US10407456B2 - Nucleoside phosphoramidates useful for the treatment of viral infections and preparation thereof - Google Patents
Nucleoside phosphoramidates useful for the treatment of viral infections and preparation thereof Download PDFInfo
- Publication number
- US10407456B2 US10407456B2 US15/560,862 US201615560862A US10407456B2 US 10407456 B2 US10407456 B2 US 10407456B2 US 201615560862 A US201615560862 A US 201615560862A US 10407456 B2 US10407456 B2 US 10407456B2
- Authority
- US
- United States
- Prior art keywords
- nucleoside
- mixture
- phosphoramidate
- formula
- hydrogen
- Prior art date
- Legal status (The legal status is an assumption and is not a legal conclusion. Google has not performed a legal analysis and makes no representation as to the accuracy of the status listed.)
- Expired - Fee Related
Links
- -1 Nucleoside phosphoramidates Chemical class 0.000 title claims abstract description 78
- 239000002777 nucleoside Substances 0.000 title claims description 76
- 238000002360 preparation method Methods 0.000 title description 16
- 208000036142 Viral infection Diseases 0.000 title description 2
- 230000009385 viral infection Effects 0.000 title description 2
- 238000000034 method Methods 0.000 claims abstract description 55
- 239000000203 mixture Substances 0.000 claims description 91
- 150000003833 nucleoside derivatives Chemical class 0.000 claims description 82
- 238000003786 synthesis reaction Methods 0.000 claims description 56
- 230000015572 biosynthetic process Effects 0.000 claims description 53
- PTMHPRAIXMAOOB-UHFFFAOYSA-L phosphoramidate Chemical compound NP([O-])([O-])=O PTMHPRAIXMAOOB-UHFFFAOYSA-L 0.000 claims description 49
- RTZKZFJDLAIYFH-UHFFFAOYSA-N Diethyl ether Chemical compound CCOCC RTZKZFJDLAIYFH-UHFFFAOYSA-N 0.000 claims description 46
- 238000006243 chemical reaction Methods 0.000 claims description 46
- ISAKRJDGNUQOIC-UHFFFAOYSA-N Uracil Chemical group O=C1C=CNC(=O)N1 ISAKRJDGNUQOIC-UHFFFAOYSA-N 0.000 claims description 42
- 125000001797 benzyl group Chemical group [H]C1=C([H])C([H])=C(C([H])=C1[H])C([H])([H])* 0.000 claims description 34
- 150000001875 compounds Chemical class 0.000 claims description 31
- 239000001257 hydrogen Substances 0.000 claims description 30
- 229910052739 hydrogen Inorganic materials 0.000 claims description 30
- 125000002887 hydroxy group Chemical group [H]O* 0.000 claims description 27
- 239000003153 chemical reaction reagent Substances 0.000 claims description 22
- 229940035893 uracil Drugs 0.000 claims description 21
- OSUKSSHOHKZSJC-UHFFFAOYSA-N 12591-02-5 Chemical compound ClP(=O)=O OSUKSSHOHKZSJC-UHFFFAOYSA-N 0.000 claims description 20
- 239000011734 sodium Substances 0.000 claims description 20
- 125000003903 2-propenyl group Chemical group [H]C([*])([H])C([H])=C([H])[H] 0.000 claims description 19
- 125000002734 organomagnesium group Chemical group 0.000 claims description 19
- 125000004435 hydrogen atom Chemical group [H]* 0.000 claims description 18
- IUYHWZFSGMZEOG-UHFFFAOYSA-M magnesium;propane;chloride Chemical compound [Mg+2].[Cl-].C[CH-]C IUYHWZFSGMZEOG-UHFFFAOYSA-M 0.000 claims description 18
- WEVYAHXRMPXWCK-UHFFFAOYSA-N Acetonitrile Chemical compound CC#N WEVYAHXRMPXWCK-UHFFFAOYSA-N 0.000 claims description 17
- 125000006242 amine protecting group Chemical group 0.000 claims description 15
- 125000006241 alcohol protecting group Chemical group 0.000 claims description 13
- 125000006239 protecting group Chemical group 0.000 claims description 13
- 239000002904 solvent Substances 0.000 claims description 13
- VEXZGXHMUGYJMC-UHFFFAOYSA-N Hydrochloric acid Chemical compound Cl VEXZGXHMUGYJMC-UHFFFAOYSA-N 0.000 claims description 12
- WHXSMMKQMYFTQS-UHFFFAOYSA-N Lithium Chemical compound [Li] WHXSMMKQMYFTQS-UHFFFAOYSA-N 0.000 claims description 12
- 150000002170 ethers Chemical group 0.000 claims description 12
- 229910052802 copper Inorganic materials 0.000 claims description 11
- 239000010949 copper Substances 0.000 claims description 11
- 229910052744 lithium Inorganic materials 0.000 claims description 11
- YAQKNCSWDMGPOY-JEDNCBNOSA-N propan-2-yl (2s)-2-aminopropanoate;hydrochloride Chemical compound Cl.CC(C)OC(=O)[C@H](C)N YAQKNCSWDMGPOY-JEDNCBNOSA-N 0.000 claims description 11
- LNDZXOWGUAIUBG-UHFFFAOYSA-N 6-aminouracil Chemical group NC1=CC(=O)NC(=O)N1 LNDZXOWGUAIUBG-UHFFFAOYSA-N 0.000 claims description 10
- DGAQECJNVWCQMB-PUAWFVPOSA-M Ilexoside XXIX Chemical compound C[C@@H]1CC[C@@]2(CC[C@@]3(C(=CC[C@H]4[C@]3(CC[C@@H]5[C@@]4(CC[C@@H](C5(C)C)OS(=O)(=O)[O-])C)C)[C@@H]2[C@]1(C)O)C)C(=O)O[C@H]6[C@@H]([C@H]([C@@H]([C@H](O6)CO)O)O)O.[Na+] DGAQECJNVWCQMB-PUAWFVPOSA-M 0.000 claims description 10
- 150000004649 carbonic acid derivatives Chemical group 0.000 claims description 10
- 239000011591 potassium Substances 0.000 claims description 10
- 229910052700 potassium Inorganic materials 0.000 claims description 10
- 229910052725 zinc Inorganic materials 0.000 claims description 10
- 239000011701 zinc Substances 0.000 claims description 10
- ZLMJMSJWJFRBEC-UHFFFAOYSA-N Potassium Chemical compound [K] ZLMJMSJWJFRBEC-UHFFFAOYSA-N 0.000 claims description 9
- TXFOLHZMICYNRM-UHFFFAOYSA-N dichlorophosphoryloxybenzene Chemical compound ClP(Cl)(=O)OC1=CC=CC=C1 TXFOLHZMICYNRM-UHFFFAOYSA-N 0.000 claims description 9
- 150000004820 halides Chemical class 0.000 claims description 9
- 150000002431 hydrogen Chemical group 0.000 claims description 9
- 229910052708 sodium Inorganic materials 0.000 claims description 9
- KPUWHANPEXNPJT-UHFFFAOYSA-N disiloxane Chemical compound [SiH3]O[SiH3] KPUWHANPEXNPJT-UHFFFAOYSA-N 0.000 claims description 8
- 125000006575 electron-withdrawing group Chemical group 0.000 claims description 8
- 150000002148 esters Chemical class 0.000 claims description 8
- NAWXUBYGYWOOIX-SFHVURJKSA-N (2s)-2-[[4-[2-(2,4-diaminoquinazolin-6-yl)ethyl]benzoyl]amino]-4-methylidenepentanedioic acid Chemical compound C1=CC2=NC(N)=NC(N)=C2C=C1CCC1=CC=C(C(=O)N[C@@H](CC(=C)C(O)=O)C(O)=O)C=C1 NAWXUBYGYWOOIX-SFHVURJKSA-N 0.000 claims description 7
- HCHKCACWOHOZIP-UHFFFAOYSA-N Zinc Chemical compound [Zn] HCHKCACWOHOZIP-UHFFFAOYSA-N 0.000 claims description 7
- 238000002425 crystallisation Methods 0.000 claims description 7
- 230000008025 crystallization Effects 0.000 claims description 7
- 238000001640 fractional crystallisation Methods 0.000 claims description 7
- 230000000865 phosphorylative effect Effects 0.000 claims description 5
- 125000004178 (C1-C4) alkyl group Chemical group 0.000 claims description 4
- RYGMFSIKBFXOCR-UHFFFAOYSA-N Copper Chemical compound [Cu] RYGMFSIKBFXOCR-UHFFFAOYSA-N 0.000 claims description 4
- 150000001338 aliphatic hydrocarbons Chemical class 0.000 claims description 4
- 125000003118 aryl group Chemical group 0.000 claims description 4
- 239000000460 chlorine Substances 0.000 claims description 4
- 229910052801 chlorine Inorganic materials 0.000 claims description 4
- 125000001309 chloro group Chemical group Cl* 0.000 claims description 4
- 229910052751 metal Inorganic materials 0.000 claims description 4
- 239000002184 metal Substances 0.000 claims description 4
- WKBOTKDWSSQWDR-UHFFFAOYSA-N Bromine atom Chemical group [Br] WKBOTKDWSSQWDR-UHFFFAOYSA-N 0.000 claims description 3
- GHMVTBRBCJHSKM-UHFFFAOYSA-N [N].O=C1C=CNC(=O)N1 Chemical compound [N].O=C1C=CNC(=O)N1 GHMVTBRBCJHSKM-UHFFFAOYSA-N 0.000 claims description 3
- GDTBXPJZTBHREO-UHFFFAOYSA-N bromine Chemical group BrBr GDTBXPJZTBHREO-UHFFFAOYSA-N 0.000 claims description 3
- 229910052794 bromium Inorganic materials 0.000 claims description 3
- AIYUHDOJVYHVIT-UHFFFAOYSA-M caesium chloride Chemical compound [Cl-].[Cs+] AIYUHDOJVYHVIT-UHFFFAOYSA-M 0.000 claims description 3
- MIOPJNTWMNEORI-UHFFFAOYSA-N camphorsulfonic acid Chemical compound C1CC2(CS(O)(=O)=O)C(=O)CC1C2(C)C MIOPJNTWMNEORI-UHFFFAOYSA-N 0.000 claims description 3
- 238000004519 manufacturing process Methods 0.000 claims description 3
- 125000004184 methoxymethyl group Chemical group [H]C([H])([H])OC([H])([H])* 0.000 claims description 3
- 229910052757 nitrogen Inorganic materials 0.000 claims description 3
- ISWSIDIOOBJBQZ-UHFFFAOYSA-N phenol group Chemical group C1(=CC=CC=C1)O ISWSIDIOOBJBQZ-UHFFFAOYSA-N 0.000 claims description 3
- BDHFUVZGWQCTTF-UHFFFAOYSA-M sulfonate Chemical compound [O-]S(=O)=O BDHFUVZGWQCTTF-UHFFFAOYSA-M 0.000 claims description 3
- 229910052736 halogen Inorganic materials 0.000 claims description 2
- 150000002367 halogens Chemical class 0.000 claims description 2
- 125000000449 nitro group Chemical group [O-][N+](*)=O 0.000 claims description 2
- XSXHWVKGUXMUQE-UHFFFAOYSA-N osmium dioxide Inorganic materials O=[Os]=O XSXHWVKGUXMUQE-UHFFFAOYSA-N 0.000 claims description 2
- 125000004433 nitrogen atom Chemical group N* 0.000 claims 1
- 229960002063 sofosbuvir Drugs 0.000 abstract description 17
- TTZHDVOVKQGIBA-IQWMDFIBSA-N sofosbuvir Chemical compound N1([C@@H]2O[C@@H]([C@H]([C@]2(F)C)O)CO[P@@](=O)(N[C@@H](C)C(=O)OC(C)C)OC=2C=CC=CC=2)C=CC(=O)NC1=O TTZHDVOVKQGIBA-IQWMDFIBSA-N 0.000 abstract description 16
- 208000005176 Hepatitis C Diseases 0.000 abstract description 3
- WYURNTSHIVDZCO-UHFFFAOYSA-N Tetrahydrofuran Chemical compound C1CCOC1 WYURNTSHIVDZCO-UHFFFAOYSA-N 0.000 description 64
- YMWUJEATGCHHMB-UHFFFAOYSA-N Dichloromethane Chemical compound ClCCl YMWUJEATGCHHMB-UHFFFAOYSA-N 0.000 description 54
- OKKJLVBELUTLKV-UHFFFAOYSA-N Methanol Chemical compound OC OKKJLVBELUTLKV-UHFFFAOYSA-N 0.000 description 51
- XEKOWRVHYACXOJ-UHFFFAOYSA-N Ethyl acetate Chemical compound CCOC(C)=O XEKOWRVHYACXOJ-UHFFFAOYSA-N 0.000 description 46
- 239000000243 solution Substances 0.000 description 45
- 239000000047 product Substances 0.000 description 33
- 0 *[C@@H]1[C@@H](CO)O[C@@H]([3*])[C@]1(C)F.*[C@@H]1[C@@H](COP(=O)(N[C@@H](C)C(C)C)OC2=CC=CC=C2)O[C@@H]([3*])[C@]1(C)F.C.O=C=O.O=C=O.[1*]P(=O)(N[C@@H](C)C(C)C)OC1=CC=CC=C1 Chemical compound *[C@@H]1[C@@H](CO)O[C@@H]([3*])[C@]1(C)F.*[C@@H]1[C@@H](COP(=O)(N[C@@H](C)C(C)C)OC2=CC=CC=C2)O[C@@H]([3*])[C@]1(C)F.C.O=C=O.O=C=O.[1*]P(=O)(N[C@@H](C)C(C)C)OC1=CC=CC=C1 0.000 description 30
- QTBSBXVTEAMEQO-UHFFFAOYSA-N Acetic acid Chemical compound CC(O)=O QTBSBXVTEAMEQO-UHFFFAOYSA-N 0.000 description 30
- 239000011541 reaction mixture Substances 0.000 description 26
- 239000012299 nitrogen atmosphere Substances 0.000 description 25
