KR20200027525A - 벤조푸라논 및 산 스캐빈저를 포함하는 안정화된 폴리올레핀 조성물 - Google Patents
벤조푸라논 및 산 스캐빈저를 포함하는 안정화된 폴리올레핀 조성물 Download PDFInfo
- Publication number
- KR20200027525A KR20200027525A KR1020207003112A KR20207003112A KR20200027525A KR 20200027525 A KR20200027525 A KR 20200027525A KR 1020207003112 A KR1020207003112 A KR 1020207003112A KR 20207003112 A KR20207003112 A KR 20207003112A KR 20200027525 A KR20200027525 A KR 20200027525A
- Authority
- KR
- South Korea
- Prior art keywords
- alkyl
- ppm
- formulas
- sub
- independently hydrogen
- Prior art date
- Legal status (The legal status is an assumption and is not a legal conclusion. Google has not performed a legal analysis and makes no representation as to the accuracy of the status listed.)
- Ceased
Links
- ACZGCWSMSTYWDQ-UHFFFAOYSA-N 3h-1-benzofuran-2-one Chemical compound C1=CC=C2OC(=O)CC2=C1 ACZGCWSMSTYWDQ-UHFFFAOYSA-N 0.000 title claims abstract description 96
- 239000000203 mixture Substances 0.000 title claims abstract description 67
- 229920000098 polyolefin Polymers 0.000 title claims abstract description 59
- 239000002253 acid Substances 0.000 title claims abstract description 37
- 239000002516 radical scavenger Substances 0.000 title claims description 18
- 229910052698 phosphorus Inorganic materials 0.000 claims abstract description 11
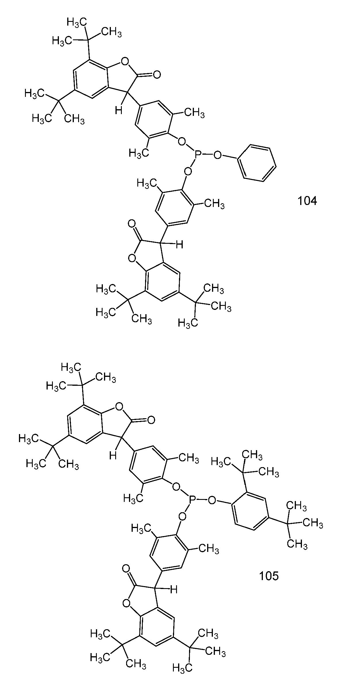
- -1 benzofuranone compound Chemical class 0.000 claims description 146
- 239000001257 hydrogen Substances 0.000 claims description 142
- 229910052739 hydrogen Inorganic materials 0.000 claims description 142
- UFHFLCQGNIYNRP-UHFFFAOYSA-N Hydrogen Chemical compound [H][H] UFHFLCQGNIYNRP-UHFFFAOYSA-N 0.000 claims description 126
- 229910052727 yttrium Inorganic materials 0.000 claims description 59
- 229910052760 oxygen Inorganic materials 0.000 claims description 57
- QVGXLLKOCUKJST-UHFFFAOYSA-N atomic oxygen Chemical compound [O] QVGXLLKOCUKJST-UHFFFAOYSA-N 0.000 claims description 55
- 239000001301 oxygen Substances 0.000 claims description 55
- 229910052736 halogen Inorganic materials 0.000 claims description 43
- 150000002367 halogens Chemical class 0.000 claims description 43
- 229920001155 polypropylene Polymers 0.000 claims description 32
- 239000004743 Polypropylene Substances 0.000 claims description 31
- 239000000654 additive Substances 0.000 claims description 25
- 125000004430 oxygen atom Chemical group O* 0.000 claims description 22
- 229910052717 sulfur Inorganic materials 0.000 claims description 22
- 125000004434 sulfur atom Chemical group 0.000 claims description 19
