KR20220016406A - 유기금속 화합물, 이를 포함한 발광 소자 및 이를 포함한 전자 장치 - Google Patents
유기금속 화합물, 이를 포함한 발광 소자 및 이를 포함한 전자 장치 Download PDFInfo
- Publication number
- KR20220016406A KR20220016406A KR1020200096111A KR20200096111A KR20220016406A KR 20220016406 A KR20220016406 A KR 20220016406A KR 1020200096111 A KR1020200096111 A KR 1020200096111A KR 20200096111 A KR20200096111 A KR 20200096111A KR 20220016406 A KR20220016406 A KR 20220016406A
- Authority
- KR
- South Korea
- Prior art keywords
- group
- layer
- substituted
- unsubstituted
- light emitting
- Prior art date
- Legal status (The legal status is an assumption and is not a legal conclusion. Google has not performed a legal analysis and makes no representation as to the accuracy of the status listed.)
- Pending
Links
- 0 CC1(C#N)Nc(c(nc2*)c(c(nc3C#N)c4nc3C#N)nc2C#N)c4N=C1C#N Chemical compound CC1(C#N)Nc(c(nc2*)c(c(nc3C#N)c4nc3C#N)nc2C#N)c4N=C1C#N 0.000 description 5
- FOMSNQKURKJSOX-UHFFFAOYSA-N CC(C(C(C(C)(C1=C(C#N)C#N)F)F)C(F)=C1F)(C#N)C#N Chemical compound CC(C(C(C(C)(C1=C(C#N)C#N)F)F)C(F)=C1F)(C#N)C#N FOMSNQKURKJSOX-UHFFFAOYSA-N 0.000 description 1
- QWMLYJSACXDDPX-UHFFFAOYSA-N CC(C1)C(c(cc2)ccc2N(c2ccccc2)c(cc2)cc(c3c4cccc3)c2[n]4-c2ccccc2)=CC=C1N(c1ccccc1)c(cc1c2c3cccc2)ccc1[n]3-c1ccccc1 Chemical compound CC(C1)C(c(cc2)ccc2N(c2ccccc2)c(cc2)cc(c3c4cccc3)c2[n]4-c2ccccc2)=CC=C1N(c1ccccc1)c(cc1c2c3cccc2)ccc1[n]3-c1ccccc1 QWMLYJSACXDDPX-UHFFFAOYSA-N 0.000 description 1
- UCWDMKUIRKUJAA-UHFFFAOYSA-N CC(C1)C=CC=C1c1cccc(-c2ccc(c(ccc(-c3ccccc3)c3)c3c3ccccc33)c3c2)c1 Chemical compound CC(C1)C=CC=C1c1cccc(-c2ccc(c(ccc(-c3ccccc3)c3)c3c3ccccc33)c3c2)c1 UCWDMKUIRKUJAA-UHFFFAOYSA-N 0.000 description 1
- NWJYJGNDKZQRRH-UHFFFAOYSA-N CC(C1)C=Cc2c1c(cc(cc1)N(c3ccccc3)c(cc3)ccc3-c(cc3)ccc3N(c3ccccc3)c(cc3c4c5cccc4)ccc3[n]5-c(cc3)ccc3F)c1[n]2-c(cc1)ccc1F Chemical compound CC(C1)C=Cc2c1c(cc(cc1)N(c3ccccc3)c(cc3)ccc3-c(cc3)ccc3N(c3ccccc3)c(cc3c4c5cccc4)ccc3[n]5-c(cc3)ccc3F)c1[n]2-c(cc1)ccc1F NWJYJGNDKZQRRH-UHFFFAOYSA-N 0.000 description 1
- ZTMNSERFEYCITH-UHFFFAOYSA-N CC(CC=C1)c2c1[o]c1c3[o]c(ccc(-c4c(cccc5)c5c(-c5cccc6c5cccc6)c5c4cccc5)c4)c4c3ccc21 Chemical compound CC(CC=C1)c2c1[o]c1c3[o]c(ccc(-c4c(cccc5)c5c(-c5cccc6c5cccc6)c5c4cccc5)c4)c4c3ccc21 ZTMNSERFEYCITH-UHFFFAOYSA-N 0.000 description 1
- VUYWDOLTMSYSSE-UHFFFAOYSA-N CC(Cc1c2[o]c3c1cccc3)(c1ccccc1O1)C1=C2c1c(cccc2)c2c(-c2cccc(-c3c(cccc4)c4ccc3)c2)c2c1cccc2 Chemical compound CC(Cc1c2[o]c3c1cccc3)(c1ccccc1O1)C1=C2c1c(cccc2)c2c(-c2cccc(-c3c(cccc4)c4ccc3)c2)c2c1cccc2 VUYWDOLTMSYSSE-UHFFFAOYSA-N 0.000 description 1
- XCFMWTVCXLXORF-UHFFFAOYSA-N CC1(C=C2)c(cccc3)c3OC1c1c2c(cc(cc2)-c3c(cccc4)c4c(-c4cc5ccccc5cc4)c4c3cccc4)c2[o]1 Chemical compound CC1(C=C2)c(cccc3)c3OC1c1c2c(cc(cc2)-c3c(cccc4)c4c(-c4cc5ccccc5cc4)c4c3cccc4)c2[o]1 XCFMWTVCXLXORF-UHFFFAOYSA-N 0.000 description 1
- RUSXMYQRIYWCAT-UHFFFAOYSA-N CC1C=CC(c2nc(-c(cc3)cc4c3C(C=CCC3C)=C3C43c4ccccc4-c4ccccc34)nc(-c3ccccc3)n2)=CC1 Chemical compound CC1C=CC(c2nc(-c(cc3)cc4c3C(C=CCC3C)=C3C43c4ccccc4-c4ccccc34)nc(-c3ccccc3)n2)=CC1 RUSXMYQRIYWCAT-UHFFFAOYSA-N 0.000 description 1
- VNJXFYVHZGARMI-UHFFFAOYSA-N CC1C=CC=CC1C1(C)C=CC(N(c(cc2)ccc2-c(cc2)cc(c3ccccc33)c2[n]3-c2ccccc2)c(cc2)cc3c2-c2ccccc2C3(C)C)=CC1 Chemical compound CC1C=CC=CC1C1(C)C=CC(N(c(cc2)ccc2-c(cc2)cc(c3ccccc33)c2[n]3-c2ccccc2)c(cc2)cc3c2-c2ccccc2C3(C)C)=CC1 VNJXFYVHZGARMI-UHFFFAOYSA-N 0.000 description 1
- GEVDNOMRFDLKES-UHFFFAOYSA-N Cc(cc1)ccc1N(c(cc1)ccc1-c(cc1)ccc1N(c1ccc(C)cc1)c(cc1)cc(c2ccccc22)c1[n]2-c1ccccc1)c(cc1c2c3cccc2)ccc1[n]3-c1ccccc1 Chemical compound Cc(cc1)ccc1N(c(cc1)ccc1-c(cc1)ccc1N(c1ccc(C)cc1)c(cc1)cc(c2ccccc22)c1[n]2-c1ccccc1)c(cc1c2c3cccc2)ccc1[n]3-c1ccccc1 GEVDNOMRFDLKES-UHFFFAOYSA-N 0.000 description 1
- KMYIJUPVSSXBQU-UHFFFAOYSA-N Cc1ccc(C2(C(C3)C=Cc4c3c(cccc3)c3[n]4-c3ccccc3)c(ccc(C#N)c3)c3-c3ccccc23)cc1 Chemical compound Cc1ccc(C2(C(C3)C=Cc4c3c(cccc3)c3[n]4-c3ccccc3)c(ccc(C#N)c3)c3-c3ccccc23)cc1 KMYIJUPVSSXBQU-UHFFFAOYSA-N 0.000 description 1
- PCCVSPMFGIFTHU-UHFFFAOYSA-N N#CC(C#N)=C(C=C1)C=CC1=C(C#N)C#N Chemical compound N#CC(C#N)=C(C=C1)C=CC1=C(C#N)C#N PCCVSPMFGIFTHU-UHFFFAOYSA-N 0.000 description 1
- GKKKNVZDKWHHEN-UHFFFAOYSA-N c(cc1)cc(c2cc3c4[o]c5ccccc35)c1[o]c2c4-c1c(cccc2)c2c(-c2cccc(-c3ccc(cccc4)c4c3)c2)c2c1cccc2 Chemical compound c(cc1)cc(c2cc3c4[o]c5ccccc35)c1[o]c2c4-c1c(cccc2)c2c(-c2cccc(-c3ccc(cccc4)c4c3)c2)c2c1cccc2 GKKKNVZDKWHHEN-UHFFFAOYSA-N 0.000 description 1
- BNPFYOKNLHCVHL-UHFFFAOYSA-N c(cc1)ccc1-c1cccc(c2ccc3)c1[o]c2c3N(c(cc1)ccc1-c1ccc2-c3ccccc3C3(c4ccccc4-c4c3cccc4)c2c1)c1ccc(cccc2)c2c1 Chemical compound c(cc1)ccc1-c1cccc(c2ccc3)c1[o]c2c3N(c(cc1)ccc1-c1ccc2-c3ccccc3C3(c4ccccc4-c4c3cccc4)c2c1)c1ccc(cccc2)c2c1 BNPFYOKNLHCVHL-UHFFFAOYSA-N 0.000 description 1
- DHUQITNEBZHMHN-UHFFFAOYSA-N c1ccc2[o]c(c(-c3c(cccc4)c4c(-c4cc5ccccc5cc4)c4c3cccc4)c3[o]c(cccc4)c4c3c3)c3c2c1 Chemical compound c1ccc2[o]c(c(-c3c(cccc4)c4c(-c4cc5ccccc5cc4)c4c3cccc4)c3[o]c(cccc4)c4c3c3)c3c2c1 DHUQITNEBZHMHN-UHFFFAOYSA-N 0.000 description 1
- XLXSIWMOFDBQGY-UHFFFAOYSA-N c1ccc2[o]c(c(-c3c(cccc4)c4c(-c4cccc5c4cccc5)c4c3cccc4)c3[o]c(cccc4)c4c3c3)c3c2c1 Chemical compound c1ccc2[o]c(c(-c3c(cccc4)c4c(-c4cccc5c4cccc5)c4c3cccc4)c3[o]c(cccc4)c4c3c3)c3c2c1 XLXSIWMOFDBQGY-UHFFFAOYSA-N 0.000 description 1
Images
Classifications
-
- C—CHEMISTRY; METALLURGY
- C09—DYES; PAINTS; POLISHES; NATURAL RESINS; ADHESIVES; COMPOSITIONS NOT OTHERWISE PROVIDED FOR; APPLICATIONS OF MATERIALS NOT OTHERWISE PROVIDED FOR
- C09K—MATERIALS FOR MISCELLANEOUS APPLICATIONS, NOT PROVIDED FOR ELSEWHERE
- C09K11/00—Luminescent, e.g. electroluminescent, chemiluminescent materials
- C09K11/06—Luminescent, e.g. electroluminescent, chemiluminescent materials containing organic luminescent materials
-
- H01L51/0087—
-
- C—CHEMISTRY; METALLURGY
- C07—ORGANIC CHEMISTRY
- C07B—GENERAL METHODS OF ORGANIC CHEMISTRY; APPARATUS THEREFOR
- C07B59/00—Introduction of isotopes of elements into organic compounds ; Labelled organic compounds per se
