RU2439120C2 - Additive for preserving fluidity of fluids containing gaseous hydrates - Google Patents
Additive for preserving fluidity of fluids containing gaseous hydrates Download PDFInfo
- Publication number
- RU2439120C2 RU2439120C2 RU2008141702/03A RU2008141702A RU2439120C2 RU 2439120 C2 RU2439120 C2 RU 2439120C2 RU 2008141702/03 A RU2008141702/03 A RU 2008141702/03A RU 2008141702 A RU2008141702 A RU 2008141702A RU 2439120 C2 RU2439120 C2 RU 2439120C2
- Authority
- RU
- Russia
- Prior art keywords
- group
- alkyl
- compounds
- agglomerate
- carbon atoms
- Prior art date
Links
- 150000004677 hydrates Chemical class 0.000 title claims abstract description 25
- 239000012530 fluid Substances 0.000 title claims abstract description 9
- 239000000654 additive Substances 0.000 title description 8
- 230000000996 additive effect Effects 0.000 title description 3
- 150000001875 compounds Chemical class 0.000 claims abstract description 59
- 125000004432 carbon atom Chemical group C* 0.000 claims abstract description 33
- XLYOFNOQVPJJNP-UHFFFAOYSA-N water Substances O XLYOFNOQVPJJNP-UHFFFAOYSA-N 0.000 claims abstract description 28
- 239000000203 mixture Substances 0.000 claims abstract description 24
- 239000003112 inhibitor Substances 0.000 claims abstract description 15
- 150000003839 salts Chemical class 0.000 claims abstract description 15
- 229930195733 hydrocarbon Natural products 0.000 claims abstract description 13
- 150000002430 hydrocarbons Chemical class 0.000 claims abstract description 13
- 238000000034 method Methods 0.000 claims abstract description 13
- 238000005260 corrosion Methods 0.000 claims abstract description 9
- 230000007797 corrosion Effects 0.000 claims abstract description 9
- 238000005054 agglomeration Methods 0.000 claims abstract description 8
- 230000002776 aggregation Effects 0.000 claims abstract description 8
- 125000002252 acyl group Chemical group 0.000 claims abstract description 7
- 239000012188 paraffin wax Substances 0.000 claims abstract description 6
- 230000002401 inhibitory effect Effects 0.000 claims abstract description 4
- 239000007789 gas Substances 0.000 claims description 34
- -1 nitrogen-containing compound Chemical class 0.000 claims description 26
- NMJORVOYSJLJGU-UHFFFAOYSA-N methane clathrate Chemical compound C.C.C.C.O.O.O.O.O.O.O.O.O.O.O.O.O.O.O.O.O.O.O.O.O.O.O NMJORVOYSJLJGU-UHFFFAOYSA-N 0.000 claims description 13
- KBPLFHHGFOOTCA-UHFFFAOYSA-N 1-Octanol Chemical compound CCCCCCCCO KBPLFHHGFOOTCA-UHFFFAOYSA-N 0.000 claims description 12
- 125000001183 hydrocarbyl group Chemical group 0.000 claims description 10
- 239000004215 Carbon black (E152) Substances 0.000 claims description 8
- 239000002455 scale inhibitor Substances 0.000 claims description 5
- 125000006273 (C1-C3) alkyl group Chemical group 0.000 claims description 4
- 229910052739 hydrogen Inorganic materials 0.000 claims description 4
- 150000001412 amines Chemical group 0.000 abstract description 17
- 150000001408 amides Chemical group 0.000 abstract description 10
- 125000001165 hydrophobic group Chemical group 0.000 abstract description 6
- 125000004433 nitrogen atom Chemical group N* 0.000 abstract description 6
- 125000002768 hydroxyalkyl group Chemical group 0.000 abstract description 5
- QJGQUHMNIGDVPM-UHFFFAOYSA-N nitrogen group Chemical group [N] QJGQUHMNIGDVPM-UHFFFAOYSA-N 0.000 abstract description 5
- 239000000126 substance Substances 0.000 abstract description 3
- 230000000694 effects Effects 0.000 abstract description 2
- 125000001033 ether group Chemical group 0.000 abstract description 2
- 230000008021 deposition Effects 0.000 abstract 1
- 125000000217 alkyl group Chemical group 0.000 description 65
- WFDIJRYMOXRFFG-UHFFFAOYSA-N Acetic anhydride Chemical compound CC(=O)OC(C)=O WFDIJRYMOXRFFG-UHFFFAOYSA-N 0.000 description 36
- WGYKZJWCGVVSQN-UHFFFAOYSA-N propylamine Chemical compound CCCN WGYKZJWCGVVSQN-UHFFFAOYSA-N 0.000 description 25
- 244000060011 Cocos nucifera Species 0.000 description 18
- 235000013162 Cocos nucifera Nutrition 0.000 description 18
- XFNJVJPLKCPIBV-UHFFFAOYSA-N trimethylenediamine Chemical compound NCCCN XFNJVJPLKCPIBV-UHFFFAOYSA-N 0.000 description 18
- 238000012360 testing method Methods 0.000 description 16
- 239000003921 oil Substances 0.000 description 15
- 150000001242 acetic acid derivatives Chemical class 0.000 description 14
- 239000000047 product Substances 0.000 description 14
- 229910052757 nitrogen Inorganic materials 0.000 description 12
- 125000001436 propyl group Chemical group [H]C([*])([H])C([H])([H])C([H])([H])[H] 0.000 description 12
- 239000007858 starting material Substances 0.000 description 11
- 240000002791 Brassica napus Species 0.000 description 10
- 235000004977 Brassica sinapistrum Nutrition 0.000 description 10
- 235000010469 Glycine max Nutrition 0.000 description 10
- 244000068988 Glycine max Species 0.000 description 9
- 230000015572 biosynthetic process Effects 0.000 description 9
- 239000013078 crystal Substances 0.000 description 9
- 235000014113 dietary fatty acids Nutrition 0.000 description 9
- 239000000194 fatty acid Substances 0.000 description 9
- 229930195729 fatty acid Natural products 0.000 description 9
- 150000004665 fatty acids Chemical class 0.000 description 9
- 239000002270 dispersing agent Substances 0.000 description 8
- 229920000768 polyamine Polymers 0.000 description 8
- QGLWBTPVKHMVHM-KTKRTIGZSA-N (z)-octadec-9-en-1-amine Chemical compound CCCCCCCC\C=C/CCCCCCCCN QGLWBTPVKHMVHM-KTKRTIGZSA-N 0.000 description 7
- 125000001931 aliphatic group Chemical group 0.000 description 7
- QTBSBXVTEAMEQO-UHFFFAOYSA-N Acetic acid Chemical compound CC(O)=O QTBSBXVTEAMEQO-UHFFFAOYSA-N 0.000 description 6
- 239000013505 freshwater Substances 0.000 description 6
- VNWKTOKETHGBQD-UHFFFAOYSA-N methane Chemical compound C VNWKTOKETHGBQD-UHFFFAOYSA-N 0.000 description 6
- IAYPIBMASNFSPL-UHFFFAOYSA-N Ethylene oxide Chemical compound C1CO1 IAYPIBMASNFSPL-UHFFFAOYSA-N 0.000 description 5
- 239000002253 acid Substances 0.000 description 5
- TUFJPPAQOXUHRI-KTKRTIGZSA-N n'-[(z)-octadec-9-enyl]propane-1,3-diamine Chemical compound CCCCCCCC\C=C/CCCCCCCCNCCCN TUFJPPAQOXUHRI-KTKRTIGZSA-N 0.000 description 5
- 239000012071 phase Substances 0.000 description 5
- 239000004094 surface-active agent Substances 0.000 description 5
- IJGRMHOSHXDMSA-UHFFFAOYSA-N Atomic nitrogen Chemical compound N#N IJGRMHOSHXDMSA-UHFFFAOYSA-N 0.000 description 4
- RTZKZFJDLAIYFH-UHFFFAOYSA-N Diethyl ether Chemical compound CCOCC RTZKZFJDLAIYFH-UHFFFAOYSA-N 0.000 description 4
- ATUOYWHBWRKTHZ-UHFFFAOYSA-N Propane Chemical compound CCC ATUOYWHBWRKTHZ-UHFFFAOYSA-N 0.000 description 4
- 125000003277 amino group Chemical group 0.000 description 4
- LHIJANUOQQMGNT-UHFFFAOYSA-N aminoethylethanolamine Chemical compound NCCNCCO LHIJANUOQQMGNT-UHFFFAOYSA-N 0.000 description 4
- 239000003054 catalyst Substances 0.000 description 4
- 150000004985 diamines Chemical class 0.000 description 4
- 239000006185 dispersion Substances 0.000 description 4
- 230000005764 inhibitory process Effects 0.000 description 4
- NNPPMTNAJDCUHE-UHFFFAOYSA-N isobutane Chemical compound CC(C)C NNPPMTNAJDCUHE-UHFFFAOYSA-N 0.000 description 4
- TVMXDCGIABBOFY-UHFFFAOYSA-N n-Octanol Natural products CCCCCCCC TVMXDCGIABBOFY-UHFFFAOYSA-N 0.000 description 4
- 125000002924 primary amino group Chemical group [H]N([H])* 0.000 description 4
- 239000013535 sea water Substances 0.000 description 4
- WRIDQFICGBMAFQ-UHFFFAOYSA-N (E)-8-Octadecenoic acid Natural products CCCCCCCCCC=CCCCCCCC(O)=O WRIDQFICGBMAFQ-UHFFFAOYSA-N 0.000 description 3
- LQJBNNIYVWPHFW-UHFFFAOYSA-N 20:1omega9c fatty acid Natural products CCCCCCCCCCC=CCCCCCCCC(O)=O LQJBNNIYVWPHFW-UHFFFAOYSA-N 0.000 description 3
- QSBYPNXLFMSGKH-UHFFFAOYSA-N 9-Heptadecensaeure Natural products CCCCCCCC=CCCCCCCCC(O)=O QSBYPNXLFMSGKH-UHFFFAOYSA-N 0.000 description 3
- LYCAIKOWRPUZTN-UHFFFAOYSA-N Ethylene glycol Chemical compound OCCO LYCAIKOWRPUZTN-UHFFFAOYSA-N 0.000 description 3
- OKKJLVBELUTLKV-UHFFFAOYSA-N Methanol Chemical compound OC OKKJLVBELUTLKV-UHFFFAOYSA-N 0.000 description 3
- 239000005642 Oleic acid Substances 0.000 description 3
- ZQPPMHVWECSIRJ-UHFFFAOYSA-N Oleic acid Natural products CCCCCCCCC=CCCCCCCCC(O)=O ZQPPMHVWECSIRJ-UHFFFAOYSA-N 0.000 description 3
- 230000021736 acetylation Effects 0.000 description 3
- 238000006640 acetylation reaction Methods 0.000 description 3
- 150000003973 alkyl amines Chemical class 0.000 description 3
- 150000005215 alkyl ethers Chemical class 0.000 description 3
- 239000008346 aqueous phase Substances 0.000 description 3
- 150000001734 carboxylic acid salts Chemical class 0.000 description 3
- KRKNYBCHXYNGOX-UHFFFAOYSA-N citric acid Chemical compound OC(=O)CC(O)(C(O)=O)CC(O)=O KRKNYBCHXYNGOX-UHFFFAOYSA-N 0.000 description 3
- QXJSBBXBKPUZAA-UHFFFAOYSA-N isooleic acid Natural products CCCCCCCC=CCCCCCCCCC(O)=O QXJSBBXBKPUZAA-UHFFFAOYSA-N 0.000 description 3
- 239000007788 liquid Substances 0.000 description 3
- XKXKBRKXBRLPNS-UHFFFAOYSA-N n'-(2-ethylhexyl)propane-1,3-diamine Chemical compound CCCCC(CC)CNCCCN XKXKBRKXBRLPNS-UHFFFAOYSA-N 0.000 description 3
- KPZNJYFFUWANHA-UHFFFAOYSA-N n'-octylpropane-1,3-diamine Chemical compound CCCCCCCCNCCCN KPZNJYFFUWANHA-UHFFFAOYSA-N 0.000 description 3
- ZQPPMHVWECSIRJ-KTKRTIGZSA-N oleic acid Chemical compound CCCCCCCC\C=C/CCCCCCCC(O)=O ZQPPMHVWECSIRJ-KTKRTIGZSA-N 0.000 description 3
- 229920000642 polymer Polymers 0.000 description 3
- 238000012216 screening Methods 0.000 description 3
- SYWDPPFYAMFYQQ-KTKRTIGZSA-N (z)-docos-13-en-1-amine Chemical compound CCCCCCCC\C=C/CCCCCCCCCCCCN SYWDPPFYAMFYQQ-KTKRTIGZSA-N 0.000 description 2
- IBUPNDMHIOTKBL-UHFFFAOYSA-N 1,5-diaminopentan-2-ol Chemical compound NCCCC(O)CN IBUPNDMHIOTKBL-UHFFFAOYSA-N 0.000 description 2
- OBETXYAYXDNJHR-UHFFFAOYSA-N 2-Ethylhexanoic acid Chemical compound CCCCC(CC)C(O)=O OBETXYAYXDNJHR-UHFFFAOYSA-N 0.000 description 2
- OTMSDBZUPAUEDD-UHFFFAOYSA-N Ethane Chemical compound CC OTMSDBZUPAUEDD-UHFFFAOYSA-N 0.000 description 2
- 150000007513 acids Chemical class 0.000 description 2
- 238000005917 acylation reaction Methods 0.000 description 2
- 150000001298 alcohols Chemical class 0.000 description 2
- 230000008859 change Effects 0.000 description 2
- 229920001577 copolymer Polymers 0.000 description 2
- GHVNFZFCNZKVNT-UHFFFAOYSA-N decanoic acid Chemical compound CCCCCCCCCC(O)=O GHVNFZFCNZKVNT-UHFFFAOYSA-N 0.000 description 2
- POULHZVOKOAJMA-UHFFFAOYSA-N dodecanoic acid Chemical compound CCCCCCCCCCCC(O)=O POULHZVOKOAJMA-UHFFFAOYSA-N 0.000 description 2
- 230000007613 environmental effect Effects 0.000 description 2
- 238000007046 ethoxylation reaction Methods 0.000 description 2
- FUZZWVXGSFPDMH-UHFFFAOYSA-N hexanoic acid Chemical compound CCCCCC(O)=O FUZZWVXGSFPDMH-UHFFFAOYSA-N 0.000 description 2
- 229910052500 inorganic mineral Inorganic materials 0.000 description 2
- 239000001282 iso-butane Substances 0.000 description 2
- 238000004519 manufacturing process Methods 0.000 description 2
- 244000005700 microbiome Species 0.000 description 2
- 239000011707 mineral Substances 0.000 description 2
- TUIWZFOIXLFQFQ-KTKRTIGZSA-N n'-[(z)-docos-13-enyl]propane-1,3-diamine Chemical compound CCCCCCCC\C=C/CCCCCCCCCCCCNCCCN TUIWZFOIXLFQFQ-KTKRTIGZSA-N 0.000 description 2
- FHKWCXVXPHXBAC-UHFFFAOYSA-N n'-decylpropane-1,3-diamine Chemical compound CCCCCCCCCCNCCCN FHKWCXVXPHXBAC-UHFFFAOYSA-N 0.000 description 2
- XMMDVXFQGOEOKH-UHFFFAOYSA-N n'-dodecylpropane-1,3-diamine Chemical compound CCCCCCCCCCCCNCCCN XMMDVXFQGOEOKH-UHFFFAOYSA-N 0.000 description 2
- WWZKQHOCKIZLMA-UHFFFAOYSA-N octanoic acid Chemical compound CCCCCCCC(O)=O WWZKQHOCKIZLMA-UHFFFAOYSA-N 0.000 description 2
- 230000002265 prevention Effects 0.000 description 2
- 239000001294 propane Substances 0.000 description 2
- 238000011160 research Methods 0.000 description 2
- 238000000926 separation method Methods 0.000 description 2
- 239000002904 solvent Substances 0.000 description 2
- 231100000167 toxic agent Toxicity 0.000 description 2
- 230000002588 toxic effect Effects 0.000 description 2
- FJLUATLTXUNBOT-UHFFFAOYSA-N 1-Hexadecylamine Chemical compound CCCCCCCCCCCCCCCCN FJLUATLTXUNBOT-UHFFFAOYSA-N 0.000 description 1
- BMVXCPBXGZKUPN-UHFFFAOYSA-N 1-hexanamine Chemical compound CCCCCCN BMVXCPBXGZKUPN-UHFFFAOYSA-N 0.000 description 1
- LTHNHFOGQMKPOV-UHFFFAOYSA-N 2-ethylhexan-1-amine Chemical compound CCCCC(CC)CN LTHNHFOGQMKPOV-UHFFFAOYSA-N 0.000 description 1
- SSOBBNSVCWLYPH-UHFFFAOYSA-N 2-propylheptan-1-amine Chemical compound CCCCCC(CN)CCC SSOBBNSVCWLYPH-UHFFFAOYSA-N 0.000 description 1
