KR20210023752A - Organic light emitting device - Google Patents
Organic light emitting device Download PDFInfo
- Publication number
- KR20210023752A KR20210023752A KR1020200104870A KR20200104870A KR20210023752A KR 20210023752 A KR20210023752 A KR 20210023752A KR 1020200104870 A KR1020200104870 A KR 1020200104870A KR 20200104870 A KR20200104870 A KR 20200104870A KR 20210023752 A KR20210023752 A KR 20210023752A
- Authority
- KR
- South Korea
- Prior art keywords
- group
- organic light
- substituted
- unsubstituted
- formula
- Prior art date
- Legal status (The legal status is an assumption and is not a legal conclusion. Google has not performed a legal analysis and makes no representation as to the accuracy of the status listed.)
- Granted
Links
Images
Classifications
-
- H—ELECTRICITY
- H10—SEMICONDUCTOR DEVICES; ELECTRIC SOLID-STATE DEVICES NOT OTHERWISE PROVIDED FOR
- H10K—ORGANIC ELECTRIC SOLID-STATE DEVICES
- H10K85/00—Organic materials used in the body or electrodes of devices covered by this subclass
- H10K85/60—Organic compounds having low molecular weight
- H10K85/631—Amine compounds having at least two aryl rest on at least one amine-nitrogen atom, e.g. triphenylamine
- H10K85/633—Amine compounds having at least two aryl rest on at least one amine-nitrogen atom, e.g. triphenylamine comprising polycyclic condensed aromatic hydrocarbons as substituents on the nitrogen atom
-
- H01L51/006—
-
- H01L51/0035—
-
- H01L51/0065—
-
- H01L51/0072—
-
- H01L51/008—
-
- H01L51/5056—
-
- H01L51/5088—
-
- H—ELECTRICITY
- H10—SEMICONDUCTOR DEVICES; ELECTRIC SOLID-STATE DEVICES NOT OTHERWISE PROVIDED FOR
- H10K—ORGANIC ELECTRIC SOLID-STATE DEVICES
- H10K50/00—Organic light-emitting devices
- H10K50/10—OLEDs or polymer light-emitting diodes [PLED]
- H10K50/14—Carrier transporting layers
- H10K50/15—Hole transporting layers
-
- H—ELECTRICITY
- H10—SEMICONDUCTOR DEVICES; ELECTRIC SOLID-STATE DEVICES NOT OTHERWISE PROVIDED FOR
- H10K—ORGANIC ELECTRIC SOLID-STATE DEVICES
- H10K50/00—Organic light-emitting devices
- H10K50/10—OLEDs or polymer light-emitting diodes [PLED]
- H10K50/17—Carrier injection layers
-
- H—ELECTRICITY
- H10—SEMICONDUCTOR DEVICES; ELECTRIC SOLID-STATE DEVICES NOT OTHERWISE PROVIDED FOR
- H10K—ORGANIC ELECTRIC SOLID-STATE DEVICES
- H10K85/00—Organic materials used in the body or electrodes of devices covered by this subclass
- H10K85/10—Organic polymers or oligomers
- H10K85/111—Organic polymers or oligomers comprising aromatic, heteroaromatic, or aryl chains, e.g. polyaniline, polyphenylene or polyphenylene vinylene
-
- H—ELECTRICITY
- H10—SEMICONDUCTOR DEVICES; ELECTRIC SOLID-STATE DEVICES NOT OTHERWISE PROVIDED FOR
- H10K—ORGANIC ELECTRIC SOLID-STATE DEVICES
- H10K85/00—Organic materials used in the body or electrodes of devices covered by this subclass
- H10K85/30—Coordination compounds
- H10K85/321—Metal complexes comprising a group IIIA element, e.g. Tris (8-hydroxyquinoline) gallium [Gaq3]
- H10K85/322—Metal complexes comprising a group IIIA element, e.g. Tris (8-hydroxyquinoline) gallium [Gaq3] comprising boron
-
- H—ELECTRICITY
- H10—SEMICONDUCTOR DEVICES; ELECTRIC SOLID-STATE DEVICES NOT OTHERWISE PROVIDED FOR
- H10K—ORGANIC ELECTRIC SOLID-STATE DEVICES
- H10K85/00—Organic materials used in the body or electrodes of devices covered by this subclass
- H10K85/60—Organic compounds having low molecular weight
- H10K85/649—Aromatic compounds comprising a hetero atom
- H10K85/653—Aromatic compounds comprising a hetero atom comprising only oxygen as heteroatom
-
- H—ELECTRICITY
- H10—SEMICONDUCTOR DEVICES; ELECTRIC SOLID-STATE DEVICES NOT OTHERWISE PROVIDED FOR
- H10K—ORGANIC ELECTRIC SOLID-STATE DEVICES
- H10K85/00—Organic materials used in the body or electrodes of devices covered by this subclass
- H10K85/60—Organic compounds having low molecular weight
- H10K85/649—Aromatic compounds comprising a hetero atom
- H10K85/657—Polycyclic condensed heteroaromatic hydrocarbons
- H10K85/6572—Polycyclic condensed heteroaromatic hydrocarbons comprising only nitrogen in the heteroaromatic polycondensed ring system, e.g. phenanthroline or carbazole
Landscapes
- Chemical & Material Sciences (AREA)
- Physics & Mathematics (AREA)
- Engineering & Computer Science (AREA)
- Materials Engineering (AREA)
- Spectroscopy & Molecular Physics (AREA)
- Optics & Photonics (AREA)
- Inorganic Chemistry (AREA)
- Electroluminescent Light Sources (AREA)
Abstract
본 발명은 유기 발광 소자를 제공한다. The present invention provides an organic light emitting device.
Description
본 발명은 유기 발광 소자에 관한 것이다. The present invention relates to an organic light emitting device.
일반적으로 유기 발광 현상이란 유기 물질을 이용하여 전기에너지를 빛에너지로 전환시켜주는 현상을 말한다. 유기 발광 현상을 이용하는 유기 발광 소자는 넓은 시야각, 우수한 콘트라스트, 빠른 응답 시간을 가지며, 휘도, 구동 전압 및 응답 속도 특성이 우수하여 많은 연구가 진행되고 있다. In general, the organic light emission phenomenon refers to a phenomenon in which electrical energy is converted into light energy by using an organic material. An organic light-emitting device using the organic light-emitting phenomenon has a wide viewing angle, excellent contrast, and fast response time, and has excellent luminance, driving voltage, and response speed characteristics, and thus many studies are being conducted.
유기 발광 소자는 일반적으로 양극과 음극 및 상기 양극과 음극 사이에 유기물층을 포함하는 구조를 가진다. 상기 유기물층은 유기 발광 소자의 효율과 안정성을 높이기 위하여 각기 다른 물질로 구성된 다층의 구조로 이루어진 경우가 많으며, 예컨대 정공주입층, 정공수송층, 발광층, 전자수송층, 전자주입층 등으로 이루어질 수 있다. 이러한 유기 발광 소자의 구조에서 두 전극 사이에 전압을 걸어주게 되면 양극에서는 정공이, 음극에서는 전자가 유기물층에 주입되게 되고, 주입된 정공과 전자가 만났을 때 엑시톤(exciton)이 형성되며, 이 엑시톤이 다시 바닥상태로 떨어질 때 빛이 나게 된다. An organic light-emitting device generally has a structure including an anode and a cathode, and an organic material layer between the anode and the cathode. The organic material layer is often made of a multi-layered structure made of different materials in order to increase the efficiency and stability of the organic light emitting device.For example, it may be formed of a hole injection layer, a hole transport layer, a light emitting layer, an electron transport layer, an electron injection layer, and the like. In the structure of such an organic light emitting device, when a voltage is applied between the two electrodes, holes are injected from the anode and electrons from the cathode are injected into the organic material layer, and excitons are formed when the injected holes and electrons meet. When it falls back to the ground, it glows.
상기와 같은 유기 발광 소자에 사용되는 유기물에 대하여 새로운 재료의 개발이 지속적으로 요구되고 있다.Development of new materials for organic materials used in organic light emitting devices as described above is continuously required.
한편, 최근에는 공정 비용 절감을 위하여 기존의 증착 공정 대신 용액 공정, 특히 잉크젯 공정을 이용한 유기 발광 소자가 개발되고 있다. 초창기에는 모든 유기 발광 소자 층을 용액 공정으로 코팅하여 유기 발광 소자를 개발하려 하였으나 현재 기술로는 한계가 있어, 정구조 형태에서 HIL, HTL, EML만을 용액 공정으로 진행하고 추후 공정은 기존의 증착 공정을 활용하는 하이브리드(hybrid) 공정이 연구 중이다. On the other hand, in recent years, in order to reduce process cost, an organic light emitting device using a solution process, especially an inkjet process, has been developed instead of a conventional deposition process. In the early days, an attempt was made to develop an organic light-emitting device by coating all organic light-emitting device layers by a solution process, but the current technology has limitations, so only HIL, HTL, and EML in the form of a regular structure are carried out as a solution process, and the later process is the existing deposition process. A hybrid process that utilizes is being studied.
이에 본 발명에서는 유기 발광 소자에 사용될 수 있으면서 동시에 용액 공정에 사용 가능한 신규한 유기 발광 소자의 소재 및 이를 이용한 유기 발광 소자를 제공한다.Accordingly, the present invention provides a novel organic light-emitting device material that can be used in an organic light-emitting device and at the same time can be used in a solution process, and an organic light-emitting device using the same.
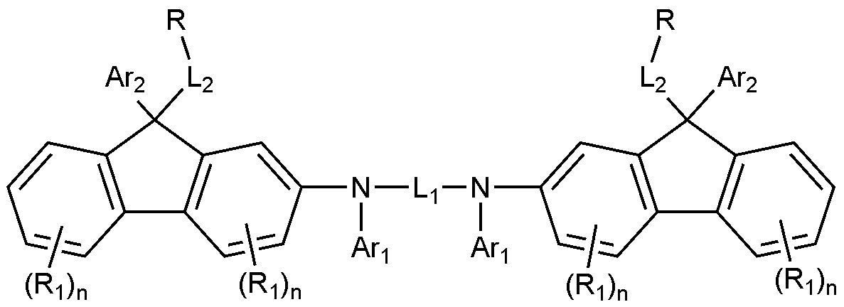
본 발명은, 양극, 정공주입층, 정공수송층, 발광층, 및 음극을 포함하고, 상기 정공주입층은 하기 화학식 1로 표시되는 화합물의 경화물을 포함하고, 상기 정공수송층은 하기 화학식 2로 표시되는 반복단위를 포함하는 고분자를 포함하는, 유기 발광 소자를 제공한다:The present invention includes an anode, a hole injection layer, a hole transport layer, a light emitting layer, and a cathode, the hole injection layer comprises a cured product of the compound represented by the following formula (1), and the hole transport layer is represented by the following formula (2). It provides an organic light-emitting device comprising a polymer containing a repeating unit:
[화학식 1][Formula 1]
상기 화학식 1에서, In Formula 1,
L1은 치환 또는 비치환된 C6-60 아릴렌; 또는 치환 또는 비치환된 N, O 및 S로 구성되는 군으로부터 선택되는 어느 하나 이상의 헤테로원자를 포함하는 C2-60 헤테로아릴렌이고,L 1 is substituted or unsubstituted C 6-60 arylene; Or substituted or unsubstituted C 2-60 heteroarylene including any one or more heteroatoms selected from the group consisting of N, O and S,
Ar1은 각각 독립적으로, 치환 또는 비치환된 C6-60 아릴이고, Ar 1 is each independently, substituted or unsubstituted C 6-60 aryl,
Ar2는 각각 독립적으로, 치환 또는 비치환된 C6-60 아릴이고, Ar 2 is each independently a substituted or unsubstituted C 6-60 aryl,
L2는 각각 독립적으로, 단일 결합, 치환 또는 비치환된 C1-10 알킬렌, 또는 치환 또는 비치환된 C6-60 아릴렌이고, Each L 2 is independently a single bond, a substituted or unsubstituted C 1-10 alkylene, or a substituted or unsubstituted C 6-60 arylene,
R1은 각각 독립적으로 수소; 중수소; 할로겐; 치환 또는 비치환된 C1-60 알킬; 치환 또는 비치환된 C1-60 알콕시; 치환 또는 비치환된 C6-60 아릴; 또는 N, O 및 S로 구성되는 군으로부터 선택되는 어느 하나 이상의 헤테로원자를 포함하는 C2-60 헤테로아릴이고,Each R 1 is independently hydrogen; heavy hydrogen; halogen; Substituted or unsubstituted C 1-60 alkyl; Substituted or unsubstituted C 1-60 alkoxy; Substituted or unsubstituted C 6-60 aryl; Or C 2-60 heteroaryl containing any one or more heteroatoms selected from the group consisting of N, O and S,
n은 각각 독립적으로 0 내지 3의 정수이고, n is each independently an integer of 0 to 3,
R은 각각 독립적으로, 광경화성기; 또는 열경화성기이고, Each R is independently a photocurable group; Or a thermosetting group,
[화학식 2][Formula 2]
상기 화학식 2에서,In Chemical Formula 2,
L', L'1 및 L'2는 각각 독립적으로, 단일결합; 치환 또는 비치환된 C6-60 아릴렌; 또는 치환 또는 비치환된 N, O 및 S로 구성되는 군으로부터 선택되는 어느 하나 이상의 헤테로원자를 포함하는 C2-60 헤테로아릴렌이고,L', L' 1 and L' 2 are each independently a single bond; Substituted or unsubstituted C 6-60 arylene; Or substituted or unsubstituted C 2-60 heteroarylene including any one or more heteroatoms selected from the group consisting of N, O and S,
Ar'1 및 Ar'2는 각각 독립적으로, 치환 또는 비치환된 C6-60 아릴; 또는 N, O 및 S로 구성되는 군으로부터 선택되는 어느 하나 이상의 헤테로원자를 포함하는 C2-60 헤테로아릴이고,Ar' 1 and Ar' 2 are each independently a substituted or unsubstituted C 6-60 aryl; Or C 2-60 heteroaryl containing any one or more heteroatoms selected from the group consisting of N, O and S,
R'1 내지 R'5는 각각 독립적으로, 수소; 중수소; 할로겐; 히드록시; 시아노; 치환 또는 비치환된 C1-60 알킬; 치환 또는 비치환된 C3-60 사이클로알킬; 치환 또는 비치환된 C1-60 알콕시; 치환 또는 비치환된 C6-60 아릴; 또는 치환 또는 비치환된 N, O 및 S로 구성되는 군으로부터 선택되는 어느 하나 이상의 헤테로원자를 포함하는 C2-60 헤테로아릴이고,R '1 to R' 5 are each independently hydrogen; heavy hydrogen; halogen; Hydroxy; Cyano; Substituted or unsubstituted C 1-60 alkyl; Substituted or unsubstituted C 3-60 cycloalkyl; Substituted or unsubstituted C 1-60 alkoxy; Substituted or unsubstituted C 6-60 aryl; Or substituted or unsubstituted C 2-60 heteroaryl containing any one or more heteroatoms selected from the group consisting of N, O and S,
R'6 내지 R'8은 각각 독립적으로, 수소, 또는 C1-10 알킬이고,R '6 to R' 8 are each independently hydrogen, or C 1-10 alkyl,
m은 1 내지 10의 정수이고,m is an integer from 1 to 10,
a1, a3 및 a4는 각각 독립적으로, 0 내지 4의 정수이고,a1, a3, and a4 are each independently an integer of 0 to 4,
a2 및 a5는 각각 독립적으로, 0 내지 3의 정수이고, a2 and a5 are each independently an integer of 0 to 3,
x는 1 내지 10,000의 정수이고,x is an integer from 1 to 10,000,
n, m 및 a1 내지 a5가 2 이상인 경우 괄호 안의 구조는 각각 동일하거나 상이하다.When n, m and a1 to a5 are 2 or more, the structures in parentheses are the same or different, respectively.
본 발명에 따른 유기 발광 소자는 용액 공정으로 정공주입층 및 정공수송층을 제조할 수 있으며, 또한 유기 발광 소자의 효율, 구동전압 및/또는 수명 특성을 향상시킬 수 있다. The organic light-emitting device according to the present invention may manufacture a hole injection layer and a hole transport layer by a solution process, and also improve the efficiency, driving voltage, and/or lifetime characteristics of the organic light-emitting device.
도 1은 기판(1), 양극(2), 정공주입층(3), 정공수송층(4), 발광층(5), 음극(6)으로 이루어진 유기 발광 소자의 예를 도시한 것이다.
도 2는 기판(1), 양극(2), 정공주입층(3), 정공수송층(4), 발광층(5), 전자수송층(7), 전자주입층(8) 및 음극(6)으로 이루어진 유기 발광 소자의 예를 도시한 것이다. FIG. 1 shows an example of an organic light-emitting device comprising a
2 is a
이하, 본 발명의 이해를 돕기 위하여 보다 상세히 설명한다.Hereinafter, it will be described in more detail to aid in understanding the present invention.
(용어의 정의)(Definition of Terms)
본 명세서에서, 및 는 다른 치환기에 연결되는 결합을 의미하고, "Me"는 메틸을 의미한다. In this specification, And Means a bond connected to another substituent, and “Me” means methyl.
본 명세서에서 "치환 또는 비치환된" 이라는 용어는 중수소; 할로겐기; 시아노기; 니트로기; 히드록시기; 카보닐기; 에스테르기; 이미드기; 아미노기; 포스핀옥사이드기; 알콕시기; 아릴옥시기; 알킬티옥시기; 아릴티옥시기; 알킬술폭시기; 아릴술폭시기; 실릴기; 붕소기; 알킬기; 사이클로알킬기; 알케닐기; 아릴기; 아르알킬기; 아르알케닐기; 알킬아릴기; 알킬아민기; 아랄킬아민기; 헤테로아릴아민기; 아릴아민기; 아릴포스핀기; 또는 N, O 및 S 원자 중 1개 이상을 포함하는 헤테로아릴로 이루어진 군에서 선택된 1개 이상의 치환기로 치환 또는 비치환되거나, 상기 예시된 치환기 중 2 이상의 치환기가 연결된 치환 또는 비치환된 것을 의미한다. 예컨대, "2 이상의 치환기가 연결된 치환기"는 비페닐기일 수 있다. 즉, 비페닐이기는 아릴기일 수도 있고, 2개의 페닐기가 연결된 치환기로 해석될 수도 있다.In the present specification, the term "substituted or unsubstituted" refers to deuterium; Halogen group; Cyano group; Nitro group; Hydroxy group; Carbonyl group; Ester group; Imide group; Amino group; Phosphine oxide group; Alkoxy group; Aryloxy group; Alkyl thioxy group; Arylthioxy group; Alkyl sulfoxy group; Arylsulfoxy group; Silyl group; Boron group; Alkyl group; Cycloalkyl group; Alkenyl group; Aryl group; Aralkyl group; Aralkenyl group; Alkylaryl group; Alkylamine group; Aralkylamine group; Heteroarylamine group; Arylamine group; Arylphosphine group; Or it means substituted or unsubstituted with one or more substituents selected from the group consisting of heteroaryl containing one or more of N, O, and S atoms, or substituted or unsubstituted with two or more substituents connected among the above exemplified substituents. . For example, "a substituent to which two or more substituents are connected" may be a biphenyl group. That is, the biphenyl group may be an aryl group, or may be interpreted as a substituent to which two phenyl groups are connected.
본 명세서에서 카보닐기의 탄소수는 특별히 한정되지 않으나, 탄소수 1 내지 40인 것이 바람직하다. 구체적으로 하기와 같은 구조의 화합물이 될 수 있으나, 이에 한정되는 것은 아니다.In the present specification, the number of carbon atoms of the carbonyl group is not particularly limited, but is preferably 1 to 40 carbon atoms. Specifically, it may be a compound having the following structure, but is not limited thereto.
본 명세서에 있어서, 에스테르기는 에스테르기의 산소가 탄소수 1 내지 25의 직쇄, 분지쇄 또는 고리쇄 알킬기 또는 탄소수 6 내지 25의 아릴기로 치환될 수 있다. 구체적으로, 하기 구조식의 화합물이 될 수 있으나, 이에 한정되는 것은 아니다.In the present specification, the ester group may be substituted with a C1-C25 linear, branched or cyclic alkyl group or an aryl group having 6 to 25 carbon atoms in the oxygen of the ester group. Specifically, it may be a compound of the following structural formula, but is not limited thereto.
본 명세서에 있어서, 이미드기의 탄소수는 특별히 한정되지 않으나, 탄소수 1 내지 25인 것이 바람직하다. 구체적으로 하기와 같은 구조의 화합물이 될 수 있으나, 이에 한정되는 것은 아니다.In the present specification, the number of carbon atoms of the imide group is not particularly limited, but it is preferably 1 to 25 carbon atoms. Specifically, it may be a compound having the following structure, but is not limited thereto.
본 명세서에 있어서, 실릴기는 구체적으로 트리메틸실릴기, 트리에틸실릴기, t-부틸디메틸실릴기, 비닐디메틸실릴기, 프로필디메틸실릴기, 트리페닐실릴기, 디페닐실릴기, 페닐실릴기 등이 있으나 이에 한정되지 않는다. In the present specification, the silyl group is specifically trimethylsilyl group, triethylsilyl group, t-butyldimethylsilyl group, vinyldimethylsilyl group, propyldimethylsilyl group, triphenylsilyl group, diphenylsilyl group, phenylsilyl group, etc. However, it is not limited thereto.
본 명세서에 있어서, 붕소기는 구체적으로 트리메틸붕소기, 트리에틸붕소기, t-부틸디메틸붕소기, 트리페닐붕소기, 페닐붕소기 등이 있으나 이에 한정되지 않는다.In the present specification, the boron group specifically includes a trimethyl boron group, a triethyl boron group, a t-butyldimethyl boron group, a triphenyl boron group, a phenyl boron group, and the like, but is not limited thereto.
본 명세서에 있어서, 할로겐기의 예로는 불소, 염소, 브롬 또는 요오드가 있다.In the present specification, examples of the halogen group include fluorine, chlorine, bromine or iodine.
본 명세서에 있어서, 상기 알킬기는 직쇄 또는 분지쇄일 수 있고, 탄소수는 특별히 한정되지 않으나 1 내지 40인 것이 바람직하다. 일 실시상태에 따르면, 상기 알킬기의 탄소수는 1 내지 20이다. 또 하나의 실시상태에 따르면, 상기 알킬기의 탄소수는 1 내지 10이다. 또 하나의 실시상태에 따르면, 상기 알킬기의 탄소수는 1 내지 6이다. 알킬기의 구체적인 예로는 메틸, 에틸, 프로필, n-프로필, 이소프로필, 부틸, n-부틸, 이소부틸, tert-부틸, sec-부틸, 1-메틸-부틸, 1-에틸-부틸, 펜틸, n-펜틸, 이소펜틸, 네오펜틸, tert-펜틸, 헥실, n-헥실, 1-메틸펜틸, 2-메틸펜틸, 4-메틸-2-펜틸, 3,3-디메틸부틸, 2-에틸부틸, 헵틸, n-헵틸, 1-메틸헥실, 사이클로펜틸메틸, 사이클로헥틸메틸, 옥틸, n-옥틸, tert-옥틸, 1-메틸헵틸, 2-에틸헥실, 2-프로필펜틸, n-노닐, 2,2-디메틸헵틸, 1-에틸-프로필, 1,1-디메틸-프로필, 이소헥실, 2-메틸펜틸, 4-메틸헥실, 5-메틸헥실 등이 있으나, 이들에 한정되지 않는다.In the present specification, the alkyl group may be linear or branched, and the number of carbon atoms is not particularly limited, but is preferably 1 to 40. According to an exemplary embodiment, the alkyl group has 1 to 20 carbon atoms. According to another exemplary embodiment, the alkyl group has 1 to 10 carbon atoms. According to another exemplary embodiment, the alkyl group has 1 to 6 carbon atoms. Specific examples of the alkyl group include methyl, ethyl, propyl, n-propyl, isopropyl, butyl, n-butyl, isobutyl, tert-butyl, sec-butyl, 1-methyl-butyl, 1-ethyl-butyl, pentyl, n -Pentyl, isopentyl, neopentyl, tert-pentyl, hexyl, n-hexyl, 1-methylpentyl, 2-methylpentyl, 4-methyl-2-pentyl, 3,3-dimethylbutyl, 2-ethylbutyl, heptyl , n-heptyl, 1-methylhexyl, cyclopentylmethyl, cycloheptylmethyl, octyl, n-octyl, tert-octyl, 1-methylheptyl, 2-ethylhexyl, 2-propylpentyl, n-nonyl, 2,2 -Dimethylheptyl, 1-ethyl-propyl, 1,1-dimethyl-propyl, isohexyl, 2-methylpentyl, 4-methylhexyl, 5-methylhexyl, and the like, but are not limited thereto.
