KR20210059652A - Organic electroluminescent materials and devices - Google Patents
Organic electroluminescent materials and devices Download PDFInfo
- Publication number
- KR20210059652A KR20210059652A KR1020200151988A KR20200151988A KR20210059652A KR 20210059652 A KR20210059652 A KR 20210059652A KR 1020200151988 A KR1020200151988 A KR 1020200151988A KR 20200151988 A KR20200151988 A KR 20200151988A KR 20210059652 A KR20210059652 A KR 20210059652A
- Authority
- KR
- South Korea
- Prior art keywords
- group
- compound
- independently
- aryl
- oled
- Prior art date
- Legal status (The legal status is an assumption and is not a legal conclusion. Google has not performed a legal analysis and makes no representation as to the accuracy of the status listed.)
- Pending
Links
Images
Classifications
-
- C—CHEMISTRY; METALLURGY
- C07—ORGANIC CHEMISTRY
- C07D—HETEROCYCLIC COMPOUNDS
- C07D209/00—Heterocyclic compounds containing five-membered rings, condensed with other rings, with one nitrogen atom as the only ring hetero atom
- C07D209/56—Ring systems containing three or more rings
- C07D209/80—[b, c]- or [b, d]-condensed
- C07D209/82—Carbazoles; Hydrogenated carbazoles
- C07D209/86—Carbazoles; Hydrogenated carbazoles with only hydrogen atoms, hydrocarbon or substituted hydrocarbon radicals, directly attached to carbon atoms of the ring system
-
- C—CHEMISTRY; METALLURGY
- C07—ORGANIC CHEMISTRY
- C07D—HETEROCYCLIC COMPOUNDS
- C07D209/00—Heterocyclic compounds containing five-membered rings, condensed with other rings, with one nitrogen atom as the only ring hetero atom
- C07D209/56—Ring systems containing three or more rings
- C07D209/80—[b, c]- or [b, d]-condensed
- C07D209/82—Carbazoles; Hydrogenated carbazoles
-
- C—CHEMISTRY; METALLURGY
- C07—ORGANIC CHEMISTRY
- C07D—HETEROCYCLIC COMPOUNDS
- C07D403/00—Heterocyclic compounds containing two or more hetero rings, having nitrogen atoms as the only ring hetero atoms, not provided for by group C07D401/00
- C07D403/14—Heterocyclic compounds containing two or more hetero rings, having nitrogen atoms as the only ring hetero atoms, not provided for by group C07D401/00 containing three or more hetero rings
-
- C—CHEMISTRY; METALLURGY
- C07—ORGANIC CHEMISTRY
- C07D—HETEROCYCLIC COMPOUNDS
- C07D471/00—Heterocyclic compounds containing nitrogen atoms as the only ring hetero atoms in the condensed system, at least one ring being a six-membered ring with one nitrogen atom, not provided for by groups C07D451/00 - C07D463/00
- C07D471/02—Heterocyclic compounds containing nitrogen atoms as the only ring hetero atoms in the condensed system, at least one ring being a six-membered ring with one nitrogen atom, not provided for by groups C07D451/00 - C07D463/00 in which the condensed system contains two hetero rings
- C07D471/04—Ortho-condensed systems
-
- C—CHEMISTRY; METALLURGY
- C07—ORGANIC CHEMISTRY
- C07D—HETEROCYCLIC COMPOUNDS
- C07D487/00—Heterocyclic compounds containing nitrogen atoms as the only ring hetero atoms in the condensed system, not provided for by groups C07D451/00 - C07D477/00
- C07D487/02—Heterocyclic compounds containing nitrogen atoms as the only ring hetero atoms in the condensed system, not provided for by groups C07D451/00 - C07D477/00 in which the condensed system contains two hetero rings
- C07D487/04—Ortho-condensed systems
-
- C—CHEMISTRY; METALLURGY
- C09—DYES; PAINTS; POLISHES; NATURAL RESINS; ADHESIVES; COMPOSITIONS NOT OTHERWISE PROVIDED FOR; APPLICATIONS OF MATERIALS NOT OTHERWISE PROVIDED FOR
- C09K—MATERIALS FOR MISCELLANEOUS APPLICATIONS, NOT PROVIDED FOR ELSEWHERE
- C09K11/00—Luminescent, e.g. electroluminescent, chemiluminescent materials
- C09K11/06—Luminescent, e.g. electroluminescent, chemiluminescent materials containing organic luminescent materials
-
- H01L51/0067—
-
- H01L51/0071—
-
- H01L51/0072—
-
- H01L51/008—
-
- H01L51/0087—
-
- H01L51/0094—
-
- H01L51/5016—
-
- H—ELECTRICITY
- H10—SEMICONDUCTOR DEVICES; ELECTRIC SOLID-STATE DEVICES NOT OTHERWISE PROVIDED FOR
- H10K—ORGANIC ELECTRIC SOLID-STATE DEVICES
- H10K50/00—Organic light-emitting devices
- H10K50/10—OLEDs or polymer light-emitting diodes [PLED]
- H10K50/11—OLEDs or polymer light-emitting diodes [PLED] characterised by the electroluminescent [EL] layers
-
- H—ELECTRICITY
- H10—SEMICONDUCTOR DEVICES; ELECTRIC SOLID-STATE DEVICES NOT OTHERWISE PROVIDED FOR
- H10K—ORGANIC ELECTRIC SOLID-STATE DEVICES
- H10K50/00—Organic light-emitting devices
- H10K50/10—OLEDs or polymer light-emitting diodes [PLED]
- H10K50/11—OLEDs or polymer light-emitting diodes [PLED] characterised by the electroluminescent [EL] layers
- H10K50/12—OLEDs or polymer light-emitting diodes [PLED] characterised by the electroluminescent [EL] layers comprising dopants
-
- H—ELECTRICITY
- H10—SEMICONDUCTOR DEVICES; ELECTRIC SOLID-STATE DEVICES NOT OTHERWISE PROVIDED FOR
- H10K—ORGANIC ELECTRIC SOLID-STATE DEVICES
- H10K85/00—Organic materials used in the body or electrodes of devices covered by this subclass
- H10K85/60—Organic compounds having low molecular weight
- H10K85/649—Aromatic compounds comprising a hetero atom
- H10K85/657—Polycyclic condensed heteroaromatic hydrocarbons
- H10K85/6572—Polycyclic condensed heteroaromatic hydrocarbons comprising only nitrogen in the heteroaromatic polycondensed ring system, e.g. phenanthroline or carbazole
-
- H—ELECTRICITY
- H10—SEMICONDUCTOR DEVICES; ELECTRIC SOLID-STATE DEVICES NOT OTHERWISE PROVIDED FOR
- H10K—ORGANIC ELECTRIC SOLID-STATE DEVICES
- H10K85/00—Organic materials used in the body or electrodes of devices covered by this subclass
- H10K85/60—Organic compounds having low molecular weight
- H10K85/649—Aromatic compounds comprising a hetero atom
- H10K85/657—Polycyclic condensed heteroaromatic hydrocarbons
- H10K85/6574—Polycyclic condensed heteroaromatic hydrocarbons comprising only oxygen in the heteroaromatic polycondensed ring system, e.g. cumarine dyes
-
- C—CHEMISTRY; METALLURGY
- C09—DYES; PAINTS; POLISHES; NATURAL RESINS; ADHESIVES; COMPOSITIONS NOT OTHERWISE PROVIDED FOR; APPLICATIONS OF MATERIALS NOT OTHERWISE PROVIDED FOR
- C09K—MATERIALS FOR MISCELLANEOUS APPLICATIONS, NOT PROVIDED FOR ELSEWHERE
- C09K2211/00—Chemical nature of organic luminescent or tenebrescent compounds
- C09K2211/10—Non-macromolecular compounds
- C09K2211/1018—Heterocyclic compounds
- C09K2211/1025—Heterocyclic compounds characterised by ligands
- C09K2211/1029—Heterocyclic compounds characterised by ligands containing one nitrogen atom as the heteroatom
-
- C—CHEMISTRY; METALLURGY
- C09—DYES; PAINTS; POLISHES; NATURAL RESINS; ADHESIVES; COMPOSITIONS NOT OTHERWISE PROVIDED FOR; APPLICATIONS OF MATERIALS NOT OTHERWISE PROVIDED FOR
- C09K—MATERIALS FOR MISCELLANEOUS APPLICATIONS, NOT PROVIDED FOR ELSEWHERE
- C09K2211/00—Chemical nature of organic luminescent or tenebrescent compounds
- C09K2211/10—Non-macromolecular compounds
- C09K2211/1018—Heterocyclic compounds
- C09K2211/1025—Heterocyclic compounds characterised by ligands
- C09K2211/1044—Heterocyclic compounds characterised by ligands containing two nitrogen atoms as heteroatoms
-
- C—CHEMISTRY; METALLURGY
- C09—DYES; PAINTS; POLISHES; NATURAL RESINS; ADHESIVES; COMPOSITIONS NOT OTHERWISE PROVIDED FOR; APPLICATIONS OF MATERIALS NOT OTHERWISE PROVIDED FOR
- C09K—MATERIALS FOR MISCELLANEOUS APPLICATIONS, NOT PROVIDED FOR ELSEWHERE
- C09K2211/00—Chemical nature of organic luminescent or tenebrescent compounds
- C09K2211/10—Non-macromolecular compounds
- C09K2211/1018—Heterocyclic compounds
- C09K2211/1025—Heterocyclic compounds characterised by ligands
- C09K2211/1059—Heterocyclic compounds characterised by ligands containing three nitrogen atoms as heteroatoms
-
- C—CHEMISTRY; METALLURGY
- C09—DYES; PAINTS; POLISHES; NATURAL RESINS; ADHESIVES; COMPOSITIONS NOT OTHERWISE PROVIDED FOR; APPLICATIONS OF MATERIALS NOT OTHERWISE PROVIDED FOR
- C09K—MATERIALS FOR MISCELLANEOUS APPLICATIONS, NOT PROVIDED FOR ELSEWHERE
- C09K2211/00—Chemical nature of organic luminescent or tenebrescent compounds
- C09K2211/10—Non-macromolecular compounds
- C09K2211/1018—Heterocyclic compounds
- C09K2211/1025—Heterocyclic compounds characterised by ligands
- C09K2211/1088—Heterocyclic compounds characterised by ligands containing oxygen as the only heteroatom
-
- H—ELECTRICITY
- H10—SEMICONDUCTOR DEVICES; ELECTRIC SOLID-STATE DEVICES NOT OTHERWISE PROVIDED FOR
- H10K—ORGANIC ELECTRIC SOLID-STATE DEVICES
- H10K2101/00—Properties of the organic materials covered by group H10K85/00
- H10K2101/40—Interrelation of parameters between multiple constituent active layers or sublayers, e.g. HOMO values in adjacent layers
Landscapes
- Chemical & Material Sciences (AREA)
- Organic Chemistry (AREA)
- Engineering & Computer Science (AREA)
- Materials Engineering (AREA)
- Physics & Mathematics (AREA)
- Spectroscopy & Molecular Physics (AREA)
- Optics & Photonics (AREA)
- Electroluminescent Light Sources (AREA)
Abstract
하나 이상의 비카르바졸 결합을 갖는 오르토-치환된 비페닐 화합물이 제공된다. 또한, 이러한 오르토-치환된 비페닐 화합물을 포함하는 배합물이 제공된다. 추가로, 이러한 오르토-치환된 비페닐 화합물을 이용하는 OLED 및 관련 소비자 제품이 제공된다.Ortho-substituted biphenyl compounds having one or more bicarbazole linkages are provided. Also provided are formulations comprising such ortho-substituted biphenyl compounds. Additionally, OLEDs and related consumer products utilizing such ortho-substituted biphenyl compounds are provided.
Description
관련 출원에 대한 상호 참조Cross-reference to related applications
본 출원은 2019년 11월 14일에 출원된 미국특허출원 제16/683,507호의 부분 연속 출원이며, 또한 35 U.S.C.§ 119(e) 하에서 2020년 4월 29일에 출원된 미국 가특허출원 번호 제63/017,220호에 대한 우선권을 주장하며, 이의 전체 내용은 본원에 참조로 포함되어 있다.This application is a partial continuation of U.S. Patent Application No. 16/683,507 filed on November 14, 2019, and U.S. Provisional Patent Application No. 63, filed on April 29, 2020 under 35 USC§ 119(e). /017,220 claims priority, the entire contents of which are incorporated herein by reference.
분야Field
본 개시내용은 일반적으로 유기금속 화합물과 배합물 및 디바이스 예컨대 유기 발광 다이오드 및 관련 전자 디바이스에서 이미터로서의 용도를 포함하는 이의 다양한 용도에 관한 것이다.The present disclosure relates generally to organometallic compounds and their various uses, including as emitters in formulations and devices such as organic light-emitting diodes and related electronic devices.
유기 물질을 사용하는 광전자 디바이스는 여러 이유로 인하여 점차로 중요해지고 있다. 이와 같은 디바이스를 제조하는데 사용되는 다수의 물질들은 비교적 저렴하기 때문에, 유기 광전자 디바이스는 무기 디바이스에 비하여 비용 잇점면에서 잠재성을 갖는다. 또한, 유기 물질의 고유한 특성, 예컨대 이의 가요성은 그 유기 물질이 가요성 기판 상에서의 제작과 같은 특정 적용예에 매우 적합하게 할 수 있다. 유기 광전자 디바이스의 예로는 유기 발광 다이오드/디바이스(OLED), 유기 광트랜지스터, 유기 광전지 및 유기 광검출기를 들 수 있다. OLED의 경우, 유기 물질은 통상의 물질에 비하여 성능 면에서의 잇점을 가질 수 있다. Optoelectronic devices using organic materials are becoming increasingly important for several reasons. Because many of the materials used to make such devices are relatively inexpensive, organic optoelectronic devices have the potential for cost advantages over inorganic devices. In addition, the inherent properties of organic materials, such as their flexibility, can make them well suited for certain applications, such as fabrication on flexible substrates. Examples of organic optoelectronic devices include organic light emitting diodes/devices (OLEDs), organic phototransistors, organic photovoltaic cells and organic photodetectors. In the case of OLEDs, organic materials can have performance advantages over conventional materials.
OLED는 디바이스에 전압을 인가할 때 광을 방출하는 유기 박막을 사용한다. OLED는 평면 패널 디스플레이, 조명 및 백라이팅과 같은 적용예의 용도에 있어 점차로 중요해지는 기술이다. OLEDs use thin organic films that emit light when voltage is applied to the device. OLED is an increasingly important technology for applications such as flat panel displays, lighting and backlighting.
인광 방출 분자에 대한 하나의 적용예는 풀 컬러 디스플레이이다. 이러한 디스플레이에 대한 산업적 기준은 "포화" 색상으로 지칭되는 특정 색상을 방출하도록 조정된 픽셀을 필요로 한다. 특히, 이러한 기준은 포화 적색, 녹색 및 청색 픽셀을 필요로 한다. 대안적으로 OLED는 백색 광을 방출하도록 설계될 수 있다. 통상적인 액정 디스플레이에서, 백색 백라이트에서 나온 발광이 흡수 필터를 사용하여 여과되어 적색, 녹색 및 청색 발광을 생성한다. 동일한 기법이 또한 OLED에도 사용될 수 있다. 백색 OLED는 단일 발광층(EML) 디바이스 또는 스택 구조일 수 있다. 색상은 당업계에 주지된 CIE 좌표를 사용하여 측정될 수 있다. One application for phosphorescent emitting molecules is full color displays. Industry standards for such displays require pixels that are tuned to emit a specific color referred to as "saturated" color. In particular, this criterion requires saturated red, green and blue pixels. Alternatively, OLEDs can be designed to emit white light. In a typical liquid crystal display, light emission from a white backlight is filtered using an absorption filter to produce red, green and blue light emission. The same technique can also be used for OLEDs. The white OLED can be a single light emitting layer (EML) device or a stacked structure. Color can be measured using CIE coordinates well known in the art.
요약summary
하나 이상의 비카르바졸 결합을 갖는 오르토-치환된 비페닐 화합물이 제공된다. 오르토-치환된 비페닐은 꼬인 분자 형태를 제공하며, 이는 분자의 삼중항 에너지를 증가시킬 수 있고, 비카르바졸 모이어티는 양호한 전하 수송 모이어티를 제공한다. 이 화합물은 꼬인 형태 또는 비카르바졸 결합이 없는 관련 화합물과 비교하여 더 높은 효율 및 더 긴 수명을 가능하게 하는 인광성 디바이스에서의 호스트로서 사용될 수 있다. Ortho-substituted biphenyl compounds having one or more bicarbazole linkages are provided. The ortho-substituted biphenyl provides a twisted molecular form, which can increase the triplet energy of the molecule, and the bicarbazole moiety provides a good charge transport moiety. This compound can be used as a host in phosphorescent devices, allowing higher efficiency and longer lifetime compared to related compounds without twisted form or non-carbazole bonds.
일 양태에서, 본 개시내용은 하기 화학식 I의 구조를 포함하는 화합물을 제공한다:In one aspect, the disclosure provides a compound comprising the structure of Formula I:
; ;
상기 식에서, Y i 는 이고, Y j 는 이고,In the above formula, Y i is And Y j is ego,
여기서, RA, RB, RC, 및 RD는 각각 독립적으로 제로, 일치환, 이치환 또는 최대 허용가능한 수의 치환을 나타내고;Wherein R A , R B , R C , and R D each independently represent zero, mono-, di- or maximum permissible number of substitutions;
각각의 RA, RB, RC, 및 RD는 독립적으로 수소, 또는 중수소, 할로겐, 알킬, 시클로알킬, 헤테로알킬, 헤테로시클로알킬, 보릴, 아릴알킬, 알콕시, 아릴옥시, 아미노, 실릴, 알케닐, 시클로알케닐, 헤테로알케닐, 알키닐, 아릴, 헤테로아릴, 아실, 카르복실산, 에테르, 에스테르, 니트릴, 이소니트릴, 술파닐, 술피닐, 술포닐, 포스피노, 및 이들의 조합으로 이루어진 군으로부터 선택된 치환기이고;Each of R A , R B , R C , and R D is independently hydrogen, or deuterium, halogen, alkyl, cycloalkyl, heteroalkyl, heterocycloalkyl, boryl, arylalkyl, alkoxy, aryloxy, amino, silyl, Alkenyl, cycloalkenyl, heteroalkenyl, alkynyl, aryl, heteroaryl, acyl, carboxylic acid, ether, ester, nitrile, isonitrile, sulfanyl, sulfinyl, sulfonyl, phosphino, and combinations thereof It is a substituent selected from the group consisting of;
RA, RB, RC, 및 RD 중 하나 이상은 카르바졸 모이어티를 포함하고;At least one of R A , R B , R C , and R D comprises a carbazole moiety;
X1-X16은 독립적으로 C 또는 N이고; 그리고 임의의 2개의 치환기는 함께 결합되거나 또는 융합되어 고리를 형성할 수 있다.X 1 -X 16 are independently C or N; And any two substituents may be bonded or fused together to form a ring.
다른 양태에서, 본 개시내용은 본 개시내용의 화합물의 배합물을 제공한다.In another aspect, the disclosure provides combinations of the compounds of the disclosure.
또 다른 양태에서, 본 개시내용은 본 개시내용의 화합물을 포함하는 유기층을 갖는 OLED를 제공한다.In another aspect, the disclosure provides an OLED having an organic layer comprising a compound of the disclosure.
또 다른 양태에서, 본 개시내용은 본원에 기재된 바와 같은 화학식 I의 구조를 포함하는 화합물을 포함하는 유기층을 갖는 OLED를 포함하는 소비자 제품을 제공한다.In another aspect, the present disclosure provides a consumer product comprising an OLED having an organic layer comprising a compound comprising a structure of Formula I as described herein.
도 1은 유기 발광 디바이스를 도시한다.
도 2는 별도의 전자 수송층을 갖지 않는 역구조 유기 발광 디바이스를 도시한다.1 shows an organic light emitting device.
Fig. 2 shows an inverted structure organic light emitting device that does not have a separate electron transport layer.
A.A. 용어Terms
달리 명시된 바가 없다면, 본원에서 사용된 이하의 용어들은 하기와 같이 정의된다:Unless otherwise specified, the following terms used herein are defined as follows:
본원에서 사용한 바와 같이, 용어 "유기"는 유기 광전자 디바이스를 제작하는 데 사용될 수 있는 고분자 물질뿐 아니라, 소분자 유기 물질도 포함한다. "소분자"는 중합체가 아닌 임의의 유기 물질을 지칭하며, "소분자"는 실제로 꽤 클 수도 있다. 소분자는 일부의 상황에서는 반복 단위를 포함할 수 있다. 예를 들면, 치환기로서 장쇄 알킬기를 사용하는 것은 "소분자" 유형으로부터 분자를 제외시키지 않는다. 소분자는 또한 예를 들면 중합체 주쇄 상에서의 펜던트 기로서 또는 주쇄의 일부로서 중합체에 혼입될 수 있다. 소분자는 또한 코어 모이어티 상에 생성된 일련의 화학적 셸로 이루어진 덴드리머의 코어 모이어티로서 작용할 수 있다. 덴드리머의 코어 모이어티는 형광 또는 인광 소분자 이미터일 수 있다. 덴드리머는 "소분자"일 수 있으며, OLED 분야에서 현재 사용되는 모든 덴드리머는 소분자인 것으로 여겨진다. As used herein, the term “organic” includes not only polymeric materials that can be used to fabricate organic optoelectronic devices, but also small molecule organic materials. “Small molecule” refers to any organic material that is not a polymer, and “small molecule” may actually be quite large. Small molecules may contain repeat units in some situations. For example, the use of a long chain alkyl group as a substituent does not exclude a molecule from the "small molecule" type. Small molecules can also be incorporated into the polymer, for example as pendant groups on the polymer backbone or as part of the backbone. Small molecules can also act as the core moiety of a dendrimer consisting of a series of chemical shells created on the core moiety. The core moiety of the dendrimer may be a fluorescent or phosphorescent small molecule emitter. Dendrimers may be "small molecules", and all dendrimers currently used in the OLED field are believed to be small molecules.
본원에서 사용한 바와 같이, "상단부"는 기판으로부터 가장 멀리 떨어졌다는 것을 의미하며, "하단부"는 기판에 가장 근접하다는 것을 의미한다. 제1층이 제2층의 "상부에 배치되는" 것으로 기재되는 경우, 제1층은 기판으로부터 멀리 떨어져 배치된다. 제1층이 제2층과 "접촉되어 있는" 것으로 명시되지 않는다면 제1층과 제2층 사이에는 다른 층이 존재할 수 있다. 예를 들면, 캐소드와 애노드의 사이에 다양한 유기층이 존재한다고 해도, 캐소드는 애노드의 "상부에 배치되는" 것으로 기재될 수 있다. As used herein, “top” means furthest away from the substrate, and “bottom” means closest to the substrate. When the first layer is described as being "disposed over" the second layer, the first layer is disposed away from the substrate. Other layers may exist between the first and second layers unless the first layer is specified as being “in contact with” the second layer. For example, even if there are various organic layers between the cathode and the anode, the cathode may be described as being "disposed above" the anode.
본원에서 사용한 바와 같이, "용액 가공성"은 용액 또는 현탁액 형태로 액체 매체에 용해, 분산 또는 수송될 수 있고/있거나 액체 매체로부터 증착될 수 있다는 것을 의미한다.As used herein, “solution processability” means that it can be dissolved, dispersed or transported in a liquid medium in the form of a solution or suspension and/or can be deposited from a liquid medium.
리간드가 방출 물질의 광활성 특성에 직접적으로 기여하는 것으로 여겨지는 경우, 리간드는 "광활성"으로서 지칭될 수 있다. 보조적 리간드가 광활성 리간드의 특성을 변경시킬 수 있을지라도, 리간드가 방출 물질의 광활성 특성에 기여하지 않는 것으로 여겨지는 경우, 리간드는 "보조적"인 것으로 지칭될 수 있다.When the ligand is believed to directly contribute to the photoactive properties of the emissive material, the ligand may be referred to as “photoactive”. Although auxiliary ligands may alter the properties of the photoactive ligand, the ligand may be referred to as “adjuvant” if it is believed that the ligand does not contribute to the photoactive properties of the emissive material.
본원에서 사용한 바와 같이, 그리고 일반적으로 당업자가 이해하고 있는 바와 같이, 제1 에너지 준위가 진공 에너지 준위에 더 근접하는 경우, 제1 "최고 점유 분자 궤도"(HOMO) 또는 "최저 비점유 분자 궤도"(LUMO) 에너지 준위는 제2 HOMO 또는 LUMO 에너지 준위보다 "더 크거나" 또는 "더 높다". 이온화 전위(IP)가 진공 준위에 대하여 음의 에너지로서 측정되므로, 더 높은 HOMO 에너지 준위는 더 작은 절댓값을 갖는 IP(더 적게 음성인 IP)에 해당한다. 마찬가지로, 더 높은 LUMO 에너지 준위는 절댓값이 더 작은 전자 친화도(EA)(더 적게 음성인 EA)에 해당한다. 상단부에서 진공 준위를 갖는 통상의 에너지 준위 다이아그램에서, 물질의 LUMO 에너지 준위는 동일한 물질의 HOMO 에너지 준위보다 더 높다. "더 높은" HOMO 또는 LUMO 에너지 준위는 "더 낮은" HOMO 또는 LUMO 에너지 준위보다 상기 다이아그램의 상단부에 더 근접하게 나타난다.As used herein, and as generally understood by one of skill in the art, when the first energy level is closer to the vacuum energy level, the first “highest occupied molecular orbital” (HOMO) or “lowest unoccupied molecular orbital” The (LUMO) energy level is “greater” or “higher” than the second HOMO or LUMO energy level. Since the ionization potential (IP) is measured as negative energy relative to the vacuum level, a higher HOMO energy level corresponds to an IP with a smaller absolute value (less negative IP). Likewise, a higher LUMO energy level corresponds to an electron affinity (EA) with a smaller absolute value (a less negative EA). In a typical energy level diagram with a vacuum level at the top, the LUMO energy level of a material is higher than the HOMO energy level of the same material. The “higher” HOMO or LUMO energy level appears closer to the top of the diagram than the “lower” HOMO or LUMO energy level.