- 238000010992 reflux Methods 0.000 description 24
- YLQBMQCUIZJEEH-UHFFFAOYSA-N tetrahydrofuran Natural products C=1C=COC=1 YLQBMQCUIZJEEH-UHFFFAOYSA-N 0.000 description 23
- HEDRZPFGACZZDS-MICDWDOJSA-N Trichloro(2H)methane Chemical compound [2H]C(Cl)(Cl)Cl HEDRZPFGACZZDS-MICDWDOJSA-N 0.000 description 22
- XLYOFNOQVPJJNP-UHFFFAOYSA-N water Substances O XLYOFNOQVPJJNP-UHFFFAOYSA-N 0.000 description 22
- ZMANZCXQSJIPKH-UHFFFAOYSA-N Triethylamine Chemical compound CCN(CC)CC ZMANZCXQSJIPKH-UHFFFAOYSA-N 0.000 description 21
- JMMWKPVZQRWMSS-UHFFFAOYSA-N isopropanol acetate Natural products CC(C)OC(C)=O JMMWKPVZQRWMSS-UHFFFAOYSA-N 0.000 description 21
- 229940011051 isopropyl acetate Drugs 0.000 description 21
- GWYFCOCPABKNJV-UHFFFAOYSA-N isovaleric acid Chemical compound CC(C)CC(O)=O GWYFCOCPABKNJV-UHFFFAOYSA-N 0.000 description 20
- IMNFDUFMRHMDMM-UHFFFAOYSA-N N-Heptane Chemical compound CCCCCCC IMNFDUFMRHMDMM-UHFFFAOYSA-N 0.000 description 19
- 235000019439 ethyl acetate Nutrition 0.000 description 19
- BZLVMXJERCGZMT-UHFFFAOYSA-N Methyl tert-butyl ether Chemical compound COC(C)(C)C BZLVMXJERCGZMT-UHFFFAOYSA-N 0.000 description 18
- YTAHJIFKAKIKAV-XNMGPUDCSA-N [(1R)-3-morpholin-4-yl-1-phenylpropyl] N-[(3S)-2-oxo-5-phenyl-1,3-dihydro-1,4-benzodiazepin-3-yl]carbamate Chemical compound O=C1[C@H](N=C(C2=C(N1)C=CC=C2)C1=CC=CC=C1)NC(O[C@H](CCN1CCOCC1)C1=CC=CC=C1)=O YTAHJIFKAKIKAV-XNMGPUDCSA-N 0.000 description 17
- 239000012074 organic phase Substances 0.000 description 17
- 239000012071 phase Substances 0.000 description 16
- KWGKDLIKAYFUFQ-UHFFFAOYSA-M lithium chloride Chemical compound [Li+].[Cl-] KWGKDLIKAYFUFQ-UHFFFAOYSA-M 0.000 description 14
- 238000010549 co-Evaporation Methods 0.000 description 13
- 239000002585 base Substances 0.000 description 12
- 238000004128 high performance liquid chromatography Methods 0.000 description 12
- 238000006366 phosphorylation reaction Methods 0.000 description 12
- 238000005160 1H NMR spectroscopy Methods 0.000 description 11
- 239000013557 residual solvent Substances 0.000 description 11
- 239000003480 eluent Substances 0.000 description 9
- 238000003756 stirring Methods 0.000 description 9
- PMZURENOXWZQFD-UHFFFAOYSA-L Sodium Sulfate Chemical compound [Na+].[Na+].[O-]S([O-])(=O)=O PMZURENOXWZQFD-UHFFFAOYSA-L 0.000 description 8
- VKHNFUWUGFTIQO-MJSCVDMRSA-N [(2R,3R,4R,5R)-2-benzyl-5-(2,4-dioxopyrimidin-1-yl)-4-fluoro-2-(hydroxymethyl)-4-methyloxolan-3-yl] hydrogen carbonate Chemical compound C[C@]1([C@@H]([C@@](O[C@H]1N2C=CC(=O)NC2=O)(CC3=CC=CC=C3)CO)OC(=O)O)F VKHNFUWUGFTIQO-MJSCVDMRSA-N 0.000 description 8
- 125000001584 benzyloxycarbonyl group Chemical group C(=O)(OCC1=CC=CC=C1)* 0.000 description 8
- 238000010511 deprotection reaction Methods 0.000 description 8
- 239000003208 petroleum Substances 0.000 description 8
- FPGGTKZVZWFYPV-UHFFFAOYSA-M tetrabutylammonium fluoride Chemical compound [F-].CCCC[N+](CCCC)(CCCC)CCCC FPGGTKZVZWFYPV-UHFFFAOYSA-M 0.000 description 8
- GNFTZDOKVXKIBK-UHFFFAOYSA-N 3-(2-methoxyethoxy)benzohydrazide Chemical compound COCCOC1=CC=CC(C(=O)NN)=C1 GNFTZDOKVXKIBK-UHFFFAOYSA-N 0.000 description 7
- 150000007530 organic bases Chemical class 0.000 description 7
- 229910000104 sodium hydride Inorganic materials 0.000 description 7
- CSCPPACGZOOCGX-UHFFFAOYSA-N Acetone Chemical compound CC(C)=O CSCPPACGZOOCGX-UHFFFAOYSA-N 0.000 description 6
- KFZMGEQAYNKOFK-UHFFFAOYSA-N Isopropanol Chemical compound CC(C)O KFZMGEQAYNKOFK-UHFFFAOYSA-N 0.000 description 6
- ZMXDDKWLCZADIW-UHFFFAOYSA-N N,N-Dimethylformamide Chemical compound CN(C)C=O ZMXDDKWLCZADIW-UHFFFAOYSA-N 0.000 description 6
- SJRJJKPEHAURKC-UHFFFAOYSA-N N-Methylmorpholine Chemical compound CN1CCOCC1 SJRJJKPEHAURKC-UHFFFAOYSA-N 0.000 description 6
- 125000000951 phenoxy group Chemical group [H]C1=C([H])C([H])=C(O*)C([H])=C1[H] 0.000 description 6
- 239000007787 solid Substances 0.000 description 6
- ABLZXFCXXLZCGV-UHFFFAOYSA-N Phosphorous acid Chemical compound OP(O)=O ABLZXFCXXLZCGV-UHFFFAOYSA-N 0.000 description 5
- PKMBLJNMKINMSK-UHFFFAOYSA-N magnesium;azanide Chemical compound [NH2-].[NH2-].[Mg+2] PKMBLJNMKINMSK-UHFFFAOYSA-N 0.000 description 5
- 125000000956 methoxy group Chemical group [H]C([H])([H])O* 0.000 description 5
- 125000001979 organolithium group Chemical group 0.000 description 5
- 150000008298 phosphoramidates Chemical class 0.000 description 5
- LFGREXWGYUGZLY-UHFFFAOYSA-N phosphoryl Chemical group [P]=O LFGREXWGYUGZLY-UHFFFAOYSA-N 0.000 description 5
- VPUQZYVJNPJOAL-MFKRKDFXSA-O *.C.CC(C)[C@H](C)NP(=O)(Cl)OC1=CC=CC=C1.CC(C)[C@H](C)[NH3+].O=C=O.O=C=O.O=P(Cl)(Cl)OC1=CC=CC=C1.[Cl-] Chemical compound *.C.CC(C)[C@H](C)NP(=O)(Cl)OC1=CC=CC=C1.CC(C)[C@H](C)[NH3+].O=C=O.O=C=O.O=P(Cl)(Cl)OC1=CC=CC=C1.[Cl-] VPUQZYVJNPJOAL-MFKRKDFXSA-O 0.000 description 4
- QJPNCJZPKCHSRK-OBMROAHMSA-N *.CC(C)[C@H](C)NP(=O)(Cl)OC1=CC=CC=C1.CC(C)[C@H](C)NP(=O)(OC[C@H]1O[C@@H](N2C=CC(=O)NC2=O)[C@](C)(F)[C@@H]1C(=O)C(=O)C1=CC=CC=C1)OC1=CC=CC=C1.C[C@@]1(F)[C@H](C(=O)C(=O)C2=CC=CC=C2)[C@@H](CO)O[C@H]1N1C=CC(=O)NC1=O.I.O=C=O.O=C=O Chemical compound *.CC(C)[C@H](C)NP(=O)(Cl)OC1=CC=CC=C1.CC(C)[C@H](C)NP(=O)(OC[C@H]1O[C@@H](N2C=CC(=O)NC2=O)[C@](C)(F)[C@@H]1C(=O)C(=O)C1=CC=CC=C1)OC1=CC=CC=C1.C[C@@]1(F)[C@H](C(=O)C(=O)C2=CC=CC=C2)[C@@H](CO)O[C@H]1N1C=CC(=O)NC1=O.I.O=C=O.O=C=O QJPNCJZPKCHSRK-OBMROAHMSA-N 0.000 description 4
- IJGRMHOSHXDMSA-UHFFFAOYSA-N Atomic nitrogen Chemical compound N#N IJGRMHOSHXDMSA-UHFFFAOYSA-N 0.000 description 4
- HEDRZPFGACZZDS-UHFFFAOYSA-N Chloroform Chemical compound ClC(Cl)Cl HEDRZPFGACZZDS-UHFFFAOYSA-N 0.000 description 4
- JGFZNNIVVJXRND-UHFFFAOYSA-N N,N-Diisopropylethylamine (DIPEA) Chemical compound CCN(C(C)C)C(C)C JGFZNNIVVJXRND-UHFFFAOYSA-N 0.000 description 4
- KDLHZDBZIXYQEI-UHFFFAOYSA-N Palladium Chemical compound [Pd] KDLHZDBZIXYQEI-UHFFFAOYSA-N 0.000 description 4
- 239000008346 aqueous phase Substances 0.000 description 4
- 238000004587 chromatography analysis Methods 0.000 description 4
- 239000012043 crude product Substances 0.000 description 4
- 125000001449 isopropyl group Chemical group [H]C([H])([H])C([H])(*)C([H])([H])[H] 0.000 description 4
- 239000002480 mineral oil Substances 0.000 description 4
- 235000010446 mineral oil Nutrition 0.000 description 4
- 230000026731 phosphorylation Effects 0.000 description 4
- 229910052938 sodium sulfate Inorganic materials 0.000 description 4
- 235000011152 sodium sulphate Nutrition 0.000 description 4
- 125000001981 tert-butyldimethylsilyl group Chemical group [H]C([H])([H])[Si]([H])(C([H])([H])[H])[*]C(C([H])([H])[H])(C([H])([H])[H])C([H])([H])[H] 0.000 description 4
- 125000001412 tetrahydropyranyl group Chemical group 0.000 description 4
- MCTWTZJPVLRJOU-UHFFFAOYSA-N 1-methyl-1H-imidazole Chemical compound CN1C=CN=C1 MCTWTZJPVLRJOU-UHFFFAOYSA-N 0.000 description 3
- XBNGYFFABRKICK-UHFFFAOYSA-N 2,3,4,5,6-pentafluorophenol Chemical compound OC1=C(F)C(F)=C(F)C(F)=C1F XBNGYFFABRKICK-UHFFFAOYSA-N 0.000 description 3
- GDQWTVSUHLVEGK-JEDNCBNOSA-O CC(C)[C@H](C)[NH3+].O=C=O.[Cl-] Chemical compound CC(C)[C@H](C)[NH3+].O=C=O.[Cl-] GDQWTVSUHLVEGK-JEDNCBNOSA-O 0.000 description 3
- CURLTUGMZLYLDI-UHFFFAOYSA-N Carbon dioxide Chemical compound O=C=O CURLTUGMZLYLDI-UHFFFAOYSA-N 0.000 description 3
- 241000711549 Hepacivirus C Species 0.000 description 3
- UFHFLCQGNIYNRP-UHFFFAOYSA-N Hydrogen Chemical compound [H][H] UFHFLCQGNIYNRP-UHFFFAOYSA-N 0.000 description 3
- OAICVXFJPJFONN-UHFFFAOYSA-N Phosphorus Chemical compound [P] OAICVXFJPJFONN-UHFFFAOYSA-N 0.000 description 3
- 235000011089 carbon dioxide Nutrition 0.000 description 3
- BCDGQXUMWHRQCB-UHFFFAOYSA-N glycine methyl ketone Natural products CC(=O)CN BCDGQXUMWHRQCB-UHFFFAOYSA-N 0.000 description 3
- 229960004592 isopropanol Drugs 0.000 description 3
- VLKZOEOYAKHREP-UHFFFAOYSA-N n-Hexane Chemical compound CCCCCC VLKZOEOYAKHREP-UHFFFAOYSA-N 0.000 description 3
- 125000003835 nucleoside group Chemical group 0.000 description 3
- 239000003921 oil Substances 0.000 description 3
- 229910052698 phosphorus Inorganic materials 0.000 description 3
- 239000011574 phosphorus Substances 0.000 description 3
- IUBQJLUDMLPAGT-UHFFFAOYSA-N potassium bis(trimethylsilyl)amide Chemical class C[Si](C)(C)N([K])[Si](C)(C)C IUBQJLUDMLPAGT-UHFFFAOYSA-N 0.000 description 3
- 238000001556 precipitation Methods 0.000 description 3
- WRIKHQLVHPKCJU-UHFFFAOYSA-N sodium bis(trimethylsilyl)amide Chemical compound C[Si](C)(C)N([Na])[Si](C)(C)C WRIKHQLVHPKCJU-UHFFFAOYSA-N 0.000 description 3
- 125000001424 substituent group Chemical group 0.000 description 3
- 239000000725 suspension Substances 0.000 description 3
- 125000006290 2-hydroxybenzyl group Chemical group [H]OC1=C(C([H])=C([H])C([H])=C1[H])C([H])([H])* 0.000 description 2
- QGZKDVFQNNGYKY-UHFFFAOYSA-N Ammonia Chemical compound N QGZKDVFQNNGYKY-UHFFFAOYSA-N 0.000 description 2
- CPELXLSAUQHCOX-UHFFFAOYSA-M Bromide Chemical compound [Br-] CPELXLSAUQHCOX-UHFFFAOYSA-M 0.000 description 2
- DKKSZBKUNAMSIV-YMVCPOEQSA-N CC(C)N[P@](=O)(OC[C@H]1O[C@@H](N2C=CC(=O)NC2=O)[C@](C)(F)[C@@H]1O)OC1=CC=CC=C1 Chemical compound CC(C)N[P@](=O)(OC[C@H]1O[C@@H](N2C=CC(=O)NC2=O)[C@](C)(F)[C@@H]1O)OC1=CC=CC=C1 DKKSZBKUNAMSIV-YMVCPOEQSA-N 0.000 description 2
- GWSPBTPDVPKXOS-QYUGWBKDSA-N CC(C)[C@H](C)NC(=O)(OC[C@H]1O[C@@H](N2C=CC(=O)NC2=O)[C@](C)(F)[C@@H]1O)OC1=CC=CC=C1.O=C=O Chemical compound CC(C)[C@H](C)NC(=O)(OC[C@H]1O[C@@H](N2C=CC(=O)NC2=O)[C@](C)(F)[C@@H]1O)OC1=CC=CC=C1.O=C=O GWSPBTPDVPKXOS-QYUGWBKDSA-N 0.000 description 2
- XDCOKXIKKFWJDU-JNQJPKHSSA-N CC(C)[C@H](C)NP(=O)(OC[C@H]1O[C@@H](N2C=CC(=O)NC2=O)[C@](C)(F)[C@@H]1C)OC1=CC=CC=C1.CC(C)[C@H](C)NP(=O)(OC[C@H]1O[C@@H](N2C=CC(=O)NC2=O)[C@](C)(F)[C@@H]1O)OC1=CC=CC=C1.O=C=O.O=C=O Chemical compound CC(C)[C@H](C)NP(=O)(OC[C@H]1O[C@@H](N2C=CC(=O)NC2=O)[C@](C)(F)[C@@H]1C)OC1=CC=CC=C1.CC(C)[C@H](C)NP(=O)(OC[C@H]1O[C@@H](N2C=CC(=O)NC2=O)[C@](C)(F)[C@@H]1O)OC1=CC=CC=C1.O=C=O.O=C=O XDCOKXIKKFWJDU-JNQJPKHSSA-N 0.000 description 2
- VEXZGXHMUGYJMC-UHFFFAOYSA-M Chloride anion Chemical compound [Cl-] VEXZGXHMUGYJMC-UHFFFAOYSA-M 0.000 description 2
- QNAYBMKLOCPYGJ-UHFFFAOYSA-N D-alpha-Ala Natural products CC([NH3+])C([O-])=O QNAYBMKLOCPYGJ-UHFFFAOYSA-N 0.000 description 2
- XEEYBQQBJWHFJM-UHFFFAOYSA-N Iron Chemical compound [Fe] XEEYBQQBJWHFJM-UHFFFAOYSA-N 0.000 description 2
- QNAYBMKLOCPYGJ-REOHCLBHSA-N L-alanine Chemical compound C[C@H](N)C(O)=O QNAYBMKLOCPYGJ-REOHCLBHSA-N 0.000 description 2
