RU2486178C2 - Pyrimidyl cyclopentanes as akt-protein kinase inhibitors - Google Patents
Pyrimidyl cyclopentanes as akt-protein kinase inhibitors Download PDFInfo
- Publication number
- RU2486178C2 RU2486178C2 RU2010103811/04A RU2010103811A RU2486178C2 RU 2486178 C2 RU2486178 C2 RU 2486178C2 RU 2010103811/04 A RU2010103811/04 A RU 2010103811/04A RU 2010103811 A RU2010103811 A RU 2010103811A RU 2486178 C2 RU2486178 C2 RU 2486178C2
- Authority
- RU
- Russia
- Prior art keywords
- alkyl
- compound according
- formula
- optionally substituted
- compounds
- Prior art date
Links
- 0 CC(*)C(N(CCN)c([s]1)ccc1Br)=O Chemical compound CC(*)C(N(CCN)c([s]1)ccc1Br)=O 0.000 description 6
- WQEHAXRVZCCTQW-UHFFFAOYSA-N CC(N(CCN)Cc(cc1Cl)ccc1Cl)=O Chemical compound CC(N(CCN)Cc(cc1Cl)ccc1Cl)=O WQEHAXRVZCCTQW-UHFFFAOYSA-N 0.000 description 1
- DHTSEONGFOFVOF-ITUIMRKVSA-N CCN(CC)CCN(C(N(CC1)CCN1c1c([C@H](C)CC2O)c2ncn1)=O)c1cc(Cl)ccc1 Chemical compound CCN(CC)CCN(C(N(CC1)CCN1c1c([C@H](C)CC2O)c2ncn1)=O)c1cc(Cl)ccc1 DHTSEONGFOFVOF-ITUIMRKVSA-N 0.000 description 1
- QKGHGZNKCQTVEL-CQSZACIVSA-N C[C@H](CC1)c2c1ncnc2N(CC1)CCN1C(N(CCN)Cc([s]1)ccc1Br)=O Chemical compound C[C@H](CC1)c2c1ncnc2N(CC1)CCN1C(N(CCN)Cc([s]1)ccc1Br)=O QKGHGZNKCQTVEL-CQSZACIVSA-N 0.000 description 1
- VAIIZBMRHHYWOC-OAHLLOKOSA-N C[C@H](CC1)c2c1ncnc2N(CC1)CCN1C(N(CCN)Cc(ccc(Cl)c1)c1Cl)=O Chemical compound C[C@H](CC1)c2c1ncnc2N(CC1)CCN1C(N(CCN)Cc(ccc(Cl)c1)c1Cl)=O VAIIZBMRHHYWOC-OAHLLOKOSA-N 0.000 description 1
Abstract
Description
Область техники, к которой относится изобретениеFIELD OF THE INVENTION
Настоящее изобретение относится к новым ингибиторам серин/треонин-протеинкиназ (например, AKT и родственных киназ), фармацевтическим композициям, содержащим такие ингибиторы, и способам получения указанных ингибиторов. Эти ингибиторы применимы, например, для лечения гиперпролиферативных заболеваний, таких как рак и воспаление у млекопитающих.The present invention relates to novel serine / threonine protein kinase inhibitors (e.g., AKT and related kinases), pharmaceutical compositions containing such inhibitors, and methods for preparing said inhibitors. These inhibitors are useful, for example, in the treatment of hyperproliferative diseases such as cancer and inflammation in mammals.
Уровень техникиState of the art
Протеинкиназы (РК) представляют собой ферменты, которые катализируют фосфорилирование гидроксигрупп тирозиновых, сериновых и треониновых остатков белков путем переноса терминального (гамма) фосфата из АТФ. Через пути сигнальной трансдукции эти ферменты модулируют рост, дифференцировку и пролиферацию клеток, т.е. практически все аспекты жизни клеток тем или иным образом зависят от активности PK (Hardie, G. и Hanks, S. (1995) The Protein Kinase Facts Book. I u II, Academic Press, San Diego, CA). Кроме того, аномальная активность РК связана с семейством заболеваний, начиная от относительно безопасных, не угрожающих жизни, таких как псориаз, до чрезвычайно вирулентных, таких как глиобластома (рак мозга). Протеинкиназы представляют собой важный класс мишеней для терапевтической модуляции (Cohen, P. (2002) Nature Rev. Drug Discovery 1:309).Protein kinases (PK) are enzymes that catalyze the phosphorylation of hydroxy groups of tyrosine, serine and threonine protein residues by transferring terminal (gamma) phosphate from ATP. Through signal transduction pathways, these enzymes modulate cell growth, differentiation, and proliferation, i.e. almost all aspects of cell life in one way or another depend on PK activity (Hardie, G. and Hanks, S. (1995) The Protein Kinase Facts Book. I u II, Academic Press, San Diego, CA). In addition, the abnormal activity of PK is associated with a family of diseases, ranging from relatively safe, non-life-threatening, such as psoriasis, to extremely virulent, such as glioblastoma (brain cancer). Protein kinases represent an important class of targets for therapeutic modulation (Cohen, P. (2002) Nature Rev. Drug Discovery 1: 309).
Атипичные фосфорилирование белков и/или экспрессия, как часто сообщают, в значительной степени представляют собой один из эффектов, являющихся причиной аномальной пролиферации клеток, метастаза и выживания клеток при раке. Аномальные регуляция и/или экспрессия различных киназ, включающих Akt, VEGF, ILK, ROCK, p70S6K, Bcl, PKA, PKC, Raf, Src, PDK1, ErbB2, MEK, IKK, Cdk, EGFR, BAD, CHK1, CHK2 и GSK3 среди многих других, определенно органически связаны именно с раком.Atypical protein phosphorylation and / or expression is often reported to be largely one of the effects of abnormal cell proliferation, metastasis and cell survival in cancer. Abnormal regulation and / or expression of various kinases, including Akt, VEGF, ILK, ROCK, p70S6K, Bcl, PKA, PKC, Raf, Src, PDK1, ErbB2, MEK, IKK, Cdk, EGFR, BAD, CHK1, CHK2 and GSK3 among many others are definitely organically linked specifically to cancer.
Протеинкиназы включают два класса: протеин-тирозин-киназы (РТК) и серин-треонин-киназы (STK). B/Akt-протеинкиназные ферменты представляют собой группу серин/треонин-киназ, которые сверхпродуцированы во многих опухолях человека. Одной из лучше всего охарактеризованных мишеней PI3K-липидных продуктов является 57-KD-серин/треонин-протеинкиназа Akt, ниже участка PI3K в пути сигнальной трансдукции (Hemmings, B.A. (1997) Science 275:628; Hay N. (2005) Cancer Cell 8:179-183). Akt представляет собой человеческий гомолог v-akt-протоонкогена в резко трансформирующем ретровирусе АКТ8. Из-за высокой степени родства последовательностей Akt и протеинкиназ А и С, Akt также называют протеинкиназой В (РКВ) и родственной А и С (RAC). Известно, что существуют три изоформы Akt, a именно Akt1, Akt2 и Akt3, которые обладают 80%-ной общей гомологией [(Staal, S.P. (1987) Proc. Natl. Acad. Sci. 84:5034; Nakatani, K. (1999) Biochem. Biophys. Res. Commun. 257:906; Li et al. (2002) Current Topics in Med. Chem. 2:939-971; WO 2005/113762)]. Изоформы Akt участвуют в общей доменной организации, которая состоит из РН-домена (pleckstrin homology domen) у N-конца, каталитического домена киназ, и короткой регуляторной области у С-конца. Кроме того, как Akt2, так и Akt3 имеют варианты сплайсинга. При рекрутинге к клеточной мембране под действием PtdInd(3,4,5)P3, Akt фосфорилируется (активируется) PDK1 при Т308, Т309 и Т305 для изоформ Akt1 (PKBα), Akt2 (PKBβ) и Akt3 (PKBγ) соответственно и при S473, S474 и S472 для изоформ Akt1, Akt2 и Akt3 соответственно. Такое фосфорилирование происходит под действием еще неизвестной киназы (предположительно названной PDK2), хотя PDK1 [(Balendran, A., (1999) Curr. Biol. 9:393)], аутофосфорилирование [(Toker, A. (2000) J. Biol. Chem. 275:8271)] и интегрин-связанная киназа (ILK) (Delcommenne, M. (1998) Proc. Natl. Acad. Sci. USA, 95:11211) вовлечены в данный процесс. Активация Akt требует ее фосфорилирования на остатке Ser 473 в С-концевом гидрофобном мотиве. (Brodbeck et al. (1999) J. Biol. Chem. 274:9133-9136; Coffer et al. (1991) Eur. J. Biochem. 201:475-481; Alessi et al. (1997) Curr. Biol. 7:261-269). Хотя монофосфорилирование Akt активирует киназу, для максимальной активности киназы требуется бис(фосфорилирование).Protein kinases include two classes: protein tyrosine kinase (PTK) and serine threonine kinase (STK). B / Akt protein kinase enzymes are a group of serine / threonine kinases that are overproduced in many human tumors. One of the best characterized targets for PI3K lipid products is 57-KD-serine / threonine protein kinase Akt, below the PI3K site in the signal transduction pathway (Hemmings, BA (1997) Science 275: 628; Hay N. (2005) Cancer Cell 8 : 179-183). Akt is the human homologue of v-akt-proto-oncogen in the dramatically transforming AK8 retrovirus. Due to the high degree of affinity of the Akt sequences and protein kinases A and C, Akt is also called protein kinase B (RKB) and related A and C (RAC). It is known that there are three Akt isoforms, namely Akt1, Akt2, and Akt3, which have 80% total homology [(Staal, SP (1987) Proc. Natl. Acad. Sci. 84: 5034; Nakatani, K. (1999 ) Biochem. Biophys. Res. Commun. 257: 906; Li et al. (2002) Current Topics in Med. Chem. 2: 939-971; WO 2005/113762)]. Akt isoforms participate in a common domain organization, which consists of a PH domain (pleckstrin homology domain) at the N-terminus, a catalytic domain of kinases, and a short regulatory region at the C-terminus. In addition, both Akt2 and Akt3 have splicing options. When recruiting to the cell membrane under the action of PtdInd (3,4,5) P 3 , Akt phosphorylates (activates) PDK1 at T308, T309 and T305 for the isoforms Akt1 (PKBα), Akt2 (PKBβ) and Akt3 (PKBγ), respectively, and at S473 , S474 and S472 for the isoforms Akt1, Akt2 and Akt3, respectively. Such phosphorylation occurs under the action of a still unknown kinase (supposedly called PDK2), although PDK1 [(Balendran, A., (1999) Curr. Biol. 9: 393)], autophosphorylation [(Toker, A. (2000) J. Biol. Chem. 275: 8271)] and integrin-bound kinase (ILK) (Delcommenne, M. (1998) Proc. Natl. Acad. Sci. USA, 95: 11211) are involved in this process. Activation of Akt requires its phosphorylation at the Ser 473 residue in the C-terminal hydrophobic motif. (Brodbeck et al. (1999) J. Biol. Chem. 274: 9133-9136; Coffer et al. (1991) Eur. J. Biochem. 201: 475-481; Alessi et al. (1997) Curr. Biol. 7: 261-269). Although monophosphorylation of Akt activates kinase, bis (phosphorylation) is required for maximum kinase activity.
Полагают, что Akt воздействует на рак, подавляя апоптоз и усиливая как ангиогенез, так и пролиферацию [(Toker et al. (2006) Cancer Res. 66(8):3963-3966)]. Akt сверхпродуцирована во многих формах человеческого рака, включающих (но не ограниченных перечисленными ниже) рак толстой кишки [(Zinda et al. (2001) Clin. Cancer Res. 7:2475)], яичников [(Cheng et al. (1992) Proc. Natl. Acad. Sci. USA 89:9267)], мозга [(Haas Kogan et al. (1998) Curr. Biol. 8:1195)], легких [(Brognard et al. (2001) Cancer Res. 61:3986)], поджелудочной железы [(Bellacosa et al. (1995) Int. J. Cancer 64:280-285; Cheng et al. (1996) Proc. Natl. Acad. Sci. 93:3636-3641)], предстательной железы [(Graff et al. (2000) J. Biol. Chem. 275:24500)] и рак желудка [(Staal et al. (1987) Proc. Natl. Acad. Sci. USA 84:5034-5037)].It is believed that Akt acts on cancer by inhibiting apoptosis and enhancing both angiogenesis and proliferation [(Toker et al. (2006) Cancer Res. 66 (8): 3963-3966)]. Akt is overproduced in many forms of human cancer, including (but not limited to) colon cancer [(Zinda et al. (2001) Clin. Cancer Res. 7: 2475)], ovaries [(Cheng et al. (1992) Proc . Natl. Acad. Sci. USA 89: 9267)], brain [(Haas Kogan et al. (1998) Curr. Biol. 8: 1195)], lungs ((Brognard et al. (2001) Cancer Res. 61: 3986)], pancreas [(Bellacosa et al. (1995) Int. J. Cancer 64: 280-285; Cheng et al. (1996) Proc. Natl. Acad. Sci. 93: 3636-3641)], prostate glands [(Graff et al. (2000) J. Biol. Chem. 275: 24500)] and gastric cancer [(Staal et al. (1987) Proc. Natl. Acad. Sci. USA 84: 5034-5037)].
Для таргетной терапии небольшими молекулами ингибитора исследован транспорт рапамицина (mTOR) к мишени PI3K/Akt/млекопитающее [(Georgakis, G. и Younes, A. (2006) Expert Rev. Anticancer Ther. 6(1): 131-140; Granville et al. (2006) Clin. Cancer Res. 12(3):б79-689)]. Ингибирование PI3K/Akt передачи сигнала индуцирует апоптоз и ингибирует рост опухолевых клеток, которые повышают уровни Akt [(Kim et al. (2005) Current Opinion in Investig. Drugs 6(12): 1250-1258; Luo et al. (2005) Molecular Cancer Ther. 4(6):977-986)].For targeted therapy with small inhibitor molecules, the transport of rapamycin (mTOR) to the PI3K / Akt / mammalian target [Georgakis, G. and Younes, A. (2006) Expert Rev. Anticancer Ther. 6 (1): 131-140; Granville et al. (2006) Clin. Cancer Res. 12 (3): b79-689)]. Inhibition of PI3K / Akt signal transduction induces apoptosis and inhibits the growth of tumor cells that increase Akt levels [(Kim et al. (2005) Current Opinion in Investig. Drugs 6 (12): 1250-1258; Luo et al. (2005) Molecular Cancer Ther. 4 (6): 977-986)].
Разработка ингибиторов киназ, которые нацелены на пути с аномальной регуляцией, приводящие в конечном счете к заболеванию, представляют собой огромный этический и коммерческий интерес для медицинского и фармацевтического сообщества. Соединение, которое ингибирует (1) рекрутинг Akt, к клеточной мембране, (2) активацию действием PDK1 или PDK2, (3) фосфорилирование субстрата или (4) одну из нижних мишеней Akt могло бы быть ценным противораковым средством, действующим или в виде отдельной терапевтической методики, или в сочетании с другими принятыми методиками.The development of kinase inhibitors that target pathways with abnormal regulation, ultimately leading to disease, is of great ethical and commercial interest to the medical and pharmaceutical community. A compound that inhibits (1) Akt recruitment to the cell membrane, (2) activation by PDK1 or PDK2, (3) phosphorylation of the substrate, or (4) one of Akt's lower targets could be a valuable anti-cancer agent, acting or as a separate therapeutic methods, or in combination with other accepted methods.
Публикация заявки на патент США No. 2005/0130954 описывает в числе других целый ряд соединений, которые действуют как ингибиторы АКТ. Полагают, что эти соединения применимы в лечении гиперпролиферативных заболеваний, таких как рак.U.S. Patent Application Publication No. 2005/0130954 describes, among others, a variety of compounds that act as ACT inhibitors. These compounds are believed to be useful in the treatment of hyperproliferative diseases such as cancer.
В публикации заявки на патент США No. 2008/0058327 и публикации заявки на патент США No. 2008/0051399 описываются в числе других целый ряд соединений, которые действуют как ингибиторы AKT.U.S. Patent Application Publication No. 2008/0058327 and US Patent Application Publication No. 2008/0051399 describes among others a number of compounds that act as AKT inhibitors.
Раскрытие изобретенияDisclosure of invention
Настоящее изобретение относится к новым соединениям, которые ингибируют AKT-протеинкиназы. Соединения по настоящему изобретению полезны в качестве терапевтических средств для лечения заболеваний и состояний, которые можно лечить путем ингибирования AKT-протеинкиназ.The present invention relates to new compounds that inhibit AKT protein kinases. The compounds of the present invention are useful as therapeutic agents for treating diseases and conditions that can be treated by inhibiting AKT protein kinases.
Настоящее изобретение включает соединения общей формулы IThe present invention includes compounds of general formula I
и их энантиомеры и соли, в которых A, R1, R1a, R2, R2a и R3 такие, как определено ниже.and their enantiomers and salts in which A, R 1 , R 1a , R 2 , R 2a and R 3 are as defined below.
Изобретение также относится к фармацевтическим композициям, содержащим соединение формулы I, или его энантиомер, или его фармацевтически приемлемую соль.The invention also relates to pharmaceutical compositions comprising a compound of formula I, or an enantiomer thereof, or a pharmaceutically acceptable salt thereof.
Дополнительным объектом настоящего изобретения является способ лечения у млекопитающих заболеваний или медицинских состояний опосредованных AKT-протеинкиназами, включающий введение указанным млекопитающим одного или нескольких соединений формулы I, или их энантиомеров, или их фармацевтически приемлемых солей в количестве, эффективном для лечения или профилактики указанного заболевания. Состояния, опосредованные AKT-протеинкиназой, которые можно лечить способами по настоящему изобретению, включают (но не ограничиваются ими) воспалительные, гиперпролиферативные, сердечно-сосудистые, нейродегенеративные, гинекологические и дерматологические заболевания и нарушения.An additional object of the present invention is a method of treating diseases or medical conditions mediated by AKT protein kinases in mammals, comprising administering to said mammals one or more compounds of formula I, or their enantiomers, or their pharmaceutically acceptable salts, in an amount effective to treat or prevent said disease. AKT protein kinase-mediated conditions that can be treated by the methods of the present invention include, but are not limited to, inflammatory, hyperproliferative, cardiovascular, neurodegenerative, gynecological and dermatological diseases and disorders.
Дополнительный объект настоящего изобретения относится к способу ингибирования продуцирования AKT-протеинкиназ у млекопитающих, который включает введение указанным млекопитающим соединения формулы I, или его энантиомера, или его фармацевтически приемлемой соли в количестве, эффективном для ингибирования продуцирования AKT-протеинкиназы.An additional object of the present invention relates to a method for inhibiting the production of AKT protein kinases in mammals, which comprises administering to said mammals a compound of formula I, or its enantiomer, or a pharmaceutically acceptable salt thereof, in an amount effective to inhibit the production of AKT protein kinase.
Дополнительный объект настоящего изобретения относится к способам ингибирования активности AKT-протеинкиназ, включающим контактирование указанных киназ с соединением формулы I.An additional object of the present invention relates to methods of inhibiting the activity of AKT protein kinases, comprising contacting said kinases with a compound of formula I.
Соединения по изобретению можно успешно использовать в сочетании с другими известными терапевтическими средствами. Соответственно, настоящее изобретение также относится к фармацевтическим композициям, содержащим соединение формулы I, или его энантиомер, или его фармацевтически приемлемую соль в сочетании со вторым терапевтическим средством.The compounds of the invention can be successfully used in combination with other known therapeutic agents. Accordingly, the present invention also relates to pharmaceutical compositions comprising a compound of formula I, or an enantiomer thereof, or a pharmaceutically acceptable salt thereof, in combination with a second therapeutic agent.
Настоящее изобретение также относится к соединениям формулы I и их энантиомерам и фармацевтически приемлемым солям для применения в качестве лекарственных средств в лечении состояний, опосредованных AKT-протеинкиназами.The present invention also relates to compounds of formula I and their enantiomers and pharmaceutically acceptable salts for use as medicaments in the treatment of conditions mediated by AKT protein kinases.
Дополнительным объектом изобретения является применение соединения формулы I, или его энантиомера, или фармацевтически приемлемой соли в терапии. В одном варианте осуществления изобретения терапия включает лечение состояния, опосредованного AKT-протеинкиназой.An additional object of the invention is the use of a compound of formula I, or an enantiomer thereof, or a pharmaceutically acceptable salt in therapy. In one embodiment, the therapy includes treating a condition mediated by AKT protein kinase.
Настоящее изобретение, кроме того, относится к набору для лечения заболеваний или нарушений, опосредованных AKT-протеинкиназой, который содержит соединение формулы I или его энантиомер, или фармацевтически приемлемую соль, контейнер и необязательно листок-вкладыш или этикетку с показаниями для лечения. Наборы могут дополнительно содержать второе соединение или состав, включающий второе фармацевтическое средство, применимое для лечения указанного заболевания или нарушения.The present invention also relates to a kit for treating diseases or disorders mediated by AKT protein kinase, which contains a compound of formula I or its enantiomer, or a pharmaceutically acceptable salt, container, and optionally a package leaflet or label for treatment indications. The kits may further comprise a second compound or composition comprising a second pharmaceutical agent useful for treating said disease or disorder.
Настоящее изобретение дополнительно включает способы получения, способы разделения и способы очистки соединений по настоящему изобретению.The present invention further includes preparation methods, separation methods and purification methods of the compounds of the present invention.
Дополнительные преимущества и новые признаки настоящего изобретения будут изложены в следующей ниже части описания и в части, которая будет очевидна специалистам в данной области при экспертизе следующего описания или которую можно будет узнать из практики изобретения. Преимущества изобретения могут быть реализованы и достигнуты с помощью комбинаций, композиций и способов, конкретно указанных в прилагаемой формуле изобретения.Additional advantages and new features of the present invention will be described in the following part of the description and in the part that will be obvious to experts in this field when examining the following description or which can be learned from the practice of the invention. The advantages of the invention can be realized and achieved using combinations, compositions and methods specifically indicated in the attached claims.
Осуществление изобретенияThe implementation of the invention
Теперь будут сделаны подробные ссылки на определенные варианты осуществления изобретения, примеры которых иллюстрируются сопровождающими структурами и формулами. Хотя изобретение будет описано в сочетании с пронумерованными вариантами его осуществления, должно быть понятно, что не подразумевается ограничение изобретения этими вариантами осуществления. Наоборот, подразумевается, что изобретение охватывает все альтернативы, модификации и эквиваленты, которые могут быть включены в объем настоящего изобретения согласно пунктам формулы изобретения. Специалист в данной области техники должен знать множество способов и веществ, аналогичных или эквивалентных описанным здесь, которые можно было бы использовать в практике настоящего изобретения. Настоящее изобретение никоим образом не ограничено описанными способами и веществами. В случае если одна или несколько включенных ссылок на литературу и аналогичные материалы отличаются от настоящей заявки или противоречат ей, включая определенные термины, использование терминов, описанные методики или что-либо подобное (но не ограничиваясь этим), настоящая заявка имеет преимущественную силу.Detailed references will now be made to certain embodiments of the invention, examples of which are illustrated by the accompanying structures and formulas. Although the invention will be described in combination with numbered embodiments, it should be understood that the invention is not meant to be limited to these embodiments. On the contrary, it is intended that the invention covers all alternatives, modifications, and equivalents that may be included in the scope of the present invention according to the claims. A person skilled in the art should know a variety of methods and substances similar or equivalent to those described herein that could be used in the practice of the present invention. The present invention is in no way limited to the described methods and substances. In the event that one or more of the included references to literature and similar materials differs from or contradicts this application, including certain terms, the use of terms, the described methods, or something similar (but not limited to), this application takes precedence.
ОПРЕДЕЛЕНИЯDEFINITIONS
Термин "алкил", используемый здесь, относится к насыщенному линейному или разветвленному одновалентному углеводородному радикалу, содержащему один-двенадцать атомов углерода, причем алкильный радикал может быть необязательно независимо замещен одним или несколькими заместителями, описанными ниже. Примеры алкильных групп включают (но не ограничиваются ими) метил ("Me", -СН3), этил ("Et", -СН2СН3), 1-пропил ("n-Pr", н-пропил, -СН2СН2СН3), 2-пропил ("i-Pr", изопропил, -СН(СН3)2), 1-бутил ("n-Bu", н-бутил, -CH2CH2CH2CH3), 2-метил-1-пропил ("i-Bu", изобутил, -СН2СН(СН3)2), 2-бутил ("s-Bu", втор-бутил, -СН(СН3)СН2СН3), 2-метил-2-пропил ("t-Bu", трет-бутил, -С(СН3)3), 2,2-диметилпропил (СН2С(СН3)3), 1-пентил (н-пентил, -СН2СН2СН2СН2СН3), 2-пентил (-СН(СН3)СН2СН2СН3), 3-пентил (-СН(СН2СН3)2), 2-метил-2-бутил (-С(СН3)2СН2СН3), 3-метил-2-бутил (-СН(СН3)СН(СН3)2), 3-метил-1-бутил (-СН2СН2СН(СН3)2), 2-метил-1-бутил (-СН2СН(СН3)СН2СН3), 1-гексил (-СН2СН2СН2СН2СН2СН3), 2-гексил (-СН(СН3)СН2СН2СН2СН3), 3-гексил (-СН(СН2СН3)(СН2СН2СН3)), 2-метил-2-пентил (-С(СН3)2СН2СН2СН3), 3-метил-2-пентил (-СН(СН3)СН(СН3)СН2СН3), 4-метил-2-пентил (-СН(СН3)СН2СН(СН3)2), 3-метил-3-пентил (-С(СН3)(СН2СН3)2), 2-метил-3-пентил (-СН(СН2СН3)СН(СН3)2), 2,3-диметил-2-бутил (-С(СН3)2СН(СН3)2), 3,3-диметил-2-бутил (-СН(СН3)С(СН3))3, 1-гептил, 1-октил и им подобные.The term “alkyl” as used herein refers to a saturated linear or branched monovalent hydrocarbon radical containing one to twelve carbon atoms, wherein the alkyl radical may optionally be independently substituted with one or more substituents described below. Examples of alkyl groups include, but are not limited to, methyl ("Me", -CH 3 ), ethyl ("Et", -CH 2 CH 3 ), 1-propyl ("n-Pr", n-propyl, -CH 2 CH 2 CH 3 ), 2-propyl ("i-Pr", isopropyl, -CH (CH 3 ) 2 ), 1-butyl ("n-Bu", n-butyl, -CH 2 CH 2 CH 2 CH 3 ), 2-methyl-1-propyl ("i-Bu", isobutyl, -CH 2 CH (CH 3 ) 2 ), 2-butyl ("s-Bu", sec-butyl, -CH (CH 3 ) CH 2 CH 3 ), 2-methyl-2-propyl ("t-Bu", tert-butyl, -C (CH 3 ) 3 ), 2,2-dimethylpropyl (CH 2 C (CH 3 ) 3 ), 1 -pentyl (n-pentyl, -CH 2 CH 2 CH 2 CH 2 CH 3 ), 2-pentyl (-CH (CH 3 ) CH 2 CH 2 CH 3 ), 3-pentyl (-CH (CH 2 CH 3 ) 2 ), 2-methyl-2-butyl (-C (CH 3 ) 2 CH 2 CH 3 ), 3-methyl-2-butyl (-CH (CH 3 ) CH (CH 3 ) 2 ), 3-methyl- 1-butyl (-CH 2 CH 2 CH (CH 3 ) 2 ), 2-methyl-1-butyl (-CH 2 CH (CH 3 ) CH 2 CH 3 ), 1-hexyl (-CH 2 CH 2 CH 2 CH 2 CH 2 CH 2 CH 3 ), 2-hexyl (-CH (CH 3 ) CH 2 CH 2 CH 2 CH 3 ), 3-hexyl (-CH (CH 2 CH 3 ) (CH 2 CH 2 CH 3 )), 2-methyl-2-pentyl (-C (CH 3 ) 2 CH 2 CH 2 CH 3 ), 3-methyl-2-pentyl (-CH (CH 3 ) CH (CH 3 ) CH 2 CH 3 ), 4-methyl-2-pentyl (-CH (CH 3 ) CH 2 CH (CH 3 ) 2 ), 3-methyl-3-pentyl (-C (CH 3 ) (CH 2 CH 3 ) 2 ), 2-methyl-3-pentyl (-CH (CH 2 CH 3 ) CH (CH 3 ) 2 ), 2,3-dimethyl-2-butyl (-C (CH 3 ) 2 CH (CH 3 ) 2 ), 3,3-dimethyl-2-butyl (-CH (CH 3 ) C (CH 3 )) 3 , 1-heptyl, 1-octyl and the like.
Применяемые здесь термины "циклоалкил", "карбоцикл", "карбоциклил" и "карбоциклическое кольцо" используют как взаимозаменяемые, и они относятся к насыщенным или частично ненасыщенным циклическим углеводородным радикалам, содержащим от трех до двенадцати атомов углерода. Термин "циклоалкил" включает моноциклические и полициклические (например, бициклические и трициклические) структуры, где полициклические структуры необязательно включают насыщенное или частично ненасыщенное циклоалкильное кольцо, конденсированное с насыщенным, частично ненасыщенным или ароматическим циклоалкильным или гетероциклическим кольцом. Циклоалкил может быть необязательно независимо замещен одним или несколькими заместителями, описанными здесь.The terms “cycloalkyl”, “carbocycle”, “carbocyclyl” and “carbocyclic ring” as used herein are used interchangeably and refer to saturated or partially unsaturated cyclic hydrocarbon radicals containing from three to twelve carbon atoms. The term “cycloalkyl” includes monocyclic and polycyclic (eg, bicyclic and tricyclic) structures, where the polycyclic structures optionally include a saturated or partially unsaturated cycloalkyl ring fused to a saturated, partially unsaturated or aromatic cycloalkyl or heterocyclic ring. Cycloalkyl may optionally be independently substituted with one or more of the substituents described herein.