본원에서 사용한 바와 같이, 그리고 일반적으로 당업자가 이해하는 바와 같이, 제1 일함수의 절댓값이 더 클 경우, 제1 일함수는 제2 일함수보다 "더 크거나" 또는 "더 높다". 일함수는 일반적으로 진공 준위에 대하여 음의 수로서 측정되므로, 이는 "더 높은" 일함수가 더 음성임을 의미한다. 상단부에서 진공 준위를 갖는 통상의 에너지 준위 다이아그램에서, "더 높은" 일함수는 진공 준위로부터 아래 방향으로 더 먼 것으로서 예시된다. 따라서, HOMO 및 LUMO 에너지 준위의 정의는 일함수와는 상이한 관례를 따른다.As used herein, and as generally understood by one of ordinary skill in the art, when the absolute value of the first work function is greater, the first work function is “greater” or “higher” than the second work function. Since the work function is generally measured as a negative number with respect to the vacuum level, this means that the "higher" work function is more negative. In a typical energy level diagram with a vacuum level at the top, the “higher” work function is illustrated as further away from the vacuum level in the downward direction. Thus, the definition of HOMO and LUMO energy levels follows a different convention than work functions.
용어 "할로", "할로겐" 및 "할라이드"는 상호교환적으로 사용되며, 불소, 염소, 브롬 및 요오드를 지칭한다. The terms “halo”, “halogen” and “halide” are used interchangeably and refer to fluorine, chlorine, bromine and iodine.
용어 "아실"은 치환된 카르보닐 라디칼 (C(O)-Rs)을 지칭한다.The term “acyl” refers to a substituted carbonyl radical (C(O)-R s ).
용어 "에스테르"는 치환된 옥시카르보닐 (-O-C(O)-Rs 또는 -C(O)-O-Rs) 라디칼을 지칭한다.The term “ester” refers to a substituted oxycarbonyl (-OC(O)-R s or -C(O)-OR s ) radical.
용어 "에테르"는 -ORs 라디칼을 지칭한다.The term "ether" refers to the -OR s radical.
용어 "술파닐" 또는 "티오-에테르"는 상호교환적으로 사용되며, -SRs 라디칼을 지칭한다.The terms "sulfanyl" or "thio-ether" are used interchangeably and refer to the -SR s radical.
용어 "술피닐"은 -S(O)-Rs 라디칼을 지칭한다.The term "sulfinyl" refers to the -S(O)-R s radical.
용어 "술포닐"은 -SO2-Rs 라디칼을 지칭한다.The term "sulfonyl" refers to the -SO 2 -R s radical.
용어 "포스피노"는 -P(Rs)3 라디칼을 지칭하고, 각각의 Rs는 동일하거나 또는 상이할 수 있다.The term “phosphino” refers to a -P(R s ) 3 radical, and each R s may be the same or different.
용어 "실릴"은 -Si(Rs)3 라디칼을 지칭하고, 각각의 Rs는 동일하거나 또는 상이할 수 있다.The term “silyl” refers to a -Si(R s ) 3 radical, and each R s may be the same or different.
용어 "보릴"은 -B(Rs)2 라디칼 또는 그의 루이스 어덕트 -B(Rs)3 라디칼을 지칭하고, 여기서 Rs은 동일하거나 상이할 수 있다.The term “boryl” refers to a -B(R s ) 2 radical or a Lewis adduct -B(R s ) 3 radical thereof, wherein R s may be the same or different.
상기 각각에서, Rs는 수소이거나 또는 중수소, 할로겐, 알킬, 시클로알킬, 헤테로알킬, 헤테로시클로알킬, 아릴알킬, 알콕시, 아릴옥시, 아미노, 실릴, 알케닐, 시클로알케닐, 헤테로알케닐, 알키닐, 아릴, 헤테로아릴, 및 이들의 조합으로 이루어진 군에서 선택된 치환기일 수 있다. 바람직한 Rs는 알킬, 시클로알킬, 아릴, 헤테로아릴, 및 이들의 조합으로 이루어진 군에서 선택된다.In each of the above, R s is hydrogen or deuterium, halogen, alkyl, cycloalkyl, heteroalkyl, heterocycloalkyl, arylalkyl, alkoxy, aryloxy, amino, silyl, alkenyl, cycloalkenyl, heteroalkenyl, alky It may be a substituent selected from the group consisting of nyl, aryl, heteroaryl, and combinations thereof. Preferred R s are selected from the group consisting of alkyl, cycloalkyl, aryl, heteroaryl, and combinations thereof.
용어 "알킬"은 직쇄 및 분지쇄 알킬 라디칼을 모두 지칭하고, 이를 포함한다. 바람직한 알킬기는 1 내지 15개의 탄소 원자를 함유하는 것으로서, 메틸, 에틸, 프로필, 1-메틸에틸, 부틸, 1-메틸프로필, 2-메틸프로필, 펜틸, 1-메틸부틸, 2-메틸부틸, 3-메틸부틸, 1,1-디메틸프로필, 1,2-디메틸프로필, 2,2-디메틸프로필 등을 포함한다. 추가로, 알킬기는 임의로 치환될 수 있다.The term “alkyl” refers to and includes both straight and branched chain alkyl radicals. Preferred alkyl groups are those containing 1 to 15 carbon atoms, methyl, ethyl, propyl, 1-methylethyl, butyl, 1-methylpropyl, 2-methylpropyl, pentyl, 1-methylbutyl, 2-methylbutyl, 3 -Methylbutyl, 1,1-dimethylpropyl, 1,2-dimethylpropyl, 2,2-dimethylpropyl, and the like. Additionally, the alkyl group may be optionally substituted.
용어 "시클로알킬"은 단환, 다환, 및 스피로 알킬 라디칼을 지칭하고, 이를 포함한다. 바람직한 시클로알킬기는 3 내지 12개의 고리 탄소 원자를 함유하는 것으로서, 시클로프로필, 시클로펜틸, 시클로헥실, 비시클로[3.1.1]헵틸, 스피로[4.5]데실, 스피로[5.5]운데실, 아다만틸 등을 포함한다. 추가로, 시클로알킬기는 임의로 치환될 수 있다. The term “cycloalkyl” refers to and includes monocyclic, polycyclic, and spiroalkyl radicals. Preferred cycloalkyl groups are those containing 3 to 12 ring carbon atoms, cyclopropyl, cyclopentyl, cyclohexyl, bicyclo[3.1.1]heptyl, spiro[4.5]decyl, spiro[5.5]undecyl, adamantyl And the like. Additionally, the cycloalkyl group may be optionally substituted.
용어 "헤테로알킬" 또는 "헤테로시클로알킬"은 각각 헤테로원자에 의해 치환된 하나 이상의 탄소 원자를 갖는 알킬 또는 시클로알킬 라디칼을 지칭한다. 임의로, 하나 이상의 헤테로원자는 O, S, N, P, B, Si, 및 Se, 바람직하게는, O, S, 또는 N으로부터 선택된다. 추가로, 헤테로알킬 또는 헤테로시클로알킬기는 임의로 치환될 수 있다.The terms “heteroalkyl” or “heterocycloalkyl” refer to an alkyl or cycloalkyl radical having one or more carbon atoms each substituted by a heteroatom. Optionally, one or more heteroatoms are selected from O, S, N, P, B, Si, and Se, preferably O, S, or N. Additionally, heteroalkyl or heterocycloalkyl groups may be optionally substituted.
용어 "알케닐"은 직쇄 및 분지쇄 알켄 라디칼 모두를 지칭하고, 이를 포함한다. 알케닐기는 본질적으로 알킬 사슬에 하나 이상의 탄소-탄소 이중 결합을 포함하는 알킬기이다. 시클로알케닐기는 본질적으로 시클로알킬 고리 내에 하나 이상의 탄소-탄소 이중 결합을 포함하는 시클로알킬기이다. 본원에 사용되는 용어 "헤테로알케닐"은 헤테로원자에 의해 치환된 하나 이상의 탄소 원자를 갖는 알케닐 라디칼을 지칭한다. 임의로, 하나 이상의 헤테로원자는 O, S, N, P, B, Si, 및 Se, 바람직하게는, O, S, 또는 N으로부터 선택된다. 바람직한 알케닐, 시클로알케닐, 또는 헤테로알케닐기는 2 내지 15개의 탄소 원자를 함유하는 것이다. 추가로, 알케닐, 시클로알케닐, 또는 헤테로알케닐기는 임의로 치환될 수 있다.The term “alkenyl” refers to and includes both straight and branched chain alkene radicals. Alkenyl groups are essentially alkyl groups containing one or more carbon-carbon double bonds in the alkyl chain. Cycloalkenyl groups are essentially cycloalkyl groups containing one or more carbon-carbon double bonds within the cycloalkyl ring. The term “heteroalkenyl” as used herein refers to an alkenyl radical having one or more carbon atoms substituted by a heteroatom. Optionally, one or more heteroatoms are selected from O, S, N, P, B, Si, and Se, preferably O, S, or N. Preferred alkenyl, cycloalkenyl, or heteroalkenyl groups are those containing 2 to 15 carbon atoms. Additionally, alkenyl, cycloalkenyl, or heteroalkenyl groups may be optionally substituted.
용어 "알키닐"은 직쇄 및 분지쇄 알킨 라디칼 모두를 지칭하고, 이를 포함한다. 알키닐기는 본질적으로 알킬 쇄에 하나 이상의 탄소-탄소 삼중 결합을 포함하는 알킬기이다. 바람직한 알키닐기는 2 내지 15개의 탄소 원자를 함유하는 것이다. 추가로, 알키닐기는 임의로 치환될 수 있다.The term “alkynyl” refers to and includes both straight and branched chain alkyne radicals. Alkynyl groups are essentially alkyl groups containing one or more carbon-carbon triple bonds in the alkyl chain. Preferred alkynyl groups are those containing 2 to 15 carbon atoms. Additionally, an alkynyl group may be optionally substituted.
용어 "아르알킬" 또는 "아릴알킬"은 상호교환적으로 사용되며, 아릴기로 치환된 알킬기를 지칭한다. 추가로, 아르알킬기는 임의로 치환될 수 있다.The terms “aralkyl” or “arylalkyl” are used interchangeably and refer to an alkyl group substituted with an aryl group. Additionally, aralkyl groups may be optionally substituted.
용어 "헤테로시클릭기"는 하나 이상의 헤테로원자를 함유하는 방향족 및 비방향족 시클릭 라디칼을 지칭하고, 이를 포함한다. 임의로, 하나 이상의 헤테로원자는 O, S, N, P, B, Si, 및 Se, 바람직하게는, O, S, 또는 N으로부터 선택된다. 헤테로방향족 시클릭 라디칼은 또한 헤테로아릴과 상호교환적으로 사용될 수 있다. 바람직한 헤테로비방향족 시클릭기는 하나 이상의 헤테로 원자를 포함하고, 모르폴리노, 피페리디노, 피롤리디노 등과 같은 시클릭 아민, 및 테트라히드로푸란, 테트라히드로피란, 테트라히드로티오펜 등과 같은 시클릭 에테르/티오-에테르를 포함하는 3 내지 7개의 고리 원자를 함유하는 것들이다. 추가로, 헤테로시클릭기는 임의로 치환될 수 있다.The term “heterocyclic group” refers to and includes aromatic and non-aromatic cyclic radicals containing one or more heteroatoms. Optionally, one or more heteroatoms are selected from O, S, N, P, B, Si, and Se, preferably O, S, or N. Heteroaromatic cyclic radicals can also be used interchangeably with heteroaryl. Preferred heteronon-aromatic cyclic groups contain one or more hetero atoms, and cyclic amines such as morpholino, piperidino, pyrrolidino, and the like, and cyclic ethers such as tetrahydrofuran, tetrahydropyran, tetrahydrothiophene, and the like. Those containing 3 to 7 ring atoms including /thio-ethers. Additionally, the heterocyclic group may be optionally substituted.
용어 "아릴"은 단일 고리 방향족 히드로카르빌기 및 폴리시클릭 방향족 고리계를 모두 지칭하고, 이를 포함한다. 폴리시클릭 고리는 2개의 탄소가 두 인접 고리(이들 고리는 "융합됨")에 공통인 2개 이상의 고리를 가질 수 있으며, 여기서, 고리들 중 하나 이상은 방향족 히드로카르빌기이고, 예를 들면, 다른 고리들은 시클로알킬, 시클로알케닐, 아릴, 헤테로사이클 및/또는 헤테로아릴일 수 있다. 바람직한 아릴기는 6 내지 30개의 탄소 원자, 바람직하게는 6 내지 20개의 탄소 원자, 더 바람직하게는 6 내지 12개의 탄소 원자를 함유하는 것이다. 6개의 탄소, 10개의 탄소 또는 12개의 탄소를 가진 아릴기가 특히 바람직하다. 적합한 아릴기는 페닐, 비페닐, 트리페닐, 트리페닐렌, 테트라페닐렌, 나프탈렌, 안트라센, 페날렌, 페난트렌, 플루오렌, 피렌, 크리센, 페릴렌 및 아줄렌, 바람직하게는 페닐, 비페닐, 트리페닐, 트리페닐렌, 플루오렌 및 나프탈렌을 포함한다. 추가로, 아릴기는 임의로 치환될 수 있다.The term “aryl” refers to and includes both single ring aromatic hydrocarbyl groups and polycyclic aromatic ring systems. Polycyclic rings may have two or more rings in which two carbons are common to two adjacent rings (these rings are “fused”), wherein at least one of the rings is an aromatic hydrocarbyl group, for example, Other rings may be cycloalkyl, cycloalkenyl, aryl, heterocycle and/or heteroaryl. Preferred aryl groups are those containing 6 to 30 carbon atoms, preferably 6 to 20 carbon atoms, more preferably 6 to 12 carbon atoms. Particular preference is given to aryl groups having 6 carbons, 10 carbons or 12 carbons. Suitable aryl groups are phenyl, biphenyl, triphenyl, triphenylene, tetraphenylene, naphthalene, anthracene, phenalene, phenanthrene, fluorene, pyrene, chrysene, perylene and azulene, preferably phenyl, biphenyl , Triphenyl, triphenylene, fluorene and naphthalene. Additionally, the aryl group may be optionally substituted.
용어 "헤테로아릴"은 하나 이상의 헤테로원자를 포함하는 단일 고리 방향족기 및 폴리시클릭 방향족 고리계 모두를 지칭하고, 이를 포함한다. 헤테로원자는, 비제한적으로, O, S, N, P, B, Si, 및 Se를 포함한다. 다수의 경우에서, O, S, 또는 N은 바람직한 헤테로원자이다. 헤테로-단일 고리 방향족계는 바람직하게는 5 또는 6개의 고리 원자를 갖는 단일 고리이고, 상기 고리는 1 내지 6개의 헤테로원자를 가질 수 있다. 헤테로 폴리시클릭 고리계는 2개의 탄소가 두 인접 고리(이들 고리는 "융합됨")에 공통인 2개 이상의 고리를 가질 수 있으며, 여기서, 고리들 중 하나 이상은 헤테로아릴이고, 예를 들면, 다른 고리들은 시클로알킬, 시클로알케닐, 아릴, 헤테로사이클 및/또는 헤테로아릴일 수 있다. 헤테로 폴리시클릭 방향족 고리계는 폴리시클릭 방향족 고리계의 고리당 1 내지 6개의 헤테로원자를 가질 수 있다. 바람직한 헤테로아릴기는 3 내지 30개의 탄소 원자, 바람직하게는 3 내지 20개의 탄소 원자, 더 바람직하게는 3 내지 12개의 탄소 원자를 함유하는 것이다. 적합한 헤테로아릴기는 디벤조티오펜, 디벤조푸란, 디벤조셀레노펜, 푸란, 티오펜, 벤조푸란, 벤조티오펜, 벤조셀레노펜, 카르바졸, 인돌로카르바졸, 피리딜인돌, 피롤로디피리딘, 피라졸, 이미다졸, 트리아졸, 옥사졸, 티아졸, 옥사디아졸, 옥사트리아졸, 디옥사졸, 티아디아졸, 피리딘, 피리다진, 피리미딘, 피라진, 트리아진, 옥사진, 옥사티아진, 옥사디아진, 인돌, 벤즈이미다졸, 인다졸, 인독사진, 벤즈옥사졸, 벤즈이속사졸, 벤조티아졸, 퀴놀린, 이소퀴놀린, 신놀린, 퀴나졸린, 퀴녹살린, 나프티리딘, 프탈라진, 프테리딘, 크산텐, 아크리딘, 페나진, 페노티아진, 페녹사진, 벤조푸로피리딘, 푸로디피리딘, 벤조티에노피리딘, 티에노디피리딘, 벤조셀레노페노피리딘 및 셀레노페노디피리딘, 바람직하게는 디벤조티오펜, 디벤조푸란, 디벤조셀레노펜, 카르바졸, 인돌로카르바졸, 이미다졸, 피리딘, 트리아진, 벤즈이미다졸, 1,2-아자보린, 1,3-아자보린, 1,4-아자보린, 보라진 및 이의 아자-유사체를 포함한다. 추가로, 헤테로아릴기는 임의로 치환될 수 있다.The term “heteroaryl” refers to and includes both single ring aromatic groups and polycyclic aromatic ring systems comprising one or more heteroatoms. Heteroatoms include, but are not limited to, O, S, N, P, B, Si, and Se. In many cases, O, S, or N is a preferred heteroatom. The hetero-single ring aromatic system is preferably a single ring having 5 or 6 ring atoms, and the ring may have 1 to 6 heteroatoms. Heteropolycyclic ring systems may have two or more rings in which two carbons are common to two adjacent rings (these rings are “fused”), wherein at least one of the rings is heteroaryl, for example, Other rings may be cycloalkyl, cycloalkenyl, aryl, heterocycle and/or heteroaryl. The hetero polycyclic aromatic ring system may have 1 to 6 heteroatoms per ring of the polycyclic aromatic ring system. Preferred heteroaryl groups are those containing 3 to 30 carbon atoms, preferably 3 to 20 carbon atoms, more preferably 3 to 12 carbon atoms. Suitable heteroaryl groups are dibenzothiophene, dibenzofuran, dibenzoselenophene, furan, thiophene, benzofuran, benzothiophene, benzoselenophene, carbazole, indolocarbazole, pyridylindole, pyrrolodipyridine , Pyrazole, imidazole, triazole, oxazole, thiazole, oxadiazole, oxatriazole, dioxazole, thiadiazole, pyridine, pyridazine, pyrimidine, pyrazine, triazine, oxazine, oxathia Gin, oxadiazine, indole, benzimidazole, indazole, indoxazine, benzoxazole, benzisoxazole, benzothiazole, quinoline, isoquinoline, cinnoline, quinazoline, quinoxaline, naphthyridine, phthalazine , Pteridine, xanthene, acridine, phenazine, phenothiazine, phenoxazine, benzofuropyridine, furodipyridine, benzothienopyridine, thienodipyridine, benzoselenophenopyridine and selenophenodipyridine, Preferably dibenzothiophene, dibenzofuran, dibenzoselenophene, carbazole, indolocarbazole, imidazole, pyridine, triazine, benzimidazole, 1,2-azaborine, 1,3-azaborine , 1,4-azaborine, borazine, and aza-analogues thereof. Additionally, the heteroaryl group may be optionally substituted.
상기 열거된 아릴기 및 헤테로아릴기 중, 트리페닐렌, 나프탈렌, 안트라센, 디벤조티오펜, 디벤조푸란, 디벤조셀레노펜, 카르바졸, 인돌로카르바졸, 이미다졸, 피리딘, 피라진, 피리미딘, 트리아진, 및 벤즈이미다졸, 및 이들 각각의 개개 아자-유사체가 특히 관심대상의 것이다.Among the aryl groups and heteroaryl groups listed above, triphenylene, naphthalene, anthracene, dibenzothiophene, dibenzofuran, dibenzoselenophene, carbazole, indolocarbazole, imidazole, pyridine, pyrazine, pyrimidine , Triazine, and benzimidazole, and their respective individual aza-analogs are of particular interest.
본원에 사용되는 용어 알킬, 시클로알킬, 헤테로알킬, 헤테로시클로알킬, 알케닐, 시클로알케닐, 헤테로알케닐, 알키닐, 아르알킬, 헤테로시클릭기, 아릴 및 헤테로아릴은 독립적으로 비치환되거나, 또는 독립적으로 하나 이상의 일반 치환기로 치환된다.As used herein, the terms alkyl, cycloalkyl, heteroalkyl, heterocycloalkyl, alkenyl, cycloalkenyl, heteroalkenyl, alkynyl, aralkyl, heterocyclic group, aryl and heteroaryl are independently unsubstituted, or Or independently substituted with one or more common substituents.
다수의 경우에서, 일반 치환기는 중수소, 할로겐, 알킬, 시클로알킬, 헤테로알킬, 헤테로시클로알킬, 아릴알킬, 알콕시, 아릴옥시, 아미노, 실릴, 알케닐, 시클로알케닐, 헤테로알케닐, 알키닐, 아릴, 헤테로아릴, 아실, 카르복실산, 에테르, 에스테르, 니트릴, 이소니트릴, 술파닐, 술피닐, 술포닐, 포스피노, 보릴 및 이들의 조합으로 이루어진 군으로부터 선택된다.In many cases, general substituents are deuterium, halogen, alkyl, cycloalkyl, heteroalkyl, heterocycloalkyl, arylalkyl, alkoxy, aryloxy, amino, silyl, alkenyl, cycloalkenyl, heteroalkenyl, alkynyl, Aryl, heteroaryl, acyl, carboxylic acid, ether, ester, nitrile, isonitrile, sulfanyl, sulfinyl, sulfonyl, phosphino, boryl, and combinations thereof.
일부 경우에서, 바람직한 일반 치환기는 중수소, 불소, 알킬, 시클로알킬, 헤테로알킬, 알콕시, 아릴옥시, 아미노, 실릴, 알케닐, 시클로알케닐, 헤테로알케닐, 아릴, 헤테로아릴, 니트릴, 이소니트릴, 술파닐, 보릴 및 이들의 조합으로 이루어진 군으로부터 선택된다.In some cases, preferred general substituents are deuterium, fluorine, alkyl, cycloalkyl, heteroalkyl, alkoxy, aryloxy, amino, silyl, alkenyl, cycloalkenyl, heteroalkenyl, aryl, heteroaryl, nitrile, isonitrile, It is selected from the group consisting of sulfanyl, boryl, and combinations thereof.
일부 경우에서, 더욱 바람직한 일반 치환기는 중수소, 불소, 알킬, 시클로알킬, 알콕시, 아릴옥시, 아미노, 실릴, 보릴, 아릴, 헤테로아릴, 술파닐, 및 이들의 조합으로 이루어진 군으로부터 선택된다.In some cases, more preferred general substituents are selected from the group consisting of deuterium, fluorine, alkyl, cycloalkyl, alkoxy, aryloxy, amino, silyl, boryl, aryl, heteroaryl, sulfanyl, and combinations thereof.
다른 경우에서, 가장 바람직한 일반 치환기는 중수소, 불소, 알킬, 시클로알킬, 아릴, 헤테로아릴, 및 이들의 조합으로 이루어진 군으로부터 선택된다.In other cases, the most preferred general substituents are selected from the group consisting of deuterium, fluorine, alkyl, cycloalkyl, aryl, heteroaryl, and combinations thereof.
용어 "치환된" 및 "치환"은 관련된 위치, 예컨대 탄소 또는 질소에 결합되는 H 이외의 치환기를 나타낸다. 예를 들면, R1이 일치환을 나타내는 경우, 하나의 R1은 H 이외의 것이어야 한다(즉, 치환). 유사하게, R1이 이치환을 나타내는 경우, R1 중 2개는 H 이외의 것이어야 한다. 유사하게, R1이 영치환 또는 비치환을 나타내는 경우, R1은 예를 들어 벤젠의 탄소 원자 및 피롤의 질소 원자와 같이 고리 원자의 이용가능한 원자가에 대해 수소일 수 있거나, 또는 단순히 완전히 충전된 원자가를 갖는 고리 원자, 예컨대 피리딘의 질소 원자에 대해 아무 것도 나타내지 않을 수 있다. 고리 구조에서 가능한 최대수의 치환은 고리 원자에서 이용가능한 원자가의 총 개수에 따라 달라진다.The terms “substituted” and “substituted” denote a substituent other than H bonded to the relevant position, such as carbon or nitrogen. For example, when R 1 represents a monocyclic ring, one R 1 must be other than H (ie, substitution). Similarly, when R 1 represents a disubstituted, two of R 1 must be other than H. Similarly, when R 1 represents zero or unsubstituted, R 1 may be hydrogen to the available valency of the ring atom, for example the carbon atom of benzene and the nitrogen atom of pyrrole, or simply fully charged It may indicate nothing about the ring atom having valence, such as the nitrogen atom of pyridine. The maximum number of substitutions possible in a ring structure depends on the total number of valences available on the ring atoms.
본원에서 사용한 바와 같이, "이들의 조합"은 해당되는 목록 중 하나 이상의 구성요소가 조합되어 본 기술분야의 당업자가 해당하는 목록으로부터 구상할 수 있는 공지되거나 또는 화학적으로 안정한 배열을 형성하는 것을 나타낸다. 예를 들면, 알킬 및 중수소는 조합되어 부분적 또는 전체적 중수소화된 알킬기를 형성할 수 있고; 할로겐 및 알킬은 조합되어 할로겐화된 알킬 치환기를 형성할 수 있고; 할로겐, 알킬, 및 아릴은 조합되어 할로겐화된 아릴알킬을 형성할 수 있다. 하나의 경우에서, 용어 치환은 열거된 기들 중의 2 내지 4개의 조합을 포함한다. 다른 경우에서, 용어 치환은 2 내지 3개의 기의 조합을 포함한다. 또 다른 경우에서, 용어 치환은 2개의 기의 조합을 포함한다. 치환기의 바람직한 조합은 수소 또는 중수소가 아닌 최대 50개의 원자를 함유하는 것이거나, 또는 수소 또는 중수소가 아닌 최대 40개의 원자를 포함하는 것이거나, 또는 수소 또는 중수소가 아닌 최대 30개의 원자를 포함하는 것이다. 다수의 경우에서, 치환기의 바람직한 조합은 수소 또는 중수소가 아닌 최대 20개의 원자를 포함할 것이다.As used herein, “combination of these” refers to the combination of one or more elements of the corresponding list to form a known or chemically stable configuration that one of ordinary skill in the art would envision from that list. For example, alkyl and deuterium can be combined to form partially or wholly deuterated alkyl groups; Halogen and alkyl can be combined to form halogenated alkyl substituents; Halogen, alkyl, and aryl can be combined to form a halogenated arylalkyl. In one case, the term substitution includes combinations of 2 to 4 of the listed groups. In other cases, the term substitution includes a combination of 2 to 3 groups. In another case, the term substitution includes a combination of two groups. Preferred combinations of substituents are those containing up to 50 atoms that are not hydrogen or deuterium, or those that contain up to 40 atoms that are not hydrogen or deuterium, or those that contain up to 30 atoms that are not hydrogen or deuterium. . In many cases, the preferred combination of substituents will contain up to 20 atoms that are not hydrogen or deuterium.