- FJXNBHACVNJABN-KTKRTIGZSA-N 3-[(z)-docos-13-enoxy]propan-1-amine Chemical compound CCCCCCCC\C=C/CCCCCCCCCCCCOCCCN FJXNBHACVNJABN-KTKRTIGZSA-N 0.000 description 1
- TWXCJZHSMRBNGO-UHFFFAOYSA-N 3-decoxypropan-1-amine Chemical compound CCCCCCCCCCOCCCN TWXCJZHSMRBNGO-UHFFFAOYSA-N 0.000 description 1
- ZRJOUVOXPWNFOF-UHFFFAOYSA-N 3-dodecoxypropan-1-amine Chemical compound CCCCCCCCCCCCOCCCN ZRJOUVOXPWNFOF-UHFFFAOYSA-N 0.000 description 1
- XRPBIQLEQVRCQO-UHFFFAOYSA-N 3-octadec-1-enoxypropan-1-amine Chemical compound CCCCCCCCCCCCCCCCC=COCCCN XRPBIQLEQVRCQO-UHFFFAOYSA-N 0.000 description 1
- RDCAZFAKCIEASQ-UHFFFAOYSA-N 3-octoxypropan-1-amine Chemical compound CCCCCCCCOCCCN RDCAZFAKCIEASQ-UHFFFAOYSA-N 0.000 description 1
- XZIIFPSPUDAGJM-UHFFFAOYSA-N 6-chloro-2-n,2-n-diethylpyrimidine-2,4-diamine Chemical compound CCN(CC)C1=NC(N)=CC(Cl)=N1 XZIIFPSPUDAGJM-UHFFFAOYSA-N 0.000 description 1
- DPUOLQHDNGRHBS-UHFFFAOYSA-N Brassidinsaeure Natural products CCCCCCCCC=CCCCCCCCCCCCC(O)=O DPUOLQHDNGRHBS-UHFFFAOYSA-N 0.000 description 1
- MHZGKXUYDGKKIU-UHFFFAOYSA-N Decylamine Chemical compound CCCCCCCCCCN MHZGKXUYDGKKIU-UHFFFAOYSA-N 0.000 description 1
- URXZXNYJPAJJOQ-UHFFFAOYSA-N Erucic acid Natural products CCCCCCC=CCCCCCCCCCCCC(O)=O URXZXNYJPAJJOQ-UHFFFAOYSA-N 0.000 description 1
- 229920000219 Ethylene vinyl alcohol Polymers 0.000 description 1
- UFHFLCQGNIYNRP-UHFFFAOYSA-N Hydrogen Chemical compound [H][H] UFHFLCQGNIYNRP-UHFFFAOYSA-N 0.000 description 1
- CMTZDFMKKDOCEW-UHFFFAOYSA-N N'-decyl-N-methylpropane-1,3-diamine Chemical compound CCCCCCCCCCNCCCNC CMTZDFMKKDOCEW-UHFFFAOYSA-N 0.000 description 1
- WHNWPMSKXPGLAX-UHFFFAOYSA-N N-Vinyl-2-pyrrolidone Chemical compound C=CN1CCCC1=O WHNWPMSKXPGLAX-UHFFFAOYSA-N 0.000 description 1
- REYJJPSVUYRZGE-UHFFFAOYSA-N Octadecylamine Chemical compound CCCCCCCCCCCCCCCCCCN REYJJPSVUYRZGE-UHFFFAOYSA-N 0.000 description 1
- 229910019142 PO4 Inorganic materials 0.000 description 1
- GOOHAUXETOMSMM-UHFFFAOYSA-N Propylene oxide Chemical group CC1CO1 GOOHAUXETOMSMM-UHFFFAOYSA-N 0.000 description 1
- PLZVEHJLHYMBBY-UHFFFAOYSA-N Tetradecylamine Chemical compound CCCCCCCCCCCCCCN PLZVEHJLHYMBBY-UHFFFAOYSA-N 0.000 description 1
- WETWJCDKMRHUPV-UHFFFAOYSA-N acetyl chloride Chemical compound CC(Cl)=O WETWJCDKMRHUPV-UHFFFAOYSA-N 0.000 description 1
- 239000012346 acetyl chloride Substances 0.000 description 1
- 230000000397 acetylating effect Effects 0.000 description 1
- 150000008065 acid anhydrides Chemical class 0.000 description 1
- 230000009471 action Effects 0.000 description 1
- 150000001263 acyl chlorides Chemical class 0.000 description 1
- 150000008044 alkali metal hydroxides Chemical class 0.000 description 1
- 125000002947 alkylene group Chemical group 0.000 description 1
- 230000009286 beneficial effect Effects 0.000 description 1
- 230000008901 benefit Effects 0.000 description 1
- 231100000693 bioaccumulation Toxicity 0.000 description 1
- 239000003139 biocide Substances 0.000 description 1
- 239000001273 butane Substances 0.000 description 1
- 125000000484 butyl group Chemical group [H]C([*])([H])C([H])([H])C([H])([H])C([H])([H])[H] 0.000 description 1
- 238000006243 chemical reaction Methods 0.000 description 1
- 150000001805 chlorine compounds Chemical class 0.000 description 1
- 238000001816 cooling Methods 0.000 description 1
- 239000010779 crude oil Substances 0.000 description 1
- 150000005690 diesters Chemical class 0.000 description 1
- 235000019329 dioctyl sodium sulphosuccinate Nutrition 0.000 description 1
- YHAIUSTWZPMYGG-UHFFFAOYSA-L disodium;2,2-dioctyl-3-sulfobutanedioate Chemical compound [Na+].[Na+].CCCCCCCCC(C([O-])=O)(C(C([O-])=O)S(O)(=O)=O)CCCCCCCC YHAIUSTWZPMYGG-UHFFFAOYSA-L 0.000 description 1
- JRBPAEWTRLWTQC-UHFFFAOYSA-N dodecylamine Chemical compound CCCCCCCCCCCCN JRBPAEWTRLWTQC-UHFFFAOYSA-N 0.000 description 1
- 230000001804 emulsifying effect Effects 0.000 description 1
- DPUOLQHDNGRHBS-KTKRTIGZSA-N erucic acid Chemical compound CCCCCCCC\C=C/CCCCCCCCCCCC(O)=O DPUOLQHDNGRHBS-KTKRTIGZSA-N 0.000 description 1
- 125000004185 ester group Chemical group 0.000 description 1
- 238000002474 experimental method Methods 0.000 description 1
- 239000006260 foam Substances 0.000 description 1
- 238000007710 freezing Methods 0.000 description 1
- 230000008014 freezing Effects 0.000 description 1
- 150000002334 glycols Chemical class 0.000 description 1
- 239000001257 hydrogen Substances 0.000 description 1
- 230000002209 hydrophobic effect Effects 0.000 description 1
- 125000004356 hydroxy functional group Chemical group O* 0.000 description 1
- 150000002462 imidazolines Chemical class 0.000 description 1
- 125000001972 isopentyl group Chemical group [H]C([H])([H])C([H])(C([H])([H])[H])C([H])([H])C([H])([H])* 0.000 description 1
- 229910052751 metal Inorganic materials 0.000 description 1
- 239000002184 metal Substances 0.000 description 1
- 125000002496 methyl group Chemical group [H]C([H])([H])* 0.000 description 1
- HKEBWESLPJXKAA-UHFFFAOYSA-N n'-(3-aminopropyl)-n'-decylpropane-1,3-diamine Chemical compound CCCCCCCCCCN(CCCN)CCCN HKEBWESLPJXKAA-UHFFFAOYSA-N 0.000 description 1
- NYNKJVPRTLBJNQ-UHFFFAOYSA-N n'-(3-aminopropyl)-n'-dodecylpropane-1,3-diamine Chemical compound CCCCCCCCCCCCN(CCCN)CCCN NYNKJVPRTLBJNQ-UHFFFAOYSA-N 0.000 description 1
- RFGPGSDSMSKVEX-UHFFFAOYSA-N n'-(3-aminopropyl)-n'-hexadecylpropane-1,3-diamine Chemical compound CCCCCCCCCCCCCCCCN(CCCN)CCCN RFGPGSDSMSKVEX-UHFFFAOYSA-N 0.000 description 1
- RQSHNRYXVUXSJC-UHFFFAOYSA-N n'-(3-aminopropyl)-n'-hexylpropane-1,3-diamine Chemical compound CCCCCCN(CCCN)CCCN RQSHNRYXVUXSJC-UHFFFAOYSA-N 0.000 description 1
- OJKYUUWWSXGVAM-UHFFFAOYSA-N n'-(3-aminopropyl)-n'-octadecylpropane-1,3-diamine Chemical compound CCCCCCCCCCCCCCCCCCN(CCCN)CCCN OJKYUUWWSXGVAM-UHFFFAOYSA-N 0.000 description 1
- INAQHJUDGSEXDR-UHFFFAOYSA-N n'-(3-aminopropyl)-n'-octylpropane-1,3-diamine Chemical compound CCCCCCCCN(CCCN)CCCN INAQHJUDGSEXDR-UHFFFAOYSA-N 0.000 description 1
- FKLAQMPTKFHTBS-UHFFFAOYSA-N n'-(3-aminopropyl)-n'-tetradecylpropane-1,3-diamine Chemical compound CCCCCCCCCCCCCCN(CCCN)CCCN FKLAQMPTKFHTBS-UHFFFAOYSA-N 0.000 description 1
- HRWWZALMBMPXTI-UHFFFAOYSA-N n'-(3-decoxypropyl)propane-1,3-diamine Chemical compound CCCCCCCCCCOCCCNCCCN HRWWZALMBMPXTI-UHFFFAOYSA-N 0.000 description 1
- PLVXZTCCPYSWNN-UHFFFAOYSA-N n'-(3-octoxypropyl)propane-1,3-diamine Chemical compound CCCCCCCCOCCCNCCCN PLVXZTCCPYSWNN-UHFFFAOYSA-N 0.000 description 1
- GKZAXVVXQZKVLY-UHFFFAOYSA-N n'-(3-tridecoxypropyl)propane-1,3-diamine Chemical compound CCCCCCCCCCCCCOCCCNCCCN GKZAXVVXQZKVLY-UHFFFAOYSA-N 0.000 description 1
- LNDKMYRHASMHGQ-UHFFFAOYSA-N n'-[3-(decylamino)propyl]propane-1,3-diamine Chemical compound CCCCCCCCCCNCCCNCCCN LNDKMYRHASMHGQ-UHFFFAOYSA-N 0.000 description 1
- FNDBKEJKVBORFC-UHFFFAOYSA-N n'-[3-(dodecylamino)propyl]propane-1,3-diamine Chemical compound CCCCCCCCCCCCNCCCNCCCN FNDBKEJKVBORFC-UHFFFAOYSA-N 0.000 description 1
- BMDWTTWFFXDVCK-UHFFFAOYSA-N n'-[3-[3-(decan-2-ylamino)propylamino]propyl]propane-1,3-diamine Chemical compound CCCCCCCCC(C)NCCCNCCCNCCCN BMDWTTWFFXDVCK-UHFFFAOYSA-N 0.000 description 1
- IPILGRHIEIJRLA-UHFFFAOYSA-N n'-[3-[3-(dodecan-4-ylamino)propylamino]propyl]propane-1,3-diamine Chemical compound CCCCCCCCC(CCC)NCCCNCCCNCCCN IPILGRHIEIJRLA-UHFFFAOYSA-N 0.000 description 1
- XWNMFDCGCAFWHB-UHFFFAOYSA-N n'-[3-[3-(octadec-9-enylamino)propylamino]propyl]propane-1,3-diamine Chemical compound CCCCCCCCC=CCCCCCCCCNCCCNCCCNCCCN XWNMFDCGCAFWHB-UHFFFAOYSA-N 0.000 description 1
- SZRUDCIQFJOECB-KTKRTIGZSA-N n'-[3-[[(z)-docos-13-enyl]amino]propyl]propane-1,3-diamine Chemical compound CCCCCCCC\C=C/CCCCCCCCCCCCNCCCNCCCN SZRUDCIQFJOECB-KTKRTIGZSA-N 0.000 description 1
- ZXUXEWRICDHNKF-KTKRTIGZSA-N n'-[3-[[(z)-octadec-9-enyl]amino]propyl]propane-1,3-diamine Chemical compound CCCCCCCC\C=C/CCCCCCCCNCCCNCCCN ZXUXEWRICDHNKF-KTKRTIGZSA-N 0.000 description 1
- OYRMAWDRAFHHJK-UHFFFAOYSA-N n'-dodecyl-n-methylpropane-1,3-diamine Chemical compound CCCCCCCCCCCCNCCCNC OYRMAWDRAFHHJK-UHFFFAOYSA-N 0.000 description 1
- UKNVXIMLHBKVAE-UHFFFAOYSA-N n'-hexadecylpropane-1,3-diamine Chemical compound CCCCCCCCCCCCCCCCNCCCN UKNVXIMLHBKVAE-UHFFFAOYSA-N 0.000 description 1
- QHJABUZHRJTCAR-UHFFFAOYSA-N n'-methylpropane-1,3-diamine Chemical compound CNCCCN QHJABUZHRJTCAR-UHFFFAOYSA-N 0.000 description 1
- SSSZZOVUXFLWCQ-UHFFFAOYSA-N n'-tetradecylpropane-1,3-diamine Chemical compound CCCCCCCCCCCCCCNCCCN SSSZZOVUXFLWCQ-UHFFFAOYSA-N 0.000 description 1
- IJDNQMDRQITEOD-UHFFFAOYSA-N n-butane Chemical compound CCCC IJDNQMDRQITEOD-UHFFFAOYSA-N 0.000 description 1
- 125000006608 n-octyloxy group Chemical group 0.000 description 1
- OFBQJSOFQDEBGM-UHFFFAOYSA-N n-pentane Natural products CCCCC OFBQJSOFQDEBGM-UHFFFAOYSA-N 0.000 description 1
- 239000003345 natural gas Substances 0.000 description 1
- 239000002736 nonionic surfactant Substances 0.000 description 1
- IOQPZZOEVPZRBK-UHFFFAOYSA-N octan-1-amine Chemical compound CCCCCCCCN IOQPZZOEVPZRBK-UHFFFAOYSA-N 0.000 description 1
- HGASFNYMVGEKTF-UHFFFAOYSA-N octan-1-ol;hydrate Chemical compound O.CCCCCCCCO HGASFNYMVGEKTF-UHFFFAOYSA-N 0.000 description 1
- 235000021313 oleic acid Nutrition 0.000 description 1
- 230000003287 optical effect Effects 0.000 description 1
- 238000005192 partition Methods 0.000 description 1
- 125000001147 pentyl group Chemical group C(CCCC)* 0.000 description 1
- 235000021317 phosphate Nutrition 0.000 description 1
- 150000003013 phosphoric acid derivatives Chemical class 0.000 description 1
- 229920001200 poly(ethylene-vinyl acetate) Polymers 0.000 description 1
- 239000010695 polyglycol Substances 0.000 description 1
- 229920000151 polyglycol Polymers 0.000 description 1
- 238000006116 polymerization reaction Methods 0.000 description 1
- 150000003141 primary amines Chemical class 0.000 description 1
- 230000008569 process Effects 0.000 description 1
- 238000012545 processing Methods 0.000 description 1
- AOHJOMMDDJHIJH-UHFFFAOYSA-N propylenediamine Chemical compound CC(N)CN AOHJOMMDDJHIJH-UHFFFAOYSA-N 0.000 description 1
- 150000003856 quaternary ammonium compounds Chemical class 0.000 description 1
- 125000001453 quaternary ammonium group Chemical group 0.000 description 1
- 230000009467 reduction Effects 0.000 description 1
- 150000003335 secondary amines Chemical group 0.000 description 1
- 150000003377 silicon compounds Chemical class 0.000 description 1
- 229940035044 sorbitan monolaurate Drugs 0.000 description 1
- 238000001179 sorption measurement Methods 0.000 description 1
- 230000000087 stabilizing effect Effects 0.000 description 1
- 238000003756 stirring Methods 0.000 description 1
- 150000003467 sulfuric acid derivatives Chemical class 0.000 description 1
- 239000013589 supplement Substances 0.000 description 1
- 239000003784 tall oil Substances 0.000 description 1
- 125000003258 trimethylene group Chemical group [H]C([H])([*:2])C([H])([H])C([H])([H])[*:1] 0.000 description 1
- 239000004711 α-olefin Substances 0.000 description 1
Classifications
-
- C—CHEMISTRY; METALLURGY
- C09—DYES; PAINTS; POLISHES; NATURAL RESINS; ADHESIVES; COMPOSITIONS NOT OTHERWISE PROVIDED FOR; APPLICATIONS OF MATERIALS NOT OTHERWISE PROVIDED FOR
- C09K—MATERIALS FOR MISCELLANEOUS APPLICATIONS, NOT PROVIDED FOR ELSEWHERE
- C09K8/00—Compositions for drilling of boreholes or wells; Compositions for treating boreholes or wells, e.g. for completion or for remedial operations
-
- C—CHEMISTRY; METALLURGY
- C09—DYES; PAINTS; POLISHES; NATURAL RESINS; ADHESIVES; COMPOSITIONS NOT OTHERWISE PROVIDED FOR; APPLICATIONS OF MATERIALS NOT OTHERWISE PROVIDED FOR
- C09K—MATERIALS FOR MISCELLANEOUS APPLICATIONS, NOT PROVIDED FOR ELSEWHERE
- C09K2208/00—Aspects relating to compositions of drilling or well treatment fluids
- C09K2208/22—Hydrates inhibition by using well treatment fluids containing inhibitors of hydrate formers
Landscapes
- Chemical & Material Sciences (AREA)
- Life Sciences & Earth Sciences (AREA)
- General Life Sciences & Earth Sciences (AREA)
- Engineering & Computer Science (AREA)
- Materials Engineering (AREA)
- Organic Chemistry (AREA)
- Organic Low-Molecular-Weight Compounds And Preparation Thereof (AREA)
- Preventing Corrosion Or Incrustation Of Metals (AREA)
- Agricultural Chemicals And Associated Chemicals (AREA)
Abstract
Description
Настоящее изобретение относится к применению группы алкоксилированных и/или ацилированных нечетвертичных азотсодержащих соединений в качестве противоагломератов для газовых гидратов.The present invention relates to the use of a group of alkoxylated and / or acylated non-quaternary nitrogen-containing compounds as anti-agglomerates for gas hydrates.
