KR20210137888A - Electronic device for wirelessly transmitting power and wireless power receiving device and method for operating thereof - Google Patents
Electronic device for wirelessly transmitting power and wireless power receiving device and method for operating thereof Download PDFInfo
- Publication number
- KR20210137888A KR20210137888A KR1020200152591A KR20200152591A KR20210137888A KR 20210137888 A KR20210137888 A KR 20210137888A KR 1020200152591 A KR1020200152591 A KR 1020200152591A KR 20200152591 A KR20200152591 A KR 20200152591A KR 20210137888 A KR20210137888 A KR 20210137888A
- Authority
- KR
- South Korea
- Prior art keywords
- power
- electronic device
- period
- factor
- packet
- Prior art date
- Legal status (The legal status is an assumption and is not a legal conclusion. Google has not performed a legal analysis and makes no representation as to the accuracy of the status listed.)
- Granted
Links
Images
Classifications
-
- H—ELECTRICITY
- H02—GENERATION; CONVERSION OR DISTRIBUTION OF ELECTRIC POWER
- H02J—CIRCUIT ARRANGEMENTS OR SYSTEMS FOR SUPPLYING OR DISTRIBUTING ELECTRIC POWER; SYSTEMS FOR STORING ELECTRIC ENERGY
- H02J50/00—Circuit arrangements or systems for wireless supply or distribution of electric power
- H02J50/80—Circuit arrangements or systems for wireless supply or distribution of electric power involving the exchange of data, concerning supply or distribution of electric power, between transmitting devices and receiving devices
-
- H—ELECTRICITY
- H02—GENERATION; CONVERSION OR DISTRIBUTION OF ELECTRIC POWER
- H02J—CIRCUIT ARRANGEMENTS OR SYSTEMS FOR SUPPLYING OR DISTRIBUTING ELECTRIC POWER; SYSTEMS FOR STORING ELECTRIC ENERGY
- H02J50/00—Circuit arrangements or systems for wireless supply or distribution of electric power
- H02J50/10—Circuit arrangements or systems for wireless supply or distribution of electric power using inductive coupling
-
- H—ELECTRICITY
- H02—GENERATION; CONVERSION OR DISTRIBUTION OF ELECTRIC POWER
- H02J—CIRCUIT ARRANGEMENTS OR SYSTEMS FOR SUPPLYING OR DISTRIBUTING ELECTRIC POWER; SYSTEMS FOR STORING ELECTRIC ENERGY
- H02J50/00—Circuit arrangements or systems for wireless supply or distribution of electric power
- H02J50/60—Circuit arrangements or systems for wireless supply or distribution of electric power responsive to the presence of foreign objects, e.g. detection of living beings
-
- H04B5/0037—
-
- H04B5/0075—
-
- H—ELECTRICITY
- H04—ELECTRIC COMMUNICATION TECHNIQUE
- H04B—TRANSMISSION
- H04B5/00—Near-field transmission systems, e.g. inductive or capacitive transmission systems
- H04B5/20—Near-field transmission systems, e.g. inductive or capacitive transmission systems characterised by the transmission technique; characterised by the transmission medium
- H04B5/24—Inductive coupling
-
- H—ELECTRICITY
- H04—ELECTRIC COMMUNICATION TECHNIQUE
- H04B—TRANSMISSION
- H04B5/00—Near-field transmission systems, e.g. inductive or capacitive transmission systems
- H04B5/70—Near-field transmission systems, e.g. inductive or capacitive transmission systems specially adapted for specific purposes
- H04B5/79—Near-field transmission systems, e.g. inductive or capacitive transmission systems specially adapted for specific purposes for data transfer in combination with power transfer
-
- H—ELECTRICITY
- H04—ELECTRIC COMMUNICATION TECHNIQUE
- H04L—TRANSMISSION OF DIGITAL INFORMATION, e.g. TELEGRAPHIC COMMUNICATION
- H04L1/00—Arrangements for detecting or preventing errors in the information received
- H04L1/12—Arrangements for detecting or preventing errors in the information received by using return channel
- H04L1/16—Arrangements for detecting or preventing errors in the information received by using return channel in which the return channel carries supervisory signals, e.g. repetition request signals
- H04L1/18—Automatic repetition systems, e.g. Van Duuren systems
- H04L1/1829—Arrangements specially adapted for the receiver end
Landscapes
- Engineering & Computer Science (AREA)
- Computer Networks & Wireless Communication (AREA)
- Power Engineering (AREA)
- Signal Processing (AREA)
- Charge And Discharge Circuits For Batteries Or The Like (AREA)
Abstract
Description
다양한 실시예들은 무선으로 전력을 송신하는 전자 장치와 무선으로 전력을 수신하는 무선 전력 수신 장치 및 그 동작 방법에 관한 것이다.Various embodiments relate to an electronic device that wirelessly transmits power, a wireless power receiver that wirelessly receives power, and an operating method thereof.
WPC(wireless power consortium) 표준 (또는, Qi 표준)에서는, 다양한 이물질 검출(foreign object detection, FOD)을 지원한다. 예를 들어, 무선으로 전력을 송신하는 전자 장치는, 핑(ping) 신호를 코일에 인가할 수 있으며, 특성(예를 들어, 주파수 및/또는 Q-팩터(quality factor))의 변경이 발생하는지 여부에 기반하여, 무선 전력 수신 장치 또는 이물질이 충전 영역에 배치되는지 여부를 판단할 수 있다. 예를 들어, 무선으로 전력을 송신하는 전자 장치는, 전력 송신(power transfer) 동안에는, 무선 전력 수신 장치로부터 수신 전력의 레벨에 대한 정보를 수신(또는, 복조(demodulation))할 수 있다. 전자 장치는, 송신 전력(PPT)의 레벨 및 수신 전력(PPR)의 레벨에 대한 정보에 기반하여, 손실 전력(power loss)(Ploss)의 레벨을 확인할 수 있으며, 손실 전력(Ploss)의 레벨에 기반하여 전력 송신 동안의 이물질 배치 여부를 판단할 수 있다.A wireless power consortium (WPC) standard (or Qi standard) supports various foreign object detection (FOD). For example, an electronic device that wirelessly transmits power may apply a ping signal to the coil, and check whether a change in characteristics (eg, frequency and/or Q-factor) occurs. Based on whether the wireless power receiving device or the foreign material is disposed in the charging area may be determined. For example, an electronic device that wirelessly transmits power may receive (or demodulate) information on a level of received power from the wireless power receiver during power transfer. The electronic device, the transmission power (P PT) level and the received power on the basis of information about the level of the (P PR), loss of electric power (power loss), loss of power to check the level of the (P loss) (P loss of ), it is possible to determine whether foreign matter is disposed during power transmission.
이물질이 배치되는 경우의 손실 전력(Ploss)은, 전자 장치의 자기장으로부터 이물질 내에서 소실되는(dissipated) 전력의 레벨을 나타낼 수 있다. 전자 장치는, 입력단에 제공되는 전력(Pin)의 레벨로부터, 전자 장치 내부에서 소실되는 내부 손실 전력(PPTloss)을 감산함으로써 송신 전력(PPT)의 레벨을 확인할 수 있다. 전자 장치에서의 내부 손실 전력(PPTloss)은, 인버터 내에서의 전력 손실, 일차 코일 내에서의 전력 손실, 공진 커패시터 내에서의 전력 손실, 일차 코일 어셈블리의 실딩(shielding) 내에서의 전력 손실, 또는 전자 장치의 임의의 금속 부품 내에서의 전력 손실 중 적어도 하나를 포함할 수 있다. 아울러, 무선 전력 수신 장치에 의하여 출력단의 전력(Pout)의 레벨 및 무선 전력 수신 장치 내에서의 소실되는 내부 손실 전력(PPrloss)을 합산함으로써 수신 전력(PPR)을 확인할 수 있다. 무선 전력 수신 장치의 내부 손실 전력(PPrloss)은, 정류기에서의 전력 손실, 이차측 코일에서의 전력 손실, 공진 커패시터에서의 전력 손실, 이차 코일 어셈블리의 실딩에서의 전력 손실, 또는 무선 전력 수신 장치의 임의의 금속 부품에서의 전력 손실 중 적어도 하나를 포함할 수 있다. The power loss P loss when the foreign material is disposed may indicate a level of power dissipated in the foreign material from the magnetic field of the electronic device. The electronic device may determine the level of the transmission power P PT by subtracting the internal loss power P PTloss lost inside the electronic device from the level of the power P in provided to the input terminal. The internal loss power (P PTloss ) in the electronic device is the power loss in the inverter, the power loss in the primary coil, the power loss in the resonant capacitor, the power loss in the shielding of the primary coil assembly, or power loss within any metal part of the electronic device. In addition, the received power P PR may be confirmed by summing the level of the power P out of the output terminal by the wireless power receiving device and the internal loss power P Prloss lost in the wireless power receiving device. The internal loss power (P Prloss ) of the wireless power receiver is a power loss in a rectifier, a power loss in a secondary side coil, a power loss in a resonant capacitor, a power loss in the shielding of the secondary coil assembly, or a wireless power receiver at least one of power loss in any metal part of
전자 장치와 무선 전력 수신 장치는, 상술한 내부 손실 전력들(PPTloss, PPrloss)을 계산할 수 있으며, 이 경우 시스템 바이어스(systematic bias)가 발생할 수 있다. 이러한 바이어스는 이물질 검출의 정확도를 저하시키며, 바이어스의 영향을 제거하기 위하여 전자 장치 및 무선 전력 수신 장치는, 캘리브레이션(calibration)을 수행할 수 있다. 캘리브레이션 중, 전자 장치 및/또는 무선 전력 수신 장치는, 복수 개의 로드 조건(load condition)들에서의 송신 전력(PPT)의 레벨 및 수신 전력(PPR)의 레벨을 이용하여, 파라미터를 확인할 수 있다. 전자 장치 및/또는 무선 전력 수신 장치는, 확인된 파라미터를 이용하여 송신 전력(PPT) 및/또는 수신 전력(PPR)를 보정할 수 있으며, 이에 따라 바이어스의 영향이 제거될 수 있어 이물질 검출 정확도가 향상될 수 있다. 하지만, 캘리브레이션 중의 이물질이 배치되면, 부정확한 파라미터가 산출될 수 있다. 부정확한 파라미터가 이물질 검출에 이용되는 경우, 오히려 이물질 검출 정확도가 감소할 수 있다.The electronic device and the wireless power receiver may calculate the above-described internal loss powers P PTloss and P Prloss , and in this case, a system bias may occur. This bias reduces the accuracy of detecting foreign substances, and in order to remove the influence of the bias, the electronic device and the wireless power receiver may perform calibration. During calibration, the electronic device and/or the wireless power receiver may check the parameter by using the level of the transmission power (P PT ) and the level of the reception power (P PR ) in a plurality of load conditions. have. The electronic device and/or the wireless power receiving device may correct the transmit power (P PT ) and/or the receive power (P PR ) using the identified parameter, and thus the influence of the bias may be removed to detect foreign substances. Accuracy can be improved. However, if foreign objects are placed during calibration, inaccurate parameters may be calculated. If inaccurate parameters are used for foreign material detection, the foreign material detection accuracy may be reduced.
다양한 실시예에 따른 전자 장치, 무선 전력 수신 장치, 및 그 동작 방법은, 캘리브레이션의 시작 및/또는 종료에 기반하여 확인한 Q-팩터에 기반하여, 캘리브레이션 결과로 산출된 파라미터를 검증할 수 있다.The electronic device, the wireless power receiver, and the operating method thereof according to various embodiments may verify a parameter calculated as a calibration result based on a Q-factor checked based on the start and/or end of the calibration.
다양한 실시예에 따른 전자 장치, 무선 전력 수신 장치, 및 그 동작 방법은, 지정된 시점에 확인한 Q-팩터에 기반하여, 캘리브레이션 결과로 산출된 파라미터의 유효성을 확인할 수 있고, 이물질 검출 정확도가 향상될 수 있다.The electronic device, the wireless power receiving device, and the operating method thereof according to various embodiments may check the validity of a parameter calculated as a result of a calibration based on the Q-factor checked at a specified time, and improve the foreign matter detection accuracy have.
다양한 실시예에 따라서, 전자 장치는, 전력 전송 회로, 및 제어 회로를 포함하고, 상기 제어 회로는, 상기 전력 전송 회로의 코일로 제 1 전력이 인가되도록 상기 전력 전송 회로를 제어하고, 상기 제 1 전력의 인가를 중단하고, 제 1 기간 동안 상기 코일에 전력이 인가되지 않도록 상기 전력 전송 회로를 제어하고, 상기 제 1 기간 동안의 제 1 Q-팩터를 확인하고, 상기 제 1 기간 이후, 전력 송신 시의 전력 손실의 확인에 이용되는 적어도 하나의 파라미터를 확인하기 위한 캘리브레이션 동작에 기반한 적어도 하나의 전력이 상기 코일로 인가되도록 상기 전력 전송 회로를 제어하고, 상기 적어도 하나의 전력 중 마지막 전력의 인가를 중단하고, 제 2 기간 동안 상기 코일에 전력이 인가되지 않도록 상기 전력 전송 회로를 제어하고, 상기 제 2 기간 동안의 제 2 Q-팩터를 확인하고, 상기 제 1 Q-팩터 및/또는 상기 제 2 Q-팩터에 기반하여, 상기 적어도 하나의 파라미터의 유효성을 확인하도록 설정될 수 있다. According to various embodiments, an electronic device includes a power transmission circuit and a control circuit, wherein the control circuit controls the power transmission circuit so that a first power is applied to a coil of the power transmission circuit, and the first stop application of power, control the power transmission circuit so that no power is applied to the coil for a first period, check a first Q-factor for the first period, and after the first period, transmit power controlling the power transmission circuit so that at least one power is applied to the coil based on a calibration operation for checking at least one parameter used for checking the power loss at the time of application of the last power among the at least one power interrupt, control the power transfer circuit such that no power is applied to the coil for a second period, check a second Q-factor for the second period, and/or the first Q-factor and/or the second Based on the Q-factor, it may be configured to check the validity of the at least one parameter.
다양한 실시예에 따라서, 무선 전력 수신 장치는, 전자 장치로부터의 전력을 수신하기 위한 코일, 상기 코일로부터 출력되는 교류 전력을 직류 전력으로 정류하는 정류기, 프로세서, 및 통신 회로를 포함하고, 상기 프로세서는, 상기 코일을 통하여, 제 1 전력이 수신되는 동안, 상기 제 1 전력의 인가의 중단 및 제 1 기간 동안의 전력 인가의 중단 유지를 요청하는 제 1 데이터 패킷을 송신하도록 상기 통신 회로를 제어하고, 전력 송신 시의 전력 손실의 확인에 이용되는 적어도 하나의 파라미터를 확인하기 위한 캘리브레이션 동작에 기반한 적어도 하나의 전력 중 마지막 전력이 상기 코일을 통하여 수신되는 동안, 상기 마지막 전력의 인가의 중단 및 제 2 기간 동안의 전력 인가의 중단 유지를 요청하는 제 1 데이터 패킷을 송신하도록 상기 통신 회로를 제어하도록 설정될 수 있다.According to various embodiments, an apparatus for receiving wireless power includes a coil for receiving power from an electronic device, a rectifier for rectifying AC power output from the coil into DC power, a processor, and a communication circuit, the processor comprising: control the communication circuitry to transmit, via the coil, a first data packet requesting, while the first power is being received, cessation of the application of the first power and the maintenance of the cessation of the application of the power for a first period; Interruption of application of the last power and a second period while the last power of at least one power is received through the coil based on a calibration operation for checking at least one parameter used for checking power loss in power transmission and control the communication circuitry to transmit a first data packet requesting to keep the application of power interrupted during a period of time.
다양한 실시예에 따라서, 캘리브레이션의 시작 및/또는 종료에 기반하여 확인한 Q-팩터에 기반하여, 캘리브레이션 결과 산출된 파라미터를 검증할 수 있는, 전자 장치, 무선 전력 수신 장치, 및 그 동작 방법이 제공될 수 있다. 이에 따라, 캘리브레이션 결과 산출된 파라미터의 유효성이 확보되어, 전력 송신 동안의 이물질 검출의 정확도가 향상될 수 있다.According to various embodiments, an electronic device capable of verifying a parameter calculated as a result of a calibration based on a Q-factor confirmed based on the start and/or end of calibration, an electronic device, a wireless power receiving device, and an operating method thereof are provided. can Accordingly, the validity of the parameters calculated as a result of the calibration may be secured, and the accuracy of detecting foreign substances during power transmission may be improved.
이 외에, 본 문서를 통해 직접적 또는 간접적으로 파악되는 다양한 효과들이 제공될 수 있다.In addition, various effects directly or indirectly identified through this document may be provided.
도 1은 다양한 실시예에 따른 무선 전력 송신 장치 및 전자 장치의 블록도를 도시한다.
도 2는 다양한 실시예들에 따른 무선 충전 시스템의 개략적인 구성도이다.
도 3은 다양한 실시예들에 따른 무선 충전 시스템을 나타낸 블록도이다.
도 4는 다양한 실시예와의 비교를 위한 비교예에 따른 전자 장치의 송신 코일에 입력되는 전력의 레벨을 도시한다.
도 5a는 다양한 실시예에 따른 전자 장치의 동작 방법을 설명하기 위한 흐름도를 도시한다.
도 5b는 다양한 실시예에 따른 전자 장치의 송신된 전력의 레벨을 나타내는 그래프이다.
도 6은 다양한 실시예에 따른 전자 장치의 동작 방법을 설명하기 위한 흐름도를 도시한다.
도 7은 다양한 실시예에 따른 전자 장치의 송신된 전력의 레벨을 나타내는 그래프이다.
도 8은 다양한 실시예에 따른 전자 장치 및 무선 전력 수신 장치의 동작을 설명하기 위한 도면이다.
도 9a는 다양한 실시예와의 비교를 위한 비교예에 따른 데이터 패킷의 구조를 도시한다.
도 9b는 다양한 실시예에 따른 무선 전력 수신 장치가 송신하는 수신된 전력의 패킷(RP 1)의 구조를 도시한다.
도 10은 다양한 실시예에 따른 무선 전력 수신 장치의 동작 방법을 설명하기 위한 흐름도를 도시한다.
도 11a 내지 11f는 다양한 실시예들에 따른 수신 피크 전압 및 정류기의 출력 전압을 도시한다.
도 12는 다양한 실시예에 따른 무선 전력 수신 장치의 동작 방법을 설명하기 위한 흐름도를 도시한다.
도 13은, 다양한 실시예에 따른, 네트워크 환경 내의 전자 장치의 블록도이다.1 is a block diagram illustrating an apparatus for transmitting power wirelessly and an electronic device according to various embodiments of the present disclosure;
2 is a schematic configuration diagram of a wireless charging system according to various embodiments.
3 is a block diagram illustrating a wireless charging system according to various embodiments.
4 illustrates a level of power input to a transmission coil of an electronic device according to a comparative example for comparison with various embodiments.
5A is a flowchart illustrating a method of operating an electronic device according to various embodiments of the present disclosure;
5B is a graph illustrating a level of transmitted power of an electronic device according to various embodiments of the present disclosure;
6 is a flowchart illustrating a method of operating an electronic device according to various embodiments of the present disclosure;
7 is a graph illustrating a level of transmitted power of an electronic device according to various embodiments of the present disclosure;
8 is a diagram for explaining operations of an electronic device and an apparatus for receiving wireless power according to various embodiments of the present disclosure;
9A shows the structure of a data packet according to a comparative example for comparison with various embodiments.
9B illustrates a structure of a
10 is a flowchart illustrating an operating method of an apparatus for receiving power wirelessly according to various embodiments of the present disclosure.
11A-11F illustrate a receive peak voltage and an output voltage of a rectifier in accordance with various embodiments.
12 is a flowchart illustrating a method of operating an apparatus for receiving power wirelessly according to various embodiments of the present disclosure.