본원에 기재된 분절(fragment), 즉 아자-디벤조푸란, 아자-디벤조티오펜 등에서 "아자" 표기는 각각의 방향족 고리에서의 C-H 기 중 하나 이상이 질소 원자로 치환될 수 있다는 것을 의미하며, 예를 들면 아자트리페닐렌은 디벤조[f,h]퀴녹살린 및 디벤조[f,h]퀴놀린을 모두 포함하나, 이에 제한되지 않는다. 당업자는 전술된 아자-유도체의 다른 질소 유사체를 용이하게 고려할 수 있으며, 상기 모든 유사체는 본원에 기술된 용어들에 의해 포괄되는 것으로 의도된다.In the fragments described herein, that is, aza-dibenzofuran, aza-dibenzothiophene, etc., the notation "aza" means that one or more of the CH groups in each aromatic ring may be substituted with a nitrogen atom, eg For example, azatriphenylene includes, but is not limited to, both dibenzo[f,h ]quinoxaline and dibenzo[ f,h]quinoline. Those skilled in the art can readily contemplate other nitrogen analogs of the aza-derivatives described above, all of which are intended to be covered by the terms described herein.
본원에서 사용한 바와 같이, "중수소"는 수소의 동위원소를 지칭한다. 중수소화된 화합물은 본 기술분야에 공지된 방법을 사용하여 용이하게 제조될 수 있다. 예를 들면, 그 전문이 인용에 의해 본원에 포함된 미국특허 제8,557,400호, 특허공개번호 WO 2006/095951, 및 미국특허출원 공개번호 US 2011/0037057은 중수소-치환된 유기금속 착물의 제조를 기술하고 있다. 추가로 문헌[Ming Yan, et al., Tetrahedron 2015, 71, 1425-30] 및 문헌[Atzrodt et al., Angew. Chem. Int. Ed. (Reviews) 2007, 46, 7744-65]을 참조하며, 이들은 그 전문이 인용에 의해 본원에 포함되며, 각각 벤질 아민에서 메틸렌 수소의 중수소화 및 중수소로 방향족 고리 수소를 치환하기 위한 효율적인 경로를 기술하고 있다.As used herein, “deuterium” refers to an isotope of hydrogen. Deuterated compounds can be readily prepared using methods known in the art. For example, U.S. Patent No. 8,557,400, Patent Publication No. WO 2006/095951, and U.S. Patent Application Publication No. US 2011/0037057, which are incorporated herein by reference in their entirety, describe the preparation of deuterium-substituted organometallic complexes. I'm doing it. In addition, Ming Yan, et al ., Tetrahedron 2015, 71, 1425-30 and Atzrodt et al ., Angew. Chem. Int. Ed. (Reviews) 2007, 46, 7744-65], which are incorporated herein by reference in their entirety, each describing an efficient route for deuteration of methylene hydrogens in benzylamine and substitution of aromatic ring hydrogens with deuterium. I'm doing it.
분자 분절이 치환기인 것으로 기재되거나 그렇지 않은 경우 또다른 모이어티에 부착되는 것으로 기술되는 경우, 이의 명칭은 분절(예를 들어, 페닐, 페닐렌, 나프틸, 디벤조푸릴)인 것처럼 또는 전체 분자(예를 들어, 벤젠, 나프탈렌, 디벤조푸란)인 것처럼 기재될 수 있는 것으로 이해되어야 한다. 본원에서 사용한 바와 같이, 이러한 치환기 또는 부착된 분절의 상이한 표기 방식은 동등한 것으로 간주된다.When a molecular segment is described as being a substituent or otherwise described as attached to another moiety, its name is as if it were a segment (e.g., phenyl, phenylene, naphthyl, dibenzofuryl) or the entire molecule (e.g. For example, it should be understood that it may be described as being benzene, naphthalene, dibenzofuran). As used herein, different ways of designating such substituents or attached segments are considered equivalent.
일부 경우에, 인접 치환기의 쌍은 임의로 결합되거나 융합되어 고리가 될 수 있다. 바람직한 고리는 5원, 6원 또는 7원 카르보시클릭 또는 헤테로시클릭 고리이고, 치환기의 쌍에 의해 형성된 고리의 일부가 포화되는 경우 및 치환기의 쌍에 의해 형성된 고리의 일부가 불포화되는 경우 모두 포함한다. 본원에 사용된 바와 같이, "인접"이란 안정한 융합된 고리계를 형성할 수 있는 한, 2개의 가장 근접한 치환가능한 위치, 예컨대 비페닐의 2, 2' 위치, 또는 나프탈렌의 1, 8 위치를 갖는 2개의 이웃하는 고리 상에, 또는 서로 옆에 있는 동일 고리 상에 관련된 2개의 치환기가 존재할 수 있다는 것을 의미한다.In some cases, pairs of adjacent substituents may be optionally bonded or fused to form a ring. Preferred rings are 5-, 6- or 7-membered carbocyclic or heterocyclic rings, including both when part of the ring formed by the pair of substituents is saturated and when part of the ring formed by the pair of substituents is unsaturated. do. As used herein, "adjacent" refers to having two closest substitutable positions, such as the 2, 2'position of biphenyl, or the 1, 8 position of naphthalene, as long as it can form a stable fused ring system. It means that there may be two related substituents on two neighboring rings, or on the same ring next to each other.
B.B. 본 개시내용의 화합물Compounds of the present disclosure
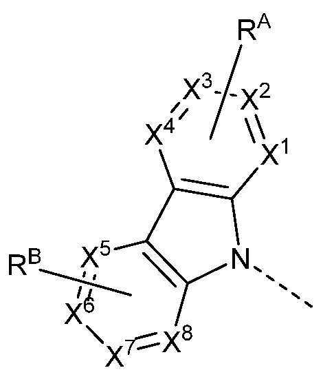
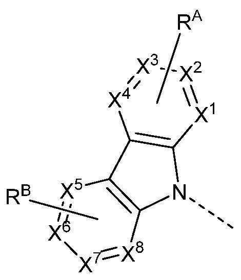
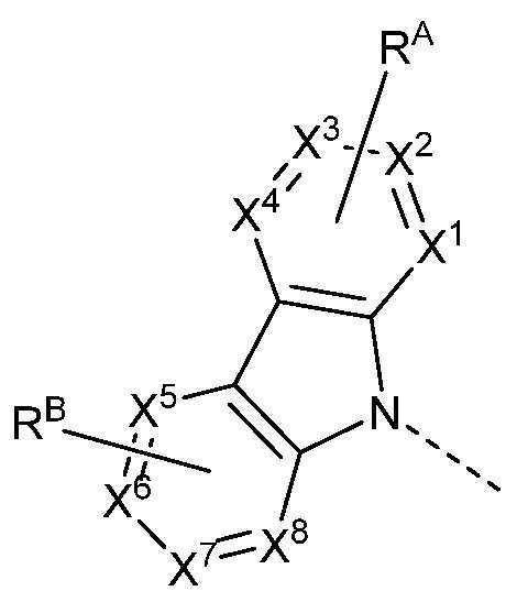
일 양태에서, 본 개시내용은 하기 화학식 I의 구조를 포함하는 화합물을 제공한다:In one aspect, the disclosure provides a compound comprising the structure of Formula I:
; ;
상기 식에서, Y i 는 이고, Y j 는 이고,In the above formula, Y i is And Y j is ego,
여기서, RA, RB, RC, 및 RD는 각각 독립적으로 제로, 일치환, 이치환 또는 최대 허용가능한 치환을 나타내고;Wherein R A , R B , R C , and R D each independently represent zero, mono-, di- or maximally permissible substitutions;
각각의 RA, RB, RC, 및 RD는 독립적으로 수소, 또는 본원에 정의된 일반 치환기로 이루어진 군으로부터 선택된 치환기이고;Each of R A , R B , R C , and R D is independently hydrogen or a substituent selected from the group consisting of general substituents as defined herein;
RA, RB, RC, 및 RD 중 하나 이상은 카르바졸 모이어티를 포함하고;At least one of R A , R B , R C , and R D comprises a carbazole moiety;
각각의 X1-X16은 독립적으로 C 또는 N이고; Each X 1 -X 16 is independently C or N;
임의의 2개의 치환기는 함께 결합되거나 또는 융합되어 고리를 형성할 수 있다.Any two substituents may be bonded together or fused to form a ring.
일 양태에서, 각각의 RA, RB, RC, 및 RD는 독립적으로 수소 또는 상기 정의된 바람직한 일반 치환기로 이루어진 군으로부터 선택된 치환기이다.In one aspect, each of R A , R B , R C , and R D is independently a substituent selected from the group consisting of hydrogen or a preferred general substituent as defined above.
일 양태에서, 각각의 RA, RB, RC, 및 RD는 독립적으로 수소 또는 중수소이다.In one aspect, each of R A , R B , R C , and R D is independently hydrogen or deuterium.
일 양태에서, RA, RB, RC, 및 RD 중 하나 이상은 카르바졸기를 포함한다.In one aspect, at least one of R A , R B , R C , and R D comprises a carbazole group.
일 양태에서, RA, RB, RC, 및 RD 중 2개는 함께 결합되어 융합된 5-원 또는 6-원 카보사이클릭 또는 헤테로사이클릭 고리를 형성한다.In one aspect, two of R A , R B , R C , and R D are joined together to form a fused 5- or 6-membered carbocyclic or heterocyclic ring.
일 양태에서, X1-X16 중 하나 이상은 N이다.In one aspect, at least one of X 1 -X 16 is N.
일 양태에서, X1-X16은 C이다.In one aspect, X 1 -X 16 is C.
일 양태에서, Y i 는 하기로 이루어진 군으로부터 선택된다:In one aspect, Y i is selected from the group consisting of:
일 양태에서, Y i 는 Y1-Y36으로 이루어진 군으로부터 선택되고, Y j 는 Y1-Y43으로 이루어진 군으로부터 선택되고, 여기서 Y1-Y43은 하기 구조를 갖는다:In one aspect, Y i is selected from the group consisting of Y 1 -Y 36 and Y j is selected from the group consisting of Y 1 -Y 43 , wherein Y 1 -Y 43 has the structure:
일 양태에서, 화학식 I의 화합물은 하기로 이루어진 군으로부터 선택된다:In one aspect, the compound of formula I is selected from the group consisting of:
C. 본 개시내용의 OLED 및 디바이스C. OLEDs and devices of the present disclosure
다른 양태에서, 본 개시내용은 또한 본 개시내용의 상기 화합물 섹션에 개시된 바와 같이 화합물을 함유한 제1 유기층을 포함하는 OLED 디바이스를 제공한다.In another aspect, the present disclosure also provides an OLED device comprising a first organic layer containing a compound as disclosed in the above compound section of the present disclosure.
일부 실시양태에서, 일 양태에서, 제1 유기층은 트리아진, 피리미딘, 피리딘, 9-디옥사-13b-보라나프토[3,2,1-de]안트라센, 아자-나프탈렌, 아자-플루오렌, 아자-트리페닐렌, 아자-카르바졸, 아자-인돌로카르바졸, 아자-디벤조티오펜, 아자-디벤조푸란, 및 아자-디벤조셀레노펜, 및 아자-(5,9-디옥사-13b-보라나프토[3,2,1-de]안트라센)으로 이루어진 군으로부터 선택된 화학 구조를 포함하는 제2 화합물을 더 포함할 수 있다.In some embodiments, in one aspect, the first organic layer is triazine, pyrimidine, pyridine, 9-dioxa-13b-boranaphtho[3,2,1-de]anthracene, aza-naphthalene, aza-fluorene , Aza-triphenylene, aza-carbazole, aza-indolocarbazole, aza-dibenzothiophene, aza-dibenzofuran, and aza-dibenzoselenophene, and aza-(5,9-dioxa -13b-boranaphtho[3,2,1-de]anthracene) may further include a second compound having a chemical structure selected from the group consisting of.
일 양태에서, 본 개시내용은 제2 화합물이 하기로 이루어진 군으로부터 선택되는 것을 제공한다:In one aspect, the disclosure provides that the second compound is selected from the group consisting of:
상기 식에서,In the above formula,
K1'은 O 또는 S이고;K 1 'is O or S;
K2', K3', 및 K4'는 N 또는 CR9이고;K 2 ', K 3', and K 4 'is N or CR 9, and;
K5'는 O, S 및 NR10으로 이루어진 군으로부터 선택되고; 5 K 'is selected from the group consisting of O, S and NR 10;
R1, R2, R3, R4, R5, R6, R7, R8, R9 및 R10은 독립적으로 수소, 또는 중수소, 할로겐, 알킬, 시클로알킬, 헤테로알킬, 헤테로시클로알킬, 보릴, 아릴알킬, 알콕시, 아릴옥시, 아미노, 실릴, 알케닐, 시클로알케닐, 헤테로알케닐, 알키닐, 아릴, 헤테로아릴, 아실, 카르복실산, 에테르, 에스테르, 니트릴, 이소니트릴, 술파닐, 술피닐, 술포닐, 포스피노, 및 이들의 조합으로 이루어진 군으로부터 선택된 치환기이다.R 1 , R 2 , R 3 , R 4 , R 5 , R 6 , R 7 , R 8 , R 9 and R 10 are independently hydrogen, or deuterium, halogen, alkyl, cycloalkyl, heteroalkyl, heterocycloalkyl , Boryl, arylalkyl, alkoxy, aryloxy, amino, silyl, alkenyl, cycloalkenyl, heteroalkenyl, alkynyl, aryl, heteroaryl, acyl, carboxylic acid, ether, ester, nitrile, isonitrile, alcohol It is a substituent selected from the group consisting of panyl, sulfinyl, sulfonyl, phosphino, and combinations thereof.
일 양태에서, 본 개시내용은 제2 화합물이 하기로 이루어진 군으로부터 선택되는 것을 제공한다:In one aspect, the disclosure provides that the second compound is selected from the group consisting of:
일 양태에서, OLED에서의 제1 유기층은 하기 화학식 II의 화합물을 더 포함할 수 있다:In one aspect, the first organic layer in the OLED may further comprise a compound of Formula II:
상기 식에서,In the above formula,
M'은 Pt 또는 Pd이고;M'is Pt or Pd;
고리 A', B', C', 및 D'는 각각 독립적으로 5-원 또는 6-원 카보사이클릭 또는 헤테로사이클릭 고리를 나타내고;Rings A', B', C', and D'each independently represent a 5- or 6-membered carbocyclic or heterocyclic ring;
X1'- X12'는 각각 독립적으로 탄소 및 질소로 이루어진 군으로부터 선택되고;X 1 '- X 12' is selected from the group consisting of carbon and nitrogen, each independently;
RA', RB', RC', 및 RD'는 각각 독립적으로 일치환 내지 최대 허용되는 수의 치환, 또는 비치환을 나타내고;R A' , R B' , R C' , and R D' each independently represent a mono-substituted to the maximum permissible number of substituted or unsubstituted;
각각의 RA', RB', RC', 및 RD'는 독립적으로 수소, 또는 중수소, 할로겐, 알킬, 시클로알킬, 헤테로알킬, 헤테로시클로알킬, 보릴, 아릴알킬, 알콕시, 아릴옥시, 아미노, 실릴, 알케닐, 시클로알케닐, 헤테로알케닐, 알키닐, 아릴, 헤테로아릴, 아실, 카르복실산, 에테르, 에스테르, 니트릴, 이소니트릴, 술파닐, 술피닐, 술포닐, 포스피노, 및 이들의 조합으로 이루어진 군으로부터 선택된 치환기이고;Each of R A' , R B' , R C' , and R D' is independently hydrogen or deuterium, halogen, alkyl, cycloalkyl, heteroalkyl, heterocycloalkyl, boryl, arylalkyl, alkoxy, aryloxy, Amino, silyl, alkenyl, cycloalkenyl, heteroalkenyl, alkynyl, aryl, heteroaryl, acyl, carboxylic acid, ether, ester, nitrile, isonitrile, sulfanyl, sulfinyl, sulfonyl, phosphino, And a substituent selected from the group consisting of a combination thereof;
n'은 0 또는 1이고;n'is 0 or 1;
L1', L2', 및 L3'는 각각 독립적으로 직접 결합, BRR', NR, PR, O, S, Se, C=O, S=O, SO2, CRR', SiRR', GeRR', 및 이들의 조합으로 이루어진 군으로부터 선택되고;L 1 ', L 2', and L 3 'is a bond, each independently, BRR', NR, PR, O, S, Se, C = O, S = O, SO 2, CRR ', SiRR', GeRR ', and a combination thereof;
n'이 1인 경우, L4'는 직접 결합, BRR', NR, PR, O, S, Se, C=O, S=O, SO2, CRR', SiRR', GeRR', 및 이들의 조합으로 이루어진 군으로부터 선택되고;"If the 1, L 4, n is a direct bond, BRR ', NR, PR, O, S, Se, C = O, S = O, SO 2, CRR', SiRR ', GeRR', and their Is selected from the group consisting of combinations;
n'이 0인 경우, L4'는 부재하고;when n'is 0, L 4'is absent;
각각의 Y1', Y2', Y3' 및 Y4'는 직접 결합, O, 및 S로 이루어진 군으로부터 선택되고;Each of Y 1 ', Y 2', Y 3 ' and Y 4' is selected from a direct bond, O, and the group consisting of S;
Y1', Y2', Y3' 및 Y4' 중 2개 이상은 직접 결합이다. Y 1 ', Y 2', Y 3 ' and Y 4' 2 out of the above is a direct bond.
일 양태에서, 본 개시내용은 제1 유기층에서의 화학식 II의 화합물이 하기로 이루어진 군으로부터 선택되는 리간드의 적어도 하나의 일부를 갖는 4좌 Pt 착물인 것을 제공한다:In one aspect, the disclosure provides that the compound of formula II in the first organic layer is a quaternary Pt complex having at least a portion of a ligand selected from the group consisting of:
상기 식에서, 각각의 Y1 내지 Y13은 독립적으로 탄소 및 질소로 이루어진 군으로부터 선택되고;Wherein each of Y 1 to Y 13 is independently selected from the group consisting of carbon and nitrogen;
Y'는 B Re, N Re, P Re, O, S, Se, C=O, S=O, SO2, CReRf, SiReRf, 및 GeReRf로 이루어진 군으로부터 선택되고;Y'is selected from the group consisting of BR e , NR e , PR e , O, S, Se, C=O, S=O, SO 2 , CR e R f , SiR e R f , and GeR e R f ;
Re 및 Rf는 임의로 융합되거나 또는 결합되어 고리를 형성하고;R e and R f are optionally fused or joined to form a ring;
각각의 Ra, Rb, Rc, 및 Rd는 독립적으로 일치환 내지 최대 가능한 수의 치환, 또는 비치환을 나타내고;Each of R a , R b , R c , and R d independently represents a mono-substituted to the maximum possible number of substituted or unsubstituted;
각각의 Ra, Rb, Rc, Rd, Re 및 Rf는 독립적으로 수소, 중수소, 할라이드, 알킬, 시클로알킬, 헤테로알킬, 아릴알킬, 알콕시, 아릴옥시, 아미노, 실릴, 알케닐, 시클로알케닐, 헤테로알케닐, 알키닐, 아릴, 헤테로아릴, 아실, 카르보닐, 카르복실산, 에스테르, 니트릴, 이소니트릴, 술파닐, 술피닐, 술포닐, 포스피노, 및 이들의 조합으로 이루어진 군으로부터 선택되고;Each of R a , R b , R c , R d , R e and R f is independently hydrogen, deuterium, halide, alkyl, cycloalkyl, heteroalkyl, arylalkyl, alkoxy, aryloxy, amino, silyl, alkenyl , Cycloalkenyl, heteroalkenyl, alkynyl, aryl, heteroaryl, acyl, carbonyl, carboxylic acid, ester, nitrile, isonitrile, sulfanyl, sulfinyl, sulfonyl, phosphino, and combinations thereof Is selected from the group consisting of;
Ra, Rb, Rc, 및 Rd 중 임의의 2개의 인접한 치환기는 임의로 융합되거나 또는 결합되어 고리를 형성한다.Any two adjacent substituents of R a , R b , R c , and R d are optionally fused or joined to form a ring.
일 양태에서, 본 개시내용은 화학식 II의 화합물이 하기로 이루어진 군으로부터 선택되는 것을 제공한다:In one aspect, the disclosure provides that the compound of Formula II is selected from the group consisting of:
상기 식에서, L은 O, S, Se, NR, BR, BRR', C=O, S=O, CRR', SiRR', 및 이들의 조합으로 이루어진 군으로부터 선택되고;Wherein L is selected from the group consisting of O, S, Se, NR, BR, BRR', C=O, S=O, CRR', SiRR', and combinations thereof;
각각의 RA, RB, RC, RD, RE, 및 RF는 독립적으로 수소, 또는 중수소, 할로겐, 알킬, 시클로알킬, 헤테로알킬, 헤테로시클로알킬, 보릴, 아릴알킬, 알콕시, 아릴옥시, 아미노, 실릴, 알케닐, 시클로알케닐, 헤테로알케닐, 알키닐, 아릴, 헤테로아릴, 아실, 카르복실산, 에테르, 에스테르, 니트릴, 이소니트릴, 술파닐, 술피닐, 술포닐, 포스피노, 및 이들의 조합으로 이루어진 군으로부터 선택된 치환기이다.Each of R A , R B , R C , R D , R E , and R F is independently hydrogen, or deuterium, halogen, alkyl, cycloalkyl, heteroalkyl, heterocycloalkyl, boryl, arylalkyl, alkoxy, aryl Oxy, amino, silyl, alkenyl, cycloalkenyl, heteroalkenyl, alkynyl, aryl, heteroaryl, acyl, carboxylic acid, ether, ester, nitrile, isonitrile, sulfanyl, sulfinyl, sulfonyl, phosph It is a substituent selected from the group consisting of pinot, and combinations thereof.
일부 실시양태에서, 제1 유기층은 발광층일 수 있고, 본원에 기재된 바와 같은 화합물은 발광 도펀트 또는 비발광 도펀트일 수 있다.In some embodiments, the first organic layer can be an emissive layer, and the compound as described herein can be an emissive dopant or a non-emission dopant.
일부 실시양태에서, 화합물은 형광성 이미터일 수 있다.In some embodiments, the compound can be a fluorescent emitter.
일부 실시양태에서, 제1 유기층은 인광성 증감제를 더 포함할 수 있고, 화합물을 형광성 억셉터이다.In some embodiments, the first organic layer may further comprise a phosphorescent sensitizer, and the compound is a fluorescent acceptor.
일부 실시양태에서, OLED는 애노드와 캐소드 사이에 배치된 제2 유기층을 포함할 수 있고, 제2 유기층은 인광성 증감제를 포함하고, 화합물을 형광성 억셉터이다.In some embodiments, the OLED can include a second organic layer disposed between the anode and the cathode, the second organic layer comprising a phosphorescent sensitizer, and the compound being a fluorescent acceptor.
일부 실시양태에서, 리간드가 하기로 이루어진 군으로부터 선택되는 2좌 초과의 것인 경우에, 인광성 증감제는 하나 이상의 리간드 또는 리간드의 일부를 갖는 전이 금속 착물일 수 있다:In some embodiments, where the ligand is more than two loci selected from the group consisting of, the phosphorescent sensitizer may be a transition metal complex having one or more ligands or portions of a ligand:
상기 식에서, 각각의 Y1 내지 Y13은 독립적으로 탄소 및 질소로 이루어진 군으로부터 선택되고; Y'는 BRe, NRe, PRe, O, S, Se, C=O, S=O, SO2, CReRf, SiReRf, 및 GeReRf로 이루어진 군으로부터 선택되고; Re 및 Rf는 임의로 융합되거나 또는 결합되어 고리를 형성하고; 각각의 Ra, Rb, Rc, 및 Rd는 독립적으로 그것의 회합된 고리에 대한 제로, 일치환, 또는 최대 허용되는 치환을 나타내고; Ra, Rb, Rc, Rd, Re 및 Rf는 각각 독립적으로 수소, 또는 중수소, 할라이드, 알킬, 시클로알킬, 헤테로알킬, 아릴알킬, 알콕시, 아릴옥시, 아미노, 실릴, 알케닐, 시클로알케닐, 헤테로알케닐, 알키닐, 아릴, 헤테로아릴, 아실, 카르보닐, 카르복실산, 에스테르, 니트릴, 이소니트릴, 술파닐, 술피닐, 술포닐, 포스피노, 및 이들의 조합으로 이루어진 군으로부터 선택된 치환기이고; Ra, Rb, Rc, 및 Rd 중 2개의 인접한 치환기는 임의로 융합되거나 또는 결합되어 고리를 형성하거나 또는 다좌 리간드를 형성한다.Wherein each of Y 1 to Y 13 is independently selected from the group consisting of carbon and nitrogen; Y'is selected from the group consisting of BR e , NR e , PR e , O, S, Se, C=O, S=O, SO 2 , CR e R f , SiR e R f , and GeR e R f ; R e and R f are optionally fused or joined to form a ring; Each of R a , R b , R c , and R d independently represents a zero, mono-, or maximum permissible substitution for its associated ring; R a , R b , R c , R d , R e and R f are each independently hydrogen, or deuterium, halide, alkyl, cycloalkyl, heteroalkyl, arylalkyl, alkoxy, aryloxy, amino, silyl, alkenyl , Cycloalkenyl, heteroalkenyl, alkynyl, aryl, heteroaryl, acyl, carbonyl, carboxylic acid, ester, nitrile, isonitrile, sulfanyl, sulfinyl, sulfonyl, phosphino, and combinations thereof Is a substituent selected from the group consisting of; Two adjacent substituents of R a , R b , R c , and R d are optionally fused or bonded to form a ring or to form a multidentate ligand.