Когда низкомолекулярные углеводородные газы, такие как метан, этан, пропан, бутан и изобутан, подвергают высокому давлению в присутствии воды, может образоваться особый тип льда, так называемый газовый гидрат. Максимальная температура для этого образования будет зависеть от газового давления. При достаточно высоком давлении газовый гидрат может быть устойчивым до +25°C.When low molecular weight hydrocarbon gases, such as methane, ethane, propane, butane and isobutane, are subjected to high pressure in the presence of water, a special type of ice, the so-called gas hydrate, can form. The maximum temperature for this formation will depend on gas pressure. At a sufficiently high pressure, the gas hydrate can be stable up to + 25 ° C.
Образование газовых гидратов имеет важные практические значения в нефтяном и газовом производстве, особенно для транспортировки природного газа в оффшорных трубопроводах, где преобладают и высокое давление, и низкая температура. Если не принимают никакие меры, трубопровод легко блокируется образованием газовых гидратов.The formation of gas hydrates is of great practical importance in the oil and gas production, especially for the transportation of natural gas in offshore pipelines, where high pressure and low temperature prevail. If no measures are taken, the pipeline is easily blocked by the formation of gas hydrates.
Добавление или метанола, или этиленгликоля к газовому/водному или газовому/водному/нефтяному потоку для понижения точки замерзания газовой/водной смеси долго являлось общей практикой. Этот метод, который называют термодинамическим ингибированием, предотвратит первичное образование газовых гидратов. Однако он требует добавления 10-60% количества воды, присутствующей во флюиде, в зависимости от температуры и давления газа. Этот высокий уровень добавления также сделает необходимым возвращение добавки в точку назначения. В целом, это делает термодинамическое ингибирование довольно дорогой операцией.Adding either methanol or ethylene glycol to the gas / water or gas / water / oil stream to lower the freezing point of the gas / water mixture has long been common practice. This method, which is called thermodynamic inhibition, will prevent the primary formation of gas hydrates. However, it requires the addition of 10-60% of the amount of water present in the fluid, depending on the temperature and pressure of the gas. This high level of addition will also make it necessary to return the supplement to its destination. In general, this makes thermodynamic inhibition a rather expensive operation.
Вышесказанное, в свою очередь, привело к поиску добавок, которые могут использоваться в намного более низких дозировках, и этот поиск привел к двум принципиально различным способам действия, кинетическому ингибированию и дисперсии. В обоих случаях нормальной дозировкой добавки является 1-3% воды, представленной в газовом/водном или газовом/водном/нефтяном потоке.The above, in turn, led to the search for additives that can be used at much lower dosages, and this search has led to two fundamentally different modes of action, kinetic inhibition and dispersion. In both cases, the normal dosage of the additive is 1-3% of the water present in the gas / water or gas / water / oil stream.
Кинетическое ингибирование образования газовых гидратовKinetic inhibition of gas hydrate formation
Кинетические ингибиторы являются продуктами, которые задерживают начальное образование ядра газовых гидратов. Кинетические ингибиторы, таким образом, являются эффективными только в течение ограниченного промежутка времени, что является неудобством. Эти продукты обычно являются полимерами, и несколько классов полимеров, подходящих в качестве кинетических ингибиторов, были описаны в WO 93/25798.Kinetic inhibitors are products that delay the initial formation of a gas hydrate core. Kinetic inhibitors, therefore, are effective only for a limited period of time, which is an inconvenience. These products are usually polymers, and several classes of polymers suitable as kinetic inhibitors have been described in WO 93/25798.
Дисперсия газовых гидратовGas Hydrate Dispersion
Когда используют диспергаторы, происходит образование мелких кристаллов газовых гидратов, но агломерацию этих кристаллов предотвращают. Это, как главным образом предполагается, происходит из-за адсорбции диспергатора на поверхностях первоначально сформированных кристаллов газового гидрата. Диспергаторы типично являются поверхностно-активными агентами, т.е. они содержат по меньшей мере одну гидрофильную (полярную) и по меньшей мере одну гидрофобную (неполярную, олеофильную) группу. Диспергатор будет адсорбировать его полярным концом по направлению к газовому кристаллу гидрата, поворачивая его неполярный углеводородный конец наружу. Кристаллы, таким образом, получаются олеофильными и могут легко быть диспергированы в жидкой углеводородной фазе. Диспергаторы, таким образом, являются эффективными, только когда такая жидкая нефтяная фаза присутствует. Это будет обычно иметь место в трубопроводе от добывающей скважины к первой станции обработки, когда жидкий поток содержит и газ, и нефть так же, как воду. Адсорбируемый слой диспергаторов на кристаллах будет также препятствовать их росту вместе в большие агломераты, которые в противном случае могут вызвать полную блокировку трубопровода. Это свойство диспергаторов привело к тому, что их обычно называют противоагломератами, и этот термин будет использоваться везде в данной заявке.When dispersants are used, the formation of small crystals of gas hydrates occurs, but the agglomeration of these crystals is prevented. This is mainly assumed to be due to adsorption of the dispersant on the surfaces of the initially formed crystals of gas hydrate. Dispersants are typically surface active agents, i.e. they contain at least one hydrophilic (polar) and at least one hydrophobic (non-polar, oleophilic) group. The dispersant will adsorb its polar end towards the gas crystal of the hydrate, turning its non-polar hydrocarbon end out. The crystals are thus obtained oleophilic and can easily be dispersed in the liquid hydrocarbon phase. Dispersants are thus effective only when such a liquid oil phase is present. This will usually take place in the pipeline from the producing well to the first processing station, when the liquid stream contains both gas and oil as well as water. The adsorbed layer of dispersants on the crystals will also inhibit their growth together into large agglomerates, which otherwise could cause a complete blockage of the pipeline. This property of dispersants has led to the fact that they are commonly called anti-agglomerates, and this term will be used everywhere in this application.
В US 4915176 раскрыт способ транспортировки гидрат образующего флюида, в котором добавку вводят во флюид для уменьшения тенденции агломерирования гидратов так, чтобы получить гидраты в диспергированной форме. Добавками, используемыми в рабочих примерах, являются диэтаноламиды жирных кислот, имеющие различные по длине алкильные цепи, диоктилсульфосукцинат натрия и сорбитанмонолаурат.No. 4,915,176 discloses a method for transporting a hydrate of a forming fluid, wherein the additive is introduced into the fluid to reduce the tendency for hydrates to agglomerate so as to obtain the hydrates in dispersed form. The additives used in the working examples are fatty acid diethanolamides having alkyl chains of various lengths, sodium dioctyl sulfosuccinate and sorbitan monolaurate.
В WO 96/34177 описаны поверхностно-активные вещества на основе четвертичного аммония, в которых по меньшей мере две бутильные, пентильные или изопентильные группы присоединены к атому азота, который также несет одну или две длинные алкилгликольэфирные цепи. Некоторые продукты с этой конфигурацией показали, что являются хорошими антиагломератами газовых гидратов. Их главный недостаток состоит в том, что они не полностью биоразлагаются. Процесс производства этих типов соединений также содержит несколько стадий, и таким образом он отнимает довольно много времени.WO 96/34177 describes quaternary ammonium surfactants in which at least two butyl, pentyl or isopentyl groups are attached to a nitrogen atom, which also carries one or two long alkyl glycol ether chains. Some products with this configuration have shown to be good anti-agglomerates of gas hydrates. Their main disadvantage is that they are not completely biodegradable. The manufacturing process of these types of compounds also contains several stages, and thus it consumes quite a lot of time.
WO 03/008757 раскрывает алкоксилированные соединения четвертичного аммония, содержащие сложноэфирные группы, в качестве противоагломератов. Эти соединения также не полностью биоразлагаются.WO 03/008757 discloses alkoxylated quaternary ammonium compounds containing ester groups as anti-agglomerates. These compounds are also not completely biodegradable.
В US 6331508 раскрыт способ управления образованием кристаллов газовых гидратов в текучей смеси, где полиоксиалкилендиамин добавляют в смесь в количестве, эффективном для предотвращения и/или ингибирования роста кристаллов. Предпочтительные соединения имеют общую формулуNo. 6,331,508 discloses a method for controlling the formation of gas hydrate crystals in a fluid mixture, wherein polyoxyalkylene diamine is added to the mixture in an amount effective to prevent and / or inhibit crystal growth. Preferred compounds have the general formula
где R является алкильной группой, имеющей 1-20 углеродных атомов, x=1-4, n=2 или 3 и b+f+g=3-30, предпочтительно 20-30. В рабочем примере используют Ethoduomeen T/25 (ex Akzo Nobel). Это соединение является N-(масляный алкил)пропилендиамином, который взаимодействует с 15 молями оксида этилена; таким образом оно является соединением согласно формуле выше, где x равно 3, n равно 2 и b+f+g=15. Также предлагались пропоксилированные соединения с b+f+g=30. Однако пропоксилированные продукты, содержащие большие количества единиц оксида пропилена, покажут высокий logPow (см. далее ниже определение logPow), так как растворимость в воде будет довольно низка и способность к разложению микроорганизмами будет недостаточной.where R is an alkyl group having 1-20 carbon atoms, x = 1-4, n = 2 or 3, and b + f + g = 3-30, preferably 20-30. In a working example, Ethoduomeen T / 25 (ex Akzo Nobel) is used. This compound is N- (oily alkyl) propylene diamine, which reacts with 15 moles of ethylene oxide; thus it is a compound according to the formula above, where x is 3, n is 2 and b + f + g = 15. Propoxylated compounds with b + f + g = 30 have also been proposed. However, propoxylated products containing large quantities of propylene oxide units will show a high logP ow (see below for the definition of logP ow ), since the solubility in water will be quite low and the ability to decompose by microorganisms will be insufficient.
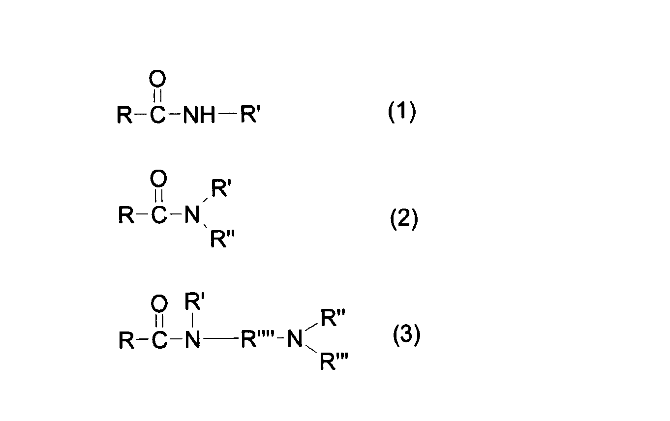
В US 4973775 раскрыт процесс задержки образования и/или уменьшения тенденции агломерации газовых гидратов, где используют гидроксикарбиламиды и полигидроксикарбиламиды. Предложенные соединения описываются общими формулами (1), (2) и (3)US 4,973,775 discloses a process for delaying the formation and / or reduction of the agglomeration tendency of gas hydrates using hydroxycarbylamides and polyhydroxycarbylamides. The proposed compounds are described by the general formulas (1), (2) and (3)
где R-C=O является радикалом карбоновой кислоты и содержит 4-28 атомов углерода, R', R'' и R''' являются гидроксикарбилрадикалами, и R'''' является алкиленовым радикалом типа CnH2n, и n является целым числом, равным по меньшей мере 1. Раскрыты только соединения согласно формуле (2) типа кокосового диэтаноламида, этоксилированного кокосового диэтаноламида, рапсового диэтаноламида или диэтаноламиды от других кислот.where RC = O is a carboxylic acid radical and contains 4-28 carbon atoms, R ', R''andR''' are hydroxycarbyl radicals, and R '''' is an alkylene radical of the type C n H 2n , and n is an integer equal to at least 1. Only compounds according to formula (2) are disclosed, such as coconut diethanolamide, ethoxylated coconut diethanolamide, rapeseed diethanolamide or diethanolamides from other acids.