13 is a block diagram of an electronic device in a network environment, according to various embodiments of the present disclosure;
도 1은 다양한 실시예에 따른 무선 전력 송신 장치 및 전자 장치의 블록도를 도시한다.1 is a block diagram illustrating an apparatus for transmitting power wirelessly and an electronic device according to various embodiments of the present disclosure;
도 1을 참조하면, 다양한 실시예에 따른 전자 장치(101)는 무선 전력 수신 장치(195)에 무선으로 전력(103)을 송신할 수 있다. 하나의 예에서, 전자 장치(101)는, 유도 방식에 따라 전력(103)을 송신할 수 있다. 전자 장치(101)가 유도 방식에 의한 경우에, 전자 장치(101)는, 예를 들어 전력 소스, 직류-교류 변환 회로, 증폭 회로, 임피던스 매칭 회로, 적어도 하나의 커패시터, 적어도 하나의 코일, 통신 변복조 회로 등을 포함할 수 있다. 적어도 하나의 커패시터는 적어도 하나의 코일과 함께 공진 회로를 구성할 수도 있다. 전자 장치(101)는, WPC(wireless power consortium) 표준 (또는, Qi 표준)에서 정의된 방식으로 구현될 수 있다. 다른 예에서, 전자 장치(101)는, 공진 방식에 따라 전력(103)을 송신할 수 있다. 공진 방식에 의한 경우에는, 전자 장치(101)는, 예를 들어 전력 소스, 직류-교류 변환 회로, 증폭 회로, 임피던스 매칭 회로, 적어도 하나의 커패시터, 적어도 하나의 코일, 아웃-오브-밴드 통신 회로(예: BLE(bluetooth low energy) 통신 회로) 등을 포함할 수 있다. 적어도 하나의 커패시터 및 적어도 하나의 코일은 공진 회로를 구성할 수 있다. 전자 장치(101)는, A4WP(Alliance for Wireless Power) 표준 (또는, AFA(air fuel alliance) 표준)에서 정의된 방식으로 구현될 수 있다. 전자 장치(101)는, 공진 방식 또는 유도 방식에 따라 전류가 흐르면 유도 자기장을 생성할 수 있는 코일을 포함할 수 있다. 전자 장치(101)가 유도 자기장을 생성하는 과정을, 전자 장치(101)가 전력(103)을 무선으로 송신한다고 표현할 수 있다. 아울러, 무선 전력 수신 장치(195)는, 주변에 형성된 시간에 따라 크기가 변경되는 자기장에 의하여 유도 기전력이 발생되는 코일을 포함할 수 있다. 코일을 통하여 유도 기전력을 발생시키는 과정을, 무선 전력 수신 장치(195)가 전력(103)을 무선으로 수신한다고 표현할 수 있다. 예를 들면, 전자 장치(101)는, 무선 전력 전송에 관한 표준으로 airFuel inductive(예: PMA(power matters alliance)), 또는 airfuel resonant(예: rezence) 표준에서 정의된 방식, 또는 Qi 표준에서 정의된 방식으로 구현될 수도 있다.Referring to FIG. 1 , an
다양한 실시예에 의한 전자 장치(101)는, 무선 전력 수신 장치(195)와 통신을 수행할 수 있다. 예를 들어, 전자 장치(101)는, 인-밴드 방식에 따라 무선 전력 수신 장치(195)와 통신을 수행할 수 있다. 전자 장치(101) 송신하고자 하는 데이터를 예를 들어 FSK(frequency shift keying) 변조 방식에 따라 변조(modulation)를 수행할 수 있으며, 무선 전력 수신 장치(195)는 ASK(amplitude shift keying) 변조 방식에 따라 변조를 수행할 수 있다. 전자 장치(101) 및/또는 무선 전력 수신 장치(195)는, 코일의 전류, 전압 또는 전력의 주파수 및/또는 진폭에 기반하여, 상대 장치에서 송신하는 데이터를 판단할 수 있다. ASK 변조 방식 및/또는 FSK 변조 방식에 기반하여 변조를 수행하는 동작은, 인-밴드 통신 방식에 따라 데이터를 송신하는 동작으로 이해될 수 있다. 코일의 전류, 전압 또는 전력의 주파수 및/또는 진폭의 크기에 기반하여 복조(demodulation)를 수행하여 상대 장치에서 송신하는 데이터를 판단하는 동작은, 인-밴드 통신 방식에 따라 데이터를 수신하는 동작으로 이해될 수 있다. 예를 들어, 전자 장치(101)는, 아웃-오브-밴드 방식에 따라 무선 전력 수신 장치(195)와 통신을 수행할 수 있다. 전자 장치(101) 또는 무선 전력 수신 장치(195)는, 코일 또는 패치 안테나와 별도로 구비된 통신 회로(예: BLE 통신 모듈)를 이용하여 데이터를 송수신할 수 있다.The
본 문서에서, 전자 장치(101) 또는 무선 전력 수신 장치(195)가 특정 동작을 수행하는 것은, 전자 장치(101) 또는 무선 전력 수신 장치(195)에 포함된 다양한 하드웨어, 예를 들어 프로세서(예를 들어, 전송 IC 및/또는 MCU(micro controlling unit))와 같은 제어 회로, 코일이 특정 동작을 수행하는 것을 의미할 수 있다. 또는, 전자 장치(101) 또는 무선 전력 수신 장치(195)가 특정 동작을 수행하는 것은, 프로세서가 다른 하드웨어로 하여금 특정 동작을 수행하도록 제어하는 것을 의미할 수도 있다. 또는, 전자 장치(101) 또는 무선 전력 수신 장치(195)가 특정 동작을 수행하는 것은, 전자 장치(101) 또는 무선 전력 수신 장치(195)의 저장 회로(예: 메모리)에 저장되었던 특정 동작을 수행하기 위한 적어도 하나의 인스트럭션이 실행됨에 따라, 프로세서 또는 다른 하드웨어가 특정 동작을 수행하도록 야기하는 것을 의미할 수도 있다.In this document, the
도 2는 다양한 실시예들에 따른 무선 충전 시스템의 개략적인 구성도이다.2 is a schematic configuration diagram of a wireless charging system according to various embodiments.
도 2를 참조하면, 다양한 실시예들에 따른 무선 충전 시스템은 전자 장치(101), 및 무선 전력 수신 장치(195)를 포함할 수 있다. 전자 장치(101)는 충전기(예: TA, travel adapter)로부터 공급된 전원을 기반으로 무선 전력을 전송하는 충전 패드일 수 있다. 다른 실시예에 따르면, 전자 장치(101)는 무선 전력 전송 기능을 포함하는 장치로, 예를 들어 스마트 폰으로 구현될 수도 있으며, 그 구현 형태에는 제한이 없다. 무선 전력 수신 장치(195)는 스마트폰 또는 웨어러블 장치와 같은 전자 장치일 수 있으며, 그 구현 형태에는 제한이 없다.Referring to FIG. 2 , a wireless charging system according to various embodiments may include an
도 3은 다양한 실시예들에 따른 무선 충전 시스템을 나타낸 블록도이다.3 is a block diagram illustrating a wireless charging system according to various embodiments.
도 3을 참고하면, 다양한 실시예들에 따른 무선 충전 시스템은 전자 장치(101), 또는 무선 전력 수신 장치(195)를 포함할 수 있다. 무선 전력 수신 장치(195)가 전자 장치(101) 위에 거치되면, 전자 장치(101)는 무선 전력 수신 장치(195)에게 무선으로 전력을 공급할 수 있다.Referring to FIG. 3 , a wireless charging system according to various embodiments may include an
다양한 실시예들에 따르면, 전자 장치(101)는 전력 전송 회로(311), 제어 회로(312), 통신 회로(313), 또는 센싱 회로(314)를 포함할 수 있다.According to various embodiments, the
다양한 실시예들에 따르면, 전력 전송 회로(311)는 외부로부터 전원(또는 전력)을 입력 받고, 입력된 전원의 전압을 적절하게 변환하는 전력 어댑터(311a), 전력을 생성하는 전력 생성 회로(311b), 또는 송신 코일(311L)과 수신 코일(321L) 사이의 효율을 향상시키는 매칭 회로(311c)를 포함할 수 있다.According to various embodiments, the
다양한 실시예들에 따르면, 전력 전송 회로(311)는 적어도 하나의 무선 전력 수신 장치(예: 제1 무선 전력 수신 장치 및 제2 무선 전력 수신 장치)에 전력 송신이 가능하도록 전력 어댑터(311a), 전력 생성 회로(311b), 송신 코일(311L), 또는 매칭 회로(311c)를 적어도 하나 포함할 수 있다.According to various embodiments, the
다양한 실시예들에 따르면, 제어 회로(312)는 전자 장치(101)의 전반적인 제어를 수행하며, 무선 전력 송신에 필요한 각종 메시지(예: 인스트럭션)를 생성하여 통신 회로(313)로 전달할 수 있다. 일 실시예에서, 제어 회로(312)는 통신 회로(313)로부터 수신된 정보에 기초하여 무선 전력 수신 장치(195)로 송출할 전력(또는 전력량)을 산출할 수 있다. 일 실시예에서, 제어 회로(312)는 송신 코일(311L)에 의해 생성된 전력이 무선 전력 수신 장치(195)로 전송되도록 전력 전송 회로(311)를 제어할 수 있다.According to various embodiments, the
다양한 실시예들에 따르면, 통신 회로(313)는 제1 통신 회로(313a) 또는 제2 통신 회로(313b) 중 적어도 하나를 포함할 수 있다. 제1 통신 회로(313a)는 예를 들어, 송신 코일(311L)에서 전력 전달을 위해 사용하는 주파수와 동일하거나 인접한 주파수를 이용하여 무선 전력 수신 장치(195)의 제1 통신 회로(323a)와 인-밴드(in-band, IB) 통신 방식에 기반하여 통신할 수 있다.According to various embodiments, the
제1 통신 회로(313a)는 송신 코일(311L)를 이용하여, 무선 전력 수신 장치(195)의 제 1 통신 회로(323a)와 통신할 수 있다. 제1 통신 회로(313a)에 의해 생성된 데이터(또는 통신 신호)는 송신 코일(311L)를 이용하여 전송될 수 있다. 제1 통신 회로(313a)는 FSK(frequency shift keying) 변조 기법을 이용하여 무선 전력 수신 장치(195)에게 데이터를 전달할 수 있다. 다양한 실시예들에 따르면, 제1 통신 회로(313a)는 송신 코일(311L)을 통해 전달되는 전력 신호의 주파수가 변경되도록 함으로써, 무선 전력 수신 장치(195)의 제 1 통신 회로(323a)와 통신할 수 있다. 또는, 제1 통신 회로(313a)는 전력 생성 회로(311b)에서 생성되는 전력 신호에 데이터가 포함되도록 함으로써, 무선 전력 수신 장치(195)의 제 1 통신 회로(323a)와 통신할 수 있다. 예를 들어, 제1 통신 회로(313a)는 전력 전송 신호의 주파수를 높이거나 낮춤으로써, 변조를 수행할 수 있다. 무선 전력 수신 장치(195)는, 수신 코일(321L)에서 측정되는 신호의 주파수에 기반하여 복조를 수행함으로써, 전자 장치(101)로부터의 데이터를 확인할 수 있다.The
제2 통신 회로(313b)는 예를 들어, 송신 코일(311L)에서 전력 전달을 위해 사용하는 주파수와 다른 주파수를 이용하여 무선 전력 수신 장치(195)의 제2 통신 회로(323b)와 아웃-오브-밴드(out-of-band, OOB) 통신 방식에 기반하여 통신할 수 있다. 예를 들어, 제2 통신 회로(313b)는 블루투스(Bluetooth), BLE(bluetooth low energy), Wi-Fi, 또는 NFC(near field communication)와 같은 다양한 근거리 통신 방식 중 어느 하나를 이용하여 제2 통신 회로(323b)로부터 충전 상태와 관련된 정보(예: rectifier 후 전압 값, 정류된 전압 값(예: Vrect) 정보, 코일(321L) 또는 정류 회로(321b)에서 흐르는 전류 정보(예: Iout), 각종 패킷, 인증 정보 및/또는 메시지)를 획득할 수 있다.The
다양한 실시예들에 따르면, 센싱 회로(314)는 적어도 하나 이상의 센서를 포함할 수 있으며, 적어도 하나 이상의 센서를 이용하여 전력 송신 장치(301)의 적어도 하나의 상태를 감지할 수 있다. According to various embodiments, the
다양한 실시예들에 따르면, 센싱 회로(314)는 온도 센서, 움직임 센서, 자기장 센서(hall sensor), 또는 전류(또는 전압) 센서 중 적어도 하나를 포함할 수 있으며, 온도 센서를 이용하여 전자 장치(101)의 온도 상태를 감지할 수 있고, 움직임 센서를 이용하여 전자 장치(101)의 움직임 상태를 감지할 수 있고, 자기장 센서를 이용하여 무선 전력 수신 장치(195)와 결합 여부를 감지할 수 있고, 전류(또는 전압)센서를 이용하여 전자 장치(101)의 출력 신호의 상태, 예를 들면, 전류 레벨, 전압 레벨 및/또는 전력 레벨을 감지할 수 있다. According to various embodiments, the
일 실시예에 따르면 전류(또는 전압)센서는 전력 전송 회로(311)에서 신호를 측정할 수 있다. 전류(또는 전압)센서는 매칭 회로(311c) 또는 전력 생성 회로(311b) 적어도 일부 영역에서 신호를 측정할 수 있다. 예를 들면 전류(또는 전압 센서)는 코일(311L) 앞 단에서 신호를 측정하는 회로를 포함할 수 있다.According to an embodiment, the current (or voltage) sensor may measure a signal in the
다양한 실시예들에 따르면 센싱 회로(314)는 이물질 검출(예: 외부 객체 검출(FOD: foreign object detection))을 위한 회로일 수 있다. According to various embodiments, the
다양한 실시예들에 따르면, 무선 전력 수신 장치(195)는 전력 수신 회로(321), 프로세서(322), 통신 회로(323), 센서들(324), 디스플레이(325), 또는 센싱 회로(326)를 포함할 수 있다. 센서들(324)에는 센싱 회로(326)가 포함될 수 있다.According to various embodiments, the
다양한 실시예들에 따르면, 전력 수신 회로(321)는 전자 장치(101)로부터 무선으로 전력을 수신하는 수신 코일(321L), Rx IC(327), 충전 회로(321d)(예: PMIC, DCDC converter, switched capacitor, 또는 voltage divider), 또는 배터리(321e)(예: 배터리(189))를 포함할 수 있다. 일 실시예에서, Rx IC(327)는 수신 코일(321L)에 연결된 매칭 회로(321a), 수신된 AC 전력을 DC로 정류하는 정류 회로(321b), 또는 충전 전압을 조정하는 조정 회로(예: LDO)(321c)를 포함할 수 있다.According to various embodiments, the
다양한 실시예들에 따르면, 프로세서(322)는 무선 전력 수신 장치(195)의 전반적인 제어를 수행하고, 무선 전력 수신에 필요한 각종 메시지를 생성하여 통신 회로(323)로 전달할 수 있다.According to various embodiments, the
다양한 실시예들에 따르면, 통신 회로(323)는 제1 통신 회로(323a) 또는 제2 통신 회로(323b) 중 적어도 하나를 포함할 수 있다. 제1 통신 회로(323a)는 수신 코일(321L)를 통해 전자 장치(101)와 통신할 수 있다. According to various embodiments, the
제1 통신 회로(323a)는 수신 코일(321L)를 이용하여, 전자 장치(101)의 제1 통신 회로(313a)와 통신할 수 있다. 제1 통신 회로(323a)에 의해 생성된 데이터(또는 통신 신호)는 수신 코일(321L)를 이용하여, 전송될 수 있다. 제1 통신 회로(323a)는 ASK(amplitude shift keying) 변조 기법을 이용하여 전자 장치(101)에 데이터를 전달할 수 있다. 예를 들어, 제1 통신 회로(323a)는, 변조 방식에 따라 전자 장치(101)의 로드의 변경을 야기할 수 있다. 이에 따라, 송신 코일(311L)에서 측정되는 전압, 전류, 또는 전력의 크기 중 적어도 하나가 변경될 수 있다. 전자 장치(101)의 제1 통신 회로(313a)는, 크기의 변경을 복조함으로써, 무선 전력 수신 장치(195)에 의한 데이터를 확인할 수 있다. 제2 통신 회로(323b)는 블루투스(Bluetooth), BLE, Wi-Fi, 또는 NFC와 같은 다양한 근거리 통신 방식 중 어느 하나를 이용하여 전자 장치(101)와 통신할 수 있다.The
본 문서에서 전자 장치(101)와 무선 전력 수신 장치(195)가 송수신하는 패킷, 정보, 또는 데이터는 제1 통신 회로(323a) 또는 제2 통신 회로(323b) 중 적어도 하나를 이용할 수 있다.In this document, at least one of the
다양한 실시예들에 따르면, 센서들(324)은 전류/전압 센서, 온도 센서, 조도 센서, 또는 가속도 센서 중 적어도 일부를 포함할 수 있다. 일 실시예에서, 센서들(324)은 도 13의 센서 모듈(1376)과 동일하거나 별도의 구성요소일 수 있다.According to various embodiments, the
다양한 실시예들에 따르면, 디스플레이(325)는 무선 전력 송수신에 필요한 각종 디스플레이 정보를 표시할 수 있다.According to various embodiments, the
다양한 실시예들에 따르면, 센싱 회로(326)는 전자 장치(101)로부터 탐색 신호 또는 수신되는 전력을 감지하여 전자 장치(101)를 감지 할 수 있다. 센싱 회로(326)는 전자 장치(101)으로부터 출력된 신호에 의하여 생성되는 코일(321L) 신호에 의한 코일(321L) 또는 매칭 회로(321a), 또는 정류 회로(321b)의 입/출력단의 신호 변화를 감지할 수 있다. 다양한 실시예들에 따르면, 센싱 회로(326)는 수신회로(321)에 포함될 수도 있다.According to various embodiments, the
도 4는 다양한 실시예와의 비교를 위한 비교예에 따른 전자 장치의 송신 코일에 입력되는 전력의 레벨을 도시한다. 도 4의 비교예에 의한 전자 장치(101)의 동작은, 본 개시의 실시예에 의한 전자 장치(101)에서도 수행될 수 있음을 당업자는 이해할 것이다.4 illustrates a level of power input to a transmission coil of an electronic device according to a comparative example for comparison with various embodiments. Those skilled in the art will understand that the operation of the
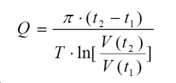
전자 장치(101)는, 송신 코일(311L)에 주기적으로 핑 신호(401)를 듀레이션(Δt1) 동안 인가할 수 있다. 핑 신호(401)의 인가가 종료되면, 전자 장치(101)의 송신 코일(311L)의 전력(402)은 감쇄할 수 있다. 예를 들어, 전력(402)에 대한 전압(V(t))의 인벨로프(envelope)의 시간 도메인에서의 감쇄는 수학식 1을 따를 수 있다.The
V(0)는, 최초 전압값일 수 있으며, ω는 교류 신호의 각주파수, Q는 Q-팩터일 수 있다. 이에 따라, 인벨로프를 구성하는 두 시간 지점(t1, t2)에 대응하는 전압(V1, V2)들에 기반하여 Q-팩터가 수학식 2에서와 같이 계산될 수 있다. 수학식 2에서, T는 주파수의 역수인 주기일 수 있다.V(0) may be an initial voltage value, ω may be an angular frequency of an AC signal, and Q may be a Q-factor. Accordingly, the Q-factor may be calculated as in