일부 실시양태에서, 애노드와 캐소드 사이에 배치되는 하나 이상의 유기층은 호스트를 포함하고, 여기서 호스트는 안트라센, 나프탈렌, 트리페닐렌, 카르바졸, 디벤조티오펜, 디벤조푸란, 디벤조셀레노펜, 아자트리페닐렌, 아자카르바졸, 아자-디벤조티오펜, 아자-디벤조푸란, 및 아자-디벤조셀레노펜으로 이루어진 군으로부터 선택된 하나 이상의 화학기를 포함한다. In some embodiments, the at least one organic layer disposed between the anode and the cathode comprises a host, wherein the host is anthracene, naphthalene, triphenylene, carbazole, dibenzothiophene, dibenzofuran, dibenzoselenophene, aza Triphenylene, azacarbazole, aza-dibenzothiophene, aza-dibenzofuran, and aza-dibenzoselenophene.
일부 실시양태에서, 호스트는 하기로 이루어진 호스트 군 및 이들의 조합으로부터 선택될 수 있다:In some embodiments, the host may be selected from a group of hosts consisting of and combinations thereof:
또 다른 양태에서, 본 개시내용의 OLED는 또한 본 개시내용의 상기 화합물 섹션에 개시된 화합물을 함유하는 발광 영역을 포함할 수 있다.In another aspect, the OLED of the present disclosure may also include a light emitting region containing a compound disclosed in the above compound section of the present disclosure.
일부 실시양태에서, 발광 영역은 하기 화학식 I의 구조를 포함하는 화합물을 포함할 수 있다:In some embodiments, the light emitting region may comprise a compound comprising a structure of Formula I:
; ;
상기 식에서, Y i 는 이고, Y j 는 이고,In the above formula, Y i is And Y j is ego,
여기서, RA, RB, RC, 및 RD는 각각 독립적으로 제로, 일치환, 이치환 또는 최대 허용가능한 치환을 나타내고;Wherein R A , R B , R C , and R D each independently represent zero, mono-, di- or maximally permissible substitutions;
각각의 RA, RB, RC, 및 RD는 독립적으로 수소, 또는 본원에 정의된 일반 치환기로 이루어진 군으로부터 선택된 치환기이고;Each of R A , R B , R C , and R D is independently hydrogen or a substituent selected from the group consisting of general substituents as defined herein;
RA, RB, RC, 및 RD 중 하나 이상은 카르바졸 모이어티를 포함하고;At least one of R A , R B , R C , and R D comprises a carbazole moiety;
각각의 X1-X16은 독립적으로 C 또는 N이고; Each X 1 -X 16 is independently C or N;
임의의 2개의 치환기는 함께 결합되거나 또는 융합되어 고리를 형성할 수 있다.Any two substituents may be bonded together or fused to form a ring.
또 다른 양태에서, 본 개시내용은 또한 애노드; 캐소드; 및 상기 애노드와 캐소드 사이에 배치된 유기층을 갖는 유기 발광 디바이스(OLED)를 포함하는 소비자 제품을 제공하며, 여기서 유기층은 본 개시내용의 상기 화합물 섹션에 개시된 화합물을 포함할 수 있다.In another aspect, the present disclosure also provides an anode; Cathode; And an organic light emitting device (OLED) having an organic layer disposed between the anode and the cathode, wherein the organic layer may comprise a compound disclosed in the above compound section of the present disclosure.
일부 실시양태에서, 소비자 제품은 애노드; 캐소드; 및 상기 애노드와 캐소드 사이에 배치된 유기층을 갖는 유기 발광 디바이스(OLED)를 포함하며, 여기서 유기층은 하기 화학식 I의 구조를 포함하는 화합물을 포함할 수 있다:In some embodiments, the consumer product comprises an anode; Cathode; And an organic light emitting device (OLED) having an organic layer disposed between the anode and the cathode, wherein the organic layer may comprise a compound comprising a structure of formula I:
; ;
상기 식에서, Y i 는 이고, Y j 는 이고,In the above formula, Y i is And Y j is ego,
여기서, RA, RB, RC, 및 RD는 각각 독립적으로 제로, 일치환, 이치환 또는 최대 허용가능한 치환을 나타내고;Wherein R A , R B , R C , and R D each independently represent zero, mono-, di- or maximally permissible substitutions;
각각의 RA, RB, RC, 및 RD는 독립적으로 수소, 또는 본원에 정의된 일반 치환기로 이루어진 군으로부터 선택된 치환기이고;Each of R A , R B , R C , and R D is independently hydrogen or a substituent selected from the group consisting of general substituents as defined herein;
RA, RB, RC, 및 RD 중 하나 이상은 카르바졸 모이어티를 포함하고;At least one of R A , R B , R C , and R D comprises a carbazole moiety;
각각의 X1-X16은 독립적으로 C 또는 N이고; Each X 1 -X 16 is independently C or N;
임의의 2개의 치환기는 함께 결합되거나 또는 융합되어 고리를 형성할 수 있다.Any two substituents may be bonded together or fused to form a ring.
일부 실시양태에서, 소비자 제품은 평면 패널 디스플레이, 컴퓨터 모니터, 의료용 모니터, 텔레비젼, 광고판, 실내 또는 실외 조명 및/또는 신호용 라이트, 헤드업 디스플레이, 완전 또는 부분 투명 디스플레이, 플렉시블 디스플레이, 레이저 프린터, 전화기, 휴대폰, 태블릿, 패블릿, 개인용 정보 단말기(PDA), 웨어러블 디바이스, 랩톱 컴퓨터, 디지털 카메라, 캠코더, 뷰파인더, 대각선이 2인치 미만인 마이크로-디스플레이, 3D 디스플레이, 가상 현실 또는 증강 현실 디스플레이, 차량, 함께 타일링된(tiled) 다중 디스플레이를 포함하는 비디오 월, 극장 또는 스타디움 스크린, 광요법 디바이스 및 간판 중 하나일 수 있다.In some embodiments, consumer products include flat panel displays, computer monitors, medical monitors, televisions, billboards, indoor or outdoor lighting and/or signaling lights, head-up displays, fully or partially transparent displays, flexible displays, laser printers, telephones, Mobile phones, tablets, phablets, personal digital assistants (PDAs), wearable devices, laptop computers, digital cameras, camcorders, viewfinders, micro-displays less than 2 inches diagonal, 3D displays, virtual or augmented reality displays, vehicles, together It may be one of a video wall, a theater or stadium screen, a phototherapy device and a signage that includes multiple tiled displays.
일반적으로, OLED는 애노드와 캐소드 사이에 배치되어 이에 전기 접속되는 하나 이상의 유기층을 포함한다. 전류가 인가되면, 애노드는 유기층(들)에 정공을 주입하고, 캐소드는 전자를 주입한다. 주입된 정공 및 전자는 각각 반대로 하전된 전극을 향하여 이동한다. 전자와 정공이 동일한 분자상에 편재화될 경우, 여기된 에너지 상태를 갖는 편재화된 전자-정공 쌍인 "엑시톤"이 생성된다. 엑시톤이 광방출 메카니즘을 통해 이완될 경우 광이 방출된다. 일부의 경우에서, 엑시톤은 엑시머 또는 엑시플렉스 상에 편재화될 수 있다. 비-방사 메카니즘, 예컨대 열 이완이 또한 발생할 수 있으나, 일반적으로 바람직하지 않은 것으로 간주된다. In general, OLEDs comprise one or more organic layers disposed between and electrically connected to an anode and a cathode. When current is applied, the anode injects holes into the organic layer(s), and the cathode injects electrons. The injected holes and electrons move toward oppositely charged electrodes, respectively. When electrons and holes are localized on the same molecule, “excitons”, which are localized electron-hole pairs with excited energy states, are produced. Light is emitted when excitons are relaxed through a light emission mechanism. In some cases, excitons may be localized on excimers or exciplexes. Non-radiative mechanisms, such as thermal relaxation, can also occur, but are generally considered undesirable.
여러가지의 OLED 재료 및 구성은 미국특허 제5,844,363호, 제6,303,238호 및 제5,707,745호에 기재되어 있으며, 이들 특허 문헌은 그 전문이 본원에 참고로 포함된다. Various OLED materials and configurations are described in U.S. Patent Nos. 5,844,363, 6,303,238, and 5,707,745, which patent documents are incorporated herein by reference in their entirety.
초기 OLED는 예를 들면 미국 특허 제4,769,292호에 개시된 바와 같은 단일항 상태로부터 광("형광")을 방출하는 방출 분자를 사용하였으며, 상기 특허 문헌은 그 전문이 참고로 포함된다. 형광 방출은 일반적으로 10 나노초 미만의 시간 프레임으로 발생한다. Early OLEDs used emissive molecules that emit light ("fluorescence") from a singlet state as disclosed in, for example, US Pat. No. 4,769,292, which patent document is incorporated by reference in its entirety. Fluorescence emission generally occurs in a time frame of less than 10 nanoseconds.
보다 최근에는, 삼중항 상태로부터의 광("인광")을 방출하는 발광 물질을 갖는 OLED가 제시되었다. 문헌[Baldo et al., "Highly Efficient Phosphorescent Emission from Organic Electroluminescent Devices," Nature, vol. 395, 151-154, 1998; ("Baldo-I")] 및 문헌[Baldo et al., "Very high-efficiency green 유기 발광 디바이스s based on electrophosphorescence," Appl. Phys. Lett., vol. 75, No. 3, 4-6 (1999) ("Baldo-II")]은 그 전문이 참고로 포함된다. 인광은 참고로 포함되는 미국 특허 제7,279,704호의 컬럼 5-6에 보다 구체적으로 기재되어 있다.More recently, OLEDs with luminescent materials that emit light from the triplet state ("phosphorescence") have been presented. See Baldo et al., "Highly Efficient Phosphorescent Emission from Organic Electroluminescent Devices," Nature, vol. 395, 151-154, 1998; (“Baldo-I”)] and in Baldo et al., “Very high-efficiency green organic light emitting devices based on electrophosphorescence,” Appl. Phys. Lett., vol. 75, No. 3, 4-6 (1999) ("Baldo-II")] is incorporated by reference in its entirety. Phosphorescence is described more specifically in columns 5-6 of US Pat. No. 7,279,704, which is incorporated by reference.
도 1은 유기 발광 디바이스(100)를 나타낸다. 도면은 반드시 축척에 의하여 도시하지는 않았다. 디바이스(100)는 기판(110), 애노드(115), 정공 주입층(120), 정공 수송층(125), 전자 차단층(130), 발광층(135), 정공 차단층(140), 전자 수송층(145), 전자 주입층(150), 보호층(155), 캐소드(160) 및 배리어층(170)을 포함할 수 있다. 캐소드(160)는 제1 전도층(162) 및 제2 전도층(164)을 갖는 화합물 캐소드이다. 디바이스(100)는 기재된 순서로 층을 증착시켜 제작될 수 있다. 이들 다양한 층뿐 아니라, 예시 물질의 특성 및 기능은 인용에 의해 포함되는 미국특허 제7,279,704호의 컬럼 6-10에 보다 구체적으로 기재되어 있다.1 shows an organic
이들 층 각각에 대한 더 많은 예도 이용 가능하다. 예를 들면 가요성이고 투명한 기판-애노드 조합이 미국특허 제5,844,363호에 개시되어 있으며, 이 특허 문헌은 그 전문이 인용에 의해 포함된다. p-도핑된 정공 수송층의 한 예는 미국특허출원 공개공보 제2003/0230980호에 개시된 바와 같이, 50:1의 몰비로 m-MTDATA가 F4-TCNQ로 도핑된 것이 있으며, 이 특허 문헌은 그 전문이 인용에 의해 포함된다. 발광 및 호스트 물질의 예는 미국특허 제6,303,238호(Thompson 등)에 개시되어 있으며, 이 특허 문헌은 그 전문이 인용에 의해 포함된다. n-도핑된 전자 수송층의 예는 미국특허출원 공개공보 제2003/0230980호에 개시된 바와 같이, 1:1의 몰비로 Li로 도핑된 BPhen이고, 이 특허 문헌은 그 전문이 인용에 의해 포함된다. 그 전문이 인용에 의해 포함되는 미국특허 제5,703,436호 및 제5,707,745호에는, 적층된 투명, 전기전도성 스퍼터-증착된 ITO 층을 갖는 Mg:Ag와 같은 금속의 박층을 갖는 화합물 캐소드를 비롯한 캐소드의 예가 개시되어 있다. 차단층의 이론 및 용도는 미국특허 제6,097,147호 및 미국특허출원 공개공보 제2003/0230980호에 보다 구체적으로 기재되어 있으며, 이들 특허 문헌은 그 전문이 인용에 의해 포함된다. 주입층의 예는 미국특허출원 공개공보 제2004/0174116호에 제공되어 있으며, 이 특허 문헌은 그 전문이 인용에 의해 포함된다. 보호층의 설명은 미국특허출원 공개공보 제2004/0174116호에서 찾아볼 수 있으며, 이 특허 문헌은 그 전문이 인용에 의해 포함된다. More examples for each of these layers are also available. For example, a flexible and transparent substrate-anode combination is disclosed in US Pat. No. 5,844,363, which patent document is incorporated by reference in its entirety. An example of a p-doped hole transport layer is one in which m-MTDATA is doped with F 4 -TCNQ at a molar ratio of 50:1, as disclosed in U.S. Patent Application Publication No. 2003/0230980, and this patent document The full text is included by reference. Examples of light emitting and host materials are disclosed in US Pat. No. 6,303,238 (Thompson et al.), which patent document is incorporated by reference in its entirety. An example of an n-doped electron transport layer is BPhen doped with Li at a molar ratio of 1:1, as disclosed in U.S. Patent Application Publication No. 2003/0230980, and this patent document is incorporated by reference in its entirety. U.S. Patent Nos. 5,703,436 and 5,707,745, which are incorporated by reference in their entirety, include examples of cathodes, including compound cathodes having a thin layer of metal such as Mg:Ag with a layered transparent, electroconductive sputter-deposited ITO layer. It is disclosed. The theory and use of the barrier layer are described in more detail in U.S. Patent No. 6,097,147 and U.S. Patent Application Publication No. 2003/0230980, and these patent documents are incorporated by reference in their entirety. An example of an injection layer is provided in US Patent Application Publication No. 2004/0174116, which patent document is incorporated by reference in its entirety. A description of the protective layer can be found in US Patent Application Publication No. 2004/0174116, which patent document is incorporated by reference in its entirety.
도 2는 역구조 OLED(200)를 나타낸다. 디바이스는 기판(210), 캐소드(215), 발광층(220), 정공 수송층(225) 및 애노드(230)를 포함한다. 디바이스(200)는 기재된 순서로 층을 증착시켜 제작될 수 있다. 가장 흔한 OLED 구성이 애노드의 위에 캐소드가 배치되어 있는 것이고, 디바이스(200)는 애노드(230)의 아래에 배치된 캐소드(215)를 갖고 있으므로, 디바이스(200)는 "역구조" OLED로 지칭될 수 있다. 디바이스(100)에 관하여 기재된 것과 유사한 물질이 디바이스(200)의 해당 층에 사용될 수 있다. 도 2는 디바이스(100)의 구조로부터 일부 층이 어떻게 생략될 수 있는지의 일례를 제공한다. 2 shows an
도 1 및 도 2에 도시된 단순 적층된 구조는 비제한적인 예로서 제공되며, 본 발명의 실시양태는 다양한 기타의 구조와 관련하여 사용될 수 있는 것으로 이해된다. 기재된 특정한 물질 및 구조는 사실상 예시를 위한 것이며, 기타의 물질 및 구조도 사용될 수 있다. 기능성 OLED는 기재된 다양한 층을 상이한 모드로 조합하여 달성될 수 있거나, 또는 층은 디자인, 성능 및 비용 요인에 기초하여 전적으로 생략될 수 있다. 구체적으로 기재되지 않은 기타의 층도 또한 포함될 수 있다. 구체적으로 기재된 물질과 다른 물질을 사용할 수 있다. 본원에 제공된 다수의 예가 단일 물질을 포함하는 것으로 다양한 층을 기재하기는 하나, 물질의 조합, 예컨대 호스트와 도펀트의 혼합물, 또는 보다 일반적으로 혼합물을 사용할 수 있는 것으로 이해된다. 또한, 층은 다양한 하부층을 가질 수 있다. 본원에서 다양한 층에 제시된 명칭은 엄격하게 제한하고자 하는 것은 아니다. 예를 들면, 디바이스(200)에서, 정공 수송층(225)은 정공을 수송하고 정공을 발광층(220)에 주입하며, 정공 수송층 또는 정공 주입층으로서 기재될 수 있다. 한 실시양태에서, OLED는 캐소드와 애노드 사이에 배치된 "유기층"을 갖는 것으로 기재될 수 있다. 이러한 유기층은 단일 층을 포함할 수 있거나, 또는 예를 들면 도 1 및 도 2와 관련하여 기재된 바와 같은 상이한 유기 물질들의 복수의 층을 더 포함할 수 있다. The simple stacked structures shown in FIGS. 1 and 2 are provided as non-limiting examples, and it is understood that embodiments of the present invention may be used in connection with a variety of other structures. The specific materials and structures described are for illustrative purposes only, and other materials and structures may also be used. Functional OLEDs can be achieved by combining the various layers described in different modes, or layers can be omitted entirely based on design, performance and cost factors. Other layers not specifically described may also be included. Materials different from those specifically described may be used. Although many of the examples provided herein describe the various layers as comprising a single material, it is understood that combinations of materials, such as mixtures of hosts and dopants, or more generally mixtures, may be used. In addition, the layer may have various lower layers. The names given to the various layers herein are not intended to be strictly limiting. For example, in the
구체적으로 기재하지 않은 구조 및 물질, 예컨대 미국특허 제5,247,190호(Friend 등)에 개시된 바와 같은 중합체 물질을 포함하는 OLED(PLED)를 또한 사용할 수 있으며, 이 특허 문헌은 그 전문이 인용에 의해 포함된다. 추가의 예로서, 단일 유기층을 갖는 OLED를 사용할 수 있다. OLED는 예를 들면 미국특허 제5,707,745호(Forrest 등)에 기재된 바와 같이 적층될 수 있으며, 이 특허 문헌은 그 전문이 인용에 의해 본원에 포함된다. OLED 구조는 도 1 및 도 2에 도시된 단순 적층된 구조로부터 벗어날 수 있다. 예를 들면, 기판은 미국특허 제6,091,195호(Forrest 등)에 기재된 바와 같은 메사형(mesa) 구조 및/또는 미국특허 제5,834,893호(Bulovic 등)에 기재된 피트형(pit) 구조와 같은 아웃-커플링(out-coupling)을 개선시키기 위한 각진 반사면을 포함할 수 있으며, 이들 특허 문헌은 그 전문이 인용에 의해 본원에 포함된다. Structures and materials not specifically described, such as OLEDs (PLEDs) comprising polymeric materials as disclosed in U.S. Patent No. 5,247,190 (Friend et al.), can also be used, which patent document is incorporated by reference in its entirety. . As a further example, an OLED with a single organic layer can be used. OLEDs can be stacked as described in, for example, U.S. Patent No. 5,707,745 (Forrest et al.), which patent document is incorporated herein by reference in its entirety. The OLED structure can deviate from the simple stacked structure shown in FIGS. 1 and 2. For example, the substrate may be an out-coupled structure such as a mesa structure as described in U.S. Patent No. 6,091,195 (Forrest et al.) and/or a pit structure as described in U.S. Patent No. 5,834,893 (Bulovic et al.). It may include an angled reflective surface to improve out-coupling, and these patent documents are incorporated herein by reference in their entirety.
반대의 의미로 명시하지 않는 한, 다양한 실시양태의 임의의 층은 임의의 적합한 방법에 의하여 증착될 수 있다. 유기층의 경우, 바람직한 방법으로는 미국특허 제6,013,982호 및 제6,087,196호(이 특허 문헌들은 그 전문이 인용에 의해 포함됨)에 기재된 바와 같은 열 증발, 잉크-제트, 미국특허 제6,337,102호(Forrest 등)(이 특허 문헌은 그 전문이 인용에 의해 포함됨)에 기재된 바와 같은 유기 기상 증착(OVPD) 및 미국특허 제7,431,968호(이 특허 문헌은 그 전문이 인용에 의해 포함됨)에 기재된 바와 같은 유기 증기 제트 프린팅(OVJP)에 의한 증착을 들 수 있다. 기타의 적합한 증착 방법은 스핀 코팅 및 기타의 용액 기반 공정을 포함한다. 용액 기반 공정은 질소 또는 불활성 분위기 중에서 실시되는 것이 바람직하다. 기타의 층의 경우, 바람직한 방법은 열 증발을 포함한다. 바람직한 패턴 형성 방법은 마스크를 통한 증착, 미국특허 제6,294,398호 및 제6,468,819호(이 특허 문헌들은 그 전문이 인용에 의해 포함됨)에 기재된 바와 같은 냉간 용접 및 잉크-제트 및 유기 증기 제트 프린팅(OVJP)과 같은 일부 증착 방법과 관련된 패턴 형성을 포함한다. 다른 방법들도 또한 사용될 수 있다. 증착시키고자 하는 물질은 특정한 증착 방법과 상용성을 갖도록 변형될 수 있다. 예를 들면, 분지형 또는 비분지형, 바람직하게는 3개 이상의 탄소를 포함하는 알킬 및 아릴기와 같은 치환기는 소분자에 사용되어 이의 용액 가공 처리 능력을 향상시킬 수 있다. 20개 이상의 탄소를 갖는 치환기를 사용할 수 있으며, 3개 내지 20개의 탄소가 바람직한 범위이다. 비대칭 물질은 더 낮은 재결정화 경향성을 가질 수 있기 때문에, 비대칭 구조를 갖는 물질은 대칭 구조를 갖는 물질보다 더 우수한 용액 가공성을 가질 수 있다. 덴드리머 치환기를 사용하여 소분자의 용액 가공 처리 능력을 향상시킬 수 있다. Unless specified to the contrary, any of the layers of various embodiments may be deposited by any suitable method. In the case of organic layers, preferred methods include thermal evaporation, ink-jet, U.S. Patent No. 6,337,102 (Forrest et al.) as described in U.S. Patents 6,013,982 and 6,087,196 (these patent documents are incorporated by reference in their entirety). Organic vapor deposition (OVPD) as described in (this patent document is incorporated by reference in its entirety) and organic vapor jet printing as described in U.S. Patent No. 7,431,968 (this patent document is incorporated by reference in its entirety). Evaporation by (OVJP) is mentioned. Other suitable deposition methods include spin coating and other solution based processes. The solution-based process is preferably carried out in nitrogen or in an inert atmosphere. For other layers, the preferred method includes thermal evaporation. Preferred pattern formation methods are vapor deposition through a mask, cold welding and ink-jet and organic vapor jet printing (OVJP) as described in U.S. Patents 6,294,398 and 6,468,819 (these patent documents are incorporated by reference in their entirety). And pattern formation associated with some deposition methods, such as. Other methods can also be used. The material to be deposited can be modified to have compatibility with a specific deposition method. For example, substituents such as branched or unbranched, preferably alkyl and aryl groups containing 3 or more carbons can be used in small molecules to improve their solution processing capability. Substituents having 20 or more carbons can be used, with 3 to 20 carbons being a preferred range. Since the asymmetric material may have a lower tendency to recrystallize, a material with an asymmetric structure may have better solution processability than a material with a symmetric structure. Dendrimer substituents can be used to improve the solution processing capability of small molecules.
본 개시내용의 실시양태에 따라 제작된 디바이스는 배리어층을 임의로 더 포함할 수 있다. 배리어층의 한 목적은 전극 및 유기층이 수분, 증기 및/또는 기체 등을 포함하는 환경에서 유해한 종에 대한 노출로 인하여 손상되지 않도록 보호하는 것이다. 배리어층은 엣지를 포함하는 디바이스의 임의의 기타 부분의 위에서, 전극 또는, 기판의 위에서, 아래에서 또는 옆에서 증착될 수 있다. 배리어층은 단일층 또는 다중층을 포함할 수 있다. 배리어층은 다양한 공지의 화학 기상 증착 기법에 의하여 형성될 수 있으며 복수의 상을 갖는 조성뿐 아니라 단일 상을 갖는 조성을 포함할 수 있다. 임의의 적합한 물질 또는 물질의 조합을 배리어층에 사용할 수 있다. 배리어층은 무기 또는 유기 화합물 또는 둘 다를 포함할 수 있다. 바람직한 배리어층은 미국특허 제7,968,146호, PCT 특허출원번호 PCT/US2007/023098 및 PCT/US2009/042829에 기재된 바와 같은 중합체 물질 및 비-중합체 물질의 혼합물을 포함하며, 이들 문헌은 그 전문이 인용에 의해 본원에 포함된다. "혼합물"로 간주되기 위해, 배리어층을 포함하는 전술한 중합체 및 비-중합체 물질은 동일한 반응 조건 하에서 및/또는 동일한 시간에 증착되어야만 한다. 중합체 대 비-중합체 물질의 중량비는 95:5 내지 5:95 범위 내일 수 있다. 중합체 및 비-중합체 물질은 동일한 전구체 물질로부터 생성될 수 있다. 한 예에서, 중합체 및 비-중합체 물질의 혼합물은 본질적으로 중합체 규소 및 무기 규소로 이루어진다. Devices fabricated according to embodiments of the present disclosure may optionally further comprise a barrier layer. One purpose of the barrier layer is to protect the electrode and the organic layer from being damaged by exposure to harmful species in an environment containing moisture, vapor and/or gas. The barrier layer may be deposited on top of any other portion of the device including the edge, on top of, below, or next to the electrode or substrate. The barrier layer may include a single layer or multiple layers. The barrier layer may be formed by various known chemical vapor deposition techniques, and may include a composition having a single phase as well as a composition having a plurality of phases. Any suitable material or combination of materials can be used in the barrier layer. The barrier layer may contain inorganic or organic compounds or both. Preferred barrier layers include mixtures of polymeric and non-polymeric materials as described in US Pat. No. 7,968,146, PCT Patent Application Nos. PCT/US2007/023098 and PCT/US2009/042829, which documents are incorporated herein by reference in their entirety. Incorporated herein by reference. To be considered a “mixture”, the aforementioned polymeric and non-polymeric materials comprising the barrier layer must be deposited under the same reaction conditions and/or at the same time. The weight ratio of polymer to non-polymeric material may range from 95:5 to 5:95. Polymeric and non-polymeric materials can be produced from the same precursor material. In one example, the mixture of polymeric and non-polymeric materials consists essentially of polymeric silicon and inorganic silicon.
