011-09-15 | Giesecke & Devrient Gmbh | Spying protection when executing an operation sequence in a portable data carrier |
| IT1401937B1 (en) * | 2010-09-16 | 2013-08-28 | St Microelectronics Srl | METHOD OF GENERATION OF A DIGITAL SIGNATURE |
| EP2466523B1 (en) * | 2010-12-16 | 2015-04-29 | BlackBerry Limited | Method and apparatus for securing a computing device |
| KR101467719B1 (en) * | 2010-12-24 | 2014-12-01 | 미쓰비시덴키 가부시키가이샤 | Signature generating device, method of generating signature, and recording medium |
| US8745376B2 (en) | 2011-10-14 | 2014-06-03 | Certicom Corp. | Verifying implicit certificates and digital signatures |
| US8334705B1 (en) | 2011-10-27 | 2012-12-18 | Certicom Corp. | Analog circuitry to conceal activity of logic circuitry |
| US8635467B2 (en) | 2011-10-27 | 2014-01-21 | Certicom Corp. | Integrated circuit with logic circuitry and multiple concealing circuits |
| EP2608445A1 (en) * | 2011-12-20 | 2013-06-26 | Gemalto SA | Method to protect a binary GCD computation against SPA attacks |
| CN102664732B (en) * | 2012-03-07 | 2016-06-22 | 南相浩 | The anti-quantum computation attack of CPK public key system realize method and system |
| US9106405B1 (en) * | 2012-06-25 | 2015-08-11 | Amazon Technologies, Inc. | Multi-user secret decay |
| EP2918037A1 (en) * | 2012-11-12 | 2015-09-16 | Cryptography Research Inc. | Methods and systems for glitch-resistant cryptographic discrete-log based signing |
| US9009495B2 (en) | 2013-06-28 | 2015-04-14 | Envieta, LLC | High speed cryptographic combining system, and method for programmable logic devices |
| FR3015726B1 (en) * | 2013-12-24 | 2016-01-08 | Morpho | SECURE COMPARATIVE PROCESSING METHOD |
| CN106165339A (en) * | 2014-03-26 | 2016-11-23 | 大陆-特韦斯股份有限公司 | Method and system for improving data security during communication |
| US10013363B2 (en) | 2015-02-09 | 2018-07-03 | Honeywell International Inc. | Encryption using entropy-based key derivation |
| US10594471B2 (en) * | 2015-03-20 | 2020-03-17 | Cryptography Research, Inc. | Multiplicative blinding for cryptographic operations |
| US10181944B2 (en) | 2015-06-16 | 2019-01-15 | The Athena Group, Inc. | Minimizing information leakage during modular exponentiation and elliptic curve point multiplication |
| US11521203B2 (en) * | 2015-07-09 | 2022-12-06 | Cryptography Research, Inc. | Generating a cryptographic key based on transaction data of mobile payments |
| US10862683B2 (en) * | 2016-05-19 | 2020-12-08 | Arris Enterprises Llc | Implicit RSA certificates |
| US10255462B2 (en) | 2016-06-17 | 2019-04-09 | Arm Limited | Apparatus and method for obfuscating power consumption of a processor |
| US10708073B2 (en) | 2016-11-08 | 2020-07-07 | Honeywell International Inc. | Configuration based cryptographic key generation |
| EP3337086A1 (en) * | 2016-12-15 | 2018-06-20 | Gemalto Sa | Method for synchronized signature with additive rsa key splitting using a sliding window |
| US10997322B2 (en) | 2017-05-22 | 2021-05-04 | Arm Limited | Efficient power distribution |
| US10924261B2 (en) | 2017-05-22 | 2021-02-16 | Arm Limited | Efficient power distribution |
| US10826694B2 (en) | 2018-04-23 | 2020-11-03 | International Business Machines Corporation | Method for leakage-resilient distributed function evaluation with CPU-enclaves |
| MX2021003138A (en) | 2018-10-02 | 2021-05-14 | Capital One Services Llc | Systems and methods for cryptographic authentication of contactless cards. |
| JP2021048518A (en) * | 2019-09-19 | 2021-03-25 | 株式会社東芝 | Information processing device, information processing system, and control method of information processing device |
| US11394308B1 (en) | 2021-05-05 | 2022-07-19 | Arm Limited | Apparatuses and methods for power isolation |
| US12495042B2 (en) | 2021-08-16 | 2025-12-09 | Capital One Services, Llc | Systems and methods for resetting an authentication counter |
| US11438146B1 (en) * | 2021-10-27 | 2022-09-06 | Coinbase Il Rd Ltd. | System and method for performing key exchange while overcoming a malicious adversary party |
| CN113765665B (en) * | 2021-11-10 | 2022-02-08 | 济南量子技术研究院 | Block chain network based on quantum key and data secure transmission method |
Family Cites Families (214)
| Publication number | Priority date | Publication date | Assignee | Title |
|---|---|---|---|---|
| US2733432A (en) | 1956-01-31 | Breckman | ||
| FR561910A (en) | 1922-02-11 | 1923-10-30 | ||
| US4214126A (en) | 1945-04-30 | 1980-07-22 | Rca Corporation | Cadence suppression system |
| US2632058A (en) | 1946-03-22 | 1953-03-17 | Bell Telephone Labor Inc | Pulse code communication |
| US3816762A (en) | 1973-01-02 | 1974-06-11 | Fairchild Camera Instr Co | Noise suppression circuit |
| US4243890A (en) | 1976-08-23 | 1981-01-06 | Miller Bruce J | Isolator/switching assembly for data processing terminal |
| US4107458A (en) | 1976-08-23 | 1978-08-15 | Constant James N | Cipher computer and cryptographic system |
| US4139839A (en) | 1977-03-18 | 1979-02-13 | Nasa | Digital data reformatter/deserializer |
| US4295041A (en) | 1977-08-26 | 1981-10-13 | Compagnie Internationale Pour L'informatique Cii-Honeywell Bull (Societe Anonyme) | Device for the protection of access to a permanent memory of a portable data carrier |
| FR2401459A1 (en) | 1977-08-26 | 1979-03-23 | Cii Honeywell Bull | PORTABLE INFORMATION MEDIA EQUIPPED WITH A MICROPROCESSOR AND A PROGRAMMABLE DEAD MEMORY |
| US4200770A (en) | 1977-09-06 | 1980-04-29 | Stanford University | Cryptographic apparatus and method |
| US4202051A (en) | 1977-10-03 | 1980-05-06 | Wisconsin Alumni Research Foundation | Digital data enciphering and deciphering circuit and method |
| CH623271A5 (en) | 1977-11-15 | 1981-05-29 | Hasler Ag | |
| US4203166A (en) | 1977-12-05 | 1980-05-13 | International Business Machines Corporation | Cryptographic file security for multiple domain networks |
| US4405829A (en) | 1977-12-14 | 1983-09-20 | Massachusetts Institute Of Technology | Cryptographic communications system and method |
| US4309569A (en) | 1979-09-05 | 1982-01-05 | The Board Of Trustees Of The Leland Stanford Junior University | Method of providing digital signatures |
| US4369332A (en) | 1979-09-26 | 1983-01-18 | Burroughs Corporation | Key variable generator for an encryption/decryption device |
| US4268898A (en) | 1980-03-20 | 1981-05-19 | Lorain Products Corporation | Semiconductor switching circuit with clamping and energy recovery features |
| DE3127843A1 (en) | 1981-07-15 | 1983-05-26 | AEG-Telefunken Nachrichtentechnik GmbH, 7150 Backnang | METHOD FOR PREVENTING "COMPROMISING RADIATION" IN PROCESSING AND TRANSMITTING SECRET DATA INFORMATION |
| JPS58187015A (en) | 1982-04-26 | 1983-11-01 | Nippon Telegr & Teleph Corp <Ntt> | Switched capacitor circuit |
| US4605921A (en) | 1983-06-20 | 1986-08-12 | Riddle Herbert S | Digital word-framing technique and system |
| US4569052A (en) | 1983-07-14 | 1986-02-04 | Sperry Corporation | Coset code generator for computer memory protection |
| US4759063A (en) | 1983-08-22 | 1988-07-19 | Chaum David L | Blind signature systems |
| US4776011A (en) | 1983-10-24 | 1988-10-04 | Sony Corporation | Recursive key schedule cryptographic system |
| US4605820A (en) | 1983-11-10 | 1986-08-12 | Visa U.S.A. Inc. | Key management system for on-line communication |
| US4570084A (en) | 1983-11-21 | 1986-02-11 | International Business Machines Corporation | Clocked differential cascode voltage switch logic systems |
| US4799258A (en) | 1984-02-13 | 1989-01-17 | National Research Development Corporation | Apparatus and methods for granting access to computers |
| JPS60146361U (en) | 1984-03-08 | 1985-09-28 | 三洋電機株式会社 | Light emitting diode mounting device |
| NL8401989A (en) | 1984-06-22 | 1986-01-16 | Nederlanden Staat | VIDEO ENTRY STATION WITH IMAGE LINE SCRAPE. |
| JPS61102167A (en) | 1984-10-23 | 1986-05-20 | Yokogawa Hokushin Electric Corp | DC/DC converter |
| US4661658A (en) | 1985-02-12 | 1987-04-28 | International Business Machines Corporation | Offline PIN validation with DES |
| US4686392A (en) | 1985-10-30 | 1987-08-11 | International Business Machines Corporation | Multi-functional differential cascode voltage switch logic |
| JPH0532965Y2 (en) | 1985-11-14 | 1993-08-23 | ||
| GB8608172D0 (en) | 1986-04-03 | 1986-05-08 | Walker S M | Computer security devices |
| JPS62166489U (en) | 1986-04-11 | 1987-10-22 | ||
| JPS62260406A (en) | 1986-05-06 | 1987-11-12 | Nec Corp | White noise generator |
| FR2600183B1 (en) | 1986-06-13 | 1990-10-12 | Eurotechnique Sa | INTEGRATED CIRCUIT FOR CONFIDENTIALLY STORING AND PROCESSING INFORMATION COMPRISING AN ANTI-FRAUD DEVICE |
| US4937866A (en) | 1986-08-13 | 1990-06-26 | U.S. Philips Corporation | System for decoding transmitted scrambled signals |
| JPS6370550A (en) | 1986-09-12 | 1988-03-30 | Nec Corp | Semiconductor integrated circuit |
| US5341423A (en) | 1987-02-06 | 1994-08-23 | General Electric Company | Masked data transmission system |