본 명세서에 있어서, 상기 알케닐기는 직쇄 또는 분지쇄일 수 있고, 탄소수는 특별히 한정되지 않으나, 2 내지 40인 것이 바람직하다. 일 실시상태에 따르면, 상기 알케닐기의 탄소수는 2 내지 20이다. 또 하나의 실시상태에 따르면, 상기 알케닐기의 탄소수는 2 내지 10이다. 또 하나의 실시상태에 따르면, 상기 알케닐기의 탄소수는 2 내지 6이다. 구체적인 예로는 비닐, 1-프로페닐, 이소프로페닐, 1-부테닐, 2-부테닐, 3-부테닐, 1-펜테닐, 2-펜테닐, 3-펜테닐, 3-메틸-1-부테닐, 1,3-부타디에닐, 알릴, 1-페닐비닐-1-일, 2-페닐비닐-1-일, 2,2-디페닐비닐-1-일, 2-페닐-2-(나프틸-1-일)비닐-1-일, 2,2-비스(디페닐-1-일)비닐-1-일, 스틸베닐기, 스티레닐기 등이 있으나 이들에 한정되지 않는다.In the present specification, the alkenyl group may be a linear or branched chain, and the number of carbon atoms is not particularly limited, but is preferably 2 to 40. According to an exemplary embodiment, the alkenyl group has 2 to 20 carbon atoms. According to another exemplary embodiment, the alkenyl group has 2 to 10 carbon atoms. According to another exemplary embodiment, the alkenyl group has 2 to 6 carbon atoms. Specific examples include vinyl, 1-propenyl, isopropenyl, 1-butenyl, 2-butenyl, 3-butenyl, 1-pentenyl, 2-pentenyl, 3-pentenyl, 3-methyl-1- Butenyl, 1,3-butadienyl, allyl, 1-phenylvinyl-1-yl, 2-phenylvinyl-1-yl, 2,2-diphenylvinyl-1-yl, 2-phenyl-2-( Naphthyl-1-yl)vinyl-1-yl, 2,2-bis(diphenyl-1-yl)vinyl-1-yl, stilbenyl group, styrenyl group, and the like, but are not limited thereto.
본 명세서에 있어서, 사이클로알킬기는 특별히 한정되지 않으나, 탄소수 3 내지 60인 것이 바람직하며, 일 실시상태에 따르면, 상기 사이클로알킬기의 탄소수는 3 내지 30이다. 또 하나의 실시상태에 따르면, 상기 사이클로알킬기의 탄소수는 3 내지 20이다. 또 하나의 실시상태에 따르면, 상기 사이클로알킬기의 탄소수는 3 내지 6이다. 구체적으로 사이클로프로필, 사이클로부틸, 사이클로펜틸, 3-메틸사이클로펜틸, 2,3-디메틸사이클로펜틸, 사이클로헥실, 3-메틸사이클로헥실, 4-메틸사이클로헥실, 2,3-디메틸사이클로헥실, 3,4,5-트리메틸사이클로헥실, 4-tert-부틸사이클로헥실, 사이클로헵틸, 사이클로옥틸 등이 있으나, 이에 한정되지 않는다.In the present specification, the cycloalkyl group is not particularly limited, but preferably has 3 to 60 carbon atoms, and according to an exemplary embodiment, the cycloalkyl group has 3 to 30 carbon atoms. According to another exemplary embodiment, the cycloalkyl group has 3 to 20 carbon atoms. According to another exemplary embodiment, the cycloalkyl group has 3 to 6 carbon atoms. Specifically, cyclopropyl, cyclobutyl, cyclopentyl, 3-methylcyclopentyl, 2,3-dimethylcyclopentyl, cyclohexyl, 3-methylcyclohexyl, 4-methylcyclohexyl, 2,3-dimethylcyclohexyl, 3, 4,5-trimethylcyclohexyl, 4-tert-butylcyclohexyl, cycloheptyl, cyclooctyl, and the like, but are not limited thereto.
본 명세서에 있어서, 아릴기는 특별히 한정되지 않으나 탄소수 6 내지 60인 것이 바람직하며, 단환식 아릴기 또는 다환식 아릴기일 수 있다. 일 실시상태에 따르면, 상기 아릴기의 탄소수는 6 내지 30이다. 일 실시상태에 따르면, 상기 아릴기의 탄소수는 6 내지 20이다. 상기 아릴기가 단환식 아릴기로는 페닐기, 비페닐이기, 터페닐기 등이 될 수 있으나, 이에 한정되는 것은 아니다. 상기 다환식 아릴기로는 나프틸기, 안트라세닐기, 페난쓰레닐기, 파이레닐기, 페릴레닐기, 크라이세닐기, 플루오레닐기 등이 될 수 있으나, 이에 한정되는 것은 아니다.In the present specification, the aryl group is not particularly limited, but is preferably 6 to 60 carbon atoms, and may be a monocyclic aryl group or a polycyclic aryl group. According to an exemplary embodiment, the aryl group has 6 to 30 carbon atoms. According to an exemplary embodiment, the aryl group has 6 to 20 carbon atoms. The aryl group may be a monocyclic aryl group such as a phenyl group, a biphenyl group, or a terphenyl group, but is not limited thereto. The polycyclic aryl group may be a naphthyl group, an anthracenyl group, a phenanthrenyl group, a pyrenyl group, a perylenyl group, a chrysenyl group, a fluorenyl group, and the like, but is not limited thereto.
본 명세서에 있어서, 플루오레닐기는 치환될 수 있고, 치환기 2개가 서로 결합하여 스피로 구조를 형성할 수 있다. 상기 플루오레닐기가 치환되는 경우, 등이 될 수 있다. 다만, 이에 한정되는 것은 아니다.In the present specification, the fluorenyl group may be substituted, and two substituents may be bonded to each other to form a spiro structure. When the fluorenyl group is substituted, Can be, etc. However, it is not limited thereto.
본 명세서에 있어서, 헤테로아릴은 이종 원소로 O, N, Si 및 S 중 1개 이상을 포함하는 헤테로아릴로서, 탄소수는 특별히 한정되지 않으나, 탄소수 2 내지 60인 것이 바람직하다. 헤테로아릴의 예로는 잔텐(xanthene), 티오잔텐(thioxanthen), 티오펜기, 퓨란기, 피롤기, 이미다졸기, 티아졸기, 옥사졸기, 옥사디아졸기, 트리아졸기, 피리딜기, 비피리딜기, 피리미딜기, 트리아진기, 아크리딜기, 피리다진기, 피라지닐기, 퀴놀리닐기, 퀴나졸린기, 퀴녹살리닐기, 프탈라지닐기, 피리도 피리미디닐기, 피리도 피라지닐기, 피라지노 피라지닐기, 이소퀴놀린기, 인돌기, 카바졸기, 벤즈옥사졸기, 벤조이미다졸기, 벤조티아졸기, 벤조카바졸기, 벤조티오펜기, 디벤조티오펜기, 벤조퓨라닐기, 페난쓰롤린기(phenanthroline), 이소옥사졸릴기, 티아디아졸릴기, 페노티아지닐기 및 디벤조퓨라닐기 등이 있으나, 이들에만 한정되는 것은 아니다.In the present specification, heteroaryl is a heteroaryl containing at least one of O, N, Si, and S as a heterogeneous element, and the number of carbon atoms is not particularly limited, but it is preferably 2 to 60 carbon atoms. Examples of heteroaryl include xanthene, thioxanthen, thiophene group, furan group, pyrrole group, imidazole group, thiazole group, oxazole group, oxadiazole group, triazole group, pyridyl group, bipyridyl group, Pyrimidyl group, triazine group, acridyl group, pyridazine group, pyrazinyl group, quinolinyl group, quinazoline group, quinoxalinyl group, phthalazinyl group, pyrido pyrimidinyl group, pyrido pyrazinyl group, pyrazino Pyrazinyl group, isoquinoline group, indole group, carbazole group, benzoxazole group, benzoimidazole group, benzothiazole group, benzocarbazole group, benzothiophene group, dibenzothiophene group, benzofuranyl group, phenanthroline group ( phenanthroline), isoxazolyl group, thiadiazolyl group, phenothiazinyl group, and dibenzofuranyl group, but are not limited thereto.
본 명세서에 있어서, 방향족 고리는 고리 형성 원자로서 탄소만을 포함하면서 분자 전체가 방향족성(aromaticity)을 갖는 축합단환 또는 축합다환 고리를 의미한다. 상기 방향족 고리의 탄소수는 6 내지 60, 또는 6 내지 30, 또는 6 내지 20이나, 이에 한정되는 것은 아니다. 또한, 상기 방향족 고리로는 벤젠 고리, 나프탈렌 고리, 안트라센 고리, 페난쓰렌 고리, 파이렌 고리 등이 될 수 있으나, 이에 한정되는 것은 아니다.In the present specification, the aromatic ring refers to a condensed monocyclic or condensed polycyclic ring including only carbon as a ring-forming atom and having aromaticity in the entire molecule. The number of carbon atoms in the aromatic ring is 6 to 60, or 6 to 30, or 6 to 20, but is not limited thereto. In addition, the aromatic ring may be a benzene ring, a naphthalene ring, an anthracene ring, a phenanthrene ring, or a pyrene ring, but is not limited thereto.
본 명세서에 있어서, 아르알킬기, 아르알케닐기, 알킬아릴기, 아릴아민기, 아릴실릴기 중의 아릴기는 전술한 아릴기의 예시와 같다. 본 명세서에 있어서, 아르알킬기, 알킬아릴기, 알킬아민기 중 알킬기는 전술한 알킬기의 예시와 같다. 본 명세서에 있어서, 헤테로아릴아민 중 헤테로아릴은 전술한 헤테로아릴에 관한 설명이 적용될 수 있다. 본 명세서에 있어서, 아르알케닐기 중 알케닐기는 전술한 알케닐기의 예시와 같다. 본 명세서에 있어서, 아릴렌은 2가기인 것을 제외하고는 전술한 아릴기에 관한 설명이 적용될 수 있다. 본 명세서에 있어서, 헤테로아릴렌은 2가기인 것을 제외하고는 전술한 헤테로아릴에 관한 설명이 적용될 수 있다. 본 명세서에 있어서, 탄화수소 고리는 1가기가 아니고, 2개의 치환기가 결합하여 형성한 것을 제외하고는 전술한 아릴기 또는 사이클로알킬기에 관한 설명이 적용될 수 있다. 본 명세서에 있어서, 헤테로고리는 1가기가 아니고, 2개의 치환기가 결합하여 형성한 것을 제외하고는 전술한 헤테로아릴에 관한 설명이 적용될 수 있다.In the present specification, an aryl group in an aralkyl group, an aralkenyl group, an alkylaryl group, an arylamine group, and an arylsilyl group is the same as the example of the aryl group described above. In the present specification, the alkyl group among the aralkyl group, the alkylaryl group and the alkylamine group is the same as the example of the aforementioned alkyl group. In the present specification, the heteroaryl among the heteroarylamines may be described above for heteroaryl. In the present specification, the alkenyl group of the aralkenyl group is the same as the example of the alkenyl group described above. In the present specification, the description of the aryl group described above may be applied except that the arylene is a divalent group. In the present specification, the description of the above-described heteroaryl may be applied except that the heteroarylene is a divalent group. In the present specification, the hydrocarbon ring is not a monovalent group, and the description of the aryl group or cycloalkyl group described above may be applied except that the hydrocarbon ring is formed by bonding of two substituents. In the present specification, the heteroaryl is not a monovalent group, and the description of the above-described heteroaryl may be applied except that the heterocycle is formed by bonding of two substituents.
본 명세서에 있어서, 용어 “광경화성기” 또는 “열경화성기”는 열 및/또는 광에 노출시 화합물 간에 가교를 시킬 수 있는 반응성 치환기를 의미한다. 상기 반응성 치환기는 일반적으로 탄소-탄소 다중 결합 또는 환형 구조를 포함하나, 이에 한정되는 것은 아니다. 이때, 화합물간의 가교는, 상기 광경화성기 또는 열경화성기의 탄소-탄소 다중 결합 또는 환형 구조가 열처리 및/또는 광처리(광조사)에 의해 분해되면서 생성된 라디칼들이 서로 연결되어 이루어질 수 있다.In the present specification, the term “photocurable group” or “thermosetting group” refers to a reactive substituent capable of crosslinking compounds when exposed to heat and/or light. The reactive substituent generally includes a carbon-carbon multiple bond or a cyclic structure, but is not limited thereto. In this case, the crosslinking between compounds may be achieved by connecting radicals generated by decomposition of the photocurable group or the carbon-carbon multiple bond or cyclic structure of the photocurable group or the thermosetting group by heat treatment and/or light treatment (light irradiation).
본 명세서에 있어서, 용어 “경화물”은 분자 내 광경화성기 또는 열경화성기가 열처리 및/또는 광처리(광조사)에 의해 서로 가교되어 형성된, 경화된 형태의 물질을 의미한다. In the present specification, the term “cured product” refers to a material in a cured form formed by crosslinking each other by heat treatment and/or light treatment (light irradiation) with a photocurable group or a thermosetting group in a molecule.
본 명세서에 있어서, 용어 "중수소화된 또는 중수소로 치환된"이란, 각 화학식에서 적어도 하나의 이용가능한 수소가 중수소로 치환된 것을 의미한다. 구체적으로, 각 화학식 또는 치환기의 정의에서 중수소로 치환된다는 것은, 분자 내 수소가 결합될 수 있는 위치 중 적어도 하나 이상이 중수소로 치환되는 것을 의미한다. 일례로, 중수소화된 또는 중수소로 치환된 화합물이라 함은 각 화학식에서 적어도 20%, 적어도 30%, 적어도 40%, 적어도 50%, 적어도 60%, 적어도 70%, 적어도 80%, 적어도 90%. 또는 적어도 100% 중수소화된 것을 일컫는다.In the present specification, the term "deuterated or substituted with deuterium" means that at least one usable hydrogen in each chemical formula is substituted with deuterium. Specifically, to be substituted with deuterium in the definition of each chemical formula or substituent means that at least one of the positions at which hydrogen can be bonded in the molecule is substituted with deuterium. In one example, deuterated or deuterated compounds are referred to as at least 20%, at least 30%, at least 40%, at least 50%, at least 60%, at least 70%, at least 80%, at least 90% in each formula. Or at least 100% deuterated.
또한, 본 명세서 있어서, 중수소로 치환된 정도는 각 화학식에 존재할 수 있는 수소의 총 개수 대비 치환된 중수소의 개수의 백분율로 측정될 수 있다. 보다 구체적으로, 이러한 중수소로 치환된 정도는 화학식 내 존재할 수 있는 수소의 총 개수 대비 치환된 중수소의 개수로 계산되며, 이때 치환된 중수소의 개수는 MALDI-TOF MS(Matrix-Assisted Laser Desorption/ Ionization Time-of-Flight Mass Spectrometer) 분석을 통해 구해질 수 있다.In addition, in the present specification, the degree of substitution with deuterium may be measured as a percentage of the number of substituted deuterium relative to the total number of hydrogens that may exist in each chemical formula. More specifically, the degree of substitution with deuterium is calculated as the number of substituted deuterium relative to the total number of hydrogens that may exist in the formula, and the number of substituted deuterium is MALDI-TOF MS (Matrix-Assisted Laser Desorption/Ionization Time). -of-Flight Mass Spectrometer) analysis.
(양극 및 음극)(Positive and negative)
본 발명에 따른 유기 발광 소자는 양극 및 음극을 포함한다. The organic light-emitting device according to the present invention includes an anode and a cathode.
상기 양극 물질로는 통상 유기물층으로 정공 주입이 원활할 수 있도록 일함수가 큰 물질이 바람직하다. 상기 양극 물질의 구체적인 예로는 바나듐, 크롬, 구리, 아연, 금과 같은 금속 또는 이들의 합금; 아연 산화물, 인듐 산화물, 인듐주석 산화물(ITO), 인듐아연 산화물(IZO)과 같은 금속 산화물; ZnO:Al 또는 SnO2:Sb와 같은 금속과 산화물의 조합; 폴리(3-메틸티오펜), 폴리[3,4-(에틸렌-1,2-디옥시)티오펜](PEDOT), 폴리피롤 및 폴리아닐린과 같은 전도성 화합물 등이 있으나, 이들에만 한정되는 것은 아니다. As the anode material, a material having a large work function is preferable so that holes can be smoothly injected into the organic material layer. Specific examples of the cathode material include metals such as vanadium, chromium, copper, zinc, and gold, or alloys thereof; Metal oxides such as zinc oxide, indium oxide, indium tin oxide (ITO), and indium zinc oxide (IZO); Combinations of metals and oxides such as ZnO:Al or SnO 2 :Sb; Conductive compounds such as poly(3-methylthiophene), poly[3,4-(ethylene-1,2-dioxy)thiophene] (PEDOT), polypyrrole and polyaniline, and the like, but are not limited thereto.
상기 음극 물질로는 통상 유기물층으로 전자 주입이 용이하도록 일함수가 작은 물질인 것이 바람직하다. 상기 음극 물질의 구체적인 예로는 마그네슘, 칼슘, 나트륨, 칼륨, 티타늄, 인듐, 이트륨, 리튬, 가돌리늄, 알루미늄, 은, 주석 및 납과 같은 금속 또는 이들의 합금; LiF/Al 또는 LiO2/Al과 같은 다층 구조 물질 등이 있으나, 이들에만 한정되는 것은 아니다. It is preferable that the cathode material is a material having a small work function to facilitate electron injection into the organic material layer. Specific examples of the negative electrode material include metals such as magnesium, calcium, sodium, potassium, titanium, indium, yttrium, lithium, gadolinium, aluminum, silver, tin and lead, or alloys thereof; There are multilayered materials such as LiF/Al or LiO 2 /Al, but are not limited thereto.
(정공주입층)(Hole injection floor)
본 발명에 따른 유기 발광 소자는 양극 상에 정공주입층을 포함하며, 상기 화학식 1로 표시되는 화합물을 정공주입층의 소재로 사용하며, 구체적으로 상기 화학식 1로 표시되는 화합물의 경화물을 정공주입층으로 사용한다. The organic light-emitting device according to the present invention includes a hole injection layer on the anode, and uses the compound represented by
상기 화학식 1에서, 바람직하게는, L1은 페닐렌, 비페닐디일, 터페닐디일, 페닐나프탈렌디일, 비나프틸디일, 페난쓰렌디일, 스피로비플루오렌디일, 디메틸플루오렌디일, 디페닐플루오렌디일, 또는 테트라페닐플루오렌디일이고, 상기 L1은 비치환되거나, 또는 1개 또는 2개의 C1-10 알킬로 치환된다.In
바람직하게는, L1은 하기로 구성되는 군으로부터 선택되는 어느 하나이다:Preferably, L 1 is any one selected from the group consisting of:
..
바람직하게는, Ar1은 각각 독립적으로, 페닐, 비페닐릴, 나프틸, 페난쓰레닐, 또는 디메틸플루오레닐이고, 상기 Ar1은 비치환되거나, 또는 1개 내지 5개의 중수소, 또는 할로겐으로 치환된다.Preferably, Ar 1 is each independently phenyl, biphenylyl, naphthyl, phenanthrenyl, or dimethylfluorenyl, and Ar 1 is unsubstituted, or 1 to 5 deuterium, or halogen Is substituted.
바람직하게는, Ar2는 각각 독립적으로, 페닐, 비페닐릴, 또는 나프틸이고, 상기 Ar2는 비치환되거나, 또는 -R; 1개 내지 5개의 중수소; 1개 또는 2개의 C1-10 알킬; 1개 내지 5개의 할로겐; C1-10 알콕시; C1-10 알콕시로 치환된 C1-10 알콕시; C1-10 할로알킬; 또는 페녹시로 치환되고, 상기 R의 정의는 앞서 정의한 바와 같다. Preferably, Ar 2 is each independently phenyl, biphenylyl, or naphthyl, and Ar 2 is unsubstituted or -R; 1 to 5 deuterium; 1 or 2 C 1-10 alkyl; 1 to 5 halogens; C 1-10 alkoxy; C 1-10 alkoxy substituted with C 1-10 alkoxy; C 1-10 haloalkyl; Or it is substituted with phenoxy, and the definition of R is as defined above.
바람직하게는, L2는 각각 독립적으로, 단일 결합, 부틸렌, 펜틸렌, 헥실렌, 헵틸렌, 또는 페닐렌이다.Preferably, each L 2 is independently a single bond, butylene, pentylene, hexylene, heptylene, or phenylene.
바람직하게는, n은 1이고, R1은 각각 독립적으로 수소, 또는 페닐이다. Preferably, n is 1 and each R 1 is independently hydrogen or phenyl.
바람직하게는, R은 -L3-R2이고, L3는 단일 결합, -O-, -S-, -CH2-, -CH2O-, -OCH2-, -CH2OCH2-, -CH2S-, -SCH2-, 또는 -CH2SCH2-이고, R2는 하기로 구성되는 군으로부터 선택되는 어느 하나이다:Preferably, R is -L 3 -R 2 , and L 3 is a single bond, -O-, -S-, -CH 2 -, -CH 2 O-, -OCH 2 -, -CH 2 OCH 2- , -CH 2 S-, -SCH 2 -, or -CH 2 SCH 2 -, and R 2 is any one selected from the group consisting of:
상기 화학식 1로 표시되는 화합물의 대표적인 예는 하기와 같다:Representative examples of the compound represented by
..
