RU2392736C1 - Method for generation and authentication of electronic digital signature that verifies electronic document - Google Patents
Method for generation and authentication of electronic digital signature that verifies electronic document Download PDFInfo
- Publication number
- RU2392736C1 RU2392736C1 RU2008140403/09A RU2008140403A RU2392736C1 RU 2392736 C1 RU2392736 C1 RU 2392736C1 RU 2008140403/09 A RU2008140403/09 A RU 2008140403/09A RU 2008140403 A RU2008140403 A RU 2008140403A RU 2392736 C1 RU2392736 C1 RU 2392736C1
- Authority
- RU
- Russia
- Prior art keywords
- field
- vector
- finite
- vectors
- polynomials
- Prior art date
Links
Landscapes
- Image Analysis (AREA)
- Complex Calculations (AREA)
Abstract
Description
Изобретение относится к области электросвязи и вычислительной техники, а конкретнее к области криптографических способов аутентификации электронных сообщений, передаваемых по телекоммуникационным сетям и сетям ЭВМ, и может быть использовано в системах передачи электронных сообщений (документов), заверенных электронной цифровой подписью (ЭЦП), представленной в виде битовой строки (БС) или нескольких БС. Здесь и далее под БС понимается электромагнитный сигнал в двоичной цифровой форме, параметрами которого являются: число битов и порядок следования их единичных и нулевых значений.The invention relates to the field of telecommunications and computer technology, and more particularly to the field of cryptographic authentication methods for electronic messages transmitted over telecommunication networks and computer networks, and can be used in electronic message systems (documents) certified by electronic digital signature (EDS) presented in as a bit string (BS) or several BSs. Hereinafter, BS refers to an electromagnetic signal in binary digital form, the parameters of which are: the number of bits and the order of their unit and zero values.
Известен способ генерации и проверки ЭЦП, предложенный в патенте США №4405829 от 20.09.1983 и детально описанный также и в книгах [1. М.А.Иванов. Криптография. М., КУДИЦ-ОБРАЗ, 2001; 2. А.Г.Ростовцев, Е.Б.Маховенко. Введение в криптографию с открытым ключом. С-Петербург, Мир и семья, 2001. - с.43]. Известный способ заключается в следующей последовательности действий:A known method of generating and verifying EDS, proposed in US patent No. 4405829 from 09/20/1983 and described in detail also in books [1. M.A. Ivanov. Cryptography. M., KUDITS-IMAGE, 2001; 2. A.G. Rostovtsev, E.B. Makhovenko. Introduction to public key cryptography. St. Petersburg, Peace and Family, 2001. - p. 43]. The known method consists in the following sequence of actions:
формируют секретный ключ в виде трех простых многоразрядных двоичных чисел (МДЧ) p, q и d, представленных тремя БС;form a secret key in the form of three simple multi-bit binary numbers (MDC) p, q and d, represented by three BS;
формируют открытый ключ (n, е) в виде пары МДЧ n и е, где n - число, представляющее собой произведение двух простых МДЧ p и q, и е - МДЧ, удовлетворяющее условию ed=1 mod (р-1)(q-1),form a public key (n, e) in the form of a pair of MDC n and e, where n is a number representing the product of two simple MDC p and q, and e is a MDC satisfying the condition ed = 1 mod (p-1) (q- one),
принимают электронный документ (ЭД), представленный БС Н,accept an electronic document (ED) submitted by BS N,
в зависимости от значения Н, под которым понимается значение МДЧ, представленное БС H, и значения секретного ключа формируют ЭЦП в виде МДЧ Q=s=Hd mod n;depending on the value of H, which is understood as the value of the MDC represented by BS H, and the values of the secret key form an EDS in the form of a MDC Q = s = H d mod n;
формируют первое проверочное МДЧ А=Н;form the first verification MDC A = N;
формируют второе проверочное МДЧ В, для чего МДЧ s возводят в целочисленную степень е по модулю n: В=se mod n;form the second verification MDC B, for which MDC s is raised to an integer power e modulo n: B = s e mod n;
сравнивают сформированные проверочные МДЧ А и В;comparing the generated verification MDC A and B;
при совпадении параметров сравниваемых МДЧ А и В делают вывод о подлинности ЭЦП.when the parameters of the compared MDC A and B coincide, they conclude that the digital signature is authentic.
Недостатком известного способа является относительно большой размер подписи и необходимость увеличения размера подписи при разработке новых более эффективных методов разложения числа n на множители или при росте производительности современных вычислительных устройств. Это объясняется тем, что значение элемента подписи s вычисляется путем выполнения арифметических операций по модулю n, а стойкость ЭЦП определяется сложностью разложения модуля n на множители р и q.The disadvantage of this method is the relatively large size of the signature and the need to increase the size of the signature when developing new, more efficient methods for decomposing the number n into factors or with an increase in the productivity of modern computing devices. This is because the value of the signature element s is calculated by performing arithmetic operations modulo n, and the stability of the digital signature is determined by the complexity of the decomposition of the module n into factors p and q.
Известен также способ генерации и проверки подлинности ЭЦП Эль-Гамаля, описанный в книге [Молдовян А.А., Молдовян Н.А., Советов Б.Я. Криптография. - СПб., Лань, 2000. - с.156-159], который включает следующие действия:There is also a known method of generating and verifying the authenticity of the digital signature of El-Gamal, described in the book [Moldovyan A.A., Moldovyan N.A., Sovetov B.Ya. Cryptography. - St. Petersburg., Doe, 2000. - p.156-159], which includes the following actions:
формируют простое МДЧ р и двоичное число g, являющееся первообразным корнем по модулю р, генерируют секретный ключ в виде МДЧ k, в зависимости от секретного ключа формируют открытый ключ в виде МДЧ ψ=gk mod p, принимают ЭД, представленный в виде МДЧ Н, в зависимости от Н и секретного ключа формируют ЭЦП Q в виде двух МДЧ s и r, то есть Q=(s, r);form a simple MDC p and a binary number g, which is a primitive root modulo p, generate a secret key in the form of MDC k, depending on the secret key form a public key in the form of MDC ψ = g k mod p, take the ED represented in the form of MDC N , depending on H and the secret key, an EDS Q is formed in the form of two MDC s and r, that is, Q = (s, r);
осуществляют процедуру проверки подлинности ЭЦП, включающую вычисление двух контрольных параметров с использованием исходных МДЧ р, g, ψ, H, r и s путем возведения МДЧ g, r и ψ в дискретную степень по модулю р и сравнение вычисленных контрольных параметров;carry out a digital signature authentication procedure, including the calculation of two control parameters using the original MDC p, g, ψ, H, r and s by raising the MDC g, r and ψ to a discrete degree modulo p and comparing the calculated control parameters;
при совпадении значений контрольных параметров делают вывод о подлинности ЭЦП.when the values of the control parameters coincide, they conclude that the digital signature is authentic.
Недостатком данного способа также является относительно большой размер ЭЦП. Это объясняется тем, что значения элементов подписи s и r вычисляют путем выполнения арифметических операций по модулю р-1 и по модулю p соответственно.The disadvantage of this method is also the relatively large size of the EDS. This is because the values of the signature elements s and r are calculated by performing arithmetic operations modulo p-1 and modulo p, respectively.
Известен также способ генерации и проверки ЭЦП, предложенный в патенте США №4995089 от 19.02.1991. Известный способ заключается в следующей последовательности действий:There is also a method of generating and verifying EDS, proposed in US patent No. 4995089 of 02.19.1991. The known method consists in the following sequence of actions:
формируют простое МДЧ p, такое что р=Nq+1, где q - простое МДЧ;form a simple MDC p, such that p = Nq + 1, where q is a simple MDC;
формируют простое МДЧ a, такое что a≠1 и aq mod p=1;form a simple MDC a, such that a ≠ 1 and a q mod p = 1;
методом генерации случайной равновероятной последовательности формируют секретный ключ в виде МДЧ k;by generating a random equiprobable sequence generate a secret key in the form of MDC k;
формируют открытый ключ в виде МДЧ ψ по формуле ψ=ak mod p;form a public key in the form of MDC ψ by the formula ψ = a k mod p;
принимают ЭД, представленный МДЧ М;accept ED submitted by MDC M;
формируют ЭЦП в виде пары МДЧ (е, s), для чего генерируют случайное МДЧ t, формируют МДЧ R по формуле R= at mod р, формируют МДЧ е=ƒ(M║R), где знак ║ обозначает операцию присоединения двух МДЧ и f - некоторая специфицированная хэш-функция, значение которой имеет фиксированную длину (обычно 160 или 256 бит), независимую от размера аргумента, т.е. от размера МДЧ M║R, а затем формируют МДЧ s по формуле s=(t+ek) mod q;form an EDS in the form of a pair of MDCs (e, s), for which a random MDC t is generated, form a MDC R according to the formula R = a t mod p, form a MDC e = ƒ (M║R), where the sign ║ denotes the operation of attaching two MDCs and f is some specified hash function whose value has a fixed length (usually 160 or 256 bits), independent of the size of the argument, i.e. from the size of the MDC M║R, and then form the MDC s according to the formula s = (t + ek) mod q;
формируют первое проверочное МДЧ А, для чего генерируют МДЧ R′ по формуле R′=asy-e mod р и формируют МДЧ е′=ƒ(M║R′);form the first verification MDC A, for which MDC R ′ is generated according to the formula R ′ = a s y -e mod p and form the MDC e ′ = ƒ (M║R ′);
формируют второе проверочное МДЧ В путем копирования МДЧ е: В=е;form the second verification MDC In by copying MDC e: B = e;
сравнивают сформированные проверочные МДЧ А и В;comparing the generated verification MDC A and B;
при совпадении параметров сравниваемых МДЧ А и В делают вывод о подлинности ЭЦП.when the parameters of the compared MDC A and B coincide, they conclude that the digital signature is authentic.
Недостатком способа по патенту США является относительно высокая вычислительная сложность процедуры генерации и проверки ЭЦП, что связано с тем, что для обеспечения минимально требуемого уровня стойкости требуется использовать простой модуль p разрядностью не менее 1024 бит.The disadvantage of the method according to US patent is the relatively high computational complexity of the procedure for generating and checking digital signatures, due to the fact that in order to ensure the minimum required level of resistance, it is required to use a simple module p with a bit capacity of at least 1024 bits.
Наиболее близким по своей технической сущности к заявленному является известный способ генерации и проверки подлинности ЭЦП, предлагаемый российским стандартом ГОСТ Р 34.10-2001 и описанный, например, в книге [Б.Я.Рябко, А.Н.Фионов. Криптографические методы защиты информации. М., Горячая линия - Телеком, 2005. - 229 с.(см. с.110-111)], согласно которому ЭЦП формируется в виде пары МДЧ r и s, для чего генерируют эллиптическую кривую (ЭК) в виде совокупности точек, каждая из которых определяется парой элементов простого конечного поля GF(p), где р - простое число, называемое характеристикой поля. Элементы поля GF(p) представляют собой МДЧ, принадлежащие множеству {0,1,2,...,р-1}. Пара элементов поля GF(p), задающих точку ЭК, представляет собой две координаты точки ЭК, заданные в декартовой системе координат. Первая и вторая координата точки ЭК называется соответственно абсциссой (х) и ординатой (у) данной точки ЭК. Затем осуществляют операции генерации точек ЭК, сложения точек ЭК и умножения точки ЭК на число, а также арифметические операции над МДЧ, после чего в результате выполненных операций формируются МДЧ r и s. Указанные операции над точками выполняются как операции над МДЧ, являющимися координатами точек, по известным формулам [Б.Я.Рябко, А.Н.Фионов. Криптографические методы защиты информации. М., Горячая линия - Телеком, 2005. - 229 с.(см. с.110-111)]. Операция сложения двух точек А и В с координатами (xA,yA) и (xB,yB), соответственно, выполняется по формулам:Closest in technical essence to the claimed one is the well-known method of generating and verifying the authenticity of digital signatures, proposed by the Russian standard GOST R 34.10-2001 and described, for example, in the book [B.Ya. Ryabko, A.N. Fionov. Cryptographic methods of information security. M., Hotline - Telecom, 2005. - 229 pp. (See pp. 110-111)], according to which the digital signature is formed as a pair of MDC r and s, for which an elliptic curve (EC) is generated as a set of points, each of which is determined by a pair of elements of a simple finite field GF (p), where p is a prime number called the field characteristic. The elements of the field GF (p) are MDCs belonging to the set {0,1,2, ..., p-1}. A pair of elements of the field GF (p) that define the EC point represents the two coordinates of the EC point specified in the Cartesian coordinate system. The first and second coordinates of the EC point are called the abscissa (x) and ordinate (y) of this EC point, respectively. Then, operations are carried out to generate EC points, add EC points and multiply the EC points by a number, as well as arithmetic operations on the MDC, after which MDC r and s are formed as a result of the performed operations. The indicated operations on points are performed as operations on the MDC, which are the coordinates of the points, according to well-known formulas [B.Ya. Ryabko, A.N. Fionov. Cryptographic methods of information security. M., Hotline - Telecom, 2005. - 229 p. (See p. 110-111)]. The operation of adding two points A and B with the coordinates (x A , y A ) and (x B , y B ), respectively, is performed according to the formulas:
xC=k2-xA-xB mod p и yC=k(xA-xC)-yA mod p,x C = k 2 -x A -x B mod p and y C = k (x A -x C ) -y A mod p,
где если точки А и В не равны, и если точки А и В равны. При вычислении значения k выполняется операция деления МДЧ по модулю простого МДЧ, что ограничивает производительность генерации и проверки подлинности ЭЦП по стандарту ГОСТ Р 34.10-2001. Операция умножения точки А на натуральное число n определяется как многократное сложение токи А: nA=А+А+…+А (n раз).Where if points A and B are not equal, and if points A and B are equal. When calculating the value of k, the operation of dividing the MDC modulo a simple MDC is performed, which limits the performance of the generation and authentication of digital signatures according to the standard GOST R 34.10-2001. The operation of multiplying point A by a natural number n is defined as multiple additions of currents A: nA = A + A + ... + A (n times).
Результатом умножения любой точки ЭК на нуль определяется точка, называемая бесконечно удаленной точкой и обозначаемой буквой О. Две точки А=(х, у) и -А=(х, -у) называются противоположными. Умножение на целое отрицательное число -n определяется следующим образом: (-n)А=n(-А). ПоThe result of multiplying any EC point by zero determines a point called an infinitely distant point and denoted by the letter O. Two points A = (x, y) and -A = (x, -y) are called opposite. Multiplication by a negative integer -n is defined as follows: (-n) A = n (-A). By
определению принимают, что сумма двух противоположных точек равна бесконечно удаленной точке О.the definition assumes that the sum of two opposite points is equal to the infinitely distant point O.