| FR2617976B1 (en) | 1987-07-10 | 1989-11-10 | Thomson Semiconducteurs | BINARY LOGIC LEVEL ELECTRIC DETECTOR |
| ES2040786T3 (en) | 1987-08-14 | 1993-11-01 | Siemens Aktiengesellschaft | DATA TRANSMISSION PROCEDURE. |
| JPS6481087A (en) | 1987-09-22 | 1989-03-27 | Hitachi Maxell | Ic card data transmission system |
| JPH01114995A (en) | 1987-10-29 | 1989-05-08 | Toppan Printing Co Ltd | IC card |
| JP2698588B2 (en) | 1987-11-13 | 1998-01-19 | 株式会社東芝 | Portable electronic devices |
| US5412379A (en) | 1988-05-27 | 1995-05-02 | Lectron Products, Inc. | Rolling code for a keyless entry system |
| JPH022475A (en) | 1988-06-15 | 1990-01-08 | Omron Tateisi Electron Co | Ic card |
| NO165698C (en) | 1988-07-05 | 1991-03-20 | System Sikkerhet As | DIGITAL EQUIPMENT PROTECTION SYSTEM. |
| DE3825880C1 (en) | 1988-07-29 | 1995-12-21 | Siemens Ag | Key device |
| GB8819767D0 (en) | 1988-08-19 | 1989-07-05 | Ncr Co | Public key diversification method |
| US4932057A (en) | 1988-10-17 | 1990-06-05 | Grumman Aerospace Corporation | Parallel transmission to mask data radiation |
| US4905176A (en) | 1988-10-28 | 1990-02-27 | International Business Machines Corporation | Random number generator circuit |
| FR2638869B1 (en) | 1988-11-10 | 1990-12-21 | Sgs Thomson Microelectronics | SECURITY DEVICE AGAINST UNAUTHORIZED DETECTION OF PROTECTED DATA |
| US5293029A (en) | 1989-01-17 | 1994-03-08 | Kabushiki Kaisha Toshiba | System for mutually certifying an IC card and an IC card terminal |
| JPH02187888A (en) | 1989-01-17 | 1990-07-24 | Toshiba Corp | Certification system |
| SE462935B (en) | 1989-01-30 | 1990-09-17 | Cominvest Res Ab | KEEPING AND DEVICE PROVIDING EXTERNAL DETECTION OF SIGNAL INFORMATION |
| US5181243A (en) | 1989-05-19 | 1993-01-19 | Syntellect, Inc. | System and method for communications security protection |
| US5086467A (en) | 1989-05-30 | 1992-02-04 | Motorola, Inc. | Dummy traffic generation |
| FR2651347A1 (en) | 1989-08-22 | 1991-03-01 | Trt Telecom Radio Electr | SINGLE NUMBER GENERATION METHOD FOR MICROCIRCUIT BOARD AND APPLICATION TO COOPERATION OF THE BOARD WITH A HOST SYSTEM. |
| US5412730A (en) † | 1989-10-06 | 1995-05-02 | Telequip Corporation | Encrypted data transmission system employing means for randomly altering the encryption keys |
| US5136643A (en) | 1989-10-13 | 1992-08-04 | Fischer Addison M | Public/key date-time notary facility |
| IT1238529B (en) | 1989-11-10 | 1993-08-18 | Data Protection Srl | PROTECTIVE DEVICE FOR COMPUTERS AND SIMILAR, TO PREVENT THE CAPTURE, REGISTRATION AND UNDUE USE OF DATA FROM THE SAME DURING THEIR FUNCTIONING AND TO PROTECT THEM FROM TRANSITIONAL DISTURBANCES, WITH HIGH LEVEL ENERGY CONTENT, VERIFYING ON THE MAINS NETWORK POWER SUPPLY. |
| US5249294A (en) | 1990-03-20 | 1993-09-28 | General Instrument Corporation | Determination of time of execution of predetermined data processing routing in relation to occurrence of prior externally observable event |
| GB2242797B (en) | 1990-04-07 | 1993-12-08 | Ferranti Int Plc | Signal generation using digital-to-analogue conversion |
| US5177430A (en) | 1990-04-19 | 1993-01-05 | Moshe Mohel | Circuit for securing a power supply |
| CA2044051A1 (en) | 1990-06-29 | 1991-12-30 | Paul C. Wade | System and method for error detection and reducing simultaneous switching noise |
| US5136646A (en) | 1991-03-08 | 1992-08-04 | Bell Communications Research, Inc. | Digital document time-stamping with catenate certificate |
| JPH0778975B2 (en) | 1990-09-27 | 1995-08-23 | インターナシヨナル・ビジネス・マシーンズ・コーポレーシヨン | Optical disk drive |
| FR2667715A1 (en) | 1990-10-09 | 1992-04-10 | Gemplus Card Int | METHOD AND DEVICE FOR INCREASING THE PROTECTION OF A MEMORY CARD. |
| US5144667A (en) | 1990-12-20 | 1992-09-01 | Delco Electronics Corporation | Method of secure remote access |
| US5149992A (en) | 1991-04-30 | 1992-09-22 | The State Of Oregon Acting By And Through The State Board Of Higher Education On Behalf Of Oregon State University | MOS folded source-coupled logic |
| US5241598A (en) | 1991-05-22 | 1993-08-31 | Ericsson Ge Mobile Communications, Inc. | Rolling key resynchronization in cellular verification and validation system |
| SE500276C2 (en) | 1991-06-24 | 1994-05-24 | Shield Research In Sweden Ab | Method and apparatus for preventing external detection of signal information |
| US5142578A (en) | 1991-08-22 | 1992-08-25 | International Business Machines Corporation | Hybrid public key algorithm/data encryption algorithm key distribution method based on control vectors |
| US5159632A (en) | 1991-09-17 | 1992-10-27 | Next Computer, Inc. | Method and apparatus for public key exchange in a cryptographic system |
| EP0605618A4 (en) | 1991-09-23 | 1998-05-13 | Microsystems Z | Enhanced security system for computing devices. |
| JP3083187B2 (en) | 1991-09-30 | 2000-09-04 | 富士通株式会社 | Key management method of electronic wallet system |
| ATE154726T1 (en) | 1992-02-27 | 1997-07-15 | Philips Electronics Nv | INTEGRATED CMOS CIRCUIT |
| JP2821306B2 (en) | 1992-03-06 | 1998-11-05 | 三菱電機株式会社 | Authentication method and system between IC card and terminal |
| IT1259383B (en) | 1992-04-02 | 1996-03-12 | PROTECTION DEVICE FOR COMPUTERS AND SIMILAR | |
| US5600324A (en) | 1992-05-11 | 1997-02-04 | Rockwell International Corporation | Keyless entry system using a rolling code |
| US5268962A (en) | 1992-07-21 | 1993-12-07 | Digital Equipment Corporation | Computer network with modified host-to-host encryption keys |
| US5297201A (en) | 1992-10-13 | 1994-03-22 | J.D. Technologies, Inc. | System for preventing remote detection of computer data from tempest signal emissions |
| FR2704081B1 (en) | 1993-04-16 | 1995-05-19 | France Telecom | Method for updating a memory card and memory card for implementing this method. |
| WO1994026045A1 (en) | 1993-05-05 | 1994-11-10 | Zunquan Liu | A repertoire of mappings for a cryptosystem |
| US5297207A (en) | 1993-05-24 | 1994-03-22 | Degele Steven T | Machine generation of cryptographic keys by non-linear processes similar to processes normally associated with encryption of data |
| CN1096648C (en) | 1993-06-02 | 2002-12-18 | 惠普公司 | System and method for revaluation of stored tokens in IC cards |
| US5483598A (en) † | 1993-07-01 | 1996-01-09 | Digital Equipment Corp., Patent Law Group | Message encryption using a hash function |
| US5914471A (en) | 1993-07-20 | 1999-06-22 | Koninklijke Ptt Nederland N.V. | Method and apparatus for recording usage data of card operated devices |
| JP2750072B2 (en) | 1993-07-27 | 1998-05-13 | 松下電工株式会社 | Power converter |
| US5399996A (en) | 1993-08-16 | 1995-03-21 | At&T Global Information Solutions Company | Circuit and method for minimizing electromagnetic emissions |
| WO1995008885A1 (en) * | 1993-09-20 | 1995-03-30 | International Business Machines Corporation | System and method for changing the key or password in a secure distributed communications network |
| US5369706A (en) | 1993-11-05 | 1994-11-29 | United Technologies Automotive, Inc. | Resynchronizing transmitters to receivers for secure vehicle entry using cryptography or rolling code |
| US5710834A (en) | 1995-05-08 | 1998-01-20 | Digimarc Corporation | Method and apparatus responsive to a code signal conveyed through a graphic image |
| US5515438A (en) | 1993-11-24 | 1996-05-07 | International Business Machines Corporation | Quantum key distribution using non-orthogonal macroscopic signals |
| FR2713419B1 (en) | 1993-12-02 | 1996-07-05 | Gemplus Card Int | Method for generating DSA signatures with low cost portable devices. |
| EP0656708A1 (en) * | 1993-12-03 | 1995-06-07 | International Business Machines Corporation | System and method for the transmission and validation of an updated encryption key between two users |
| US5404402A (en) | 1993-12-21 | 1995-04-04 | Gi Corporation | Clock frequency modulation for secure microprocessors |
| JP3029381B2 (en) | 1994-01-10 | 2000-04-04 | 富士通株式会社 | Data converter |
| US5434919A (en) | 1994-01-11 | 1995-07-18 | Chaum; David | Compact endorsement signature systems |
| US5631492A (en) | 1994-01-21 | 1997-05-20 | Motorola | Standard cell having a capacitor and a power supply capacitor for reducing noise and method of formation |
| US5668878A (en) | 1994-02-28 | 1997-09-16 | Brands; Stefanus Alfonsus | Secure cryptographic methods for electronic transfer of information |
| US5412723A (en) | 1994-03-01 | 1995-05-02 | International Business Machines Corporation | Mechanism for keeping a key secret from mobile eavesdroppers |
| US5420925A (en) | 1994-03-03 | 1995-05-30 | Lectron Products, Inc. | Rolling code encryption process for remote keyless entry system |
| JPH07322602A (en) | 1994-05-23 | 1995-12-08 | Fujitsu Ltd | Power supply |
| US5551013A (en) | 1994-06-03 | 1996-08-27 | International Business Machines Corporation | Multiprocessor for hardware emulation |