- TWRXJAOTZQYOKJ-UHFFFAOYSA-L Magnesium chloride Chemical compound [Mg+2].[Cl-].[Cl-] TWRXJAOTZQYOKJ-UHFFFAOYSA-L 0.000 description 2
- GSCCALZHGUWNJW-UHFFFAOYSA-N N-Cyclohexyl-N-methylcyclohexanamine Chemical compound C1CCCCC1N(C)C1CCCCC1 GSCCALZHGUWNJW-UHFFFAOYSA-N 0.000 description 2
- 108010076039 Polyproteins Proteins 0.000 description 2
- VYPSYNLAJGMNEJ-UHFFFAOYSA-N Silicium dioxide Chemical compound O=[Si]=O VYPSYNLAJGMNEJ-UHFFFAOYSA-N 0.000 description 2
- CDBYLPFSWZWCQE-UHFFFAOYSA-L Sodium Carbonate Chemical compound [Na+].[Na+].[O-]C([O-])=O CDBYLPFSWZWCQE-UHFFFAOYSA-L 0.000 description 2
- 150000001298 alcohols Chemical class 0.000 description 2
- AGEZXYOZHKGVCM-UHFFFAOYSA-N benzyl bromide Chemical compound BrCC1=CC=CC=C1 AGEZXYOZHKGVCM-UHFFFAOYSA-N 0.000 description 2
- DKPFZGUDAPQIHT-UHFFFAOYSA-N butyl acetate Chemical compound CCCCOC(C)=O DKPFZGUDAPQIHT-UHFFFAOYSA-N 0.000 description 2
- 125000005587 carbonate group Chemical group 0.000 description 2
- 239000003054 catalyst Substances 0.000 description 2
- 230000000052 comparative effect Effects 0.000 description 2
- 238000004090 dissolution Methods 0.000 description 2
- 125000001033 ether group Chemical group 0.000 description 2
- IXCSERBJSXMMFS-UHFFFAOYSA-N hydrogen chloride Substances Cl.Cl IXCSERBJSXMMFS-UHFFFAOYSA-N 0.000 description 2
- 229910000041 hydrogen chloride Inorganic materials 0.000 description 2
- 238000007327 hydrogenolysis reaction Methods 0.000 description 2
- YNESATAKKCNGOF-UHFFFAOYSA-N lithium bis(trimethylsilyl)amide Chemical compound [Li+].C[Si](C)(C)[N-][Si](C)(C)C YNESATAKKCNGOF-UHFFFAOYSA-N 0.000 description 2
- ZCSHNCUQKCANBX-UHFFFAOYSA-N lithium diisopropylamide Chemical compound [Li+].CC(C)[N-]C(C)C ZCSHNCUQKCANBX-UHFFFAOYSA-N 0.000 description 2
- ISRXMEYARGEVIU-UHFFFAOYSA-N n-methyl-n-propan-2-ylpropan-2-amine Chemical compound CC(C)N(C)C(C)C ISRXMEYARGEVIU-UHFFFAOYSA-N 0.000 description 2
- IZUPBVBPLAPZRR-UHFFFAOYSA-N pentachloro-phenol Natural products OC1=C(Cl)C(Cl)=C(Cl)C(Cl)=C1Cl IZUPBVBPLAPZRR-UHFFFAOYSA-N 0.000 description 2
- 150000002989 phenols Chemical group 0.000 description 2
- MIILDBHEJQLACD-KPORQTCDSA-N propan-2-yl (2s)-2-[[(2,3,4,5,6-pentafluorophenoxy)-phenoxyphosphoryl]amino]propanoate Chemical compound FC=1C(F)=C(F)C(F)=C(F)C=1OP(=O)(N[C@@H](C)C(=O)OC(C)C)OC1=CC=CC=C1 MIILDBHEJQLACD-KPORQTCDSA-N 0.000 description 2
- GEHJYWRUCIMESM-UHFFFAOYSA-L sodium sulfite Chemical compound [Na+].[Na+].[O-]S([O-])=O GEHJYWRUCIMESM-UHFFFAOYSA-L 0.000 description 2
- BCNZYOJHNLTNEZ-UHFFFAOYSA-N tert-butyldimethylsilyl chloride Chemical compound CC(C)(C)[Si](C)(C)Cl BCNZYOJHNLTNEZ-UHFFFAOYSA-N 0.000 description 2
- 150000003512 tertiary amines Chemical class 0.000 description 2
- 125000000025 triisopropylsilyl group Chemical group C(C)(C)[Si](C(C)C)(C(C)C)* 0.000 description 2
- 230000003612 virological effect Effects 0.000 description 2
- 238000005406 washing Methods 0.000 description 2
- OPNJVAHYKOMGSX-BFLVYSJHSA-N *.B.C.C.CC(C)OC(=O)[C@H](C)NP(=O)(OC1=CC=CC=C1)O[C@@H]1[C@@H](CO)O[C@@H](N2C=CC(=O)CC2=O)[C@]1(C)F.CC(C)OC(=O)[C@H](C)NP(=O)(OC1=CC=CC=C1)O[C@@H]1[C@@H](COP(=O)(NC(C)C(C)C)OC2=CC=CC=C2)O[C@@H](N2C=CC(=O)CC2=O)[C@]1(C)F.CC(C)[C@H](C)NP(=O)(Cl)OC1=CC=CC=C1.CC(C)[C@H](C)NP(=O)(OC[C@H]1O[C@@H](N2C=CC(=O)NC2=O)[C@](C)(F)[C@@H]1O)OC1=CC=CC=C1.CC(C)[C@H](C)NP(=O)(OC[C@H]1O[C@@H](N2C=CC(=O)NC2=O)[C@](C)(F)[C@@H]1O)OC1=CC=CC=C1.CC(C)[C@H](C)N[P@](=O)(OC[C@H]1O[C@@H](N2C=CC(=O)NC2=O)[C@](C)(F)[C@@H]1O)OC1=CC=CC=C1.C[C@@]1(F)[C@H](O)[C@@H](CO)O[C@H]1N1C=CC(=O)NC1=O.O=C=O.O=C=O.O=C=O.O=C=O.O=C=O.[2HH] Chemical compound *.B.C.C.CC(C)OC(=O)[C@H](C)NP(=O)(OC1=CC=CC=C1)O[C@@H]1[C@@H](CO)O[C@@H](N2C=CC(=O)CC2=O)[C@]1(C)F.CC(C)OC(=O)[C@H](C)NP(=O)(OC1=CC=CC=C1)O[C@@H]1[C@@H](COP(=O)(NC(C)C(C)C)OC2=CC=CC=C2)O[C@@H](N2C=CC(=O)CC2=O)[C@]1(C)F.CC(C)[C@H](C)NP(=O)(Cl)OC1=CC=CC=C1.CC(C)[C@H](C)NP(=O)(OC[C@H]1O[C@@H](N2C=CC(=O)NC2=O)[C@](C)(F)[C@@H]1O)OC1=CC=CC=C1.CC(C)[C@H](C)NP(=O)(OC[C@H]1O[C@@H](N2C=CC(=O)NC2=O)[C@](C)(F)[C@@H]1O)OC1=CC=CC=C1.CC(C)[C@H](C)N[P@](=O)(OC[C@H]1O[C@@H](N2C=CC(=O)NC2=O)[C@](C)(F)[C@@H]1O)OC1=CC=CC=C1.C[C@@]1(F)[C@H](O)[C@@H](CO)O[C@H]1N1C=CC(=O)NC1=O.O=C=O.O=C=O.O=C=O.O=C=O.O=C=O.[2HH] OPNJVAHYKOMGSX-BFLVYSJHSA-N 0.000 description 1
- JERVUVYTBVXWGN-GZJNPCLKSA-N *.B.CC(C)[C@H](C)NP(=O)(Cl)OC1=CC=CC=C1.CC(C)[C@H](C)NP(=O)(OC[C@H]1O[C@@H](N2C=CC(=O)NC2=O)[C@](C)(F)[C@@H]1O)OC1=CC=CC=C1.C[C@@]1(F)[C@H](O)[C@@H](CO)O[C@H]1N1C=CC(=O)NC1=O.O=C=O.O=C=O Chemical compound *.B.CC(C)[C@H](C)NP(=O)(Cl)OC1=CC=CC=C1.CC(C)[C@H](C)NP(=O)(OC[C@H]1O[C@@H](N2C=CC(=O)NC2=O)[C@](C)(F)[C@@H]1O)OC1=CC=CC=C1.C[C@@]1(F)[C@H](O)[C@@H](CO)O[C@H]1N1C=CC(=O)NC1=O.O=C=O.O=C=O JERVUVYTBVXWGN-GZJNPCLKSA-N 0.000 description 1
- LFQPTIYTIZEXJF-LITFCINQSA-M *.C.C.CC(=O)CCC(=O)O[C@@H]1[C@@H](CO)C[C@@H](N2C=CC(=O)NC2=O)[C@]1(C)F.CC(=O)CCC(=O)O[C@@H]1[C@@H](CO[P@@](=O)(N[C@@H](C)C(C)C)OC2=CC=CC=C2)O[C@@H](N2C=CC(=O)NC2=O)[C@]1(C)F.CC(C)(C)[Mg]Cl.CC(C)[C@H](C)NP(=O)(Cl)OC1=CC=CC=C1.CC(C)[C@H](C)NP(=O)(OC1=CC=CC=C1)OC1=CC=C([N+](=O)[O-])C=C1.CC(C)[C@H](C)N[P@](=O)(OC1=CC=CC=C1)OC1=CC=C([N+](=O)[O-])C=C1.CC(C)[C@H](C)N[P@](=O)(OC[C@H]1O[C@@H](N2C=CC(=O)NC2=O)[C@](C)(F)[C@@H]1O)OC1=CC=CC=C1.F.O=C=O.O=C=O.O=C=O.O=C=O.O=C=O.[HH] Chemical compound *.C.C.CC(=O)CCC(=O)O[C@@H]1[C@@H](CO)C[C@@H](N2C=CC(=O)NC2=O)[C@]1(C)F.CC(=O)CCC(=O)O[C@@H]1[C@@H](CO[P@@](=O)(N[C@@H](C)C(C)C)OC2=CC=CC=C2)O[C@@H](N2C=CC(=O)NC2=O)[C@]1(C)F.CC(C)(C)[Mg]Cl.CC(C)[C@H](C)NP(=O)(Cl)OC1=CC=CC=C1.CC(C)[C@H](C)NP(=O)(OC1=CC=CC=C1)OC1=CC=C([N+](=O)[O-])C=C1.CC(C)[C@H](C)N[P@](=O)(OC1=CC=CC=C1)OC1=CC=C([N+](=O)[O-])C=C1.CC(C)[C@H](C)N[P@](=O)(OC[C@H]1O[C@@H](N2C=CC(=O)NC2=O)[C@](C)(F)[C@@H]1O)OC1=CC=CC=C1.F.O=C=O.O=C=O.O=C=O.O=C=O.O=C=O.[HH] LFQPTIYTIZEXJF-LITFCINQSA-M 0.000 description 1
- KKJSYJPZUUQAHO-UOGGYHIESA-O *.C.CC(C)[C@H](C)NP(=O)(Cl)OC1=CC=CC=C1.CC(C)[C@H](C)NP(=O)(OC1=CC=CC=C1)OC1=C(F)C(F)=C(F)C(F)=C1F.CC(C)[C@H](C)[NH3+].O=C=O.O=C=O.O=C=O.O=P(Cl)(Cl)OC1=CC=CC=C1.[Cl-] Chemical compound *.C.CC(C)[C@H](C)NP(=O)(Cl)OC1=CC=CC=C1.CC(C)[C@H](C)NP(=O)(OC1=CC=CC=C1)OC1=C(F)C(F)=C(F)C(F)=C1F.CC(C)[C@H](C)[NH3+].O=C=O.O=C=O.O=C=O.O=P(Cl)(Cl)OC1=CC=CC=C1.[Cl-] KKJSYJPZUUQAHO-UOGGYHIESA-O 0.000 description 1
- HNKLOELXFPXTNW-MEEZANCVSA-N *.C.CC(C)[C@H](C)NP(=O)(Cl)OC1=CC=CC=C1.CC(C)[C@H](C)N[P@](=O)(OC[C@H]1O[C@@H](N2C=CC(N)=NC2=O)[C@](C)(F)[C@@H]1O)OC1=CC=CC=C1.C[C@@]1(F)[C@H](O)[C@@H](CO)O[C@H]1N1C=CC(N)=NC1=O.O=C=O.O=C=O Chemical compound *.C.CC(C)[C@H](C)NP(=O)(Cl)OC1=CC=CC=C1.CC(C)[C@H](C)N[P@](=O)(OC[C@H]1O[C@@H](N2C=CC(N)=NC2=O)[C@](C)(F)[C@@H]1O)OC1=CC=CC=C1.C[C@@]1(F)[C@H](O)[C@@H](CO)O[C@H]1N1C=CC(N)=NC1=O.O=C=O.O=C=O HNKLOELXFPXTNW-MEEZANCVSA-N 0.000 description 1
- COXJZVXOWMHGNG-GUZOGIFGSA-O *.C.CC(C)[C@H](C)NP(=O)(Cl)OCl.CC(C)[C@H](C)NP(=O)(OC1=CC=CC=C1)OC1=C(F)C(F)=C(F)C(F)=C1F.CC(C)[C@H](C)[NH3+].O=C=O.O=C=O.O=C=O.O=P(Cl)(Cl)OC1=CC=CC=C1.[Cl-] Chemical compound *.C.CC(C)[C@H](C)NP(=O)(Cl)OCl.CC(C)[C@H](C)NP(=O)(OC1=CC=CC=C1)OC1=C(F)C(F)=C(F)C(F)=C1F.CC(C)[C@H](C)[NH3+].O=C=O.O=C=O.O=C=O.O=P(Cl)(Cl)OC1=CC=CC=C1.[Cl-] COXJZVXOWMHGNG-GUZOGIFGSA-O 0.000 description 1
- FISNLWBIJMJKTM-DXFFYSOYSA-N *.C=CCO[C@@H]1[C@@H](CO)O[C@@H](N2C=CC(=O)NC2=O)[C@]1(C)F.C=CCO[C@@H]1[C@@H](COP(=O)(N[C@@H](C)C(C)C)OC2=CC=CC=C2)O[C@@H](N2C=CC(=O)NC2=O)[C@]1(C)F.CC(C)[C@H](C)NP(=O)(Cl)OC1=CC=CC=C1.O=C=O.O=C=O Chemical compound *.C=CCO[C@@H]1[C@@H](CO)O[C@@H](N2C=CC(=O)NC2=O)[C@]1(C)F.C=CCO[C@@H]1[C@@H](COP(=O)(N[C@@H](C)C(C)C)OC2=CC=CC=C2)O[C@@H](N2C=CC(=O)NC2=O)[C@]1(C)F.CC(C)[C@H](C)NP(=O)(Cl)OC1=CC=CC=C1.O=C=O.O=C=O FISNLWBIJMJKTM-DXFFYSOYSA-N 0.000 description 1
- KWGWUHUEAHBKCP-PABIQBRHSA-N *.CC(C)[C@H](C)NP(=O)(Cl)OC1=CC=CC=C1.CC(C)[C@H](C)NP(=O)(OC[C@H]1O[C@@H](N2C=CC(=O)N(CC3=CC=CC=C3)C2=O)[C@](C)(F)[C@@H]1C)OC1=CC=CC=C1.C[C@@H]1[C@@H](CO)O[C@@H](N2C=CC(=O)N(CC3=CC=CC=C3)C2=O)[C@]1(C)F.O=C=O.O=C=O Chemical compound *.CC(C)[C@H](C)NP(=O)(Cl)OC1=CC=CC=C1.CC(C)[C@H](C)NP(=O)(OC[C@H]1O[C@@H](N2C=CC(=O)N(CC3=CC=CC=C3)C2=O)[C@](C)(F)[C@@H]1C)OC1=CC=CC=C1.C[C@@H]1[C@@H](CO)O[C@@H](N2C=CC(=O)N(CC3=CC=CC=C3)C2=O)[C@]1(C)F.O=C=O.O=C=O KWGWUHUEAHBKCP-PABIQBRHSA-N 0.000 description 1
- PWTXCLABJMYZQK-HREUCZRFSA-N *.CC(C)[C@H](C)NP(=O)(Cl)OC1=CC=CC=C1.CC(C)[C@H](C)NP(=O)(OC[C@H]1O[C@@H](N2C=CC(=O)NC2=O)[C@](C)(F)[C@@H]1C)OC1=CC=CC=C1.C[C@@H]1[C@@H](CO)O[C@@H](N2C=CC(=O)NC2=O)[C@]1(C)F.O=C=O.O=C=O Chemical compound *.CC(C)[C@H](C)NP(=O)(Cl)OC1=CC=CC=C1.CC(C)[C@H](C)NP(=O)(OC[C@H]1O[C@@H](N2C=CC(=O)NC2=O)[C@](C)(F)[C@@H]1C)OC1=CC=CC=C1.C[C@@H]1[C@@H](CO)O[C@@H](N2C=CC(=O)NC2=O)[C@]1(C)F.O=C=O.O=C=O PWTXCLABJMYZQK-HREUCZRFSA-N 0.000 description 1
- OORRPUNGSLEXHW-JBFFNZDLSA-N *.CC(C)[C@H](C)NP(=O)(Cl)OC1=CC=CC=C1.CC(C)[C@H](C)NP(=O)(OC[C@H]1O[C@@H](N2C=CC(=O)NC2=O)[C@](C)(F)[C@@H]1O)OC1=CC=CC=C1.C[C@@H]1[C@@H](CO)O[C@@H](N2C=CC(=O)NC2=O)[C@]1(C)F.I.O=C=O.O=C=O Chemical compound *.CC(C)[C@H](C)NP(=O)(Cl)OC1=CC=CC=C1.CC(C)[C@H](C)NP(=O)(OC[C@H]1O[C@@H](N2C=CC(=O)NC2=O)[C@](C)(F)[C@@H]1O)OC1=CC=CC=C1.C[C@@H]1[C@@H](CO)O[C@@H](N2C=CC(=O)NC2=O)[C@]1(C)F.I.O=C=O.O=C=O OORRPUNGSLEXHW-JBFFNZDLSA-N 0.000 description 1
- GMYYYYNCQANJAF-WCDLBWSISA-N *.CC(C)[C@H](C)NP(=O)(Cl)OC1=CC=CC=C1.CC1=CC=C(CO[C@@H]2[C@@H](CO)O[C@@H](N3C=CC(=O)NC3=O)[C@]2(C)F)C=C1.CC1=CC=C(CO[C@@H]2[C@@H](COP(=O)(N[C@@H](C)C(C)C)OC3=CC=CC=C3)O[C@@H](N3C=CC(=O)NC3=O)[C@]2(C)F)C=C1.O=C=O.O=C=O Chemical compound *.CC(C)[C@H](C)NP(=O)(Cl)OC1=CC=CC=C1.CC1=CC=C(CO[C@@H]2[C@@H](CO)O[C@@H](N3C=CC(=O)NC3=O)[C@]2(C)F)C=C1.CC1=CC=C(CO[C@@H]2[C@@H](COP(=O)(N[C@@H](C)C(C)C)OC3=CC=CC=C3)O[C@@H](N3C=CC(=O)NC3=O)[C@]2(C)F)C=C1.O=C=O.O=C=O GMYYYYNCQANJAF-WCDLBWSISA-N 0.000 description 1
- MOHYOXXOKFQHDC-UHFFFAOYSA-N 1-(chloromethyl)-4-methoxybenzene Chemical compound COC1=CC=C(CCl)C=C1 MOHYOXXOKFQHDC-UHFFFAOYSA-N 0.000 description 1
- UDYRCGRIKLBIDK-DNNBLBMLSA-N 1-[(2R,3R,4R,5R)-3-fluoro-5-(hydroxymethyl)-3-methyl-4-phenylmethoxyoxolan-2-yl]pyrimidine-2,4-dione Chemical compound C(C1=CC=CC=C1)O[C@H]1[C@@]([C@@H](O[C@@H]1CO)N1C(NC(C=C1)=O)=O)(C)F UDYRCGRIKLBIDK-DNNBLBMLSA-N 0.000 description 1
- JRJPLLXGINKLSV-GFOCRRMGSA-N 1-[(2R,3R,4R,5R)-3-fluoro-5-(hydroxymethyl)-4-[(4-methoxyphenyl)methoxy]-3-methyloxolan-2-yl]pyrimidine-2,4-dione Chemical compound F[C@]1([C@@H](O[C@@H]([C@H]1OCC1=CC=C(C=C1)OC)CO)N1C(NC(C=C1)=O)=O)C JRJPLLXGINKLSV-GFOCRRMGSA-N 0.000 description 1