Несмотря на то, что предлагаются различные варианты, для преодоления проблемы агломерации, до сих пор имеется потребность в улучшенном противоагломерате для газовых гидратов.Despite the fact that various options are offered to overcome the problem of agglomeration, there is still a need for an improved anti-agglomerate for gas hydrates.
Задача настоящего изобретения состоит в том, чтобы найти новые противоагломераты для газовых гидратов, которые являются эффективными в морской воде, солоноватой и/или пресной воде, и имеют лучшую способность к разложению микроорганизмами, и являются более экономически привлекательными, чем предыдущие известные соединения.An object of the present invention is to find new anti-agglomerates for gas hydrates that are effective in seawater, brackish and / or fresh water, and have better biodegradability by microorganisms, and are more economically attractive than previous known compounds.
В данном изобретении неожиданным образом найдено, что поверхностно-активное азотсодержащее соединение с 1-5, предпочтительно 1-4, более предпочтительно 1-3 и наиболее предпочтительно 1 или 2 атомами азота, соединение, которое имеет по меньшей мере одну гидрофобную группу с 6-24, предпочтительно 8-22 и наиболее предпочтительно 8-18 атомами углерода, и в котором гидрофобная группа связана с остатком от молекулы аминной частью, эфирной частью или амидной частью, при условии, что, когда гидрофобная группа связана посредством амидной части с остатком молекулы, соединение должно содержать в общей сложности по меньшей мере 2 атома азота;The present invention unexpectedly found that a surface-active nitrogen-containing compound with 1-5, preferably 1-4, more preferably 1-3 and most preferably 1 or 2 nitrogen atoms, a compound that has at least one hydrophobic group with 6- 24, preferably 8-22 and most preferably 8-18 carbon atoms, and in which the hydrophobic group is linked to the remainder of the molecule by the amine part, the ether part or the amide part, provided that when the hydrophobic group is connected via the amide part to the mo molecules, the compound must contain a total of at least 2 nitrogen atoms;
соединение, которое необязательно содержит 1-12, предпочтительно 2-10 -CH2CH2O- групп и/или 1-6 гидроксиалкильных групп с 3-4 атомами углерода; иa compound which optionally contains 1-12, preferably 2-10 —CH 2 CH 2 O— groups and / or 1-6 hydroxyalkyl groups with 3-4 carbon atoms; and
соединение которое имеет по меньшей мере одну C2-C3, предпочтительно C2-ацильную группу и/или по меньшей мере одну гидроксиалкильную группу с 3-4 атомами углерода, предпочтительно с 3 атомами углерода; соединение, которое выбирают из группы ниже, состоящей из соединений IA, IB, IC, II и III или их солей;a compound which has at least one C 2 -C 3 , preferably a C 2 acyl group and / or at least one hydroxyalkyl group with 3-4 carbon atoms, preferably with 3 carbon atoms; a compound which is selected from the group below consisting of compounds IA, IB, IC, II and III or their salts;
является эффективным противоагломератом для газовых гидратов и в соленой, и в пресной воде и в то же время имеет лучшую способность к биоразложению, чем соединения предшествующего уровня техники. Дополнительное преимущество состоит в том, что эти соединения также имеют способность действовать как ингибиторы коррозии. Согласно бездоказательной теории предполагается, что основные ацильная, гидроксипропильная и гидроксибутильная группы имеют улучшенную адгезию к поверхности газового гидрата и, таким образом, облегчают дисперсию и предотвращают агломерацию.It is an effective anti-agglomerate for gas hydrates in both salt and fresh water and at the same time has better biodegradability than prior art compounds. An additional advantage is that these compounds also have the ability to act as corrosion inhibitors. According to unsubstantiated theory, it is assumed that the basic acyl, hydroxypropyl and hydroxybutyl groups have improved adhesion to the surface of the gas hydrate and, thus, facilitate dispersion and prevent agglomeration.
Поверхностно-активное нечетвертичное азотсодержащее соединение выбирают из группы нечетвертичных азотсодержащих соединений, имеющих следующие общие формулы IA, IB, IC, II и III, т.е.A surface-active non-quaternary nitrogen-containing compound is selected from the group of non-quaternary nitrogen-containing compounds having the following general formulas IA, IB, IC, II and III, i.e.
где R является С6-C24, предпочтительно С8-С22 и наиболее предпочтительно С8-С18 гидрокарбильной группой; m равно 2 или 3, предпочтительно 3; a=0-4, предпочтительно 0-3 и наиболее предпочтительно 0 или 1; b является по меньшей мере 1 в каждом положении; Σb в среднем является 2-12, предпочтительно 2-10; c равно 0 или 1; d в среднем равно 0-5, предпочтительно 0; каждое A независимо выбирают из H, -C(=O)CH3, -C(=O)CH2CH3, C1-C3 алкильных групп, -[CH2CH(X)O]еН и -[CH2CH(X)O]e-C(=O)CH3, где X является -CH3 или -CH2CH3, предпочтительно -CH3, e равно 1-3 и сумма всех e в молекуле составляет самое большее 6 в среднем; при условии, что по меньшей мере одна из групп A является -[CH2CH(X)O]еН, -CH2CH(X)O]e-C(=O)CH3, -C(=O)CH3 или -C(=O)CH2CH3;where R is a C 6 -C 24 , preferably a C 8 -C 22 and most preferably a C 8 -C 18 hydrocarbyl group; m is 2 or 3, preferably 3; a = 0-4, preferably 0-3, and most preferably 0 or 1; b is at least 1 in each position; Σb is on average 2-12, preferably 2-10; c is 0 or 1; d is on average 0-5, preferably 0; each A is independently selected from H, -C (= O) CH 3 , -C (= O) CH 2 CH 3 , C 1 -C 3 alkyl groups, - [CH 2 CH (X) O] e H and - [ CH 2 CH (X) O] e -C (= O) CH 3 , where X is —CH 3 or —CH 2 CH 3 , preferably —CH 3 , e is 1-3 and the sum of all e in the molecule is at most 6 on average; provided that at least one of the groups A is - [CH 2 CH (X) O] e H, -CH 2 CH (X) O] e -C (= O) CH 3 , -C (= O) CH 3 or -C (= O) CH 2 CH 3 ;
где B независимо выбирают из -[CH2CH(X)O]еН, -[CH2CH(X)O]e-C(=O)CH3 или H; каждое D независимо выбирают из H, гидрокарбильной группы с 1-24 атомами углерода, предпочтительно 1-3 атомами углерода, -[CH2CH(X)O]еН или -[CH2CH(X)O]e-C(=O)CH3; при условии, что по меньшей мере одна из групп D или группа B являетсяwhere B is independently selected from - [CH 2 CH (X) O] e H, - [CH 2 CH (X) O] e -C (= O) CH 3 or H; each D is independently selected from H, a hydrocarbyl group with 1-24 carbon atoms, preferably 1-3 carbon atoms, - [CH 2 CH (X) O] e H or - [CH 2 CH (X) O] e -C ( = O) CH 3 ; provided that at least one of the groups D or group B is
-[CH2CH(X)O]eH или -[CH2CH(X)O]e-C(=O)CH3;- [CH 2 CH (X) O] e H or - [CH 2 CH (X) O] e -C (= O) CH 3 ;
m, a, c, e, Σe и X определены как для IA; и R является гидрокарбильной группой с 6-24 атомами углерода, предпочтительно 6-18 и наиболее предпочтительно 6-15 атомами углерода, при условии, что, когда все D и B являются группой -[CH2CH(X)O]eH, c=0, m=3 и a=1-4, тогда logPow для молекулы составляет самое большее 3;m, a, c, e, Σe and X are defined as for IA; and R is a hydrocarbyl group with 6-24 carbon atoms, preferably 6-18 and most preferably 6-15 carbon atoms, provided that when all D and B are - [CH 2 CH (X) O] e H, c = 0, m = 3 and a = 1-4, then logP ow for the molecule is at most 3;
где R является гидрокарбильной группой, имеющей 6-24, предпочтительно 8-22 и наиболее предпочтительно 8-18 атомов углерода; m равно 2 или 3, предпочтительно 3; a=0-4, предпочтительно 0-3 и наиболее предпочтительно 1, E является C1-C3 алкилом, -C(=O)CH3 или -C(=O)CH2CH3 и F является -C(=O)CH3 или -C(=O)CH2CH3;where R is a hydrocarbyl group having 6-24, preferably 8-22 and most preferably 8-18 carbon atoms; m is 2 or 3, preferably 3; a = 0-4, preferably 0-3 and most preferably 1, E is C 1 -C 3 alkyl, -C (= O) CH 3 or -C (= O) CH 2 CH 3 and F is -C (= O) CH 3 or -C (= O) CH 2 CH 3 ;
где R'C(=O)- является ацильной группой с 6-24, предпочтительно 8-22 и наиболее предпочтительно 8-18 атомами углерода; o=0-3, предпочтительно 1-2; p=0-3, предпочтительно 0-2; Σ(o+p) в среднем составляет 0-6, предпочтительно 1-4; m равно 2 или 3, предпочтительно 2; и каждое A независимо выбирают из H, -[CH2CH(X)O]eH, -[CH2CH(X)O]e-C(=O)CH3, -C(=O)CH3, -C(=O)CH2CH3 и C1-C3-алкильных групп; при условии, что по меньшей мере одна из групп A является -[CH2CH(X)O]eH, -[CH2CH(X)O]e-C(=O)CH3, -C(=O)CH3 или -C(=O)CH2CH3, где X, e и Σe имеют то же самое значение как для IA; иwhere R'C (= O) - is an acyl group with 6-24, preferably 8-22 and most preferably 8-18 carbon atoms; o = 0-3, preferably 1-2; p = 0-3, preferably 0-2; Σ (o + p) is on average 0-6, preferably 1-4; m is 2 or 3, preferably 2; and each A is independently selected from H, - [CH 2 CH (X) O] e H, - [CH 2 CH (X) O] e -C (= O) CH 3 , -C (= O) CH 3 , -C (= O) CH 2 CH 3 and C 1 -C 3 alkyl groups; provided that at least one of the groups A is - [CH 2 CH (X) O] e H, - [CH 2 CH (X) O] e -C (= O) CH 3 , -C (= O ) CH 3 or -C (= O) CH 2 CH 3 , where X, e and Σe have the same meaning as for IA; and
где r и s независимо равны 0-2 при условии, что Σr+s=0-2; и j равно 0 или 1, при условии, что когда j=1, тогда c=0 и R''=R', и когда j=0, тогда R''=R, и при условии, что по меньшей мере одно из A является -[CH2CH(X)O]eH, -[CH2CH(X)O]e-C(=O)CH3, -C(=O)CH3 или -C(=O)CH2CH3, где X, e и Σe имеют то же самое значение, как для IA; R, c, d, b, Σb, m и A определены как для IA, и R'C(=O)- определено как для (II);where r and s are independently 0-2 provided that Σr + s = 0-2; and j is 0 or 1, provided that when j = 1, then c = 0 and R '' = R ', and when j = 0, then R''= R, and provided that at least one from A is - [CH 2 CH (X) O] e H, - [CH 2 CH (X) O] e -C (= O) CH 3 , -C (= O) CH 3 or -C (= O ) CH 2 CH 3 , where X, e and Σe have the same meaning as for IA; R, c, d, b, Σb, m and A are defined as for IA, and R'C (= O) is defined as for (II);
или соли любого из соединений IA, IB, IC, II или III; или любой их комбинации.or salts of any of the compounds IA, IB, IC, II or III; or any combination thereof.
Предпочтительными структурами формулы IA являются те, где все группы A являются -CH2CH(CH3)ОН, или те, где все группы A являются -C(=O)CH3.Preferred structures of formula IA are those where all groups A are —CH 2 CH (CH 3 ) OH, or those where all groups A are —C (= O) CH 3 .
Таким образом, одно осуществление изобретения содержит соединения формулыThus, one embodiment of the invention contains compounds of the formula
где R является гидрокарбильной группой 6-24, предпочтительно 8-22 и наиболее предпочтительно 8-18 атомов углерода, m равно 2 или 3, предпочтительно 3, а равно 0 или 1, сумма b в среднем равна 2-6, и сумма e равна 2 или 3, иwhere R is a hydrocarbyl group of 6-24, preferably 8-22 and most preferably 8-18 carbon atoms, m is 2 or 3, preferably 3, and 0 or 1, the sum b is on average 2-6, and the sum e is 2 or 3, and
где R является гидрокарбильной группой из 6-24, предпочтительно 8-22 и наиболее предпочтительно 8-18 атомов углерода, m равно 2 или 3, а равно 0 или 1 и сумма b равна 2-6.where R is a hydrocarbyl group of 6-24, preferably 8-22 and most preferably 8-18 carbon atoms, m is 2 or 3, and 0 or 1 and the sum of b is 2-6.
Другое осуществление включает соединения, имеющие формулу IB, где R является C6-C15 гидрокарбильной группой, c равно 0, m равно 3, а равно 1, B и D независимо выбирают из групп -[CH2CH(X)O]eH и -[CH2CH(X)O]e-C(=O)CH3, и сумма e в среднем равна 3-6.Another implementation includes compounds having the formula IB, where R is a C 6 -C 15 hydrocarbyl group, c is 0, m is 3, and 1, B and D are independently selected from the groups - [CH 2 CH (X) O] e H and - [CH 2 CH (X) O] e -C (= O) CH 3 , and the sum of e is on average 3-6.
Предпочтительными структурами формулы IC являются те, в которых а=1, группа F является -C(=O)CH3 и группа E является C1-C3алкилом или -C(=O)CH3.Preferred structures of formula IC are those in which a = 1, the group F is —C (═O) CH 3 and the group E is C 1 -C 3 alkyl or —C (= O) CH 3 .
Таким образом, дальнейшее осуществление изобретения включает соединения, имеющие формулуThus, a further embodiment of the invention includes compounds having the formula
где R является алкильной группой, имеющей 6-24, предпочтительно 8-22 и наиболее предпочтительно 8-18 атомов углерода, m равно 2 или 3, предпочтительно 3, и E является C1-C3 алкилом, предпочтительно метилом или -C(O)CH3.where R is an alkyl group having 6-24, preferably 8-22 and most preferably 8-18 carbon atoms, m is 2 or 3, preferably 3, and E is C 1 -C 3 alkyl, preferably methyl or -C (O ) CH 3 .
Предпочтительные поверхностно-активные нечетвертичные азотсодержащие соединения формулы II выбирают из группы соединений, имеющих следующие общие формулыPreferred non-Quaternary Nitrogen-Containing Surfactants of Formula II are selected from the group of compounds having the following general formulas
где n равно по меньшей мере 1 в каждом положении и Σn в среднем равна 2-4, m равно 2 или 3, предпочтительно 2, R'(C=O)- и A определены как для II, за исключением того, что X является -CH3, при условии, что по меньшей мере одно из A является -[CH2CH(CH3)O]eH, -[CH2CH(CH3)O]e-C(=O)CH3 или -C(O)CH3, где e и Σe определены как для II;where n is at least 1 in each position and Σn is on average 2-4, m is 2 or 3, preferably 2, R '(C = O) - and A are defined as for II, except that X is -CH 3 , provided that at least one of A is - [CH 2 CH (CH 3 ) O] e H, - [CH 2 CH (CH 3 ) O] e -C (= O) CH 3 or —C (O) CH 3 , where e and Σe are defined as for II;
иand
где m равно 2 или 3, предпочтительно 2; R'(C=O)- и A определены как для II, за исключением того, что X является -CH3, при условии, что по меньшей мере одно из A является -[CH2CH(CH3)O]eH, -[CH2CH(CH3)O]e-C(=O)CH3 или -C(O)CH3; где X, e и Σe имеют то же самое значение как для IA;where m is 2 or 3, preferably 2; R '(C = O) - and A are defined as for II, except that X is —CH 3 , provided that at least one of A is - [CH 2 CH (CH 3 ) O] e H , - [CH 2 CH (CH 3 ) O] e -C (= O) CH 3 or -C (O) CH 3 ; where X, e and Σe have the same meaning as for IA;
и соли любых соединений из IIA и IIB.and salts of any compounds from IIA and IIB.
