RU2273826C2 - Method for determining angles of orientation of moving object and device for realization of method - Google Patents
Method for determining angles of orientation of moving object and device for realization of method Download PDFInfo
- Publication number
- RU2273826C2 RU2273826C2 RU2004110919/28A RU2004110919A RU2273826C2 RU 2273826 C2 RU2273826 C2 RU 2273826C2 RU 2004110919/28 A RU2004110919/28 A RU 2004110919/28A RU 2004110919 A RU2004110919 A RU 2004110919A RU 2273826 C2 RU2273826 C2 RU 2273826C2
- Authority
- RU
- Russia
- Prior art keywords
- orientation
- moving object
- determining
- values
- digital computer
- Prior art date
Links
- 238000000034 method Methods 0.000 title claims abstract description 18
- 238000004422 calculation algorithm Methods 0.000 claims abstract description 12
- 239000013598 vector Substances 0.000 claims abstract description 7
- 239000011159 matrix material Substances 0.000 claims 2
- 230000007704 transition Effects 0.000 claims 2
- HSASKNPEYJOZHA-UHFFFAOYSA-N 2-[3-(carboxymethoxy)-5-(1-hydroxy-2-oxo-2-phenylethyl)phenoxy]acetic acid Chemical compound C(=O)(O)COC=1C=C(C(C(C2=CC=CC=C2)=O)O)C=C(C=1)OCC(=O)O HSASKNPEYJOZHA-UHFFFAOYSA-N 0.000 claims 1
- 230000003247 decreasing effect Effects 0.000 abstract 1
- 230000000694 effects Effects 0.000 abstract 1
- 239000000126 substance Substances 0.000 abstract 1
- 230000001133 acceleration Effects 0.000 description 2
- 238000004364 calculation method Methods 0.000 description 2
- 238000004891 communication Methods 0.000 description 2
- 238000005516 engineering process Methods 0.000 description 2
- 230000007423 decrease Effects 0.000 description 1
- 238000009795 derivation Methods 0.000 description 1
- 238000010586 diagram Methods 0.000 description 1
- 230000010354 integration Effects 0.000 description 1
- 238000002945 steepest descent method Methods 0.000 description 1
Images
Landscapes
- Navigation (AREA)
- Position Fixing By Use Of Radio Waves (AREA)
Abstract
Description
Описание изобретенияDescription of the invention
Предлагаемое изобретение относится к области ракетно-космической техники и может быть использовано для определения ориентации ракеты-носителя (РН) в полете.The present invention relates to the field of rocket and space technology and can be used to determine the orientation of the launch vehicle (LV) in flight.
Прототипом предполагаемого изобретения является "Способ угловой ориентации объекта по сигналам спутниковых радионавигационных систем (варианты)" (RU 2185637 С1, 2002.07.20). Прототип предназначен для определения пространственной ориентации подвижных объектов интерферометрическим методом при размере базы интерферометра до нескольких метров. Техническим результатом прототипа является нахождение начального и текущего углового положения подвижного объекта без принудительного изменения ориентации векторов-баз, на концах которых расположены антенны. То есть устройство для осуществления описанного способа, принимая сигналы от двух или более разнесенных антенных устройств, определяет углы ориентации объекта, на котором расположены эти антенны.The prototype of the alleged invention is the "Method of angular orientation of the object according to the signals of satellite radio navigation systems (options)" (RU 2185637 C1, 2002.07.20). The prototype is designed to determine the spatial orientation of moving objects by the interferometric method with an interferometer base size of up to several meters. The technical result of the prototype is to find the initial and current angular position of the moving object without forcibly changing the orientation of the base vectors at the ends of which the antennas are located. That is, a device for implementing the described method, receiving signals from two or more spaced antenna devices, determines the orientation angles of the object on which these antennas are located.