이러한 상기 화학식 1로 표시되는 화합물은 적어도 10% 중수소화될 수 있다. 바람직하게는, 상기 화학식 1로 표시되는 화합물은 적어도 20%, 적어도 30%, 적어도 40%, 적어도 50%, 적어도 60%, 적어도 70%, 적어도 80%, 적어도 90%, 또는 100% 중수소화될 수 있다. The compound represented by
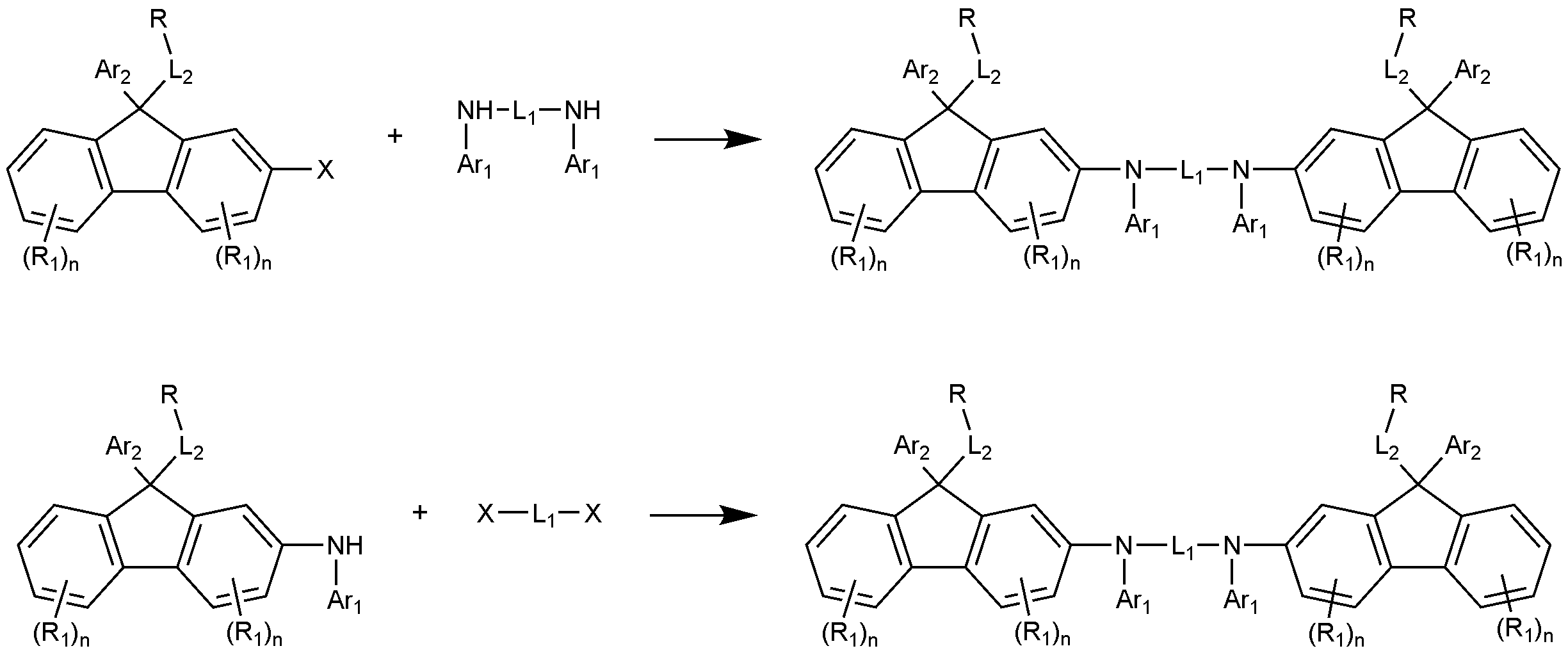
또한, 본 발명은 하기 반응식 1과 같은 상기 화학식 1로 표시되는 화합물의 제조 방법을 제공한다:In addition, the present invention provides a method for preparing a compound represented by
[반응식 1][Scheme 1]
상기 반응식 1에서, X를 제외한 나머지는 앞서 정의한 바와 같고, X는 할로겐이고 보다 바람직하게는 브로모, 또는 클로로이다. 상기 반응은 아민 치환 반응으로서, 팔라듐 촉매와 염기 존재하에 수행하는 것이 바람직하며, 아민 치환 반응을 위한 반응기는 당업계에 알려진 바에 따라 변경이 가능하다. 상기 제조 방법은 후술할 제조예에서 보다 구체화될 수 있다. In
또한, 본 발명에 따른 정공주입층은 하기 화학식 3으로 표시되는 화합물을 추가로 포함할 수 있다:In addition, the hole injection layer according to the present invention may further include a compound represented by the following formula (3):
[화학식 3][Formula 3]
상기 화학식 3에서, In
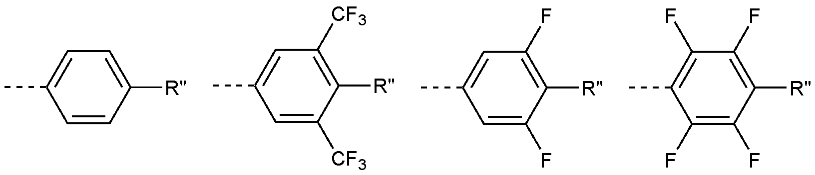
n1 및 n2는 각각 독립적으로 1 내지 3의 정수이고, 단 n1+n2는 4이고, n1 and n2 are each independently an integer of 1 to 3, provided that n1+n2 is 4,
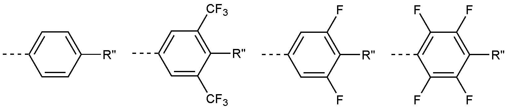
Ar"1은 이고, Ar" 1 is ego,
R"은 광경화성기; 또는 열경화성기이고, R" is a photocurable group; or a thermosetting group,
R"1은 각각 독립적으로, 수소, 할로겐, 또는 C1-60 할로알킬이고,Each R" 1 is independently hydrogen, halogen, or C 1-60 haloalkyl,
n3은 1 내지 4의 정수이고, n3 is an integer from 1 to 4,
Ar"2는 이고,Ar" 2 is ego,
R"2는 각각 독립적으로, 수소, 할로겐, C1-60 할로알킬, 광경화성기, 또는 열경화성기이고,Each R" 2 is independently hydrogen, halogen, C 1-60 haloalkyl, a photocurable group, or a thermosetting group,
n4는 1 내지 5의 정수이다. n4 is an integer from 1 to 5.
바람직하게는, R"의 광경화성기; 또는 열경화성기는, 앞서 화학식 1에서 정의한 R의 내용을 적용할 수 있다. Preferably, the photocurable group of R"; or the thermosetting group, the content of R defined in
바람직하게는, R"1은 각각 독립적으로, 수소, 플루오로, 또는 CF3이다.Preferably, each R" 1 is independently hydrogen, fluoro, or CF 3 .
바람직하게는, Ar"1은 하기로 구성되는 군으로부터 선택되는 어느 하나이다:Preferably, Ar" 1 is any one selected from the group consisting of:
상기에서, R"은 앞서 정의한 바와 같다.In the above, R" is as defined above.
바람직하게는, R"2는 각각 독립적으로, 수소, 플루오로, CF3, CF(CF3)2, CF2CF2CF2CF3, 광경화성기, 또는 열경화성기이다. 이때 상기 광경화성기; 또는 열경화성기는, 앞서 화학식 1에서 정의한 R의 내용을 적용할 수 있다. Preferably, R" 2 is each independently hydrogen, fluoro, CF 3 , CF(CF 3 ) 2 , CF 2 CF 2 CF 2 CF 3 , a photocurable group, or a thermosetting group. Or, the content of R defined in
바람직하게는, Ar"2는 하기로 구성되는 군으로부터 선택되는 어느 하나이다:Preferably, Ar" 2 is any one selected from the group consisting of:
상기에서, R"은 앞서 정의한 바와 같다.In the above, R" is as defined above.
상기 화학식 3으로 표시되는 화합물의 대표적인 예는 하기와 같다: Representative examples of the compound represented by
상기에서, Above,
n1 및 n2는 상기 화학식 3에서 정의한 바와 같다.n1 and n2 are as defined in
이러한, 상기 화학식 3으로 표시되는 화합물은 적어도 10% 중수소화될 수 있다. 또는 상기 화학식 3으로 표시되는 화합물은 적어도 20%, 적어도 30%, 적어도 40%, 적어도 50%, 적어도 60%, 적어도 70%, 적어도 80%, 적어도 90%, 또는 100% 중수소화될 수 있다. Such, the compound represented by
또한, 본 발명에 따른 정공주입층은 상기 화학식 3으로 표시되는 화합물과 함께, 양이온성 화합물을 추가로 포함할 수 있다. 즉, 상기 정공주입층은 상기 화학식 3으로 표시되는 음이온성 화합물 및 상기 양이온성 화합물이 이온 결합된 이온성 화합물을 포함할 수 있다. In addition, the hole injection layer according to the present invention may further include a cationic compound in addition to the compound represented by
상기 양이온성 화합물의 예는 하기와 같다.Examples of the cationic compound are as follows.
이러한 이온성 화합물은 적어도 10% 중수소화될 수 있다. 바람직하게는, 상기 이온성 화합물은 적어도 20%, 적어도 30%, 적어도 40%, 적어도 50%, 적어도 60%, 적어도 70%, 적어도 80%, 적어도 90%, 또는 100% 중수소화될 수 있다. These ionic compounds may be at least 10% deuterated. Preferably, the ionic compound may be at least 20%, at least 30%, at least 40%, at least 50%, at least 60%, at least 70%, at least 80%, at least 90%, or 100% deuterated.
한편, 본 발명에 따른 정공주입층의 형성 방법은 상기 화학식 1로 표시되는 화합물(또는 상기 화학식 3으로 표시되는 화합물 및/또는 양이온성 화합물과 함께)을 열처리 또는 광처리하여 경화물을 제조하는 것이며, 이에 대해서는 후술하기로 한다. Meanwhile, the method of forming the hole injection layer according to the present invention is to prepare a cured product by heat treatment or light treatment of the compound represented by Formula 1 (or with the compound represented by
(정공수송층)(Hole transport layer)
본 발명에 따른 유기 발광 소자는 정공주입층과 발광층 사이에 정공수송층을 포함하며, 상기 화학식 2로 표시되는 반복단위를 포함하는 고분자를 정공수송층의 소재로 사용한다. The organic light-emitting device according to the present invention includes a hole transport layer between the hole injection layer and the light-emitting layer, and uses a polymer containing a repeating unit represented by
구체적으로, 상기 화학식 2로 표시되는 반복단위를 포함하는 고분자는, 주쇄에 연결된 페닐기와 아미노기가 스피로비플루오렌 구조로 연결되어, 입체 장애가 최소화되어 용매 직교성(solvent orthogonality)이 향상될 수 있다. 이에 따라, 상기 고분자를 이용하여 형성된 박막은 안정성이 우수하고, 타 용매에 대한 용해성을 갖지 않아, 고효율 및 장수명을 나타내는 유기 발광 소자의 구현을 가능케 한다. 따라서, 상기 화학식 2로 표시되는 반복단위를 포함하는 고분자는 용액 공정에 의한 유기 발광 소자의 제조에 적합하다. Specifically, in the polymer including the repeating unit represented by
바람직하게는, L'는 단일결합; 치환 또는 비치환된 페닐렌; 치환 또는 비치환된 비페닐디일; 치환 또는 비치환된 나프틸렌; 치환 또는 비치환된 플루오렌디일; 또는 치환 또는 비치환된 카바졸일렌이다.Preferably, L'is a single bond; Substituted or unsubstituted phenylene; Substituted or unsubstituted biphenyldiyl; Substituted or unsubstituted naphthylene; Substituted or unsubstituted fluorenediyl; Or substituted or unsubstituted carbazolylene.
보다 바람직하게는, L'는 단일결합, 페닐렌, 비페닐디일, 나프틸렌, 플루오렌디일, 또는 카바졸일렌이고, 상기 L'는 비치환되거나, 또는 1개 또는 2개의 C1-10 알킬; 또는 C6-20 아릴로 치환된다.More preferably, L'is a single bond, phenylene, biphenyldiyl, naphthylene, fluorenediyl, or carbazolylene, and L'is unsubstituted or 1 or 2 C 1-10 alkyl ; Or C 6-20 aryl.
예를 들어, L'는 단일결합, 페닐렌, 비페닐디일, 나프틸렌, 플루오렌디일, 9,9-디메틸-9H-플루오렌디일, 카바졸일렌, 또는 9-페닐-9H-카바졸일이다. For example, L'is a single bond, phenylene, biphenyldiyl, naphthylene, fluorenediyl, 9,9-dimethyl-9H-fluorenediyl, carbazolylene, or 9-phenyl-9H-carbazolyl. .
바람직하게는, m은 1, 2, 또는 3이다. Preferably, m is 1, 2, or 3.
바람직하게는, -(L')m-는 단일결합, 또는 하기로 구성되는 군으로부터 선택되는 어느 하나이다:Preferably, -(L') m -is a single bond, or any one selected from the group consisting of:
바람직하게는, L'1 및 L'2는 각각 독립적으로, 단일결합, 페닐렌, 또는 9,9-디메틸-9H-플루오렌디일이다.Preferably, L' 1 and L' 2 are each independently a single bond, phenylene, or 9,9-dimethyl-9H-fluorenediyl.
보다 바람직하게는, L'1 및 L'2는 각각 독립적으로, 단일결합, 1,4-페닐렌, 1,3-페닐렌, 또는 이다.More preferably, L' 1 and L' 2 are each independently a single bond, 1,4-phenylene, 1,3-phenylene, or to be.
예를 들어, L'1 및 L'2 모두가 단일결합이거나; L'1 및 L'2 중 하나는 단일결합이고, 나머지는 1,4-페닐렌이거나; L'1 및 L'2 중 하나는 단일결합이고, 나머지는 1,3-페닐렌이거나; 또는 L'1 및 L'2 중 하나는 단일결합이고, 나머지는 이다.For example, both L' 1 and L' 2 are single bonds; One of L' 1 and L' 2 is a single bond, and the other is 1,4-phenylene; One of L' 1 and L' 2 is a single bond, and the other is 1,3-phenylene; Or one of L'1 and L' 2 is a single bond, and the rest to be.
바람직하게는, Ar'1 및 Ar'2는 각각 독립적으로, 페닐, 비페닐릴, 플루오레닐, 카바졸일, 또는 디벤조퓨라닐이고, 상기 Ar'1 및 Ar'2는 비치환되거나, 또는 1개 또는 2개의 C1-10 알킬; C6-20 아릴; 또는 C1-4 알콕시기로 치환된 C6-20 아릴로 치환된다.Preferably, Ar' 1 and Ar' 2 are each independently phenyl, biphenylyl, fluorenyl, carbazolyl, or dibenzofuranyl, and Ar' 1 and Ar' 2 are unsubstituted, or 1 or 2 C 1-10 alkyl; C 6-20 aryl; Or it is substituted with C 6-20 aryl substituted with a C 1-4 alkoxy group.
예를 들어, Ar'1 및 Ar'2는 각각 독립적으로, 페닐, 비페닐릴, 9,9-디메틸-9H-플루오레닐, 9-페닐-9H-카바졸일, 9-(4-메톡시페닐)-9H-카바졸일, 또는 디벤조퓨라닐이다. For example, Ar' 1 and Ar' 2 are each independently, phenyl, biphenylyl, 9,9-dimethyl-9H-fluorenyl, 9-phenyl-9H-carbazolyl, 9-(4-methoxy Phenyl)-9H-carbazolyl, or dibenzofuranyl.
이때, Ar'1 및 Ar'2는 서로 동일하거나 또는 상이할 수 있다.In this case, Ar' 1 and Ar' 2 may be the same as or different from each other.
또한, Ar'1 및 Ar'2 중 하나는 비페닐릴이고, 나머지 하나는 하기로 구성되는 군으로부터 선택되는 어느 하나이거나;In addition, one of Ar' 1 and Ar' 2 is biphenylyl, and the other is any one selected from the group consisting of;
Ar'1 및 Ar'2 중 하나는 9,9-디메틸-9H-플루오레닐이고, 나머지 하나는 9-페닐-9H-카바졸일이거나;One of Ar' 1 and Ar' 2 is 9,9-dimethyl-9H-fluorenyl and the other is 9-phenyl-9H-carbazolyl;
Ar'1 및 Ar'2이 디벤조퓨라닐이거나;Ar' 1 and Ar' 2 are dibenzofuranyl;
Ar'1 및 Ar'2이 9,9-디메틸-9H-플루오레닐이거나; 또는Ar' 1 and Ar' 2 are 9,9-dimethyl-9H-fluorenyl; or
Ar'1 및 Ar'2이 9-페닐-9H-카바졸일일 수 있다.Ar' 1 and Ar' 2 may be 9-phenyl-9H-carbazolyl.
이때, Ar'1 및 Ar'2이 모두 디벤조퓨라닐, 9,9-디메틸-9H-플루오레닐, 또는 모두 9-페닐-9H-카바졸일인 경우, Ar'1 및 Ar'2는 서로 동일할 수 있다.At this time, when Ar' 1 and Ar' 2 are both dibenzofuranyl, 9,9-dimethyl-9H-fluorenyl, or both 9-phenyl-9H-carbazolyl, Ar' 1 and Ar' 2 are each It can be the same.
바람직하게는, R'1 내지 R'5는 수소, 또는 중수소일 수 있다.Preferably, R '1 to R' 5 may be hydrogen, or deuterium.
에를 들어, R'1 내지 R'5는 모두 수소일 수 있다. Ereul example, R '1 to R' 5 can all be hydrogen.
또는, R'1 내지 R'5는 모두 중수소일 수 있다.Or, R '1 to R' 5 may be both heavy hydrogen.
이때, a1은 0, 1, 2, 3, 또는 4이고,At this time, a1 is 0, 1, 2, 3, or 4,
a2는 0, 1, 2, 또는 3이고,a2 is 0, 1, 2, or 3,
a3은 0, 1, 2, 3, 또는 4이고,a3 is 0, 1, 2, 3, or 4,
a4는 0, 1, 2, 3, 또는 4이고,a4 is 0, 1, 2, 3, or 4,
a5는 0, 1, 2, 또는 3이다.a5 is 0, 1, 2, or 3.
또한, R'6 내지 R'8은 각각 독립적으로, 수소 또는 메틸일 수 있다. In addition, R '6 to R' 8 may be each independently hydrogen or methyl.
바람직하게는, 상기 화학식 2로 표시되는 반복단위는 하기 화학식 2-1로 표시된다:Preferably, the repeating unit represented by
[화학식 2-1][Formula 2-1]
상기 화학식 2-1에서, In Formula 2-1,
L', L'1, L'2, Ar'1, Ar'2, R'6 내지 R'8, m 및 x는 상기 화학식 2에서 정의한 바와 같다. L ', L' 1, L '2, Ar' 1, Ar '2, R' 6 to R '8, m and x are as defined in the general formula (2).
보다 바람직하게는, 상기 화학식 2로 표시되는 반복단위는 하기 화학식 2-1-1로 표시된다:More preferably, the repeating unit represented by
[화학식 2-1-1][Formula 2-1-1]
상기 화학식 2-1-1에서, In Formula 2-1-1,
L', L'1, L'2, Ar'1, Ar'2, m 및 x는 상기 화학식 2에서 정의한 바와 같다.L', L' 1 , L' 2 , Ar' 1 , Ar' 2 , m and x are as defined in
바람직하게는, 상기 화학식 2로 표시되는 반복단위는 하기로 표시되는 반복단위로 구성되는 군으로부터 선택되는 어느 하나이다: Preferably, the repeating unit represented by
..
상기 화학식 2에서, x는 화학식 2로 표시되는 반복 단위의 반복수를 의미하는 것으로, 1 내지 10,000의 정수일 수 있다. 보다 구체적으로는, 8 이상, 10 이상, 20 이상, 또는 30 이상이면서, 3,000 이하, 1,000 이하, 500 이하, 200 이하, 또는 100 이하의 정수이다.In
바람직하게는, 상기 고분자는 상기 화학식 2로 표시되는 반복단위로만 이루어진 단일중합체(Homopolymer)이다. 이때, 상기 고분자의 말단기는 수소일 수 있다. 이와 같이, 상기 고분자가 상기 화학식 2로 표시되는 반복단위만을 포함하는 단일중합체인 경우, 다른 반복단위를 더 포함하는 공중합체에 비해 유기 발광 소자의 수명 향상 측면에서 유리할 수 있다.Preferably, the polymer is a homopolymer consisting only of repeating units represented by
바람직하게는, 상기 고분자는 수평균분자량(Mn)이 5,000 g/mol 내지 1,000,000 g/mol이다. 보다 바람직하게는 상기 고분자는 수평균분자량(Mn, g/mol)이 5,000 이상, 10,000 이상, 20,000 이상, 또는 30,000 이상이면서, 300,000 이하, 100,000 이하, 또는 80,000 이하이다.Preferably, the polymer has a number average molecular weight (Mn) of 5,000 g/mol to 1,000,000 g/mol. More preferably, the polymer has a number average molecular weight (Mn, g/mol) of 5,000 or more, 10,000 or more, 20,000 or more, or 30,000 or more, and 300,000 or less, 100,000 or less, or 80,000 or less.
바람직하게는, 상기 고분자는 중량평균분자량(Mw)이 5,000 g/mol 내지 1,000,000 g/mol이다. 보다 바람직하게는 상기 고분자는 중량평균분자량(Mw, g/mol)이 5,000 이상, 10,000 이상, 30,000 이상, 또는 40,000 이상이면서, 300,000 이하, 200,000 이하, 또는 100,000 이하이다.Preferably, the polymer has a weight average molecular weight (Mw) of 5,000 g/mol to 1,000,000 g/mol. More preferably, the polymer has a weight average molecular weight (Mw, g/mol) of 5,000 or more, 10,000 or more, 30,000 or more, or 40,000 or more, and 300,000 or less, 200,000 or less, or 100,000 or less.
바람직하게는, 상기 고분자는 1 내지 10의 분자량 분포를 갖는다. 보다 바람직하게는 상기 고분자는 1 내지 3의 분자량 분포를 가진다. 여기서, 분자량 분포는 중량평균분자량(Mw)을 수평균분자량(Mn)으로 나눈 수치, 즉 중량평균분자량(Mw)/수평균분자량(Mn)를 의미한다.Preferably, the polymer has a molecular weight distribution of 1 to 10. More preferably, the polymer has a molecular weight distribution of 1 to 3. Here, the molecular weight distribution means a value obtained by dividing the weight average molecular weight (Mw) by the number average molecular weight (Mn), that is, the weight average molecular weight (Mw)/number average molecular weight (Mn).
상기 수평균분자량(Mn) 및 중량평균분자량(Mw)은 PS Standard를 이용한 GPC로 측정할 수 있다. 구체적으로, 분자량 분석을 위하여, 컬럼으로는 PL mixed Bx2를 사용하고, 용매로는 테트라하이드로퓨란(THF) (0.45m로 필터하여 사용)을 사용할 수 있다. 이때, 시료는 100 L 주입(1 mg/mL의 시료 농도, 1.0 mL/min의 유속)하면서, 컬럼 온도는 40℃로 설정하는 것이 바람직하다. 이후, Agilent RI detector를 검출기로 사용하여, ChemStation 프로그램의 데이터 프로세싱(Data processing)을 통해 분석을 원하는 고분자의 분자량을 구할 수 있다.The number average molecular weight (Mn) and the weight average molecular weight (Mw) can be measured by GPC using PS Standard. Specifically, for molecular weight analysis, PL mixed Bx2 may be used as a column, and tetrahydrofuran (THF) (filtered with 0.45 m) may be used as a solvent. At this time, it is preferable to inject 100 L of the sample (a sample concentration of 1 mg/mL, a flow rate of 1.0 mL/min) and set the column temperature to 40°C. Thereafter, using the Agilent RI detector as a detector, the molecular weight of the polymer to be analyzed can be obtained through data processing of the ChemStation program.
이러한 고분자는 적어도 10% 중수소화될 수 있다. 바람직하게는, 상기 고분자는 적어도 20%, 적어도 30%, 적어도 40%, 적어도 50%, 적어도 60%, 적어도 70%, 적어도 80%, 적어도 90%, 또는 100% 중수소화될 수 있다. These polymers can be at least 10% deuterated. Preferably, the polymer may be at least 20%, at least 30%, at least 40%, at least 50%, at least 60%, at least 70%, at least 80%, at least 90%, or 100% deuterated.