Таким образом, все еще другое осуществление изобретения содержит соединения IIA, имеющие формулуThus, still another embodiment of the invention contains compounds IIA having the formula
где R'(C=O)- является ацильной группой, имеющей 6-24, предпочтительно 8-22 и наиболее предпочтительно 8-18 атомов углерода и m равно 2 или 3, предпочтительно 2;where R '(C = O) - is an acyl group having 6-24, preferably 8-22 and most preferably 8-18 carbon atoms and m is 2 or 3, preferably 2;
и соединения IIB имеющие формулуand compounds IIB having the formula
где R'(C=O)- является ацильной группой, имеющей 6-24, предпочтительно 8-22 и наиболее предпочтительно 8-18 атомов углерода и m равно 2 или 3, предпочтительно 2.where R '(C = O) - is an acyl group having 6-24, preferably 8-22 and most preferably 8-18 carbon atoms and m is 2 or 3, preferably 2.
Предпочтительные поверхностно-активные нечетвертичные азотсодержащие соединения формулы III имеют формулуPreferred surface-active non-quaternary nitrogen-containing compounds of formula III have the formula
где r и s независимо равны 0-1, предпочтительно и r и s равны 0; R, b, Σb, m и A определены как для IA, за исключением того, что X является -CH3, при условии, что по меньшей мере одно из A является -[CH2CH(CH3)O]eH, -[CH2CH(CH3)O]e-C(=O)CH3 или -C(O)CH3, где e и Σe определены как для IA; или соль IIIA.where r and s are independently 0-1, preferably r and s are 0; R, b, Σb, m and A are defined as for IA, except that X is —CH 3 , provided that at least one of A is - [CH 2 CH (CH 3 ) O] e H, - [CH 2 CH (CH 3 ) O] e -C (= O) CH 3 or -C (O) CH 3 , where e and Σe are defined as for IA; or salt IIIA.
Может также использоваться любая комбинация IA, IB, IC, IIA, IIB и IIIA или их солей. Соединения, имеющие эти формулы или их соли, были найдены как биоразлагаемые эффективные противоагломераты для газовых гидратов.Any combination of IA, IB, IC, IIA, IIB and IIIA or salts thereof may also be used. Compounds having these formulas or their salts have been found to be biodegradable effective anti-agglomerates for gas hydrates.
В дальнейшем осуществлении противоагломерат имеет низкий logPow (=logKow), предпочтительно ≤3, более предпочтительно 2 или менее, так как вещества с logPow выше чем 3 склонны к бионакоплению. Это значение может быть или экспериментально измерено или теоретически вычислено и получено из разделения соединения между этими двумя фазами н-октанолом и водой. Коэффициент разделения (P) определен как соотношение равновесных концентраций растворенного вещества в двухфазной системе, состоящей из двух в значительной степени несмешивающихся растворителей; в случае н-октанола и воды Pow значение (=октанол-водный коэффициент распределения) соединения равно:In a further embodiment, the anti-agglomerate has a low logP ow (= logK ow ), preferably ≤3, more preferably 2 or less, since substances with logP ow higher than 3 are prone to bioaccumulation. This value can be either experimentally measured or theoretically calculated and obtained from the separation of the compound between the two phases n-octanol and water. The separation coefficient (P) is defined as the ratio of the equilibrium concentrations of the solute in a two-phase system consisting of two substantially immiscible solvents; in the case of n-octanol and P ow water, the value (= octanol-water partition coefficient) of the compound is:
Pow=(Cн-октанол/Cвода), где Cн-октанол и Cвода являются равновесными концентрациями соединения в октанольной и водной фазах соответственно. Из-за эмульгирующих свойств многих ПАВ для этих видов продуктов обычно теоретически вычисляют logPow. Для введения в вычисление Pow см. Annex to the OECD Guideline for Testing of Chemicals 117 и ссылки там. Для соединений IB является существенным, что logPow равен самое большее 3.P ow = (C n-octanol / C water ), where C n-octanol and C water are the equilibrium concentrations of the compound in the octanol and aqueous phases, respectively. Due to the emulsifying properties of many surfactants, logP ow is usually calculated theoretically for these types of products. For an introduction to the calculation of P ow, see the Appendix to the OECD Guideline for Testing of Chemicals 117 and the references there. For IB compounds, it is essential that logP ow is at most 3.
Вышеупомянутые соединения получают способами, известными из уровня техники. Соединения формулы IA получают первым этоксилированием подходящего алкиламина, алкилполиамина, алкилэфирамина или алкилэфирдиамина, таких как предварительно выбранный (жирный алкил)моноамин, (жирный алкил)аминопропиламин, 3-[(жирный алкил)окси]пропиламин или N-[3-(жирный алкил)окси]-1,3-пропандиамин и затем пропоксилированный и/или бутоксилированный и/или ацетилированный этоксилированный продукт. Число молей этиленоксида, взаимодействующего с соединением амина, не должно быть целым числом и представляет число средней степени полимеризации этиленоксида в продукте (см. Nonionic Surfactants: Organic Chemistry in Surfactant Science Series Volume 72, 1998, p 1ff, отредактированный Nico M. van Os; Marcel Dekker, Inc). Продукты формулы IA могут быть добавлены в водную фазу сами по себе или как соль с кислотой, предпочтительно как их соль карбоновой кислоты. Любая низшая соль карбоновой кислоты является подходящей, и соли уксусной кислоты являются особенно предпочтительными. Также могут, соответственно, использоваться соли IA с минеральными кислотами, такие как хлориды, сульфаты и фосфаты.The above compounds are prepared by methods known in the art. Compounds of formula IA are prepared by first ethoxylating a suitable alkylamine, alkyl polyamine, alkyl ether or alkyl ether diamine, such as pre-selected (fatty alkyl) monoamine, (fatty alkyl) aminopropylamine, 3 - [(fatty alkyl) oxy] propylamine or N- [3- (fatty alkyl ) hydroxy] -1,3-propanediamine and then the propoxylated and / or butoxylated and / or acetylated ethoxylated product. The number of moles of ethylene oxide interacting with the amine compound should not be an integer and represents the number of the average degree of polymerization of ethylene oxide in the product (see Nonionic Surfactants: Organic Chemistry in Surfactant Science Series Volume 72, 1998, p 1ff, edited by Nico M. van Os; Marcel Dekker, Inc). The products of formula IA can be added to the aqueous phase on their own or as a salt with an acid, preferably as their carboxylic acid salt. Any lower carboxylic acid salt is suitable, and acetic acid salts are particularly preferred. Mineral acid salts IA, such as chlorides, sulfates and phosphates, can also be used accordingly.
Соединения формулы IB получают пропоксилированием и/или бутоксилированием подходящего алкиламина, алкилполиамина или алкилэфирамина. Также продукт здесь предпочтительно добавляют как соль карбоновой кислоты, но соли с минеральными кислотами являются также подходящими для использования.Compounds of formula IB are prepared by propoxylation and / or butoxylation of a suitable alkylamine, alkyl polyamine or alkyl ether. Also, the product here is preferably added as a carboxylic acid salt, but salts with mineral acids are also suitable for use.
Соединения формулы IC получают ацетилированием N-(жирный алкил)-1,3-пропилендиамина или N-(жирный алкил), N-(C1-3алкил)-1,3-пропилендиамина.Compounds of formula IC are prepared by acetylation of N- (fatty alkyl) -1,3-propylenediamine or N- (fatty alkyl), N- (C 1-3 alkyl) -1,3-propylenediamine.
Соединения формулы IIA получают, производя амид из жирной кислоты и аминоэтилэтаноламина или аминопропилэтаноламина этоксилированием амида и затем пропоксилированием и/или ацетилированием этоксилированного амида.Compounds of formula IIA are prepared by producing an amide from a fatty acid and aminoethylethanolamine or aminopropylethanolamine by ethoxylation of an amide and then propoxylation and / or acetylation of an ethoxylated amide.
Соединения формулы IIB получают, производя амид из жирной кислоты и аминоэтилэтаноламина или аминопропилэтаноламина и затем непосредственно пропоксилированием и/или ацетилированием амида. Также и для IIA и для IIB продукт предпочтительно добавляют как соль.Compounds of formula IIB are prepared by producing an amide from a fatty acid and aminoethylethanolamine or aminopropylethanolamine and then directly by propoxylation and / or acetylation of the amide. For both IIA and IIB, the product is preferably added as a salt.
Соединения формулы IIIA получают первым этоксилированием подходящего алкилполиамина, содержащего третичную моно(жирный алкил)аминогруппу и затем пропоксилированием и/или ацетилированием этоксилированного продукта. Продукт предпочтительно добавляют как соль.Compounds of formula IIIA are prepared by first ethoxylating a suitable alkyl polyamine containing a tertiary mono (fatty alkyl) amino group and then propoxylating and / or acetylating the ethoxylated product. The product is preferably added as a salt.
Подходящими алкиламинами и алкилполиаминами, которые могут использоваться в качестве исходных веществ для соединений формул IA и IB, являются (жирный алкил)моноамины согласно формуле R1NH2, где R1 является алифатической группой, имеющей 6-24 атома углерода; (жирный алкил)диамины согласно формуле R2NHCH2CH2CH2NH2, где R2 является алифатической группой, имеющей 6-24 атома углерода (также подходящие в качестве исходного вещества для IC); и линейными (жирный алкил)триаминами согласно формуле R3NHCH2CH2CH2NHCH2CH2CH2NH2, где R3 является алифатической группой, имеющей 6-24 атома углерода.Suitable alkyl amines and alkyl polyamines that can be used as starting materials for compounds of the formulas IA and IB are (fatty alkyl) monoamines according to the formula R1NH 2 , where R1 is an aliphatic group having 6-24 carbon atoms; (fatty alkyl) diamines according to the formula R2NHCH 2 CH 2 CH 2 NH 2 , where R2 is an aliphatic group having 6-24 carbon atoms (also suitable as starting material for IC); and linear (fatty alkyl) triamines according to the formula R3NHCH 2 CH 2 CH 2 NHCH 2 CH 2 CH 2 NH 2 , where R3 is an aliphatic group having 6-24 carbon atoms.
Подходящими алкилэфираминами или алкилэфирдиаминами, которые могут использоваться в качестве исходных веществ для соединений формул IA и IB, являются алкилэфирамины согласно формуле R4O(CH2CH2CH2)NH2 и алкилэфирдиамины согласно формуле R5O(CH2CH2CH2)NH(CH2CH2CH2)NH2, где R4 и R5 являются алифатическими группами, имеющими 6-24 атома углерода.Suitable alkyl ether amines or alkyl ether diamines which can be used as starting materials for the compounds of formulas IA and IB are the alkyl ether amines according to the formula R4O (CH 2 CH 2 CH 2 ) NH 2 and the alkyl ether diamines according to the formula R5O (CH 2 CH 2 CH 2 ) NH (CH 2 CH 2 CH 2 ) NH 2 , where R4 and R5 are aliphatic groups having 6-24 carbon atoms.
Подходящими алкилполиаминами, которые могут использоваться в качестве исходных веществ для соединений формул III и IIIA, являются разветвленные (жирный алкил)триамины (Y-триамины) формулы R6N(CH2CH2CH2NH2)2, где R6 является алифатической группой, имеющей 6-24, предпочтительно 8-22 атома углерода или разветвленные (жирный алкил)пентамины формулы R7N(CH2CH2CH2NHCH2CH2CH2NH2)2, где R7 является алифатической группой, имеющей 6-24, предпочтительно 8-22 атома углерода.Suitable alkyl polyamines that can be used as starting materials for compounds of formulas III and IIIA are branched (fatty alkyl) triamines (Y-triamines) of the formula R6N (CH 2 CH 2 CH 2 NH 2 ) 2 , where R6 is an aliphatic group having 6-24, preferably 8-22 carbon atoms or branched (fatty alkyl) pentamines of the formula R7N (CH 2 CH 2 CH 2 NHCH 2 CH 2 CH 2 NH 2 ) 2 , where R7 is an aliphatic group having 6-24, preferably 8 -22 carbon atoms.
Подходящими алкилэфирполиаминами, которые могут использоваться в качестве исходных веществ для соединений формулы III являются те из формулы R8O(CH2CH2CH2)N(CH2CH2CH2NH2)2, в которых R8 является алифатической группой, имеющей 6-24, предпочтительно 8-22 атома углерода.Suitable alkyl ether polyamines that can be used as starting materials for compounds of formula III are those of formula R8O (CH 2 CH 2 CH 2 ) N (CH 2 CH 2 CH 2 NH 2 ) 2 in which R8 is an aliphatic group having 6- 24, preferably 8-22 carbon atoms.
Примерами подходящих жирных аминов для использования в качестве исходных веществ для соединений формул IA и IB являются н-гексиламин, 2-этилгексиламин, н-октиламин, 2-пропилгептиламин, н-дециламин, н-додециламин, (кокосовый алкил)амин, н-тетрадециламин, н-гексадециламин, н-октадециламин, олеиламин, (масляный алкил)амин, (рапсовый алкил)амин, (соевый алкил)амин, эруциловый амин, N-(н-децил)триметилендиамин, N-(н-додецил)триметилендиамин, N-(кокосовый алкил)триметилендиамин, N-(рапсовый алкил)триметилендиамин, N-(соевый алкил)триметилендиамин, N-(масляный алкил)триметилендиамин, N-эруцилтриметилендиамин, N-(н-децил)-N'-(3-аминопропил)-1,3-пропандиамин, N-(н-додецил)-N'-(3-аминопропил)-1,3-пропандиамин, N-(кокосовый алкил)-N'-(3-аминопропил)-1,3-пропандиамин, N-(рапсовый алкил)-N'-(3-аминопропил)-1,3-пропандиамин, N-(соевый алкил)-N'-(3-аминопропил)-1,3-пропандиамин, N-олеил-N'-(3-аминопропил)-1,3-пропандиамин, N-(масляный алкил)-N'-(3-аминопропил)-1,3-пропандиамин, N-эруцил-N'-(3-аминопропил)-1,3-пропандиамин, N-(3-аминопропил)-N'-[3-(9-дециламино)пропил]-1,3-пропандиамин, N-(3-аминопропил)-N'-[3-(9-додециламино)пропил]-1,3-пропандиамин, N-(3-аминопропил)-N'-[3-(9-(кокосовый алкил)амино)пропил]-1,3-пропандиамин, N-(3-аминопропил)-N'-[3-(9-(рапсовый алкил)амино)пропил]-1,3-пропандиамин, N-(3-аминопропил)-N'-[3-(9-(соевый алкил)амино)пропил]-1,3-пропандиамин, N-(3-аминопропил)-N'-[3-(9-октадецениламино)пропил]-1,3-пропандиамин, N-(3-аминопропил)-N'-[3-(9-(масляный алкил)амино)пропил]-1,3-пропандиамин и N-(3-аминопропил)-N'-[3-(9-эруциламино)пропил]-1,3-пропандиамин.Examples of suitable fatty amines for use as starting materials for compounds of formulas IA and IB are n-hexylamine, 2-ethylhexylamine, n-octylamine, 2-propylheptylamine, n-decylamine, n-dodecylamine, (coconut alkyl) amine, n-tetradecylamine , n-hexadecylamine, n-octadecylamine, oleylamine, (oil alkyl) amine, (rapeseed alkyl) amine, (soybean alkyl) amine, erucyl amine, N- (n-decyl) trimethylenediamine, N- (n-dodecyl) trimethylenediamine, N- (coconut alkyl) trimethylenediamine, N- (rapeseed alkyl) trimethylenediamine, N- (soybean alkyl) trimethylenediamine, N- (oil alkyl) trimethylenediamine, N-erucyltrimethylenediamine, N- (n-decyl) -N '- (3-aminopropyl) -1,3-propanediamine, N- (n-dodecyl) -N' - (3-aminopropyl) -1 , 3-propanediamine, N- (coconut alkyl) -N '- (3-aminopropyl) -1,3-propanediamine, N- (rapeseed alkyl) -N' - (3-aminopropyl) -1,3-propanediamine, N - (soybean alkyl) -N '- (3-aminopropyl) -1,3-propanediamine, N-oleyl-N' - (3-aminopropyl) -1,3-propanediamine, N- (oil alkyl) -N'- (3-aminopropyl) -1,3-propanediamine, N-erucyl-N '- (3-aminopropyl) -1,3-propanediamine, N- (3-aminopropyl) -N' - [3- (9-decylamino) propyl] -1,3-propanediamine, N- (3-aminopropyl) -N '- [3- (9-dodecylamino) propyl] -1,3-propanediamine, N- (3-aminop ropyl) -N '- [3- (9- (coconut alkyl) amino) propyl] -1,3-propanediamine, N- (3-aminopropyl) -N' - [3- (9- (rapeseed alkyl) amino) propyl] -1,3-propanediamine, N- (3-aminopropyl) -N '- [3- (9- (soybean alkyl) amino) propyl] -1,3-propanediamine, N- (3-aminopropyl) -N '- [3- (9-octadecenylamino) propyl] -1,3-propanediamine, N- (3-aminopropyl) -N' - [3- (9- (oil-alkyl) amino) propyl] -1,3-propanediamine and N- (3-aminopropyl) -N '- [3- (9-erucylamino) propyl] -1,3-propanediamine.