На используемых на космодроме «Плесецк» типах РН требования к точности определения углов ориентации в полете составляет 4 угловых минуты. Такая точность определения углов ориентации РН достигается описанным прототипом при расстоянии между антеннами в несколько метров (до 10 метров). Длина используемых типов РН составляет 20-30 метров, причем, на участке выведения происходит отделение отработавших ступеней и длина РН постепенно уменьшается до нескольких метров (в зависимости от типа РН). Разместить антенные устройства прототипа на борту РН становится затруднительно.On the types of LV used at the Plesetsk launch site, the requirements for the accuracy of determining the orientation angles in flight are 4 arc minutes. This accuracy of determining the orientation angles of the PH is achieved by the described prototype with a distance between the antennas of several meters (up to 10 meters). The length of the types of LVs used is 20-30 meters, moreover, the spent stages are separated at the launch site and the length of the LVs gradually decreases to several meters (depending on the type of LVs). It becomes difficult to place prototype antenna devices onboard the LV.
Предлагаемый способ определения углов ориентации отличается от прототипа тем, что предполагает наличие аппаратуры спутниковой навигации с одним антенным устройством, трех гироинтеграторов, бортовой цифровой вычислительной машины и использует другой метод определения пространственной ориентации. В настоящее время на борту всех перспективных РН предполагается установка бортовой цифровой вычислительной машины.The proposed method for determining orientation angles differs from the prototype in that it assumes the availability of satellite navigation equipment with one antenna device, three gyro integrators, an on-board digital computer, and uses a different method for determining spatial orientation. Currently, it is planned to install an on-board digital computer on board all promising LVs.
Признаки, характеризующие предполагаемое изобретение:Signs characterizing the alleged invention:
1. Использование описанных ниже устройств: аппаратура спутниковой навигации с одним антенным устройством, три гироинтегратора, бортовая цифровая вычислительная машина;1. Using the devices described below: satellite navigation equipment with one antenna device, three gyro-integrators, on-board digital computer;
2. Использование описанного ниже алгоритма определения ориентации подвижного объекта;2. Using the algorithm for determining the orientation of a moving object described below;
3. Используется следующий порядок действий: аппаратура спутниковой навигации определяет значения проекций вектора абсолютной скорости в стартовой системе координат и передает определенные значения в бортовую цифровую вычислительную машину; одновременно три гироинтегратора измеряют значения проекций кажущейся скорости в связанной системе координат и передает по каналам связи измеренные значения в бортовую цифровую вычислительную машину; бортовая цифровая вычислительная машина, используя полученную информацию, определяет значения углов ориентации объекта в пространстве по алгоритму определения ориентации подвижного объекта.3. The following procedure is used: satellite navigation equipment determines the values of the projections of the absolute velocity vector in the starting coordinate system and transfers certain values to the on-board digital computer; at the same time, three gyro-integrators measure the values of the projections of the apparent speed in a connected coordinate system and transmit the measured values via communication channels to the on-board digital computer; the on-board digital computer, using the information obtained, determines the values of the orientation angles of the object in space according to the algorithm for determining the orientation of a moving object.
Техническим результатом является уменьшение размеров устройства для осуществления предлагаемого способа до 40×40×40 мм (без учета размеров бортовой цифровой вычислительной машины) при сохранении точности определения углов ориентации подвижного объекта до 4 угловых минут.The technical result is to reduce the size of the device for implementing the proposed method to 40 × 40 × 40 mm (excluding the size of the on-board digital computer) while maintaining the accuracy of determining the orientation angles of a moving object to 4 arc minutes.
Блок-схема устройства для осуществления предлагаемого способа представлена на фиг.1. Устройство содержит аппаратуру спутниковой навигации, содержащую одно антенное 1, три гироинтегратора 2, 3, 4, расположенных на осях связной системы координат, бортовой цифровой вычислительной машины 5, включающей в себя алгоритм определения ориентации РН в полете 6. Выходы аппаратуры спутниковой навигации 1 и трех гироинтеграторов 2, 3, 4 соединены со входом бортовой цифровой вычислительной машины 5.A block diagram of a device for implementing the proposed method is presented in figure 1. The device comprises satellite navigation equipment containing one antenna 1, three gyro integrators 2, 3, 4 located on the axes of a connected coordinate system, on-board digital computer 5, which includes an algorithm for determining the orientation of the LV in flight 6. The outputs of satellite navigation equipment 1 and three gyrointegrators 2, 3, 4 are connected to the input of the on-board digital computer 5.