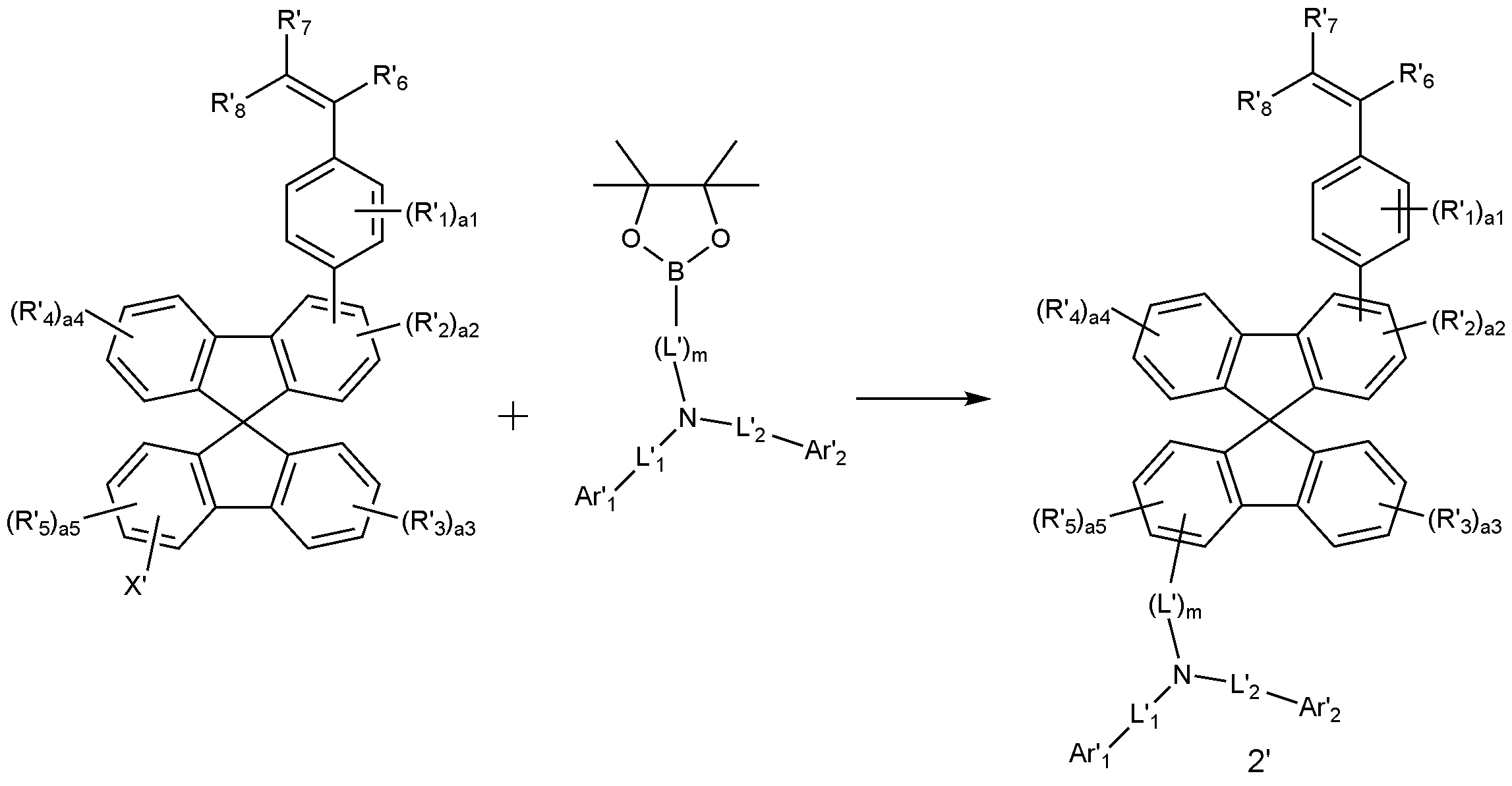
한편, 상기 화학식 2로 표시되는 반복 단위는 하기 화학식 2'로 표시되는 단량체로부터 유래된다:On the other hand, the repeating unit represented by
[화학식 2'][Formula 2']
상기 화학식 2'에서, In Formula 2',
L', L'1, L'2, Ar'1, Ar'2, R'1 내지 R'8, m 및 a1 내지 a5는 상기 화학식 2에서 정의한 바와 같다. L ', L' 1, L '2, Ar' 1, Ar '2, R' 1 to R '8, m and a1 to a5 are the same as defined in the general formula (2).
상기 화학식 2'로 표시되는 단량체는 하기 반응식 2와 같은 제조 방법으로 제조할 수 있다:The monomer represented by Chemical Formula 2'can be prepared by a preparation method such as the following Scheme 2:
[반응식 2][Scheme 2]
상기 반응식 2에서, X'을 제외한 나머지 정의는 앞서 정의한 바와 같으며, X'는 할로겐이고, 바람직하게는 브로모, 또는 클로로이다. 상기 반응식 2는 스즈키 커플링 반응에 의해 이루어지며, 반응을 위한 치환기는 당업계에 알려진 바에 따라 변경 가능하다. 상기 제조 방법은 후술할 실시예에서 보다 구체화될 수 있다.In
한편, 본 발명에 따른 정공수송층의 형성 방법은 상기 화학식 2로 표시되는 반복단위를 포함하는 고분자를 열처리 또는 광처리하여 경화물을 제조하는 것이며, 이에 대해서는 후술하기로 한다. Meanwhile, in the method of forming the hole transport layer according to the present invention, a cured product is prepared by heat treatment or light treatment of a polymer containing a repeating unit represented by
(발광층)(Luminescent layer)
상기 발광층은 호스트 재료 및 도펀트 재료를 포함할 수 있다. 호스트 재료는 축합 방향족환 유도체 또는 헤테로환 함유 화합물 등이 있다. 구체적으로 축합 방향족환 유도체로는 안트라센 유도체, 피렌 유도체, 나프탈렌 유도체, 펜타센 유도체, 페난트렌 화합물, 플루오란텐 화합물 등이 있고, 헤테로환 함유 화합물로는 카바졸 유도체, 디벤조퓨란 유도체, 래더형 퓨란 화합물, 피리미딘 유도체 등이 있으나, 이에 한정되지 않는다. The emission layer may include a host material and a dopant material. Host materials include condensed aromatic ring derivatives or heterocyclic-containing compounds. Specifically, condensed aromatic ring derivatives include anthracene derivatives, pyrene derivatives, naphthalene derivatives, pentacene derivatives, phenanthrene compounds, and fluoranthene compounds, and heterocycle-containing compounds include carbazole derivatives, dibenzofuran derivatives, ladder type Furan compounds, pyrimidine derivatives, and the like, but are not limited thereto.
도펀트 재료로는 방향족 아민 유도체, 스트릴아민 화합물, 붕소 착체, 플루오란텐 화합물, 금속 착체 등이 있다. 구체적으로 방향족 아민 유도체로는 치환 또는 비치환된 아릴아미노기를 갖는 축합 방향족환 유도체로서, 아릴아미노기를 갖는 피렌, 안트라센, 크리센, 페리플란텐 등이 있으며, 스티릴아민 화합물로는 치환 또는 비치환된 아릴아민에 적어도 1개의 아릴비닐기가 치환되어 있는 화합물로, 아릴기, 실릴기, 알킬기, 사이클로알킬기 및 아릴아미노기로 이루어진 군에서 1 또는 2 이상 선택되는 치환기가 치환 또는 비치환된다. 구체적으로 스티릴아민, 스티릴디아민, 스티릴트리아민, 스티릴테트라아민 등이 있으나, 이에 한정되지 않는다. 또한, 금속 착체로는 이리듐 착체, 백금 착체 등이 있으나, 이에 한정되지 않는다.Dopant materials include aromatic amine derivatives, strylamine compounds, boron complexes, fluoranthene compounds, and metal complexes. Specifically, the aromatic amine derivative is a condensed aromatic ring derivative having a substituted or unsubstituted arylamino group, and includes pyrene, anthracene, chrysene, periflanthene and the like having an arylamino group, and the styrylamine compound is substituted or unsubstituted As a compound in which at least one arylvinyl group is substituted on the arylamine, one or two or more substituents selected from the group consisting of aryl group, silyl group, alkyl group, cycloalkyl group, and arylamino group are substituted or unsubstituted. Specifically, there are styrylamine, styryldiamine, styryltriamine, and styryltetraamine, but are not limited thereto. In addition, examples of the metal complex include, but are not limited to, an iridium complex and a platinum complex.
(전자수송층)(Electron transport layer)
본 발명에 따른 유기 발광 소자는 상기 발광층 상에 전자수송층을 포함할 수 있다. The organic light-emitting device according to the present invention may include an electron transport layer on the emission layer.
상기 전자수송층은 전자주입층으로부터 전자를 수취하여 발광층까지 전자를 수송하는 층으로 전자 수송 물질로는 음극으로부터 전자를 잘 주입 받아 발광층으로 옮겨줄 수 있는 물질로서, 전자에 대한 이동성이 큰 물질이 적합하다. 구체적인 예로는 8-히드록시퀴놀린의 Al 착물; Alq3를 포함한 착물; 유기 라디칼 화합물; 히드록시플라본-금속 착물 등이 있으나, 이들에만 한정되는 것은 아니다. 전자 수송층은 종래기술에 따라 사용된 바와 같이 임의의 원하는 캐소드 물질과 함께 사용할 수 있다. 특히, 적절한 캐소드 물질의 예는 낮은 일함수를 가지고 알루미늄층 또는 실버층이 뒤따르는 통상적인 물질이다. 구체적으로 세슘, 바륨, 칼슘, 이테르븀 및 사마륨이고, 각 경우 알루미늄 층 또는 실버층이 뒤따른다.The electron transport layer is a layer that receives electrons from the electron injection layer and transports electrons to the emission layer. As an electron transport material, a material capable of injecting electrons from the cathode and transferring them to the emission layer, and a material having high mobility for electrons is suitable. Do. Specific examples include Al complex of 8-hydroxyquinoline; Complexes containing Alq 3; Organic radical compounds; Hydroxyflavone-metal complexes and the like, but are not limited thereto. The electron transport layer can be used with any desired cathode material as used according to the prior art. In particular, examples of suitable cathode materials are conventional materials that have a low work function and are followed by an aluminum layer or a silver layer. Specifically, they are cesium, barium, calcium, ytterbium, and samarium, and in each case an aluminum layer or a silver layer follows.
(전자주입층)(Electron injection layer)
본 발명에 따른 유기 발광 소자는 필요에 따라 전자수송층(또는 발광층) 및 음극 사이에 전자주입층을 포함할 수 있다. The organic light emitting device according to the present invention may include an electron injection layer between an electron transport layer (or a light emitting layer) and a cathode, if necessary.
상기 전자주입층은 전극으로부터 전자를 주입하는 층으로, 전자를 수송하는 능력을 갖고, 음극으로부터의 전자 주입 효과, 발광층 또는 발광 재료에 대하여 우수한 전자주입 효과를 가지며, 발광층에서 생성된 여기자의 정공주입층에의 이동을 방지하고, 또한, 박막형성능력이 우수한 화합물이 바람직하다. 구체적으로는 플루오레논, 안트라퀴노다이메탄, 다이페노퀴논, 티오피란 다이옥사이드, 옥사졸, 옥사다이아졸, 트리아졸, 이미다졸, 페릴렌테트라카복실산, 프레오레닐리덴 메탄, 안트론 등과 그들의 유도체, 금속 착체 화합물 및 질소 함유 5원환 유도체 등이 있으나, 이에 한정되지 않는다. The electron injection layer is a layer that injects electrons from the electrode, has the ability to transport electrons, has an electron injection effect from the cathode, an excellent electron injection effect for the light emitting layer or the light emitting material, and hole injection of excitons generated in the light emitting layer A compound that prevents migration to the layer and is excellent in thin film forming ability is preferable. Specifically, fluorenone, anthraquinodimethane, diphenoquinone, thiopyran dioxide, oxazole, oxadiazole, triazole, imidazole, perylene tetracarboxylic acid, preorenylidene methane, anthrone, etc. Complex compounds and nitrogen-containing 5-membered ring derivatives, but are not limited thereto.
상기 금속 착체 화합물로서는 8-하이드록시퀴놀리나토 리튬, 비스(8-하이드록시퀴놀리나토)아연, 비스(8-하이드록시퀴놀리나토)구리, 비스(8-하이드록시퀴놀리나토)망간, 트리스(8-하이드록시퀴놀리나토)알루미늄, 트리스(2-메틸-8-하이드록시퀴놀리나토)알루미늄, 트리스(8-하이드록시퀴놀리나토)갈륨, 비스(10-하이드록시벤조[h]퀴놀리나토)베릴륨, 비스(10-하이드록시벤조[h]퀴놀리나토)아연, 비스(2-메틸-8-퀴놀리나토)클로로갈륨, 비스(2-메틸-8-퀴놀리나토)(o-크레졸라토)갈륨, 비스(2-메틸-8-퀴놀리나토)(1-나프톨라토)알루미늄, 비스(2-메틸-8-퀴놀리나토)(2-나프톨라토)갈륨 등이 있으나, 이에 한정되지 않는다.Examples of the metal complex compound include 8-hydroxyquinolinato lithium, bis(8-hydroxyquinolinato)zinc, bis(8-hydroxyquinolinato)copper, bis(8-hydroxyquinolinato)manganese, Tris(8-hydroxyquinolinato)aluminum, tris(2-methyl-8-hydroxyquinolinato)aluminum, tris(8-hydroxyquinolinato)gallium, bis(10-hydroxybenzo[h] Quinolinato)beryllium, bis(10-hydroxybenzo[h]quinolinato)zinc, bis(2-methyl-8-quinolinato)chlorogallium, bis(2-methyl-8-quinolinato)( o-cresolato)gallium, bis(2-methyl-8-quinolinato)(1-naphtholato)aluminum, bis(2-methyl-8-quinolinato)(2-naphtholato)gallium, etc. It is not limited to this.
한편, 상기 유기 발광 소자는 상기 전자수송층과 상기 전자주입층을 별개의 층으로 포함할 수 있고, 또는 전자 주입 및 수송층과 같은 하나의 층으로도 포함할 수 있다. Meanwhile, the organic light-emitting device may include the electron transport layer and the electron injection layer as separate layers, or may include a single layer such as an electron injection and transport layer.
(유기 발광 소자)(Organic Light-Emitting Element)
본 발명에 따른 유기 발광 소자는, 기판 상에 양극, 1층 이상의 유기물층 및 음극이 순차적으로 적층된 구조(normal type)의 유기 발광 소자일 수 있다. 또한, 본 발명에 따른 유기 발광 소자는 기판 상에 음극, 1층 이상의 유기물층 및 양극이 순차적으로 적층된 역방향 구조(inverted type)의 유기 발광 소자일 수 있다. 예컨대, 본 발명의 일실시예에 따른 유기 발광 소자의 구조는 도 1 및 2에 예시되어 있다.The organic light-emitting device according to the present invention may be a normal type organic light-emitting device in which an anode, one or more organic material layers, and a cathode are sequentially stacked on a substrate. In addition, the organic light-emitting device according to the present invention may be an inverted type organic light-emitting device in which a cathode, one or more organic material layers, and an anode are sequentially stacked on a substrate. For example, the structure of an organic light-emitting device according to an embodiment of the present invention is illustrated in FIGS. 1 and 2.
도 1은 기판(1), 양극(2), 정공주입층(3), 정공수송층(4), 발광층(5), 음극(6)으로 이루어진 유기 발광 소자의 예를 도시한 것이다. 이와 같은 구조에 있어서, 상기 정공주입층은 상기 화학식 1로 표시되는 화합물의 경화물을 포함하고, 상기 정공수송층은 상기 화학식 2로 표시되는 반복단위를 포함하는 고분자를 포함한다. 1 shows an example of an organic light-emitting device comprising a
도 2는 기판(1), 양극(2), 정공주입층(3), 정공수송층(4), 발광층(5), 전자수송층(7), 전자주입층(8) 및 음극(6)으로 이루어진 유기 발광 소자의 예를 도시한 것이다. 이와 같은 구조에 있어서, 상기 정공주입층은 상기 화학식 1로 표시되는 화합물의 경화물을 포함하고, 상기 정공수송층은 상기 화학식 2로 표시되는 반복단위를 포함하는 고분자를 포함한다. 이때, 전자수송층과 전자주입층은 전자 주입 및 수송층과 같은 하나의 층으로 구비될 수도 있다2 is a
본 발명에 따른 유기 발광 소자는, 상술한 소재를 사용하는 것을 제외하고는, 당 기술분야에 알려져 있는 재료와 방법으로 제조할 수 있다.The organic light-emitting device according to the present invention can be manufactured by materials and methods known in the art, except for using the above-described materials.
예컨대, 본 발명에 따른 유기 발광 소자는 기판 상에 양극, 유기물층 및 음극을 순차적으로 적층시켜 제조할 수 있다. 이때, 스퍼터링법(sputtering)이나 전자빔 증발법(e-beam evaporation)과 같은 PVD(physical Vapor Deposition) 방법을 이용하여, 기판 상에 금속 또는 전도성을 가지는 금속 산화물 또는 이들의 합금을 증착시켜 양극을 형성하고, 그 위에 정공주입층, 정공수송층, 발광층 및 전자수송층을 포함하는 유기물 층을 형성한 후, 그 위에 음극으로 사용할 수 있는 물질을 증착시켜 제조할 수 있다. For example, the organic light emitting device according to the present invention may be manufactured by sequentially laminating an anode, an organic material layer, and a cathode on a substrate. At this time, by using a PVD (physical vapor deposition) method such as sputtering or e-beam evaporation, a metal or a conductive metal oxide or an alloy thereof is deposited on the substrate to form an anode. And, after forming an organic material layer including a hole injection layer, a hole transport layer, a light emitting layer and an electron transport layer thereon, it can be prepared by depositing a material that can be used as a cathode thereon.
이와 같은 방법 외에도, 기판 상에 음극 물질로부터 유기물층, 양극 물질을 차례로 증착시켜 유기 발광 소자를 제조할 수 있다(WO 2003/012890). 다만, 제조 방법이 이에 한정되는 것은 아니다. In addition to such a method, an organic light emitting device may be manufactured by sequentially depositing an organic material layer and an anode material from a cathode material on a substrate (WO 2003/012890). However, the manufacturing method is not limited thereto.
이와 같은 방법 외에도, 기판 상에 음극 물질로부터 유기물층, 양극 물질을 차례로 증착시켜 유기 발광 소자를 제조할 수 있다(WO 2003/012890). 다만, 제조 방법이 이에 한정되는 것은 아니다. In addition to such a method, an organic light emitting device may be manufactured by sequentially depositing an organic material layer and an anode material from a cathode material on a substrate (WO 2003/012890). However, the manufacturing method is not limited thereto.
본 발명에 따른 유기 발광 소자는 사용되는 재료에 따라 전면 발광형, 후면 발광형 또는 양면 발광형일 수 있다.The organic light-emitting device according to the present invention may be a top emission type, a bottom emission type, or a double-sided emission type depending on the material used.
또한, 본 발명에 따른 화합물은 유기 발광 소자 외에도 유기 태양 전지 또는 유기 트랜지스터에 포함될 수 있다.In addition, the compound according to the present invention may be included in an organic solar cell or an organic transistor in addition to the organic light emitting device.
(코팅 조성물)(Coating composition)
한편, 본 발명에 따른 정공주입층 및 정공수송층은, 각각 용액 공정으로 형성할 수 있다. 이를 위하여, 본 발명은 상기 화학식 1로 표시되는 화합물 및 용매를 포함하는 정공주입층 형성용 코팅 조성물; 및 상기 화학식 2로 표시되는 반복단위를 포함하는 고분자 및 용매를 포함하는 정공수송층 형성용 코팅 조성물을 제공한다. Meanwhile, the hole injection layer and the hole transport layer according to the present invention may be formed by a solution process, respectively. To this end, the present invention is a coating composition for forming a hole injection layer comprising a compound represented by
상기 용매는 본 발명에 따른 화합물을 용해 또는 분산시킬 수 있는 용매이면 특별히 제한되지 않으며, 일례로 클로로포름, 염화메틸렌, 1,2-디클로로에탄, 1,1,2-트리클로로에탄, 클로로벤젠, o-디클로로벤젠 등의 염소계 용매; 테트라하이드로퓨란, 디옥산 등의 에테르계 용매; 톨루엔, 크실렌, 트리메틸벤젠, 메시틸렌 등의 방향족 탄화수소계 용매; 사이클로헥산, 메틸사이클로헥산, n-펜탄, n-헥산, n-헵탄, n-옥탄, n-노난, n-데칸 등의 지방족 탄화수소계 용매; 아세톤, 메틸에틸케톤, 사이클로헥사논 등의 케톤계 용매; 아세트산에틸, 아세트산부틸, 에틸셀로솔브아세테이트 등의 에스테르계 용매; 에틸렌글리콜, 에틸렌글리콜모노부틸에테르, 에틸렌글리콜모노에틸에테르, 에틸렌글리콜모노메틸에테르, 디메톡시에탄, 프로필렌글리콜, 디에톡시메탄, 트리에틸렌글리콜모노에틸에테르, 글리세린, 1,2-헥산디올 등의 다가 알코올 및 그의 유도체; 메탄올, 에탄올, 프로판올, 이소프로판올, 사이클로헥산올 등의 알코올계 용매; 디메틸술폭사이드 등의 술폭사이드계 용매; 및 N-메틸-2-피롤리돈, N,N-디메틸포름아미드 등의 아미드계 용매; 부틸벤조에이트, 메틸-2-메톡시벤조에이트 등의 벤조에이트계 용매; 테트랄린; 3-phenoxy-toluene 등의 용매를 들 수 있다. 또한, 상술한 용매를 1종 단독으로 사용하거나 2종 이상의 용매를 혼합하여 사용할 수 있다. The solvent is not particularly limited as long as it is a solvent capable of dissolving or dispersing the compound according to the present invention, and examples include chloroform, methylene chloride, 1,2-dichloroethane, 1,1,2-trichloroethane, chlorobenzene, o -Chlorine solvents such as dichlorobenzene; Ether solvents such as tetrahydrofuran and dioxane; Aromatic hydrocarbon solvents such as toluene, xylene, trimethylbenzene, and mesitylene; Aliphatic hydrocarbon solvents such as cyclohexane, methylcyclohexane, n-pentane, n-hexane, n-heptane, n-octane, n-nonane, and n-decane; Ketone solvents such as acetone, methyl ethyl ketone, and cyclohexanone; Ester solvents such as ethyl acetate, butyl acetate, and ethyl cellosolve acetate; Polyvalents such as ethylene glycol, ethylene glycol monobutyl ether, ethylene glycol monoethyl ether, ethylene glycol monomethyl ether, dimethoxyethane, propylene glycol, diethoxymethane, triethylene glycol monoethyl ether, glycerin, 1,2-hexanediol, etc. Alcohol and its derivatives; Alcohol solvents such as methanol, ethanol, propanol, isopropanol, and cyclohexanol; Sulfoxide solvents such as dimethyl sulfoxide; And amide solvents such as N-methyl-2-pyrrolidone and N,N-dimethylformamide; Benzoate solvents such as butyl benzoate and methyl-2-methoxybenzoate; Tetralin; Solvents, such as 3-phenoxy-toluene, are mentioned. In addition, the above-described solvent may be used alone or in combination of two or more solvents.
바람직하게는, 상기 정공주입층 형성용 코팅 조성물의 용매와 상기 정공수송층 형성용 코팅 조성물의 용매가 서로 상이하다. Preferably, the solvent of the coating composition for forming the hole injection layer and the solvent of the coating composition for forming the hole transport layer are different from each other.
또한, 상기 코팅 조성물의 점도는 각각 1 cP 내지 10 cP가 바람직하며, 상기의 범위에서 코팅이 용이하다. 또한, 상기 코팅 조성물 내 본 발명에 따른 화합물의 농도는 0.1 wt/v% 내지 20 wt/v%인 것이 바람직하다. In addition, the viscosity of the coating composition is preferably 1 cP to 10 cP, respectively, and coating is easy within the above range. In addition, it is preferable that the concentration of the compound according to the present invention in the coating composition is 0.1 wt/v% to 20 wt/v%.
또한, 상기 코팅 조성물은 열중합 개시제 및 광중합 개시제로 이루어진 군에서 선택되는 1종 또는 2종 이상의 첨가제를 추가로 포함할 수 있다.In addition, the coating composition may further include one or two or more additives selected from the group consisting of a thermal polymerization initiator and a photopolymerization initiator.