Примерами подходящих жирных диаминов для использования в качестве исходных веществ для соединений формулы IC являются N-(2-этилгексил)триметилендиамин, N-(н-октил)триметилендиамин, N-(н-децил)триметилендиамин, N-(н-додецил)триметилендиамин, N-(н-тетрадецил)триметилендиамин, N-(кокосовый алкил)триметилендиамин, N-(н-гексадецил)триметилендиамин, N-олеилтриметилендиамин, N-(рапсовый алкил)триметилендиамин, N-(соевый алкил)триметилендиамин, N-(масляный алкил)триметилендиамин, N-эруцилтриметилендиамин, N-(н-октил)-N-метиламинопропиламин, N-(2-этилгексил)-N-метиламинопропиламин, N-(н-децил)-N-метиламинопропиламин, N-(н-додецил)-N-метиламинопропиламин, N-(кокосовый алкил)-N-метиламинопропиламин, N-(н-тетрадецил)-N-метиламинопропиламин, N-олеил-N-метиламинопропиламин, N-(рапсовый алкил)-N-метиламинопропиламин, N-(соевый алкил)-N-метиламинопропиламин и N-(масляный алкил)-N-метиламинопропиламин.Examples of suitable fatty diamines for use as starting materials for compounds of formula IC are N- (2-ethylhexyl) trimethylenediamine, N- (n-octyl) trimethylenediamine, N- (n-decyl) trimethylenediamine, N- (n-dodecyl) trimethylenediamine , N- (n-tetradecyl) trimethylenediamine, N- (coconut alkyl) trimethylenediamine, N- (n-hexadecyl) trimethylenediamine, N-oleyltrimethylenediamine, N- (rapeseed alkyl) trimethylenediamine, N- (soybean alkyl) N- (soybean alkyl) trimethylene oil alkyl) trimethylenediamine, N-erucyltrimethylenediamine, N- (n-octyl) -N-methylaminopropylamine, N- (2-ethylhexyl) -N methylaminopropylamine, N- (n-decyl) -N-methylaminopropylamine, N- (n-dodecyl) -N-methylaminopropylamine, N- (coconut alkyl) -N-methylaminopropylamine, N- (n-tetradecyl) -N-methylaminopropylamine, N-oleyl-N-methylaminopropylamine, N- (rapeseed alkyl) -N-methylaminopropylamine, N- (soybean alkyl) -N-methylaminopropylamine and N- (oil alkyl) -N-methylaminopropylamine.
Примерами подходящих алкилэфираминов и алкилэфирдиаминов для использования в качестве исходных веществ для соединений формул IA и IB являются 3-(н-октилокси)пропиламин, 3-[2-(этилгексил)окси]пропиламин, 3-(н-децилокси)пропиламин, 3-[2-(пропилгептил)окси]пропиламин, 3-(додецилокси)пропиламин, 3-[(кокосовый алкил)окси]пропиламин, 3-[(рапсовый алкил)окси]пропиламин, 3-[(соевый алкил)окси]пропиламин, 3-(октадеценилокси)пропиламин, 3-[(масляный алкил)окси]пропиламин, 3-(эруцилокси)пропиламин, N-[3-(2-(этилгексил)окси)пропил]-1,3-пропандиамин, N-[3-(н-октилокси)пропил]-1,3-пропандиамин, N-[3-(н-децилокси)пропил]-1,3-пропандиамин, N-[3-(2-(пропилгептил)окси)пропил]-1,3-пропандиамин, N-[3-(тридецилокси)пропил]-1,3-пропандиамин и эфир моно- и диамины, основанные на C6-C24 спиртах, которые были этоксилированы 5 молями этиленоксида.Examples of suitable alkyl ether amines and alkyl ether diamines for use as starting materials for compounds of formulas IA and IB are 3- (n-octyloxy) propylamine, 3- [2- (ethylhexyl) oxy] propylamine, 3- (n-decyloxy) propylamine, 3- [2- (propylheptyl) oxy] propylamine, 3- (dodecyloxy) propylamine, 3 - [(coconut alkyl) oxy] propylamine, 3 - [(rapeseed alkyl) oxy] propylamine, 3 - [(soy alkyl) oxy] propylamine, 3- (octadecenyloxy) propylamine, 3 - [(butyric alkyl) oxy] propylamine, 3- (erucyloxy) propylamine, N- [3- (2- (ethylhexyl) oxy) propyl] -1,3-propanediamine, N- [ 3- (n-octyloxy) propyl] -1,3-propanediamine, N- [3- (n-decyloxy) propyl] -1,3-propanediamine, N- [3- (2- (propylheptyl) oxy) propyl] -1,3-propanediamine, N- [3- (tridecyloxy) propyl] -1,3-propanediamine and ether mono- and diamines based on C 6 -C 24 alcohols that were ethoxylated with 5 moles of ethylene oxide.
Примерами жирных кислот для использования в качестве исходных веществ для амидов соединений формул II, IIA, IIB и III являются капроновая кислота, 2-этилкапроновая кислота, н-каприловая кислота, н-декановая кислота, н-додекановая кислота, кокосовая жирная кислота, олеиновая кислота, рапсовая жирная кислота, соевая жирная кислота, масляная жирная кислота, жирная кислота таллового масла и эруковая кислота.Examples of fatty acids for use as starting materials for amides of the compounds of formulas II, IIA, IIB and III are caproic acid, 2-ethylcaproic acid, n-caprylic acid, n-decanoic acid, n-dodecanoic acid, coconut fatty acid, oleic acid , rapeseed fatty acid, soya fatty acid, butyric fatty acid, tall oil fatty acid and erucic acid.
Примерами (жирный алкил)полиаминов, которые могут использоваться в качестве исходных веществ для соединений формул III и IIIA, являются N,N-бис(3-аминопропил)гексиламин, N,N-бис(3-аминопропил)(2-этилгексил)амин, N,N-бис(3-аминопропил)-н-октиламин, N,N-бис(3-аминопропил)дециламин, N,N-бис(3-аминопропил)(2-пропилгептил)амин, N,N-бис(3-аминопропил)додециламин, N,N-бис(3-аминопропил)-(кокосовый алкил)амин, N,N-бис(3-аминопропил)тетрадециламин, N,N-бис(3-аминопропил)гексадециламин, N,N-бис(3-аминопропил)стеариламин, N,N-бис(3-аминопропил)(рапсовый алкил)амин, N,N-бис(3-аминопропил)(масляный алкил)амин, N,N-бис(3-аминопропил)(соевый алкил)амин, N,N-бис(3-аминопропил)олеиламин и N,N-бис(3-аминопропил)эруциламин.Examples of (fatty alkyl) polyamines that can be used as starting materials for compounds of formulas III and IIIA are N, N-bis (3-aminopropyl) hexylamine, N, N-bis (3-aminopropyl) (2-ethylhexyl) amine , N, N-bis (3-aminopropyl) -n-octylamine, N, N-bis (3-aminopropyl) decylamine, N, N-bis (3-aminopropyl) (2-propylheptyl) amine, N, N-bis (3-aminopropyl) dodecylamine, N, N-bis (3-aminopropyl) - (coconut alkyl) amine, N, N-bis (3-aminopropyl) tetradecylamine, N, N-bis (3-aminopropyl) hexadecylamine, N, N-bis (3-aminopropyl) stearylamine, N, N-bis (3-aminopropyl) (rapeseed alkyl) amine, N, N-bis (3-aminopropi l) (butyric alkyl) amine, N, N-bis (3-aminopropyl) (soybean alkyl) amine, N, N-bis (3-aminopropyl) oleylamine and N, N-bis (3-aminopropyl) erucylamine.
Примерами (жирный алкил)эфирполиаминов, которые могут использоваться в качестве исходных веществ для соединений формулы III, являются N-[3-(н-октилокси)пропил]-N,N-бис(3-аминопропил)амин, N-[3-(н-додецилокси)пропил]-N,N-бис(3-аминопропил)амин, N-[3-(тридецилокси)пропил]-N,N-бис(3-аминопропил)амин, N-[3-[(масляный алкил)окси)]пропил]-N,N-бис(3-аминопропил)амин и N-[3-(октадеценилокси)пропил]-N,N-бис(3-аминопропил)амин.Examples of (fatty alkyl) ether polyamines that can be used as starting materials for compounds of formula III are N- [3- (n-octyloxy) propyl] -N, N-bis (3-aminopropyl) amine, N- [3- (n-dodecyloxy) propyl] -N, N-bis (3-aminopropyl) amine, N- [3- (tridecyloxy) propyl] -N, N-bis (3-aminopropyl) amine, N- [3 - [( butyric alkyl) oxy)] propyl] -N, N-bis (3-aminopropyl) amine and N- [3- (octadecenyloxy) propyl] -N, N-bis (3-aminopropyl) amine.
Реакция ацилирования может быть осуществлена кислотой, кислотным ангидридом или ацилхлоридом. Реакцию ацилирования наиболее удобно осуществлять с уксусным ангидридом, но также и, например, могут использоваться уксусная кислота или хлорид ацетила. Реакции этоксилирования и пропоксилирования известны из уровня техники. Обычно все первичные и вторичные группы амина являются алкоксилированными на первой стадии в отсутствие любого катализатора, для получения аминогрупп, которые полностью замещены гидроксиалкильными группами, т.е. обычно на атомах азота не остается никаких водородов. Если далее добавляют оксид алкилена, обычно используют гидроксид щелочного металла в качестве катализатора, предпочтительно KOH. Однако выбор катализатора не является критическим и есть много катализаторов, известных специалисту в данной области техники, которые могут одинаково хорошо использоваться. Везде в описании, когда обсуждают степень алкоксилирования, упомянутые числа являются средними числами молей.The acylation reaction may be carried out with an acid, acid anhydride or acyl chloride. The acylation reaction is most conveniently carried out with acetic anhydride, but also, for example, acetic acid or acetyl chloride can be used. Ethoxylation and propoxylation reactions are known in the art. Typically, all primary and secondary amine groups are alkoxylated in the first step in the absence of any catalyst to produce amino groups which are completely substituted with hydroxyalkyl groups, i.e. usually no hydrogen remains on the nitrogen atoms. If alkylene oxide is further added, alkali metal hydroxide is usually used as a catalyst, preferably KOH. However, the choice of catalyst is not critical and there are many catalysts known to those skilled in the art that can be equally well used. Everywhere in the description, when discussing the degree of alkoxylation, the numbers mentioned are the average numbers of moles.
Настоящее изобретение также относится к способу ингибирования агломерации газовых гидратов в трубопроводе, где трубопровод содержит текучую смесь, содержащую углеводороды с 1-4 атомами углерода, и воду и где гидраты сформированы из углеводородов и воды, способ включает стадии:The present invention also relates to a method for inhibiting agglomeration of gas hydrates in a pipeline, where the pipeline contains a fluid mixture containing hydrocarbons with 1-4 carbon atoms, and water, and where the hydrates are formed from hydrocarbons and water, the method includes the steps of:
a) добавление в смесь противоагломерата, определенного в формулах IA, IB, IC, II и III, в количестве, которое является эффективным для ингибирования агломерации гидратов при превалирующей температуре и давлении в трубопроводах;a) adding to the mixture the anti-agglomerate defined in formulas IA, IB, IC, II and III, in an amount that is effective for inhibiting hydrate agglomeration at the prevailing temperature and pressure in the pipelines;
b) течение смеси, содержащей противоагломерат через трубопровод.b) the flow of the mixture containing the anti-agglomerate through the pipeline.
Концентрации противоагломератов составляют по меньшей мере 0,05%, предпочтительно по меньшей мере 0,5% масс. водной фазы, и самое большее 10%, предпочтительно самое большее 5% и наиболее предпочтительно самое большее 3% масс. водной фазы. Точное количество противоагломерата, который используется, зависит, среди прочего, от структуры противоагломерата, качества воды, применяемого давления и фактического состава газа и/или нефти. Противоагломераты изобретения в дополнение к их диспергирующей способности также имеют другие полезные свойства, такие как способность ингибировать коррозию. Противоагломераты предпочтительно добавляют в устье скважины в композицию, которая может также содержать другие ингибиторы коррозии и ингибиторы образования отложений парафинов в трубах. Такая композиция соответственно содержитThe concentration of anti-agglomerates is at least 0.05%, preferably at least 0.5% of the mass. aqueous phase, and at most 10%, preferably at most 5% and most preferably at most 3% of the mass. water phase. The exact amount of anti-agglomerate that is used depends, inter alia, on the structure of the anti-agglomerate, the quality of the water, the pressure used and the actual composition of the gas and / or oil. The anti-agglomerates of the invention in addition to their dispersing ability also have other beneficial properties, such as the ability to inhibit corrosion. The anti-agglomerates are preferably added at the wellhead to the composition, which may also contain other corrosion inhibitors and paraffin scale inhibitors in the pipes. Such a composition accordingly contains
a) 1 массовую часть противоагломерата газового гидрата определенного в формулах IA, IB, IC, II и III, иa) 1 part by mass of a gas hydrate anti-agglomerate as defined in formulas IA, IB, IC, II and III, and
b) 0,0001-0,1, предпочтительно 0,001-0,05 массовых частей ингибитора коррозии и/или ингибитора образования отложений парафинов в трубах.b) 0.0001-0.1, preferably 0.001-0.05 parts by weight of a corrosion inhibitor and / or a paraffin scale inhibitor in pipes.