В прототипе, т.е. в способе генерации и проверки подлинности ЭЦП по стандарту ГОСТ Р 34.10-2001 генерируют ЭК, описываемую уравнением у2=х3+ax+b mod p, причем генерация ЭК состоит в генерации чисел a, b и р, являющихся параметрами ЭК и однозначно задающих множество точек ЭК, абсцисса и ордината каждой из которых удовлетворяет указанному уравнению. Под процедурой генерации ЭК понимают процедуру генерации коэффициентов, входящих в уравнение, описывающее ЭК как совокупность точек, координаты которых удовлетворяют уравнению ЭК. Ближайший аналог (прототип) заключается в выполнении следующей последовательности действий:In the prototype, i.e. in the method of generating and verifying the authenticity of digital signatures according to the standard GOST R 34.10-2001, they generate an EC described by the equation y 2 = x 3 + ax + b mod p, and the generation of the EC consists in generating the numbers a, b and p, which are the parameters of the EC and uniquely specify the set of points of EC, abscissa and ordinate of each of which satisfies the specified equation. Under the procedure for generating EC, we understand the procedure for generating coefficients included in the equation describing the EC as a set of points whose coordinates satisfy the EC equation. The closest analogue (prototype) is to perform the following sequence of actions:
генерируют эллиптическую кривую (ЭК) над простым конечным полем GF(p), которая представляет собой совокупность пар МДЧ, называемых точками ЭК и обладающих определенными свойствами;generate an elliptic curve (EC) over a simple finite field GF (p), which is a collection of MDC pairs, called EC points and having certain properties;
методом генерации случайной равновероятной последовательности формируют секретный ключ в виде МДЧ k;by generating a random equiprobable sequence generate a secret key in the form of MDC k;
формируют открытый ключ Р в виде двух МДЧ, являющихся координатами точки ЭК Р, для чего генерируют точку G, имеющую значение порядка, равное q (порядком точки ЭК называется наименьшее положительное целое число q, такое что результатом умножения данной точки на число q является так называемая бесконечно удаленная точка О; результатом умножения любой точки ЭК на нуль по определению является точка О [Б.Я.Рябко, А.Н.Фионов. Криптографические методы защиты информации. М., Горячая линия - Телеком, 2005. - 229 с.(см. с.97-130)]; и генерируют открытый ключ путем умножения точки G на МДЧ k, т.е. формируют открытый ключ по формуле Р=kG;form the public key P in the form of two MDC, which are the coordinates of the EC point P, for which they generate a point G having an order value equal to q (the order of the EC point is the smallest positive integer q, such that the result of multiplying this point by q is the so-called infinitely distant point O; the result of multiplying any EC point by zero by definition is point O [B.Ya. Ryabko, AN Fionov. Cryptographic methods of information protection. M., Hot line - Telecom, 2005. - 229 pp. ( see p. 97-130)]; and generate the public key by the mind knives of a point G on MDC k, i.e., form a public key according to the formula P = kG;
принимают ЭД, представленный МДЧ Н;accept ED submitted by MDCH N;
генерируют случайное МДЧ 0<t<q; по которому формируют точку R по формуле R=tG;generate random MDC 0 <t <q; which form the point R according to the formula R = tG;
формируют ЭЦП Q в виде пары МДЧ (r, s), для чего генерируют МДЧ r по формуле r=xR mod q, где xR - абсцисса точки R, а затем генерируют МДЧ s по формуле s=(tH+rk) mod q;form an EDS Q in the form of a pair of MDC (r, s), for which MDC r is generated by the formula r = x R mod q, where x R is the abscissa of the point R, and then MDC s is generated by the formula s = (tH + rk) mod q;
формируют первую проверочную БС А, для чего генерируют МДЧ ν по формуле ν=sH-1 mod q и МДЧ w по формуле w=(q-rH-1) mod q, затем генерируют точку R′ по формуле R′=νG+wP, после чего БС А получают в виде МДЧ А, вычисляемого по формуле А=xR'mod q, где xR' - абсцисса точки R′;form the first test BS A, for which MDC ν is generated by the formula ν = sH -1 mod q and MDC w by the formula w = (q-rH -1 ) mod q, then the point R ′ is generated by the formula R ′ = νG + wP and then BS A is obtained in the form of MDC A, calculated by the formula A = x R ' mod q, where x R' is the abscissa of the point R ′;
формируют вторую проверочную БС в виде МДЧ В, генерируемого путем копирования МДЧ r: В=r;form the second test BS in the form of MDC B generated by copying the CDM r: B = r;
сравнивают сформированные проверочные БС А и В;comparing the generated test BS A and B;
при совпадении параметров сравниваемых БС А и В делают вывод о подлинности ЭЦП.when the parameters of the compared BS A and B coincide, they conclude that the digital signature is authentic.
Недостатком ближайшего аналога является относительно высокая сложность параллельной реализации процедур генерации и проверки ЭЦП, что связано с тем, что выполнение операций над точками ЭК, заданной над простым конечным полем GF(p), включает операцию умножения в поле GF(p) которая в свою очередь включает операцию арифметического умножения двух |p|-разрядных двоичных чисел и операцию деления 2|р|-разрядного двоичного на МДЧ p.The disadvantage of the closest analogue is the relatively high complexity of parallel implementation of the procedures for generating and checking EDS, which is due to the fact that performing operations on EC points given over a simple finite field GF (p) includes the multiplication operation in the field GF (p), which in turn includes the operation of arithmetic multiplication of two | p | -bit binary numbers and the operation of dividing 2 | p | -bit binary by MDC p.
Целью изобретения является разработка способа генерации и проверки подлинности ЭЦП, заверяющей ЭД, обеспечивающего возможность эффективной параллельной реализации процедур генерации и проверки ЭЦП за счет использования ЭК, заданных над конечными полями в векторной форме, в которых операция умножения эффективно распараллеливается. Благодаря возможности эффективного распараллеливания процедур генерации и проверки подлинности ЭЦП обеспечивается существенный рост производительности алгоритмов ЭЦП.The aim of the invention is to develop a method for generating and verifying the authenticity of an electronic digital signature, which certifies an ED, which enables efficient parallel implementation of the procedures for generating and verifying an electronic digital signature by using ECs defined over finite fields in vector form in which the multiplication operation is effectively parallelized. Due to the possibility of efficient parallelization of the generation and authentication procedures of digital signatures, a significant increase in the performance of digital signature algorithms is provided.
Поставленная цель достигается тем, что в известном способе генерации и проверки подлинности электронной цифровой подписи, заверяющей электронный документ, заключающийся в том, что генерируют ЭК над конечным полем в виде совокупности точек, каждая из которых определяется парой элементов конечного поля, являющихся соответственно абсциссой и ординатой данной точки эллиптической кривой, формируют секретный ключ в виде многоразрядного двоичного числа k, по секретному ключу формируют открытый ключ в виде точки Р эллиптической кривой, принимают электронный документ, представленный битовой строкой Н, в зависимости от принятого электронного документа и от значения секретного ключа формируют электронную цифровую подпись Q, формируют первое А и второе В проверочные битовые строки, сравнивают их и при совпадении их параметров делают вывод о подлинности электронной цифровой подписи, новым в заявленном изобретении является то, что генерируют ЭК над конечным полем, являющимся векторным конечным полем.This goal is achieved by the fact that in the known method of generating and verifying the authenticity of an electronic digital signature certifying an electronic document, which consists in generating an EC over a finite field in the form of a set of points, each of which is determined by a pair of elements of the final field, which are abscissa and ordinate, respectively of a given point of an elliptic curve, form a secret key in the form of a multi-bit binary number k, use the secret key to form a public key in the form of a point P of an elliptic curve, take An electronic document represented by a bit string H is written, depending on the received electronic document and the value of the secret key, an electronic digital signature Q is formed, the first A and second B are generated, the verification bit strings are compared, they are compared and, if their parameters coincide, the electronic digital signature is authenticated new in the claimed invention is that they generate EC over a finite field, which is a vector final field.
Существование векторных конечных полей впервые показано в работе [П.А.Молдовяну, Е.С.Дернова, Д.Н.Молдовян. Синтез конечных расширенных полей для криптографических приложений // Вопросы защиты информации. 2008. №3(82). С.2-7]. В этой же работе описаны способы формирования векторных конечных полей. Операция умножения в векторном конечном поле является эффективной для параллельной реализации, благодаря чему процедуры генерации и проверки подлинности ЭЦП могут быть эффективно распараллелены, что существенно повышает производительность процедур генерации и проверки подлинности ЭЦП, заверяющей ЭД. Кроме того, сложность операции умножения в векторном конечном поле в 2 и более раза ниже сложности умножения в простом конечном поле или конечном поле многочленов, что обеспечивает дополнительное повышение производительности алгоритмов ЭЦП при задании ЭК над векторным конечным полем, которое представляет собой новую форму реализации конечных полей.The existence of vector finite fields was first shown in [P.A. Moldovyan, E.S.Dernova, D.N. Moldovyan. Synthesis of finite extended fields for cryptographic applications // Issues of information security. 2008. No3 (82). C.2-7]. In the same work, methods for the formation of vector finite fields are described. The operation of multiplication in the vector final field is effective for parallel implementation, due to which the procedures for generating and verifying the authenticity of digital signatures can be effectively parallelized, which significantly improves the performance of the procedures for generating and verifying the authenticity of digital signatures that certifies an electronic signature. In addition, the complexity of the operation of multiplication in a vector finite field is 2 or more times lower than the complexity of multiplication in a simple finite field or a finite field of polynomials, which provides an additional increase in the performance of EDS algorithms when defining EC over a vector finite field, which is a new form of realization of finite fields .
Новым является также и то, что генерируют ЭК над конечным полем, являющимся векторным конечным полем, заданным над простым конечным полем GF(p), где р - характеристика поля, причем р>3.Also new is the fact that they generate an EC over a finite field, which is a vector finite field defined over a simple finite field GF (p), where p is the characteristic of the field, and p> 3.
Использование ЭК над конечным полем, являющимся векторным конечным полем, заданным над простым конечным полем GF(p), где р - характеристика поля, при простом МДЧ р>3 позволяет эффективно реализовать заявленный способ в программах для ЭВМ.The use of EC over a finite field, which is a vector finite field defined over a simple finite field GF (p), where p is the field characteristic, with a simple MDC p> 3 allows you to effectively implement the claimed method in computer programs.
Новым является также и то, что генерируют ЭК над конечным полем, являющимся векторным конечным полем, заданным над конечным полем многочленов GF(ps), где s - степень расширения поля и р - характеристика поля, причем р=3.Also new is the fact that they generate EC over a finite field, which is a vector finite field defined over a finite field of polynomials GF (p s ), where s is the degree of expansion of the field and p is the characteristic of the field, and p = 3.
Новым является также и то, что генерируют ЭК над конечным полем, являющимся векторным конечным полем, заданным над конечным полем многочленов GF(ps), где s - степень расширения поля и р - характеристика поля, причем р=2.Also new is the fact that they generate an EC over a finite field, which is a vector finite field defined over a finite field of polynomials GF (p s ), where s is the degree of expansion of the field and p is the characteristic of the field, and p = 2.
Использование ЭК, заданных над полями многочленов характеристики р=2 и характеристики р=3, обеспечивает дополнительное повышение производительности процедур генерации и проверки подлинности ЭЦП при аппаратной реализации заявленного способа.The use of EC defined over the fields of polynomials of characteristic p = 2 and characteristic p = 3 provides an additional increase in the performance of the procedures for generating and verifying the authenticity of digital signatures in hardware implementation of the claimed method.
Новым является также и то, что генерируют ЭК над конечным полем, являющимся векторным конечным полем, заданным над конечным полем многочленов GF(ps), где s - степень расширения поля и р - характеристика поля, причем р>3.Also new is the fact that they generate an EC over a finite field, which is a vector finite field defined over a finite field of polynomials GF (p s ), where s is the degree of expansion of the field and p is the characteristic of the field, and p> 3.
Использование ЭК, заданных над полями многочленов характеристики р>3, обеспечивает дополнительное повышение производительности процедур генерации и проверки подлинности ЭЦП при микропрограммной реализации заявленного способа, т.е. при аппаратной реализации с использованием микроконтроллеров - специализированных микропроцессоров.The use of ECs defined over fields of polynomials of characteristic p> 3 provides an additional increase in the productivity of the procedures for generating and verifying the authenticity of digital signatures during microprogram implementation of the claimed method, i.e. with hardware implementation using microcontrollers - specialized microprocessors.
Возможность эффективного распараллеливания операции умножения в векторных конечных полях связана с тем, что элементами векторного конечного поля являются m-мерные вектора, координаты которых являются элементами конечного простого поля или конечного поля многочленов при задании векторного конечного поля над простым конечным полем GF(p) или конечным полем многочленов GF(ps) соответственно. Причем операция умножения m-мерных векторов определяется таким образом, что координаты m-мерного вектора, являющегося результатом выполнения операции умножения m-мерных векторов, являющихся операндами, вычисляются по координатам векторов-операндов независимо друг от друга, благодаря чему имеется возможность распараллелить операцию умножения векторов БС на m независимых процессов и выполнять их параллельно. Благодаря последнему уменьшается время выполнения операции сложения точек ЭК, что дает существенное повышение скорости процедур генерации и проверки подлинности ЭЦП.The possibility of efficient parallelization of the multiplication operation in vector finite fields is associated with the fact that the elements of a vector finite field are m-dimensional vectors whose coordinates are elements of a finite simple field or a finite field of polynomials when defining a vector finite field over a simple finite field GF (p) or finite by the polynomial field GF (p s ), respectively. Moreover, the operation of multiplying m-dimensional vectors is determined so that the coordinates of the m-dimensional vector resulting from the operation of multiplying the m-dimensional vectors, which are operands, are calculated by the coordinates of the operand vectors independently of each other, so that it is possible to parallelize the operation of multiplying vectors BS on m independent processes and execute them in parallel. Thanks to the latter, the execution time of the addition of EC points is reduced, which gives a significant increase in the speed of the procedures for generating and verifying digital signature authenticity.
Известно, что ЭК могут быть заданы над любым полем, в том числе и над любым конечным полем (см., например, книги [Болотов А.А., Гашков С.Б., Фролов А.Б., Часовских А.А. Элементарное введение в эллиптическую криптографию: Алгебраические и алгоритмические основы. - М.: КомКнига/URSS, 2006. - 324 с.] и [Болотов А.А., Гашков С.Б., Фролов А.Б. Элементарное введение в эллиптическую криптографию: Протоколы криптографии на эллиптических кривых. - М.: КомКнига/URSS, 2006. - 274 с.]). Изобретательский замысел заявленного нового технического решения состоит в применении векторных конечных полей, в которых операция умножения является эффективной для параллельной реализации, для генерации на их основе ЭК, используемых в способах генерации и проверки подлинности ЭЦП, заверяющей ЭД. Рассмотрим варианты задания векторных конечных полей. Вектор - это набор из двух или более БС, называемых координатами вектора. Вектор записывается различными способами, требование к которым состоит в том, чтобы они идентифицировали позиции координат вектора. Например, вектор можно записать в виде (a1, a2, …, am), где m≥2 - это размерность вектора, равная числу координат в векторе. В качестве разделителя может быть использован знак операции сложения векторов, определенной как сложение одноименных координат двух векторов, являющихся слагаемыми. При использовании такого разделителя координаты вектора идентифицируются указанием формального базисного вектора (устанавливаемого после соответствующей координаты) в виде буквы латинского алфавита. Формальными базисные вектора называются потому, что им не приписывается никакого физического смысла. Они служат только для того, чтобы идентифицировать координаты вектора, независимо от последовательности их записи. Так, например, вектора Z1=523425e+3676785i+53453453j и Z2=3676785i+523425e+53453453j, где е, i, j - формальные базисные вектора, в которых координатами являются МДЧ, рассматриваются как равные, т.е. Z1=Z2. Отдельные слагаемые в такой записи векторов называются компонентами вектора и представляют собой вектора с одной ненулевой координатой. Размерность вектора - это количество, входящих в вектор координат. В данной заявке рассматриваются конечные поля векторов, т.е. алгебраические поля, элементами которых являются вектора вида Z=ae+bi+…+tw, где e, i, …, w - формальные базисные вектора и a, b, …, t - элементы конечного поля, над которым определены вектора, а операции сложения и умножения векторов определены через операции умножения и сложения координат векторов, являющихся операндами. При этом операции умножения и сложения координат представляют собой операции в конечном поле, над которым заданы вектора. Построение векторного конечного поля является расширением конечного поля, над которым заданы вектора.It is known that ECs can be defined over any field, including any final field (see, for example, the books [Bolotov A.A., Gashkov S.B., Frolov A.B., Chasovskikh A.A. An Elementary Introduction to Elliptic Cryptography: Algebraic and Algorithmic Foundations - M .: KomKniga / URSS, 2006. - 324 p.] And [Bolotov AA, Gashkov SB, Frolov AB An Elementary Introduction to Elliptic Cryptography : Protocols of cryptography on elliptic curves. - M .: KomKniga / URSS, 2006. - 274 p.]). The inventive concept of the claimed new technical solution consists in the use of vector finite fields in which the multiplication operation is effective for parallel implementation, to generate EC based on them, used in methods for generating and verifying the authenticity of electronic digital signatures verifying ED. Consider options for specifying vector finite fields. A vector is a set of two or more BS, called the coordinates of the vector. The vector is written in various ways, the requirement for which is that they identify the position of the coordinates of the vector. For example, a vector can be written in the form (a 1 , a 2 , ..., a m ), where m≥2 is the dimension of the vector equal to the number of coordinates in the vector. As a separator, you can use the sign of the operation of addition of vectors, defined as the addition of the coordinates of the same name of two vectors that are terms. When using such a separator, the coordinates of the vector are identified by indicating the formal basis vector (set after the corresponding coordinate) in the form of a letter of the Latin alphabet. Basic vectors are called formal because no physical meaning is attributed to them. They serve only to identify the coordinates of the vector, regardless of the sequence of their recording. So, for example, the vectors Z 1 = 523425 e +3676785 i +53453453 j and Z 2 = 3676785 i +523425 e +53453453 j, where e, i , j are formal basis vectors in which the coordinates are MDC, are considered equal, those. Z 1 = Z 2 . The individual terms in such a notation of vectors are called components of the vector and are vectors with one nonzero coordinate. The dimension of a vector is the number of coordinates included in the vector. This application considers finite fields of vectors, i.e. algebraic fields whose elements are vectors of the form Z = a e + b i + ... + t w , where e, i , ..., w are formal basis vectors and a, b, ..., t are elements of a finite field over which vectors are defined , and the operations of addition and multiplication of vectors are defined through the operations of multiplication and addition of coordinates of vectors, which are operands. In this case, operations of multiplication and addition of coordinates are operations in a finite field over which vectors are given. The construction of a vector finite field is an extension of the finite field over which the vectors are given.