Примеры циклоалкильных групп включают (но не ограничиваются ими) циклопропил, циклобутил, циклопентил, 1-циклопент-1-енил, 1-циклопент-2-енил, 1-циклопент-3-енил, циклогексил, 1-циклогекс-1-енил, 1-циклогекс-2-енил, 1-циклогекс-3-енил, циклогексадиенил, циклогептил, циклооктил, циклононил, циклодецил, циклоундецил, циклододецил, бицикло[2.2.1]гептан, бицикло[2.2.2]октан и бицикло[3.2.2]нонан.Examples of cycloalkyl groups include, but are not limited to, cyclopropyl, cyclobutyl, cyclopentyl, 1-cyclopent-1-enyl, 1-cyclopent-2-enyl, 1-cyclopent-3-enyl, cyclohexyl, 1-cyclohex-1-enyl, 1-cyclohex-2-enyl, 1-cyclohex-3-enyl, cyclohexadienyl, cycloheptyl, cyclooctyl, cyclononyl, cyclodecyl, cyclodecyl, cyclododecyl, bicyclo [2.2.1] heptane, bicyclo [2.2.2] octane and bicyclo [3.2. 2] nonane.
Используемые здесь термины "гетероцикл", "гетероциклил" и "гетероциклическое кольцо" взаимозаменяемы и относятся к насыщенному или частично ненасыщенному карбоциклическому радикалу, содержащему в кольце 3-8 атомов, где, по меньшей мере, один атом кольца представляет собой гетероатом, независимо выбранный из азота, кислорода и серы, остальные атомы кольца представляют собой атомы углерода, причем один или несколько атомов в кольце могут быть необязательно независимо замещены одним или несколькими заместителями, описанными ниже. Радикал может быть углерод-центрированным или гетероатом-центрированным. Термин "гетероцикл" включает гетероциклоалкокси. Термин "гетероциклил" также включает радикалы, в которых гетероциклические радикалы конденсированы с насыщенным, частично ненасыщенным или ароматическим карбоциклическим или гетероциклическим кольцом. Гетероцикл может быть С-замещенным или N-замещенным, в тех случаях, где это возможно. Например, группа, производная от пиррола, может представлять собой пиррол-1-ил (N-замещение) или пиррол-3-ил (С-замещение). Далее, группа, производная от имидазола может представлять собой имидазол-1-ил (N-замещение) или имидазол-3-ил (С-замещение). Примеры гетероциклических групп, в которых 2 атома углерода кольца замещены оксо (=O) группами, представляют собой изоиндолин-1,3-дионил и 1,1-диоксотиоморфолинил. Гетероциклические группы здесь необязательно замещены независимо одним или несколькими заместителями, описанными в настоящей заявке.As used herein, the terms “heterocycle”, “heterocyclyl” and “heterocyclic ring” are used interchangeably and refer to a saturated or partially unsaturated carbocyclic radical containing 3-8 atoms in the ring, where at least one atom of the ring is a heteroatom independently selected from nitrogen, oxygen and sulfur, the remaining ring atoms are carbon atoms, moreover, one or more atoms in the ring may optionally be independently substituted with one or more substituents described below. The radical may be carbon-centered or heteroatom-centered. The term “heterocycle” includes heterocycloalkoxy. The term “heterocyclyl” also includes radicals in which heterocyclic radicals are fused to a saturated, partially unsaturated, or aromatic carbocyclic or heterocyclic ring. The heterocycle may be C-substituted or N-substituted, where possible. For example, a group derived from pyrrole may be pyrrol-1-yl (N-substitution) or pyrrole-3-yl (C-substitution). Further, the group derived from imidazole may be imidazol-1-yl (N-substitution) or imidazol-3-yl (C-substitution). Examples of heterocyclic groups in which 2 ring carbon atoms are substituted with oxo (= O) groups are isoindolin-1,3-dionyl and 1,1-dioxothiomorpholinyl. Heterocyclic groups are optionally substituted independently with one or more of the substituents described herein.
Типичные гетероциклильные группы включают (но не ограничиваются ими) оксиранил, азиридинил, тииранил, азетидинил, оксетанил, тиетанил, 1,2-дитиетанил, 1,3-дидиетанил, пирролидинил, пиперидинил, морфолинил, тиоморфолинил, тиоксанил, пиперазинил, гомопиперазинил, гомопиперидинил, оксепанил, тиепанил, оксазепинил, диазепинил, тиазепинил, дигидротиенил, дигидропиранил, дигидрофуранил, тетрагидрофуранил, тетрагидротиенил, тетрагидропиранил, тетрагидротиопиранил, 1-пирролинил, 2-пирролинил, 3-пирролинил, индолинил, 2Н-пиранил, 4Н-пиранил, диоксанил, 1,3-диоксоланил, пиразолинил, пиразолидинил, дитианил, дитиоланил, пиразолидинил, имидазолинил, имидазолидинил, 3-азабицикло[3.1.0]гексанил, 3-азабицикло[4.1.0]гептанил и азабицикло[2.2.2]гексанил.Typical heterocyclyl groups include, but are not limited to, oxiranyl, aziridinyl, thiranyl, azetidinyl, oxetanyl, thietanyl, 1,2-dithietanyl, 1,3-didiethanyl, pyrrolidinyl, piperidinyl, morpholinyl, thiomorpholinyl, thioxanyl, piperazine, piperazine, oxepanyl, thiepanyl, oxazepinyl, diazepinyl, thiazepinyl, dihydrothienyl, dihydropyranyl, dihydrofuranyl, tetrahydrofuranyl, tetrahydrothienyl, tetrahydropyranyl, tetrahydrothiopyranyl, 1-pyrroinyl, 2-pyrrolinyl, 2-pyrroinyl, 2-pyrroinyl, 2-pyrroinyl, 2-pyrroinyl, 2-pyrroinyl, 2-pyrroinyl, 2-pyrroinyl, 2-pyrro-vinyl, 2-pyrro-vinyl, 2-pyrro-vinyl, 2-pyrro-vinyl, 2-pyrro-vinyl, 2-pyrro-vinyl, 2-pyrro-vinyl, 2-pyrro-vinyl, 2-pyrro-vinyl, 2-pyrro-vinyl, 2-pyrro-vinyl, 2-pyrro-vinyl, 2-pyrro-vinyl, 2-pyrro-vinyl, 2-pyrro-vinyl,-2-pyrro-vinyl,--2-pyrro-vinyl, -l-2-pyrro-vinyl, , 1,3-dioxolanyl, pyrazolinyl, pyrazolidinyl, dithianyl, dithiolanyl, pyrazolidinyl, imidazolinyl, imidazolidinyl, 3-azabicyclo [3.1.0] hexanyl, 3-azabicyclo [4.1.0] heptanyl and azabicyclo [2.2.2].
Используемый здесь термин "гетероарил" относится к одновалентному ароматическому радикалу с 5-, 6- или 7-членным кольцом и включает конденсированные циклические (кольцевые) системы (по меньшей мере, одна из которых является ароматической) из 5-10 атомов, содержащие, по меньшей мере, один гетероатом, независимо выбранный из азота, кислорода и серы. Гетероарил может быть С-замещенным или N-замещенным в случаях, где это возможно. Гетероарильные группы могут быть необязательно независимо замещены одним или несколькими заместителями, описанными здесь.The term “heteroaryl” as used herein refers to a monovalent aromatic radical with a 5-, 6- or 7-membered ring and includes fused cyclic (ring) systems (at least one of which is aromatic) of 5-10 atoms containing at least one heteroatom independently selected from nitrogen, oxygen and sulfur. Heteroaryl may be C-substituted or N-substituted where possible. Heteroaryl groups may optionally be independently substituted with one or more of the substituents described herein.
Примеры гетероарильных групп включают (но не ограничиваются ими) пиридинил, имидазолил, имидазопиридинил, пиримидинил, пиразолил, триазолил, пиразинил, тетразолил, фурил, тиенил, изоксазолил, тиазолил, оксазолил, изотиазолил, пирролил, хинолинил, изохинолинил, индолил, бензимидазолил, бензофуранил, циннолинил, индазолил, индолизинил, фталазинил, пиридазинил, триазинил, изоиндолил, птеридинил, пуринил, оксадиазолил, тиадиазолил, фуразанил, бензофуразанил, бензотиофенил, бензотиазолил, бензоксазолил, хиназолинил, хиноксалинил, нафтиридинил и фуропиридинил.Examples of heteroaryl groups include, but are not limited to, pyridinyl, imidazolyl, imidazopyridinyl, pyrimidinyl, pyrazolyl, triazolyl, pyrazinyl, tetrazolyl, furyl, thienyl, isoxazolyl, thiazolyl, oxazolyl, isothiazolyl, benzinolinyl, quinolinyl, quinolinyl, indolinolinyl cinnolinyl, indazolyl, indolisinyl, phthalazinyl, pyridazinyl, triazinyl, isoindolyl, pteridinyl, purinyl, oxadiazolyl, thiadiazolyl, furazanyl, benzofurazanil, benzothiophenyl, benzothiazolyl, benzoxazolinyl, quinidinyl and furopyridinyl.
Используемый здесь термин "галоген" обозначает фтор, хлор, бром или йод.The term “halogen” as used herein means fluoro, chloro, bromo or iodo.
Термин "энантиомер" относится к двум стереомерам соединения, которые представляют собой неналагающиеся зеркальные изображения друг друга.The term "enantiomer" refers to two stereoisomers of a compound that are non-overlapping mirror images of each other.
Термин "диастереомер" относится к паре оптических изомеров, которые не являются зеркальными изображениями друг друга.The term “diastereomer” refers to a pair of optical isomers that are not mirror images of each other.
Термин "таутомер" или "таутомерная форма" относится к структурным изомерам с различными энергиями, которые взаимопревращаются через низкий энергетический барьер.The term "tautomer" or "tautomeric form" refers to structural isomers with different energies that interconvert through a low energy barrier.
Фраза "фармацевтически приемлемый" показывает, что вещество или композиция химически или токсикологически совместима с другими ингредиентами, содержащимися в рецептуре, и/или с млекопитающим, которое подвергают лечению этим веществом или композицией.The phrase "pharmaceutically acceptable" indicates that the substance or composition is chemically or toxicologically compatible with other ingredients contained in the formulation and / or with a mammal that is being treated with this substance or composition.
Фраза "эффективное количество» обозначает количество соединения, которое при введении млекопитающему, нуждающемуся в таком лечении, является достаточным для (i) лечения или предотвращения конкретного заболевания, состояния или нарушения, опосредованного активностью одной или нескольких AKT-протеинкиназ, тирозинкиназ, дополнительных серин/треонинкиназ и/или киназ с «двойной» специфичностью, (ii) улучшения состояния, ослабления или устранения одного или нескольких симптомов конкретного заболевания, состояния или нарушения или (iii) предотвращения или задержки появления одного или нескольких симптомов конкретного заболевания, состояния или нарушения, описанных здесь.The phrase "effective amount" means an amount of a compound that, when administered to a mammal in need of such treatment, is sufficient to (i) treat or prevent a particular disease, condition or disorder mediated by the activity of one or more AKT protein kinases, tyrosine kinases, additional serine / threonine kinases and / or kinases with "double" specificity, (ii) improving the condition, alleviating or eliminating one or more symptoms of a particular disease, condition or disorder, or (iii) preventing increasing or delaying the onset of one or more symptoms of a particular disease, condition, or disorder described herein.
Подразумевается, что термин "проведение лечения" означает, по меньшей мере, облегчение состояния заболевания у млекопитающего, такого как человек, на которого влияют, по меньшей мере, частично, одна или несколько AKT-протеинкиназ, тирозинкиназ, дополнительных серин/треонинкиназ и/или киназ с «двойной» специфичностью. Термины «лечить» и «лечение» относятся как к терапевтическому лечению, так и к профилактическим или превентивным мерам, цель которых состоит в том, чтобы предотвратить или замедлить (уменьшить) нежелательные физиологические изменения или нарушения. Для целей настоящего изобретения благоприятные или желательные клинические результаты включают (но не ограничиваются ими) ослабление симптомов, уменьшение степени поражения, стабилизированное (т.е. не ухудшающееся) состояние заболевания, задержку или замедление развития заболевания, улучшение или облегчение состояния заболевания и ремиссию (частичную или полную), определяемую или неопределяемую. Термин «лечение» может также означать продление времени выживания по сравнению с ожидаемым временем выживания без получения лечения. Нуждающиеся в лечении включают тех, которые уже страдают заболеванием или болезненным состоянием, а также тех, которые, как было обнаружено, предрасположены к состоянию заболевания, но которым еще не поставлен диагноз. Термины «проведение лечения», «лечить» или «лечение» включают в себя как превентивное, т.е. профилактическое, так и паллиативное лечение.The term "treatment" is intended to mean at least alleviating a disease condition in a mammal, such as a human, which is affected at least in part by one or more AKT protein kinases, tyrosine kinases, additional serine / threonine kinases and / or kinases with "double" specificity. The terms “treat” and “treatment” refer to both therapeutic treatment and prophylactic or preventative measures, the purpose of which is to prevent or slow down (reduce) unwanted physiological changes or disorders. For the purposes of the present invention, favorable or desirable clinical results include, but are not limited to, amelioration of symptoms, a decrease in the degree of damage, a stabilized (i.e., not worsening) condition of the disease, a delay or slowdown in the development of the disease, improvement or alleviation of the disease, and remission (partial or full), defined or undefined. The term "treatment" may also mean an extension of the survival time compared to the expected survival time without receiving treatment. Those in need of treatment include those who are already suffering from a disease or condition, as well as those who have been found to be predisposed to the condition of the disease, but who have not yet been diagnosed. The terms “treating”, “treating” or “treating” include as preventative, i.e. preventive and palliative treatment.
Используемый здесь термин «млекопитающее» относится к теплокровному животному, которое страдает заболеванием, описанным здесь, или у которого существует риск развития такого заболевания, и включает морских свинок, собак, кошек, крыс, мышей, хомяков и приматов, в том числе человека, но не ограничен перечисленными животными.As used herein, the term “mammal” refers to a warm-blooded animal that suffers from the disease described herein, or at risk of developing such a disease, and includes guinea pigs, dogs, cats, rats, mice, hamsters and primates, including humans, but not limited to listed animals.
Термин "листок-вкладыш" используют для того, чтобы сослаться на инструкции, обычно включенные в наборы терапевтических продуктов, предназначенные для продажи, в которых содержится информация о показаниях, применении, дозировке, введении, противопоказаниях и/или предупреждениях, касающихся применения таких терапевтических продуктов.The term “package leaflet” is used to refer to instructions usually included in therapeutic product kits intended for sale that contain information about the indications, use, dosage, administration, contraindications and / or warnings regarding the use of such therapeutic products .
Используемые здесь термины "соединение по этому изобретению", "соединения по настоящему изобретению" и "соединения формулы I" включают соединения формулы I и их таутомеры, разделенные энантиомеры, разделенные диастереомеры, рацемические смеси, сольваты, метаболиты, соли (включая фармацевтически приемлемые соли) и фармацевтически приемлемые пролекарства.The terms “compound of this invention”, “compounds of the present invention” and “compounds of formula I” as used herein include compounds of formula I and their tautomers, resolved enantiomers, resolved diastereomers, racemic mixtures, solvates, metabolites, salts (including pharmaceutically acceptable salts) and pharmaceutically acceptable prodrugs.
Следует понимать, что примеры, где два или несколько радикалов используют последовательно для определения заместителя, присоединенного к структуре, радикал, называемый первым, считается терминальным, а радикал называемый последним, считается присоединенным к рассматриваемой структуре. Так, например, арилалкильный радикал присоединен к рассматриваемой структуре алкильной группой.It should be understood that examples where two or more radicals are used sequentially to determine the substituent attached to the structure, the radical called the first is considered terminal, and the radical called the last is considered attached to the structure under consideration. Thus, for example, an arylalkyl radical is attached to the structure under consideration by an alkyl group.
ИНГИБИТОРЫ АКТACT INHIBITORS
Соединения по изобретению формулы I применимы для ингибирования AKT-протеинкиназ. Кроме АКТ, соединения формулы I могут также быть применимы в качестве ингибиторов тирозинкиназ, а также серин- и треонинкиназ. Такие соединения находят применение в качестве терапевтических средств против заболеваний, которые можно лечить ингибированием сигнального пути AKT-протеинкиназ и путей рецепторов тирозин- и серин/треонинкиназ.The compounds of the invention of formula I are useful for inhibiting AKT protein kinases. In addition to ACT, the compounds of formula I may also be useful as inhibitors of tyrosine kinases, as well as serine and threonine kinases. Such compounds find use as therapeutic agents against diseases that can be treated by inhibiting the signaling pathway of AKT protein kinases and tyrosine and serine / threonine kinase receptor pathways.
В общем случае изобретение включает соединения формулы IIn general, the invention includes compounds of formula I
и их разделенные энантиомеры, разделенные диастереомеры и фармацевтически приемлемые соли, где:and their separated enantiomers, separated diastereomers and pharmaceutically acceptable salts, where:
R1 и R1a независимо выбраны из Н, Me, Et, винила, CF3, CHF2 или CH2F;R 1 and R 1a are independently selected from H, Me, Et, vinyl, CF 3 , CHF 2 or CH 2 F;
R2 представляет собой Н, ОН, ОМе или F;R 2 represents H, OH, OMe or F;
R2a представляет собой Н, Me или F;R 2a represents H, Me or F;
R3 представляет собой Н, Me, Et или CF3;R 3 represents H, Me, Et or CF 3 ;
А представляет собой ;A represents ;
G представляет собой фенил, необязательно замещенный одной-четырьмя группами Re, или 5-6-членный гетероарил, необязательно замещенный галогеном;G is phenyl optionally substituted with one to four R e groups, or 5-6 membered heteroaryl optionally substituted with halogen;
R5 и R6 независимо представляют собой Н, ОСН3, С3-С6-циклоалкил, необязательно замещенный F, ОН, C1-С3 алкилом или O(С1-С3 алкилом), 4-6-членный гетероцикл, необязательно замещенный F, ОН, C1-С3 алкилом, циклопропилметилом или С(=O)(C1-С3 алкилом), или C1-С6-алкил, необязательно замещенный одной или несколькими группами, независимо выбранными из ОН, оксо, О(С1-С6-алкила), CN, F, NH2, NH(С1-С6-алкила), N(С1-С6-алкила)2, циклопропила, фенила, имидазолила, пиперидинила, пирролидинила, морфолинила, тетрагидрофуранила, оксетанила или тетрагидропиранила,R 5 and R 6 independently represent H, OCH 3 , C 3 -C 6 cycloalkyl optionally substituted with F, OH, C 1 -C 3 alkyl or O (C 1 -C 3 alkyl), 4-6 membered heterocycle optionally substituted with F, OH, C 1 -C 3 alkyl, cyclopropylmethyl or C (= O) (C 1 -C 3 alkyl), or C 1 -C 6 alkyl optionally substituted with one or more groups independently selected from OH , oxo, O (C 1 -C 6 alkyl), CN, F, NH 2 , NH (C 1 -C 6 alkyl), N (C 1 -C 6 alkyl) 2 , cyclopropyl, phenyl, imidazolyl, piperidinyl, pyrrolidinyl, morpholinyl, tetrahydrofuranyl, oxetanyl or tetrahydropyranyl,
или R5 и R6 вместе с атомом азота, к которому они присоединены, образуют 4-7-членное гетероциклическое кольцо, необязательно замещенное одной или несколькими группами, независимо выбранными из ОН, галогена, оксо, CF3, CH2CF3, CH2CH2OH, O(C1-С3 алкил), С(=O)СН3, NH2, NHMe, N(Me)2, S(O)2СН3, циклопропилметила и C1-С3 алкила, или Rc представляет собой водород, a Rd и R6 вместе с атомами, к которым они присоединены, образуют 4-6-членное гетероциклическое кольцо, содержащее один атом азота;or R 5 and R 6 together with the nitrogen atom to which they are attached form a 4-7 membered heterocyclic ring optionally substituted with one or more groups independently selected from OH, halogen, oxo, CF 3 , CH 2 CF 3 , CH 2 CH 2 OH, O (C 1 -C 3 alkyl), C (= O) CH 3 , NH 2 , NHMe, N (Me) 2 , S (O) 2 CH 3 , cyclopropylmethyl and C 1 -C 3 alkyl or R c represents hydrogen, and R d and R 6, together with the atoms to which they are attached, form a 4-6 membered heterocyclic ring containing one nitrogen atom;
Ra и Rb представляют собой НR a and R b represent H
или Ra представляет собой Н, а Rb и R6 вместе с атомами, к которым они присоединены, образуют 5-6-членное гетероциклическое кольцо, содержащее один или два атома азота;or R a represents H, and R b and R 6 together with the atoms to which they are attached form a 5-6 membered heterocyclic ring containing one or two nitrogen atoms;
Rc и Rd представляют собой Н или MeR c and R d represent H or Me
или Rc и Rd вместе с атомом, к которому они присоединены, образуют циклопропильное кольцо;or R c and R d together with the atom to which they are attached form a cyclopropyl ring;
каждый Re представляет собой независимо галоген, C1-С6-алкил, С3-С6-циклоалкил, О-(С1-С6-алкил), CF3, OCF3, S(С1-С6-алкил), CN, ОСН2-фенил, NH2, NO2, NH-(C1-C6-алкил), N-(С1-С6-алкил)2, пиперидин, пирролидин, CH2F, CHF2, OCH2F, OCHF3, ОН, SO2(С1-С6-алкил), C(O)NH2, C(O)NH(C1-C6-алкил) и С(O)N(С1-С6-алкил)2;each R e is independently halogen, C 1 -C 6 alkyl, C 3 -C 6 cycloalkyl, O- (C 1 -C 6 alkyl), CF 3 , OCF 3 , S (C 1 -C 6 - alkyl), CN, OCH 2 -phenyl, NH 2 , NO 2 , NH- (C 1 -C 6 -alkyl), N- (C 1 -C 6 -alkyl) 2 , piperidine, pyrrolidine, CH 2 F, CHF 2 , OCH 2 F, OCHF 3 , OH, SO 2 (C 1 -C 6 alkyl), C (O) NH 2 , C (O) NH (C 1 -C 6 alkyl) and C (O) N (C 1 -C 6 alkyl) 2 ;
m и n независимо равны 0, 1, 2 или 3 при условии, что (m+n) должны быть равны 2, 3 или 4; иm and n are independently 0, 1, 2, or 3, provided that (m + n) must be 2, 3, or 4; and
р равно 0 или 1.p is 0 or 1.
В общем случае изобретение включает соединения формулы IIn general, the invention includes compounds of formula I
и их разделенные энантиомеры, разделенные диастереомеры и фармацевтически приемлемые соли, где:and their separated enantiomers, separated diastereomers and pharmaceutically acceptable salts, where:
R1 и R1a независимо выбраны из Н, Me, Et, винила, CF3, CHF2 или CH2F;R 1 and R 1a are independently selected from H, Me, Et, vinyl, CF 3 , CHF 2 or CH 2 F;
R2 представляет собой Н, ОН, ОМе или F;R 2 represents H, OH, OMe or F;
R2a представляет собой Н, Me или F;R 2a represents H, Me or F;
R3 представляет собой Н, Me, Et или CF3;R 3 represents H, Me, Et or CF 3 ;
А представляет собой ;A represents ;
G представляет собой фенил, необязательно замещенный одной-четырьмя группами Re, или 5-6-членный гетероарил, необязательно замещенный галогеном;G is phenyl optionally substituted with one to four R e groups, or 5-6 membered heteroaryl optionally substituted with halogen;
R5 и R6 независимо представляют собой Н, ОСН3, С3-С6-циклоалкил, необязательно замещенный F, ОН, C1-С3 алкилом или О-(C1-С3алкилом), 4-6-членный гетероцикл, необязательно замещенный F, ОН, C1-С3 алкилом, циклопропилметилом или С(=O)(C1-С3 алкилом), или C1-С6-алкил, необязательно замещенный одной или несколькими группами, независимо выбранными из ОН, оксо, О-(С1-С6алкила), CN, F, NH2, NH(C1-С6-алкила), N(С1-С6-алкила)2, циклопропила, фенила, имидазолила, пиперидинила, пирролидинила, морфолинила, тетрагидрофуранила, оксетанила или тетрагидропиранила,R 5 and R 6 independently represent H, OCH 3 , C 3 -C 6 cycloalkyl optionally substituted with F, OH, C 1 -C 3 alkyl or O- (C 1 -C 3 alkyl), 4-6 membered a heterocycle optionally substituted with F, OH, C 1 -C 3 alkyl, cyclopropylmethyl or C (= O) (C 1 -C 3 alkyl), or C 1 -C 6 alkyl optionally substituted with one or more groups independently selected from OH, oxo, O- (C 1 -C 6 alkyl), CN, F, NH 2 , NH (C 1 -C 6 alkyl), N (C 1 -C 6 alkyl) 2 , cyclopropyl, phenyl, imidazolyl , piperidinyl, pyrrolidinyl, morpholinyl, tetrahydrofuranyl, oxetanyl or tetrahydropyranyl,
или R5 и R6 вместе с атомом азота, к которому они присоединены, образуют 4-7-членное гетероциклическое кольцо, необязательно замещенное одной или несколькими группами, независимо выбранными из ОН, галогена, оксо, CF3, CH2CF3, CH2CH2OH, O(C1-С3 алкила), С(=O)СН3, NH2, NHMe, N(Me)2, S(O)2СН3, циклопропилметила и C1-С3 алкила;or R 5 and R 6 together with the nitrogen atom to which they are attached form a 4-7 membered heterocyclic ring optionally substituted with one or more groups independently selected from OH, halogen, oxo, CF 3 , CH 2 CF 3 , CH 2 CH 2 OH, O (C 1 -C 3 alkyl), C (= O) CH 3 , NH 2 , NHMe, N (Me) 2 , S (O) 2 CH 3 , cyclopropylmethyl and C 1 -C 3 alkyl ;
Ra и Rb представляют собой НR a and R b represent H
или Ra представляет собой Н, a Rb и R6 вместе с атомами, к которым они присоединены, образуют 5-6-членное гетероциклическое кольцо, содержащее один или два атома азота в кольце;or R a represents H, a R b and R 6 together with the atoms to which they are attached form a 5-6 membered heterocyclic ring containing one or two nitrogen atoms in the ring;
Rc и Rd представляют собой Н или MeR c and R d represent H or Me
или Rc и Rd вместе с атомом, к которому они присоединены, образуют циклопропильное кольцо;or R c and R d together with the atom to which they are attached form a cyclopropyl ring;
каждый Re независимо представляет собой галоген, C1-С6-алкил, С3-С6-циклоалкил, O-(С1-С6-алкил), CF3, OCF3, S(С1-С6-алкил), CN, ОСН2-фенил, NH2, NO2, NH-(C1-С6-алкил), N-(C1-C6-алкил)2, пиперидин, пирролидин, CH2F, CHF2, OCH2F, OCHF2, ОН, SO2(С1-С6-алкил), C(O)NH2, C(O)NH(C1-C6-алкил) и С(O)N(С1-С6-алкил)2;each R e independently represents halogen, C 1 -C 6 alkyl, C 3 -C 6 cycloalkyl, O- (C 1 -C 6 alkyl), CF 3 , OCF 3 , S (C 1 -C 6 - alkyl), CN, OCH 2 -phenyl, NH 2 , NO 2 , NH- (C 1 -C 6 -alkyl), N- (C 1 -C 6 -alkyl) 2 , piperidine, pyrrolidine, CH 2 F, CHF 2 , OCH 2 F, OCHF 2 , OH, SO 2 (C 1 -C 6 alkyl), C (O) NH 2 , C (O) NH (C 1 -C 6 alkyl) and C (O) N (C 1 -C 6 alkyl) 2 ;
m и n независимо равны 0, 1 или 2 при условии, что (m+n) должны быть равны 2, 3 или 4; иm and n are independently 0, 1 or 2, provided that (m + n) must be 2, 3 or 4; and
р равно 0 или 1.p is 0 or 1.
Примеры, относящиеся к группе G формулы I, включают фенил ("Ph"), необязательно замещенный одной или несколькими группами Re, независимо выбранными из F, Cl, Br, I, метила, этила, изопропила, трет-бутила, циклопропила, CN, CF3, ОМе, OEt, OCF3, NO2, SMe и OCH2Ph. Типичные варианты осуществления G включают фенил, 2-хлорфенил, 3-хлорфенил, 4-хлорфенил, 4-фторфенил, 4-бромфенил, 4-метилфенил, 4-этилфенил, 4-изопропилфенил, 4-трифторметилфенил, 4-цианофенил, 4-метоксифенил, 4-этоксифенил, 4-тиометилфенил, 4-трифторметоксифенил, 4-циклопропилфенил, 4-хлор-3-фторфенил, 3,4-дифторфенил, 4-бром-3-фторфенил, 3-фтор-4-метилфенил, 3-фтор-4-метоксифенил, 3-фтор-4-трифторметилфенил, 4-циано-3-фторфенил, 3,4-дихлорфенил, 2,4-дихлорфенил, 2,4-дифторфенил, 2-хлор-4-фторфенил, 2-фтор-4-хлорфенил, 3,5-дихлорфенил, 3,5-дифторфенил, 3-хлор-5-фторфенил, 3-хлор-4-фторфенил, 3-бром-4-фторфенил, 3,5-дифтор-4-хлорфенил, 2,3-дифтор-4-хлорфенил, 2,5-дифтор-4-хлорфенил, 3,5-дифтор-4-бромфенил, 2,3-дифтор-4-бромфенил, 2,5-дифтор-4-бромфенил, 4-(OCH2Ph)-фенил, 4-хлорфенил, 2,4-дихлорфенил, 3,4-дихлорфенил, 4-хлор-3-фторфенил, 3-хлор-4-фторфенил, 3-фтор-4-бромфенил, 4-фторфенил, 3,4-дифторфенил, 2,4-дифторфенил 4-бромфенил, 4-хлор-2-фторфенил, 4-метоксифенил, 4-метилфенил, 4-цианофенил, 4-трифторметилфенил, 4-йодфенил, 4-нитрофенил, 4-трет-бутилфенил, 2-фторфенил, 3-трифторметилфенил, 2-фтор-4-трифторметилфенил, 3-фтор-4-трифторметоксифенил, 3-фтор-4-трифторметилфенил и 4-трифторметоксифенил.Examples relating to group G of formula I include phenyl (“Ph”) optionally substituted with one or more R e groups independently selected from F, Cl, Br, I, methyl, ethyl, isopropyl, tert-butyl, cyclopropyl, CN , CF 3 , OMe, OEt, OCF 3 , NO 2 , SMe and OCH 2 Ph. Typical embodiments of G include phenyl, 2-chlorophenyl, 3-chlorophenyl, 4-chlorophenyl, 4-fluorophenyl, 4-bromophenyl, 4-methylphenyl, 4-ethylphenyl, 4-isopropylphenyl, 4-trifluoromethylphenyl, 4-cyanophenyl, 4-methoxyphenyl , 4-ethoxyphenyl, 4-thiomethylphenyl, 4-trifluoromethoxyphenyl, 4-cyclopropylphenyl, 4-chloro-3-fluorophenyl, 3,4-difluorophenyl, 4-bromo-3-fluorophenyl, 3-fluoro-4-methylphenyl, 3-fluoro -4-methoxyphenyl, 3-fluoro-4-trifluoromethylphenyl, 4-cyano-3-fluorophenyl, 3,4-dichlorophenyl, 2,4-dichlorophenyl, 2,4-difluorophenyl, 2-chloro-4-fluorophenyl, 2-fluoro -4-chlorophenyl, 3,5-dichlorophenyl, 3,5-difluorophenyl, 3-chloro-5-fluorophenyl, 3 or-4-fluorophenyl, 3-bromo-4-fluorophenyl, 3,5-difluoro-4-chlorophenyl, 2,3-difluoro-4-chlorophenyl, 2,5-difluoro-4-chlorophenyl, 3,5-difluoro- 4-bromophenyl, 2,3-difluoro-4-bromophenyl, 2,5-difluoro-4-bromophenyl, 4- (OCH 2 Ph) phenyl, 4-chlorophenyl, 2,4-dichlorophenyl, 3,4-dichlorophenyl, 4-chloro-3-fluorophenyl, 3-chloro-4-fluorophenyl, 3-fluoro-4-bromophenyl, 4-fluorophenyl, 3,4-difluorophenyl, 2,4-difluorophenyl 4-bromophenyl, 4-chloro-2-fluorophenyl , 4-methoxyphenyl, 4-methylphenyl, 4-cyanophenyl, 4-trifluoromethylphenyl, 4-iodophenyl, 4-nitrophenyl, 4-tert-butylphenyl, 2-fluorophenyl, 3-trifluoromethylphenyl, 2-fluoro-4-trifluoromethylphenyl, 3-fluoro -4-trifluoromethoxyphenyl, 3-fluoro-4-tr trifluoromethylphenyl and 4-trifluoromethoxyphenyl.