본 개시내용의 실시양태에 따라 제작된 디바이스는 다양한 전자 제품 또는 중간 부품 내에 포함될 수 있는 광범위하게 다양한 전자 부품 모듈(또는 유닛) 내에 포함될 수 있다. 이러한 전자 제품 또는 중간 부품의 예는 최종 소비자 제품 생산자에 의해 사용될 수 있는 디스플레이 스크린, 발광 디바이스, 예컨대 개별 광원 디바이스 또는 조명 패널 등을 포함한다. 이러한 전자 부품 모듈은 임의로 구동 전자 장치 및/또는 동력원(들)을 포함할 수 있다. 본 개시내용의 실시양태에 따라 제작된 디바이스는 하나 이상의 전자 부품 모듈(또는 유닛)을 그 안에 포함하는 광범위하게 다양한 소비자 제품 내에 포함될 수 있다. OLED 내 유기층에 본 개시내용의 화합물을 포함하는 OLED를 포함하는 소비자 제품이 개시된다. 이러한 소비자 제품은 하나 이상의 광원(들) 및/또는 하나 이상의 어떤 종류의 영상 디스플레이를 포함하는 임의 종류의 제품을 포함할 것이다. 이러한 소비자 제품의 몇몇 예로는 평면 패널 디스플레이, 곡면 디스플레이, 컴퓨터 모니터, 의료용 모니터, 텔레비젼, 광고판, 실내 또는 실외 조명 및/또는 신호용 라이트, 헤드업 디스플레이, 완전 또는 부분 투명 디스플레이, 플렉시블 디스플레이, 롤러블 디스플레이, 폴더블 디스플레이, 스트레처블 디스플레이, 레이저 프린터, 전화기, 휴대폰, 태블릿, 패블릿, 개인용 정보 단말기(PDA), 웨어러블 디바이스, 랩톱 컴퓨터, 디지털 카메라, 캠코더, 뷰파인더, 마이크로 디스플레이(대각선이 2인치 미만인 디스플레이), 3D 디스플레이, 가상 현실 또는 증강 현실 디스플레이, 차량, 함께 타일링된 다중 디스플레이를 포함하는 비디오 월, 극장 또는 스타디움 스크린, 광요법 디바이스, 및 간판이 있다. 패시브 매트릭스 및 액티브 매트릭스를 비롯한 다양한 조절 메카니즘을 사용하여 본 개시내용에 따라 제작된 디바이스를 조절할 수 있다. 다수의 디바이스는 사람에게 안락감을 주는 온도 범위, 예컨대 18℃ 내지 30℃, 더욱 바람직하게는 실온(20℃ 내지 25℃)에서 사용하고자 하지만, 상기 온도 범위 밖의 온도, 예컨대 -40℃ 내지 +80℃에서도 사용될 수 있다. Devices fabricated in accordance with embodiments of the present disclosure may be included within a wide variety of electronic component modules (or units) that may be included within a variety of electronic products or intermediate components. Examples of such electronic products or intermediate parts include display screens, light-emitting devices, such as individual light source devices or lighting panels, etc. that can be used by the end consumer product manufacturer. Such electronic component modules may optionally include drive electronics and/or power source(s). Devices fabricated in accordance with embodiments of the present disclosure may be incorporated into a wide variety of consumer products including one or more electronic component modules (or units) therein. A consumer product is disclosed comprising an OLED comprising a compound of the present disclosure in an organic layer within the OLED. Such consumer products will include any kind of product including one or more light source(s) and/or one or more of some kind of visual display. Some examples of such consumer products include flat panel displays, curved displays, computer monitors, medical monitors, televisions, billboards, indoor or outdoor lighting and/or signaling lights, head-up displays, fully or partially transparent displays, flexible displays, rollable displays. , Foldable display, stretchable display, laser printer, telephone, mobile phone, tablet, phablet, personal digital assistant (PDA), wearable device, laptop computer, digital camera, camcorder, viewfinder, micro display (2 inches diagonally) Displays), 3D displays, virtual reality or augmented reality displays, vehicles, video walls comprising multiple displays tiled together, theater or stadium screens, phototherapy devices, and signage. A variety of control mechanisms, including passive and active matrices, can be used to control devices fabricated in accordance with the present disclosure. Many devices are intended to be used in a comfortable temperature range for humans, such as 18°C to 30°C, more preferably room temperature (20°C to 25°C), but outside this temperature range, such as -40°C to +80°C Can also be used.
OLED에 대한 더욱 상세한 내용 및 전술한 정의는, 미국 특허 제7,279,704호에서 찾을 수 있으며, 이의 전문은 본원에 참고로 포함된다.More details and the foregoing definitions of OLEDs can be found in US Pat. No. 7,279,704, the entirety of which is incorporated herein by reference.
본원에 기재된 물질 및 구조는 OLED 이외의 디바이스에서의 적용예를 가질 수 있다. 예를 들면, 기타의 광전자 디바이스, 예컨대 유기 태양 전지 및 유기 광검출기는 상기 물질 및 구조를 사용할 수 있다. 보다 일반적으로, 유기 디바이스, 예컨대 유기 트랜지스터는 상기 물질 및 구조를 사용할 수 있다. The materials and structures described herein may have applications in devices other than OLEDs. For example, other optoelectronic devices such as organic solar cells and organic photodetectors can use the materials and structures. More generally, organic devices, such as organic transistors, may use the above materials and structures.
일부 실시양태에서, OLED는 플렉시블, 롤러블, 폴더블, 스트레처블 및 곡면 특성으로 이루어진 군으로부터 선택된 하나 이상의 특성을 갖는다. 일부 실시양태에서, OLED는 투명 또는 반투명하다. 일부 실시양태에서, OLED는 탄소 나노튜브를 포함하는 층을 더 포함한다.In some embodiments, the OLED has one or more properties selected from the group consisting of flexible, rollable, foldable, stretchable and curved properties. In some embodiments, the OLED is transparent or translucent. In some embodiments, the OLED further comprises a layer comprising carbon nanotubes.
일부 실시양태에서, OLED는 지연 형광 이미터를 포함하는 층을 더 포함한다. 일부 실시양태에서, OLED는 RGB 픽셀 배열, 또는 화이트 플러스 컬러 필터 픽셀 배열을 포함한다. 일부 실시양태에서, OLED는 모바일 디바이스, 핸드 헬드 디바이스, 또는 웨어러블 디바이스이다. 일부 실시양태에서, OLED는 대각선이 10 인치 미만이거나 면적이 50 제곱인치 미만인 디스플레이 패널이다. 일부 실시양태에서, OLED는 대각선이 10 인치 이상이거나 면적이 50 제곱인치 이상인 디스플레이 패널이다. 일부 실시양태에서, OLED는 조명 패널이다.In some embodiments, the OLED further comprises a layer comprising a delayed fluorescence emitter. In some embodiments, the OLED comprises an RGB pixel arrangement, or a white plus color filter pixel arrangement. In some embodiments, the OLED is a mobile device, a handheld device, or a wearable device. In some embodiments, the OLED is a display panel with a diagonal of less than 10 inches or an area of less than 50 square inches. In some embodiments, the OLED is a display panel with a diagonal of at least 10 inches or an area of at least 50 square inches. In some embodiments, the OLED is a lighting panel.
일부 실시양태에서, 상기 화합물은 발광 도펀트일 수 있다. 일부 실시양태에서, 상기 화합물은 인광, 형광, 열 활성화 지연 형광, 즉, TADF(또한 E형 지연 형광으로도 지칭됨; 예를 들면 그 전문이 인용에 의해 본원에 포함되는 미국특허출원 제15/700,352호를 참조함), 삼중항-삼중항 소멸 또는 이들 과정의 조합을 통해 발광을 생성할 수 있다. 일부 실시양태에서, 발광 도펀트는 라세믹 혼합물일 수 있거나, 또는 하나의 거울상 이성질체가 농후할 수 있다. 일부 실시양태에서, 화합물은 동종리간드성(각 리간드가 동일)일 수 있다. 일부 실시양태에서, 화합물은 이종리간드성(적어도 하나의 리간드가 나머지와 상이)일 수 있다. 금속에 배위된 하나 초과의 리간드가 존재하는 경우, 리간드는 일부 실시양태에서 모두 동일할 수 있다. 일부 다른 실시양태에서는, 적어도 하나 리간드가 나머지 리간드와 상이하다. 일부 실시양태에서는, 모든 리간드가 서로 상이할 수 있다. 이것은 또한, 금속에 배위된 리간드가 그 금속에 배위된 다른 리간드와 연결되어 3좌, 4좌, 5좌, 또는 6좌 리간드를 형성할 수 있는 실시양태의 경우에도 해당된다. 따라서, 배위 리간드들이 함께 연결되는 경우, 모든 리간드가 일부 실시양태에서 동일할 수 있고, 연결되는 리간드 중 적어도 하나는 일부 다른 실시양태의 경우에 나머지 리간드(들)와 상이할 수 있다.In some embodiments, the compound can be a luminescent dopant. In some embodiments, the compound is phosphorescent, fluorescent, thermally activated delayed fluorescence, i.e., TADF (also referred to as type E delayed fluorescence; for example, U.S. Patent Application No. 15/, incorporated herein by reference in its entirety. 700,352), triplet-triplet extinction, or a combination of these processes can produce luminescence. In some embodiments, the luminescent dopant may be a racemic mixture, or one enantiomer may be enriched. In some embodiments, the compound may be homoligand (each ligand is the same). In some embodiments, the compound may be heteroligand (at least one ligand is different from the others). When there is more than one ligand coordinated to the metal, the ligands may all be the same in some embodiments. In some other embodiments, at least one ligand is different from the other ligands. In some embodiments, all ligands may be different from each other. This is also the case for embodiments in which a ligand coordinated to a metal can be linked with another ligand coordinated to that metal to form a tridentate, quadrature, pentadentate, or 6dentate ligand. Thus, when coordination ligands are linked together, all ligands may be the same in some embodiments, and at least one of the linked ligands may be different from the remaining ligand(s) in some other embodiments.
일부 실시양태에서, 화합물은 증감제로서 사용되는 엑시플렉스의 하나의 성분으로서 사용될 수 있다.In some embodiments, the compound may be used as a component of Exiplex used as a sensitizer.
일부 실시양태에서, 증감제는 단일 성분, 또는 엑시플렉스를 형성하기 위한 성분 중 하나이다. In some embodiments, the sensitizer is a single component, or one of the components to form an exciplex.
다른 양태에 따라, 본원에 기재된 화합물을 포함하는 배합물이 또한 개시되어 있다.According to another aspect, formulations comprising the compounds described herein are also disclosed.
본원에 개시된 OLED는 소비자 제품, 전자 부품 모듈 및 조명 패널 중 하나 이상에 포함될 수 있다. 유기층은 발광층일 수 있고, 상기 화합물은 일부 실시양태에서 발광 도펀트일 수 있고, 한편 상기 화합물은 다른 실시양태에서 비발광 도펀트일 수 있다. The OLEDs disclosed herein may be included in one or more of consumer products, electronic component modules, and lighting panels. The organic layer can be an emissive layer, and the compound can be an emissive dopant in some embodiments, while the compound can be a non-emissive dopant in other embodiments.
본 개시내용의 또 하나의 다른 양태에서, 본원에 개시된 신규한 화합물을 포함하는 배합물이 기재된다. 배합물은 본 명세서에 개시된 용매, 호스트, 정공 주입 물질, 정공 수송 물질, 전자 차단 물질, 정공 차단 물질, 및 전자 수송층 물질로 이루어진 군으로부터 선택되는 1 이상의 성분을 포함할 수 있다.In yet another aspect of the present disclosure, combinations comprising the novel compounds disclosed herein are described. The blend may include one or more components selected from the group consisting of a solvent, a host, a hole injection material, a hole transport material, an electron blocking material, a hole blocking material, and an electron transport layer material disclosed herein.
본 개시내용은 본 개시내용의 신규 화합물, 또는 이의 1가 또는 다가 변형체를 포함하는 임의의 화학 구조를 포함한다. 즉, 본 발명의 화합물, 또는 이의 1가 또는 다가 변형체는 더 큰 화학 구조의 일부일 수 있다. 그러한 화학 구조는 단량체, 중합체, 거대분자 및 초분자(초거대분자로도 알려짐)로 이루어진 군에서 선택될 수 있다. 본원에 사용된 바와 같이, "화합물의 1가 변형체"는 하나의 수소가 제거되고 나머지 화학 구조에 대한 결합으로 대체된 것을 제외하고는 화합물과 동일한 모이어티를 나타낸다. 본원에 사용된 바와 같이, "화합물의 다가 변형체"는 하나 초과의 수소가 제거되고 나머지 화학 구조에 대한 결합 또는 결합들로 대체된 것을 제외하고는 화합물과 동일한 모이어티를 나타낸다. 초분자의 경우, 본 발명의 화합물은 또한 공유 결합 없이 초분자 착물에 혼입될 수도 있다.The present disclosure includes any chemical structure including the novel compounds of the present disclosure, or monovalent or polyvalent variants thereof. That is, the compounds of the present invention, or monovalent or polyvalent variants thereof, may be part of a larger chemical structure. Such chemical structures can be selected from the group consisting of monomers, polymers, macromolecules and supramolecules (also known as supermolecules). As used herein, "a monovalent variant of a compound" refers to a moiety that is the same as a compound except that one hydrogen has been removed and replaced by a bond to the rest of the chemical structure. As used herein, “multivalent variant of a compound” refers to a moiety that is the same as a compound except that more than one hydrogen has been removed and replaced by a bond or bond to the remaining chemical structure. In the case of supramolecular, the compounds of the present invention may also be incorporated into supramolecular complexes without covalent bonds.
D.D. 본 개시내용의 화합물과 다른 물질의 조합Combination of compounds of the present disclosure with other substances
유기 발광 디바이스에서 특정 층에 대하여 유용한 것으로 본원에 기재된 물질은 디바이스에 존재하는 매우 다양한 기타 물질과의 조합으로 사용될 수 있다. 예를 들면, 본원에 개시된 발광 도펀트는 매우 다양한 호스트, 수송층, 차단층, 주입층, 전극 및 존재할 수 있는 기타 층과 결합되어 사용될 수 있다. 하기에 기재되거나 또는 참조된 물질은 본원에 개시된 화합물과의 조합에 유용할 수 있는 물질의 비제한적인 예시이며, 당업자는 조합에 유용할 수 있는 기타 물질을 식별하기 위해 문헌을 용이하게 참조할 수 있다.The materials described herein as useful for certain layers in organic light emitting devices can be used in combination with a wide variety of other materials present in the device. For example, the luminescent dopants disclosed herein can be used in combination with a wide variety of hosts, transport layers, blocking layers, injection layers, electrodes, and other layers that may be present. The materials described or referenced below are non-limiting examples of materials that may be useful in combination with the compounds disclosed herein, and those skilled in the art can readily refer to the literature to identify other materials that may be useful in combination. have.
a)a) 전도성 도펀트:Conductive Dopant:
전하 수송층은 전도성 도펀트로 도핑되어 이의 전하 캐리어 밀도를 실질적으로 변화시킬 수 있고, 이는 결과적으로 이의 전도성을 변화시킬 것이다. 전도성은 매트릭스 물질에서 전하 캐리어를 생성시킴으로써 증가되며, 도펀트의 유형에 따라, 반도체의 페르미 준위에서의 변화가 또한 달성될 수 있다. 정공 수송층은 p형 전도성 도펀트로 도핑될 수 있고 n형 전도성 도펀트는 전자 수송층에서 사용된다. The charge transport layer can be doped with a conductive dopant to substantially change its charge carrier density, which will in turn change its conductivity. The conductivity is increased by creating charge carriers in the matrix material, and depending on the type of dopant, a change in the Fermi level of the semiconductor can also be achieved. The hole transport layer may be doped with a p-type conductive dopant and an n-type conductive dopant is used in the electron transport layer.
본원에 개시된 물질과의 조합으로 OLED에서 사용될 수 있는 전도성 도펀트의 비제한적인 예시는 그 물질들을 개시하는 참조문헌과 함께 하기에 예시되어 있다: EP01617493, EP01968131, EP2020694, EP2684932, US20050139810, US20070160905, US20090167167, US2010288362, WO06081780, WO2009003455, WO2009008277, WO2009011327, WO2014009310, US2007252140, US2015060804, US20150123047, 및 US2012146012.Non-limiting examples of conductive dopants that can be used in OLEDs in combination with the materials disclosed herein are exemplified below with references disclosing those materials: EP01617493, EP01968131, EP2020694, EP2684932, US20050139810, US20070160905, US20090167167, US2010288362, WO06081780, WO2009003455, WO2009008277, WO2009011327, WO2014009310, US2007252140, US2015060804, US20150123047, and US2012146012.
b)b) HIL/HTL:HIL/HTL:
본 개시내용에서 사용하고자 하는 정공 주입/수송 물질은 특정하게 제한되지 않으며, 통상적으로 정공 주입/수송 물질로서 사용되는 한 임의의 화합물을 사용할 수 있다. 물질의 비제한적인 예로는 프탈로시아닌 또는 포르피린 유도체; 방향족 아민 유도체; 인돌로카르바졸 유도체; 플루오로히드로카본을 포함하는 중합체; 전도성 도펀트를 갖는 중합체; 전도성 중합체, 예컨대 PEDOT/PSS; 포스폰산 및 실란 유도체와 같은 화합물로부터 유도된 자체조립 단량체; 금속 산화물 유도체, 예컨대 MoOx; p-형 반도체 유기 화합물, 예컨대 1,4,5,8,9,12-헥사아자트리페닐렌헥사카보니트릴; 금속 착물 및 가교성 화합물을 들 수 있다. The hole injection/transport material to be used in the present disclosure is not particularly limited, and any compound may be used as long as it is generally used as a hole injection/transport material. Non-limiting examples of substances include phthalocyanine or porphyrin derivatives; Aromatic amine derivatives; Indolocarbazole derivatives; Polymers containing fluorohydrocarbons; Polymers with conductive dopants; Conductive polymers such as PEDOT/PSS; Self-assembled monomers derived from compounds such as phosphonic acids and silane derivatives; Metal oxide derivatives such as MoO x ; p-type semiconductor organic compounds such as 1,4,5,8,9,12-hexaazatriphenylenehexacarbonitrile; Metal complexes and crosslinkable compounds.
HIL 또는 HTL에 사용된 방향족 아민 유도체의 비제한적인 예로는 하기 구조식을 들 수 있다:Non-limiting examples of aromatic amine derivatives used in HIL or HTL include the following structural formula:
각각의 Ar1 내지 Ar9는 벤젠, 비페닐, 트리페닐, 트리페닐렌, 나프탈렌, 안트라센, 페날렌, 페난트렌, 플루오렌, 피렌, 크리센, 페릴렌 및 아줄렌과 같은 방향족 탄화수소 시클릭 화합물로 이루어진 군; 디벤조티오펜, 디벤조푸란, 디벤조셀레노펜, 푸란, 티오펜, 벤조푸란, 벤조티오펜, 벤조셀레노펜, 카르바졸, 인돌로카르바졸, 피리딜인돌, 피롤로디피리딘, 피라졸, 이미다졸, 트리아졸, 옥사졸, 티아졸, 옥사디아졸, 옥사트리아졸, 디옥사졸, 티아디아졸, 피리딘, 피리다진, 피리미딘, 피라진, 트리아진, 옥사진, 옥사티아진, 옥사디아진, 인돌, 벤즈이미다졸, 인다졸, 인독사진, 벤즈옥사졸, 벤즈이속사졸, 벤조티아졸, 퀴놀린, 이소퀴놀린, 신놀린, 퀴나졸린, 퀴녹살린, 나프티리딘, 프탈라진, 프테리딘, 크산텐, 아크리딘, 페나진, 페노티아진, 페녹사진, 벤조푸로피리딘, 푸로디피리딘, 벤조티에노피리딘, 티에노디피리딘, 벤조셀레노페노피리딘 및 셀레노페노디피리딘과 같은 방향족 헤테로시클릭 화합물로 이루어진 군; 및 방향족 탄화수소 시클릭 기 및 방향족 헤테로시클릭 기로부터 선택된 동일한 유형 또는 상이한 유형의 군이며 산소 원자, 질소 원자, 황 원자, 규소 원자, 인 원자, 붕소 원자, 쇄 구조 단위 및 지방족 시클릭 기 중 하나 이상을 통해 결합되거나 서로 직접 결합되는 2 내지 10개의 시클릭 구조 단위로 이루어진 군으로부터 선택된다. 각각의 Ar은 비치환될 수 있거나, 또는 중수소, 할로겐, 알킬, 시클로알킬, 헤테로알킬, 헤테로시클로알킬, 아릴알킬, 알콕시, 아릴옥시, 아미노, 실릴, 알케닐, 시클로알케닐, 헤테로알케닐, 알키닐, 아릴, 헤테로아릴, 아실, 카르복실산, 에테르, 에스테르, 니트릴, 이소니트릴, 술파닐, 술피닐, 술포닐, 포스피노 및 이들의 조합으로 이루어진 군으로부터 선택된 치환기로 치환될 수 있다.Each of Ar 1 to Ar 9 is an aromatic hydrocarbon cyclic compound such as benzene, biphenyl, triphenyl, triphenylene, naphthalene, anthracene, phenalene, phenanthrene, fluorene, pyrene, chrysene, perylene and azulene. Group consisting of; Dibenzothiophene, dibenzofuran, dibenzoselenophene, furan, thiophene, benzofuran, benzothiophene, benzoselenophene, carbazole, indolocarbazole, pyridylindole, pyrrolodipyridine, pyrazole, Imidazole, triazole, oxazole, thiazole, oxadiazole, oxatriazole, dioxazole, thiadiazole, pyridine, pyridazine, pyrimidine, pyrazine, triazine, oxazine, oxathiazine, oxadia Gin, indole, benzimidazole, indazole, indoxazine, benzoxazole, benzisoxazole, benzothiazole, quinoline, isoquinoline, cinnoline, quinazoline, quinoxaline, naphthyridine, phthalazine, pteridine , Xanthene, acridine, phenazine, phenothiazine, phenoxazine, benzofuropyridine, furodipyridine, benzothienopyridine, thienodipyridine, benzoselenophenopyridine and selenophenodipyridine. The group consisting of click compounds; And one of the same or different types of groups selected from aromatic hydrocarbon cyclic groups and aromatic heterocyclic groups, and is an oxygen atom, a nitrogen atom, a sulfur atom, a silicon atom, a phosphorus atom, a boron atom, a chain structural unit, and an aliphatic cyclic group. It is selected from the group consisting of 2 to 10 cyclic structural units bonded through the above or directly bonded to each other. Each Ar may be unsubstituted or deuterium, halogen, alkyl, cycloalkyl, heteroalkyl, heterocycloalkyl, arylalkyl, alkoxy, aryloxy, amino, silyl, alkenyl, cycloalkenyl, heteroalkenyl, Alkynyl, aryl, heteroaryl, acyl, carboxylic acid, ether, ester, nitrile, isonitrile, sulfanyl, sulfinyl, sulfonyl, phosphino, and combinations thereof.
한 양태에서, Ar1 내지 Ar9은 독립적으로 하기 화학식으로 이루어진 군으로부터 선택된다:In one embodiment, Ar 1 to Ar 9 are independently selected from the group consisting of the formula:
여기서 k는 1 내지 20의 정수이며; X101 내지 X108은 C(CH 포함) 또는 N이고; Z101은 NAr1, O 또는 S이고; Ar1은 상기 정의된 바와 동일한 기를 가진다.Where k is an integer from 1 to 20; X 101 to X 108 are C (including CH) or N; Z 101 is NAr 1 , O or S; Ar 1 has the same group as defined above.
HIL 또는 HTL에 사용된 금속 착물의 비제한적인 예는 하기 화학식을 들 수 있다:Non-limiting examples of metal complexes used in HIL or HTL include the following formula:
여기서 Met는 금속이며, 40 초과의 원자량을 가질 수 있고; (Y101-Y102)는 2좌 리간드이고, Y101 및 Y102는 독립적으로 C, N, O, P 및 S로부터 선택되며; L101은 보조적 리간드이며; k'는 1 내지 금속에 결합될 수 있는 리간드 최대수의 정수값이고; k'+k"는 금속에 결합될 수 있는 리간드 최대수이다.Wherein Met is a metal and may have an atomic weight greater than 40; (Y 101 -Y 102 ) is a bidentate ligand, Y 101 and Y 102 are independently selected from C, N, O, P and S; L 101 is an auxiliary ligand; k'is an integer value from 1 to the maximum number of ligands that can be attached to the metal; k'+k" is the maximum number of ligands that can be attached to the metal.
한 양태에서, (Y101-Y102)는 2-페닐피리딘 유도체이다. 또 다른 양태에서, (Y101-Y102)는 카르벤 리간드이다. 또 다른 양태에서, Met는 Ir, Pt, Os 및 Zn로부터 선택된다. 추가 양태에서, 금속 착물은 약 0.6 V 미만의 용액 중의 최소 산화 전위 대 Fc+/Fc 커플을 가진다.In one aspect, (Y 101 -Y 102 ) is a 2-phenylpyridine derivative. In another embodiment, (Y 101 -Y 102 ) is a carbene ligand. In another embodiment, Met is selected from Ir, Pt, Os and Zn. In a further aspect, the metal complex has a minimum oxidation potential in solution of less than about 0.6 V versus Fc + /Fc couple.