상기 열중합 개시제로, 메틸 에틸 케톤퍼옥사이드, 메틸 이소부틸 케톤퍼옥사이드, 아세틸아세톤퍼옥사이드, 메틸사이클로헥사논 퍼옥사이드, 사이클로헥사논 퍼옥사이드, 이소부티릴 퍼옥사이드, 2,4-디클로로벤조일 퍼옥사이드, 비스-3,5,5-트리메틸 헥사노일 퍼옥사이드, 라우릴 퍼옥사이드, 벤조일 퍼옥사이드 등의 과산화물, 또는 아조비스 이소부틸니트릴, 아조비스디메틸발레로니트릴, 및 아조비스 사이클로헥실 니트릴 등의 아조계가 있으나, 이에 한정되지 않는다. As the thermal polymerization initiator, methyl ethyl ketone peroxide, methyl isobutyl ketone peroxide, acetylacetone peroxide, methyl cyclohexanone peroxide, cyclohexanone peroxide, isobutyryl peroxide, 2,4-dichlorobenzoyl peroxide Peroxides such as oxide, bis-3,5,5-trimethyl hexanoyl peroxide, lauryl peroxide, and benzoyl peroxide, or azobis isobutylnitrile, azobisdimethylvaleronitrile, and azobis cyclohexyl nitrile. There is an azo system, but it is not limited thereto.
상기 광중합 개시제로, 디에톡시 아세토페논, 2,2-디메톡시-1,2-디페닐 에탄-1-온, 1-하이드록시-사이클로헥실-페닐-케톤, 4-(2-히드록시에톡시)페닐-(2-하이드록시-2-프로필) 케톤, 2-벤질-2-디메틸아미노-1-(4-모르폴리노페닐) 부타논-1,2-하이드록시-2-메틸-1-페닐 프로판-1-온, 2-메틸-2-모르폴리노(4-메틸 티오 페닐) 프로판-1-온, 1-페닐-1,2-프로판디온-2-(o-에톡시카르보닐) 옥심 등의 아세토페논계 또는 케탈계 광중합 개시제; 벤조인, 벤조인 메틸 에테르, 벤조인 에틸 에테르 등의 벤조인에테르계 광중합 개시제; 벤조페논, 4-하이드록시벤조페논, 2-벤조일나프탈렌, 4-벤조일비페닐, 4-벤조일 페닐 에테르, 등의 벤조페논계 광중합 개시제; 2-이소프로필티옥산톤, 2-클로로티옥산톤, 2,4-디메틸 티옥산톤, 2,4-디에틸티옥산톤, 2,4-디클로로티옥산톤 등의 티옥산톤계 광중합 개시제; 및 에틸 안트라퀴논, 2,4,6-트리메틸벤조일 디페닐 포스핀옥사이드, 2,4,6-트리메틸벤조일 페닐 에톡시 포스핀옥사이드, 비스(2,4,6-트리메틸벤조일) 페닐 포스핀옥사이드, 비스(2,4-디메톡시 벤조일)-2,4,4-트리메틸 펜틸포스핀 옥사이드 등의 기타 광중합 개시제가 있으나, 이에 한정되지 않는다. As the photoinitiator, diethoxy acetophenone, 2,2-dimethoxy-1,2-diphenyl ethan-1-one, 1-hydroxy-cyclohexyl-phenyl-ketone, 4-(2-hydroxyethoxy ) Phenyl-(2-hydroxy-2-propyl) ketone, 2-benzyl-2-dimethylamino-1-(4-morpholinophenyl) butanone-1,2-hydroxy-2-methyl-1- Phenyl propan-1-one, 2-methyl-2-morpholino (4-methyl thiophenyl) propan-1-one, 1-phenyl-1,2-propanedione-2-(o-ethoxycarbonyl) Acetophenone-based or ketal-based photopolymerization initiators such as oxime; Benzoin ether photopolymerization initiators such as benzoin, benzoin methyl ether, and benzoin ethyl ether; Benzophenone photopolymerization initiators such as benzophenone, 4-hydroxybenzophenone, 2-benzoylnaphthalene, 4-benzoylbiphenyl, and 4-benzoylphenyl ether; Thioxanthone photopolymerization initiators, such as 2-isopropyl thioxanthone, 2-chloro thioxanthone, 2,4-dimethyl thioxanthone, 2,4-diethyl thioxanthone, and 2,4-dichloro thioxanthone; And ethyl anthraquinone, 2,4,6-trimethylbenzoyl diphenyl phosphine oxide, 2,4,6-trimethylbenzoyl phenyl ethoxy phosphine oxide, bis(2,4,6-trimethylbenzoyl) phenyl phosphine oxide, Other photoinitiators such as bis(2,4-dimethoxy benzoyl)-2,4,4-trimethyl pentylphosphine oxide, but are not limited thereto.
또한, 광중합 촉진 효과를 가지는 것을 단독 또는 상기 광 중합개시제와 병용해 이용할 수도 있다. 예를 들면, 트리에탄올아민, 메틸디에탄올아민, 4-디메틸아미노안식향산 에틸, 4-디메틸아미노 안식향산 이소아밀, 안식향산(2-디메틸아미노) 에틸, 4,4'-디메틸아미노벤조페논 등이 있으나, 이에 한정되지 않는다. Moreover, what has a photopolymerization accelerating effect can also be used individually or in combination with the said photoinitiator. For example, triethanolamine, methyldiethanolamine, ethyl 4-dimethylaminobenzoate, isoamyl 4-dimethylaminobenzoate, ethyl benzoic acid (2-dimethylamino), 4,4'-dimethylaminobenzophenone, etc. Not limited.
또한, 본 발명은 상술한 코팅 조성물을 사용하여 정공주입층 및 정공주입층을 형성하는 방법을 제공한다. 구체적으로, 양극 상에, 상술한 정공주입층 형성용 코팅 조성물을 용액 공정으로 코팅하는 단계; 및 상기 코팅된 정공주입층 형성용 코팅 조성물을 열처리 또는 광처리하는 단계를 포함한다. 또한, 상기 정공주입층 상에, 상술한 정공수송층 형성용 코팅 조성물을 용액 공정으로 코팅하는 단계; 및 상기 코팅된 정공수송층 형성용 코팅 조성물을 열처리 또는 광처리하는 단계를 포함한다.In addition, the present invention provides a method of forming a hole injection layer and a hole injection layer using the above-described coating composition. Specifically, coating the above-described hole injection layer-forming coating composition on the anode by a solution process; And heat-treating or light-treating the coated coating composition for forming the hole injection layer. In addition, coating the coating composition for forming the hole transport layer on the hole injection layer by a solution process; And heat-treating or light-treating the coated coating composition for forming the hole transport layer.
상기 용액 공정은 상술한 본 발명에 따른 코팅 조성물을 사용하는 것으로, 스핀 코팅, 딥코팅, 닥터 블레이딩, 잉크젯 프린팅, 스크린 프린팅, 스프레이법, 롤 코팅 등을 의미하지만, 이들만으로 한정되는 것은 아니다.The solution process is to use the coating composition according to the present invention described above, and means spin coating, dip coating, doctor blading, ink jet printing, screen printing, spray method, roll coating, etc., but is not limited thereto.
상기 코팅된 정공주입층 형성용 코팅 조성물의 열처리 단계에서 열처리 온도는 150 내지 230℃가 바람직하다. 또한, 상기 열처리 시간은 1분 내지 3시간이고, 보다 바람직하게는 10분 내지 1시간이다. 또한, 상기 열처리는 아르곤, 질소 등의 불활성 기체 분위기에서 수행하는 것이 바람직하다. 또한, 상기 코팅 단계와 상기 열처리 또는 광처리 단계 사이에 용매를 증발시키는 단계를 추가로 포함할 수 있다. In the heat treatment step of the coating composition for forming the hole injection layer, the heat treatment temperature is preferably 150 to 230°C. In addition, the heat treatment time is 1 minute to 3 hours, more preferably 10 minutes to 1 hour. In addition, the heat treatment is preferably performed in an inert gas atmosphere such as argon or nitrogen. In addition, it may further include evaporating the solvent between the coating step and the heat treatment or light treatment step.
또한, 상기 코팅된 정공수송층 형성용 코팅 조성물의 열처리 단계에서 열처리 온도는 180 도 이하, 바람직하게는 100 내지 180도, 보다 바람직하게는 150 내지 170 도가 바람직하다. 또한, 상기 열처리 시간은 1분 내지 3시간이고, 보다 바람직하게는 10분 내지 90분이다. 또한, 상기 열처리는 아르곤, 질소 등의 불활성 기체 분위기에서 수행하는 것이 바람직하다. 또한, 상기 코팅 단계와 상기 열처리 또는 광처리 단계 사이에 용매를 증발시키는 단계를 추가로 포함할 수 있다In addition, the heat treatment temperature in the heat treatment step of the coating composition for forming the hole transport layer is preferably 180 degrees or less, preferably 100 to 180 degrees, more preferably 150 to 170 degrees. In addition, the heat treatment time is 1 minute to 3 hours, more preferably 10 minutes to 90 minutes. In addition, the heat treatment is preferably performed in an inert gas atmosphere such as argon or nitrogen. In addition, it may further include evaporating the solvent between the coating step and the heat treatment or light treatment step.
또한, 상술한 방법으로 형성된 정공수송층은, 상기 열처리 또는 광조사 단계를 통하여 코팅 조성물에 포함된 복수 개의 고분자들이 가교 후 완전히 경화될 수 있어 안정된 박막 구조를 갖는다. 따라서, 상기 정공수송층 상에 용액 공정으로 다른 층을 형성하더라도 사용되는 용매에 의해 용해되거나, 형태학적으로 영향을 받아 분해되는 것을 방지할 수 있다. 이에 따라, 용액 공정을 통해 복수의 층을 형성하는 것이 가능하고, 형성된 층들의 안정성이 증가하여 제조된 유기 발광 소자의 수명 특성이 개선될 수 있다.In addition, the hole transport layer formed by the above-described method has a stable thin film structure because a plurality of polymers included in the coating composition can be completely cured after crosslinking through the heat treatment or light irradiation step. Therefore, even if another layer is formed on the hole transport layer by a solution process, it can be prevented from being dissolved by the solvent used or being influenced morphologically and decomposing. Accordingly, it is possible to form a plurality of layers through a solution process, and the stability of the formed layers may be increased, so that the life characteristics of the manufactured organic light emitting device may be improved.
상술한 본 발명에 따른 유기 발광 소자의 제조는 이하 실시예에서 구체적으로 설명한다. 그러나 하기 실시예는 본 발명을 예시하기 위한 것이며, 본 발명의 범위가 이들에 의하여 한정되는 것은 아니다.The fabrication of the organic light emitting device according to the present invention described above will be described in detail in the following examples. However, the following examples are for illustrating the present invention, and the scope of the present invention is not limited thereto.
[제조예-HIL Host][Production Example-HIL Host]
제조예Manufacturing example 1-1: 화합물 1-1의 제조 1-1: Preparation of compound 1-1
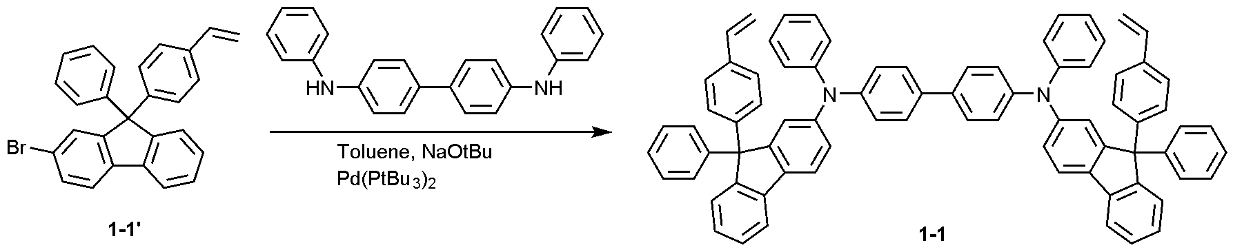
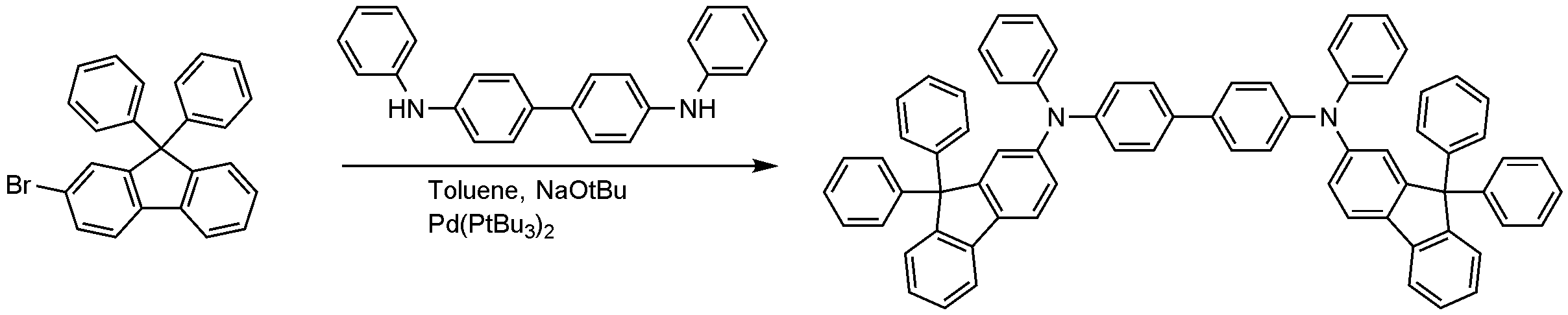
화합물 1-1'(1.58 g, 3.74 mmol), N4,N4'-디페닐-[1,1'-비페닐]-4,4'-디아민(572 mg. 1.7 mmol), 및 소듐 터트-부톡사이드(980 mg, 10.2 mmol)가 든 플라스크에 톨루엔을 넣었다. 반응물이 든 플라스크를 90℃ 오일 배쓰(oil bath)에 담근 뒤, Pd(P(tBu)3)2(43 mg, 0.085 mmol)를 넣고 1시간 동안 돌려주었다. 물을 넣어 반응을 중지시키고 디클로로메탄으로 추출한 뒤 MgSO4로 유기층을 건조하였다. 유기 용매를 진공 회전 농축기를 사용하여 제거한 후, 잔여물을 컬럼 정제하여 화합물 1-1(950 mg, 수율 55%, HPLC 순도 99.5%)를 제조하였다. Compound 1-1' (1.58 g, 3.74 mmol), N4,N4'-diphenyl-[1,1'-biphenyl]-4,4'-diamine (572 mg. 1.7 mmol), and sodium tert-butoxide Toluene was added to the flask containing the side (980 mg, 10.2 mmol). The flask containing the reaction product was immersed in an oil bath at 90° C., and then Pd(P(tBu) 3 ) 2 (43 mg, 0.085 mmol) was added and returned for 1 hour. Water was added to stop the reaction, followed by extraction with dichloromethane, and then the organic layer was dried with MgSO 4. After removing the organic solvent using a vacuum rotary concentrator, the residue was purified by column to prepare compound 1-1 (950 mg, yield 55%, HPLC purity 99.5%).
1H NMR (500 MHz, CDCl3): δ 7.71 (d, 2H), 7.65 (d, 2H), 7.42 (d, 4H), 7.35 (d, 4H), 7.27-7.20 (m, 18H), 7.17-7.13 (m, 4H), 7.11-7.06 (m, 14H), 7.03 (t, 2H), 6.70-6.64 (dd, 2H), 5.69 (d, 2H), 5.19 (d, 2H) 1 H NMR (500 MHz, CDCl 3 ): δ 7.71 (d, 2H), 7.65 (d, 2H), 7.42 (d, 4H), 7.35 (d, 4H), 7.27-7.20 (m, 18H), 7.17 -7.13 (m, 4H), 7.11-7.06 (m, 14H), 7.03 (t, 2H), 6.70-6.64 (dd, 2H), 5.69 (d, 2H), 5.19 (d, 2H)
제조예 1-2: 화합물 1-2의 제조 Preparation Example 1-2: Preparation of Compound 1-2
화합물 1-2'(1.37 g, 3.03 mmol), N4,N4'-디페닐-[1,1'-비페닐]-4,4'-디아민(464 mg. 1.38 mmol), 및 소듐 터트-부톡사이드(769 mg, 8.3 mmol)가 든 플라스크에 톨루엔을 넣었다. 반응물이 든 플라스크를 90℃ 오일 배쓰(oil bath)에 담근 뒤, Pd(P(tBu)3)2(36 mg, 0.085 mmol)를 넣고 1시간 동안 돌려주었다. 물을 넣어 반응을 중지시키고 디클로로메탄으로 추출한 뒤 MgSO4로 유기층을 건조하였다. 유기 용매를 진공 회전 농축기를 사용하여 제거한 후, 잔여물을 컬럼 정제하여 화합물 1-2(500 mg, 수율 34%, HPLC 순도 99.8%)를 제조하였다. Compound 1-2' (1.37 g, 3.03 mmol), N4,N4'-diphenyl-[1,1'-biphenyl]-4,4'-diamine (464 mg. 1.38 mmol), and sodium tert-butoxide Toluene was added to the flask containing the side (769 mg, 8.3 mmol). The flask containing the reactant was immersed in an oil bath at 90° C., and then Pd(P(tBu) 3 ) 2 (36 mg, 0.085 mmol) was added and returned for 1 hour. Water was added to stop the reaction, followed by extraction with dichloromethane, and then the organic layer was dried with MgSO 4. After removing the organic solvent using a vacuum rotary concentrator, the residue was purified by column to prepare compound 1-2 (500 mg, yield 34%, HPLC purity 99.8%).
1H NMR (500 MHz, CDCl3): δ 7.70 (d, 2H), 7.63 (d, 2H), 7.43 (d, 4H), 7.37 (t, 2H), 7.30-7.20 (m, 14H), 7.15-7.05 (m, 14H), 7.02 (t, 2H), 6.93 (s, 4H), 6.86 (s, 2H), 6.71-6.65 (dd, 2H), 5.70 (d, 2H), 5.20 (d, 2H), 2.15 (s, 6H), 1.57 (s, 6H) 1 H NMR (500 MHz, CDCl 3 ): δ 7.70 (d, 2H), 7.63 (d, 2H), 7.43 (d, 4H), 7.37 (t, 2H), 7.30-7.20 (m, 14H), 7.15 -7.05 (m, 14H), 7.02 (t, 2H), 6.93 (s, 4H), 6.86 (s, 2H), 6.71-6.65 (dd, 2H), 5.70 (d, 2H), 5.20 (d, 2H) ), 2.15 (s, 6H), 1.57 (s, 6H)
제조예 1-3: 화합물 1-3의 제조 Preparation Example 1-3: Preparation of compound 1-3
화합물 1-3'(2.32 g, 5.0 mmol), 2,2'-디브로모-9,9'-스파이로바이(플루오렌)(948 mg. 2.0 mmol), 및 소듐 터트-부톡사이드(960 mg, 10.0 mmol)가 든 플라스크에 톨루엔을 넣었다. 반응물이 든 플라스크를 90℃ 오일 배쓰에 담근 뒤, Pd(P(tBu)3)2(72 mg, 0.14 mmol)를 넣고 1시간 동안 돌려주었다. 물을 넣어 반응을 중지시키고 디클로로메탄으로 추출한 뒤 MgSO4로 유기층을 건조하였다. 유기 용매를 진공 회전 농축기를 사용하여 제거한 후, 잔여물을 컬럼 정제하여 화합물 1-3(1.46 g, 수율 59%, HPLC 순도 99.2%)를 제조하였다. Compound 1-3' (2.32 g, 5.0 mmol), 2,2'-dibromo-9,9'-spirobi (fluorene) (948 mg. 2.0 mmol), and sodium tert-butoxide (960) mg, 10.0 mmol) was added toluene. The flask containing the reaction product was immersed in an oil bath at 90° C., and then Pd(P(tBu) 3 ) 2 (72 mg, 0.14 mmol) was added and returned for 1 hour. Water was added to stop the reaction, followed by extraction with dichloromethane, and then the organic layer was dried with MgSO 4. After removing the organic solvent using a vacuum rotary concentrator, the residue was purified by column to prepare compound 1-3 (1.46 g, yield 59%, HPLC purity 99.2%).
1H NMR 500 MHz, CDCl3): δ 7.74-7.69 (m, 4H), 7.68-7.63 (m, 2H), 7.62-7.56 (m, 2H), 7.39 (td, 2H), 7.33 (ddddd, 4H), 7.26 (tdd, 6H), 7.19-7.04 (m, 12H), 7.04-6.90 (m, 14H), 6.85 (d, 2H), 6.76-6.68 (m, 4H), 6.65-6.55 (m, 2H), 5.78-5.70 (m, 2H), 5.25 (dq, 2H), 2.16 (s, 6H), 1.57 (s, 6H) 1 H NMR 500 MHz, CDCl 3 ): δ 7.74-7.69 (m, 4H), 7.68-7.63 (m, 2H), 7.62-7.56 (m, 2H), 7.39 (td, 2H), 7.33 (ddddd, 4H) ), 7.26 (tdd, 6H), 7.19-7.04 (m, 12H), 7.04-6.90 (m, 14H), 6.85 (d, 2H), 6.76-6.68 (m, 4H), 6.65-6.55 (m, 2H) ), 5.78-5.70 (m, 2H), 5.25 (dq, 2H), 2.16 (s, 6H), 1.57 (s, 6H)
제조예 1-4: 화합물 1-4의 제조 Preparation Example 1-4: Preparation of compound 1-4
화합물 1-4'(1.6 g, 4.2 mmol), N4,N4'-디(나프탈렌-1-일)-[1,1'-비페닐]-4,4'-디아민(873 mg, 2.0 mmol), 및 소듐 터트-부톡사이드(769 mg, 8.0 mmol)가 든 플라스크에 톨루엔을 넣고 질소로 bubbling 하였다. 반응물이 든 플라스크를 100℃ 오일 배쓰에 담근 뒤, Pd(P(tBu)3)2(82 mg, 0.16 mmol)를 넣고 12시간 동안 돌려주었다. 물을 넣어 반응을 중지시키고 디클로로메탄으로 추출한 뒤 MgSO4로 유기층을 건조하였다. 유기 용매를 진공 회전 농축기를 사용하여 제거한 후, 잔여물을 컬럼 정제하여 화합물 1-4(1.2 g, 수율 53%, HPLC 순도 99.1%)를 제조하였다. Compound 1-4' (1.6 g, 4.2 mmol), N4,N4'-di(naphthalen-1-yl)-[1,1'-biphenyl]-4,4'-diamine (873 mg, 2.0 mmol) , And sodium tert-butoxide (769 mg, 8.0 mmol) into a flask containing toluene and bubbling with nitrogen. The flask containing the reaction product was immersed in an oil bath at 100° C., and then Pd(P(tBu) 3 ) 2 (82 mg, 0.16 mmol) was added and returned for 12 hours. Water was added to stop the reaction, followed by extraction with dichloromethane, and then the organic layer was dried with MgSO 4. After removing the organic solvent using a vacuum rotary concentrator, the residue was purified by column to prepare compound 1-4 (1.2 g, yield 53%, HPLC purity 99.1%).