| US5414614A (en) | 1994-06-06 | 1995-05-09 | Motorola, Inc. | Dynamically configurable switched capacitor power supply and method |
| EP0693836A1 (en) | 1994-06-10 | 1996-01-24 | Sun Microsystems, Inc. | Method and apparatus for a key-management scheme for internet protocols. |
| US5506905A (en) * | 1994-06-10 | 1996-04-09 | Delco Electronics Corp. | Authentication method for keyless entry system |
| US5546463A (en) * | 1994-07-12 | 1996-08-13 | Information Resource Engineering, Inc. | Pocket encrypting and authenticating communications device |
| US5511123A (en) | 1994-08-04 | 1996-04-23 | Northern Telecom Limited | Symmetric cryptographic system for data encryption |
| US5557346A (en) | 1994-08-11 | 1996-09-17 | Trusted Information Systems, Inc. | System and method for key escrow encryption |
| US5600273A (en) | 1994-08-18 | 1997-02-04 | Harris Corporation | Constant delay logic circuits and methods |
| US5514982A (en) | 1994-08-18 | 1996-05-07 | Harris Corporation | Low noise logic family |
| BE1008699A3 (en) | 1994-09-09 | 1996-07-02 | Banksys | Method and arrangement for selective give access to a security system. |
| US5663896A (en) * | 1994-09-22 | 1997-09-02 | Intel Corporation | Broadcast key distribution apparatus and method using Chinese Remainder |
| US5544086A (en) | 1994-09-30 | 1996-08-06 | Electronic Payment Services, Inc. | Information consolidation within a transaction network |
| US5633930A (en) | 1994-09-30 | 1997-05-27 | Electronic Payment Services, Inc. | Common cryptographic key verification in a transaction network |
| US5559887A (en) | 1994-09-30 | 1996-09-24 | Electronic Payment Service | Collection of value from stored value systems |
| US5636157A (en) | 1994-10-03 | 1997-06-03 | International Business Machines Corporation | Modular 64-bit integer adder |
| US5737419A (en) | 1994-11-09 | 1998-04-07 | Bell Atlantic Network Services, Inc. | Computer system for securing communications using split private key asymmetric cryptography |
| JP2825064B2 (en) | 1994-12-19 | 1998-11-18 | 株式会社日本自動車部品総合研究所 | Encryption device |
| JPH10513315A (en) | 1994-12-30 | 1998-12-15 | トムソン コンシユーマ エレクトロニクス インコーポレイテツド | Modem with automatic callback means |
| US5602917A (en) | 1994-12-30 | 1997-02-11 | Lucent Technologies Inc. | Method for secure session key generation |
| US5625692A (en) | 1995-01-23 | 1997-04-29 | International Business Machines Corporation | Method and system for a public key cryptosystem having proactive, robust, and recoverable distributed threshold secret sharing |
| DE19505097C1 (en) | 1995-02-15 | 1996-06-05 | Siemens Ag | Encryption device |
| US5483182A (en) | 1995-03-06 | 1996-01-09 | Motorola, Inc. | Method and apparatus for a DC-DC converter an current limiting thereof |
| DE19511298B4 (en) | 1995-03-28 | 2005-08-18 | Deutsche Telekom Ag | Procedure for issuing and revoking the authorization to receive broadcasts and decoders |
| IL113375A (en) | 1995-04-13 | 1997-09-30 | Fortress U & T Ltd | Internationally regulated system for one to one cryptographic communications with national sovereignty without key escrow |
| US5796836A (en) | 1995-04-17 | 1998-08-18 | Secure Computing Corporation | Scalable key agile cryptography |
| US5638444A (en) | 1995-06-02 | 1997-06-10 | Software Security, Inc. | Secure computer communication method and system |
| US5778074A (en) | 1995-06-29 | 1998-07-07 | Teledyne Industries, Inc. | Methods for generating variable S-boxes from arbitrary keys of arbitrary length including methods which allow rapid key changes |
| CA2179971C (en) | 1995-06-30 | 2001-10-30 | Takahisa Yamamoto | An adaptable communication apparatus and an adaptable communication system |
| US5727062A (en) | 1995-07-06 | 1998-03-10 | Ritter; Terry F. | Variable size block ciphers |
| US5812669A (en) | 1995-07-19 | 1998-09-22 | Jenkins; Lew | Method and system for providing secure EDI over an open network |
| FR2738971B1 (en) | 1995-09-19 | 1997-10-10 | Schlumberger Ind Sa | METHOD FOR DETERMINING AN ENCRYPTION KEY ASSOCIATED WITH AN INTEGRATED CIRCUIT |
| FR2738970B1 (en) | 1995-09-19 | 1997-10-10 | Schlumberger Ind Sa | METHOD FOR DETERMINING A DIVERSIFIED KEY ASSOCIATED WITH AN INTEGRATED CIRCUIT |
| JP3336826B2 (en) | 1995-09-29 | 2002-10-21 | 株式会社デンソー | Anti-theft device |
| FR2739469B1 (en) | 1995-10-03 | 1997-12-26 | Gemplus Card Int | PROCESS FOR PUBLIC KEY CRYPTOGRAPHY BASED ON DISCRETE LOGARITHM |
| US6141652A (en) | 1995-10-10 | 2000-10-31 | British Telecommunications Public Limited Company | Operating apparatus |
| NL1001659C2 (en) | 1995-11-15 | 1997-05-21 | Nederland Ptt | Method for writing down an electronic payment method. |
| US5727063A (en) | 1995-11-27 | 1998-03-10 | Bell Communications Research, Inc. | Pseudo-random generator |
| JPH09163469A (en) * | 1995-12-11 | 1997-06-20 | Alpha Corp | Device and method for remote control |
| US5838794A (en) | 1996-01-11 | 1998-11-17 | Teledyne Electronic Technologies | Method and apparatus for inter-round mixing in iterated block substitution systems |
| US5637929A (en) | 1996-01-16 | 1997-06-10 | Ford Motor Company | Method and apparatus for enhanced vehicle protection |
| JP3504050B2 (en) | 1996-01-26 | 2004-03-08 | 株式会社東芝 | Power-residue calculation method and apparatus |
| US6453296B1 (en) | 1996-01-31 | 2002-09-17 | Canon Kabushiki Kaisha | Electronic credit system and communication apparatus |
| FR2745135B1 (en) | 1996-02-15 | 1998-09-18 | Cedric Colnot | METHOD FOR AUTHORIZING ACCESS BY A SERVER TO A SERVICE FROM PORTABLE MEMORY CARD TYPE ELECTRONIC MICROCIRCUIT DEVICES |
| FR2745099B1 (en) | 1996-02-19 | 1998-03-27 | Sgs Thomson Microelectronics | METHOD FOR SEQUENCING AN INTEGRATED CIRCUIT |
| US5761306A (en) | 1996-02-22 | 1998-06-02 | Visa International Service Association | Key replacement in a public key cryptosystem |
| FR2745924B1 (en) | 1996-03-07 | 1998-12-11 | Bull Cp8 | IMPROVED INTEGRATED CIRCUIT AND METHOD FOR USING SUCH AN INTEGRATED CIRCUIT |
| JP3525209B2 (en) | 1996-04-05 | 2004-05-10 | 株式会社 沖マイクロデザイン | Power-residue operation circuit, power-residue operation system, and operation method for power-residue operation |
| US5778069A (en) | 1996-04-10 | 1998-07-07 | Microsoft Corporation | Non-biased pseudo random number generator |
| US5835599A (en) | 1996-04-15 | 1998-11-10 | Vlsi Technology, Inc. | Muti-cycle non-parallel data encryption engine |
| CA2177622A1 (en) | 1996-05-29 | 1997-11-30 | Thierry Moreau | Cryptographic data integrity apparatus and method based on pseudo-random bit generators |
| US5764766A (en) † | 1996-06-11 | 1998-06-09 | Digital Equipment Corporation | System and method for generation of one-time encryption keys for data communications and a computer program product for implementing the same |
| US5859548A (en) | 1996-07-24 | 1999-01-12 | Lg Semicon Co., Ltd. | Charge recycling differential logic (CRDL) circuit and devices using the same |
| US5745577A (en) | 1996-07-25 | 1998-04-28 | Northern Telecom Limited | Symmetric cryptographic system for data encryption |
| JPH1084223A (en) | 1996-09-10 | 1998-03-31 | Mitsubishi Electric Corp | Noise FM signal generation circuit |
| EP0831433A1 (en) | 1996-09-24 | 1998-03-25 | Koninklijke KPN N.V. | Method of making recoverable smart card transactions, a method of recovering such a transaction, as well as a smart card allowing recoverable transactions |
| WO1998018251A2 (en) | 1996-10-23 | 1998-04-30 | Philips Electronics N.V. | Payment scheme for a mobile communication service |
| EP0840477B1 (en) | 1996-10-31 | 2012-07-18 | Panasonic Corporation | Secret key transfer method which is highly secure and can restrict the damage caused when the secret key is leaked or decoded |
| GB9624127D0 (en) | 1996-11-20 | 1997-01-08 | British Telecomm | Transaction system |
| DE19649292A1 (en) | 1996-11-28 | 1998-06-04 | Deutsche Telekom Ag | Access protection method for pay television |
| JPH10171717A (en) | 1996-12-05 | 1998-06-26 | Matsushita Electric Ind Co Ltd | IC card and cryptographic communication system using the same |
| US5848159A (en) * | 1996-12-09 | 1998-12-08 | Tandem Computers, Incorporated | Public key cryptographic apparatus and method |
| US5821775A (en) | 1996-12-27 | 1998-10-13 | Intel Corporation | Method and apparatus to interface monotonic and non-monotonic domino logic |
| JPH10197610A (en) | 1996-12-31 | 1998-07-31 | Sony Corp | Noise generator and waveform generator using the same |
| US5892829A (en) | 1997-01-08 | 1999-04-06 | Bell Communications Research, Inc. | Method and apparatus for generating secure hash functions |
| US6690795B1 (en) | 1997-03-04 | 2004-02-10 | Lucent Technologies Inc. | Multiple keys for decrypting data in restricted-access television system |
| US6049613A (en) | 1997-03-07 | 2000-04-11 | Jakobsson; Markus | Method and apparatus for encrypting, decrypting, and providing privacy for data values |