본원에 개시된 물질과의 조합으로 OLED에서 사용될 수 있는 HIL 및 HTL 물질의 비제한적인 예시는 그 물질들을 개시하는 참조문헌과 함께 하기에 예시되어 있다: Non-limiting examples of HIL and HTL materials that can be used in OLEDs in combination with the materials disclosed herein are exemplified below with references disclosing those materials:
CN102702075, DE102012005215, EP01624500, EP01698613, EP01806334, EP01930964, EP01972613, EP01997799, EP02011790, EP02055700, EP02055701, EP1725079, EP2085382, EP2660300, EP650955, JP07-073529, JP2005112765, JP2007091719, JP2008021687, JP2014-009196, KR20110088898, KR20130077473, TW201139402, US06517957, US20020158242, US20030162053, US20050123751, US20060182993, US20060240279, US20070145888, US20070181874, US20070278938, US20080014464, US20080091025, US20080106190, US20080124572, US20080145707, US20080220265, US20080233434, US20080303417, US2008107919, US20090115320, US20090167161, US2009066235, US2011007385, US20110163302, US2011240968, US2011278551, US2012205642, US2013241401, US20140117329, US2014183517, US5061569, US5639914, WO05075451, WO07125714, WO08023550, WO08023759, WO2009145016, WO2010061824, WO2011075644, WO2012177006, WO2013018530, WO2013039073, WO2013087142, WO2013118812, WO2013120577, WO2013157367, WO2013175747, WO2014002873, WO2014015935, WO2014015937, WO2014030872, WO2014030921, WO2014034791, WO2014104514, WO2014157018.CN102702075, DE102012005215, EP01624500, EP01698613, EP01806334, EP01930964, EP01972613, EP01997799, EP02011790, EP02055700, EP02055701, EP1725079, EP2085382, EP2660300, EP650955, JP07-073529, JP200519112765, JP2000096, JP200519112765, JP20016709, KR2012013 US06517957, US20020158242, US20030162053, US20050123751, US20060182993, US20060240279, US20070145888, US20070181874, US20070278938, US20080014464, US20080091025, US20080106190, US20080124572, US20080145707, US20080220265, US200163751, US2002011163, US20080220265, US200163173 US2012205642, US2013241401, US20140117329, US2014183517, US5061569, US5639914, WO05075451, WO07125714, WO08023550, WO08023759, WO2009145016, WO2010061824, WO2011075644, WO20121770061, WO2013018530, WO2013039073, WO20121770061, WO2013018530, WO2013039073, WO2013087142, WO2013015, WO201301587142, WO2013175, and WO201301587142, WO2013175, WO201301587142, WO2013118 WO2 014030921, WO2014034791, WO2014104514, WO2014157018.
c) EBL:c) EBL:
전자 차단층(EBL)은 발광층을 떠나는 전자 및/또는 엑시톤의 수를 감소시키기 위해 사용될 수 있다. 디바이스 내의 이러한 차단층의 존재는 차단층이 없는 유사한 디바이스와 비교했을 때 상당히 더 높은 효율 및/또는 더 긴 수명을 유도할 수 있다. 또한, 차단층은 OLED의 원하는 영역에 발광을 국한시키기 위해 사용될 수 있다. 일부 실시양태에서, EBL 물질은 EBL 계면에 가장 가까운 이미터보다 더 높은 LUMO(진공 수준에 보다 가까움) 및/또는 더 높은 삼중항 에너지를 갖는다. 일부 실시양태에서, EBL 물질은 EBL 계면에 가장 가까운 호스트들 중 하나 이상보다 더 높은 LUMO(진공 수준에 보다 가까움) 및/또는 보다 더 삼중항 에너지를 갖는다. 한 양태에서, EBL에 사용되는 화합물은 이하에 기재된 호스트들 중 하나와 동일한 사용 분자 또는 작용기를 함유한다.The electron blocking layer EBL may be used to reduce the number of electrons and/or excitons leaving the emission layer. The presence of such a blocking layer in the device can lead to significantly higher efficiency and/or longer life when compared to similar devices without a blocking layer. In addition, a blocking layer can be used to confine the light emission to a desired area of the OLED. In some embodiments, the EBL material has a higher LUMO (closer to vacuum level) and/or higher triplet energy than the emitter closest to the EBL interface. In some embodiments, the EBL material has a higher LUMO (closer to vacuum level) and/or more triplet energy than one or more of the hosts closest to the EBL interface. In one embodiment, the compound used for EBL contains the same molecule or functional group used as one of the hosts described below.
d) 호스트:d) host:
본 개시내용의 유기 EL 디바이스의 발광층은 바람직하게는 발광 물질로서 적어도 금속 착물을 포함하며, 도펀트 물질로서 금속 착물을 사용하는 호스트 물질을 포함할 수 있다. 호스트 물질의 예는 특별히 제한되지 않으며, 임의의 금속 착물 또는 유기 화합물은 호스트의 삼중항 에너지가 도펀트의 삼중항 에너지보다 더 크기만 하다면 사용될 수 있다. 삼중항 기준을 충족하는 한, 임의의 호스트 물질이 임의의 도펀트와 함께 사용될 수 있다.The light-emitting layer of the organic EL device of the present disclosure preferably includes at least a metal complex as the light-emitting material, and may include a host material using the metal complex as the dopant material. Examples of the host material are not particularly limited, and any metal complex or organic compound may be used as long as the triplet energy of the host is greater than the triplet energy of the dopant. Any host material can be used with any dopant as long as it meets the triplet criterion.
호스트로서 사용되는 금속 착물의 예는 하기 화학식을 갖는 것이 바람직하다:Examples of metal complexes used as host preferably have the following formula:
여기서 Met는 금속이고; (Y103-Y104)는 2좌 리간드이고, Y103 및 Y104는 독립적으로 C, N, O, P 및 S로부터 선택되며; L101은 또 다른 리간드이며; k'는 1 내지 금속에 결합될 수 있는 리간드의 최대 수의 정수값이고; k'+k"는 금속에 결합될 수 있는 리간드의 최대 수이다.Where Met is a metal; (Y 103 -Y 104 ) is a bidentate ligand, Y 103 and Y 104 are independently selected from C, N, O, P and S; L 101 is another ligand; k'is an integer value from 1 to the maximum number of ligands that can be attached to the metal; k'+k" is the maximum number of ligands that can be attached to the metal.
한 양태에서, 금속 착물은 이며, 여기서 (O-N)은 원자 O 및 N에 배위 결합된 금속을 갖는 2좌 리간드이다.In one aspect, the metal complex is Where (ON) is a bidentate ligand having a metal coordinarily bonded to atoms O and N.
또 다른 양태에서, Met는 Ir 및 Pt로부터 선택된다. 추가 양태에서, (Y103-Y104)는 카르벤 리간드이다.In another embodiment, Met is selected from Ir and Pt. In a further aspect, (Y 103 -Y 104 ) is a carbene ligand.
일 양태에서, 호스트 화합물은 방향족 탄화수소 시클릭 화합물, 예컨대 벤젠, 비페닐, 트리페닐, 트리페닐렌, 테트라페닐렌, 나프탈렌, 안트라센, 페날렌, 페난트렌, 플루오렌, 피렌, 크리센, 페릴렌 및 아줄렌으로 이루어진 군; 방향족 헤테로시클릭 화합물, 예컨대 디벤조티오펜, 디벤조푸란, 디벤조셀레노펜, 푸란, 티오펜, 벤조푸란, 벤조티오펜, 벤조셀레노펜, 카르바졸, 인돌로카르바졸, 피리딜인돌, 피롤로디피리딘, 피라졸, 이미다졸, 트리아졸, 옥사졸, 티아졸, 옥사디아졸, 옥사트리아졸, 디옥사졸, 티아디아졸, 피리딘, 피리다진, 피리미딘, 피라진, 트리아진, 옥사진, 옥사티아진, 옥사디아진, 인돌, 벤즈이미다졸, 인다졸, 인독사진, 벤즈옥사졸, 벤즈이속사졸, 벤조티아졸, 퀴놀린, 이소퀴놀린, 신놀린, 퀴나졸린, 퀴녹살린, 나프티리딘, 프탈라진, 프테리딘, 크산텐, 아크리딘, 페나진, 페노티아진, 페녹사진, 벤조푸로피리딘, 푸로디피리딘, 벤조티에노피리딘, 티에노디피리딘, 벤조셀레노페노피리딘 및 셀레노페노디피리딘으로 이루어진 군; 및 방향족 탄화수소 시클릭 기 및 방향족 헤테로시클릭 기로부터 선택된 동일한 유형 또는 상이한 유형의 기이며 산소 원자, 질소 원자, 황 원자, 규소 원자, 인 원자, 붕소 원자, 쇄 구조 단위 및 지방족 시클릭 기 중 하나 이상을 통해 결합되거나 서로 직접 결합되는 2 내지 10개의 시클릭 구조 단위로 이루어진 군으로부터 선택된 군 중 적어도 하나를 함유한다. 각각의 기 내의 각 선택지는 비치환될 수 있거나 중수소, 할로겐, 알킬, 시클로알킬, 헤테로알킬, 헤테로시클로알킬, 아릴알킬, 알콕시, 아릴옥시, 아미노, 실릴, 알케닐, 시클로알케닐, 헤테로알케닐, 알키닐, 아릴, 헤테로아릴, 아실, 카르복실산, 에테르, 에스테르, 니트릴, 이소니트릴, 술파닐, 술피닐, 술포닐, 포스피노 및 이들의 조합으로 이루어진 군으로부터 선택된 치환기로 치환될 수 있다.In one aspect, the host compound is an aromatic hydrocarbon cyclic compound such as benzene, biphenyl, triphenyl, triphenylene, tetraphenylene, naphthalene, anthracene, phenalene, phenanthrene, fluorene, pyrene, chrysene, perylene And azulene; Aromatic heterocyclic compounds such as dibenzothiophene, dibenzofuran, dibenzoselenophene, furan, thiophene, benzofuran, benzothiophene, benzoselenophene, carbazole, indolocarbazole, pyridylindole, blood Rolodipyridine, pyrazole, imidazole, triazole, oxazole, thiazole, oxadiazole, oxatriazole, dioxazole, thiadiazole, pyridine, pyridazine, pyrimidine, pyrazine, triazine, oxazine , Oxathiazine, oxadiazine, indole, benzimidazole, indazole, indoxazine, benzoxazole, benzisoxazole, benzothiazole, quinoline, isoquinoline, cinnoline, quinazoline, quinoxaline, naphthyridine, Phthalargine, pteridine, xanthene, acridine, phenazine, phenothiazine, phenoxazine, benzofuropyridine, furodipyridine, benzothienopyridine, thienodipyridine, benzoselenophenopyridine and selenofe The group consisting of nodipyridine; And one of the same or different types of groups selected from aromatic hydrocarbon cyclic groups and aromatic heterocyclic groups, and is an oxygen atom, a nitrogen atom, a sulfur atom, a silicon atom, a phosphorus atom, a boron atom, a chain structural unit, and an aliphatic cyclic group. It contains at least one of the group selected from the group consisting of 2 to 10 cyclic structural units bonded through the above or directly bonded to each other. Each option in each group may be unsubstituted or deuterium, halogen, alkyl, cycloalkyl, heteroalkyl, heterocycloalkyl, arylalkyl, alkoxy, aryloxy, amino, silyl, alkenyl, cycloalkenyl, heteroalkenyl , Alkynyl, aryl, heteroaryl, acyl, carboxylic acid, ether, ester, nitrile, isonitrile, sulfanyl, sulfinyl, sulfonyl, phosphino, and combinations thereof. .
한 양태에서, 호스트 화합물은 분자에 하기 기들 중 하나 이상을 함유한다:In one embodiment, the host compound contains one or more of the following groups in the molecule:
여기서 R101은 수소, 중수소, 할로겐, 알킬, 시클로알킬, 헤테로알킬, 헤테로시클로알킬, 아릴알킬, 알콕시, 아릴옥시, 아미노, 실릴, 알케닐, 시클로알케닐, 헤테로알케닐, 알키닐, 아릴, 헤테로아릴, 아실, 카르복실산, 에테르, 에스테르, 니트릴, 이소니트릴, 술파닐, 술피닐, 술포닐, 포스피노 및 이들의 조합으로 이루어진 군으로부터 선택되며, 아릴 또는 헤테로아릴인 경우, 상기 기술한 Ar과 유사한 정의를 갖는다. k는 0 내지 20 또는 1 내지 20의 정수이다. X101 내지 X108은 독립적으로 C(CH 포함) 또는 N으로부터 선택된다. Z101 및 Z102는 독립적으로 NR101, O 또는 S로부터 선택된다.Wherein R 101 is hydrogen, deuterium, halogen, alkyl, cycloalkyl, heteroalkyl, heterocycloalkyl, arylalkyl, alkoxy, aryloxy, amino, silyl, alkenyl, cycloalkenyl, heteroalkenyl, alkynyl, aryl, Selected from the group consisting of heteroaryl, acyl, carboxylic acid, ether, ester, nitrile, isonitrile, sulfanyl, sulfinyl, sulfonyl, phosphino, and combinations thereof, in the case of aryl or heteroaryl, as described above It has a similar definition to Ar. k is an integer of 0 to 20 or 1 to 20. X 101 to X 108 are independently selected from C (including CH) or N. Z 101 and Z 102 are independently selected from NR 101 , O or S.
본원에 개시된 물질과의 조합으로 OLED에서 사용될 수 있는 호스트 물질의 비제한적인 예시는 그 물질들을 개시하는 참조문헌과 함께 하기에 예시되어 있다: EP2034538, EP2034538A, EP2757608, JP2007254297, KR20100079458, KR20120088644, KR20120129733, KR20130115564, TW201329200, US20030175553, US20050238919, US20060280965, US20090017330, US20090030202, US20090167162, US20090302743, US20090309488, US20100012931, US20100084966, US20100187984, US2010187984, US2012075273, US2012126221, US2013009543, US2013105787, US2013175519, US2014001446, US20140183503, US20140225088, US2014034914, US7154114, WO2001039234, WO2004093207, WO2005014551, WO2005089025, WO2006072002, WO2006114966, WO2007063754, WO2008056746, WO2009003898, WO2009021126, WO2009063833, WO2009066778, WO2009066779, WO2009086028, WO2010056066, WO2010107244, WO2011081423, WO2011081431, WO2011086863, WO2012128298, WO2012133644, WO2012133649, WO2013024872, WO2013035275, WO2013081315, WO2013191404, WO2014142472, US20170263869, US20160163995, US9466803,Non-limiting examples of host materials that can be used in OLEDs in combination with the materials disclosed herein are exemplified below with references disclosing those materials: EP2034538, EP2034538A, EP2757608, JP2007254297, KR20100079458, KR20120088644, KR20120129733, KR20130115564, TW201329200, US20030175553, US20050238919, US20060280965, US20090017330, US20090030202, US20090167162, US20090302743, US20090309488, US20100012931, US20100084966, US20100187984, US20100187984, US2010187984, US2012075273, US201212601787, US20131449175, US2013, US2014104989,00, US201409175 WO2004093207, WO2005014551, WO2005089025, WO2006072002, WO2006114966, WO2007063754, WO2008056746, WO2009003898, WO2009021126, WO2009063833, WO2009066778, WO2009066779, WO2009086028, WO2010056066, WO2010107244, WO2009086028, WO2010056066, WO2010107244, WO2011081423, WO206498666, WO201013386, WO201286, and WO201308143, WO201308143, WO201308143, WO201308143, WO201208173, WO20120886, WO2014142472, US20170263869, US20160163995, US9466803,
e) 추가의 이미터:e) Additional emitters:
하나 이상의 추가의 이미터 도펀트는 본 개시내용의 화합물과 결합하여 사용될 수 있다. 추가의 이미터 도펀트의 예는 특별히 한정되지 않으며, 이미터 재료로서 전형적으로 사용되는 한, 임의의 화합물이 사용될 수 있다. 적합한 이미터 물질의 예는, 인광, 형광, 열 활성화 지연 형광, 즉, TADF(또한 E형 지연 형광으로도 지칭됨), 삼중항-삼중항 소멸 또는 이들 과정의 조합을 통해 방출을 생성할 수 있는 화합물을 포함하지만, 이에 제한되지 않는다. One or more additional emitter dopants can be used in combination with the compounds of the present disclosure. Examples of additional emitter dopants are not particularly limited, and any compound may be used as long as it is typically used as an emitter material. Examples of suitable emitter materials are phosphorescence, fluorescence, thermally activated delayed fluorescence, i.e. TADF (also referred to as type E delayed fluorescence), triplet-triplet extinction, or a combination of these processes to produce emission. Including, but not limited to, compounds that are present.
본원에 개시된 물질과의 조합으로 OLED에 사용될 수 있는 이미터 물질의 비제한적인 예시는 그 물질들을 개시하는 참조문헌과 함께 하기에 예시되어 있다: CN103694277, CN1696137, EB01238981, EP01239526, EP01961743, EP1239526, EP1244155, EP1642951, EP1647554, EP1841834, EP1841834B, EP2062907, EP2730583, JP2012074444, JP2013110263, JP4478555, KR1020090133652, KR20120032054, KR20130043460, TW201332980, US06699599, US06916554, US20010019782, US20020034656, US20030068526, US20030072964, US20030138657, US20050123788, US20050244673, US2005123791, US2005260449, US20060008670, US20060065890, US20060127696, US20060134459, US20060134462, US20060202194, US20060251923, US20070034863, US20070087321, US20070103060, US20070111026, US20070190359, US20070231600, US2007034863, US2007104979, US2007104980, US2007138437, US2007224450, US2007278936, US20080020237, US20080233410, US20080261076, US20080297033, US200805851, US2008161567, US2008210930, US20090039776, US20090108737, US20090115322, US20090179555, US2009085476, US2009104472, US20100090591, US20100148663, US20100244004, US20100295032, US2010102716, US2010105902, US2010244004, US2010270916, US20110057559, US20110108822, US20110204333, US2011215710, US2011227049, US2011285275, US2012292601, US20130146848, US2013033172, US2013165653, US2013181190, US2013334521, US20140246656, US2014103305, US6303238, US6413656, US6653654, US6670645, US6687266, US6835469, US6921915, US7279704, US7332232, US7378162, US7534505, US7675228, US7728137, US7740957, US7759489, US7951947, US8067099, US8592586, US8871361, WO06081973, WO06121811, WO07018067, WO07108362, WO07115970, WO07115981, WO08035571, WO2002015645, WO2003040257, WO2005019373, WO2006056418, WO2008054584, WO2008078800, WO2008096609, WO2008101842, WO2009000673, WO2009050281, WO2009100991, WO2010028151, WO2010054731, WO2010086089, WO2010118029, WO2011044988, WO2011051404, WO2011107491, WO2012020327, WO2012163471, WO2013094620, WO2013107487, WO2013174471, WO2014007565, WO2014008982, WO2014023377, WO2014024131, WO2014031977, WO2014038456, WO2014112450.Non-limiting examples of emitter materials that can be used in OLEDs in combination with the materials disclosed herein are exemplified below with references disclosing those materials: CN103694277, CN1696137, EB01238981, EP01239526, EP01961743, EP1239526, EP1244155 , EP1642951, EP1647554, EP1841834, EP1841834B, EP2062907, EP2730583, JP2012074444, JP2013110263, JP4478555, KR1020090133652, KR20120032054, KR20130043460, TW201332980, US06699599, US06916554, TW201332980, US06699599, US200449, US20065634, US200449, 2005, US20012365634, US20078670 , US20060065890, US20060127696, US20060134459, US20060134462, US20060202194, US20060251923, US20070034863, US20070087321, US20070103060, US20070111026, US20070190359, US20070231600, US2007034863, US2007104979, US20078022007450, US2007034863, US2007034863, US2007104979, US2007802334450, US2007034863, US2007034863, US2008022970, US200805, and US200202970 , US20090039776, US20090108737, US20090115322, US20090179555, US2009085476, US2009104472, US20100090591, US20100148663, US2010024400 4, US20100295032, US2010102716, US2010105902, US2010244004, US2010270916, US20110057559, US20110108822, US20110204333, US2011215710, US2011227049, US2011285275, US2012292601, US20130146848, US2013033172, US2013165653, US2013181190, US201365666, US2013656, US20136566, US2013656, US2013656 US6835469, US6921915, US7279704, US7332232, US7378162, US7534505, US7675228, US7728137, US7740957, US7759489, US7951947, US8067099, US8592586, US8871361, WO06081973, WO06121811, WO07018067, WO06081973, WO06121811, WO07018067, WO07108362, WO0711598,200, WO200355, WO07115970, WO3355, WO07115970, WO3355 WO2008054584, WO2008078800, WO2008096609, WO2008101842, WO2009000673, WO2009050281, WO2009100991, WO2010028151, WO2010054731, WO2010086089, WO2010118029, WO2011044988, WO2011051404, WO2011107491, WO2011044988, WO2011051404, WO2011107491, WO2011044988, WO2011051404, WO2011107491, WO2011044988, WO2011051404, WO2011107491, WO2011044988, WO2011051404, WO2011107491, WO2011044988, WO2011051404, WO2011107491, WO2011044988, WO2011051404, WO2011051404, WO2011107491, WO2012020327, WO201216327, WO2012163, and WO201401 WO2014112450.
f) HBL:f) HBL:
정공 차단층(HBL)은 발광층을 떠나는 정공 및/또는 엑시톤의 수를 감소시키기 위해 사용될 수 있다. 디바이스 내의 이러한 차단층의 존재는 차단층이 없는 유사한 디바이스와 비교했을 때 상당히 더 높은 효율 및/또는 더 긴 수명을 유도할 수 있다. 또한, 차단층은 OLED의 원하는 영역에 발광을 국한시키기 위해 사용될 수 있다. 일부 실시양태에서, HBL 물질은 HBL 계면에 가장 가까운 이미터보다 더 낮은 HOMO(진공 준위로부터 보다 먼) 및/또는 더 높은 삼중항 에너지를 갖는다. 일부 실시양태에서, HBL 물질은 HBL 계면에 가장 가까운 호스트들 중 하나 이상보다 더 낮은 HOMO(진공 준위로부터 보다 먼) 및/또는 더 높은 삼중항 에너지를 갖는다.The hole blocking layer HBL may be used to reduce the number of holes and/or excitons leaving the emission layer. The presence of such a blocking layer in the device can lead to significantly higher efficiency and/or longer life when compared to similar devices without a blocking layer. In addition, a blocking layer can be used to confine the light emission to a desired area of the OLED. In some embodiments, the HBL material has a lower HOMO (farther from the vacuum level) and/or higher triplet energy than the emitter closest to the HBL interface. In some embodiments, the HBL material has a lower HOMO (farther from the vacuum level) and/or higher triplet energy than one or more of the hosts closest to the HBL interface.
한 양태에서, HBL에 사용되는 화합물은 전술한 호스트와 동일한 사용 분자 또는 작용기를 함유한다.In one embodiment, the compound used for HBL contains the same molecule or functional group used as the host described above.
또 다른 양태에서, HBL에 사용되는 화합물은 분자에 하기 기들 중 하나 이상을 함유한다:In another embodiment, the compound used for HBL contains one or more of the following groups in the molecule:
여기서 k는 1 내지 20의 정수이며; L101은 또 다른 리간드이고, k'은 1 내지 3의 정수이다.Where k is an integer from 1 to 20; L 101 is another ligand, and k'is an integer from 1 to 3.
g) ETL:g) ETL:
전자 수송층(ETL)은 전자를 수송할 수 있는 물질을 포함할 수 있다. 전자 수송층은 고유하거나(도핑되지 않음) 또는 도핑될 수 있다. 도핑은 전도성을 향상시키는데 사용될 수 있다. ETL 물질의 예는 특별히 제한되지는 않으며, 임의의 금속 착물 또는 유기 화합물은 이들이 통상적으로 전자를 수송하는데 사용되는 한 사용될 수 있다.The electron transport layer ETL may include a material capable of transporting electrons. The electron transport layer may be unique (not doped) or doped. Doping can be used to improve conductivity. Examples of the ETL material are not particularly limited, and any metal complex or organic compound can be used as long as they are usually used to transport electrons.
한 양태에서, ETL에 사용되는 화합물은 분자에서 하기 기 중 하나 이상을 포함한다:In one embodiment, the compound used for ETL comprises one or more of the following groups in the molecule:
여기서 R101은 수소, 중수소, 할로겐, 알킬, 시클로알킬, 헤테로알킬, 헤테로시클로알킬, 아릴알킬, 알콕시, 아릴옥시, 아미노, 실릴, 알케닐, 시클로알케닐, 헤테로알케닐, 알키닐, 아릴, 헤테로아릴, 아실, 카르복실산, 에테르, 에스테르, 니트릴, 이소니트릴, 술파닐, 술피닐, 술포닐, 포스피노 및 이들의 조합으로 이루어진 군으로부터 선택되며, 아릴 또는 헤테로아릴인 경우, 상기 기술한 Ar과 유사한 정의를 가진다. Ar1 내지 Ar3는 상기 기술한 Ar과 유사한 정의를 가진다. k는 1 내지 20의 정수이다. X101 내지 X108은 C(CH 포함) 또는 N으로부터 선택된다. Wherein R 101 is hydrogen, deuterium, halogen, alkyl, cycloalkyl, heteroalkyl, heterocycloalkyl, arylalkyl, alkoxy, aryloxy, amino, silyl, alkenyl, cycloalkenyl, heteroalkenyl, alkynyl, aryl, Selected from the group consisting of heteroaryl, acyl, carboxylic acid, ether, ester, nitrile, isonitrile, sulfanyl, sulfinyl, sulfonyl, phosphino, and combinations thereof, in the case of aryl or heteroaryl, as described above It has a similar definition to Ar. Ar 1 to Ar 3 have similar definitions to Ar described above. k is an integer from 1 to 20. X 101 to X 108 are selected from C (including CH) or N.
또 다른 양태에서, ETL에 사용되는 금속 착물은 하기 화학식을 포함하나, 이에 제한되지 않는다:In another embodiment, the metal complexes used in ETL include, but are not limited to, the following formula:
여기서 (O-N) 또는 (N-N)은 원자 O, N 또는 N, N에 배위 결합한 금속을 갖는 2좌 리간드이며; L101은 또 다른 리간드이며; k'은 1 내지 금속이 결합될 수 있는 리간드의 최대 수인 정수 값이다.Wherein (ON) or (NN) is a bidentate ligand having a metal coordinarily bonded to atoms O, N or N, N; L 101 is another ligand; k'is an integer value from 1 to the maximum number of ligands to which the metal can be attached.