상술한 바에 따라서, 전자 장치(101)는, 핑 신호(401) 인가에 기반한 Q-팩터 측정을 수행할 수 있다. 전자 장치(101)는, 이물질이 배치되지 않은 경우의 Q-팩터를 레퍼런스로 저장할 수 있다. 이물질이 전자 장치(101) 상에 배치된 경우, Q-팩터는 변경(예를 들어, 감소)될 수 있다. 전자 장치(101)는, 추후 측정된 Q-팩터가, 레퍼런스와의 비교 결과 톨러런스(tolerance) 범위 밖의 차이를 가지는 경우, 무선 전력 수신 장치(195) 또는 이물질이 배치된 것을 확인할 수 있다. 한편, 전자 장치(101)는, Q-팩터 이외에도 공진 주파수의 변경에 기반하여, 무선 전력 수신 장치(195) 또는 이물질의 배치를 검출할 수도 있다. 당업자는, 본 개시의 다양한 실시예에서 기술된 Q-팩터를 이용한 동작이, 공진 주파수의 변경을 이용한 동작으로 대체되거나, 또는 공진 주파수의 변경이 추가적으로 고려될 수 있음을 이해할 것이다. 핑 신호(401) 인가 및 Q 팩터 및/또는 주파수에 기반한 검출 단계를 선택 단계 및 핑 단계(selection phase & ping phase)로 명명할 수 있으며, 핑 신호(401)를 Q-핑(Q-ping)으로 명명할 수도 있다.As described above, the
비교 결과에 기반하여, 차이가 발생하면, 전자 장치(101)는 디지털 핑 신호(403)를 인가할 수 있다. 디지털 핑 신호(403)가 인가되는 동안, 전자 장치(101)는, 무선 전력 수신 장치(195)와 식별 단계 및 설정 단계(identification phase & configuration phase)에 대응하는 적어도 하나의 동작을 수행할 수 있으며, 해당 동작은 예를 들어 Qi 표준을 따를 수 있으나 제한은 없다. 상술한 바와 같이, 전자 장치(101) 및 무선 전력 수신 장치(195)는, 인-밴드 통신을 수행할 수 있다. 만약, 전자 장치(101)가, 디지털 핑 신호(403) 인가 동안에, 무선 전력 수신 장치(195)로부터의 데이터 획득에 실패(예를 들어, 복조 결과 유효한 데이터의 확인에 실패)한 경우에는, 전자 장치(101)는 이물질이 배치된 것으로 판단할 수도 있다. 식별 단계 및 설정 단계에서의 동작들이 성공적으로 완료되면, 전자 장치(101)는, 전력(404)을 인가하면서, 협상 단계(negotiation phase)에 대응하는 적어도 하나의 동작을 수행할 수 있으며, 해당 동작은 예를 들어 Qi 표준을 따를 수 있으나 제한은 없다.If a difference occurs based on the comparison result, the
전자 장치(101)는, 무선 전력 수신 장치(195)로부터 제 1 수신 전력 (received power) 패킷(RP 1)을 수신할 수 있다. 제 1 수신 전력 패킷(RP 1)의 수신에 기반하여, 전자 장치(101)는 캘리브레이션 단계(calibration phase)로 진입할 수 있다. 다만, 구현에 따라 전자 장치(101)가 캘리브레이션 단계로 진입한 이후 제 1 수신 전력 패킷을 수신할 수도 있다. 아울러, 도 4의 예시에서는, 캘리브레이션 단계가 전력 송신 단계(power transfer phase)와 상이한 것과 같이 도시되어 있지만, 이는 예시적인 것으로 캘리브레이션 단계는, 전력 송신 단계(power transfer phase)의 일부로 이해될 수도 있다.The
무선 전력 수신 장치(195)는, 캘리브레이션 단계에서 복수 개의 로드 상태들(예를 들어, 경량(light) 로드 상태, 및 중량(heavy) 로드 상태)에서의, 수신 전력의 세기에 대한 정보를 전자 장치(101)로 보고할 수 있다. 여기에서의 로드 상태들은, 무선 전력 수신 장치(195)의 로드로 입력되는 전류의 레벨(또는, 정류기 및/또는 컨버터로부터 출력되는 전류의 레벨)에 기반하여 구분될 수 있다. 로드로 입력되는 전류의 레벨이 상대적으로 작은 상태를 경량 상태로 명명할 수도 있고, 로드로 입력되는 전류의 레벨이 상대적으로 큰 상태를 중량 상태로 명명할 수도 있으나, 그 명칭은 단순히 예시적인 것이다.The
무선 전력 수신 장치(195)는, 제 1 로드 상태에서, 수신된 전력 레벨을 포함하는 제 1 수신 전력 패킷(PR 1)을 송신할 수 있다. 무선 전력 수신 장치(195)는, 수신된 전력의 레벨에 기반하여, 수신된 전력 레벨을 확인하고, 이를 포함하는 제 1 수신 전력 패킷(PR 1)을 송신, 예를 들어 변조를 수행할 수 있다. 여기에서, 수신된 전력 레벨은, 예를 들어 Qi 표준에 따른 값으로, 수신된 전력 값(received power value), 또는 예측된 수신된 전력 값(estimated received power value)일 수 있다. 수신된 전력 레벨은, 예를 들어 무선 전력 수신 장치(195)에서 측정(또는, 예측)된 전력 레벨(예를 들어 W 단위)에 대한 처리(예를 들어, Qi 표준에서 정의된 처리)를 수행한 결과로 획득될 수 있으나, 제한은 없으며, 측정(또는, 예측)된 전력 레벨 그 자체로 구현될 수도 있다.The
제 1 수신 전력 패킷(RP 1)은, 제 1 캘리브레이션 데이터 포인트를 나타내기 위한 것으로, 제 1 수신 전력 패킷(RP 1)에 포함된 수신 전력 레벨(received power level)은 전력 송신 계약(power transfer contract)에 포함된 레퍼런스 파워 레벨의 10%이하일 수도 있다. 제 1 수신 전력 패킷은, 예를 들어 "1"의 타입 값(예: 001)을 가질 수 있으며, 전자 장치(101)는 "1"의 타입 값에 기반하여 제 1 수신 전력 패킷(RP 1)이 수신됨을 확인할 수 있다.The first received
전자 장치(101)는, 전력(405)이 인가되는 동안, 무선 전력 수신 장치(195)로부터 제 2 수신 전력 패킷(RP 2)을 수신할 수 있다. 무선 전력 수신 장치(195)는, 제 2 로드 상태에서, 수신된 전력 레벨을 포함하는 제 2 수신 전력 패킷(RP 1)을 송신할 수 있다. 제 2 수신 전력 패킷(RP 2)은, 제 2 캘리브레이션 데이터 포인트(또는, 이후의 데이터 포인트)를 나타내기 위한 것일 수 있으며, 전력 송신 계약에 포함된 레퍼런스 파워 레벨에 가까운 값일 수도 있다. 제 2 수신 전력 패킷은, 예를 들어 "2"의 타입 값을 가질 수 있으며, 전자 장치(101)는 "2"의 타입 값(예: 010)에 기반하여 제 2 수신 전력 패킷(RP 1)이 수신됨을 확인할 수 있다.The
전자 장치(101)는, 2개의 캘리브레이션 데이터 포인트의 값들에 기반하여, 파라미터를 산출할 수 있다. 한편, 2개의 캘리브레이션 데이터 포인트는 단순히 예시적인 것으로, 그 개수에는 제한이 없다. 예를 들어, 전자 장치(101)는, 제 1 로드 상태에서의 송신 전력 레벨() 및 수신 전력 레벨()을 확인할 수 있으며, 제 2 로드 상태(예: 연결된 로드 상태)에서의 송신 전력 레벨() 및 수신 전력 레벨()을 확인할 수 있다. 전자 장치(101)는, 인터폴레이션에 기반한 기울기(a)를 수학식 3과 같이 확인할 수 있으며, 절편(b)을 수학식 4와 같이 확인할 수 있다.The
전자 장치(101)는, 파라미터들을 확인한 이후, 전력 송신 단계(power transfer phase)로 진입하여, 충전을 위한 전력(406)을 인가할 수 있다. 무선 전력 수신 장치(195)는, 전력 송신 단계에서 송신된 전력(Ptransmitted)을 확인할 수 있으며, 이를 수학식 5와 같이 보정하여 보정된 전력(Pcalibrated)할 수 있다.After checking the parameters, the
아울러, 전자 장치(101)는, 손실 전력(Ploss)을 수학식 6에 기반하여 확인할 수 있다.In addition, the
수학식 6의 Preceived는 전력 수신 장치(195)로부터 인-밴드 통신에 기반하여 확인된 무선 전력 수신 장치(195)에서의 수신 파워 레벨일 수 있다. 전자 장치(101)는, 손실 전력(Ploss)이 미리 설정된 기준값 이상인지 여부에 기반하여, 전력 송신 중 이물질이 배치되는지 여부를 판단할 수 있다. 또는, 전자 장치(101)는, 수신 전력의 세기에 대한 보정을 수행하여 수행 결과를 이용한 손실 전력을 산출할 수도 있다. 하지만, 파라미터들(예: a, b)의 유효성이 담보되어야, 이물질의 배치의 정확한 검출이 담보될 수 있다. 만약, 캘리브레이션 단계에 진입하기 이전 또는 캘리브레이션 단계 도중에 이물질이 배치되는 경우, 파라미터들(예: a, b)이 부정확한 값일 수 있다. 이에 따라, 캘리브레이션에 따라 산출된 적어도 하나의 파라미터에 대한 검증이 요구된다. P received in
한편, 상술한 2개의 캘리브레이션 데이터에 기반한 선형 모델을 위한 파라미터(예: a, b)를 획득하는 방식은 단순히 예시적인 것이다. 다른 실시예에 따른 전자 장치(101)는, 복수 개의 캘리브레이션 데이터들을 처리(예: 인터폴레이션)하여, 캘리브레이션 커브를 확인할 수도 있다. 전자 장치(101)는, 캘리브레이션 커브로부터 유효 이물질 검출 임계치(effective FOD threshold)를 확인할 수도 있다. 전자 장치(101)는, 송신한 전력의 레벨로부터, 수신 전력 레벨을 감산한 결과가, 유효 이물질 검출 임계치보다 큰 지 여부에 기반하여 이물질을 검출할 수도 있다.Meanwhile, a method of acquiring parameters (eg, a, b) for a linear model based on the above-described two calibration data is merely exemplary. The
전자 장치(101)는, 전력 송신 단계(power transfer phase)에서 충전을 위한 전력(406)과, 수신된 전력 패킷(예를 들어, RP 0)에 포함된 수신된 전력 레벨과, 적어도 하나의 파라미터에 기반하여, 전력 송신 단계 중의 이물질 배치 여부를 판단할 수 있다. 하지만, 예를 들어 캘리브레이션 단계 이전 또는 중간에 이물질이 배치되는 경우에는, 적어도 하나의 파라미터가 유효하지 않을 수 있으며, 이는 이물질 배치 검출 정확도의 저하를 야기할 수 있다.The
도 5a는 다양한 실시예에 따른 전자 장치의 동작 방법을 설명하기 위한 흐름도를 도시한다. 도 5a의 실시예는 도 5b를 참조하여 설명하도록 한다. 도 5b는 다양한 실시예에 따른 전자 장치의 송신된 전력의 레벨을 나타내는 그래프이다.5A is a flowchart illustrating a method of operating an electronic device according to various embodiments of the present disclosure; The embodiment of FIG. 5A will be described with reference to FIG. 5B. 5B is a graph illustrating a level of transmitted power of an electronic device according to various embodiments of the present disclosure;
다양한 실시예에 따라서, 전자 장치(101)(예: 제어 회로(312))는, 501 동작에서, 제 1 전력(예를 들어, 도 5b의 전력(531))을 코일(예: 송신 코일(311L)로 인가하도록 제어할 수 있다. 예를 들어, 전자 장치(101)는, 협상 단계에서 제 1 전력(531)을 인가할 수 있으나, 그 송신 시점에는 제한이 없다. 예를 들어, 전자 장치(101)는, 재-캘리브레이션(re-calibration) 단계에서도, 후술하는 동작들을 수행할 수도 있으며, 이 경우 전자 장치(101)는, 재-캘리브레이션 단계 이전의 단계로서 가능한 단계에서, 지정된 제 1 전력(531)을 인가할 수 있다. 예를 들면, 제 1 전력(531)은, 하나의 예시에서는 협상 단계에 따른 전력일 수 있으나, 그 밖의 다양한 단계에 따른 전력일 수도 있다.According to various embodiments, in
다양한 실시예에 따라서, 전자 장치(101)는, 503 동작에서, 제 1 전력(531)의 인가를 중단하고, 제 1 기간(예를 들어, 도 5b의 Δt1) 동안 코일에 전력이 인가되지 않도록 제어할 수 있다. 하나의 예에서, 전자 장치(101)는, 무선 전력 수신 장치(195)로부터의 요청에 기반하여, 제 1 기간(Δt1) 동안 코일에 전력이 인가되지 않도록 제어할 수 있다. 예를 들어, 무선 전력 수신 장치(195)는, 무선 전력 수신 장치(195)의 상태(예를 들어, 무선 전력 수신 장치(195)의 정류기의 출력단의 전압 및/또는 로드 전류)에 기반하여, 제 1 기간(Δt1)을 결정할 수 있으며, 이에 대한 상세한 내용은 후술하도록 한다. 무선 전력 수신 장치(195)는, 결정된 제 1 기간(Δt1)을 포함하는 데이터 패킷을 송신할 수 있다. 전자 장치(101)는, 무선 전력 수신 장치(195)로부터 요청된 제 1 기간(Δt1) 동안 전력의 인가를 중단할 수 있다. 여기에서의 전력의 인가의 중단은, 예를 들어 전력 어댑터(311a) 및/또는 전력 생성 회로(311b)의 제어에 기반하여 수행될 수 있다. 또 다른 예에서, 전자 장치(101)는, 제 1 기간(Δt1)을 결정할 수도 있다. 예를 들어, 전자 장치(101)는, 미리 지정된 제 1 기간(Δt1) 동안 전력의 인가를 중단할 수 있다. 예를 들어, 전자 장치(101)는, 무선 전력 수신 장치(195)로부터 수신된 전력의 레벨 및/또는 로드 전류의 레벨에 기반하여, 제 1 기간(Δt1)을 결정할 수 도 있으며, 그 결정 방식에는 제한이 없다.According to various embodiments, in
다양한 실시예에 따라서, 전자 장치(101)는 505 동작에서, 제 1 기간(Δt1) 동안의 제 1 Q-팩터를 확인할 수 있다. 도 5b에서와 같이, 제 1 전력(531)의 인가 중단에 의하여, 전력(532)은 감쇄하는 파형을 가질 수 있다. 한편, 도 5b는 설명의 편의를 위한 것으로, 전력(532)은, 예를 들어 envelope에 대응할 수 있음을 당업자는 이해할 것이다. 전자 장치(101)는, 전력(532)의 envelope의 감쇄에 기반하여 제 1 기간(Δt1) 동안의 제 1 Q-팩터를 확인할 수 있다. 예를 들어, 전자 장치(101)는, 수학식 2에 기반하여, 제 1 기간(Δt1) 동안의 복수 개의 데이터들(예를 들어, 복수 개의 전압)에 기반하여 제 1 Q-팩터를 확인할 수 있으나, 그 확인 방식에는 제한이 없다. 다양한 실시예에서, 전자 장치(101)는, 제 1 기간(Δt1) 동안의 복수 개의 엽(lobe)들 중 최초의 지정된 개수의 엽은 제외하고, 나머지 엽들에 기반하여 제 1 Q-팩터를 확인하도록 설정될 수도 있으나, 이는 예시적인 것으로 제 1 Q-팩터를 확인하기 위한 데이터에는 제한이 없다.According to various embodiments, in
다양한 실시예에 따라서, 제 1 기간(Δt1) 이후, 전자 장치(101)는, 507 동작에서, 캘리브레이션 동작을 위한 적어도 하나의 전력(예: 도 5b의 533)을 인가할 수 있다. 도 5b에서는 적어도 하나의 전력(533)이 일정한 레벨을 가지는 것과 같이 도시되어 있지만, 이는 예시적인 것으로, 캘리브레이션 중 전력(533)의 레벨이 변경될 수 있다는 점을 당업자는 이해할 것이다. 509 동작에서, 전자 장치(101)는, 캘리브레이션 동작에 따른 마지막 전력의 인가를 중단하고, 제 2 기간(예를 들어, 도 5b의 Δt2) 동안 코일에 전력이 인가되지 않도록 제어할 수 있다. 도 5b에서는, 캘리브레이션 동작을 위한 적어도 하나의 전력(533)이 일정한 레벨과 같이 도시되었지만, 만약 전력(533)의 레벨이 변경되는 경우에는, 시간의 순서 상 마지막의 전력이 인가된 이후, 전자 장치(101)가 제 2 기간(Δt2) 동안 전력의 인가를 중단할 수 있다. 제 1 기간(Δt1)의 전력의 인가 중단과 유사하게, 전자 장치(101)는, 제 2 기간(Δt2)을 포함하는 데이터 패킷의 수신에 기반하여 제 2 기간(Δt2) 동안 전력의 인가를 중단할 수 있다. 또는, 전자 장치(101)는, 제 2 기간(Δt2)을 스스로 확인할 수도 있다. 제 2 기간(Δt2)은, 제 1 기간(Δt1)과 상이할 수 있으나, 동일하게 설정될 수도 있다.According to various embodiments, after the first period Δt1 , in
다양한 실시예에 따라서, 전자 장치(101)는, 511 동작에서, 제 2 기간(Δt2) 동안의 제 2 Q-팩터를 확인할 수 있다. 제 2 Q-팩터의 확인 방식은, 제 1 Q-팩터의 확인 방식과 동일할 수도 있다. 513 동작에서, 전자 장치(101)는, 제 1 Q-팩터 및 제 2 Q-팩터에 기반하여, 캘리브레이션 동작에 기반하여 확인된 파라미터의 유효성을 확인할 수 있다. 예를 들어, 전자 장치(101)는, 캘리브레이션 동작에 기반하여, 보정을 위한 파라미터(예를 들어, a, b), 및/또는 유효 이물질 검출 임계치(effective FOD threshold)와 같은 적어도 하나의 파라미터를 확인할 수 있다.According to various embodiments, in
하나의 예에서, 전자 장치(101)는, 제 1 Q-팩터 및 제 2 Q-팩터 사이의 비교 결과에 기반하여, 파라미터의 유효성을 판단할 수 있다. 만약, 캘리브레이션이 수행되는 동안, 이물질이 전자 장치(101) 상에 배치된다면, 제 1 Q-팩터 및 제 2 Q-팩터 사이의 차이가 임계 차이 이상으로 확인될 수 있다. 상술한 바와 같이, 이물질의 배치는 Q-팩터에 영향을 미치며, 이에 따라 제 2 Q-팩터가 제 1 Q-팩터에 비하여 변경될 수 있다. 전자 장치(101)는, 차이가 임계 차이 이상인 것에 기반하여, 파라미터가 유효하지 않은 것으로 판단할 수 있다. 전자 장치(101)는, 추가적으로 이물질이 배치된 것으로 판단할 수도 있다. 차이가 임계 차이 미만인 경우에는, 전자 장치(101)는, 파라미터가 유효한 것으로 판단할 수 있다.In one example, the
다른 예에서, 전자 장치(101)는, 최초 무선 전력 수신 장치(195)가 배치된 경우 Q-핑 신호(예를 들어, 핑 신호(401))에 기반하여 측정된 Q-팩터를 레퍼런스로서 저장할 수 있다. 전자 장치(101)는, 레퍼런스와 제 1 Q-팩터 사이의 비교 결과 및/또는 레퍼런스와 제 2 Q-팩터 사이의 비교 결과에 기반하여, 파라미터의 유효성을 확인할 수 있다. 예를 들어, 전자 장치(101)가 무선 전력 수신 장치(195)의 배치를 검출 한 이후부터 제 1 전력(531)의 인가가 중단되기 이전 사이에 이물질이 배치된다면, 레퍼런스 및 제 1 Q-팩터의 차이가 임계 차이 이상일 수 있다. 예를 들어, 캘리브레이션이 수행되는 동안에 이물질이 배치된다면, 레퍼런스 및 제 2 Q-팩터의 차이가 임계 차이 이상일 수 있다. 전자 장치(101)는, 적어도 하나의 비교 결과에 기반하여, 이물질이 배치되는 것으로 판단되면 파라미터가 유효하지 않은 것으로 판단할 수도 있다.In another example, the
상술한 바에 따라서, 유효성이 담보되지 않은 파라미터가 폐기될 수 있으며, 전력 송신 단계(power transfer phase)에서의 이물질 검출 정확도의 저하가 방지될 수 있다.According to the above, the parameter whose validity is not guaranteed can be discarded, and the deterioration of the foreign material detection accuracy in the power transfer phase can be prevented.
도 6은 다양한 실시예에 따른 전자 장치의 동작 방법을 설명하기 위한 흐름도를 도시한다. 이미 상세하게 전술하였던 동작에 대하여서는 그 설명을 간명하게 하도록 한다.6 is a flowchart illustrating a method of operating an electronic device according to various embodiments of the present disclosure; For the operation that has already been described in detail, the description will be simplified.