Фраза "5-6-членный гетероарил, необязательно замещенный галогеном", относящаяся к группе G формулы I, включает тиофены и пиридины, необязательно замещенные атомами галогена. Конкретные примеры включают структуры:The phrase “5-6 membered heteroaryl optionally substituted with halogen” referring to group G of formula I includes thiophenes and pyridines optionally substituted with halogen atoms. Specific examples include structures:
, ,
но не ограничены ими.but not limited to them.
В одном варианте осуществления формулы I R3 представляет собой Н.In one embodiment of the formula, IR 3 is H.
В еще одном варианте осуществления формулы I R3 представляет собой метил, причем указанный метил необязательно находится в (S) конфигурации.In yet another embodiment of formula I, IR 3 is methyl, said methyl optionally being in the (S) configuration.
В еще одном варианте осуществления формулы I R3 представляет собой этил. В одном варианте осуществления формулы I R1 представляет собой метил, причем указанный метил необязательно находится в (R) конфигурации. В некоторых вариантах осуществления формулы I R1a представляет собой Н. В некоторых вариантах осуществления формулы I R1 и R1a оба представляют собой метил.In yet another embodiment of the formula, IR 3 is ethyl. In one embodiment of formula I, IR 1 is methyl, said methyl optionally being in the (R) configuration. In some embodiments, the implementation of formula IR 1a is H. In some embodiments, the implementation of formula IR 1 and R 1a are both methyl.
В еще одном варианте осуществления формулы I R1 представляет собой Н. В некоторых вариантах осуществления формулы I R1a представляет собой Н.In yet another embodiment of formula I, IR 1 is H. In some embodiments of formula I, IR 1a is H.
В еще одном варианте осуществления формулы I R1 представляет собой этил. В некоторых вариантах осуществления формулы I R1a представляет собой Н.In yet another embodiment of formula I, IR 1 is ethyl. In some embodiments, the implementation of formula IR 1a represents N.
В еще одном варианте осуществления формулы I R1 представляет собой СН=СН2 (винил). В некоторых вариантах осуществления формулы I R1a представляет собой Н.In yet another embodiment of the formula, IR 1 is CH = CH 2 (vinyl). In some embodiments, the implementation of formula IR 1a represents N.
В еще одном варианте осуществления формулы I R1 представляет собой СН2ОН. В некоторых вариантах осуществления формулы I R1a представляет собой Н.In yet another embodiment of the formula, IR 1 is CH 2 OH. In some embodiments, the implementation of formula IR 1a represents N.
В одном варианте осуществления формулы I R1a представляет собой Н.In one embodiment of formula I, IR 1a is H.
В одном варианте осуществления формулы I R2 и R2a представляют собой Н.In one embodiment, formulas IR 2 and R 2a are H.
В еще одном варианте осуществления формулы I R2 и R2a представляют собой F.In yet another embodiment, formulas IR 2 and R 2a are F.
В еще одном варианте осуществления формулы I R2 представляет собой F и R2a представляет собой Н.In yet another embodiment of the formula, IR 2 is F and R 2a is H.
В еще одном варианте осуществления формулы I R2 представляет собой ОН. В некоторых вариантах осуществления формулы I R2a представляет собой Н.In yet another embodiment of the formula, IR 2 is OH. In some embodiments, the implementation of formula IR 2a represents N.
В еще одном варианте осуществления формулы I R2 представляет собой ОМе.In yet another embodiment of the formula, IR 2 is OMe.
В одном варианте осуществления формулы I G представляет собой фенил, необязательно замещенный одной-четырьмя группами Re.In one embodiment of the formula IG is phenyl optionally substituted with one to four R e groups.
В одном варианте осуществления формулы I G представляет собой фенил, необязательно замещенный одной-четырьмя группами, независимо выбранными из F, Cl, Br, I, метила, этила, изопропила, трет-бутила, циклопропила, CN, CF3, ОМе, OEt, OCF3, NO2, SMe и OCH2Ph. Типичные варианты осуществления G включают фенил, 2-хлорфенил, 3-хлорфенил, 4-хлорфенил, 4-фторфенил, 4-бромфенил, 4-метилфенил, 4-этилфенил, 4-изопропилфенил, 4-трифторметилфенил, 4-цианофенил, 4-метоксифенил, 4-этоксифенил, 4-тиометилфенил, 4-трифторметоксифенил, 4-циклопропилфенил, 4-хлор-3-фторфенил, 3,4-дифторфенил, 4-бром-3-фторфенил, 3-фтор-4-метилфенил, 3-фтор-4-метоксифенил, 3-фтор-4-трифторметилфенил, 4-циано-3-фторфенил, 3,4-дихлорфенил, 2,4-дихлорфенил, 2,4-дифторфенил, 2-хлор-4-фторфенил, 2-фтор-4-хлорфенил, 3,5-дихлорфенил, 3,5-дифторфенил, 3-хлор-5-фторфенил, 3-хлор-4-фторфенил, 3-бром-4-фторфенил, 3,5-дифтор-4-хлорфенил, 2,3-дифтор-4-хлорфенил, 2,5-дифтор-4-хлорфенил, 3,5-дифтор-4-бромфенил, 2,3-дифтор-4-бромфенил, 2,5-дифтор-4-бромфенил, 4-(OCH2Ph)-фенил, 4-хлорфенил, 2,4-дихлорфенил, 3,4-дихлорфенил, 4-хлор-3-фторфенил, 3-хлор-4-фторфенил, 3-фтор-4-бромфенил, 4-фторфенил, 3,4-дифторфенил, 2,4-дифторфенил 4-бромфенил, 4-хлор-2-фторфенил, 4-метоксифенил, 4-метилфенил, 4-цианофенил, 4-трифторметилфенил, 4-йодфенил, 4-нитрофенил, 4-трет-бутилфенил, 2-фторфенил, 3-трифторметилфенил, 2-фтор-4-трифторметилфенил, 3-фтор-4-трифторметоксифенил, 3-фтор-4-трифторметилфенил и 4-трифторметоксифенил.In one embodiment of the formula, IG is phenyl optionally substituted with one to four groups independently selected from F, Cl, Br, I, methyl, ethyl, isopropyl, tert-butyl, cyclopropyl, CN, CF 3 , OMe, OEt, OCF 3 , NO 2 , SMe and OCH 2 Ph. Typical embodiments of G include phenyl, 2-chlorophenyl, 3-chlorophenyl, 4-chlorophenyl, 4-fluorophenyl, 4-bromophenyl, 4-methylphenyl, 4-ethylphenyl, 4-isopropylphenyl, 4-trifluoromethylphenyl, 4-cyanophenyl, 4-methoxyphenyl , 4-ethoxyphenyl, 4-thiomethylphenyl, 4-trifluoromethoxyphenyl, 4-cyclopropylphenyl, 4-chloro-3-fluorophenyl, 3,4-difluorophenyl, 4-bromo-3-fluorophenyl, 3-fluoro-4-methylphenyl, 3-fluoro -4-methoxyphenyl, 3-fluoro-4-trifluoromethylphenyl, 4-cyano-3-fluorophenyl, 3,4-dichlorophenyl, 2,4-dichlorophenyl, 2,4-difluorophenyl, 2-chloro-4-fluorophenyl, 2-fluoro -4-chlorophenyl, 3,5-dichlorophenyl, 3,5-difluorophenyl, 3-chloro-5-fluorophenyl, 3 or-4-fluorophenyl, 3-bromo-4-fluorophenyl, 3,5-difluoro-4-chlorophenyl, 2,3-difluoro-4-chlorophenyl, 2,5-difluoro-4-chlorophenyl, 3,5-difluoro- 4-bromophenyl, 2,3-difluoro-4-bromophenyl, 2,5-difluoro-4-bromophenyl, 4- (OCH 2 Ph) phenyl, 4-chlorophenyl, 2,4-dichlorophenyl, 3,4-dichlorophenyl, 4-chloro-3-fluorophenyl, 3-chloro-4-fluorophenyl, 3-fluoro-4-bromophenyl, 4-fluorophenyl, 3,4-difluorophenyl, 2,4-difluorophenyl 4-bromophenyl, 4-chloro-2-fluorophenyl , 4-methoxyphenyl, 4-methylphenyl, 4-cyanophenyl, 4-trifluoromethylphenyl, 4-iodophenyl, 4-nitrophenyl, 4-tert-butylphenyl, 2-fluorophenyl, 3-trifluoromethylphenyl, 2-fluoro-4-trifluoromethylphenyl, 3-fluoro -4-trifluoromethoxyphenyl, 3-fluoro-4-tr trifluoromethylphenyl and 4-trifluoromethoxyphenyl.
В одном варианте осуществления формулы I G представляет собой 4-хлорфенил, 4-фторфенил, 4-бромфенил, 4-йодфенил, 4-трифторметилфенил, 4-трифторметоксифенил, 4-тиометилфенил, 3-фтор-4-хлорфенил, 2,4-дихлорфенил или 3,4-дихлорфенил.In one embodiment of formula I, IG is 4-chlorophenyl, 4-fluorophenyl, 4-bromophenyl, 4-iodophenyl, 4-trifluoromethylphenyl, 4-trifluoromethoxyphenyl, 4-thiomethylphenyl, 3-fluoro-4-chlorophenyl, 2,4-dichlorophenyl or 3,4-dichlorophenyl.
В одном варианте осуществления формулы I G может представлять собой 5-6-членный моноциклический гетероарил, необязательно замещенный одним или несколькими атомами галогена. В некоторых вариантах осуществления G может представлять собой тиофен или пиридин, необязательно замещенный одним или несколькими атомами галогена. В некоторых вариантах осуществления G замещен одним атомом галогена. Конкретные варианты осуществления включают:In one embodiment of Formula I, G may be a 5-6 membered monocyclic heteroaryl optionally substituted with one or more halogen atoms. In some embodiments, G may be thiophene or pyridine optionally substituted with one or more halogen atoms. In some embodiments, G is substituted with one halogen atom. Specific embodiments include:
. .
В одном варианте осуществления формулы I R5 представляет собой Н или этил.In one embodiment of the formula, IR 5 is H or ethyl.
В одном варианте осуществления формулы I R6 представляет собой Н или этил.In one embodiment of the formula, IR 6 is H or ethyl.
В одном варианте осуществления формулы I R6 представляет собой водород, этил или изопропил.In one embodiment of the formula, IR 6 is hydrogen, ethyl or isopropyl.
В одном варианте осуществления формулы I Ra и Rb представляют собой Н.In one embodiment, formulas IR a and R b are H.
В одном варианте осуществления формулы I Rc и Rd представляют собой Н.In one embodiment, formulas IR c and R d are H.
В одном варианте осуществления Rc представляет собой водород, а Rd и R6 вместе с атомами, к которым они присоединены, образуют 4-6-членное гетероциклическое кольцо, содержащее один атом азота. В некоторых вариантах осуществления m равно 0, Rc представляет собой водород, а Rd и R6 вместе с атомами, к которым они присоединены, образуют 4-6-членное гетероциклическое кольцо, содержащее один атом азота, так что А имеет формулу:In one embodiment, R c represents hydrogen, and R d and R 6, together with the atoms to which they are attached, form a 4-6 membered heterocyclic ring containing one nitrogen atom. In some embodiments, m is 0, R c is hydrogen, and R d and R 6, together with the atoms to which they are attached, form a 4-6 membered heterocyclic ring containing one nitrogen atom, so that A has the formula:
, ,
где q равно 1 или 2 и n равно 1 или 2. В некоторых вариантах осуществления n равно 1 и q равно 1, n равно 1 и q равно 2 или n равно 2 и q равно 2.where q is 1 or 2 and n is 1 or 2. In some embodiments, n is 1 and q is 1, n is 1 and q is 2 or n is 2 and q is 2.
В одном варианте осуществления формулы I m и n независимо равны 0, 1 или 2 при условии, что (m+n) должны быть равны 2, 3 или 4. В конкретных вариантах осуществления m равно 0 и n равно 2, m равно 1 и n равно 2, m равно 2 и n равно 2, m равно 1 и n равно 1, m равно 2 и n равно 1 или m равно 2 и n равно 0.In one embodiment of formula I, m and n are independently 0, 1, or 2, provided that (m + n) must be 2, 3, or 4. In specific embodiments, m is 0 and n is 2, m is 1, and n is 2, m is 2 and n is 2, m is 1 and n is 1, m is 2 and n is 1 or m is 2 and n is 0.
В одном варианте осуществления формулы I m и n оба равны 1.In one embodiment of formula I, m and n are both 1.
В еще одном варианте осуществления формулы I m равно 2 и n равно 0. В еще одном варианте осуществления формулы I n равно 2 и m равно 0.In yet another embodiment of formula I, m is 2 and n is 0. In yet another embodiment of formula I, n is 2 and m is 0.
В одном варианте осуществления формулы I m равно 1, n равно 1, р равно 0, так что А представлен формулой 1In one embodiment of formula I, m is 1, n is 1, p is 0, so A is represented by formula 1
, ,
где G, R5, R6, Rc и Rd такие, как определено здесь.where G, R 5 , R 6 , R c and R d are as defined herein.
В некоторых вариантах осуществления формулы 1 Rc и Rd представляют собой Н.In some embodiments of Formula 1, R c and R d are H.
В некоторых вариантах осуществления формулы 1 R5 представляет собой Н или этил.In some embodiments of Formula 1, R 5 is H or ethyl.
В некоторых вариантах осуществления формулы 1 R6 представляет собой Н или этил.In some embodiments of Formula 1, R 6 is H or ethyl.
В некоторых вариантах осуществления формулы I m равно 1, n равно 1 и р равно 1, так что А представлен формулой 2In some embodiments of formula I, m is 1, n is 1, and p is 1, so A is represented by formula 2
где G, R6, R7 и R8 такие, как здесь определено.where G, R 6 , R 7 and R 8 are as defined herein.
В некоторых вариантах осуществления формулы 2 Ra и Rb представляют собой Н.In some embodiments of Formula 2, R a and R b are H.
В некоторых вариантах осуществления формулы 2 Rc и Rd представляют собой Н.In some embodiments of Formula 2, R c and R d are H.
В некоторых вариантах осуществления формулы 2 R5 представляет собой Н или этил.In some embodiments of Formula 2, R 5 is H or ethyl.
В некоторых вариантах осуществления формулы 2 R6 представляет собой Н или этил.In some embodiments of Formula 2, R 6 is H or ethyl.
В конкретных вариантах осуществления А представляет собойIn specific embodiments, A is
. .
В дополнительных вариантах осуществления А выбран из структур:In further embodiments, A is selected from the structures:
В дополнительных вариантах осуществления А представляет собойIn further embodiments, A is
. .
В конкретных вариантах осуществления А выбран из:In specific embodiments, A is selected from:
. .
В конкретных вариантах осуществления А представляет собойIn specific embodiments, A is
. .
В некоторых вариантах осуществления соль представляет собой "фармацевтически приемлемую соль", которая, если не указано иное, включает соли, которые сохраняют биологическую эффективность соответствующей свободной кислоты или свободного основания конкретного соединения и не имеют нежелательных биологических или иных эффектов.In some embodiments, the salt is a “pharmaceutically acceptable salt,” which, unless otherwise indicated, includes salts that retain the biological effectiveness of the corresponding free acid or free base of the particular compound and do not have undesirable biological or other effects.
Соединения формулы I также включают другие соли таких соединений, которые не обязательно являются фармацевтически приемлемыми солями и которые могут быть применимы в качестве промежуточных соединений для получения и/или очистки соединений формулы I и/или для разделения энантиомеров соединений формулы I.Compounds of formula I also include other salts of such compounds, which are not necessarily pharmaceutically acceptable salts and which may be useful as intermediates for the preparation and / or purification of compounds of formula I and / or for the separation of enantiomers of compounds of formula I.
СИНТЕЗ СОЕДИНЕНИЙ ФОРМУЛЫ ISYNTHESIS OF COMPOUNDS OF FORMULA I
Соединения по настоящему изобретению можно синтезировать такими путями, которые включают способы, аналогичные хорошо известным в химии, особенно в свете приведенного здесь описания. Исходные вещества обычно доступны из коммерческих источников, таких как Sigma-Aldrich (Сент-Луис, шт. Миссури), Alfa Aesar (Уорд Хилл, шт.Миннесота), или TCI (Портлэнд, шт. Орегон), или их легко получить способами, хорошо известными специалистам в данной области (например, их получают способами, как правило, описанными в [Louis F. Fieser и Mary Fieser, Reagents for Organic Synthesis, v.1-19, Wiley, N.Y. (1967-1999 ed.) или в Beilsteins Handbuch der organischen Chemie, 4, Aufl. ed. Springer-Verlag, Berlin, включая приложения (которые также доступны из online базы данных Beilstein)].The compounds of the present invention can be synthesized in such ways that include methods similar to those well known in chemistry, especially in light of the description herein. Starting materials are usually available from commercial sources such as Sigma-Aldrich (St. Louis, Missouri), Alfa Aesar (Ward Hill, Minnesota), or TCI (Portland, Oregon), or are readily prepared by methods well-known specialists in this field (for example, they are obtained by the methods usually described in [Louis F. Fieser and Mary Fieser, Reagents for Organic Synthesis, v.1-19, Wiley, NY (1967-1999 ed.) or Beilsteins Handbuch der organischen Chemie, 4, Aufl. Ed. Springer-Verlag, Berlin, including applications (which are also available from the Beilstein online database)].
Для иллюстративных целей на схемах 1-8 показаны общие способы получения соединений по настоящему изобретению, а также ключевых промежуточных соединений. Для более подробного описания отдельных стадий реакций см. раздел примеров, который приводится ниже. Специалисты в данной области понимают, что для синтеза соединений по изобретению можно использовать другие синтетические пути. Хотя конкретные исходные вещества и реагенты показаны на схемах и рассматриваются ниже, их можно легко заменить другими исходными веществами и реагентами, чтобы обеспечить получение разнообразных производных и/или условий реакции. Кроме того, многие соединения, полученные способами, описанными ниже, могут быть дополнительно модифицированы в свете настоящего описания с помощью способов традиционной химии, хорошо известных специалистам в данной области.For illustrative purposes, Schemes 1-8 show general methods for preparing the compounds of the present invention, as well as key intermediates. For a more detailed description of the individual reaction steps, see the examples section below. Those skilled in the art will recognize that other synthetic routes can be used to synthesize the compounds of the invention. Although the specific starting materials and reagents are shown in the schemes and are discussed below, they can be easily replaced with other starting materials and reagents to provide a variety of derivatives and / or reaction conditions. In addition, many compounds obtained by the methods described below can be further modified in the light of the present description using methods of traditional chemistry, well known to specialists in this field.
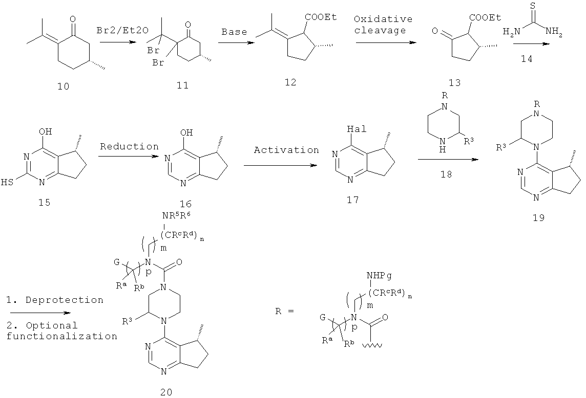
Схема 1Scheme 1
где: Reducing agent - восстановитель,where: Reducing agent - reducing agent,
Deprotection - снятие защиты,Deprotection - removal of protection,
Deprotection and optional functionalization - снятие защиты и необязательная функционализация.Deprotection and optional functionalization - deprotection and optional functionalization.
На схеме 1 показан способ получения соединения 9 формулы I, где p равно 1; Ra и Rb представляют собой Н; R2, R2a, R1, R1a, R3, R5, R6, Rc, Rd, m и n определены здесь; a Pg и Pg' представляют собой аминозащитные группы с взаимоисключающими условиями удаления (например, Pg=Boc и Pg'=Cbz - см., например, "Protective Groups in Organic Synthesis" by Greene and Wuts, Wiley-Interscience, third edition, Chapter 7). Восстановительное аминирование с участием амина 2 и альдегида 1 в стандартных условиях, таких как NaBH(ОАс3)/АсОН при температуре от 0 до 50°С дает замещенный амин 3. Ацилирование полученного замещенного амина 3 замещенным ацилпиперазином 4 в присутствии основания (такого, как основание Хюнига) при температуре от -20 до 100°С дает защищенный пиперазин 5. Удаление этой защитной группы (для Cbz группы, например, гидрогенолизом и т.п.) дает пиперазин 6. Обработка пиперазина 6 галогенированным пиримидином 7 при температуре от 25 до 250°С, и/или при высоком давлении, и/или при действии микроволнового излучения дает промежуточное соединение 8. Снятие защиты с аминогруппы (для Воc группы, например, действием HCl в диоксане при температуре от 0°С до 50°С) и конечная необязательная функционализация амина (например, алкилирование, восстановительное аминирование или ацилирование в стандартных условиях для введения новых заместителей) дают конечные соединения 9. Если требуется, их соответствующие аналоги можно затем подвергнуть разделению и получить индивидуальные энантиомеры.Scheme 1 shows a process for preparing compound 9 of formula I, wherein p is 1; R a and R b represent H; R 2 , R 2a , R 1 , R 1a , R 3 , R 5 , R 6 , R c , R d , m and n are defined herein; a Pg and Pg 'are amino protecting groups with mutually exclusive removal conditions (for example, Pg = Boc and Pg' = Cbz - see, for example, "Protective Groups in Organic Synthesis" by Greene and Wuts, Wiley-Interscience, third edition, Chapter 7). Reductive amination with amine 2 and aldehyde 1 under standard conditions such as NaBH (OAc 3 ) / AcOH at a temperature of 0 to 50 ° C gives a substituted amine 3. Acylation of the resulting substituted amine 3 with substituted acyl piperazine 4 in the presence of a base (such as Hyunig base) at a temperature of -20 to 100 ° C gives protected piperazine 5. Removal of this protective group (for the Cbz group, for example, by hydrogenolysis, etc.) gives piperazine 6. Treatment of piperazine 6 with halogenated pyrimidine 7 at a temperature from 25 to 250 ° C, and / or at high pressure yielding, and / or under the influence of microwave radiation gives intermediate compound 8. Deprotection of the amino group (for the Boc group, for example, by the action of HCl in dioxane at a temperature from 0 ° C to 50 ° C) and the final optional functionalization of the amine (for example, alkylation, reductive amination or acylation under standard conditions for introducing new substituents) gives the final compounds 9. If required, their corresponding analogs can then be separated and individual enantiomers can be obtained.
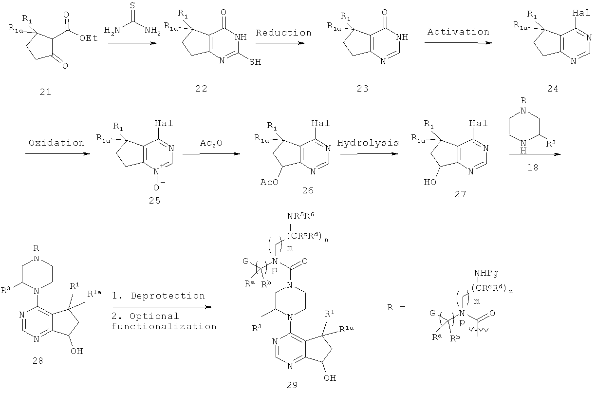
Схема 2Scheme 2
где: Deprotection - снятие защиты,where: Deprotection - deprotection,
Optional functionalization - необязательная функционализация,Optional functionalization - optional functionalization,
Base - основание,Base - base
Oxidative - окислительное расщепление,Oxidative - oxidative cleavage,
Reduction - восстановление,Reduction - recovery,
Activation - активация.Activation - activation.
На схеме 2 показан способ получения соединения 20 формулы I, где R1, R2 и R2a представляют собой водород; R1a представляет собой Me, a R3, R5, R6, Ra, Rb, Rc, Rd, m, n и p такие, как определено здесь. Согласно схеме 2, бромирование (+)-пулегона 10 бромом дает дибромид 11. Обработка дибромида 11 основанием, таким как этоксид натрия, дает пулегенат 12. Окислительное расщепление пулегената 12, например, с помощью озонолиза при низкой температуре с последующей обработкой восстановителем (например, Zn) или с помощью NaIO4/OsO4 при температуре от 5°С до 50°С), дает кетоэфир 13. Обработка кетоэфира 13 тиомочевиной в присутствии основания, такого как КОН в этаноле, с последующим восстановлением меркаптогруппы в стандартных условиях (например, никель Ренея как катализатор в аммиаке) дает гидроксипиримидин 16. Активация соединения 16 (например, галогенирование) действием, например, POCl3 или SOCl2 при температуре от -20 до 100°С с получением хлорпиримидина дает готовую к функционализации пиримидин-циклопентановую единицу 17. Замещение уходящей группы действием подходящего защищенного/замещенного пиперидина 18 при температуре от 0 до 150°С дает пиперидин 19. Снятие защиты с аминогруппы (для Воc группы, например, действием HCl в диоксане при температуре от 0 до 50°С) и конечная необязательная функционализация амина (например, алкилирование, восстановительное аминирование или ацилирование для введения новых заместителей) дают конечные соединения 20. Если требуется, их соответствующие аналоги можно затем подвергнуть разделению и получить индивидуальные энантиомеры.Scheme 2 shows a process for preparing a compound 20 of formula I, wherein R 1 , R 2, and R 2a are hydrogen; R 1a represents Me, a R 3 , R 5 , R 6 , R a , R b , R c , R d , m, n and p are as defined herein. According to Scheme 2, bromination of the (+) - bulletin 10 with bromine gives dibromide 11. Treatment of the dibromide 11 with a base, such as sodium ethoxide, gives bulletin 12. Oxidative cleavage of the bulletin 12, for example, by ozonolysis at low temperature, followed by treatment with a reducing agent (for example, Zn) or using NaIO 4 / OsO 4 at a temperature of from 5 ° C to 50 ° C) gives the ketoester 13. Treatment of the ketoester 13 with thiourea in the presence of a base such as KOH in ethanol, followed by reduction of the mercapto group under standard conditions (for example, Raney nickel like the catalyst in ammonia) gives hydroxypyrimidine 16. Activation of compound 16 (for example, halogenation) by the action of, for example, POCl 3 or SOCl 2 at a temperature of -20 to 100 ° C to produce chloropyrimidine gives a pyrimidine-cyclopentane unit 17 ready for functionalization. Substitution of the leaving group the action of a suitable protected / substituted piperidine 18 at a temperature of from 0 to 150 ° C gives piperidine 19. Deprotection of the amino group (for the Boc group, for example, the action of HCl in dioxane at a temperature of from 0 to 50 ° C) and the final optional functionalization of ami a (e.g., alkylation, reductive amination or acylation to introduce new substituents) gives the final compound 20. If desired, their corresponding analogs can be subjected to separation and then receive the individual enantiomers.
Схема 3Scheme 3
где: Deprotection - снятие защиты,where: Deprotection - deprotection,
Optional functionalization - необязательная функционализация,Optional functionalization - optional functionalization,
Oxidative - окислительное расщепление,Oxidative - oxidative cleavage,
Reduction - восстановление,Reduction - recovery,
Activation - активация,Activation - activation,
Hydrolysis - гидролиз.Hydrolysis - hydrolysis.