- C07B59/004—Acyclic, carbocyclic or heterocyclic compounds containing elements other than carbon, hydrogen, halogen, oxygen, nitrogen, sulfur, selenium or tellurium
-
- C—CHEMISTRY; METALLURGY
- C07—ORGANIC CHEMISTRY
- C07F—ACYCLIC, CARBOCYCLIC OR HETEROCYCLIC COMPOUNDS CONTAINING ELEMENTS OTHER THAN CARBON, HYDROGEN, HALOGEN, OXYGEN, NITROGEN, SULFUR, SELENIUM OR TELLURIUM
- C07F15/00—Compounds containing elements of Groups 8, 9, 10 or 18 of the Periodic Table
- C07F15/0006—Compounds containing elements of Groups 8, 9, 10 or 18 of the Periodic Table compounds of the platinum group
- C07F15/0086—Platinum compounds
-
- H01L51/5012—
-
- H—ELECTRICITY
- H10—SEMICONDUCTOR DEVICES; ELECTRIC SOLID-STATE DEVICES NOT OTHERWISE PROVIDED FOR
- H10K—ORGANIC ELECTRIC SOLID-STATE DEVICES
- H10K50/00—Organic light-emitting devices
- H10K50/10—OLEDs or polymer light-emitting diodes [PLED]
- H10K50/11—OLEDs or polymer light-emitting diodes [PLED] characterised by the electroluminescent [EL] layers
-
- H—ELECTRICITY
- H10—SEMICONDUCTOR DEVICES; ELECTRIC SOLID-STATE DEVICES NOT OTHERWISE PROVIDED FOR
- H10K—ORGANIC ELECTRIC SOLID-STATE DEVICES
- H10K85/00—Organic materials used in the body or electrodes of devices covered by this subclass
- H10K85/30—Coordination compounds
- H10K85/341—Transition metal complexes, e.g. Ru(II)polypyridine complexes
- H10K85/346—Transition metal complexes, e.g. Ru(II)polypyridine complexes comprising platinum
-
- C—CHEMISTRY; METALLURGY
- C07—ORGANIC CHEMISTRY
- C07B—GENERAL METHODS OF ORGANIC CHEMISTRY; APPARATUS THEREFOR
- C07B2200/00—Indexing scheme relating to specific properties of organic compounds
- C07B2200/05—Isotopically modified compounds, e.g. labelled
-
- C—CHEMISTRY; METALLURGY
- C09—DYES; PAINTS; POLISHES; NATURAL RESINS; ADHESIVES; COMPOSITIONS NOT OTHERWISE PROVIDED FOR; APPLICATIONS OF MATERIALS NOT OTHERWISE PROVIDED FOR
- C09K—MATERIALS FOR MISCELLANEOUS APPLICATIONS, NOT PROVIDED FOR ELSEWHERE
- C09K2211/00—Chemical nature of organic luminescent or tenebrescent compounds
- C09K2211/10—Non-macromolecular compounds
- C09K2211/1018—Heterocyclic compounds
- C09K2211/1025—Heterocyclic compounds characterised by ligands
- C09K2211/1059—Heterocyclic compounds characterised by ligands containing three nitrogen atoms as heteroatoms
- C09K2211/1062—Heterocyclic compounds characterised by ligands containing three nitrogen atoms as heteroatoms with oxygen
-
- C—CHEMISTRY; METALLURGY
- C09—DYES; PAINTS; POLISHES; NATURAL RESINS; ADHESIVES; COMPOSITIONS NOT OTHERWISE PROVIDED FOR; APPLICATIONS OF MATERIALS NOT OTHERWISE PROVIDED FOR
- C09K—MATERIALS FOR MISCELLANEOUS APPLICATIONS, NOT PROVIDED FOR ELSEWHERE
- C09K2211/00—Chemical nature of organic luminescent or tenebrescent compounds
- C09K2211/18—Metal complexes
- C09K2211/185—Metal complexes of the platinum group, i.e. Os, Ir, Pt, Ru, Rh or Pd
-
- H—ELECTRICITY
- H10—SEMICONDUCTOR DEVICES; ELECTRIC SOLID-STATE DEVICES NOT OTHERWISE PROVIDED FOR
- H10K—ORGANIC ELECTRIC SOLID-STATE DEVICES
- H10K2101/00—Properties of the organic materials covered by group H10K85/00
- H10K2101/10—Triplet emission
-
- H—ELECTRICITY
- H10—SEMICONDUCTOR DEVICES; ELECTRIC SOLID-STATE DEVICES NOT OTHERWISE PROVIDED FOR
- H10K—ORGANIC ELECTRIC SOLID-STATE DEVICES
- H10K50/00—Organic light-emitting devices
- H10K50/10—OLEDs or polymer light-emitting diodes [PLED]
- H10K50/14—Carrier transporting layers
- H10K50/15—Hole transporting layers
-
- H—ELECTRICITY
- H10—SEMICONDUCTOR DEVICES; ELECTRIC SOLID-STATE DEVICES NOT OTHERWISE PROVIDED FOR
- H10K—ORGANIC ELECTRIC SOLID-STATE DEVICES
- H10K50/00—Organic light-emitting devices
- H10K50/10—OLEDs or polymer light-emitting diodes [PLED]
- H10K50/14—Carrier transporting layers
- H10K50/16—Electron transporting layers
-
- H—ELECTRICITY
- H10—SEMICONDUCTOR DEVICES; ELECTRIC SOLID-STATE DEVICES NOT OTHERWISE PROVIDED FOR
- H10K—ORGANIC ELECTRIC SOLID-STATE DEVICES
- H10K50/00—Organic light-emitting devices
- H10K50/10—OLEDs or polymer light-emitting diodes [PLED]
- H10K50/17—Carrier injection layers
-
- H—ELECTRICITY
- H10—SEMICONDUCTOR DEVICES; ELECTRIC SOLID-STATE DEVICES NOT OTHERWISE PROVIDED FOR
- H10K—ORGANIC ELECTRIC SOLID-STATE DEVICES
- H10K50/00—Organic light-emitting devices
- H10K50/10—OLEDs or polymer light-emitting diodes [PLED]
- H10K50/17—Carrier injection layers
- H10K50/171—Electron injection layers
-
- H—ELECTRICITY
- H10—SEMICONDUCTOR DEVICES; ELECTRIC SOLID-STATE DEVICES NOT OTHERWISE PROVIDED FOR
- H10K—ORGANIC ELECTRIC SOLID-STATE DEVICES
- H10K50/00—Organic light-emitting devices
- H10K50/10—OLEDs or polymer light-emitting diodes [PLED]
- H10K50/18—Carrier blocking layers
-
- H—ELECTRICITY
- H10—SEMICONDUCTOR DEVICES; ELECTRIC SOLID-STATE DEVICES NOT OTHERWISE PROVIDED FOR
- H10K—ORGANIC ELECTRIC SOLID-STATE DEVICES
- H10K50/00—Organic light-emitting devices
- H10K50/80—Constructional details
- H10K50/85—Arrangements for extracting light from the devices
- H10K50/858—Arrangements for extracting light from the devices comprising refractive means, e.g. lenses
-
- H—ELECTRICITY
- H10—SEMICONDUCTOR DEVICES; ELECTRIC SOLID-STATE DEVICES NOT OTHERWISE PROVIDED FOR
- H10K—ORGANIC ELECTRIC SOLID-STATE DEVICES
- H10K59/00—Integrated devices, or assemblies of multiple devices, comprising at least one organic light-emitting element covered by group H10K50/00
- H10K59/10—OLED displays
- H10K59/12—Active-matrix OLED [AMOLED] displays
- H10K59/123—Connection of the pixel electrodes to the thin film transistors [TFT]
Landscapes
- Chemical & Material Sciences (AREA)
- Organic Chemistry (AREA)
- Engineering & Computer Science (AREA)
- Materials Engineering (AREA)
- Crystallography & Structural Chemistry (AREA)
- Inorganic Chemistry (AREA)
- Physics & Mathematics (AREA)
- Optics & Photonics (AREA)
- Electroluminescent Light Sources (AREA)
Abstract
Description
도 2 및 3은 본 발명의 일 구현예를 따르는 발광장치를 개략적으로 각각 나타낸 단면도이다.