Сложение векторов выполняется по правилу сложения одноименных координат как элементов поля, над которым заданы вектора, т.е. по формуле: (aе+bi+…+tw)+(хе+yi+…+zw)=(a+x)e+(b+y)i+…+(t+z)w или равносильной ей формуле (a,b,…,t)+(х,у,…,z)=(a+x,b+y,…,t+z).The addition of vectors is performed according to the rule of addition of coordinates of the same name as elements of the field over which the vectors are specified, i.e. by the formula: (a e + b i + ... + t w ) + (х е + y i + ... + z w ) = (a + x) e + (b + y) i + ... + (t + z) w or a formula equivalent to it (a, b, ..., t) + (x, y, ..., z) = (a + x, b + y, ..., t + z).
Операция умножения векторов определяется как перемножение всех компонентов векторов-сомножителей с учетом того, что возникающие при этом произведения формальных базисных векторов заменяются по некоторой специфицированной таблице одним базисным вектором или однокомпонентным вектором, т.е. вектором, содержащим только одну ненулевую координату. Такая таблица умножения базисных векторов для случая векторов размерности m=3 имеет, например, вид таблицы 1, которая определяет следующее правило подстановки базисных векторов:The operation of vector multiplication is defined as the multiplication of all components of the factor vectors, taking into account the fact that the resulting products of formal basis vectors are replaced according to some specified table by one basis vector or a one-component vector, i.e. a vector containing only one nonzero coordinate. Such a table of multiplication of basis vectors for the case of vectors of dimension m = 3 has, for example, the form of table 1, which defines the following rule of substitution of basis vectors:
где µ - элемент конечного поля, над которым задано множество векторов.where µ is an element of a finite field over which a set of vectors is given.
Такие таблицы будем называть таблицами умножения базисных векторов. Например, пусть Z1=a1 е+b1 i+c1 j и Z2=a2 е+b2 i+c2 j, тогда операция умножения векторов Z1 и Z2 (обозначим ее знаком «о») выполняется следующим образом:We will call such tables multiplication tables of basis vectors. For example, let Z 1 = a 1 е + b 1 i + c 1 j and Z 2 = a 2 е + b 2 i + c 2 j, then the operation of multiplying the vectors Z 1 and Z 2 (we denote it by the sign “o”) performed as follows:
Элементами векторных конечных полей, заданных над простым полем GF(p), являются вектора, координатами которых являются элементы конечного поля GF(p), задаваемого в виде поля чисел, являющихся остатками от деления всех целых чисел на некоторое простое число р, называемое характеристикой поля. Число элементов конечного поля называется порядком поля. Порядок простого поля GF(p) равен р. Значение р может быть только простым, т.е. не существуют поля со значением характеристики отличным от простого. В другом практически важном случае задания векторных конечных полей вектора задаются над конечными полями многочленов. Такие поля называются расширенными конечными полями и обозначаются следующим образом GF(ps), где s - натуральное число, называемое степенью расширения простого поля характеристики р. В расширенных полях МДЧ р также является простым МДЧ. Понятие расширенного конечного поля хорошо известно в научно-технической литературе [см., например, А.И.Кострикин. Введение в алгебру. Основы алгебры. М.: Физматлит.1994. - 320 с.]. В технике расширенные конечные поля широко применяются в виде конечных полей многочленов. Многочлен - это последовательность коэффициентов (например, МДЧ, являющихся элементами поля GF(p)) при различных степенях формальной переменной z. Над многочленами определены операции сложения многочленов и умножения многочленов, которые сводятся к выполнению действий с коэффициентами многочленов, являющихся операндами. Многочлены и правила действия над ними подробно рассмотрены в книгах [А.И.Кострикин. Введение в алгебру. Основы алгебры. М.: Физматлит.1994. - 320 с.] и [Курош А.Г. Курс высшей алгебры. - М., Наука, 1971. - 431 с.]. В вычислительных устройствах многочлены представляются в виде БС, в которых каждый бит или каждая подстрока битов фиксированной длины интерпретируется как один из коэффициентов многочлена, над которыми определены операции сложения и умножения коэффициентов. Элементами конечного поля многочленов являются все возможные многочлены, коэффициентами которых являются элементы простого поля GF(p) для некоторого заданного значения простого числа р. Операция умножения в поле многочленов состоит в умножении многочленов-сомножителей и взятии остатка от деления полученного произведения на некоторый заданный неприводимый многочлен. Число элементов конечного поля многочленов (порядок поля) равно ps, где s - степень неприводимого многочлена, которая совпадает с максимальным числом ненулевых коэффициентов в многочленах, получаемых в качестве остатка от деления на неприводимый многочлен.Elements of vector finite fields defined over a simple field GF (p) are vectors whose coordinates are elements of a finite field GF (p), defined as a field of numbers that are the remainders of dividing all integers by some prime number p, called the field characteristic . The number of elements in a finite field is called the field order. The order of the simple field GF (p) is equal to p. The value of p can only be simple, i.e. there are no fields with a characteristic value other than simple. In another practically important case, the assignments of vector finite fields of a vector are defined over finite fields of polynomials. Such fields are called expanded finite fields and are denoted as follows GF (p s ), where s is a natural number called the degree of expansion of a simple field of characteristic p. In extended fields, MDC p is also a simple MDC. The concept of an expanded finite field is well known in the scientific and technical literature [see, for example, A.I. Kostrikin. Introduction to Algebra. The basics of algebra. M .: Fizmatlit. 1994. - 320 p.]. In technology, extended finite fields are widely used as finite fields of polynomials. A polynomial is a sequence of coefficients (for example, MDF, which are elements of the field GF (p)) for various degrees of the formal variable z. The operations of addition of polynomials and multiplication of polynomials are defined over polynomials, which are reduced to performing actions with coefficients of polynomials that are operands. Polynomials and the rules of action on them are discussed in detail in books [A.I. Kostrikin. Introduction to Algebra. The basics of algebra. M .: Fizmatlit. 1994. - 320 p.] And [Kurosh A.G. Course of higher algebra. - M., Nauka, 1971. - 431 p.]. In computing devices, polynomials are represented as BSs in which each bit or each substring of bits of a fixed length is interpreted as one of the coefficients of the polynomial over which the operations of addition and multiplication of coefficients are defined. Elements of a finite field of polynomials are all possible polynomials whose coefficients are elements of a simple field GF (p) for some given value of a prime number p. The operation of multiplication in the field of polynomials consists in multiplying the polynomial factors and taking the remainder of dividing the resulting product by some given irreducible polynomial. The number of elements of the finite field of polynomials (field order) is p s , where s is the degree of the irreducible polynomial, which coincides with the maximum number of nonzero coefficients in the polynomials obtained as the remainder of the division by the irreducible polynomial.
Вектора, в которых БС являются элементами конечного простого поля, т.е. многоразрядными двоичными числами, будем называть векторами МДЧ. Вектора, в которых БС являются элементами конечного расширенного поля многочленов, будем называть векторами многочленов. Действия над конечными множествами векторов МДЧ и конечными множествами векторов многочленов описываются одинаково, за исключением того, что действия над координатами векторов относятся к полям различного типа, а потому отличаются в этих двух случая. Действия над координатами векторов МДЧ можно описать как выполнение операций сложения и умножения по модулю простого числа р. Действия над координатами векторов многочленов можно описать как выполнение операций сложения и умножения по модулю неприводимого многочлена р. Размер модуля в обоих случаях выбирается таким, чтобы обеспечить достаточно большой порядок векторных конечных полей. В обоих случаях формула, описывающая операцию умножения векторов, например умножения векторов Z1=(a1 e+b1 i+c1 j) и Z2=a2 e+b2 i+c2 j по таблице 1 имеет одинаковый вид:Vectors in which BS are elements of a finite simple field, i.e. multidigit binary numbers, we will call MDC vectors. Vectors in which BS are elements of a finite extended field of polynomials will be called polynomial vectors. Actions on finite sets of MDC vectors and finite sets of polynomial vectors are described in the same way, except that the actions on the coordinates of the vectors belong to fields of various types, and therefore differ in these two cases. Actions on the coordinates of the MDC vectors can be described as performing addition and multiplication modulo a prime number p. Actions on the coordinates of the vectors of polynomials can be described as performing operations of addition and multiplication modulo an irreducible polynomial p. The size of the module in both cases is chosen so as to provide a sufficiently large order of vector finite fields. In both cases, the formula describing the operation of multiplying vectors, for example, multiplying vectors Z 1 = (a 1 e + b 1 i + c 1 j ) and Z 2 = a 2 e + b 2 i + c 2 j according to Table 1, has the same form :
где в случае векторов МДЧ параметры a1, b1, c1, a2, b2, с2, р и µ - это МДЧ, а в случае векторов многочленов параметры a1, b1, c1, a2, b2, с2, р и µ - это многочлены.where, in the case of MDC vectors, the parameters a 1 , b 1 , c 1 , a 2 , b 2 , c 2 , p, and μ are the MDC, and in the case of polynomial vectors the parameters a 1 , b 1 , c 1 , a 2 , b 2 , c 2 , p and µ are polynomials.
В зависимости от размерности векторов, над которыми определяются операции умножения, и конкретного варианта задания операции умножения векторов могут быть использованы различные таблицы умножения базисных векторов, например, для векторов размерности m=2 приемлемая таблица имеет вид таблицы 2, где 0<ε<р, а для векторов размерности m=3 - вид таблицы 3, где 0<ε<р. Значение параметра ε, называемого коэффициентом растяжения, выбирают таким образом, что множество всех m -мерных векторов, заданных над конечным полем GF(p) или GF(ps), образует конечное поле, являющееся расширением конечного поля GF(p) или GF(ps) соответственно. Конечное векторное поле будем записывать в виде GF(pm), если оно задано над полем GF(p), или СF((ps)m), если оно задано над полем GF(ps). Для заданного варианта таблицы умножения базисных векторов существует большое число значений коэффициента растяжения, при котором образуется векторное конечное поле. При этом для формирования векторного конечного поля следует выбрать размерность векторов и характеристику поля, над которым задаются вектора, таким образом, чтобы порядок поля делился нацело на значение размерности. Ниже будут построены векторные конечные поля, иллюстрирующие различные конкретные варианты задания векторных полей.Depending on the dimension of the vectors over which the multiplication operations are determined, and the particular option for specifying the operation of vector multiplication, various multiplication tables of basis vectors can be used, for example, for vectors of dimension m = 2, an acceptable table has the form of table 2, where 0 <ε <p, and for vectors of dimension m = 3, the form of table 3, where 0 <ε <p. The value of the parameter ε, called the tensile coefficient, is chosen in such a way that the set of all m-dimensional vectors defined over the finite field GF (p) or GF (p s ) forms a finite field, which is an extension of the finite field GF (p) or GF ( p s ), respectively. The final vector field will be written in the form GF (p m ) if it is given over the field GF (p), or CF ((p s ) m ) if it is defined over the field GF (p s ). For a given version of the basis vector multiplication table, there are a large number of values of the tensile coefficient at which a finite vector field is formed. In this case, for the formation of a vector finite field, one should choose the dimension of the vectors and the characteristic of the field over which the vectors are set, so that the order of the field is divided entirely by the dimension value. Below we will construct vector finite fields illustrating various specific options for defining vector fields.
Таблицы умножения базисных векторов для случая векторов МДЧ и векторов многочленов имеют одинаковый вид, за исключением того, что в случае векторов МДЧ коэффициент растяжения ε представляет собой некоторое МДЧ, а в случае векторов многочленов коэффициент растяжения ε представляет собой некоторый многочлен ε=ε(z).The multiplication tables of basis vectors for the case of MDC vectors and polynomial vectors are of the same form, except that in the case of MDC vectors, the tensile coefficient ε is some MDC, and in the case of polynomial vectors the tensile coefficient ε is some polynomial ε = ε (z) .
Аналогичным способом могут быть определены операции умножения над векторами размерностей m=4, m=5 и т.д. Например, правила умножения базисных векторов для случая m=7 приведены в следующей таблице 4, где в качестве коэффициентов растяжения p, τ, λ, ε, µ и τ могут быть использованы произвольные шесть значений, являющихся многочленами в случае, когда вектора представляют собой вектора многочленов, или являющихся МДЧ в случае, когда вектора представляют собой вектора МДЧ. В случае задания векторов над простым конечным полем GF(p) для произвольного значения размерности векторов m при соответствующем выборе таблицы умножения базисных векторов и простого значения p множество векторов МДЧ является векторным конечным полем GF(pm), единичным элементом которого является вектор МДЧ Е=1e+0i+…+0w=(1,0,0,…,0), а нулевым элементом является вектор МДЧ Е=0е+0i+…+0w=(0,0,0,…,0), где 1 и 0 - это единица и нуль в поле GF(p). Векторное конечное поле GF(pm) является расширением конечного простого поля GF(p). В случае задания векторов над конечным полем многочленов CF(ps) для произвольного значения размерности векторов m при соответствующем выборе таблицы умножения базисных векторов и простого значения p множество векторов многочленов является векторным конечным полем GF((ps)m), единичным элементом которого является вектор многочленов Е=1e+0i+…+0w=(1,0,0,…,0), а нулевым элементом является вектор многочленов Е=0е+0i+…+0w=(0,0,0,…,0), где 1 и 0 - это единица и нуль в поле GF(ps). Векторное конечное поле GF((ps)m) является расширением конечного поля многочленов GF(ps).In a similar way, multiplication operations on vectors of dimensions m = 4, m = 5, etc. can be defined. For example, the rules for multiplying basis vectors for the case m = 7 are given in the following table 4, where arbitrary six values can be used as the tensile coefficients p, τ, λ, ε, µ, and τ, which are polynomials in the case when the vectors are vectors polynomials, or being MDCs in the case where the vectors are MDC vectors. In the case of defining vectors over a simple finite field GF (p) for an arbitrary value of the dimension of vectors m with an appropriate choice of the multiplication table of basis vectors and a simple value p, the set of MDC vectors is a vector finite field GF (p m ) whose unit element is the MDC vector E = 1 e +0 i + ... + 0 w = (1,0,0, ..., 0), and the zero element is the MDC vector E = 0 е +0 i + ... + 0 w = (0,0,0, ... , 0), where 1 and 0 are one and zero in the field GF (p). A finite vector field GF (p m ) is an extension of a finite simple field GF (p). In the case of defining vectors over a finite field of polynomials CF (p s ) for an arbitrary value of the dimension of vectors m with an appropriate choice of the multiplication table of basis vectors and a simple value p, the set of vectors of polynomials is a vector finite field GF ((p s ) m ), whose unit element is the vector of polynomials E = 1 e +0 i + ... + 0 w = (1,0,0, ..., 0), and the zero element is the vector of polynomials E = 0 e +0 i + ... + 0 w = (0,0 , 0, ..., 0), where 1 and 0 are one and zero in the field GF (p s ). The finite vector field GF ((p s ) m ) is an extension of the finite field of the polynomials GF (p s ).