- KEUWXKPIOITNEE-XNIJJKJLSA-N 1-[(2R,3R,4R,5R)-5-[[tert-butyl(dimethyl)silyl]oxymethyl]-3-fluoro-4-hydroxy-3-methyloxolan-2-yl]pyrimidine-2,4-dione Chemical compound [Si](C)(C)(C(C)(C)C)OC[C@@H]1[C@H]([C@@]([C@@H](O1)N1C(NC(C=C1)=O)=O)(C)F)O KEUWXKPIOITNEE-XNIJJKJLSA-N 0.000 description 1
- SDTORDSXCYSNTD-UHFFFAOYSA-N 1-methoxy-4-[(4-methoxyphenyl)methoxymethyl]benzene Chemical group C1=CC(OC)=CC=C1COCC1=CC=C(OC)C=C1 SDTORDSXCYSNTD-UHFFFAOYSA-N 0.000 description 1
- HFZWRUODUSTPEG-UHFFFAOYSA-N 2,4-dichlorophenol Chemical compound OC1=CC=C(Cl)C=C1Cl HFZWRUODUSTPEG-UHFFFAOYSA-N 0.000 description 1
- UFBJCMHMOXMLKC-UHFFFAOYSA-N 2,4-dinitrophenol Chemical compound OC1=CC=C([N+]([O-])=O)C=C1[N+]([O-])=O UFBJCMHMOXMLKC-UHFFFAOYSA-N 0.000 description 1
- SDTMFDGELKWGFT-UHFFFAOYSA-N 2-methylpropan-2-olate Chemical compound CC(C)(C)[O-] SDTMFDGELKWGFT-UHFFFAOYSA-N 0.000 description 1
- IQUPABOKLQSFBK-UHFFFAOYSA-N 2-nitrophenol Chemical compound OC1=CC=CC=C1[N+]([O-])=O IQUPABOKLQSFBK-UHFFFAOYSA-N 0.000 description 1
- GTODDKVDNZZZHW-VDEHWKIFSA-N 3-benzyl-1-[(2R,3R,4R,5R)-3-fluoro-5-(hydroxymethyl)-3-methyl-4-phenylmethoxyoxolan-2-yl]pyrimidine-2,4-dione Chemical compound C(C1=CC=CC=C1)N1C(N(C=CC1=O)[C@@H]1O[C@@H]([C@H]([C@@]1(C)F)OCC1=CC=CC=C1)CO)=O GTODDKVDNZZZHW-VDEHWKIFSA-N 0.000 description 1
- ATVJXMYDOSMEPO-UHFFFAOYSA-N 3-prop-2-enoxyprop-1-ene Chemical compound C=CCOCC=C ATVJXMYDOSMEPO-UHFFFAOYSA-N 0.000 description 1
- BTJIUGUIPKRLHP-UHFFFAOYSA-M 4-nitrophenolate Chemical compound [O-]C1=CC=C([N+]([O-])=O)C=C1 BTJIUGUIPKRLHP-UHFFFAOYSA-M 0.000 description 1
- BOFRXDMCQRTGII-UHFFFAOYSA-N 619-08-9 Chemical compound OC1=CC=C([N+]([O-])=O)C=C1Cl BOFRXDMCQRTGII-UHFFFAOYSA-N 0.000 description 1
- WOAGSPVBTGKTGF-JRPKQKLOSA-N B.C.C[C@@]1(F)[C@H](O)[C@@H](CO)O[C@H]1N1C=CC(=O)NC1=O.C[C@@]1(F)[C@H](O)[C@@H](CO)O[C@H]1N1C=CC(N)=NC1=O Chemical compound B.C.C[C@@]1(F)[C@H](O)[C@@H](CO)O[C@H]1N1C=CC(=O)NC1=O.C[C@@]1(F)[C@H](O)[C@@H](CO)O[C@H]1N1C=CC(N)=NC1=O WOAGSPVBTGKTGF-JRPKQKLOSA-N 0.000 description 1
- OGNAPQNCCBTGCP-PVNLVJSDSA-N B.CC(C)[C@H](C)NP(=O)(OC1=CC=CC=C1)OC1=C(F)C(F)=C(F)C(F)=C1F.CC(C)[C@H](C)N[P@](=O)(OC[C@H]1O[C@@H](N2C=CC(=O)NC2=O)[C@](C)(F)[C@@H]1O)OC1=CC=CC=C1.C[C@@]1(F)[C@H](O)[C@@H](CO)O[C@H]1N1C=CC(=O)NC1=O.O=C=O.O=C=O Chemical compound B.CC(C)[C@H](C)NP(=O)(OC1=CC=CC=C1)OC1=C(F)C(F)=C(F)C(F)=C1F.CC(C)[C@H](C)N[P@](=O)(OC[C@H]1O[C@@H](N2C=CC(=O)NC2=O)[C@](C)(F)[C@@H]1O)OC1=CC=CC=C1.C[C@@]1(F)[C@H](O)[C@@H](CO)O[C@H]1N1C=CC(=O)NC1=O.O=C=O.O=C=O OGNAPQNCCBTGCP-PVNLVJSDSA-N 0.000 description 1
- ZOEKJNRWCVVHFI-BQOYKFDPSA-N C(C1=CC=CC=C1)N1C(N(C=CC1=O)[C@@H]1O[C@@H]([C@H]([C@@]1(C)F)OCC1=CC=CC=C1)CO[Si](C)(C)C(C)(C)C)=O Chemical compound C(C1=CC=CC=C1)N1C(N(C=CC1=O)[C@@H]1O[C@@H]([C@H]([C@@]1(C)F)OCC1=CC=CC=C1)CO[Si](C)(C)C(C)(C)C)=O ZOEKJNRWCVVHFI-BQOYKFDPSA-N 0.000 description 1
- ITLQWGRHGQKSIU-ZDXOVATRSA-N C(C1=CC=CC=C1)O[C@H]1[C@@]([C@@H](O[C@@H]1CO[Si](C)(C)C(C)(C)C)N1C(NC(C=C1)=O)=O)(C)F Chemical compound C(C1=CC=CC=C1)O[C@H]1[C@@]([C@@H](O[C@@H]1CO[Si](C)(C)C(C)(C)C)N1C(NC(C=C1)=O)=O)(C)F ITLQWGRHGQKSIU-ZDXOVATRSA-N 0.000 description 1
- RKVVBCZXDNYRQW-OUTKXMMCSA-O C.CC(C)[C@H](C)[NH3+].O=C=O.O=C=O.[Cl-].[H]C(C)N Chemical compound C.CC(C)[C@H](C)[NH3+].O=C=O.O=C=O.[Cl-].[H]C(C)N RKVVBCZXDNYRQW-OUTKXMMCSA-O 0.000 description 1
- FGUUSXIOTUKUDN-IBGZPJMESA-N C1(=CC=CC=C1)N1C2=C(NC([C@H](C1)NC=1OC(=NN=1)C1=CC=CC=C1)=O)C=CC=C2 Chemical compound C1(=CC=CC=C1)N1C2=C(NC([C@H](C1)NC=1OC(=NN=1)C1=CC=CC=C1)=O)C=CC=C2 FGUUSXIOTUKUDN-IBGZPJMESA-N 0.000 description 1
- YIWAMZWIDACYQU-MPEDCHBLSA-N C=CCO[C@@H]1[C@@H](CC)O[C@@H](N2C=CC(=O)NC2=O)[C@]1(C)F.C=CCO[C@@H]1[C@@H](CO)O[C@@H](N2C=CC(=O)NC2=O)[C@]1(C)F Chemical compound C=CCO[C@@H]1[C@@H](CC)O[C@@H](N2C=CC(=O)NC2=O)[C@]1(C)F.C=CCO[C@@H]1[C@@H](CO)O[C@@H](N2C=CC(=O)NC2=O)[C@]1(C)F YIWAMZWIDACYQU-MPEDCHBLSA-N 0.000 description 1
- HFWFPYHKIUPXSA-ADAGZHEHSA-N C=CCO[C@@H]1[C@@H](CC)O[C@@H](N2C=CC(=O)NC2=O)[C@]1(C)F.CC[C@H]1O[C@@H](N2C=CC(=O)NC2=O)[C@](C)(F)[C@@H]1O Chemical compound C=CCO[C@@H]1[C@@H](CC)O[C@@H](N2C=CC(=O)NC2=O)[C@]1(C)F.CC[C@H]1O[C@@H](N2C=CC(=O)NC2=O)[C@](C)(F)[C@@H]1O HFWFPYHKIUPXSA-ADAGZHEHSA-N 0.000 description 1
- JSFFLPGBJYGVJT-NDYYMQOLSA-N CC(C)[C@H](C)NP(=O)(O)OC1=C(F)C(F)=C(F)C(F)=C1F.CC(C)[C@H](C)N[P@](=O)(OC1=CC=CC=C1)OC1=C(F)C(F)=C(F)C(F)=C1F.O=C=O.O=C=O Chemical compound CC(C)[C@H](C)NP(=O)(O)OC1=C(F)C(F)=C(F)C(F)=C1F.CC(C)[C@H](C)N[P@](=O)(OC1=CC=CC=C1)OC1=C(F)C(F)=C(F)C(F)=C1F.O=C=O.O=C=O JSFFLPGBJYGVJT-NDYYMQOLSA-N 0.000 description 1
- IVKXXOCYGOKSJX-ZAKKMTAKSA-N CC(C)[C@H](C)NP(=O)(OC1=CC=CC=C1)OC1=C(F)C(F)=C(F)C(F)=C1F.CC(C)[C@H](C)NP(=O)(OC1=CC=CC=C1)OC1=C(F)C(F)=C(F)C(F)=C1F.O=C=O.O=C=O Chemical compound CC(C)[C@H](C)NP(=O)(OC1=CC=CC=C1)OC1=C(F)C(F)=C(F)C(F)=C1F.CC(C)[C@H](C)NP(=O)(OC1=CC=CC=C1)OC1=C(F)C(F)=C(F)C(F)=C1F.O=C=O.O=C=O IVKXXOCYGOKSJX-ZAKKMTAKSA-N 0.000 description 1
- SMLSLBLSTGGCLB-IIJYFOJVSA-N CC(C)[C@H](C)NP(=O)(OC[C@H]1O[C@@H](N2C=CC(=O)NC2=O)[C@](C)(F)[C@@H]1O)OC1=CC=CC=C1.CC(C)[C@H](C)N[P@](=O)(OC[C@H]1O[C@@H](N2C=CC(=O)NC2=O)[C@](C)(F)[C@@H]1O)OC1=CC=CC=C1.O=C=O.O=C=O Chemical compound CC(C)[C@H](C)NP(=O)(OC[C@H]1O[C@@H](N2C=CC(=O)NC2=O)[C@](C)(F)[C@@H]1O)OC1=CC=CC=C1.CC(C)[C@H](C)N[P@](=O)(OC[C@H]1O[C@@H](N2C=CC(=O)NC2=O)[C@](C)(F)[C@@H]1O)OC1=CC=CC=C1.O=C=O.O=C=O SMLSLBLSTGGCLB-IIJYFOJVSA-N 0.000 description 1
- WIZHAHWQIZLBCS-JORXOSKLSA-N CC(C)[C@H](C)NP(=O)(OC[C@H]1O[C@@H](N2C=CC(=O)NC2=O)[C@](C)(F)[C@@H]1O)OC1=CC=CC=C1.O=C=O Chemical compound CC(C)[C@H](C)NP(=O)(OC[C@H]1O[C@@H](N2C=CC(=O)NC2=O)[C@](C)(F)[C@@H]1O)OC1=CC=CC=C1.O=C=O WIZHAHWQIZLBCS-JORXOSKLSA-N 0.000 description 1
- NVZLGXINPMTOPF-FSFHZUQRSA-N CC(C)[C@H](C)N[P@](=O)(OC[C@H]1O[C@@H](N2C=CC(=O)NC2=O)[C@](C)(F)[C@@H]1O[P@@](C)(=O)N[C@@H](C)C(C)C)OC1=CC=CC=C1.O=C=O.O=C=O Chemical compound CC(C)[C@H](C)N[P@](=O)(OC[C@H]1O[C@@H](N2C=CC(=O)NC2=O)[C@](C)(F)[C@@H]1O[P@@](C)(=O)N[C@@H](C)C(C)C)OC1=CC=CC=C1.O=C=O.O=C=O NVZLGXINPMTOPF-FSFHZUQRSA-N 0.000 description 1
- PSXLCTPHDAEPLK-UHFFFAOYSA-N CC(C)[Mg] Chemical compound CC(C)[Mg] PSXLCTPHDAEPLK-UHFFFAOYSA-N 0.000 description 1
- IIOOYHGKHJBXIB-UASIUNFESA-N CC1=CC=C(CO[C@@H]2[C@@H](CO)O[C@@H](N3C=CC(=O)NC3=O)[C@]2(C)F)C=C1.CC[C@H]1O[C@@H](N2C=CC(=O)NC2=O)[C@](C)(F)C1OCC1=CC=C(C)C=C1 Chemical compound CC1=CC=C(CO[C@@H]2[C@@H](CO)O[C@@H](N3C=CC(=O)NC3=O)[C@]2(C)F)C=C1.CC[C@H]1O[C@@H](N2C=CC(=O)NC2=O)[C@](C)(F)C1OCC1=CC=C(C)C=C1 IIOOYHGKHJBXIB-UASIUNFESA-N 0.000 description 1
- JEOGXXPAZVMKSK-PTSDFELXSA-N CC[C@H]1O[C@@H](N2C=CC(=O)N(CC3=CC=CC=C3)C2=O)[C@](C)(F)[C@@H]1C.CC[C@H]1O[C@@H](N2C=CC(=O)NC2=O)[C@](C)(F)[C@@H]1O Chemical compound CC[C@H]1O[C@@H](N2C=CC(=O)N(CC3=CC=CC=C3)C2=O)[C@](C)(F)[C@@H]1C.CC[C@H]1O[C@@H](N2C=CC(=O)NC2=O)[C@](C)(F)[C@@H]1O JEOGXXPAZVMKSK-PTSDFELXSA-N 0.000 description 1
- QXVKHTFIYOZAAA-IYVAKBGYSA-N CC[C@H]1O[C@@H](N2C=CC(=O)N(CC3=CC=CC=C3)C2=O)[C@](C)(F)[C@@H]1C.C[C@@H]1[C@@H](CO)O[C@@H](N2C=CC(=O)N(CC3=CC=CC=C3)C2=O)[C@]1(C)F Chemical compound CC[C@H]1O[C@@H](N2C=CC(=O)N(CC3=CC=CC=C3)C2=O)[C@](C)(F)[C@@H]1C.C[C@@H]1[C@@H](CO)O[C@@H](N2C=CC(=O)N(CC3=CC=CC=C3)C2=O)[C@]1(C)F QXVKHTFIYOZAAA-IYVAKBGYSA-N 0.000 description 1
- WRUKXQSXXBIFHV-SWENUIHBSA-N CC[C@H]1O[C@@H](N2C=CC(=O)NC2=O)[C@](C)(F)[C@@H]1C.CC[C@H]1O[C@@H](N2C=CC(=O)NC2=O)[C@](C)(F)[C@@H]1O Chemical compound CC[C@H]1O[C@@H](N2C=CC(=O)NC2=O)[C@](C)(F)[C@@H]1C.CC[C@H]1O[C@@H](N2C=CC(=O)NC2=O)[C@](C)(F)[C@@H]1O WRUKXQSXXBIFHV-SWENUIHBSA-N 0.000 description 1
- ICFOGKMBFYZHSP-YWJQAADFSA-N CC[C@H]1O[C@@H](N2C=CC(=O)NC2=O)[C@](C)(F)[C@@H]1C.C[C@@H]1[C@@H](CO)O[C@@H](N2C=CC(=O)NC2=O)[C@]1(C)F Chemical compound CC[C@H]1O[C@@H](N2C=CC(=O)NC2=O)[C@](C)(F)[C@@H]1C.C[C@@H]1[C@@H](CO)O[C@@H](N2C=CC(=O)NC2=O)[C@]1(C)F ICFOGKMBFYZHSP-YWJQAADFSA-N 0.000 description 1
- XBCMMOCNDDOUBM-OGJPVWRGSA-N CC[C@H]1O[C@@H](N2C=CC(=O)NC2=O)[C@](C)(F)[C@@H]1O.CC[C@H]1O[C@@H](N2C=CC(=O)NC2=O)[C@](C)(F)[C@@H]1OCC1=CC=C(C)C=C1 Chemical compound CC[C@H]1O[C@@H](N2C=CC(=O)NC2=O)[C@](C)(F)[C@@H]1O.CC[C@H]1O[C@@H](N2C=CC(=O)NC2=O)[C@](C)(F)[C@@H]1OCC1=CC=C(C)C=C1 XBCMMOCNDDOUBM-OGJPVWRGSA-N 0.000 description 1
- ARKKGZQTGXJVKW-VPCXQMTMSA-N C[C@@]1([C@H](N(C=CC(N2)=O)C2=O)O[C@H](CO)[C@H]1O)F Chemical compound C[C@@]1([C@H](N(C=CC(N2)=O)C2=O)O[C@H](CO)[C@H]1O)F ARKKGZQTGXJVKW-VPCXQMTMSA-N 0.000 description 1
- KXDHJXZQYSOELW-UHFFFAOYSA-M Carbamate Chemical group NC([O-])=O KXDHJXZQYSOELW-UHFFFAOYSA-M 0.000 description 1
- 102000004163 DNA-directed RNA polymerases Human genes 0.000 description 1
- 108090000626 DNA-directed RNA polymerases Proteins 0.000 description 1
- 241000710781 Flaviviridae Species 0.000 description 1
- 230000005526 G1 to G0 transition Effects 0.000 description 1
- AFVFQIVMOAPDHO-UHFFFAOYSA-N Methanesulfonic acid Chemical compound CS(O)(=O)=O AFVFQIVMOAPDHO-UHFFFAOYSA-N 0.000 description 1
- FXHOOIRPVKKKFG-UHFFFAOYSA-N N,N-Dimethylacetamide Chemical compound CN(C)C(C)=O FXHOOIRPVKKKFG-UHFFFAOYSA-N 0.000 description 1
- SECXISVLQFMRJM-UHFFFAOYSA-N N-Methylpyrrolidone Chemical compound CN1CCCC1=O SECXISVLQFMRJM-UHFFFAOYSA-N 0.000 description 1
- 102000035195 Peptidases Human genes 0.000 description 1
- 108091005804 Peptidases Proteins 0.000 description 1
- XBDQKXXYIPTUBI-UHFFFAOYSA-N Propionic acid Chemical compound CCC(O)=O XBDQKXXYIPTUBI-UHFFFAOYSA-N 0.000 description 1
- 239000004365 Protease Substances 0.000 description 1
- 108010003533 Viral Envelope Proteins Proteins 0.000 description 1
- 108010067390 Viral Proteins Proteins 0.000 description 1
- 241000700605 Viruses Species 0.000 description 1
- 229910052769 Ytterbium Inorganic materials 0.000 description 1
- IPBVNPXQWQGGJP-UHFFFAOYSA-N acetic acid phenyl ester Natural products CC(=O)OC1=CC=CC=C1 IPBVNPXQWQGGJP-UHFFFAOYSA-N 0.000 description 1
- DRFCSTAUJQILHC-UHFFFAOYSA-N acetic acid;benzoic acid Chemical compound CC(O)=O.OC(=O)C1=CC=CC=C1 DRFCSTAUJQILHC-UHFFFAOYSA-N 0.000 description 1
- 239000003513 alkali Substances 0.000 description 1
- 150000003973 alkyl amines Chemical class 0.000 description 1
- 238000005804 alkylation reaction Methods 0.000 description 1
- BHELZAPQIKSEDF-UHFFFAOYSA-N allyl bromide Chemical compound BrCC=C BHELZAPQIKSEDF-UHFFFAOYSA-N 0.000 description 1
- 150000001408 amides Chemical class 0.000 description 1
- 150000001413 amino acids Chemical class 0.000 description 1
- 125000003277 amino group Chemical group 0.000 description 1
