KR820000808B1 - Process for preparing imidazo-isoquinoline-diones - Google Patents
Process for preparing imidazo-isoquinoline-diones Download PDFInfo
- Publication number
- KR820000808B1 KR820000808B1 KR7802216A KR780002216A KR820000808B1 KR 820000808 B1 KR820000808 B1 KR 820000808B1 KR 7802216 A KR7802216 A KR 7802216A KR 780002216 A KR780002216 A KR 780002216A KR 820000808 B1 KR820000808 B1 KR 820000808B1
- Authority
- KR
- South Korea
- Prior art keywords
- isoquinoline
- dione
- dimethyl
- imidazo
- phenyl
- Prior art date
- Legal status (The legal status is an assumption and is not a legal conclusion. Google has not performed a legal analysis and makes no representation as to the accuracy of the status listed.)
- Expired
Links
Classifications
-
- C—CHEMISTRY; METALLURGY
- C07—ORGANIC CHEMISTRY
- C07D—HETEROCYCLIC COMPOUNDS
- C07D471/00—Heterocyclic compounds containing nitrogen atoms as the only ring hetero atoms in the condensed system, at least one ring being a six-membered ring with one nitrogen atom, not provided for by groups C07D451/00 - C07D463/00
- C07D471/02—Heterocyclic compounds containing nitrogen atoms as the only ring hetero atoms in the condensed system, at least one ring being a six-membered ring with one nitrogen atom, not provided for by groups C07D451/00 - C07D463/00 in which the condensed system contains two hetero rings
- C07D471/04—Ortho-condensed systems
Landscapes
- Chemical & Material Sciences (AREA)
- Organic Chemistry (AREA)
- Nitrogen Condensed Heterocyclic Rings (AREA)
- Pharmaceuticals Containing Other Organic And Inorganic Compounds (AREA)
Abstract
내용 없음.No content.
Description
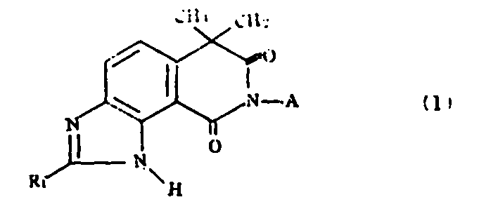
본 발명은 심장흥분효과를 지니는 다음 구조식(I)의 이미다조-이소퀴놀린-디온류의 제조방법에 관한 것이다.The present invention relates to a method for preparing imidazo-isoquinoline-diones of the following structural formula (I) having a cardiac excitement effect.
상기 구조식에서 R1은 페닐그룹으로 임의로 치환된 저급알킬 그룹, 탄소수 3 내지 6의 사이클로알킬그룹, 또는 할로겐원자, 하이드록시, 메톡시, 메틸 멀캅토, 메틸설피닐, 벤질옥시그룹으로 1치환 또는 2치환된 페닐그룹이며 (여기서 치환제는 같거나 다를 수 있음),R 1 in the above formula is monosubstituted with a lower alkyl group optionally substituted with a phenyl group, a cycloalkyl group having 3 to 6 carbon atoms, or a halogen atom, hydroxy, methoxy, methyl mercapto, methylsulfinyl, benzyloxy group, or Di-substituted phenyl group (where the substituents may be the same or different),
A는 수소원자 또는그룹이며, 여기서 N3은 수소원자 또는 저급알킬그룹이고 R2는 디메톡시페닐그룹으로 임의로 치환된 저급알킬그룹이거나, 또는 R2및 R3가 질소와 함께 피페리디노, 모풀리노, 피페라지노그룹을 뜻하고(여기서 피페라지노그룹은 4위치에 저급알킬그룹으로 치환됨), n은 2 또는 3의 정수이다.A is a hydrogen atom or Wherein N 3 is a hydrogen atom or a lower alkyl group and R 2 is a lower alkyl group optionally substituted with a dimethoxyphenyl group, or R 2 and R 3 together with nitrogen are piperidino, morpholino, piperazino Group, where the piperazino group is substituted with a lower alkyl group at the 4 position, and n is an integer of 2 or 3.
상기 구조식(I)의 화합물은 항불안흥분효과 특히 심장혈관 효과외에도 유용한 약리학적 성질을 약리학적 성질을 지닌다.The compound of formula (I) has pharmacological properties that have useful pharmacological properties in addition to the anti-anxiety effect, especially the cardiovascular effect.
따라서 A가 수소원자인 구조식(I)의 화합물은 심장흥분효과 저혈압효과 및 혈소판응집 억제효과를 나타내며, A가그룹인 구조식(I)의 화합물은 항부정맥효과를 나타낸다. 더구나 A가 수소원자인 구조식(I)의 화합물은 5위치에 아미로알킬그룹으로 치환된 아미 다조-이소퀴놀린-디온류를 제조하는데 있어 유용한 중간물질이다.Therefore, the compound of formula (I), in which A is a hydrogen atom, exhibits a cardiac excitatory effect, hypotension effect and platelet aggregation inhibitory effect. Compounds of formula (I), a group, exhibit antiarrhythmic effects. Moreover, the compound of formula (I) wherein A is a hydrogen atom is a useful intermediate for preparing amidazo-isoquinoline-diones substituted with amiroalkyl groups at the 5-position.
R1, R2및 R3에서 사용된 “저급알킬그룹”이란 용어는 탄소수 1 내지 3의 알킬그룹을 뜻하며, R1에서 사용된 “할로겐원자”란 용어는 특히 불소, 염소, 브롬원자를 뜻한다.The term "lower alkyl group" used in R 1 , R 2 and R 3 means an alkyl group having 1 to 3 carbon atoms, and the term "halogen atom" as used in R 1 particularly means fluorine, chlorine and bromine atoms. do.
R1은 특히 메틸, 에틸, 프로필, 이소프로필, 사이클로프로필, 사이클로부틸, 사이클로펜틸, 사이클로헥실, 벤질, 1-페닐에틸, 1-페닐프로필, 2-페닐에틸, 2-페닐프로필, 3-페닐프로필, 3-페닐-2-프로필, 페닐, 메톡시페닐, 디메톡시페닐, 클로로페닐, 디클로로페닐, 플루오로페닐, 디플루오로페닐, 하이드록시페닐, 디하이드록시페닐, 브로모페닐, 디브로모페닐, 클로로-브로모페닐, 메틸멀캅토페닐, 비스메틸멀캅토페닐, 메틸설피닐페닐, 비스메틸설피닐페닐, 메틸 설포닐페닐, 비스메틸설포닐페닐, 벤질옥시페닐, 디벤질옥시페닐, 하이드록시메톡시페닐, 하이드록시-메틸멀캅토페닐, 하이드록시-메틸설피닐페닐, 하이드록시-메틸설포닐페닐, 하이드록시-벤질옥시페닐, 하이드록시-클로로페닐, 하이드록시-브로모페닐, 메톡시-메틸-멀캅토페닐, 메톡시-메틸설피닐페닐, 메톡시-메틸설포닐페닐, 메톡시-벤질옥시페닐, 메톡시-클로로페닐, 메톡시-플루오로페닐, 메톡시-브로모페닐, 메틸멀캅토메틸설피닐페닐, 메틸멀캅토-메틸설포닐페닐, 메틸-멀캅토벤질옥시페닐, 메틸멀캅토-클로로페닐, 메틸-멀캅토-브로모페닐, 메틸설피닐-메틸설포닐페닐, 메틸-설피닐클로로페닐, 메틸설피닐-브로모페닐, 메틸설피닐페닐, 벤질옥시페닐, 메틸설포닐-클로로페닐, 메틸설포닐-블로모페닐 또는 메틸설포닐-브로모페닐그룹이며,R 1 is especially methyl, ethyl, propyl, isopropyl, cyclopropyl, cyclobutyl, cyclopentyl, cyclohexyl, benzyl, 1-phenylethyl, 1-phenylpropyl, 2-phenylethyl, 2-phenylpropyl, 3-phenyl Propyl, 3-phenyl-2-propyl, phenyl, methoxyphenyl, dimethoxyphenyl, chlorophenyl, dichlorophenyl, fluorophenyl, difluorophenyl, hydroxyphenyl, dihydroxyphenyl, bromophenyl, dibro Morphenyl, chloro-bromophenyl, methyl mercaptophenyl, bismethyl mercaptophenyl, methylsulfinylphenyl, bismethylsulfinylphenyl, methyl sulfonylphenyl, bismethylsulfonylphenyl, benzyloxyphenyl, dibenzyloxyphenyl , Hydroxymethoxyphenyl, hydroxy-methyl mercaptophenyl, hydroxy-methylsulfinylphenyl, hydroxy-methylsulfonylphenyl, hydroxy-benzyloxyphenyl, hydroxy-chlorophenyl, hydroxy-bromophenyl , Methoxy-methyl-mercaptophenyl, methoxy-methyl Sulfinylphenyl, methoxy-methylsulfonylphenyl, methoxy-benzyloxyphenyl, methoxy-chlorophenyl, methoxy-fluorophenyl, methoxy-bromophenyl, methyl mercaptomethylsulfinylphenyl, methyl mercapto -Methylsulfonylphenyl, methyl-mercaptobenzyloxyphenyl, methyl mercapto-chlorophenyl, methyl-mercapto-bromophenyl, methylsulfinyl-methylsulfonylphenyl, methyl-sulfinylchlorophenyl, methylsulfinyl- Bromophenyl, methylsulfinylphenyl, benzyloxyphenyl, methylsulfonyl-chlorophenyl, methylsulfonyl-blomophenyl or methylsulfonyl-bromophenyl group,
R2는 수소원자, 메틸, 에틸, 프로필 또는 이소프로필 그룹이고,R 2 is a hydrogen atom, methyl, ethyl, propyl or isopropyl group,
R3은 메틸, 에틸, 프로필, 이소프로필, 디메톡시벤질, 1-(디메톡시페닐)-에틸-2-(디메톡시페닐)-에틸, 3-((디메톡시페닐)-프로필 또는 3-(디메톡시페닐)-2-프로필그룹이고, 또는R 3 is methyl, ethyl, propyl, isopropyl, dimethoxybenzyl, 1- (dimethoxyphenyl) -ethyl-2- (dimethoxyphenyl) -ethyl, 3-((dimethoxyphenyl) -propyl or 3- ( Dimethoxyphenyl) -2-propyl group, or
R2및 R3은 질소원자와 함께 피페리디노, 몰포리노, N-메틸-피페라지노, N-에틸-피페라지노, N-프로필-피페라지노 또는 N-이소프로필-피페라지노 그룹이 바람직하다.R 2 and R 3 together with the nitrogen atom are piperidino, morpholino, N-methyl-piperazino, N-ethyl-piperazino, N-propyl-piperazino or N-isopropyl-piperazino groups This is preferred.
구조식(I)화합물중 특히 다음의 화합물이 바람직하다;Among the compounds of formula (I), the following compounds are particularly preferred;
R1이 메틸, 에틸, 벤질, 1-페닐에틸, 2-페닐에틸, 사이클로프로필, 사이클로헥실, 4-클로로페닐, 2-메톡시-5-메틸-설피닐-페닐 또는 2-메톡시-5-메틸설포닐페닐그룹 또는 2-및(또는) 4-위치에 메톡시, 하이드록시, 메틸멀캅토, 메틸설피닐 및/또는 메틸설포닐그룹으로 1치환 또는 2치환된 페닐그룹이고,R 1 is methyl, ethyl, benzyl, 1-phenylethyl, 2-phenylethyl, cyclopropyl, cyclohexyl, 4-chlorophenyl, 2-methoxy-5-methyl-sulfinyl-phenyl or 2-methoxy-5 A methylsulfonylphenyl group or a phenyl group mono- or di-substituted with a methoxy, hydroxy, methyl mercapto, methylsulfinyl and / or methylsulfonyl group in 2- and / or 4-positions,
A는 수소원자 또는이고, 여기서 R3는 수소원자, 메틸, 에틸, 프로필그룹을 뜻하고 R3은 메틸, 에틸, 프로필 또는 2-(3,4-디메톡시-패닐)-에틸 그룹을 뜻하거나, 또는 R2및 R3는 질소원자와 함께 피페리디노, 몰포리노 또는 N-메틸-피페라지노 그룹을 뜻하고 n은 2 또는 3의 정수인 화합물.A is a hydrogen atom or Wherein R 3 means hydrogen atom, methyl, ethyl, propyl group and R 3 means methyl, ethyl, propyl or 2- (3,4-dimethoxy-fanyl) -ethyl group, or R 2 and R 3 represents a piperidino, morpholino or N-methyl-piperazino group together with a nitrogen atom and n is an integer of 2 or 3.
본 발명에 따른 구조식(I)의 화합물은 다음의 a),b),c),d)의 방법으로 제조한다.Compounds of formula (I) according to the invention are prepared by the following methods a), b), c), d).
a) 다음 구조식(II)의 디카복실산 또는 이들의 무수물, 에스테르, 아마이드, 아미드, 할로겐화물 등의 활성유도체를 다음구조식(III)의 아민과 반응시킨다.a) The active derivatives of dicarboxylic acids of formula (II) or anhydrides thereof, esters, amides, amides, halides, etc. are reacted with amines of formula (III).
상기 구조식에서 R1, A는 상기에서 정의된 바와 같다. 본 반응은 50 내지 250℃의 온도에서, 테트라린, 에틸렌글리콜 등의 용매와 함께 수행하여, 사용하는 구조식(II)의 유도체의 반응성에 따라 반응이 좌우된다. 만약 구조식(II)의 카복실산을 사용한다면, 반응은 에틸렌 글리콜의 비검근처에서 수행하는 것이 바람직하다. 그러나 구조식(II)의 카복실산의 상응하는 암모늄 염이나 상응하는 아마이드로 상승된 온도에서 염산, 황산, P-툴루엔설폰산 또는 포스포러스 옥시클로라이드 등의 탈수제 존재하에 반응을 수행할수도 있다.In the above structural formula R 1 , A is as defined above. The reaction is carried out at a temperature of 50 to 250 ℃ with a solvent such as tetralin, ethylene glycol, the reaction depends on the reactivity of the derivative of the structural formula (II) to be used. If a carboxylic acid of formula (II) is used, the reaction is preferably carried out in the absence of ethylene glycol. However, the reaction may be carried out in the presence of a dehydrating agent such as hydrochloric acid, sulfuric acid, P-toluenesulfonic acid or phosphorus oxychloride at elevated temperatures with the corresponding ammonium salts or corresponding amides of the carboxylic acids of formula (II).
b) A가 수소원자를 뜻하지 않는 구조식(I)의 화합물을 제조하기 위하여, 다음 구조식(IV)의 이소퀴놀린-디온류를 다음구조식(V)의 아민과 반응시킨다.b) In order to prepare a compound of formula (I) in which A does not represent a hydrogen atom, isoquinoline-diones of formula (IV) are reacted with amines of formula (V).
상기 구조식에서, R1, R2, R3및 n은 상기에서 정의된 바와 같으며 Z는 염소, 브롬, 요-드원자등의 치환 가능한 그룹이나 P-툴루엔-설포닐옥시그룹등의 설포닐옥시그룹이다.In the above structural formula, R 1 , R 2 , R 3 and n are as defined above and Z is a substitutable group such as chlorine, bromine, iodine atom or sulfonyloxy group such as P-toluene-sulfonyloxy group. Ponyyloxy group.
본 반응은 디메틸설폭사이드, 디메틸포름아마이드 등의 용매중에서 나트륨 무수물, 소듐아마이드, 칼륨-3급 부톡사이드등의 알칼리염기 존재하에 0℃ 내지 200℃의 온도(좋기로는 20 내지 160℃)로 진행시키는 것이 좋다. 그러나 용매를 사용하지 않고도 반응을 수행시킬 수는 있다.The reaction proceeds at a temperature of 0 ° C. to 200 ° C. (preferably 20 to 160 ° C.) in the presence of alkali bases such as sodium anhydride, sodium amide and potassium tert-butoxide in solvents such as dimethyl sulfoxide and dimethyl formamide. It is good to let. However, the reaction can be carried out without using a solvent.
c) A가 수소원자가 아닌 구조식(I)의 화합물은 제조하기 위하여 다음 구조식(IV)의 이소퀴놀린 디온을 다음 구조식(VII)의 아민과 반응시킨다.c) To prepare a compound of formula (I) in which A is not a hydrogen atom, isoquinoline dione of formula (IV) is reacted with an amine of formula (VII).