Аппаратура спутниковой навигации предназначена для получения проекций абсолютной скорости центра масс РН в инерциальной системе координат. В данном изобретении будет использована начальная стартовая система координат [3] (см. фиг.2). Начало ее совмещено с центром масс Р РН, стоящей на стартовом устройстве. Основная плоскость - плоскость горизонта. Ось Рус направлена по радиусу, соединяющему центр Земли О с точкой Р, а ось Рхс - по касательной к окружности большого круга, в плоскости которого располагается траектория выведения; ось Pzc дополняет систему до правой. В качестве аппаратуры спутниковой навигации может быть любой образец такой аппаратуры, предназначенный для ракетно-космической техники [1].Satellite navigation equipment is designed to obtain projections of the absolute velocity of the LV center of mass in an inertial coordinate system. In the present invention, an initial starting coordinate system [3] will be used (see FIG. 2). Its beginning is combined with the center of mass of the RN, standing on the starting device. The main plane is the horizon plane. The axis Ru c is directed along the radius connecting the center of the Earth O with the point P, and the axis P c c is tangent to the circumference of the great circle, in the plane of which the trajectory of derivation is located; the Pz c axis complements the system to the right. As a satellite navigation equipment can be any sample of such equipment designed for rocket and space technology [1].
Три гироинтегратора предназначены для получения проекций кажущейся скорости центра масс РН в связанной с РН системе координат (связанной системе координат) [3] (см. фиг.3). Начало связанной системы координат располагается в центре масс Р РН. Основная плоскость совпадает с одной из плоскостей симметрии ракеты. Ось Px1 направлена вдоль продольной оси РН; ось Ру1 располагается в плоскости симметрии, совпадающей с плоскостью траектории, и направлена вверх (при горизонтальном движении ракеты над поверхностью Земли); ось Pz1 дополняет систему до правой. В качестве гироинтеграторов могут быть использованы образцы, используемые на РН «Рокот».Three gyrointegrators are designed to obtain projections of the apparent velocity of the center of mass of the LV in the coordinate system associated with the pH (associated coordinate system) [3] (see figure 3). The origin of the associated coordinate system is located in the center of mass of the LV. The main plane coincides with one of the planes of symmetry of the rocket. The axis Px 1 is directed along the longitudinal axis of the pH; the axis Ru 1 is located in the plane of symmetry, coinciding with the plane of the trajectory, and is directed upwards (with the horizontal movement of the rocket above the surface of the Earth); axis Pz 1 complements the system to the right. As gyro-integrators can be used samples used on the Rokot rocket.
Необходимым условием изобретения является наличие на борту РН бортовой цифровой вычислительной машины с алгоритмами, необходимыми для определения ориентации РН в пространстве. Существует ряд образцов бортовых цифровых вычислительных машин. В частности, на используемой РН «Рокот» применяется бортовая цифровая вычислительная машина.A necessary condition of the invention is the presence on board the LV of an on-board digital computer with the algorithms necessary to determine the orientation of the LV in space. There are a number of samples of on-board digital computers. In particular, the on-board digital computer is used on the Rokot launch vehicle.
Для реализации предлагаемого способа и работы устройства для осуществления предлагаемого способа используется следующая последовательность действий.To implement the proposed method and the operation of the device for implementing the proposed method, the following sequence of actions is used.
Аппаратура спутниковой навигации определяет проекции вектора абсолютной скорости в стартовой системе координат и передает определенные значения в бортовую цифровую вычислительную машину. Одновременно три гироинтегратора измеряют приращения проекций кажущейся скорости за один такт (определенный временной интервал Δt) в связанной системе координат и также передает по каналам связи измеренные значения в бортовую цифровую вычислительную машину. Бортовая цифровая вычислительная машина, используя полученную информацию, определяет значения углов ориентации РН в пространстве по алгоритму определения ориентации подвижного объекта.The satellite navigation equipment determines the projections of the absolute velocity vector in the starting coordinate system and transmits certain values to the on-board digital computer. At the same time, three gyrointegrators measure the increments of the projections of the apparent speed per cycle (a certain time interval Δt) in a connected coordinate system and also transmits the measured values to the on-board digital computer via communication channels. On-board digital computer, using the information obtained, determines the values of the orientation angles of the spacecraft in space according to the algorithm for determining the orientation of a moving object.