본원에 개시된 물질과의 조합으로 OLED에서 사용될 수 있는 ETL 물질의 비제한적인 예는, 그 물질들을 개시하는 참조문헌과 함께 하기에 예시되어 있다: CN103508940, EP01602648, EP01734038, EP01956007, JP2004-022334, JP2005149918, JP2005-268199, KR0117693, KR20130108183, US20040036077, US20070104977, US2007018155, US20090101870, US20090115316, US20090140637, US20090179554, US2009218940, US2010108990, US2011156017, US2011210320, US2012193612, US2012214993, US2014014925, US2014014927, US20140284580, US6656612, US8415031, WO2003060956, WO2007111263, WO2009148269, WO2010067894, WO2010072300, WO2011074770, WO2011105373, WO2013079217, WO2013145667, WO2013180376, WO2014104499, WO2014104535,Non-limiting examples of ETL materials that can be used in OLEDs in combination with the materials disclosed herein are exemplified below, along with references disclosing those materials: CN103508940, EP01602648, EP01734038, EP01956007, JP2004-022334, JP2005149918 , JP2005-268199, KR0117693, KR20130108183, US20040036077, US20070104977, US2007018155, US20090101870, US20090115316, US20090140637, US20090179554, US2009218940, US2010108990, US2011156017, US2011210320, US2012193612, US201284150111, US2012193612, US201284214, US2003, US2014566014, US2014, US2014, US2003 , WO2010067894, WO2010072300, WO2011074770, WO2011105373, WO2013079217, WO2013145667, WO2013180376, WO2014104499, WO2014104535,
h) 전하 생성층(CGL):h) charge generation layer (CGL):
탠덤형(tandem) 또는 적층형 OLED에서, CGL은 성능 면에서 필수적인 역할을 수행하며, 이는 각각 전자와 정공을 주입하기 위한 n-도핑된 층 및 p-도핑된 층으로 이루어진다. 전자와 정공은 CGL 및 전극으로부터 공급된다. CGL에서 소모된 전자와 정공은 각각 캐소드와 애노드로부터 주입된 전자와 정공에 의해 다시 채워지며; 그 후, 바이폴라 전류는 점차적으로 정상 상태에 도달한다. 통상의 CGL 물질은 수송층에서 사용되는 n 및 p 전도성 도펀트를 포함한다.In tandem or stacked OLEDs, CGL plays an essential role in performance, which consists of an n-doped layer and a p-doped layer for injecting electrons and holes, respectively. Electrons and holes are supplied from the CGL and electrodes. The electrons and holes consumed in the CGL are refilled by the electrons and holes injected from the cathode and anode, respectively; After that, the bipolar current gradually reaches a steady state. Typical CGL materials include n and p conductive dopants used in the transport layer.
OLED 디바이스의 각 층에서 사용되는 임의의 상기 언급한 화합물들에서, 수소 원자는 부분적으로 또는 완전하게 중수소화될 수 있다. 따라서, 임의의 구체적으로 열거된 치환기, 예컨대, 비제한적으로, 메틸, 페닐, 피리딜 등은 이의 비중수소화, 부분 중수소화 및 완전 중수소화된 형태일 수 있다. 마찬가지로, 치환기 유형, 예컨대, 비제한적으로, 알킬, 아릴, 시클로알킬, 헤테로아릴 등은 또한 이의 비중수소화, 부분 중수소화 및 완전 중수소화된 형태일 수 있다.In any of the aforementioned compounds used in each layer of the OLED device, the hydrogen atom may be partially or completely deuterated. Thus, any specifically listed substituents such as, but not limited to, methyl, phenyl, pyridyl, and the like can be in their deuterated, partially deuterated and fully deuterated forms. Likewise, types of substituents such as, but not limited to, alkyl, aryl, cycloalkyl, heteroaryl, and the like can also be in their deuterated, partially deuterated and fully deuterated forms.
본원에 기술된 다양한 실시양태는 단지 예시이며, 본 발명의 범위를 한정하려는 것이 아님을 이해해야 한다. 예를 들어, 본원에 기술된 다수의 물질 및 구조는 본 발명의 사상으로부터 벗어나지 않으면서 다른 물질 및 구조로 대체될 수 있다. 따라서, 특허 청구된 본 발명은 당업자에게 명백한 바와 같이, 본원에 기술된 특정 실시예 및 바람직한 실시양태로부터 유래하는 변형예를 포함할 수도 있다. 본 발명이 왜 효과가 있는지에 관한 다양한 이론을 한정하려는 의도는 없음을 이해하여야 한다.It is to be understood that the various embodiments described herein are exemplary only and are not intended to limit the scope of the invention. For example, many of the materials and structures described herein may be replaced with other materials and structures without departing from the spirit of the invention. Accordingly, the claimed invention may include variations derived from the specific and preferred embodiments described herein, as will be apparent to those skilled in the art. It should be understood that there is no intention to limit the various theories as to why the present invention works.
E.E. 실험 데이터Experimental data
9-(2'-(9H-카르바졸-9-일)-[1,1'-비페닐]-2-일)-9H-3,9'-비카르바졸(화합물 A)의 합성Synthesis of 9-(2'-(9H-carbazol-9-yl)-[1,1'-biphenyl]-2-yl)-9H-3,9'-bicarbazole (compound A)
단계 1: 자성 교반기, 응축기 및 써모웰이 구비된 5L 플라스크를 9-(2-브로모페닐)-9H-카르바졸(80 g, 243 mmol), (2-플루오로페닐)보론산(42.1 g, 292 mmol), 탄산나트륨(59.3 g, 560 mmol), 1,2-디메톡시에탄(1569 ml) 및 물(157 ml)로 충전하였다. 생성된 혼합물을 20분 동안 질소 가스로 탈기시켰다. Pd(PPh3)4(14.06 g, 12.17 mmol)를 첨가하고, 20분 동안 질소 가스로 탈기시켰다. 반응 혼합물을 78℃로 가열하였고, 24시간 동안 교반하였다. 혼합물을 실온으로 냉각시켰고, 2개의 층을 분리하였고, 수성층을 디클로로메탄(DCM)으로 추출하였다. 조합된 유기층을 농축시켰고, 생성된 조 잔류물을 2 L 톨루엔에 용해시켰고, 실리카의 패드를 통해 여과하였다. 화합물을 함유하는 분획을 조합하고, 농축시켰다. 수득한 끈끈한 물질을 헵탄에서 분쇄하여 현탁액을 제공하였고, 이를 여과시켜 백색 고형물로서 9-(2'-플루오로-[1,1'-비페닐]-2-일)-9H-카르바졸(54.4 g; 66.3% 수율)을 얻었다.Step 1: Put a 5L flask equipped with magnetic stirrer, condenser and thermowell into 9-(2-bromophenyl)-9H-carbazole (80 g, 243 mmol), (2-fluorophenyl) boronic acid (42.1 g). , 292 mmol), sodium carbonate (59.3 g, 560 mmol), 1,2-dimethoxyethane (1569 ml) and water (157 ml). The resulting mixture was degassed with nitrogen gas for 20 minutes. Pd(PPh 3 ) 4 (14.06 g, 12.17 mmol) was added and degassed with nitrogen gas for 20 minutes. The reaction mixture was heated to 78° C. and stirred for 24 hours. The mixture was cooled to room temperature, the two layers were separated, and the aqueous layer was extracted with dichloromethane (DCM). The combined organic layers were concentrated and the resulting crude residue was dissolved in 2 L toluene and filtered through a pad of silica. Fractions containing the compound were combined and concentrated. The obtained sticky material was triturated in heptane to give a suspension, which was filtered to give 9-(2'-fluoro-[1,1'-biphenyl]-2-yl)-9H-carbazole (54.4) as a white solid. g; 66.3% yield) was obtained.
단계 2: 자성 교반기, 응축기 및 써모웰이 구비된 2L 플라스크를 9-(2'-플루오로-[1,1'-비페닐]-2-일)-9H-카르바졸(53 g, 157 mmol), 9H-3,9'-비카르바졸(94 g, 283 mmol), 인산칼륨(167 g, 785 mmol), NMP(262 ml)로 충전하였고, 24시간 동안 203℃에서 교반하였다. 반응 혼합물을 실온으로 냉각시켰고, 10℃에서 물(3L)에 첨가하였다. 생성된 고형물을 여과시키고, 물로 세정하고, 건조시켰다. 고형물을 이후 메탄올, 환류 메탄올 및 DCM/메탄올에서 분쇄하여 백색 고형물로서 9-(2'-(9H-카르바졸-9-일)-[1,1'-비페닐]-2-일)-9H-3,9'-비카르바졸(화합물 A)을 얻었다(93 g, 91% 수율).Step 2: Put a 2L flask equipped with a magnetic stirrer, condenser and thermowell into 9-(2'-fluoro-[1,1'-biphenyl]-2-yl)-9H-carbazole (53 g, 157 mmol). ), 9H-3,9'-bicarbazole (94 g, 283 mmol), potassium phosphate (167 g, 785 mmol), and NMP (262 ml) were charged, and stirred at 203° C. for 24 hours. The reaction mixture was cooled to room temperature and added to water (3L) at 10°C. The resulting solid was filtered, washed with water and dried. The solid was then pulverized in methanol, reflux methanol and DCM/methanol to 9-(2'-(9H-carbazol-9-yl)-[1,1'-biphenyl]-2-yl)-9H as a white solid. -3,9'-bicarbazole (Compound A) was obtained (93 g, 91% yield).
2,2'-디(9H-[3,9'-비카르바졸]-9-일)-1,1'-비페닐(화합물 B)의 합성:Synthesis of 2,2'-di(9H-[3,9'-bicarbazole]-9-yl)-1,1'-biphenyl (compound B):
단계 1: 자성 교반기가 구비된 건조 500 mL 후벽형 반응 플라스크에 9H-3,9'-비카르바졸(30 g, 90 mmol), 인산칼륨(38.3 g, 181 mmol), 1-브로모-2-플루오로벤젠(14.80 ml, 135 mmol) 및 N,N-디메틸아세트아미드(150 ml)를 질소 하에 첨가하였고, 플라스크를 나사형 캡으로 밀봉하였고, 오일 배쓰 중에서 160℃로 가열하였다. 24시간 이후, 박층 크로마토그래피(TLC)는 새포운 스폿(spot)의 외관 및 미반응된 9H-3,9'-비카르바졸의 존재를 나타내었다. 반응을 17시간 동안 지속하였고, 실온으로 냉각시켰다. TLC는 9H-3,9'-비카르바졸의 완전한 소모를 나타내었다. 반응 혼합물을 2 L의 얼음-냉각수에 첨가하였다. 갈색의 끈적한 고형 침전물을 여과시키고, 물로 세정하였고, 공기 건조시켰다. 고형물을 헵탄에 현탁시켰고, 2시간 동안 교반하였고, 90분 동안 음파처리하였고, 1시간 동안 교반하였다. 현탁액을 여과시켜 회백색 분말로서 9-(2-브로모페닐)-9H-3,9'-비카르바졸(22.5 g, 46.2 mmol)을 제공하였다(24.2 g, 98% 수율). Step 1: In a dry 500 mL thick-walled reaction flask equipped with a magnetic stirrer, 9H-3,9'-bicarbazole (30 g, 90 mmol), potassium phosphate (38.3 g, 181 mmol), 1-bromo-2 -Fluorobenzene (14.80 ml, 135 mmol) and N,N-dimethylacetamide (150 ml) were added under nitrogen and the flask was sealed with a screw cap and heated to 160° C. in an oil bath. After 24 hours, thin layer chromatography (TLC) showed the appearance of a new spot and the presence of unreacted 9H-3,9'-bicarbazole. The reaction continued for 17 hours and cooled to room temperature. TLC showed complete consumption of 9H-3,9'-bicarbazole. The reaction mixture was added to 2 L of ice-cooled water. The brown sticky solid precipitate was filtered off, washed with water and air dried. The solid was suspended in heptane, stirred for 2 hours, sonicated for 90 minutes, and stirred for 1 hour. The suspension was filtered to give 9-(2-bromophenyl)-9H-3,9'-bicarbazole (22.5 g, 46.2 mmol) as an off-white powder (24.2 g, 98% yield).
단계 2: 질소 하의 자성 교반기 및 써모웰이 구비된 건조 1 L 3-목 플라스크에 9-(2-브로모페닐)-9H-3,9'-비카르바졸(22.5 g, 46.2 mmol)을 첨가하였다. 무수 THF(231 ml)를 캐뉼라삽입을 통해 첨가하였고, 용액을 -72℃로 냉각시켰다. 40분에 걸쳐 첨가 깔때기를 사용하여 sec-부틸리튬(57.7 ml, 81 mmol)을 적가하였다. 혼합물을 90분에 걸쳐 -40℃로 증온시켰다. TLC는 브롬화물이 완전하게 사라졌음을 나타내었다. 혼합물을 -68℃로 냉각시켰고, 2-이소프로폭시-4,4,5,5-테트라메틸-1,3,2-디옥사보로란(16.48 ml, 81 mmol)을 적가하였다. 반응 혼합물을 밤새(대략 16시간) 실온으로 서서히 증온시켰다. 혼합물을 얼음 배쓰 내에서 냉각시켰고, 포화 수성 염화암모늄 용액(100 mL)을 조심스럽게 첨가하였고, 10분 동안 교반하였다. 물(100 mL)을 첨가하였고, 유기층을 분리하였다. 수성층을 DCM으로 추출하였고, 황산나트륨 상에서 건조시키고, 여과시켰고, 여과물을 증발시켜 건조하여 끈적한 회백색 고형물을 얻었다. 상기 물질을 헵탄에서 분쇄하고 여과시켜 회백색 분말로서 9-(2-(4,4,5,5-테트라메틸-1,3,2-디옥사보로란-2-일)페닐)-9H-3,9'-비카르바졸을 얻었다(18.25 g, 86% 수율).Step 2: Add 9-(2-bromophenyl)-9H-3,9'-bicarbazole (22.5 g, 46.2 mmol) to a dry 1 L 3-neck flask equipped with a magnetic stirrer and thermowell under nitrogen. I did. Anhydrous THF (231 ml) was added via cannulation and the solution was cooled to -72°C. Over 40 minutes, sec-butyllithium (57.7 ml, 81 mmol) was added dropwise using an addition funnel. The mixture was warmed to -40°C over 90 minutes. TLC indicated that the bromide had completely disappeared. The mixture was cooled to -68°C and 2-isopropoxy-4,4,5,5-tetramethyl-1,3,2-dioxaborolane (16.48 ml, 81 mmol) was added dropwise. The reaction mixture was slowly warmed to room temperature overnight (approximately 16 hours). The mixture was cooled in an ice bath, saturated aqueous ammonium chloride solution (100 mL) was carefully added and stirred for 10 minutes. Water (100 mL) was added, and the organic layer was separated. The aqueous layer was extracted with DCM, dried over sodium sulfate, filtered, and the filtrate was evaporated to dryness to give a sticky off-white solid. The material was triturated in heptane and filtered to 9-(2-(4,4,5,5-tetramethyl-1,3,2-dioxaborolan-2-yl)phenyl)-9H- as off-white powder. 3,9'-bicarbazole was obtained (18.25 g, 86% yield).
단계 3: 9-(2-브로모페닐)-9H-3,9'-비카르바졸(12.5 g, 25.6 mmol), 9-(2-(4,4,5,5-테트라메틸-1,3,2-디옥사보로란-2-일)페닐)-9H-3,9'-비카르바졸(18.85 g, 28.2 mmol), 탄산칼륨(10.63 g, 77 mmol), THF(55 mL) 및 물(21 mL)을 자성 교반기가 구비된 후벽형 반응 플라스크에서 교반하였고, 반응 혼합물을 10분 동안 탈기시켰다. 이 혼합물에 Pd(PPh3)4(1.482 g, 1.282 mmol)를 첨가하였고, 5분 동안 탈기시켰다. 플라스크를 밀봉하였고, 3.5일 동안 90℃로 가열하였다. 반응 혼합물을 실온으로 냉각시켰고, 유기층을 분리하였고, 수성층을 DCM으로 추출하였다. 조합된 유기층을 황산나트륨 상에서 건조시켰고, 여과시켰다. 여과물을 농축시켜 건조시키고, 생성된 잔류물을 고온 톨루엔에 용해시켰고, 실리카층에 통과시켰다. 생성물을 함유하는 분획을 조합하고, 농축시켰다. 생성된 고형물을 3시간 동안 메탄올에서 분쇄하였고, 여과시켰다. 고형물을 추가로 아세톤에서 분쇄하여 2,2'-디(9H-[3,9'-비카르바졸]-9-일)-1,1'-비페닐(화합물 B)을 수득하였다(18.25 g, 86% 수율).Step 3: 9-(2-bromophenyl)-9H-3,9'-bicarbazole (12.5 g, 25.6 mmol), 9-(2-(4,4,5,5-tetramethyl-1, 3,2-dioxaborolan-2-yl)phenyl)-9H-3,9'-bicarbazole (18.85 g, 28.2 mmol), potassium carbonate (10.63 g, 77 mmol), THF (55 mL) And water (21 mL) were stirred in a thick-walled reaction flask equipped with a magnetic stirrer, and the reaction mixture was degassed for 10 minutes. To this mixture, Pd(PPh 3 ) 4 (1.482 g, 1.282 mmol) was added and degassed for 5 minutes. The flask was sealed and heated to 90° C. for 3.5 days. The reaction mixture was cooled to room temperature, the organic layer was separated, and the aqueous layer was extracted with DCM. The combined organic layer was dried over sodium sulfate and filtered. The filtrate was concentrated to dryness, and the resulting residue was dissolved in hot toluene and passed through a layer of silica. Fractions containing the product were combined and concentrated. The resulting solid was triturated in methanol for 3 hours and filtered. The solid was further triturated in acetone to give 2,2'-di(9H-[3,9'-bicarbazole]-9-yl)-1,1'-biphenyl (compound B) (18.25 g) , 86% yield).
하늘색 Ir 이미터(이미터 1)에 대한 단일 호스트로서 또는 심청색 Pt 이미터(이미터 2)에 대한 공동호스트로서 화합물 A 및 화합물 B를 사용하여 OLED 디바이스를 제작하였다. 디바이스 성능 결과는 각각 표 1 및 표 2에 나타나 있고, 여기서 EQE 및 전압은 10mA/cm2로 취해지며, 수명(LT90)은 20mA/cm2의 일정한 전류 밀도에서의 초기 밝기의 90%로의 휘도의 감소에 대한 시간이다. 하기 화합물을 디바이스에서 사용하였다.An OLED device was fabricated using Compound A and Compound B as a single host for a light blue Ir emitter (Emitter 1) or as a cohost for a deep blue Pt emitter (Emitter 2). The device performance results are shown in Tables 1 and 2, respectively, where the EQE and voltage are taken as 10 mA/cm 2 , and the lifetime (LT90) of the luminance at 90% of the initial brightness at a constant current density of 20 mA/cm 2 It's time for a decline. The following compounds were used in the device.
15-Ω/sq의 시트 저항(sheet resistance)을 갖는 인듐-주석-산화물(ITO) 층으로 예비-코팅된 유리 기판 상에서 OLED 구조를 성장시켰다. 임의의 유기층 증착 또는 코팅 이전에, 기판을 용매로 탈기시켰고, 이후 100 mTorr에서의 50W 그리고 5분 동안 UV 오존을 사용하여 산소 플라즈마로 1.5분 동안 처리하였다. 표 1 및 표 2에서의 디바이스를 열증발에 의해 고진공(< 10-6 Torr)에서 제작하였다. 애노드 전극은 750 Å의 ITO이었다. 모든 디바이스를 제조 직후에 질소 글로브 박스(<l ppm의 H2O 및 O2)에서 에폭시 수지를 사용하여 밀봉된 유리 두껑으로 캡슐화하였고, 수분 게터(moisture getter)를 패키지 내에 포함시켰다. 도핑 백분율은 부피 퍼센트이다. 디바이스를 2개의 상이한 구조로 성장시켰다.The OLED structure was grown on a glass substrate pre-coated with an indium-tin-oxide (ITO) layer having a sheet resistance of 15-Ω/sq. Prior to any organic layer deposition or coating, the substrate was degassed with a solvent and then treated with an oxygen plasma for 1.5 minutes using 50 W at 100 mTorr and UV ozone for 5 minutes. The devices in Tables 1 and 2 were manufactured in high vacuum (<10 -6 Torr) by thermal evaporation. The anode electrode was 750 Å of ITO. All devices were encapsulated with a sealed glass lid using an epoxy resin in a nitrogen glove box (<l ppm of H 2 O and O 2) immediately after manufacture, and a moisture getter was included in the package. Doping percentage is volume percentage. The device was grown in two different structures.
제1 세트의 디바이스는 ITO 표면으로부터 순차적으로 하기의 것으로 구성된 유기층을 가졌다: 100 Å의 화합물 1(HIL), 250 Å의 화합물 2(HTL), 이미터 1의 20%로 도핑된 300 Å의 호스트(EML), 50 Å의 화합물 3(BL), 300 Å의 화합물 4 (ETL), 10 Å의 화합물 5 (EIL) 이후 1,000 Å의 Al(캐소드). 호스트 화합물 A, 화합물 B 및 비교예 A를 사용하여 이미터 1을 갖는 디바이스에 대한 디바이스 성능을 표 1에 나타나 있다. 디바이스 실시예 1 및 실시예 2에 대한 전압, EQE 및 LT90은 비교예 1에 대한 값과 관련하여 기록된다.The first set of devices had an organic layer consisting of the following sequentially from the ITO surface: 100 Å of compound 1 (HIL), 250 Å of compound 2 (HTL), 300 Å of host doped with 20% of emitter 1 (EML), 50 Å of compound 3 (BL), 300 Å of compound 4 (ETL), 10 Å of compound 5 (EIL), followed by 1,000 Å of Al (cathode). The device performance for the device with Emitter 1 using host compound A, compound B, and comparative example A is shown in Table 1. The voltage, EQE and LT90 for device examples 1 and 2 are recorded in relation to the values for comparative example 1.
표 2에 나타난 제2 세트의 디바이스는 ITO 표면으로부터 순차적으로 하기의 것으로 구성된 유기층을 가졌다: 100 Å의 화합물 1(HIL), 250 Å의 화합물 2(HTL), EML에서 사용되는 50 Å의 호스트(EBL), 화합물 7의 40%로 도핑되고 이미터 2의 12%로 도핑되는 300 Å의 호스트(EML), 50 Å의 화합물 7(BL), 화합물 8의 35%로 도핑된 300 Å의 화합물 5(ETL), 10 Å의 화합물 5(EIL) 이후 1,000 Å의 Al(캐소드). 호스트 화합물 A, 화합물 B, 및 비교예 A를 사용하여 이미터 2를 갖는 디바이스에 대한 디바이스 성능은 표 2에 나타나 있다. 디바이스 실시예 3 및 실시예 4에 대한 전압, EQE 및 LT90은 비교예 2에 대한 값과 관련하여 기록된다.The second set of devices shown in Table 2 had an organic layer consisting of the following sequentially from the ITO surface: 100 Å of compound 1 (HIL), 250 Å of compound 2 (HTL), 50 Å of host used in EML ( EBL), 300 Å of host (EML) doped with 40% of compound 7 and doped with 12% of emitter 2, 50 Å of compound 7 (BL), 300 Å of compound 5 doped with 35% of compound 8 (ETL), 10 Å of compound 5 (EIL) followed by 1,000 Å of Al (cathode). The device performance for the device with Emitter 2 using host compound A, compound B, and comparative example A is shown in Table 2. The voltage, EQE and LT90 for device examples 3 and 4 are recorded in relation to the values for comparative example 2.
[표 1][Table 1]
[표 2][Table 2]
상기 데이터는 본 발명의 화합물 둘 모두인 화합물 A 및 화합물 B는 호스트로서의 비교 화합물, 비교예 A보다 더 긴 수명(LT90)을 나타내었음을 보여준다. 화합물 A 및 화합물 B에 대한 14% 내지 75%의 더 긴 수명은 실험 오차에 기여하는 임의의 값을 넘으며, 관측된 개선은 유의미한 것이다. 화합물 A 및 화합물 B는 추가의 카르바졸 치환만이 차이가 있는 비교예 A와 유사한 구조를 갖는다는 사실에 기초하여, 상기 데이터에서 관측된 유의미한 성능 개선은 예상하지 못한 것이다. 임의의 이론에 결합됨 없이, 이러한 개선은 단일 카르바졸과 비교하여 비스카르바졸 모이어티에 대해 개선된 정공 수송 능력에 기여할 수 있다.The above data show that both compounds of the present invention, Compound A and Compound B, exhibited a longer life (LT90) than Comparative Compound, Comparative Example A, as a host. The longer lifetime of 14% to 75% for Compound A and Compound B exceeds any value contributing to the experimental error, and the observed improvement is significant. Based on the fact that Compound A and Compound B have a structure similar to Comparative Example A in which only additional carbazole substitutions differ, the significant performance improvement observed in the above data is unexpected. Without wishing to be bound by any theory, this improvement may contribute to improved hole transport capacity for the biscarbazole moiety compared to a single carbazole.
Claims (20)
상기 식에서, Y i 는 이고, Y j 는 이고,
여기서, RA, RB, RC, 및 RD는 각각 독립적으로 제로, 일치환, 이치환 또는 최대 허용가능한 치환을 나타내고;
각각의 RA, RB, RC, 및 RD는 독립적으로 수소, 또는 중수소, 할로겐, 알킬, 시클로알킬, 헤테로알킬, 헤테로시클로알킬, 보릴, 아릴알킬, 알콕시, 아릴옥시, 아미노, 실릴, 알케닐, 시클로알케닐, 헤테로알케닐, 알키닐, 아릴, 헤테로아릴, 아실, 카르복실산, 에테르, 에스테르, 니트릴, 이소니트릴, 술파닐, 술피닐, 술포닐, 포스피노, 및 이들의 조합으로 이루어진 군으로부터 선택된 치환기이고;
RA, RB, RC, 및 RD 중 하나 이상은 카르바졸 모이어티를 포함하고;
각각의 X1-X16은 독립적으로 C 또는 N이고;
RA, RB, RC, 및 RD 중 임의의 2개는 함께 결합되거나 또는 융합되어 고리를 형성할 수 있다.Compounds comprising the structure of formula I:
In the above formula, Y i is And Y j is ego,
Wherein R A , R B , R C , and R D each independently represent zero, mono-, di- or maximally permissible substitutions;
Each of R A , R B , R C , and R D is independently hydrogen, or deuterium, halogen, alkyl, cycloalkyl, heteroalkyl, heterocycloalkyl, boryl, arylalkyl, alkoxy, aryloxy, amino, silyl, Alkenyl, cycloalkenyl, heteroalkenyl, alkynyl, aryl, heteroaryl, acyl, carboxylic acid, ether, ester, nitrile, isonitrile, sulfanyl, sulfinyl, sulfonyl, phosphino, and combinations thereof It is a substituent selected from the group consisting of;
At least one of R A , R B , R C , and R D comprises a carbazole moiety;
Each X 1 -X 16 is independently C or N;
Any two of R A , R B , R C , and R D may be joined together or fused to form a ring.