다양한 실시예에 따라서, 전자 장치(101)(예: 제어 회로(312))는, 601 동작에서, 제 1 Q-팩터를 확인할 수 있다. 예를 들어, 전자 장치(101)는, 기존에 인가 중이던 전력의 인가를 중단하고, 제 1 Q-팩터를 확인할 수 있다. 603 동작에서, 전자 장치(101)는, 캘리브레이션 동작 수행할 수 있다. 605 동작에서, 전자 장치(101)는, 제 2 Q-팩터를 확인할 수 있다. 예를 들어, 전자 장치(101)는 캘리브레이션 동작과 연관된 적어도 하나의 전력 중 시간적으로 마지막 전력을 인가하던 상태에서, 마지막 전력의 인가를 중단하고 제 2 Q-팩터를 확인할 수 있다. 전자 장치(101)는, 607 동작에서, 제 1 Q-팩터 및 제 2 Q-팩터에 기반하여, 캘리브레이션 동작에 기반하여 확인된 파라미터가 유효한지 여부를 판단할 수 있다. 예를 들어, 전자 장치(101)는, 제 1 Q-팩터 및 제 2 Q-팩터의 비교 결과에 기반하여, 확인된 파라미터가 유효한지 여부를 판단할 수 있다. 전자 장치(101)는, 제 1 Q-팩터 및 제 2 Q-팩터 사이의 차이가 임계 차이 이상인 경우에, 확인된 파라미터가 유효하지 않은 것으로 판단할 수 있다. 전자 장치(101)는, 제 1 Q-팩터 및 제 2 Q-팩터 사이의 차이가 임계 차이 미만인 경우에, 확인된 파라미터가 유효한 것으로 판단할 수 있다. 예를 들어, 전자 장치(101)는, 제 1 Q-팩터 및 제 2 Q-팩터와, 레퍼런스와의 비교 결과에 기반하여, 파라미터가 유효한 지 여부를 판단할 수도 있다.According to various embodiments, the electronic device 101 (eg, the control circuit 312 ) may identify the first Q-factor in
다양한 실시예에 따라서, 캘리브레이션 동작에 기반하여 확인된 파라미터가 유효한 것으로 판단되면(607-예), 전자 장치(101)는 609 동작에서, 확인된 파라미터에 기반하여, 전력 송신 동작 중의 이물질을 검출할 수 있다. 예를 들어, 전자 장치(101)가, 송신된 전력의 레벨 또는 수신된 전력의 레벨의 보정을 위한 파라미터(예: a, b)를 확인한 경우에는, 전자 장치(101)는, 송신된 전력의 레벨 또는 수신된 전력의 레벨 중 어느 하나를 파라미터에 기반하여 보정할 수 있다. 전자 장치(101)는, 보정된 레벨 및 나머지 레벨의 차이에 기반하여, 이물질이 배치된 지 여부를 판단할 수 있다. 예를 들어, 전자 장치(101)가. 유효 이물질 검출 임계치(effective FOD threshold)를 캘리브레이션 결과 확인한 경우, 전자 장치(101)는 송신된 전력의 레벨 및 수신된 전력의 레벨의 차이가 유효 이물질 검출 임계치 이상인지 여부에 기반하여 이물질이 배치된 지 여부를 판단할 수도 있다.According to various embodiments, if it is determined that the parameter checked based on the calibration operation is valid (607-Yes), the
다양한 실시예에 따라서, 캘리브레이션 동작에 기반하여 확인된 파라미터가 유효하지 않은 것으로 판단되면(607-아니오), 전자 장치(101)는 611 동작에서, 이물질이 검출된 것으로 판단할 수 있다. 전자 장치(101)는, 이물질 검출에 대응하는 동작을 수행할 수 있다. 아울러, 전자 장치(101)는, 캘리브레이션 동작에 기반하여 확인된 파라미터를 폐기하고, 추후 다시 캘리브레이션 동작을 수행할 수 있다. 예를 들어, 전자 장치(101)는, 이물질이 회수된 것으로 판단된 이후에, 다시 캘리브레이션 동작을 수행할 수도 있다.According to various embodiments, if it is determined that the parameter checked based on the calibration operation is invalid ( 607 - NO), the
도 7은 다양한 실시예에 따른 전자 장치의 송신된 전력의 레벨을 나타내는 그래프이다.7 is a graph illustrating a level of transmitted power of an electronic device according to various embodiments of the present disclosure;
다양한 실시예에 따라서, 전자 장치(101)(예: 제어 회로(312))는, 송신 코일(311L)에 주기적으로 핑 신호(701)를 듀레이션(Δt1) 동안 인가할 수 있다. 핑 신호(701) 및 다른 전력들의 인가는, 예를 들어 전력 어댑터(311a) 및/또는 전력 생성 회로(311b)의 제어에 기반하여 수행될 수 있다. 핑 신호(701)의 인가가 종료되면, 전자 장치(101)의 송신 코일(311L)의 전력(702)은 감쇄할 수 있다. 전력(702)의 감쇄에 기반하여, 전자 장치(101)는 Q-팩터를 확인할 수 있다. 전자 장치(101)는, 이물질이 배치되지 않은 경우의 Q-팩터인 레퍼런스와, 확인된 Q-팩터의 비교에 기반하여, 무선 전력 수신 장치(195) 또는 이물질의 배치를 판단할 수 있다.According to various embodiments, the electronic device 101 (eg, the control circuit 312 ) may periodically apply the
비교 결과에 기반하여, 차이가 발생하면, 전자 장치(101)는 디지털 핑 신호(703)를 인가할 수 있다. 디지털 핑 신호(703)가 인가되는 동안, 전자 장치(101)는, 무선 전력 수신 장치(195)와 식별 단계 및 설정 단계(identification phase & configuration phase)에 대응하는 적어도 하나의 동작을 수행할 수 있다. 식별 단계 및 설정 단계에서의 동작들이 성공적으로 완료되면, 전자 장치(101)는, 전력(704)을 인가하면서, 협상 단계(negotiation phase)에 대응하는 적어도 하나의 동작을 수행할 수 있다.If a difference occurs based on the comparison result, the
다양한 실시예에 따라서, 무선 전력 수신 장치(195)는, 제 1 로드 상태(예: min load power)로 진입(또는, 유지)할 수 있다. 무선 전력 수신 장치(195)는, 제 1 로드 상태에서, 수신된 전력 레벨을 확인할 수 있다. 무선 전력 수신 장치(195)는, 전력 인가 중단 기간(예를 들어, Δt2)을 확인할 수 있다. 무선 전력 수신 장치(195)의 전력 인가 중단 기간(예를 들어, Δt2)의 확인에 대하여서는 후술하도록 한다. 무선 전력 수신 장치(195)는, 수신된 전력 레벨 및 전력 인가 중단 기간(예를 들어, Δt2)을 포함하는 제 1 수신 전력 패킷(PR 1)을 전자 장치(101)로 송신할 수 있다.According to various embodiments, the
다양한 실시예에 따라서, 전자 장치(101)는, 제 1 수신 전력 패킷(PR 1)을 수신할 수 있다. 전자 장치(101)는, 제 1 수신 전력 패킷(PR 1)에 포함된 데이터 및 전력(704)의 레벨을 제 1 캘리브레이션 데이터 포인트로서 확인 및 저장할 수 있다. 만약, 제 1 캘리브레이션 데이터 포인트를 수용(accept)하면, 전자 장치(101)는 ACK(acknowledgement) 패킷을 전자 장치(101)에 송신할 수 있다.According to various embodiments, the
다양한 실시예에 따라서, 전자 장치(101)는, 제 1 수신 전력 패킷(PR 1)에 포함된 전력 인가 중단 기간(예를 들어, Δt2) 동안 전력의 인가를 중단할 수 있다. 전력(704)의 인가가 종료되면, 전자 장치(101)의 송신 코일(311L)의 전력(705)은 감쇄할 수 있다. 전력(705)의 감쇄에 기반하여, 전자 장치(101)는 제 1 Q-팩터를 확인할 수 있다.According to various embodiments, the
다양한 실시예에 따라서, 무선 전력 수신 장치(195)는, 제 2 로드 상태(예: medium load power)로 진입할 수 있다. 무선 전력 수신 장치(195)가 제 2 로드 상태로 진입한 동안, 전자 장치(101)의 송신 코일(311L)에는 전력(706)이 인가될 수 있다. 예를 들어, 무선 전력 수신 장치(195)의 로드 상태가 변경됨에 따라서, 전자 장치(101)의 송신 코일(311L)에 인가되는 전력(706)의 레벨이 변경될 수도 있으며, 및/또는 전자 장치(101)는 전력(706)의 레벨을 기존의 전력(704)과 비교하여 변경할 수도 있다. 무선 전력 수신 장치(195)는, 제 2 로드 상태에서, 수신된 전력 레벨을 확인할 수 있다. 무선 전력 수신 장치(195)는, 전력 인가 중단 기간(예를 들어, Δt3)을 확인할 수 있다. 무선 전력 수신 장치(195)는, 수신된 전력 레벨 및 전력 인가 중단 기간(예를 들어, Δt3)을 포함하는 제 1 수신 전력 패킷(PR 1)을 전자 장치(101)로 송신할 수 있다. 한편, 데이터 패킷의 타입에는 제한이 없으며, 제 2 수신 전력 패킷(PR 2)로 대체될 수도 있다.According to various embodiments, the
다양한 실시예에 따라서, 전자 장치(101)는, 제 1 수신 전력 패킷(PR 1)을 수신할 수 있다. 전자 장치(101)는, 제 1 수신 전력 패킷(PR 1)에 포함된 데이터 및 전력(706)의 레벨을 제 2 캘리브레이션 데이터 포인트로서 확인 및 저장할 수 있다.According to various embodiments, the
다양한 실시예에 따라서, 전자 장치(101)는, 제 1 수신 전력 패킷(PR 1)에 포함된 전력 인가 중단 기간(예를 들어, Δt3) 동안 전력(706)의 인가를 중단할 수 있다. 전력(706)의 인가가 종료되면, 전자 장치(101)의 송신 코일(311L)의 전력(707)은 감쇄할 수 있다. 전력(707)의 감쇄에 기반하여, 전자 장치(101)는 제 2 Q-팩터를 확인할 수 있다. 한편, 다른 실시예에서는, 캘리브레이션의 시작 지점 및 종료 지점을 제외한 나머지 지점에서는 Q-팩터 확인이 선택적(optional)일 수 있다. 무선 전력 수신 장치(195)는, 전력 인가 중단을 전자 장치(101)에 요청하지 않을 수도 있다. 이 경우, 무선 전력 수신 장치(195)가 송신하는 데이터 패킷에는, 수신된 전력 레벨만이 포함될 수도 있거나, 또는 전력 인가 중단 기간이 0으로 설정될 수도 있다.According to various embodiments, the
다양한 실시예에 따라서, 무선 전력 수신 장치(195)는, 제 3 로드 상태(예: max load power)로 진입할 수 있다. 무선 전력 수신 장치(195)가 제 3 로드 상태로 진입한 동안, 전자 장치(101)의 송신 코일(311L)에는 전력(708)이 인가될 수 있다. 예를 들어, 무선 전력 수신 장치(195)의 로드 상태가 변경됨에 따라서, 전자 장치(101)의 송신 코일(311L)에 인가되는 전력(708)의 레벨이 변경될 수도 있으며, 및/또는 전자 장치(101)는 전력(708)의 레벨을 기존의 전력(706)과 비교하여 변경할 수도 있다. 무선 전력 수신 장치(195)는, 제 3 로드 상태에서, 수신된 전력 레벨을 확인할 수 있다. 무선 전력 수신 장치(195)는, 전력 인가 중단 기간(예를 들어, Δt4)을 확인할 수 있다. 무선 전력 수신 장치(195)는, 수신된 전력 레벨 및 전력 인가 중단 기간(예를 들어, Δt4)을 포함하는 제 2 수신 전력 패킷(PR 2)을 전자 장치(101)로 송신할 수 있다. 한편, 데이터 패킷의 타입에는 제한이 없으며, 제 1 수신 전력 패킷(PR 1)로 대체될 수도 있다.According to various embodiments, the
다양한 실시예에 따라서, 전자 장치(101)는, 제 2 수신 전력 패킷(PR 2)을 수신할 수 있다. 전자 장치(101)는, 제 2 수신 전력 패킷(PR 2)에 포함된 데이터 및 전력(708)의 레벨을 제 3 캘리브레이션 데이터 포인트로서 확인 및 저장할 수 있다.According to various embodiments, the
다양한 실시예에 따라서, 전자 장치(101)는, 제 2 수신 전력 패킷(PR 2)에 포함된 전력 인가 중단 기간(예를 들어, Δt4) 동안 전력(708)의 인가를 중단할 수 있다. 전력(708)의 인가가 종료되면, 전자 장치(101)의 송신 코일(311L)의 전력(709)은 감쇄할 수 있다. 전력(709)의 감쇄에 기반하여, 전자 장치(101)는 제 3 Q-팩터를 확인할 수 있다.According to various embodiments, the
다양한 실시예에 따라서, 전자 장치(101)는, 제 1 캘리브레이션 데이터 포인트, 제 2 캘리브레이션 데이터 포인트, 제 3 캘리브레이션 데이터 포인트에 기반하여, 적어도 하나의 파라미터를 확인할 수 있다. 전자 장치(101)는, 제 1 Q-팩터, 제 2 Q-팩터, 및 제 3 Q-팩터에 기반하여, 적어도 하나의 파라미터가 유효한 지 여부를 판단할 수 있다. 적어도 하나의 파라미터가 유효한 것으로 판단되면, 전자 장치(101)는 충전을 위한 전력(710)을 송신하는 동안, 적어도 하나의 파라미터를 이용하여 이물질 검출 동작을 수행할 수 있다. 전자 장치(101)는, 송신되는 전력(710), 통신을 통하여 확인된 데이터 패킷(예: RP 0)에 포함된 수신된 전력의 레벨과, 적어도 파라미터에 기반하여, 이물질이 배치되는지 여부를 판단할 수 있다.According to various embodiments, the
다양한 실시예에 따라서, 전자 장치(101)는, 이물질이 배치되지 않은 것으로 판단되면, RP 1 패킷 또는 RP 2 패킷에 ACK 패킷을 송신할 수 있다. 만약, 이물질의 배치가 판단되면, 전자 장치(101)는 NAK(negative acknowledgment) 패킷을 송신할 수도 있다. 만약, 판단되지 않은 경우에는, 전자 장치(101)는 ND 응답을 송신할 수도 있다.According to various embodiments, when it is determined that the foreign material is not disposed, the
도 8은 다양한 실시예에 따른 전자 장치 및 무선 전력 수신 장치의 동작을 설명하기 위한 도면이다.8 is a diagram for explaining operations of an electronic device and an apparatus for receiving wireless power according to various embodiments of the present disclosure;
다양한 실시예에 따라서, 전자 장치(101)(예: 제어 회로(312))는, 801 동작에서, 제 1 전력을 송신 코일(311L)에 인가할 수 있다. 803 동작에서, 무선 전력 수신 장치(195)(예: 프로세서(322))는, 제 1 로드 상태에서 제 1 수신 전력 레벨을 확인할 수 있다. 805 동작에서, 무선 전력 수신 장치(195)는, 제 1 수신 전력 레벨 및 제 1 기간을 포함하는 제 1 패킷을 송신할 수 있다. 한편, 수신 전력 레벨 및 전력 중단을 요청하는 기간이 하나의 데이터 패킷에 포함되는 것은 예시적인 것으로, 다른 실시예에서는, 무선 전력 수신 장치(195)는, 상이한 두 개의 패킷에 각 정보들을 포함시켜 송신할 수도 있다. 도 8에서의 송신 동작은, 무선 전력 수신 장치(195)의 제 1 패킷에 대응하는 변조의 수행일 수 있다. 807 동작에서, 전자 장치(101)는, 제 1 기간 동안 전력 송신을 중단하고, 중단된 제 1 기간 동안의 송신 코일(311L)에서의 감쇄를 분석하여 제 1 Q-팩터를 확인할 수 있다.According to various embodiments, the electronic device 101 (eg, the control circuit 312 ) may apply the first power to the
다양한 실시예에 따라서, 전자 장치(101)(예: 제어 회로(312))는, 809 동작에서, 제 N 전력을 송신 코일(311L)에 인가할 수 있다. 제 N 전력은, 제 1 전력과 상이하거나, 또는 동일할 수도 있다. 811 동작에서, 무선 전력 수신 장치(195)(예: 프로세서(322))는, 제 N 로드 상태에서 제 N 수신 전력 레벨을 확인할 수 있다. 813 동작에서, 무선 전력 수신 장치(195)는, 제 N 수신 전력 레벨 및 제 N 기간을 포함하는 제 N 패킷을 송신할 수 있다. 815 동작에서, 전자 장치(101)는, 제 N 기간 동안 전력 송신을 중단하고, 중단된 제 N 기간 동안의 송신 코일(311L)에서의 감쇄를 분석하여 제 N Q-팩터를 확인할 수 있다. 여기에서, N은 2 이상의 자연수 일수 있다. N이 3 이상인 경우에는, 전자 장치(101) 및 무선 전력 수신 장치(195)는, N-2번의 미도시된 수신 전력 레벨 확인, 패킷의 송신, 전력 송신의 중단 및 Q-팩터 확인을 더 수행할 수 있다. 한편, 첫번째 동작, 및 마지막 동작을 제외한 중간 동작들에서는, 전력 송신의 중단 및 Q- 팩터의 확인은 생략될 수 있다.According to various embodiments, the electronic device 101 (eg, the control circuit 312 ) may apply the Nth power to the
다양한 실시예에 따라서, 전자 장치(101)는, 817 동작에서, 제 1 내지 제 N 전력과, 제 1 내지 제 N 수신 전력 레벨에 기반하여, 적어도 하나의 파라미터를 확인할 수 있다. 819 동작에서, 전자 장치(101)는, 제 1 내지 제 N Q-팩터에 기반하여, 적어도 하나의 파라미터의 유효성을 검증할 수 있다.According to various embodiments, in
도 9a는 다양한 실시예와의 비교를 위한 비교예에 따른 데이터 패킷의 구조를 도시한다.9A shows the structure of a data packet according to a comparative example for comparison with various embodiments.
비교예에 따른 무선 전력 수신 장치(195)는, 도 9a의 구조를 가지는 RP 1 패킷을 전자 장치(101)로 송신할 수 있다. RP 1 패킷은, 예를 들어 Qi 표준에서 정의되는 24-비트 수신된 파워 패킷(24-bit received power packet)에 기반할 수 있다. RP 1 패킷은 리저브드(reserved) 필드(901), 모드(mode) 필드(902) 및 예측된 수신된 전력 값(estimated received power value) 필드(903)를 포함할 수 있다. 예측된 수신된 전력 값(estimated received power value) 필드(903 또는 915)는, 표준의 버전에 따라 수신된 전력 값(received power value)로 명명될 수도 있다. 모드 필드(902 또는 914)에 표현되는 비트 스트링은, 수신된 전력 값에 대한 추가적인 정보를 제공할 수 있다. 예를 들어, 모드 필드(902) 내의 "1"(001)은 제 1 로드 상태를 나타내며, "2"(010)은 제 2 로드 상태를 나타낼 수 있다. 예측된 수신된 전력 값은, 무선 전력 수신 장치(195)에 의하여 측정된 수신 전력의 레벨을 처리한 값으로, 예를 들어 상술한 수신된 전력의 레벨 중 하나일 수 있으며, 캘리브레이션 데이터 포인트로서 이용될 수 있다.The
도 9b는 다양한 실시예에 따른 무선 전력 수신 장치(195)가 송신하는 수신된 전력의 패킷(RP 1)의 구조를 도시한다. 무선 전력 수신 장치(195)는, 기존의 리저브드 필드(901) 중 일부를 이용하여 슬롯 타임(913)을 데이터 패킷에 포함시킬 수 있다. 슬롯 타임(913)은, 예를 들어 0 내지 8의 값을 가질 수 있으며, 이 중 0은 전력 인가 중단 기간이 0임을 나타낼 수 있다. 전자 장치(101)는, 슬롯 타임(913)이 0인 경우에는, 전력 중단 및 Q-팩터 측정을 스킵할 수 있다. 각각의 값들은, 전력 인가 중단 기간에 매칭될 수 있다. 예를 들어, 1은 80 μs, 2는 100 μs, 3은 120 μs 등을 나타낼 수 있으나, 이는 예시적인 것으로 제한은 없다. 전자 장치(101)는, 슬롯 타임(913)이 0이 아닌 값인 경우에는, 대응하는 기간 동안 전력의 인가를 중단 및 Q-팩터 측정을 수행할 수 있다.9B illustrates a structure of a
무선 전력 수신 장치(195)는, 기존의 리저브드 필드(901) 중 일부를 이용하여 세틀링 타임(settling time)(912)을 데이터 패킷에 포함시킬 수 있다. 세틀링 타임(912)은, 연속하여 복수의 파워 슬롯들(즉, 전력 인가의 중단 및 Q-팩터 측정)을 이용하는 경우, 파워 슬롯 사이의 간격(interval)을 의미할 수 있다. 무선 전력 수신 장치(195)의 정류기의 출력단의 전압(Vrect)은 파워 슬롯에 의하여 강하된 이후, 다시 회복에 시간이 요구될 수 있다. 세틀링 타임(912)이 충분하지 않은 경우, 정류기의 출력단의 전압(Vrect)이 회복하지 못하고 강하하여 인-밴드 통신이 끊길 수 있다. 예를 들어, 세틀링 타임(912)은 0 내지 3의 값을 가질 수 있으며, 이 중 0은 세틀링 타임이 0임을 나타낼 수 있다. 각각의 값들은, 세틀링 타임들에 매칭될 수 있다. 예를 들어, 1은 50 ms, 2는 100ms, 3은 150 ms 등을 나타낼 수 있으나, 이는 예시적인 것으로 제한은 없다. 전자 장치(101)는, 세틀링 타임(912)이 0이 아닌 값인 경우에는, 대응하는 기간 동안, 전력 인가 중단을 대기할 수 있다. 예를 들어, 전자 장치(101)는, 임의의 PR/x 패킷(예: PR 1, 또는 PR 2)을 수신한 이후, 포함된 세틀링 타임(912) 이후에 응답(예를 들어, ACK 패킷)을 송신할 수 있다.The
다양한 실시예에 따라서, 무선 전력 수신 장치(195)는, 전자 장치(101)의 버전 정보(예: ID 패킷 버전)를 확인할 수 있다. 전자 장치(101)의 버전 정보에 기반하여 파워 슬롯의 기능을 지원하지 않는 경우에는, 전자 장치(101)는 세틀링 타임(912) 및 슬롯 타임(913)을 0으로 설정하여 데이터 패킷을 송신할 수도 있다.According to various embodiments, the
도 10은 다양한 실시예에 따른 무선 전력 수신 장치의 동작 방법을 설명하기 위한 흐름도를 도시한다. 도 10은, 도 11a 내지 11f를 참조하여 설명하도록 한다. 도 11a 내지 11f는 다양한 실시예들에 따른 수신 피크 전압 및 정류기의 출력 전압을 도시한다.10 is a flowchart illustrating an operating method of an apparatus for receiving power wirelessly according to various embodiments of the present disclosure. FIG. 10 will be described with reference to FIGS. 11A to 11F. 11A-11F illustrate a receive peak voltage and an output voltage of a rectifier in accordance with various embodiments.