В заключительном осуществлении изобретения используют настоящий противоагломерат в комбинации с другими соединениями, которые используют в композициях, где газовые гидраты потенциально формируются, такие как ингибиторы коррозии и другие добавки. Примерами подходящих ингибиторов коррозии являются масляные амины, N-(масляный алкил)триметилендиамины, имидазолины и четвертичные амины, и примерами подходящих ингибиторов образования отложений парафинов в трубах являются спиртовые эфиры альфа-олефин малеиновый ангидрид сополимеры, этиленвинилацетат сополимеры, и спиртовые эфиры полиакриловой кислоты. Другими добавками, которые могут присутствовать в композициях, являются депрессоры пены, такие как содержащие кремний соединения, гликоли и полигликоли, кинетические ингибиторы, такие как полимеры или сополимеры N-винил-2-пирролидона, описанные в WO 1993/025798, биоциды, металлкомплексанты, такие как лимонная кислота, солюбилизирующие агенты, и добавки для стабилизации дисперсии, а также другие дисперсанты.In the final embodiment of the invention, the present anti-agglomerate is used in combination with other compounds that are used in compositions where gas hydrates are potentially formed, such as corrosion inhibitors and other additives. Examples of suitable corrosion inhibitors are oil amines, N- (oil alkyl) trimethylenediamines, imidazolines and quaternary amines, and examples of suitable paraffin scale inhibitors in pipes are alcohol esters of alpha-olefin maleic anhydride copolymers, ethylene vinyl acetate copolymers, and alcohol ethers. Other additives that may be present in the compositions are foam depressants, such as those containing silicon compounds, glycols and polyglycols, kinetic inhibitors, such as the polymers or copolymers of N-vinyl-2-pyrrolidone described in WO 1993/025798, biocides, metal complexes, such as citric acid, solubilizing agents, and dispersion stabilizing additives, as well as other dispersants.
Следующие осуществления иллюстрируют изобретение и не должны быть рассмотрены как ограничивающие его возможности.The following embodiments illustrate the invention and should not be construed as limiting.
ПРИМЕРЫEXAMPLES
ОбщийGeneral
Техника, используемая для оценки противоагломератов, подробно описана в "New Technique for Evaluating Antiagglomerate Gas-Hydrate Inhibitors in Oilfield Applications", SPE 93075, 2005 SPE International Symposium on Oilfield Chemistry, Houston, TX, Feb. 2-4.The technique used to evaluate anti-agglomerates is described in detail in New Technique for Evaluating Antiagglomerate Gas-Hydrate Inhibitors in Oilfield Applications, SPE 93075, 2005 SPE International Symposium on Oilfield Chemistry, Houston, TX, Feb. 2-4.
Основа: Полная многосекционная система состоит из сосуда высокого давления, содержащего многосекционную тестовую единицу, охлаждающую единицу, мешалку с электроприводом, единицу датчика интерфейса и компьютерную систему. Сосуд высокого давления связан с двумя газовыми баллонами, содержащими сжатый углеводородный газ (87,9% метана, 7,7% этана, 3,1% пропана и 1,3% изобутана) и азот. Таким образом, в экспериментальном пробеге каждая испытательная ячейка будет подвергнута той же самой газовой смеси, температуре и давлению. Каждая ячейка имеет магнитную брусковую мешалку, и вращение мешалки проверяют и регистрируют датчиком. Когда газовые кристаллы гидрата в ячейке сформированы, произойдет изменение в вязкости или поведении потока и произойдет изменение в задержке бруска мешалки. Каждый раз, когда магнитный брусок проходит определенную точку, регистрируют оптический импульс. Задержку измеряют как различие между положением более низких магнитов двигателя и мешалки в ячейке. Когда вязкость становится слишком высокой, что имеет место, когда сформированы большие агрегаты газовых гидратов, магнитная мешалка или полностью остановится, в этом случае сигнал будет нулем или начнет "проскакивать", что создаст непостоянный/случайный сигнал, и это будет показано в регистрационной графе. Basis : A complete multi-section system consists of a pressure vessel containing a multi-section test unit, a cooling unit, an electric stirrer, an interface sensor unit and a computer system. The pressure vessel is connected to two gas cylinders containing compressed hydrocarbon gas (87.9% methane, 7.7% ethane, 3.1% propane and 1.3% isobutane) and nitrogen. Thus, in an experimental run, each test cell will be subjected to the same gas mixture, temperature and pressure. Each cell has a magnetic wheeled mixer, and the rotation of the mixer is checked and recorded by a sensor. When gas hydrate crystals in the cell are formed, a change in viscosity or flow behavior will occur and a change in the delay of the agitator bar will occur. Each time a magnetic bar passes a certain point, an optical pulse is recorded. The delay is measured as the difference between the position of the lower motor magnets and the agitator in the cell. When the viscosity becomes too high, which is the case when large aggregates of gas hydrates are formed, the magnetic stirrer will either completely stop, in which case the signal will be zero or will begin to “slip”, which will create an intermittent / random signal, and this will be shown in the registration graph.
Каждая ячейка также оборудована температурным датчиком.Each cell is also equipped with a temperature sensor.
В таблицах примеров 1 и 2 ниже использовались следующие примечания.The following notes were used in the tables of examples 1 and 2 below.
ЕО = этиленокси единица,EO = ethyleneoxy unit,
РО = пропиленокси единица,PO = propyleneoxy unit,
0 = соединение не работает в качестве противоагломерата,0 = the compound does not work as an anti-agglomerate,
1 = соединение первоначально работает как противоагломерат, но не в течение всего испытания,1 = the compound initially works as an anti-agglomerate, but not throughout the test,
2 = соединение работает в качестве противоагломерата в течение всего испытания (для примечаний 0, 1, и 2, см. дальнейшие объяснения в примере 2),2 = the compound acts as an anti-agglomerate throughout the test (for notes 0, 1, and 2, see further explanations in Example 2),
- = испытание не выполнено.- = test failed.
Пример 1Example 1
В таблице 1 собраны результаты из многосекционного скрининга некоторых противоагломератов.Table 1 summarizes the results from multi-sectional screening of some anti-agglomerates.
Ячейки загружены 1 мл смеси вода/ингибитор и 2,5 мл конденсата Sleipner (= сырая нефть, полученная из Sleipner месторождения нефти Statoil). Азот сначала применяют для удаления большей части воздуха и затем впускают углеводородный газ до тех пор, пока не достигнут постоянного давления 100 бар.The cells are loaded with 1 ml of a water / inhibitor mixture and 2.5 ml of Sleipner condensate (= crude oil obtained from the Sleipner Statoil oil field). Nitrogen is first used to remove most of the air and then hydrocarbon gas is admitted until a constant pressure of 100 bar is reached.
В течение всего испытания смеси непрерывно перемешивались при 120 об/мин. Температура была сначала понижена от приблизительно 20 до 4°C приблизительно через 1,5 часа, затем поддержана при 4°C в течение приблизительно двух часов и, наконец, повторно повышена снова до 20°C приблизительно через 1,5 часа. Когда мешалка работает все время, считается, что соединение хорошо работает как противоагломерат, тогда как если брусок мешалки останавливается, считается, что соединение не работает как противоагломерат при преобладающих условиях. Испытания были выполнены и в морской воде, и в пресной воде, и при различных концентрациях противоагломератов.Throughout the test, the mixtures were continuously mixed at 120 rpm. The temperature was first lowered from about 20 to 4 ° C after about 1.5 hours, then maintained at 4 ° C for about two hours and finally re-raised again to 20 ° C after about 1.5 hours. When the stirrer is operating all the time, it is believed that the joint works well as an anti-agglomerate, whereas if the bar of the stirrer stops, it is considered that the joint does not work as an anti-agglomerate under prevailing conditions. Tests were performed in sea water, and in fresh water, and at various concentrations of anti-agglomerates.
Испытания многосекционного скрининга Table 1
Multisection Screening Tests
Продукты согласно изобретению являются по меньшей мере хорошими или лучшими противоагломератами в скрининговом испытании, чем ссылки A, B, C и D, и в то же время биоразлагаемы более легко, чем A. Отметим также, что ссылки B и C, которые являются (кокосовый алкил)аминэтоксилатами, в этом испытании не являются эффективными в качестве противоагломератов для газовых гидратов, тогда как продукт 3, который является (кокосовый алкил)амином, который сначала был этоксилирован и затем пропоксилирован, работает превосходно как противоагломерат.Products according to the invention are at least good or better anti-agglomerates in a screening test than links A, B, C and D, and at the same time are biodegradable more easily than A. Note also that links B and C, which are (coconut alkyl) aminethoxylates in this test are not effective as anti-agglomerates for gas hydrates, while product 3, which is a (coconut alkyl) amine that was first ethoxylated and then propoxylated, works perfectly as an anti-agglomerate.
Пример 2Example 2
В таблице 2 собраны результаты некоторых противоагломератов из многосекционного режима закрытой скважины и повторного запуска. Это испытание является более испытывающим, чем испытание в примере 1.Table 2 summarizes the results of some anti-agglomerates from the multi-sectional regime of a closed well and restart . This test is more testing than the test in example 1.
Ячейки загружены таким же образом, как выше, но углеводородный газ впускают до тех пор, пока не достигнут постоянного установленного давления.The cells are loaded in the same manner as above, but hydrocarbon gas is admitted until a constant set pressure is reached.
В этом эксперименте испытательные ячейки перемешивали при 120 об./мин в течение одного часа при 20°C и установленном давлении. Перемешивание затем было остановлено и автоклав охлажден до 4°C приблизительно через 1,5 часа. Ячейки поддерживали при 4°C в течение минимум двенадцати часов прежде, чем движущиеся магниты были повторно запущены при 120 об/мин. Их поддерживали работающими в течение приблизительно двух часов при 4°C прежде, чем ячейки были повторно нагреты до 20°C приблизительно через 1,5 часа.In this experiment, the test cells were mixed at 120 rpm for one hour at 20 ° C and set pressure. Stirring was then stopped and the autoclave cooled to 4 ° C after about 1.5 hours. The cells were maintained at 4 ° C for a minimum of twelve hours before the moving magnets were restarted at 120 rpm. They were maintained working for about two hours at 4 ° C before the cells were reheated to 20 ° C after about 1.5 hours.
Тогда могли наблюдаться три различных события:Then three different events could be observed:
- Перемешивание не начиналось вообще до тех, пока температура не была увеличена так сильно, чтобы газовый гидрат плавился, что обычно происходило при приблизительно 15°C.- Mixing did not start at all until the temperature was increased so much that the gas hydrate melted, which usually happened at about 15 ° C.
Это отмечено как 0 в таблицах.This is marked as 0 in the tables.
- Перемешивание начиналось, но останавливалось снова после короткого периода. Это отмечено как 1 в таблицах.- Mixing began, but stopped again after a short period. This is marked as 1 in the tables.
- Перемешивание начиналось и продолжало работать непрерывно. Это отмечено как 2 в таблицах. - Mixing began and continued to work continuously. This is marked as 2 in the tables.
Испытания многосекционного режима закрытой скважины table 2
Testing the multi-sectional regime of a closed well
**Измерено при 100 барах.* The logP ow values in Tables 1 and 2 were calculated using models from the US EPA Office of Pollutions Prevention and Toxics and the Syracuse Research Corporation (US EPA (United States Environmental Protection Agency). 2004. Estimation Program Interface (EPI) Suite (EPISuite ™) Version 3.12, August 17, 2004).
** Measured at 100 bar.
Противоагломераты согласно изобретению имеют существенный противоагломератный эффект в морской, солоноватой и/или пресной воде и в то же самое время являются более легко биоразлагаемыми.The anti-agglomerates according to the invention have a significant anti-agglomerate effect in sea, brackish and / or fresh water and at the same time are more easily biodegradable.
Claims (9)
где R является С6-С24 гидрокарбильной группой; m равно 2 или 3; а=0-4; b является по меньшей мере 1 в каждом положении; Σb в среднем является 2-12; с равно 0 или 1; d в среднем является 0-5; каждое А независимо выбирают из Н, -С(=O)СН3, -С(=O)СН2СН3, C1-С3алкильных групп, -[СН2СН(Х)O]еН и -[CH2CH(Х)O]е-C-(=О)СН3, где Х является -СН3 или -СН2СН3, е является 1-3 и сумма всех е в молекуле составляет самое большее 6 в среднем; при условии, что по меньшей мере одну из групп А выбирают из группы, состоящей из -[СН2СН(Х)O]еН, -CH2CH(X)O]e-С(=O)СН3, -С(=O)СН3 и -С(=O)СН2СН3;
где В независимо выбирают из -[СН2СН(Х)O]еН, -[СН2СН(Х)O]е-С(=O)СН3 или Н; каждое D независимо выбирают из группы, состоящей из Н, гидрокарбильной группы с 1-24 атомами углерода, -[СН2СН(Х)O]еН, -[СН2СН(Х)O]е-С(=O)СН3; и R, m, а, с, е, Σе и Х определены как для IA;
при условии, что по меньшей мере одна из групп D или группа В является
-[СН2СН(Х)O]еН или -[СН2СН(Х)O]е-С(=O)СН3;
и при условии, что когда все D и В являются группой -[СН2СН(Х)O]еН, с=0, m=3 и а=1-4, тогда logPow, где Pow является коэффициентом распределения октанол - вода, для молекулы равен самое большее 3;
где R имеет значение, как в IA, предпочтительно R является гидрокарбильной группой с 8-22 и наиболее предпочтительно 8-18 атомами углерода, m равно 2 или 3, предпочтительно 3, а=0-4, предпочтительно 0-3 и наиболее предпочтительно 1, Е является C1-С3алкилом, -С(=O)СН3 или -С(=O)СН2СН3 и F является -С(=О)СН3 или -С(O)СН2СН3;
где R'C(=O)- является ацильной группой с 6-24 атомами углерода; о=0-3, р=0-3, Σ(о+р) в среднем составляет 0-6; m равно 2 или 3, и каждое А независимо выбирают из Н,
-[СН2СН(Х)O]еН, -[СН2СН(Х)O]е-С(=O)СН3, -С(=O)СН3, -С(=O)СН2СН3 и С1-С3алкильных групп; при условии, что по меньшей мере одна из групп А является
-[СН2СН(Х)O]еН, -[СН2СН(Х)O]е-С(=O)СН3, -С(=O)СН3 или -С(=O)СН2СН3, где X, е и Σе имеют значение, как для IA; и
где r и s независимо равны 0-2 при условии, что Σr+s=0-2; j равно 0 или 1, при условии, что когда j=1, тогда с=0 и R''=R' и когда j=0, тогда R''=R; и при условии, что по меньшей мере одну из групп А выбирают из группы, состоящей из
-[СН2СН(Х)O]еН, -[СН2СН(Х)O]е-С(=O)СН3, -С(=O)СН3 и -С(=O)СН2СН3, где X, е и Σe имеют значение, как для IA; R, с, d, b, Σb, m и А определены как для IA и R'C(=O)- определено как для (II);
или соли любого из соединений IA, IB, IC, II или III или любой их комбинации; в качестве противоагломератов для газовых гидратов.1. The use of a surface-active non-quaternary nitrogen-containing compound selected from the group of compounds having the following general formulas IA, IB, IC, II and III, i.e.