- 125000001997 phenyl group Chemical group [H]C1=C([H])C([H])=C(*)C([H])=C1[H] 0.000 claims description 18
- XLOMVQKBTHCTTD-UHFFFAOYSA-N Zinc monoxide Chemical compound [Zn]=O XLOMVQKBTHCTTD-UHFFFAOYSA-N 0.000 claims description 16
- 150000002431 hydrogen Chemical class 0.000 claims description 13
- 150000001875 compounds Chemical class 0.000 claims description 12
- 125000001153 fluoro group Chemical group F* 0.000 claims description 12
- 238000000034 method Methods 0.000 claims description 12
- 239000004698 Polyethylene Substances 0.000 claims description 11
- 230000000996 additive effect Effects 0.000 claims description 11
- GDVKFRBCXAPAQJ-UHFFFAOYSA-A dialuminum;hexamagnesium;carbonate;hexadecahydroxide Chemical group [OH-].[OH-].[OH-].[OH-].[OH-].[OH-].[OH-].[OH-].[OH-].[OH-].[OH-].[OH-].[OH-].[OH-].[OH-].[OH-].[Mg+2].[Mg+2].[Mg+2].[Mg+2].[Mg+2].[Mg+2].[Al+3].[Al+3].[O-]C([O-])=O GDVKFRBCXAPAQJ-UHFFFAOYSA-A 0.000 claims description 11
- 229910001701 hydrotalcite Inorganic materials 0.000 claims description 11
- 229960001545 hydrotalcite Drugs 0.000 claims description 11
- 229920000573 polyethylene Polymers 0.000 claims description 11
- CJZGTCYPCWQAJB-UHFFFAOYSA-L calcium stearate Chemical compound [Ca+2].CCCCCCCCCCCCCCCCCC([O-])=O.CCCCCCCCCCCCCCCCCC([O-])=O CJZGTCYPCWQAJB-UHFFFAOYSA-L 0.000 claims description 10
- 235000013539 calcium stearate Nutrition 0.000 claims description 10
- 239000008116 calcium stearate Substances 0.000 claims description 10
- 229910052751 metal Inorganic materials 0.000 claims description 10
- 239000002184 metal Chemical class 0.000 claims description 10
- XOOUIPVCVHRTMJ-UHFFFAOYSA-L zinc stearate Chemical compound [Zn+2].CCCCCCCCCCCCCCCCCC([O-])=O.CCCCCCCCCCCCCCCCCC([O-])=O XOOUIPVCVHRTMJ-UHFFFAOYSA-L 0.000 claims description 10
- 238000002156 mixing Methods 0.000 claims description 9
- 239000011787 zinc oxide Substances 0.000 claims description 8
- 125000004429 atom Chemical group 0.000 claims description 5
- 235000014113 dietary fatty acids Nutrition 0.000 claims description 5
- 239000000194 fatty acid Substances 0.000 claims description 5
- 229930195729 fatty acid Natural products 0.000 claims description 5
- 150000004665 fatty acids Chemical class 0.000 claims description 5
- 239000002530 phenolic antioxidant Substances 0.000 claims description 5
- 229910052784 alkaline earth metal Inorganic materials 0.000 claims description 4
- 238000004519 manufacturing process Methods 0.000 claims description 4
- 230000000087 stabilizing effect Effects 0.000 claims description 4