다양한 실시예에 따라서, 무선 전력 수신 장치(195)(예를 들어, 프로세서(322))는, 1001 동작에서, 수신 전력의 레벨 및/또는 로드 전류의 레벨을 확인할 수 있다. 무선 전력 수신 장치(195)는, 예를 들어 수신 전력의 레벨로서, 정류기의 출력단의 전압(Vrect)을 확인할 수 있으나, 수신 전력의 레벨이 정의되는 위치에는 제한이 없다. 무선 전력 수신 장치(195)는, 예를 들어 로드 전류로서, 로드(예를 들어, 차저(charger) 또는 PMIC(power management integrated circuit))로 입력되는 전류를 확인할 수 있으나, 로드 전류가 정의되는 위치에는 제한이 없다.According to various embodiments, the wireless power receiving apparatus 195 (eg, the processor 322 ) may check the level of the received power and/or the level of the load current in
다양한 실시예에 따라서, 무선 전력 수신 장치(195)는, 1003 동작에서, 무선 전력 수신 장치(195)는, 수신 전력의 레벨 및/또는 로드 전류의 레벨에 기반하여 전력 송신 중단 기간을 확인할 수 있다. 도 11a를 참조하면, 제 1 로드 상태에서, 무선 전력 수신 장치(195)의 로드 전류는 예를 들어 200mA이며, 정류기의 출력 전압의 최초 값은 5.5V일 수 있다. 전자 장치(101)에서 전력 제공이 중단되면, 수신 피크 전압(1101)이 강하하면서, 정류기의 출력 전압(1102)도 강하함을 확인할 수 있다. 하지만, 정류기의 출력 전압(1102)은, 160μs 이후에도 임계 전압(UVLO, under voltage lock out)(예: 3.3V)(1103) 이상일 수 있다. 임계 전압(1103)은, 예를 들어 인-밴드 통신이 끊기지 않도록 설정된 값일 수 있다. 하지만, 도 11b를 참조하면, 제 2 로드 상태에서, 무선 전력 수신 장치(195)의 로드 전류는 예를 들어 350mA이며, 정류기의 출력 전압의 최초 값은 5.2V일 수 있다. 전자 장치(101)에서 전력 제공이 중단되면, 수신 피크 전압(1111)이 강하하면서, 정류기의 출력 전압(1112)도 강하함을 확인할 수 있다. 이 경우, 정류기의 출력 전압(1112)은, 120μs 에서 임계 전압(3.3V)(1103) 이하로 강하함을 확인할 수 있다. 예를 들면, 도 11a 및 11b를 참조하면, 로드 전류가 큰 로드 상태에서는, 상대적으로 정류기의 출력 전압의 강하 속력이 빠름을 확인할 수 있다. 아울러, 최초의 정류기의 출력 전압이 클수록 임계 전압(1103) 이하로 강하하는 시간이 증가할 수 있다. 이에 따라, 무선 전력 수신 장치(195)는, 정류기의 출력 전압 및/또는 로드 전류에 기반하여, 전력 인가 중단 기간을 결정할 수 있다. 전력 인가 중단 기간은, 정류기의 출력 전압이 임계 전압(1103) 이하로 강하하지 않도록 설정되어야 할 필요가 있다. 예를 들어, 무선 전력 수신 장치(195)는, 정류기의 출력 전압 및/또는 로드 전류를 이용하여, 전력 인가 중단 기간을 계산할 수 있다. 또는, 무선 전력 수신 장치(195)는, 미리 저장된 룩업테이블을 참조함으로써, 전력 인가 중단 기간을 확인할 수도 있다. 도 11b의 경우에는, 무선 전력 수신 장치(195)는, 120μs보다 짧은 기간을, 전력 인가 중단 기간으로서 결정할 수 있다. 도 11c를 참조하면, 제 1 로드 상태에서, 무선 전력 수신 장치(195)의 로드 전류는 예를 들어 200mA이며, 정류기의 출력 전압의 최초 값은 8.0V일 수 있다. 전자 장치(101)에서 전력 제공이 중단되면, 수신 피크 전압(1121)이 강하하면서, 정류기의 출력 전압(1122)도 강하함을 확인할 수 있다. 하지만, 정류기의 출력 전압(1122)은, 160μs 이후에도 임계 전압(3.3V)(1103) 이상일 수 있다. 도 11d를 참조하면, 제 2 로드 상태에서, 무선 전력 수신 장치(195)의 로드 전류는 예를 들어 700mA이며, 정류기의 출력 전압의 최초 값은 7.7V일 수 있다. 전자 장치(101)에서 전력 제공이 중단되면, 수신 피크 전압(1131)이 강하하면서, 정류기의 출력 전압(1132)도 강하함을 확인할 수 있다. 이 경우, 정류기의 출력 전압(1132)은, 120μs 에서 임계 전압(3.3V)(1103) 이하로 강하함을 확인할 수 있다. 도 11d의 실시예에서는, 무선 전력 수신 장치(195)는, 120μs보다 짧은 기간을, 전력 인가 중단 기간으로서 결정할 수 있다. 도 11e를 참조하면, 제 1 로드 상태에서, 무선 전력 수신 장치(195)의 로드 전류는 예를 들어 200mA이며, 정류기의 출력 전압의 최초 값은 19.5V일 수 있다. 전자 장치(101)에서 전력 제공이 중단되면, 수신 피크 전압(1141)이 강하하면서, 정류기의 출력 전압(1142)도 강하함을 확인할 수 있다. 하지만, 정류기의 출력 전압(1142)은, 160μs 이후에도 임계 전압(3.3V)(1103) 이상일 수 있다. 도 11f를 참조하면, 제 2 로드 상태에서, 무선 전력 수신 장치(195)의 로드 전류는 예를 들어 1150mA이며, 정류기의 출력 전압의 최초 값은 19.2V일 수 있다. 전자 장치(101)에서 전력 제공이 중단되면, 수신 피크 전압(1151)이 강하하면서, 정류기의 출력 전압(1152)도 강하함을 확인할 수 있다. 이 경우, 정류기의 출력 전압(1152)은, 120μs 에서 임계 전압(3.3V)(1103) 이하로 강하함을 확인할 수 있다. 도 11f의 실시예에서는, 무선 전력 수신 장치(195)는, 120μs보다 짧은 기간을, 전력 인가 중단 기간으로서 결정할 수 있다.According to various embodiments, in
다양한 실시예에 따라서, 무선 전력 수신 장치(195)는, 1005 동작에서, 확인된 전력 송신 중단 기간을 포함하는 데이터 패킷을 송신할 수 있다. 상술한 바와 같이, 로드 상태 별로, 데이터 패킷에 포함된 슬롯 타임이 상이하게 설정될 수 있다. 이에 따라, 전력 인가 중단에 기반한 Q-팩터 측정에 의한 인-밴드 통신 연결의 끊어지는 현상이 방지될 수 있다.According to various embodiments, the wireless
다양한 실시예에 따라서, 무선 전력 수신 장치(195)는, 수신 전력의 레벨 및/또는 로드 전류의 레벨에 기반하여 세틀링 타임을 결정할 수도 있다. 상술한 바와 같이, 무선 전력 수신 장치(195)는, 최초 정류기의 출력 전압 및 로드 전류에 기반하여, 전력 제공이 중단된 이후의 정류기의 출력 전압을 예상할 수 있다. 아울러, 다시 전력에 제공된 이후의 정류기의 출력 전압의 증가 속도도 예상이 가능할 수 있다. 무선 전력 수신 장치(195)는, 다시 정류기의 출력 전압이 일정 수준을 회복하는데 소요되는 시간을 예측(또는, 참조)함으로써, 세틀링 타임을 확인할 수 있다. 무선 전력 수신 장치(195)는, 확인된 세틀링 타임을 수신된 전력 패킷에 포함시켜 전자 장치(101)로 송신할 수 있다. 전자 장치(101)는, 상술한 바와 같이, 수신된 전력 패킷에 포함된 세틀링 타임을 확인하여, 수신된 전력 패킷이 수신된 시점(또는, 전력의 인가를 중단한 시점, 또는 전력의 인가를 재개한 시점)으로부터 세틀링 타임이 초과된 이후에, 응답(예를 들어, ACK 패킷)을 송신할 수 있다.According to various embodiments, the
도 12는 다양한 실시예에 따른 무선 전력 수신 장치의 동작 방법을 설명하기 위한 흐름도를 도시한다.12 is a flowchart illustrating a method of operating an apparatus for receiving power wirelessly according to various embodiments of the present disclosure.
다양한 실시예에 따라서, 무선 전력 수신 장치(195)(예를 들어, 프로세서(322))는, 1201 동작에서 수신 전력의 레벨 및/또는 로드 전류의 레벨을 확인할 수 있다. 1203 동작에서, 무선 전력 수신 장치(195)는, 수신 전력의 레벨 및/또는 로드 전류의 레벨에 기반하여 전력 송신 중단 기간을 확인할 수 있다. 1205 동작에서, 무선 전력 수신 장치(195)는, 수신 전력의 레벨이 안정된 상태인지 여부를 판단할 수 있다. 수신 전력의 레벨이 안정된 상태가 아닌 경우(1205-아니오), 전자 장치(101)는, 수신 전력의 레벨 및/또는 로드 전류의 확인 및 이에 대응하는 전력 송신 중단 기간을 다시 확인할 수 있다. 또는, 전자 장치(101)는, 추가적으로 전력 송신 중단 기간을 다시 확인하지는 않고, 확인된 전력 송신 중단 기간을 저장할 수 있다. 하나의 예에서, 무선 전력 수신 장치(195)는, 수신 전력의 레벨, 예를 들어 정류기의 출력 전압의 크기가 임계 전압 이상인지 여부에 기반하여, 수신 전력의 레벨이 안정된 상태인지 여부를 판단할 수 있다. 상술한 바와 같이, 전자 장치(101)가 슬롯 타임 동안 전력의 인가를 중단하면, 무선 전력 수신 장치(195)의 정류기의 출력 전압이 강하할 수 있다. 이후, 전자 장치(101)가 전력의 인가를 재개하면, 무선 전력 수신 장치(195)의 정류기의 출력 전압이 다시 상승할 수 있다. 전자 장치(101)는, 임계 전압 이상으로 정류기의 출력 전압이 상승할 때까지 대기할 수 있다. 만약, 임계 전압 이상으로 정류기의 출력 전압이 상승하지 않은 경우에 추가적으로 전자 장치(101)가 전력 인가를 중단하면, 정류기의 출력 전압의 강하에 따라 인-밴드 통신이 끊길 수도 있다. 이에 따라, 전자 장치(101)는, 정류기의 출력 전압이 임계 전압 이상으로 회복하기 전까지는, 데이터 패킷의 송신을 삼가할 수 있다. 수신 전력의 레벨이 안정된 상태인 경우(1205-예), 무선 전력 수신 장치(195)는, 1207 동작에서, 확인된 전력 송신 중단 기간을 포함하는 데이터 패킷을 전자 장치(101)로 송신할 수 있다. 전자 장치(101)는, 수신한 데이터 패킷으로부터 전력 송신 중단 기간을 확인할 수 있으며, 확인된 전력 송신 중단 기간 동안, 전력의 인가를 중단할 수 있으며, Q-팩터를 확인할 수 있다.According to various embodiments, the wireless power receiving apparatus 195 (eg, the processor 322 ) may check the level of the received power and/or the level of the load current in
예를 들어, 무선 전력 수신 장치(195)는, 상대 장치인 전자 장치(101)가 전력 인가 중단 및 Q-팩터 측정의 기능을 지원하는 경우에, 전력 인가 중단을 요청하는 데이터 패킷을 송신할 수 있다. 예를 들어, 전자 장치(101)는, Qi 표준의 적어도 하나의 제 1 버전(예를 들어, 1.2.4 버전 이하)에 따르는 경우에는 전력 인가 중단 및 Q-팩터 측정을 지원하지 않을 수 있으며, Qi 표준의 적어도 하나의 제 2 버전(예를 들어, 1.3 버전 이상)에 따르는 경우에는 전력 인가 중단 및 Q-팩터 측정을 지원할 수 있다. 무선 전력 수신 장치(195)는, 예를 들어 ID 패킷 버전에 기반하여, 전자 장치(101)가 전력 인가 중단 및 Q-팩터 측정의 기능을 지원하는 지 여부를 판단할 수 있다. 예를 들어, 무선 전력 수신 장치(195)는, 구성 패킷(configuration packet, 또는 CFG 패킷)의 NEG 필드에 기반하여, 전자 장치(101)가 전력 인가 중단 및 Q-팩터 측정의 기능을 지원하는지 여부를 판단할 수 있다. 예를 들어, NEG 필드의 값이 0인 경우에, 전자 장치(101)가 전력 인가 중단 및 Q-팩터 측정의 기능을 지원하는 것으로 판단될 수 있다. 예를 들어, 무선 전력 수신 장치(195)는, 전자 장치(101)로부터의 ND 응답에 기반하여, 전자 장치(101)가 전력 인가 중단 및 Q-팩터 측정의 기능을 지원하는지 여부를 판단할 수 있다. 예를 들어, GRQ/x 패킷을 따라 ND 응답이 확인되는 경우, 전자 장치(101)가 전력 인가 중단 및 Q-팩터 측정의 기능을 지원하는 것으로 판단될 수 있다. 예를 들어, Qi 1.3 또는 이상의 버전을 따르면서, EPP(extended power profile) 모드를 지원하는 전자 장치(101)가 전력 인가 중단 및 Q-팩터 측정의 기능을 지원할 수 있으며, 해당 정보를 확인하는 방식에는 제한이 없다. 만약, 전자 장치(101)가 전력 인가 중단 및 Q-팩터 측정의 기능을 지원하지 않는 것으로 판단되는 경우에는, 전자 장치(101) 및 무선 전력 수신 장치(195)는, EPP 모드보다는, BPP(baseline power profile) 모드로 진입하도록 설정될 수도 있다.For example, the wireless
예를 들어, 1.3 버전에 따르면서, EPP 모드를 지원하는 무선 전력 수신 장치(195)는, CFG/bp 패킷(예를 들어, NEG 비트는 null, 다른 필드는 CFG/ep의 값에 의하여 설정됨)을 송신함으로써, 시작 시점에서 BPP 모드로부터 동작을 시작하도록 설정될 수 있다. 예를 들어, 1.3 버전에 따르면서, EPP 모드를 지원하는 전자 장치(101)는, 무선 전력 수신 장치(195)로부터 CFG/bp 패킷 및 1.3 버전 이상의 버전 필드를 가지는 precedent ID 패킷의 수신한 경우, CFG/bp 패킷에 대응하여 ND 응답을 송신할 수 있다. 예를 들어, 1.3 버전에 따르면서, EPP 모드를 지원하는 무선 전력 수신 장치(195)는, CFG/bp에 대응하는 ND 응답의 수신에 기반하여, EPP 모드로 진입하고, GRQ/id 패킷을 송신할 수 있다.For example, according to version 1.3, the wireless
예를 들어, 1.3 버전에 따르면서, EPP 모드를 지원하는 전자 장치(101)는, 1.3 또는 이상의 버전 필드의 precedent ID 패킷 및 GRQ/id의 수신에 기반하여, EPP 모드로 진입할 수 있다. 이후, 1.3 버전에 따르면서, EPP 모드를 지원하는 전자 장치(101)는, PRx GRQ/id, /cap 및 /xcap 데이터 패킷에 대한 슬롯 길이 필드의 XCAP 데이터 패킷, CAP 데이터 패킷, 및 TX ID 데이터 패킷을 송신할 수 있다. 무선 전력 수신 장치(195)가 슬롯 길이 필드의 값이 0인 것을 확인한 경우, RP 1 패킷 및 RP 2 패킷을 송신하지 않으며, 예를 들어 5W 이하에서 동작할 수 있다. 예를 들어, 무선 전력 수신 장치(195)가 0이 아닌 슬롯 길이 필드의 값을 확인한 경우, 최초 캘리브레이션(initial calibration)을 스킵하고, 전자 장치(101)를 인증할 수 있다. 무선 전력 수신 장치(195)는, 전자 장치(101)를 인증하고, 만약 필요하다면 신규 동작 전압을 선택할 수 있다. 이후, 무선 전력 수신 장치(195) 및 전자 장치(101)는, Q-팩터 측정을 동반하는 캘리브레이션을 수행할 수 있다.For example, according to version 1.3, the
이하에서는, 다양한 실시예에 따른 전자 장치(101) 및/또는 무선 전력 수신 장치(195)로 구현될 수 있는 전자 장치(1301)에 대하여 설명하도록 한다. Hereinafter, the electronic device 1301 that may be implemented as the
도 13은, 다양한 실시예들에 따른, 네트워크 환경(1300) 내의 전자 장치(1301)의 블록도이다. 도 13을 참조하면, 네트워크 환경(1300)에서 전자 장치(1301)는 제 1 네트워크(1398)(예: 근거리 무선 통신 네트워크)를 통하여 전자 장치(1302)와 통신하거나, 또는 제 2 네트워크(1399)(예: 원거리 무선 통신 네트워크)를 통하여 전자 장치(1304) 또는 서버(1308)와 통신할 수 있다. 일실시예에 따르면, 전자 장치(1301)는 서버(1308)를 통하여 전자 장치(1304)와 통신할 수 있다. 일실시예에 따르면, 전자 장치(1301)는 프로세서(1320), 메모리(1330), 입력 모듈(1350), 음향 출력 모듈(1355), 디스플레이 모듈(1360), 오디오 모듈(1370), 센서 모듈(1376), 인터페이스(1377), 연결 단자(1378), 햅틱 모듈(1379), 카메라 모듈(1380), 전력 관리 모듈(1388), 배터리(1389), 통신 모듈(1390), 가입자 식별 모듈(1396), 또는 안테나 모듈(1397)을 포함할 수 있다. 어떤 실시예에서는, 전자 장치(1301)에는, 이 구성요소들 중 적어도 하나(예: 연결 단자(1378))가 생략되거나, 하나 이상의 다른 구성요소가 추가될 수 있다. 어떤 실시예에서는, 이 구성요소들 중 일부들(예: 센서 모듈(1376), 카메라 모듈(1380), 또는 안테나 모듈(1397))은 하나의 구성요소(예: 디스플레이 모듈(1360))로 통합될 수 있다.13 is a block diagram of an electronic device 1301 in a
프로세서(1320)는, 예를 들면, 소프트웨어(예: 프로그램(1340))를 실행하여 프로세서(1320)에 연결된 전자 장치(1301)의 적어도 하나의 다른 구성요소(예: 하드웨어 또는 소프트웨어 구성요소)를 제어할 수 있고, 다양한 데이터 처리 또는 연산을 수행할 수 있다. 일실시예에 따르면, 데이터 처리 또는 연산의 적어도 일부로서, 프로세서(1320)는 다른 구성요소(예: 센서 모듈(1376) 또는 통신 모듈(1390))로부터 수신된 명령 또는 데이터를 휘발성 메모리(1332)에 저장하고, 휘발성 메모리(1332)에 저장된 명령 또는 데이터를 처리하고, 결과 데이터를 비휘발성 메모리(1334)에 저장할 수 있다. 일실시예에 따르면, 프로세서(1320)는 메인 프로세서(1321)(예: 중앙 처리 장치 또는 어플리케이션 프로세서) 또는 이와는 독립적으로 또는 함께 운영 가능한 보조 프로세서(1323)(예: 그래픽 처리 장치, 신경망 처리 장치(NPU: neural processing unit), 이미지 시그널 프로세서, 센서 허브 프로세서, 또는 커뮤니케이션 프로세서)를 포함할 수 있다. 예를 들어, 전자 장치(1301)가 메인 프로세서(1321) 및 보조 프로세서(1323)를 포함하는 경우, 보조 프로세서(1323)는 메인 프로세서(1321)보다 저전력을 사용하거나, 지정된 기능에 특화되도록 설정될 수 있다. 보조 프로세서(1323)는 메인 프로세서(1321)와 별개로, 또는 그 일부로서 구현될 수 있다.The
보조 프로세서(1323)는, 예를 들면, 메인 프로세서(1321)가 인액티브(예: 슬립) 상태에 있는 동안 메인 프로세서(1321)를 대신하여, 또는 메인 프로세서(1321)가 액티브(예: 어플리케이션 실행) 상태에 있는 동안 메인 프로세서(1321)와 함께, 전자 장치(1301)의 구성요소들 중 적어도 하나의 구성요소(예: 디스플레이 모듈(1360), 센서 모듈(1376), 또는 통신 모듈(1390))와 관련된 기능 또는 상태들의 적어도 일부를 제어할 수 있다. 일실시예에 따르면, 보조 프로세서(1323)(예: 이미지 시그널 프로세서 또는 커뮤니케이션 프로세서)는 기능적으로 관련 있는 다른 구성요소(예: 카메라 모듈(1380) 또는 통신 모듈(1390))의 일부로서 구현될 수 있다. 일실시예에 따르면, 보조 프로세서(1323)(예: 신경망 처리 장치)는 인공지능 모델의 처리에 특화된 하드웨어 구조를 포함할 수 있다. 인공지능 모델은 기계 학습을 통해 생성될 수 있다. 이러한 학습은, 예를 들어, 인공지능이 수행되는 전자 장치(1301) 자체에서 수행될 수 있고, 별도의 서버(예: 서버(1308))를 통해 수행될 수도 있다. 학습 알고리즘은, 예를 들어, 지도형 학습(supervised learning), 비지도형 학습(unsupervised learning), 준지도형 학습(semi-supervised learning) 또는 강화 학습(reinforcement learning)을 포함할 수 있으나, 전술한 예에 한정되지 않는다. 인공지능 모델은, 복수의 인공 신경망 레이어들을 포함할 수 있다. 인공 신경망은 심층 신경망(DNN: deep neural network), CNN(convolutional neural network), RNN(recurrent neural network), RBM(restricted boltzmann machine), DBN(deep belief network), BRDNN(bidirectional recurrent deep neural network), 심층 Q-네트워크(deep Q-networks) 또는 상기 중 둘 이상의 조합 중 하나일 수 있으나, 전술한 예에 한정되지 않는다. 인공지능 모델은 하드웨어 구조 이외에, 추가적으로 또는 대체적으로, 소프트웨어 구조를 포함할 수 있다. The
메모리(1330)는, 전자 장치(1301)의 적어도 하나의 구성요소(예: 프로세서(1320) 또는 센서 모듈(1376))에 의해 사용되는 다양한 데이터를 저장할 수 있다. 데이터는, 예를 들어, 소프트웨어(예: 프로그램(1340)) 및, 이와 관련된 명령에 대한 입력 데이터 또는 출력 데이터를 포함할 수 있다. 메모리(1330)는, 휘발성 메모리(1332) 또는 비휘발성 메모리(1334)를 포함할 수 있다. The
프로그램(1340)은 메모리(1330)에 소프트웨어로서 저장될 수 있으며, 예를 들면, 운영 체제(1342), 미들 웨어(1344) 또는 어플리케이션(1346)을 포함할 수 있다. The
입력 모듈(1350)은, 전자 장치(1301)의 구성요소(예: 프로세서(1320))에 사용될 명령 또는 데이터를 전자 장치(1301)의 외부(예: 사용자)로부터 수신할 수 있다. 입력 모듈(1350)은, 예를 들면, 마이크, 마우스, 키보드, 키(예: 버튼), 또는 디지털 펜(예: 스타일러스 펜)을 포함할 수 있다. The
음향 출력 모듈(1355)은 음향 신호를 전자 장치(1301)의 외부로 출력할 수 있다. 음향 출력 모듈(1355)은, 예를 들면, 스피커 또는 리시버를 포함할 수 있다. 스피커는 멀티미디어 재생 또는 녹음 재생과 같이 일반적인 용도로 사용될 수 있다. 리시버는 착신 전화를 수신하기 위해 사용될 수 있다. 일실시예에 따르면, 리시버는 스피커와 별개로, 또는 그 일부로서 구현될 수 있다.The
디스플레이 모듈(1360)은 전자 장치(1301)의 외부(예: 사용자)로 정보를 시각적으로 제공할 수 있다. 디스플레이 모듈(1360)은, 예를 들면, 디스플레이, 홀로그램 장치, 또는 프로젝터 및 해당 장치를 제어하기 위한 제어 회로를 포함할 수 있다. 일실시예에 따르면, 디스플레이 모듈(1360)은 터치를 감지하도록 설정된 터치 센서, 또는 상기 터치에 의해 발생되는 힘의 세기를 측정하도록 설정된 압력 센서를 포함할 수 있다. The
오디오 모듈(1370)은 소리를 전기 신호로 변환시키거나, 반대로 전기 신호를 소리로 변환시킬 수 있다. 일실시예에 따르면, 오디오 모듈(1370)은, 입력 모듈(1350)을 통해 소리를 획득하거나, 음향 출력 모듈(1355), 또는 전자 장치(1301)와 직접 또는 무선으로 연결된 외부 전자 장치(예: 전자 장치(1302))(예: 스피커 또는 헤드폰)를 통해 소리를 출력할 수 있다.The
센서 모듈(1376)은 전자 장치(1301)의 작동 상태(예: 전력 또는 온도), 또는 외부의 환경 상태(예: 사용자 상태)를 감지하고, 감지된 상태에 대응하는 전기 신호 또는 데이터 값을 생성할 수 있다. 일실시예에 따르면, 센서 모듈(1376)은, 예를 들면, 제스처 센서, 자이로 센서, 기압 센서, 마그네틱 센서, 가속도 센서, 그립 센서, 근접 센서, 컬러 센서, IR(infrared) 센서, 생체 센서, 온도 센서, 습도 센서, 또는 조도 센서를 포함할 수 있다. The
인터페이스(1377)는 전자 장치(1301)가 외부 전자 장치(예: 전자 장치(1302))와 직접 또는 무선으로 연결되기 위해 사용될 수 있는 하나 이상의 지정된 프로토콜들을 지원할 수 있다. 일실시예에 따르면, 인터페이스(1377)는, 예를 들면, HDMI(high definition multimedia interface), USB(universal serial bus) 인터페이스, SD카드 인터페이스, 또는 오디오 인터페이스를 포함할 수 있다.The
연결 단자(1378)는, 그를 통해서 전자 장치(1301)가 외부 전자 장치(예: 전자 장치(1302))와 물리적으로 연결될 수 있는 커넥터를 포함할 수 있다. 일실시예에 따르면, 연결 단자(1378)는, 예를 들면, HDMI 커넥터, USB 커넥터, SD 카드 커넥터, 또는 오디오 커넥터(예: 헤드폰 커넥터)를 포함할 수 있다.The
햅틱 모듈(1379)은 전기적 신호를 사용자가 촉각 또는 운동 감각을 통해서 인지할 수 있는 기계적인 자극(예: 진동 또는 움직임) 또는 전기적인 자극으로 변환할 수 있다. 일실시예에 따르면, 햅틱 모듈(1379)은, 예를 들면, 모터, 압전 소자, 또는 전기 자극 장치를 포함할 수 있다.The
카메라 모듈(1380)은 정지 영상 및 동영상을 촬영할 수 있다. 일실시예에 따르면, 카메라 모듈(1380)은 하나 이상의 렌즈들, 이미지 센서들, 이미지 시그널 프로세서들, 또는 플래시들을 포함할 수 있다.The camera module 1380 may capture still images and moving images. According to an embodiment, the camera module 1380 may include one or more lenses, image sensors, image signal processors, or flashes.