- 229910021529 ammonia Inorganic materials 0.000 description 1
- 238000004458 analytical method Methods 0.000 description 1
- QVGXLLKOCUKJST-UHFFFAOYSA-N atomic oxygen Chemical compound [O] QVGXLLKOCUKJST-UHFFFAOYSA-N 0.000 description 1
- PASDCCFISLVPSO-UHFFFAOYSA-N benzoyl chloride Chemical compound ClC(=O)C1=CC=CC=C1 PASDCCFISLVPSO-UHFFFAOYSA-N 0.000 description 1
- LCIVPXJHCLGZFL-SCFUHWHPSA-N benzyl [(2r,3r,4r,5r)-5-(2,4-dioxopyrimidin-1-yl)-4-fluoro-2-(hydroxymethyl)-4-methyloxolan-3-yl] carbonate Chemical compound O([C@H]1[C@]([C@@H](O[C@@H]1CO)N1C(NC(=O)C=C1)=O)(F)C)C(=O)OCC1=CC=CC=C1 LCIVPXJHCLGZFL-SCFUHWHPSA-N 0.000 description 1
- 238000009835 boiling Methods 0.000 description 1
- 210000000234 capsid Anatomy 0.000 description 1
- 150000001720 carbohydrates Chemical class 0.000 description 1
- 230000001413 cellular effect Effects 0.000 description 1
- 239000007806 chemical reaction intermediate Substances 0.000 description 1
- 238000011097 chromatography purification Methods 0.000 description 1
- 238000001816 cooling Methods 0.000 description 1
- MHDVGSVTJDSBDK-UHFFFAOYSA-N dibenzyl ether Chemical group C=1C=CC=CC=1COCC1=CC=CC=C1 MHDVGSVTJDSBDK-UHFFFAOYSA-N 0.000 description 1
- 229940113088 dimethylacetamide Drugs 0.000 description 1
- IDGUHHHQCWSQLU-UHFFFAOYSA-N ethanol;hydrate Chemical compound O.CCO IDGUHHHQCWSQLU-UHFFFAOYSA-N 0.000 description 1
- HHFAWKCIHAUFRX-UHFFFAOYSA-N ethoxide Chemical compound CC[O-] HHFAWKCIHAUFRX-UHFFFAOYSA-N 0.000 description 1
- 238000001704 evaporation Methods 0.000 description 1
- 239000000706 filtrate Substances 0.000 description 1
- 238000001914 filtration Methods 0.000 description 1
- BHEPBYXIRTUNPN-UHFFFAOYSA-N hydridophosphorus(.) (triplet) Chemical compound [PH] BHEPBYXIRTUNPN-UHFFFAOYSA-N 0.000 description 1
- 239000000543 intermediate Substances 0.000 description 1
- 229910052742 iron Inorganic materials 0.000 description 1
- 238000002955 isolation Methods 0.000 description 1
- 229910052746 lanthanum Inorganic materials 0.000 description 1
- FZLIPJUXYLNCLC-UHFFFAOYSA-N lanthanum atom Chemical compound [La] FZLIPJUXYLNCLC-UHFFFAOYSA-N 0.000 description 1
- 150000002632 lipids Chemical class 0.000 description 1
- 229910000103 lithium hydride Inorganic materials 0.000 description 1
- VVNXEADCOVSAER-UHFFFAOYSA-N lithium sodium Chemical compound [Li].[Na] VVNXEADCOVSAER-UHFFFAOYSA-N 0.000 description 1
- UBJFKNSINUCEAL-UHFFFAOYSA-N lithium;2-methylpropane Chemical compound [Li+].C[C-](C)C UBJFKNSINUCEAL-UHFFFAOYSA-N 0.000 description 1
- WGOPGODQLGJZGL-UHFFFAOYSA-N lithium;butane Chemical compound [Li+].CC[CH-]C WGOPGODQLGJZGL-UHFFFAOYSA-N 0.000 description 1
- 229910001629 magnesium chloride Inorganic materials 0.000 description 1
- CQRPUKWAZPZXTO-UHFFFAOYSA-M magnesium;2-methylpropane;chloride Chemical compound [Mg+2].[Cl-].C[C-](C)C CQRPUKWAZPZXTO-UHFFFAOYSA-M 0.000 description 1
- XDBOBNVQEBSKFO-UHFFFAOYSA-N magnesium;di(propan-2-yl)azanide Chemical compound CC(C)N(C(C)C)[Mg]N(C(C)C)C(C)C XDBOBNVQEBSKFO-UHFFFAOYSA-N 0.000 description 1
- 210000004779 membrane envelope Anatomy 0.000 description 1
- 239000002207 metabolite Substances 0.000 description 1
- NBTOZLQBSIZIKS-UHFFFAOYSA-N methoxide Chemical compound [O-]C NBTOZLQBSIZIKS-UHFFFAOYSA-N 0.000 description 1
- YKYONYBAUNKHLG-UHFFFAOYSA-N n-Propyl acetate Natural products CCCOC(C)=O YKYONYBAUNKHLG-UHFFFAOYSA-N 0.000 description 1
- FEMOMIGRRWSMCU-UHFFFAOYSA-N ninhydrin Chemical compound C1=CC=C2C(=O)C(O)(O)C(=O)C2=C1 FEMOMIGRRWSMCU-UHFFFAOYSA-N 0.000 description 1
- QJGQUHMNIGDVPM-UHFFFAOYSA-N nitrogen group Chemical group [N] QJGQUHMNIGDVPM-UHFFFAOYSA-N 0.000 description 1
- 239000002773 nucleotide Substances 0.000 description 1
- 125000003729 nucleotide group Chemical group 0.000 description 1
- 230000008520 organization Effects 0.000 description 1
- 239000001301 oxygen Substances 0.000 description 1
- 229910052760 oxygen Inorganic materials 0.000 description 1
- 229940049953 phenylacetate Drugs 0.000 description 1
- WLJVXDMOQOGPHL-UHFFFAOYSA-N phenylacetic acid Chemical compound OC(=O)CC1=CC=CC=C1 WLJVXDMOQOGPHL-UHFFFAOYSA-N 0.000 description 1
- FAIAAWCVCHQXDN-UHFFFAOYSA-N phosphorus trichloride Chemical compound ClP(Cl)Cl FAIAAWCVCHQXDN-UHFFFAOYSA-N 0.000 description 1
- NTTOTNSKUYCDAV-UHFFFAOYSA-N potassium hydride Chemical compound [KH] NTTOTNSKUYCDAV-UHFFFAOYSA-N 0.000 description 1
- 229910000105 potassium hydride Inorganic materials 0.000 description 1
- 125000002924 primary amino group Chemical group [H]N([H])* 0.000 description 1
- 229940002612 prodrug Drugs 0.000 description 1
- 239000000651 prodrug Substances 0.000 description 1
- MIILDBHEJQLACD-ZJPIPACBSA-N propan-2-yl (2s)-2-[[(2,3,4,5,6-pentafluorophenoxy)-phenoxyphosphoryl]amino]propanoate Chemical compound O([P@@](=O)(N[C@@H](C)C(=O)OC(C)C)OC=1C(=C(F)C(F)=C(F)C=1F)F)C1=CC=CC=C1 MIILDBHEJQLACD-ZJPIPACBSA-N 0.000 description 1
- TTZHDVOVKQGIBA-IAAJYNJHSA-N propan-2-yl (2s)-2-[[[(2r,3r,4r,5r)-5-(2,4-dioxopyrimidin-1-yl)-4-fluoro-3-hydroxy-4-methyloxolan-2-yl]methoxy-phenoxyphosphoryl]amino]propanoate Chemical compound N1([C@@H]2O[C@@H]([C@H]([C@]2(F)C)O)COP(=O)(N[C@@H](C)C(=O)OC(C)C)OC=2C=CC=CC=2)C=CC(=O)NC1=O TTZHDVOVKQGIBA-IAAJYNJHSA-N 0.000 description 1
- SKAAFTUHFLUIKV-IHBJSSOOSA-N propan-2-yl (2s)-2-[[chloro(phenoxy)phosphoryl]amino]propanoate Chemical compound CC(C)OC(=O)[C@H](C)NP(Cl)(=O)OC1=CC=CC=C1 SKAAFTUHFLUIKV-IHBJSSOOSA-N 0.000 description 1
- 238000000746 purification Methods 0.000 description 1
- 230000010076 replication Effects 0.000 description 1
- 150000003839 salts Chemical class 0.000 description 1
- 239000012047 saturated solution Substances 0.000 description 1
- 238000000926 separation method Methods 0.000 description 1
- 229910000029 sodium carbonate Inorganic materials 0.000 description 1
- HRZFUMHJMZEROT-UHFFFAOYSA-L sodium disulfite Chemical compound [Na+].[Na+].[O-]S(=O)S([O-])(=O)=O HRZFUMHJMZEROT-UHFFFAOYSA-L 0.000 description 1
- 229940001584 sodium metabisulfite Drugs 0.000 description 1
- 235000010262 sodium metabisulphite Nutrition 0.000 description 1
- 235000010265 sodium sulphite Nutrition 0.000 description 1
- 239000011877 solvent mixture Substances 0.000 description 1
- 230000009897 systematic effect Effects 0.000 description 1
- 125000000999 tert-butyl group Chemical group [H]C([H])([H])C(*)(C([H])([H])[H])C([H])([H])[H] 0.000 description 1
- DVFXLNFDWATPMW-IWOKLKJTSA-N tert-butyldiphenylsilyl Chemical compound O=C1NC(=O)C(C)=CN1[C@@H]1O[C@H](CO[Si](C=2C=CC=CC=2)(C=2C=CC=CC=2)C(C)(C)C)[C@@H](OP(O)(=O)OC[C@@H]2[C@H](C[C@@H](O2)N2C3=C(C(NC(N)=N3)=O)N=C2)OP(O)(=O)OC[C@@H]2[C@H](C[C@@H](O2)N2C3=C(C(NC(N)=N3)=O)N=C2)OP(O)(=O)OC[C@@H]2[C@H](C[C@@H](O2)N2C3=C(C(NC(N)=N3)=O)N=C2)OP(O)(=O)OC[C@@H]2[C@H](CC(O2)N2C3=NC=NC(N)=C3N=C2)OP(O)(=O)OC[C@@H]2[C@H](C[C@@H](O2)N2C3=C(C(NC(N)=N3)=O)N=C2)O)C1 DVFXLNFDWATPMW-IWOKLKJTSA-N 0.000 description 1
- 125000000037 tert-butyldiphenylsilyl group Chemical group [H]C1=C([H])C([H])=C([H])C([H])=C1[Si]([H])([*]C(C([H])([H])[H])(C([H])([H])[H])C([H])([H])[H])C1=C([H])C([H])=C([H])C([H])=C1[H] 0.000 description 1
- 125000004192 tetrahydrofuran-2-yl group Chemical group [H]C1([H])OC([H])(*)C([H])([H])C1([H])[H] 0.000 description 1
- JOXIMZWYDAKGHI-UHFFFAOYSA-N toluene-4-sulfonic acid Chemical compound CC1=CC=C(S(O)(=O)=O)C=C1 JOXIMZWYDAKGHI-UHFFFAOYSA-N 0.000 description 1
- 230000001131 transforming effect Effects 0.000 description 1
- ILWRPSCZWQJDMK-UHFFFAOYSA-N triethylazanium;chloride Chemical compound Cl.CCN(CC)CC ILWRPSCZWQJDMK-UHFFFAOYSA-N 0.000 description 1
- 125000000026 trimethylsilyl group Chemical group [H]C([H])([H])[Si]([*])(C([H])([H])[H])C([H])([H])[H] 0.000 description 1
- NAWDYIZEMPQZHO-UHFFFAOYSA-N ytterbium Chemical compound [Yb] NAWDYIZEMPQZHO-UHFFFAOYSA-N 0.000 description 1
Classifications
-
- C—CHEMISTRY; METALLURGY
- C07—ORGANIC CHEMISTRY
- C07H—SUGARS; DERIVATIVES THEREOF; NUCLEOSIDES; NUCLEOTIDES; NUCLEIC ACIDS
- C07H19/00—Compounds containing a hetero ring sharing one ring hetero atom with a saccharide radical; Nucleosides; Mononucleotides; Anhydro-derivatives thereof
- C07H19/02—Compounds containing a hetero ring sharing one ring hetero atom with a saccharide radical; Nucleosides; Mononucleotides; Anhydro-derivatives thereof sharing nitrogen
- C07H19/04—Heterocyclic radicals containing only nitrogen atoms as ring hetero atom
- C07H19/06—Pyrimidine radicals
- C07H19/10—Pyrimidine radicals with the saccharide radical esterified by phosphoric or polyphosphoric acids
-
- C—CHEMISTRY; METALLURGY
- C07—ORGANIC CHEMISTRY
- C07H—SUGARS; DERIVATIVES THEREOF; NUCLEOSIDES; NUCLEOTIDES; NUCLEIC ACIDS
- C07H1/00—Processes for the preparation of sugar derivatives
-
- C—CHEMISTRY; METALLURGY
- C07—ORGANIC CHEMISTRY
- C07H—SUGARS; DERIVATIVES THEREOF; NUCLEOSIDES; NUCLEOTIDES; NUCLEIC ACIDS
- C07H1/00—Processes for the preparation of sugar derivatives
- C07H1/02—Phosphorylation
-
- C—CHEMISTRY; METALLURGY
- C07—ORGANIC CHEMISTRY
- C07H—SUGARS; DERIVATIVES THEREOF; NUCLEOSIDES; NUCLEOTIDES; NUCLEIC ACIDS
- C07H19/00—Compounds containing a hetero ring sharing one ring hetero atom with a saccharide radical; Nucleosides; Mononucleotides; Anhydro-derivatives thereof
- C07H19/02—Compounds containing a hetero ring sharing one ring hetero atom with a saccharide radical; Nucleosides; Mononucleotides; Anhydro-derivatives thereof sharing nitrogen
- C07H19/04—Heterocyclic radicals containing only nitrogen atoms as ring hetero atom
- C07H19/06—Pyrimidine radicals
Definitions
- the present invention relates to an industrially applicable and advantageous process for the preparation of phosphoramidates useful for the treatment of viral infections, or of intermediates useful for the preparation thereof.
- Hepatitis C virus is a member of the family Flaviviridae. It is a virus provided with a viral envelope having a mainly lipid composition and a icosahedral capsid containing a single-stranded RNA molecule about 9,600 nucleotide base long encoding a single polyprotein containing 3,000 amino acids. In the polyprotein, which is processed by viral and cellular proteases, at least 10 distinct viral proteins can be identified which are critical for the replication and assembly of the viral progeny.
- hepatitis C-infected people in the world are about 200 millions, with an annual increase of about 3 or 4 millions.