Алгоритм определения ориентации подвижного объектаAlgorithm for determining the orientation of a moving object
1. Исходные данные.1. The source data.
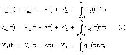
Исходными данными для расчета углов ориентации РН являются значения проекций абсолютной скорости в стартовой системе координат , , , полученные от аппаратуры спутниковой навигации, и значения приращений проекций кажущейся скорости за один такт в связанной системе координат , , , полученные от трех гироинтеграторов.The initial data for calculating the orientation angles of the LV are the values of the projections of the absolute velocity in the starting coordinate system , , obtained from satellite navigation equipment, and the values of the increments of the projections of the apparent speed per cycle in a connected coordinate system , , obtained from three gyro integrators.
2. Определение углов ориентации РН в пространстве.2. Determination of the orientation angles of the spacecraft in space.
Положение связанной системы координат относительно стартовой системы координат определяется тремя углами: ϑ - углом тангажа, ψ - углом рыскания, γ - углом вращения (фиг.4).The position of the associated coordinate system relative to the starting coordinate system is determined by three angles: ϑ - pitch angle, ψ - yaw angle, γ - rotation angle (figure 4).
Для перехода от связанной системы координат к стартовой системе координат используется система уравнений:To move from a linked coordinate system to a starting coordinate system, the system of equations is used:
где t - момент времени определения углов ориентации, отсчитываемый от момента начала движения.where t is the instant of determining the orientation angles, counted from the moment of the beginning of movement.
Значения проекций абсолютной скорости движения центра масс РН в связанной системе координат (t), (t), (t) определяются следующим образом:Projection values of the absolute velocity of the LV center of mass in a coupled coordinate system (t) (t) (t) are defined as follows:
где (t), (t), (t) - проекции ускорения РН в связанной системе координат, вызванного наличием гравитационного ускорения Земли на момент времениWhere (t) (t) (t) - projections of the acceleration of the LV in a coupled coordinate system caused by the presence of gravitational acceleration of the Earth at a time
(t-Δt), (t-Δt), (t-Δt) - значения проекций абсолютной скорости движения центра масс РН в связанной системе координат, вычисленные на предыдущем такте. (t-Δt), (t-Δt), (t-Δt) are the values of the projections of the absolute velocity of the LV center of mass in the associated coordinate system, calculated on the previous measure.
В качестве метода численного интегрирования для нахождения интегралов в (2) можно использовать метод трапеций как наиболее простой в реализации на цифровой вычислительной машине и приемлемый по точности.As a method of numerical integration for finding the integrals in (2), one can use the trapezoid method as the most simple to implement on a digital computer and acceptable in accuracy.
Таким образом, в системе уравнений (1) значения (t), (t), (t), , , известны, а значения углов ϑ, ψ, γ - необходимо найти.Thus, in the system of equations (1), the values (t) (t) (t) , , are known, and the angles ϑ, ψ, γ - must be found.
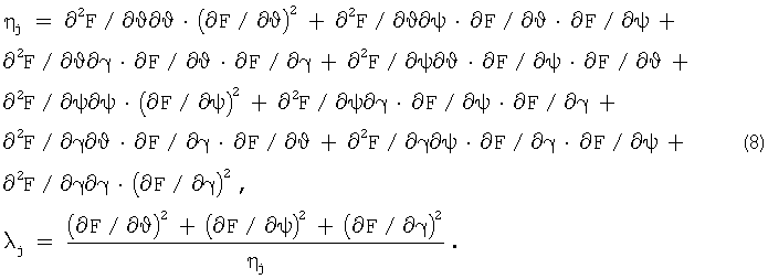
Система нелинейных уравнений (1) в данном алгоритме решается итерационным методом [4].The system of nonlinear equations (1) in this algorithm is solved by the iterative method [4].