전력 관리 모듈(1388)은 전자 장치(1301)에 공급되는 전력을 관리할 수 있다. 일실시예에 따르면, 전력 관리 모듈(1388)은, 예를 들면, PMIC(power management integrated circuit)의 적어도 일부로서 구현될 수 있다.The
배터리(1389)는 전자 장치(1301)의 적어도 하나의 구성요소에 전력을 공급할 수 있다. 일실시예에 따르면, 배터리(1389)는, 예를 들면, 재충전 불가능한 1차 전지, 재충전 가능한 2차 전지 또는 연료 전지를 포함할 수 있다.The
통신 모듈(1390)은 전자 장치(1301)와 외부 전자 장치(예: 전자 장치(1302), 전자 장치(1304), 또는 서버(1308)) 간의 직접(예: 유선) 통신 채널 또는 무선 통신 채널의 수립, 및 수립된 통신 채널을 통한 통신 수행을 지원할 수 있다. 통신 모듈(1390)은 프로세서(1320)(예: 어플리케이션 프로세서)와 독립적으로 운영되고, 직접(예: 유선) 통신 또는 무선 통신을 지원하는 하나 이상의 커뮤니케이션 프로세서를 포함할 수 있다. 일실시예에 따르면, 통신 모듈(1390)은 무선 통신 모듈(1392)(예: 셀룰러 통신 모듈, 근거리 무선 통신 모듈, 또는 GNSS(global navigation satellite system) 통신 모듈) 또는 유선 통신 모듈(1394)(예: LAN(local area network) 통신 모듈, 또는 전력선 통신 모듈)을 포함할 수 있다. 이들 통신 모듈 중 해당하는 통신 모듈은 제 1 네트워크(1398)(예: 블루투스, WiFi(wireless fidelity) direct 또는 IrDA(infrared data association)와 같은 근거리 통신 네트워크) 또는 제 2 네트워크(1399)(예: 레거시 셀룰러 네트워크, 5G 네트워크, 차세대 통신 네트워크, 인터넷, 또는 컴퓨터 네트워크(예: LAN 또는 WAN)와 같은 원거리 통신 네트워크)를 통하여 외부의 전자 장치(1304)와 통신할 수 있다. 이런 여러 종류의 통신 모듈들은 하나의 구성요소(예: 단일 칩)로 통합되거나, 또는 서로 별도의 복수의 구성요소들(예: 복수 칩들)로 구현될 수 있다. 무선 통신 모듈(1392)은 가입자 식별 모듈(1396)에 저장된 가입자 정보(예: 국제 모바일 가입자 식별자(IMSI))를 이용하여 제 1 네트워크(1398) 또는 제 2 네트워크(1399)와 같은 통신 네트워크 내에서 전자 장치(1301)를 확인 또는 인증할 수 있다. The
무선 통신 모듈(1392)은 4G 네트워크 이후의 5G 네트워크 및 차세대 통신 기술, 예를 들어, NR 접속 기술(new radio access technology)을 지원할 수 있다. NR 접속 기술은 고용량 데이터의 고속 전송(eMBB(enhanced mobile broadband)), 단말 전력 최소화와 다수 단말의 접속(mMTC(massive machine type communications)), 또는 고신뢰도와 저지연(URLLC(ultra-reliable and low-latency communications))을 지원할 수 있다. 무선 통신 모듈(1392)은, 예를 들어, 높은 데이터 전송률 달성을 위해, 고주파 대역(예: mmWave 대역)을 지원할 수 있다. 무선 통신 모듈(1392)은 고주파 대역에서의 성능 확보를 위한 다양한 기술들, 예를 들어, 빔포밍(beamforming), 거대 배열 다중 입출력(massive MIMO(multiple-input and multiple-output)), 전차원 다중입출력(FD-MIMO: full dimensional MIMO), 어레이 안테나(array antenna), 아날로그 빔형성(analog beam-forming), 또는 대규모 안테나(large scale antenna)와 같은 기술들을 지원할 수 있다. 무선 통신 모듈(1392)은 전자 장치(1301), 외부 전자 장치(예: 전자 장치(1304)) 또는 네트워크 시스템(예: 제 2 네트워크(1399))에 규정되는 다양한 요구사항을 지원할 수 있다. 일실시예에 따르면, 무선 통신 모듈(1392)은 eMBB 실현을 위한 Peak data rate(예: 20Gbps 이상), mMTC 실현을 위한 손실 Coverage(예: 164dB 이하), 또는 URLLC 실현을 위한 U-plane latency(예: 다운링크(DL) 및 업링크(UL) 각각 0.5ms 이하, 또는 라운드 트립 1ms 이하)를 지원할 수 있다.The
안테나 모듈(1397)은 신호 또는 전력을 외부(예: 외부의 전자 장치)로 송신하거나 외부로부터 수신할 수 있다. 일실시예에 따르면, 안테나 모듈(1397)은 서브스트레이트(예: PCB) 위에 형성된 도전체 또는 도전성 패턴으로 이루어진 방사체를 포함하는 안테나를 포함할 수 있다. 일실시예에 따르면, 안테나 모듈(1397)은 복수의 안테나들(예: 어레이 안테나)을 포함할 수 있다. 이런 경우, 제 1 네트워크(1398) 또는 제 2 네트워크(1399)와 같은 통신 네트워크에서 사용되는 통신 방식에 적합한 적어도 하나의 안테나가, 예를 들면, 통신 모듈(1390)에 의하여 상기 복수의 안테나들로부터 선택될 수 있다. 신호 또는 전력은 상기 선택된 적어도 하나의 안테나를 통하여 통신 모듈(1390)과 외부의 전자 장치 간에 송신되거나 수신될 수 있다. 어떤 실시예에 따르면, 방사체 이외에 다른 부품(예: RFIC(radio frequency integrated circuit))이 추가로 안테나 모듈(1397)의 일부로 형성될 수 있다.
The
다양한 실시예에 따르면, 안테나 모듈(1397)은 mmWave 안테나 모듈을 형성할 수 있다. 일실시예에 따르면, mmWave 안테나 모듈은 인쇄 회로 기판, 상기 인쇄 회로 기판의 제 1 면(예: 아래 면)에 또는 그에 인접하여 배치되고 지정된 고주파 대역(예: mmWave 대역)을 지원할 수 있는 RFIC, 및 상기 인쇄 회로 기판의 제 2 면(예: 윗 면 또는 측 면)에 또는 그에 인접하여 배치되고 상기 지정된 고주파 대역의 신호를 송신 또는 수신할 수 있는 복수의 안테나들(예: 어레이 안테나)을 포함할 수 있다.According to various embodiments, the
상기 구성요소들 중 적어도 일부는 주변 기기들간 통신 방식(예: 버스, GPIO(general purpose input and output), SPI(serial peripheral interface), 또는 MIPI(mobile industry processor interface))을 통해 서로 연결되고 신호(예: 명령 또는 데이터)를 상호간에 교환할 수 있다.At least some of the components are connected to each other through a communication method between peripheral devices (eg, a bus, general purpose input and output (GPIO), serial peripheral interface (SPI), or mobile industry processor interface (MIPI)) and a signal ( e.g. commands or data) can be exchanged with each other.
일실시예에 따르면, 명령 또는 데이터는 제 2 네트워크(1399)에 연결된 서버(1308)를 통해서 전자 장치(1301)와 외부의 전자 장치(1304)간에 송신 또는 수신될 수 있다. 외부의 전자 장치(1302, 또는 1704) 각각은 전자 장치(1301)와 동일한 또는 다른 종류의 장치일 수 있다. 일실시예에 따르면, 전자 장치(1301)에서 실행되는 동작들의 전부 또는 일부는 외부의 전자 장치들(1302, 1704, 또는 1708) 중 하나 이상의 외부의 전자 장치들에서 실행될 수 있다. 예를 들면, 전자 장치(1301)가 어떤 기능이나 서비스를 자동으로, 또는 사용자 또는 다른 장치로부터의 요청에 반응하여 수행해야 할 경우에, 전자 장치(1301)는 기능 또는 서비스를 자체적으로 실행시키는 대신에 또는 추가적으로, 하나 이상의 외부의 전자 장치들에게 그 기능 또는 그 서비스의 적어도 일부를 수행하라고 요청할 수 있다. 상기 요청을 수신한 하나 이상의 외부의 전자 장치들은 요청된 기능 또는 서비스의 적어도 일부, 또는 상기 요청과 관련된 추가 기능 또는 서비스를 실행하고, 그 실행의 결과를 전자 장치(1301)로 전달할 수 있다. 전자 장치(1301)는 상기 결과를, 그대로 또는 추가적으로 처리하여, 상기 요청에 대한 응답의 적어도 일부로서 제공할 수 있다. 이를 위하여, 예를 들면, 클라우드 컴퓨팅, 분산 컴퓨팅, 모바일 에지 컴퓨팅(MEC: mobile edge computing), 또는 클라이언트-서버 컴퓨팅 기술이 이용될 수 있다. 전자 장치(1301)는, 예를 들어, 분산 컴퓨팅 또는 모바일 에지 컴퓨팅을 이용하여 초저지연 서비스를 제공할 수 있다. 다른 실시예에 있어서, 외부의 전자 장치(1304)는 IoT(internet of things) 기기를 포함할 수 있다. 서버(1308)는 기계 학습 및/또는 신경망을 이용한 지능형 서버일 수 있다. 일실시예에 따르면, 외부의 전자 장치(1304) 또는 서버(1308)는 제 2 네트워크(1399) 내에 포함될 수 있다. 전자 장치(1301)는 5G 통신 기술 및 IoT 관련 기술을 기반으로 지능형 서비스(예: 스마트 홈, 스마트 시티, 스마트 카, 또는 헬스 케어)에 적용될 수 있다. According to an embodiment, the command or data may be transmitted or received between the electronic device 1301 and the external
다양한 실시예에 따라서, 전자 장치(예: 전자 장치(101))는, 무선 전력 수신 장치(예: 무선 전력 수신 장치(195))로 전력을 송신하기 위한 전력 전송 회로(예: 전력 전송 회로(311)),상기 무선 전력 수신 장치와 통신을 수행하도록 설정된 통신 회로(예: 통신 회로(313a) 및/또는 통신 회로(313b)), 및 제어 회로(예: 제어 회로(312))를 포함하고, 상기 제어 회로(예: 제어 회로(312))는, 상기 전력 전송 회로(예: 전력 전송 회로(311))의 코일(예: 송신 코일(311L))로 제 1 전력이 인가되도록 상기 전력 전송 회로(예: 전력 전송 회로(311))를 제어하고, 상기 제 1 전력의 인가를 중단하고, 제 1 기간 동안 상기 코일(예: 송신 코일(311L))에 전력이 인가되지 않도록 상기 전력 전송 회로(예: 전력 전송 회로(311))를 제어하고, 상기 제 1 기간 동안의 제 1 Q-팩터를 확인하고, 상기 제 1 기간 이후, 전력 송신 시의 전력 손실의 확인에 이용되는 적어도 하나의 파라미터를 확인하기 위한 캘리브레이션 동작에 기반한 적어도 하나의 전력이 상기 코일(예: 송신 코일(311L))로 인가되도록 상기 전력 전송 회로(예: 전력 전송 회로(311))를 제어하고, 상기 적어도 하나의 전력 중 마지막 전력의 인가를 중단하고, 제 2 기간 동안 상기 코일(예: 송신 코일(311L))에 전력이 인가되지 않도록 상기 전력 전송 회로(예: 전력 전송 회로(311))를 제어하고, 상기 제 2 기간 동안의 제 2 Q-팩터를 확인하고, 상기 제 1 Q-팩터 및/또는 상기 제 2 Q-팩터에 기반하여, 상기 적어도 하나의 파라미터의 유효성을 확인하도록 설정될 수 있다.According to various embodiments, an electronic device (eg, the electronic device 101 ) transmits power to a wireless power receiver (eg, the wireless power receiver 195 ) a power transmission circuit (eg, a power transmission circuit ( 311)), a communication circuit (eg, a communication circuit 313a and/or a communication circuit 313b) configured to perform communication with the wireless power receiver, and a control circuit (eg, a control circuit 312); and , the control circuit (eg, the control circuit 312) transmits the power so that the first power is applied to a coil (eg, the transmission coil 311L) of the power transmission circuit (eg, the power transmission circuit 311) The power transmission circuit controls a circuit (eg, the power transmission circuit 311 ), stops the application of the first power, and prevents power from being applied to the coil (eg, the transmission coil 311L) for a first period At least one parameter used to control (eg, the power transmission circuit 311 ), to check a first Q-factor during the first period, and to determine a power loss in power transmission after the first period Controls the power transmission circuit (eg, the power transmission circuit 311) so that at least one power is applied to the coil (eg, the transmission coil 311L) based on a calibration operation for confirming, and the at least one power stops the application of the last power, controls the power transmission circuit (eg, the power transmission circuit 311) so that power is not applied to the coil (eg, the transmission coil 311L) for a second period, and and check a second Q-factor for two periods, and check validity of the at least one parameter based on the first Q-factor and/or the second Q-factor.
다양한 실시예에 따라서, 상기 제어 회로(예: 제어 회로(312))는, 상기 적어도 하나의 파라미터가 유효한 것으로 판단된 경우, 상기 무선 전력 수신 장치의 충전을 위한 전력을 상기 코일(예: 송신 코일(311L))에 인가하도록 상기 전력 전송 회로(예: 전력 전송 회로(311))를 제어하고, 상기 충전을 위한 전력의 인가 도중, 상기 통신 회로(예: 통신 회로(313a) 및/또는 통신 회로(313b))를 이용하여, 상기 무선 전력 수신 장치로부터 수신 전력 레벨을 포함하는 데이터 패킷을 수신하고, 상기 충전을 위한 전력의 레벨, 상기 수신 전력 레벨, 및 상기 적어도 하나의 파라미터에 기반하여, 손실 전력이 지정된 조건을 만족하는 지 여부를 확인하고, 상기 손실 전력이 상기 지정된 조건을 만족함에 기반하여, 상기 전자 장치(예: 전자 장치(101)) 상에 이물질이 배치된 것으로 판단하도록 더 설정될 수 있다.According to various embodiments, when it is determined that the at least one parameter is valid, the control circuit (eg, the control circuit 312 ) transmits power for charging the wireless power receiver to the coil (eg, a transmission coil). control the power transmission circuit (eg, the power transmission circuit 311) to apply to (311L)), and during the application of power for the charging, the communication circuit (eg, the
다양한 실시예에 따라서, 상기 제어 회로(예: 제어 회로(312))는, 상기 제 1 전력의 인가를 중단하고, 상기 제 1 기간 동안 상기 코일(예: 송신 코일(311L))에 전력이 인가되지 않도록 상기 전력 전송 회로(예: 전력 전송 회로(311))를 제어하는 동작의 적어도 일부로, 상기 통신 회로(예: 통신 회로(313a) 및/또는 통신 회로(313b))를 이용하여, 상기 무선 전력 수신 장치로부터의 제 1 수신된 전력 패킷을 확인하고, 상기 제 1 수신된 전력 패킷에 포함된 상기 제 1 기간 동안 상기 코일(예: 송신 코일(311L))에 전력이 인가되지 않도록 상기 전력 전송 회로(예: 전력 전송 회로(311))를 제어하도록 설정될 수 있다.According to various embodiments, the control circuit (eg, the control circuit 312 ) stops the application of the first power, and power is applied to the coil (eg, the
다양한 실시예에 따라서, 상기 제 1 수신된 전력 패킷은 Qi 표준의 RP 1 패킷이며, 상기 제 1 기간은 슬롯 타임 필드 내의 비트에 기반하여 확인될 수 있다.According to various embodiments, the first received power packet is an
다양한 실시예에 따라서, 상기 제어 회로(예: 제어 회로(312))는, 상기 제 1 수신된 전력 패킷에 포함된 제 1 세틀링 타임을 확인하고, 상기 제 1 수신된 전력 패킷의 수신 시점으로부터 상기 제 1 세틀링 타임 이후에 상기 제 1 수신된 전력 패킷에 대한 응답을 송신하도록 상기 통신 회로(예: 통신 회로(313a) 및/또는 통신 회로(313b))를 제어하도록 더 설정될 수 있다.According to various embodiments, the control circuit (eg, the control circuit 312 ) checks a first settling time included in the first received power packet, and starts from a reception time of the first received power packet. It may be further configured to control the communication circuit (eg, the
다양한 실시예에 따라서, 상기 제어 회로(예: 제어 회로(312))는, 상기 제 1 수신된 전력 패킷에 포함된 제 1 수신 전력의 레벨을 이용하여 상기 적어도 하나의 파라미터를 확인하도록 더 설정되고, 상기 무선 전력 수신 장치는, 제 1 로드 상태에서 상기 제 1 수신 전력의 레벨을 포함한 상기 제 1 수신된 전력 패킷을 상기 전자 장치(예: 전자 장치(101))로 송신할 수 있다.According to various embodiments, the control circuit (eg, the control circuit 312 ) is further configured to check the at least one parameter using a level of a first received power included in the first received power packet, and , the wireless power receiver may transmit the first received power packet including the level of the first received power to the electronic device (eg, the electronic device 101 ) in a first load state.
다양한 실시예에 따라서, 상기 제어 회로(예: 제어 회로(312))는, 상기 적어도 하나의 전력 중 상기 마지막 전력의 인가를 중단하고, 상기 제 2 기간 동안 상기 코일(예: 송신 코일(311L))에 전력이 인가되지 않도록 상기 전력 전송 회로(예: 전력 전송 회로(311))를 제어하는 동작의 적어도 일부로, 상기 통신 회로(예: 통신 회로(313a) 및/또는 통신 회로(313b))를 이용하여, 상기 무선 전력 수신 장치로부터의 제 2 수신된 전력 패킷을 확인하고, 상기 제 2 수신된 전력 패킷에 포함된 상기 제 2 기간 동안 상기 코일(예: 송신 코일(311L))에 전력이 인가되지 않도록 상기 전력 전송 회로(예: 전력 전송 회로(311))를 제어하도록 설정될 수 있다.According to various embodiments, the control circuit (eg, the control circuit 312 ) stops the application of the last power among the at least one power, and during the second period, the coil (eg, the
다양한 실시예에 따라서, 상기 제 2 수신된 전력 패킷은 Qi 표준의 RP 2 패킷이며, 상기 제 2 기간은 슬롯 타임 필드 내의 비트에 기반하여 확인될 수 있다.According to various embodiments, the second received power packet is an
다양한 실시예에 따라서, 상기 제어 회로(예: 제어 회로(312))는, 상기 제 2 수신된 전력 패킷에 포함된 제 2 수신 전력의 레벨을 이용하여 상기 적어도 하나의 파라미터를 확인하도록 더 설정되고, 상기 무선 전력 수신 장치는, 제 2 로드 상태에서 상기 제 2 수신 전력의 레벨을 포함한 상기 제 2 수신된 전력 패킷을 상기 전자 장치(예: 전자 장치(101))로 송신할 수 있다.According to various embodiments, the control circuit (eg, the control circuit 312 ) is further configured to check the at least one parameter using a level of a second received power included in the second received power packet, and , the wireless power receiver may transmit the second received power packet including the second received power level to the electronic device (eg, the electronic device 101 ) in a second load state.
다양한 실시예에 따라서, 상기 제어 회로(예: 제어 회로(312))는, 상기 제 1 Q-팩터 및/또는 상기 제 2 Q-팩터에 기반하여, 상기 적어도 하나의 파라미터의 유효성을 확인하는 동작의 적어도 일부로, 상기 제 1 Q-팩터 및 상기 제 2 Q-팩터 사이의 차이가 임계 차이 이상인 경우에, 상기 적어도 하나의 파라미터가 유효하지 않은 것으로 판단하고, 상기 제 1 Q-팩터 및 상기 제 2 Q-팩터 사이의 상기 차이가 상기 임계 차이 미만인 경우에, 상기 적어도 하나의 파라미터가 유효한 것으로 판단하도록 설정될 수 있다.According to various embodiments, the control circuit (eg, the control circuit 312 ) checks the validity of the at least one parameter based on the first Q-factor and/or the second Q-factor as at least a part of, if a difference between the first Q-factor and the second Q-factor is greater than or equal to a threshold difference, it is determined that the at least one parameter is invalid, and the first Q-factor and the second When the difference between Q-factors is less than the threshold difference, it may be configured to determine that the at least one parameter is valid.