| US5995624A (en) | 1997-03-10 | 1999-11-30 | The Pacid Group | Bilateral authentication and information encryption token system and method |
| AU6758898A (en) | 1997-03-12 | 1998-09-29 | Visa International | Secure electronic commerce employing integrated circuit cards |
| AUPO799197A0 (en) | 1997-07-15 | 1997-08-07 | Silverbrook Research Pty Ltd | Image processing method and apparatus (ART01) |
| GB9707349D0 (en) | 1997-04-11 | 1997-05-28 | Univ Waterloo | A dynamic current mode logic family |
| US6748410B1 (en) | 1997-05-04 | 2004-06-08 | M-Systems Flash Disk Pioneers, Ltd. | Apparatus and method for modular multiplication and exponentiation based on montgomery multiplication |
| KR100684134B1 (en) | 1997-05-04 | 2007-02-16 | 엠시스템스 리미티드 | Improved Apparatus and Method for Multiplication and Powering Modules Based on Montgomery Multiplication |
| US5991415A (en) * | 1997-05-12 | 1999-11-23 | Yeda Research And Development Co. Ltd. At The Weizmann Institute Of Science | Method and apparatus for protecting public key schemes from timing and fault attacks |
| US5917754A (en) | 1997-05-21 | 1999-06-29 | Atmel Corporation | Semiconductor memory having a current balancing circuit |
| US5905399A (en) | 1997-06-30 | 1999-05-18 | Sun Microsystems, Inc. | CMOS integrated circuit regulator for reducing power supply noise |
| WO1999008411A2 (en) | 1997-08-08 | 1999-02-18 | Jonathan Stiebel | New operation for key insertion with folding |
| US6003014A (en) | 1997-08-22 | 1999-12-14 | Visa International Service Association | Method and apparatus for acquiring access using a smart card |
| US6128391A (en) | 1997-09-22 | 2000-10-03 | Visa International Service Association | Method and apparatus for asymetric key management in a cryptographic system |
| US6064740A (en) | 1997-11-12 | 2000-05-16 | Curiger; Andreas | Method and apparatus for masking modulo exponentiation calculations in an integrated circuit |
| US6345359B1 (en) | 1997-11-14 | 2002-02-05 | Raytheon Company | In-line decryption for protecting embedded software |
| US6041412A (en) | 1997-11-14 | 2000-03-21 | Tl Technology Rerearch (M) Sdn. Bhd. | Apparatus and method for providing access to secured data or area |
| US6090153A (en) | 1997-12-05 | 2000-07-18 | International Business Machines Corporation | Multi-threshold-voltage differential cascode voltage switch (DCVS) circuits |
| US6046608A (en) | 1997-12-08 | 2000-04-04 | Intel Corporation | Differential precharge circuit |
| US6448981B1 (en) | 1997-12-09 | 2002-09-10 | International Business Machines Corporation | Intermediate user-interface definition method and system |
| US6211456B1 (en) | 1997-12-11 | 2001-04-03 | Intrinsity, Inc. | Method and apparatus for routing 1 of 4 signals |
| US6066965A (en) | 1997-12-11 | 2000-05-23 | Evsx, Inc. | Method and apparatus for a N-nary logic circuit using 1 of 4 signals |
| US6046931A (en) | 1997-12-11 | 2000-04-04 | Evsx, Inc. | Method and apparatus for a RAM circuit having N-nary output interface |
| US6107835A (en) | 1997-12-11 | 2000-08-22 | Intrinsity, Inc. | Method and apparatus for a logic circuit with constant power consumption |
| US6069497A (en) | 1997-12-11 | 2000-05-30 | Evsx, Inc. | Method and apparatus for a N-nary logic circuit using 1 of N signals |
| US6185685B1 (en) | 1997-12-11 | 2001-02-06 | International Business Machines Corporation | Security method and system for persistent storage and communications on computer network systems and computer network systems employing the same |
| DE69840782D1 (en) | 1998-01-02 | 2009-06-04 | Cryptography Res Inc | Leak-resistant cryptographic method and device |
| US7587044B2 (en) | 1998-01-02 | 2009-09-08 | Cryptography Research, Inc. | Differential power analysis method and apparatus |
| US6226750B1 (en) | 1998-01-20 | 2001-05-01 | Proact Technologies Corp. | Secure session tracking method and system for client-server environment |
| US6101477A (en) | 1998-01-23 | 2000-08-08 | American Express Travel Related Services Company, Inc. | Methods and apparatus for a travel-related multi-function smartcard |
| US6041122A (en) | 1998-02-27 | 2000-03-21 | Intel Corporation | Method and apparatus for hiding crytographic keys utilizing autocorrelation timing encoding and computation |
| FR2776445A1 (en) | 1998-03-17 | 1999-09-24 | Schlumberger Ind Sa | Cryptographic algorithm security technique |
| FR2776410B1 (en) | 1998-03-20 | 2002-11-15 | Gemplus Card Int | DEVICES FOR MASKING THE OPERATIONS CARRIED OUT IN A MICROPROCESSOR CARD |
| US6336188B2 (en) * | 1998-05-01 | 2002-01-01 | Certicom Corp. | Authenticated key agreement protocol |
| JP2002517787A (en) | 1998-05-29 | 2002-06-18 | インフィネオン テクノロジース アクチエンゲゼルシャフト | Data processing method and device |
| EP1088295B1 (en) | 1998-06-03 | 2007-08-15 | Cryptography Research Inc. | Balanced cryptographic computational method and apparatus for leak minimization in smartcards and other cryptosystems |
| WO1999063696A1 (en) | 1998-06-03 | 1999-12-09 | Cryptography Research, Inc. | Using unpredictable information to minimize leakage from smartcards and other cryptosystems |
| IL139935A (en) | 1998-06-03 | 2005-06-19 | Cryptography Res Inc | Des and other cryptographic processes with leak minimization for smartcards and other cryptosystems |
| DE69940117D1 (en) | 1998-06-03 | 2009-01-29 | Cryptography Res Inc | SECURE MODULAR POTENTRATION WITH LOSS MINIMIZATION FOR CHIP CARDS AND OTHER CRYPTOSYSTEMS |
| US5998978A (en) | 1998-06-29 | 1999-12-07 | Motorola, Inc. | Apparatus and method for reducing energy fluctuations in a portable data device |
| US6075865A (en) | 1998-07-01 | 2000-06-13 | Tecsec Incorporated | Cryptographic communication process and apparatus |
| ATE360866T1 (en) | 1998-07-02 | 2007-05-15 | Cryptography Res Inc | LEAK-RESISTANT UPDATING OF AN INDEXED CRYPTOGRAPHIC KEY |
| FR2796738B1 (en) | 1999-07-22 | 2001-09-14 | Schlumberger Systems & Service | SECURE MICRO-CONTROLLER AGAINST CURRENT ATTACKS |
| US6289455B1 (en) | 1999-09-02 | 2001-09-11 | Crypotography Research, Inc. | Method and apparatus for preventing piracy of digital content |
| GB2371460B (en) | 2001-01-19 | 2004-12-22 | Pixelfusion Ltd | Computer graphics |
-
1998
- 1998-12-31 DE DE69840782T patent/DE69840782D1/en not_active Expired - Lifetime
- 1998-12-31 AT AT98966880T patent/ATE325478T1/en not_active IP Right Cessation
- 1998-12-31 CA CA002316227A patent/CA2316227C/en not_active Expired - Lifetime
- 1998-12-31 AU AU25573/99A patent/AU2557399A/en not_active Abandoned
- 1998-12-31 EP EP98966880A patent/EP1050133B2/en not_active Expired - Lifetime
- 1998-12-31 US US09/224,682 patent/US6304658B1/en not_active Expired - Lifetime
- 1998-12-31 WO PCT/US1998/027896 patent/WO1999035782A1/en not_active Ceased
- 1998-12-31 AT AT06008626T patent/ATE429748T1/en not_active IP Right Cessation
- 1998-12-31 DE DE69834431T patent/DE69834431T3/en not_active Expired - Lifetime
-
2000
- 2000-12-13 US US09/737,182 patent/US6381699B2/en not_active Expired - Lifetime
-
2002
- 2002-04-29 US US10/136,012 patent/US7506165B2/en not_active Expired - Fee Related
-
2007
- 2007-10-30 US US11/981,495 patent/US7792287B2/en not_active Expired - Fee Related
Cited By (210)
| Publication number | Priority date | Publication date | Assignee | Title |
|---|---|---|---|---|
| US20030152218A1 (en) * | 2000-04-18 | 2003-08-14 | Jean-Sebastien Coron | Cryptography method on elliptic curves |
| US7218735B2 (en) * | 2000-04-18 | 2007-05-15 | Gemplus | Cryptography method on elliptic curves |
| US6973271B2 (en) | 2000-10-04 | 2005-12-06 | Wave7 Optics, Inc. | System and method for communicating optical signals between a data service provider and subscribers |
| US20020089725A1 (en) * | 2000-10-04 | 2002-07-11 | Wave7 Optics, Inc. | System and method for communicating optical signals upstream and downstream between a data service provider and subscribers |
| US7606492B2 (en) | 2000-10-04 | 2009-10-20 | Enablence Usa Fttx Networks Inc. | System and method for communicating optical signals upstream and downstream between a data service provider and subscribers |
| US7130541B2 (en) | 2000-10-04 | 2006-10-31 | Wave7 Optics, Inc. | System and method for communicating optical signals upstream and downstream between a data service provider and subscriber |
| US20070077069A1 (en) * | 2000-10-04 | 2007-04-05 | Farmer James O | System and method for communicating optical signals upstream and downstream between a data service provider and subscribers |
| US20030086140A1 (en) * | 2000-10-26 | 2003-05-08 | Wave7 Optics, Inc. | Method and system for processing downstream packets of an optical network |
| US7085281B2 (en) | 2000-10-26 | 2006-08-01 | Wave7 Optics, Inc. | Method and system for processing upstream packets of an optical network |
| US7197244B2 (en) | 2000-10-26 | 2007-03-27 | Wave7 Optics, Inc. | Method and system for processing downstream packets of an optical network |
| US20030016692A1 (en) * | 2000-10-26 | 2003-01-23 | Wave7 Optics, Inc. | Method and system for processing upstream packets of an optical network |