Для этого система уравнений (1) представляется в виде:For this, the system of equations (1) is represented in the form:
где функцииwhere are the functions
где значение параметров определяются методом наискорейшего спуска [4]:where the value of the parameters determined by the steepest descent method [4]:
По описанному алгоритму были проведены расчеты с целью оценки точности определения углов ориентации РН. В качестве исходных данных для расчетов применялись кинематические параметры движения РН "Циклон-3" на всем участке выведения КА "Стрела" (от 2 секунды до 2650 секунды полета РН). Показатели точности определения проекций вектора абсолютной скорости с помощью аппаратуры спутниковой навигации были приняты идентичными аппаратуре «Терминатор» [1]. Показатели точности определения проекций вектора кажущейся скорости с помощью гироинтеграторов были приняты идентичными используемому на РН "Рокот". Используемый показатель точности - среднеквадратическое отклонение определения углов ориентации. В результате точность по определению угла крена составляет на всем участке полета 4 угловых минуты. Точность по углу тангажа: до 20 секунды - до 36 угловых минут, с 20 секунды - 3 угловых минуты. Точность по углу рыскания: до 20 секунды - до 34 угловых минут, с 20 секунды - 4 угловых минут.According to the described algorithm, calculations were performed to evaluate the accuracy of determining the orientation angles of the launch vehicle. As the initial data for the calculations, the kinematic parameters of the Cyclone-3 launch vehicle motion were used throughout the entire Strela spacecraft launch site (from 2 seconds to 2650 seconds of the LV flight). The accuracy indicators for determining the projections of the absolute velocity vector using satellite navigation equipment were adopted identical to the “Terminator” equipment [1]. The accuracy indicators for determining projections of the apparent velocity vector using gyro integrators were taken identical to those used on the Rokot rocket. The accuracy indicator used is the standard deviation of the determination of orientation angles. As a result, the accuracy in determining the angle of heel is 4 arc minutes throughout the flight. Pitch angle accuracy: up to 20 seconds - up to 36 arc minutes, from 20 seconds - 3 arc minutes. Yaw angle accuracy: up to 20 seconds - up to 34 arc minutes, from 20 seconds - 4 arc minutes.
Массовые и габаритные характеристики составных частей образца предлагаемого устройства без учета бортовой цифровой вычислительной машины составляют:Mass and overall characteristics of the component parts of the sample of the proposed device without taking into account the on-board digital computer are:
- Аппаратура спутниковой навигации типа «Терминатор» - габаритные характеристики 220×260×80 (мм), масса 3.5 кг [1];- Satellite navigation equipment of the “Terminator” type - overall characteristics 220 × 260 × 80 (mm), weight 3.5 kg [1];
- Гироинтегратор - высота 250 мм, диаметр 104 мм, масса 5 кг;- Gyrointegrator - height 250 mm, diameter 104 mm, weight 5 kg;
Источники информацииInformation sources
1. Под редакцией В.Н.Харисова, А.И.Перова, В.А.Болдина, Глобальная спутниковая радионавигационная система ГЛОНАСС, М., ИПРЖР, 1998 г., 400 с.1. Edited by V.N. Kharisov, A.I. Perov, V.A. Boldin, GLONASS Global Satellite Radio Navigation System, M., IPPRZhR, 1998, 400 pp.
2. Под ред. А.В.Солодова, Инженерный справочник по космической технике, М., МО СССР. 1969 г., 694 с.2. Ed. A.V.Solodova, Engineering reference book for space technology, M., USSR Ministry of Defense. 1969, 694 p.
3. Г.Корн и Т.Корн, Справочник по математике для научных работников и инженеров. Определения, теоремы, формулы, издание 4, М.: Наука, 1978 г., 832 с.3. G. Korn and T. Korn, Handbook of mathematics for scientists and engineers. Definitions, Theorems, Formulas, Edition 4, M .: Nauka, 1978, 832 p.