1H NMR (500 MHz, CDCl3): δ 7.90-7.88 (m, 2H), 7.87 (dd, 2H), 7.79-7.75 (m, 2H), 7.64 (dt, 2H), 7.59 (dd, 2H), 7.49-7.41 (m, 4H), 7.37-7.30 (m, 12H), 7.22-7.11 (m, 8H), 7.09-7.03 (m, 4H), 7.02-6.96 (m, 6H), 6.64 (dd, 2H), 5.67 (dd, 2H), 5.18 (dd, 2H) 1 H NMR (500 MHz, CDCl 3 ): δ 7.90-7.88 (m, 2H), 7.87 (dd, 2H), 7.79-7.75 (m, 2H), 7.64 (dt, 2H), 7.59 (dd, 2H) , 7.49-7.41 (m, 4H), 7.37-7.30 (m, 12H), 7.22-7.11 (m, 8H), 7.09-7.03 (m, 4H), 7.02-6.96 (m, 6H), 6.64 (dd, 2H), 5.67 (dd, 2H), 5.18 (dd, 2H)
[제조예-HTL] [Production Example-HTL]
제조예 2-1: 고분자 2-1의 제조 Preparation Example 2-1: Preparation of Polymer 2-1
단계 1) 화합물 2-1'의 제조Step 1) Preparation of compound 2-1'
화합물 2-a(50 g, 105.4 mmol, 1.0,eq)와 화합물 2-b(31.2 g, 211 mmol, 2.0 eq)를 300 g의 테트라하이드로퓨란(THF)에 용해하여 80℃의 수조(bath)에서 10분간 교반하였다. K2CO3(37.89 g, 274 mmol, 2.60 eq)를 300 mL의 물에 용해 후 10분간 적가하였다. Pd 촉매(3.66 g, 3.2 mmol, 0.03 eq)를 환류 하에서 투입 하였다. 2시간 교반 후 에틸아세테이트(EA)/H2O로 수세하여 유기층을 분리하고 용매를 진공 건조 하였다. n-헥산(n-Hex)과 에틸아세테이트(EA)를 통해 컬럼크로마토그래피하여 정제 후 테트라하이드로퓨란(THF)과 에탄올로 재결정하여, 흰색 고체인 화합물 2-1'(22.8 g)을 제조하였다.Compound 2-a (50 g, 105.4 mmol, 1.0, eq) and compound 2-b (31.2 g, 211 mmol, 2.0 eq) were dissolved in 300 g of tetrahydrofuran (THF), and a bath at 80°C The mixture was stirred for 10 minutes. K 2 CO 3 (37.89 g, 274 mmol, 2.60 eq) was dissolved in 300 mL of water and added dropwise for 10 minutes. Pd catalyst (3.66 g, 3.2 mmol, 0.03 eq) was added under reflux. After stirring for 2 hours, the organic layer was separated by washing with ethyl acetate (EA)/H 2 O, and the solvent was dried in vacuo. After purification by column chromatography through n-hexane (n-Hex) and ethyl acetate (EA), it was recrystallized with tetrahydrofuran (THF) and ethanol to prepare a white solid compound 2-1' (22.8 g).
MS: [M+H]+ = 496MS: [M+H] + = 496
단계 2) 단량체 2-1의 제조Step 2) Preparation of monomer 2-1
화합물 2-1'(2.4 g, 5.0 mmol, 1.0 eq)과 화합물 2-c(2.82 g, 5.0 mmol, 1.0 eq)를 20 ml의 1,4-디옥산(1,4-Dioxane)에 용해하여 120℃의 수조(bath)에서 30분간 교반하였다. K2CO3(5.10 g, 37 mmol, 1.75 eq)를 40 mL의 물에 용해 후 그 용액을 내부온도 90℃를 유지하면서 10분간 적가하였다. Pd 촉매(0.077 g, 0.15 mmol, 0.03 eq)를 환류하에서 투입하였다. 1시간 교반 후 에틸아세테이트(EA)/H2O로 수세하여 유기층을 분리하고 용매를 진공 건조하였다. n-헥산(n-Hex)과 디클로로메탄(DCM)을 통해 컬럼크로마토그래피하여 정제 후 n-헥산(n-Hex)으로 재결정하여 단량체 2-1을 제조하였다.Compound 2-1' (2.4 g, 5.0 mmol, 1.0 eq) and compound 2-c (2.82 g, 5.0 mmol, 1.0 eq) were dissolved in 20 ml of 1,4-dioxane (1,4-Dioxane) The mixture was stirred for 30 minutes in a 120° C. water bath. After dissolving K 2 CO 3 (5.10 g, 37 mmol, 1.75 eq) in 40 mL of water, the solution was added dropwise for 10 minutes while maintaining an internal temperature of 90°C. Pd catalyst (0.077 g, 0.15 mmol, 0.03 eq) was added under reflux. After stirring for 1 hour, the organic layer was separated by washing with ethyl acetate (EA)/H 2 O, and the solvent was dried in vacuo. After purification by column chromatography through n-hexane (n-Hex) and dichloromethane (DCM), the monomer 2-1 was prepared by recrystallization from n-hexane (n-Hex).
MS: [M+H]+ = 854.5MS: [M+H] + = 854.5
단계 3) 고분자 2-1의 제조Step 3) Preparation of Polymer 2-1
단량체 2-1(500 mg) 및 아조비스이소부티로니트릴(AIBN) (1.2 mg)을 에틸아세테이트(EA)에 넣고 질소 치환 하에 80℃에서 4시간 동안 반응시켰다. 반응 후 생성된 침전물을 여과하여 고분자(polymer) 2-1을 제조하였다.Monomer 2-1 (500 mg) and azobisisobutyronitrile (AIBN) (1.2 mg) were added to ethyl acetate (EA) and reacted at 80° C. for 4 hours under nitrogen substitution. The precipitate generated after the reaction was filtered to prepare a polymer 2-1.
제조된 고분자(polymer) 2-1의 x는 43이고, 수평균분자량은 37,100 g/mol이고, 중량평균분자량은 78,600 g/mol이었다. 이때, 분자량은 Agilent 1200 series를 사용하여 PS Standard를 이용한 GPC로 측정하였다.The prepared polymer 2-1 had x of 43, a number average molecular weight of 37,100 g/mol, and a weight average molecular weight of 78,600 g/mol. At this time, the molecular weight was measured by GPC using PS Standard using the Agilent 1200 series.
제조예 2-2: 고분자 2-2의 제조 Preparation Example 2-2: Preparation of Polymer 2-2
단계 1) 화합물 2-f의 제조Step 1) Preparation of compound 2-f
화합물 2-d(10 g), 화합물 2-e(13.29 g) 및 NatBuO(7.93 g)를 91 ml의 톨루엔에 용해하여 110℃의 수조(bath)에서 30분간 교반하였다. Pd 촉매(0.703 g)를 환류하에서 투입하였다. 3시간 교반 후 다이클로로메테인/물로 수세하여 유기층을 분리하고 용매를 진공 건조하였다. n-헥산(n-Hex)과 디클로로메탄(DCM)을 통해 컬럼크로마토그래피하여 정제 후 n-헥산(n-Hex)으로 재결정하여 화합물 2-f(12.59 g)를 제조하였다.Compound 2-d (10 g), compound 2-e (13.29 g) and NatBuO (7.93 g) were dissolved in 91 ml of toluene and stirred for 30 minutes in a 110°C bath. Pd catalyst (0.703 g) was charged under reflux. After stirring for 3 hours, the organic layer was separated by washing with dichloromethane/water, and the solvent was dried in vacuo. After purification by column chromatography through n-hexane (n-Hex) and dichloromethane (DCM), the compound 2-f (12.59 g) was prepared by recrystallization from n-hexane (n-Hex).
MS: [M+H]+ = 654MS: [M+H] + = 654
단계 2) 단량체 2-2의 제조Step 2) Preparation of monomer 2-2
화합물 2-f(10 g)과 화합물 2-1'(7.23 g)를 110 ml의 테트라하이드로퓨란에 용해하여 60℃의 수조(bath)에서 30 분간 교반하였다. K2CO3(6.34 g)를 40 mL의 물에 용해 후 그 용액을 내부온도 60℃를 유지하면서 5분간 적가하였다. Pd 촉매(0.884 g)를 환류하에서 투입하였다. 1시간 교반 후 에틸아세테이트(EA)/H2O로 수세하여 유기층을 분리하고 용매를 진공 건조하였다. n-헥산(n-Hex)과 디클로로메탄(DCM)을 통해 컬럼크로마토그래피하여 정제 후 n-헥산(n-Hex)으로 재결정하여 단량체 2-2(10.79g)를 제조하였다. Compound 2-f (10 g) and compound 2-1' (7.23 g) were dissolved in 110 ml of tetrahydrofuran and stirred for 30 minutes in a 60°C bath. After dissolving K 2 CO 3 (6.34 g) in 40 mL of water, the solution was added dropwise for 5 minutes while maintaining an internal temperature of 60°C. Pd catalyst (0.884 g) was added under reflux. After stirring for 1 hour, the organic layer was separated by washing with ethyl acetate (EA)/H 2 O, and the solvent was dried in vacuo. After purification by column chromatography through n-hexane (n-Hex) and dichloromethane (DCM), the monomer 2-2 (10.79 g) was prepared by recrystallization from n-hexane (n-Hex).
MS: [M+H]+ = 945MS: [M+H] + = 945
단계 3) 고분자 2-2의 제조Step 3) Preparation of Polymer 2-2
Monomer 2-1 대신 Monomer 2-2를 사용한 것을 제외하고는 제조예 2-1의 단계 3)과 동일한 방법을 사용하여 고분자(polymer) 2-2를 제조하였다.Polymer 2-2 was prepared using the same method as in Step 3) of Preparation Example 2-1, except that Monomer 2-2 was used instead of Monomer 2-1.
제조된 고분자(polymer) 2-2의 x는 55이고, 수평균분자량은 51,938 g/mol이고, 중량평균분자량은 68,350 g/mol이었다. 이때, 분자량은 Agilent 1200 series를 사용하여 PS Standard를 이용한 GPC로 측정하였다.The prepared polymer 2-2 had x of 55, a number average molecular weight of 51,938 g/mol, and a weight average molecular weight of 68,350 g/mol. At this time, the molecular weight was measured by GPC using PS Standard using the Agilent 1200 series.
제조예 2-3: 고분자 2-3의 제조 Preparation Example 2-3: Preparation of Polymer 2-3
단계 1) 화합물 2-i의 제조Step 1) Preparation of compound 2-i
화합물 2-g(10 g), 화합물 2-h(9.12 g) 및 NatBuO(7.00 g)를 120 ml의 톨루엔에 용해하여 110℃의 수조(bath)에서 30분간 교반하였다. Pd 촉매(0.62 g)를 환류하에서 투입하였다. 4시간 교반 후 다이클로로메테인/물로 수세하여 유기층을 분리하고 용매를 진공 건조하였다. n-헥산(n-Hex)과 디클로로메탄(DCM)을 통해 컬럼크로마토그래피하여 정제 후 n-헥산(n-Hex)으로 재결정하여 화합물 2-i(10.35 g)를 제조하였다.Compound 2-g (10 g), compound 2-h (9.12 g) and NatBuO (7.00 g) were dissolved in 120 ml of toluene and stirred for 30 minutes in a 110°C bath. Pd catalyst (0.62 g) was added under reflux. After stirring for 4 hours, the organic layer was separated by washing with dichloromethane/water, and the solvent was dried in vacuo. After purification by column chromatography through n-hexane (n-Hex) and dichloromethane (DCM), it was recrystallized with n-hexane (n-Hex) to prepare compound 2-i (10.35 g).
MS: [M+H]+ = 729MS: [M+H] + = 729
단계 2) 단량체 2-3의 제조Step 2) Preparation of monomer 2-3
화합물 2-i(10 g)과 화합물 2-1'(6.48 g)를 100 ml의 테트라하이드로퓨란에 용해하여 60℃의 수조(bath)에서 30분간 교반하였다. K2CO3(5.69 g)를 30 mL의 물에 용해 후 그 용액을 내부온도 60℃를 유지하면서 5분간 적가하였다. Pd 촉매(790mg)를 환류하에서 투입하였다. 1시간 교반 후 에틸아세테이트(EA)/H2O로 수세하여 유기층을 분리하고 용매를 진공 건조하였다. n-헥산(n-Hex)과 디클로로메탄(DCM)을 통해 컬럼크로마토그래피하여 정제 후 n-헥산(n-Hex)으로 재결정하여 단량체 2-3(9.48 g)을 제조하였다. Compound 2-i (10 g) and compound 2-1' (6.48 g) were dissolved in 100 ml of tetrahydrofuran and stirred in a 60°C bath for 30 minutes. After dissolving K 2 CO 3 (5.69 g) in 30 mL of water, the solution was added dropwise for 5 minutes while maintaining an internal temperature of 60°C. Pd catalyst (790 mg) was added under reflux. After stirring for 1 hour, the organic layer was separated by washing with ethyl acetate (EA)/H 2 O, and the solvent was dried in vacuo. After purification by column chromatography through n-hexane (n-Hex) and dichloromethane (DCM), it was recrystallized from n-hexane (n-Hex) to prepare a monomer 2-3 (9.48 g).
MS: [M+H]+ = 1020MS: [M+H] + = 1020
단계 3) 고분자 2-3의 제조Step 3) Preparation of Polymer 2-3
Monomer 2-1 대신 Monomer 2-3을 사용한 것을 제외하고는 제조예 2-1의 단계 3)과 동일한 방법을 사용하여 고분자(polymer) 2-3을 제조하였다.Polymer 2-3 was prepared using the same method as in Step 3) of Preparation Example 2-1, except that Monomer 2-3 was used instead of Monomer 2-1.
제조된 고분자(polymer) 2-3의 x는 38이고, 수평균분자량은 38,743 g/mol이고, 중량평균분자량은 57,890 g/mol이었다. 이때, 분자량은 Agilent 1200 series를 사용하여 PS Standard를 이용한 GPC로 측정하였다.The prepared polymer 2-3 had x of 38, a number average molecular weight of 38,743 g/mol, and a weight average molecular weight of 57,890 g/mol. At this time, the molecular weight was measured by GPC using PS Standard using the Agilent 1200 series.
제조예 2-4: 고분자 2-4의 제조 Preparation Example 2-4: Preparation of Polymer 2-4
단계 1) 화합물 2-l의 제조Step 1) Preparation of compound 2-l
화합물 2-j(10 g), 화합물 2-k(8.23 g) 및 NatBuO(6.73 g)를 120 ml의 톨루엔에 용해하여 110℃의 수조(bath)에서 30분간 교반하였다. Pd 촉매(0.511 g)를 환류하에서 투입하였다. 4 시간 교반 후 다이클로로메테인/물로 수세하여 유기층을 분리하고 용매를 진공 건조하였다. n-헥산(n-Hex)과 디클로로메탄(DCM)을 통해 컬럼크로마토그래피하여 정제 후 n-헥산(n-Hex)으로 재결정하여 화합물 2-l(11.7g)를 제조하였다.Compound 2-j (10 g), compound 2-k (8.23 g), and NatBuO (6.73 g) were dissolved in 120 ml of toluene, followed by stirring in a 110° C. water bath for 30 minutes. Pd catalyst (0.511 g) was added under reflux. After stirring for 4 hours, the organic layer was separated by washing with dichloromethane/water, and the solvent was dried in vacuo. After purification by column chromatography through n-hexane (n-Hex) and dichloromethane (DCM), it was recrystallized with n-hexane (n-Hex) to prepare compound 2-l (11.7 g).
MS: [M+H]+ = 719MS: [M+H] + = 719
단계 2) 단량체 2-4의 제조Step 2) Preparation of monomer 2-4
화합물 2-l(10 g)과 화합물 2-1'(6.58 g)를 100 ml의 테트라하이드로퓨란에 용해하여 60℃의 수조(bath)에서 30분간 교반하였다. K2CO3(5.77g)를 30 mL의 물에 용해 후 그 용액을 내부온도 60℃를 유지하면서 5분간 적가하였다. Pd 촉매(804mg)를 환류하에서 투입하였다. 1시간 교반 후 에틸아세테이트(EA)/H2O로 수세하여 유기층을 분리하고 용매를 진공 건조하였다. n-헥산(n-Hex)과 디클로로메탄(DCM)을 통해 컬럼크로마토그래피하여 정제 후 n-헥산(n-Hex)으로 재결정하여 단량체 2-4(8.94 g)을 제조하였다. Compound 2-l (10 g) and compound 2-1' (6.58 g) were dissolved in 100 ml of tetrahydrofuran and stirred in a 60°C bath for 30 minutes. After dissolving K 2 CO 3 (5.77g) in 30 mL of water, the solution was added dropwise for 5 minutes while maintaining an internal temperature of 60°C. Pd catalyst (804 mg) was added under reflux. After stirring for 1 hour, the organic layer was separated by washing with ethyl acetate (EA)/H 2 O, and the solvent was dried in vacuo. After purification by column chromatography through n-hexane (n-Hex) and dichloromethane (DCM), the monomer 2-4 (8.94 g) was prepared by recrystallization from n-hexane (n-Hex).
MS: [M+H]+ = 1009MS: [M+H] + = 1009
단계 3) 고분자 2-4의 제조Step 3) Preparation of Polymer 2-4
Monomer 2-1 대신 Monomer 2-4를 사용한 것을 제외하고는 제조예 2-1의 단계 3)과 동일한 방법을 사용하여 고분자(polymer) 2-4를 제조하였다.Polymer 2-4 was prepared using the same method as in Step 3) of Preparation Example 2-1, except that Monomer 2-4 was used instead of Monomer 2-1.
제조된 고분자(polymer) 2-4의 x는 47이고, 수평균분자량은 47,480 g/mol이고, 중량평균분자량은 61,388 g/mol이었다. 이때, 분자량은 Agilent 1200 series를 사용하여 PS Standard를 이용한 GPC로 측정하였다.The prepared polymer 2-4 had x of 47, a number average molecular weight of 47,480 g/mol, and a weight average molecular weight of 61,388 g/mol. At this time, the molecular weight was measured by GPC using PS Standard using the Agilent 1200 series.
[제조예-HIL Dopant][Production Example-HIL Dopant]
제조예 3-1: 화합물 3-1의 제조Preparation Example 3-1: Preparation of compound 3-1
단계 1) 화합물 3-1'의 제조Step 1) Preparation of compound 3-1'
100 mL 둥근 바닥 플라스크에 질소 분위기 하에서 Mg(193 mg, 7.92 mmol), I2(4 mg) 및 THF(10 mL)를 넣고 30분 동안 교반하였다. 4-브로모스티렌(1.04 mL, 7.92 mmol)을 넣고 30℃ 물 수조를 둥근 바닥 플라스크 아래에 놓고 하루 동안 교반하였다. 반응 용액이 검은색이 되며 Mg이 녹아 들어간 것을 확인하였다. 에테르(5 mL)를 첨가하여 반응 용액을 묽게 만들어 주었다. 트리스(펜타플루오로페닐)보란(1 g, 3.96 mmol)을 에테르(5 mL)에 녹여 30분 동안 천천히 반응 용액에 첨가하였다. 하루 동안 용액을 교반하였다. Na2CO3(0.1 M, 80 mL, 8.0 mmol)을 천천히 반응 용액에 첨가해 주었다. 에틸 아세테이트(20 mL × 3)를 사용하여 유기 용매를 추출하고 MgSO4로 잔여 물을 제거하였다. 추가적으로 잔여한 물과 불순물을 제거하기 위해 딘-스탁(Dean-stock)을 이용하여 벤젠으로 증류하였다. 용매가 10 mL 정도 남았을 때 용액을 식히고 여과하여 화합물 3-1'(1.6 g, 수율 64 %)를 제조하였다.Mg (193 mg, 7.92 mmol), I 2 (4 mg) and THF (10 mL) were added to a 100 mL round bottom flask under a nitrogen atmosphere and stirred for 30 minutes. 4-bromostyrene (1.04 mL, 7.92 mmol) was added, and a water bath at 30° C. was placed under a round bottom flask and stirred for a day. It was confirmed that the reaction solution became black and Mg was dissolved therein. Ether (5 mL) was added to dilute the reaction solution. Tris(pentafluorophenyl)borane (1 g, 3.96 mmol) was dissolved in ether (5 mL) and slowly added to the reaction solution for 30 minutes. The solution was stirred for one day. Na 2 CO 3 (0.1 M, 80 mL, 8.0 mmol) was slowly added to the reaction solution. The organic solvent was extracted using ethyl acetate (20 mL × 3) and the residual water was removed with MgSO 4. In order to additionally remove residual water and impurities, it was distilled with benzene using Dean-stock. When about 10 mL of the solvent remained, the solution was cooled and filtered to prepare compound 3-1' (1.6 g, yield 64%).
단계 2) 화합물 3-1의 제조Step 2) Preparation of compound 3-1
25 mL 둥근 바닥 플라스크에 화합물 3-1'(100 mg, 0.16 mmol), 증류수(10 mL) 및 Ph2ICl(60 mg, 0.19 mmol)을 넣고 1시간 동안 교반하였다. 반응 용액에 아세톤(15 mL)를 가하여 침전이 생기게 하고 상기 침전물을 필터하고 건조하여 화합물 3-1(140 mg, 수율 100 %)을 제조하였다. Compound 3-1' (100 mg, 0.16 mmol), distilled water (10 mL), and Ph 2 ICl (60 mg, 0.19 mmol) were added to a 25 mL round bottom flask and stirred for 1 hour. Acetone (15 mL) was added to the reaction solution to cause precipitation, and the precipitate was filtered and dried to prepare compound 3-1 (140 mg, yield 100%).
MS: [M-H]- = 615 (negative mode)MS: [MH] - = 615 (negative mode)
MS: [M+H]+ = 281 (positive mode)MS: [M+H] + = 281 (positive mode)
제조예Manufacturing example 3-2: 화합물 3-2의 제조 3-2: Preparation of compound 3-2
단계 1) 화합물 3-2'의 제조Step 1) Preparation of compound 3-2'
250 mL 둥근 바닥 플라스크에 메틸트리페닐 포타슘 브로마이드(13.90 g, 38.91 mmol)과 THF(100 mL)를 넣고 0℃에서 30분 동안 교반하였다. 반응 용액에 n-BuLi(15.6 mL, 38.91 mmol, 2.5 M in Hexane)을 천천히 첨가해 주고 0℃에서 30분 동안 교반하였다. 0℃에서 반응 용액에 4-포르밀-2,3,5,6-테트라플루오로 -1-브로모벤젠(5.0 g, 19.47 mmol, in 30 mL THF)를 천천히 첨가하였다. 반응 용액을 천천히 상온으로 온도를 올려주면서 교반해 주었다. 3시간 후 반응 용액에 에테르(100 mL)와 NH4Cl 포화 용액(400 mL)을 가하였다. 에테르(200 mL × 2)를 사용하여 유기 용매를 추출하고 MgSO4로 잔여 물을 제거하였다. 에틸 아세테이트:헥산 = 1:9(v:v)로 컬럼하여 화합물 3-2'(1.29 g, 수율 26%)을 제조하였다. To a 250 mL round-bottom flask, methyltriphenyl potassium bromide (13.90 g, 38.91 mmol) and THF (100 mL) were added and stirred at 0°C for 30 minutes. To the reaction solution, n-BuLi (15.6 mL, 38.91 mmol, 2.5 M in Hexane) was slowly added, followed by stirring at 0° C. for 30 minutes. 4-formyl-2,3,5,6-tetrafluoro-1-bromobenzene (5.0 g, 19.47 mmol, in 30 mL THF) was slowly added to the reaction solution at 0°C. The reaction solution was stirred while slowly raising the temperature to room temperature. After 3 hours, ether (100 mL) and a saturated solution of NH 4 Cl (400 mL) were added to the reaction solution. The organic solvent was extracted using ether (200 mL×2) and the residual water was removed with MgSO 4. Ethyl acetate:hexane = 1:9 (v:v) by column to prepare compound 3-2' (1.29 g, yield 26%).