| US7363339B2 (en) | 2000-12-22 | 2008-04-22 | Oracle International Corporation | Determining group membership |
| US20040179680A1 (en) * | 2001-04-30 | 2004-09-16 | Pierre-Yvan Liardet | Method for encrypting a calculation using a modular function |
| US7536564B2 (en) | 2001-04-30 | 2009-05-19 | Stmicroelectronics S.A. | Method for encrypting a calculation using a modular function |
| US20030046547A1 (en) * | 2001-05-30 | 2003-03-06 | Jakobsson Bjorn Markus | Secure distributed computation in cryptographic applications |
| US6950937B2 (en) * | 2001-05-30 | 2005-09-27 | Lucent Technologies Inc. | Secure distributed computation in cryptographic applications |
| US7877014B2 (en) | 2001-07-05 | 2011-01-25 | Enablence Technologies Inc. | Method and system for providing a return path for signals generated by legacy video service terminals in an optical network |
| US7333726B2 (en) | 2001-07-05 | 2008-02-19 | Wave7 Optics, Inc. | Method and system for supporting multiple service providers within a single optical network |
| US20040141747A1 (en) * | 2001-07-05 | 2004-07-22 | Wave7 Optics, Inc. | Method and system for supporting multiple service providers within a single optical network |
| US7184664B2 (en) | 2001-07-05 | 2007-02-27 | Wave7 Optics, Inc. | Method and system for providing a return path for signals generated by legacy terminals in an optical network |
| US20060159457A1 (en) * | 2001-07-05 | 2006-07-20 | Wave7 Optics, Inc. | System and method for communicating optical signals between a data service provider and subscribers |
| US20050125837A1 (en) * | 2001-07-05 | 2005-06-09 | Wave7 Optics, Inc. | Method and system for providing a return path for signals generated by legacy video service terminals in an optical network |
| US7529485B2 (en) | 2001-07-05 | 2009-05-05 | Enablence Usa Fttx Networks, Inc. | Method and system for supporting multiple services with a subscriber optical interface located outside a subscriber's premises |
| US7146104B2 (en) | 2001-07-05 | 2006-12-05 | Wave7 Optics, Inc. | Method and system for providing a return data path for legacy terminals by using existing electrical waveguides of a structure |
| US7039329B2 (en) | 2001-07-05 | 2006-05-02 | Wave7 Optics, Inc. | System and method for increasing upstream communication efficiency in an optical network |
| US7190901B2 (en) | 2001-07-05 | 2007-03-13 | Wave7 Optices, Inc. | Method and system for providing a return path for signals generated by legacy terminals in an optical network |
| US20030072059A1 (en) * | 2001-07-05 | 2003-04-17 | Wave7 Optics, Inc. | System and method for securing a communication channel over an optical network |
| US20030223750A1 (en) * | 2001-07-05 | 2003-12-04 | Farmer James O. | Method and system for providing a return path for signals generated by legacy terminals in an optical network |
| US7218855B2 (en) | 2001-07-05 | 2007-05-15 | Wave7 Optics, Inc. | System and method for communicating optical signals to multiple subscribers having various bandwidth demands connected to the same optical waveguide |
| US7269350B2 (en) | 2001-07-05 | 2007-09-11 | Wave7 Optics, Inc. | System and method for communicating optical signals between a data service provider and subscribers |
| US20040131357A1 (en) * | 2001-07-05 | 2004-07-08 | Wave7 Optics, Inc. | Method and system for supporting multiple services with a subscriber optical interface located outside a subscriber's premises |
| US20060020975A1 (en) * | 2001-07-05 | 2006-01-26 | Wave7 Optics, Inc. | System and method for propagating satellite TV-band, cable TV-band, and data signals over an optical network |
| US20070223928A1 (en) * | 2001-08-03 | 2007-09-27 | Farmer James O | Method and system for providing a return path for signals generated by legacy terminals in an optical network |
| US7593639B2 (en) | 2001-08-03 | 2009-09-22 | Enablence Usa Fttx Networks Inc. | Method and system for providing a return path for signals generated by legacy terminals in an optical network |
| US7142670B2 (en) * | 2001-08-14 | 2006-11-28 | International Business Machines Corporation | Space-efficient, side-channel attack resistant table lookups |
| US20030044003A1 (en) * | 2001-08-14 | 2003-03-06 | International Business Machines Corporation | Space-efficient, side-channel attack resistant table lookups |
| US20030044014A1 (en) * | 2001-09-06 | 2003-03-06 | Pierre-Yvan Liardet | Method for scrambling a calculation with a secret quantity |
| US7355848B1 (en) | 2002-01-07 | 2008-04-08 | Wave7 Optics, Inc. | System and method for removing heat from a subscriber optical interface |
| US7583897B2 (en) | 2002-01-08 | 2009-09-01 | Enablence Usa Fttx Networks Inc. | Optical network system and method for supporting upstream signals propagated according to a cable modem protocol |
| US20060269285A1 (en) * | 2002-01-08 | 2006-11-30 | Wave7 Optics, Inc. | Optical network system and method for supporting upstream signals propagated according to a cable modem protocol |
| US6938050B2 (en) | 2002-04-23 | 2005-08-30 | International Business Machines Corporation | Content management system and methodology employing a tree-based table hierarchy which accomodates opening a dynamically variable number of cursors therefor |
| US20030204537A1 (en) * | 2002-04-23 | 2003-10-30 | International Business Machines Corporation | Content management system and methodology for implementing a complex object using nested/recursive structures |
| US6947948B2 (en) | 2002-04-23 | 2005-09-20 | International Business Machines Corporation | Version-enabled, multi-typed, multi-targeting referential integrity relational database system and methodology |
| US7035854B2 (en) | 2002-04-23 | 2006-04-25 | International Business Machines Corporation | Content management system and methodology employing non-transferable access tokens to control data access |
| US6999966B2 (en) | 2002-04-23 | 2006-02-14 | International Business Machines Corporation | Content management system and methodology for implementing a complex object using nested/recursive structures |
| US6950815B2 (en) | 2002-04-23 | 2005-09-27 | International Business Machines Corporation | Content management system and methodology featuring query conversion capability for efficient searching |
| US6944627B2 (en) | 2002-04-23 | 2005-09-13 | International Business Machines Corporation | Content management system and methodology employing a tree-based table hierarchy featuring arbitrary information retrieval from different locations in the hierarchy |
| US20030200202A1 (en) * | 2002-04-23 | 2003-10-23 | International Business Machines Corporation | Content management system and methodology employing non-transferable access tokens to control data access |
| US20030200224A1 (en) * | 2002-04-23 | 2003-10-23 | International Business Machines Corporation | Content management system and methodology employing a tree-based table hierarchy featuring arbitrary information retrieval from different locations in the hierarchy |
| US20030200218A1 (en) * | 2002-04-23 | 2003-10-23 | International Business Machines Corporation | Content management system and methodology featuring query conversion capability for efficient searching |
| US7082455B2 (en) | 2002-04-23 | 2006-07-25 | International Business Machines Corporation | Method and apparatus of parameter passing of structured data for stored procedures in a content management system |
| US20030200256A1 (en) * | 2002-04-23 | 2003-10-23 | International Business Machines Corporation | Method and apparatus of parameter passing of structured data for stored procedures in a content management system |
| WO2003098429A3 (en) * | 2002-05-16 | 2004-07-15 | Giesecke & Devrient Gmbh | Modular inversion that is protected against espionage |
| US7474748B2 (en) | 2002-05-16 | 2009-01-06 | Giesecke & Devrient Gmbh | Modular inversion that is protected against espionage |
| US20050157870A1 (en) * | 2002-05-16 | 2005-07-21 | Sven Bauer | Modular inversion that is protected against espionage |
| US7623786B2 (en) | 2002-05-20 | 2009-11-24 | Enablence Usa Fttx Networks, Inc. | System and method for communicating optical signals to multiple subscribers having various bandwidth demands connected to the same optical waveguide |
| US20070292133A1 (en) * | 2002-05-20 | 2007-12-20 | Whittlesey Paul F | System and method for communicating optical signals to multiple subscribers having various bandwidth demands connected to the same optical waveguide |
| US20170063556A1 (en) * | 2002-07-26 | 2017-03-02 | Koninklijke Philips N.V. | Secure authenticated distance measurement |
| US10091186B2 (en) * | 2002-07-26 | 2018-10-02 | Koninklijke Philips N.V. | Secure authenticated distance measurement |
| US7254600B2 (en) | 2002-09-20 | 2007-08-07 | Stmicroelectronics S.A. | Masking of factorized data in a residue number system |