Claims (2)
Priority Applications (1)
| Application Number | Priority Date | Filing Date | Title |
|---|---|---|---|
| RU2004110919/28A RU2273826C2 (en) | 2004-04-09 | 2004-04-09 | Method for determining angles of orientation of moving object and device for realization of method |
Applications Claiming Priority (1)
| Application Number | Priority Date | Filing Date | Title |
|---|---|---|---|
| RU2004110919/28A RU2273826C2 (en) | 2004-04-09 | 2004-04-09 | Method for determining angles of orientation of moving object and device for realization of method |
Publications (2)
| Publication Number | Publication Date |
|---|---|
| RU2004110919A RU2004110919A (en) | 2005-09-20 |
| RU2273826C2 true RU2273826C2 (en) | 2006-04-10 |
Family
ID=35848872
Family Applications (1)
| Application Number | Title | Priority Date | Filing Date |
|---|---|---|---|
| RU2004110919/28A RU2273826C2 (en) | 2004-04-09 | 2004-04-09 | Method for determining angles of orientation of moving object and device for realization of method |
Country Status (1)
| Country | Link |
|---|---|
| RU (1) | RU2273826C2 (en) |
Cited By (5)
| Publication number | Priority date | Publication date | Assignee | Title |
|---|---|---|---|---|
| RU2422844C2 (en) * | 2009-01-11 | 2011-06-27 | Государственное образовательное учреждение высшего профессионального образования тульский государственный университет (ГОУ ВПО ТулГУ) | Method of defining angular orientation of object |
| RU2446410C1 (en) * | 2010-12-20 | 2012-03-27 | Федеральное Государственное Автономное Образовательное Учреждение Высшего Профессионального Образования "Сибирский Федеральный Университет" (Сфу) | Method of angular orientation of object by signals of satellite radio-navigation systems |
| RU2590287C1 (en) * | 2015-05-08 | 2016-07-10 | Российская Федерация, от имени которой выступает Государственная корпорация по атомной энергии "Росатом" (Госкорпорация "Росатом") | Method of determining angular position of movable object relative to centre of mass |
| CN107270894A (en) * | 2017-06-02 | 2017-10-20 | 南京理工大学 | GNSS/SINS deep integrated navigation systems based on Dimensionality Reduction |
| RU2846998C1 (en) * | 2024-03-06 | 2025-09-22 | Акционерное общество "Аэроприбор-Восход" | Methods of generating data on the orientation of a mobile device and navigation systems using them |
Citations (5)
| Publication number | Priority date | Publication date | Assignee | Title |
|---|---|---|---|---|
| US5296861A (en) * | 1992-11-13 | 1994-03-22 | Trimble Navigation Limited | Method and apparatus for maximum likelihood estimation direct integer search in differential carrier phase attitude determination systems |
| EP0679904A2 (en) * | 1989-12-11 | 1995-11-02 | Caterpillar Inc. | Integrated vehicle positioning and navigation system, apparatus and method |
| RU2105319C1 (en) * | 1995-09-13 | 1998-02-20 | Юрий Леонидович Фатеев | Method of angular orientation of objects by signals of spacecraft of global navigation satellite systems |
| RU2185637C1 (en) * | 2000-11-17 | 2002-07-20 | Красноярский государственный технический университет | Method of angular orientation of object by signals from satellite radio navigation systems ( variants ) |
| RU2215299C2 (en) * | 2001-05-25 | 2003-10-27 | Красноярский государственный технический университет | Method of angular orientation of object by signals of navigation space vehicles |
-
2004
- 2004-04-09 RU RU2004110919/28A patent/RU2273826C2/en not_active IP Right Cessation
Patent Citations (5)
| Publication number | Priority date | Publication date | Assignee | Title |
|---|---|---|---|---|
| EP0679904A2 (en) * | 1989-12-11 | 1995-11-02 | Caterpillar Inc. | Integrated vehicle positioning and navigation system, apparatus and method |
| US5296861A (en) * | 1992-11-13 | 1994-03-22 | Trimble Navigation Limited | Method and apparatus for maximum likelihood estimation direct integer search in differential carrier phase attitude determination systems |
| RU2105319C1 (en) * | 1995-09-13 | 1998-02-20 | Юрий Леонидович Фатеев | Method of angular orientation of objects by signals of spacecraft of global navigation satellite systems |
| RU2185637C1 (en) * | 2000-11-17 | 2002-07-20 | Красноярский государственный технический университет | Method of angular orientation of object by signals from satellite radio navigation systems ( variants ) |
| RU2215299C2 (en) * | 2001-05-25 | 2003-10-27 | Красноярский государственный технический университет | Method of angular orientation of object by signals of navigation space vehicles |