The compound of claim 1, wherein Y i is selected from the group consisting of:
The compound of claim 1, wherein Y i is selected from the group consisting of Y 1 -Y 36 , Y j is selected from the group consisting of Y 1 -Y 43 , and Y 1 -Y 43 has the structure:
The compound of claim 1, wherein the compound of formula I is selected from the group consisting of:
캐소드; 및
상기 애노드와 캐소드 사이에 배치된 유기층을 포함하는 유기 발광 디바이스(OLED)로서,
유기층은 하기 화학식 I의 화합물을 포함하는 유기 발광 디바이스(OLED):
상기 식에서, Y i 는 이고, Y j 는 이고,
여기서, RA, RB, RC, 및 RD는 각각 독립적으로 제로, 일치환, 이치환 또는 최대 허용가능한 치환을 나타내고;
각각의 RA, RB, RC, 및 RD는 독립적으로 수소, 또는 중수소, 할로겐, 알킬, 시클로알킬, 헤테로알킬, 헤테로시클로알킬, 보릴, 아릴알킬, 알콕시, 아릴옥시, 아미노, 실릴, 알케닐, 시클로알케닐, 헤테로알케닐, 알키닐, 아릴, 헤테로아릴, 아실, 카르복실산, 에테르, 에스테르, 니트릴, 이소니트릴, 술파닐, 술피닐, 술포닐, 포스피노, 및 이들의 조합으로 이루어진 군으로부터 선택된 치환기이고;
RA, RB, RC, 및 RD 중 하나 이상은 카르바졸 모이어티를 포함하고;
각각의 X1-X16은 독립적으로 C 또는 N이고;
임의의 2개의 치환기는 함께 결합되거나 또는 융합되어 고리를 형성할 수 있다.Anode;
Cathode; And
An organic light emitting device (OLED) comprising an organic layer disposed between the anode and the cathode,
The organic layer is an organic light emitting device (OLED) comprising a compound of formula I:
In the above formula, Y i is And Y j is ego,
Wherein R A , R B , R C , and R D each independently represent zero, mono-, di- or maximally permissible substitutions;
Each of R A , R B , R C , and R D is independently hydrogen, or deuterium, halogen, alkyl, cycloalkyl, heteroalkyl, heterocycloalkyl, boryl, arylalkyl, alkoxy, aryloxy, amino, silyl, Alkenyl, cycloalkenyl, heteroalkenyl, alkynyl, aryl, heteroaryl, acyl, carboxylic acid, ether, ester, nitrile, isonitrile, sulfanyl, sulfinyl, sulfonyl, phosphino, and combinations thereof It is a substituent selected from the group consisting of;
At least one of R A , R B , R C , and R D comprises a carbazole moiety;
Each X 1 -X 16 is independently C or N;
Any two substituents may be bonded together or fused to form a ring.
상기 식에서,
K1'은 O 또는 S이고;
K2', K3', 및 K4'는 N 또는 CR9이고;
K5'는 O, S 및 NR10으로 이루어진 군으로부터 선택되고;
R1, R2, R3, R4, R5, R6, R7, R8, R9 및 R10은 독립적으로 수소, 또는 중수소, 할로겐, 알킬, 시클로알킬, 헤테로알킬, 헤테로시클로알킬, 보릴, 아릴알킬, 알콕시, 아릴옥시, 아미노, 실릴, 알케닐, 시클로알케닐, 헤테로알케닐, 알키닐, 아릴, 헤테로아릴, 아실, 카르복실산, 에테르, 에스테르, 니트릴, 이소니트릴, 술파닐, 술피닐, 술포닐, 포스피노, 및 이들의 조합으로 이루어진 군으로부터 선택된 치환기이다.The compound of claim 11, wherein the second compound is selected from the group consisting of:
In the above formula,
K 1 'is O or S;
K 2 ', K 3', and K 4 'is N or CR 9, and;
5 K 'is selected from the group consisting of O, S and NR 10;
R 1 , R 2 , R 3 , R 4 , R 5 , R 6 , R 7 , R 8 , R 9 and R 10 are independently hydrogen, or deuterium, halogen, alkyl, cycloalkyl, heteroalkyl, heterocycloalkyl , Boryl, arylalkyl, alkoxy, aryloxy, amino, silyl, alkenyl, cycloalkenyl, heteroalkenyl, alkynyl, aryl, heteroaryl, acyl, carboxylic acid, ether, ester, nitrile, isonitrile, alcohol It is a substituent selected from the group consisting of panyl, sulfinyl, sulfonyl, phosphino, and combinations thereof.
The OLED of claim 11, wherein the second compound is selected from the group consisting of:
상기 식에서,
M'는 Pt 또는 Pd이고;
고리 A', B', C', 및 D'는 각각 독립적으로 5-원 또는 6-원 카보사이클릭 또는 헤테로사이클릭 고리를 나타내고;
X1'- X12'는 각각 독립적으로 탄소 및 질소로 이루어진 군으로부터 선택되고;
RA', RB', RC', 및 RD'는 각각 독립적으로 일치환 내지 최대 허용되는 수의 치환, 또는 비치환을 나타내고;
각각의 RA', RB', RC', 및 RD'는 독립적으로 수소, 또는 중수소, 할로겐, 알킬, 시클로알킬, 헤테로알킬, 헤테로시클로알킬, 보릴, 아릴알킬, 알콕시, 아릴옥시, 아미노, 실릴, 알케닐, 시클로알케닐, 헤테로알케닐, 알키닐, 아릴, 헤테로아릴, 아실, 카르복실산, 에테르, 에스테르, 니트릴, 이소니트릴, 술파닐, 술피닐, 술포닐, 포스피노, 및 이들의 조합으로 이루어진 군으로부터 선택된 치환기이고;
n'는 0 또는 1이고;
L1', L2', 및 L3'는 각각 독립적으로 직접 결합, BRR', NR, PR, O, S, Se, C=O, S=O, SO2, CRR', SiRR', GeRR', 및 이들의 조합으로 이루어진 군으로부터 선택되고;
n'이 1인 경우, L4'는 직접 결합, BRR', NR, PR, O, S, Se, C=O, S=O, SO2, CRR', SiRR', GeRR', 및 이들의 조합으로 이루어지 군으로부터 선택되고;
n'이 0인 경우, L4'는 부재하고;
각각의 Y1', Y2', Y3', 및 Y4'는 직접 결합, O, 및 S로 이루어진 군으로부터 선택되고;
Y1', Y2', Y3', 및 Y4' 중 2개 이상은 직접 결합이다.The OLED of claim 10, wherein the organic layer further comprises a compound of Formula II:
In the above formula,
M'is Pt or Pd;
Rings A', B', C', and D'each independently represent a 5- or 6-membered carbocyclic or heterocyclic ring;
X 1 '- X 12' is selected from the group consisting of carbon and nitrogen, each independently;
R A' , R B' , R C' , and R D' each independently represent a mono-substituted to the maximum permissible number of substituted or unsubstituted;
Each of R A' , R B' , R C' , and R D' is independently hydrogen or deuterium, halogen, alkyl, cycloalkyl, heteroalkyl, heterocycloalkyl, boryl, arylalkyl, alkoxy, aryloxy, Amino, silyl, alkenyl, cycloalkenyl, heteroalkenyl, alkynyl, aryl, heteroaryl, acyl, carboxylic acid, ether, ester, nitrile, isonitrile, sulfanyl, sulfinyl, sulfonyl, phosphino, And a substituent selected from the group consisting of a combination thereof;
n'is 0 or 1;
L 1 ', L 2', and L 3 'is a bond, each independently, BRR', NR, PR, O, S, Se, C = O, S = O, SO 2, CRR ', SiRR', GeRR ', and a combination thereof;
"If the 1, L 4, n is a direct bond, BRR ', NR, PR, O, S, Se, C = O, S = O, SO 2, CRR', SiRR ', GeRR', and their Is selected from the group consisting of combinations;
when n'is 0, L 4'is absent;
Each of Y 1 ', Y 2', Y 3 ', and Y 4' is selected from the group consisting of a direct bond, O, and S;
Two or more of Y 1' , Y 2' , Y 3' , and Y 4'are direct bonds.
상기 식에서,
각각의 Y1 내지 Y13은 독립적으로 탄소 및 질소로 이루어진 군으로부터 선택되고;
Y'는 B Re, N Re, P Re, O, S, Se, C=O, S=O, SO2, CReRf, SiReRf, 및 GeReRf로 이루어진 군으로부터 선택되고;
Re 및 Rf는 임의로 융합되거나 또는 결합되어 고리를 형성하고;
각각의 Ra, Rb, Rc, 및 Rd는 독립적으로 일치환 내지 최대 가능한 수의 치환, 또는 비치환을 나타낼 수 있고;
각각의 Ra, Rb, Rc, Rd, Re 및 Rf는 독립적으로 수소, 중수소, 할라이드, 알킬, 시클로알킬, 헤테로알킬, 아릴알킬, 알콕시, 아릴옥시, 아미노, 실릴, 알케닐, 시클로알케닐, 헤테로알케닐, 알키닐, 아릴, 헤테로아릴, 아실, 카르보닐, 카르복실산, 에스테르, 니트릴, 이소니트릴, 술파닐, 술피닐, 술포닐, 포스피노, 및 이들의 조합으로 이루어진 군으로부터 선택되고;
Ra, Rb, Rc, 및 Rd 중 임의의 2개의 인접한 치환기는 임의로 융합되거나 또는 결합되어 고리를 형성한다.The OLED of claim 14, wherein the compound of formula II is a quaternary Pt complex having at least a portion of a ligand selected from the group consisting of:
In the above formula,
Each of Y 1 to Y 13 is independently selected from the group consisting of carbon and nitrogen;
Y'is selected from the group consisting of BR e , NR e , PR e , O, S, Se, C=O, S=O, SO 2 , CR e R f , SiR e R f , and GeR e R f ;
R e and R f are optionally fused or joined to form a ring;
Each of R a , R b , R c , and R d may independently represent a mono-substituted to the maximum possible number of substituted or unsubstituted;
Each of R a , R b , R c , R d , R e and R f is independently hydrogen, deuterium, halide, alkyl, cycloalkyl, heteroalkyl, arylalkyl, alkoxy, aryloxy, amino, silyl, alkenyl , Cycloalkenyl, heteroalkenyl, alkynyl, aryl, heteroaryl, acyl, carbonyl, carboxylic acid, ester, nitrile, isonitrile, sulfanyl, sulfinyl, sulfonyl, phosphino, and combinations thereof Is selected from the group consisting of;
Any two adjacent substituents of R a , R b , R c , and R d are optionally fused or joined to form a ring.
상기 식에서,
L은 O, S, Se, NR, BR, BRR', C=O, S=O, CRR', SiRR', 및 이들의 조합으로 이루어진 군으로부터 선택되고;
각각의 RA, RB, RC, RD, RE, 및 RF는 독립적으로 수소, 또는 중수소, 할로겐, 알킬, 시클로알킬, 헤테로알킬, 헤테로시클로알킬, 보릴, 아릴알킬, 알콕시, 아릴옥시, 아미노, 실릴, 알케닐, 시클로알케닐, 헤테로알케닐, 알키닐, 아릴, 헤테로아릴, 아실, 카르복실산, 에테르, 에스테르, 니트릴, 이소니트릴, 술파닐, 술피닐, 술포닐, 포스피노, 및 이들의 조합으로 이루어진 군으로부터 선택된 치환기이다.The OLED of claim 14, wherein the compound of formula II is selected from the group consisting of:
In the above formula,
L is selected from the group consisting of O, S, Se, NR, BR, BRR', C=O, S=O, CRR', SiRR', and combinations thereof;
Each of R A , R B , R C , R D , R E , and R F is independently hydrogen, or deuterium, halogen, alkyl, cycloalkyl, heteroalkyl, heterocycloalkyl, boryl, arylalkyl, alkoxy, aryl Oxy, amino, silyl, alkenyl, cycloalkenyl, heteroalkenyl, alkynyl, aryl, heteroaryl, acyl, carboxylic acid, ether, ester, nitrile, isonitrile, sulfanyl, sulfinyl, sulfonyl, phosph It is a substituent selected from the group consisting of pinot, and combinations thereof.
상기 식에서,
각각의 Y1 내지 Y13은 독립적으로 C 및 N으로 이루어진 군으로부터 선택되고;
Y'는 B Re, N Re, P Re, O, S, Se, C=O, S=O, SO2, CReRf, SiReRf, 및 GeReRf로 이루어진 군으로부터 선택되고;
Re 및 Rf는 임의로 융합되거나 또는 결합되어 고리를 형성하고;
각각의 Ra, Rb, Rc, 및 Rd는 독립적으로 그것의 회합된 고리에 대한 제로, 일치환, 또는 최대 허용되는 치환을 나타내고;
각각의 Ra, Rb, Rc, Rd, Re 및 Rf는 독립적으로 수소, 중수소, 할라이드, 알킬, 시클로알킬, 헤테로알킬, 아릴알킬, 알콕시, 아릴옥시, 아미노, 실릴, 알케닐, 시클로알케닐, 헤테로알케닐, 알키닐, 아릴, 헤테로아릴, 아실, 카르보닐, 카르복실산, 에스테르, 니트릴, 이소니트릴, 술파닐, 술피닐, 술포닐, 포스피노, 및 이들의 조합으로 이루어진 군으로부터 선택되며; Ra, Rb, Rc, 및 Rd 중 2개의 인접한 치환기는 임의로 융합되거나 또는 결합되어 고리를 형성하거나 또는 다좌 리간드를 형성한다.The OLED of claim 17, wherein when the ligand is more than two loci selected from the group consisting of, the phosphorescent emitter is a transition metal complex having at least one ligand or part of a ligand:
In the above formula,
Each of Y 1 to Y 13 is independently selected from the group consisting of C and N;
Y'is selected from the group consisting of BR e , NR e , PR e , O, S, Se, C=O, S=O, SO 2 , CR e R f , SiR e R f , and GeR e R f ;
R e and R f are optionally fused or joined to form a ring;
Each of R a , R b , R c , and R d independently represents a zero, mono-, or maximum permissible substitution for its associated ring;
Each of R a , R b , R c , R d , R e and R f is independently hydrogen, deuterium, halide, alkyl, cycloalkyl, heteroalkyl, arylalkyl, alkoxy, aryloxy, amino, silyl, alkenyl , Cycloalkenyl, heteroalkenyl, alkynyl, aryl, heteroaryl, acyl, carbonyl, carboxylic acid, ester, nitrile, isonitrile, sulfanyl, sulfinyl, sulfonyl, phosphino, and combinations thereof Is selected from the group consisting of; Two adjacent substituents of R a , R b , R c , and R d are optionally fused or bonded to form a ring or to form a multidentate ligand.
캐소드; 및
상기 애노드와 캐소드 사이에 배치된 유기층을 포함하는 유기 발광 디바이스를 포함하는 소비자 제품으로서,
유기층은 하기 화학식 I의 화합물을 포함하는 소비자 제품:
상기 식에서, Y i 는 이고, Y j 는 이고,
여기서, RA, RB, RC, 및 RD는 각각 독립적으로 제로, 일치환, 이치환 또는 최대 허용가능한 치환을 나타내고;
각각의 RA, RB, RC, 및 RD는 독립적으로 수소, 또는 중수소, 할로겐, 알킬, 시클로알킬, 헤테로알킬, 헤테로시클로알킬, 보릴, 아릴알킬, 알콕시, 아릴옥시, 아미노, 실릴, 알케닐, 시클로알케닐, 헤테로알케닐, 알키닐, 아릴, 헤테로아릴, 아실, 카르복실산, 에테르, 에스테르, 니트릴, 이소니트릴, 술파닐, 술피닐, 술포닐, 포스피노, 및 이들의 조합으로 이루어진 군으로부터 선택된 치환기이고;
RA, RB, RC, 및 RD 중 하나 이상은 카르바졸 모이어티를 포함하고;
각각의 X1-X16은 독립적으로 C 또는 N이고;
임의의 2개의 치환기는 함께 결합되거나 또는 융합되어 고리를 형성할 수 있다.Anode;
Cathode; And
A consumer product comprising an organic light emitting device comprising an organic layer disposed between the anode and the cathode,
The organic layer is a consumer product comprising a compound of formula I:
In the above formula, Y i is And Y j is ego,
Wherein R A , R B , R C , and R D each independently represent zero, mono-, di- or maximally permissible substitutions;
Each of R A , R B , R C , and R D is independently hydrogen, or deuterium, halogen, alkyl, cycloalkyl, heteroalkyl, heterocycloalkyl, boryl, arylalkyl, alkoxy, aryloxy, amino, silyl, Alkenyl, cycloalkenyl, heteroalkenyl, alkynyl, aryl, heteroaryl, acyl, carboxylic acid, ether, ester, nitrile, isonitrile, sulfanyl, sulfinyl, sulfonyl, phosphino, and combinations thereof It is a substituent selected from the group consisting of;
At least one of R A , R B , R C , and R D comprises a carbazole moiety;
Each X 1 -X 16 is independently C or N;
Any two substituents may be bonded together or fused to form a ring.
Applications Claiming Priority (6)
| Application Number | Priority Date | Filing Date | Title |
|---|---|---|---|
| US16/683,507 US11515489B2 (en) | 2018-11-28 | 2019-11-14 | Host materials for electroluminescent devices |
| US16/683,507 | 2019-11-14 | ||
| US202063017220P | 2020-04-29 | 2020-04-29 | |
| US63/017,220 | 2020-04-29 | ||
| US17/086,989 US11889708B2 (en) | 2019-11-14 | 2020-11-02 | Organic electroluminescent materials and devices |
| US17/086,989 | 2020-11-02 |
Publications (1)
| Publication Number | Publication Date |
|---|---|
| KR20210059652A true KR20210059652A (en) | 2021-05-25 |
Family
ID=75806163
Family Applications (1)
| Application Number | Title | Priority Date | Filing Date |
|---|---|---|---|
| KR1020200151988A Pending KR20210059652A (en) | 2019-11-14 | 2020-11-13 | Organic electroluminescent materials and devices |
Country Status (2)
| Country | Link |
|---|---|
| KR (1) | KR20210059652A (en) |
| CN (3) | CN119798141A (en) |
Cited By (3)
| Publication number | Priority date | Publication date | Assignee | Title |
|---|---|---|---|---|
| WO2024101852A1 (en) * | 2022-11-07 | 2024-05-16 | 삼성에스디아이 주식회사 | Compound for organic optoelectronic element, composition for same, organic optoelectronic element, and display device |
| US12514112B2 (en) | 2021-11-02 | 2025-12-30 | Samsung Display Co., Ltd. | Light-emitting device and electronic apparatus including the same |
| WO2026010206A1 (en) * | 2024-07-04 | 2026-01-08 | 주식회사 엘지화학 | Compound and organic light-emitting device comprising same |
Families Citing this family (2)
| Publication number | Priority date | Publication date | Assignee | Title |
|---|---|---|---|---|
| CN113321677B (en) * | 2021-06-30 | 2023-05-05 | 京东方科技集团股份有限公司 | Thermal-activation delay fluorescent material, organic light-emitting device and display device |
| CN118108658A (en) * | 2023-10-24 | 2024-05-31 | 陕西莱特光电材料股份有限公司 | Nitrogen-containing compound, organic electroluminescent device and electronic device |
Family Cites Families (8)
| Publication number | Priority date | Publication date | Assignee | Title |
|---|---|---|---|---|
| JP4552382B2 (en) * | 2003-03-06 | 2010-09-29 | コニカミノルタホールディングス株式会社 | ORGANIC ELECTROLUMINESCENT ELEMENT, ORGANIC ELECTROLUMINESCENT ELEMENT MATERIAL, DISPLAY DEVICE AND LIGHTING DEVICE |
| JP4887731B2 (en) * | 2005-10-26 | 2012-02-29 | コニカミノルタホールディングス株式会社 | Organic electroluminescence element, display device and lighting device |
| JP5589251B2 (en) * | 2006-09-21 | 2014-09-17 | コニカミノルタ株式会社 | Organic electroluminescence element material |
| EP3141550B1 (en) * | 2015-09-09 | 2020-03-18 | Samsung Electronics Co., Ltd. | Condensed cyclic compound and organic light-emitting device including the same |
| US10897016B2 (en) * | 2016-11-14 | 2021-01-19 | Universal Display Corporation | Organic electroluminescent materials and devices |
| US10934293B2 (en) * | 2017-05-18 | 2021-03-02 | Universal Display Corporation | Organic electroluminescent materials and devices |
| US11793073B2 (en) * | 2018-05-06 | 2023-10-17 | Universal Display Corporation | Host materials for electroluminescent devices |
| US20200343457A1 (en) * | 2019-04-29 | 2020-10-29 | Universal Display Corporation | Organic electroluminescent materials and devices |
-
2020
- 2020-11-13 KR KR1020200151988A patent/KR20210059652A/en active Pending
- 2020-11-13 CN CN202411902621.9A patent/CN119798141A/en active Pending
- 2020-11-13 CN CN202411902800.2A patent/CN119707778A/en active Pending
- 2020-11-13 CN CN202011271522.7A patent/CN112794814B/en active Active
Cited By (3)
| Publication number | Priority date | Publication date | Assignee | Title |
|---|---|---|---|---|
| US12514112B2 (en) | 2021-11-02 | 2025-12-30 | Samsung Display Co., Ltd. | Light-emitting device and electronic apparatus including the same |
| WO2024101852A1 (en) * | 2022-11-07 | 2024-05-16 | 삼성에스디아이 주식회사 | Compound for organic optoelectronic element, composition for same, organic optoelectronic element, and display device |
| WO2026010206A1 (en) * | 2024-07-04 | 2026-01-08 | 주식회사 엘지화학 | Compound and organic light-emitting device comprising same |
Also Published As
| Publication number | Publication date |
|---|---|
| CN119707778A (en) | 2025-03-28 |
| CN112794814A (en) | 2021-05-14 |
| CN112794814B (en) | 2025-01-10 |
| CN119798141A (en) | 2025-04-11 |
Similar Documents
| Publication | Publication Date | Title |
|---|---|---|
| JP7740610B2 (en) | Organic electroluminescent materials and devices | |
| KR102747273B1 (en) | Organic electroluminescent materials and devices | |
| KR102895632B1 (en) | Organic electroluminescent materials and devices | |
| KR102786276B1 (en) | Host materials for electroluminescent devices | |
| KR102669043B1 (en) | Organic electroluminescent materials and devices | |
| JP2025172933A (en) | Organic electroluminescent materials and devices | |
| KR20250022108A (en) | Organic electroluminescent materials and devices | |
| KR102662491B1 (en) | Host materials for electroluminescent devices | |
| KR20240114735A (en) | Organic electroluminescent materials and devices | |
| KR102718663B1 (en) | Organic electroluminescent materials and devices | |
| EP3297051A1 (en) | Organic electroluminescent materials and devices | |
| KR102891783B1 (en) | Organic electroluminescent materials and devices | |
| KR102557211B1 (en) | Organic electroluminescent materials and devices | |
| KR102539923B1 (en) | Organic electroluminescent materials and devices | |
| KR102795389B1 (en) | Organic electroluminescent materials and devices | |
| KR20210059652A (en) | Organic electroluminescent materials and devices | |
| KR20230112098A (en) | Organic electroluminescent materials and devices | |
| KR20240010738A (en) | Organic electroluminescent materials and devices | |
| KR20260002341A (en) | Organic electroluminescent materials and devices | |
| KR20200096429A (en) | Organic electroluminescent materials and devices | |
| KR20230136585A (en) | Organic host materials for electroluminescent devices | |
| KR20210021275A (en) | Organic electroluminescent materials and devices | |
| KR20210018780A (en) | Organic electroluminescent materials and devices | |
| KR20200006935A (en) | Organic electroluminescent materials and devices | |
| KR20210016298A (en) | Organic electroluminescent materials and devices |
Legal Events
| Date | Code | Title | Description |
|---|---|---|---|
| PA0109 | Patent application |
St.27 status event code: A-0-1-A10-A12-nap-PA0109 |
|
| PG1501 | Laying open of application |
St.27 status event code: A-1-1-Q10-Q12-nap-PG1501 |
|
| R18-X000 | Changes to party contact information recorded |
St.27 status event code: A-3-3-R10-R18-oth-X000 |
|
| P22-X000 | Classification modified |
St.27 status event code: A-2-2-P10-P22-nap-X000 |
|
| P22-X000 | Classification modified |
St.27 status event code: A-2-2-P10-P22-nap-X000 |
|
| P11-X000 | Amendment of application requested |
St.27 status event code: A-2-2-P10-P11-nap-X000 |
|
| P13-X000 | Application amended |
St.27 status event code: A-2-2-P10-P13-nap-X000 |
|
| PA0201 | Request for examination |
St.27 status event code: A-1-2-D10-D11-exm-PA0201 |
|
| E902 | Notification of reason for refusal | ||
| PE0902 | Notice of grounds for rejection |
St.27 status event code: A-1-2-D10-D21-exm-PE0902 |
|
| T11 | Administrative time limit extension requested |
Free format text: ST27 STATUS EVENT CODE: U-3-3-T10-T11-OTH-X000 (AS PROVIDED BY THE NATIONAL OFFICE) |
|
| T11-X000 | Administrative time limit extension requested |
St.27 status event code: U-3-3-T10-T11-oth-X000 |
|
| T11 | Administrative time limit extension requested |
Free format text: ST27 STATUS EVENT CODE: U-3-3-T10-T11-OTH-X000 (AS PROVIDED BY THE NATIONAL OFFICE) |
|
| T11-X000 | Administrative time limit extension requested |
St.27 status event code: U-3-3-T10-T11-oth-X000 |
|
| E13 | Pre-grant limitation requested |
Free format text: ST27 STATUS EVENT CODE: A-2-3-E10-E13-LIM-X000 (AS PROVIDED BY THE NATIONAL OFFICE) |
|
| E13-X000 | Pre-grant limitation requested |
St.27 status event code: A-2-3-E10-E13-lim-X000 |
|
| P11 | Amendment of application requested |
Free format text: ST27 STATUS EVENT CODE: A-2-2-P10-P11-NAP-X000 (AS PROVIDED BY THE NATIONAL OFFICE) |
|
| P11-X000 | Amendment of application requested |
St.27 status event code: A-2-2-P10-P11-nap-X000 |
|
| P13 | Application amended |
Free format text: ST27 STATUS EVENT CODE: A-2-2-P10-P13-NAP-X000 (AS PROVIDED BY THE NATIONAL OFFICE) |
|
| P13-X000 | Application amended |
St.27 status event code: A-2-2-P10-P13-nap-X000 |
|
| P22-X000 | Classification modified |
St.27 status event code: A-2-2-P10-P22-nap-X000 |














































































