На схеме 3 показан способ получения соединения 29 формулы I, где R2 представляет собой ОН, R2a представляет собой Н, а R1, R1a, R3, R5, R6, R7, Ra, Rb, Rc, Rd, m, n и p определены здесь. Согласно схеме 3 обработка кетоэфира 21 тиомочевиной в присутствии основания, такого как КОН в этаноле, с последующим восстановлением меркаптогруппы в стандартных условиях (например, никель Ренея как катализатор в аммиаке) дает гидроксипиримидин 23. Активация (например, галогенирование) гидроксипиримидина 23 в стандартных условиях (например, действием POCl3) дает 4-галогенпиримидин 24. Окисление 4-хлорпиримидина 24 окислителем, таким как m-СРВА или пероксид водорода, дает N-оксид 25. Перегруппировка N-оксида 25 уксусным ангидридом дает промежуточное соединение 26. Соединение 26 затем гидролизуют (например, действием LiOH или NaOH при температуре от 0 до 50°С) и получают спирт 27. Соединение 27 затем подвергают взаимодействию с требуемым замещенным пиперазином 18 в соответствии с методикой, описанной на схеме 1, и получают соединение 28. Если соединение 29 должно подвергаться необязательной функционализации, на этой стадии спирт 28 может быть защищен (например, TBS группой), чтобы не допустить возможных осложнений. Удаление защитной группы (Pg) соединения 28, например, с помощью кислоты (например, ТФУ при температуре от -20 до 50°С) в случае Воc группы, и последующая необязательная функционализация свободного амина (например, алкилирование, ацилирование, восстановительное аминирование и т.п.) в стандартных условиях дают полностью функционализированное соединение 29. Полученное соединение 29 можно также подвергать разделению для получения индивидуальных диастереоизомеров, используя либо хиральное разделение, стандартное нехиральное разделение (например, колоночную хроматографию, ВЭЖХ, СКЖХ и т.п.), перекристаллизацию, либо дериватизацию.Scheme 3 shows a process for preparing a compound 29 of formula I, wherein R 2 is OH, R 2a is H, and R 1 , R 1a , R 3 , R 5 , R 6 , R 7 , R a , R b , R c , R d , m, n and p are defined herein. According to Scheme 3, treatment of the ketoester 21 with thiourea in the presence of a base such as KOH in ethanol, followed by reduction of the mercapto group under standard conditions (for example, Raney nickel as a catalyst in ammonia) gives hydroxypyrimidine 23. Activation (e.g., halogenation) of hydroxypyrimidine 23 under standard conditions ( for example, the action of POCl 3) provides the 4-halopyrimidine 24. The oxidation of the 4-chloropyrimidine 24 oxidizing agent such as m-CPBA or hydrogen peroxide gives the N-oxide 25. rearrangement of N-oxide 25 with acetic anhydride yields the intermediate compound 26. Compound 26 is then hydrolyzed (for example, by LiOH or NaOH at a temperature of 0 to 50 ° C.) to give alcohol 27. Compound 27 is then reacted with the desired substituted piperazine 18 according to the procedure described in Scheme 1, and obtained compound 28. If compound 29 is to undergo optional functionalization, at this stage the alcohol 28 may be protected (for example, with a TBS group) to prevent possible complications. Removal of the protective group (Pg) of compound 28, for example, with an acid (e.g., TFA at a temperature of -20 to 50 ° C) in the case of a Boc group, and subsequent optional functionalization of the free amine (e.g., alkylation, acylation, reductive amination, etc.) .p.) under standard conditions give a fully functionalized compound 29. The obtained compound 29 can also be separated to obtain individual diastereoisomers using either chiral resolution, standard non-chiral resolution (for example, column chromatography, HPLC, SLC, etc.), recrystallization, or derivatization.
Схема 4Scheme 4
где: Deprotection - снятие защиты,where: Deprotection - deprotection,
Optional functionalization - необязательная функционализация,Optional functionalization - optional functionalization,
Activation - активация.Activation - activation.
На схеме 4 показан альтернативный способ получения соединения 32 формулы I, где R2 и R2a представляют собой H, a R1, R1a, R3, R5, R6, R7, Ra, Rb, Rc, Rd, m, n и p определены здесь. Согласно схеме 3 аминирование кетоэфира 21 с помощью аммониевого синтона дает 30. Образование пиримидина, например, с помощью формиата аммония в присутствии формамида при температуре от 0°С до 250°С, и/или при высоком давлении, и/или действием микроволнового излучения дает бициклический продукт 23. Активация соединения 23 с помощью, например, POCl3 или SOCl2, дает активированный пиримидин, а замещение уходящей группы действием подходящего защищенного/замещенного пиперидина 18 при температуре от 0 до 150°С дает пиперидин 31. Снятие защиты с аминной группы (для Воc группы, например, действием HCl в диоксане при температуре от 0 до 50°С) и конечная необязательная функционализация амина (например, алкилирование, восстановительное аминирование или ацилирование для введения новых заместителей) дает конечные соединения 32. Если требуется, их соответствующие аналоги можно затем подвергнуть разделению и получить индивидуальные энантиомеры.Scheme 4 shows an alternative method for preparing compound 32 of formula I, wherein R 2 and R 2a are H, a R 1 , R 1a , R 3 , R 5 , R 6 , R 7 , R a , R b , R c , R d , m, n and p are defined here. According to Scheme 3, amination of the ketoester 21 with an ammonium synthon gives 30. The formation of pyrimidine, for example, with ammonium formate in the presence of formamide at a temperature from 0 ° C to 250 ° C, and / or at high pressure, and / or the action of microwave radiation gives bicyclic product 23. Activation of compound 23 with, for example, POCl 3 or SOCl 2 gives activated pyrimidine, and substitution of the leaving group with the action of a suitable protected / substituted piperidine 18 at temperatures from 0 to 150 ° C gives piperidine 31. Deprotection of the amine group py (for the Boc group, for example, by the action of HCl in dioxane at a temperature from 0 to 50 ° C) and the final optional functionalization of the amine (for example, alkylation, reductive amination or acylation for the introduction of new substituents) gives the final compounds 32. If necessary, their corresponding analogues can then be subjected to separation and to obtain individual enantiomers.
Схема 5Scheme 5
где: Deprotection - снятие защиты,where: Deprotection - deprotection,
Optional functionalization - необязательная функционализация.Optional functionalization - optional functionalization.
Схема 5 демонстрирует способ получения соединения 35 формулы I, где R2 представляет собой фтор, R2a представляет собой водород, a R1, R1a, R3, R5, R6, R7, Ra, Rb, Rc, Rd, m, n и p определены здесь. Согласно схеме 5, обработка спирта 33 фторирующим агентом, таким как DAST, при температуре от -78 до 100°С, дает фторпроизводное 34. Снятие защиты с аминогруппы (для Воc группы, например, действием HCl в диоксане при температуре от 0 до 50°С) и конечная необязательная функционализация амина (например, алкилирование, восстановительное аминирование или ацилирование для введения новых заместителей) дают конечные соединения 35. Если требуется, их соответствующие аналоги можно затем подвергнуть разделению и получить индивидуальные энантиомеры.Scheme 5 shows a process for preparing compound 35 of formula I, wherein R 2 is fluoro, R 2a is hydrogen, and R 1 , R 1a , R 3 , R 5 , R 6 , R 7 , R a , R b , R c , R d , m, n and p are defined herein. According to Scheme 5, treating alcohol 33 with a fluorinating agent, such as DAST, at a temperature of -78 to 100 ° C, gives a fluorine derivative 34. Deprotection of the amino group (for the Boc group, for example, by the action of HCl in dioxane at a temperature of from 0 to 50 ° C) and the final optional functionalization of the amine (for example, alkylation, reductive amination or acylation to introduce new substituents) give the final compounds 35. If desired, their corresponding analogs can then be separated and individual enantiomers can be obtained.
Схема 6Scheme 6
где: Deprotection - снятие защиты.where: Deprotection - deprotection.
Схема 6 демонстрирует способ получения соединения 39 формулы I, где p равно 0; NR5R6 представляет собой такую группу, что амин не может быть дополнительно ацилирован соединением 4; а R2, R2a, R1, R1a, R3, R5, R6, R7, Ra, Rb, Rc, Rd, m и n определены здесь. Ацилирование замещенного амина 36 замещенным ацилпиперазином 4 в присутствии основания (такого, как основание Хюнига) при температуре от -20 до 100°С дает защищенный пиперазин 37 (Pg = защитная группа). Удаление этой защитной группы (для Воc группы, например, действием HCl в диоксане, для Cbz групп - гидрогенолизом и т.п.) дает пиперазин 38. Обработка полученного пиперазина 38 галогенированным пиримидином 7 при температуре от 50 до 250°С, и/или при высоком давлении, и/или при действии микроволнового излучения дает продукт 39. Если требуется, его соответствующие аналоги можно затем подвергнуть разделению и получить индивидуальные энантиомеры.Scheme 6 shows a process for preparing a compound 39 of formula I, wherein p is 0; NR 5 R 6 is such a group that the amine cannot be further acylated with compound 4; and R 2 , R 2a , R 1 , R 1a , R 3 , R 5 , R 6 , R 7 , R a , R b , R c , R d , m and n are defined herein. Acylation of the substituted amine 36 with substituted acyl piperazine 4 in the presence of a base (such as a Hunig base) at a temperature of from -20 to 100 ° C gives protected piperazine 37 (Pg = protecting group). Removal of this protective group (for the Boc group, for example, by the action of HCl in dioxane, for Cbz groups by hydrogenolysis, etc.) gives piperazine 38. Treatment of the obtained piperazine 38 with halogenated pyrimidine 7 at a temperature of from 50 to 250 ° C, and / or at high pressure, and / or under the influence of microwave radiation gives the product 39. If required, its corresponding analogs can then be subjected to separation and obtain individual enantiomers.
Схема 7Scheme 7
где: Deprotection - снятие защиты,where: Deprotection - deprotection,
Optional functionalization - необязательная функционализация.Optional functionalization - optional functionalization.
Схема 7 демонстрирует альтернативный путь образования соединения (44) формулы I, где R2, R2a, R1, R1a, R3, R5, R6, R7, Ra, Rb, Rc, Rd, m, p и n определены здесь, а Pg и Pg1 представляют собой защитные группы с взаимоисключающими условиями удаления (например, группы Воc и Cbz). Ацилирование замещенного амина 40 замещенным ацилпиперазином 4 в присутствии основания (такого как основание Хюнига) при температуре от -20°С до 100°С дает защищенный пиперазин 41 (Pg = защитная группа). Удаление этой защитной группы (например, Воc группы действием HCl в диоксане или Cbz группы - гидрогенолизом) дает пиперазин 42. Обработка полученного пиперазина 42 галогенированным пиримидином 7 при температуре от 50°С до 250°С и/или при высоком давлении или при действии микроволнового излучения дает промежуточное соединение 43. Удаление аминозащитной группы (например, Воc группы действием HCl в диоксане при температуре от 0 до 50°С) и последующая необязательная функционализация (например, алкилирование, восстановительное аминирование или ацилирование для введения новых заместителей) дает конечные соединения 44. Если требуется, эти соответствующие аналоги можно затем подвергнуть разделению получить индивидуальные энантиомеры.Scheme 7 shows an alternative way of forming a compound (44) of formula I, where R 2 , R 2a , R 1 , R 1a , R 3 , R 5 , R 6 , R 7 , R a , R b , R c , R d , m, p and n are defined here, and Pg and Pg 1 are protecting groups with mutually exclusive deletion conditions (for example, Boc and Cbz groups). Acylation of the substituted amine 40 with substituted acyl piperazine 4 in the presence of a base (such as a Hunig base) at a temperature of from -20 ° C to 100 ° C gives protected piperazine 41 (Pg = protecting group). Removal of this protective group (for example, the Boc group by the action of HCl in dioxane or the Cbz group by hydrogenolysis) gives piperazine 42. Treatment of the obtained piperazine 42 with halogenated pyrimidine 7 at a temperature of from 50 ° C to 250 ° C and / or at high pressure or under microwave action radiation is provided by intermediate 43. The removal of the amino protecting group (for example, the Boc group by the action of HCl in dioxane at a temperature from 0 to 50 ° C) and the subsequent optional functionalization (for example, alkylation, reductive amination or acylations of to introduce new substituents) gives the final compound 44. If desired, the appropriate analogs can then be subjected to separation to obtain the individual enantiomers.
Схема 8Scheme 8
где: Deprotection - снятие защиты,where: Deprotection - deprotection,
Optional functionalization - необязательная функционализация,Optional functionalization - optional functionalization,
Protection - защита,Protection
Triphosgene - трифосген.Triphosgene - Triphosgene.
На схеме 8 показан альтернативный путь получения соединения 29 формулы I, где R2 представляет собой ОН; R28 представляет собой Н; R1, R1a, R3, R5, R6, R7, Ra, Rb, Rc, Rd, m, p и n определены здесь; a Pg и Pg' представляют собой защитные группы с взаимоисключающими условиями их удаления (например, группы Boc и TBS, см., например, 'Protective Groups in Organic Synthesis' by Greene и Wuts, Wiley-Interscience). Согласно схеме 8 соединение 45 подвергают взаимодействию с требуемым замещенным пиперазином 46 по методике, описанной на схеме 1, для получения соединения 47. Защита полученного спирта 47 (например, группой TBS с использованием TBSOTf в присутствии аминного основания, такого как основание Хюнига) дает соединение 48. Удаление аминозащитной группы [например, с помощью кислоты (например, ТФУ при температуре от -20°С до 50°С) в случае Воc группы] дает свободный амин 49. Обработка соединения 49 эквивалентом фосгена (таким как трифосген) дает активированное промежуточное соединение 50, а последующая обработка амином 51 в присутствии основания (например, основания Хюнига при температуре от -50°С до 100°С) дает мочевину 52. Удаление вновь введенной в соединение 52 аминозащитной группы (Pg) в условиях, которые известны как не влияющие на гидроксизащитную группу (Pg') (например, ТФУ при температуре от -50°С до 30°С для группы Вос), и последующая необязательная функционализация свободного амина (например, алкилирование, ацилирование, восстановительное аминирование и т.п.) в стандартных условиях дают полностью функционализированное соединение 53. Наконец, удаление гидроксизащитной группы (например, в случае группы TBS действием источника фторид-иона, такого как TBAF, при температуре от -50°С до +50°С) дает конечное соединение 54. Полученное соединение 54 можно также подвергнуть разделению, чтобы получить индивидуальные диастереомеры посредством либо хирального разделения, стандартного нехирального разделения (например, колоночной хроматографией, ВЭЖХ, СКЖХ и т.п.), перекристаллизации или методом дериватизации.Scheme 8 shows an alternative route to the preparation of compound 29 of formula I, wherein R 2 is OH; R 28 represents H; R 1 , R 1a , R 3 , R 5 , R 6 , R 7 , R a , R b , R c , R d , m, p and n are defined herein; a Pg and Pg 'are protective groups with mutually exclusive conditions for their removal (for example, Boc and TBS groups, see, for example,' Protective Groups in Organic Synthesis' by Greene and Wuts, Wiley-Interscience). According to Scheme 8, compound 45 is reacted with the desired substituted piperazine 46 according to the procedure described in scheme 1 to obtain compound 47. Protection of the resulting alcohol 47 (for example, with a TBS group using TBSOTf in the presence of an amine base such as Hyunig base) gives compound 48 Removal of the amino protecting group [for example, using acid (for example, TFA at a temperature of −20 ° C. to 50 ° C.) in the case of the Boc group] gives free amine 49. Treatment of compound 49 with an equivalent phosgene (such as triphosgene) gives activated daily compound 50, and subsequent treatment with amine 51 in the presence of a base (for example, Hunig base at a temperature of from -50 ° C to 100 ° C) gives urea 52. Removal of the newly introduced amino protecting group (Pg) in compound 52 under conditions that are known as not affecting the hydroxy protecting group (Pg ') (for example, TFA at a temperature of from -50 ° C to 30 ° C for the Boc group), and subsequent optional functionalization of the free amine (for example, alkylation, acylation, reductive amination, etc.) under standard conditions give a fully functional ionized compound 53. Finally, removal of the hydroxy protecting group (for example, in the case of the TBS group by the action of a fluoride ion source such as TBAF at a temperature of from -50 ° C to + 50 ° C) gives the final compound 54. The resulting compound 54 can also be subjected separation to obtain individual diastereomers by either chiral resolution, standard non-chiral resolution (e.g., column chromatography, HPLC, SLC, etc.), recrystallization or derivatization.
Аналогичные методики могут также предусматриваться (без стадий защиты спирта/снятия защиты) для соединений, где R2 представляет собой Н или F вместо ОН.Similar techniques may also be provided (without alcohol protection / deprotection steps) for compounds where R 2 is H or F instead of OH.
Соответственно, еще один объект изобретения относится к способу получения соединений формулы I, включающему:Accordingly, another object of the invention relates to a method for producing compounds of formula I, including:
(а) взаимодействие соединения формулы(a) the interaction of the compounds of formula
, ,
где R1, R1a, R2 и R2a такие, как определено здесь, a Hal представляет собой галоген,where R 1 , R 1a , R 2 and R 2a are as defined herein, a Hal is halogen,
с соединением формулыwith a compound of the formula
, ,
где G, R3, Rc, Rd, n, m и p такие, как определено здесь, и Pg представляет собой защитную группу, такую как определено здесь, последующее снятие защиты и необязательную функционализацию с получением соединения формулы I;where G, R 3 , R c , R d , n, m, and p are as defined herein, and Pg is a protecting group, as defined herein, subsequent deprotection and optional functionalization to give a compound of formula I;
(b) активацию соединения формулы(b) activation of the compounds of formula
, ,
где R1 и R1a такие, как определено здесь,where R 1 and R 1a are as defined here,
действием POCl3 или SOCl2, за которой следует реакция замещения с соединением формулыthe action of POCl 3 or SOCl 2 , followed by a substitution reaction with a compound of the formula
, ,
где G, R3, Rc, Rd, n и m такие, как определено здесь, и Pg представляет собой защитную группу, такую как определено здесь,where G, R 3 , R c , R d , n and m are as defined herein, and Pg is a protecting group, as defined herein,
с последующим снятием защиты и необязательной функционализацией, что дает соединение формулы I; илиfollowed by deprotection and optional functionalization, which gives a compound of formula I; or
(с) взаимодействие соединения формулы(c) reacting a compound of the formula
, ,
где R1, R1a и R3 такие, как определено здесь, и Pg' представляет собой защитную группу, как определено здесь,where R 1 , R 1a and R 3 are as defined here, and Pg 'represents a protective group, as defined here,
с соединением формулыwith a compound of the formula
, ,
где G, Ra, Rb, Rc, Rd, n, m и p такие, как определено здесь, и Pg представляет собой защитную группу, как определено здесь, с последующим снятием защиты и необязательной функционализацией, что дает соединение формулы I.where G, R a , R b , R c , R d , n, m and p are as defined herein, and Pg is a protecting group as defined herein, followed by deprotection and optional functionalization to give a compound of formula I .
При получении соединений формулы I может быть необходима защита удаленных функциональных групп (например, первичных или вторичных аминов и т.п.) промежуточных соединений. Потребность в такой защите может изменяться в зависимости от природы удаленной функциональной группы и условий способов получения. Подходящие аминозащитные группы (NH-Pg) включают ацетил, трифторацетил, трет-бутоксикарбонил (ВОС), бензилоксикарбонил (CBz) и 9-флуоренилметиленоксикарбонил (Fmoc). Необходимость такой защиты легко определяет специалист в данной области. Общее описание защитных групп и их применения см. Т.W.Greene, Protective Groups in Organic Synthesis, John Wiley & Sons, New York, 1991.In the preparation of compounds of formula I, protection of distant functional groups (e.g., primary or secondary amines, etc.) of intermediate compounds may be necessary. The need for such protection may vary depending on the nature of the remote functional group and the conditions of the preparation methods. Suitable amino protecting groups (NH-Pg) include acetyl, trifluoroacetyl, tert-butoxycarbonyl (BOC), benzyloxycarbonyl (CBz) and 9-fluorenylmethyleneoxycarbonyl (Fmoc). The need for such protection is easily determined by a person skilled in the art. For a general description of protective groups and their uses, see T. W. Greene, Protective Groups in Organic Synthesis, John Wiley & Sons, New York, 1991.
МЕТОДЫ РАЗДЕЛЕНИЯSEPARATION METHODS
Соединения по настоящему изобретению могут иметь один или несколько асимметрических центров; поэтому такие соединения можно получать в виде индивидуальных (R)- или (S)-стереоизомеров или в виде их смесей. Если не указано иное, подразумевается, что описание или наименование конкретного соединения в описании и формуле изобретения включает как индивидуальные энантиомеры и диастереомеры, так и их смеси, рацемические или другие. Соответственно, настоящее изобретение также охватывает все такие изомеры, включающие диастереомерные смеси, чистые диастереомеры и чистые энантиомеры соединений по настоящему изобретению. Диастереомеры имеют разные физические свойства, например, температуры плавления, температуры кипения, спектральные свойства и реакционную способность.The compounds of the present invention may have one or more asymmetric centers; therefore, such compounds can be obtained as individual (R) or (S) stereoisomers or as mixtures thereof. Unless otherwise indicated, it is understood that the description or name of a particular compound in the description and claims includes both individual enantiomers and diastereomers, and mixtures thereof, racemic or others. Accordingly, the present invention also encompasses all such isomers, including diastereomeric mixtures, pure diastereomers and pure enantiomers of the compounds of the present invention. Diastereomers have different physical properties, for example, melting points, boiling points, spectral properties and reactivity.
Может быть выгодно отделять продукты реакции друг от друга и/или от исходных веществ. Целевые продукты каждой стадии или ряда стадий разделяют и/или очищают (здесь далее разделяют) до требуемой степени однородности методами, обычными в данной области техники. Как правило, такие методы разделения включают многократную экстракцию, кристаллизацию из растворителя или смесей растворителей, перегонку, сублимацию или хроматографию. Хроматография может включать любые ее разновидности, в том числе, например, хроматографию с обращенной фазой и нормальной фазой; эксклюзионную хроматографию; ионообменную хроматографию; методы и аппаратуру для жидкостной хроматографии высокого, среднего и низкого давления; маломасштабную аналитическую хроматографию; хроматографию с псевдодвижущимся слоем (ПДС) и препаративную тонкослойную и толстослойную хроматографию, а также методы маломасштабной тонкослойной и флэш-хроматографии. Специалист в данной области будет применять те методы, которые вероятнее всего позволят добиться требуемого разделения.It may be advantageous to separate the reaction products from each other and / or from the starting materials. The target products of each step or series of steps are separated and / or purified (hereinafter, separated) to the desired degree of uniformity by methods conventional in the art. Typically, such separation methods include multiple extraction, crystallization from a solvent or solvent mixtures, distillation, sublimation or chromatography. Chromatography may include any of its varieties, including, for example, chromatography with reverse phase and normal phase; size exclusion chromatography; ion exchange chromatography; methods and equipment for high, medium and low pressure liquid chromatography; small-scale analytical chromatography; fluid-bed chromatography (PDS) and preparative thin-layer and thick-layer chromatography, as well as methods of small-scale thin-layer and flash chromatography. A person skilled in the art will apply those methods that are most likely to achieve the desired separation.
Диастереомерные смеси можно разделять на индивидуальные диастереомеры, на основе различий их физико-химических свойств способами, хорошо известными. специалистам в данной области, такими как хроматография и/или фракционная кристаллизация. Энантиомеры можно разделять превращением энантиомерной смеси в диастереомерную смесь взаимодействием с соответствующим оптически активным соединением (например, хиральным вспомогательным реагентом, таким как хиральный спирт или хлорангидрид кислоты Мошера), разделением диастереомеров и превращением (например, гидролизом) индивидуальных диастереоизомеров в соответствующие чистые энантиомеры. Энантиомеры можно также разделять с помощью хиральной ВЭЖХ-колонки.Diastereomeric mixtures can be divided into individual diastereomers, based on differences in their physicochemical properties by methods well known. those skilled in the art, such as chromatography and / or fractional crystallization. Enantiomers can be separated by converting the enantiomeric mixture into a diastereomeric mixture by reaction with an appropriate optically active compound (e.g., a chiral auxiliary reagent, such as chiral alcohol or Mosher acid chloride), resolution of the diastereomers, and conversion (e.g., hydrolysis) of the individual diastereomers to the corresponding pure enantiomers. Enantiomers can also be resolved using a chiral HPLC column.
Индивидуальный стереоизомер, например энантиомер, по существу не содержащий своего стереоизомера, можно получать разделением рацемической смеси с помощью такого метода, как образование диастереомеров с использованием оптически активных расщепляющих агентов [Eliel, Е. и Wilen, S. "Stereochemistry of Organic Compounds," John Wiley & Sons, Inc., New York, 1994; Lochmuller, C. H., (1975) J. Chromatogr., 113(3):283-302]. Рацемические смеси хиральных соединений по изобретению можно разделять и выделять любым подходящим методом, включая: (1) образование ионных диастереомерных солей с хиральными соединениями и разделение фракционной кристаллизацией или другими методами, (2) образование диастереомерных соединений с хиральными дериватизирующими реагентами, разделение диастереомеров и превращение в чистые стереоизомеры и (3) разделение по существу чистых или обогащенных стереоизомеров непосредственно в хиральных условиях. См.: "Drug Stereochemistry, Analytical Methods и Pharmacology," Irving W. Wainer, Ed., Marcel Dekker, Inc., New York (1993).An individual stereoisomer, for example an enantiomer substantially free of its stereoisomer, can be obtained by resolving the racemic mixture using a method such as the formation of diastereomers using optically active cleavage agents [Eliel, E. and Wilen, S. "Stereochemistry of Organic Compounds," John Wiley & Sons, Inc., New York, 1994; Lochmuller, C. H., (1975) J. Chromatogr. 113 (3): 283-302]. The racemic mixtures of chiral compounds of the invention can be separated and isolated by any suitable method, including: (1) formation of ionic diastereomeric salts with chiral compounds and separation by fractional crystallization or other methods, (2) formation of diastereomeric compounds with chiral derivatizing reagents, separation of diastereomers and conversion to pure stereoisomers; and (3) separating substantially pure or enriched stereoisomers directly under chiral conditions. See: "Drug Stereochemistry, Analytical Methods and Pharmacology," Irving W. Wainer, Ed., Marcel Dekker, Inc., New York (1993).
По методу (1) диастереомерные соли можно получать путем взаимодействия энантиомерно чистых хиральных оснований, таких как бруцин, хинин, эфедрин, стрихнин, α-метил-β-фенилэтиламин (амфетамин), и им подобные, с асимметрическими соединениями, содержащими кислотные функциональные группы, такими как карбоновые кислоты и сульфоновые кислоты. Разделение диастереомерных солей может быть индуцировано фракционной кристаллизацией или ионной хроматографией. Для разделения оптических изомеров аминосоединений присоединение хиральных карбоновых или сульфоновых кислот, таких как камфорсульфоновая кислота, винная кислота, миндальная кислота или молочная кислота может привести к образованию диастереомерных солей.According to method (1), diastereomeric salts can be obtained by reacting enantiomerically pure chiral bases, such as brucin, quinine, ephedrine, strychnine, α-methyl-β-phenylethylamine (amphetamine), and the like, with asymmetric compounds containing acidic functional groups, such as carboxylic acids and sulfonic acids. Separation of diastereomeric salts may be induced by fractional crystallization or ion chromatography. To separate the optical isomers of amino compounds, the addition of chiral carboxylic or sulfonic acids, such as camphorsulfonic acid, tartaric acid, mandelic acid or lactic acid, can lead to the formation of diastereomeric salts.
Согласно альтернативному методу (2) субстрат, который надо разделить, подвергают взаимодействию с одним энантиомером хирального соединения, чтобы образовать диастереомерную пару (Е. и Wilen, S. "Stereochemistry of Organic Compounds", John Wiley & Sons, Inc., 1994, p.322). Диастереомерные соединения могут образовываться путем взаимодействия асимметрического соединения с энантиомерно чистыми дериватизирующими реагентами, такими как ментальные производные; последующее разделение диастереомеров и гидролиз дают чистый или обогащенный энантиомер. Способ определения оптической чистоты включает получение хиральных сложных эфиров, таких как ментиловый эфир, например, (-) ментилхлорформиат, в присутствии основания, или сложный эфир Мошера, α-метокси-α-(трифторметил)фенилацетат (Jacob III. J. Org. Chem., (1982) 47:4165), рацемической смеси и анализ 1Н-ЯМР спектра на наличие двух атропизомерных энантиомеров или диастереомеров. Стабильные диастереомеры атропизомерных соединений можно разделять и выделять хроматографией с нормальной или обращенной фазой, действуя в соответствии с методиками разделения атропизомерных нафтил-изохинолинов (WO 96/15111).According to alternative method (2), the substrate to be separated is reacted with a single enantiomer of a chiral compound to form a diastereomeric pair (E. and Wilen, S. "Stereochemistry of Organic Compounds", John Wiley & Sons, Inc., 1994, p .322). Diastereomeric compounds can be formed by reacting an asymmetric compound with enantiomerically pure derivatizing reagents, such as mental derivatives; subsequent separation of the diastereomers and hydrolysis give a pure or enriched enantiomer. A method for determining optical purity involves the preparation of chiral esters, such as menthyl ester, for example (-) menthyl chloroformate, in the presence of a base, or Mosher ester, α-methoxy-α- (trifluoromethyl) phenylacetate (Jacob III. J. Org. Chem ., (1982) 47: 4165), a racemic mixture and analysis of 1 H-NMR spectrum for the presence of two atropisomeric enantiomers or diastereomers. Stable diastereomers of atropisomeric compounds can be separated and isolated by normal or reverse phase chromatography, operating in accordance with separation techniques of atropisomeric naphthyl-isoquinolines (WO 96/15111).
Согласно методу (3) рацемическую смесь двух энантиомеров можно разделять хроматографически, используя хиральную стационарную фазу ("Chiral Liquid Chromatography" (1989) W.J.Lough, Ed., Chapman и Hall, New York; Okamoto, J. of Chromatogr., (1990) 513:375-378). Обогащенные или очищенные энантиомеры можно различать такими методами, как оптическое вращение и круговой дихроизм, которые используются для того, чтобы различать другие хиральные молекулы с асимметрическими атомами углерода.According to method (3), a racemic mixture of two enantiomers can be separated chromatographically using a chiral stationary phase (Chiral Liquid Chromatography (1989) WJLough, Ed., Chapman and Hall, New York; Okamoto, J. of Chromatogr., (1990) 513: 375-378). Enriched or purified enantiomers can be distinguished by methods such as optical rotation and circular dichroism, which are used to distinguish other chiral molecules with asymmetric carbon atoms.