| US20140331051A1 (en) * | 2002-10-08 | 2014-11-06 | Koolspan, Inc. | Localized network authentication and security using tamper-resistant keys |
| US9294915B2 (en) * | 2002-10-08 | 2016-03-22 | Koolspan, Inc. | Localized network authentication and security using tamper-resistant keys |
| US7389031B2 (en) | 2002-10-15 | 2008-06-17 | Wave7 Optics, Inc. | Reflection suppression for an optical fiber |
| US20060251373A1 (en) * | 2002-10-15 | 2006-11-09 | Wave7 Optics, Inc. | Reflection suppression for an optical fiber |
| US7058260B2 (en) | 2002-10-15 | 2006-06-06 | Wave7 Optics, Inc. | Reflection suppression for an optical fiber |
| US20050053350A1 (en) * | 2002-10-15 | 2005-03-10 | Wave7 Optics, Inc. | Reflection suppression for an optical fiber |
| US7313238B2 (en) * | 2003-01-31 | 2007-12-25 | Hewlett-Packard Development Company, L.P. | Method and system for relating cryptographic keys |
| US20040151310A1 (en) * | 2003-01-31 | 2004-08-05 | Fu Kevin E. | Method and system for relating cryptographic keys |
| US7392246B2 (en) | 2003-02-14 | 2008-06-24 | International Business Machines Corporation | Method for implementing access control for queries to a content management system |
| US7761443B2 (en) | 2003-02-14 | 2010-07-20 | International Business Machines Corporation | Implementing access control for queries to a content management system |
| US20080222708A1 (en) * | 2003-02-14 | 2008-09-11 | International Business Machines Corporation | Implementing access control for queries to a content management system |
| US7986880B2 (en) | 2003-03-14 | 2011-07-26 | Enablence Usa Fttx Networks Inc. | Method and system for providing a return path for signals generated by legacy terminals in an optical network |
| US8682162B2 (en) | 2003-03-14 | 2014-03-25 | Aurora Networks, Inc. | Method and system for providing a return path for signals generated by legacy terminals in an optical network |
| US20090196611A1 (en) * | 2003-03-14 | 2009-08-06 | Enablence Usa Fttx Networks Inc. | Method and system for providing a return path for signals generated by legacy terminals in an optical network |
| US20070212070A1 (en) * | 2003-03-14 | 2007-09-13 | Farmer James O | Method and system for providing a return path for signals generated by legacy terminals in an optical network |
| US7454141B2 (en) | 2003-03-14 | 2008-11-18 | Enablence Usa Fttx Networks Inc. | Method and system for providing a return path for signals generated by legacy terminals in an optical network |
| US20050018842A1 (en) * | 2003-07-21 | 2005-01-27 | Fu Kevin E. | Windowed backward key rotation |
| US7697690B2 (en) | 2003-07-21 | 2010-04-13 | Hewlett-Packard Development Company, L.P. | Windowed backward key rotation |
| KR101083200B1 (en) * | 2003-10-06 | 2011-11-11 | 나그라 톰슨 라이센싱 | Portable security module pairing |
| US20070253551A1 (en) * | 2003-10-06 | 2007-11-01 | Canal + Technologies | Portable Security Module Pairing |
| US8401190B2 (en) * | 2003-10-06 | 2013-03-19 | Nagra France Sas | Portable security module pairing |
| US7596704B2 (en) | 2003-10-10 | 2009-09-29 | Jing-Jang Hwang | Partition and recovery of a verifiable digital secret |
| US20050081041A1 (en) * | 2003-10-10 | 2005-04-14 | Jing-Jang Hwang | Partition and recovery of a verifiable digital secret |
| US7467386B2 (en) | 2004-01-16 | 2008-12-16 | International Business Machines Corporation | Parameter passing of data structures where API and corresponding stored procedure are different versions/releases |
| US8161495B2 (en) | 2004-01-16 | 2012-04-17 | International Business Machines Corporation | Parameters passing of data structures where API and corresponding stored procedure are different versions/releases |
| US20050160432A1 (en) * | 2004-01-16 | 2005-07-21 | International Business Machines Corporation | Parameter passing of data structures where API and corresponding stored procedure are different versions/releases |
| US7340180B2 (en) | 2004-08-10 | 2008-03-04 | Wave7 Optics, Inc. | Countermeasures for idle pattern SRS interference in ethernet optical network systems |
| US20060039699A1 (en) * | 2004-08-10 | 2006-02-23 | Wave7 Optics, Inc. | Countermeasures for idle pattern SRS interference in ethernet optical network systems |
| US7953325B2 (en) | 2004-08-19 | 2011-05-31 | Enablence Usa Fttx Networks, Inc. | System and method for communicating optical signals between a data service provider and subscribers |
| US20080085117A1 (en) * | 2004-08-19 | 2008-04-10 | Farmer James O | System and method for communicating optical signals between a data service provider and subscribers |
| US7599622B2 (en) | 2004-08-19 | 2009-10-06 | Enablence Usa Fttx Networks Inc. | System and method for communicating optical signals between a data service provider and subscribers |
| US20070263577A1 (en) * | 2004-08-20 | 2007-11-15 | Paolo Gallo | Method for Enrolling a User Terminal in a Wireless Local Area Network |
| US8498617B2 (en) * | 2004-08-20 | 2013-07-30 | Telecom Italia S.P.A. | Method for enrolling a user terminal in a wireless local area network |
| EP1815411A4 (en) * | 2004-09-30 | 2009-04-29 | American Express Travel Relate | System and method for authenticating a rf transaction using a radio frequency identification device including a transactions counter |
| US7477741B1 (en) | 2004-10-01 | 2009-01-13 | The United States Of America As Represented By The Administrator Of The National Aeronautics And Space Administration | Analysis resistant cipher method and apparatus |
| US20060075428A1 (en) * | 2004-10-04 | 2006-04-06 | Wave7 Optics, Inc. | Minimizing channel change time for IP video |
| US20060092251A1 (en) * | 2004-11-04 | 2006-05-04 | Hewlett-Packard Development Company, L.P. | Inkjet compositions |
| US7764785B2 (en) | 2004-11-08 | 2010-07-27 | King Fahd University Of Petroleum And Minerals | Method for communicating securely over an insecure communication channel |
| US20060187863A1 (en) * | 2004-12-21 | 2006-08-24 | Wave7 Optics, Inc. | System and method for operating a wideband return channel in a bi-directional optical communication system |
| US20060248336A1 (en) * | 2005-04-28 | 2006-11-02 | Secure Data In Motion, Inc. | Mediated key exchange between source and target of communication |
| WO2006115996A3 (en) * | 2005-04-28 | 2009-04-09 | Secure Data In Motion Inc | Mediated key exchange between source and target of communication |
| US7594116B2 (en) | 2005-04-28 | 2009-09-22 | Proofpoint, Inc. | Mediated key exchange between source and target of communication |
| US7616901B2 (en) | 2005-08-10 | 2009-11-10 | Enablence Usa Fttx Networks Inc. | Countermeasures for idle pattern SRS interference in ethernet optical network systems |
| US20070047959A1 (en) * | 2005-08-12 | 2007-03-01 | Wave7 Optics, Inc. | System and method for supporting communications between subcriber optical interfaces coupled to the same laser transceiver node in an optical network |
| US20070043945A1 (en) * | 2005-08-19 | 2007-02-22 | Choi Jin-Hyeock | Method for performing multiple pre-shared key based authentication at once and system for executing the method |
| US8621577B2 (en) | 2005-08-19 | 2013-12-31 | Samsung Electronics Co., Ltd. | Method for performing multiple pre-shared key based authentication at once and system for executing the method |
| US20090052657A1 (en) * | 2005-10-28 | 2009-02-26 | Telecom Italia S.P.A. | Method for Scalar Multiplication in Elliptic Curve Groups Over Binary Polynomial Fields for Side-Channel Attack-Resistant Cryptosystems |
| US8243920B2 (en) * | 2005-10-28 | 2012-08-14 | Telecom Italia S.P.A. | Method for scalar multiplication in elliptic curve groups over binary polynomial fields for side-channel attack-resistant cryptosystems |
| US20080082824A1 (en) * | 2006-09-28 | 2008-04-03 | Ibrahim Wael M | Changing of shared encryption key |
| US8127135B2 (en) * | 2006-09-28 | 2012-02-28 | Hewlett-Packard Development Company, L.P. | Changing of shared encryption key |
| WO2008106792A1 (en) * | 2007-03-06 | 2008-09-12 | Research In Motion Limited | Methods and apparatus for performing an elliptic curve scalar multiplication operation using splitting |
| US8379844B2 (en) | 2007-03-07 | 2013-02-19 | Research In Motion Limited | Methods and apparatus for performing an elliptic curve scalar multiplication operation using splitting |
| US8160245B2 (en) * | 2007-03-07 | 2012-04-17 | Research In Motion Limited | Methods and apparatus for performing an elliptic curve scalar multiplication operation using splitting |
| US20080219450A1 (en) * | 2007-03-07 | 2008-09-11 | Nevine Maurice Nassif Ebeid | Methods And Apparatus For Performing An Elliptic Curve Scalar Multiplication Operation Using Splitting |
| US7974409B2 (en) * | 2007-06-28 | 2011-07-05 | Samsung Electronics Co., Ltd. | Changing the order of public key cryptographic computations |
| US20090003606A1 (en) * | 2007-06-28 | 2009-01-01 | Samsung Electronics Co., Ltd. | Changing the order of public key cryptographic computations |