- 230000002939 deleterious effect Effects 0.000 claims description 3
- WPMYUUITDBHVQZ-UHFFFAOYSA-N 3-(3,5-ditert-butyl-4-hydroxyphenyl)propanoic acid Chemical class CC(C)(C)C1=CC(CCC(O)=O)=CC(C(C)(C)C)=C1O WPMYUUITDBHVQZ-UHFFFAOYSA-N 0.000 claims description 2
- NINIDFKCEFEMDL-UHFFFAOYSA-N Sulfur Chemical compound [S] NINIDFKCEFEMDL-UHFFFAOYSA-N 0.000 claims description 2
- 239000003513 alkali Substances 0.000 claims description 2
- UJOHNXQDVUADCG-UHFFFAOYSA-L aluminum;magnesium;carbonate Chemical class [Mg+2].[Al+3].[O-]C([O-])=O UJOHNXQDVUADCG-UHFFFAOYSA-L 0.000 claims description 2
- 125000003884 phenylalkyl group Chemical group 0.000 claims description 2
- 150000003839 salts Chemical class 0.000 claims description 2
- 239000011593 sulfur Substances 0.000 claims description 2
- 229910044991 metal oxide Chemical class 0.000 claims 1
- 150000004706 metal oxides Chemical class 0.000 claims 1
- 229920000642 polymer Polymers 0.000 abstract description 27
- 239000011574 phosphorus Substances 0.000 abstract description 8
- OAICVXFJPJFONN-UHFFFAOYSA-N Phosphorus Chemical compound [P] OAICVXFJPJFONN-UHFFFAOYSA-N 0.000 abstract description 7
- 230000014759 maintenance of location Effects 0.000 abstract description 6
- 238000010128 melt processing Methods 0.000 abstract description 4
- 238000002845 discoloration Methods 0.000 abstract 1
- QQONPFPTGQHPMA-UHFFFAOYSA-N propylene Natural products CC=C QQONPFPTGQHPMA-UHFFFAOYSA-N 0.000 description 15
- 125000004805 propylene group Chemical group [H]C([H])([H])C([H])([*:1])C([H])([H])[*:2] 0.000 description 13
- 229920001577 copolymer Polymers 0.000 description 11
- 239000003381 stabilizer Substances 0.000 description 10
- 125000000217 alkyl group Chemical group 0.000 description 9
- 239000003054 catalyst Substances 0.000 description 9
- 239000000463 material Substances 0.000 description 9
- 238000001125 extrusion Methods 0.000 description 8
- 125000002496 methyl group Chemical group [H]C([H])([H])* 0.000 description 8
- 238000006116 polymerization reaction Methods 0.000 description 8
- 150000001412 amines Chemical class 0.000 description 7
- 125000006309 butyl amino group Chemical group 0.000 description 7
- 239000011777 magnesium Substances 0.000 description 7
- 238000000465 moulding Methods 0.000 description 7
- 239000000047 product Substances 0.000 description 7
- KWKAKUADMBZCLK-UHFFFAOYSA-N 1-octene Chemical compound CCCCCCC=C KWKAKUADMBZCLK-UHFFFAOYSA-N 0.000 description 6
- IJGRMHOSHXDMSA-UHFFFAOYSA-N Atomic nitrogen Chemical compound N#N IJGRMHOSHXDMSA-UHFFFAOYSA-N 0.000 description 6