상기 구조식에서 R1, R2및 R3은 상기에서 정의된 바와 같으며, Z는 염소, 브롬 또는 요-드등의 치환가능한 그룹이거나 P-툴루엔-설포닐옥시그룹등의 설포닐옥시 그룹이다.Wherein R 1 , R 2 and R 3 are as defined above and Z is a substitutable group such as chlorine, bromine or iodine or a sulfonyloxy group such as P-toluene-sulfonyloxy group .
본 반응은 디옥산. 디메틸설폭사이드, 디메틸포름아마이드 또는 테트라린등의 용매중에서 탄산나트륨 또는 탄산칼륨등의 무기여기, 트리에틸아민, 피리딘, 콜리딘등의 3급유기염기의 존재하에서나, 또는 구조식(VII)의 아민을 과량 사용하여 50℃ 내지 200℃의 온도(바람직하게는 반응혼합물의 비점), 예를 들면 100 내지 160℃의 온도에서 진행시키는 것이 바람직하다.This reaction is dioxane. In a solvent such as dimethyl sulfoxide, dimethylformamide or tetralin, an inorganic excitation such as sodium carbonate or potassium carbonate, the presence of a tertiary organic base such as triethylamine, pyridine, collidine, or an excess of the amine of formula (VII) It is preferred to proceed at a temperature of 50 ° C to 200 ° C (preferably a boiling point of the reaction mixture), for example, at a temperature of 100 to 160 ° C.
3급 유기염기 및(또는)과량 사용된 구조식(VII)의 아민은 동시에 용매로 작용한다. 그러나. 본반응은 용매없이도 진행시킬 수 있다.Tertiary organic bases and / or excess amines of formula (VII) used serve simultaneously as solvents. But. The reaction can proceed without solvent.
d) A가 수소원자인 구조식(I)의 화합물을 제조하기 위하여, 다음 구조식(VIII)의 8-니트로-이소퀴놀린-디온을 환원시키고, 생성된 구조식(IX)의 화합물을 계속하여 폐환시킨다.d) To prepare a compound of formula (I) wherein A is a hydrogen atom, 8-nitro-isoquinoline-dione of the following formula (VIII) is reduced and the resulting compound of formula (IX) is subsequently closed.
상기 구조식에서,In the above structural formula,
R1은 상기에서 정의된 바와 같다.R 1 is as defined above.
구조식(VIII)의 화합물을 환원시키는 반응은 메탄올, 에탄올, 에틸 아세테이트, 물, 물-이소프로판올, 디메틸포름아마이드, 또는 빙초산중에서, 발생기수소 또는 활성화된 수소, 또는 염화 제1주석/염산, 하이드라진/라니-닉켈, 황산 제1철 또는 아연/빙초산을 사용하여 0℃ 내지 150℃(바람직하게는 20 내지 80℃)의 온도에서 진행시킨다.The reaction to reduce the compound of formula (VIII) can be carried out in methanol, ethanol, ethyl acetate, water, water-isopropanol, dimethylformamide, or glacial acetic acid, hydrogen or activated hydrogen, or stannous chloride / hydrochloric acid, hydrazine / rani. Proceed at a temperature of 0 ° C. to 150 ° C. (preferably 20 to 80 ° C.) using nickel, ferrous sulfate or zinc / glacial acetic acid.
발생기 수소를 사용하여 환원시키는 반응은 20 내지 80℃의 온도에서 아연/빙초산 또는 철/염산과 함께 수행하는 것이 바람직하며 촉매적 환원반응은 팔라듐/목턴의 촉매존재하에 3 내지 7 수소압하, 20 내지 80℃의 온도로 수행하는 것이 바람직하다.The reaction of reducing with generator hydrogen is preferably carried out with zinc / glacial acetic acid or iron / hydrochloric acid at a temperature of 20 to 80 ° C., and the catalytic reduction reaction is carried out at 3 to 7 hydrogen pressure, 20 to 7, in the presence of a catalyst of palladium / muton. Preference is given to performing at a temperature of 80 ° C.
만약 R1이 메틸멀캅토 그룹으로 치환된 페닐 그룹인 구조식(I)의 화합물이 수득된다면, 이 화합물을 1 또는 2 등량의 산화제를 사용하여 구조식(I)의 상응하는 메틸설피닐 또는 메틸설포닐 화합물로 전환시키고; 또는 R1이 메틸설피닐 그룹으로 치환된 페닐그룹인 구조식(I)의 화합물을 산화제를 이용하여 상응하는 메틸설포닐 화합물로 전환시키고, 또는 R1이 벤질옥시 그룹으로 치환된 페닐그룹인 구조식(I)의 화합물을 탈벤질화시켜 상용하는 하이드록시 화합물로 전환시킬 수 있다.If a compound of formula (I) is obtained in which R 1 is a phenyl group substituted with a methyl mercapto group, the compound is obtained using the corresponding methylsulfinyl or methylsulfonyl of formula (I) using one or two equivalents of oxidizing agent. Convert to compound; Or converting a compound of formula (I) wherein R 1 is a phenyl group substituted with a methylsulfinyl group to a corresponding methylsulfonyl compound using an oxidizing agent, or wherein R 1 is a phenyl group substituted with a benzyloxy group ( The compound of I) can be converted to a commercially available hydroxy compound by debenzylation.
상응하는 구조식(I)화합물을 산화시키는 반응은 빙초산 또는 물/빙초산등의 용매중에서 과산화수소등의 산화제를 사용하여 수행하며, 초산나트륨등의 초산알카리 존재하, 0℃ 내지 100℃의 온도(바람직하게는 10 내지 50℃)에서 수행한다.The reaction for oxidizing the corresponding compound of formula (I) is carried out using an oxidizing agent such as hydrogen peroxide in a solvent such as glacial acetic acid or water / glacial acetic acid, and in the presence of alkali acetate such as sodium acetate, at a temperature of 0 ° C. to 100 ° C. (preferably 10 to 50 ° C.).
이어서, 구조식(I)의 상응하는 화합물을 탈벤질화시키는 반응은 메탄올, 에틸 아세테이트 등의 용매 존재하에 활성화된 수소, 예를 들면 Pd/C 존재하에 수소를 사용하여 3 내지 6 수소기압하 40 내지 60℃ 온도로 수행하는 것이 좋다.The reaction for debenzylating the corresponding compound of formula (I) is then carried out using 40 to 60 hydrogen at 3 to 6 hydrogen atmosphere using hydrogen activated in the presence of a solvent such as methanol, ethyl acetate, for example Pd / C. It is preferable to carry out at a temperature of ℃.
본 발명에 따라 수득된 구조식(I) 화합물은 무기 또는 유기산을 사용하여 생리적으로 받아들여 질 수 있는 염으로 전환시킬 수 있다. 적합한 산으로는 염산, 브롬화수소산, 황산, 인산, 유산, 구연산, 능금산 또는 말레산이 있다.The compound of formula (I) obtained according to the present invention can be converted into a physiologically acceptable salt using an inorganic or organic acid. Suitable acids are hydrochloric acid, hydrobromic acid, sulfuric acid, phosphoric acid, lactic acid, citric acid, uric acid or maleic acid.
출발물질로 사용되는 구조식(II) 내지 (IX)의 화합물은 공지의 방법으로 제조할 수 있으며, 예를들어 구조식(II) 또는 (IX)의 화합물은 상응하는 아실아미노-아미노화합물을 축합시켜서 얻을 수 있고, 구조식(IV)의 화합물은 상응하는 이소퀴놀린 디온을 상응하는 할로겐 화합물과 반응시켜서 얻을 수 있다.Compounds of formulas (II) to (IX) used as starting materials can be prepared by known methods, for example compounds of formula (II) or (IX) can be obtained by condensing the corresponding acylamino-amino compounds. The compound of formula (IV) can be obtained by reacting the corresponding isoquinoline dione with the corresponding halogen compound.
전술된 바와 같이, 본 발명에 따른 구조식(I) 화합물 및 생리적으로 적합한 산 부가염은 함불안효과외에도 여러 약리학적 성질, 특히 심장혈관계 효과를 지닌다.As mentioned above, the structural formula (I) compounds and physiologically suitable acid addition salts according to the present invention have several pharmacological properties, in particular cardiovascular effects, in addition to the anxiolytic effect.
A가 수소원자인 구조식(I)의 화합물은 특히 심장흥분 효과, 저혈압효과 및 혈소판응집억제효과를 갖는다. 또한 A가인 구조식(I)의 화합물은 특히 항부정맥효과를 지닌다. 더군다나 A가 수소원자인 구조식(I) 화합물은 5-위치에 아미노알킬그룹으로 치환된 이미다조-이소퀴놀린-디온류의 제조를 위한 유용한 중간물질이다.The compound of formula (I) wherein A is a hydrogen atom has a cardiac excitability effect, a hypotensive effect and a platelet aggregation inhibitory effect. Also A Phosphorus compounds of formula (I) have particularly antiarrhythmic effects. Furthermore, the compound of formula (I) wherein A is a hydrogen atom is a useful intermediate for the preparation of imidazo-isoquinoline-diones substituted with aminoalkyl groups in the 5-position.
다음의 화합물에 대하여 심장 흥분효과 및 혈압에 미치는 효과를 시험하였으며, 그 아래의 화합물에 대하여 항부정맥 효과를 시험하였다.The effects on the cardiac excitability and blood pressure were tested for the following compounds, and the antiarrhythmic effects were tested on the compounds below.
1. 심장흥분효과 및 혈압에 미치는 효과1. Cardiac Excited Effects and Effects on Blood Pressure
몸무게 2 내지 4㎏의 고양이 암(수)컷에게 펜토바비틸-소듐 30㎎/㎏을 복강주사하여 마취시킨 후, PVC-카테테르를 통하여 복부 대동맥으로부터 스타팀 변압계(Statham Pressure exchanger)로 동맥압을 측정한다. 이는 우대퇴골 정맥으로부터 유도된다. 정맥압은 혈압계(M-illep PC-350형)을 사용하여 측정하며 이는 우경동맥을 통한 좌심실에서 유도된다.Cat female males weighing 2 to 4 kg were intraperitoneally injected with pentobarbityl-sodium 30 mg / kg, and then arterial pressure was received from the abdominal aorta through a PVC catheter with a Statham Pressure exchanger. Measure It is derived from the right femoral vein. Venous pressure is measured using a blood pressure monitor (type M-illep PC-350), which is induced in the left ventricle through the right carotid artery.
수축력(dp/dt max)은 증폭기로 측정한다. 동맥압 및 dp/dt max는 직접기록계로 계속적으로 측정되며, 시험물질은 2㎎/㎏의 량을 정맥으로 주사한다. 시험결과가 다음의 표에 나타나 있다.Retraction force (dp / dt max) is measured with an amplifier. Arterial pressure and dp / dt max are continuously measured with a direct recorder, and the test substance is injected intravenously with a dose of 2 mg / kg. The test results are shown in the following table.
2. 기니아 피그의 전기적으로 자극시킨, 분리된 좌 심이(心耳)의 불응기에 미치는 효과2. The effect of the electrically stimulated, isolated left heart on the refractory to guinea pigs
방법 :Way :
기니아 피그(암, 숫컷)의 목을 베어 죽이고 흉강을 절개한 뒤 재빨리 심장을 도려내어 티로드(Tyrode), 용액(37℃)중에 옮긴다. 심이를 절개하여 단지 좌심이만을 사용한다. 그라스(Grass) 자극계, S4G로 전기자극을 준다. 심이를 NaCl 136.8mvol NaCl, 2.68mvol KCl, 0.2625mvol MgCl2, 0.417mvol NaH2PO4, 11.9mvol NaHCO3, 1.8mvol2, 3g의 포도당을 함유하는 티로드(Tyrode) 용액에 담근다. 이 용액에 O2/CO2(98%(2%)로 산소를 통하고 수축력을 그라스폴리그라프(Grasspolygraph P5)로 측정한다.The neck of a guinea pig (female, male) is cut off and the incision of the thoracic cavity is quickly cut out of the heart and transferred to Tyrode, a solution (37 ° C). Incise the seam and use only the left seam. The glass stimulation system, S 4 G, provides electrical stimulation. The sim is soaked in a Tyrode solution containing 136.8 mvol NaCl, 2.68 mvol KCl, 0.2625 mvol MgCl 2 , 0.417 mvol NaH 2 PO 4 , 11.9 mvol NaHCO 3 , 1.8 mvol 2 , 3 g of glucose. Oxygen is passed through the solution in O 2 / CO 2 (98% (2%)) and the shrinkage is measured by Glasspolygraph P5.
수축횟수를 세고 언급된 횟수와 비교한다. 최고 자극빈도(stimulation fre)는 10분당 1Hz 식 자극율을 증가시킨면서 측정한다. 최고 자극빈도는 5번의 예비시험의 결과를 평균하여 측정한다. 각 5분 간격마다의 자극율은 0.5Hz이다.Count the shrinkage and compare it to the number mentioned. The highest stimulation frequency (fre- quency) is measured by increasing the stimulation rate at 1 Hz per 10 minutes. Maximum stimulus frequency is determined by averaging the results of five preliminary tests. The stimulation rate at each 5 minute interval is 0.5 Hz.
평균치가 결정되면, 시험물질은 티로드 용액에 가하면(자극율은 0.5Hz이다), 처음 5분 동안에는 본 화합물의 근수축력효과가 관찰된다. 시험 화합물을 가한 후 매 5분 및 10분 후에 결과를측정한다. 2번의 시험(5분 및 10분 후의 시험)의 평균치가 최고 자극빈도로 간주된다. 처음에는 소량을 가하여, 최고 자극빈도를 결정한 후 차츰 량을 증가시켜 그 양에 있어서의 최고 자극빈도를 측정한다.Once the mean value is determined, the test substance is added to the thiroded solution (stimulation rate is 0.5 Hz), and the muscle contractile effect of the compound is observed during the first 5 minutes. The results are measured every 5 and 10 minutes after the test compound is added. The mean of two trials (tests 5 and 10 minutes later) is considered the highest stimulus frequency. Initially, a small amount is added to determine the maximum stimulus frequency, then the amount is increased to determine the maximum stimulus frequency in that amount.
원 리 :principle :
최고 자극빈도는 자극율을 증가시키면서 측정한다. 두 자극사이의 간격이 짧으면 2번째 자극은 전술한 수축력의 불응기로 들어가 수축을 일으키지 않게 된다. 따라서 최고 자극 빈도는 유효한 불응기의 측정치이다. 최고 자극빈도를 감소시키는 화합물은 불응기를 연장시킨다.Peak stimulus frequency is measured with increasing stimulation rate. If the interval between the two stimuli is short, the second stimulus enters the inconsistency of the above-mentioned contraction force and does not cause contraction. The highest stimulus frequency is therefore a measure of valid refractory. Compounds that reduce peak irritation frequency prolong infertility.
반응용량 곡선으로부터 최고 자극빈도를 50% 감소 시키는 다음 농도를 측정하였다.The following concentrations were measured to reduce the peak stimulus frequency by 50% from the dose curve.
3. 생쥐에 있어서 클로로포름으로 유도된 심실세동에 대한 항부정맥 효과3. Antiarrhythmic Effects on Chloroform-Induced Ventricular Fibrillation in Mice
생쥐를 클로로포름-포화대기중에-방치하면-약 40초 후에 마취가 시작되며, 동시에 호흡이 중지되고, 20초가 더 경과되면 가쁜숨을 돌아쉬기 시작한다. 호흡이 완전히 가라앉으면, 생쥐를 클로로포름 대기로부터 꺼내, 흉강을 절개하고 심장을 재빨리 절단한다. 흉강을 절제한 후 1분간은 심실의 세동이 일어나며 만일 일어나지 않으면 심장에 자극을 주어 세동을 유도한다.When the mouse is left in chloroform-saturated atmosphere—anesthesia begins after about 40 seconds, at the same time the breathing stops, and after 20 seconds the breath begins to breathe. Once the breathing has completely subsided, the mouse is removed from the chloroform atmosphere, the chest cavity is incised and the heart is quickly cut. One minute after resection of the thoracic cavity, ventricular fibrillation occurs and if not, it stimulates the heart to induce fibrillation.