| US8059814B1 (en) * | 2007-09-28 | 2011-11-15 | Emc Corporation | Techniques for carrying out seed or key derivation |
| EP2201718A4 (en) * | 2007-10-08 | 2017-07-19 | Microsoft Technology Licensing, LLC | An efficient certified email protocol |
| EP3481003A1 (en) * | 2007-10-08 | 2019-05-08 | Microsoft Technology Licensing, LLC | An efficient certified email protocol |
| US20090164796A1 (en) * | 2007-12-21 | 2009-06-25 | Daon Holdings Limited | Anonymous biometric tokens |
| US20100296654A1 (en) * | 2009-05-19 | 2010-11-25 | Terence Wilson | Configuring a network connection |
| US20100299266A1 (en) * | 2009-05-20 | 2010-11-25 | M-Dot, Inc. | Digital Incentives Issuance, Redemption, and Reimbursement |
| US10395269B2 (en) * | 2009-05-20 | 2019-08-27 | Inmar Clearing, Inc. | Message broker for redemption of digital incentives |
| US10402849B2 (en) * | 2009-05-20 | 2019-09-03 | Inmar Clearing, Inc. | Digital incentives issuance, redemption, and reimbursement |
| US20100299198A1 (en) * | 2009-05-20 | 2010-11-25 | M-Dot, Inc. | Message Broker for Redemption of Digital Incentives |
| US8712038B2 (en) | 2009-06-16 | 2014-04-29 | Morpho | Cryptography on a simplified elliptical curve |
| US8718276B2 (en) * | 2009-06-16 | 2014-05-06 | Morpho | Cryptography on a elliptical curve |
| US10027483B2 (en) | 2009-06-16 | 2018-07-17 | Morpho | Cryptography on an elliptical curve |
| US9866371B2 (en) | 2009-06-16 | 2018-01-09 | Morpho | Cryptography on a simplified elliptical curve |
| US20120082307A1 (en) * | 2009-06-16 | 2012-04-05 | Morpho | Cryptography on a elliptical curve |
| US20220083665A1 (en) * | 2009-12-04 | 2022-03-17 | Cryptography Research, Inc. | Security chip with resistance to external monitoring attacks |
| US11797683B2 (en) * | 2009-12-04 | 2023-10-24 | Cryptography Research, Inc. | Security chip with resistance to external monitoring attacks |
| US8539254B1 (en) | 2010-06-01 | 2013-09-17 | Xilinx, Inc. | Method and integrated circuit for protecting against differential power analysis attacks |
| US8966253B1 (en) | 2010-06-01 | 2015-02-24 | Xilinx, Inc. | Method and apparatus for authenticating a programmable device bitstream |
| US8583944B1 (en) | 2010-08-04 | 2013-11-12 | Xilinx, Inc. | Method and integrated circuit for secure encryption and decryption |
| US8650408B2 (en) | 2010-09-08 | 2014-02-11 | Xilinx, Inc. | Protecting against differential power analysis attacks on decryption keys |
| US8832462B2 (en) | 2010-09-08 | 2014-09-09 | Xilinx, Inc. | Protecting against differential power analysis attacks on sensitive data |
| US20130279692A1 (en) * | 2010-09-29 | 2013-10-24 | Nagravision S.A. | Protecting modular exponentiation in cryptographic operations |
| CN103221917A (en) * | 2010-09-29 | 2013-07-24 | 纳格拉影像股份有限公司 | Protecting modular exponentiation in cryptographic operations |
| US20130218937A1 (en) * | 2010-12-27 | 2013-08-22 | Mitsubishi Electric Corporation | Arithmetic apparatus, elliptic scalar multiplication method of arithmetic apparatus, elliptic scalar multiplication program, residue operation method of arithmetic apparatus, and residue operation program |
| US9176707B2 (en) * | 2010-12-27 | 2015-11-03 | Mitsubishi Electric Corporation | Arithmetic apparatus, elliptic scalar multiplication method of arithmetic apparatus, elliptic scalar multiplication program, residue operation method of arithmetic apparatus, and residue operation program |
| US8909941B1 (en) | 2011-03-31 | 2014-12-09 | Xilinx, Inc. | Programmable integrated circuit and a method of enabling the detection of tampering with data provided to a programmable integrated circuit |
| US9773111B2 (en) | 2012-08-14 | 2017-09-26 | Empire Technology Development Llc | Software-based side-channel attack prevention |
| US9405729B2 (en) * | 2012-11-07 | 2016-08-02 | Inside Secure | Cryptographic method comprising a modular exponentiation operation |
| US20140129604A1 (en) * | 2012-11-07 | 2014-05-08 | Inside Secure | Cryptographic method comprising a modular exponentiation operation |
| KR20160114624A (en) * | 2014-01-31 | 2016-10-05 | 구글 인코포레이티드 | Systems and methods for faster public key encryption using the associated private key portion |
| US20150222422A1 (en) * | 2014-01-31 | 2015-08-06 | Google Inc. | Systems and methods for faster public key encryption using the associated private key portion |
| KR101866935B1 (en) * | 2014-01-31 | 2018-06-14 | 구글 엘엘씨 | Systems and methods for faster public key encryption using the associated private key portion |
| US9264221B2 (en) * | 2014-01-31 | 2016-02-16 | Google Inc. | Systems and methods for faster public key encryption using the associated private key portion |
| AU2015210847B2 (en) * | 2014-01-31 | 2019-01-24 | Google Llc | Systems and methods for faster public key encryption using the associated private key portion |
| US11870803B2 (en) | 2014-03-21 | 2024-01-09 | Sun Patent Trust | Security key derivation in dual connectivity |
| US11463471B2 (en) | 2014-03-21 | 2022-10-04 | Sun Patent Trust | Security key derivation in dual connectivity |
| US10848518B2 (en) | 2014-03-21 | 2020-11-24 | Sun Patent Trust | Security key derivation in dual connectivity |
| US12137116B2 (en) | 2014-03-21 | 2024-11-05 | Sun Patent Trust | Security key derivation in dual connectivity |
| US10397269B2 (en) * | 2014-03-21 | 2019-08-27 | Sun Patent Trust | Security key derivation in dual connectivity |
| US10326590B2 (en) * | 2014-11-11 | 2019-06-18 | Intel Corporation | Technologies for trusted device on-boarding |
| US20160134419A1 (en) * | 2014-11-11 | 2016-05-12 | Ned M. Smith | Technologies for trusted device on-boarding |
| US10567155B2 (en) * | 2015-04-30 | 2020-02-18 | Nxp B.V. | Securing a cryptographic device |
| US20160323097A1 (en) * | 2015-04-30 | 2016-11-03 | Nxp B.V. | Securing a cryptographic device |
| CN104917608A (en) * | 2015-05-19 | 2015-09-16 | 清华大学 | Key anti-power attack method |
| US10642962B2 (en) | 2015-07-28 | 2020-05-05 | Western Digital Technologies, Inc. | Licensable function for securing stored data |
| US10237305B2 (en) * | 2016-02-17 | 2019-03-19 | Nagravision S.A. | Methods and systems for enabling legal-intercept mode for a targeted secure element |
| US20170237780A1 (en) * | 2016-02-17 | 2017-08-17 | Nagravision S.A. | Methods and systems for enabling legal-intercept mode for a targeted secure element |
| US20170244551A1 (en) * | 2016-02-22 | 2017-08-24 | Eshard | Method of protecting a circuit against a side-channel analysis |
| US12294661B2 (en) * | 2016-02-23 | 2025-05-06 | Nchain Licensing Ag | Personal device security using cryptocurrency wallets |
| US12217224B2 (en) | 2016-02-23 | 2025-02-04 | Nchain Licensing Ag | Method and system for efficient transfer of cryptocurrency associated with a payroll on a blockchain that leads to an automated payroll method and system based on smart contracts |
| US20230107243A1 (en) * | 2016-02-23 | 2023-04-06 | nChain Holdings Limited | Personal device security using cryptocurrency wallets |
| US12406237B2 (en) | 2016-02-23 | 2025-09-02 | Nchain Licensing Ag | Universal tokenisation system for blockchain-based cryptocurrencies |
| US12367468B2 (en) | 2016-02-23 | 2025-07-22 | Nchain Licensing Ag | Blockchain-implemented method for control and distribution of digital content |
| US12314379B2 (en) | 2016-02-23 | 2025-05-27 | Nchain Licensing Ag | Agent-based turing complete transactions integrating feedback within a blockchain system |
| US12505435B2 (en) | 2016-02-23 | 2025-12-23 | Nchain Licensing Ag | Registry and automated management method for blockchain-enforced smart contracts |
| US12271466B2 (en) | 2016-02-23 | 2025-04-08 | Nchain Licensing Ag | Blockchain implemented counting system and method for use in secure voting and distribution |
| US12254452B2 (en) | 2016-02-23 | 2025-03-18 | Nchain Licensing Ag | Method and system for efficient transfer of cryptocurrency associated with a payroll on a blockchain that leads to an automated payroll method and system based on smart contracts |
| US12470369B2 (en) | 2016-02-23 | 2025-11-11 | Nchain Licensing Ag | Determining a common secret for the secure exchange of information and hierarchical, deterministic cryptographic keys |
| US12182805B2 (en) | 2016-02-23 | 2024-12-31 | Nchain Licensing Ag | Tokenisation method and system for implementing exchanges on a blockchain |
| US12536599B2 (en) | 2016-02-23 | 2026-01-27 | Nchain Licensing Ag | Cryptographic method and system for secure extraction of data from a blockchain |
| US12499424B2 (en) | 2016-02-23 | 2025-12-16 | Nchain Licensing Ag | Blockchain-based exchange with tokenisation |
| US12470371B2 (en) | 2016-02-23 | 2025-11-11 | Nchain Licensing Ag | Secure multiparty loss resistant storage and transfer of cryptographic keys for blockchain based systems in conjunction with a wallet management system |