단계 2) 화합물 3-2''의 제조Step 2) Preparation of compound 3-2''
25 mL 둥근 바닥 플라스크에 Mg(95 mg, 3.92 mmol), THF(10 mL) 및 I2(4 mg)을 넣어주고 교반하였다. 화합물 3-2'(1.0 g, 3.92 mmol)을 반응 용액에 넣고 상온에서 교반하였다. 10시간 뒤 용액이 검은색으로 Mg이 완전히 녹아 들어가는 것을 확인하고 에테르(10 mL)와 BCl3(1.3 mL, 1.3 mmol, 헥산 용액 중 1M)을 30분에 걸쳐 첨가하였다. 하루 동안 반응 용액을 교반한 후 Na2CO3(30 mL, 3.0 mmol, 0.1 M in H2O)를 첨가하였다. 에틸 아세테이트(10 mL × 3)로 합성 물질을 추출해 낸 후 MgSO4로 잔여 물을 제거하였다. 용매를 모두 제거한 후 벤젠을 사용하여 딘-스탁(Dean-stock)으로 물을 완전히 제거하고 고체를 여과하여 화합물 3-2''(340 mg, 수율 28%)을 제조하였다. Mg (95 mg, 3.92 mmol), THF (10 mL) and I 2 (4 mg) were added to a 25 mL round bottom flask, followed by stirring. Compound 3-2' (1.0 g, 3.92 mmol) was added to the reaction solution and stirred at room temperature. After 10 hours, the solution turned black and Mg was completely dissolved, and ether (10 mL) and BCl 3 (1.3 mL, 1.3 mmol, 1M in hexane solution) were added over 30 minutes. After the reaction solution was stirred for one day, Na 2 CO 3 (30 mL, 3.0 mmol, 0.1 M in H 2 O) was added. After extracting the synthetic material with ethyl acetate (10 mL × 3), residual water was removed with MgSO 4. After removing all of the solvent, water was completely removed with Dean-stock using benzene, and the solid was filtered to prepare compound 3-2'' (340 mg, yield 28%).
단계 3) 화합물 3-2의 제조Step 3) Preparation of compound 3-2
25 mL 둥근 바닥 플라스크에 화합물 3-2''(200 mg, 0.27 mmol), 1-(4-비닐벤질)피리딘-1-이움 클로라이드(69 mg, 0.30 mmol), H2O(10 mL), 메틸렌 클로라이드(10 mL)를 넣어주고 격렬하게 30분 동안 교반하였다. 에테르(10 mL × 3)를 사용하여 유기 용매를 추출하고 MgSO4로 잔여 물을 제거하였다. 용매를 제거하고 진공 건조하여 화합물 3-2(247 mg, 수율 100%)을 제조하였다. In a 25 mL round bottom flask, compound 3-2'' (200 mg, 0.27 mmol), 1-(4-vinylbenzyl)pyridin-1-ium chloride (69 mg, 0.30 mmol), H 2 O (10 mL), Methylene chloride (10 mL) was added and stirred vigorously for 30 minutes. The organic solvent was extracted using ether (10 mL × 3) and the residual water was removed with MgSO 4. The solvent was removed and dried in vacuo to prepare compound 3-2 (247 mg, yield 100%).
MS: [M-H]- = 711 (negative mode)MS: [MH] - = 711 (negative mode)
MS: [M+H]+ = 196 (positive mode)MS: [M+H] + = 196 (positive mode)
제조예 3-3: 화합물 3-3의 제조 Preparation Example 3-3: Preparation of compound 3-3
단계 1) 화합물 3-3'의 제조Step 1) Preparation of compound 3-3'
50 mL 둥근 바닥 플라스크에 1-브로모-2,3,5,6-테트라플르오르-4-(1,2,2-트라이플르오르바이닐)벤젠(2 g, 7.84 mmol)을 THF(20 mL)에 넣어주고 -78℃에서 30분 동안 교반하였다. 용액에 천천히 n-BuLi in hexane(3.45 mL, 8.63 mmol, 2.5 M)을 넣고 -78℃에서 30분 동안 교반하였다. 반응 용액에 BCl3(2.6 mL, 2.61 mmol, 헥산 용액 중 1 M)을 -78℃에서 15분에 걸쳐 첨가하였다. 상온으로 천천히 승온하며 하루 동안 반응 용액을 교반한 후 물(30 mL)을 첨가하였다. 에틸 아세테이트(10 mL × 3)로 합성 물질을 추출해 낸 후 용매를 모두 제거하였다. 벤젠을 사용하여 딘-스탁(Dean-stock)으로 물을 완전히 제거하고 고체를 여과하여 화합물 3-3'(800 mg, 수율 43%)을 제조하였다. In a 50 mL round bottom flask, add 1-bromo-2,3,5,6-tetrafluoro-4-(1,2,2-trifluorovinyl)benzene (2 g, 7.84 mmol) in THF (20 mL). ) And stirred at -78°C for 30 minutes. N-BuLi in hexane (3.45 mL, 8.63 mmol, 2.5 M) was slowly added to the solution and stirred at -78°C for 30 minutes. To the reaction solution, BCl 3 (2.6 mL, 2.61 mmol, 1 M in hexane solution) was added at -78°C over 15 minutes. The temperature was slowly raised to room temperature and the reaction solution was stirred for one day, and then water (30 mL) was added. After extracting the synthetic material with ethyl acetate (10 mL × 3), all the solvent was removed. Water was completely removed with Dean-stock using benzene, and the solid was filtered to prepare compound 3-3' (800 mg, yield 43%).
단계 2) 화합물 3-3의 제조Step 2) Preparation of compound 3-3
25 mL 둥근 바닥 플라스크에 화합물 3-3'(400 mg, 0.56 mmol), 다이페닐아이오도늄 클로라이드(176 mg, 0.56 mmol), 물(10 mL), 아세톤(10 mL)을 넣어주고 격렬하게 30분 동안 교반하였다. 디클로로메테인(10 mL × 3)을 사용하여 추출하여 용매를 제거하고 건조하여 화합물 3-3(552 mg, 수율 100%)을 제조하였다. Compound 3-3' (400 mg, 0.56 mmol), diphenyliodonium chloride (176 mg, 0.56 mmol), water (10 mL), and acetone (10 mL) were added to a 25 mL round bottom flask and vigorously 30 Stir for a minute. Extracted with dichloromethane (10 mL × 3) to remove the solvent and dried to prepare compound 3-3 (552 mg, yield 100%).
MS: [M-H]- = 711 (negative mode)MS: [MH] - = 711 (negative mode)
MS: [M+H]+ = 281 (positive mode)MS: [M+H] + = 281 (positive mode)
제조예 3-4: 화합물 3-4의 제조 Preparation Example 3-4: Preparation of compound 3-4
단계 1) 화합물 3-4'의 제조Step 1) Preparation of compound 3-4'
500 mL 둥근 바닥 플라스크에 포타슘 카보네이트(10.4 g, 75.3 mmol)을 넣고 DMF(200 ml)를 넣어주었다. 플라스크에 2,3,5,6-테트라플루오로페놀(10.0 g, 60.22 mmol)을 넣고 60℃에서 30분 동안 교반하였다. 반응 용액에 4-비닐벤질클로라이드(7.66 g, 50.18 mmol)를 천천히 첨가해주고 60℃에서 16시간 동안 교반하였다. 이후 물(300 mL), 에틸 아세테이트(200 ml)를 가하였다. 에틸 아세테이트(200 mL × 2)를 사용하여 유기층을 추출하고 MgSO4로 잔여 물을 제거하였다. 에틸 아세테이트:헥산 = 1:9(v:v)로 컬럼하여 화합물 3-4'(11.2 g, 수율 79%)를 제조하였다. Potassium carbonate (10.4 g, 75.3 mmol) was added to a 500 mL round bottom flask, and DMF (200 ml) was added. 2,3,5,6-tetrafluorophenol (10.0 g, 60.22 mmol) was added to the flask and stirred at 60° C. for 30 minutes. 4-vinylbenzyl chloride (7.66 g, 50.18 mmol) was slowly added to the reaction solution, followed by stirring at 60° C. for 16 hours. Then, water (300 mL) and ethyl acetate (200 ml) were added. The organic layer was extracted using ethyl acetate (200 mL × 2), and residual water was removed with MgSO 4. By column with ethyl acetate:hexane = 1:9 (v:v), compound 3-4' (11.2 g, yield 79%) was prepared.
단계 2) 화합물 3-4''의 제조Step 2) Preparation of compound 3-4''
250 ml 둥근 바닥 플라스크에 화합물 3-4'(10 g, 35.43 mmol)을 넣고 에테르(130 ml)를 넣어주고 교반하였다. -78℃로 반응 용액을 냉각시키고 30분 동안 교반하였다. n-BuLi(17 ml, 42.52 mmol, 2.5 M in Hexane)을 30분에 걸쳐서 천천히 주입하였다. 이후 1시간 동안 교반하였다. BCl3(8.15 ml, 8.15 mmol, 1 M in Hexane)을 30분에 걸쳐서 천천히 투입하였다. 반응 용액을 천천히 상온으로 승온시켰다. 하루 동안 반응 용액을 교반한 후 물(200 ml)을 첨가하였다. 에테르(100 mL × 3)로 합성 물질을 추출해 낸 후 용매를 모두 제거하였다. 이후 벤젠을 사용하여 딘-스탁(Dean-stock)으로 물을 완전히 제거하고 고체를 여과하여 화합물 3-4''(6.2 g, 수율 66%)을 제조하였다. Compound 3-4' (10 g, 35.43 mmol) was added to a 250 ml round bottom flask, and ether (130 ml) was added thereto, followed by stirring. The reaction solution was cooled to -78[deg.] C. and stirred for 30 minutes. n-BuLi (17 ml, 42.52 mmol, 2.5 M in Hexane) was slowly injected over 30 minutes. Then it was stirred for 1 hour. BCl 3 (8.15 ml, 8.15 mmol, 1 M in Hexane) was slowly added over 30 minutes. The reaction solution was slowly raised to room temperature. After the reaction solution was stirred for one day, water (200 ml) was added. After extracting the synthetic material with ether (100 mL × 3), all the solvent was removed. Thereafter, water was completely removed with Dean-stock using benzene, and the solid was filtered to prepare compound 3-4'' (6.2 g, yield 66%).
단계 3) 화합물 3-4의 제조Step 3) Preparation of compound 3-4
25 mL 둥근 바닥 플라스크에 화합물 3-4''(6.2 g, 5.42 mmol), 디페닐아이도오늄 클로라이드(2.57 g, 8.13 mmol), 물(50 mL), 아세톤(10 mL)을 넣어주고 격렬하게 30분 동안 교반하였다. 메틸렌 클로라이드(20 mL × 3)를 사용하여 유기 용매를 추출하고 용매를 제거하였다. 메틸렌 클로라이드:아세톤 = 9:1(v:v)로 컬럼하여 화합물 3-4(5.0 g, 수율 65%)를 제조하였다. In a 25 mL round bottom flask, add compound 3-4'' (6.2 g, 5.42 mmol), diphenylidoonium chloride (2.57 g, 8.13 mmol), water (50 mL), and acetone (10 mL) and vigorously Stir for 30 minutes. The organic solvent was extracted using methylene chloride (20 mL × 3) and the solvent was removed. Methylene chloride: acetone = 9:1 (v:v) by column to prepare compound 3-4 (5.0 g, yield 65%).
MS: [M-H]- = 1135 (negative mode)MS: [MH] - = 1135 (negative mode)
MS: [M+H]+ = 281 (positive mode)MS: [M+H] + = 281 (positive mode)
제조예 A: 비교화합물 1의 제조Preparation Example A: Preparation of
2-브로모-9,9-디페닐-9H-플루오렌(1.49 g, 3.74 mmol), N4,N4'-디페닐-[1,1'-비페닐]-4,4'-디아민(572 mg. 1.7 mmol), 및 소듐 터트-부톡사이드(980 mg, 10.2 mmol)가 든 플라스크에 톨루엔을 넣었다. 반응물이 든 플라스크를 90℃ 오일 배쓰(oil bath)에 담근 뒤, Pd(P(tBu)3)2(43 mg, 0.085 mmol)를 넣고 1시간 동안 돌려주었다. 물을 넣어 반응을 중지시키고 디클로로메탄으로 추출한 뒤 MgSO4로 유기층을 건조하였다. 유기 용매를 진공 회전 농축기를 사용하여 제거한 후, 잔여물을 컬럼 정제하여 비교화합물 1을(870 mg, HPLC 순도 99.0%)를 제조하였다. 2-Bromo-9,9-diphenyl-9H-fluorene (1.49 g, 3.74 mmol), N4,N4'-diphenyl-[1,1'-biphenyl]-4,4'-diamine (572 mg. 1.7 mmol), and sodium tert-butoxide (980 mg, 10.2 mmol) were added toluene. The flask containing the reaction product was immersed in an oil bath at 90° C., and then Pd(P(tBu) 3 ) 2 (43 mg, 0.085 mmol) was added and returned for 1 hour. Water was added to stop the reaction, followed by extraction with dichloromethane, and then the organic layer was dried with MgSO 4. After removing the organic solvent using a vacuum rotary concentrator, the residue was purified by column to prepare Comparative Compound 1 (870 mg, HPLC purity 99.0%).
MS: [M+H]+ = 969MS: [M+H] + = 969
제조예 B: 비교화합물 2의 제조Preparation B: Preparation of
브로모나프탈렌(774 mg, 3.74 mmol), N4,N4'-디페닐-[1,1'-비페닐]-4,4'-디아민(572 mg. 1.7 mmol), 및 소듐 터트-부톡사이드(980 mg, 10.2 mmol)가 든 플라스크에 톨루엔을 넣었다. 반응물이 든 플라스크를 90℃ 오일 배쓰(oil bath)에 담근 뒤, Pd(P(tBu)3)2(43 mg, 0.085 mmol)를 넣고 1시간 동안 돌려주었다. 물을 넣어 반응을 중지시키고 디클로로메탄으로 추출한 뒤 MgSO4로 유기층을 건조하였다. 유기 용매를 진공 회전 농축기를 사용하여 제거한 후, 잔여물을 컬럼 정제하여 비교화합물 2(830 mg, HPLC 순도 99.0%)를 제조하였다. Bromonaphthalene (774 mg, 3.74 mmol), N4,N4'-diphenyl-[1,1'-biphenyl]-4,4'-diamine (572 mg. 1.7 mmol), and sodium tert-butoxide ( 980 mg, 10.2 mmol) was added toluene. The flask containing the reaction product was immersed in an oil bath at 90° C., and then Pd(P(tBu) 3 ) 2 (43 mg, 0.085 mmol) was added and returned for 1 hour. Water was added to stop the reaction, followed by extraction with dichloromethane, and then the organic layer was dried with MgSO 4. After removing the organic solvent using a vacuum rotary concentrator, the residue was purified by column to prepare Comparative Compound 2 (830 mg, HPLC purity 99.0%).
MS: [M+H]+ = 589MS: [M+H] + = 589
[소자예][Device example]
실시예 1Example 1
ITO가 1500 Å의 두께로 박막 증착된 유리 기판을 아세톤 용제를 사용하여 10분간 초음파 세척하였다. 그 뒤 세제를 녹인 증류수에 넣고 초음파로 10분간 세척한 후 증류수로 2회 반복하여 초음파 세척을 10분간 진행하였다. 증류수 세척이 끝난 후 아이소프로필알콜의 용제로 초음파 세척을 10분간 한 뒤 건조하였다. 그 뒤 상기 기판을 글러브 박스로 수송시켰다. The glass substrate on which ITO was deposited to a thickness of 1500 Å was ultrasonically cleaned for 10 minutes using an acetone solvent. Then, the detergent was added to the dissolved distilled water, washed for 10 minutes with ultrasonic waves, and then repeated twice with distilled water to perform ultrasonic cleaning for 10 minutes. After washing with distilled water, ultrasonic cleaning was performed with a solvent of isopropyl alcohol for 10 minutes, and then dried. The substrate was then transported to a glove box.
상기와 같이 준비된 ITO 투명 전극 위에 앞서 제조한 화합물 1-1과 화합물 3-1을 8:2의 중량비로 포함하는 2 wt% 사이클로헥사논 용액을 스핀 코팅하고 230℃에서 30분간 열처리하여 두께 60 nm의 정공주입층을 형성하였다. 상기 정공주입층 위에 앞서 제조한 고분자 2-1을 0.8 wt%으로 포함하는 톨루엔 용액을 스핀 코팅하여 두께 140 nm의 정공수송층을 형성하였다. On the ITO transparent electrode prepared as described above, a 2 wt% cyclohexanone solution containing the previously prepared compound 1-1 and compound 3-1 in a weight ratio of 8:2 was spin-coated and heat-treated at 230° C. for 30 minutes to a thickness of 60 nm. A hole injection layer was formed. On the hole injection layer, a toluene solution containing 0.8 wt% of the polymer 2-1 prepared above was spin-coated to form a hole transport layer having a thickness of 140 nm.
이후 진공증착기로 이송한 후 상기 정공수송층 위에 하기 화합물 A와 하기 화합물 B를 9:1의 중량비로 진공 증착하여 두께 30 nm의 발광층을 형성하였다. 상기 발광층 위에 하기 화합물 C를 진공 증착하여 두께 40 nm의 전자 주입 및 수송층을 형성하였다. 상기 전자 주입 및 수송층 위에 순차적으로 두께 0.5 nm의 LiF와 두께 100 nm의 알루미늄을 증착하여 캐소드를 형성하였다. After being transferred to a vacuum evaporator, the following Compound A and the following Compound B were vacuum deposited on the hole transport layer at a weight ratio of 9:1 to form a light emitting layer having a thickness of 30 nm. The following Compound C was vacuum-deposited on the emission layer to form an electron injection and transport layer having a thickness of 40 nm. LiF having a thickness of 0.5 nm and aluminum having a thickness of 100 nm were sequentially deposited on the electron injection and transport layer to form a cathode.
상기의 과정에서 유기물의 증착 속도는 0.4 ~ 1.0 Å/sec를 유지하였고, 캐소드의 LiF는 0.3 Å/sec, 알루미늄은 2 Å/sec의 증착 속도를 유지하였으며 증착시 진공도는 2×10-8 ~ 5×10-6 torr를 유지하였다.In the above process, the deposition rate of organic material was maintained at 0.4 ~ 1.0 Å/sec, the deposition rate of LiF of the cathode was 0.3 Å/sec, and the deposition rate of aluminum was 2 Å/sec, and the vacuum degree during deposition was 2×10 -8 ~ 5×10 -6 torr was maintained.
실시예 2 내지 17, 비교예 1 및 비교예 2Examples 2 to 17, Comparative Example 1 and Comparative Example 2
상기 실시예 1의 정공주입층의 화합물 1-1 및 화합물 3-1 대신 각각 하기 표 1에 기재된 화합물을 정공주입층의 물질로 사용하고, 정공수송층의 화합물 고분자 2-1 대신 하기 표 1에 기재된 고분자를 정공수송층의 물질로 사용한 것을 제외하고는, 상기 실시예 1과 동일한 방법을 사용하여 유기 발광 소자를 제조하였다.Instead of compound 1-1 and compound 3-1 of the hole injection layer of Example 1, the compounds shown in Table 1 were used as the material of the hole injection layer, respectively, and instead of the compound polymer 2-1 of the hole transport layer, the compound shown in Table 1 An organic light-emitting device was manufactured in the same manner as in Example 1, except that a polymer was used as a material for the hole transport layer.
실험예 1: 유기 발광 소자 특성 평가Experimental Example 1: Evaluation of characteristics of organic light emitting devices
상기 실시예 및 비교예에서 제조한 유기 발광 소자에 전류를 인가하였을 때, 구동 전압, 전류 효율 및 수명(LT90)을 측정하여 그 결과를 하기 표 1에 나타내었다. 이때, LT90은 초기 휘도 대비 휘도가 90%로 감소되는 데 소요되는 시간(hr)을 의미한다. When a current was applied to the organic light emitting device prepared in the above Examples and Comparative Examples, driving voltage, current efficiency, and lifetime (LT90) were measured, and the results are shown in Table 1 below. In this case, LT90 refers to the time (hr) it takes for the luminance to be reduced to 90% compared to the initial luminance.
HostHIL
Host
(V
@10mA/cm2)Driving voltage
(V
@10mA/cm 2 )
(cd/A
@10mA/cm2 Current efficiency
(cd/A
@ 10mA / cm 2
(hr
@10mA/cm2)LT90
(hr
@10mA/cm 2 )
1Example
One
1-1compound
1-1
3-1compound
3-1
2-1Polymer
2-1
2Example
2
1-1compound
1-1
3-3compound
3-3
2-1Polymer
2-1
3Example
3
1-2compound
1-2
3-1compound
3-1
2-1Polymer
2-1
4Example
4
1-2compound
1-2
3-2compound
3-2
2-1Polymer
2-1
5Example
5
1-2compound
1-2
3-3compound
3-3
2-1Polymer
2-1
6Example
6
1-2compound
1-2
3-4compound
3-4
2-1Polymer
2-1
7Example
7
1-3compound
1-3
3-1compound
3-1
2-1Polymer
2-1
8Example
8
1-3compound
1-3
3-3compound
3-3
2-1Polymer
2-1
9Example
9
1-4compound
1-4
3-1compound
3-1
2-1Polymer
2-1
10Example
10
1-4compound
1-4
3-4compound
3-4
2-1Polymer
2-1
11Example
11
1-1compound
1-1
3-2compound
3-2
2-2Polymer
2-2
12Example
12
1-3compound
1-3
3-3compound
3-3
2-3Polymer
2-3
13Example
13
1-2compound
1-2
3-4compound
3-4
2-3Polymer
2-3
14Example
14
1-4compound
1-4
3-2compound
3-2
2-4Polymer
2-4
15Example
15
1-3compound
1-3
3-3compound
3-3
2-3Polymer
2-3
16Example
16
1-2compound
1-2
3-4compound
3-4
2-2Polymer
2-2
17Example
17
1-4compound
1-4
3-1compound
3-1
2-4Polymer
2-4
1Comparative example
One
화합물 1compare
3-1compound
3-1
2-1Polymer
2-1
2Comparative example
2
1-1compound
1-1
3-2compound
3-2
화합물 2compare
상기 표 1에 나타난 바와 같이, 상기 화학식 1로 표시되는 화합물의 경화물을 정공주입층의 호스트 물질로 사용하고 상기 화학식 2로 표시되는 반복단위를 포함하는 고분자를 정공수송층 물질로 사용한 실시예의 유기 발광 소자는, 상기 화학식 1 로 표시되는 화합물의 경화물을 포함하지 않는 비교예 1 및 상기 화학식 2로 표시되는 반복단위를 포함하는 고분자를 포함하지 않는 비교예 2의 유기 발광 소자 대비 현저히 향상된 효율 및 수명을 나타냄을 알 수 있다. As shown in Table 1, the organic light emission of the embodiment in which the cured product of the compound represented by
1: 기판
2: 양극
3: 정공주입층
4: 정공수송층
5: 발광층
6: 음극
7: 전자수송층
8: 전자주입층1: substrate 2: anode
3: hole injection layer 4: hole transport layer
5: light emitting layer 6: cathode
7: electron transport layer 8: electron injection layer
Claims (28)
상기 정공주입층은 하기 화학식 1로 표시되는 화합물의 경화물을 포함하고,
상기 정공수송층은 하기 화학식 2로 표시되는 반복단위를 포함하는 고분자를 포함하는,
유기 발광 소자:
[화학식 1]
상기 화학식 1에서,
L1은 치환 또는 비치환된 C6-60 아릴렌; 또는 치환 또는 비치환된 N, O 및 S로 구성되는 군으로부터 선택되는 어느 하나 이상의 헤테로원자를 포함하는 C2-60 헤테로아릴렌이고,
Ar1은 각각 독립적으로, 치환 또는 비치환된 C6-60 아릴이고,
Ar2는 각각 독립적으로, 치환 또는 비치환된 C6-60 아릴이고,
L2는 각각 독립적으로, 단일 결합, 치환 또는 비치환된 C1-10 알킬렌, 또는 치환 또는 비치환된 C6-60 아릴렌이고,
R1은 각각 독립적으로 수소; 중수소; 할로겐; 치환 또는 비치환된 C1-60 알킬; 치환 또는 비치환된 C1-60 알콕시; 치환 또는 비치환된 C6-60 아릴; 또는 N, O 및 S로 구성되는 군으로부터 선택되는 어느 하나 이상의 헤테로원자를 포함하는 C2-60 헤테로아릴이고,
n은 각각 독립적으로, 0 내지 3의 정수이고,
R은 각각 독립적으로, 광경화성기; 또는 열경화성기이고,
[화학식 2]
상기 화학식 2에서,
L', L'1 및 L'2는 각각 독립적으로, 단일결합; 치환 또는 비치환된 C6-60 아릴렌; 또는 치환 또는 비치환된 N, O 및 S로 구성되는 군으로부터 선택되는 어느 하나 이상의 헤테로원자를 포함하는 C2-60 헤테로아릴렌이고,
Ar'1 및 Ar'2는 각각 독립적으로, 치환 또는 비치환된 C6-60 아릴; 또는 N, O 및 S로 구성되는 군으로부터 선택되는 어느 하나 이상의 헤테로원자를 포함하는 C2-60 헤테로아릴이고,
R'1 내지 R'5는 각각 독립적으로, 수소; 중수소; 할로겐; 히드록시; 시아노; 치환 또는 비치환된 C1-60 알킬; 치환 또는 비치환된 C3-60 사이클로알킬; 치환 또는 비치환된 C1-60 알콕시; 치환 또는 비치환된 C6-60 아릴; 또는 치환 또는 비치환된 N, O 및 S로 구성되는 군으로부터 선택되는 어느 하나 이상의 헤테로원자를 포함하는 C2-60 헤테로아릴이고,
R'6 내지 R'8은 각각 독립적으로, 수소, 또는 C1-10 알킬이고,
m은 1 내지 10의 정수이고,
a1, a3 및 a4는 각각 독립적으로, 0 내지 4의 정수이고,
a2 및 a5는 각각 독립적으로, 0 내지 3의 정수이고,
x는 1 내지 10,000의 정수이다.