항부정맥 화합물로 사전 처리한 많은 수의 동물이 용량의존성의 세동을 보여준다. 동물의 50%에게서 상기결과가 나타나는데 필요한 용량은 용량-반응 곡선을 이용하여 계산하며, 표준오차를 결정한다.A large number of animals pretreated with antiarrhythmic compounds show dose-dependent fibrillation. The dose required for the above results to appear in 50% of the animals is calculated using a dose-response curve and the standard error is determined.
[참조 ; Miller, L. C. 및 Tainner, M. L. Proc, Exp, Biol, Med, 57, 261 (1944)][Reference ; Miller, L. C. and Tainner, M. L. Proc, Exp, Biol, Med, 57, 261 (1944)].
본 실험은 체중 20 내지 25g의 숫생쥐에 대하여 실시하였으며 각 용량에 대하여 각각 10마리를 사용하여 시험하였다.The experiment was conducted on male mice weighing 20-25 g and tested for 10 doses each.
이 양은 시험을 하기에 앞서 약물을 정맥주사 및 경구투여하고 심실세동이 50%의 동물에게서 정지하는 양을 측정하여 결정하였다.This amount was determined by intravenous and oral drug administration prior to testing and by measuring the amount of ventricular fibrillation arrest in 50% of animals.
4. 급성 독성시험4. Acute Toxicity Test
경구 또는 정맥주사로 약물을 투여한 후 급성독성을 시험한다. 다음 용량은 50%의 동물을 죽일 수 있는 량이다.Acute toxicity should be tested following drug administration orally or intravenously. The next dose is enough to kill 50% of the animals.
약제학적으로 투여할 경우 구조식(I)의 화합물 및 이들의 약학적으로 무독한 무기 또는 유기산과의 염은 다른 활성성분과 혼합하여 통상적인 약학적제제로 투여할 수 있다. 상기와 같은 통상의 제제는 정제, 코팅한 정제, 앰플제, 액제, 현탁제 또는 좌제등이다. 심장부정맥 및 고혈압의 적절한 치료는 A가 수소원자인 구조식(I)화합물을 일회에 50 내지 300㎎식 투여하는 것이다. A가 수소원자가 아닌 구조식(I)화합물은 일회투여량을 20 내지 50㎎으로 하여 특히 심근경색 및 협심증에 관련된 진동부정맥의 치료에 적절하다.When administered pharmaceutically, the compounds of formula (I) and salts with pharmaceutically toxic, inorganic or organic acids may be administered in conventional pharmaceutical formulations by mixing with other active ingredients. Such conventional formulations are tablets, coated tablets, ampoules, solutions, suspensions or suppositories. Appropriate treatment of cardiac arrhythmias and hypertension is by administering 50 to 300 mg of the compound of formula (I), wherein A is a hydrogen atom. The compound of formula (I), in which A is not a hydrogen atom, has a single dose of 20 to 50 mg, which is particularly suitable for the treatment of vibratory arrhythmias associated with myocardial infarction and angina pectoris.
다음 실시예를 제공하여 본 발명을 더욱 설명한다.The present invention is further illustrated by the following examples.
[실시예 1]Example 1
7,7-디메틸-2-페닐-5H, 7H-이미다조〔4,5-H〕 이소퀴놀린-4,6-디온-디하이드로클로라이드7,7-dimethyl-2-phenyl-5H, 7H-imidazo [4,5-H] isoquinoline-4,6-dione-dihydrochloride
a) 220g의 4,4-디메틸-7-아세트아미노-2H, 4H-이소퀴놀린-1,3-니온을 800ml의 발연질산중에 -20℃에서 교반하면서 조금씩 가한다. 이 혼합물을 1시간 동안 교반시키고 이어서 반응혼합물을 얼음에 붓는다. 침전을 흡인여과하고 물로 세척한 후 공기건조시키고 이소프로판올과 함께 끓인다. 냉각시킨 후 결정을 흡인 여과하고 에테르로 세척한다.a) 220 g of 4,4-dimethyl-7-acetamino-2H, 4H-isoquinoline-1,3-nione are added in small portions with stirring at -20 ° C. in 800 ml of fuming nitric acid. The mixture is stirred for 1 hour and then the reaction mixture is poured onto ice. The precipitate is suction filtered, washed with water, air dried and boiled with isopropanol. After cooling the crystals are suction filtered and washed with ether.
수율 : 222g(85%); 융점 : 249℃(분해)Yield: 222 g (85%); Melting Point: 249 ° C (Decomposition)
b) 4,4-디메틸-7-벤조일아미노-8-니트로-2H, 4H-이소퀴놀린-1,3-디온b) 4,4-dimethyl-7-benzoylamino-8-nitro-2H, 4H-isoquinoline-1,3-dione
43.8g의 4,4-디메틸-7-아세트아미노-8-니트로-2H, 4H-이소퀴놀린-1,3-디온을 200g의 크실렌 및 104g의 벤조일 클로라이드와 함께 혼합하고 10시간 동안 교반, 환류시킨다. 냉각시키고, 반응혼합물을 흡인여과시킨후, 툴루엔 및 석유 에테르로 세척한다.43.8 g of 4,4-dimethyl-7-acetamino-8-nitro-2H, 4H-isoquinoline-1,3-dione are mixed with 200 g of xylene and 104 g of benzoyl chloride and stirred and refluxed for 10 hours. . After cooling, the reaction mixture is suction filtered and washed with toluene and petroleum ether.
수율 : 36g(68%); 융점 : 270℃ 이상Yield: 36 g (68%); Melting Point: 270 ℃ or higher
c) 7,7-디메틸-2-페닐-5H, 7H-이미다조〔4,5-H〕 이소퀴놀린-4,6-디온-하이드로클로라이드c) 7,7-dimethyl-2-phenyl-5H, 7H-imidazo [4,5-H] isoquinoline-4,6-dione-hydrochloride
17.6g의 4,4-디메틸-7-벤조일아미노-8-2H, 4H-니트로이소퀴놀린-1,3-디온을 1200ml의 메탄올중에서 1.5g의 10% Pd/c 존재하에 50℃, 5수소기압하에서 8시간 동안 수소첨가시킨다. 수득된 4,4-디메틸-7-벤조일아미노-8-아미노-2H, 4H-이소퀴놀린-1,3-디온을 300ml의 포화메탄올성 염산과 혼합하고 3시간 동안 환류시킨다. 촉매를 흡인여과시키고, 여액을 증발시켜 100ml로 한 후 100ml의 에테르와 혼합한다. 침전된 생성물을 흡인여과하고 에테르로 세척한다.17.6 g of 4,4-dimethyl-7-benzoylamino-8-2H, 4H-nitroisoquinoline-1,3-dione in 1200 ml methanol at 50 ° C., 5 hydrogen atmospheres in the presence of 1.5 g of 10% Pd / c Hydrogen under 8 hours. The obtained 4,4-dimethyl-7-benzoylamino-8-amino-2H, 4H-isoquinoline-1,3-dione is mixed with 300 ml of saturated methanolic hydrochloric acid and refluxed for 3 hours. The catalyst is suction filtered, the filtrate is evaporated to 100 ml and mixed with 100 ml of ether. The precipitated product is suction filtered and washed with ether.
수율 : 14.8g(86.5%); 융점 : 260℃ 이상Yield: 14.8 g (86.5%); Melting Point: 260 ℃ or higher
[실시예 2]Example 2
7,7-디메틸-2-(2,4-디메톡시-페닐)-5H, 7H-이미다조〔4,5-H〕 이소퀴놀린-4,6-디온-하이드로클로라이드7,7-dimethyl-2- (2,4-dimethoxy-phenyl) -5H, 7H-imidazo [4,5-H] isoquinoline-4,6-dione-hydrochloride
a) 4,4-디메틸-7-(2,4-디메톡시벤조일아미노)-8-니트로-2H, 4H-이소퀴놀린-1,3-디온a) 4,4-dimethyl-7- (2,4-dimethoxybenzoylamino) -8-nitro-2H, 4H-isoquinoline-1,3-dione
2.27g의 4,4-디메틸-아미노-8-니트로-2H, 4H-이소퀴놀린-1,3-디온을 500ml의 클로로포림 및 2.5ml의 트리에틸아민과 혼합하고, 이어서 2.2g의 2,4-디메톡시벤조일클로라이드를 가하고 2시간 동안 환류시킨다. 냉각시킨 후 용액을 증발시키고, 침전을 흡인 여과하고 가열하면서 물로 침지시킨다.2.27 g of 4,4-dimethyl-amino-8-nitro-2H, 4H-isoquinoline-1,3-dione are mixed with 500 ml of chloroporim and 2.5 ml of triethylamine, followed by 2.2 g of 2,4 -Dimethoxybenzoylchloride is added and refluxed for 2 hours. After cooling the solution is evaporated and the precipitate is immersed in water with suction filtration and heating.
b) 7,7-디메틸-2-(2,4-디메톡시-페닐)-5H, 7H-이미다조〔4,5-H〕 이소퀴놀린-4,6-디온-하이드로클로라이드b) 7,7-dimethyl-2- (2,4-dimethoxy-phenyl) -5H, 7H-imidazo [4,5-H] isoquinoline-4,6-dione-hydrochloride
실시예 1c에서와 유사한 방법으로 3.1g의 4,4-디메틸-7-(2,4-디메톡시벤조일아미노)-8-니트로-2H, 4H-이소퀴놀린-1,3-디온으로부터 제조한다.Prepared from 3.1 g of 4,4-dimethyl-7- (2,4-dimethoxybenzoylamino) -8-nitro-2H, 4H-isoquinoline-1,3-dione in a similar manner as in Example 1c.
수율 : 2.1g(74.7%); 융점 : 248 내지 249℃Yield: 2.1 g (74.7%); Melting Point: 248 ~ 249 ℃
[실시예 3]Example 3
7,7-디메틸-2-(2-메톡시-4-메틸멀캅토-페닐)-5H, 7H-이미다조〔4,5-H〕 이소퀴놀린-4,6-디온-하이드로클로라이드7,7-dimethyl-2- (2-methoxy-4-methylmercapto-phenyl) -5H, 7H-imidazo [4,5-H] isoquinoline-4,6-dione-hydrochloride
a) 4,4-디메틸-7-(2-메톡시-4-메틸멀캅토-벤조일아미노)-8-니트로-2H, 4H-이소퀴놀린-1,3-디온a) 4,4-dimethyl-7- (2-methoxy-4-methylmercapto-benzoylamino) -8-nitro-2H, 4H-isoquinoline-1,3-dione
실시예 2a와 유사한 방법으로 5g의 4,4-디메틸-7-아미노-8-니트로-2H, 4H-이소퀴놀린-1,3-디온 및 2-메톡시-4-메틸멀캅토-벤조일클로라이드로부터 제조한다.From 5 g of 4,4-dimethyl-7-amino-8-nitro-2H, 4H-isoquinoline-1,3-dione and 2-methoxy-4-methylmercapto-benzoylchloride in a similar manner to Example 2a Manufacture.
수율 : 7.1g(82.6%); 융점 : 270℃ 이상Yield: 7.1 g (82.6%); Melting Point: 270 ℃ or higher
b) 7,7-디메틸-2-(2-메톡시-4-메틸멀캅토-페닐)-5H, 7H-이미다조〔4,5-H〕 이소퀴놀린-4,6-디온-하이드로클로라이드 실시예 1c와 유사한 방법으로 7.1g의 4,4-디메틸-7-(2-메톡시-4-메틸멀캅토-벤조일아미노)-8-니트로-2H, 4H-이소퀴놀린-1,3-디온으로부터 제조한다. 수득된 하이드로클로라이드를 유리여기로 전환시키고, 염기를 실리카겔 컬럼(용출제 : 클로로포름/아세톤 19 : 1)상에서 크로마토그라피시키고 이어서 염산염을 에테르성 염산을 가하여 아세톤으로부터 침전시킨다.b) 7,7-dimethyl-2- (2-methoxy-4-methylmercapto-phenyl) -5H, 7H-imidazo [4,5-H] isoquinoline-4,6-dione-hydrochloride From 7.1 g of 4,4-dimethyl-7- (2-methoxy-4-methylmercapto-benzoylamino) -8-nitro-2H, 4H-isoquinoline-1,3-dione in a similar manner to Example 1c Manufacture. The hydrochloride obtained is converted to free excitation, the base is chromatographed on a silica gel column (eluant: chloroform / acetone 19: 1) and the hydrochloride is then precipitated from acetone by adding etheric hydrochloric acid.
수율 : 5.6g(80%); 융점 : 250℃ 이상Yield: 5.6 g (80%); Melting Point: 250 ℃ or higher
[실시예 4]Example 4
7,7-디메틸-2-(2-메톡시-4-메틸설피닐-페닐)-5H, 7H-이미다조〔4,5-H〕 이소퀴놀린-4,6-디온7,7-dimethyl-2- (2-methoxy-4-methylsulfinyl-phenyl) -5H, 7H-imidazo [4,5-H] isoquinoline-4,6-dione
5.1g의 7,7-디메틸-2-(2-메톡시-4-메틸멀캅토-페닐)-5H, 7H-이미다조〔4,5-H〕 이소퀴놀린-4,6-디온을 100ml의 70% 초산중에서 1.7g의 30% 과산화수소와 함께 반응시키고 이 혼합물을 실온에서 50시간 정치한다. 처음의3시간은 교반하면서) 18 및 26시간 후에 각각의 1.3g의 30% 과산화수소를 가한다. 반응혼합물을 물로 희석하고, 암모니아를 가하여 알칼리성으로 한다. 침전을 흡인여과하고 여액을 클로로포름으로 두 번 추출한 후 클로로포름층을 증발시킨 후 생성물을 실리카겔 컬럼(용출제 : 클로로포름/아세톤 19 : 1)상에서 정제시킨다.100 g of 5.1 g 7,7-dimethyl-2- (2-methoxy-4-methylmercapto-phenyl) -5H, 7H-imidazo [4,5-H] isoquinoline-4,6-dione It is reacted with 1.7 g of 30% hydrogen peroxide in 70% acetic acid and the mixture is allowed to stand at room temperature for 50 hours. After 18 and 26 hours of stirring the first 3 hours) 1.3 g of 30% hydrogen peroxide are added. The reaction mixture is diluted with water and made alkaline by adding ammonia. The precipitate is suction filtered, the filtrate is extracted twice with chloroform, the chloroform layer is evaporated and the product is purified on a silica gel column (eluant: chloroform / acetone 19: 1).
수율 : 3.5g(66%); 융점 : 260℃ 이상Yield: 3.5 g (66%); Melting Point: 260 ℃ or higher
[실시예 5]Example 5
7,7-디메틸-2-(2-메톡시-4-메틸설포닐-페닐)-5H, 7H-이미다조〔4,5-H〕 이소퀴놀린-4,6-디온7,7-dimethyl-2- (2-methoxy-4-methylsulfonyl-phenyl) -5H, 7H-imidazo [4,5-H] isoquinoline-4,6-dione
2.3g의 7,7-디메틸-2-(2-메톡시-4-메틸멀캅토-페닐)-5H, 7H-이미다조〔4,5-H〕 이소퀴놀린-4,6-디온을 70ml의 70% 초산중에서 40℃로 가온하고 10ml의 30% 과산화수소를 10시간에 걸쳐 가하면서 반응시킨다. 하룻밤 정치한 후 이 혼합물을 물로 희석하고 암모니아를 가하여 알칼리성으로 한후, 이 혼합물을 염화나트륨으로 포화시키고 클로로포름으로 수차 추출한다. 클로로포름층을 증발시키고 잔유물을 실리카겔 컬럼(용출제 : 클로로포름/아세톤 19 : 1)상에서 정제한다.70 ml of 2.3 g of 7,7-dimethyl-2- (2-methoxy-4-methylmercapto-phenyl) -5H, 7H-imidazo [4,5-H] isoquinoline-4,6-dione Warm to 40 ° C. in 70% acetic acid and react with 10 ml of 30% hydrogen peroxide over 10 hours. After standing overnight, the mixture is diluted with water and made alkaline by adding ammonia, then the mixture is saturated with sodium chloride and extracted several times with chloroform. The chloroform layer is evaporated and the residue is purified on a silica gel column (eluant: chloroform / acetone 19: 1).