Cited By (6)
| Publication number | Priority date | Publication date | Assignee | Title |
|---|---|---|---|---|
| RU2422844C2 (en) * | 2009-01-11 | 2011-06-27 | Государственное образовательное учреждение высшего профессионального образования тульский государственный университет (ГОУ ВПО ТулГУ) | Method of defining angular orientation of object |
| RU2446410C1 (en) * | 2010-12-20 | 2012-03-27 | Федеральное Государственное Автономное Образовательное Учреждение Высшего Профессионального Образования "Сибирский Федеральный Университет" (Сфу) | Method of angular orientation of object by signals of satellite radio-navigation systems |
| RU2590287C1 (en) * | 2015-05-08 | 2016-07-10 | Российская Федерация, от имени которой выступает Государственная корпорация по атомной энергии "Росатом" (Госкорпорация "Росатом") | Method of determining angular position of movable object relative to centre of mass |
| CN107270894A (en) * | 2017-06-02 | 2017-10-20 | 南京理工大学 | GNSS/SINS deep integrated navigation systems based on Dimensionality Reduction |
| CN107270894B (en) * | 2017-06-02 | 2020-11-06 | 南京理工大学 | GNSS/SINS Deep Integrated Navigation System Based on Dimension Reduction |
| RU2846998C1 (en) * | 2024-03-06 | 2025-09-22 | Акционерное общество "Аэроприбор-Восход" | Methods of generating data on the orientation of a mobile device and navigation systems using them |
Also Published As
| Publication number | Publication date |
|---|---|
| RU2004110919A (en) | 2005-09-20 |
Similar Documents
| Publication | Publication Date | Title |
|---|---|---|
| EP2577343B1 (en) | Determining spatial orientation and angular rate of change of orientation information of a body from multiple electromagnetic signals | |
| EP2570823A1 (en) | Method and apparatus for differential global positioning system (DGPS) - based real time attitude determination (RTAD) | |
| CN106767787A (en) | A kind of close coupling GNSS/INS combined navigation devices | |
| US5406489A (en) | Instrument for measuring an aircraft's roll, pitch, and heading by matching position changes along two sets of axes | |
| CN103674034A (en) | Robust navigation method capable of realizing multi-beam velocity and distance measurement correction | |
| CN106643726B (en) | Unified inertial navigation resolving method | |
| JPH095104A (en) | Three-dimensional attitude angle measuring method and three-dimensional attitude angle measuring device for moving objects | |
| Willi et al. | GNSS attitude determination with non-synchronized receivers and short baselines onboard a spacecraft | |
| de Celis et al. | Attitude determination algorithms through accelerometers, GNSS sensors, and gravity vector estimator | |
| Kumar | Integration of inertial navigation system and global positioning system using kalman filtering | |
| Reddy et al. | Advanced navigation system for aircraft applications | |
| CN106814383B (en) | A kind of high-precision POS rapid alignment methods being applied under various modes | |
| RU2273826C2 (en) | Method for determining angles of orientation of moving object and device for realization of method | |
| JP2008241079A (en) | Navigation system | |
| KR20140142610A (en) | Location measurement device and method | |
| RU2502049C1 (en) | Small-size platformless inertial navigation system of medium accuracy, corrected from system of air signals | |
| Qian | Generic multisensor integration strategy and innovative error analysis for integrated navigation | |
| Hendy et al. | An integrated GPS/INS navigation system for land vehicle | |
| CN116148903A (en) | A high-precision measurement and estimation method for inter-satellite baselines | |
| Ciecko et al. | Analysis of the Accuracy and Usefulness of MEMS Chipsets Embedded in Popular Mobile Phones in Inertial Navigation | |
| CN119803538B (en) | A method for rapid alignment and air correction during emergency launch | |
| CN119164392B (en) | An underwater backtracking inertial navigation method, system and device based on information constraints | |
| Miller et al. | Navigation Operations | |
| CN116608851A (en) | Underground pipeline dual-robot step-by-step cooperative navigation method, system and server | |
| RU2732520C1 (en) | Device for determination of spatial orientation of soyuz-2 space rocket |
Legal Events
| Date | Code | Title | Description |
|---|---|---|---|
| MM4A | The patent is invalid due to non-payment of fees |
Effective date: 20060410 |