Соединения по настоящему изобретению могут также существовать в различных таутомерных формах, и все такие формы охватываются объемом настоящего изобретения. Например, протонные таутомеры (также известные под названием прототропные таутомеры) включают взаимопревращения посредством миграции протона, такие как кето-енольная и имин-енаминная изомеризации. Валентные таутомеры включают взаимопревращения путем реорганизации некоторых из связывающих электронов.The compounds of the present invention may also exist in various tautomeric forms, and all such forms are encompassed by the scope of the present invention. For example, proton tautomers (also known as prototropic tautomers) include interconversions through proton migration, such as keto-enol and imine-enamine isomerizations. Valence tautomers include interconversions by reorganization of some of the binding electrons.
В структурах, показанных здесь, в случаях, где не указана стереохимия любого конкретного хирального атома, рассматриваются и включаются в качестве соединений по изобретению все стереоизомеры. Когда стереохимия показана цельным клинышком или пунктирной линией, представляя конкретную конфигурацию, тогда стереоизомер считается таким образом указанным и определенным.In the structures shown here, in cases where the stereochemistry of any particular chiral atom is not indicated, all stereoisomers are considered and included as compounds of the invention. When the stereochemistry is shown by a solid wedge or a dashed line representing a specific configuration, then the stereoisomer is thus indicated and defined.
ВВЕДЕНИЕ И ФАРМАЦЕВТИЧЕСКИЕ СОСТАВЫINTRODUCTION AND PHARMACEUTICAL COMPOSITIONS
Соединения по изобретению можно вводить любым удобным путем, соответствующим состоянию, которое подвергается лечению. Подходящие пути введения включают пероральный, парентеральный (включая подкожный, внутримышечный, внутривенный, внутриартериальный, интрадермальный, интратекальный и эпидуральный), трансдермальный, ректальный, назальный, местный (включая буквальный и сублингвальный), вагинальный, интраперитонеальный, внутрилегочный и интраназальный.The compounds of the invention may be administered by any convenient route appropriate to the condition being treated. Suitable routes of administration include oral, parenteral (including subcutaneous, intramuscular, intravenous, intraarterial, intradermal, intrathecal and epidural), transdermal, rectal, nasal, local (including literal and sublingual), vaginal, intraperitoneal, intrapulmonary and intranasal.
Соединения можно вводить в любой удобной для введения форме, например в виде таблеток, порошков, капсул, растворов, дисперсий, суспензий, сиропов, спреев, суппозиториев, гелей, эмульсий, пластырей и т.п. Такие композиции могут содержать обычно применяемые для фармацевтических препаратов компоненты, например разбавители, носители, модификаторы рН, подслащивающие вещества, наполнители и дополнительные активные агенты. Если требуется парентеральное введение, композиции должны быть стерильными и их готовят в виде раствора или суспензии, подходящей для инъекции или инфузии.The compounds can be administered in any convenient form for administration, for example, in the form of tablets, powders, capsules, solutions, dispersions, suspensions, syrups, sprays, suppositories, gels, emulsions, plasters, and the like. Such compositions may contain components commonly used in pharmaceutical preparations, for example, diluents, carriers, pH modifiers, sweeteners, excipients and additional active agents. If parenteral administration is required, the compositions should be sterile and prepared in the form of a solution or suspension suitable for injection or infusion.
Типичный состав получают путем смешивания соединения по настоящему изобретению и носителя или эксципиента. Подходящие носители и эксципиенты хорошо известны специалистам в данной области техники и подробно описаны, например, в [Howard С. Ansel et al., Pharmaceutical Dosage Forms и Drug Delivery Systems (8th Ed. 2004); Alfonso R. Gennaro et al., Remington: The Science and Practice of Pharmacy (20th Ed. 2000); и Raymond С. Rowe, Handbook of Pharmaceutical Excipients (5th Ed. 2005)]. Составы могут также включать один или несколько буферов, стабилизаторы, поверхностно-активные вещества, увлажнители, смазывающие вещества, эмульгаторы, суспендирующие агенты, консерванты, антиоксиданты, вещества, придающие непрозрачность, вещества, придающие сыпучесть, технологические добавки, красители, подслащивающие вещества, ароматизаторы, вещества, придающие вкус и аромат, разбавители и другие добавки, обеспечивающие привлекательную форму лекарственного средства (т.е. соединения по настоящему изобретению или его фармацевтической композиции) или облегчающие изготовление фармацевтического продукта (т.е. лекарственного препарата).A typical formulation is prepared by mixing a compound of the present invention and a carrier or excipient. Suitable carriers and excipients are well known to those skilled in the art and are described in detail, for example, in [Howard C. Ansel et al., Pharmaceutical Dosage Forms and Drug Delivery Systems (8 th Ed. 2004); Alfonso R. Gennaro et al., Remington: The Science and Practice of Pharmacy (20 th Ed. 2000); and Raymond C. Rowe, Handbook of Pharmaceutical Excipients (5 th Ed. 2005)]. The compositions may also include one or more buffers, stabilizers, surfactants, humectants, lubricants, emulsifiers, suspending agents, preservatives, antioxidants, opacifiers, friability agents, processing aids, colorants, sweeteners, flavors, flavoring agents, diluents and other additives providing an attractive form of the drug (i.e., the compounds of the present invention or its pharmaceutically th composition) or facilitating the manufacture of a pharmaceutical product (i.e., drug).
Один вариант осуществления настоящего изобретения включает фармацевтическую композицию, содержащую соединение формулы I, или его стереоизомер или фармацевтически приемлемую соль. В дополнительном варианте осуществления настоящее изобретение относится к фармацевтической композиции, содержащей соединение формулы I, или его стереоизомер, или его фармацевтически приемлемую соль вместе с фармацевтически приемлемым носителем или эксципиентом.One embodiment of the present invention includes a pharmaceutical composition comprising a compound of formula I, or a stereoisomer or pharmaceutically acceptable salt thereof. In an additional embodiment, the present invention relates to a pharmaceutical composition comprising a compound of formula I, or a stereoisomer thereof, or a pharmaceutically acceptable salt thereof, together with a pharmaceutically acceptable carrier or excipient.
СПОСОБЫ ЛЕЧЕНИЯ СОЕДИНЕНИЯМИ ФОРМУЛЫ IMETHODS FOR TREATING COMPOUNDS OF FORMULA I
Соединения по настоящему изобретению можно использовать как профилактические или терапевтические средства для лечения заболеваний или нарушений, опосредованных модуляцией или регуляцией AKT-протеинкиназ, тирозин-киназ, дополнительных серин/треонинкиназ и/или киназ с «двойной» специфичностью. Состояния, опосредованные AKT-протеинкиназой, которые можно лечить способами по настоящему изобретению, включают воспалительные, гиперпролиферативные, сердечно-сосудистые, нейродегенеративные, гинекологические и дерматологические заболевания и нарушения, но не ограничиваются ими.The compounds of the present invention can be used as prophylactic or therapeutic agents for the treatment of diseases or disorders mediated by the modulation or regulation of AKT protein kinases, tyrosine kinases, additional serine / threonine kinases and / or kinases with "double" specificity. AKT protein kinase-mediated conditions that can be treated by the methods of the present invention include, but are not limited to, inflammatory diseases, hyperproliferative, cardiovascular, neurodegenerative, gynecological and dermatological diseases.
В одном варианте осуществления указанная фармацевтическая композиция предназначена для лечения гиперпролиферативных нарушений, включающих виды рака следующих категорий: (1) сердечные: саркома (ангиосаркома, фибросаркома, рабдомиосаркома, липосаркома), миксома, рабдомиома, фиброма, липома и тератома; (2) относящиеся к легким: рак бронха (плоскоклеточный, недифференцированный мелкоклеточный, недифференцированный крупноклеточный, аденокарцинома), альвеолярная (бронхиолярная) карцинома, аденома бронха, саркома, лимфома, хондроматозная гамартома, мезотелиома, немелкоклеточный рак легких, мелкоклеточный рак легких; (3) относящиеся к желудочно-кишечному тракту: пищеводу (плоскоклеточный рак, аденокарцинома, лейомиосаркома, лимфома), желудку (карцинома, лимфома, лейомиосаркома), поджелудочной железе (протоковая аденокарцинома, инсулома, глюкагонома, ульцерогенная аденома поджелудочной железы, карциноидные опухоли, ВИПома), тонкой кишке (аденокарцинома, лимфома, карциноидные опухоли, саркома Калоши, лейомиома, гемангиома, липома, нейрофиброма, фиброма), толстой кишке (аденокарцинома, тубулярная аденома, ворсинчатая аденома, гамартома, лейомиома); (4) (относящиеся к мочеполовому тракту): почкам (аденокарцинома, опухоль Вильмса [нефробластома], лимфома, лейкемия), мочевому пузырю и уретре (плоскоклеточная карцинома, переходно-клеточная карцинома, аденокарцинома), предстательной железе (аденокарцинома, саркома), яичку (семинома, тератома, эмбриональный рак, тератокарцинома, хориокарцинома, саркома, интерстициальная клеточная карцинома, фиброма, фиброаденома, аденоматоидные опухоли, липома); (5) относящиеся к печени: гепатома (гепато-целлюлярная карцинома), холангиокарцинома, гепатобластома, ангиосаркома, гепато-целлюлярная аденома, гемангиома; (6) относящиеся к костям: остеобластическая саркома (остеосаркома), фибросаркома, злокачественная фиброзная гистиоцитома, хондросаркома, саркома Юинга, злокачественная лимфома (ретикулоклеточная саркома), множественная миелома, злокачественная гигантоклеточная опухолевая хордома, остеохондрома (костно-хрящевой экзостоз), доброкачественная хондрома, хондробластома, хондромиксофиброма, остеоид-остеома и гигантоклеточные опухоли; (7) относящиеся к нервной системе: к черепу (остеома, гемангиома, гранулома, ксантома, деформирующий остит), к мягким оболочкам мозга (менингиома, менингиосаркома, глиоматоз), к мозгу (астроцитома, медуллобластома, глиома, эпендимома, герминома [пинеалома], мультиформная глиобластома, олигодендроглиома, шваннома, ретинобластома, врожденные опухоли), к спинному мозгу (нейрофиброма, менингиома, глиома, саркома); (8) гинекологические, относящиеся к матке: (карцинома эндометрия), шейке матки (рак шейки матки, предопухолевая дисплазия шейки матки), к яичникам (карцинома яичника [серозная цистаденокарцинома, муцинозная цистаденокарцинома, карцинома неуточненной локализации], гранулезотекаклеточные опухоли, опухоли из Сертоли-лейдиговских клеток, семинома яичника, злокачественная тератома), к вульве (плоскоклеточная карцинома, внутриэпителиальная карцинома, аденокарцинома, фибросаркома, меланома), к влагалищу (светлоклеточная карцинома, плоскоклеточная карцинома, гроздевидная саркома (эмбриональная рабдомиосаркома), к фаллопиевым трубам (карцинома); (9) гематологические: относящиеся к крови: (миелоидная лейкемия [острая и хроническая], острая лимфобластная лейкемия, хроническая лимфоцитарная лейкемия, миелопролиферативные заболевания, множественная миелома, миелодиспластический синдром), болезнь Ходжкина, не-ходжкинская лимфома [злокачественная лимфома]; (10) относящиеся к коже: запущенная меланома, злокачественная меланома, базальноклеточный рак, плоскоклеточная карцинома, саркома Капоши, диспластический невус, липома, ангиома, дерматофиброма, келоиды, псориаз; (11) относящиеся к надпочечникам: нейробластома; (12) относящиеся к молочной железе: метастатический рак молочной железы; аденокарцинома молочной железы; (13) относящиеся к толстой кишке; (14) относящиеся к полости рта; (15) лейкоз ворсистых клеток; (16) относящиеся к голове и шее; (17) и другие, включающие рефрактерную метастазирующую опухоль; саркому Капоши; синдром Баннаяна-Зонана; и болезнь Каудена или болезнь Лермитта-Дюкло, среди других видов гиперпролиферативных заболеваний.In one embodiment, said pharmaceutical composition is intended for the treatment of hyperproliferative disorders including cancers of the following categories: (1) cardiac: sarcoma (angiosarcoma, fibrosarcoma, rhabdomyosarcoma, liposarcoma), myxoma, rhabdomyoma, fibroma, lipoma and teratoma; (2) lung related: bronchial cancer (squamous, undifferentiated small-cell, undifferentiated large-cell, adenocarcinoma), alveolar (bronchiolar) carcinoma, bronchial adenoma, sarcoma, lymphoma, chondromatous lung carcinoma, small cell lung carcinoma, lung-cell carcinoma; (3) related to the gastrointestinal tract: esophagus (squamous cell carcinoma, adenocarcinoma, leiomyosarcoma, lymphoma), stomach (carcinoma, lymphoma, leiomyosarcoma), pancreas (ductal adenocarcinoma, insuloma, glucagonoma, carcinoma, carcinoma ), small intestine (adenocarcinoma, lymphoma, carcinoid tumors, Kaloshi sarcoma, leiomyoma, hemangioma, lipoma, neurofibroma, fibroma), large intestine (adenocarcinoma, tubular adenoma, villous adenoma, hamartoma, leiomyoma); (4) (related to the genitourinary tract): kidneys (adenocarcinoma, Wilms tumor [nephroblastoma], lymphoma, leukemia), bladder and urethra (squamous cell carcinoma, transitional cell carcinoma, adenocarcinoma), prostate gland (adenocarcinoma, c) (seminoma, teratoma, embryonic cancer, teratocarcinoma, choriocarcinoma, sarcoma, interstitial cell carcinoma, fibroma, fibroadenoma, adenomatoid tumors, lipoma); (5) related to the liver: hepatoma (hepatocellular carcinoma), cholangiocarcinoma, hepatoblastoma, angiosarcoma, hepatocellular adenoma, hemangioma; (6) related to bones: osteoblastic sarcoma (osteosarcoma), fibrosarcoma, malignant fibrous histiocytoma, chondrosarcoma, Ewing's sarcoma, malignant lymphoma (reticulocellular sarcoma), multiple myeloma, malignant glandular tumor cell, chondroblastoma, chondromixofibroma, osteoid osteoma and giant cell tumors; (7) related to the nervous system: to the skull (osteoma, hemangioma, granuloma, xanthoma, deforming osteitis), to the soft membranes of the brain (meningioma, meningiosarcoma, gliomatosis), to the brain (astrocytoma, medulloblastoma, glioma, ependymoma, germinoma] [ multiforme glioblastoma, oligodendroglioma, schwannoma, retinoblastoma, congenital tumors), to the spinal cord (neurofibroma, meningioma, glioma, sarcoma); (8) gynecological related to the uterus: (endometrial carcinoma), cervix (cervical cancer, precancerous dysplasia of the cervix uteri), to the ovaries (ovarian carcinoma [serous cystadenocarcinoma, mucinous cystadenocarcinoma, unspecified granulomas cell carcinoma, unspecified tumor cell carcinoma,] -Leydig cells, ovarian seminoma, malignant teratoma), to the vulva (squamous cell carcinoma, intraepithelial carcinoma, adenocarcinoma, fibrosarcoma, melanoma), to the vagina (clear cell carcinoma, squamous Naya carcinoma, acinar sarcoma (embryonal rhabdomyosarcoma), to the fallopian tubes (carcinoma); (9) Hematologic: related to blood (myeloid leukemia [acute and chronic], acute lymphoblastic leukemia, chronic lymphocytic leukemia, myeloproliferative diseases, multiple myeloma, myelodysplastic syndrome), Hodgkin’s disease, non-Hodgkin’s lymphoma [malignant lymphoma]; (10) related to the skin: advanced melanoma, malignant melanoma, basal cell carcinoma, squamous cell carcinoma, sarcoma Sarcoma, dysplastic nevi, lipoma, angioma, dermatofibroma, keloids, psoriasis; (11) related to the adrenal gland: neuroblastoma; (12) related to the mammary gland: metastatic breast cancer; breast adenocarcinoma; (13) related to the colon; (14) related to the oral cavity; (15) nappy cell leukemia; (16) related to the head and neck; (17) and others, including a refractory metastatic tumor; Kaposi's sarcoma; Bannyan-Zonan syndrome; and Cowden's disease or Lermitt-Duclos disease, among other types of hyperproliferative diseases.
Соединения и способы по настоящему изобретению могут также быть использованы для лечения заболеваний и состояний, таких как ревматоидный артрит, остеоартрит, болезнь Крона, ангиофиброма, глазные болезни (например, васкуляризация сетчатки, диабетическая ретинопатия, возрастная дистрофия желтого пятна, дистрофия желтого пятна и т.п.), рассеянный склероз, ожирение, рестеноз, аутоиммунные заболевания, аллергия, астма, эндометриоз, атеросклероз, стеноз венозного трансплантата, пери-анастомозный стеноз протезного трансплантата, гиперплазия предстательной железы, хроническое обструктивное заболевание легких, псориаз, ингибирование неврологического повреждения, обусловленное восстановлением тканей, образование рубцовых тканей (и могут способствовать заживлению ран), рассеянный склероз, воспалительное заболевание кишечника, инфекции, конкретно бактериальные, вирусные, ретровирусные или паразитарные инфекции (путем увеличения апоптоза), заболевания легких, новообразования, болезнь Паркинсона, отторжение трансплантата (как иммуносуппрессор), септический шок и т.п.The compounds and methods of the present invention can also be used to treat diseases and conditions such as rheumatoid arthritis, osteoarthritis, Crohn's disease, angiofibroma, eye diseases (e.g. retinal vascularization, diabetic retinopathy, age-related macular degeneration, macular degeneration, etc. p.), multiple sclerosis, obesity, restenosis, autoimmune diseases, allergies, asthma, endometriosis, atherosclerosis, venous transplant stenosis, peri-anastomotic prosthetic stenosis, hyperplasia p prostate gland, chronic obstructive pulmonary disease, psoriasis, inhibition of neurological damage due to tissue repair, scar tissue formation (and can contribute to wound healing), multiple sclerosis, inflammatory bowel disease, infections, specifically bacterial, viral, retroviral or parasitic infections (by increasing apoptosis), lung disease, neoplasm, Parkinson's disease, transplant rejection (as an immunosuppressor), septic shock, etc.
Соответственно еще один объект настоящего изобретения относится к способу лечения заболеваний или состояний у млекопитающих, опосредованных AKT-протеинкиназами, включающему введение указанным млекопитающим одного или нескольких соединений формулы I или его фармацевтически приемлемой соли или его пролекарства в количестве, эффективном для лечения или профилактики указанного заболевания.Accordingly, another object of the present invention relates to a method for treating diseases or conditions in mammals mediated by AKT protein kinases, comprising administering to said mammals one or more compounds of formula I or a pharmaceutically acceptable salt or prodrug thereof in an amount effective to treat or prevent said disease.
В случае рака эффективное количество лекарственного средства может уменьшить число раковых клеток, уменьшить размер опухоли, ингибировать (т.е. в некоторой степени замедлить и предпочтительно остановить) инфильтрацию раковых клеток в периферические органы, ингибировать (т.е. в некоторой степени замедлить и предпочтительно остановить) метастазирование опухолей, ингибировать в некоторой степени рост опухолей и/или облегчить в некоторой степени один или несколько симптомов, связанных с раком. По той степени, в которой лекарственное средство может предотвращать рост и/или убивать существующие раковые клетки, оно может быть цитостатическим и/или цитотоксическим. Эффективность терапии рака можно измерить, оценивая, например, время прогрессирования болезни (ТТР) и/или определяя скорость ответа (RR).In the case of cancer, an effective amount of the drug can reduce the number of cancer cells, reduce the size of the tumor, inhibit (i.e., slow to some extent and preferably stop) the cancer cell infiltration into peripheral organs, inhibit (i.e., slow down to some extent, and preferably stop) tumor metastasis, inhibit to some extent tumor growth and / or alleviate to some extent one or more symptoms associated with cancer. To the extent that the drug can prevent the growth and / or kill existing cancer cells, it can be cytostatic and / or cytotoxic. The effectiveness of cancer therapy can be measured by evaluating, for example, the time of disease progression (TTR) and / or determining the response rate (RR).
Количество соединения формулы I, которое будет соответствовать такому количеству, будет варьироваться в зависимости от таких факторов, как конкретное соединение, стадия заболевания и его тяжесть, характеристики (например, масса) млекопитающего, которое нуждается в лечении, но тем не менее оно обычно может быть определено специалистом в данной области техники.The amount of the compound of formula I that will correspond to such an amount will vary depending on factors such as the particular compound, the stage of the disease and its severity, characteristics (e.g. weight) of the mammal that needs treatment, but nevertheless it can usually be determined by a person skilled in the art.
Настоящее изобретение также относится к соединениям формулы I для применения в лечении состояний, опосредованных AKT-протеинкиназой.The present invention also relates to compounds of formula I for use in the treatment of conditions mediated by AKT protein kinase.
Дополнительным объектом изобретения является применение соединения формулы I для получения лекарственного препарата для терапии, такой как лечение или профилактика состояний, опосредованных AKT-протеинкиназой.An additional object of the invention is the use of a compound of formula I for the preparation of a medicament for therapy, such as the treatment or prophylaxis of conditions mediated by AKT protein kinase.
КОМБИНИРОВАННАЯ ТЕРАПИЯCOMBINED THERAPY
Соединения по настоящему изобретению, их стереоизомеры и фармацевтически приемлемые соли можно использовать по отдельности или в сочетании с другими терапевтическими средствами для лечения. Соединения по настоящему изобретению можно использовать в комбинации с одним или несколькими дополнительными лекарственными средствами, например с противовоспалительным средством, у которого другой механизм действия. Предпочтительно, когда второе соединение в фармацевтически комбинированном составе или в схеме введения обладает комплементарными видами активности, дополняющими активность соединения по настоящему изобретению, так что соединения не оказывают отрицательного действия друг на друга. Соответственно такие соединения включаются в комбинацию в количествах, которые эффективны для намеченных целей. Соединения можно вводить вместе в единой фармацевтической композиции или по отдельности, причем введение по отдельности может происходить одновременно или последовательно в любом порядке. Такое последовательное введение может происходить через короткие или длинные промежутки времени.The compounds of the present invention, their stereoisomers and pharmaceutically acceptable salts thereof can be used individually or in combination with other therapeutic agents for treatment. The compounds of the present invention can be used in combination with one or more additional drugs, for example with an anti-inflammatory agent that has a different mechanism of action. Preferably, when the second compound in a pharmaceutically combined composition or in the administration scheme has complementary activities that complement the activity of the compounds of the present invention, so that the compounds do not adversely affect each other. Accordingly, such compounds are included in the combination in amounts that are effective for the intended purpose. The compounds can be administered together in a single pharmaceutical composition or separately, and the administration separately can occur simultaneously or sequentially in any order. Such sequential administration may occur at short or long intervals.
Примеры химиотерапевтических средств включают эрлотиниб, (Тарсева®, Genentech, Inc./OSI Pharm.), трастузумаб (Герсептин®, Genentech, Inc.); бевацизумаб (Авастин®, Genentech, Inc.); ритуксимаб (Ритуксан®, Genentech, Inc./Biogen Idee, Inc.), бортезомаб (Велкейд®, Millennium Pharm.), фулвестрант (Фаслодекс®, AstraZeneca), сутент (SU11248, Pfizer), летрозол (Фемара®, Novartis), иматиниба мезилат (Гливек®, Novartis), PTK787/ZK 222584 (Novartis), оксалиплатин (Элоксатин®, Sanofi), 5-FU (5-фторурацил), лейковорин, рапамицин (Sirolimus, Рапамун®, Wyeth), лапатиниб (GSK572016, Glaxo Smith Kline), лопафарниб (SCH 66336), сорафениб (BAY43-9006, Bayer Labs), и гефитиниб (IRESSA®, AstraZeneca), AG1478, AG1571 (SU 5271; Sugen), алкилирующие агенты, такие как тиотепа и Цитоксан® циклофосфамид, Адриамицин® (доксоррубицин), Таксол® (паклитаксел; Bristol-Myers Squibb, Принстон, шт. Нью-Джерси), Абраксан® (не содержащий кремофора) и Таксотеп® (доксетаксел; Rhône-Poulenc Rorer, Antony, Франция).Examples of chemotherapeutic agents include erlotinib (Tarseva ®, Genentech, Inc./OSI Pharm.) , Trastuzumab (Gerseptin ®, Genentech, Inc.); bevacizumab (Avastin ® , Genentech, Inc.); rituximab (Rituxan ® , Genentech, Inc./Biogen Idee, Inc.), bortezomab (Velcade ® , Millennium Pharm.), fulvestrant (Faslodex ® , AstraZeneca), sutent (SU11248, Pfizer), letrozole (Femara ® , Novartis), imatinib mesylate (Glivec ® , Novartis), PTK787 / ZK 222584 (Novartis), oxaliplatin (Eloxatin ® , Sanofi), 5-FU (5-fluorouracil), leucovorin, rapamycin (Sirolimus, Rapamun ® , Wyeth), lapatinib (GS Glaxo Smith Kline), lopafarnib (SCH 66336), sorafenib (BAY43-9006, Bayer Labs), and gefitinib (IRESSA ® , AstraZeneca), AG1478, AG1571 (SU 5271; Sugen), alkylating agents such as thiotepa and Cytoxan ® cyclophosphamide , Adriamycin ® (doksorrubitsin) Taxol ® (paclitaxel; Bristol-Myers Squibb, rinston, NJ), Abraxane ® (not containing Cremophor) and Taksotep ® (doxetaxel;. Rhône-Poulenc Rorer, Antony , France).
ГОТОВЫЕ ИЗДЕЛИЯFINISHED GOODS
Еще один вариант осуществления изобретения относится к готовому изделию или "набору", содержащему вещества, применимые для лечения заболеваний, описанных выше. В одном варианте осуществления набор содержит контейнер, включающий соединение по настоящему изобретению. Подходящие контейнеры включают, например, флаконы, пузырьки, шприцы, блистерные упаковки и т.п. Контейнер может быть изготовлен из множества материалов, таких как стекло или пластик. Контейнер может содержать соединение по настоящему изобретению или его композицию, которые эффективны для лечения указанного состояния, и может иметь стерильный вход доступа (например, контейнер может представлять собой мешок раствора для внутривенных инъекций или пузырек с пробкой, которую можно проколоть иглой для подкожных инъекций).Another embodiment of the invention relates to a finished product or “kit” containing substances useful for treating the diseases described above. In one embodiment, the kit comprises a container comprising a compound of the present invention. Suitable containers include, for example, vials, vials, syringes, blister packs, and the like. The container may be made of a variety of materials, such as glass or plastic. The container may contain a compound of the present invention or its composition, which are effective for treating this condition, and may have a sterile access entrance (for example, the container may be an intravenous injection solution bag or a vial with a stopper that can be pierced with a hypodermic needle).
Кроме того, набор может содержать этикетку или листок-вкладыш на контейнере или в комплекте с ним. В одном варианте осуществления изобретения на этикетке или вкладыше указано, что композицию, содержащую соединение по данному изобретению, можно использовать для лечения заболеваний опосредованных, например, AKT-киназой. На этикетке или вкладыше также может быть указано, что композицию можно применять и для лечения других заболеваний.In addition, the kit may contain a label or package insert on the container or in a set with it. In one embodiment of the invention, the label or package insert indicates that the composition containing the compound of this invention can be used to treat diseases mediated, for example, by AKT kinase. The label or package insert may also indicate that the composition can also be used to treat other diseases.
В некоторых вариантах осуществления наборы подходят для доставки твердых пероральных форм соединения по настоящему изобретению, таких как таблетки или капсулы. Такой набор включает предпочтительно ряд стандартных лекарственных форм. Такие наборы могут включать карту, содержащую дозировки в порядке их предполагаемого использования. Примером такого набора является «блистерная упаковка». Блистерные упаковки хорошо известны в тароупаковочной промышленности и широко используются для упаковки фармацевтических стандартных лекарственных форм. Если требуется, набор снабжают «напоминанием», например, в виде чисел, букв или других отметок, или календаря-вкладыша, в котором обозначены дни в схеме лечения, когда можно вводить дозы.In some embodiments, the kits are suitable for delivering solid oral forms of a compound of the present invention, such as tablets or capsules. Such a kit preferably includes a number of unit dosage forms. Such kits may include a map containing dosages in the order of their intended use. An example of such a kit is “blister packs”. Blister packs are well known in the packaging industry and are widely used for packaging pharmaceutical unit dosage forms. If required, the kit is provided with a “reminder”, for example, in the form of numbers, letters or other marks, or an insert calendar that indicates the days in the treatment regimen when doses can be entered.
Согласно еще одному варианту изобретения набор может содержать (а) первый контейнер, который содержит соединение по настоящему изобретению; и (b) второй контейнер, содержащий второй фармацевтический состав, который содержит второе соединение, применимое для лечения заболевания, опосредованного AKT-киназой. В качестве альтернативы или дополнения набор может включать третий контейнер, содержащий фармацевтически приемлемый буфер, такой как бактериостатическая вода для инъекций (BWFI), забуференный фосфатом физиологический раствор, раствор Рингера и раствор декстрозы. Набор может дополнительно включать другие вещества и материалы, которые необходимы с коммерческой точки зрения и с точки зрения пользователя, в том числе другие буферы, разбавители, фильтры, иглы и шприцы.According to another embodiment of the invention, the kit may comprise (a) a first container that contains a compound of the present invention; and (b) a second container containing a second pharmaceutical composition which contains a second compound useful for treating a disease mediated by AKT kinase. As an alternative or addition, the kit may include a third container containing a pharmaceutically acceptable buffer, such as bacteriostatic water for injection (BWFI), phosphate buffered saline, Ringer's solution, and dextrose solution. The kit may further include other substances and materials that are necessary from a commercial point of view and from the point of view of the user, including other buffers, diluents, filters, needles and syringes.