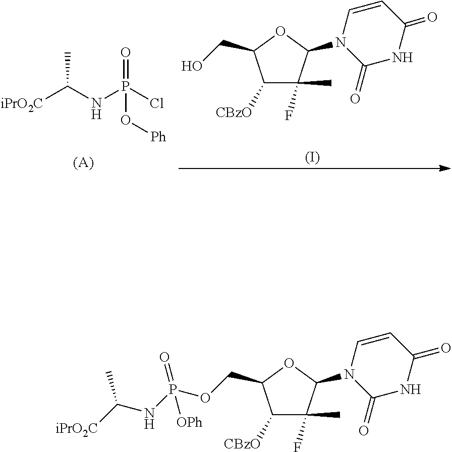
- Sofosbuvir and other similar compounds were first described in the international patent application WO 20081121634 A2.
- This application describes a process comprising a phosphorylation of nucleoside (B) with phosphorus chloride (A) in the presence of N-methylimidazole followed by preparative chromatographic purification to give Sofosbuvir as a mixture of phosphorus diastereoisomers, according to the following scheme:
- the second approach involves the conversion of (A) into the diastereoisomeric mixture of phosphoramidates (L).
- the desired diastereomer (H) is isolated by fractional crystallization and then condensed with a protected nucleoside (F) to give a protected form of Sofosbuvir (G) which is converted into the latter by treatment with sodium sulfite and sodium metabisulfite.
- the object of the present invention is to provide a method for the synthesis of Sofosbuvir, which is carried out with high yields, in a small number of synthesis steps and which provides the desired products with suitable purity for pharmaceutical use.
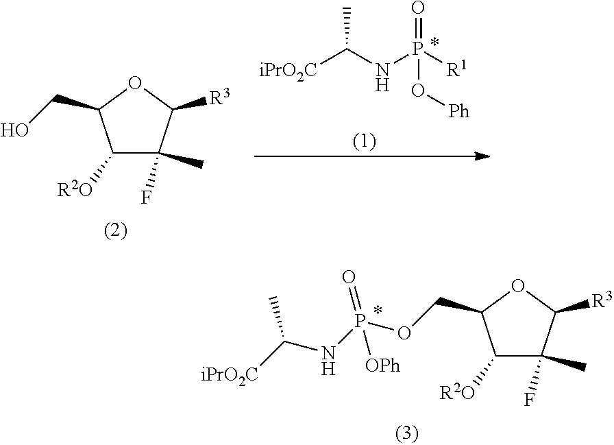
- said process comprising the following synthesis steps: a) phosphorylating the nucleoside (2) with a phosphoramidate (1) in the presence of an organolithium reagent, an organomagnesium reagent or a mixture thereof, or of a sodium, lithium, potassium or magnesium amide at a temperature of between ⁇ 60 and 0° C. in a solvent or a mixture of ethereal solvents:
- R 1 is chlorine, bromine, a sulfonate of formula —OSO2R 8 or camphorsulfonate;
- R 2 is an alcohol protecting group selected from carbonates or ethers;
- R 3 is or N
- R 4 is hydrogen or an amine protecting group
- R 5 is hydrogen or an amine protecting group
- R 8 is C1-C4 alkyl, aryl or aryl substituted with a C1-C4 alkyl, a halogen or a nitro group
- the diastereomerically enriched forms of nucleoside phosphoramidates (4) can be transformed, in an additional and optional step c), in diastereomerically purified mixtures of said phosphoramidates by crystallization from an alkylacetate, from a chlorinated solvent or a mixture thereof with acetonitrile or with an aliphatic hydrocarbon.
- Useful alcohol protecting groups are selected from carbonates and ethers and comprise, for example, tert-butoxycarbonyl-(Boc), benzyloxycarbonyl-(Cbz), benzyl, para-methoxybenzyl, allyl, tetrahydropyranyl (THP), 1-ethoxyethyl, methoxymethyl, para-methoxybenzyloxymethyl.
- Amine protecting groups useful to the invention are, for example, tert-butoxycarbonyl-(Boc), benzyloxycarbonyl-(Cbz), benzyl, para-methoxybenzyl, 2,4-dimethoxybenzyl or 2-hydroxybenzyl.
- the present invention relates to a process for the preparation of a diastereomerically purified mixture of the nucleoside phosphoramidate (4) comprising the following synthesis steps:
- R 9 is an aryloxide substituted with at least one electron attractor group; e) phosphorylating a nucleoside (6) with the diastereomerically purified form of the phosphoramidate (5) in the presence of an organomagnesium reagent and of an alkaline halide, a zinc halide, a copper halide or a mixture thereof:
- R 3 can take any of the above meanings; and R 6 is hydrogen or an alcohol protecting group selected from carbonates or ethers; f) if R 8 is an alcohol protecting group and/or R 3 is a protected form of uracil or 4-aminouracil (i.e. R 4 and R 5 are other than hydrogen), converting the compound of general formula (7) into the diastereomerically purified mixture of the nucleoside phosphoramidate (4).
- the compounds prepared by the processes of the present invention have one or more stereocenters, and may exist, be used or be isolated in diastereoisomerically pure forms or as diastereomeric enriched mixtures. It should be understood that the processes of the present invention may yield diastereoisomerically pure forms or diastereomeric enriched mixtures. It should also be understood that the products of the present invention may be isolated as diastereoisomerically pure forms or as diastereomeric enriched mixtures.
- a diastereomeric mixture may contain the two diastereoisomers in any mutual ratio.
- diastereomerically enriched means that one of the diastereoisomers is present in excess of the other diastereoisomer.
- diastereomerically purified refers to a compound whose diastereoisomeric purity is at least 95%, preferably at least 99%.
- the first step of the process object of the first aspect of the invention, a), consists in the preparation of a nucleoside phosphoramidate (3) by reaction between a nucleoside (2) (wherein the substituents take the meanings given above) and a phosphoramidate (1) (wherein R 1′ is chlorine, bromine, a camphorsulfonate or a sulfonate of formula —OSO 2 R 8 , wherein R 8 takes one of the meanings given above, for example mesylate (—OSO 2 Me) or tosylate (pMePhSO 2 O—)) in the presence of an organolithium reagent, an organomagnesium reagent or a mixture thereof, or of a sodium, lithium, potassium or magnesium amide at a temperature of between ⁇ 60 and 0° C. in an ethereal solvent or mixture of solvents:
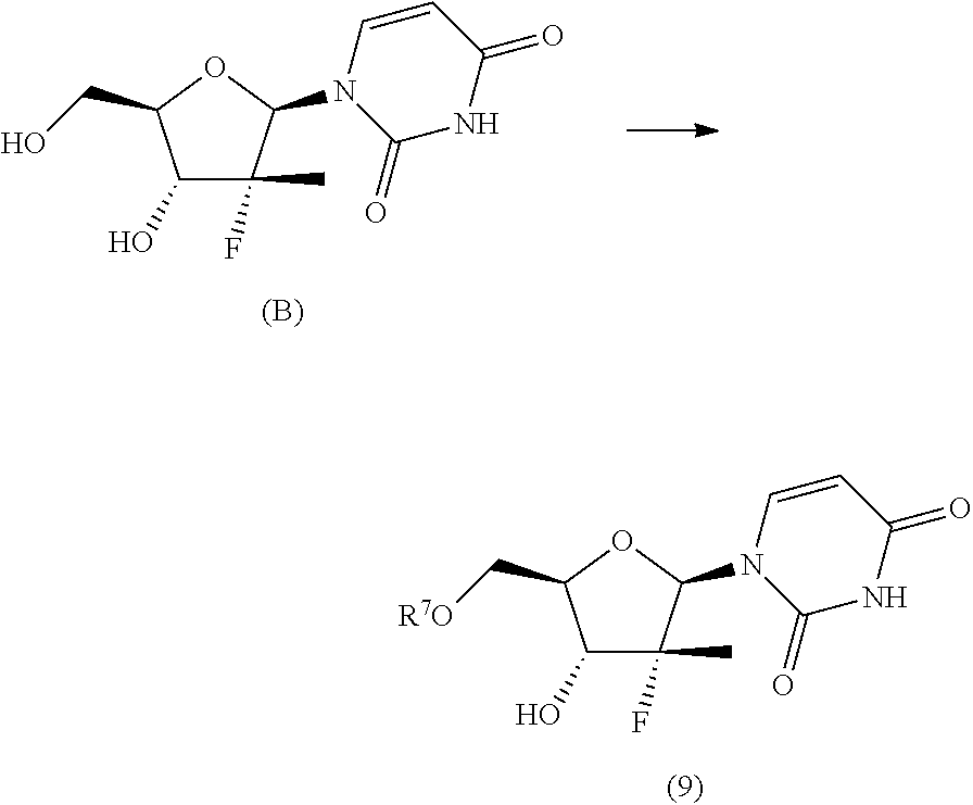
- the nucleoside (2), wherein R 2 is a carbonate may be prepared as described in Tetrahedron (2011), 67, 5487-5493.
- the nucleoside (2), wherein R 2 is an ether, such as allyl or benzyl, may be prepared as described in Carbohydrate Research (2008), 343, 1490-1495.
- nucleosides of formula (2′) or (2′′), nucleosides of formula (2) wherein R 2 is benzyl, para-methoxybenzyl or allyl, R 3 is uracil and R 4 is hydrogen, benzyl, para-methoxybenzyl or allyl, may be prepared in an operation j) of the process of the invention, according to two synthesis schemes defined as j.i) and j.ii), respectively.
- the synthesis scheme j.i) for the preparation of nucleoside (2′) comprises the following synthesis steps:
- R 7 is a protecting group of alcohols orthogonally removable with respect to a benzyl, a para-methoxybenzyl or an allyl, such as a silyl ether or an ester; j.i.2) selectively protecting the hydroxyl in position 3′ of the protected nucleoside (9) to obtain the compound of formula (10):
- R 10 is a benzyl, a para-methoxybenzyl or an allyl, j.i.3) removing the protecting group present on the primary hydroxyl in position 5′ to obtain a nucleoside of formula (2′):
- Step j.i.1) comprises the protection of the hydroxyl group in position 5′ of nucleoside (B) with a protecting group orthogonally removable with respect to a benzyl, para-methoxybenzyl or allyl ether, such as an ester (preferably benzoate acetate or phenylacetate) or a silyl ether (preferably (trimethylsilyl (TMS), triisopropylsilyl (TIPS), tert-butyldimethylsilyl (TBDMS) or tert-butyldiphenylsilyl (TBDPS)).
- TMS trimethylsilyl
- TIPS triisopropylsilyl
- TDMS tert-butyldimethylsilyl
- TDPS tert-butyldiphenylsilyl
- Step j.i.2) involves selectively protecting the hydroxyl in position 3′ of the protected nucleoside (9) to obtain the compound of formula (10).
- the selective oxygen alkylation reaction is conducted by transforming the protected nucleoside (9) in a reactive form thereof by treatment with a strong base, such as a sodium lithium or potassium alkoxide (preferably methoxide, ethoxide or tert-butoxide); a sodium, lithium or potassium hydride; an amide (preferably sodium, lithium or potassium bis(trimethylsilyl)amides (NaHMDS, LiHMDS or KHMDS) or lithium diisopropylarnide (LDA)) at a temperature of between ⁇ 30 and 25° C., preferably of between ⁇ 20 and ⁇ 10° C., in an ether (preferably tetrahydrofuran), then adding a benzyl, para-methoxybenzyl or allyl halide (preferably a bromide) at a temperature of between ⁇ 30 and 25° C., preferably of between ⁇ 20 and ⁇ 10° C.
- a strong base such as a sodium lithium or potassium alkoxide (preferably me
- the strong base is used in over-stoichiometric amount with respect to the amount of protected nucleoside (9) used; amounts of NaH useful for the purposes of the invention are in the range between 2 and 5 equivalents, preferably in the range between 3 and 4 equivalents.
- the benzyl, para-methoxybenzyl or allyl halide is used in a variable amount of between 1 and 2 equivalents with respect to the amount of protected nucleoside (9) used.
- the amount of strong base used and the method of adding the benzyl, para-methoxybenzyl or allyl halide cause a greater or lower selectivity towards the formation of the compound of formula (10) than the compound of formula (11) described hereinafter.
- the strong base is added in subsequent portions.
- Step j.i.3) comprises deprotecting the hydroxyl group in position 5′ to obtain the nucleoside of formula (2′).
- This step can be performed according to one of the procedures described in Theodora W. Green, Protective Groups in Organic Synthesis , John Wiley & Sons (1999).
- R 7 is a silyl ether or an ester
- said removal conditions described in the same text on page 113-147 and on page 149-178, respectively, are incorporated in the present application by reference.
- the synthesis scheme j.ii) for the preparation of nucleoside (2′′) comprises the following synthesis steps:
- R 7 is a protecting group of alcohols orthogonally removable with respect to a benzyl, such as a silyl ether or an ester; j.ii.2) converting the protected nucleoside (9) into the compound of formula (11):
- R 10 is a benzyl, a para-methoxybenzyl or an allyl
- R 11 is a benzyl, a para-methoxybenzyl or an allyl, j.ii.3) removing the protecting group present on the primary hydroxyl in position 5′ to obtain a nucleoside of formula (2′′):
- Step j.ii.1) comprises the protection of the hydroxyl group in position 5′ of nucleoside (B) with an alcohol protecting group orthogonally removable with respect to a benzyl, such as a silyl ether or an ester. Said operation may be carried out using for example one of the methods described above to perform step j.i.1).
- Step j.ii.2) involves the (concurrent or sequential) protection of the hydroxyl in position 5′ and of the uracil NH of the protected nucleoside (9) to obtain the compound of formula (11).
- This step can be performed using one of the methods generally known in the art, such as one of the procedures described in Theodora W.
- this operation is carried out by treating the protected nucleoside (9) with a strong base, such as one of those specified above to perform step j.i.2) and then a benzyl, para-methoxybenzyl or allyl halide (preferably bromide) in dimethylformamide, N-methylpyrrolidone, dimethyl acetamide or an ether, such as tetrahydrofuran.
- a strong base such as one of those specified above to perform step j.i.2
- a benzyl, para-methoxybenzyl or allyl halide preferably bromide
- the strong base is used in over-stoichiometric amount with respect to the amount of protected nucleoside (9) used; amounts of NaH useful for the purposes of the invention are in the range between 2 and 5 equivalents, preferably in the range between 3 and 4 equivalents.
- the benzyl, para-methoxybenzyl or allyl halide is used in a variable amount of between 1 and 4 equivalents with respect to the amount of protected nucleoside (9) used, preferably in amounts of between 2 and 3 equivalents.
- Step j.ii.3) which comprises deprotecting the primary hydroxyl group in position 5′ in the compound of formula (11) to obtain the nucleoside of formula (2′′), can be performed by using one of the procedures that are generally known in the art, such as one of those described above to perform step j.i.3).
- the phosphorylation of nucleoside (2), object of step a) of the process relating to the first aspect of the invention involves treatment with a phosphoramidate (1), optionally solubilized in an ether (preferably methyl tert-butyl ether) and with an organolithium reagent, an organomagnesium reagent or a mixture thereof, preferably an organomagnesium reagent, or a sodium, lithium or potassium or magnesium amide at a temperature of between ⁇ 60 and 0° C., for example between ⁇ 40 and ⁇ 20° C., in an ether, preferably tetrahydrofuran.
- an organolithium reagent preferably an organomagnesium reagent or a mixture thereof, preferably an organomagnesium reagent, or a sodium, lithium or potassium or magnesium amide
- Organolithium reagents useful for this purpose are for example sec-butyllithium or tert-butyllithium; organomagnesium reagents are for example a tert-butyl halide or iso-propylmagnesium, preferably tert-butyl or iso-propylmagnesium chloride; lithium, sodium, potassium or magnesium amides are for example sodium hexamethyldisilazide (NaHMDS), lithium (LiHMDS) or potassium (KHMDS), lithium diisopropylamide (LDA) or magnesium bis(diisopropylamide) (MDA).
- NaHMDS sodium hexamethyldisilazide
- LiHMDS lithium
- KHMDS potassium
- LDA lithium diisopropylamide
- MDA magnesium bis(diisopropylamide)
- nucleoside treatment (2) is conducted with an organomagnesium reagent, it is preferably to operate in the presence of an alkali halide (preferably a chloride), for example a lithium, sodium, potassium or cesium chloride, or of a zinc or copper halide.
- an alkali halide preferably a chloride
- a lithium, sodium, potassium or cesium chloride for example a lithium, sodium, potassium or cesium chloride, or of a zinc or copper halide.
- the amount of phosphoramidate (1) used in the phosphorylation reaction ranges between 1 and 4 equivalents with respect to the amount of nucleoside (2) used, preferably between 2 and 3 equivalents.
- the amount of organolithium reagent, organomagnesium reagent or of the mixture thereof used in the phosphorylation reaction ranges between 1 and 4 equivalents with respect to the amount of nucleoside (2) used, preferably between 2 and 3 equivalents.
- the amount of lithium, sodium, potassium or magnesium amide used in the phosphorylation reaction ranges between 1 and 3 equivalents with respect to the amount of nucleoside (2) used, preferably 2 equivalents.
- the alkaline, zinc or copper halide is used in an amount ranging between 0.5 and 2 equivalents with respect to the amount of organomagnesium used, preferably 1 equivalent.
- the phosphorylation reaction object of step a) is conducted in a mixture of ethers, for example consisting of tetrahydrofuran and methyl tert-butyl ether.
- the second operation, b), of the process of the invention can be carried out according to two alternative synthesis schemes, shown below as b.i), b.ii).
- the synthesis scheme b.i) can be performed when R 3 is uracil, R 2 is an alcohol protecting group selected from carbonates or ethers and R 4 is hydrogen, or one of the amine protecting groups specified above, and involves the (concurrent or sequential) deprotection of the hydroxyl group in position 3′ and, if R is other than hydrogen, of the uracil nitrogen.