| 화합물 번호 |
1H NMR (CDCl3 , 400 MHz) | MS/FAB | |
| found | calc. | ||
| 1 | δ 8.73(d, 1H), 8.39-8.37(m, 1H), 8.19-8.15(m, 2H), 8.02-8.00(m, 1H), 7.73(d, 1H), 7.57~7.51(m, 4H), 7.31-7.10(m, 8H), 6.90(d, 1H), 6.70~6.69(m, 2H) | 746.1395 | 746.1394 |
| 16 | δ 8.73(d, 1H), 8.39-8.38(m, 1H), 8.19-8.18(m, 1H), 7.73(d, 1H), 7.57~7.51(m, 4H), 7.41-7.37(m, 4H), 7.20-7.14(m, 5H), 6.70~6.68(m, 2H), 1.40(s, 9H), 1.36(s, 9H) | 858.2645 | 858.2646 |
| 35 | δ 8.74(d, 1H), 8.39-8.38(m, 1H), 8.19-8.18(m, 1H), 7.73(d, 1H), 7.58~7.55(m, 2H), 7.30-7.18(m, 12H), 6.90(d, 1H), 6.70~6.68(m, 2H), 2.55(s, 3H), 2.23(s, 3H), 1.69(s, 6H) | 842.2335 | 842.2333 |
| 45 | δ 8.74(d, 1H), 8.39-8.38(m, 1H), 8.19(d, 1H), 8.06(d, 2H), 7.78-7.71(m, 6H), 7.58~7.40(m, 12H), 7.17-7.16(m, 2H), 6.99(s, 2H), 6.69(d, 1H), 2.55(s, 3H), 2.23(s, 3H), 1.32(s, 9H) | 1008.3113 | 1008.3115 |
| 73 | δ 8.87(s, 1H), 8.74(d, 1H), 8.43-8.39(m, 2H), 7.73(d, 1H), 7.46~7.38(m, 6H), 7.17-7.16(m, 2H), 7.03(d, 1H), 6.90-6.89(m, 1H), 6.69-6.66(m, 2H) | 714.1534 | 714.1535 |
| 83 | δ 8.73(d, 1H), 7.88-7.84(m, 2H), 7.73(d, 1H), 7.58~7.54(m, 2H), 7.40-7.36(m, 3H), 7.20-7.03(m, 9H), 2.92(s, 6H), 2.48(s, 3H), 1.32(s, 9H) | 831.2539 | 831.2537 |
| 106 | δ 8.75(d, 1H), 8.09-8.08(m, 2H), 7.84-7.80(m, 2H), 7.73(d, 1H), 7.44-7.39(m, 6H), 7.17-7.10(m, 4H), 6.90(d, 1H), 6.70(d, 1H),1.32(s, 9H) | 740.1862 | 740.1863 |
| 115 | δ 8.74(d, 1H), 8.39(d, 1H), 8.19(d, 1H), 7.73(d, 1H), 7.58-7.50(m, 2H), 7.37-7.20(m, 12H), 6.90(d, 1H), 6.70-6.66(m, 2H),1.69(s, 6H) | 816.1924 | 816.1925 |
| 117 | δ 8.75(d, 1H), 8.39(d, 1H), 7.73(d, 1H), 7.57-7.54(m, 2H), 7.40-7.36(m, 4H), 7.24-7.21(m, 4H), 6.90(d, 1H), 6.70-6.66(m, 2H), 1.32(s, 9H) | 806.2270 | 806.2271 |
| 발광층 | 구동 전압 (V) |
전류 밀도 (㎃/㎠) |
휘도 (cd/㎡) |
효율 (cd/A) |
발광색 | 발광 파장 (nm) | 수명 (RT80%@ J=40 mA/cm2) (hr) |
|
| 실시예 1 | 1 | 5.25 | 50 | 4025 | 8.15 | 녹색 | 530 | 323 |
| 실시예 2 | 16 | 5.29 | 50 | 4065 | 8.25 | 녹색 | 526 | 351 |
| 실시예 3 | 35 | 5.14 | 50 | 4165 | 8.28 | 녹색 | 522 | 313 |
| 실시예 4 | 45 | 5.17 | 50 | 4085 | 8.33 | 녹색 | 520 | 325 |
| 실시예 5 | 73 | 5.05 | 50 | 4025 | 8.11 | 녹색 | 525 | 332 |
| 실시예 6 | 83 | 5.09 | 50 | 4065 | 8.23 | 녹색 | 528 | 314 |
| 실시예 7 | 106 | 5.02 | 50 | 4165 | 8.03 | 녹색 | 521 | 310 |
| 실시예 8 | 115 | 5.15 | 50 | 4085 | 8.27 | 녹색 | 524 | 305 |
| 실시예 9 | 117 | 5.11 | 50 | 4250 | 8.47 | 녹색 | 522 | 375 |
| 비교예 1 | Ir(PPy)3 | 6.74 | 50 | 3870 | 7.74 | 녹색 | 516 | 278 |
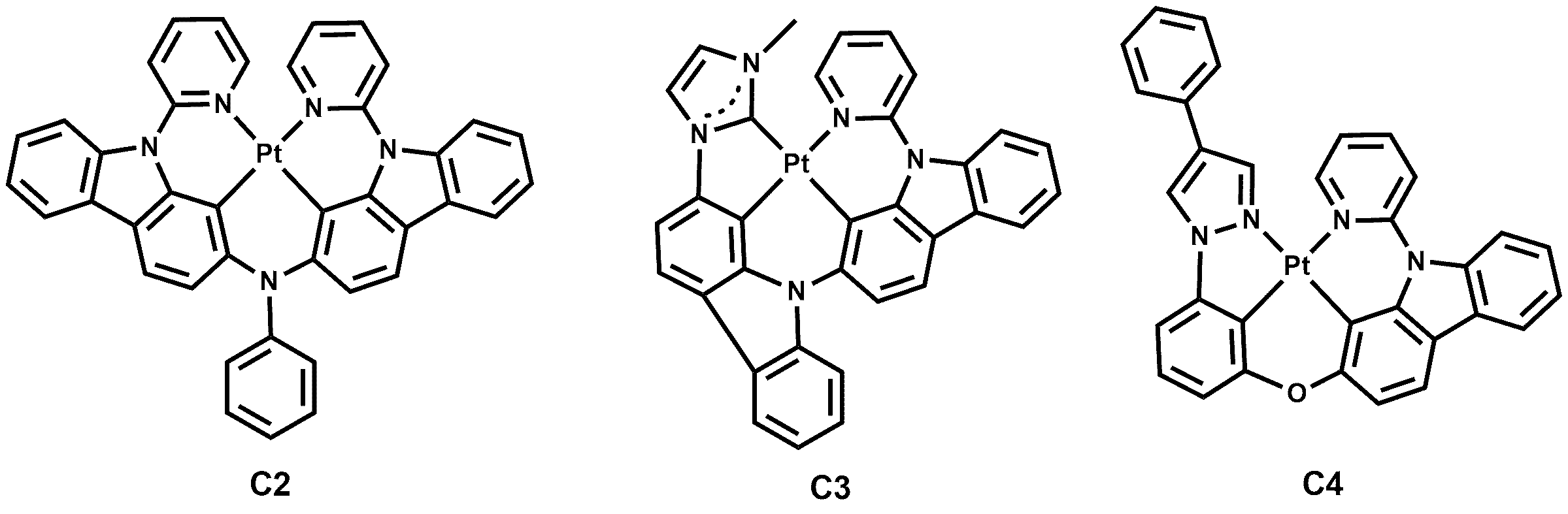
| 비교예 2 | C2 | 6.68 | 50 | 3790 | 7.58 | 녹색 | 515 | 194 |
| 비교예 3 | C3 | 6.72 | 50 | 3535 | 7.07 | 녹색 | 537 | 307 |
| 비교예 4 | C3 | 5.41 | 50 | 3840 | 7.68 | 청색 | 452 | 50 |
110: 제1전극
130: 중간층
150: 제2전극
100: 기판
170: 캡핑층
210: 버퍼층
220: 활성층
230: 게이트 절연막
240: 게이트 전극
250: 층간 절연막
260: 소스 전극
270: 드레인 전극
280: 패시베이션층
290: 화소 정의막
300: 봉지부
400: 기능성 영역
500: 차광 패턴
Claims (20)
- 제1전극;
상기 제1전극에 대향된 제2전극; 및
상기 제1전극과 상기 제2전극 사이에 배치되고 발광층을 포함한 중간층;을 포함하고,
상기 중간층이 하기 화학식 1로 표시되는 유기금속 화합물을 1종 이상 포함한, 발광 소자:
<화학식 1>
상기 화학식 1 중,
M1은 백금(Pt), 팔라듐(Pd), 구리(Cu), 은(Ag), 금(Au), 로듐(Rh), 이리듐(Ir), 루테늄(Ru), 오스뮴(Os), 티탄(Ti), 지르코늄(Zr), 하프늄(Hf), 유로퓸(Eu), 테르븀(Tb) 및 툴륨(Tm) 중에서 선택되고;
Y1 내지 Y3는 서로 독립적으로, 탄소 원자(C) 및 질소 원자(N) 중에서 선택되고,