Кроме того, набор может содержать инструкции по введению соединения по настоящему изобретению и второго фармацевтического состава, если он имеется. Например, если набор содержит первую композицию, содержащую соединение формулы I, и второй фармацевтический состав, набор может дополнительно содержать инструкции для одновременного, последовательного или раздельного введения первой и второй фармацевтических композиций пациенту, который в этом нуждается.In addition, the kit may contain instructions for administering a compound of the present invention and a second pharmaceutical composition, if any. For example, if the kit contains a first composition containing a compound of formula I and a second pharmaceutical composition, the kit may further contain instructions for the simultaneous, sequential or separate administration of the first and second pharmaceutical compositions to a patient in need.
В некоторых других вариантах осуществления изобретения, где набор содержит композицию соединения формулы I и второе терапевтическое средство, набор может содержать контейнер для раздельного хранения композиций, такой как разделенный на части флакон или разделенный на части пакет из фольги, однако отдельные композиции могут также находиться внутри единого, не разделенного на части контейнера. В некоторых вариантах осуществления набор содержит инструкции для введения раздельных компонентов. Особенно предпочтительной является такая форма набора, в которой раздельные компоненты предпочтительно вводят в разных лекарственных формах (например, перорально и парентерально) и с разными интервалами, или такая форма, в которой требуется титрование отдельных компонентов комбинации лечащим врачом.In some other embodiments, where the kit contains a composition of a compound of formula I and a second therapeutic agent, the kit may contain a container for separately storing the compositions, such as a split bottle or a split foil bag, however, the separate compositions may also be contained within a single not divided into parts of the container. In some embodiments, the kit contains instructions for administering the separate components. Particularly preferred is a kit form in which the individual components are preferably administered in different dosage forms (for example, orally and parenterally) and at different intervals, or in a form in which the individual physician requires titration of the individual components of the combination.
Таким образом, дополнительным объектом настоящего изобретения является набор для лечения нарушения или заболевания, опосредованного Akt-киназой, причем указанный набор содержит а) первую фармацевтическую композицию, содержащую соединение по изобретению или его фармацевтически приемлемую соль; и b) инструкции по применению.Thus, an additional object of the present invention is a kit for treating a disorder or disease mediated by Akt kinase, said kit comprising a) a first pharmaceutical composition comprising a compound of the invention or a pharmaceutically acceptable salt thereof; and b) instructions for use.
В некоторых вариантах осуществления изобретения набор дополнительно содержит (с) вторую фармацевтическую композицию, которая содержит второе соединение, пригодное для лечения нарушения или заболевания, опосредованного AKT-киназой. В определенном варианте осуществления изобретения, содержащем вторую фармацевтическую композицию, набор дополнительно содержит инструкции для одновременного, последовательного и раздельного введения указанных первой и второй фармацевтических композиций пациенту, который в этом нуждается. В некоторых вариантах осуществления изобретения указанные первая и вторая фармацевтические композиции находятся в отдельных контейнерах. В других вариантах осуществления указанные первая и вторая фармацевтические композиции находятся в одном контейнере.In some embodiments, the kit further comprises (c) a second pharmaceutical composition that comprises a second compound suitable for treating a disorder or disease mediated by AKT kinase. In a particular embodiment of the invention comprising a second pharmaceutical composition, the kit further comprises instructions for the simultaneous, sequential and separate administration of said first and second pharmaceutical compositions to a patient in need thereof. In some embodiments, said first and second pharmaceutical compositions are in separate containers. In other embodiments, said first and second pharmaceutical compositions are in the same container.
Хотя соединения формулы I прежде всего ценны в качестве терапевтических средств для применения на млекопитающих, они также применимы во всех случаях, когда требуется регулирование AKT-протеинкиназ, тирозинкиназ, дополнительных серин/треонин-киназ и/или киназ с «двойной специфичностью». Таким образом, они полезны в качестве фармакологических стандартов для применения в разработке новых биологических тестов и поиске новых фармакологических средств.Although the compounds of formula I are primarily valuable as therapeutic agents for use in mammals, they are also applicable in all cases where regulation of AKT protein kinases, tyrosine kinases, additional serine / threonine kinases and / or “double specificity” kinases is required. Thus, they are useful as pharmacological standards for use in the development of new biological tests and the search for new pharmacological agents.
Активность соединений по настоящему изобретению в отношении АКТ протеинкиназ, тирозинкиназ, дополнительных серин/треонин-киназ и/или киназ с «двойной специфичностью» можно оценивать in vitro, in vivo или на клеточных линиях. Анализы in vitro включают анализы, которые определяют ингибирование активности киназ. Альтернирующие in vitro анализы количественно определяют способность ингибитора связывать киназы/э, которую можно измерить или путем введения радиоактивной метки в ингибитор до связывания, выделением комплекса ингибитор/киназа и определением количества связанной радиоактивной метки, или проведением конкурентного анализа, где новые ингибиторы инкубируют с известными радиолигандами. Эти и другие анализы, применимые in vitro и на культурах клеток хорошо известны специалистам в данной области техники.The activity of the compounds of the present invention in relation to AKT protein kinases, tyrosine kinases, additional serine / threonine kinases and / or kinases with "double specificity" can be evaluated in vitro, in vivo or on cell lines. In vitro assays include assays that determine inhibition of kinase activity. In vitro alternating assays quantitatively determine the ability of an inhibitor to bind kinase / e, which can be measured either by introducing a radioactive label into the inhibitor before binding, isolating the inhibitor / kinase complex and determining the amount of bound radioactive label, or by conducting a competitive assay, where new inhibitors are incubated with known radioligands . These and other assays applicable in vitro and on cell cultures are well known to those skilled in the art.
Хотя изобретение описано и проиллюстрировано с некоторой степенью конкретности, понятно, что настоящее описание выполнено только посредством примеров, и многочисленные изменения в комбинации и организации частей могут быть сделаны специалистами в данной области, не выходя за рамки сущности и объема изобретения, как заявлено ниже.Although the invention has been described and illustrated with some degree of specificity, it is understood that the present description is made only by way of examples, and numerous changes in the combination and organization of parts can be made by those skilled in the art without departing from the spirit and scope of the invention as stated below.
БИОЛОГИЧЕСКИЕ ПРИМЕРЫBIOLOGICAL EXAMPLES
Анализ AKT-1 киназыAnalysis of AKT-1 kinase
Активность соединений, описанных в настоящем изобретении, можно определять следующим ниже анализом киназ, который с помощью флуоресцентной поляризации измеряет фосфорилирование пептида (содержащего флуоресцентную метку) первичной человеческой рекомбинантной активной AKT-1 с помощью коммерчески доступного набора IMAP.The activity of the compounds described in the present invention can be determined by the following kinase assay, which, using fluorescence polarization, measures the phosphorylation of a peptide (containing a fluorescent label) of the primary human recombinant active AKT-1 using a commercially available IMAP kit.
Вещества для анализа получают из набора IMAP АКТ Assay Bulk Kit, продукт #R8059, от компании Molecular Devices (Саннивейл, шт. Калифорния). Вещества из набора включают IMAP буфер для реакции (5×). Разбавленный 1× IMAP буфер для реакции содержит 10 мМ трис-HCl, рН 7,2, 10 мМ MgCl2, 0,1% BSA, 0,05% NaN3. Обычно непосредственно перед использованием прибавляют DTT до конечной концентрации 1 мМ. Набор также включает IMAP буфер для связывания (5×) и IMAP реагент для связывания. Раствор для связывания готовят 1:400 разведением IMAP реагента для связывания 1× IMAP буфером для связывания.Substances for analysis are obtained from the IMAP ACT Assay Bulk Kit, product # R8059, from Molecular Devices (Sunnyvale, Calif.). Substances from the kit include an IMAP reaction buffer (5 ×). Diluted 1 × IMAP reaction buffer contains 10 mM Tris-HCl, pH 7.2, 10 mM MgCl 2 , 0.1% BSA, 0.05% NaN 3 . Usually, immediately before use, DTT is added to a final concentration of 1 mM. The kit also includes an IMAP binding buffer (5 ×) and an IMAP binding reagent. The binding solution is prepared 1: 400 by diluting the IMAP reagent for binding with 1 × IMAP binding buffer.
Меченный флуоресцеином AKT-субстрат (от Crosstide) имеет последовательность (F1)-GRPRTSSFAEG. Рабочий раствор (20 мкМ) готовят в 1× IMAP буфере для реакции.Fluorescein-labeled AKT substrate (from Crosstide) has the sequence (F1) -GRPRTSSFAEG. A working solution (20 μM) was prepared in 1 × IMAP reaction buffer.
Используемые планшеты включают планшет Costar 3657 (382-луночный, изготовленный из полипропилена и имеющий белое v-образное дно), который применяют для разведения соединений и получения смеси соединение-АТР. Планшет для анализа представляет собой Packard ProxyPlate™-384 F.Used plates include a Costar 3657 plate (382-well, made of polypropylene and having a white v-shaped bottom), which is used to dilute the compounds and obtain the compound-ATP mixture. The assay plate is a Packard ProxyPlate ™ -384 F.
Используемую AKT-1 приготавливают из первичной человеческой рекомбинантной AKT-1, которую активируют PDK1 и MAP киназой 2.The AKT-1 used is prepared from primary human recombinant AKT-1, which is activated by PDK1 and MAP kinase 2.
Для проведения анализа готовят рабочие растворы соединений (10 мкМ) в ДМСО. Рабочие растворы и раствор контрольного соединения серийно разводят 1:2 девять раз в ДМСО (10 мкл соединения + 10 мкл ДМСО) и получают 50× серийные разведения в нужном интервале доз. Затем 2,1-мкл аликвоты соединений в ДМСО переносят на планшет Costar 3657, содержащий 50 мкл 10,4 мкМ раствора АТР в 1× IMAP буфере для реакции, содержащем 1 мМ DTT. После тщательного смешивания 2,5-мкл аликвоты переносят на планшет ProxyPlate™-384 F.For analysis, working solutions of the compounds (10 μM) in DMSO are prepared. The working solutions and the control compound solution are serially diluted 1: 2 nine times in DMSO (10 μl of compound + 10 μl of DMSO) and 50 × serial dilutions are obtained in the desired dose range. Then, 2.1 μl aliquots of the compounds in DMSO were transferred to a Costar 3657 plate containing 50 μl of a 10.4 μM ATP solution in 1 × IMAP reaction buffer containing 1 mM DTT. After thorough mixing, 2.5 μl aliquots are transferred onto a ProxyPlate ™ -384 F plate.
Анализ инициируют прибавлением 2,5-мкл аликвот раствора, содержащего 200 нМ пептидного субстрата с флуоресцентной меткой и 4 нМ AKT-1. Планшет центрифугируют в течение 1 минуты при 1000g и инкубируют в течение 60 минут при температуре окружающей среды. Затем реакцию гасят прибавлением 15 мкл раствора для связывания, опять центрифугируют и инкубируют еще в течение 30 минут при температуре окружающей среды до считывания счетчика Victor 1420 Multilabel HTS с конфигурацией для измерения поляризации флуоресценции.The analysis is initiated by adding 2.5 μl aliquots of a solution containing 200 nM peptide substrate with a fluorescent label and 4 nM AKT-1. The tablet is centrifuged for 1 minute at 1000g and incubated for 60 minutes at ambient temperature. The reaction was then quenched by adding 15 μl of binding solution, centrifuged again and incubated for another 30 minutes at ambient temperature until the Victor 1420 Multilabel HTS counter was read with a configuration for measuring fluorescence polarization.
Соединения примеров 1-20 испытывали, используя вышеописанный анализ, и было показано, что их IC50 составляет менее 1 мкМ.The compounds of examples 1-20 were tested using the above analysis, and it was shown that their IC 50 is less than 1 μm.
ПРЕПАРАТИВНЫЕ ПРИМЕРЫPREPARATORY EXAMPLES
Для иллюстрации настоящего изобретения в заявку включены следующие ниже примеры. Однако необходимо иметь в виду, что эти примеры не ограничивают изобретение, а только иллюстрируют предлагаемый способ осуществления изобретения. Специалисты в данной области техники понимают, что описанные химические реакции могут быть легко приспособлены для получения ряда других соединений по изобретению, и альтернативные способы получения соединений по настоящему изобретению рассматриваются как охватываемые объемом настоящего изобретения. Например, синтез соединений по настоящему изобретению, не приведенных в качестве примеров, может быть с успехом осуществлен с помощью модификаций синтезов, очевидных для специалистов в данной области техники, например, путем соответствующей защиты мешающих групп, использования других подходящих реагентов, известных в данной области техники, отличающихся от описанных здесь, и/или путем обычных изменений условий реакции. Альтернативно, другие реакции, описанные здесь или известные в данной области техники, будут рассматриваться как применимые для получения других соединений по изобретению.To illustrate the present invention, the following examples are included in the application. However, it must be borne in mind that these examples do not limit the invention, but only illustrate the proposed method for carrying out the invention. Those skilled in the art will recognize that the described chemical reactions can be readily adapted to produce a number of other compounds of the invention, and alternative methods for preparing the compounds of the present invention are considered to be within the scope of the present invention. For example, the synthesis of compounds of the present invention, not shown as examples, can be successfully carried out using modifications of the syntheses that are obvious to specialists in this field of technology, for example, by appropriate protection of interfering groups, the use of other suitable reagents known in the art different from those described herein and / or by conventional changes in the reaction conditions. Alternatively, other reactions described herein or known in the art will be considered as applicable to the preparation of other compounds of the invention.
В примерах, описанных ниже, все температуры приводятся в градусах Цельсия, если не указано иное. Реагенты приобретали у коммерческих поставщиков, таких как Sigma-Aldrich, Alfa Aesar, или TCI, и использовали без дополнительной очистки, если не указано иное. Тетрагидрофуран ("ТГФ"), дихлорметан ("DCM"), толуол и диоксан приобретали у компании Aldrich в герметичных бутылях и использовали в состоянии поставки.In the examples described below, all temperatures are given in degrees Celsius, unless otherwise indicated. Reagents were purchased from commercial suppliers such as Sigma-Aldrich, Alfa Aesar, or TCI, and used without further purification unless otherwise indicated. Tetrahydrofuran (“THF”), dichloromethane (“DCM”), toluene and dioxane were purchased from Aldrich in sealed bottles and used as delivered.
Реакции, описанные ниже, обычно проводят при положительном давлении азота или аргона или с осушающей трубкой (если не указано иное) в безводных растворителях, а реакционные колбы обычно снабжены резиновой септой для введения субстратов и реагентов с помощью шприца. Стеклянную посуду сушат в печи и/или при нагревании.The reactions described below are usually carried out at a positive pressure of nitrogen or argon or with a drying tube (unless otherwise specified) in anhydrous solvents, and the reaction flasks are usually equipped with a rubber septum for introducing substrates and reagents using a syringe. Glassware is dried in an oven and / or heated.
1Н-ЯМР спектры записывают на приборе «Varian» с рабочей частотой 400 МГц. 1Н-ЯМР спектры записывают для растворов соединений в CDCl2, CD3OD, D2O или d6-DMSO (даны в м.д.), используя в качестве стандарта тетраметилсилан (0,00 м.д.) или остаточный растворитель (CDCl3: 7,25 м.д.; CD3OD: 3,31 м.д.; D2O: 4,79 м.д.; d6-DMSO: 2,50 м.д.). При описании мультиплетности пиков используют следующие сокращения: с (синглет), д (дублет), т (триплет), кв (квартет), м (мультиплет), уш. (уширенный), дд (дублет дублетов), дт (дублет триплетов). Константы спин-спинового взаимодействия даны в герцах (Гц), когда они приведены. 1 H-NMR spectra were recorded on a Varian instrument with an operating frequency of 400 MHz. 1 H-NMR spectra were recorded for solutions of the compounds in CDCl 2 , CD 3 OD, D 2 O or d 6 -DMSO (given in ppm) using tetramethylsilane (0.00 ppm) or residual as standard solvent (CDCl 3 : 7.25 ppm; CD 3 OD: 3.31 ppm; D 2 O: 4.79 ppm; d 6 -DMSO: 2.50 ppm) . When describing the multiplicity of the peaks, the following abbreviations are used: s (singlet), d (doublet), t (triplet), sq (quartet), m (multiplet), ear. (expanded), dd (doublet of doublets), dt (doublet of triplets). The spin-spin interaction constants are given in hertz (Hz) when they are given.
Пример 1Example 1
(R)-N-(2-Аминоэтил)-N-(4-хлорбензил)-4-(5-метил-6,7-дигидро-5Н-циклопента[d]пиримидин-4-ил)пиперазин-1-карбоксамид(R) -N- (2-aminoethyl) -N- (4-chlorobenzyl) -4- (5-methyl-6,7-dihydro-5H-cyclopenta [d] pyrimidin-4-yl) piperazine-1-carboxamide
Стадия 1. Триацетоксиборгидрид натрия (3,3 г, 15,4 ммоль, 1,1 экв.) прибавляют при комнатной температуре к раствору 4-хлорбензальдегида (2 г, 14 ммоль), трет-бутил-2-аминоэтилкарбамата (4,5 мл, 28,5 ммоль, 1,2 экв.) и уксусной кислоты (2,5 мл) в дихлорэтане (20 мл). Реакционную смесь оставляют перемешиваться на ночь и гасят 0,5 М раствором HCl (30 мл). Затем смесь один раз экстрагируют дихлорметаном и прибавляют насыщенный водный раствор хлорида натрия. Осадок отфильтровывают и сушат, получая трет-бутил-2-(4-хлорбензиламино)этилкарбамат (3,58 г, 90%), МС (ESI) m/e (М+H+) 285. Stage 1 Sodium triacetoxyborohydride (3.3 g, 15.4 mmol, 1.1 eq.) Is added at room temperature to a solution of 4-chlorobenzaldehyde (2 g, 14 mmol), tert-butyl-2-aminoethylcarbamate (4.5 ml, 28 5 mmol, 1.2 equiv.) And acetic acid (2.5 ml) in dichloroethane (20 ml). The reaction mixture was allowed to stir overnight and quenched with a 0.5 M HCl solution (30 ml). The mixture was then extracted once with dichloromethane and a saturated aqueous solution of sodium chloride was added. The precipitate was filtered off and dried, yielding tert-butyl-2- (4-chlorobenzylamino) ethyl carbamate (3.58 g, 90%), MS (ESI) m / e (M + H + ) 285.
Стадия 2. Бензил-4-(хлоркарбонил)пиперазин-1-карбоксилат (233 мг, 0,83 ммоль) прибавляют при комнатной температуре к раствору трет-бутил-2-(4-хлорбензиламино)этилкарбамата (235 мг, 0,83 ммоль) и основания Хюнига (0,2 мл, 1,2 ммоль, 1,5 экв.) в дихлорметане (1,6 мл). Реакционную смесь оставляют перемешиваться на ночь. Затем реакционную смесь концентрируют, получая неочищенный продукт, который очищают колоночной флэш-хроматографией, что дает бензил-4-((2-(трет-бутоксикарбониламино)этил)(4-хлорбензил)карбамоил)пиперазин-1-карбоксилат в виде пены (167 мг, 38%). МС (ESI) m/e (M+H+) 531. Stage 2 Benzyl 4- (chlorocarbonyl) piperazine-1-carboxylate (233 mg, 0.83 mmol) is added at room temperature to a solution of tert-butyl 2- (4-chlorobenzylamino) ethyl carbamate (235 mg, 0.83 mmol) and base Hyuniga (0.2 ml, 1.2 mmol, 1.5 equiv.) In dichloromethane (1.6 ml). The reaction mixture was allowed to stir overnight. The reaction mixture was then concentrated to give a crude product which was purified by flash column chromatography to give benzyl 4 - ((2- (tert-butoxycarbonylamino) ethyl) (4-chlorobenzyl) carbamoyl) piperazine-1-carboxylate as a foam (167 mg, 38%). MS (ESI) m / e (M + H + ) 531.
Стадия 3. Смесь бензил-4-((2-(трет-бутоксикарбониламино)этил)(4-хлорбензил)карбамоил)пиперазин-1-карбоксилата (200 мг, 0,38 ммоль) в растворе КОН/МеОН/Н2О (10 мл; приготовленном в качестве исходного раствора из 10 г КОН, 50 мл МеОН и 25 мл H2O) перемешивают в течение 2 часов при 80°С. Реакционную смесь экстрагируют EtOAc, сушат над Na2SO4 и концентрируют при пониженном давлении, получая трет-бутил-2-(N-(4-хлорбензил)пиперазин-1-карбоксамидо)этилкарбамат (132 мг, 89%). МС (ESI) m/e (M+H+) 397. Stage 3 . A mixture of benzyl-4 - ((2- (tert-butoxycarbonylamino) ethyl) (4-chlorobenzyl) carbamoyl) piperazine-1-carboxylate (200 mg, 0.38 mmol) in a solution of KOH / MeOH / H 2 O (10 ml; prepared as a stock solution of 10 g of KOH, 50 ml of MeOH and 25 ml of H 2 O) is stirred for 2 hours at 80 ° C. The reaction mixture was extracted with EtOAc, dried over Na 2 SO 4 and concentrated under reduced pressure to obtain tert-butyl 2- (N- (4-chlorobenzyl) piperazine-1-carboxamido) ethyl carbamate (132 mg, 89%). MS (ESI) m / e (M + H + ) 397.
Стадия 4. (R)-(+)-Пулегон (76,12 г, 0,5 ммоль), безводный NaHCO3 (12,5 г) и безводный эфир (500 мл) помещают в круглодонную колбу объемом 1 л. Реакционную смесь охлаждают на ледяной бане в атмосфере азота. По каплям в течение 30 минут прибавляют бром (25,62 мл, 0,5 ммоль). Смесь фильтруют и осторожно прибавляют к NaOEt (21%, 412 мл, 1,11 ммоль) при охлаждении в ледяной бане. Смесь перемешивают при комнатной температуре в течение ночи и затем прибавляют 5% HCl (1 л) и эфир (300 мл). Водную фазу экстрагируют эфиром (2×300 мл). Объединенную органическую фазу промывают водой, сушат и концентрируют. Остаток прибавляют к подогретому раствору гидрохлорида семикарбазида (37,5 г) и NaOAc (37,5 г) в воде (300 мл). Затем прибавляют кипящий этанол (300 мл) и получают прозрачный раствор. Смесь кипятят с обратным холодильником в течение 2,5 часов и затем перемешивают при комнатной температуре в течение ночи. Смесь обрабатывают водой (1 л) и эфиром (300 мл). Водную фазу экстрагируют эфиром (2×300 мл). Объединенную органическую фазу промывают водой, сушат и концентрируют. Остаток очищают перегонкой в вакууме (73-76°С при 0,8 мм рт.ст.), получая (2R)-этил-2-метил-5-(пропан-2-илиден)циклопентанкарбоксилат (63 г, 64%). 1Н ЯМР (CDCl3, 400 МГц) δ 4,13 (м, 2Н), 3,38 (д, J=16 Гц, 0,5Н), 2,93 (м, 0,5Н), 2,50-2,17 (м, 2Н), 1,98 (м, 1Н), 1,76 (м, 1Н), 1,23 (м, 6Н), 1,05 (м, 6Н). Stage 4 . (R) - (+) - Pulegon (76.12 g, 0.5 mmol), anhydrous NaHCO 3 (12.5 g) and anhydrous ether (500 ml) were placed in a 1 L round-bottom flask. The reaction mixture is cooled in an ice bath under nitrogen. Bromine (25.62 ml, 0.5 mmol) was added dropwise over 30 minutes. The mixture was filtered and carefully added to NaOEt (21%, 412 ml, 1.11 mmol) while cooling in an ice bath. The mixture was stirred at room temperature overnight and then 5% HCl (1 L) and ether (300 ml) were added. The aqueous phase is extracted with ether (2 × 300 ml). The combined organic phase is washed with water, dried and concentrated. The residue was added to a heated solution of semicarbazide hydrochloride (37.5 g) and NaOAc (37.5 g) in water (300 ml). Then boiling ethanol (300 ml) was added and a clear solution was obtained. The mixture was refluxed for 2.5 hours and then stirred at room temperature overnight. The mixture is treated with water (1 L) and ether (300 ml). The aqueous phase is extracted with ether (2 × 300 ml). The combined organic phase is washed with water, dried and concentrated. The residue was purified by vacuum distillation (73-76 ° C at 0.8 mmHg) to give (2R) ethyl-2-methyl-5- (propan-2-ylidene) cyclopentanecarboxylate (63 g, 64%) . 1 H NMR (CDCl 3 , 400 MHz) δ 4.13 (m, 2H), 3.38 (d, J = 16 Hz, 0.5 H), 2.93 (m, 0.5 H), 2.50 -2.17 (m, 2H), 1.98 (m, 1H), 1.76 (m, 1H), 1.23 (m, 6H), 1.05 (m, 6H).
Стадия 5. (2R)-Этил-2-метил-5-(пропан-2-илиден)циклопентанкарбоксилат (24 г, 0,122 моль) в этилацетате (100 мл) охлаждают до -68°С смесью сухой лед/изопропанол. Через раствор пропускают озонированный кислород (5-7 фут3/ч O2) в течение 3,5 часов. Реакционную смесь продувают азотом при комнатной температуре до исчезновения окрашивания. Этилацетат удаляют в вакууме, остаток растворяют в уксусной кислоте (150 мл) и охлаждают ледяной водой. Затем прибавляют порошок цинка (45 г). Раствор перемешивают в течение 30 минут и затем фильтруют. Фильтрат нейтрализуют 2N раствором NaOH (1,3 л) и NaHCO3. Водную фазу экстрагируют эфиром (3×200 мл). Органические фазы объединяют, промывают водой, сушат и концентрируют, получая (2R)-этил-2-метил-5-оксоциклопентанкарбоксилат (20 г, 96%). 1Н ЯМР (CDCl3, 400 МГц) δ 4,21 (м, 2Н), 2,77 (д, J=11,2 Гц, 1Н), 2,60 (м, 1Н), 2,50-2,10 (м, 3Н), 1,42 (м, 1Н), 1,33 (м, 3Н), 1,23 (м, 3Н). Stage 5 . (2R) -ethyl-2-methyl-5- (propan-2-ylidene) cyclopentanecarboxylate (24 g, 0.122 mol) in ethyl acetate (100 ml) was cooled to -68 ° C with a dry ice / isopropanol mixture. Ozonated oxygen (5-7 ft 3 / h O 2 ) was passed through the solution for 3.5 hours. The reaction mixture was purged with nitrogen at room temperature until the color disappeared. Ethyl acetate was removed in vacuo, the residue was dissolved in acetic acid (150 ml) and cooled with ice water. Then zinc powder (45 g) is added. The solution was stirred for 30 minutes and then filtered. The filtrate was neutralized with a 2N solution of NaOH (1.3 L) and NaHCO 3 . The aqueous phase is extracted with ether (3 × 200 ml). The organic phases are combined, washed with water, dried and concentrated to give (2R) -ethyl-2-methyl-5-oxocyclopentanecarboxylate (20 g, 96%). 1 H NMR (CDCl 3 , 400 MHz) δ 4.21 (m, 2H), 2.77 (d, J = 11.2 Hz, 1H), 2.60 (m, 1H), 2.50-2 10 (m, 3H), 1.42 (m, 1H), 1.33 (m, 3H), 1.23 (m, 3H).
Стадия 6. КОН (8,3 г, 147,9 ммоль) в воде (60 мл) прибавляют к раствору смеси (2R)-этил-2-метил-5-оксоциклопентанкарбоксилата (20 г, 117,5 ммоль) и тиомочевины (9,2 г, 120,9 ммоль) в этаноле (100 мл). Смесь кипятят с обратным холодильником в течение 10 часов. После охлаждения растворитель удаляют, и остаток нейтрализуют концентрированной HCl (12 мл) при 0°С. Затем смесь экстрагируют DCM (3×150 мл). Растворитель удаляют, остаток очищают хроматографией на силикагеле, осуществляя элюирование смесью гексан/этилацетат (2:1) и получают (R)-2-меркапто-5-метил-6,7-дигидро-5Н-циклопента[d]пиримидин-4-ол (12 г, 56%). МС (APCI+) [М+Н]+ 183. Stage 6 . KOH (8.3 g, 147.9 mmol) in water (60 ml) was added to a solution of a mixture of (2R) -ethyl-2-methyl-5-oxocyclopentanecarboxylate (20 g, 117.5 mmol) and thiourea (9.2 g, 120.9 mmol) in ethanol (100 ml). The mixture was refluxed for 10 hours. After cooling, the solvent was removed and the residue was neutralized with concentrated HCl (12 ml) at 0 ° C. The mixture was then extracted with DCM (3 × 150 ml). The solvent was removed, the residue was purified by silica gel chromatography, eluting with hexane / ethyl acetate (2: 1), and (R) -2-mercapto-5-methyl-6,7-dihydro-5H-cyclopenta [d] pyrimidin-4- was obtained ol (12 g, 56%). MS (APCI +) [M + H] + 183.
Стадия 7. Никель Ренея (15 г) и NH4OH (20 мл) прибавляют к суспензии (R)-2-меркапто-5-метил-6,7-дигидро-5Н-циклопента[d]пиримидин-4-ола (12 г, 65,8 ммоль) в дистиллированной воде (100 мл). Смесь кипятят с обратным холодильником в течение 3 часов и затем фильтруют. Фильтрат концентрируют и получают (R)-5-метил-6,7-дигидро-5Н-циклопента[d]пиримидин-4-ол (9,89 г, 99%). МС (APCI+) [М+Н]+ 151. Stage 7 . Raney Nickel (15 g) and NH 4 OH (20 ml) are added to a suspension of (R) -2-mercapto-5-methyl-6,7-dihydro-5H-cyclopenta [d] pyrimidin-4-ol (12 g, 65.8 mmol) in distilled water (100 ml). The mixture was refluxed for 3 hours and then filtered. The filtrate was concentrated to give (R) -5-methyl-6,7-dihydro-5H-cyclopenta [d] pyrimidin-4-ol (9.89 g, 99%). MS (APCI +) [M + H] + 151.