수율 : 0.7g(28%); 융점 : 290℃ 이상Yield: 0.7 g (28%); Melting Point: 290 ℃ or higher
[실시예 6]Example 6
2,7,7-트리메틸-5H, 7H-이미다조〔4,5-H〕 이소퀴놀린-4,6-디온-하이드로클로라이드2,7,7-trimethyl-5H, 7H-imidazo [4,5-H] isoquinoline-4,6-dione-hydrochloride
실시예 1C와 유사한 방법으로 16g의 4,4-디메틸-7-아세트아미노-8-니트로-2H,4H-이소퀴놀린-1,3-디온으로부터 제조한다.Prepared from 16 g of 4,4-dimethyl-7-acetamino-8-nitro-2H, 4H-isoquinoline-1,3-dione in a similar manner to Example 1C.
수율 : 14.3g(93%); 융점 : 260℃이상Yield: 14.3 g (93%); Melting Point: Above 260 ℃
[실시예 7]Example 7
2-에틸--7,7-디메틸-5H, 7H-이미다조〔4,5-H〕 이소퀴놀린-4,6-디온-하이드로클로라이드2-ethyl--7,7-dimethyl-5H, 7H-imidazo [4,5-H] isoquinoline-4,6-dione-hydrochloride
a) 4,4-디메틸-7-프로피오닐아미노-8-니트로-2H, 4H-이소퀴놀린-1,3-디온a) 4,4-dimethyl-7-propionylamino-8-nitro-2H, 4H-isoquinoline-1,3-dione
29.1g의 4,3-디메틸-7-아세트아미노-8-니트로-2H, 4H-이소퀴놀린-1,3-디온을 50ml의 프로피온산 무수물과 함께 4시간 동안 환류시킨다. 이 혼합물을 빙수에 붓고, 탄산나트륨으로 중화한다. 수득된 침전을 실리카겔 컬럼(용출제 : 클로로포름/아세톤 19 : 1)상에서 정제한다.29.1 g of 4,3-dimethyl-7-acetamino-8-nitro-2H, 4H-isoquinoline-1,3-dione are refluxed with 50 ml of propionic anhydride for 4 hours. The mixture is poured into ice water and neutralized with sodium carbonate. The precipitate obtained is purified on a silica gel column (eluant: chloroform / acetone 19: 1).
수율 : 21.8g(71.5%); 융점 : 238 내지 239℃Yield: 21.8 g (71.5%); Melting Point: 238 ~ 239 ℃
b) 2-에틸-7,7-디메틸-5H, 7H-이미다조〔4,5-H〕 이소퀴놀린-4,6-디온-하이드로클로라이드b) 2-ethyl-7,7-dimethyl-5H, 7H-imidazo [4,5-H] isoquinoline-4,6-dione-hydrochloride
실시예 1c에서와 유사한 방법으로 6.1g의 4,4-디메틸-7-프로피닐오닐아미노-8-니트로-2H, 4H-이소퀴놀린-1,3-디온으로부터 제조한다.Prepared from 6.1 g of 4,4-dimethyl-7-propynylonylamino-8-nitro-2H, 4H-isoquinoline-1,3-dione in a similar manner as in Example 1c.
수율 : 4.9g(83.5%); 융점 : 206 내지 207℃Yield: 4.9 g (83.5%); Melting Point: 206-207 ℃
[실시예 8]Example 8
7,7-디메틸-2-(4-메틸멀캅토-페닐)-5H, 7H-이미다조〔4,5-H〕 이소퀴놀린-4,6-디온7,7-dimethyl-2- (4-methylmercapto-phenyl) -5H, 7H-imidazo [4,5-H] isoquinoline-4,6-dione
a) 4,4-디메틸-7-(4-메틸멀캅토-벤조일아미노)-8-니트로-2H, 4H-이소퀴놀린-1,3-디온a) 4,4-dimethyl-7- (4-methylmercapto-benzoylamino) -8-nitro-2H, 4H-isoquinoline-1,3-dione
실시예 1b에서와 유사한 방법으로 14.6g의 4,4-디메틸-7-아세트아미노-8-니트로-2H, 4H-이소퀴놀린-1,3-디온 및 17g의 4-메틸-멀캅토-벤조일클로라이드로부터 제조한다.(반응시간 : 23 : 시간)In a similar manner as in Example 1b, 14.6 g of 4,4-dimethyl-7-acetamino-8-nitro-2H, 4H-isoquinoline-1,3-dione and 17 g of 4-methyl-mercapto-benzoylchloride (Reaction time: 23: time)
수율 : 17g(85.1%); 융점 : 265℃ 이상Yield: 17 g (85.1%); Melting Point: 265 ℃ or higher
b) 7,7-디메틸-2-(4-메틸멀캅토-페닐)-5H, 7H-이미다조〔4,5-H〕 이소퀴놀린-4,6-디온b) 7,7-dimethyl-2- (4-methylmercapto-phenyl) -5H, 7H-imidazo [4,5-H] isoquinoline-4,6-dione
17g의 4,4-디메틸-7-(4-메틸멀캅토-벤조일아미노)-8-니트로-2H,4H-이소퀴놀린-1,3-디온을 실시예 1c에서와 같이 환원시키고 촉매를 여과하여 제거시킨 후, 이 혼합물을 증발 건조시킨다. 잔유하는 염산염을 메탄올성 암모니아를 가하여 유리염기로 전환시키고 실리카겔 컬럼(용출제 : 클로로포름/아세톤 19 : 1)상에서 정제시킨다.17 g of 4,4-dimethyl-7- (4-methylmercapto-benzoylamino) -8-nitro-2H, 4H-isoquinoline-1,3-dione were reduced as in Example 1c and the catalyst was filtered After removal, the mixture is evaporated to dryness. The remaining hydrochloride is converted to the free base by adding methanolic ammonia and purified on a silica gel column (eluant: chloroform / acetone 19: 1).
수율 : 5.8g(39%); 융점 : 251 내지 253℃Yield: 5.8 g (39%); Melting Point: 251 to 253 ° C
[실시예 9]Example 9
7,7-디메틸-2-(4-메톡시-페닐)-5H, 7H-이미다조〔4,5-H〕 이소퀴놀린-4,6-디온-염산염7,7-dimethyl-2- (4-methoxy-phenyl) -5H, 7H-imidazo [4,5-H] isoquinoline-4,6-dione-hydrochloride
실시예 1C와 유사한 방법으로 80.5g의 4,4-디메틸-7-(4-메톡시-벤조일아미노)-8-니트로-2H,4H-이소퀴놀린-1,3-디온으로부터 제조한다. 이때 환류시키면서 염화수소기체를 통한다.Prepared from 80.5 g of 4,4-dimethyl-7- (4-methoxy-benzoylamino) -8-nitro-2H, 4H-isoquinoline-1,3-dione in a similar manner to Example 1C. At this time, it is passed through a hydrogen chloride gas while refluxing.
수율 : 73.3g(93.6%); 융점 : 282℃Yield: 73.3 g (93.6%); Melting Point: 282 ℃
[실시예 10]Example 10
7,7-디메틸-2-(4-하이드록시-페닐)-5H, 7H-이미다조〔4,5-H〕 이소퀴놀린-4,6-디온7,7-dimethyl-2- (4-hydroxy-phenyl) -5H, 7H-imidazo [4,5-H] isoquinoline-4,6-dione
a) 7,7-디메틸-2-(4-벤질옥시-페닐)-5H, 7H-이미다조〔4,5-H〕 이소퀴놀린-4,6-디온-염산염a) 7,7-dimethyl-2- (4-benzyloxy-phenyl) -5H, 7H-imidazo [4,5-H] isoquinoline-4,6-dione-hydrochloride
1.5g의 라니-닉켈을 1시간에 걸쳐 8.3g의 4,4-디메틸-7-(4-벤질옥시-벤조일아미노)-8-니트로-2H, 4H-이소퀴놀린-1,3-디온 및 3ml의 하이드라진 하이드레이트를 함유하는 100ml의 에탄올 현탁액에 실온에서 가하고, 다시 100ml의 염산을 천천히 가하면서 끓을때까지 가열한다. 2시간 후 반응혼합물을 여과하고 잔유물을 에틸렌글리콜 모노메틸 에테르로 수회 추출한다. 에틸렌글리콜 모노메틸 에테르층을 모아진공중에서 100ml가 될 때까지 증발시킨다. 침전을 흡입 여과하고 물/에탄올로부터 재결정시킨다.1.5 g Raney-nickel was added over 8.3 hours with 8.3 g 4,4-dimethyl-7- (4-benzyloxy-benzoylamino) -8-nitro-2H, 4H-isoquinoline-1,3-dione and 3 ml 100 ml of ethanol suspension containing hydrazine hydrate was added at room temperature, and 100 ml of hydrochloric acid was slowly added thereto and heated until boiling. After 2 hours the reaction mixture is filtered and the residue is extracted several times with ethylene glycol monomethyl ether. The ethylene glycol monomethyl ether layer is combined and evaporated to 100 ml in vacuo. The precipitate is suction filtered and recrystallized from water / ethanol.
수율 : 4g(44.7%); 융점 : 244 내지 246℃Yield: 4 g (44.7%); Melting Point: 244 ~ 246 ℃
b) 7,7-디메틸-2-(4-하이드록시-페닐)-5H, 7H-이미다조〔4,5-H〕 이소퀴놀린-4,6-디온b) 7,7-dimethyl-2- (4-hydroxy-phenyl) -5H, 7H-imidazo [4,5-H] isoquinoline-4,6-dione
2.3g의 7,7-디메틸-2-(4-벤질옥시-페닐)-5H, 7H-이미다조〔4,5-H〕 이소퀴놀린-4,6-디온, 200ml의 메탄올 및 0.5g의 10% pd/c를 5수소기압하 50℃에서 4시간 동안 수소첨가시킨다. 촉매를 여과하여 제거하고 여액을 증발시켜 50ml로 한 후 결정을 흡인여과시킨다.2.3 g of 7,7-dimethyl-2- (4-benzyloxy-phenyl) -5H, 7H-imidazo [4,5-H] isoquinoline-4,6-dione, 200 ml of methanol and 0.5 g of 10 % pd / c is hydrogenated at 50 ° C. for 5 hours under hydrogen pressure. The catalyst is filtered off, the filtrate is evaporated to 50 ml and the crystals are suction filtered.
수율 : 1.5g(77.8%); 융점 : 250℃ 이상Yield: 1.5 g (77.8%); Melting Point: 250 ℃ or higher
[실시예 11]Example 11
7,7-디메틸-2-(2-메톡시-5-메틸설포닐-페닐)-5H, 7H-이미다조〔4,5-H〕 이소퀴놀린-1,3-디온7,7-dimethyl-2- (2-methoxy-5-methylsulfonyl-phenyl) -5H, 7H-imidazo [4,5-H] isoquinoline-1,3-dione
a) 4,4-디메틸-7-(2-메톡시-5-메틸멀캅토-벤조일아미노)-8-니트로-2H, 4H-이소퀴놀린-4,6-디온a) 4,4-dimethyl-7- (2-methoxy-5-methylmercapto-benzoylamino) -8-nitro-2H, 4H-isoquinoline-4,6-dione
실시예 1b에서와 유사한 방법으로 (반응시간 : 18시간, 생성물은 n-프로판올과 함께 끓여서 정제한다) 29.1g의 4,4-디메틸-7-아세트아미노-8-니트로-2H, 4H-이소퀴놀린-1,3-디온 및 30g의 2-메톡시-5-메틸멀캅토-벤조일클로라이드로부터 제조한다.29.1 g of 4,4-dimethyl-7-acetamino-8-nitro-2H, 4H-isoquinoline in a similar manner as in Example 1b (reaction time: 18 hours, product was boiled and purified with n-propanol) Prepared from -1,3-dione and 30 g of 2-methoxy-5-methylmercapto-benzoylchloride.
수율 : 26.6g(61.9%); 융점 : 255℃(이상)Yield: 26.6 g (61.9%); Melting Point: 255 ℃ (above)
b) 7,7-디메틸-2-(2-메톡시-5-메틸멀캅토-페닐)-5H, 7H-이미다조〔4,5-H〕 이소퀴놀린-1,3-디온염산염b) 7,7-dimethyl-2- (2-methoxy-5-methylmercapto-phenyl) -5H, 7H-imidazo [4,5-H] isoquinoline-1,3-dione hydrochloride
실시예 1C와 유사한 방법으로 25.7g의 4,4-디메틸-7-(2-메톡시-5-메틸멀캅토-벤조일-아미노)-8-니트로-2H, 4H-이소퀴놀린-1,3-디온으로부터 제조한다.25.7 g of 4,4-dimethyl-7- (2-methoxy-5-methylmercapto-benzoyl-amino) -8-nitro-2H, 4H-isoquinoline-1,3- in a similar manner to Example 1C Prepared from diones.
수율 : 16.2g(64.6%); 융점 : 210℃Yield: 16.2 g (64.6%); Melting Point: 210 ℃
c) 7,7-디메틸-2-(2-메톡시-5-메틸설포닐-페닐(-5H,7H-이미다조[4,5-h] 이소퀴놀린-4,6-디온c) 7,7-dimethyl-2- (2-methoxy-5-methylsulfonyl-phenyl (-5H, 7H-imidazo [4,5-h] isoquinoline-4,6-dione
8.4g의 7,7-디메틸-2-(2-메톡시-5-메틸멀캅토-페닐)-5H, 7H-이미다조〔4,5-h〕 이소퀴놀린-4,6-디온, 200ml의 빙초산, 50ml의 물, 2g의 초산나트륨 및 10ml의 30% 과산화수소를 50℃에서 교반하면서 10일간 가열한다. 이어서 30% 과산화수소를 5ml/일로 2일간 가한다.8.4 g of 7,7-dimethyl-2- (2-methoxy-5-methylmercapto-phenyl) -5H, 7H-imidazo [4,5-h] isoquinoline-4,6-dione, 200 ml Glacial acetic acid, 50 ml of water, 2 g of sodium acetate and 10 ml of 30% hydrogen peroxide are heated for 10 days with stirring at 50 ° C. 30% hydrogen peroxide is then added at 5 ml / day for 2 days.
반응혼합물을 얼음에 가하고, 탄산칼륨으로 중화시킨다. 침전을 흡입여과하고, 에틸렌글리콜모노에틸에테르로부터 재결정시킨다.The reaction mixture is added to ice and neutralized with potassium carbonate. The precipitate is suction filtered and recrystallized from ethylene glycol monoethyl ether.
수율 : 2.7g(32.6%); 융점 : 255℃이상Yield: 2.7 g (32.6%); Melting Point: Above 255 ℃
[실시예 12]Example 12
7,7-디메틸-2-(4-클로로-페닐)-5H, 7H-이미다조〔4,5-H〕 이소퀴놀린-4,6-디온-염산염7,7-dimethyl-2- (4-chloro-phenyl) -5H, 7H-imidazo [4,5-H] isoquinoline-4,6-dione-hydrochloride
실시예 1C에서와 유사한 방법으로 38.8g의 4,4-디메틸-7-(4-클로로-벤조일아미노)-8-니트로-2H,4H-이소퀴놀린-1,3-디온으로부터 제조한다.Prepared from 38.8 g of 4,4-dimethyl-7- (4-chloro-benzoylamino) -8-nitro-2H, 4H-isoquinoline-1,3-dione in a similar manner as in Example 1C.
수율 : 22.5g(59.8%); 융점 : 250℃이상(n-프로판올로부터)Yield: 22.5 g (59.8%); Melting Point: 250 ° C or higher (from n-propanol)
[실시예 13]Example 13
7,7-디메틸-2-벤질-5H, 7H-이미다조〔4,5-H〕 이소퀴놀린-4,6-디온7,7-dimethyl-2-benzyl-5H, 7H-imidazo [4,5-H] isoquinoline-4,6-dione
실시예 1C와 유사한 방법으로 29g의 4,4-디메틸-7-페닐-아세틸아미노-8-니트로-2H,4H-이소퀴놀린-1,3-디온으로부터 제조한다. 염기에 암모니아를 가하여 염산염으로부터 유리시키고 실리카겔컬럼상에서 정제하여, 이소프로판올로부터 재결정시킨다.Prepared from 29 g of 4,4-dimethyl-7-phenyl-acetylamino-8-nitro-2H, 4H-isoquinoline-1,3-dione in a similar manner to Example 1C. Ammonia is added to the base to liberate from the hydrochloride, and purified on silica gel column to recrystallize from isopropanol.