- 229920001400 block copolymer Polymers 0.000 description 6
- 125000001309 chloro group Chemical group Cl* 0.000 description 6
- 238000004132 cross linking Methods 0.000 description 6
- 125000001495 ethyl group Chemical group [H]C([H])([H])C([H])([H])* 0.000 description 6
- 239000000945 filler Substances 0.000 description 6
- 238000009472 formulation Methods 0.000 description 6
- 229920001903 high density polyethylene Polymers 0.000 description 6
- 239000004700 high-density polyethylene Substances 0.000 description 6
- VAMFXQBUQXONLZ-UHFFFAOYSA-N n-alpha-eicosene Natural products CCCCCCCCCCCCCCCCCCC=C VAMFXQBUQXONLZ-UHFFFAOYSA-N 0.000 description 6
- 229910052757 nitrogen Inorganic materials 0.000 description 6
- 229920005606 polypropylene copolymer Polymers 0.000 description 6
- 229920005629 polypropylene homopolymer Polymers 0.000 description 6
- 229940124543 ultraviolet light absorber Drugs 0.000 description 6
- 239000006097 ultraviolet radiation absorber Substances 0.000 description 6
- 239000004711 α-olefin Substances 0.000 description 6
- JRZJOMJEPLMPRA-UHFFFAOYSA-N 1-nonene Chemical compound CCCCCCCC=C JRZJOMJEPLMPRA-UHFFFAOYSA-N 0.000 description 5
- 239000006096 absorbing agent Substances 0.000 description 5
- 238000006243 chemical reaction Methods 0.000 description 5
- 150000002148 esters Chemical class 0.000 description 5
- 239000011521 glass Substances 0.000 description 5
- 239000010410 layer Substances 0.000 description 5
- 239000002667 nucleating agent Substances 0.000 description 5
- OJMIONKXNSYLSR-UHFFFAOYSA-N phosphorous acid Chemical compound OP(O)O OJMIONKXNSYLSR-UHFFFAOYSA-N 0.000 description 5
- OJOWICOBYCXEKR-APPZFPTMSA-N (1S,4R)-5-ethylidenebicyclo[2.2.1]hept-2-ene Chemical compound CC=C1C[C@@H]2C[C@@H]1C=C2 OJOWICOBYCXEKR-APPZFPTMSA-N 0.000 description 4
- HJIAMFHSAAEUKR-UHFFFAOYSA-N (2-hydroxyphenyl)-phenylmethanone Chemical compound OC1=CC=CC=C1C(=O)C1=CC=CC=C1 HJIAMFHSAAEUKR-UHFFFAOYSA-N 0.000 description 4
- JYEUMXHLPRZUAT-UHFFFAOYSA-N 1,2,3-triazine Chemical compound C1=CN=NN=C1 JYEUMXHLPRZUAT-UHFFFAOYSA-N 0.000 description 4
- VXNZUUAINFGPBY-UHFFFAOYSA-N 1-Butene Chemical compound CCC=C VXNZUUAINFGPBY-UHFFFAOYSA-N 0.000 description 4
- ZGEGCLOFRBLKSE-UHFFFAOYSA-N 1-Heptene Chemical compound CCCCCC=C ZGEGCLOFRBLKSE-UHFFFAOYSA-N 0.000 description 4
- AFFLGGQVNFXPEV-UHFFFAOYSA-N 1-decene Chemical compound CCCCCCCCC=C AFFLGGQVNFXPEV-UHFFFAOYSA-N 0.000 description 4
- CRSBERNSMYQZNG-UHFFFAOYSA-N 1-dodecene Chemical compound CCCCCCCCCCC=C CRSBERNSMYQZNG-UHFFFAOYSA-N 0.000 description 4