T1 내지 T4는 서로 독립적으로, 화학 결합, O, S, B(R'), N(R'), P(R'), C(R')(R"), Si(R')(R"), Ge(R')(R"), C(=O), B(R')(R"), N(R')(R") 또는 P(R')(R")이고, T1이 화학 결합일 경우, Y1과 M1은 직접(directly) 결합하고, T2가 화학 결합일 경우, Y2와 M1은 직접 결합하고, T3이 화학 결합일 경우, Y3과 M1은 직접 결합하고, T4가 화학 결합일 경우, A4 고리의 C와 M1은 직접 결합하고,
Y1 또는 T1과 M1 사이의 결합, Y2 또는 T2와 M1 사이의 결합, Y3 또는 T3와 M1 사이의 결합 및 A4 고리의 C 또는 T4와 M1 사이의 결합 중 2개의 결합은 배위 결합이고, 나머지 2개의 결합은 공유 결합이고,
A1 고리 내지 A3 고리 및 A11 고리 내지 A12 고리는 서로 독립적으로, C5-C60카보시클릭 그룹 및 C1-C60헤테로시클릭 그룹 중에서 선택되고,
L1 내지 L3는 서로 독립적으로, 단일 결합, 이중 결합, *-N(R4)-*', *-B(R4)-*', *-P(R4)-*', *-C(R4)(R5)-*', *-Si(R4)(R5)-*', *-Ge(R4)(R5)-*', *-S-*', *-Se-*', *-O-*', *-C(=O)-*', *-S(=O)-*', *-S(=O)2-*', *-C(R4)=*', *=C(R4)-*', *-C(R4)=C(R5)-*', *-C(=S)-*' 및 *-C≡C-*' 중에서 선택되고,
a1 내지 a3는 서로 독립적으로, 0 내지 3의 정수 중에서 선택되고, a1이 0일 경우, A1과 A2는 서로 연결되어 있지 않고, a2가 0일 경우, A2와 A3는 서로 연결되어 있지 않고, a3이 0일 경우, A3과 A4는 서로 연결되어 있지 않고,
R', R", R1 내지 R5 및 R11 내지 R12는 서로 독립적으로, 수소, 중수소, -F, -Cl, -Br, -I, 히드록실기, 시아노기, 니트로기, 적어도 하나의 R10a로 치환 또는 비치환된 C1-C60알킬기, 적어도 하나의 R10a로 치환 또는 비치환된 C2-C60알케닐기, 적어도 하나의 R10a로 치환 또는 비치환된 C2-C60알키닐기, 적어도 하나의 R10a로 치환 또는 비치환된 C1-C60알콕시기, 적어도 하나의 R10a로 치환 또는 비치환된 C3-C60카보시클릭 그룹, 적어도 하나의 R10a로 치환 또는 비치환된 C1-C60헤테로시클릭 그룹, 적어도 하나의 R10a로 치환 또는 비치환된 C6-C60아릴옥시기, 적어도 하나의 R10a로 치환 또는 비치환된 C6-C60아릴티오기, -Si(Q1)(Q2)(Q3), -B(Q1)(Q2), -N(Q1)(Q2), -P(Q1)(Q2), -C(=O)(Q1), -S(=O)(Q1), -S(=O)2(Q1), -P(=O)(Q1)(Q2) 및 -P(=S)(Q1)(Q2) 중에서 선택되고,
b1 내지 b3 및 b11 내지 b12는 서로 독립적으로, 1 내지 20의 정수 중에서 선택되고,
R1 내지 R5 및 R11 내지 R12 중 이웃한 임의의 2개는 선택적으로 (optionally), 서로 결합하여, 적어도 하나의 R10a로 치환 또는 비치환된 C5-C60카보시클릭 그룹 또는 적어도 하나의 R10a로 치환 또는 비치환된 C1-C60헤테로시클릭 그룹을 형성할 수 있이고,
* 및 *'은 이웃한 원자와의 결합 사이트고,
상기 R10a는,
중수소(-D), -F, -Cl, -Br, -I, 히드록실기, 시아노기, 또는 니트로기;
중수소, -F, -Cl, -Br, -I, 히드록실기, 시아노기, 니트로기, C3-C60카보시클릭 그룹, C1-C60헤테로시클릭 그룹, C6-C60아릴옥시기, C6-C60아릴티오기, -Si(Q11)(Q12)(Q13), -N(Q11)(Q12), -B(Q11)(Q12), -C(=O)(Q11), -S(=O)2(Q11), -P(=O)(Q11)(Q12), 또는 이의 임의의 조합으로 치환 또는 비치환된, C1-C60알킬기, C2-C60알케닐기, C2-C60알키닐기, 또는 C1-C60알콕시기;
중수소, -F, -Cl, -Br, -I, 히드록실기, 시아노기, 니트로기, C1-C60알킬기, C2-C60알케닐기, C2-C60알키닐기, C1-C60알콕시기, C3-C60카보시클릭 그룹, C1-C60헤테로시클릭 그룹, C6-C60아릴옥시기, C6-C60아릴티오기, -Si(Q21)(Q22)(Q23), -N(Q21)(Q22), -B(Q21)(Q22), -C(=O)(Q21), -S(=O)2(Q21), -P(=O)(Q21)(Q22), 또는 이의 임의의 조합으로 치환 또는 비치환된, C3-C60카보시클릭 그룹, C1-C60헤테로시클릭 그룹, C6-C60아릴옥시기, 또는 C6-C60아릴티오기; 또는
-Si(Q31)(Q32)(Q33), -N(Q31)(Q32), -B(Q31)(Q32), -C(=O)(Q31), -S(=O)2(Q31), 또는 -P(=O)(Q31)(Q32);
이고,
상기 Q1 내지 Q3, Q11 내지 Q13, Q21 내지 Q23 및 Q31 내지 Q33은 서로 독립적으로, 수소; 중수소; -F; -Cl; -Br; -I; 히드록실기; 시아노기; 니트로기; C1-C60알킬기; C2-C60알케닐기; C2-C60알키닐기; C1-C60알콕시기; 또는 중수소, -F, 시아노기, C1-C60알킬기, C1-C60알콕시기, 페닐기, 비페닐기, 또는 이의 임의의 조합으로 치환 또는 비치환된, C3-C60카보시클릭 그룹 또는 C1-C60헤테로시클릭 그룹;이다. - 제1항에 있어서,
상기 제1전극이 애노드이고,
상기 제2전극이 캐소드이고,
상기 중간층은 상기 제1전극과 상기 발광층 사이에 배치된 정공 수송 영역 및 상기 발광층과 상기 제2전극 사이에 배치된 전자 수송 영역을 더 포함하고,
상기 정공 수송 영역은, 정공 주입층, 정공 수송층, 발광 보조층, 전자 저지층 또는 이의 임의의 조합을 포함하고,
상기 전자 수송 영역은, 버퍼층, 정공 저지층, 전자 수송층, 전자 주입층 또는 이의 임의의 조합을 포함한, 발광 소자. - 제1항에 있어서,
상기 제2전극상에 제2캡핑층이 배치되고,
상기 제2캡핑층은 589nm의 파장에서 1.6 이상의 굴절율을 갖는 물질을 포함한, 발광 소자. - 제1항에 있어서,
상기 발광층이 상기 유기금속 화합물을 포함한, 발광 소자. - 제4항에 있어서,
상기 발광층이 호스트를 더 포함하고, 상기 발광층 100중량부 당 상기 유기금속 화합물의 함량이 0.01중량부 내지 49.99중량부인, 발광 소자. - 제4항에 있어서,
상기 발광층은 최대 발광 파장이 500nm 내지 570nm인 녹색광을 방출하는, 발광 소자. - 제2항에 있어서,
상기 전자 수송 영역이 포스핀옥사이드-함유 화합물을 포함한, 발광 소자. - 제1항 내지 제7항 중 어느 한 항의 발광 소자를 포함한, 전자 장치.