다양한 실시예에 따라서, 상기 제어 회로(예: 제어 회로(312))는, 상기 제 1 Q-팩터 및/또는 상기 제 2 Q-팩터에 기반하여, 상기 적어도 하나의 파라미터의 유효성을 확인하는 동작의 적어도 일부로, 상기 제 1 Q-팩터와 레퍼런스 Q-팩터 사이의 제 1 차이, 및/또는 상기 제 2 Q-팩터와 상기 레퍼런스 Q-팩터 사이의 제 2 차이가 임계 차이 이상인 경우에, 상기 적어도 하나의 파라미터가 유효하지 않은 것으로 판단하고, 상기 제 1 차이 및/또는 상기 제 2 차이가 상기 임계 차이 미만인 경우에, 상기 적어도 하나의 파라미터가 유효한 것으로 판단하도록 설정될 수 있다.According to various embodiments, the control circuit (eg, the control circuit 312 ) checks the validity of the at least one parameter based on the first Q-factor and/or the second Q-factor when a first difference between the first Q-factor and a reference Q-factor, and/or a second difference between the second Q-factor and the reference Q-factor, is greater than or equal to a threshold difference, the at least and determine that one parameter is invalid, and when the first difference and/or the second difference are less than the threshold difference, determine that the at least one parameter is valid.
다양한 실시예에 따라서, 상기 제어 회로(예: 제어 회로(312))는, 상기 제 1 전력이 상기 코일(예: 송신 코일(311L))로 인가되는 동안, 상기 무선 전력 수신 장치와 협상 단계에서 설정된 동작을 수행하도록 더 설정될 수 있다.According to various embodiments, the control circuit (eg, the control circuit 312 ), while the first power is applied to the coil (eg, the
다양한 실시예에 따라서, 상기 제어 회로(예: 제어 회로(312))는, 상기 협상 단계에서 설정된 동작을 수행한 이후 획득된 복수 개의 캘리브레이션 데이터 포인트에 기반하여, 상기 적어도 하나의 파라미터를 확인하도록 더 설정되고, 상기 복수 개의 캘리브레이션 데이터 포인트 각각은, 상기 무선 전력 수신 장치의 복수 개의 로드 상태 각각에 대응하는 복수 개의 수신 전력의 레벨과, 상기 복수 개의 수신 전력의 레벨에 대응하는 복수 개의 송신 전력의 레벨을 포함할 수 있다.According to various embodiments, the control circuit (eg, the control circuit 312 ) is further configured to confirm the at least one parameter based on a plurality of calibration data points obtained after performing the operation set in the negotiation step. is set, and each of the plurality of calibration data points includes a plurality of received power levels corresponding to each of a plurality of load states of the wireless power receiver, and a plurality of transmission power levels corresponding to the plurality of received power levels. may include.
다양한 실시예에 따라서, 상기 제어 회로(예: 제어 회로(312))는, 상기 적어도 하나의 파라미터가 유효한 것에 기반하여, 상기 무선 전력 수신 장치의 충전을 위한 전력을 상기 코일(예: 송신 코일(311L))로 인가하도록 상기 전력 전송 회로(예: 전력 전송 회로(311))를 제어하도록 더 설정될 수 있다.According to various embodiments, the control circuit (eg, the control circuit 312 ) transmits power for charging of the wireless power receiving device to the coil (eg, a transmitting coil ( 311L)), it may be further configured to control the power transmission circuit (eg, the power transmission circuit 311).
다양한 실시예에 따라서, 무선 전력 수신 장치(예: 무선 전력 수신 장치(195))는, 전자 장치(예: 전자 장치(101))로부터의 전력을 수신하기 위한 코일(예: 수신 코일(321L)), 상기 코일(예: 수신 코일(321L))로부터 출력되는 교류 전력을 직류 전력으로 정류하는 정류기(예: 정류 회로(321b)), 프로세서(예: 프로세서(322)), 및 통신 회로(예: 제 1 통신 회로(323a) 및/또는 제 2 통신 회로(323b))를 포함하고, 상기 프로세서(예: 프로세서(322))는, 상기 코일(예: 수신 코일(321L))을 통하여, 제 1 전력이 수신되는 동안, 상기 제 1 전력의 인가의 중단 및 제 1 기간 동안의 전력 인가의 중단 유지를 요청하는 제 1 데이터 패킷을 송신하도록 상기 통신 회로(예: 제 1 통신 회로(323a) 및/또는 제 2 통신 회로(323b))를 제어하고, 전력 송신 시의 전력 손실의 확인에 이용되는 적어도 하나의 파라미터를 확인하기 위한 캘리브레이션 동작에 기반한 적어도 하나의 전력 중 마지막 전력이 상기 코일(예: 수신 코일(321L))을 통하여 수신되는 동안, 상기 마지막 전력의 인가의 중단 및 제 2 기간 동안의 전력 인가의 중단 유지를 요청하는 제 1 데이터 패킷을 송신하도록 상기 통신 회로(예: 제 1 통신 회로(323a) 및/또는 제 2 통신 회로(323b))를 제어하도록 설정될 수 있다.According to various embodiments, the wireless power receiving device (eg, the wireless power receiving device 195 ) includes a coil (eg, the receiving
다양한 실시예에 따라서, 상기 제 1 데이터 패킷은 Qi 표준의 RP 1 패킷이며, 상기 제 1 기간은 슬롯 타임 필드 내의 비트에 기반하여 설정되고, 상기 제 2 데이터 패킷은 Qi 표준의 RP 2 패킷이며, 상기 제 2 기간은 슬롯 타임 필드 내의 비트에 기반하여 설정될 수 있다.According to various embodiments, the first data packet is an
다양한 실시예에 따라서, 상기 제 1 데이터 패킷은 제 1 세틀링 타임을 더 포함하고, 상기 제 2 데이터 패킷은 제 2 세틀링 타임을 더 포함할 수 있다.According to various embodiments, the first data packet may further include a first settling time, and the second data packet may further include a second settling time.
다양한 실시예에 따라서, 상기 프로세서(예: 프로세서(322))는, 상기 무선 전력 수신 장치(예: 무선 전력 수신 장치(195))의 제 1 로드 상태에서 측정된 제 1 수신 전력의 레벨을 상기 제 1 데이터 패킷에 포함시키고, 상기 무선 전력 수신 장치(예: 무선 전력 수신 장치(195))의 제 2 로드 상태에서 측정된 제 2 수신 전력의 레벨을 상기 제 2 데이터 패킷에 포함시키도록 더 설정될 수 있다.According to various embodiments, the processor (eg, the processor 322) may determine the level of the first received power measured in a first load state of the wireless power receiving apparatus (eg, the wireless power receiving apparatus 195). Included in the first data packet, and further configured to include in the second data packet the level of the second received power measured in the second load state of the wireless power receiver (eg, the wireless power receiver 195) can be
다양한 실시예에 따라서, 상기 프로세서(예: 프로세서(322))는, 상기 정류기(예: 정류 회로(321b))의 출력 전압을 확인하고, 상기 정류기(예: 정류 회로(321b))의 출력 전압에 기반하여, 상기 제 1 기간 및/또는 상기 제 2 기간을 확인하도록 더 설정될 수 있다.According to various embodiments, the processor (eg, the processor 322) checks the output voltage of the rectifier (eg, the
다양한 실시예에 따라서, 상기 프로세서(예: 프로세서(322))는, 상기 무선 전력 수신 장치(예: 무선 전력 수신 장치(195))의 로드로 입력되는 전류의 크기를 확인하고, 상기 로드로 입력되는 전류에 기반하여, 상기 제 1 기간 및/또는 상기 제 2 기간을 확인하도록 더 설정될 수 있다.According to various embodiments, the processor (eg, the processor 322 ) checks the magnitude of a current input to a load of the wireless power receiving device (eg, the wireless power receiving device 195 ), and inputs it to the load. It may be further configured to identify the first period and/or the second period based on the current.
본 문서에 개시된 다양한 실시예들에 따른 전자 장치는 다양한 형태의 장치가 될 수 있다. 전자 장치는, 예를 들면, 휴대용 통신 장치(예: 스마트폰), 컴퓨터 장치, 휴대용 멀티미디어 장치, 휴대용 의료 기기, 카메라, 웨어러블 장치, 또는 가전 장치를 포함할 수 있다. 본 문서의 실시예에 따른 전자 장치는 전술한 기기들에 한정되지 않는다.The electronic device according to various embodiments disclosed in this document may have various types of devices. The electronic device may include, for example, a portable communication device (eg, a smart phone), a computer device, a portable multimedia device, a portable medical device, a camera, a wearable device, or a home appliance device. The electronic device according to the embodiment of the present document is not limited to the above-described devices.
본 문서의 다양한 실시예들 및 이에 사용된 용어들은 본 문서에 기재된 기술적 특징들을 특정한 실시예들로 한정하려는 것이 아니며, 해당 실시예의 다양한 변경, 균등물, 또는 대체물을 포함하는 것으로 이해되어야 한다. 도면의 설명과 관련하여, 유사한 또는 관련된 구성요소에 대해서는 유사한 참조 부호가 사용될 수 있다. 아이템에 대응하는 명사의 단수 형은 관련된 문맥상 명백하게 다르게 지시하지 않는 한, 상기 아이템 한 개 또는 복수 개를 포함할 수 있다. 본 문서에서, "A 또는 B", "A 및 B 중 적어도 하나", "A 또는 B 중 적어도 하나", "A, B 또는 C", "A, B 및 C 중 적어도 하나", 및 "A, B, 또는 C 중 적어도 하나"와 같은 문구들 각각은 그 문구들 중 해당하는 문구에 함께 나열된 항목들 중 어느 하나, 또는 그들의 모든 가능한 조합을 포함할 수 있다. "제 1", "제 2", 또는 "첫째" 또는 "둘째"와 같은 용어들은 단순히 해당 구성요소를 다른 해당 구성요소와 구분하기 위해 사용될 수 있으며, 해당 구성요소들을 다른 측면(예: 중요성 또는 순서)에서 한정하지 않는다. 어떤(예: 제 1) 구성요소가 다른(예: 제 2) 구성요소에, "기능적으로" 또는 "통신적으로"라는 용어와 함께 또는 이런 용어 없이, "커플드" 또는 "커넥티드"라고 언급된 경우, 그것은 상기 어떤 구성요소가 상기 다른 구성요소에 직접적으로(예: 유선으로), 무선으로, 또는 제 3 구성요소를 통하여 연결될 수 있다는 것을 의미한다.It should be understood that the various embodiments of this document and the terms used therein are not intended to limit the technical features described in this document to specific embodiments, and include various modifications, equivalents, or substitutions of the embodiments. In connection with the description of the drawings, like reference numerals may be used for similar or related components. The singular form of the noun corresponding to the item may include one or more of the item, unless the relevant context clearly dictates otherwise. As used herein, "A or B", "at least one of A and B", "at least one of A or B", "A, B or C", "at least one of A, B and C", and "A , B, or C" each may include any one of the items listed together in the corresponding one of the phrases, or all possible combinations thereof. Terms such as “first”, “second”, or “first” or “second” may simply be used to distinguish the component from other components in question, and may refer to components in other aspects (e.g., importance or order) is not limited. It is said that one (eg, first) component is "coupled" or "connected" to another (eg, second) component, with or without the terms "functionally" or "communicatively". When mentioned, it means that one component can be connected to the other component directly (eg by wire), wirelessly, or through a third component.
본 문서의 다양한 실시예들에서 사용된 용어 "모듈"은 하드웨어, 소프트웨어 또는 펌웨어로 구현된 유닛을 포함할 수 있으며, 예를 들면, 로직, 논리 블록, 부품, 또는 회로와 같은 용어와 상호 호환적으로 사용될 수 있다. 모듈은, 일체로 구성된 부품 또는 하나 또는 그 이상의 기능을 수행하는, 상기 부품의 최소 단위 또는 그 일부가 될 수 있다. 예를 들면, 일실시예에 따르면, 모듈은 ASIC(application-specific integrated circuit)의 형태로 구현될 수 있다. The term "module" used in various embodiments of this document may include a unit implemented in hardware, software, or firmware, and is interchangeable with terms such as, for example, logic, logic block, component, or circuit. can be used as A module may be an integrally formed part or a minimum unit or a part of the part that performs one or more functions. For example, according to an embodiment, the module may be implemented in the form of an application-specific integrated circuit (ASIC).
본 문서의 다양한 실시예들은 기기(machine)(예: 전자 장치(101) 및/또는 무선 전력 수신 장치(195)) 의해 읽을 수 있는 저장 매체(storage medium)(예: 내장 메모리 또는 외장 메모리)에 저장된 하나 이상의 명령어들을 포함하는 소프트웨어(예: 프로그램)로서 구현될 수 있다. 예를 들면, 기기(예: 전자 장치(101) 및/또는 무선 전력 수신 장치(195))의 프로세서는, 저장 매체로부터 저장된 하나 이상의 명령어들 중 적어도 하나의 명령을 호출하고, 그것을 실행할 수 있다. 이것은 기기가 상기 호출된 적어도 하나의 명령어에 따라 적어도 하나의 기능을 수행하도록 운영되는 것을 가능하게 한다. 상기 하나 이상의 명령어들은 컴파일러에 의해 생성된 코드 또는 인터프리터에 의해 실행될 수 있는 코드를 포함할 수 있다. 기기로 읽을 수 있는 저장 매체는, 비일시적(non-transitory) 저장 매체의 형태로 제공될 수 있다. 여기서, ‘비일시적’은 저장 매체가 실재(tangible)하는 장치이고, 신호(signal)(예: 전자기파)를 포함하지 않는다는 것을 의미할 뿐이며, 이 용어는 데이터가 저장 매체에 반영구적으로 저장되는 경우와 임시적으로 저장되는 경우를 구분하지 않는다.Various embodiments of the present document are stored in a storage medium (eg, internal memory or external memory) readable by a machine (eg, the
일실시예에 따르면, 본 문서에 개시된 다양한 실시예들에 따른 방법은 컴퓨터 프로그램 제품(computer program product)에 포함되어 제공될 수 있다. 컴퓨터 프로그램 제품은 상품으로서 판매자 및 구매자 간에 거래될 수 있다. 컴퓨터 프로그램 제품은 기기로 읽을 수 있는 저장 매체(예: compact disc read only memory(CD-ROM))의 형태로 배포되거나, 또는 어플리케이션 스토어(예: 플레이 스토어TM)를 통해 또는 두 개의 사용자 장치들(예: 스마트 폰들) 간에 직접, 온라인으로 배포(예: 다운로드 또는 업로드)될 수 있다. 온라인 배포의 경우에, 컴퓨터 프로그램 제품의 적어도 일부는 제조사의 서버, 어플리케이션 스토어의 서버, 또는 중계 서버의 메모리와 같은 기기로 읽을 수 있는 저장 매체에 적어도 일시 저장되거나, 임시적으로 생성될 수 있다.According to one embodiment, the method according to various embodiments disclosed in this document may be provided as included in a computer program product. Computer program products may be traded between sellers and buyers as commodities. The computer program product is distributed in the form of a machine-readable storage medium (eg compact disc read only memory (CD-ROM)), or via an application store (eg Play Store™) or on two user devices ( It can be distributed (eg downloaded or uploaded) directly or online between smartphones (eg: smartphones). In the case of online distribution, at least a part of the computer program product may be temporarily stored or temporarily created in a machine-readable storage medium such as a memory of a server of a manufacturer, a server of an application store, or a relay server.
다양한 실시예들에 따르면, 상기 기술한 구성요소들의 각각의 구성요소(예: 모듈 또는 프로그램)는 단수 또는 복수의 개체를 포함할 수 있으며, 복수의 개체 중 일부는 다른 구성요소에 분리 배치될 수도 있다. 다양한 실시예들에 따르면, 전술한 해당 구성요소들 중 하나 이상의 구성요소들 또는 동작들이 생략되거나, 또는 하나 이상의 다른 구성요소들 또는 동작들이 추가될 수 있다. 대체적으로 또는 추가적으로, 복수의 구성요소들(예: 모듈 또는 프로그램)은 하나의 구성요소로 통합될 수 있다. 이런 경우, 통합된 구성요소는 상기 복수의 구성요소들 각각의 구성요소의 하나 이상의 기능들을 상기 통합 이전에 상기 복수의 구성요소들 중 해당 구성요소에 의해 수행되는 것과 동일 또는 유사하게 수행할 수 있다. 다양한 실시예들에 따르면, 모듈, 프로그램 또는 다른 구성요소에 의해 수행되는 동작들은 순차적으로, 병렬적으로, 반복적으로, 또는 휴리스틱하게 실행되거나, 상기 동작들 중 하나 이상이 다른 순서로 실행되거나, 생략되거나, 또는 하나 이상의 다른 동작들이 추가될 수 있다.According to various embodiments, each component (eg, a module or a program) of the above-described components may include a singular or a plurality of entities, and some of the plurality of entities may be separately disposed in other components. have. According to various embodiments, one or more components or operations among the above-described corresponding components may be omitted, or one or more other components or operations may be added. Alternatively or additionally, a plurality of components (eg, a module or a program) may be integrated into one component. In this case, the integrated component may perform one or more functions of each component of the plurality of components identically or similarly to those performed by the corresponding component among the plurality of components prior to the integration. . According to various embodiments, operations performed by a module, program, or other component are executed sequentially, in parallel, repeatedly, or heuristically, or one or more of the operations are executed in a different order, or omitted. or one or more other operations may be added.
101: 전자 장치
195: 무선 전력 수신 장치
311: 전력 전송 회로
312: 제어 회로
313: 통신 회로
314: 센싱 회로
321: 전력 수신 회로
322: 프로세서
323: 통신 회로
324: 센서들
325: 디스플레이101: electronic device
195: wireless power receiver
311: power transmission circuit
312: control circuit
313: communication circuit
314: sensing circuit
321: power receiving circuit
322: processor
323: communication circuit
324: sensors
325: display
Claims (20)
무선 전력 수신 장치로 전력을 송신하기 위한 전력 전송 회로,
상기 무선 전력 수신 장치와 통신을 수행하도록 설정된 통신 회로, 및
제어 회로를 포함하고, 상기 제어 회로는,
상기 전력 전송 회로의 코일로 제 1 전력이 인가되도록 상기 전력 전송 회로를 제어하고,
상기 제 1 전력의 인가를 중단하고, 제 1 기간 동안 상기 코일에 전력이 인가되지 않도록 상기 전력 전송 회로를 제어하고,
상기 제 1 기간 동안의 제 1 Q-팩터를 확인하고,
상기 제 1 기간 이후, 전력 송신 시의 전력 손실의 확인에 이용되는 적어도 하나의 파라미터를 확인하기 위한 캘리브레이션 동작에 기반한 적어도 하나의 전력이 상기 코일로 인가되도록 상기 전력 전송 회로를 제어하고,
상기 적어도 하나의 전력 중 마지막 전력의 인가를 중단하고, 제 2 기간 동안 상기 코일에 전력이 인가되지 않도록 상기 전력 전송 회로를 제어하고,
상기 제 2 기간 동안의 제 2 Q-팩터를 확인하고,
상기 제 1 Q-팩터 및/또는 상기 제 2 Q-팩터에 기반하여, 상기 적어도 하나의 파라미터의 유효성을 확인하도록 설정된 전자 장치.In an electronic device,
a power transmission circuit for transmitting power to a wireless power receiving device;
a communication circuit configured to communicate with the wireless power receiver; and
A control circuit comprising:
controlling the power transmission circuit so that a first power is applied to the coil of the power transmission circuit,
stop the application of the first power, and control the power transmission circuit so that no power is applied to the coil for a first period;
identifying a first Q-factor for the first period,
After the first period, control the power transmission circuit so that at least one power is applied to the coil based on a calibration operation for checking at least one parameter used for checking power loss during power transmission,
stopping the application of the last power among the at least one power, and controlling the power transmission circuit so that no power is applied to the coil for a second period;
identifying a second Q-factor for the second period,
The electronic device is configured to check validity of the at least one parameter based on the first Q-factor and/or the second Q-factor.
상기 제어 회로는, 상기 적어도 하나의 파라미터가 유효한 것으로 판단된 경우:
상기 무선 전력 수신 장치의 충전을 위한 전력을 상기 코일에 인가하도록 상기 전력 전송 회로를 제어하고,
상기 충전을 위한 전력의 인가 도중, 상기 통신 회로를 이용하여, 상기 무선 전력 수신 장치로부터 수신 전력 레벨을 포함하는 데이터 패킷을 수신하고,
상기 충전을 위한 전력의 레벨, 상기 수신 전력 레벨, 및 상기 적어도 하나의 파라미터에 기반하여, 손실 전력이 지정된 조건을 만족하는 지 여부를 확인하고,
상기 손실 전력이 상기 지정된 조건을 만족함에 기반하여, 상기 전자 장치 상에 이물질이 배치된 것으로 판단하도록 더 설정된 전자 장치.The method of claim 1,
The control circuit is configured to: when it is determined that the at least one parameter is valid:
controlling the power transmission circuit to apply power for charging the wireless power receiving device to the coil,
receiving a data packet including a received power level from the wireless power receiving device using the communication circuit during the application of power for the charging;
Based on the level of power for the charging, the received power level, and the at least one parameter, it is checked whether the power loss satisfies a specified condition,
An electronic device further configured to determine that a foreign material is disposed on the electronic device based on the loss of power satisfying the specified condition.