- GQEZCXVZFLOKMC-UHFFFAOYSA-N 1-hexadecene Chemical compound CCCCCCCCCCCCCCC=C GQEZCXVZFLOKMC-UHFFFAOYSA-N 0.000 description 4
- LIKMAJRDDDTEIG-UHFFFAOYSA-N 1-hexene Chemical compound CCCCC=C LIKMAJRDDDTEIG-UHFFFAOYSA-N 0.000 description 4
- HFDVRLIODXPAHB-UHFFFAOYSA-N 1-tetradecene Chemical compound CCCCCCCCCCCCC=C HFDVRLIODXPAHB-UHFFFAOYSA-N 0.000 description 4
- DCTOHCCUXLBQMS-UHFFFAOYSA-N 1-undecene Chemical compound CCCCCCCCCC=C DCTOHCCUXLBQMS-UHFFFAOYSA-N 0.000 description 4
- VVISQEKWYPFFLK-UHFFFAOYSA-N 2-n,2-n,4-n,4-n-tetrabutyl-6-chloro-1,3,5-triazine-2,4-diamine Chemical compound CCCCN(CCCC)C1=NC(Cl)=NC(N(CCCC)CCCC)=N1 VVISQEKWYPFFLK-UHFFFAOYSA-N 0.000 description 4
- WSSSPWUEQFSQQG-UHFFFAOYSA-N 4-methyl-1-pentene Chemical compound CC(C)CC=C WSSSPWUEQFSQQG-UHFFFAOYSA-N 0.000 description 4
- FBPFZTCFMRRESA-FSIIMWSLSA-N D-Glucitol Natural products OC[C@H](O)[C@H](O)[C@@H](O)[C@H](O)CO FBPFZTCFMRRESA-FSIIMWSLSA-N 0.000 description 4
- VGGSQFUCUMXWEO-UHFFFAOYSA-N Ethene Chemical compound C=C VGGSQFUCUMXWEO-UHFFFAOYSA-N 0.000 description 4
- 239000005977 Ethylene Substances 0.000 description 4
- AVXURJPOCDRRFD-UHFFFAOYSA-N Hydroxylamine Chemical compound ON AVXURJPOCDRRFD-UHFFFAOYSA-N 0.000 description 4
- 239000004594 Masterbatch (MB) Substances 0.000 description 4
- 239000007983 Tris buffer Substances 0.000 description 4
- 125000003118 aryl group Chemical group 0.000 description 4
- 239000004744 fabric Substances 0.000 description 4
- 238000009413 insulation Methods 0.000 description 4
- 125000001449 isopropyl group Chemical group [H]C([H])([H])C([H])(*)C([H])([H])[H] 0.000 description 4
- 229910052749 magnesium Inorganic materials 0.000 description 4
- 239000000155 melt Substances 0.000 description 4
- TVMXDCGIABBOFY-UHFFFAOYSA-N n-Octanol Natural products CCCCCCCC TVMXDCGIABBOFY-UHFFFAOYSA-N 0.000 description 4
- CCCMONHAUSKTEQ-UHFFFAOYSA-N octadec-1-ene Chemical compound CCCCCCCCCCCCCCCCC=C CCCMONHAUSKTEQ-UHFFFAOYSA-N 0.000 description 4
- 239000003921 oil Substances 0.000 description 4
- YWAKXRMUMFPDSH-UHFFFAOYSA-N pentene Chemical compound CCCC=C YWAKXRMUMFPDSH-UHFFFAOYSA-N 0.000 description 4
- 238000012545 processing Methods 0.000 description 4
- 239000000600 sorbitol Substances 0.000 description 4
- 239000002699 waste material Substances 0.000 description 4
- XLYOFNOQVPJJNP-UHFFFAOYSA-N water Substances O XLYOFNOQVPJJNP-UHFFFAOYSA-N 0.000 description 4
- 229940106006 1-eicosene Drugs 0.000 description 3