Детальное обоснование и описание условий формирования векторных конечных полей, заданных над простыми конечными полями и полями многочленов, приведено в приводимых ниже примерах, а также в статьях [П.А.Молдовяну, Е.С.Дернова, Д.Н.Молдовян. Синтез конечных расширенных полей для криптографических приложений // Вопросы защиты информации. 2008. №3(82). С.2-7] и [Д.Н.Молдовян, П.А.Молдовяну. Задание умножения в полях векторов большой размерности // Вопросы защиты информации. 2008. №3(82). С.12-17]. Ниже приводятся примеры реализации заявленного способа генерации и проверки подлинности ЭЦП, заверяющей ЭД. При этом в примерах, приводимых ниже, используются параметры с искусственно уменьшенной разрядностью, чтобы уменьшить размер примеров и сделать их более наглядными.A detailed justification and description of the conditions for the formation of vector finite fields defined over simple finite fields and fields of polynomials are given in the examples below, as well as in the articles [P.A. Moldovyan, E.S.Dernova, D.N. Moldovyan. Synthesis of finite extended fields for cryptographic applications // Issues of information security. 2008. No3 (82). P.2-7] and [D.N. Moldovyan, P.A. Moldovyan. The task of multiplication in the fields of vectors of large dimension // Issues of information security. 2008. No3 (82). S.12-17]. The following are examples of the implementation of the claimed method for generating and verifying the authenticity of a digital signature certifying an ED. Moreover, in the examples below, parameters with artificially reduced bit depth are used to reduce the size of the examples and make them more visual.
Пример 1Example 1
Данный пример иллюстрирует частный вариант реализации заявленного способа, соответствующий пп.1 и 2 формулы изобретения. В этом примере при формировании и проверке подлинности ЭЦП реализуется та же последовательность действий, что и в случае с прототипом, за исключением того, что генерируется ЭК, заданная над векторным конечным полем GF(pm), где p>3 и m - значение размерности векторов. При этом генерируется ЭК в виде множества точек, координаты которых Х и Y удовлетворяют уравнению Y2=Х3+ZaX+Zb, где X, Y, Za и Zb - вектора, принадлежащие векторному полю GF(pm), которое аналогично уравнению ЭК в случае прототипа. Данное уравнение задает ЭК над любым конечным полем, характеристика которого равна простому числу p>3. Формулы для вычисления суммы двух точек ЭК А и В с координатами соответственно (XA, YA) и (XB, YB), где XA, YA, XB и YB вектора, принадлежащие векторному полю GF(pm), также являются аналогичными и имеют вид:This example illustrates a particular embodiment of the claimed method, corresponding to claims 1 and 2 of the claims. In this example, when generating and verifying the authenticity of the digital signature, the same sequence of actions is implemented as in the case of the prototype, except that the EC generated over the vector final field GF (p m ) is generated, where p> 3 and m is the dimension value vectors. In this case, an EC is generated in the form of a set of points whose coordinates X and Y satisfy the equation Y 2 = X 3 + Z a X + Z b , where X, Y, Z a and Z b are vectors belonging to the vector field GF (p m ) which is similar to the EC equation in the case of the prototype. This equation defines an EC over any finite field whose characteristic is equal to a prime p> 3. Formulas for calculating the sum of two points EC A and B with coordinates (X A , Y A ) and (X B , Y B ), respectively, where X A , Y A , X B and Y B are vectors belonging to the vector field GF (p m ) are also similar and have the form:
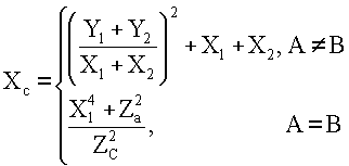
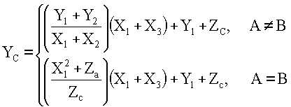
XC=K2-XA-XB и YC=K(XA-XC)-YA,X C = K 2 -X A -X B and Y C = K (X A -X C ) -Y A ,
где если точки А и В не равны, и если точки А и В равны. В приведенных в этом примере формулах операции сложения, вычитания, умножения и деления являются операциями сложения, вычитания, умножения и деления m-мерных векторов, а координаты точек ЭК и коэффициенты Za, Zb и К уравнения ЭК являются m-мерными векторами, т.е. элементами векторного конечного поля GF(pm). Используя хорошо известный метод задания точек ЭК в проективных координатах [Болотов А.А., Гашков С.Б., Фролов А.Б. Элементарное введение в эллиптическую криптографию: Протоколы криптографии на эллиптических кривых. - М.: КомКнига/URSS, 2006. - 274 с. (см. с.35-45)] сумма двух точек может быть вычислена только с использованием операций умножения, сложения и вычитания, что является общим методом уменьшения времени выполнения операции сложения точек ЭК.Where if points A and B are not equal, and if points A and B are equal. In the formulas given in this example, the operations of addition, subtraction, multiplication and division are the operations of addition, subtraction, multiplication and division of m-dimensional vectors, and the coordinates of the points of the EC and the coefficients Z a , Z b and K of the equation of the EC are m-dimensional vectors, t .e. elements of a finite vector field GF (p m ). Using the well-known method of specifying EC points in projective coordinates [Bolotov AA, Gashkov SB, Frolov AB An Elementary Introduction to Elliptic Cryptography: Protocols of Cryptography on Elliptic Curves. - M .: KomKniga / URSS, 2006 .-- 274 p. (see p. 35-45)] the sum of two points can only be calculated using the operations of multiplication, addition and subtraction, which is a common method to reduce the execution time of the operation of adding points EC.
Рассмотрим варианты векторных конечных полей, которые могут быть использованы в рассматриваемом примере частной реализации заявленного способа. При m=3 общие правила умножения базисных векторов, обеспечивающие свойства коммутативности и ассоциативности операции умножения векторов, представлены в таблице 5, где ε и µ - коэффициенты растяжения, ε, µ ∈ GF(p). В зависимости от конкретной пары значений ε и µ множество трехмерных векторов является конечным полем или конечной группой. Поскольку определенные нами операции сложения и умножения векторов являются коммутативными и ассоциативными, а операция умножения дистрибутивна по отношению к операции умножения, то конечное пространство трехмерных векторов будет образовывать расширенное поле GF(p3), если для каждого трехмерного вектора, отличного от (0,0,0), существует вектор, являющийся обратным к нему. В противном случае будем иметь группу, порядок которой определяется числом векторов, для которых существуют соответствующие обратные элементы. Решение этого вопроса связано с анализом характеристического уравнения третьей степени, возникающего из условия существования вектора (xe+yi+zj), являющегося обратным значением к векторам вида aе+bi+cj, где хотя бы одна из координат a, b, с отлична от нуля. Исходя из условия существования обратных значений, запишем в соответствии с таблицей 5 и общим определением операции умножения векторов следующее соотношениеConsider the options of vector finite fields that can be used in the considered example of a private implementation of the claimed method. For m = 3, the general rules for multiplying basis vectors providing the commutativity and associativity properties of the operation of multiplying vectors are presented in Table 5, where ε and μ are the expansion coefficients, ε, μ ∈ GF (p). Depending on the particular pair of values of ε and μ, the set of three-dimensional vectors is a finite field or a finite group. Since the operations of addition and multiplication of vectors that we have determined are commutative and associative, and the operation of multiplication is distributive with respect to the operation of multiplication, the finite space of three-dimensional vectors will form an expanded field GF (p 3 ) if for each three-dimensional vector other than (0,0 , 0), there exists a vector that is the inverse of it. Otherwise, we will have a group whose order is determined by the number of vectors for which the corresponding inverse elements exist. The solution to this problem is related to the analysis of the characteristic equation of the third degree arising from the condition for the existence of a vector (x e + y i + z j ), which is the inverse of vectors of the form a e + b i + c j , where at least one of the coordinates a, b, c is nonzero. Based on the condition for the existence of inverse values, we write in accordance with Table 5 and the general definition of the operation of vector multiplication the following relation
(aе+bi+cj)o(xe+yi+zj)=(ax+εµcy+µεbz)e+(bx+ay+µcz)i+(az+εby+az)j,(a e + b i + c j ) o (x e + y i + z j ) = (ax + εµcy + µεbz) e + (bx + ay + µcz) i + (az + εby + az) j ,
из которого видно, что вопрос существования обратных значений сводится к вопросу существования решений системы уравнений вида:from which it is clear that the question of the existence of inverse values reduces to the question of the existence of solutions of a system of equations of the form:
Равенство нулю главного определителя этой системы для некоторых троек значений (a, b, с) задает вектора aе+bi+cj, для которых не существуют обратных элементов. Таким образом, получаем следующее характеристическое уравнениеThe zero principal determinant of this system for some triples of values (a, b, c) defines the vectors a e + b i + c j for which there are no inverse elements. Thus, we obtain the following characteristic equation
a3-3εµbc a+ε2µb3+εµ2с3≡0 mod р.a 3 -3εµbc a + ε 2 µb 3 + εµ 2 with 3 ≡0 mod p.
Используя формулу Кардано [Курош А.Г. Курс высшей алгебры.- М., Наука, 1971. - 431 с.] и обозначение В=(ε2µb3+εµ2с3)/2, решение последнего уравнения относительно неизвестного а можно записать в виде a0=А'+А'', гдеUsing the Cardano formula [Kurosh A.G. A course of higher algebra. - M., Nauka, 1971. - 431 pp.] And the designation B = (ε 2 µb 3 + εµ 2 s 3 ) / 2, the solution of the last equation with respect to the unknown a can be written in the form a 0 = A ' + A '', where
Из исследования характеристического уравнения вытекают следующие типовые варианты структур рассматриваемого множества трехмерных векторов.The following typical variants of the structures of the considered set of three-dimensional vectors follow from the study of the characteristic equation.
Случай 1. Число 3 не делит p-1. Существует единственное значение кубичного корня для всех значений подкоренного выражения. В этом случае число корней характеристического уравнения определяется значением его детерминантаCase 1. The number 3 does not divide p-1. There is a single cubic root value for all values of the radical expression. In this case, the number of roots of the characteristic equation is determined by the value of its determinant
D=-27(ε2µb3-εµ2с3)2(mod p).D = -27 (ε 2 µb 3 -εµ 2 s 3 ) 2 (mod p).
Если то D=0 и существует два разных корня a0' и a0'', поэтому для 2(p-1) векторов вида (a'0,b,b mod p) и (a''0,b,b mod p, где b ∈ {1,2,…,p-1}, не существует обратных значений. Если c≠b mod p, то D≠0 и существует только один корень а0, поэтому для p(p-1) векторов вида (a0 b, с), где b, с ∈ {1,2,…,p-1} не существует обратных значений. Учитывая также, что не существует обратного значения для вектора (0,0,0), и вычитая из полного числа трехмерных векторов число векторов, для которых не существует обратных значений, получаем порядок группы трехмерных векторов, равный Ω=р3-2(р-1)-p(р-1)-1=(p-1)2(p+1).If then D = 0 and there are two different roots a 0 'and a 0 ''; therefore, for 2 (p-1) vectors of the form (a' 0 , b, b mod p) and (a '' 0 , b, b mod p, where b ∈ {1,2, ..., p-1}, there are no inverse values. If c ≠ b mod p, then D ≠ 0 and there is only one root a 0 , therefore for p (p-1) vectors of the form (a 0 b, c), where b, c ∈ {1,2, ..., p-1} is not there are inverse values. Considering also that there is no inverse value for the vector (0,0,0), and subtracting from the total number of three-dimensional vectors the number of vectors for which there are no inverse values, we obtain the order of the group of three-dimensional vectors equal to Ω = p 3 -2 (p -1) -p (p-1) -1 = (p-1) 2 (p + 1).
Случай 2. Число 3 делит p-1 и каждое из произведений ε2µ и εµ2 является кубичным вычетом в поле GF(p). Анализ дискриминанта характеристического уравнения показывает, что для h=6(р-1)-3(р2+9(р-1)+2 векторов не существует обратных значений. Вычитая из полного числа векторов значение h, получаем порядок группы, равный Ω=p3-h=(p-1)3.Case 2. The number 3 divides p-1, and each of the products ε 2 µ and εµ 2 is a cubic residue in the field GF (p). Analysis of the discriminant of the characteristic equation shows that for h = 6 (p-1) -3 (p 2 +9 (p-1) + 2 vectors, there are no inverse values. Subtracting the value of h from the total number of vectors, we get the group order equal to Ω = p 3 -h = (p-1) 3 .
В рассмотренных случаях 1 и 2 множества трехмерных векторов образуют алгебраическое кольцо с операциями сложения и умножения векторов. Векторные конечные поля в этих случаях не образуются, так как не для всех векторов существуют обратные значения.In the considered cases 1 and 2, the sets of three-dimensional vectors form an algebraic ring with the operations of addition and multiplication of vectors. Vector finite fields in these cases are not formed, since not all vectors have inverse values.
Случай 3. Число 3 делит р-1 и каждое из произведений ε2µ и εµ2 является кубичным невычетом в поле GF(p). Это может иметь место, например, в случае, когда ε - кубичный вычет, а µ - кубичный невычет, или наоборот. Тогда существует единственная пара значений b и с, а именно b=с=0, для которой имеется решение a0=0 характеристического уравнения. Это означает, что в этом случае каждому ненулевому вектору можно сопоставить обратный вектор. Следовательно, в рассматриваемом случае совокупность всех трехмерных векторов образует поле GF(p3), мультипликативная группа которого является циклической и имеет порядок Ω=р3-1.Case 3. The number 3 divides p-1 and each of the products ε 2 µ and εµ 2 is a cubic non-residue in the field GF (p). This may occur, for example, in the case when ε is a cubic residue and µ is a cubic non-residue, or vice versa. Then there is a unique pair of values of b and c, namely b = c = 0, for which there is a solution a 0 = 0 of the characteristic equation. This means that in this case, each nonzero vector can be associated with an inverse vector. Therefore, in the case under consideration, the totality of all three-dimensional vectors forms a field GF (p 3 ), the multiplicative group of which is cyclic and has the order Ω = p 3 -1.
Например, при просто p=604884627778815030120967 и коэффициентах растяжения µ=1 и ε=3048145277787150301203 (кубичный невычет) образуется векторное конечное поле GF(p3), генератором мультипликативной группы которого является вектор GΩ=2е+3i+5j.For example, with just p = 604884627778815030120967 and tensile coefficients µ = 1 and ε = 3048145277787150301203 (cubic non-residue), a vector finite field GF (p 3 ) is formed, the generator of the multiplicative group of which is the vector G Ω = 2 е +3 i +5 j .
Аналогично построению конечных полей трехмерных векторов можно построить поля многомерных векторов. Для того чтобы множество m-мерных векторов составляло поле GF(pm), следует выбирать поле GF(p), для характеристики которого выполняется условие делимости m|р-1 (т.е. значение m делит нацело значение р-1). Кроме того, в соответствующую таблицу умножения базисных векторов надо ввести коэффициент растяжения ε, значение которого является невычетом степени m в поле GF(p), т.е такое значение ε, которое не может быть представлено в виде 4-й степени какого-либо другого элемента поля GF(p). В этом случае многомерные векторные пространства (для m≥4), над которыми заданы принятые выше операции сложения и умножения, составляют векторное конечное поле GF(pm). Рассмотрим некоторые частные варианты.Similarly to the construction of finite fields of three-dimensional vectors, one can construct fields of multidimensional vectors. In order for the set of m-dimensional vectors to constitute the field GF (p m ), one should choose the field GF (p), for the characterization of which the divisibility condition m | p-1 is satisfied (i.e., the value m divides the value p-1 entirely). In addition, in the corresponding multiplication table of basis vectors, it is necessary to introduce the tensile coefficient ε, the value of which is the non-residue of degree m in the field GF (p), i.e., such a value of ε that cannot be represented as the 4th degree of any other element of the field GF (p). In this case, multidimensional vector spaces (for m≥4), over which the above addition and multiplication operations are specified, make up the finite vector field GF (p m ). Consider some private options.