상기 제어 회로는, 상기 제 1 전력의 인가를 중단하고, 상기 제 1 기간 동안 상기 코일에 전력이 인가되지 않도록 상기 전력 전송 회로를 제어하는 동작의 적어도 일부로,
상기 통신 회로를 이용하여, 상기 무선 전력 수신 장치로부터의 제 1 수신된 전력 패킷을 확인하고,
상기 제 1 수신된 전력 패킷에 포함된 상기 제 1 기간 동안 상기 코일에 전력이 인가되지 않도록 상기 전력 전송 회로를 제어하도록 설정된 전자 장치.The method of claim 1,
The control circuit, as at least part of the operation of stopping the application of the first power and controlling the power transmission circuit so that no power is applied to the coil for the first period,
using the communication circuit to check the first received power packet from the wireless power receiver;
an electronic device configured to control the power transmission circuit such that power is not applied to the coil during the first period included in the first received power packet.
상기 제 1 수신된 전력 패킷은 Qi 표준의 RP 1 패킷이며, 상기 제 1 기간은 슬롯 타임 필드 내의 비트에 기반하여 확인되는 전자 장치.4. The method of claim 3,
The first received power packet is an RP 1 packet of a Qi standard, and the first period is identified based on a bit in a slot time field.
상기 제어 회로는,
상기 제 1 수신된 전력 패킷에 포함된 제 1 세틀링 타임을 확인하고,
상기 제 1 수신된 전력 패킷의 수신 시점으로부터 상기 제 1 세틀링 타임 이후에 상기 제 1 수신된 전력 패킷에 대한 응답을 송신하도록 상기 통신 회로를 제어하도록 더 설정된 전자 장치.4. The method of claim 3,
The control circuit is
Checking a first settling time included in the first received power packet,
The electronic device further configured to control the communication circuit to transmit a response to the first received power packet after the first settling time from the reception time of the first received power packet.
상기 제어 회로는,
상기 제 1 수신된 전력 패킷에 포함된 제 1 수신 전력의 레벨을 이용하여 상기 적어도 하나의 파라미터를 확인하도록 더 설정되고,
상기 무선 전력 수신 장치는, 제 1 로드 상태에서 상기 제 1 수신 전력의 레벨을 포함한 상기 제 1 수신된 전력 패킷을 상기 전자 장치로 송신하는 전자 장치.4. The method of claim 3,
The control circuit is
further configured to check the at least one parameter using a level of a first received power included in the first received power packet,
The wireless power receiver is configured to transmit the first received power packet including the level of the first received power to the electronic device in a first load state.
상기 제어 회로는, 상기 적어도 하나의 전력 중 상기 마지막 전력의 인가를 중단하고, 상기 제 2 기간 동안 상기 코일에 전력이 인가되지 않도록 상기 전력 전송 회로를 제어하는 동작의 적어도 일부로,
상기 통신 회로를 이용하여, 상기 무선 전력 수신 장치로부터의 제 2 수신된 전력 패킷을 확인하고,
상기 제 2 수신된 전력 패킷에 포함된 상기 제 2 기간 동안 상기 코일에 전력이 인가되지 않도록 상기 전력 전송 회로를 제어하도록 설정된 전자 장치.The method of claim 1,
the control circuit, as at least part of the operation of stopping the application of the last power among the at least one power, and controlling the power transmission circuit so that no power is applied to the coil during the second period;
using the communication circuit to check the second received power packet from the wireless power receiver;
an electronic device configured to control the power transmission circuit such that power is not applied to the coil during the second period included in the second received power packet.
상기 제 2 수신된 전력 패킷은 Qi 표준의 RP 2 패킷이며, 상기 제 2 기간은 슬롯 타임 필드 내의 비트에 기반하여 확인되는 전자 장치.8. The method of claim 7,
The second received power packet is an RP 2 packet of a Qi standard, and the second period is identified based on a bit in a slot time field.
상기 제어 회로는,
상기 제 2 수신된 전력 패킷에 포함된 제 2 수신 전력의 레벨을 이용하여 상기 적어도 하나의 파라미터를 확인하도록 더 설정되고,
상기 무선 전력 수신 장치는, 제 2 로드 상태에서 상기 제 2 수신 전력의 레벨을 포함한 상기 제 2 수신된 전력 패킷을 상기 전자 장치로 송신하는 전자 장치.8. The method of claim 7,
The control circuit is
further configured to check the at least one parameter using a level of a second received power included in the second received power packet,
The wireless power receiver is configured to transmit the second received power packet including the level of the second received power to the electronic device in a second load state.
상기 제어 회로는, 상기 제 1 Q-팩터 및/또는 상기 제 2 Q-팩터에 기반하여, 상기 적어도 하나의 파라미터의 유효성을 확인하는 동작의 적어도 일부로,
상기 제 1 Q-팩터 및 상기 제 2 Q-팩터 사이의 차이가 임계 차이 이상인 경우에, 상기 적어도 하나의 파라미터가 유효하지 않은 것으로 판단하고,
상기 제 1 Q-팩터 및 상기 제 2 Q-팩터 사이의 상기 차이가 상기 임계 차이 미만인 경우에, 상기 적어도 하나의 파라미터가 유효한 것으로 판단하도록 설정된 전자 장치.The method of claim 1,
the control circuit, as at least part of the operation of verifying the validity of the at least one parameter based on the first Q-factor and/or the second Q-factor,
if the difference between the first Q-factor and the second Q-factor is greater than or equal to a threshold difference, it is determined that the at least one parameter is invalid;
the electronic device configured to determine that the at least one parameter is valid when the difference between the first Q-factor and the second Q-factor is less than the threshold difference.
상기 제어 회로는, 상기 제 1 Q-팩터 및/또는 상기 제 2 Q-팩터에 기반하여, 상기 적어도 하나의 파라미터의 유효성을 확인하는 동작의 적어도 일부로,
상기 제 1 Q-팩터와 레퍼런스 Q-팩터 사이의 제 1 차이, 및/또는 상기 제 2 Q-팩터와 상기 레퍼런스 Q-팩터 사이의 제 2 차이가 임계 차이 이상인 경우에, 상기 적어도 하나의 파라미터가 유효하지 않은 것으로 판단하고,
상기 제 1 차이 및/또는 상기 제 2 차이가 상기 임계 차이 미만인 경우에, 상기 적어도 하나의 파라미터가 유효한 것으로 판단하도록 설정된 전자 장치.The method of claim 1,
the control circuit, as at least part of the operation of verifying the validity of the at least one parameter based on the first Q-factor and/or the second Q-factor,
If the first difference between the first Q-factor and the reference Q-factor, and/or the second difference between the second Q-factor and the reference Q-factor, is greater than or equal to a threshold difference, the at least one parameter is judged to be invalid,
The electronic device is configured to determine that the at least one parameter is valid when the first difference and/or the second difference is less than the threshold difference.
상기 제어 회로는,
상기 제 1 전력이 상기 코일로 인가되는 동안, 상기 무선 전력 수신 장치와 협상 단계에서 설정된 동작을 수행하도록 더 설정된 전자 장치.The method of claim 1,
The control circuit is
An electronic device further configured to perform an operation set in a negotiation step with the wireless power receiver while the first power is applied to the coil.
상기 제어 회로는, 상기 협상 단계에서 설정된 동작을 수행한 이후 획득된 복수 개의 캘리브레이션 데이터 포인트에 기반하여, 상기 적어도 하나의 파라미터를 확인하도록 더 설정되고,
상기 복수 개의 캘리브레이션 데이터 포인트 각각은, 상기 무선 전력 수신 장치의 복수 개의 로드 상태 각각에 대응하는 복수 개의 수신 전력의 레벨과, 상기 복수 개의 수신 전력의 레벨에 대응하는 복수 개의 송신 전력의 레벨을 포함하는 전자 장치.13. The method of claim 12,
the control circuit is further configured to check the at least one parameter based on a plurality of calibration data points obtained after performing the operation set in the negotiation step;
Each of the plurality of calibration data points includes a plurality of received power levels corresponding to a plurality of load states of the wireless power receiver, respectively, and a plurality of transmit power levels corresponding to the plurality of received power levels. electronic device.
상기 제어 회로는, 상기 적어도 하나의 파라미터가 유효한 것에 기반하여, 상기 무선 전력 수신 장치의 충전을 위한 전력을 상기 코일로 인가하도록 상기 전력 전송 회로를 제어하도록 더 설정된 전자 장치.14. The method of claim 13,
The control circuit is further configured to control the power transmission circuit to apply power for charging the wireless power receiver to the coil based on whether the at least one parameter is valid.
전자 장치로부터의 전력을 수신하기 위한 코일;
상기 코일로부터 출력되는 교류 전력을 직류 전력으로 정류하는 정류기,
프로세서, 및
통신 회로를 포함하고,
상기 프로세서는,
상기 코일을 통하여, 제 1 전력이 수신되는 동안, 상기 제 1 전력의 인가의 중단 및 제 1 기간 동안의 전력 인가의 중단 유지를 요청하는 제 1 데이터 패킷을 송신하도록 상기 통신 회로를 제어하고,
전력 송신 시의 전력 손실의 확인에 이용되는 적어도 하나의 파라미터를 확인하기 위한 캘리브레이션 동작에 기반한 적어도 하나의 전력 중 마지막 전력이 상기 코일을 통하여 수신되는 동안, 상기 마지막 전력의 인가의 중단 및 제 2 기간 동안의 전력 인가의 중단 유지를 요청하는 제 1 데이터 패킷을 송신하도록 상기 통신 회로를 제어하도록 설정된 무선 전력 수신 장치.A wireless power receiver comprising:
a coil for receiving power from the electronic device;
a rectifier for rectifying AC power output from the coil into DC power;
processor, and
communication circuitry;
The processor is
control the communication circuitry to transmit, via the coil, a first data packet requesting, while the first power is received, cessation of the application of the first power and the maintenance of the cessation of the application of the power for a first period;
Interruption of application of the last power and a second period while the last power of at least one power is received through the coil based on a calibration operation for checking at least one parameter used for checking power loss in power transmission A wireless power receiving apparatus configured to control the communication circuit to transmit a first data packet requesting to maintain interruption of power application during a period of time.
상기 제 1 데이터 패킷은 Qi 표준의 RP 1 패킷이며, 상기 제 1 기간은 슬롯 타임 필드 내의 비트에 기반하여 설정되고,
상기 제 2 데이터 패킷은 Qi 표준의 RP 2 패킷이며, 상기 제 2 기간은 슬롯 타임 필드 내의 비트에 기반하여 설정되는 무선 전력 수신 장치.16. The method of claim 15,
the first data packet is a RP 1 packet of the Qi standard, the first period is set based on a bit in the slot time field,
The second data packet is a Qi standard RP 2 packet, and the second period is set based on a bit in a slot time field.
상기 제 1 데이터 패킷은 제 1 세틀링 타임을 더 포함하고, 상기 제 2 데이터 패킷은 제 2 세틀링 타임을 더 포함하는 무선 전력 수신 장치.16. The method of claim 15,
The first data packet further includes a first settling time, and the second data packet further includes a second settling time.
상기 프로세서는,
상기 무선 전력 수신 장치의 제 1 로드 상태에서 측정된 제 1 수신 전력의 레벨을 상기 제 1 데이터 패킷에 포함시키고,
상기 무선 전력 수신 장치의 제 2 로드 상태에서 측정된 제 2 수신 전력의 레벨을 상기 제 2 데이터 패킷에 포함시키도록 더 설정된 무선 전력 수신 장치.16. The method of claim 15,
The processor is
including the level of the first received power measured in the first load state of the wireless power receiver in the first data packet,
The wireless power receiver is further configured to include in the second data packet the level of the second received power measured in the second load state of the wireless power receiver.
상기 프로세서는,
상기 정류기의 출력 전압을 확인하고,
상기 정류기의 출력 전압에 기반하여, 상기 제 1 기간 및/또는 상기 제 2 기간을 확인하도록 더 설정된 무선 전력 수신 장치.16. The method of claim 15,
The processor is
Check the output voltage of the rectifier,
Based on the output voltage of the rectifier, the wireless power receiver further configured to check the first period and / or the second period.
상기 프로세서는,
상기 무선 전력 수신 장치의 로드로 입력되는 전류의 크기를 확인하고,
상기 로드로 입력되는 전류에 기반하여, 상기 제 1 기간 및/또는 상기 제 2 기간을 확인하도록 더 설정된 무선 전력 수신 장치.
16. The method of claim 15,
The processor is
Check the magnitude of the current input to the load of the wireless power receiver,
A wireless power receiver further configured to check the first period and/or the second period based on the current input to the load.
Priority Applications (3)
| Application Number | Priority Date | Filing Date | Title |
|---|---|---|---|
| EP21804776.9A EP4101049B1 (en) | 2020-05-11 | 2021-05-10 | Electronic device for wirelessly transmitting or receiving power and method for operating the same |
| PCT/KR2021/005825 WO2021230598A1 (en) | 2020-05-11 | 2021-05-10 | Electronic device for wirelessly transmitting or receiving power and method for operating the same |
| US17/317,142 US11715981B2 (en) | 2020-05-11 | 2021-05-11 | Electronic device for wirelessly transmitting or receiving power and method for operating the same |
Applications Claiming Priority (2)
| Application Number | Priority Date | Filing Date | Title |
|---|---|---|---|
| US202063022766P | 2020-05-11 | 2020-05-11 | |
| US63/022,766 | 2020-05-11 |
Publications (2)
| Publication Number | Publication Date |
|---|---|
| KR20210137888A true KR20210137888A (en) | 2021-11-18 |
| KR102873400B1 KR102873400B1 (en) | 2025-10-20 |
Family
ID=78717144
Family Applications (1)
| Application Number | Title | Priority Date | Filing Date |
|---|---|---|---|
| KR1020200152591A Active KR102873400B1 (en) | 2020-05-11 | 2020-11-16 | Electronic device for wirelessly transmitting power and wireless power receiving device and method for operating thereof |
Country Status (1)
| Country | Link |
|---|---|
| KR (1) | KR102873400B1 (en) |
Cited By (2)
| Publication number | Priority date | Publication date | Assignee | Title |
|---|---|---|---|---|
| WO2025063591A1 (en) * | 2023-09-18 | 2025-03-27 | 삼성전자 주식회사 | Electronic device and power transmission method |
| WO2025211581A1 (en) * | 2024-04-03 | 2025-10-09 | 삼성전자 주식회사 | Wireless power transmission device and operation method therefor |
Citations (6)
| Publication number | Priority date | Publication date | Assignee | Title |
|---|---|---|---|---|
| US20090001941A1 (en) * | 2007-06-29 | 2009-01-01 | Microsoft Corporation | Inductive Powering Surface for Powering Portable Devices |
| JP2017070074A (en) * | 2015-09-29 | 2017-04-06 | ローム株式会社 | WIRELESS POWER TRANSMISSION DEVICE, ITS CONTROL CIRCUIT, CHARGER, AND FOREIGN-DETECTION CALIBRATION METHOD |
| WO2017070227A1 (en) * | 2015-10-19 | 2017-04-27 | Witricity Corporation | Foreign object detection in wireless energy transfer systems |
| US20190165618A1 (en) * | 2017-11-30 | 2019-05-30 | Nxp B.V. | Foreign object detection circuit for wireless charger |
| US20190296559A1 (en) * | 2014-10-02 | 2019-09-26 | Powermat Technologies Ltd. | Wireless power transmitter and method of error detection during use thereof |
| WO2020003314A1 (en) * | 2018-06-27 | 2020-01-02 | Powermat Technologies Ltd. | Enhanced method for foreign objects detection |
-
2020
- 2020-11-16 KR KR1020200152591A patent/KR102873400B1/en active Active
Patent Citations (6)
| Publication number | Priority date | Publication date | Assignee | Title |
|---|---|---|---|---|
| US20090001941A1 (en) * | 2007-06-29 | 2009-01-01 | Microsoft Corporation | Inductive Powering Surface for Powering Portable Devices |
| US20190296559A1 (en) * | 2014-10-02 | 2019-09-26 | Powermat Technologies Ltd. | Wireless power transmitter and method of error detection during use thereof |
| JP2017070074A (en) * | 2015-09-29 | 2017-04-06 | ローム株式会社 | WIRELESS POWER TRANSMISSION DEVICE, ITS CONTROL CIRCUIT, CHARGER, AND FOREIGN-DETECTION CALIBRATION METHOD |
| WO2017070227A1 (en) * | 2015-10-19 | 2017-04-27 | Witricity Corporation | Foreign object detection in wireless energy transfer systems |
| US20190165618A1 (en) * | 2017-11-30 | 2019-05-30 | Nxp B.V. | Foreign object detection circuit for wireless charger |
| WO2020003314A1 (en) * | 2018-06-27 | 2020-01-02 | Powermat Technologies Ltd. | Enhanced method for foreign objects detection |
Cited By (2)
| Publication number | Priority date | Publication date | Assignee | Title |
|---|---|---|---|---|
| WO2025063591A1 (en) * | 2023-09-18 | 2025-03-27 | 삼성전자 주식회사 | Electronic device and power transmission method |
| WO2025211581A1 (en) * | 2024-04-03 | 2025-10-09 | 삼성전자 주식회사 | Wireless power transmission device and operation method therefor |
Also Published As
| Publication number | Publication date |
|---|---|
| KR102873400B1 (en) | 2025-10-20 |
Similar Documents
| Publication | Publication Date | Title |
|---|---|---|
| EP4101049B1 (en) | Electronic device for wirelessly transmitting or receiving power and method for operating the same | |
| US11862990B2 (en) | Wireless charging device and method for charging electronic device using the same | |
| KR102856212B1 (en) | Power transmission device, and method of tracking maximum efficiency point of a system including the power transmission device and power reception device | |
| KR102902307B1 (en) | Wireless power transmitting device for wirelessly transmitting power, wireless power receiving device for wirelessly receiving power and method for operating thereof | |
| EP4220895A1 (en) | Electronic apparatus for transmitting wireless power and wireless charging method using same | |
| KR20220105430A (en) | Electronic device controlling phase difference of power provided to rectifier and method for controlling thereof | |
| KR102873400B1 (en) | Electronic device for wirelessly transmitting power and wireless power receiving device and method for operating thereof | |
| EP4422031A1 (en) | Wireless charging method and electronic device supporting same | |
| EP4170866B1 (en) | Electronic device for wireless power transmission and operating method thereof | |
| KR102849248B1 (en) | Electronic device and method for identifying power receiving device | |
| US11309742B2 (en) | Wireless charging method and system for detecting foreign material during wireless charging | |
| KR20220054169A (en) | method for detecting foreign object and electronic device | |
| KR20220149295A (en) | Method for controlling a type of wireless charging and method thereof | |
| KR20230055796A (en) | Electronic device for wirelessly transmitting power and method of operating the same | |
| KR20220026407A (en) | Electronic device and method transmitting power based adaptive operating voltage | |
| US20230179028A1 (en) | Method for detecting foreign object and electronic device | |
| US12316154B2 (en) | Electronic device stabilizing output current of charging circuit and controlling method thereof | |
| KR102879416B1 (en) | Electronic device for transmitting wireless power and method for wireless charging thereof | |
| EP4318863A1 (en) | Electronic device for charging battery on basis of internal temperature | |
| KR102865543B1 (en) | Electronic device stabilizing output current of charging circuit and method for controlling thereof | |
| KR20230032253A (en) | Electronic device and method for controlling wireless charging using the same | |
| KR20210157722A (en) | Electronic device wirelessly receiving power and method for operating thereof | |
| US20230062165A1 (en) | Electronic device and method of controlling wireless charging using the same | |
| US20250364847A1 (en) | Electronic device including wireless charging device | |
| EP4404431A1 (en) | Wireless charging guide providing method and electronic device performing same |
Legal Events
| Date | Code | Title | Description |
|---|---|---|---|
| PA0109 | Patent application |
St.27 status event code: A-0-1-A10-A12-nap-PA0109 |
|
| PG1501 | Laying open of application |
St.27 status event code: A-1-1-Q10-Q12-nap-PG1501 |
|
| PA0201 | Request for examination |
St.27 status event code: A-1-2-D10-D11-exm-PA0201 |
|
| P22-X000 | Classification modified |
St.27 status event code: A-2-2-P10-P22-nap-X000 |
|
| E902 | Notification of reason for refusal | ||
| PE0902 | Notice of grounds for rejection |
St.27 status event code: A-1-2-D10-D21-exm-PE0902 |
|
| P11-X000 | Amendment of application requested |
St.27 status event code: A-2-2-P10-P11-nap-X000 |
|
| D22 | Grant of ip right intended |
Free format text: ST27 STATUS EVENT CODE: A-1-2-D10-D22-EXM-PE0701 (AS PROVIDED BY THE NATIONAL OFFICE) |
|
| PE0701 | Decision of registration |
St.27 status event code: A-1-2-D10-D22-exm-PE0701 |
|
| F11 | Ip right granted following substantive examination |
Free format text: ST27 STATUS EVENT CODE: A-2-4-F10-F11-EXM-PR0701 (AS PROVIDED BY THE NATIONAL OFFICE) |
|
| PR0701 | Registration of establishment |
St.27 status event code: A-2-4-F10-F11-exm-PR0701 |
|
| PR1002 | Payment of registration fee |
St.27 status event code: A-2-2-U10-U11-oth-PR1002 Fee payment year number: 1 |
|
| U11 | Full renewal or maintenance fee paid |
Free format text: ST27 STATUS EVENT CODE: A-2-2-U10-U11-OTH-PR1002 (AS PROVIDED BY THE NATIONAL OFFICE) Year of fee payment: 1 |
|
| PG1601 | Publication of registration |
St.27 status event code: A-4-4-Q10-Q13-nap-PG1601 |
|
| Q13 | Ip right document published |
Free format text: ST27 STATUS EVENT CODE: A-4-4-Q10-Q13-NAP-PG1601 (AS PROVIDED BY THE NATIONAL OFFICE) |