수율 : 10g(39.7%); 융점 : 224 내지 225℃이상Yield: 10 g (39.7%); Melting Point: 224 ~ 225 ℃
[실시예 14]Example 14
7,7-디메틸-2-페닐에틸-5H, 7H-이미다조〔4,5-H〕 이소퀴놀린-4,6-디온7,7-dimethyl-2-phenylethyl-5H, 7H-imidazo [4,5-H] isoquinoline-4,6-dione
실시예 13와 유사한 방법으로 29.1g의 4,4-디메틸-7-(3-페닐-프로피오닐아미노)-8-니트로-2H,4H-이소퀴놀린-1,3-디온으로부터 제조한다.In a similar manner to Example 13, 29.1 g of 4,4-dimethyl-7- (3-phenyl-propionylamino) -8-nitro-2H, 4H-isoquinoline-1,3-dione is prepared.
수율 : 6.3g(18.3%); 융점 : 241 내지 243℃Yield: 6.3 g (18.3%); Melting Point: 241 ~ 243 ℃
[실시예 15]Example 15
7,7-디메틸-2-(4-메톡시-페닐)-5H, 7H-이미다조〔4,5-H〕 이소퀴놀린-4,6-디온-염산염7,7-dimethyl-2- (4-methoxy-phenyl) -5H, 7H-imidazo [4,5-H] isoquinoline-4,6-dione-hydrochloride
실시예 1C에서와 유사한 방법으로 37.3g의 4,4-디메틸-7-(2-메톡시-벤조일아미노)-8-니트로-2H,4H-이소퀴놀린-1,3-디온으로부터 제조한다.Prepared from 37.3 g of 4,4-dimethyl-7- (2-methoxy-benzoylamino) -8-nitro-2H, 4H-isoquinoline-1,3-dione in a similar manner as in Example 1C.
수율 : 12.2g(33.8%); 융점 : 250℃이상(매탄올로부터)Yield: 12.2 g (33.8%); Melting Point: 250 ℃ or higher (from Methanol)
[실시예 16]Example 16
7,7-디메틸-2-사이클로헥실-5H, 7H-이미다조〔4,5-H〕 이소퀴놀린-4,6-디온7,7-dimethyl-2-cyclohexyl-5H, 7H-imidazo [4,5-H] isoquinoline-4,6-dione
실시예 1C와 유사한 방법으로 9.5g의 4,4-디메틸-7-(사이클로헥실-카보닐아미노)-8-니트로-2H,4H-이소퀴놀린-1,3-디온으로부터 제조한다. 암모니아를 가하여 염산염을 유리염기로 전환시키고 메탄올로부터 재결정시킨다.Prepared from 9.5 g of 4,4-dimethyl-7- (cyclohexyl-carbonylamino) -8-nitro-2H, 4H-isoquinoline-1,3-dione in a similar manner to Example 1C. Ammonia is added to convert the hydrochloride to a free base and recrystallized from methanol.
수율 : 6.5g(79.2%); 융점 : 284℃(분해)Yield: 6.5 g (79.2%); Melting Point: 284 ℃ (Decomposition)
[실시예 17]Example 17
7,7-디메틸-2-벤질-5H, 7H-이미다조〔4,5-H〕 이소퀴놀린-4,6-디온7,7-dimethyl-2-benzyl-5H, 7H-imidazo [4,5-H] isoquinoline-4,6-dione
9g의 2-벤질-4-카복시-5-(2-카복시-2-프로필)-벤즈이미다졸을 800ml의 농암모니아중에 용해시키고 이를 증발건조시킨 후 잔유물을 180℃로 1시간동안 가열하고 생성물을 이소프로판올로부터 재결정 시킨다.9 g of 2-benzyl-4-carboxy-5- (2-carboxy-2-propyl) -benzimidazole was dissolved in 800 ml of concentrated ammonia, evaporated to dryness and the residue was heated to 180 ° C. for 1 hour and the product was Recrystallize from isopropanol.
수율 : 4.75g(56%); 융점 : 224 내지 225℃Yield: 4.75 g (56%); Melting Point: 224 ~ 225 ℃
[실시예 18]Example 18
7,7-디메틸-2-사이클로프로필-5H, 7H-이미다조〔4,5-H〕 이소퀴놀린-4,6-디온-염산염7,7-dimethyl-2-cyclopropyl-5H, 7H-imidazo [4,5-H] isoquinoline-4,6-dione-hydrochloride
a) 4,4-디메틸-7-(사이클로프로필-카보닐-아미노)-8-니트로-2H, 4H-이소퀴놀린-1,3-디온a) 4,4-dimethyl-7- (cyclopropyl-carbonyl-amino) -8-nitro-2H, 4H-isoquinoline-1,3-dione
실시예 1b에서와 유사한 방법으로 5.8g의 4,4-디메틸-7-아세트아미노-8-니트로-2H, 4H-이소퀴놀린-1,3-디온 및 6.3g의 사이클로프로판 카복실산 클로라이드(가열시간 : 30시간)로부터 제조한다.5.8 g of 4,4-dimethyl-7-acetamino-8-nitro-2H, 4H-isoquinoline-1,3-dione and 6.3 g of cyclopropane carboxylic acid chloride (heating time: 30 hours).
수율 : 6g(94%)Yield: 6 g (94%)
(조생성물 : 정제할 필요없음)(Crude product: no need for purification)
b) 7,7-디메틸-2-사이클로프로필-5H, 7H-이미다조〔4,5-H〕 이소퀴놀린-4,6-디온-염산염b) 7,7-dimethyl-2-cyclopropyl-5H, 7H-imidazo [4,5-H] isoquinoline-4,6-dione-hydrochloride
실시예 1에서와 유사한 방법으로 6g의 4,4-디메틸-7-(사이클로프로필-카보닐-아미노)-8-니트로-2H, 4H-이소퀴놀린-1,3-디온으로부터 제조한다.Prepared from 6 g of 4,4-dimethyl-7- (cyclopropyl-carbonyl-amino) -8-nitro-2H, 4H-isoquinoline-1,3-dione in a similar manner as in Example 1.
수율 : 4.8g(83%); 융점 : 208℃에서 반응, 240℃에서 분해Yield: 4.8 g (83%); Melting Point: Reaction at 208 ℃, Decompose at 240 ℃
[실시예 19]Example 19
7,7-디메틸-2-(2-메톡시-5-메틸설피닐-페닐)-5H, 7H-이미다조〔4,5-H〕 이소퀴놀린-4,6-디온7,7-dimethyl-2- (2-methoxy-5-methylsulfinyl-phenyl) -5H, 7H-imidazo [4,5-H] isoquinoline-4,6-dione
3.0g의 7,7-디메틸-2-(2-메톡시-5-메틸멀캅토-페닐)-5H, 7H-이미다조〔4,5-H〕 이소퀴놀린-4,6-디온을 60ml의 빙초산중에 용해시키고 실온에서 0.88ml의 30% 과산화수소를 서서히 적가한다. 30분간 교반한 후, 이 용액을 탄산나트륨용액으로 중화시키고, 물로 희석한 후 클로로포름으로 추출한다. 클로로포름을 증발시키고 얻어진 조생성물을 실리라켈 컬럼 〔용출제 : (아세톤의 량을 증가시킨면서)클로로포름〕상에서 정제시킨다.60 ml of 3.0 g of 7,7-dimethyl-2- (2-methoxy-5-methylmercapto-phenyl) -5H, 7H-imidazo [4,5-H] isoquinoline-4,6-dione Dissolve in glacial acetic acid and slowly add dropwise 0.88 ml of 30% hydrogen peroxide at room temperature. After stirring for 30 minutes, the solution is neutralized with sodium carbonate solution, diluted with water and extracted with chloroform. The chloroform is evaporated and the crude product obtained is purified over a sililakel column [eluent: chloroform (increasing the amount of acetone)].
수율 : 2.2g(74%); 융점 : 250℃에서 반응Yield: 2.2 g (74%); Melting Point: Reaction at 250 ° C
[실시예 20]Example 20
2,7,7-트리메틸-5-(3-디에틸아미노-프로필)-5H, 7H-이미다조〔4,5-H〕 이소퀴놀린-4,6-디온-2인산염2,7,7-trimethyl-5- (3-diethylamino-propyl) -5H, 7H-imidazo [4,5-H] isoquinoline-4,6-dione-2 phosphate
50ml의 디메틸설폭사이드를 4.2g의 2,7,7-트리메틸-5H, 7H-이미다조〔4,5-H〕 이소퀴놀린-4,6-디온에 가한다. 이 용액을 오일중에서 2.6g의 55%의 나트륨 무수물과 혼합하고 2시간 동안 실온에서 교반한다. 4.8g의 3-디에틸아미노프로필브로마이드-하이드로브로마이드를 가하고 실온에서 1시간 이어서 80℃로 4시간 교반한다. 냉각시킨 후, 이 혼합물을 물로 희석하고 클로로포름으로 추출한다. 클로로포름을 물로 세척하고 증발시킨 후. 실리카겔 컬럼(용출제 : 클로로포름/아세톤 19 : 1)상에서 정제시킨다. 2염산염을 아세톤/에탄올로부터 에테르성 염산을 사용하여 침전시킨다.50 ml of dimethylsulfoxide is added to 4.2 g of 2,7,7-trimethyl-5H, 7H-imidazo [4,5-H] isoquinoline-4,6-dione. This solution is mixed with 2.6 g of 55% sodium anhydride in oil and stirred at room temperature for 2 hours. 4.8 g of 3-diethylaminopropylbromide-hydrobromide is added and stirred at room temperature for 1 hour followed by 80 ° C for 4 hours. After cooling, the mixture is diluted with water and extracted with chloroform. After washing the chloroform with water and evaporating. Purification on silica gel column (eluant: chloroform / acetone 19: 1). Dihydrochloride is precipitated from acetone / ethanol with etheric hydrochloric acid.
수율 : 1.9g(29.5%); 융점 : 250℃ 이상Yield 1.9 g (29.5%); Melting Point: 250 ℃ or higher
[실시예 21]Example 21
2,7,7-트리메틸-5-(2-디에틸아미노-에틸)-5H, 7H-이미다조〔4,5-H〕 이소퀴놀린-4,6-디온-2염산염2,7,7-trimethyl-5- (2-diethylamino-ethyl) -5H, 7H-imidazo [4,5-H] isoquinoline-4,6-dione-2 hydrochloride
100ml의 디메틸포름아미드를 4.2g의 2,7,7-트리메틸-5H, 7H-이미다조〔4,5-H〕 이소퀴놀린-4,6-디온에 가하고 이 용액을 3.4g의 디에틸아미노에틸 클로라이드 염산염 및 4.1g의 탄산칼륨과 혼합한다.100 ml of dimethylformamide was added to 4.2 g of 2,7,7-trimethyl-5H, 7H-imidazo [4,5-H] isoquinoline-4,6-dione and the solution was added to 3.4 g of diethylaminoethyl Mix with chloride hydrochloride and 4.1 g of potassium carbonate.
이 혼합물을 8시간 동안 환류시키고, 용매를 진공중에서 증류시킨 후 잔유물을 물로 혼합한 후 클로로포름으로 추출한다. 클로로포름층을 증발시킨 후 잔유물을 실리카겔 컬럼(용출제 : 클로로포름/아세톤 19 : 1)상에서 정제시킨다. 2염산염을 아세톤/메탄올로부터 에테르성 염산으로 침전시키고, 아세톤/메탄올로부터 재결정시킨다.The mixture is refluxed for 8 hours, the solvent is distilled in vacuo and the residue is mixed with water and then extracted with chloroform. After evaporation of the chloroform layer, the residue is purified on a silica gel column (eluant: chloroform / acetone 19: 1). Dihydrochloride is precipitated from acetone / methanol with etheric hydrochloric acid and recrystallized from acetone / methanol.
수율 : 1.2g(19.3%); 융점 : 250℃ 이상Yield 1.2g (19.3%); Melting Point: 250 ℃ or higher
[실시예 22]Example 22
7,7-디메틸-2-페닐-5-(3-디에틸아미노-프로틸)-5H, 7H-이미다조〔4,5-H〕 이소퀴놀린-4,6-디온-2염산염7,7-dimethyl-2-phenyl-5- (3-diethylamino-propyl) -5H, 7H-imidazo [4,5-H] isoquinoline-4,6-dione-2 hydrochloride
4.9g의 2-페닐-4-카복시-5-(2-카복시-2-프로필)-벤즈이미다졸을 1시간동안 2.6g의 디에틸아미노-프로필아민 및 20ml의 에틸렌 글리콜과 함께 180℃로 가열한다. 냉각시킨 후 이 혼합물을 물로 회선하고 클로로포름으로 두번 추출한다. 클로로포름층을 증발시키고 잔유물을 실리카겔 컬럼(용출제 : 클로로포름/아세톤 19 : 1)상에서 정제시킨다. 2염산염을 에테르성 염산으로 아세톤으로부터 침전시킨다.4.9 g of 2-phenyl-4-carboxy-5- (2-carboxy-2-propyl) -benzimidazole was heated to 180 ° C. with 2.6 g of diethylamino-propylamine and 20 ml of ethylene glycol for 1 hour. do. After cooling the mixture is converted to water and extracted twice with chloroform. The chloroform layer is evaporated and the residue is purified on a silica gel column (eluant: chloroform / acetone 19: 1). Dihydrochloride is precipitated from acetone with etheric hydrochloric acid.
수율 : 5.6g(76%); 융점 : 205 내지 208℃Yield: 5.6 g (76%); Melting Point: 205-208 ℃
[실시예 23]Example 23
7,7-디메틸-2-페닐-5-(3-디에틸아미노-프로틸)-5H, 7H-이미다조〔4,5-H〕 이소퀴놀린-4,6-디온-2염산염7,7-dimethyl-2-phenyl-5- (3-diethylamino-propyl) -5H, 7H-imidazo [4,5-H] isoquinoline-4,6-dione-2 hydrochloride
2.6g의 55% 나트륨 무수물 현탁오일을 5.1g의 7,7-디메틸-2-페닐-5H, 7H-이미다조〔4,5-H〕 이소퀴놀린-4,6-디온-염산염을 함유하는 50ml의 디메틸설폭사이드 현탁액중에서 조금씩 가한다. 실온에서 1시간 교반하고 4.8g의 3-디에틸아미노프로필 브로마이드-하이드브로마이드를 가한 후, 이 혼합물을 50℃로 3시간동안 교반한다. 반응 혼합물을 물과 혼합하고 클로로포름으로 수회 추출하고, 클로로포름층을 증발시킨 뒤 잔유물을 실리카겔 컬럼상에서 정제시킨다. 2염산염을 에테르성 염산으로 아세톤으로부터 침전시키고, 메탄올/아세톤으로부터 재결정시킨다.50 ml of 2.6 g of 55% sodium anhydride suspension oil containing 5.1 g of 7,7-dimethyl-2-phenyl-5H, 7H-imidazo [4,5-H] isoquinoline-4,6-dione-hydrochloride In dimethylsulfoxide suspension. After stirring for 1 hour at room temperature and 4.8 g of 3-diethylaminopropyl bromide-hydrobromide are added, the mixture is stirred at 50 ° C. for 3 hours. The reaction mixture is mixed with water and extracted several times with chloroform, the chloroform layer is evaporated and the residue is purified on a silica gel column. The dihydrochloride is precipitated from acetone with etheric hydrochloric acid and recrystallized from methanol / acetone.