Случай m=4. Определим операцию умножения четырехмерных векторов aе+bi+cj+dk с помощью таблицы 6, которая обеспечивает свойство коммутативности и ассоциативности. Задавая различные конкретные значения коэффициентов растяжения, можно задавать различные варианты полей GF(p4). Для простого p=670657405878917 и коэффициента растяжения ε=33322555333777 (такое значение ε не может быть представлено в виде 4-й степени какого-либо другого элемента поля GF(p)), формируется векторное поле GF(p4), генератором мультипликативной группы которого является вектор GΩ=2е+5i+7j+11k.Case m = 4. We define the operation of multiplying four-dimensional vectors a е + b i + c j + d k using table 6, which provides the property of commutativity and associativity. By setting various specific values of the tensile coefficients, one can set various variants of the fields GF (p 4 ). For a simple p = 670657405878917 and a tensile coefficient ε = 33322555333777 (such a value of ε cannot be represented as the 4th power of any other element of the field GF (p)), a vector field GF (p 4 ) is generated, the generator of the multiplicative group of which is the vector G Ω = 2 e +5 i +7 j +11 k .
Случай m=5. Определим операцию умножения пятимерных векторов aе+bi+cj+dk+gu с помощью таблицы 7. При простом р=268675256028581 и коэффициенте растяжения ε=3048145277787 (это значение ε является невычетом 5-й степени) образуется векторное конечное поле GF(p5), генератором мультипликативной группы которого является вектор GΩ=2e+5i+7j+11k+13u.Case m = 5. We define the operation of multiplying the five-dimensional vectors a e + b i + c j + d k + g u using table 7. For a simple p = 268675256028581 and a tensile coefficient ε = 3048145277787 (this value ε is a 5th degree residue), a finite vector field is formed GF (p 5 ), the generator of the multiplicative group of which is the vector G Ω = 2 e +5 i +7 j +11 k +13 u .
Таким образом, мы показали способ построения векторных конечных полей GF(pm) для различных значений р и m, что обосновывает отличительный признак заявленного изобретения, заключающийся в том, что генерируют ЭК над конечным полем, являющимся векторным конечным полем.Thus, we have shown a method of constructing vector finite fields GF (p m ) for various values of p and m, which justifies the distinguishing feature of the claimed invention, namely, that they generate EC over a finite field, which is a vector final field.
В примере 1 последовательность действия по генерации и проверке ЭЦП в соответствии с заявленным способом имеет следующий вид:In example 1, the sequence of actions for the generation and verification of digital signatures in accordance with the claimed method has the following form:
генерируют ЭК, которая представляет собой совокупность точек ЭК, заданных в виде пар векторов, принадлежащих векторному конечному GF(p5), описанному выше (см. случай m=5) и удовлетворяющих уравнению Y2=Х3+ZaX+Zb (генерация ЭК состоит в задании векторов Za и Zb);generate an EC, which is a set of EC points defined as pairs of vectors belonging to the vector finite GF (p 5 ) described above (see case m = 5) and satisfying the equation Y 2 = X 3 + Z a X + Z b (EC generation consists of defining the vectors Z a and Z b );
методом генерации случайной равновероятной последовательности формируют секретный ключ в виде МДЧ k;by generating a random equiprobable sequence generate a secret key in the form of MDC k;
формируют открытый ключ Р в виде двух векторов XP и YP, являющихся координатами точки Р, принадлежащей ЭК, для чего генерируют точку G, принадлежащую ЭК и имеющую значение порядка, равное q, и затем генерируют точку Р по формуле Р=kG;form the public key P in the form of two vectors X P and Y P , which are the coordinates of the point P belonging to the EC, for which they generate a point G belonging to the EC and having an order value equal to q, and then generate the point P according to the formula P = kG;
принимают ЭД, представленный МДЧ Н;accept ED submitted by MDCH N;
генерируют случайное МДЧ 0<t<q, по которому формируют точку R по формуле R=tG;generating a random MDC 0 <t <q, according to which a point R is formed according to the formula R = tG;
формируют ЭЦП Q в виде пары МДЧ (r, s), для чего генерируют МДЧ r по формуле r=F(R), где F(R) - некоторая функция с целочисленными значениями, аргументом которой являются координаты точки ЭК (например, r=F(R)=xR1xR2xR3xR4xR5 mod q, где XR=(xR1,xR2,xR3,xR4,xR5) - абсцисса точки R, представляющая собой пятимерный вектор МДЧ с координатами xR1, xR2, xR3, xR4 и xR5);form an EDS Q in the form of a pair of MDCs (r, s), for which MDC r is generated by the formula r = F (R), where F (R) is a function with integer values whose argument is the coordinates of the EC point (for example, r = F (R) = x R1 x R2 x R3 x R4 x R5 mod q, where X R = (x R1 , x R2 , x R3 , x R4 , x R5 ) is the abscissa of the point R, which is a five-dimensional MDC vector with coordinates x R1 , x R2 , x R3 , x R4 and x R5 );
генерируют МДЧ s по формуле s=(tH+rk) mod q;generating MDC s according to the formula s = (tH + rk) mod q;
формируют первую проверочную БС А, для чего генерируют МДЧ (по формуле ν=sH-1 mod q и МДЧ w по формуле w=(q-rH-1) mod q, затем генерируют точку R' по формуле R'=νG+wP, после чего БС А получают в виде МДЧ А, вычисляемого по формуле А=xR' mod q, где xR' - абсцисса точки R';form the first test BS A, for which MDC (according to the formula ν = sH -1 mod q and MDC w according to the formula w = (q-rH -1 ) mod q is generated, then the point R 'is generated according to the formula R' = νG + wP then BS A is obtained in the form of MDC A, calculated by the formula A = x R ' mod q, where x R' is the abscissa of the point R ';
формируют вторую проверочную БС в виде МДЧ В, генерируемого путем копирования МДЧ r: В=r;form the second test BS in the form of MDC B generated by copying the CDM r: B = r;
сравнивают сформированные проверочные БС А и В;comparing the generated test BS A and B;
при совпадении параметров сравниваемых БС А и В делают вывод о подлинности ЭЦП.when the parameters of the compared BS A and B coincide, they conclude that the digital signature is authentic.
Пример 2Example 2
Данный пример иллюстрирует частный вариант реализации заявленного способа, соответствующий пп.1 и 3 формулы изобретения. В этом примере при формировании и проверке подлинности ЭЦП реализуется та же последовательность действий, что и в случае с прототипом, за исключением того, что генерируется ЭК, заданная над векторным конечным полем GF((3s)m), где s - степень неприводимого многочлена, задающего конечное поле многочленов GF(ps), где р=3, над которым заданы вектора и m - значение размерности векторов. Конечное поле многочленов имеет характеристику 3 и конечное векторное поле GF((3s)m) также имеет характеристику 3. Степень расширения векторного поля равна sm, т.е. в m раз больше, чем степень расширения поля многочленов. При задании ЭК над конечным полем характеристики р=3 может быть использовано уравнение ЭК вида Y2=Х3+ZaX2+Zb или уравнение вида Y2=X3+ZaX+Zb, где X, Y, Za и Zb, - вектора, принадлежащие векторному полю GF((3s)m). Пусть в примере 2 ЭК генерируется по последнему уравнению, тогда формулы для вычисления суммы С=(XC, YC)=А+В двух точек ЭК А=(XA, YA) и В=(XB, YB), где координаты точек XA, YA, XB и YB - это вектора, принадлежащие векторному полю GF((3s)m), имеют вид:This example illustrates a particular embodiment of the claimed method, corresponding to claims 1 and 3 of the claims. In this example, when generating and verifying the authenticity of the digital signature, the same sequence of actions is implemented as in the case of the prototype, with the exception of the fact that the EC generated over the finite vector field GF ((3 s ) m ) is generated, where s is the degree of the irreducible polynomial defining a finite field of polynomials GF (p s ), where p = 3, over which the vectors are given and m is the value of the dimension of the vectors. The final field of polynomials has characteristic 3 and the finite vector field GF ((3 s ) m ) also has characteristic 3. The degree of expansion of the vector field is sm, i.e. m times greater than the degree of expansion of the field of polynomials. When setting an EC over a finite field of characteristic p = 3, an EC equation of the form Y 2 = X 3 + Z a X 2 + Z b or an equation of the form Y 2 = X 3 + Z a X + Z b can be used, where X, Y, Z a and Z b , are vectors belonging to the vector field GF ((3 s ) m ). Let in Example 2 EC be generated according to the last equation, then the formulas for calculating the sum C = (X C , Y C ) = A + B of two points of EC A = (X A , Y A ) and B = (X B , Y B ) , where the coordinates of the points X A , Y A , X B and Y B are vectors belonging to the vector field GF ((3 s ) m ), have the form:
XC=K2-XA-XB и YC=K(XA-XC)-YA,X C = K 2 -X A -X B and Y C = K (X A -X C ) -Y A ,
где если точки А и В не равны, и если точки А и В равны. В приведенных в этом примере формулах операции сложения, вычитания, умножения и деления являются операциями сложения, вычитания, умножения и деления m-мерных векторов многочленов. Используя хорошо известный метод задания точек ЭК в проективных координатах [Болотов А.А., Гашков С.Б., Фролов А.Б. Элементарное введение в эллиптическую криптографию: Протоколы криптографии на эллиптических кривых. - М.: КомКнига/URSS, 2006. - 274 с.(см. с.35-45)] сумма двух точек может быть вычислена только с использованием операций умножения, сложения и вычитания, что является общим методом уменьшения времени выполнения операции сложения точек ЭК.Where if points A and B are not equal, and if points A and B are equal. In the formulas given in this example, the operations of addition, subtraction, multiplication and division are the operations of addition, subtraction, multiplication and division of m-dimensional vectors of polynomials. Using the well-known method of specifying EC points in projective coordinates [Bolotov AA, Gashkov SB, Frolov AB An Elementary Introduction to Elliptic Cryptography: Protocols of Cryptography on Elliptic Curves. - M .: KomKniga / URSS, 2006. - 274 p. (See p. 35-45)] the sum of two points can only be calculated using the operations of multiplication, addition and subtraction, which is a common method for reducing the time of the operation of adding points EC
Векторные конечные поля GF((3s)m) над конечными полями многочленов GF(3s) задаются следующим образом. Выбирают значения m и s такими, что выполняется условие делимости m|3s-1 (т.е. значение m делит нацело значение 3s-1). Затем в качестве коэффициента растяжения, присутствующего в соответствующих клетках таблицы умножения базисных векторов, берется многочлен ε степени не более s-1, такой, что он не может быть представлен в виде m-й степени какого-либо другого многочлена (при m≥2 такие многочлены ε всегда существуют и их легко вычислить). Приведем примеры построения векторных конечных полей вида GF((3s)m), заданные над троичными многочленами. Троичными многочленами называются многочлены, заданные над полем GF(3).The finite vector fields GF ((3 s ) m ) over the finite fields of the polynomials GF (3 s ) are defined as follows. The values of m and s are chosen such that the divisibility condition m | 3 s -1 is satisfied (i.e., the value of m divides the value of 3 s -1 completely). Then, as a tensile coefficient present in the corresponding cells of the basis vector multiplication table, we take a polynomial ε of degree at most s-1, such that it cannot be represented as the mth degree of any other polynomial (for m≥2, the polynomials ε always exist and are easy to compute). We give examples of constructing vector finite fields of the form GF ((3 s ) m ) given over ternary polynomials. Trinity polynomials are polynomials defined over the field GF (3).
Случай m=4, р=3 и s=12. Определим операцию умножения четырехмерных векторов aе+bi+cj=dk, где координаты a, b, с и d представляют собой многочлены над простым полем GF(3), с помощью таблицы 6 и коэффициента растяжения ε=ε(z)=z2+1. В качестве неприводимого многочлена возьмем троичный многочлен η(z)=z12+2z11+z10+2z9+2z8+z7+z6+z5+z3+1, который можно также представить в хорошо известной форме записи троичных многочленов η(z)=(1212211101001), в которой троичный многочлен представлен последовательностью его коэффициентов. Выбранные параметры задают векторное конечное поле GF((312)4), генератором мультипликативной группы которого является вектор GΩ=(1101)е+(2011)i+(112)j+(121)k.Case m = 4, p = 3 and s = 12. We define the operation of multiplying four-dimensional vectors a е + b i + c j = d k , where the coordinates a, b, c, and d are polynomials over a simple field GF (3), using Table 6 and the tensile coefficient ε = ε (z) = z 2 +1. As an irreducible polynomial we take the ternary polynomial η (z) = z 12 + 2z 11 + z 10 + 2z 9 + 2z 8 + z 7 + z 6 + z 5 + z 3 +1, which can also be represented in the well-known notation ternary polynomials η (z) = (1212211101001), in which the ternary polynomial is represented by a sequence of its coefficients. The selected parameters determine the vector finite field GF ((3 12 ) 4 ), the generator of the multiplicative group of which is the vector G Ω = (1101) e + (2011) i + (112) j + (121) k .
Случай m=5,p=3 и s=8. Определим операцию умножения пятимерных векторов aе+bi+cj+dk+hu, где координаты а, b, с, d и h представляют собой многочлены над полем GF(3), с помощью таблицы 6 и коэффициента растяжения ε=ε(z)=z2+1. В качестве неприводимого многочлена возьмем троичный многочлен η(z)=z8+z7+2z6+z5+z3+z2+1, который можно также представить в хорошо известной форме записи троичных многочленов η(z)=(112101101), в которой троичный многочлен представлен последовательностью его коэффициентов. Выбранные параметры задают векторное конечное поле GF((38)5), генератором мультипликативной группы которого является вектор GΩ=(120l)e+(2011)i+(112)j+(121)k+(12)u.Case m = 5, p = 3 and s = 8. We define the operation of multiplying the five-dimensional vectors a e + b i + c j + d k + h u , where the coordinates a, b, c, d and h are polynomials over the field GF (3), using Table 6 and the tensile coefficient ε = ε (z) = z 2 +1. As an irreducible polynomial, we take the ternary polynomial η (z) = z 8 + z 7 + 2z 6 + z 5 + z 3 + z 2 +1, which can also be represented in the well-known form of writing ternary polynomials η (z) = (112101101 ), in which the ternary polynomial is represented by a sequence of its coefficients. The selected parameters determine the vector finite field GF ((3 8 ) 5 ), the generator of the multiplicative group of which is the vector G Ω = (120l) e + (2011) i + (112) j + (121) k + (12) u .
Таким образом, мы показали способ построения векторных конечных полей GF((3s)m), заданных над конечным полем GF(ps) многочленов для значения р=3 и различных значений s, что обосновывает отличительный признак п.3 формулы изобретения, заключающийся в том, что генерируют ЭК над конечным полем, являющимся векторным конечным полем, заданным над конечным полем многочленов GF(ps), где s - степень расширения поля и р - характеристика поля, причем р=3. В примере 2 последовательность действия по генерации и проверке ЭЦП в соответствии с заявленным способом имеет вид последовательности действий примера 1, за исключением того, что первый шаг последовательности действий в примере 1 заменяется следующим действием: генерируют ЭК, которая представляет собой совокупность пар векторов, принадлежащих векторному конечному полю GF((38)5), описанному выше (см. случай m=5,р=3 и s=8) и удовлетворяющих уравнению Y2=Х3+ZaX+Zb.Thus, we have shown a method for constructing vector finite fields GF ((3 s ) m ) defined over a finite field GF (p s ) of polynomials for p = 3 and various values of s, which justifies the distinguishing feature of claim 3 of the claims, which consists in in that they generate an EC over a finite field, which is a vector finite field defined over a finite field of polynomials GF (p s ), where s is the degree of expansion of the field and p is the characteristic of the field, and p = 3. In example 2, the sequence of actions for generating and checking the digital signature in accordance with the claimed method has the form of the sequence of actions of example 1, except that the first step of the sequence of actions in example 1 is replaced by the following action: generate an EC, which is a collection of pairs of vectors belonging to the vector the finite field GF ((3 8 ) 5 ) described above (see the case m = 5, p = 3 and s = 8) and satisfying the equation Y 2 = X 3 + Z a X + Z b .