- FIKTURVKRGQNQD-UHFFFAOYSA-N 1-eicosene Natural products CCCCCCCCCCCCCCCCCC=CC(O)=O FIKTURVKRGQNQD-UHFFFAOYSA-N 0.000 description 3
- HECLRDQVFMWTQS-RGOKHQFPSA-N 1755-01-7 Chemical compound C1[C@H]2[C@@H]3CC=C[C@@H]3[C@@H]1C=C2 HECLRDQVFMWTQS-RGOKHQFPSA-N 0.000 description 3
- SITYOOWCYAYOKL-UHFFFAOYSA-N 2-[4,6-bis(2,4-dimethylphenyl)-1,3,5-triazin-2-yl]-5-(3-dodecoxy-2-hydroxypropoxy)phenol Chemical compound OC1=CC(OCC(O)COCCCCCCCCCCCC)=CC=C1C1=NC(C=2C(=CC(C)=CC=2)C)=NC(C=2C(=CC(C)=CC=2)C)=N1 SITYOOWCYAYOKL-UHFFFAOYSA-N 0.000 description 3
- ZSSVCEUEVMALRD-UHFFFAOYSA-N 2-[4,6-bis(2,4-dimethylphenyl)-1,3,5-triazin-2-yl]-5-(octyloxy)phenol Chemical compound OC1=CC(OCCCCCCCC)=CC=C1C1=NC(C=2C(=CC(C)=CC=2)C)=NC(C=2C(=CC(C)=CC=2)C)=N1 ZSSVCEUEVMALRD-UHFFFAOYSA-N 0.000 description 3
- 125000003903 2-propenyl group Chemical group [H]C([*])([H])C([H])=C([H])[H] 0.000 description 3
- OYPRJOBELJOOCE-UHFFFAOYSA-N Calcium Chemical compound [Ca] OYPRJOBELJOOCE-UHFFFAOYSA-N 0.000 description 3
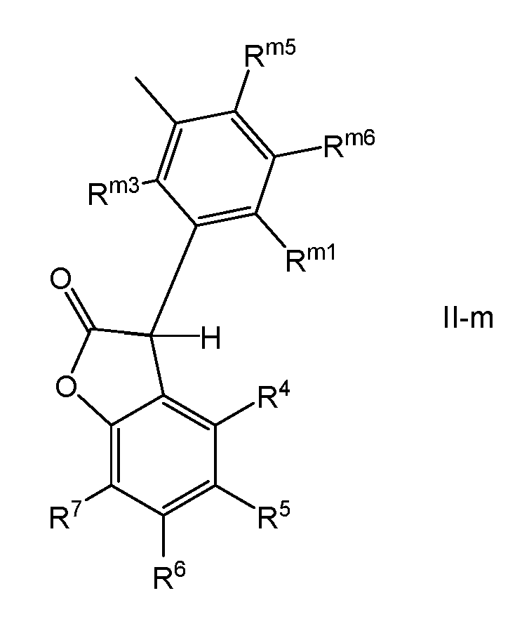
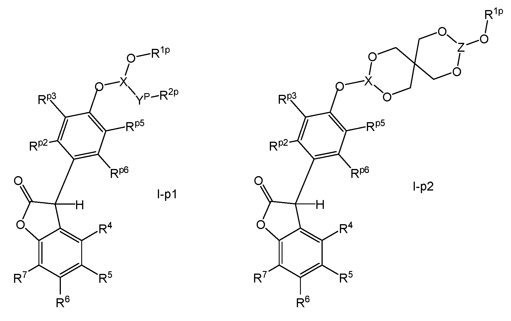
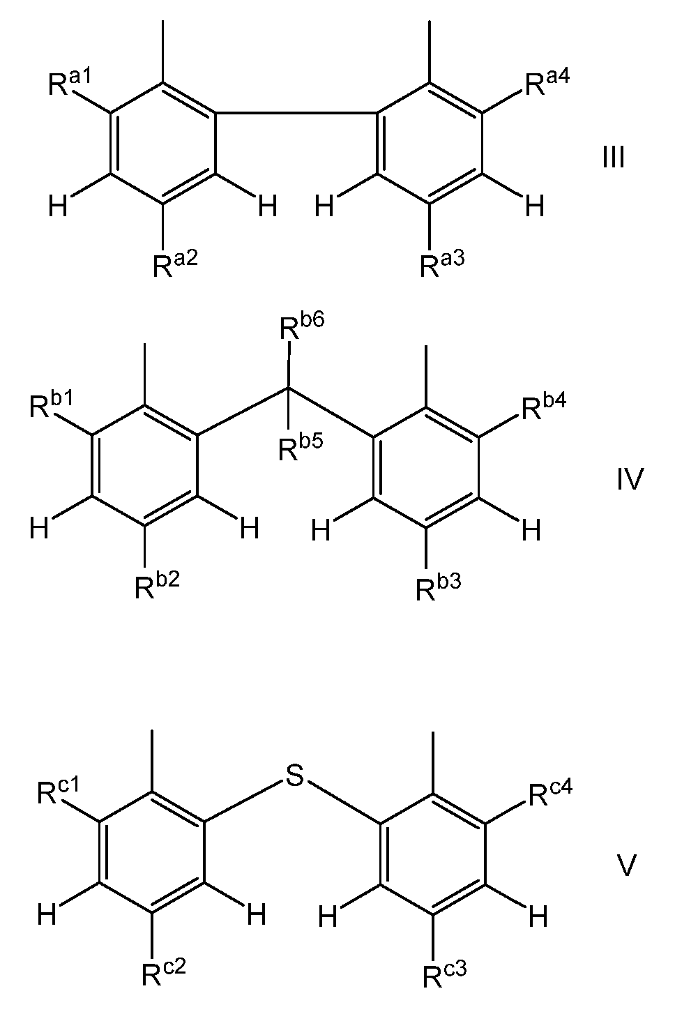
- 0 Cc1c(*)c(*)c(*)c(C(c2c(*)c(*)c(*)c(*)c2O2)(C2=O)I)c1* Chemical compound Cc1c(*)c(*)c(*)c(C(c2c(*)c(*)c(*)c(*)c2O2)(C2=O)I)c1* 0.000 description 3
- LFQSCWFLJHTTHZ-UHFFFAOYSA-N Ethanol Chemical compound CCO LFQSCWFLJHTTHZ-UHFFFAOYSA-N 0.000 description 3
- LYCAIKOWRPUZTN-UHFFFAOYSA-N Ethylene glycol Chemical compound OCCO LYCAIKOWRPUZTN-UHFFFAOYSA-N 0.000 description 3
- PEDCQBHIVMGVHV-UHFFFAOYSA-N Glycerine Chemical compound OCC(O)CO PEDCQBHIVMGVHV-UHFFFAOYSA-N 0.000 description 3
- OKKJLVBELUTLKV-UHFFFAOYSA-N Methanol Chemical compound OC OKKJLVBELUTLKV-UHFFFAOYSA-N 0.000 description 3
- ISWSIDIOOBJBQZ-UHFFFAOYSA-N Phenol Chemical compound OC1=CC=CC=C1 ISWSIDIOOBJBQZ-UHFFFAOYSA-N 0.000 description 3
- JKIJEFPNVSHHEI-UHFFFAOYSA-N Phenol, 2,4-bis(1,1-dimethylethyl)-, phosphite (3:1) Chemical compound CC(C)(C)C1=CC(C(C)(C)C)=CC=C1OP(OC=1C(=CC(=CC=1)C(C)(C)C)C(C)(C)C)OC1=CC=C(C(C)(C)C)C=C1C(C)(C)C JKIJEFPNVSHHEI-UHFFFAOYSA-N 0.000 description 3
- HCHKCACWOHOZIP-UHFFFAOYSA-N Zinc Chemical compound [Zn] HCHKCACWOHOZIP-UHFFFAOYSA-N 0.000 description 3
- 239000003963 antioxidant agent Substances 0.000 description 3
- 230000003078 antioxidant effect Effects 0.000 description 3
- 235000006708 antioxidants Nutrition 0.000 description 3
- OCWYEMOEOGEQAN-UHFFFAOYSA-N bumetrizole Chemical compound CC(C)(C)C1=CC(C)=CC(N2N=C3C=C(Cl)C=CC3=N2)=C1O OCWYEMOEOGEQAN-UHFFFAOYSA-N 0.000 description 3
- 239000011575 calcium Substances 0.000 description 3