수율 : 3.7g(50.5%); 융점 : 207 내지 209℃Yield: 3.7 g (50.5%); Melting Point: 207-209 ℃
[실시예 24]Example 24
7,7-디메틸-2-페닐-5-(2-디에틸아미노-에틸)-5H, 7H-이미다조〔4,5-H〕 이소퀴놀린-4,6-디온-2염산염7,7-dimethyl-2-phenyl-5- (2-diethylamino-ethyl) -5H, 7H-imidazo [4,5-H] isoquinoline-4,6-dione-2 hydrochloride
실시예 23에서와 유사한 방법으로 5.1g의 7,7-디메틸-2-페닐-5H, 7H-이미다조〔4,5-H〕 이소퀴놀린-4,6-디온-염산염으로부터 제조한다.In a similar manner as in Example 23, it is prepared from 5.1 g of 7,7-dimethyl-2-phenyl-5H, 7H-imidazo [4,5-H] isoquinoline-4,6-dione-hydrochloride.
수율 : 3.8g(53.1%); 융점 : 250℃ 이상Yield: 3.8 g (53.1%); Melting Point: 250 ℃ or higher
[실시예 25]Example 25
7,7-디메틸-2-벤질-5-(2-모포리노-에틸)-5H, 7H-이미다조〔4,5-H〕 이소퀴놀린-4,6-디온-2염산염7,7-dimethyl-2-benzyl-5- (2-morpholino-ethyl) -5H, 7H-imidazo [4,5-H] isoquinoline-4,6-dione-2 hydrochloride
실시예 23에서와 유사한 방법으로 1.6g의 7,7-디메틸-2-벤질-5H, 7H-이미다조〔4,5-H〕 이소퀴놀린-4,6-디온 및 1.2g의 모포리노-에틸클로라이드-염산염으로부터 제조한다.In a similar manner as in Example 23, 1.6 g of 7,7-dimethyl-2-benzyl-5H, 7H-imidazo [4,5-H] isoquinoline-4,6-dione and 1.2 g of morpholino-ethyl Prepared from chloride-hydrochloride.
수율 : 0.5g(19.7%); 융점 : 243 내지 246℃Yield: 0.5 g (19.7%); Melting Point: 243 ~ 246 ℃
[실시예 26]Example 26
7,7-디메틸-2-페네틸-5-〔2-(2-3,4-디메톡시-페닐)-에틸-아미노)-에틸〕-5H, 7H-이미다조〔4,5-H〕 이소퀴놀린-4,6-디온-염산염7,7-dimethyl-2-phenethyl-5- [2- (2-3,4-dimethoxy-phenyl) -ethyl-amino) -ethyl] -5H, 7H-imidazo [4,5-H] Isoquinoline-4,6-dione-hydrochloride
a) 7,7-디메틸-2-페네틸-5-(2-클로로-에틸)-5H, 7H-이미다조〔4,5-H〕 이소퀴놀린-4,6-디온a) 7,7-dimethyl-2-phenethyl-5- (2-chloro-ethyl) -5H, 7H-imidazo [4,5-H] isoquinoline-4,6-dione
실시예 23에서와 유사한 방법으로 4.0g의 7,7-디메틸-2-페네틸-5H, 7H이미다조〔4,5-H〕 이소퀴놀린-4,6-디온 및 2.2g의 2-브로모-1-클로로에탄으로부터 실온에서 제조한다. 점성의 오일상의 조생성물은 직접 다음 공정에 사용할 수 있다.In a similar manner as in Example 23, 4.0 g of 7,7-dimethyl-2-phenethyl-5H, 7H imidazo [4,5-H] isoquinoline-4,6-dione and 2.2 g of 2-bromo Prepared from -1-chloroethane at room temperature. Viscous oily crude products can be used directly in the next process.
수율 : 5.3g(100%)Yield: 5.3 g (100%)
b) 7,7-디메틸-2-페네틸-5-〔2-(2-3,4-디메톡시-페닐)-에틸아미노)-에틸〕-5H, 7H-이미다조〔4,5-H〕 이소퀴놀린-4,6-디온-염산염b) 7,7-dimethyl-2-phenethyl-5- [2- (2-3,4-dimethoxy-phenyl) -ethylamino) -ethyl] -5H, 7H-imidazo [4,5-H Isoquinoline-4,6-dione-hydrochloride
2.8g의 7,7-디메틸-2-페네틸-5-(2-클로로에틸)-5H, 7H-이미다조〔4,5-H〕 이소퀴놀린-4,6-디온을 5ml의 2-(3,4-디메톡시-페닐)-에틸아민과 함께 150℃로 40분간 가열시킨다. 이 혼합물을 냉각시키고, 에테르중에 용해시킨 후 물로 수회 추출하여 초산으로 약산성화시킨다. 유기층을 증발시키고, 잔유물을 아세톤중에 용해시킨다. 그 염산염을 에테르성 염산으로 침전시킨다.2.8 g of 7,7-dimethyl-2-phenethyl-5- (2-chloroethyl) -5H, 7H-imidazo [4,5-H] isoquinoline-4,6-dione in 5 ml of 2- ( Heat to 150 ° C. for 40 minutes with 3,4-dimethoxy-phenyl) -ethylamine. The mixture is cooled, dissolved in ether and extracted several times with water and slightly acidified with acetic acid. The organic layer is evaporated and the residue is dissolved in acetone. The hydrochloride is precipitated with etheric hydrochloric acid.
수율 : 0.8g(18.4%); 융점 207 내지 210℃(분해)Yield 0.8g (18.4%); Melting Point 207-210 ° C (Decomposition)
[실시예 27]Example 27
7,7-디메틸-2-페닐-5-(3-피페리니노-프로틸)-5H, 7H-이미다조〔4,5-H〕 이소퀴놀린-4,6-디온-2염산염7,7-dimethyl-2-phenyl-5- (3-piperidino-propyl) -5H, 7H-imidazo [4,5-H] isoquinoline-4,6-dione-2 hydrochloride
실시예 23에서와 유사한 방법으로 3.4g의 7,7-디메틸-2-페닐-5H, 7H-이미다조〔4,5-H〕 이소퀴놀린-4,6-디온-염산염 및 3.4g의 3-피페리디노-프로필클로라이드부터 제조한다.In a similar manner to Example 23, 3.4 g of 7,7-dimethyl-2-phenyl-5H, 7H-imidazo [4,5-H] isoquinoline-4,6-dione-hydrochloride and 3.4 g of 3- Prepared from piperidino-propylchloride.
수율 : 3.2g(63.6%); 융점 : 234 내지 238℃(227℃에서 반응)Yield: 3.2 g (63.6%); Melting Point: 234-238 ° C (reaction at 227 ° C)
[실시예 28]Example 28
7,7-디메틸-2-(2-메톡시-페닐)-5-〔3-(2-6,4-디메톡시-페닐)-에틸아미노)-프로필〕-5H, 7H-이미다조〔4,5-H〕 이소퀴놀린-4,6-디온-2염산염7,7-dimethyl-2- (2-methoxy-phenyl) -5- [3- (2-6,4-dimethoxy-phenyl) -ethylamino) -propyl] -5H, 7H-imidazo [4 , 5-H] isoquinoline-4,6-dione-2 hydrochloride
a) 7,7-디메틸-2-2-(2-메톡시-페닐)-5-(3-클로로-1-프로필)-5H, 7H-이미다조〔4,5-H〕 이소퀴놀린-4,6-디온a) 7,7-dimethyl-2-2- (2-methoxy-phenyl) -5- (3-chloro-1-propyl) -5H, 7H-imidazo [4,5-H] isoquinoline-4 , 6-dione
실시예 23에서와 유사한 방법으로 3,7의 7,7-디메틸-(2-메틸-페닐)-5H, 7H-이미다조〔4,5-H〕 이소퀴놀린-4,6-디온-염산염 및 1.9g의 1-브로모-3-클로로프로판으로부터 제조한다. 물을 가하여 생성물을 침전시키고, 이를 메틸렌 클로라이드중에 용해시킨 후 증발시키고 이소프로판올로부터 재결정시킨다.In a similar manner as in Example 23, 3,7 7,7-dimethyl- (2-methyl-phenyl) -5H, 7H-imidazo [4,5-H] isoquinoline-4,6-dione-hydrochloride and Prepared from 1.9 g of 1-bromo-3-chloropropane. Water is added to precipitate the product which is dissolved in methylene chloride and then evaporated and recrystallized from isopropanol.
수율 : 3.5g(85%); 융점 : 154 내지 156℃Yield 3.5g (85%); Melting Point: 154 ~ 156 ℃
b) 7,7-디메틸-2-(2-메톡시-페닐)-5-〔3-(2-(3,4-디메톡시-페닐)-에틸아미노)프로필〕-5H, 7H-이미다제〔4,5-H〕 이소퀴놀린-4,6-디온-2염산염b) 7,7-dimethyl-2- (2-methoxy-phenyl) -5- [3- (2- (3,4-dimethoxy-phenyl) -ethylamino) propyl] -5H, 7H-imidase [4,5-H] isoquinoline-4,6-dione-2 hydrochloride
3.4g의 7,7-디메틸-(2-메톡시-페닐)-5-(3-클로로-1-프로필)-5H, 7H-이미다조〔4,5-H〕 이소퀴놀린-4,6-디온을 4.2g의 2-(3,4-디메톡시-페닐)-에틸아민과 함께 140℃로 30분간 가열하고 이 반응혼합물을 컬럼 크로마토그라피(실리카겔, 용출제 : 클로로포름/아세톤 19 : 1)시켜 분리시킨다. 생성물을 아세톤중에 용해시키고, 2염산염을 에테르성 염산으로 침전시킨 후 이소프로판올로부터 재결정시킨다.3.4 g of 7,7-dimethyl- (2-methoxy-phenyl) -5- (3-chloro-1-propyl) -5H, 7H-imidazo [4,5-H] isoquinoline-4,6- Dione was heated with 140 g of 2- (3,4-dimethoxy-phenyl) -ethylamine for 30 minutes at 140 ° C. and the reaction mixture was subjected to column chromatography (silica gel, eluent: chloroform / acetone 19: 1). Isolate. The product is dissolved in acetone and the dihydrochloride is precipitated with etheric hydrochloric acid and then recrystallized from isopropanol.
수율 : 3.7g(71.7%); 융점 : 192 내지 194℃(분해)Yield: 3.7 g (71.7%); Melting Point: 192 to 194 ° C (Decomposition)
[실시예 29]Example 29
7,7-디메틸-2-사이클로헥실-5-(3-디-n-프로필아미노-프로필)-5H, 7H-이미다조〔4,5-H〕 이소퀴놀린-4,6-디온-2염산염7,7-dimethyl-2-cyclohexyl-5- (3-di-n-propylamino-propyl) -5H, 7H-imidazo [4,5-H] isoquinoline-4,6-dione-2 hydrochloride
a) 7,7-디메틸-2-사이클로헥실-5-(3-클로로프로필)-5H, 7H-이미다조〔4,5-H〕 이소퀴놀린-4,6-디온a) 7,7-dimethyl-2-cyclohexyl-5- (3-chloropropyl) -5H, 7H-imidazo [4,5-H] isoquinoline-4,6-dione
실시예 26a에서와 유사한 방법으로 3.1g의 7,7-디메틸-2-사이클로헥실-5H, 7H-이미다조〔4,45-H〕 이소퀴놀린-4,6-디온 및 1.9g의 1-브로모-3-클로로-프로판으로부터 제조한다.조생성물은 다음 단계에 그대로 사용한다.In a similar manner as in Example 26a, 3.1 g of 7,7-dimethyl-2-cyclohexyl-5H, 7H-imidazo [4,45-H] isoquinoline-4,6-dione and 1.9 g of 1-bro Prepared from parent-3-chloro-propane. The crude product is used as is in the next step.
b) 7,7-디메틸-2-사이클로헥실-5-(3-디-n-프로필아미노-프로필)-5H, 7H-이미다조〔4,5-H〕 이소퀴놀린-4,6-디온-2염산염b) 7,7-dimethyl-2-cyclohexyl-5- (3-di-n-propylamino-propyl) -5H, 7H-imidazo [4,5-H] isoquinoline-4,6-dione- Dihydrochloride
실시예 29에서 제조된 조생성물을 15ml의 디-n-프로필아민과 함께 5시간 동안 환류시키고, 과잉의 아민을 진공중에서 증류시킨 다음 잔유물을 물과 혼합하여 메틸렌 클로라이드와 혼합한다. 유기층을 증발시키고 잔유물을 실리카겔 컬럼(용출제 : 클로로포름/아세톤 19 : 1)상에서 정제시킨다. 에테르성 염산을 사용하여 아세톤으로부터 2염산염을 침전시키고, 흡인여과 시킨 후 아세톤/에테르로 세척한다.The crude product prepared in Example 29 was refluxed with 15 ml of di-n-propylamine for 5 hours, the excess amine was distilled in vacuo and the residue was mixed with water and mixed with methylene chloride. The organic layer is evaporated and the residue is purified on a silica gel column (eluant: chloroform / acetone 19: 1). Dihydrochloride is precipitated from acetone using etheric hydrochloric acid, filtered off with suction and washed with acetone / ether.
수율 : 1.1g(21%); 융점 : 156 내지 158℃Yield: 1.1 g (21%); Melting Point: 156 to 158 ° C
[실시예 30]Example 30
7,7-디메틸-2-벤질-5-(3-디메틸아미노프로필)-5H, 7H-이미다조〔4,5-H〕 이소퀴놀린-4,6-디온-2염산염7,7-dimethyl-2-benzyl-5- (3-dimethylaminopropyl) -5H, 7H-imidazo [4,5-H] isoquinoline-4,6-dione-2 hydrochloride
실시예 23에서와 유사한 방법으로 32g의 7,7-디메틸-2-벤젠-5H, 7H-이미다조〔4,5-H〕 이소퀴놀린-4,6-디온 및 3.4g의 디에틸아미노-프로필브로마이드-염산염으로부터 제조한다.In a similar manner as in Example 23, 32 g of 7,7-dimethyl-2-benzene-5H, 7H-imidazo [4,5-H] isoquinoline-4,6-dione and 3.4 g of diethylamino-propyl Prepared from bromide-hydrochloride.
수율 : 1.3g(25.8%); 융점 : 150 내지 153℃Yield: 1.3 g (25.8%); Melting Point: 150 ~ 153 ℃
130℃에서 반응(아세톤으로부터)Reaction at 130 ° C. (from acetone)
[실시예 31]Example 31
7,7-디메틸-2-(4-클로로페닐)-5-〔2-(N-메틸-N-(2-(3,4-디메톡시-페닐)-에틸)-아미노)-에틸〕-5H, 7H-이미다조〔4,5-H〕 -4,6-디온-2염산염7,7-dimethyl-2- (4-chlorophenyl) -5- [2- (N-methyl-N- (2- (3,4-dimethoxy-phenyl) -ethyl) -amino) -ethyl]- 5H, 7H-imidazo [4,5-H] -4,6-dione-2 hydrochloride
a) 7,7-디메틸-2-(4-클로로페닐)-5-(2-클로로에틸)-5H, 7H-이미다조〔4,5-H〕 이소퀴놀린-4,6-디온a) 7,7-dimethyl-2- (4-chlorophenyl) -5- (2-chloroethyl) -5H, 7H-imidazo [4,5-H] isoquinoline-4,6-dione
실시예 23에서와 유사한 방법으로 7.5g의 디메틸-2-(4-클로로페닐)-5H, 7H-이미다조〔4,5-H〕 이소퀴놀린-4,6-디온 및 6.9g의 1-브로모-3-클로로에탄으로부터 제조한다.In a similar manner as in Example 23, 7.5 g of dimethyl-2- (4-chlorophenyl) -5H, 7H-imidazo [4,5-H] isoquinoline-4,6-dione and 6.9 g of 1-bro Prepared from parent-3-chloroethane.