Пример 3Example 3
Данный пример иллюстрирует частный вариант реализации заявленного способа, соответствующий пп.1 и 4 формулы изобретения. В этом примере при формировании и проверке подлинности ЭЦП реализуется та же последовательность действий, что и в случае с прототипом, за исключением того, что генерируется ЭК, заданная над векторным конечным полем GF((2s)m), где s - степень неприводимого многочлена, задающего конечное поле многочленов GF(ps), где р=2, над которым заданы вектора и m - значение размерности векторов (конечное поле многочленов имеет характеристику 2 и конечное векторное поле также имеет характеристику 2). При р=2 для генерации ЭК используются уравнения следующих двух видов Y2+XY=X3+ZaX2+Zb This example illustrates a particular embodiment of the claimed method, corresponding to claims 1 and 4 of the claims. In this example, when generating and verifying the authenticity of the digital signature, the same sequence of actions is implemented as in the case of the prototype, except that the EC generated over the finite vector field GF ((2 s ) m ) is generated, where s is the degree of the irreducible polynomial defining a finite field of polynomials GF (p s ), where p = 2 over which vectors are given and m is the dimension value of vectors (the finite field of polynomials has characteristic 2 and the finite vector field also has characteristic 2). When p = 2, the following two types of equations are used to generate EC: Y 2 + XY = X 3 + Z a X 2 + Z b
и Y2+ZcY=X3+ZaX+Zb, где X, Y, Za, Zb и Zc - вектора, принадлежащие векторному полю GF((2s)m). Будем предполагать, что в примере 3 генерируют ЭК в соответствии со вторым уравнением. Тогда формулы для вычисления суммы двух точек ЭК А и В с координатами соответственно (XA, YA) и (XB, YB) где XA, YA, XB и YB вектора, принадлежащие векторному полю GF((2s)m) имеют вид [A.J.Menezes, S.A.Vanstone. Elliptic curve cryptosystems and their implementation // Journal of cryptology. 1993. Vol.6. No 4. P.209-224]:and Y 2 + Z c Y = X 3 + Z a X + Z b , where X, Y, Z a , Z b and Z c are vectors belonging to the vector field GF ((2 s ) m ). We will assume that in Example 3 an EC is generated in accordance with the second equation. Then the formulas for calculating the sum of two points EC A and B with coordinates respectively (X A , Y A ) and (X B , Y B ) where X A , Y A , X B and Y B are vectors belonging to the vector field GF ((2 s ) m ) have the form [AJMenezes, SAVanstone. Elliptic curve cryptosystems and their implementation // Journal of cryptology. 1993. Vol. 6. No 4. P.209-224]:
и and
В приведенных в этом примере формулах операции сложения, вычитания, умножения и деления являются операциями сложения, вычитания, умножения и деления m-мерных векторов, являющихся элементами векторного конечного поля GF(2s)m). Используя хорошо известный метод задания точек ЭК в проективных координатах, сумма двух точек может быть вычислена только с использованием операций умножения, сложения и вычитания, что является общим методом уменьшения времени выполнения операции сложения точек ЭК (см., например, статью [A.J.Menezes, S.A.Vanstone. Elliptic curve cryptosystems and their implementation // Journal of cryptology. 1993. Vol.6. No 4. P. 209-224] и книгу [Болотов А.А., Гашков С.Б., Фролов А.Б. Элементарное введение в эллиптическую криптографию: Протоколы криптографии на эллиптических кривых. - М.: КомКнига/URSS, 2006. - 274 с.; см. с.35-45]).In the formulas given in this example, the operations of addition, subtraction, multiplication, and division are the operations of addition, subtraction, multiplication, and division of m-dimensional vectors that are elements of the vector finite field GF (2 s ) m ). Using the well-known method for specifying EC points in projective coordinates, the sum of two points can only be calculated using the operations of multiplication, addition, and subtraction, which is a general method for reducing the execution time of the operation of adding EC points (see, for example, the article [AJMenezes, SAVanstone. Elliptic curve cryptosystems and their implementation // Journal of cryptology. 1993. Vol.6. No 4. P. 209-224] and the book [Bolotov AA, Gashkov SB, Frolov A.B. Elementary introduction to elliptic cryptography: Protocols of cryptography on elliptic curves. - M .: KomKniga / URSS, 2006. - 274 p .; see p. 35-45]).
Векторные конечные поля GF((2s)m) над конечными полями многочленов GF(2s) задаются следующим образом. Выбирают значения m и s такими, что выполняется условие делимости m|2s-1 (т.е. значение m делит нацело значение 2s-1). Затем в качестве коэффициента растяжения, присутствующего в соответствующих клетках таблицы умножения базисных векторов, берется многочлен ε степени не более s - 1, такой, что он не может быть представлен в виде m-й степени какого-либо другого многочлена (при m≥2 такие многочлены ε всегда существуют и их легко вычислить). Приведем примеры построения векторных конечных полей вида GF((2s)m).The finite vector fields GF ((2 s ) m ) over the finite fields of the polynomials GF (2 s ) are defined as follows. The values of m and s are chosen such that the divisibility condition m | 2 s -1 is satisfied (i.e., the value of m divides the entire value of 2 s -1). Then, as the tensile coefficient present in the corresponding cells of the basis vector multiplication table, we take a polynomial ε of degree at most s - 1, such that it cannot be represented as the mth degree of any other polynomial (for m≥2, the polynomials ε always exist and are easy to compute). We give examples of constructing vector finite fields of the form GF ((2 s ) m ).
Случай m=3, р=2 и s=16. Определим операцию умножения трехмерных векторов aе+bi+cj, где координаты a, b и с представляют собой многочлены над полем GF(2) (такие многочлены называются двоичными многочленами), с помощью таблицы 3 и коэффициента растяжения ε=ε(z)=z3+1. В качестве неприводимого многочлена возьмем двоичный многочлен η(z)=z16+z15+z14+zl2+z11+z10+z9+z2+1, который можно также представить в хорошо известной форме записи двоичных многочленов η(z)=(11101111000000101), в которой двоичный многочлен представлен последовательностью его коэффициентов. Выбранные параметры задают векторное конечное поле GF((216)3), генератором мультипликативной группы которого является вектор GΩ=(1101)е+(1001)i+(110)j.Case m = 3, p = 2 and s = 16. We define the operation of multiplying three-dimensional vectors a е + b i + c j , where the coordinates a, b, and c are polynomials over the field GF (2) (such polynomials are called binary polynomials) using Table 3 and the tensile coefficient ε = ε (z ) = z 3 +1. As an irreducible polynomial, we take the binary polynomial η (z) = z 16 + z 15 + z 14 + z l2 + z 11 + z 10 + z 9 + z 2 +1, which can also be represented in the well-known form of writing binary polynomials η (z) = (11101111000000101), in which the binary polynomial is represented by a sequence of its coefficients. The selected parameters determine the vector finite field GF ((2 16 ) 3 ), the generator of the multiplicative group of which is the vector G Ω = (1101) е + (1001) i + (110) j .
Случай m=5, р=2 и s=12. Определим операцию умножения пятимерных векторов aе+bi+cj+dk+gu, где координаты a, b, с, d и g представляют собой многочлены над полем GF(2) (такие многочлены называются двоичными многочленами), с помощью таблицы 3 и коэффициента растяжения ε=ε(z)=z2+1. В качестве неприводимого многочлена возьмем двоичный многочлен η(z)=z12+z10+z5+z4+z2z+1, который можно также представить в хорошо известной форме записи двоичных многочленов η(z)=(1010000110111), в которой двоичный многочлен представлен последовательностью его коэффициентов. Выбранные параметры задают векторное конечное поле GF((212)5), генератором мультипликативной группы которого является вектор GΩ=(1101)е+(1011)i+(110)j+(101)k+(10)u.Case m = 5, p = 2 and s = 12. We define the operation of multiplying the five-dimensional vectors a e + b i + c j + d k + g u , where the coordinates a, b, c, d and g are polynomials over the field GF (2) (such polynomials are called binary polynomials), using table 3 and the tensile coefficient ε = ε (z) = z 2 +1. As an irreducible polynomial we take the binary polynomial η (z) = z 12 + z 10 + z 5 + z 4 + z 2 z + 1, which can also be represented in the well-known form of writing binary polynomials η (z) = (1010000110111), in which the binary polynomial is represented by a sequence of its coefficients. The selected parameters determine the vector finite field GF ((2 12 ) 5 ), the generator of the multiplicative group of which is the vector G Ω = (1101) е + (1011) i + (110) j + (101) k + (10) u .
Таким образом, мы показали способ построения векторных конечных полей GF((2s)m), заданных над конечным полем GF(ps) многочленов для значения р=2 и различных значений s, что обосновывает отличительный признак п.4 формулы изобретения, заключающийся в том, что генерируют ЭК над конечным полем, являющимся векторным конечным полем, заданным над конечным полем многочленов GF(ps), где s - степень расширения поля и р - характеристика поля, причем р=2. В примере 3 последовательность действия по генерации и проверке ЭЦП в соответствии с заявленным способом имеет вид последовательности действий примера 1, за исключением того, что первый шаг последовательности действий в примере 1 заменяется следующим действием: генерируют ЭК, которая представляет собой совокупность пар векторов, принадлежащих векторному конечному полю GF((212)5), описанному выше (см. случай m=5, p=2 и s=12) и удовлетворяющих уравнению Y2+ZcY=Х3+ZaX+Zb.Thus, we have shown a method for constructing vector finite fields GF ((2 s ) m ) defined over a finite field GF (p s ) of polynomials for p = 2 and various values of s, which justifies the distinguishing feature of claim 4, which consists in in that they generate an EC over a finite field, which is a vector finite field defined over a finite field of polynomials GF (p s ), where s is the degree of expansion of the field and p is the characteristic of the field, and p = 2. In example 3, the sequence of actions for generating and checking the digital signature in accordance with the claimed method has the form of the sequence of actions of example 1, except that the first step of the sequence of actions in example 1 is replaced by the following action: generate an EC, which is a collection of pairs of vectors belonging to the vector the finite field GF ((2 12 ) 5 ) described above (see the case m = 5, p = 2 and s = 12) and satisfying the equation Y 2 + Z c Y = X 3 + Z a X + Z b .
Пример 4Example 4
Данный пример иллюстрирует частный вариант реализации заявленного способа, соответствующий пп.1 и 5 формулы изобретения. В этом примере при формировании и проверке подлинности ЭЦП реализуется та же последовательность действий, что и в случае с прототипом, за исключением того, что генерируется ЭК, заданная над векторным конечным полем GF((ps)m), где р>3 и m - значение размерности векторов, заданным над конечным полем многочленов GF(ps). При этом генерируется ЭК, описываемая уравнением Y2=Х3+ZaX+Zb, где Za и Zb - вектора, принадлежащие векторному полю GF((ps)m), аналогичным уравнению ЭК в случае примера 1. Формулы для вычисления суммы двух точек ЭК А и В с координатами соответственно (XA, YA) и (XB,YB), где XA, YA, XB и YB - вектора, принадлежащие векторному полю GF((ps)m), имеют вид: XC=К2-XA-XB и YC=K(XA-XC)-YA, где если точки А и В не равны, и если точки А и В равны. В приведенных в этом примере формулах операции сложения, вычитания, умножения и деления являются операциями сложения, вычитания, умножения и деления m-мерных векторов, а координаты точек ЭК и коэффициенты Za, Zb и К уравнения ЭК являются m-мерными векторами многочленов степени s, т.е. элементами векторного конечного поля GF((ps)m). При задании точек ЭК в проективных координатах сумма двух точек может быть вычислена только с использованием операций умножения, сложения и вычитания [Молдовян Н.А., Молдовян А.А., Еремеев М.А. Криптография: от примитивов к синтезу алгоритмов. - СПб., БХВ-Петербург, 2004. 446 с. (см. с.126-128)], что является общим методом уменьшения времени выполнения операции сложения точек ЭК. Благодаря тому, что операция умножения в конечных полях, заданных в векторной форме, эффективно распараллеливается, использование ЭК, заданных над векторными полями, позволяет существенно повысить производительность процедур формирования и проверки ЭЦП в способах, основанных на выполнении операций над точками ЭК.This example illustrates a particular embodiment of the claimed method, corresponding to claims 1 and 5 of the claims. In this example, when generating and verifying the authenticity of the digital signature, the same sequence of actions is implemented as in the case of the prototype, except that the EC generated over the final vector field GF ((p s ) m ) is generated, where p> 3 and m is the value of the dimension of the vectors given over the finite field of polynomials GF (p s ). This generates an EC described by the equation Y 2 = X 3 + Z a X + Z b , where Z a and Z b are vectors belonging to the vector field GF ((p s ) m ), similar to the EC equation in the case of Example 1. Formulas to calculate the sum of two points of EC A and B with coordinates (X A , Y A ) and (X B , Y B ), respectively, where X A , Y A , X B and Y B are vectors belonging to the vector field GF ((p s ) m ) have the form: X C = K 2 -X A -X B and Y C = K (X A -X C ) -Y A , where if points A and B are not equal, and if points A and B are equal. In the formulas given in this example, the operations of addition, subtraction, multiplication and division are the operations of addition, subtraction, multiplication and division of m-dimensional vectors, and the coordinates of the points EC and the coefficients Z a , Z b and K of the equation EC are m-dimensional vectors of polynomials of degree s, i.e. elements of a finite vector field GF ((p s ) m ). When specifying EC points in projective coordinates, the sum of two points can only be calculated using the operations of multiplication, addition, and subtraction [Moldovyan NA, Moldovyan AA, Eremeev MA Cryptography: from primitives to the synthesis of algorithms. - SPb., BHV-Petersburg, 2004.446 s. (see p.126-128)], which is a common method for reducing the execution time of the operation of adding points EC. Due to the fact that the multiplication operation in the final fields specified in vector form is efficiently parallelized, the use of ECs defined over vector fields can significantly improve the performance of procedures for generating and checking digital signatures in methods based on operations on EC points.
Рассмотрим конкретные примеры векторных конечных полей GF((ps)m), где р>3 и m - значение размерности векторов, заданных над конечными полями многочленов вида GF(ps).Consider specific examples of vector finite fields GF ((p s ) m ), where p> 3 and m is the dimension value of vectors defined over finite fields of polynomials of the form GF (p s ).
Случай m=5, р=991 и s=2. Этот случай относится к пространству пятимерных векторов aе+bi+cj+dk+hu, где координаты a, b, с, d и h представляют собой многочлены первой или нулевой степени над полем GF(991). Все возможные значения многочленов степени, меньшей чем s=2 (т.е. многочленов первой и нулевой степени), образуют поле GF(9912), в котором умножение задано как умножение многочленов по модулю неприводимого многочлена второй степени (s=2), например по модулю неприводимого многочлена η(z)=z2+373z+601. Определим операцию умножения пятимерных векторов с помощью таблицы 7 и коэффициента растяжения ε=ε(z)=3z2+2z. Выбранные параметры задают векторное конечное поле GF((9912)5), генератором мультипликативной группы которого является вектор многочленов GΩ=(3z+1)е+(5z+7)i+(3z+2)j+(z+l)k+(3z+l)u.Case m = 5, p = 991 and s = 2. This case refers to the space of five-dimensional vectors a e + b i + c j + d k + h u , where the coordinates a, b, c, d and h are polynomials of the first or zero degree over the field GF (991). All possible values of polynomials of degree less than s = 2 (i.e., polynomials of the first and zero degrees) form the field GF (991 2 ), in which the multiplication is specified as the multiplication of polynomials modulo an irreducible polynomial of the second degree (s = 2), for example, modulo an irreducible polynomial η (z) = z 2 + 373z + 601. We define the operation of multiplying five-dimensional vectors using table 7 and the stretching coefficient ε = ε (z) = 3z 2 + 2z. The selected parameters define a finite vector field GF ((991 2 ) 5 ), the generator of the multiplicative group of which is the vector of polynomials G Ω = (3z + 1) е + (5z + 7) i + (3z + 2) j + (z + l ) k + (3z + l) u .