- R 2 is a carbonate and/or R 4 is a carbamate
- the removing conditions are those generally known to the man skilled in the art, such as one of those described in Theodora W.
- R 2 is an ether, preferably benzyl, and/or R 4 is a group selected from benzyl, para-methoxybenzyl, 2,4-dimethoxybenzyl or 2-hydroxybenzyl
- removing conditions compatible with the invention include for example one of those described in Theodora W.
- step b.i) is conducted by hydrogenolysis.
- the synthesis scheme b.ii) can be performed when R 3 is 4-aminouracil, R 2 is an alcohol protecting group selected from carbonates or ethers and R 5 is hydrogen or one of the amine protecting groups specified above, and involves the deprotection of the hydroxyl group in position 3′, the conversion of the 4-aminouracil group in uracil and, if R 5 is other than hydrogen, the deprotection of said nitrogen.
- the sequence by which said steps (optionally conducted by isolating the reaction intermediates) may be carried out can be easily determined by a man skilled in the art and preferably takes place according to the following steps:
- Step b.ii.1) involves the conversion of the compound of general formula (3) in the compound of formula (12) by (concurrent or sequential) deprotection of the hydroxyl group in position 3′ and/or, if R 5 is other than hydrogen, of the amino group of the nitrogenous base. This step can be performed according to one of the techniques known to the man skilled in the art as described above to perform step b.i).
- the next step b.ii.2) involves the conversion of the compound of formula (12) into the diastereomerically enriched mixture of the nucleoside phosphoramidate (4), for example by applying the procedure described in the international patent application WO 2008/121634 A2 to convert the compound of formula (B′) into nucleoside (B), i.e. treatment with benzoyl chloride, acetic acid and finally ammonia in methanol:
- the diastereomerically enriched mixtures of phosphoramidate (4) which can be obtained by the process object of the first aspect of the invention can be transformed, in an additional and optional step c), in diastereomerically purified mixtures of said phosphoramidates by crystallization from an alkylacetate, preferably n-butyl acetate, from a chlorinated solvent, preferably dichloromethane, optionally in a mixture with acetonitrile or with an aliphatic hydrocarbon, preferably heptane.
- Phosphoramidates of formula (1) can be prepared according to methods known in the art.
- the phosphochloride (A), a phosphoramidate of formula (1), wherein R 1 is chlorine, can be prepared in an operation g) according to a process comprising the following synthesis steps:
- Step g.1 which involves the preparation of the (L)-alanine isopropyl ester hydrochloride (Q) starting from (L)-alanine, can be performed according to one of the techniques known to a man skilled in the art for the preparation of an amino acid isopropyl ester, for example by treatment with a saturated solution of hydrogen chloride in isopropanol.
- the next step g.2) involves the conversion of the (L)-alanine isopropyl ester hydrochloride (Q), optionally isolated, into phosphochloride (A) by treatment with phenyl dichlorophosphate in an amount ranging between 0.9 and 1.1 equivalents with respect to the amount of hydrochloride (Q) used, preferably 1 equivalent.
- an organic base for example a tertiary amine such as triethylamine, N,N-diisopropylethylamine, N,N-diisopropylmethylamine, N-methylmorpholine or N,N-dicyclohexylmethylamine in an ether, for example methyl tert-butyl ether at a temperature normally in the range between ⁇ 80 and ⁇ 40° C., preferably between ⁇ 65 and ⁇ 55° C.
- the phosphochloride solution (A) produced in step g.2) is used in the next step a) after removing (for example by filtration) the hydrochloride of the organic base used.
- the amount of organic base useful to the purpose is normally between 2 and 3 equivalents with respect to the amount of hydrochloride (Q) used, preferably 2.5 equivalents.
- the present invention relates to a process for the preparation of a diastereomerically purified mixture of nucleoside phosphoramidates (4) comprising the following synthesis steps:
- R 9 is an aryloxide substituted with at least one electron-withdrawing group; e) phosphorylating the nucleoside (6) with the diastereomerically purified form of the phosphoramidate (5) in the presence of an organomagnesium reagent and of an alkaline halide, a zinc halide, a copper halide or a mixture thereof:
- R 3 can take any of the above meanings; and R 6 is hydrogen or an alcohol protecting group selected from carbonates or ethers; f) if R 4 and R 6 are other than hydrogen and R 3 is 4-aminouracil or a protected form thereof, converting the compound of general formula (7) into the diastereomerically purified mixture of the nucleoside phosphoramidate (4).
- Step d) comprises the preparation of a diastereomerically purified form of phosphoramidate (5) (wherein R 4 is an aryloxide substituted with at least one electron-withdrawing group) according to one of the techniques known to the man skilled in the art, for example following the procedure described in the international Aryloxides substituted with at least one electron-withdrawing group useful for the purpose are, for example, selected from 2,4-dinitrophenoxide, 4-nitrophenoxide, 2-nitrophenoxide, 2-chloro-4-nitrophenoxide, 2,4-dichlorophenoxide or preferably pentafluorophenoxide.
- a diastereomerically purified form of phosphoramidate (5) may be prepared in an operation h) comprising the following synthesis steps:
- R 9 can take any of the above meanings; h.4) isolating the diastereomerically purified form of phosphoramidate (5) by fractional crystallization.
- Step h.1) may for example be performed according to one of the techniques described above to perform step g.1).
- the next step h.2) involves the conversion of the (L)-alanine isopropyl ester hydrochloride (Q), optionally isolated, into phosphochloride (A) by treatment with phenyl dichlorophosphate in an amount ranging between 0.9 and 1.1 equivalents with respect to the amount of hydrochloride (Q) used, preferably 1 equivalent and in the presence of a base.
- Step h.2) is carried out by adding an organic base, for example one of those described above to perform step g.
- the amount of organic base useful to the purpose is normally between 2 and 3 equivalents with respect to the amount of hydrochloride (Q) used, preferably 2.5 equivalents.
- the phosphochloride solution (A) produced in step h.2) is used in the next step h.3) without further purification.
- Step h.3) involves the conversion of the phosphochloride (A), optionally isolated, into the diastereomerically enriched mixture of phosphoramidate (5) by treatment with a phenol substituted with at least one electron withdrawing group, R 9 H (wherein R 9 has the meanings given above), in an amount ranging between 0.7 and 1.1 equivalents with respect to the amount of hydrochloride (Q) used in step h.2), preferably of between 0.8 and 1 equivalent.
- an organic base such as a tertiary amine such as triethylamine, N,N-diisopropylethylamine, N,N-diisopropylmethylamine, N-methylmorpholine or N,N-dicyclohexylmethylamine in an alkylacetate (for example iso-propyl acetate) or a mixture thereof with a chlorinated solvent (preferably dichloromethane) or with an ether, preferably at a temperature of between ⁇ 25 and 10° C., preferably between ⁇ 10 and 5° C.
- an organic base such as a tertiary amine such as triethylamine, N,N-diisopropylethylamine, N,N-diisopropylmethylamine, N-methylmorpholine or N,N-dicyclohexylmethylamine
- an alkylacetate for example iso-propyl acetate
- a chlorinated solvent preferably dichloromethane
- the amount of organic base useful to the purpose is normally between 0.8 and 1.1 equivalents with respect to the amount of hydrochloride (Q) used in step h.2), preferably between 0.9 and 1 equivalent.
- the final step h.4) comprises the fractional crystallization of the diastereomerically enriched form of phosphoramidate (5) to obtain the diastereomerically purified form of said phosphoramidate.
- Crystallization conditions useful for this purpose involve, for example, the use of a solvent mixture comprising an aliphatic hydrocarbon, preferably heptane or hexane, and an alkylacetate, preferably isopropyl or ethyl acetate.
- step e) the diastereomerically purified forms of phosphoramidate (5) optionally solubilized in an ether (preferably tetrahydrofuran) are treated with nucleoside (6) in the presence of an organomagnesium reagent and an alkaline halide (preferably a chloride), such as a lithium, sodium, potassium or cesium chloride, or a zinc or copper halide, to obtain a diastereomerically purified form of the nucleoside phosphoramidate (7).
- an organomagnesium reagent and an alkaline halide preferably a chloride
- an alkaline halide preferably a chloride
- Said phosphorylation reaction takes place at a temperature of between ⁇ 30 and 20° C., for example between ⁇ 20 and 0° C., preferably between ⁇ 10 and ⁇ 5° C., in an ether, preferably tetrahydrofuran.
- Organomagnesium reagents useful for this purpose are, for example, those described above to perform step a) described above.
- the amount of phosphoramidate (5) used in the phosphorylation reaction ranges between 1 and 3 equivalents with respect to the amount of nucleoside (6) used, preferably 2 equivalents.
- the amount of organomagnesium reagent in the phosphorylation reaction ranges between 1 and 3 equivalents with respect to the amount of nucleoside (6) used, preferably 2 equivalents.
- the alkaline or zinc or copper halide is used in an amount ranging between 0.5 and 2 equivalents with respect to the amount of organomagnesium used, preferably 1 equivalent.
- the third operation, f), of the process object of the second aspect of the invention can be carried out according to two alternative synthesis schemes, shown below as f.i), f.ii).
- the synthesis scheme f.i) can be performed when R 3 is uracil, R 2 is an alcohol protecting group selected from carbonates or ethers and R 4 is hydrogen, or one of the amine protecting groups specified above, and involves the (concurrent or sequential) deprotection of the hydroxyl group in position 3′ and/or of the uracil nitrogen, if R 4 is other than hydrogen.
- This step can be performed according to one of the methods known to the man skilled in the art as described above to perform step b.i) of the process object of the first aspect of the present invention.
- the synthesis scheme f.ii) can be performed when R 3 is 4-aminouracil, R 2 is an alcohol protecting group selected from carbonates or ethers and R 5 is hydrogen or one of the amine protecting groups specified above, and involves the deprotection of the hydroxyl group in position 3′, the conversion of the 4-aminouracil group in uracil and, if R 5 is other than hydrogen, the deprotection of said nitrogen.
- This step may for example be performed according to one of the methods described above to perform step b.ii).
- step f) in the synthesis scheme object of the second aspect of the present invention is optional.
- This example is representative of step g.1).
- This example is representative of step g.2).
- the mixture is cooled to between ⁇ 65 and ⁇ 55° C. and a solution of phenyl dichlorophosphate (10.8 g, 51.2 mmol) in methyl tert-butyl ether (9.5 mL) is added, keeping the temperature below ⁇ 50° C.
- the reaction mass is stirred between ⁇ 65° C. and ⁇ 55° C.
- the mass is brought to a temperature of between ⁇ 25 and ⁇ 20° C. and filtered under nitrogen atmosphere (to eliminate the triethylamine hydrochloride).
- the filtrate is stored at ⁇ 20° C. under nitrogen atmosphere to be used in the next step without further manipulation, given the thermal instability of the desired product. A quantitative yield is considered.
- This example is representative of step a).
- the reaction mixture is poured, keeping the temperature below 5° C., on a mixture of isopropyl acetate (170 mL.), water (90 mL) and acetic acid (4 mL) cooled to 0-5° C. It is heated to 20-25° C., then the phases are separated, the organic phase is washed with water and concentrated to residue under vacuum, removing the residual solvents by co-evaporation with methanol, keeping the temperature below 40° C. 18.0 g of an amorphous residue are obtained (quantitative yield).
- This example is representative of step b.i).
- This example is representative of step c).
- This example is representative of step a).
- tert-buty/magnesium chloride 1.0 M in THF, 51 mL, 50.7 mmol
- the reaction mixture is stirred between ⁇ 30 and ⁇ 20° C. for two hours and a solution of the phosphochloride (A) obtained as described in example 2 (17-18% w/w solution in MTBE, 90 g, 51.2 theoretical mmol) is added over about two hours, keeping the temperature below ⁇ 20° C.
- the mixture is cooled to between ⁇ 65 and ⁇ 55° C. and a solution of phenyl dichlorophosphate (3.3 g, 15.6 mmol) in dichloromethane (11 mL) is added, keeping the temperature below ⁇ 50° C.
- the reaction mass is stirred between ⁇ 65 and ⁇ 55° C. up to complete conversion (about 1 hour).
- pentafluorophenol 2.4 g, 13.0 mmol
- dichloromethane 28 mL
- reaction mixture When the addition is complete the reaction mixture is stirred between 0 and 5° C. for 2 hours and a solution of the product of example 8 (23.5 g, 51.9 mmol) in tetrahydrofuran (106 mL) is added over about 1 hour keeping the temperature below ⁇ 5° C. Once the conversion is complete (after about 24 hours), the reaction mixture is poured, keeping the temperature below 10° C., on a mixture of iso-propyl acetate (120 mL), water (50 mL) and acetic acid (5 mL) cooled to 0-5° C.
- This example is representative of steps h.2) e h.3)
- the mixture is cooled to between ⁇ 65 and ⁇ 55° C. and a solution of phenyl dichlorophosphate (3.3 g, 15.6 mmol) in dichloromethane (11 mL) is added, keeping the temperature below ⁇ 50° C.
- the reaction mass is stirred between ⁇ 65 e ⁇ 55° C. until the conversion is complete (about 1 hour).
- pentafluorophenol 2.4 g, 13.0 mmol
- dichloromethane 28 mL
- This example is representative of step h.4)
- This example is representative of step a)
- tert-butylmagnesium chloride 1.0 M in THF, 23.4 mL, 23.4 mmol
- LiCl 990 mg, 23.4 mmol
- the reaction mixture is stirred between ⁇ 30 and ⁇ 20° C. for two hours and a solution of the phosphochloride (A) obtained as described in example 2 (17-18% w/w solution in MTBE, 7.2 g, 23.4 mmol) is added over about two hours, keeping the temperature below ⁇ 20° C.
- This example is representative of step a)
- the product is purified by chromatographic column (eluent petroleum ether/EtOAc 7:3) as colourless oil (811 mg, 86%).
- This example is representative of step j.ii.3)
- This example is representative of step a)
- reaction mixture When the addition is complete the reaction mixture is stirred between ⁇ 20 and ⁇ 10° C. for two hours and a solution of the phosphochloride (A) obtained as described in example 2 (17-18% w/w solution in MTBE, 120 g, 68.6 theoretical mmol) is added over about two hours, keeping the temperature below ⁇ 10° C.
- a solution of the phosphochloride (A) obtained as described in example 2 (17-18% w/w solution in MTBE, 120 g, 68.6 theoretical mmol
- the reaction mixture is poured, keeping the temperature below 5° C., on a mixture of isopropyl acetate (170 mL), water (90 mL) and acetic acid (4 mL) cooled to 0-5° C.
- This example is representative of step j.i.2)
- the product is purified by chromatographic column (using a gradient from petroleum ether alone to EtOAc alone) as colourless oil (360 mg, 58%).
- This example is representative of step j.i.3)
- the product may by purified by crystallization by dichloromethane or a mixture of ethyl acetate and methanol.
- This example is representative of step a)
- reaction mixture When the addition is complete the reaction mixture is stirred between ⁇ 20 and ⁇ 10° C. for two hours and a solution of the phosphochloride (A) obtained as described in example 2 (17-18% w/w solution in MTBE, 120 g, 68.6 theoretical mmol) is added over about two hours, keeping the temperature below ⁇ 10° C.
- a solution of the phosphochloride (A) obtained as described in example 2 (17-18% w/w solution in MTBE, 120 g, 68.6 theoretical mmol
- the reaction mixture is poured, keeping the temperature below 5° C., on a mixture of isopropyl acetate (170 mL), water (90 mL) and acetic acid (4 mL) cooled to 0-5° C.
- This example is representative of step j.i.2)
- the product is purified by chromatographic column (using a gradient from petroleum ether alone to EtOAc alone) bringing to 1.3 g of the desired product (yield: 74%).
- This example is representative of step j.i.3)
- This example is representative of step a)
- reaction mixture When the addition is complete the reaction mixture is stirred between ⁇ 20 and ⁇ 10° C. for two hours and a solution of the phosphochloride (A) obtained as described in example 2 (17-18% w/w solution in MTBE, 120 g, 68.6 theoretical mmol) is added over about two hours, keeping the temperature below ⁇ 10° C.
- a solution of the phosphochloride (A) obtained as described in example 2 (17-18% w/w solution in MTBE, 120 g, 68.6 theoretical mmol
- the reaction mixture is poured, keeping the temperature below 5° C., on a mixture of isopropyl acetate (170 mL), water (90 mL) and acetic acid (4 mL) cooled to 0-5° C.
- This example is representative of step j.i.2)
- the product is purified by chromatographic column (using a gradient from petroleum ether alone to EtOAc alone) bringing to 415 mg of the desired product (yield: 20%).
- This example is representative of step j.i.3)
- This example is representative of step a)
- the reaction mixture is poured, keeping the temperature below 5° C., on a mixture of isopropyl acetate (170 mL), water (90 mL) and acetic acid (4 mL) cooled to 0-5° C. It is heated to 20-25° C., then the phases are separated, the organic phase is washed with water and concentrated under vacuum to residue, moving the residual solvents by co-evaporation with methanol keeping the temperature below 40° C. 17.8 g of residue are obtained (quantitative yield).