- 제8항에 있어서,
박막 트랜지스터를 더 포함하고,
상기 박막 트랜지스터는 소스 전극 및 드레인 전극을 포함하고,
상기 발광 소자의 제1전극이 상기 박막 트랜지스터의 소스 전극 및 드레인 전극 중 적어도 하나와 전기적으로 연결된, 전자 장치. - 제8항에 있어서,
컬러 필터, 색변환층, 터치스크린층, 편광층, 또는 이의 임의의 조합을 더 포함한, 전자 장치. - 하기 화학식 1로 표시되는 유기금속 화합물:
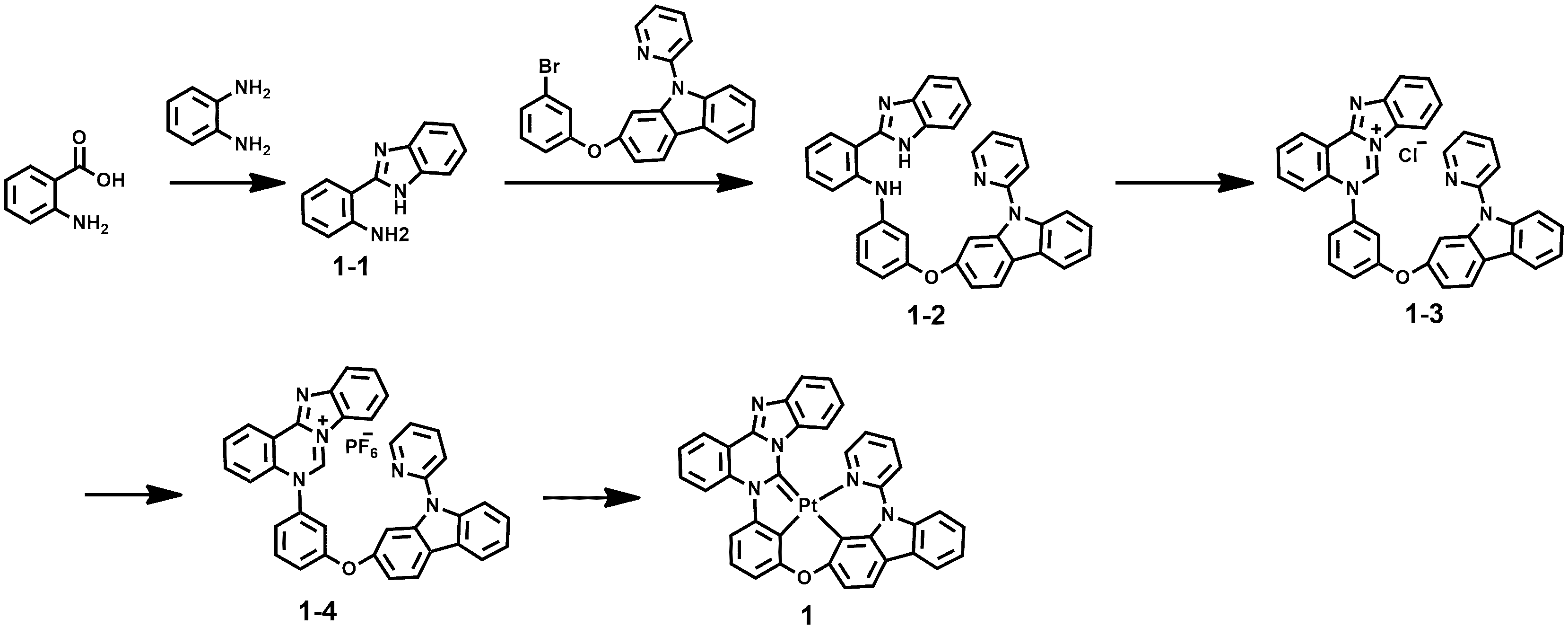
<화학식 1>
상기 화학식 1 중,
M1은 백금(Pt), 팔라듐(Pd), 구리(Cu), 은(Ag), 금(Au), 로듐(Rh), 이리듐(Ir), 루테늄(Ru), 오스뮴(Os), 티탄(Ti), 지르코늄(Zr), 하프늄(Hf), 유로퓸(Eu), 테르븀(Tb) 및 툴륨(Tm) 중에서 선택되고;
Y1 내지 Y3는 서로 독립적으로, 탄소 원자(C) 및 질소 원자(N) 중에서 선택되고,
T1 내지 T4는 서로 독립적으로, 화학 결합, O, S, B(R'), N(R'), P(R'), C(R')(R"), Si(R')(R"), Ge(R')(R"), C(=O), B(R')(R"), N(R')(R") 또는 P(R')(R")이고, T1이 화학 결합일 경우, Y1과 M1은 직접(directly) 결합하고, T2가 화학 결합일 경우, Y2와 M1은 직접 결합하고, T3이 화학 결합일 경우, Y3과 M1은 직접 결합하고, T4가 화학 결합일 경우, A4 고리의 C와 M1은 직접 결합하고,
Y1 또는 T1과 M1 사이의 결합, Y2 또는 T2와 M1 사이의 결합, Y3 또는 T3와M1 사이의 결합 및 A4 고리의 C 또는 T4와 M1 사이의 결합 중 2개의 결합은 배위 결합이고, 나머지 2개의 결합은 공유 결합이고,
A1 고리 내지 A3 고리 및 A11 고리 내지 A12 고리는 서로 독립적으로, C5-C60카보시클릭 그룹 및 C1-C60헤테로시클릭 그룹 중에서 선택되고,
L1 내지 L3는 서로 독립적으로, 단일 결합, 이중 결합, *-N(R4)-*', *-B(R4)-*', *-P(R4)-*', *-C(R4)(R5)-*', *-Si(R4)(R5)-*', *-Ge(R4)(R5)-*', *-S-*', *-Se-*', *-O-*', *-C(=O)-*', *-S(=O)-*', *-S(=O)2-*', *-C(R4)=*', *=C(R4)-*', *-C(R4)=C(R5)-*', *-C(=S)-*' 및 *-C≡C-*' 중에서 선택되고,
a1 내지 a3는 서로 독립적으로, 0 내지 3의 정수 중에서 선택되고, a1이 0일 경우, A1과 A2는 서로 연결되어 있지 않고, a2가 0일 경우, A2와 A3는 서로 연결되어 있지 않고, a3이 0일 경우, A3과 A4는 서로 연결되어 있지 않고,
R', R", R1 내지 R5 및 R11 내지 R12는 서로 독립적으로, 수소, 중수소, -F, -Cl, -Br, -I, 히드록실기, 시아노기, 니트로기, 적어도 하나의 R10a로 치환 또는 비치환된 C1-C60알킬기, 적어도 하나의 R10a로 치환 또는 비치환된 C2-C60알케닐기, 적어도 하나의 R10a로 치환 또는 비치환된 C2-C60알키닐기, 적어도 하나의 R10a로 치환 또는 비치환된 C1-C60알콕시기, 적어도 하나의 R10a로 치환 또는 비치환된 C3-C60카보시클릭 그룹, 적어도 하나의 R10a로 치환 또는 비치환된 C1-C60헤테로시클릭 그룹, 적어도 하나의 R10a로 치환 또는 비치환된 C6-C60아릴옥시기, 적어도 하나의 R10a로 치환 또는 비치환된 C6-C60아릴티오기, -Si(Q1)(Q2)(Q3), -B(Q1)(Q2), -N(Q1)(Q2), -P(Q1)(Q2), -C(=O)(Q1), -S(=O)(Q1), -S(=O)2(Q1), -P(=O)(Q1)(Q2) 및 -P(=S)(Q1)(Q2) 중에서 선택되고,
b1 내지 b3 및 b11 내지 b12는 서로 독립적으로, 1 내지 20의 정수 중에서 선택되고,
R1 내지 R5 및 R11 내지 R12 중 이웃한 임의의 2개는 선택적으로 (optionally), 서로 결합하여, 적어도 하나의 R10a로 치환 또는 비치환된 C5-C60카보시클릭 그룹 또는 적어도 하나의 R10a로 치환 또는 비치환된 C1-C60헤테로시클릭 그룹을 형성할 수 있이고,
* 및 *'은 이웃한 원자와의 결합 사이트고,
상기 R10a는,
중수소(-D), -F, -Cl, -Br, -I, 히드록실기, 시아노기, 또는 니트로기;
중수소, -F, -Cl, -Br, -I, 히드록실기, 시아노기, 니트로기, C3-C60카보시클릭 그룹, C1-C60헤테로시클릭 그룹, C6-C60아릴옥시기, C6-C60아릴티오기, -Si(Q11)(Q12)(Q13), -N(Q11)(Q12), -B(Q11)(Q12), -C(=O)(Q11), -S(=O)2(Q11), -P(=O)(Q11)(Q12), 또는 이의 임의의 조합으로 치환 또는 비치환된, C1-C60알킬기, C2-C60알케닐기, C2-C60알키닐기, 또는 C1-C60알콕시기;
중수소, -F, -Cl, -Br, -I, 히드록실기, 시아노기, 니트로기, C1-C60알킬기, C2-C60알케닐기, C2-C60알키닐기, C1-C60알콕시기, C3-C60카보시클릭 그룹, C1-C60헤테로시클릭 그룹, C6-C60아릴옥시기, C6-C60아릴티오기, -Si(Q21)(Q22)(Q23), -N(Q21)(Q22), -B(Q21)(Q22), -C(=O)(Q21), -S(=O)2(Q21), -P(=O)(Q21)(Q22), 또는 이의 임의의 조합으로 치환 또는 비치환된, C3-C60카보시클릭 그룹, C1-C60헤테로시클릭 그룹, C6-C60아릴옥시기, 또는 C6-C60아릴티오기; 또는