Стадия 8. Смесь (R)-5-метил-6,7-дигидро-5Н-циклопента[d]пиримидин-4-ола (5,8 г, 38,62 ммоль) в POCl3 (20 мл) кипятят с обратным холодильником в течение 5 минут. Избыток POCl3 удаляют в вакууме, и остаток растворяют в DCM (50 мл). Затем смесь прибавляют к насыщенному раствору NaHCO3 (200 мл). Водную фазу экстрагируют DCM (3×100 мл), и объединенные органические фазы сушат и концентрируют. Остаток очищают хроматографией на силикагеле, осуществляя элюирование этилацетатом, и получают (R)-4-хлор-5-метил-6,7-дигидро-5Н-циклопента[d]пиримидин (3,18 г, 49%). 1Н ЯМР (CDCl3, 400 МГц) δ 8,81 (с, 1Н), 3,47 (м, 1Н), 3,20 (м, 1Н), 3,05 (м, 1Н), 2,41 (м, 1Н), 1,86 (м, 3Н), 1,47 (м, 3Н). Stage 8 . A mixture of (R) -5-methyl-6,7-dihydro-5H-cyclopenta [d] pyrimidin-4-ol (5.8 g, 38.62 mmol) in POCl 3 (20 ml) was refluxed 5 minutes. Excess POCl 3 was removed in vacuo and the residue was dissolved in DCM (50 ml). The mixture was then added to a saturated solution of NaHCO 3 (200 ml). The aqueous phase was extracted with DCM (3 × 100 ml), and the combined organic phases were dried and concentrated. The residue was purified by silica gel chromatography, eluting with ethyl acetate, and (R) -4-chloro-5-methyl-6,7-dihydro-5H-cyclopenta [d] pyrimidine (3.18 g, 49%) was obtained. 1 H NMR (CDCl 3 , 400 MHz) δ 8.81 (s, 1H), 3.47 (m, 1H), 3.20 (m, 1H), 3.05 (m, 1H), 2.41 (m, 1H), 1.86 (m, 3H), 1.47 (m, 3H).
Стадия 9. (R)-4-Хлор-5-метил-6,7-дигидро-5Н-циклопента[d]пиримидин (46 мг, 0,27 ммоль, 1,1 экв.) прибавляют к раствору трет-бутил-2-(N-(4-хлорбензил)пиперазин-1-карбоксамидо)этилкарбамата (100 мг, 0,25 ммоль) и основания Хюнига (0,1 мл, 0,75 ммоль, 3 экв.) в ацетонитриле (3 мл). Полученную смесь нагревают при 80°С в течение ночи. Реакционную смесь разбавляют водой и экстрагируют DCM, сушат и концентрируют, получая (R)-трет-бутил-2-(N-(4-хлорбензил)-4-(5-метил-6,7-дигидро-5Н-циклопента[d]пиримидин-4-ил)пиперазин-1-карбоксамидо)этилкарбамат (40 мг, 30%). МС (ESI) m/e (М+Н+) 529. Stage 9 . (R) -4-Chloro-5-methyl-6,7-dihydro-5H-cyclopenta [d] pyrimidine (46 mg, 0.27 mmol, 1.1 eq.) Are added to the solution of tert-butyl-2- ( N- (4-chlorobenzyl) piperazine-1-carboxamido) ethyl carbamate (100 mg, 0.25 mmol) and Hunig base (0.1 ml, 0.75 mmol, 3 equiv.) In acetonitrile (3 ml). The resulting mixture was heated at 80 ° C. overnight. The reaction mixture was diluted with water and extracted with DCM, dried and concentrated to give (R) -tert-butyl-2- (N- (4-chlorobenzyl) -4- (5-methyl-6,7-dihydro-5H-cyclopenta [d ] pyrimidin-4-yl) piperazin-1-carboxamido) ethyl carbamate (40 mg, 30%). MS (ESI) m / e (M + H + ) 529.
Стадия 10. Раствор HCl в диоксане при 0°С прибавляют к (R)-треот-бутил-2-(N-(4-хлорбензил)-4-(5-метил-6,7-дигидро-5Н-циклопента[d]пиримидин-4-ил)пиперазин-1-карбоксамидо)этилкарбамату (40 мг, 0,075 ммоль) в МеОН (1 мл). Реакционную смесь перемешивают при 25°С в течение 1 часа. После удаления растворителя неочищенный продукт очищают препаративной ВЭЖХ и получают (R)-N-(2-аминоэтил)-N-(4-хлорбензил)-4-(5-метил-6,7-дигидро-5Н-циклопента[d]пиримидин-4-ил)пиперазин-1-карбоксамид (32 мг, 90%). МС (ESI) m/е (М+Н+) 429,2. 1H ЯМР δ=8,56 (с, 1Н), δ=7,23-7,56 (дд, 4Н), δ=4,51 (с, 2Н), δ=3,97-4,19 (м, 4Н), δ=3,70 (м, 1Н), δ=3,61 (м, 4Н), δ=3,40-3,43 (т, 2Н), δ=2,96-3,15 (м, 4Н), δ=2,42 (м, 1Н), δ=1,89 (м, 1Н), δ=1,21-1,22 (д, 3Н). Stage 10 . A solution of HCl in dioxane at 0 ° C is added to (R) -treot-butyl-2- (N- (4-chlorobenzyl) -4- (5-methyl-6,7-dihydro-5H-cyclopenta [d] pyrimidine- 4-yl) piperazin-1-carboxamido) ethyl carbamate (40 mg, 0.075 mmol) in MeOH (1 ml). The reaction mixture was stirred at 25 ° C for 1 hour. After removing the solvent, the crude product was purified by preparative HPLC to give (R) -N- (2-aminoethyl) -N- (4-chlorobenzyl) -4- (5-methyl-6,7-dihydro-5H-cyclopenta [d] pyrimidine -4-yl) piperazin-1-carboxamide (32 mg, 90%). MS (ESI) m / e (M + H + ) 429.2. 1 H NMR δ = 8.56 (s, 1H), δ = 7.23-7.56 (dd, 4H), δ = 4.51 (s, 2H), δ = 3.97-4.19 ( m, 4H), δ = 3.70 (m, 1H), δ = 3.61 (m, 4H), δ = 3.40-3.43 (t, 2H), δ = 2.96-3, 15 (m, 4H), δ = 2.42 (m, 1H), δ = 1.89 (m, 1H), δ = 1.21-1.22 (d, 3H).
Пример 2Example 2
(R)-N-(4-Хлорфенил)-N-(2-(диэтиламино)этил)-4-(5-метил-6,7-дигидро-5Н-циклопента[d]пиримидин-4-ил)пиперазин-1-карбоксамид(R) -N- (4-Chlorophenyl) -N- (2- (diethylamino) ethyl) -4- (5-methyl-6,7-dihydro-5H-cyclopenta [d] pyrimidin-4-yl) piperazine- 1-carboxamide
Стадия 1. Этилпулегенат (130 г, 662 ммоль) в EtOAc (900 мл) охлаждают до -78°С на бане сухой лед-изопропанол. Полученную смесь подвергают озонолизу до тех пор, пока реакционная смесь не станет пурпурного цвета. На этой стадии прекращают генерирование озона и реакционную смесь удаляют из бани с сухим льдом. Через реакционную смесь барботируют кислород до тех пор, пока она не приобретет желтую окраску. Реакционную смесь концентрируют в вакууме, и полученный остаток растворяют в ледяной уксусной кислоте (400 мл). Раствор охлаждают до 0°С и постепенно в течение 30 минут прибавляют Zn-пыль (65 г, 993 ммоль), затем смесь перемешивают в течение 2 часов и фильтруют через слой целита для удаления Zn-пыли. Уксусную кислоту нейтрализуют водным NaOH и NaHCO3 до рН 7 и экстрагируют эфиром (3×800 мл). Объединенные органические слои промывают насыщенным водным раствором хлорида натрия, сушат над MgSO4, концентрируют и получают (2R)-этил-2-метил-5-оксоциклопентанкарбоксилат в виде жидкости (107 г, 95%). Stage 1 Ethylpulegenate (130 g, 662 mmol) in EtOAc (900 ml) was cooled to -78 ° C in a dry ice-isopropanol bath. The resulting mixture was ozonolized until the reaction mixture turned purple. At this stage, ozone generation is stopped and the reaction mixture is removed from the dry ice bath. Oxygen is bubbled through the reaction mixture until it turns yellow. The reaction mixture was concentrated in vacuo, and the resulting residue was dissolved in glacial acetic acid (400 ml). The solution was cooled to 0 ° C and Zn dust (65 g, 993 mmol) was added gradually over 30 minutes, then the mixture was stirred for 2 hours and filtered through a pad of celite to remove Zn dust. Acetic acid was neutralized with aqueous NaOH and NaHCO 3 to pH 7 and extracted with ether (3 × 800 ml). The combined organic layers were washed with a saturated aqueous solution of sodium chloride, dried over MgSO 4 , concentrated, and (2R) ethyl-2-methyl-5-oxo cyclopentanecarboxylate was obtained as a liquid (107 g, 95%).
Стадия 2. Ацетат аммония (240,03 г, 3113,9 ммоль) прибавляют к раствору (R)-этил-2-метил-5-оксоциклопентанкарбоксилата (106,0 г, 622,78 ммоль) в МеОН (1,2 л). Реакционную смесь перемешивают при комнатной температуре в атмосфере азота в течение 20 часов, после чего реакция завершается (по данным ТСХ и ВЭЖХ). Реакционную смесь концентрируют для удаления МеОН. Полученный остаток растворяют в DCM, два раза промывают H2O, один раз - насыщенным водным раствором хлорида натрия, сушат (Na2SO4), фильтруют, концентрируют и получают (R)-этил-2-амино-5-метилциклопент-1-енкарбоксилат (102 г, выход 97%) в виде масла. ЖХ/МС (APCI+) m/z 170 [M+H]+. Stage 2 Ammonium acetate (240.03 g, 3113.9 mmol) was added to a solution of (R) -ethyl-2-methyl-5-oxocyclo-pentanecarboxylate (106.0 g, 622.78 mmol) in MeOH (1.2 L). The reaction mixture was stirred at room temperature in a nitrogen atmosphere for 20 hours, after which the reaction was completed (according to TLC and HPLC). The reaction mixture was concentrated to remove MeOH. The resulting residue was dissolved in DCM, washed twice with H 2 O, once with a saturated aqueous solution of sodium chloride, dried (Na 2 SO 4 ), filtered, concentrated to give (R) -ethyl-2-amino-5-methylcyclopent-1 -carboxylate (102 g, 97% yield) as an oil. LC / MS (APCI +) m / z 170 [M + H] + .
Стадия 3. Раствор, содержащий (R)-этил-2-амино-5-метилциклопент-1-енкарбоксилат (161,61 г, 955,024 ммоль) и формиат аммония (90,3298 г, 1432,54 ммоль) в формамиде (303,456 мл, 7640,19 ммоль) нагревают до внутренней температуры 150°С и перемешивают в течение 17 часов. Реакционную смесь охлаждают и переносят в одногорлую колбу объемом 2 л. Затем удаляют избыток формамидина перегонкой в высоком вакууме. Как только формамидин перестает отгоняться, оставшееся в перегонном кубе масло растворяют в DCM и промывают насыщенным водным раствором хлорида натрия (3×200 мл). Объединенные водные промывные воды экстрагируют DCM. Объединенные органические экстракты сушат (Na2SO4), фильтруют и концентрируют. Полученное коричневое масло растворяют в минимальном количестве ДСМ и полученный раствор прибавляют с помощью делительной воронки к перемешиваемому раствору эфира (около 5 объемов эфира на 1 объем раствора в DCM), что вызывает образование коричневого осадка. Выпавший осадок отфильтровывают через стеклянный фильтр со средним размером пор, промывают эфиром и удаляют. Фильтрат концентрируют, растирание с эфиром повторяют два и более раз, затем сушат в высоком вакууме и получают (R)-5-метил-6,7-дигидро-5Н-циклопента[d]пиримидин-4-ол (93,225 г, выход 65,00%) в виде пастообразного вещества. ЖХ/МС (APCI-) m/z 149,2. Stage 3 . A solution containing (R) -ethyl-2-amino-5-methylcyclopent-1-enecarboxylate (161.61 g, 955.024 mmol) and ammonium formate (90.3298 g, 1432.54 mmol) in formamide (303.456 ml, 7640 , 19 mmol) are heated to an internal temperature of 150 ° C and stirred for 17 hours. The reaction mixture was cooled and transferred to a 2 L single neck flask. The excess formamidine is then removed by distillation in high vacuum. As soon as formamidine ceases to distill off, the oil remaining in the still is dissolved in DCM and washed with a saturated aqueous solution of sodium chloride (3 × 200 ml). The combined aqueous washings were extracted with DCM. The combined organic extracts were dried (Na 2 SO 4 ), filtered and concentrated. The resulting brown oil is dissolved in a minimal amount of DSM and the resulting solution is added via a separatory funnel to the stirred ether solution (about 5 volumes of ether per 1 volume of solution in DCM), which causes the formation of a brown precipitate. The precipitate formed is filtered through a glass filter with an average pore size, washed with ether and removed. The filtrate was concentrated, trituration with ether was repeated two or more times, then dried in high vacuum to obtain (R) -5-methyl-6,7-dihydro-5H-cyclopenta [d] pyrimidin-4-ol (93.225 g, yield 65 , 00%) as a pasty substance. LC / MS (APCI-) m / z 149.2.
Стадия 4. Чистый POCl3 (463,9 мл, 5067 ммоль) медленно прибавляют через капельную воронку к охлажденному до 0°С раствору (R)-5-метил-6,7-дигидро-5Н-циклопента[d]пиримидин-4-ола (152,2 г, 1013 ммоль) в DCE (1,2 л). После завершения прибавления реакционную смесь нагревают до комнатной температуры, затем нагревают до кипения и перемешивают в течение 70 минут. Реакция завершена (по данным ВЭЖХ). Реакционную смесь охлаждают до комнатной температуры и избыток POCl3 гасят 4 порциями следующим образом: реакционную смесь переносят в делительную воронку и сливают по каплям в стакан, содержащий лед и насыщенный раствор NaHCO3, охлажденный в ледяной бане. Как только прибавление каждой порции реакционной смеси завершается, гашеную смесь перемешивают в течение 30 минут, чтобы обеспечить полную деструкцию POCl3 до переноса в делительную воронку. Смесь переносят в делительную воронку и два раза экстрагируют DCM. Объединенные экстракты сушат (Na2SO4), фильтруют и концентрируют. Неочищенный продукт очищают на силикагеле следующим образом: силикагель (1 кг) суспендируют в смеси гексан:этилацетат (9:1) на стеклянном фильтре объемом 3 л, силикагель осаждают в вакууме, с песком сверху. Неочищенный продукт загружают в смесь DCM/гексан, и осуществляют элюирование соединения, используя колбы с отводом объемом 1 л в вакууме. Побочные продукты с высоким Rf вымываются первыми, затем элюируется (R)-4-хлор-5-метил-6,7-дигидро-5Н-циклопента[d]пиримидин (104,4 г, выход 61,09%) в виде масла. Stage 4 . Pure POCl 3 (463.9 ml, 5067 mmol) is slowly added via a dropping funnel to a solution of (R) -5-methyl-6,7-dihydro-5H-cyclopenta [d] pyrimidin-4-ol (cooled to 0 ° C) ( 152.2 g, 1013 mmol) in DCE (1.2 L). After completion of the addition, the reaction mixture was warmed to room temperature, then heated to boiling and stirred for 70 minutes. The reaction is complete (according to HPLC). The reaction mixture was cooled to room temperature and the excess POCl 3 was quenched in 4 portions as follows: the reaction mixture was transferred to a separatory funnel and poured dropwise into a glass containing ice and a saturated solution of NaHCO 3 cooled in an ice bath. As soon as the addition of each portion of the reaction mixture is complete, the quenched mixture is stirred for 30 minutes to ensure complete destruction of POCl 3 before being transferred to a separatory funnel. The mixture was transferred to a separatory funnel and extracted twice with DCM. The combined extracts were dried (Na 2 SO 4 ), filtered and concentrated. The crude product is purified on silica gel as follows: silica gel (1 kg) is suspended in a mixture of hexane: ethyl acetate (9: 1) on a 3 L glass filter, silica gel is precipitated in vacuum, with sand on top. The crude product was charged into a DCM / hexane mixture, and the compound was eluted using 1 liter flasks in a vacuum. High Rf by-products are washed first, then (R) -4-chloro-5-methyl-6,7-dihydro-5H-cyclopenta [d] pyrimidine (104.4 g, 61.09% yield) is eluted as an oil .
Стадия 5. 4-Хлоранилин (0,5 г, 3,9 ммоль) прибавляют к раствору гидробромида 2-бром-N,N-диэтилэтиламина (1,12 г, 4,3 ммоль) и N,N-диизопропилэтиламина (2 мл, 11,7 ммоль) в толуоле (7,8 мл). Смесь перемешивают при комнатной температуре в течение 5 часов. Затем смесь разбавляют EtOAc (30 мл) и насыщенным раствором NaHCO3 (20 мл). Органический слой промывают Н2О (1×20 мл), сушат (Na2SO4), фильтруют, концентрируют и получают 4-хлор-N-(2-(диэтиламино)этил)бензоламин в виде масла, которое используют без очистки. МС (APCI+) [М+Н]+ 227,3. Stage 5 . 4-Chloraniline (0.5 g, 3.9 mmol) was added to a solution of 2-bromo-N, N-diethylethylamine hydrobromide (1.12 g, 4.3 mmol) and N, N-diisopropylethylamine (2 ml, 11, 7 mmol) in toluene (7.8 ml). The mixture was stirred at room temperature for 5 hours. The mixture was then diluted with EtOAc (30 ml) and saturated NaHCO 3 solution (20 ml). The organic layer was washed with H 2 O (1 × 20 ml), dried (Na 2 SO 4 ), filtered, concentrated to give 4-chloro-N- (2- (diethylamino) ethyl) benzeneamine as an oil, which was used without purification. MS (APCI +) [M + H] + 227.3.
Стадия 6. трет-Бутил-4-хлоркарбонилпиперазин-1-карбоксилат (0,97 г, 3,9 ммоль) прибавляют к раствору 4-хлор-N-(2-(диэтиламино)этил)бензоламина (884 мг, 3,9 ммоль) и N,N-диизопропилэтиламина (1,9 мл, 11,7 ммоль) в DCM (8 мл). Реакционную смесь нагревают и кипятят с обратным холодильником в течение 20 часов. Смесь охлаждают до комнатной температуры, гасят насыщенным раствором NH4Cl (10 мл) и экстрагируют DCM (2×20 мл). Объединенные органические экстракты сушат (Na2SO4), фильтруют и концентрируют. Неочищенный продукт очищают хроматографией на силикагеле и получают трет-бутил-4-(N-(4-хлорфенил)-N-(2-(диэтиламино)этил)карбамоил)пиперазин-1-карбоксилат (311 мг, 18%). МС (APCI+) [М+Н]+ 439,4. 1Н ЯМР (CDCl3, 400 МГц) δ 7,29 (д, J=8,8 Гц, 2Н), 7,09 (д, J=8,8 Гц, 2Н), 3,70-3, 66 (м, 2Н), 3,45-3,42 (м, 2Н), 3,24-3,21 (м, 4Н), 3,15-3,12 (м, 2Н), 2,61-2,57 (м, 2Н), 2,52 (кв, J=7,2 Гц, 4Н), 1,42 (с, 9Н), 0,99 (т, J=7,2 Гц, 6Н). Stage 6 . tert-Butyl-4-chlorocarbonylpiperazine-1-carboxylate (0.97 g, 3.9 mmol) is added to a solution of 4-chloro-N- (2- (diethylamino) ethyl) benzeneamine (884 mg, 3.9 mmol) and N, N-diisopropylethylamine (1.9 ml, 11.7 mmol) in DCM (8 ml). The reaction mixture is heated and refluxed for 20 hours. The mixture was cooled to room temperature, quenched with saturated NH 4 Cl solution (10 ml) and extracted with DCM (2 × 20 ml). The combined organic extracts were dried (Na 2 SO 4 ), filtered and concentrated. The crude product was purified by silica gel chromatography to give tert-butyl 4- (N- (4-chlorophenyl) -N- (2- (diethylamino) ethyl) carbamoyl) piperazine-1-carboxylate (311 mg, 18%). MS (APCI +) [M + H] + 439.4. 1 H NMR (CDCl 3 , 400 MHz) δ 7.29 (d, J = 8.8 Hz, 2H), 7.09 (d, J = 8.8 Hz, 2H), 3.70-3, 66 (m, 2H), 3.45-3.42 (m, 2H), 3.24-3.21 (m, 4H), 3.15-3.12 (m, 2H), 2.61-2 57 (m, 2H), 2.52 (q, J = 7.2 Hz, 4H), 1.42 (s, 9H), 0.99 (t, J = 7.2 Hz, 6H).
Стадия 7. Трифторуксусную кислоту (1 мл) прибавляют к раствору трет-бутил-4-(N-(4-хлорфенил)-N-(2-(диэтиламино)этил)карбамоил)пиперазин-1-карбоксилата (311 мг, 0,7 ммоль) в DCM (5 мл). Смесь перемешивают при комнатной температуре в течение 3 часов и затем концентрируют в вакууме. Остаток растворяют в н-бутаноле (2 мл). Прибавляют N,N-диизопропилэтиламин (0,5 мл, 3,6 ммоль), затем (R)-4-хлор-6,7-дигидро-5-метил-5Н-циклопента[d]пиримидин (113 мг, 0,84 ммоль). Реакционную смесь нагревают при 80°С в течение 16 часов. Затем смесь разбавляют Н2О и экстрагируют DCM (2×20 мл). Объединенные органические экстракты сушат (Na2SO4), фильтруют и концентрируют. Неочищенный продукт очищают препаративной ВЭЖХ и получают N-(4-хлорфенил)-N-(2-(диэтиламино)этил)-4-((R)-6,7-дигидро-5-метил-5Н-циклопента[d]пиримидин-4-ил)пиперазин-1-карбоксамид (39,9 мг, 12%). МС (APCI+) [М+H]+ 471,3. 1Н ЯМР (CDCl3, 400 МГц) δ 8,49 (с, 1Н), 7,40-7,35 (м, 2Н), 7,17-7,13 (м, 2Н), 4,06-3,95 (м, 4Н), 3,77-3,70 (м, 2Н), 3,51-3,44 (м, 1Н), 3,39-3,02 (м, 11Н), 2,42-2,32 (м, 1Н). 1,88-1,82 (м, 1Н), 1,33 (т, J=7,2 Гц, 6Н), 1,15 (д, J=6,8 Гц, 3Н). Stage 7 . Trifluoroacetic acid (1 ml) was added to a solution of tert-butyl 4- (N- (4-chlorophenyl) -N- (2- (diethylamino) ethyl) carbamoyl) piperazine-1-carboxylate (311 mg, 0.7 mmol) in DCM (5 ml). The mixture was stirred at room temperature for 3 hours and then concentrated in vacuo. The residue was dissolved in n-butanol (2 ml). N, N-diisopropylethylamine (0.5 ml, 3.6 mmol) was added, followed by (R) -4-chloro-6,7-dihydro-5-methyl-5H-cyclopenta [d] pyrimidine (113 mg, 0, 84 mmol). The reaction mixture is heated at 80 ° C. for 16 hours. The mixture was then diluted with H 2 O and extracted with DCM (2 × 20 ml). The combined organic extracts were dried (Na 2 SO 4 ), filtered and concentrated. The crude product is purified by preparative HPLC to give N- (4-chlorophenyl) -N- (2- (diethylamino) ethyl) -4 - ((R) -6,7-dihydro-5-methyl-5H-cyclopenta [d] pyrimidine -4-yl) piperazin-1-carboxamide (39.9 mg, 12%). MS (APCI +) [M + H] + 471.3. 1 H NMR (CDCl 3 , 400 MHz) δ 8.49 (s, 1H), 7.40-7.35 (m, 2H), 7.17-7.13 (m, 2H), 4.06- 3.95 (m, 4H), 3.77-3.70 (m, 2H), 3.51-3.44 (m, 1H), 3.39-3.02 (m, 11H), 2, 42-2.32 (m, 1H). 1.88-1.82 (m, 1H), 1.33 (t, J = 7.2 Hz, 6H), 1.15 (d, J = 6.8 Hz, 3H).
Пример 3Example 3
N-(4-Хлорбензил)-N-(2-(диэтиламино)этил)-4-((5R)-7-гидрокси-5-метил-6,7-дигидро-5Н-циклопента[d]пиримидин-4-ил)пиперазин-1-карбоксамидN- (4-Chlorobenzyl) -N- (2- (diethylamino) ethyl) -4 - ((5R) -7-hydroxy-5-methyl-6,7-dihydro-5H-cyclopenta [d] pyrimidin-4- il) piperazine-1-carboxamide
Стадия 1. (R)-(+)-Пулегон (76,12 г, 0,5 ммоль), безводный NaHCO3 (12,5 г) и безводный эфир (500 мл) помещают в круглодонную колбу объемом 1 л. Реакционную смесь охлаждают на ледяной бане в атмосфере азота. По каплям прибавляют бром (25,62 мл, 0,5 ммоль) в течение более 30 минут. Смесь фильтруют и осторожно прибавляют к NaOEt (21%, 412 мл, 1,11 ммоль) в бане, охлаждаемой льдом. Смесь перемешивают при комнатной температуре в течение ночи и затем прибавляют 5% раствор HCl (1 л) и эфир (300 мл). Водную фазу экстрагируют эфиром (2×300 мл). Объединенные органические фазы промывают водой, сушат и концентрируют. Остаток прибавляют к подогретому раствору гидрохлорида семикарбазида (37,5 г) и NaOAc (37,5 г) в воде (300 мл), затем прибавляют кипящий этанол (300 мл) и получают прозрачный раствор. Смесь кипятят с обратным холодильником в течение 2,5 часов и затем перемешивают при комнатной температуре в течение ночи. Смесь обрабатывают водой (1 л) и эфиром (300 мл). Водную фазу экстрагируют эфиром (2×300 мл). Объединенные органические фазы промывают водой, сушат и концентрируют. Остаток очищают вакуумной перегонкой (73-76°С при 0,8 мм рт.ст.) и получают (2R)-этил-2-метил-5-(пропан-2-илиден)циклопентанкарбоксилат (63 г, 64%). 1Н ЯМР (CDCl3, 400 МГц) δ 4,13 (м, 2Н), 3,38 (д, J=16 Гц, 0,5Н), 2,93 (м, 0,5Н), 2,50-2,17 (м, 2Н), 1,98 (м, 1Н), 1,76 (м, 1Н), 1,23 (м, 6Н), 1,05 (м, 6Н). Stage 1 (R) - (+) - Pulegon (76.12 g, 0.5 mmol), anhydrous NaHCO 3 (12.5 g) and anhydrous ether (500 ml) were placed in a 1 L round-bottom flask. The reaction mixture is cooled in an ice bath under nitrogen. Bromine (25.62 ml, 0.5 mmol) was added dropwise over more than 30 minutes. The mixture was filtered and carefully added to NaOEt (21%, 412 ml, 1.11 mmol) in an ice-cooled bath. The mixture was stirred at room temperature overnight and then 5% HCl solution (1 L) and ether (300 ml) were added. The aqueous phase is extracted with ether (2 × 300 ml). The combined organic phases are washed with water, dried and concentrated. The residue was added to a heated solution of semicarbazide hydrochloride (37.5 g) and NaOAc (37.5 g) in water (300 ml), then boiling ethanol (300 ml) was added to obtain a clear solution. The mixture was refluxed for 2.5 hours and then stirred at room temperature overnight. The mixture is treated with water (1 L) and ether (300 ml). The aqueous phase is extracted with ether (2 × 300 ml). The combined organic phases are washed with water, dried and concentrated. The residue was purified by vacuum distillation (73-76 ° C at 0.8 mm Hg) to give (2R) ethyl-2-methyl-5- (propan-2-ylidene) cyclopentanecarboxylate (63 g, 64%). 1 H NMR (CDCl 3 , 400 MHz) δ 4.13 (m, 2H), 3.38 (d, J = 16 Hz, 0.5 H), 2.93 (m, 0.5 H), 2.50 -2.17 (m, 2H), 1.98 (m, 1H), 1.76 (m, 1H), 1.23 (m, 6H), 1.05 (m, 6H).
Стадия 2. (2R)-Этил-2-метил-5-(пропан-2-илиден)циклопентанкарбоксилат (24 г, 0,122 моль) в этилацетате (100 мл) охлаждают до -68°С смесью сухой лед/изопропанол. Озонированный кислород (5-7 фут3/час O2) барботируют через раствор в течение 3,5 часов. Реакционную смесь продувают азотом при комнатной температуре до исчезновения цвета. Этилацетат удаляют в вакууме, остаток растворяют в уксусной кислоте (150 мл) и охлаждают ледяной водой. Затем прибавляют цинковую пыль (45 г). Раствор перемешивают в течение 30 минут и затем фильтруют. Фильтрат нейтрализуют 2N раствором NaOH (1,3 л) и NaHCO3. Водную фазу экстрагируют эфиром (3×200 мл). Органические фазы объединяют, промывают водой, сушат, концентрируют и получают (2R)-этил-2-метил-5-оксоциклопентанкарбоксилат (20 г, 96%). 1Н ЯМР (CDCl3, 400 МГц) δ 4,21 (м, 2Н), 2,77 (д, J=11,2 Гц, 1Н), 2,60 (м, 1Н), 2,50-2,10 (м, 3Н), 1,42 (м, 1Н), 1,33 (м, 3Н), 1,23 (м, 3Н). Stage 2 (2R) -ethyl-2-methyl-5- (propan-2-ylidene) cyclopentanecarboxylate (24 g, 0.122 mol) in ethyl acetate (100 ml) was cooled to -68 ° C with a dry ice / isopropanol mixture. Ozonated oxygen (5-7 ft 3 / h O 2 ) is bubbled through the solution for 3.5 hours. The reaction mixture was purged with nitrogen at room temperature until the color faded. Ethyl acetate was removed in vacuo, the residue was dissolved in acetic acid (150 ml) and cooled with ice water. Then zinc dust (45 g) is added. The solution was stirred for 30 minutes and then filtered. The filtrate was neutralized with a 2N solution of NaOH (1.3 L) and NaHCO 3 . The aqueous phase is extracted with ether (3 × 200 ml). The organic phases are combined, washed with water, dried, concentrated and (2R) -ethyl-2-methyl-5-oxocyclopentanecarboxylate (20 g, 96%) is obtained. 1 H NMR (CDCl 3 , 400 MHz) δ 4.21 (m, 2H), 2.77 (d, J = 11.2 Hz, 1H), 2.60 (m, 1H), 2.50-2 10 (m, 3H), 1.42 (m, 1H), 1.33 (m, 3H), 1.23 (m, 3H).