| WO2017152056A1 (en) * | 2016-03-03 | 2017-09-08 | Cryptography Research, Inc. | Converting a boolean masked value to an arithmetically masked value for cryptographic operations |
| US11620109B2 (en) | 2016-03-03 | 2023-04-04 | Cryptography Research, Inc. | Converting a boolean masked value to an arithmetically masked value for cryptographic operations |
| US10871947B2 (en) | 2016-03-03 | 2020-12-22 | Cryptography Research, Inc. | Converting a boolean masked value to an arithmetically masked value for cryptographic operations |
| US20200287712A1 (en) * | 2016-05-18 | 2020-09-10 | Nagravision S.A. | Method and device to protect a cryptographic exponent |
| US12034838B2 (en) * | 2016-05-18 | 2024-07-09 | Nagravision S.A. | Method and device to protect a cryptographic exponent |
| US11728983B2 (en) * | 2017-02-27 | 2023-08-15 | Cord3 Innovation Inc. | Apparatus, system and method for generating and managing cryptographic keys for a symmetric cryptographic system |
| US10903994B2 (en) | 2017-02-27 | 2021-01-26 | Cord3 Innovation Inc. | Many-to-many symmetric cryptographic system and method |
| US10686598B2 (en) * | 2017-02-27 | 2020-06-16 | Cord3 Innovation Inc. | One-to-many symmetric cryptographic system and method |
| US20230224151A1 (en) * | 2017-02-27 | 2023-07-13 | Cord3 Innovation Inc. | Method and system for one-to-many symmetric cryptography and a network employing the same |
| US10742408B2 (en) | 2017-02-27 | 2020-08-11 | Cord3 Innovation Inc. | Many-to-many symmetric cryptographic system and method |
| US11496298B2 (en) * | 2017-02-27 | 2022-11-08 | Cord3 Innovation Inc. | Many-to-many symmetric cryptographic system and method |
| US10778424B2 (en) | 2017-02-27 | 2020-09-15 | Cord3 Innovation Inc. | Symmetric cryptographic method and system and applications thereof |
| US11818262B2 (en) * | 2017-02-27 | 2023-11-14 | Cord3 Innovation Inc. | Method and system for one-to-many symmetric cryptography and a network employing the same |
| US20230396426A1 (en) * | 2017-02-27 | 2023-12-07 | Cord3 Innovation Inc. | Communication network with cryptographic key management for symmetric cryptography |
| US20200412533A1 (en) * | 2017-02-27 | 2020-12-31 | Cord3 Innovation Inc. | Apparatus, system and method for generating and managing cryptographic keys for a symmetric cryptographic system |
| US11451386B2 (en) | 2017-02-27 | 2022-09-20 | Cord3 Innovation Inc. | Method and system for many-to-many symmetric cryptography and a network employing the same |
| US12184773B2 (en) * | 2017-02-27 | 2024-12-31 | Cord3 Innovation Inc. | Communication network with cryptographic key management for symmetric cryptography |
| US11063743B2 (en) * | 2017-03-21 | 2021-07-13 | Thales Dis France Sa | Method of RSA signature of decryption protected using assymetric multiplicative splitting |
| US10986626B2 (en) | 2017-04-21 | 2021-04-20 | Netgear, Inc. | Robust control plane for management of a multi-band wireless networking system |
| US11229023B2 (en) * | 2017-04-21 | 2022-01-18 | Netgear, Inc. | Secure communication in network access points |
| US10999834B2 (en) | 2017-04-21 | 2021-05-04 | Netgear, Inc. | Method and apparatus for generating and maintaining an accurate network map in a communications network |
| US11531603B2 (en) * | 2018-02-12 | 2022-12-20 | Ripple Labs Inc. | Byzantine agreement in open networks |
| CN110363030A (en) * | 2018-04-09 | 2019-10-22 | 英飞凌科技股份有限公司 | Method and processing device for performing lattice-based cryptographic operations |
| CN109379176A (en) * | 2018-12-10 | 2019-02-22 | 湖北工业大学 | An Authentication and Key Agreement Method Against Password Disclosure |
| CN114128213A (en) * | 2019-05-29 | 2022-03-01 | 比特飞翔区块链株式会社 | Apparatus, method, and program for verifying authenticity of public key |
| US20220283794A1 (en) * | 2021-03-05 | 2022-09-08 | EMC IP Holding Company LLC | Optimizing docker image encryption - kubernetes using shamir secrets to enforce multiple constraints in container runtime environment |
| US11461084B2 (en) * | 2021-03-05 | 2022-10-04 | EMC IP Holding Company LLC | Optimizing docker image encryption—kubernetes using shamir secrets to enforce multiple constraints in container runtime environment |
| CN114024667A (en) * | 2021-10-12 | 2022-02-08 | 杭州趣链科技有限公司 | Data aggregation method based on bilinear ElGamal cryptosystem and capable of resisting differential attack |
| US12381716B2 (en) * | 2021-12-30 | 2025-08-05 | Arris Enterprises Llc | Optimized key management for data signing systems |
| US20230216662A1 (en) * | 2021-12-30 | 2023-07-06 | Arris Enterprises Llc | Optimized key management for data signing systems |
| CN115276960A (en) * | 2022-08-02 | 2022-11-01 | 山东大学 | Device and method for realizing fast modular inversion chip on SM2 Montgomery domain |
| CN116453670A (en) * | 2023-06-16 | 2023-07-18 | 高密市人民医院 | Storage system and method for blood sample test data |
Also Published As
| Publication number | Publication date |
|---|---|
| EP1050133A1 (en) | 2000-11-08 |
| AU2557399A (en) | 1999-07-26 |
| CA2316227A1 (en) | 1999-07-15 |
| EP1050133B1 (en) | 2006-05-03 |
| US7506165B2 (en) | 2009-03-17 |
| EP1050133A4 (en) | 2005-05-04 |
| US20080104400A1 (en) | 2008-05-01 |
| DE69834431T2 (en) | 2007-04-19 |
| US7792287B2 (en) | 2010-09-07 |
| ATE325478T1 (en) | 2006-06-15 |
| CA2316227C (en) | 2009-08-11 |
| US6381699B2 (en) | 2002-04-30 |
| US6304658B1 (en) | 2001-10-16 |
| ATE429748T1 (en) | 2009-05-15 |
| EP1050133B2 (en) | 2009-05-27 |
| DE69840782D1 (en) | 2009-06-04 |
| US20030028771A1 (en) | 2003-02-06 |
| DE69834431D1 (en) | 2006-06-08 |
| WO1999035782A1 (en) | 1999-07-15 |
| DE69834431T3 (en) | 2009-09-10 |
Similar Documents
| Publication | Publication Date | Title |
|---|---|---|
| US6304658B1 (en) | Leak-resistant cryptographic method and apparatus | |
| Young et al. | The prevalence of kleptographic attacks on discrete-log based cryptosystems | |
| US10262141B2 (en) | Secure processor with resistance to external monitoring attacks | |
| US7853012B2 (en) | Authentication system executing an elliptic curve digital signature cryptographic process | |
| US7047408B1 (en) | Secure mutual network authentication and key exchange protocol | |
| JP2008252299A (en) | Cryptographic processing system and cryptographic processing method | |
| NZ550786A (en) | Computationally asymmetric cryptographic systems | |
| JP2015534419A (en) | Method and system for anti-glitch cryptographic discrete log-based signature | |
| US20160352525A1 (en) | Signature protocol | |
| JP2011530093A (en) | Solutions to protect power-based encryption | |
| US20090016523A1 (en) | Masking and Additive Decomposition Techniques for Cryptographic Field Operations | |
| JP2004304800A (en) | Prevention of side channel attacks in data processing equipment | |
| Chou et al. | Improvement of Manik et al.¡¦ s remote user authentication scheme | |
| EP1691501B1 (en) | Leak-resistant cryptography method an apparatus | |
| Kumar et al. | Cryptanalysis and performance evaluation of enhanced threshold proxy signature scheme based on RSA for known signers | |
| Kwon | Virtual software tokens-a practical way to secure PKI roaming | |
| AU7659598A (en) | Pseudo-random generator based on a hash coding function for cryptographic systems requiring random drawing | |
| CA2278754A1 (en) | A method of using transient faults to verify the security of a cryptosystem | |
| Tapiador et al. | Cryptanalysis of Song's advanced smart card based password authentication protocol | |
| Jung et al. | Cryptanalysis and improvement of efficient password-based user authentication scheme using hash function | |
| Delosevic | Fault attacks and countermeasures for elliptic curve cryptosystems | |
| Van Der Merwe et al. | Security in banking | |
| Ferdianto et al. | Cracking CP256-1299: A Digital Signature on Cubic Pell Cryptosystem | |
| Camenisch | Direct anonymous attestation explained | |
| Kwon | Robust Software Tokens—Yet another method for securing user’s digital identity |
Legal Events
| Date | Code | Title | Description |
|---|---|---|---|
| STCF | Information on status: patent grant |
Free format text: PATENTED CASE |
|
| FEPP | Fee payment procedure |
Free format text: PAYOR NUMBER ASSIGNED (ORIGINAL EVENT CODE: ASPN); ENTITY STATUS OF PATENT OWNER: LARGE ENTITY |
|
| FPAY | Fee payment |
Year of fee payment: 4 |
|
| FEPP | Fee payment procedure |
Free format text: PAYOR NUMBER ASSIGNED (ORIGINAL EVENT CODE: ASPN); ENTITY STATUS OF PATENT OWNER: LARGE ENTITY Free format text: PAYER NUMBER DE-ASSIGNED (ORIGINAL EVENT CODE: RMPN); ENTITY STATUS OF PATENT OWNER: LARGE ENTITY |
|
| FPAY | Fee payment |
Year of fee payment: 8 |
|
| AS | Assignment |
Owner name: CRYPTOGRAPHY RESEARCH, INC., CALIFORNIA Free format text: ASSIGNMENT OF ASSIGNORS INTEREST;ASSIGNORS:KOCHER, PAUL C.;JAFFE, JOSHUA M.;REEL/FRAME:026204/0649 Effective date: 19981228 |
|
| FPAY | Fee payment |
Year of fee payment: 12 |