-Si(Q31)(Q32)(Q33), -N(Q31)(Q32), -B(Q31)(Q32), -C(=O)(Q31), -S(=O)2(Q31), 또는 -P(=O)(Q31)(Q32);
이고,
상기 Q1 내지 Q3, Q11 내지 Q13, Q21 내지 Q23 및 Q31 내지 Q33은 서로 독립적으로, 수소; 중수소; -F; -Cl; -Br; -I; 히드록실기; 시아노기; 니트로기; C1-C60알킬기; C2-C60알케닐기; C2-C60알키닐기; C1-C60알콕시기; 또는 중수소, -F, 시아노기, C1-C60알킬기, C1-C60알콕시기, 페닐기, 비페닐기, 또는 이의 임의의 조합으로 치환 또는 비치환된, C3-C60카보시클릭 그룹 또는 C1-C60헤테로시클릭 그룹;이다. - 제11항에 있어서,
상기 M1은 Pt, Pd, Cu, Ag, Au, Rh, Ir, Ru 및 Os 중에서 선택된, 유기금속 화합물. - 제11항에 있어서,
상기 Y1은 N이고, Y2 및 Y3는 C인, 유기금속 화합물. - 제11항에 있어서,
상기 A1 고리 내지 A3 고리 및 A11 고리 내지 A12 고리는 서로 독립적으로,
벤젠 그룹, 나프탈렌 그룹, 안트라센 그룹, 페난트렌 그룹, 트리페닐렌 그룹, 파이렌 그룹, 크라이센 그룹, 시클로펜탄 그룹, 시클로펜타디엔 그룹, 시클로헥산 그룹, 시클로헥센 그룹, 1,2,3,4-테트라히드로나프탈렌(1,2,3,4-tetrahydronaphthalene) 그룹, 퓨란 그룹, 티오펜 그룹, 실롤 그룹, 인덴 그룹, 플루오렌 그룹, 인돌 그룹, 카바졸 그룹, 벤조퓨란 그룹, 디벤조퓨란 그룹, 벤조티오펜 그룹, 디벤조티오펜 그룹, 벤조실롤 그룹, 디벤조실롤 그룹, 인데노피리딘 그룹, 인돌로피리딘 그룹, 벤조퓨로피리딘 그룹, 벤조티에노피리딘 그룹, 벤조실롤로피리딘 그룹, 인데노피리미딘 그룹, 인돌로피리미딘 그룹, 벤조퓨로피리미딘 그룹, 벤조티에노피리미딘 그룹, 벤조실롤로피리미딘 그룹, 디히드로피리딘 그룹, 피리딘 그룹, 피리미딘 그룹, 피라진 그룹, 피리다진 그룹, 트리아진 그룹, 퀴놀린 그룹, 이소퀴놀린 그룹, 퀴녹살린 그룹, 퀴나졸린 그룹, 페난트롤린 그룹, 피롤 그룹, 피라졸 그룹, 이미다졸 그룹, 2,3-디하이드로이미다졸(2,3-dihydroimidazole) 그룹, 트리아졸 그룹, 1,2,4-트리아졸 그룹, 테트라졸 그룹, 2,3-디하이드로트리아졸(2,3-dihydrotriazole) 그룹, 아자실롤 그룹, 다이 아자실롤 그룹, 트리아자실롤 그룹, 옥사졸 그룹, 이소옥사졸 그룹, 티아졸 그룹, 이소티아졸 그룹, 옥사디아졸 그룹, 티아디아졸 그룹, 벤조피라졸 그룹, 벤즈이미다졸 그룹, 2,3-디하이드로벤즈이미다졸(2,3-dihydrobenzimidazole) 그룹, 이미다조피리딘 그룹, 2,3-디하이드로이미다조피리딘(2,3-dihydroimidazopyridine) 그룹, 이미다조피리미딘 그룹, 2,3-디하이드로이미다조피리미딘(2,3-dihydroimidazopyrimidine) 그룹, 이미다조피라진 그룹, 2,3-디하이드로이미다조피라진(2,3-dihydroimidazopyrazine) 그룹, 벤조옥사졸 그룹, 벤조티아졸 그룹, 벤조옥사디아졸 그룹, 벤조티아디아졸 그룹, 5,6,7,8-테트라히드로이소퀴놀린(5,6,7,8-tetrahydroisoquinoline) 그룹 및 5,6,7,8-테트라히드로퀴놀린(5,6,7,8-tetrahydroquinoline) 그룹; 중에서 선택된, 유기금속 화합물. - 제11항에 있어서,
상기 A1 내지 A3 중 하나 이상은 N을 1개 이상 포함하는 6원환 또는 N을 1개 이상 포함하는 6원환을 포함하는 축합환인, 유기금속 화합물. - 제11항에 있어서,
ia) 상기 A1은 하기 화학식 2A-1 내지 2A-6 중 어느 하나로 표시된 그룹이거나,
iia) 상기 A2는 하기 화학식 2B-1 내지 2B-3 중 어느 하나로 표시된 그룹이거나,
iiia) 상기 A3는 하기 화학식 2C-1로 표시된 그룹이거나, 또는
상기 ia), iia), iiia)의 임의의 조합인, 유기금속 화합물:
상기 화학식 2A-1 내지 2A-6, 화학식 2B-1 내지 2B-3 및 화학식 2C-1 중,
Y21은 N 또는 C(R21a)이고, Y22는 N 또는 C(R22a)이고, Y23은 N 또는 C(R23a)이고, Y24는 N 또는 C(R24a)이고, Y25는 N 또는 C(R25a)이고, Y26은 N 또는 C(R26a)이고, Y27은 N 또는 C(R27a)이고, Y28은 N 또는 C(R28a)이고,
Z21은 *'-C, C(R21a) 또는 N이고, Z22는 *'-C, C(R22a) 또는 N이고,
Z31은 *'-N 또는 N(R31a)이고,
상기 R21a 내지 R28a 및 R31a에 대한 설명은, 제11항 중 R', R", R1 내지 R5 및 R11 내지 R12에 대한 설명을 참조하고,
*은 각각 이웃한 T1, T2, 또는 T3와의 결합 사이트고, *'은 상기 각각 이웃한 L1, L2, 또는 L3와의 결합 사이트다. - 제11항에 있어서,
상기 화학식 1 중로 표시된 그룹은 하기 화학식 2D-1 내지 2D-2 중 어느 하나로 표시된 그룹인, 유기금속 화합물:
상기 화학식 2D-1 내지 2D-2 중,
Y11은 N 또는 C(R11a)이고, Y12는 N 또는 C(R12a)이고, Y13은 N 또는 C(R13a)이고, Y14는 N 또는 C(R14a)이고, Y15는 N 또는 C(R15a)이고, Y16은 N 또는 C(R16a)이고, Y17은 N 또는 C(R17a)이고, Y18은 N 또는 C(R18a)이고, Y19는 N 또는 C(R19a)이고,
상기 R11a 내지 R19a에 대한 설명은, 제11항 중 R', R", R1 내지 R5 및 R11 내지 R12에 대한 설명을 참조하고,
*은 이웃한 T4와의 결합 사이트고, *'은 상기 이웃한 L3와의 결합 사이트다. - 제11항에 있어서,
상기 R', R", R1 내지 R5 및 R11 내지 R12는 서로 독립적으로, 수소, 중수소, -F, -Cl, -Br, -I, 히드록실기, 시아노기, 니트로기, C1-C20알킬기, C1-C20알콕시기;
중수소, -F, -Cl, -Br, -I, 히드록실기, 시아노기, 니트로기, C1-C20알킬기, 및 C1-C20알콕시기 중에서 선택된 적어도 하나로 치환된 C1-C20알킬기 및 C1-C20알콕시기;
시클로펜틸기, 시클로헥실기, 아다만타닐기, 노르보나닐기, 노르보네닐기, 페닐기, 나프틸기, 피리디닐기, 피리미디닐기, 피라지닐기, 피리다지닐기, 피롤일기, 인돌일기, 이소인돌일기, 인다졸일기, 퀴놀리닐기, 이소퀴놀리닐기, 퀴녹살리닐기, 퀴나졸리닐기, 시놀리닐기, 및 트리아지닐기; 및
중수소, -F, -Cl, -Br, -I, 히드록실기, 시아노기, 니트로기, C1-C20알킬기, C1-C20알콕시기, 시클로펜틸기, 시클로헥실기, 아다만타닐기, 노르보나닐기, 노르보네닐기, 페닐기, 나프틸기, 피리디닐기, 피리미디닐기, 피라지닐기, 피리다지닐기, 인돌일기, 이소인돌일기, 인다졸일기, 퀴놀리닐기, 이소퀴놀리닐기, 퀴녹살리닐기, 퀴나졸리닐기, 시놀리닐기, 트리아지닐기, -Si(Q31)(Q32)(Q33), -N(Q31)(Q32), -B(Q31)(Q32), -C(=O)(Q31), -S(=O)2(Q31) 및 -P(=O)(Q31)(Q32) 중에서 선택된 적어도 하나로 치환된, 시클로펜틸기, 시클로헥실기, 아다만타닐기, 노르보나닐기, 노르보네닐기, 페닐기, 나프틸기, 피리디닐기, 피리미디닐기, 피라지닐기, 피리다지닐기, 인돌일기, 이소인돌일기, 인다졸일기, 퀴놀리닐기, 이소퀴놀리닐기, 퀴녹살리닐기, 퀴나졸리닐기, 시놀리닐기, 및 트리아지닐기;
중수소, -F, -Cl, -Br, -I, 히드록실기, 시아노기, 니트로기, C1-C20알킬기, C1-C20알콕시기, 시클로펜틸기, 시클로헥실기, 아다만타닐기, 노르보나닐기, 노르보네닐기, 페닐기, 나프틸기, 피리디닐기, 피리미디닐기, 피라지닐기, 피리다지닐기, 인돌일기, 이소인돌일기, 인다졸일기, 퀴놀리닐기, 이소퀴놀리닐기, 퀴녹살리닐기, 퀴나졸리닐기, 시놀리닐기, 트리아지닐기, -Si(Q31)(Q32)(Q33), -N(Q31)(Q32), -B(Q31)(Q32), -C(=O)(Q31), -S(=O)2(Q31) 및 -P(=O)(Q31)(Q32) 중에서 선택된 적어도 하나로 치환된, C1-C20알킬기, C1-C20알콕시기, 시클로펜틸기, 시클로헥실기, 아다만타닐기, 노르보나닐기, 노르보네닐기, 페닐기, 나프틸기, 피리디닐기, 피리미디닐기, 피라지닐기, 피리다지닐기, 인돌일기, 이소인돌일기, 인다졸일기, 퀴놀리닐기, 이소퀴놀리닐기, 퀴녹살리닐기, 퀴나졸리닐기, 시놀리닐기, 및 트리아지닐기 중에서 선택된 적어도 하나로 치환된, 시클로펜틸기, 시클로헥실기, 아다만타닐기, 노르보나닐기, 노르보네닐기, 페닐기, 나프틸기, 피리디닐기, 피리미디닐기, 피라지닐기, 피리다지닐기, 인돌일기, 이소인돌일기, 인다졸일기, 퀴놀리닐기, 이소퀴놀리닐기, 퀴녹살리닐기, 퀴나졸리닐기, 시놀리닐기, 및 트리아지닐기; 및
-Si(Q1)(Q2)(Q3), -N(Q1)(Q2), -B(Q1)(Q2), -C(=O)(Q1), -S(=O)2(Q1), -P(=O)(Q1)(Q2), -P(=S)(Q1)(Q2), =O, =S, =N(Q1), 및 =C(Q1)(Q2);
중에서 선택되고,
Q1 내지 Q3 및 Q31 내지 Q33은 서로 독립적으로,
수소, 중수소, -F, -Cl, -Br, -I, 시아노기, C1-C20알킬기, C2-C20알케닐기, C2-C20알키닐기, C1-C20알콕시기, C3-C10시클로알킬기, C1-C10헤테로시클로알킬기, C3-C10시클로알케닐기, C1-C10헤테로시클로알케닐기, C6-C20아릴기, C1-C20헤테로아릴기, 1가 비-방향족 축합다환 그룹 및 1가 비-방향족 헤테로축합다환 그룹;
중에서 선택되는, 유기금속 화합물. - 제11항에 있어서,
하기 화학식 1-1로 표시된 유기금속 화합물:
<화학식 1-1>
상기 화학식 1-1 중,
상기 M1, A1, A3, A11, A12, Y1 내지 Y3, L1 내지 L3, R1, R3, R11, R12, b1, b3, b11 및 b12에 대한 설명은 각각 제11항 중의 설명을 참조하고,
상기 A21 및 A22에 대한 설명은 제11항 중 A1 고리 내지 A3 고리 및 A11 고리 내지 A12 고리에 대한 설명을 참조하고,
상기 R21 및 R22에 대한 설명은 제11항 중 R', R", R1 내지 R5 및 R11 내지 R12에 대한 설명을 참조하고,
상기 b21 및 b22에 대한 설명은 제11항 중 b1 내지 b3 및 b11 내지 b12에 대한 설명을 참조한다.