수율 : 4.2g(50.7%); 융점 : 176 내지 177℃Yield 4.2 g (50.7%); Melting Point: 176 to 177 ° C
b) 7,7-디메틸-2-(4-클로로페닐)-5-〔2-(N-메틸-N-(2-(3,4-디메톡시-페닐)-에틸)-아미노)-에틸〕-5H, 7H-이미다조〔4,5-H〕 이소퀴놀린-4,6-디온-2염산염b) 7,7-dimethyl-2- (4-chlorophenyl) -5- [2- (N-methyl-N- (2- (3,4-dimethoxy-phenyl) -ethyl) -amino) -ethyl ] -5H, 7H-imidazo [4,5-H] isoquinoline-4,6-dione-2 hydrochloride
1.5g의 7,7-디메틸-2-(4-클로로페닐)-5-(2-클로로에틸)-5H, 7H-이미다조〔4,5-H〕 이소퀴놀린-5,6-디온 및 1.7g의 N-메틸-N-(2-(3,4-디메톡시-페닐)-에틸)-아민을 150℃로 3시간 가열한다 냉각시킨 후 반응 혼합물을 클로로포름중에 용해시키고 물로 세척한다. 클로로포름층을 증발시키고 잔유물을 실리카겔 컬럼(용출제 : 클로로포름/아세톤 19 : 1)상에서 정제시킨다. 이 2염산염에 에테르성 염산을 가하여 아세톤으로부터 침전시키고, 메틸렌클로라이드/아세톤으로부터 재결정시킨다.1.5 g of 7,7-dimethyl-2- (4-chlorophenyl) -5- (2-chloroethyl) -5H, 7H-imidazo [4,5-H] isoquinoline-5,6-dione and 1.7 g of N-methyl-N- (2- (3,4-dimethoxy-phenyl) -ethyl) -amine is heated to 150 ° C. for 3 hours. After cooling, the reaction mixture is dissolved in chloroform and washed with water. The chloroform layer is evaporated and the residue is purified on a silica gel column (eluant: chloroform / acetone 19: 1). Ether hydrochloric acid is added to this dihydrochloride to precipitate from acetone and recrystallized from methylene chloride / acetone.
수율 : 0.8g(35%); 융점 : 230 내지 231℃(분해)Yield: 0.8 g (35%); Melting Point: 230-231 ° C (Decomposition)
[실시예 32]Example 32
7,7-디메틸-2-(4-클로로페닐)-5-(3-디메틸아미노-프로필)-5H, 7H-이미다조〔4,5-H〕 이소퀴놀린-4,6-디온-2염산염7,7-dimethyl-2- (4-chlorophenyl) -5- (3-dimethylamino-propyl) -5H, 7H-imidazo [4,5-H] isoquinoline-4,6-dione-2 hydrochloride
실시예 23에서와 유사한 방법으로 3.5g의 7,7-디메틸-2-(4-클로로페닐)-5H, 7H-이미다조〔4,5-H〕 이소퀴놀린-4,6-디온 및 3.1g의 3-디에틸아미노-프로필브로마이드-브롬산염으로부터 제조한다.3.5 g of 7,7-dimethyl-2- (4-chlorophenyl) -5H, 7H-imidazo [4,5-H] isoquinoline-4,6-dione and 3.1 g in a similar manner as in Example 23 From 3-diethylamino-propylbromide-bromate.
수율 : 1.5g(28.5%); 융점 : 206 내지 208℃Yield: 1.5 g (28.5%); Melting Point: 206-208 ℃
[실시예 33]Example 33
7,7-디메틸-2-(4-클로로페닐)-5-〔3-(4-메틸-1-피페라지닐)-에틸〕-5H, 7H-이미다조〔4,5-H〕 이소퀴놀린-4,6-디온-3염산염7,7-dimethyl-2- (4-chlorophenyl) -5- [3- (4-methyl-1-piperazinyl) -ethyl] -5H, 7H-imidazo [4,5-H] isoquinoline -4,6-dione-3 hydrochloride
2.1g의 7,7-디메틸-2-(4-클로로페닐)-5-(2-클로로페닐)-5H, 7H-이미다조〔4,5-H〕 이소퀴놀린-4,6-디온 및 10ml의 N-메틸-피페라진을 130℃로 2시간 가열한다. 진공하에서의 과잉의 N-메틸-피페라진을 증류시켜 버리고 잔유물을 실리카겔 컬럼(용출제 : 클로로포름/아세톤 19 : 1)상에서 정제시킨다. 3염산염에 에테르성 염산을 가하여 아세톤으로부터 침전시키고, 에탄올로부터 재결정시킨다.2.1 g of 7,7-dimethyl-2- (4-chlorophenyl) -5- (2-chlorophenyl) -5H, 7H-imidazo [4,5-H] isoquinoline-4,6-dione and 10 ml N-methyl-piperazine of is heated to 130 ° C. for 2 hours. Excess N-methyl-piperazine under vacuum is distilled off and the residue is purified on a silica gel column (eluant: chloroform / acetone 19: 1). Ether hydrochloric acid is added to trihydrochloride to precipitate from acetone and recrystallized from ethanol.
수율 : 1g(34.7%); 융점 : 263 내지 266℃(분해)Yield: 1 g (34.7%); Melting Point: 263-266 ° C (Decomposition)
[실시예 34]Example 34
7,7-디메틸-2-(2-메톡시-4-메틸멀캅토-페닐)-5-(2-디메틸아미노-에틸)-5H, 7H-이미다조〔4,5-H〕 이소퀴놀린-4,6-디온-2염산염7,7-dimethyl-2- (2-methoxy-4-methylmercapto-phenyl) -5- (2-dimethylamino-ethyl) -5H, 7H-imidazo [4,5-H] isoquinoline- 4,6-dione-2 hydrochloride
실시예 23에서와 유사한 방법으로 2.9g의 7,7-디메틸-2-(2-메톡시-4-메틸멀캅토-페닐)-5H, 7H-이미다조〔4,5-H〕 이소퀴놀린-4,6-디온 및 2g의 2-디에틸아미노-에틸브로마이드-브롬산염으로부터 제조한다.2.9 g of 7,7-dimethyl-2- (2-methoxy-4-methylmercapto-phenyl) -5H, 7H-imidazo [4,5-H] isoquinoline- in a similar manner as in Example 23 Prepared from 4,6-dione and 2 g of 2-diethylamino-ethylbromide-bromate.
수율 : 1.3g(37.5%); 융점 : 235 내지 328℃Yield: 1.3 g (37.5%); Melting Point: 235 ~ 328 ℃
[실시예 35]Example 35
7,7-디메틸-2-(4-메톡시-페페)-5-〔2-(2-(3,4-디메톡시-페닐)-에탈아미노)-에틸〕-5H, 7H-이미다조〔4,5-H〕 이소퀴놀린-4,6-디온-2염산염7,7-dimethyl-2- (4-methoxy-pepe) -5- [2- (2- (3,4-dimethoxy-phenyl) -ethalamino) -ethyl] -5H, 7H-imidazo [ 4,5-H] isoquinoline-4,6-dione-2 hydrochloride
실시예 26b에서와 유사한 방법으로 1g의 7,7-디메틸-2-(4-메톡시-페닐)-5-(2-클로로에틸)-5H, 7H-이미다조〔4,5-H〕 이소퀴놀린-4,6-디온 및 3g의 2-(3,4-디메톡시페닐)-에틸아민으로부터 제조한다.In a similar manner as in Example 26b, 1 g of 7,7-dimethyl-2- (4-methoxy-phenyl) -5- (2-chloroethyl) -5H, 7H-imidazo [4,5-H] iso Prepare from quinoline-4,6-dione and 3 g of 2- (3,4-dimethoxyphenyl) -ethylamine.
수율 : 0.3g(19.5%); 융점 : 210 내지 212℃(이소프로판올로부터)Yield 0.3g (19.5%); Melting Point: 210 to 212 ° C. (from isopropanol)
[실시예 36]Example 36
7,7-디메틸-2-펜에틸-5-(2-에틸아미노-에틸)-5H, 7H-이미다조〔4,5-H〕 이소퀴놀린-4,6-디온-2염산염7,7-dimethyl-2-phenethyl-5- (2-ethylamino-ethyl) -5H, 7H-imidazo [4,5-H] isoquinoline-4,6-dione-2 hydrochloride
3.0g의 2-페닐에틸-4-카복시-5-(2-카복시-2-프로필)-벤즈이미다졸, 2ml의 메틸아미노-에틸아민 및 15ml의 에틸렌글리콜을 18℃로 2시간 가열한다. 진공중에서 에틸렌 글리콜을 증류시키고, 이 혼합물을 클로로포름층에 용해시킨다. 이 용액을 염호나트륨용액으로 세척하고, 클로로포름층을 증류시켜 제거한 다음, 잔유물을 아세톤중에 용해시킨 다음, 메탄올성 염산을 가하여 2염산염을 침전시킨다.3.0 g of 2-phenylethyl-4-carboxy-5- (2-carboxy-2-propyl) -benzimidazole, 2 ml of methylamino-ethylamine and 15 ml of ethylene glycol are heated to 18 ° C. for 2 hours. Ethylene glycol is distilled off in vacuo and the mixture is dissolved in a chloroform layer. The solution is washed with sodium chloride solution, the chloroform layer is distilled off, the residue is dissolved in acetone, and methanolic hydrochloric acid is added to precipitate the dihydrochloride.
수율 : 3.2g(8.12%); 융점 : 181 내지 184℃Yield 3.2g (8.12%); Melting Point: 181 to 184 ° C
[실시예 37]Example 37
7,7-디메틸-2-(4-메톡시-페닐)-5-(2-메틸아미노-에틸)-5H, 7H-이미다조〔4,5-H〕 이소퀴놀린-4,6-디온-2염산염7,7-dimethyl-2- (4-methoxy-phenyl) -5- (2-methylamino-ethyl) -5H, 7H-imidazo [4,5-H] isoquinoline-4,6-dione- Dihydrochloride
실시예 36에서와 유사한 방법으로 3g의 2-(4-메톡시-페닐)-4-카복시-5-(2-카복시-2-프로필)-벤즈이미다졸 및 2ml의 메틸아미노-에틸아민으로부터 제조된다. 2염산염을 침전시키기에 앞서 염기를 실리카켈럼(응출제 : 클로로포름/아세톤 19 : 1)상에서 크로마토그라피 시킨다.Prepared from 3 g of 2- (4-methoxy-phenyl) -4-carboxy-5- (2-carboxy-2-propyl) -benzimidazole and 2 ml of methylamino-ethylamine in a similar manner as in Example 36 do. The base is chromatographed on silica kelum (coagulant: chloroform / acetone 19: 1) prior to precipitation of the dihydrochloride.
수율 : 1.1g(23.6%); 융점 : 260℃ 이상Yield: 1.1 g (23.6%); Melting Point: 260 ℃ or higher
[실시예 38]Example 38
7,7-디메틸-2-페닐-5-〔3-(4-메틸-1-피페라지닐-프로필〕-5H, 7H-이미다조〔4,5-H〕 이소퀴놀린-4,6-디온-3염산염7,7-dimethyl-2-phenyl-5- [3- (4-methyl-1-piperazinyl-propyl] -5H, 7H-imidazo [4,5-H] isoquinoline-4,6-dione -3 hydrochloride
실시예 36에서와 유사한 방법으로 1.6g의 2-페닐-4-카복시-5-(2-카복시-2-프로필)-벤즈이미다졸 및 0.94g의 3-(4-메틸-1-피페라지닐)-프로필아민으로부터 제조한다.In a similar manner to Example 36, 1.6 g of 2-phenyl-4-carboxy-5- (2-carboxy-2-propyl) -benzimidazole and 0.94 g of 3- (4-methyl-1-piperazinyl ) -Propylamine.
수율 : 2.5g(90%); 융점 : 235℃(분해)Yield: 2.5 g (90%); Melting Point: 235 ℃ (Decomposition)
[실시예 39]Example 39
7,7-디메틸-2-페닐-5-(2-디메틸아미노-에틸)-5H, 7H-이미다조〔4,5-H〕 이소퀴놀린-4,6-디온-2염산염7,7-dimethyl-2-phenyl-5- (2-dimethylamino-ethyl) -5H, 7H-imidazo [4,5-H] isoquinoline-4,6-dione-2 hydrochloride
실시예 36에서와 유사한 방법으로 1.6g의 2-페닐-4-카복시-5-(2-카복시-2-프로필)-벤즈이미다졸 및 0.53g의 2-디메틸아미노-에틸아민으로부터 제조한다.In a similar manner as in Example 36, 1.6 g of 2-phenyl-4-carboxy-5- (2-carboxy-2-propyl) -benzimidazole and 0.53 g of 2-dimethylamino-ethylamine are prepared.
수율 : 1.5g(66.8%); 융점 : 234, 내지 237℃Yield: 1.5 g (66.8%); Melting Point: 234, 237 ° C
[실시예 40]Example 40
7,7-디메틸-2-페닐-5-(2-모폴리노-에틸)-5H, 7H-이미다조〔4,5-H〕 이소퀴놀린-4,6-디온-2염산염7,7-dimethyl-2-phenyl-5- (2-morpholino-ethyl) -5H, 7H-imidazo [4,5-H] isoquinoline-4,6-dione-2 hydrochloride
실시예 36에서와 유사한 방법으로 1.6g의 2-페닐-4-카복시-5-(2-카복시-2-프로필)-벤즈이미다졸 및 0.78g의 2-모폴리노-에틸아민으로부터 제조한다.In a similar manner as in Example 36, 1.6 g of 2-phenyl-4-carboxy-5- (2-carboxy-2-propyl) -benzimidazole and 0.78 g of 2-morpholino-ethylamine are prepared.
수율 : 2g(81.4%); 융점 : 261 내지 263℃Yield: 2 g (81.4%); Melting Point: 261 ~ 263 ℃
[실시예 41]Example 41
7,7-디메틸-2-페닐-5-(3-디메틸아미노-프로필〕-5H, 7H-이미다조〔4,5-H〕 이소퀴놀린-4,6-디온-2염산염7,7-dimethyl-2-phenyl-5- (3-dimethylamino-propyl] -5H, 7H-imidazo [4,5-H] isoquinoline-4,6-dione-2 hydrochloride
실시예 23에서와 유사한 방법으로 3.4g의 7,7-디메틸-2-페닐-5H, 7H-이미다조〔4,5-H〕 이소퀴놀린-4,6-디온-염산염 및 1.7g의 3-디메틸아미노-프로필클로라이드-염산염(온도 : 650 내지 60℃, 반응시간 : 18시간)으로부터 제조한다.In a similar manner to Example 23, 3.4 g of 7,7-dimethyl-2-phenyl-5H, 7H-imidazo [4,5-H] isoquinoline-4,6-dione-hydrochloride and 1.7 g of 3- Prepared from dimethylamino-propylchloride-hydrochloride (temperature: 650 to 60 ° C, reaction time: 18 hours).
수율 : 1.5g(32.4%); 융점 : 234 내지 235℃Yield: 1.5 g (32.4%); Melting Point: 234 ~ 235 ℃
[실시예 42]Example 42
7,7-디메틸-2-사이클로프로필-5-(3-디메틸아미노-프로필〕-5H, 7H-이미다조〔4,5-H〕 이소퀴놀린-4,6-디온7,7-dimethyl-2-cyclopropyl-5- (3-dimethylamino-propyl] -5H, 7H-imidazo [4,5-H] isoquinoline-4,6-dione
실시예 23에서와 유사한 방법으로 2.45g의 7,7-디메틸-2-사이클로프로필-5H, 7H-이미다조〔4,5-H〕 이소퀴놀린-4,6-디온-염산염 및 2.3g의 3-디메틸아미노-프로필블로마이드-브롬산염으로 부터 제조한다. 조생성물을 실리카겔 컬럼(용출제 : 클로로포름, 아세톤을 부분적으로 증가시킨면서) 상에서 클로마토그라피시킨다.2.45 g of 7,7-dimethyl-2-cyclopropyl-5H, 7H-imidazo [4,5-H] isoquinoline-4,6-dione-hydrochloride and 2.3 g of 3 in a similar manner as in Example 23 Prepared from -dimethylamino-propylblomide-bromate. The crude product is chromatographed on a silica gel column (eluant: chloroform, with partial increase in acetone).