Including an anode, a hole injection layer, a hole transport layer, a light emitting layer, and a cathode,
The hole injection layer includes a cured product of the compound represented by the following formula (1),
The hole transport layer comprises a polymer containing a repeating unit represented by the following formula (2),
Organic Light-Emitting Element:
[Formula 1]
In Formula 1,
L 1 is substituted or unsubstituted C 6-60 arylene; Or substituted or unsubstituted C 2-60 heteroarylene including any one or more heteroatoms selected from the group consisting of N, O and S,
Ar 1 is each independently, substituted or unsubstituted C 6-60 aryl,
Ar 2 is each independently a substituted or unsubstituted C 6-60 aryl,
Each L 2 is independently a single bond, a substituted or unsubstituted C 1-10 alkylene, or a substituted or unsubstituted C 6-60 arylene,
Each R 1 is independently hydrogen; heavy hydrogen; halogen; Substituted or unsubstituted C 1-60 alkyl; Substituted or unsubstituted C 1-60 alkoxy; Substituted or unsubstituted C 6-60 aryl; Or C 2-60 heteroaryl containing any one or more heteroatoms selected from the group consisting of N, O and S,
n is each independently an integer of 0 to 3,
Each R is independently a photocurable group; Or a thermosetting group,
[Formula 2]
In Chemical Formula 2,
L', L' 1 and L' 2 are each independently a single bond; Substituted or unsubstituted C 6-60 arylene; Or substituted or unsubstituted C 2-60 heteroarylene including any one or more heteroatoms selected from the group consisting of N, O and S,
Ar' 1 and Ar' 2 are each independently a substituted or unsubstituted C 6-60 aryl; Or C 2-60 heteroaryl containing any one or more heteroatoms selected from the group consisting of N, O and S,
R '1 to R' 5 are each independently hydrogen; heavy hydrogen; halogen; Hydroxy; Cyano; Substituted or unsubstituted C 1-60 alkyl; Substituted or unsubstituted C 3-60 cycloalkyl; Substituted or unsubstituted C 1-60 alkoxy; Substituted or unsubstituted C 6-60 aryl; Or substituted or unsubstituted C 2-60 heteroaryl containing any one or more heteroatoms selected from the group consisting of N, O and S,
R '6 to R' 8 are each independently hydrogen, or C 1-10 alkyl,
m is an integer from 1 to 10,
a1, a3, and a4 are each independently an integer of 0 to 4,
a2 and a5 are each independently an integer of 0 to 3,
x is an integer from 1 to 10,000.
L1은 페닐렌, 비페닐디일, 터페닐디일, 페닐나프탈렌디일, 비나프틸디일, 페난쓰렌디일, 스피로비플루오렌디일, 디메틸플루오렌디일, 디페닐플루오렌디일, 또는 테트라페닐플루오렌디일이고,
상기 L1은 비치환되거나, 또는 1개 또는 2개의 C1-10 알킬로 치환된,
유기 발광 소자.
The method of claim 1,
L 1 is phenylene, biphenyldiyl, terphenyldiyl, phenylnaphthalenediyl, binaphthyldiyl, phenanthrendiyl, spirobifluorenediyl, dimethylfluorenediyl, diphenylfluorenediyl, or tetraphenylfluorenediyl ego,
Wherein L 1 is unsubstituted or substituted with 1 or 2 C 1-10 alkyl,
Organic light emitting device.
L1은 하기로 구성되는 군으로부터 선택되는 어느 하나인,
유기 발광 소자:
.
The method of claim 1,
L 1 is any one selected from the group consisting of,
Organic Light-Emitting Element:
.
Ar1은 각각 독립적으로, 페닐, 비페닐릴, 나프틸, 페난쓰레닐, 또는 디메틸플루오레닐이고,
상기 Ar1은 비치환되거나, 또는 1개 내지 5개의 중수소, 또는 할로겐으로 치환된,
유기 발광 소자.
The method of claim 1,
Ar 1 is each independently phenyl, biphenylyl, naphthyl, phenanthrenyl, or dimethylfluorenyl,
Ar 1 is unsubstituted or substituted with 1 to 5 deuterium, or halogen,
Organic light emitting device.
Ar2는 각각 독립적으로, 페닐, 비페닐릴, 또는 나프틸이고,
상기 Ar2는 비치환되거나, 또는 -R; 1개 내지 5개의 중수소; 1개 또는 2개의 C1-10 알킬; 1개 내지 5개의 할로겐; C1-10 알콕시; C1-10 알콕시로 치환된 C1-10 알콕시; C1-10 할로알킬; 또는 페녹시로 치환되고,
상기 R의 정의는 제1항에서 정의한 바와 같은,
유기 발광 소자.
The method of claim 1,
Ar 2 is each independently phenyl, biphenylyl, or naphthyl,
Ar 2 is unsubstituted or -R; 1 to 5 deuterium; 1 or 2 C 1-10 alkyl; 1 to 5 halogens; C 1-10 alkoxy; C 1-10 alkoxy substituted with C 1-10 alkoxy; C 1-10 haloalkyl; Or substituted with phenoxy,
The definition of R is as defined in claim 1,
Organic light emitting device.
L2는 각각 독립적으로, 단일 결합, 부틸렌, 펜틸렌, 헥실렌, 헵틸렌, 또는 페닐렌인,
유기 발광 소자.
The method of claim 1,
Each L 2 is independently a single bond, butylene, pentylene, hexylene, heptylene, or phenylene,
Organic light emitting device.
n은 1이고,
R1은 각각 독립적으로 수소, 또는 페닐인,
유기 발광 소자.
The method of claim 1,
n is 1,
Each R 1 is independently hydrogen or phenyl,
Organic light emitting device.
R은 -L3-R2이고,
L3는 단일 결합, -O-, -S-, -CH2-, -CH2O-, -OCH2-, -CH2OCH2-, -CH2S-, -SCH2-, 또는 -CH2SCH2-이고,
R2는 하기로 구성되는 군으로부터 선택되는 어느 하나인,
유기 발광 소자:
.
The method of claim 1,
R is -L 3 -R 2 ,
L 3 is a single bond, -O-, -S-, -CH 2 -, -CH 2 O-, -OCH 2 -, -CH 2 OCH 2 -, -CH 2 S-, -SCH 2 -, or- CH 2 SCH 2 -is,
R 2 is any one selected from the group consisting of,
Organic Light-Emitting Element:
.
상기 화학식 1로 표시되는 화합물은 하기로 구성되는 군으로부터 선택되는 어느 하나의 화합물인,
유기 발광 소자:
.
The method of claim 1,
The compound represented by Formula 1 is any one compound selected from the group consisting of:
Organic Light-Emitting Element:
.
L'는 단일결합, 페닐렌, 비페닐디일, 나프틸렌, 플루오렌디일, 또는 카바졸일렌이고,
상기 L'는 비치환되거나, 또는 1개 또는 2개의 C1-10 알킬; 또는 C6-20 아릴로 치환된,
유기 발광 소자.
The method of claim 1,
L'is a single bond, phenylene, biphenyldiyl, naphthylene, fluorenediyl, or carbazolylene,
L'is unsubstituted or 1 or 2 C 1-10 alkyl; Or substituted with C 6-20 aryl,
Organic light emitting device.
m은 1, 2, 또는 3인,
유기 발광 소자.
The method of claim 1,
m is 1, 2, or 3,
Organic light emitting device.
-(L')m-는 단일결합, 또는 하기로 구성되는 군으로부터 선택되는 어느 하나인,
유기 발광 소자:
.
The method of claim 1,
-(L') m -is a single bond, or any one selected from the group consisting of
Organic Light-Emitting Element:
.
L'1 및 L'2는 각각 독립적으로, 단일결합, 페닐렌, 또는 9,9-디메틸-9H-플루오렌디일인,
유기 발광 소자.
The method of claim 1,
L' 1 and L' 2 are each independently a single bond, phenylene, or 9,9-dimethyl-9H-fluorenediyl,
Organic light emitting device.
Ar'1 및 Ar'2는 각각 독립적으로, 페닐, 비페닐릴, 플루오레닐, 카바졸일, 또는 디벤조퓨라닐이고,
상기 Ar'1 및 Ar'2는 비치환되거나, 또는 1개 또는 2개의 C1-10 알킬; C6-20 아릴; 또는 C1-4 알콕시기로 치환된 C6-20 아릴로 치환된,
유기 발광 소자.
The method of claim 1,
Ar' 1 and Ar' 2 are each independently phenyl, biphenylyl, fluorenyl, carbazolyl, or dibenzofuranyl,
Ar' 1 and Ar' 2 are unsubstituted or 1 or 2 C 1-10 alkyl; C 6-20 aryl; Or substituted with C 6-20 aryl substituted with a C 1-4 alkoxy group,
Organic light emitting device.
Ar'1 및 Ar'2 중 하나는 비페닐릴이고, 나머지 하나는 하기로 구성되는 군으로부터 선택되는 어느 하나이거나;
Ar'1 및 Ar'2 중 하나는 9,9-디메틸-9H-플루오레닐이고, 나머지 하나는 9-페닐-9H-카바졸일이거나;
Ar'1 및 Ar'2이 디벤조퓨라닐이거나;
Ar'1 및 Ar'2이 9,9-디메틸-9H-플루오레닐이거나; 또는
Ar'1 및 Ar'2이 9-페닐-9H-카바졸일인,
유기 발광 소자.
The method of claim 1,
One of Ar' 1 and Ar' 2 is biphenylyl, and the other is any one selected from the group consisting of;
One of Ar' 1 and Ar' 2 is 9,9-dimethyl-9H-fluorenyl and the other is 9-phenyl-9H-carbazolyl;
Ar' 1 and Ar' 2 are dibenzofuranyl;
Ar' 1 and Ar' 2 are 9,9-dimethyl-9H-fluorenyl; or
Ar' 1 and Ar' 2 are 9-phenyl-9H-carbazolyl,
Organic light emitting device.
R'1 내지 R'5는 각각 독립적으로, 수소 또는 중수소이고,
R'6 내지 R'8은 각각 독립적으로, 수소 또는 메틸인,
유기 발광 소자.
The method of claim 1,
R '1 to R' 5 are each independently hydrogen or deuterium,
R '6 to R' 8 are each independently hydrogen or methyl,
Organic light emitting device.
상기 화학식 2로 표시되는 반복단위는 하기 화학식 2-1로 표시되는,
유기 발광 소자:
[화학식 2-1]
상기 화학식 2-1에서,
L', L'1, L'2, Ar'1, Ar'2, R'6 내지 R'8, m 및 x는 제1항에서 정의한 바와 같다.
The method of claim 1,
The repeating unit represented by Formula 2 is represented by the following Formula 2-1,
Organic Light-Emitting Element:
[Formula 2-1]
In Formula 2-1,
L ', L' 1, L '2, Ar' 1, Ar '2, R' 6 to R '8, m and x are as defined in claim 1.
상기 화학식 2로 표시되는 반복단위는 하기로 표시되는 반복단위로 구성되는 군으로부터 선택되는 어느 하나인,
유기 발광 소자:
.
The method of claim 1,
The repeating unit represented by Formula 2 is any one selected from the group consisting of repeating units represented by the following,
Organic Light-Emitting Element:
.
상기 고분자는 상기 화학식 2로 표시되는 반복단위만을 포함하는 단일중합체(Homopolymer)인,
유기 발광 소자.
The method of claim 1,
The polymer is a homopolymer containing only the repeating unit represented by Formula 2,
Organic light emitting device.
상기 고분자는 수평균분자량(Mn)이 5,000 g/mol 내지 1,000,000 g/mol인,
유기 발광 소자.
The method of claim 1,
The polymer has a number average molecular weight (Mn) of 5,000 g/mol to 1,000,000 g/mol,
Organic light emitting device.
상기 정공주입층은 하기 화학식 3으로 표시되는 화합물을 추가로 포함하는,
유기 발광 소자:
[화학식 3]
상기 화학식 3에서,
n1 및 n2는 각각 독립적으로 1 내지 3의 정수이고, 단 n1+n2는 4이고,
Ar"1은 이고,
R"은 광경화성기; 또는 열경화성기이고,
R"1은 각각 독립적으로, 수소, 할로겐, 또는 C1-60 할로알킬이고,
n3은 1 내지 4의 정수이고,
Ar"2는 이고,
R"2는 각각 독립적으로, 수소, 할로겐, C1-60 할로알킬, 광경화성기, 또는 열경화성기이고,
n4는 1 내지 5의 정수이다.
The method of claim 1,
The hole injection layer further comprises a compound represented by the following formula (3),
Organic Light-Emitting Element:
[Formula 3]
In Chemical Formula 3,
n1 and n2 are each independently an integer of 1 to 3, provided that n1+n2 is 4,
Ar" 1 is ego,
R" is a photocurable group; or a thermosetting group,
Each R" 1 is independently hydrogen, halogen, or C 1-60 haloalkyl,
n3 is an integer from 1 to 4,
Ar" 2 is ego,
Each R" 2 is independently hydrogen, halogen, C 1-60 haloalkyl, a photocurable group, or a thermosetting group,
n4 is an integer from 1 to 5.
R"1은 각각 독립적으로, 수소, 플루오로, 또는 CF3인,
유기 발광 소자.
The method of claim 21,
Each R" 1 is independently hydrogen, fluoro, or CF 3 ,
Organic light emitting device.
Ar"1은 하기로 구성되는 군으로부터 선택되는 어느 하나인,
유기 발광 소자:
상기에서,
R"은 제21항에서 정의한 바와 같다.
The method of claim 21,
Ar" 1 is any one selected from the group consisting of,
Organic Light-Emitting Element:
Above,
R" is as defined in claim 21.
R"2는 각각 독립적으로, 수소, 플루오로, CF3, CF(CF3)2, CF2CF2CF2CF3, 광경화성기, 또는 열경화성기인,
유기 발광 소자.
The method of claim 21,
R" 2 are each independently hydrogen, fluoro, CF 3 , CF (CF 3 ) 2 , CF 2 CF 2 CF 2 CF 3 , a photocurable group, or a thermosetting group,
Organic light emitting device.
Ar"2는 하기로 구성되는 군으로부터 선택되는 어느 하나인,
유기 발광 소자:
상기에서,
R"은 제21항에서 정의한 바와 같다.
The method of claim 21,
Ar" 2 is any one selected from the group consisting of,
Organic Light-Emitting Element:
Above,
R" is as defined in claim 21.
상기 화학식 3으로 표시되는 화합물은 하기로 구성되는 군으로부터 선택되는 어느 하나인,
유기 발광 소자:
상기에서,
n1 및 n2는 제21항에서 정의한 바와 같다.
The method of claim 21,
The compound represented by Formula 3 is any one selected from the group consisting of,
Organic Light-Emitting Element:
Above,
n1 and n2 are as defined in claim 21.
상기 화학식 1으로 표시되는 화합물 및 상기 화학식 2로 표시되는 반복단위를 포함하는 고분자 중 적어도 하나는 적어도 10% 중수소화된,
유기 발광 소자.
The method of claim 1,
At least one of the compound represented by Formula 1 and the polymer including the repeating unit represented by Formula 2 is deuterated by at least 10%,
Organic light emitting device.
상기 화학식 3으로 표시되는 화합물은 적어도 10% 중수소화된,
유기 발광 소자.The method of claim 21,
The compound represented by Formula 3 is at least 10% deuterated,
Organic light emitting device.
Priority Applications (3)
| Application Number | Priority Date | Filing Date | Title |
|---|---|---|---|
| CN202080032432.4A CN113906577B (en) | 2019-08-23 | 2020-08-21 | Organic light-emitting devices |
| US17/612,017 US20230043088A1 (en) | 2019-08-23 | 2020-08-21 | Organic Light Emitting Device |
| PCT/KR2020/011164 WO2021040328A1 (en) | 2019-08-23 | 2020-08-21 | Organic light emitting device |
Applications Claiming Priority (2)
| Application Number | Priority Date | Filing Date | Title |
|---|---|---|---|
| KR1020190103999 | 2019-08-23 | ||
| KR20190103999 | 2019-08-23 |
Publications (2)
| Publication Number | Publication Date |
|---|---|
| KR20210023752A true KR20210023752A (en) | 2021-03-04 |
| KR102382573B1 KR102382573B1 (en) | 2022-04-05 |
Family
ID=75174790
Family Applications (1)
| Application Number | Title | Priority Date | Filing Date |
|---|---|---|---|
| KR1020200104870A Active KR102382573B1 (en) | 2019-08-23 | 2020-08-20 | Organic light emitting device |
Country Status (1)
| Country | Link |
|---|---|
| KR (1) | KR102382573B1 (en) |
Citations (3)
| Publication number | Priority date | Publication date | Assignee | Title |
|---|---|---|---|---|
| KR20000051826A (en) | 1999-01-27 | 2000-08-16 | 성재갑 | New organomattalic complex molecule for the fabrication of organic light emitting diodes |
| KR20190020072A (en) * | 2016-06-28 | 2019-02-27 | 다우 글로벌 테크놀로지스 엘엘씨 | Quantum dot light emitting element |
| KR20190035513A (en) * | 2017-09-26 | 2019-04-03 | 주식회사 엘지화학 | Coating composition, organic light emitting device using the same and method of manufacturing the same |
-
2020
- 2020-08-20 KR KR1020200104870A patent/KR102382573B1/en active Active
Patent Citations (3)
| Publication number | Priority date | Publication date | Assignee | Title |
|---|---|---|---|---|
| KR20000051826A (en) | 1999-01-27 | 2000-08-16 | 성재갑 | New organomattalic complex molecule for the fabrication of organic light emitting diodes |
| KR20190020072A (en) * | 2016-06-28 | 2019-02-27 | 다우 글로벌 테크놀로지스 엘엘씨 | Quantum dot light emitting element |
| KR20190035513A (en) * | 2017-09-26 | 2019-04-03 | 주식회사 엘지화학 | Coating composition, organic light emitting device using the same and method of manufacturing the same |
Also Published As
| Publication number | Publication date |
|---|---|
| KR102382573B1 (en) | 2022-04-05 |
Similar Documents
| Publication | Publication Date | Title |
|---|---|---|
| KR102670481B1 (en) | Organic light emitting device | |
| KR102153086B1 (en) | Novel polymer and organic light emitting device comprising the same | |
| KR102376145B1 (en) | Organic light emitting device | |
| KR102561761B1 (en) | Novel compound and organic light emitting device comprising the same | |
| KR102770440B1 (en) | Organic light emitting device | |
| KR102255747B1 (en) | Novel compound and organic light emitting device comprising the same | |
| KR102252886B1 (en) | Novel polymer and organic light emitting device comprising the same | |
| KR102780663B1 (en) | Organic light emitting device | |
| KR102770365B1 (en) | Organic light emitting device | |
| KR102549459B1 (en) | Novel polymer and organic light emitting device comprising the same | |
| KR20210089513A (en) | Organic light emitting device | |
| KR102770984B1 (en) | Organic light emitting device | |
| KR102836084B1 (en) | Organic light emitting device | |
| KR102742720B1 (en) | Organic light emitting device | |
| KR102382573B1 (en) | Organic light emitting device | |
| KR102770991B1 (en) | Organic light emitting device | |
| KR102734119B1 (en) | Organic light emitting device | |
| KR102780662B1 (en) | Organic light emitting device | |
| KR102814073B1 (en) | Novel compound and organic light emitting device comprising the same | |
| KR102758597B1 (en) | Organic light emitting device | |
| KR102770992B1 (en) | Organic light emitting device | |
| KR102218558B1 (en) | Novel polymer and organic light emitting device comprising the same | |
| KR102742232B1 (en) | Novel compound and organic light emitting device comprising the same | |
| KR102183112B1 (en) | Novel compound and organic light emitting device comprising the same | |
| KR20210025325A (en) | Organic light emitting device |
Legal Events
| Date | Code | Title | Description |
|---|---|---|---|
| PA0109 | Patent application |
St.27 status event code: A-0-1-A10-A12-nap-PA0109 |
|
| PA0201 | Request for examination |
St.27 status event code: A-1-2-D10-D11-exm-PA0201 |
|
| PG1501 | Laying open of application |
St.27 status event code: A-1-1-Q10-Q12-nap-PG1501 |
|
| E902 | Notification of reason for refusal | ||
| PE0902 | Notice of grounds for rejection |
St.27 status event code: A-1-2-D10-D21-exm-PE0902 |
|
| P11-X000 | Amendment of application requested |
St.27 status event code: A-2-2-P10-P11-nap-X000 |
|
| P13-X000 | Application amended |
St.27 status event code: A-2-2-P10-P13-nap-X000 |
|
| E701 | Decision to grant or registration of patent right | ||
| PE0701 | Decision of registration |
St.27 status event code: A-1-2-D10-D22-exm-PE0701 |
|
| GRNT | Written decision to grant | ||
| PR0701 | Registration of establishment |
St.27 status event code: A-2-4-F10-F11-exm-PR0701 |
|
| PR1002 | Payment of registration fee |
St.27 status event code: A-2-2-U10-U11-oth-PR1002 Fee payment year number: 1 |
|
| PG1601 | Publication of registration |
St.27 status event code: A-4-4-Q10-Q13-nap-PG1601 |
|
| P22-X000 | Classification modified |
St.27 status event code: A-4-4-P10-P22-nap-X000 |
|
| P22-X000 | Classification modified |
St.27 status event code: A-4-4-P10-P22-nap-X000 |
|
| PR1001 | Payment of annual fee |
St.27 status event code: A-4-4-U10-U11-oth-PR1001 Fee payment year number: 4 |
|
| P22-X000 | Classification modified |
St.27 status event code: A-4-4-P10-P22-nap-X000 |
|
| PR1001 | Payment of annual fee |
St.27 status event code: A-4-4-U10-U11-oth-PR1001 Fee payment year number: 5 |
|
| U11 | Full renewal or maintenance fee paid |
Free format text: ST27 STATUS EVENT CODE: A-4-4-U10-U11-OTH-PR1001 (AS PROVIDED BY THE NATIONAL OFFICE) Year of fee payment: 5 |
































































































































