Priority Applications (3)
| Application Number | Priority Date | Filing Date | Title |
|---|---|---|---|
| KR1020200096111A KR20220016406A (ko) | 2020-07-31 | 2020-07-31 | 유기금속 화합물, 이를 포함한 발광 소자 및 이를 포함한 전자 장치 |
| US17/384,623 US12101996B2 (en) | 2020-07-31 | 2021-07-23 | Organometallic compound, light-emitting device including the same, and electronic apparatus |
| CN202110835750.0A CN114068833A (zh) | 2020-07-31 | 2021-07-23 | 有机金属化合物、包括其的发光器件和电子设备 |
Applications Claiming Priority (1)
| Application Number | Priority Date | Filing Date | Title |
|---|---|---|---|
| KR1020200096111A KR20220016406A (ko) | 2020-07-31 | 2020-07-31 | 유기금속 화합물, 이를 포함한 발광 소자 및 이를 포함한 전자 장치 |
Publications (1)
| Publication Number | Publication Date |
|---|---|
| KR20220016406A true KR20220016406A (ko) | 2022-02-09 |
Family
ID=80114252
Family Applications (1)
| Application Number | Title | Priority Date | Filing Date |
|---|---|---|---|
| KR1020200096111A Pending KR20220016406A (ko) | 2020-07-31 | 2020-07-31 | 유기금속 화합물, 이를 포함한 발광 소자 및 이를 포함한 전자 장치 |
Country Status (3)
| Country | Link |
|---|---|
| US (1) | US12101996B2 (ko) |
| KR (1) | KR20220016406A (ko) |
| CN (1) | CN114068833A (ko) |
Families Citing this family (1)
| Publication number | Priority date | Publication date | Assignee | Title |
|---|---|---|---|---|
| KR102811430B1 (ko) * | 2019-11-27 | 2025-05-23 | 삼성디스플레이 주식회사 | 유기금속 화합물 및 이를 포함한 유기 발광 소자 |
Family Cites Families (19)
| Publication number | Priority date | Publication date | Assignee | Title |
|---|---|---|---|---|
| US7442797B2 (en) | 2003-11-04 | 2008-10-28 | Takasago International Corporation | Platinum complex and light emitting device |
| TWI391027B (zh) | 2005-04-25 | 2013-03-21 | Fujifilm Corp | 有機電致發光裝置 |
| JP2008037848A (ja) | 2006-08-10 | 2008-02-21 | Takasago Internatl Corp | 白金錯体及び発光素子 |
| TWI560191B (en) | 2011-02-23 | 2016-12-01 | Universal Display Corp | Novel tetradentate platinum complexes |
| KR101972184B1 (ko) * | 2011-06-03 | 2019-04-24 | 메르크 파텐트 게엠베하 | 금속 착물 |
| KR102091393B1 (ko) | 2012-01-16 | 2020-03-23 | 메르크 파텐트 게엠베하 | 유기 금속 착물 |
| WO2013130483A1 (en) | 2012-02-27 | 2013-09-06 | Jian Li | Microcavity oled device with narrow band phosphorescent emitters |
| KR102349659B1 (ko) | 2013-06-10 | 2022-01-11 | 아리조나 보드 오브 리젠츠 온 비하프 오브 아리조나 스테이트 유니버시티 | 개질된 방출 스펙트럼을 갖는 인광성 네자리 금속 착물 |
| US9923155B2 (en) * | 2014-07-24 | 2018-03-20 | Arizona Board Of Regents On Behalf Of Arizona State University | Tetradentate platinum (II) complexes cyclometalated with functionalized phenyl carbene ligands and their analogues |
| US11462697B2 (en) | 2017-08-22 | 2022-10-04 | Universal Display Corporation | Organic electroluminescent materials and devices |
| US20190081252A1 (en) * | 2017-09-13 | 2019-03-14 | Samsung Display Co., Ltd. | Organometallic compound, organic light-emitting device including the organometallic compound, and organic light-emitting apparatus including the organic light-emitting device |
| US20190194234A1 (en) | 2017-12-25 | 2019-06-27 | Chuanjun Xia | Metal complexes containing heterocycle substituted ligands, and electroluminescent devices and formulations containing the complexes |
| KR102682125B1 (ko) * | 2018-01-05 | 2024-07-08 | 삼성전자주식회사 | 유기금속 화합물 및 이를 포함한 유기 발광 소자 |
| KR102661471B1 (ko) * | 2018-04-27 | 2024-04-29 | 삼성디스플레이 주식회사 | 유기금속 화합물 및 이를 포함한 유기 발광 소자 |
| CN110845541B (zh) * | 2018-08-20 | 2025-02-14 | 三星显示有限公司 | 有机金属化合物及包含所述有机金属化合物的有机发光装置 |
| KR102738039B1 (ko) * | 2018-11-23 | 2024-12-06 | 삼성디스플레이 주식회사 | 유기금속 화합물 및 이를 포함하는 유기 발광 소자 |
| KR102775175B1 (ko) * | 2018-12-20 | 2025-03-05 | 삼성디스플레이 주식회사 | 유기금속 화합물 및 이를 포함한 유기 발광 소자 |
| KR102698885B1 (ko) * | 2019-05-10 | 2024-08-28 | 삼성디스플레이 주식회사 | 유기금속 화합물 및 이를 포함한 유기 발광 소자 |
| US11634445B2 (en) * | 2019-05-21 | 2023-04-25 | Universal Display Corporation | Organic electroluminescent materials and devices |
-
2020
- 2020-07-31 KR KR1020200096111A patent/KR20220016406A/ko active Pending
-
2021
- 2021-07-23 CN CN202110835750.0A patent/CN114068833A/zh active Pending
- 2021-07-23 US US17/384,623 patent/US12101996B2/en active Active
Also Published As
| Publication number | Publication date |
|---|---|
| US12101996B2 (en) | 2024-09-24 |
| CN114068833A (zh) | 2022-02-18 |
| US20220045286A1 (en) | 2022-02-10 |
Similar Documents
| Publication | Publication Date | Title |
|---|---|---|
| KR102853327B1 (ko) | 유기금속 화합물 및 이를 포함한 유기 발광 소자 | |
| KR102870803B1 (ko) | 아민 화합물 및 이를 포함한 발광 소자 | |
| KR20220049622A (ko) | 헤테로고리 화합물 및 이를 포함한 발광 소자 | |
| KR20220097670A (ko) | 유기금속 화합물, 이를 포함한 발광 소자 및 상기 발광 소자를 포함한 전자 장치 | |
| KR20220125837A (ko) | 발광 소자 및 이를 포함한 전자 장치 | |
| KR20230109210A (ko) | 시클릭 화합물, 이를 포함하는 발광 소자 및 이를 포함하는 전자 장치 | |
| KR20220034277A (ko) | 유기금속 화합물 및 이를 포함한 유기 발광 소자 | |
| KR20210153188A (ko) | 헤테로시클릭 화합물 및 이를 포함한 발광 소자 | |
| KR20210143377A (ko) | 헤테로고리 화합물, 이를 포함한 발광 소자 및 상기 발광 소자를 포함한 전자 장치 | |
| KR102870800B1 (ko) | 헤테로고리 화합물, 이를 포함한 발광 소자 및 상기 발광 소자를 포함한 전자 장치 | |
| KR20220062147A (ko) | 헤테로고리 화합물, 이를 포함한 발광 소자 및 이를 포함한 전자 장치 | |
| KR20220037040A (ko) | 유기금속 화합물, 이를 포함한 발광 소자 및 이를 포함한 전자 장치 | |
| KR20220030381A (ko) | 유기금속 화합물, 이를 포함한 발광 소자 및 이를 포함한 전자 장치 | |
| KR20210156385A (ko) | 유기금속 화합물, 이를 포함한 발광 소자 및 상기 발광 소자를 포함한 전자 장치 | |
| KR102897061B1 (ko) | 헤테로시클릭 화합물 및 이를 포함하는 발광소자 | |
| KR102867203B1 (ko) | 발광 소자, 이를 포함한 전자 장치 및 유기금속 화합물 | |
| KR20220016406A (ko) | 유기금속 화합물, 이를 포함한 발광 소자 및 이를 포함한 전자 장치 | |
| KR20230077032A (ko) | 발광 소자 및 이를 포함하는 전자 장치 | |
| KR20220117964A (ko) | 축합환 화합물을 포함한 발광 소자 및 이를 포함한 전자 장치 | |
| KR20220001047A (ko) | 발광 소자 및 상기 발광 소자를 포함한 전자 장치 | |
| KR102896743B1 (ko) | 유기금속 화합물 및 이를 응용한 발광 소자 | |
| KR102927093B1 (ko) | 유기금속 화합물 및 이를 포함한 발광 소자 | |
| KR102927096B1 (ko) | 유기금속 화합물, 이를 포함한 발광 소자 및 상기 발광 소자를 포함한 전자 장치 | |
| KR20230127941A (ko) | 헤테로고리 화합물을 포함한 발광 소자, 상기 발광소자를 포함한 전자 장치 및 상기 헤테로고리 화합물 | |
| KR20230082697A (ko) | 아민계 화합물을 포함한 발광 소자, 상기 발광 소자를 포함한 전자 장치 및 상기 아민계 화합물 |
Legal Events
| Date | Code | Title | Description |
|---|---|---|---|
| PA0109 | Patent application |
St.27 status event code: A-0-1-A10-A12-nap-PA0109 |
|
| PG1501 | Laying open of application |
St.27 status event code: A-1-1-Q10-Q12-nap-PG1501 |
|
| P22-X000 | Classification modified |
St.27 status event code: A-2-2-P10-P22-nap-X000 |
|
| P22-X000 | Classification modified |
St.27 status event code: A-2-2-P10-P22-nap-X000 |
|
| PA0201 | Request for examination |
St.27 status event code: A-1-2-D10-D11-exm-PA0201 |
|
| E902 | Notification of reason for refusal | ||
| PE0902 | Notice of grounds for rejection |
St.27 status event code: A-1-2-D10-D21-exm-PE0902 |
|
| E13-X000 | Pre-grant limitation requested |
St.27 status event code: A-2-3-E10-E13-lim-X000 |
|
| P11-X000 | Amendment of application requested |
St.27 status event code: A-2-2-P10-P11-nap-X000 |
|
| E90F | Notification of reason for final refusal | ||
| PE0902 | Notice of grounds for rejection |
St.27 status event code: A-1-2-D10-D21-exm-PE0902 |
|
| P11 | Amendment of application requested |
Free format text: ST27 STATUS EVENT CODE: A-2-2-P10-P11-NAP-X000 (AS PROVIDED BY THE NATIONAL OFFICE) |
|
| P11-X000 | Amendment of application requested |
St.27 status event code: A-2-2-P10-P11-nap-X000 |






























































