수율 : 1.3g(36%); 융점 : 185 내지 187℃(분해)Yield: 1.3 g (36%); Melting Point: 185 to 187 ° C (Decomposition)
[실시예 43]Example 43
2,7,7-트리메틸-5-〔3-{2-(3,4-디메톡시-페닐)-에틸아미노})-프로필〕-5H, 7H-이미다조〔4,5-H〕 이소퀴놀린-4,6-디온-2푸마르산염2,7,7-trimethyl-5- [3- {2- (3,4-dimethoxy-phenyl) -ethylamino})-propyl] -5H, 7H-imidazo [4,5-H] isoquinoline -4,6-dione-2fumarate
실시예 22에서와 유사한 방법으로(단, 용매는 사용치 않고), 3.4g의 2-메틸-4-카복시-5-(2-카복시-2-프로필)-벤즈이미다졸 및 3.4g의 3-〔2-(3,4-디메톡시-페닐-)-에틸아미노〕-프로필아민으로부터 제조한다. 푸마르산염을 아세톤으로부터 침전시킨다.In a similar manner as in Example 22, except without using a solvent, 3.4 g of 2-methyl-4-carboxy-5- (2-carboxy-2-propyl) -benzimidazole and 3.4 g of 3- Prepared from [2- (3,4-dimethoxy-phenyl-)-ethylamino] -propylamine. Fumarate is precipitated from acetone.
수율 : 5.5g(61%); 융점 : 134 내지 135℃(분해)Yield 5.5g (61%); Melting Point: 134-135 ° C (Decomposition)
[실시예 44]Example 44
7,7-디메틸-2-페닐-5-(3-디메틸아미노-프로필〕-5H, 7H-이미다조〔4,5-H〕 이소퀴놀린-4,6-디온-2염산염7,7-dimethyl-2-phenyl-5- (3-dimethylamino-propyl] -5H, 7H-imidazo [4,5-H] isoquinoline-4,6-dione-2 hydrochloride
1.06g의 5,7,7-트리메틸-2-페닐-5H, 7H-이미다조〔4,5-H〕 이소퀴놀린-4,6-디온- 및 3ml의 3-디메틸아미노-프로필-아민을 170℃로 30시간 가열한다. 진공중에서 과잉의 아민을 증류시키고, 잔유물을 물과 혼합한 후 실시예 22의 방법에 따라 반응을 진행시킨다.1.06 g of 5,7,7-trimethyl-2-phenyl-5H, 7H-imidazo [4,5-H] isoquinoline-4,6-dione- and 3 ml of 3-dimethylamino-propyl-amine Heat 30 degreeC. Excess amine was distilled off in vacuo, the residue was mixed with water and the reaction proceeded according to the method of Example 22.
수율 : 0.29g(20%); 융점 : 205 내지 208℃Yield: 0.29 g (20%); Melting Point: 205-208 ℃
[실시예 45]Example 45
7,7-디메틸-2-페닐-5-(3-에틸아미노-프로필〕-5H, 7H-이미다조〔4,5-H〕 이소퀴놀린-4,6-디온-2염산염7,7-dimethyl-2-phenyl-5- (3-ethylamino-propyl] -5H, 7H-imidazo [4,5-H] isoquinoline-4,6-dione-2 hydrochloride
3.2g의 2-페닐-4-카복시-5-(2-카복시)-2-프로필)-벤즈이미다졸 및 3ml의 3-에틸아미노-프로필아민으로부터, 용매를 사용치 않고, 130℃의 온도에서 실시예 22에 따라 표조 화합물을 제조한다. 메탄올성 염산을 사용하여 아세톤으로부터 2염산염을 침전시켰다.From 3.2 g of 2-phenyl-4-carboxy-5- (2-carboxy) -2-propyl) -benzimidazole and 3 ml of 3-ethylamino-propylamine at a temperature of 130 ° C. without using a solvent Prepare a tone compound according to Example 22. Dihydrochloride was precipitated from acetone using methanolic hydrochloric acid.
수율 : 3.6g(77.7%); 융점 : 226 내지 230℃Yield: 3.6 g (77.7%); Melting Point: 226 ~ 230 ℃
[실시예 A]Example A
50㎎의 7,7-디메틸-2-페닐-5-(3-디에틸아미노-프로필)-5H, 7H-이미다조〔4,5-H〕 이소퀴놀린-4,6-디온-2염산염을 함유하는 정제50 mg of 7,7-dimethyl-2-phenyl-5- (3-diethylamino-propyl) -5H, 7H-imidazo [4,5-H] isoquinoline-4,6-dione-2 hydrochloride Containing tablets
[실시예 B]Example B
25㎎의 7,7-디메틸-2-페닐-5-(3-디에틸아미노-프로필)-5H, 7H-이미다조〔4,5-H〕 이소퀴놀린-4,6-디온-2염산염을 함유하는 코팅정제25 mg of 7,7-dimethyl-2-phenyl-5- (3-diethylamino-propyl) -5H, 7H-imidazo [4,5-H] isoquinoline-4,6-dione-2 hydrochloride Containing coated tablet
유효성분 및 전분을 전분수용액을 축인다.Moisten the starch solution with the active ingredient and starch.
습식체치기 : 1.0㎜ 건식체치기 : 1.0㎜Wet sifting: 1.0mm Dry sifting: 1.0mm
건조 : 50℃의 순환식 공기건조기 중에서 과립과 남아 있는 부형제를 혼합하고 고팅정제핵으로 처리한다.Drying: The granules and the remaining excipients are mixed in a circulating air dryer at 50 ° C. and treated with a gotting tablet core.
핵의 무게 : 80㎎ 펀치 : 6㎜ 곡률반경 : 5㎜Core weight: 80㎎ Punch: 6㎜ Radius of curvature: 5㎜
핵의 통상의 방법으로 피막을 입힌다.The nucleus is coated in the usual way.
코팅정제의 무게 : 120㎜Coating tablet weight: 120㎜
[실시예 C]Example C
50㎎의 7,7-디메틸-2-페닐-5-(3-디에틸아미노-프로필)-5H, 7H-이미다조〔4,5-H〕 이소퀴놀린-4,6-디온-2염산염을 함유하는 좌제50 mg of 7,7-dimethyl-2-phenyl-5- (3-diethylamino-propyl) -5H, 7H-imidazo [4,5-H] isoquinoline-4,6-dione-2 hydrochloride Containing suppositories
[제조방법][Manufacturing method]
좌제기제를 녹이고 380℃에서 유효성분을 가루로하여 용융된 기체중에 균질하게 분산시킨다. 좌제기제를 35℃로 냉각시킨 후 미리 냉각시킨 주형에 붓는다.The suppository base is dissolved, and the active ingredient is powdered at 380 ° C. and homogeneously dispersed in the molten gas. The suppository is cooled to 35 ° C. and then poured into a previously cooled mold.
좌제의 무게 : 1.7gWeight of suppository: 1.7 g
[실시예 D]Example D
50㎎의 7,7-디메틸-2-페닐-5-(3-디에틸아미노-프로필)-5H, 7H-이미다조〔4,5-H〕 이소퀴놀린-4,6-디온-2염산염을 함유하는 앰플제50 mg of 7,7-dimethyl-2-phenyl-5- (3-diethylamino-propyl) -5H, 7H-imidazo [4,5-H] isoquinoline-4,6-dione-2 hydrochloride Ampoule containing
유효성분 및 솔비톨을 증류수중에 용해시키고, 이 혼합물을 정량(定量)으로 하여 여과멸균시킨다.The active ingredient and sorbitol are dissolved in distilled water, and the mixture is filtered to sterilize.
충진 : 5ml의 앰플에 충진시킨다.Filling: Fill 5 ml ampoules.
멸균법 : 120℃에서 20분간 멸균시킨다.Sterilization method: Sterilize at 120 ℃ for 20 minutes.
[실시예 E]Example E
5ml당 25㎎의 7,7-디메틸-2-페닐-5-(3-디에틸-아미노프로필)-5H, 7H-이미다조〔4,5-H〕 이소퀴놀린-4,6-디온-2염산염을 함유하는 점적액25 mg 7,7-dimethyl-2-phenyl-5- (3-diethyl-aminopropyl) -5H per 5 ml, 7H-imidazo [4,5-H] isoquinoline-4,6-dione-2 Drops containing hydrochloride
[제조방법][Manufacturing method]
메틸 및 프로필 p-하이드록시벤조에이트를 애탄올중에 용해시키고, 아니스유 및 메탄올을 가한다. 동시에 유효성분, 글리세린 및 사카린 소듐을 물에 용해시키고 이 용액을 상기 용액에 가한다. 얻어진 용액을 여과 멸균시킨다.Methyl and propyl p-hydroxybenzoate are dissolved in ethanol and anise oil and methanol are added. At the same time the active ingredient, glycerin and saccharin sodium are dissolved in water and this solution is added to the solution. The resulting solution is filtered sterilized.
[실시예 F]Example F
100㎎의 7,7-디메틸-2-(2-메톡시-5-메틸설포닐-페닐)-5H, 7H-이미다조〔4,5-H〕 이소퀴놀린-4,6-디온을 함유하는 정제Contain 100 mg of 7,7-dimethyl-2- (2-methoxy-5-methylsulfonyl-phenyl) -5H, 7H-imidazo [4,5-H] isoquinoline-4,6-dione refine
습식체치기 : 1.5㎜Wet sifting: 1.5㎜
건조 : 50℃의 순환식 공기건조기 중에서Drying: In circulating air dryer at 50 ℃
건식체치기 : 1㎜Dry sieve: 1㎜
과립과 남아 잇는 부형제를 혼합하고 타정한다.Mix and tablet granules and remaining excipients.
정제의 무게 : 175㎎ 펀치 : 8㎜φTablet weight: 175mg Punch: 8㎜φ
[실시예 G]Example G
50㎎의 7,7-디메틸-2-(2-메톡시-5-메틸설포닐-페닐)-5H, 7H-이미다조〔4,5-H〕 이소퀴놀린-4,5-디온을 함유하는 코팅정제Containing 50 mg of 7,7-dimethyl-2- (2-methoxy-5-methylsulfonyl-phenyl) -5H, 7H-imidazo [4,5-H] isoquinoline-4,5-dione Coating Tablet
유효성분 및 전분을 전분수용액으로 축인다.The active ingredient and starch are reduced to starch solution.
습식체치기 : 1.0㎜ 건식체치기 : 1.0㎜Wet sifting: 1.0mm Dry sifting: 1.0mm
건조 : 50℃의 순환식 공기건조기 중에서 과립과 부형제를 혼합하고 코팅핵으로 타정한다.Drying: Granules and excipients are mixed in a circulating air dryer at 50 ° C. and compressed into coated cores.
핵의 무게 : 80㎎ 펀치 : 6㎜ 곡률반경 : 5㎜Core weight: 80㎎ Punch: 6㎜ Radius of curvature: 5㎜
핵에 통상의 방법으로 피막을 입힌다.The nucleus is coated with a conventional method.
코팅정제의 무게 : 120㎎Coating tablet weight: 120mg
Claims (1)
Priority Applications (1)
| Application Number | Priority Date | Filing Date | Title |
|---|---|---|---|
| KR7802216A KR820000808B1 (en) | 1978-07-18 | 1978-07-18 | Process for preparing imidazo-isoquinoline-diones |
Applications Claiming Priority (1)
| Application Number | Priority Date | Filing Date | Title |
|---|---|---|---|
| KR7802216A KR820000808B1 (en) | 1978-07-18 | 1978-07-18 | Process for preparing imidazo-isoquinoline-diones |
Publications (1)
| Publication Number | Publication Date |
|---|---|
| KR820000808B1 true KR820000808B1 (en) | 1982-05-11 |
Family
ID=19208233
Family Applications (1)
| Application Number | Title | Priority Date | Filing Date |
|---|---|---|---|
| KR7802216A Expired KR820000808B1 (en) | 1978-07-18 | 1978-07-18 | Process for preparing imidazo-isoquinoline-diones |
Country Status (1)
| Country | Link |
|---|---|
| KR (1) | KR820000808B1 (en) |
-
1978
- 1978-07-18 KR KR7802216A patent/KR820000808B1/en not_active Expired
Similar Documents
| Publication | Publication Date | Title |
|---|---|---|
| Thyes et al. | 6-Aryl-4, 5-dihydro-3 (2H)-pyridazinones. A new class of compounds with platelet aggregation inhibiting and hypotensive activities | |
| JPS607633B2 (en) | Pyridine derivatives and their production method | |
| CS247073B2 (en) | Production method of 2-substituted 4-amino-6,7-dimethoxyghinolins | |
| US4218453A (en) | N-Substituted hexahydro-6-canthinones for treating cardio-circulatory, cerebrovascular, and respiratory dysfunction | |
| JPH11508283A (en) | Benzofuryl derivatives and their uses | |
| NO813066L (en) | ISOQINOLINE DERIVATIVES, PROCEDURES FOR THEIR PREPARATION, PHARMACEUTICAL PREPARATIONS, CONTENTS AND THEIR USE | |
| JPS62111962A (en) | 3-phenylthiomethylstyrene derivative | |
| JPS6322082A (en) | 1-(Hydroxystyryl)-5H-2,3-benzodiazepine derivatives and methods for producing the same, and drugs containing said derivatives | |
| JPH09508635A (en) | Aza cyclic derivative | |
| US4818772A (en) | Derivatives of 4-aminoethoxy-5-isopropyl-2-methylbenzenes: methods of synthesis and utilization as medicines | |
| TW210337B (en) | ||
| PT89805B (en) | PROCESS FOR THE PREPARATION OF DIHYDROPYRIDINES | |
| JPS6221792B2 (en) | ||
| US4176184A (en) | Imidazoisoquinoline-diones and salts thereof | |
| JPH0285241A (en) | Compound having bronchodilation activity | |
| KR820000808B1 (en) | Process for preparing imidazo-isoquinoline-diones | |
| US4600710A (en) | β-Adrenergic receptor agonist alkylaminoalkyl pyridinemethanol derivatives | |
| PL103682B1 (en) | METHOD OF MAKING NEW DERIVATIVES OF INDAZOLYLOXY-4-PROPANOLOAMINE | |
| PL159840B1 (en) | dropyridine PL PL | |
| JPS59144763A (en) | 1-1-benzimidazolyl-n-2-(4-hydroxy-3-methoxyphenyl)-2- hydroxyethyl-3-aminobutane compound, medicine and manufacture | |
| JP2834506B2 (en) | Novel thienyloxy-alkylamine derivatives, their preparation and medicaments containing this compound | |
| JPS6339863A (en) | Anfukaen*sonoseizohoho*narabinikoreofukumuyakuzais | |
| JPH0762017B2 (en) | Polycyclic quinoline, naphthyridine and pyrazinopyridine derivatives | |
| US3963740A (en) | Benzo and benzothiopyranoindazole N-oxides | |
| US4994448A (en) | Condensed quinolinium and isoquinolinium derivatives |
Legal Events
| Date | Code | Title | Description |
|---|---|---|---|
| PA0109 | Patent application |
St.27 status event code: A-0-1-A10-A12-nap-PA0109 |
|
| PG1605 | Publication of application before grant of patent |
St.27 status event code: A-2-2-Q10-Q13-nap-PG1605 |
|
| PE0701 | Decision of registration |
St.27 status event code: A-1-2-D10-D22-exm-PE0701 |
|
| PR0701 | Registration of establishment |
St.27 status event code: A-2-4-F10-F11-exm-PR0701 |
|
| PR1002 | Payment of registration fee |
St.27 status event code: A-2-2-U10-U11-oth-PR1002 Fee payment year number: 1 |
|
| PR1001 | Payment of annual fee |
St.27 status event code: A-4-4-U10-U11-oth-PR1001 Fee payment year number: 4 |
|
| PR1001 | Payment of annual fee |
St.27 status event code: A-4-4-U10-U11-oth-PR1001 Fee payment year number: 5 |
|
| PC1903 | Unpaid annual fee |
St.27 status event code: A-4-4-U10-U13-oth-PC1903 Not in force date: 19870512 Payment event data comment text: Termination Category : DEFAULT_OF_REGISTRATION_FEE |
|
| PC1903 | Unpaid annual fee |
St.27 status event code: N-4-6-H10-H13-oth-PC1903 Ip right cessation event data comment text: Termination Category : DEFAULT_OF_REGISTRATION_FEE Not in force date: 19870512 |
|
| R18-X000 | Changes to party contact information recorded |
St.27 status event code: A-5-5-R10-R18-oth-X000 |
|
| P22-X000 | Classification modified |
St.27 status event code: A-4-4-P10-P22-nap-X000 |
