Случай m=3, р=127 и s=5. Рассмотрим пространство трехмерных векторов aе+bi+cj, где координаты a, b, и с представляют собой многочлены над полем GF(127). Все возможные значения многочленов степени не выше четвертой образуют поле GF(1275), в котором умножение задано как умножение многочленов по модулю неприводимого многочлена, например η(z)=z5+120z4+16z3+114z2+69z+34. Определим операцию умножения трехмерных векторов с помощью таблицы 3 и коэффициента растяжения ε=ε(z)=z2+5z+2. Выбранные параметры задают векторное конечное поле GF((1275)3), генератором мультипликативной группы которого является вектор GΩ=(z3+2z2+z)e+(7z3+5z2+3z+2)i+(z3+3z2+5z+l)j.Case m = 3, p = 127 and s = 5. Consider the space of three-dimensional vectors a e + b i + c j , where the coordinates a, b, and c are polynomials over the field GF (127). All possible values of polynomials of degree not higher than the fourth form the field GF (127 5 ), in which the multiplication is specified as the multiplication of polynomials modulo an irreducible polynomial, for example, η (z) = z 5 + 120z 4 + 16z 3 + 114z 2 + 69z + 34. We define the operation of multiplying three-dimensional vectors using table 3 and the tensile coefficient ε = ε (z) = z 2 + 5z + 2. The selected parameters determine the vector finite field GF ((127 5 ) 3 ), the generator of the multiplicative group of which is the vector G Ω = (z 3 + 2z 2 + z) e + (7z 3 + 5z 2 + 3z + 2) i + (z 3 + 3z 2 + 5z + l) j .
Выполнение операций сложения, умножения и деления многочленов, а также операций умножения и сложения по модулю неприводимого многочлена широко описано в научно-технической литературе. Также широко представлена реализация конечных полей многочленов и основные их свойства (см., например, книги [Курош А.Г. Курс высшей алгебры.- М., Наука, 1971. - 431 с.], [Кострикин А.И. Введение в алгебру. Основы алгебры. М.: Физматлит.1994. - 320 с], [А.Акритас. Основы компьютерной алгебры с приложениями. М., Мир, 1994. - 544 с.] и [Л.Б.Шнеперман. Курс алгебры и теории чисел в задачах и упражнениях.- Минск, Вышэйшая школа, 1986. - 272 с.]).The operations of addition, multiplication and division of polynomials, as well as operations of multiplication and addition modulo an irreducible polynomial are widely described in the scientific and technical literature. The realization of finite fields of polynomials and their main properties are also widely represented (see, for example, the books [Kurosh A.G. Course of Higher Algebra. - M., Nauka, 1971. - 431 pp.], [Kostrikin A.I. Introduction to algebra. Fundamentals of algebra. M: Fizmatlit. 1994. - 320 s], [A. Akritas. Fundamentals of computer algebra with applications. M., Mir, 1994. - 544 p.] and [LB Shneperman. Algebra course. and number theory in tasks and exercises. - Minsk, Higher School, 1986. - 272 p.]).
Таким образом, в примере 4 мы показали способ построения векторных конечных полей GF((ps)m) для различных значений p>3, s≥2 и m≥2, что обосновывает отличительный признак п.5 формулы изобретения, заключающийся в том, что генерируют ЭК над конечным полем, являющимся векторным конечным полем, заданным над конечным полем многочленов GF(ps), где s - степень расширения поля и р - характеристика поля, причем р>3. В примере 4 последовательность действия по генерации и проверке ЭЦП в соответствии с заявленным способом имеет следующий вид:Thus, in Example 4, we showed a method for constructing vector finite fields GF ((p s ) m ) for various values of p> 3, s≥2 and m≥2, which justifies the distinguishing feature of claim 5 of the claims, namely, that generate an EC over a finite field, which is a vector finite field defined over a finite field of polynomials GF (p s ), where s is the degree of expansion of the field and p is the characteristic of the field, and p> 3. In example 4, the sequence of actions for the generation and verification of digital signatures in accordance with the claimed method has the following form:
генерируют ЭК, которая представляет собой совокупность пар векторов, принадлежащих векторному конечному полю GF((1275)3), описанному выше (см. случай m=3, р=127 и s=5) и удовлетворяющих уравнению Y2=Х3+ZaX+Zb (генерация ЭК состоит в задании векторов Za и Zb);generate an EC, which is a collection of pairs of vectors belonging to the vector finite field GF ((127 5 ) 3 ) described above (see the case m = 3, p = 127 and s = 5) and satisfying the equation Y 2 = X 3 + Z a X + Z b (EC generation consists of defining the vectors Z a and Z b );
формируют случайный секретный ключ в виде МДЧ k;form a random secret key in the form of MDC k;
формируют открытый ключ Р в виде двух векторов XP и YP векторному конечному полю GF((1275)3) и являющихся координатами точки Р, принадлежащей ЭК, для чего генерируют точку G, имеющую значение порядка равное q;forming the public key P in the form of two vectors X P and Y P to the vector finite field GF ((127 5 ) 3 ) and being the coordinates of the point P belonging to the EC, for which a point G is generated having an order value equal to q;
принимают ЭД, представленный МДЧ Н;accept ED submitted by MDCH N;
генерируют случайное МДЧ 0<t<q, по которому формируют точку R по формуле R=tG;generating a random MDC 0 <t <q, according to which a point R is formed according to the formula R = tG;
формируют ЭЦП Q в виде пары МДЧ (r, s), для чего генерируют МДЧ r по формуле r=Н+{XR} mod q, где XR=(xR1,xR2,xR3) - абсцисса точки R, представляющая собой трехмерный вектор многочленов с координатами xR1=xR1(z), XR2=xR2(z) xR3=xR3(z) и {XR} - МДЧ, полученное подстановкой в многочлен x(z)=xR1xR2xR3=xR1(z)xR2(z)xR3(z) значения z=1;form an EDS Q in the form of a pair of MDC (r, s), for which MDC r is generated by the formula r = H + {X R } mod q, where X R = (x R1 , x R2 , x R3 ) is the abscissa of the point R, which is a three-dimensional vector of polynomials with coordinates x R1 = x R1 (z), X R2 = x R2 (z) x R3 = x R3 (z), and {X R } is the MDC obtained by substituting into the polynomial x (z) = x R1 x R2 x R3 = x R1 (z) x R2 (z) x R3 (z) values z = 1;
генерируют МДЧ s по формуле s=(t+rk) mod q;generating MDC s according to the formula s = (t + rk) mod q;
формируют первую проверочную БС А, для чего генерируют точку R' по формуле R'=sG-rP, после чего БС А получают в виде МДЧ А, вычисляемого по формуле А=Н+{XR'} mod q, где xR' - абсцисса точки R';form the first test BS A, for which point R 'is generated by the formula R' = sG-rP, after which BS A is obtained in the form of MDC A, calculated by the formula A = H + {X R ' } mod q, where x R' - the abscissa of the point R ';
формируют вторую проверочную БС в виде МДЧ В, генерируемого путем копирования МДЧ r: В=r;form the second test BS in the form of MDC B generated by copying the CDM r: B = r;
сравнивают сформированные проверочные БС А и В;comparing the generated test BS A and B;
при совпадении параметров сравниваемых БС А и В делают вывод о подлинности ЭЦП.when the parameters of the compared BS A and B coincide, they conclude that the digital signature is authentic.
Корректность процедур генерации и проверки ЭЦП в последнем примере доказывается в общем случае путем доказательства того, что точка R' совпадает с точкой R, а значит, значение проверочной БС А совпадает со значением r, поскольку r и А вычисляются по одной и той же формуле H+{XR∗} mod q при параметре R*=R и R*=R'=R соответственно. Действительно, имеем:The correctness of the procedures for generating and checking the digital signature in the last example is proved in the general case by proving that the point R 'coincides with the point R, which means that the value of the test BS A coincides with the value of r, since r and A are calculated using the same formula H + {X R ∗ } mod q with the parameter R * = R and R * = R '= R, respectively. Indeed, we have:
R'=sG-rP=(t+rk)G-r(kG)=tG+rkG-rkG)=tG=R⇒A=H+{XR'}modq=H+{XR}modq=r=B,R '= sG-rP = (t + rk) Gr (kG) = tG + rkG-rkG) = tG = R⇒A = H + {X R' } modq = H + {X R } modq = r = B,
т.е., если параметры подписи (r, s) сформированы с использованием подлинного секретного ключа, то при выполнении процедуры проверки подлинности ЭЦП получим совпадение первой и второй проверочных БС: А=В.i.e., if the signature parameters (r, s) are generated using a genuine secret key, then when performing the digital signature authentication procedure, we obtain the coincidence of the first and second verification BS: A = B.
Для практики представляют интерес различные варианты значений размерности m векторов. Выбор соответствующей размерности m зависит от требований конкретных применений заявленного способа генерации и проверки ЭЦП. Например, при использовании 32-разрядных процессоров для выполнения вычислений интерес представляют простые значения размерности m=5, m=7, m=11 и m=13. При аппаратной реализации в виде специализированных вычислительных устройств высокая производительность процедур генерации проверки ЭЦП может быть достигнута при значениях размерности векторов m=8, m=9, m=16 и m=32. Наиболее высокая производительность при аппаратной реализации может быть достигнута при использовании заявленного способа для случая использования векторов двоичных многочленов. Это объясняется тем, что операции сложения и умножения и двоичных многочленов в конечных полях двоичных многочленов являются наиболее эффективными с точки зрения получения высокого быстродействия и уменьшения сложности аппаратной реализации. Таблицы умножения базисных векторов, пригодные для задания векторных конечных полей для различных значений размерности m приведены в статьях [П.А.Молдовяну, Е.С.Дернова, Д.Н.Молдовян. Синтез конечных расширенных полей для криптографических приложений // Вопросы защиты информации. 2008. №3(82). С.2-7] и [Д.Н.Молдовян, П.А.Молдовяну. Задание умножения в полях векторов большой размерности // Вопросы защиты информации. 2008. №3(82). С.12-17].For practice, various options of values of dimension m vectors are of interest. The choice of the appropriate dimension m depends on the requirements of specific applications of the claimed method for generating and verifying the digital signature. For example, when using 32-bit processors to perform calculations, of interest are simple values of dimension m = 5, m = 7, m = 11, and m = 13. With hardware implementation in the form of specialized computing devices, high performance of the procedures for generating digital signature checks can be achieved with vectors m = 8, m = 9, m = 16, and m = 32. The highest performance in hardware implementation can be achieved by using the claimed method for the case of using vectors of binary polynomials. This is because the operations of addition and multiplication and binary polynomials in the finite fields of binary polynomials are most effective in terms of obtaining high performance and reducing the complexity of hardware implementation. Multiplication tables of basis vectors suitable for defining vector finite fields for various values of dimension m are given in the articles [P.A. Moldovyanu, E.S.Dernova, D.N. Moldovyan. Synthesis of finite extended fields for cryptographic applications // Issues of information security. 2008. No3 (82). P.2-7] and [D.N. Moldovyan, P.A. Moldovyan. The task of multiplication in the fields of vectors of large dimension // Issues of information security. 2008. No3 (82). S.12-17].
Приведенные выше примеры показывают принципиальную реализуемость векторных конечных полей различных значений характеристики поля и размерности векторов, а также реализуемость ЭК над конечными векторными полями, и способов генерации и проверки подлинности ЭЦП, основанных на выполнении операций сложения точек ЭК, заданной над векторным конечным полем. Переход к использованию ЭК, заданных над векторными полями, обеспечивает возможность эффективного распараллеливания процедур генерации и проверки ЭЦП, за счет чего достигается существенный выигрыш в производительности. Кроме того, применение ЭК над векторными конечными полями обеспечивает дополнительный рост производительности за счет снижения сложности умножения при заданном размере порядка поля. Рассмотрим вопрос снижения сложности умножения элементов конечного поля GF(pm), заданного в векторной форме при фиксированном размере порядка поля. Сравним сложность операции умножения в поле такого типа со сложностью умножения в простом поле GF(p'), где |р'|=m|р| (здесь и далее |р| обозначает битовую длину числа р). Операция умножения элементов в векторном конечном поле GF(pm) включает m2 операций умножения в поле GF(p), причем сложность операции умножения в поле GF(p) пропорциональна |p|2, поэтому при прямолинейном выполнении операции умножения в поле GF(pm), представленном в векторной форме, ее сложность примерно равна сложности умножения в поле Z p' (сложностью операций арифметического сложения мы пренебрегаем ввиду их относительной малости). Однако имеется следующий способ снижения операции умножения в векторном конечном поле. При умножении m-мерных векторов осуществляются обычные арифметические операции умножения соответствующих пар координат векторов-сомножителей, результаты суммируются, а затем выполняется операция арифметического деления полученного результата на значение р. При этом число арифметических умножений остается равным m2, а число делений уменьшается в m раз, становясь равным m. При этом сложность операции деления возрастает за счет увеличения делимого несущественно, так как размер последнего увеличивается всего лишь на несколько битов. Это не вносит существенного увеличения сложности операции деления в случае практически значимых размеров значений координат, которые определяются размерами модуля и равны от |р|=16 до |р|=200 бит для значений размерности от m=13 до m=3 соответственно. Поскольку сложность операции деления значительно превосходит сложность операции умножения, то сложность операции умножения элементов поля GF(pm) снижается примерно пропорционально значению m. Наличие дополнительных операций умножения на коэффициенты растяжения, используемые для создания условия формирования полей в конечных векторных пространствах, не вносят существенного вклада в общую сложность всех операций арифметического умножения, поскольку в качестве таких коэффициентов растяжения можно подобрать значения размером в два-три бита.The above examples show the principal realizability of vector finite fields of various values of the field characteristics and dimension of vectors, as well as the realizability of EC over finite vector fields, and methods for generating and verifying the authenticity of digital signatures based on the operation of adding points of EC specified over a vector finite field. The transition to the use of ECs defined over vector fields provides the ability to efficiently parallelize the procedures for generating and checking digital signatures, thereby achieving a significant performance gain. In addition, the use of EC over vector finite fields provides an additional increase in productivity by reducing the complexity of multiplication at a given size of the field order. Consider the question of reducing the complexity of multiplying the elements of a finite field GF (p m ) given in vector form for a fixed size of the field order. Let us compare the complexity of the multiplication operation in a field of this type with the complexity of the multiplication in a simple field GF (p '), where | p' | = m | p | (hereinafter | p | denotes the bit length of the number p). The operation of multiplication of elements in a vector finite field GF (p m ) includes m 2 operations of multiplication in the field GF (p), and the complexity of the operation of multiplication in the field GF (p) is proportional to | p | 2 , therefore, when performing the operation of multiplication in the field GF (p m ) in vector form in a straightforward manner, its complexity is approximately equal to the complexity of multiplication in the field Z p ' (we neglect the complexity of arithmetic addition operations due to their relative smallness). However, there is the following way to reduce the multiplication operation in a vector finite field. When m-dimensional vectors are multiplied, the usual arithmetic operations are performed to multiply the corresponding pairs of coordinates of the factor vectors, the results are summed, and then the arithmetic division of the result by the value of p is performed. In this case, the number of arithmetic multiplications remains equal to m 2 , and the number of divisions decreases m times, becoming equal to m. In this case, the complexity of the division operation increases due to the increase in the dividend is not significant, since the size of the latter increases by only a few bits. This does not significantly increase the complexity of the division operation in the case of practically significant sizes of coordinate values, which are determined by the size of the module and are equal to | p | = 16 to | p | = 200 bits for dimension values from m = 13 to m = 3, respectively. Since the complexity of the division operation significantly exceeds the complexity of the multiplication operation, the complexity of the operation of multiplying the elements of the field GF (p m ) decreases approximately in proportion to the value of m. The presence of additional operations of multiplication by the tensile coefficients used to create the conditions for the formation of fields in finite vector spaces does not make a significant contribution to the overall complexity of all arithmetic multiplication operations, since two or three bits in size can be selected as such tensile coefficients.