Стадия 3. К раствору смеси (2R)-этил-2-метил-5-оксоциклопентанкарбоксилата (20 г, 117,5 ммоль) и тиомочевины (9,2 г, 120,9 ммоль) в этаноле (100 мл) прибавляют КОН (8,3 г, 147,9 ммоль) в воде (60 мл). Смесь кипятят с обратным холодильником в течение 10 часов. После охлаждения удаляют растворитель, и остаток нейтрализуют концентрированной HCl (12 мл) при 0°С и затем экстрагируют DCM (3×150 мл). Растворитель удаляют, остаток очищают хроматографией на силикагеле, осуществляя элюирование смесью гексан/этилацетат (2:1) и получают (R)-2-меркапто-5-метил-6,7-дигидро-5Н-циклопента[d]пиримидин-4-ол (12 г, 56%). МС (APCI+) [М+Н]+ 183. Stage 3 . To a solution of a mixture of (2R) -ethyl-2-methyl-5-oxocyclopentanecarboxylate (20 g, 117.5 mmol) and thiourea (9.2 g, 120.9 mmol) in ethanol (100 ml) was added KOH (8.3 g, 147.9 mmol) in water (60 ml). The mixture was refluxed for 10 hours. After cooling, the solvent was removed and the residue was neutralized with concentrated HCl (12 ml) at 0 ° C and then extracted with DCM (3 × 150 ml). The solvent was removed, the residue was purified by silica gel chromatography, eluting with hexane / ethyl acetate (2: 1), and (R) -2-mercapto-5-methyl-6,7-dihydro-5H-cyclopenta [d] pyrimidin-4- was obtained ol (12 g, 56%). MS (APCI +) [M + H] + 183.
Стадия 4. Никель Ренея (15 г) и NH4OH (20 мл) прибавляют к суспензии (R)-2-меркапто-5-метил-6,7-дигидро-5Н-циклопента[d]пиримидин-4-ола (12 г, 65,8 ммоль) в дистиллированной воде (100 мл). Смесь кипятят с обратным холодильником в течение 3 часов и затем фильтруют. Фильтрат концентрируют и получают (R)-5-метил-6,7-дигидро-5Н-циклопента[d]пиримидин-4-ол (9,89 г, 99%). МС (APCI+) [М+Н]+ 151. Stage 4 . Raney Nickel (15 g) and NH 4 OH (20 ml) are added to a suspension of (R) -2-mercapto-5-methyl-6,7-dihydro-5H-cyclopenta [d] pyrimidin-4-ol (12 g, 65.8 mmol) in distilled water (100 ml). The mixture was refluxed for 3 hours and then filtered. The filtrate was concentrated to give (R) -5-methyl-6,7-dihydro-5H-cyclopenta [d] pyrimidin-4-ol (9.89 g, 99%). MS (APCI +) [M + H] + 151.
Стадия 5. Смесь (R)-5-метил-6,7-дигидро-5Н-циклопента[d]пиримидин-4-ола (5,8 г, 38,62 ммоль) в POCl3 (20 мл) кипятят с обратным холодильником в течение 5 минут. Избыток POCl3 удаляют в вакууме, и остаток растворяют в DCM (50 мл). Затем смесь прибавляют к насыщенному раствору NaHCO3 (200 мл). Водную фазу экстрагируют DCM (3×100 мл), и объединенные органические фазы сушат и концентрируют. Остаток очищают хроматографией на силикагеле, осуществляют элюирование этилацетатом и получают (R)-4-хлор-5-метил-6,7-дигидро-5Н-циклопента[d]пиримидина (3,18 г, 49%). 1Н ЯМР (CDCl3, 400 МГц) δ 8,81 (с, 1Н), 3,47 (м, 1Н), 3,20 (м, 1Н), 3,05 (м, 1Н), 2,41 (м, 1Н), 1,86 (м, 3Н), 1,47 (м, 3Н). Stage 5 . A mixture of (R) -5-methyl-6,7-dihydro-5H-cyclopenta [d] pyrimidin-4-ol (5.8 g, 38.62 mmol) in POCl 3 (20 ml) was refluxed 5 minutes. Excess POCl 3 was removed in vacuo and the residue was dissolved in DCM (50 ml). The mixture was then added to a saturated solution of NaHCO 3 (200 ml). The aqueous phase was extracted with DCM (3 × 100 ml), and the combined organic phases were dried and concentrated. The residue was purified by silica gel chromatography, eluting with ethyl acetate, and (R) -4-chloro-5-methyl-6,7-dihydro-5H-cyclopenta [d] pyrimidine (3.18 g, 49%) was obtained. 1 H NMR (CDCl 3 , 400 MHz) δ 8.81 (s, 1H), 3.47 (m, 1H), 3.20 (m, 1H), 3.05 (m, 1H), 2.41 (m, 1H), 1.86 (m, 3H), 1.47 (m, 3H).
Стадия 6. м-СРВА (8,30 г, 37,0 ммоль) прибавляют тремя порциями к раствору (R)-4-хлор-5-метил-6,7-дигидро-5Н-циклопента[d]пиримидина (2,5 г, 14,8 ммоль) в CHCl3 (60 мл). Смесь перемешивают при комнатной температуре в течение 2 дней. Смесь охлаждают до 0°С и по каплям прибавляют Na2S2O3 (10 г) в воде (60 мл). Затем прибавляют Na2CO3 (6 г) в воде (20 мл). Реакционную смесь перемешивают в течение 20 минут. Водную фазу экстрагируют CHCl3 (2×200 мл) и объединенные органические фазы концентрируют при низкой температуре (<25°С). Остаток очищают хроматографией на силикагеле, осуществляя элюирование смесью этилацетат-DCM/MeOH (20:1) и получают оксид (R)-4-хлор-5-метил-6,7-дигидро-5Н-циклопента[d]пиримидина (1,45 г, 53%). 1Н ЯМР (CDCl3, 400 МГц) δ 8,66 (с, 1Н), 3,50 (м, 1Н), 3,20 (м, 2Н), 2,44 (м, 1Н), 1,90 (м, 1Н), 1,37 (д, 1=7,2 Гц, 3Н). Stage 6 . m-CPBA (8.30 g, 37.0 mmol) is added in three portions to a solution of (R) -4-chloro-5-methyl-6,7-dihydro-5H-cyclopenta [d] pyrimidine (2.5 g, 14.8 mmol) in CHCl 3 (60 ml). The mixture was stirred at room temperature for 2 days. The mixture was cooled to 0 ° C. and Na 2 S 2 O 3 (10 g) in water (60 ml) was added dropwise. Then, Na 2 CO 3 (6 g) in water (20 ml) was added. The reaction mixture was stirred for 20 minutes. The aqueous phase was extracted with CHCl 3 (2 × 200 ml) and the combined organic phases were concentrated at low temperature (<25 ° C). The residue was purified by silica gel chromatography, eluting with ethyl acetate-DCM / MeOH (20: 1), and (R) -4-chloro-5-methyl-6,7-dihydro-5H-cyclopenta [d] pyrimidine oxide was obtained (1, 45 g, 53%). 1 H NMR (CDCl 3 , 400 MHz) δ 8.66 (s, 1H), 3.50 (m, 1H), 3.20 (m, 2H), 2.44 (m, 1H), 1.90 (m, 1H), 1.37 (d, 1 = 7.2 Hz, 3H).
Стадия 7. Раствор оксида (R)-4-хлор-5-метил-6,7-дигидро-5Н-циклопента[d]пиримидина (1,45 г, 7,85 ммоль) в уксусном ангидриде (20 мл) нагревают при 110°С в течение 2 часов. После охлаждения удаляют избыток растворителя в вакууме. Остаток очищают хроматографией на силикагеле, осуществляя элюирование смесью гексан/этилацетат (3:1) и получают (5R)-4-хлор-5-метил-6,7-дигидро-5Н-циклопента[d]пиримидин-7-илацетат (1,25 г, 70%). 1Н ЯМР (CDCl3, 400 МГц) δ 8,92 (м, 1Н), 6,30-6,03 (м, 1Н), 3,60-3,30 (м, 1Н), 2,84 (м, 1Н), 2,40-2,20 (м, 1Н), 2,15 (д, J=6 Гц, 2Н), 1,75 (м, 2Н), 1,47 (д, J=6,8, 2Н), 1,38 (д, J=7,2, 1Н). МС (APCI+) [М+Н]+ 227. Stage 7 . A solution of (R) -4-chloro-5-methyl-6,7-dihydro-5H-cyclopenta [d] pyrimidine oxide (1.45 g, 7.85 mmol) in acetic anhydride (20 ml) is heated at 110 ° C within 2 hours. After cooling, excess solvent was removed in vacuo. The residue was purified by silica gel chromatography, eluting with hexane / ethyl acetate (3: 1), to give (5R) -4-chloro-5-methyl-6,7-dihydro-5H-cyclopenta [d] pyrimidin-7-yl acetate (1 , 25 g, 70%). 1 H NMR (CDCl 3 , 400 MHz) δ 8.92 (m, 1H), 6.30-6.03 (m, 1H), 3.60-3.30 (m, 1H), 2.84 ( m, 1H), 2.40-2.20 (m, 1H), 2.15 (d, J = 6 Hz, 2H), 1.75 (m, 2H), 1.47 (d, J = 6 8, 2H); 1.38 (d, J = 7.2, 1H). MS (APCI +) [M + H] + 227.
Стадия 8. (5R)-4-Хлор-5-метил-6,7-дигидро-5Н-циклопента[d]пиримидин-7-илацетат превращают в (5R)-4-хлор-6,7-дигидро-5-метил-5Н-циклопента[d]пиримидин-7-ол обработкой LiOH в Н2О/ТГФ с последующей обработкой кислотой (2N раствором HCl в воде) для удаления ацетатных групп. Stage 8 . (5R) -4-Chloro-5-methyl-6,7-dihydro-5H-cyclopenta [d] pyrimidin-7-yl acetate is converted to (5R) -4-chloro-6,7-dihydro-5-methyl-5H -cyclopenta [d] pyrimidin-7-ol by treatment of LiOH in H 2 O / THF followed by treatment with acid (2N HCl in water) to remove acetate groups.
Стадия 9. 4-Хлорбензиламин (1,0 мл, 8,2 ммоль) прибавляют к раствору гидробромида 2-бром-N,N-диэтилэтиламина (2,4 г, 9,0 ммоль) и триэтиламина (3,4 мл, 25 ммоль) в дихлорметане (16 мл). Смесь перемешивают при комнатной температуре в течение 5 часов. Затем смесь концентрируют и получают N1-(4-хлорбензил)-N2,N2-диэтилэтан-1,2-диамин в виде масла, которое используют непосредственно без очистки. Stage 9 . 4-Chlorobenzylamine (1.0 ml, 8.2 mmol) is added to a solution of 2-bromo-N, N-diethylethylamine hydrobromide (2.4 g, 9.0 mmol) and triethylamine (3.4 ml, 25 mmol) in dichloromethane (16 ml). The mixture was stirred at room temperature for 5 hours. The mixture was then concentrated to give N1- (4-chlorobenzyl) -N2, N2-diethylethan-1,2-diamine as an oil, which was used directly without purification.
Стадия 10. трет-Бутил-4-хлоркарбонилпиперазин-1-карбоксилат (245 мг, 0,99 ммоль) прибавляют к раствору N1-(4-хлорбензил)-N2,N2-диэтилэтан-1,2-диамина (235 мг, 0,98 ммоль) и N,N-диизопропилэтиламина (0,54 мл, 2,94 ммоль) в DCM (2 мл). Реакционную смесь оставляют перемешиваться при комнатной температуре в течение 1 часа. Смесь гасят насыщенным раствором NH4Cl (2 мл) и экстрагируют DCM (2×5 мл). Объединенные органические экстракты сушат (Na2SO4), фильтруют и концентрируют. Неочищенный продукт очищают хроматографией на силикагеле и получают трет-бутил-4-(N-(4-хлорбензил)-N-(2-(диэтиламино)этил)карбамоил)пиперазин-1-карбоксилат (200 мг, 45%). 1Н ЯМР (CDCl3, 400 МГц) δ 7,32 (д, J=8,4 Гц, 2Н), 7,19 (д, J=8,4 Гц, 2Н), 4,42 (с, 2Н), 3,45-3,40 (м, 4Н), 3,25-3,20 (м, 4Н), 3,18 (т, J=6,8 Гц, 2 Гц), 2,56 (т, J=6,8 Гц, 2Н), 2,49 (кв, J=7,2 Гц, 4Н), 1,46 (с, 9Н), 0,99 (т, J=7,2 Гц, 6Н).Step 10. Tert-Butyl-4-chlorocarbonylpiperazine-1-carboxylate (245 mg, 0.99 mmol) is added to a solution of N1- (4-chlorobenzyl) -N2, N2-diethylethane-1,2-diamine (235 mg, 0 98 mmol) and N, N-diisopropylethylamine (0.54 ml, 2.94 mmol) in DCM (2 ml). The reaction mixture was allowed to stir at room temperature for 1 hour. The mixture was quenched with saturated NH 4 Cl solution (2 ml) and extracted with DCM (2 × 5 ml). The combined organic extracts were dried (Na 2 SO 4 ), filtered and concentrated. The crude product was purified by silica gel chromatography to give tert-butyl 4- (N- (4-chlorobenzyl) -N- (2- (diethylamino) ethyl) carbamoyl) piperazine-1-carboxylate (200 mg, 45%). 1 H NMR (CDCl 3 , 400 MHz) δ 7.32 (d, J = 8.4 Hz, 2H), 7.19 (d, J = 8.4 Hz, 2H), 4.42 (s, 2H ), 3.45-3.40 (m, 4H), 3.25-3.20 (m, 4H), 3.18 (t, J = 6.8 Hz, 2 Hz), 2.56 (t , J = 6.8 Hz, 2H), 2.49 (q, J = 7.2 Hz, 4H), 1.46 (s, 9H), 0.99 (t, J = 7.2 Hz, 6H )
Стадия 11. Трифторуксусную кислоту (1 мл) прибавляют к раствору трет-бутил-4-(N-(4-хлорбензил)-N-(2-(диэтиламино)этил)карбамоил)пиперазин-1-карбоксилата (88 мг, 0,19 ммоль) в DCM (1 мл). Смесь перемешивают при комнатной температуре в течение 3 часов и затем концентрируют в вакууме. Остаток растворяют в н-бутаноле (1 мл). К раствору прибавляют N,N-диизопропилэтиламин (0,11 мл, 0,6 ммоль). Затем к раствору прибавляют (5R)-4-хлор-6,7-дигидро-5-метил-5Н-циклопента[d]пиримидин-7-ол (37 мг, 0,20 ммоль). Реакционную смесь нагревают при 80°С в течение 16 часов. Затем смесь разбавляют H2O (1 мл) и экстрагируют DCM (2×5 мл). Объединенные органические экстракты сушат (Na2SO4), фильтруют и концентрируют. Неочищенный продукт очищают препаративной ВЭЖХ и получают N-(4-хлорбензил)-N-(2-(диэтиламино)этил)-4-((5R)-6,7-дигидро-7-гидрокси-5-метил-5Н-циклопента[d]пиримидин-4-ил)пиперазин-1-карбоксамид (19,9 мг, 21%). МС (APCI+) [М+Н]+ 501,3. 1Н ЯМР (CDCl3, 400 МГц) δ 8,46 (с, 1Н), 7,34 (д, J=8,4 Гц, 4Н), 7,13 (д, J=8,4 Гц, 4Н), 5,50 (т, J=8 Гц, 1Н), 5,28 (дд, J=3,6, 8,4 Гц, 1Н), 4,45 (с, 4Н), 4,14-4,04 (м, 4Н), 3,94-3,81 (м, 4Н), 3,51-3,42 (м, 8Н), 3,20-3,00 (м, 16Н), 2,73-2,64 (м, 2Н), 2,40-2,20 (м, 4Н), 2,05-1,98 (м, 1Н), 1,86-1,78 (м, 1Н), 1,33 (д, J=7,2 Гц, 3 Гц), 1,28 (т, J=7,2 Гц, 12Н), 1,21 (д, J=6,8 Гц, 3 Гц). Stage 11 . Trifluoroacetic acid (1 ml) was added to a solution of tert-butyl 4- (N- (4-chlorobenzyl) -N- (2- (diethylamino) ethyl) carbamoyl) piperazine-1-carboxylate (88 mg, 0.19 mmol) in DCM (1 ml). The mixture was stirred at room temperature for 3 hours and then concentrated in vacuo. The residue was dissolved in n-butanol (1 ml). N, N-diisopropylethylamine (0.11 ml, 0.6 mmol) was added to the solution. Then, (5R) -4-chloro-6,7-dihydro-5-methyl-5H-cyclopenta [d] pyrimidin-7-ol (37 mg, 0.20 mmol) was added to the solution. The reaction mixture is heated at 80 ° C. for 16 hours. The mixture was then diluted with H 2 O (1 ml) and extracted with DCM (2 × 5 ml). The combined organic extracts were dried (Na 2 SO 4 ), filtered and concentrated. The crude product is purified by preparative HPLC to give N- (4-chlorobenzyl) -N- (2- (diethylamino) ethyl) -4 - ((5R) -6,7-dihydro-7-hydroxy-5-methyl-5H-cyclopenta [d] pyrimidin-4-yl) piperazin-1-carboxamide (19.9 mg, 21%). MS (APCI +) [M + H] + 501.3. 1 H NMR (CDCl 3 , 400 MHz) δ 8.46 (s, 1H), 7.34 (d, J = 8.4 Hz, 4H), 7.13 (d, J = 8.4 Hz, 4H ), 5.50 (t, J = 8 Hz, 1H), 5.28 (dd, J = 3.6, 8.4 Hz, 1H), 4.45 (s, 4H), 4.14-4 04 (m, 4H), 3.94-3.81 (m, 4H), 3.51-3.42 (m, 8H), 3.20-3.00 (m, 16H), 2.73 -2.64 (m, 2H), 2.40-2.20 (m, 4H), 2.05-1.98 (m, 1H), 1.86-1.78 (m, 1H), 1 33 (d, J = 7.2 Hz, 3 Hz), 1.28 (t, J = 7.2 Hz, 12H), 1.21 (d, J = 6.8 Hz, 3 Hz).
Примеры 4-14, показанные в таблице 1, могут также быть получены вышеописанными способами.Examples 4-14 shown in table 1 can also be obtained by the above methods.
Хотя изобретение описано в сочетании с пронумерованными вариантами осуществления, понятно, что изобретение не ограничивается этими вариантами осуществления. Наоборот, подразумевается, что изобретение охватывает все альтернативы, модификации и эквиваленты, которые могут быть включены в объем настоящего изобретения, как определено в формуле изобретения. Таким образом, считается, что предшествующее описание является иллюстрацией только принципов настоящего изобретения.Although the invention has been described in conjunction with numbered embodiments, it is understood that the invention is not limited to these embodiments. On the contrary, it is understood that the invention covers all alternatives, modifications and equivalents that may be included in the scope of the present invention, as defined in the claims. Thus, it is believed that the foregoing description is an illustration only of the principles of the present invention.
Используемые в представленном выше описании и в нижеследующей формуле изобретения слова «содержать», «содержащий», «включать», «включающий» и «включает» предназначаются для того, чтобы указывать на наличие установленных признаков; целых чисел, компонентов или стадий, но они не исключают наличие или добавление одного или нескольких признаков, целых чисел, компонентов, стадий или их групп.Used in the above description and in the following claims, the words “comprise”, “comprising”, “include”, “include” and “include” are intended to indicate the presence of established signs; integers, components or stages, but they do not exclude the presence or addition of one or more features, integers, components, stages or their groups.
Claims (15)
и его энантиомеры и фармацевтически приемлемые соли, где:
R1 и R1a независимо выбраны из Н, Me, Et, винила, CF3, CHF2 или CH2F;
R2 представляет собой Н, ОН, ОМе или F;
R2a представляет собой Н, Me или F;
R3 представляет собой Н, Me, Et или CF3;
А представляет собой ;
G представляет собой фенил, необязательно замещенный одной-четырьмя группами Re, или 5-6-членный гетероарил, содержащий один гетероатом, выбранный из серы, необязательно замещенный галогеном;
R5 и R6 независимо представляют собой Н, ОСН3, С3-С6-циклоалкил, необязательно замещенный F, ОН, C1-С3алкилом или O(С1-С3алкилом), 4-6-членный гетероцикл, содержащий один гетероатом, выбранный из азота, необязательно замещенный F, ОН, C1-С3алкилом, циклопропилметилом или -С(=O)(С1-С3алкилом), или C1-C6-алкил, необязательно замещенный одной или несколькими группами, независимо выбранными из ОН, оксо, O(С1-С6-алкила), CN, F, NH2, NH(С1-С6-алкила), O(С1-С6-алкила)2, циклопропила, фенила, имидазолила, пиперидинила, пирролидинила, морфолинила, тетрагидрофуранила, оксетанила или тетрагидропиранила,
или R5 и R6 вместе с атомом азота, к которому они присоединены, образуют 4-7-членное гетероциклическое кольцо, содержащее один гетероатом, выбранный из азота, необязательно замещенное одной или несколькими группами, независимо выбранными из ОН, галогена, оксо, CF3, CH2CF3, CH2CH2OH, O(С1-С3 алкила), С(=O)СН3, NH2, NHMe, N(Me)2, S(O)2СН3, циклопропилметила и С1-С3 алкила, или
Rc представляет собой водород, а Rd и R6 вместе с атомами, к которым они присоединены, образуют 4-6-членное гетероциклическое кольцо, содержащее один атом азота;
Ra и Rb представляют собой Н,
или Ra представляет собой Н, a Rb и R6 вместе с атомами, к которым они присоединены, образуют 5-6-членное гетероциклическое кольцо, содержащее один или два атома азота;
Rc и Rd представляют собой Н или Me,
или Rc и Rd вместе с атомом, к которому они присоединены, образуют циклопропильное кольцо;
каждый Re представляет собой независимо галоген, C1-С6-алкил, С3-С6-циклоалкил, O-(C1-С6-алкил), CF3, OCF3, S(С1-С6-алкил), CN, ОСН2-фенил, NH2, NO2, NH-(C1-C6-алкил), N-(C1-C6-алкил)2, пиперидин, пирролидин, CH2F, CHF2, OCH2F, OCHF2, ОН, SO2(С1-С6-алкил), C(O)NH2, C(O)NH(C1-C6-алкил) и С(O)N(С1-С6-алкил)2;
m и n независимо равны 0, 1, 2 или 3 при условии, что (m+n) должны быть равны 2, 3 или 4; и
р равно 0 или 1.1. The compound of formula I
and its enantiomers and pharmaceutically acceptable salts, where:
R 1 and R 1a are independently selected from H, Me, Et, vinyl, CF 3 , CHF 2 or CH 2 F;
R 2 represents H, OH, OMe or F;
R 2a represents H, Me or F;
R 3 represents H, Me, Et or CF 3 ;
A represents ;
G is phenyl optionally substituted with one to four R e groups, or a 5-6 membered heteroaryl containing one heteroatom selected from sulfur, optionally substituted with halogen;
R 5 and R 6 independently represent H, OCH 3 , C 3 -C 6 cycloalkyl optionally substituted with F, OH, C 1 -C 3 alkyl or O (C 1 -C 3 alkyl), 4-6 membered heterocycle containing one heteroatom selected from nitrogen, optionally substituted with F, OH, C 1 -C 3 alkyl, cyclopropylmethyl or -C (= O) (C 1 -C 3 alkyl), or C 1 -C 6 alkyl optionally substituted one or more groups independently selected from OH, oxo, O (C 1 -C 6 alkyl), CN, F, NH 2 , NH (C 1 -C 6 alkyl), O (C 1 -C 6 alkyl ) 2 , cyclopropyl, phenyl, imidazolyl, piperidinyl, pyrrolidinyl, morpholinyl, tetrahydrofur anil, oxetanyl or tetrahydropyranyl,
or R 5 and R 6 together with the nitrogen atom to which they are attached form a 4-7 membered heterocyclic ring containing one heteroatom selected from nitrogen, optionally substituted with one or more groups independently selected from OH, halogen, oxo, CF 3 , CH 2 CF 3 , CH 2 CH 2 OH, O (C 1 -C 3 alkyl), C (= O) CH 3 , NH 2 , NHMe, N (Me) 2 , S (O) 2 CH 3 , cyclopropylmethyl and C 1 -C 3 alkyl, or
R c represents hydrogen, and R d and R 6 together with the atoms to which they are attached form a 4-6 membered heterocyclic ring containing one nitrogen atom;
R a and R b represent H,
or R a represents H, a R b and R 6 together with the atoms to which they are attached form a 5-6 membered heterocyclic ring containing one or two nitrogen atoms;
R c and R d represent H or Me,
or R c and R d together with the atom to which they are attached form a cyclopropyl ring;
each R e is independently halogen, C 1 -C 6 -alkyl, C 3 -C 6 -cycloalkyl, O- (C 1 -C 6 -alkyl), CF 3 , OCF 3 , S (C 1 -C 6 - alkyl), CN, OCH 2 -phenyl, NH 2 , NO 2 , NH- (C 1 -C 6 -alkyl), N- (C 1 -C 6 -alkyl) 2 , piperidine, pyrrolidine, CH 2 F, CHF 2 , OCH 2 F, OCHF 2 , OH, SO 2 (C 1 -C 6 alkyl), C (O) NH 2 , C (O) NH (C 1 -C 6 alkyl) and C (O) N (C 1 -C 6 alkyl) 2 ;
m and n are independently 0, 1, 2, or 3, provided that (m + n) must be 2, 3, or 4; and
p is 0 or 1.
.7. The compound according to claim 1, where G is 4-chlorophenyl, 4-fluorophenyl, 4-bromophenyl, 4-iodophenyl, 4-trifluoromethylphenyl, 4-trifluoromethoxyphenyl, 4-thiomethylphenyl, 3-fluoro-4-chlorophenyl, 2, 4-dichlorophenyl or 3,4-dichlorophenyl or
.
или .11. The compound according to claim 1, where a represents a
or .
или .12. The compound according to claim 1, which is a
or .
Applications Claiming Priority (2)
| Application Number | Priority Date | Filing Date | Title |
|---|---|---|---|
| US94814707P | 2007-07-05 | 2007-07-05 | |
| US60/948,147 | 2007-07-05 |
Publications (2)
| Publication Number | Publication Date |
|---|---|
| RU2010103811A RU2010103811A (en) | 2011-08-10 |
| RU2486178C2 true RU2486178C2 (en) | 2013-06-27 |
Family
ID=
Citations (4)
| Publication number | Priority date | Publication date | Assignee | Title |
|---|---|---|---|---|
| US20040009968A1 (en) * | 2002-01-25 | 2004-01-15 | Hayley Binch | Indazole compounds useful as protein kinase inhibitors |
| RU2003134646A (en) * | 2001-04-30 | 2005-04-20 | Глэксо Груп Лимитед (GB) | CONDENSED PYRIMIDINES AS AN ANTAGONISTS OF A CORTICOTROPIN PERFECTLY AWAKENING FACTOR (CRF) |
| WO2005051304A2 (en) * | 2003-11-21 | 2005-06-09 | Array Biopharma Inc. | Akt protein kinase inhibitors |
| EP1803710A1 (en) * | 2004-10-20 | 2007-07-04 | Astellas Pharma Inc. | Pyrimidine derivative condensed with non-aromatic ring |
Patent Citations (4)
| Publication number | Priority date | Publication date | Assignee | Title |
|---|---|---|---|---|
| RU2003134646A (en) * | 2001-04-30 | 2005-04-20 | Глэксо Груп Лимитед (GB) | CONDENSED PYRIMIDINES AS AN ANTAGONISTS OF A CORTICOTROPIN PERFECTLY AWAKENING FACTOR (CRF) |
| US20040009968A1 (en) * | 2002-01-25 | 2004-01-15 | Hayley Binch | Indazole compounds useful as protein kinase inhibitors |
| WO2005051304A2 (en) * | 2003-11-21 | 2005-06-09 | Array Biopharma Inc. | Akt protein kinase inhibitors |
| EP1803710A1 (en) * | 2004-10-20 | 2007-07-04 | Astellas Pharma Inc. | Pyrimidine derivative condensed with non-aromatic ring |
Non-Patent Citations (2)
| Title |
|---|
| QUN LI: Recent progress in the discovery of Art inhibitors as anticancer agents; EXPERT OPINION ON THERAPEUTIC PETENTS, 09.2007, v.17, no.9, p.1077-1130. * |
| Энциклопедия лекарств, РЛС-2007. - М., 2006, с.1032, колонка 2, раздел "характеристика". Тюкавкина Н.А. и др. Биоорганическая химия, издание 4-ое. - М.: Дрофа, 2005, с.83-85. * |
Similar Documents
| Publication | Publication Date | Title |
|---|---|---|
| AU2008272832B2 (en) | Pyrimidyl cyclopentanes as AKT protein kinase inhibitors | |
| US8618097B2 (en) | Pyrimidyl cyclopentanes as AKT protein kinase inhibitors | |
| JP5836294B2 (en) | Hydroxylated and methoxylated cyclopenta [D] pyrimidines as AKT protein kinase inhibitors | |
| KR20150041164A (en) | Cyclopenta〔d〕pyrimidines as akt protein kinase inhibitors | |
| US8846683B2 (en) | Pyrimidyl cyclopentanes as Akt protein kinase inhibitors | |
| US9409886B2 (en) | Pyrimidyl cyclopentanes as AKT protein kinase inhibitors | |
| RU2486178C2 (en) | Pyrimidyl cyclopentanes as akt-protein kinase inhibitors | |
| HK1136832B (en) | Pyrimidyl cyclopentanes as akt protein kinase inhibitors | |
| HK1166078B (en) | Pyrimidyl cyclopentanes as akt protein kinase inhibitors |













































































