where R is a C 6 -C 24 hydrocarbyl group; m is 2 or 3; a = 0-4; b is at least 1 in each position; Σb on average is 2-12; c is 0 or 1; d is on average 0-5; each A is independently selected from H, —C (═O) CH 3 , —C (= O) CH 2 CH 3 , C 1 -C 3 alkyl groups, - [CH 2 CH (X) O] e H and - [ CH 2 CH (X) O] e -C - (= O) CH 3 , where X is —CH 3 or —CH 2 CH 3 , e is 1-3 and the sum of all e in the molecule is at most 6 on average; provided that at least one of the groups A is selected from the group consisting of - [CH 2 CH (X) O] e H, —CH 2 CH (X) O] e —C (= O) CH 3 , - C (= O) CH 3 and —C (= O) CH 2 CH 3 ;
where B is independently selected from - [CH 2 CH (X) O] e H, - [CH 2 CH (X) O] e -C (= O) CH 3 or H; each D is independently selected from the group consisting of H, a hydrocarbyl group with 1-24 carbon atoms, - [CH 2 CH (X) O] e H, - [CH 2 CH (X) O] e -C (= O) CH 3 ; and R, m, a, c, e, Σe and X are defined as for IA;
provided that at least one of the groups D or group B is
- [CH 2 CH (X) O] e H or - [CH 2 CH (X) O] e -C (= O) CH 3 ;
and provided that when all D and B are a group - [CH 2 CH (X) O] e H, c = 0, m = 3 and a = 1-4, then logP ow , where P ow is the octanol distribution coefficient - water, for a molecule is at most 3;
where R has the same meaning as in IA, preferably R is a hydrocarbyl group with 8-22 and most preferably 8-18 carbon atoms, m is 2 or 3, preferably 3, a = 0-4, preferably 0-3 and most preferably 1 , E is C 1 -C 3 alkyl, —C (= O) CH 3 or —C (= O) CH 2 CH 3, and F is —C (= O) CH 3 or —C (O) CH 2 CH 3 ;
where R'C (= O) - is an acyl group with 6-24 carbon atoms; o = 0-3, p = 0-3, Σ (o + p) averages 0-6; m is 2 or 3, and each A is independently selected from H,
- [CH 2 CH (X) O] e H, - [CH 2 CH (X) O] e -C (= O) CH 3 , -C (= O) CH 3 , -C (= O) CH 2 CH 3 and C 1 -C 3 alkyl groups; provided that at least one of the groups A is
- [CH 2 CH (X) O] e H, - [CH 2 CH (X) O] e -C (= O) CH 3 , -C (= O) CH 3 or -C (= O) CH 2 CH 3 , where X, e and Σе matter, as for IA; and
where r and s are independently 0-2 provided that Σr + s = 0-2; j is 0 or 1, provided that when j = 1, then c = 0 and R '' = R 'and when j = 0, then R''=R; and provided that at least one of the groups A is selected from the group consisting of
- [CH 2 CH (X) O] e H, - [CH 2 CH (X) O] e -C (= O) CH 3 , -C (= O) CH 3 and -C (= O) CH 2 CH 3 , where X, e and Σe matter, as for IA; R, c, d, b, Σb, m and A are defined as for IA and R'C (= O) - defined as for (II);
or salts of any of compounds IA, IB, IC, II or III, or any combination thereof; as anti-agglomerates for gas hydrates.
где n является по меньшей мере 1 в каждом положении и Σn в среднем является 2-4, m равно 2 или 3, R(C=O)- и А определены как для II, за исключением того, что Х является -СН3, при условии, что по меньшей мере одно из А является
-[СН2СН(СН3)O]еН, -[СН2СН(СН3)O]е-С(=O)СН3 или -С(=O)СН3, где е и Σе определены как для II;
IIB имеет формулу
где m равно 2 или 3; R(C=O)- и А определены как для II, за исключением того, что Х является -СН3, при условии, что по меньшей мере одно из А является
-[СН2СН(СН3)O]еН, -[СН2СН(СН3)O]е-С(=O)СН3 или -С(=O)СН3, где е и Σе определены как для II;
и IIIA имеет формулу
где r и s независимо равны 0-1; R, b, Σb, m и А определены как для IA, за исключением того, что Х является -СН3, при условии, что по меньшей мере одно из А является -[СН2СН(СН3)O]еН, -[CH2CH(СН3)O]e-С(=O)СН3 или -С(=O)СН3, где е и Σе определены как для IA; или соли любого из соединений IA, IB, IC, IIA, IIB или IIIA или любой их комбинации.2. The use of a surface-active non-quaternary nitrogen-containing compound according to claim 1, selected from the group of compounds having the general formulas IA, IB, IC, IIA, IIB, IIIA, where IA, IB and IC are defined as in claim 1, IIA has the formula
where n is at least 1 in each position and Σn is on average 2-4, m is 2 or 3, R (C = O) - and A are defined as for II, except that X is —CH 3 , provided that at least one of A is
- [CH 2 CH (CH 3 ) O] e H, - [CH 2 CH (CH 3 ) O] e -C (= O) CH 3 or -C (= O) CH 3 , where e and Σе are defined as for II;
IIB has the formula
where m is 2 or 3; R (C = O) - and A are defined as for II, except that X is —CH 3 , provided that at least one of A is
- [CH 2 CH (CH 3 ) O] e H, - [CH 2 CH (CH 3 ) O] e -C (= O) CH 3 or -C (= O) CH 3 , where e and Σе are defined as for II;
and IIIA has the formula
where r and s are independently 0-1; R, b, Σb, m and A are defined as for IA, except that X is —CH 3 , provided that at least one of A is - [CH 2 CH (CH 3 ) O] e H, - [CH 2 CH (CH 3 ) O] e -C (= O) CH 3 or -C (= O) CH 3 , where e and Σе are defined as for IA; or salts of any of compounds IA, IB, IC, IIA, IIB or IIIA, or any combination thereof.
a) добавление в смесь противоагломерата, как определено в любом из предыдущих пунктов, в количестве 0,05-10%, предпочтительно 0,5-5% и наиболее предпочтительно 0,5-3 мас.%, основанных на содержании воды смеси углеводород/вода,
b) течение смеси, содержащей противоагломерат, через трубопровод.7. A method of inhibiting agglomeration of gas hydrates in a pipeline, where the pipeline contains a fluid mixture containing hydrocarbons with 1-4 carbon atoms and water, and where hydrates are formed from hydrocarbons and water; the method includes the steps of:
a) adding to the mixture an anti-agglomerate, as defined in any of the preceding paragraphs, in an amount of 0.05-10%, preferably 0.5-5% and most preferably 0.5-3 wt.%, based on the water content of the hydrocarbon mixture water,
b) the flow of the mixture containing the anti-agglomerate through the pipeline.
a) 1 мас.ч. противоагломерата газового гидрата, определенного в пп.1-6, и
b) 0,0001-0,1 мас.ч. ингибитора коррозии и/или ингибитора образования отложений парафина. 9. A composition comprising
a) 1 parts by weight anti-agglomerate gas hydrate as defined in claims 1-6, and
b) 0.0001-0.1 parts by weight corrosion inhibitor and / or paraffin scale inhibitor.
Applications Claiming Priority (4)
| Application Number | Priority Date | Filing Date | Title |
|---|---|---|---|
| EP06111496 | 2006-03-21 | ||
| EP06111496.3 | 2006-03-21 | ||
| US83899206P | 2006-08-21 | 2006-08-21 | |
| US60/838,992 | 2006-08-21 |
Publications (2)
| Publication Number | Publication Date |
|---|---|
| RU2008141702A RU2008141702A (en) | 2010-04-27 |
| RU2439120C2 true RU2439120C2 (en) | 2012-01-10 |
Family
ID=36695037
Family Applications (1)
| Application Number | Title | Priority Date | Filing Date |
|---|---|---|---|
| RU2008141702/03A RU2439120C2 (en) | 2006-03-21 | 2007-03-16 | Additive for preserving fluidity of fluids containing gaseous hydrates |
Country Status (7)
| Country | Link |
|---|---|
| CN (1) | CN101405364B (en) |
| AR (1) | AR059994A1 (en) |
| BR (1) | BRPI0708852B1 (en) |
| CA (2) | CA2832450C (en) |
| DK (1) | DK1996669T3 (en) |
| MY (1) | MY153425A (en) |
| RU (1) | RU2439120C2 (en) |
Families Citing this family (7)
| Publication number | Priority date | Publication date | Assignee | Title |
|---|---|---|---|---|
| US8618025B2 (en) * | 2010-12-16 | 2013-12-31 | Nalco Company | Composition and method for reducing hydrate agglomeration |
| BR112013021905A2 (en) * | 2011-09-26 | 2016-11-01 | Multi Chem Group Llc | hydrate anti-caking inhibitor composition, and method for applying an anti-caking hydrate inhibiting composition to a hydrocarbon stream |
| CN102784604A (en) * | 2012-07-24 | 2012-11-21 | 华南理工大学 | Promoter for generation of gas hydrate, and preparation method and application thereof |
| CN108587590A (en) * | 2013-06-14 | 2018-09-28 | 弗洛泰克化学有限责任公司 | For stimulating the method and composition for producing hydro carbons from subsurface formations |
| CN114806528B (en) * | 2022-05-12 | 2023-07-11 | 中国石油大学(华东) | Low-dosage PKO-containing compound double-effect hydrate inhibitor and preparation method and application thereof |
| CN117343714B (en) * | 2022-06-27 | 2025-11-25 | 中国石油化工股份有限公司 | A foaming agent composition, a viscoelastic foam system for acid gas switching, and methods and applications for enhancing oil recovery using the same. |
| CN116200179B (en) * | 2023-02-17 | 2024-05-28 | 广东海洋大学 | A surfactant preparation for reducing sulfate-reducing bacterial corrosion |
Citations (6)
| Publication number | Priority date | Publication date | Assignee | Title |
|---|---|---|---|---|
| US4915176A (en) * | 1987-12-30 | 1990-04-10 | Institut Francais Du Petrole | Method of transporting a hydrate forming fluid |
| US4973775A (en) * | 1987-12-30 | 1990-11-27 | Institut Francais Du Petrole | Process for delaying the formation and/or reducing the agglomeration tendency of hydrates |
| WO1993025798A1 (en) * | 1992-06-11 | 1993-12-23 | Shell Internationale Research Maatschappij B.V. | A method for inhibiting gas hydrate formation |
| WO1996034117A1 (en) * | 1995-04-28 | 1996-10-31 | THE GOVERNMENT OF THE UNITED STATES OF AMERICA, represented by THE SECRETARY, DEPARTMENT OF HEALT | Diagnostic methods and gene therapy using reagents derived from the human metastasis suppressor gene kai1 |
| RU2135742C1 (en) * | 1997-12-11 | 1999-08-27 | Ооо "Олдтаймер" | Composition for preventing hydrate-paraffin deposits |
| US6331508B1 (en) * | 1995-10-13 | 2001-12-18 | Bj Service Company, U.S.A. | Method for controlling gas hydrates in fluid mixtures |
Family Cites Families (4)
| Publication number | Priority date | Publication date | Assignee | Title |
|---|---|---|---|---|
| US5244878A (en) * | 1987-12-30 | 1993-09-14 | Institut Francais Du Petrole | Process for delaying the formation and/or reducing the agglomeration tendency of hydrates |
| US6015852A (en) * | 1997-11-12 | 2000-01-18 | Air Products And Chemicals, Inc. | Surface tension reduction with alkylated higher polyamines |
| ATE377642T1 (en) * | 2000-04-07 | 2007-11-15 | Shell Int Research | METHOD FOR INHIBITING CLOGGING OF TUBE BY GAS HYDRATES |
| US6924315B2 (en) * | 2003-03-13 | 2005-08-02 | Air Products And Chemicals, Inc. | Gemini glycidyl ether adducts of polyhydroxyalkyl alkylenediamines |
-
2007
- 2007-03-16 RU RU2008141702/03A patent/RU2439120C2/en not_active IP Right Cessation
- 2007-03-16 CA CA2832450A patent/CA2832450C/en not_active Expired - Fee Related
- 2007-03-16 CN CN200780009886.4A patent/CN101405364B/en not_active Expired - Fee Related
- 2007-03-16 CA CA2832452A patent/CA2832452C/en not_active Expired - Fee Related
- 2007-03-16 DK DK07726969.4T patent/DK1996669T3/en active
- 2007-03-16 BR BRPI0708852-3A patent/BRPI0708852B1/en not_active IP Right Cessation
- 2007-03-16 MY MYPI20083664A patent/MY153425A/en unknown
- 2007-03-20 AR ARP070101138A patent/AR059994A1/en active IP Right Grant
Patent Citations (7)
| Publication number | Priority date | Publication date | Assignee | Title |
|---|---|---|---|---|
| US4915176A (en) * | 1987-12-30 | 1990-04-10 | Institut Francais Du Petrole | Method of transporting a hydrate forming fluid |
| US4973775A (en) * | 1987-12-30 | 1990-11-27 | Institut Francais Du Petrole | Process for delaying the formation and/or reducing the agglomeration tendency of hydrates |
| US4915176B1 (en) * | 1987-12-30 | 1998-06-23 | Inst Francais Du Petrole | Method of transporting a hydrate forming fluid |
| WO1993025798A1 (en) * | 1992-06-11 | 1993-12-23 | Shell Internationale Research Maatschappij B.V. | A method for inhibiting gas hydrate formation |
| WO1996034117A1 (en) * | 1995-04-28 | 1996-10-31 | THE GOVERNMENT OF THE UNITED STATES OF AMERICA, represented by THE SECRETARY, DEPARTMENT OF HEALT | Diagnostic methods and gene therapy using reagents derived from the human metastasis suppressor gene kai1 |
| US6331508B1 (en) * | 1995-10-13 | 2001-12-18 | Bj Service Company, U.S.A. | Method for controlling gas hydrates in fluid mixtures |
| RU2135742C1 (en) * | 1997-12-11 | 1999-08-27 | Ооо "Олдтаймер" | Composition for preventing hydrate-paraffin deposits |
Also Published As
| Publication number | Publication date |
|---|---|
| CA2832450C (en) | 2014-11-25 |
| MY153425A (en) | 2015-02-13 |
| BRPI0708852A2 (en) | 2011-06-14 |
| CA2832450A1 (en) | 2007-09-27 |
| BRPI0708852B1 (en) | 2017-11-28 |
| CN101405364B (en) | 2014-04-30 |
| CN101405364A (en) | 2009-04-08 |
| DK1996669T3 (en) | 2013-01-14 |
| RU2008141702A (en) | 2010-04-27 |
| AR059994A1 (en) | 2008-05-14 |
| CA2832452C (en) | 2014-11-18 |
| CA2832452A1 (en) | 2007-09-27 |
Similar Documents
| Publication | Publication Date | Title |
|---|---|---|
| EP1996669B1 (en) | Additive for preserving the fluidity of fluids containing gas hydrates | |
| RU2439120C2 (en) | Additive for preserving fluidity of fluids containing gaseous hydrates | |
| RU2562974C2 (en) | Composition and method of reducing agglomeration of hydrates | |
| JPH01231935A (en) | Method for delaying formation of hydrate or reducing gathering tendency thereof | |
| WO1996008636A1 (en) | Surface active agents as gas hydrate inhibitors | |
| EP3294843B1 (en) | Nitrogen-containing anti-agglomerants for preserving the fluidity of fluids containing gas hydrates | |
| WO2003054251A2 (en) | Nitrogen-containing compounds as corrosion inhibitors | |
| WO2021115973A1 (en) | Synergistic blends of anti-agglomerant gas hydrate inhibitors with n-alkanoyl-polyhydroxyalkylamines | |
| WO2004111161A1 (en) | Gas hydrate inhibitors | |
| ES2920701T3 (en) | Diamidoammonium salts of asymmetrically substituted dicarboxylic acids and their use for the anti-agglomeration of gas hydrates | |
| NO20191199A1 (en) | Method for inhibiting the agglomeration of gas hydrates | |
| MXPA06004614A (en) | Amine-based gas hydrate inhibitors |
Legal Events
| Date | Code | Title | Description |
|---|---|---|---|
| PC41 | Official registration of the transfer of exclusive right |
Effective date: 20180314 |
|
| MM4A | The patent is invalid due to non-payment of fees |
Effective date: 20200317 |





