Рассмотрим сложность умножения в поле GF(ps), заданном в виде конечного кольца многочленов степени s - 1. Операция умножения двух многочленов включает s2 операций арифметического умножения |p|-битовых чисел и s операций деления 2|р|-битовых чисел на модуль р (операциями сложения пренебрегаем ввиду их низкой сложности). В результате выполнения этих операций получаем многочлен степени 2s - 2, который далее делится на неприводимый многочлен. Наличие этой операции не допускает эффективного распараллеливания операции умножения в поле многочленов. Наиболее эффективная реализация деления на неприводимый многочлен требует выполнения примерно s2 операций арифметического умножения |р|-битовых чисел и m операций деления 2|p|-битовых чисел на модуль p. Видим, что в целом операция умножения в поле многочленов, по крайней мере, в два раза сложнее операции умножения в поле GF(pm), заданном в векторном пространстве, при m=s.Consider the complexity of multiplication in the field GF (p s ) defined as a finite ring of polynomials of degree s - 1. The operation of multiplying two polynomials includes s 2 arithmetic operations of | p | -bit numbers and s operations of dividing 2 | p | -bit numbers by module p (we neglect addition operations due to their low complexity). As a result of these operations, we obtain a polynomial of degree 2s - 2, which is further divided into an irreducible polynomial. The presence of this operation does not allow efficient parallelization of the multiplication operation in the field of polynomials. The most efficient implementation of division by an irreducible polynomial requires performing approximately s 2 operations of arithmetic multiplication of | p | -bit numbers and m operations of dividing 2 | p | -bit numbers by p. We see that in general, the operation of multiplication in the field of polynomials is at least two times more complicated than the operation of multiplication in the field GF (p m ) defined in the vector space for m = s.
Таким образом, переход к векторной форме задания расширенных конечных полей дает выигрыш в вычислительной эффективности даже в случае использования однопроцессорного вычислительного устройства, т.е. в даже случае, когда распараллеливание выполняемых процедур не может быть реализовано. При возможности распараллеливания операции умножения на m процессов использование векторного конечного поля GF(pm) обеспечивает возможность сокращения времени выполнения умножения в поле GF(pm) примерно до m2 раз в сравнении с простым полем и до 2m раз в сравнении с конечным полем многочленов (при заданном размере порядка поля, над которым задается ЭК).Thus, the transition to the vector form of specifying extended finite fields gives a gain in computational efficiency even in the case of using a single-processor computing device, i.e. even in the case when parallelization of the performed procedures cannot be implemented. If it is possible to parallelize the operation of multiplication by m processes, the use of the final vector field GF (p m ) provides the possibility of reducing the execution time of multiplication in the field GF (p m ) by up to about 2 times in comparison with a simple field and by 2m times in comparison with the final field of polynomials (for a given size of the order of the field over which the EC is set).
Общая схема синтеза алгоритмов ЭЦП на основе ЭК над векторными конечными полями остается такой же, как и в случае задания ЭК над простыми полями или полями многочленов. Изменяется только форма представления конечного поля, над которым задаются ЭК. Ввиду известного факта об изоморфизме всех конечных полей заданного порядка [А.Акритас. Основы компьютерной алгебры с приложениями. М., Мир, 1994. - 544 с.], использование конечного поля в векторной форме представления не приводит к изменению структурных свойств ЭК и к изменению сложности задачи дискретного логарифмирования на ЭК, которая определяет безопасность способов генерации и проверки ЭЦП, построенных с использованием ЭК. При заданном размере поля, над которым задается ЭК, уровень стойкости способов генерации и проверки ЭЦП с использованием векторных конечных полей не ниже стойкости способов генерации и проверки ЭЦП с использованием простых конечных полей и расширенных конечных полей. Таким образом, заявленный технический результат повышения производительности способов генерации и проверки ЭЦП достигается с сохранением высокого уровня стойкости ЭЦП.The general scheme for the synthesis of EDS algorithms based on EC over vector finite fields remains the same as in the case of specifying EC over simple fields or fields of polynomials. Only the form of the representation of the final field, over which ECs are specified, is changed. In view of the well-known fact about the isomorphism of all finite fields of a given order [A. Akritas. Fundamentals of computer algebra with applications. M., Mir, 1994. - 544 pp.], The use of a finite field in a vector representation form does not change the structural properties of ECs and does not alter the complexity of the discrete logarithm problem on ECs, which determines the safety of methods for generating and checking digital signatures constructed using EC . For a given size of the field over which the EC is set, the resistance level of the methods for generating and checking EDS using vector end fields is not lower than the resistance of the methods for generating and checking EDS using simple finite fields and extended end fields. Thus, the claimed technical result of increasing the productivity of the methods for generating and checking digital signatures is achieved while maintaining a high level of stability of the digital signature.
Таким образом, показано, что заявляемый способ может быть положен в основу стойких систем ЭЦП, обеспечивающих повышение производительности устройств и программ генерации и проверки ЭЦП, т.е. предлагаемый способ генерации и проверки подлинности ЭЦП технически реализуем и позволяет достичь сформулированного технического результата.Thus, it is shown that the inventive method can be the basis for stable systems of digital signature, providing increased productivity of devices and programs for generating and checking digital signature, i.e. the proposed method for generating and verifying the authenticity of digital signatures is technically feasible and allows achieving the formulated technical result.
Claims (5)
Priority Applications (1)
| Application Number | Priority Date | Filing Date | Title |
|---|---|---|---|
| RU2008140403/09A RU2392736C1 (en) | 2008-10-14 | 2008-10-14 | Method for generation and authentication of electronic digital signature that verifies electronic document |
Applications Claiming Priority (1)
| Application Number | Priority Date | Filing Date | Title |
|---|---|---|---|
| RU2008140403/09A RU2392736C1 (en) | 2008-10-14 | 2008-10-14 | Method for generation and authentication of electronic digital signature that verifies electronic document |
Publications (2)
| Publication Number | Publication Date |
|---|---|
| RU2008140403A RU2008140403A (en) | 2010-04-20 |
| RU2392736C1 true RU2392736C1 (en) | 2010-06-20 |
Family
ID=42682946
Family Applications (1)
| Application Number | Title | Priority Date | Filing Date |
|---|---|---|---|
| RU2008140403/09A RU2392736C1 (en) | 2008-10-14 | 2008-10-14 | Method for generation and authentication of electronic digital signature that verifies electronic document |
Country Status (1)
| Country | Link |
|---|---|
| RU (1) | RU2392736C1 (en) |
Cited By (4)
| Publication number | Priority date | Publication date | Assignee | Title |
|---|---|---|---|---|
| RU2450438C1 (en) * | 2011-03-21 | 2012-05-10 | Государственное образовательное учреждение высшего профессионального образования "Санкт-Петербургский государственный электротехнический университет "ЛЭТИ" им. В.И. Ульянова (Ленина)" | Method of creating and authenticating collective electronic digital signature certifying electronic document |
| RU2632119C1 (en) * | 2016-06-02 | 2017-10-02 | Андрей Валерьевич Менячихин | Orthomorphism constructor using paired differences |
| RU2654122C2 (en) * | 2016-06-14 | 2018-05-16 | Федеральное государственное казенное военное образовательное учреждение высшего образования "Рязанское высшее воздушно-десантное ордена Суворова дважды Краснознаменное командное училище имени генерала армии В.Ф. Маргелова Министерства обороны Российской Федерации" | Method of delivering key with verification of radio network correspondent authenticity |
| RU2782740C1 (en) * | 2022-03-24 | 2022-11-01 | Акционерное общество "Научно-исследовательский и проектно-конструкторский институт информатизации, автоматизации и связи на железнодорожном транспорте" | Method for transmitting information in an open optical communication system |
Citations (8)
| Publication number | Priority date | Publication date | Assignee | Title |
|---|---|---|---|---|
| US4405829A (en) * | 1977-12-14 | 1983-09-20 | Massachusetts Institute Of Technology | Cryptographic communications system and method |
| US4995089A (en) * | 1990-01-08 | 1991-02-19 | Eastman Kodak Company | Method and apparatus for providing font rotation |
| US5912974A (en) * | 1994-04-05 | 1999-06-15 | International Business Machines Corporation | Apparatus and method for authentication of printed documents |
| RU2132669C1 (en) * | 1997-08-13 | 1999-07-10 | Нижегородский государственный научно-исследовательский институт травматологии и ортопедии | Orthopedic cane |
| US6212504B1 (en) * | 1998-01-12 | 2001-04-03 | Unisys Corporation | Self-authentication of value documents using encoded indices |
| US6600823B1 (en) * | 1996-10-22 | 2003-07-29 | Unisys Corporation | Apparatus and method for enhancing check security |
| RU2280896C1 (en) * | 2005-01-24 | 2006-07-27 | Николай Андреевич Молдовян | Method for checking authenticity of electronic digital signature, verifying an electronic document |
| RU2325768C1 (en) * | 2006-11-02 | 2008-05-27 | Николай Андреевич Молдовян | Method of generation and authenticity check of electronic digital signature, which certifies electronic document |
-
2008
- 2008-10-14 RU RU2008140403/09A patent/RU2392736C1/en not_active IP Right Cessation
Patent Citations (8)
| Publication number | Priority date | Publication date | Assignee | Title |
|---|---|---|---|---|
| US4405829A (en) * | 1977-12-14 | 1983-09-20 | Massachusetts Institute Of Technology | Cryptographic communications system and method |
| US4995089A (en) * | 1990-01-08 | 1991-02-19 | Eastman Kodak Company | Method and apparatus for providing font rotation |
| US5912974A (en) * | 1994-04-05 | 1999-06-15 | International Business Machines Corporation | Apparatus and method for authentication of printed documents |
| US6600823B1 (en) * | 1996-10-22 | 2003-07-29 | Unisys Corporation | Apparatus and method for enhancing check security |
| RU2132669C1 (en) * | 1997-08-13 | 1999-07-10 | Нижегородский государственный научно-исследовательский институт травматологии и ортопедии | Orthopedic cane |
| US6212504B1 (en) * | 1998-01-12 | 2001-04-03 | Unisys Corporation | Self-authentication of value documents using encoded indices |
| RU2280896C1 (en) * | 2005-01-24 | 2006-07-27 | Николай Андреевич Молдовян | Method for checking authenticity of electronic digital signature, verifying an electronic document |
| RU2325768C1 (en) * | 2006-11-02 | 2008-05-27 | Николай Андреевич Молдовян | Method of generation and authenticity check of electronic digital signature, which certifies electronic document |
Non-Patent Citations (1)
| Title |
|---|
| РЯБКО Б.Я., ФИОНОВ А.Н., КРИПТОГРАФИЧЕСКИЕ МЕТОДЫ ЗАЩИТЫ ИНФОРМАЦИИ, ГОСТ 34.10-2001. - М.: Горячая линия Телеком, 2005, стр.110-111. * |
Cited By (6)
| Publication number | Priority date | Publication date | Assignee | Title |
|---|---|---|---|---|
| RU2450438C1 (en) * | 2011-03-21 | 2012-05-10 | Государственное образовательное учреждение высшего профессионального образования "Санкт-Петербургский государственный электротехнический университет "ЛЭТИ" им. В.И. Ульянова (Ленина)" | Method of creating and authenticating collective electronic digital signature certifying electronic document |
| RU2632119C1 (en) * | 2016-06-02 | 2017-10-02 | Андрей Валерьевич Менячихин | Orthomorphism constructor using paired differences |
| RU2632119C9 (en) * | 2016-06-02 | 2017-11-22 | Андрей Валерьевич Менячихин | Orthomorphism constructor using paired differences |
| RU2654122C2 (en) * | 2016-06-14 | 2018-05-16 | Федеральное государственное казенное военное образовательное учреждение высшего образования "Рязанское высшее воздушно-десантное ордена Суворова дважды Краснознаменное командное училище имени генерала армии В.Ф. Маргелова Министерства обороны Российской Федерации" | Method of delivering key with verification of radio network correspondent authenticity |
| RU2809528C2 (en) * | 2022-02-24 | 2023-12-12 | Федеральное государственное бюджетное учреждение науки "Санкт-Петербургский Федеральный исследовательский центр Российской академии наук" (СПб ФИЦ РАН) | Post-quantum method of generating and verifying authenticity of electronic digital signature certifying electronic document |
| RU2782740C1 (en) * | 2022-03-24 | 2022-11-01 | Акционерное общество "Научно-исследовательский и проектно-конструкторский институт информатизации, автоматизации и связи на железнодорожном транспорте" | Method for transmitting information in an open optical communication system |
Also Published As
| Publication number | Publication date |
|---|---|
| RU2008140403A (en) | 2010-04-20 |
Similar Documents
| Publication | Publication Date | Title |
|---|---|---|
| Beullens et al. | Calamari and Falafl: logarithmic (linkable) ring signatures from isogenies and lattices | |
| CA2594670C (en) | Elliptic curve random number generation | |
| Beullens et al. | LegRoast: Efficient post-quantum signatures from the Legendre PRF | |
| Hanser et al. | Blank digital signatures | |
| Xue et al. | Efficient linkable ring signatures: new framework and post-quantum instantiations | |
| CN103220146B (en) | Zero Knowledge digital signature method based on multivariate public key cryptosystem | |
| Moldovyan | Finite non-commutative associative algebras for setting the hidden discrete logarithm problem and post-quantum cryptoschemes on its base | |
| Moldovyan et al. | An enhanced version of the hidden discrete logarithm problem and its algebraic support | |
| US7912216B2 (en) | Elliptic curve cryptosystem optimization using two phase key generation | |
| Eisenbarth et al. | Faster hash-based signatures with bounded leakage | |
| RU2392736C1 (en) | Method for generation and authentication of electronic digital signature that verifies electronic document | |
| CN112887096B (en) | Prime order elliptic curve generation method and system for signature and key exchange | |
| TW202508247A (en) | Side channel attack resistant cryptographic accelerator | |
| CN111614465A (en) | Method and device for generating public key based on supersingular homologous key encapsulation protocol | |
| WO2024038028A1 (en) | Improved blockchain system and method | |
| de Oliveira et al. | An efficient software implementation of the hash-based signature scheme MSS and its variants | |
| Nitaj et al. | A new attack on RSA with a composed decryption exponent | |
| RU2401513C2 (en) | Method for generating and verification electronic digital signature authenticating electronic document | |
| RU2380838C1 (en) | Method for creation and authentication of electronic digital signature confirming electronic document | |
| RU2369974C1 (en) | Method for generation and authentication of electronic digital signature that certifies electronic document | |
| CN113225190A (en) | Quantum security digital signature method using new problem | |
| Banoth et al. | Mathematical Foundation for Classical and Modern Cryptography | |
| RU2356172C1 (en) | Method for generation and authentication of electronic digital signature that verifies electronic document | |
| Iavich et al. | A Post-Quantum Digital Signature Using Verkle Trees and Lattices. Symmetry 2023, 15, 2165 | |
| RU2380830C1 (en) | Method for creation and authentication of electronic digital signature confirming electronic document |
Legal Events
| Date | Code | Title | Description |
|---|---|---|---|
| MM4A | The patent is invalid due to non-payment of fees |
Effective date: 20101015 |




