Landscapes
- Chemical & Material Sciences (AREA)
- Organic Chemistry (AREA)
- Health & Medical Sciences (AREA)
- Life Sciences & Earth Sciences (AREA)
- Engineering & Computer Science (AREA)
- Biochemistry (AREA)
- Biotechnology (AREA)
- General Health & Medical Sciences (AREA)
- Genetics & Genomics (AREA)
- Molecular Biology (AREA)
- Saccharide Compounds (AREA)
Abstract
Description
said process comprising the following synthesis steps:
a) phosphorylating the nucleoside (2) with a phosphoramidate (1) in the presence of an organolithium reagent, an organomagnesium reagent or a mixture thereof, or of a sodium, lithium, potassium or magnesium amide at a temperature of between −60 and 0° C. in a solvent or a mixture of ethereal solvents:
wherein:
R1 is chlorine, bromine, a sulfonate of formula —OSO2R8 or camphorsulfonate;
R2 is an alcohol protecting group selected from carbonates or ethers;
R3 is or N
R4 is hydrogen or an amine protecting group;
R5 is hydrogen or an amine protecting group; and
R8 is C1-C4 alkyl, aryl or aryl substituted with a C1-C4 alkyl, a halogen or a nitro group;
b) converting the nucleoside phosphoramidate (3) into the diastereomerically enriched mixture of the nucleoside phosphoramidate (4):
wherein R9 is an aryloxide substituted with at least one electron attractor group;
e) phosphorylating a nucleoside (6) with the diastereomerically purified form of the phosphoramidate (5) in the presence of an organomagnesium reagent and of an alkaline halide, a zinc halide, a copper halide or a mixture thereof:
wherein:
R3 can take any of the above meanings; and
R6 is hydrogen or an alcohol protecting group selected from carbonates or ethers;
f) if R8 is an alcohol protecting group and/or R3 is a protected form of uracil or 4-aminouracil (i.e. R4 and R5 are other than hydrogen), converting the compound of general formula (7) into the diastereomerically purified mixture of the nucleoside phosphoramidate (4).
wherein R7 is a protecting group of alcohols orthogonally removable with respect to a benzyl, a para-methoxybenzyl or an allyl, such as a silyl ether or an ester;
j.i.2) selectively protecting the hydroxyl in position 3′ of the protected nucleoside (9) to obtain the compound of formula (10):
wherein R10 is a benzyl, a para-methoxybenzyl or an allyl,
j.i.3) removing the protecting group present on the primary hydroxyl in position 5′ to obtain a nucleoside of formula (2′):
Step j.i.1) comprises the protection of the hydroxyl group in position 5′ of nucleoside (B) with a protecting group orthogonally removable with respect to a benzyl, para-methoxybenzyl or allyl ether, such as an ester (preferably benzoate acetate or phenylacetate) or a silyl ether (preferably (trimethylsilyl (TMS), triisopropylsilyl (TIPS), tert-butyldimethylsilyl (TBDMS) or tert-butyldiphenylsilyl (TBDPS)). This step may be conducted according to one of the procedures described in Theodora W. Green, Protective Groups in Organic Synthesis, John Wiley & Sons (1999) for the protection of hydroxyls, for example if R7 is an ester, according to the conditions described in the same text on page 149-178; and if R7 is a silyl ether according to the conditions described in the same text on page 113-147. Such protection conditions are incorporated in the present application by reference.
Step j.i.2) involves selectively protecting the hydroxyl in position 3′ of the protected nucleoside (9) to obtain the compound of formula (10). The selective oxygen alkylation reaction is conducted by transforming the protected nucleoside (9) in a reactive form thereof by treatment with a strong base, such as a sodium lithium or potassium alkoxide (preferably methoxide, ethoxide or tert-butoxide); a sodium, lithium or potassium hydride; an amide (preferably sodium, lithium or potassium bis(trimethylsilyl)amides (NaHMDS, LiHMDS or KHMDS) or lithium diisopropylarnide (LDA)) at a temperature of between −30 and 25° C., preferably of between −20 and −10° C., in an ether (preferably tetrahydrofuran), then adding a benzyl, para-methoxybenzyl or allyl halide (preferably a bromide) at a temperature of between −30 and 25° C., preferably of between −20 and −10° C.
wherein R7 is a protecting group of alcohols orthogonally removable with respect to a benzyl, such as a silyl ether or an ester;
j.ii.2) converting the protected nucleoside (9) into the compound of formula (11):
wherein R10 is a benzyl, a para-methoxybenzyl or an allyl; and
R11 is a benzyl, a para-methoxybenzyl or an allyl,
j.ii.3) removing the protecting group present on the primary hydroxyl in position 5′ to obtain a nucleoside of formula (2″):
Step j.ii.1) comprises the protection of the hydroxyl group in position 5′ of nucleoside (B) with an alcohol protecting group orthogonally removable with respect to a benzyl, such as a silyl ether or an ester. Said operation may be carried out using for example one of the methods described above to perform step j.i.1).
Step j.ii.2) involves the (concurrent or sequential) protection of the hydroxyl in position 5′ and of the uracil NH of the protected nucleoside (9) to obtain the compound of formula (11). This step can be performed using one of the methods generally known in the art, such as one of the procedures described in Theodora W. Green, Protective Groups in Organic Synthesis, John Wiley & Sons (1999) for the introduction of a benzyl, a para-methoxybenzyl or an allyl. The procedures for preparing said ethers are described in the same text on page 76-86, 86-91 and 61-74, respectively, and are incorporated in the present application by reference. The procedures for preparing the alkylamines are instead described in the same text on page 579-580, 581 and 574-576, respectively, and are incorporated in the present application by reference. Preferably, this operation is carried out by treating the protected nucleoside (9) with a strong base, such as one of those specified above to perform step j.i.2) and then a benzyl, para-methoxybenzyl or allyl halide (preferably bromide) in dimethylformamide, N-methylpyrrolidone, dimethyl acetamide or an ether, such as tetrahydrofuran.
b.ii.2) converting the compound of formula (12) into the diastereomerically enriched mixture of the nucleoside phosphoramidate (4).
Step g.1), which involves the preparation of the (L)-alanine isopropyl ester hydrochloride (Q) starting from (L)-alanine, can be performed according to one of the techniques known to a man skilled in the art for the preparation of an amino acid isopropyl ester, for example by treatment with a saturated solution of hydrogen chloride in isopropanol.
wherein R9 is an aryloxide substituted with at least one electron-withdrawing group;
e) phosphorylating the nucleoside (6) with the diastereomerically purified form of the phosphoramidate (5) in the presence of an organomagnesium reagent and of an alkaline halide, a zinc halide, a copper halide or a mixture thereof:
wherein:
R3 can take any of the above meanings; and
R6 is hydrogen or an alcohol protecting group selected from carbonates or ethers;
f) if R4 and R6 are other than hydrogen and R3 is 4-aminouracil or a protected form thereof, converting the compound of general formula (7) into the diastereomerically purified mixture of the nucleoside phosphoramidate (4).
h.3) reacting the phosphochloride (A) with a phenol substituted with at least one electron-withdrawing group (R9H) in the presence of a base to prepare a diastereomerically enriched form of the phosphoramidate (5);
wherein R9 can take any of the above meanings;
h.4) isolating the diastereomerically purified form of phosphoramidate (5) by fractional crystallization.
Claims (13)
Applications Claiming Priority (5)
| Application Number | Priority Date | Filing Date | Title |
|---|---|---|---|
| ITUB20150302 | 2015-03-26 | ||
| IT102015000009877 | 2015-03-26 | ||
| ITUB2015A002109A ITUB20152109A1 (en) | 2015-07-13 | 2015-07-13 | PHOSPHORAMIDATE NUCLEOSIDES USEFUL FOR THE TREATMENT OF VIRAL INFECTIONS AND THEIR PREPARATION |
| IT102015000033419 | 2015-07-13 | ||
| PCT/IB2016/051710 WO2016151542A1 (en) | 2015-03-26 | 2016-03-25 | Nucleoside phosphoramidates useful for the treatment of viral infections and preparation thereof |
Publications (2)
| Publication Number | Publication Date |
|---|---|
| US20180118776A1 US20180118776A1 (en) | 2018-05-03 |
| US10407456B2 true US10407456B2 (en) | 2019-09-10 |
Family
ID=56092943
Family Applications (1)
| Application Number | Title | Priority Date | Filing Date |
|---|---|---|---|
| US15/560,862 Expired - Fee Related US10407456B2 (en) | 2015-03-26 | 2016-03-25 | Nucleoside phosphoramidates useful for the treatment of viral infections and preparation thereof |
Country Status (3)
| Country | Link |
|---|---|
| US (1) | US10407456B2 (en) |
| EP (1) | EP3274356A1 (en) |
| WO (1) | WO2016151542A1 (en) |
Families Citing this family (6)
| Publication number | Priority date | Publication date | Assignee | Title |
|---|---|---|---|---|
| CN109422790B (en) * | 2017-08-28 | 2022-02-22 | 常州制药厂有限公司 | Novel preparation process of sofosbuvir |
| CN109467515B (en) * | 2018-10-11 | 2021-08-13 | 南京红杉生物科技有限公司 | Synthesis method of intermediate L-alanine isopropyl ester hydrochloride |
| CN110423257B (en) * | 2019-08-26 | 2023-01-03 | 苏利制药科技江阴有限公司 | Sofosbuvir synthesis process |
| CN111116693B (en) * | 2019-12-27 | 2021-04-27 | 江苏科本药业有限公司 | Method for preparing sofosbuvir by combining 3, 3-diaryl acrolein and Grignard reagent |
| US20230172961A1 (en) * | 2020-01-29 | 2023-06-08 | The Trustees Of Columbia University In The City Of New York | Therapeutics for covid-19 |
| WO2021216722A1 (en) * | 2020-04-23 | 2021-10-28 | Atea Pharmaceuticals, Inc. | Stereoselective process of manufacture of purine phosphoramidates |
Citations (5)
| Publication number | Priority date | Publication date | Assignee | Title |
|---|---|---|---|---|
| WO2008121634A2 (en) | 2007-03-30 | 2008-10-09 | Pharmasset, Inc. | Nucleoside phosphoramidate prodrugs |
| WO2010135569A1 (en) | 2009-05-20 | 2010-11-25 | Pharmasset, Inc. | N- [ (2 ' r) -2 ' -deoxy-2 ' -fluoro-2 ' -methyl-p-phenyl-5 ' -uridylyl] -l-alanine 1-methylethyl ester and process for its production |
| WO2011123645A2 (en) | 2010-03-31 | 2011-10-06 | Pharmasset, Inc. | Nucleoside phosphoramidates |
| WO2012040126A1 (en) | 2010-09-22 | 2012-03-29 | Alios Biopharma, Inc. | Substituted nucleotide analogs |
| WO2014076490A1 (en) | 2012-11-16 | 2014-05-22 | University College Cardiff Consultants Limited | Process for preparing nucleoside prodrugs |
-
2016
- 2016-03-25 US US15/560,862 patent/US10407456B2/en not_active Expired - Fee Related
- 2016-03-25 WO PCT/IB2016/051710 patent/WO2016151542A1/en not_active Ceased
- 2016-03-25 EP EP16726151.0A patent/EP3274356A1/en not_active Withdrawn
Patent Citations (5)
| Publication number | Priority date | Publication date | Assignee | Title |
|---|---|---|---|---|
| WO2008121634A2 (en) | 2007-03-30 | 2008-10-09 | Pharmasset, Inc. | Nucleoside phosphoramidate prodrugs |
| WO2010135569A1 (en) | 2009-05-20 | 2010-11-25 | Pharmasset, Inc. | N- [ (2 ' r) -2 ' -deoxy-2 ' -fluoro-2 ' -methyl-p-phenyl-5 ' -uridylyl] -l-alanine 1-methylethyl ester and process for its production |
| WO2011123645A2 (en) | 2010-03-31 | 2011-10-06 | Pharmasset, Inc. | Nucleoside phosphoramidates |
| WO2012040126A1 (en) | 2010-09-22 | 2012-03-29 | Alios Biopharma, Inc. | Substituted nucleotide analogs |
| WO2014076490A1 (en) | 2012-11-16 | 2014-05-22 | University College Cardiff Consultants Limited | Process for preparing nucleoside prodrugs |
Non-Patent Citations (5)
| Title |
|---|
| Cho et al., "Efficient synthesis of nucleoside aryloxy phosphoramidate prodrugs utilizig benzyloxycarbonyl protection," Tetrahedron, 67:5487-5493 (2011). |
| Green et al, Protective Groups in Organic Synthesis, pp. 61-99, 113-178, 520-522,532-534, 574-581 (3rd 1999). |
| Green et al, Protective Groups in Organix Synthesis, pp. 61-99,113-178, 520-522, 532-534, 574-581 (3rd ed. 1999). |
| International Search Report of PCT/IB2016/051710 dated Jul. 7, 2016. |
| Jong Hyun Cho, et al., Tetrahedron, 67:30:5487-5493 (2011);. |
Also Published As
| Publication number | Publication date |
|---|---|
| US20180118776A1 (en) | 2018-05-03 |
| EP3274356A1 (en) | 2018-01-31 |
| WO2016151542A1 (en) | 2016-09-29 |
Similar Documents
| Publication | Publication Date | Title |
|---|---|---|
| US10407456B2 (en) | Nucleoside phosphoramidates useful for the treatment of viral infections and preparation thereof | |
| US12054511B2 (en) | Synthesis of phosphate derivatives | |
| KR101759369B1 (en) | Stereoselective synthesis of phosphorus containing actives | |
| US7582748B2 (en) | Methods of manufacture of 2′-deoxy-β-L-nucleosides | |
| US20050250946A1 (en) | Method for the synthesis of 2',3'-dideoxy-2',3'-didehydronucleosides | |
| EP3440041B1 (en) | Synthesis of 2'-fluoro-6'-methylene-carbocyclic adenosine (fmca) and 2'-fluoro-6'-methylene-carbocyclic guanosine (fmcg) | |
| US20170218006A1 (en) | Synthesis of Phosphoramidates | |
| WO2020032152A1 (en) | Stereoselective synthesis method for 4'-substituted nucleoside derivative | |
| EP3684780B1 (en) | Floxuridine synthesis | |
| JP2019522003A (en) | Improved manufacturing process for the preparation of sofosbuvir | |
| KR20220154788A (en) | Synthesis of 3'N nucleosides via oxime intermediates and related compounds | |
| KR20080099263A (en) | Process for preparing gemcitabine and related intermediates | |
| US20170313735A1 (en) | Improved Fluorination Process | |
| WO2022256490A2 (en) | Improved synthesis of phosphoramidates for the treatment of hepatitis b virus | |
| EA043691B1 (en) | OBTAINING PHOSPHATE DERIVATIVES | |
| JP2002293792A (en) | Method for producing nucleoside or fluorinated sugar derivative | |
| JPH01104092A (en) | Nucleoside derivative | |
| KR20070063421A (en) | New preparation of 2 ′, 2′-difluoronucleosides and intermediates | |
| JP2004107329A (en) | Method for producing 4'-C-ethynyl-2'-deoxypurine nucleoside | |
| EA047265B1 (en) | OBTAINING PHOSPHATE DERIVATIVES |
Legal Events
| Date | Code | Title | Description |
|---|---|---|---|
| FEPP | Fee payment procedure |
Free format text: ENTITY STATUS SET TO UNDISCOUNTED (ORIGINAL EVENT CODE: BIG.); ENTITY STATUS OF PATENT OWNER: LARGE ENTITY |
|
| AS | Assignment |
Owner name: QUIMICA SINTETICA S.A., SPAIN Free format text: ASSIGNMENT OF ASSIGNORS INTEREST;ASSIGNORS:BARRECA, GIUSEPPE;RASPARINI, MARCELLO;POGGIALI, ANDREA;AND OTHERS;SIGNING DATES FROM 20160518 TO 20160526;REEL/FRAME:045714/0268 |
|
| STPP | Information on status: patent application and granting procedure in general |
Free format text: FINAL REJECTION MAILED |
|
| STPP | Information on status: patent application and granting procedure in general |
Free format text: NOTICE OF ALLOWANCE MAILED -- APPLICATION RECEIVED IN OFFICE OF PUBLICATIONS |
|
| STPP | Information on status: patent application and granting procedure in general |
Free format text: PUBLICATIONS -- ISSUE FEE PAYMENT RECEIVED |
|
| STPP | Information on status: patent application and granting procedure in general |
Free format text: PUBLICATIONS -- ISSUE FEE PAYMENT VERIFIED |
|
| STCF | Information on status: patent grant |
Free format text: PATENTED CASE |
|
| FEPP | Fee payment procedure |
Free format text: MAINTENANCE FEE REMINDER MAILED (ORIGINAL EVENT CODE: REM.); ENTITY STATUS OF PATENT OWNER: LARGE ENTITY |
|
| LAPS | Lapse for failure to pay maintenance fees |
Free format text: PATENT EXPIRED FOR FAILURE TO PAY MAINTENANCE FEES (ORIGINAL EVENT CODE: EXP.); ENTITY STATUS OF PATENT OWNER: LARGE ENTITY |
|
| STCH | Information on status: patent discontinuation |
Free format text: PATENT EXPIRED DUE TO NONPAYMENT OF MAINTENANCE FEES UNDER 37 CFR 1.362 |
|
| FP | Lapsed due to failure to pay maintenance fee |
Effective date: 20230910 |










































