- 229910052791 calcium Inorganic materials 0.000 description 3
- 239000007795 chemical reaction product Substances 0.000 description 3
- 238000000576 coating method Methods 0.000 description 3
- MTHSVFCYNBDYFN-UHFFFAOYSA-N diethylene glycol Chemical compound OCCOCCO MTHSVFCYNBDYFN-UHFFFAOYSA-N 0.000 description 3
- 239000000835 fiber Substances 0.000 description 3
- 229910052731 fluorine Inorganic materials 0.000 description 3
- 239000006260 foam Substances 0.000 description 3
- 235000013305 food Nutrition 0.000 description 3
- 239000007789 gas Substances 0.000 description 3
- NZYMWGXNIUZYRC-UHFFFAOYSA-N hexadecyl 3,5-ditert-butyl-4-hydroxybenzoate Chemical compound CCCCCCCCCCCCCCCCOC(=O)C1=CC(C(C)(C)C)=C(O)C(C(C)(C)C)=C1 NZYMWGXNIUZYRC-UHFFFAOYSA-N 0.000 description 3
- 125000004435 hydrogen atom Chemical group [H]* 0.000 description 3
- 239000004611 light stabiliser Substances 0.000 description 3
- 229920001526 metallocene linear low density polyethylene Polymers 0.000 description 3
- UKJARPDLRWBRAX-UHFFFAOYSA-N n,n'-bis(2,2,6,6-tetramethylpiperidin-4-yl)hexane-1,6-diamine Chemical compound C1C(C)(C)NC(C)(C)CC1NCCCCCCNC1CC(C)(C)NC(C)(C)C1 UKJARPDLRWBRAX-UHFFFAOYSA-N 0.000 description 3
- 230000003647 oxidation Effects 0.000 description 3
- 238000007254 oxidation reaction Methods 0.000 description 3
- 238000012856 packing Methods 0.000 description 3
- 229920005638 polyethylene monopolymer Polymers 0.000 description 3
- 230000005855 radiation Effects 0.000 description 3
- 125000002914 sec-butyl group Chemical group [H]C([H])([H])C([H])([H])C([H])(*)C([H])([H])[H] 0.000 description 3
- 239000007787 solid Substances 0.000 description 3
- 238000003860 storage Methods 0.000 description 3
- 125000000999 tert-butyl group Chemical group [H]C([H])([H])C(*)(C([H])([H])[H])C([H])([H])[H] 0.000 description 3
- HVLLSGMXQDNUAL-UHFFFAOYSA-N triphenyl phosphite Chemical compound C=1C=CC=CC=1OP(OC=1C=CC=CC=1)OC1=CC=CC=C1 HVLLSGMXQDNUAL-UHFFFAOYSA-N 0.000 description 3
- YWEWWNPYDDHZDI-JJKKTNRVSA-N (1r)-1-[(4r,4ar,8as)-2,6-bis(3,4-dimethylphenyl)-4,4a,8,8a-tetrahydro-[1,3]dioxino[5,4-d][1,3]dioxin-4-yl]ethane-1,2-diol Chemical compound C1=C(C)C(C)=CC=C1C1O[C@H]2[C@@H]([C@H](O)CO)OC(C=3C=C(C)C(C)=CC=3)O[C@H]2CO1 YWEWWNPYDDHZDI-JJKKTNRVSA-N 0.000 description 2
- VKLDCBNUFZIAFK-UHFFFAOYSA-N 1,1-bis[2,4-bis(2-phenylpropan-2-yl)phenyl]-2,2-bis(hydroxymethyl)propane-1,3-diol dihydroxyphosphanyl dihydrogen phosphite Chemical compound OP(O)OP(O)O.C(C)(C)(C1=CC=CC=C1)C1=C(C=CC(=C1)C(C)(C)C1=CC=CC=C1)C(O)(C(CO)(CO)CO)C1=C(C=C(C=C1)C(C)(C)C1=CC=CC=C1)C(C)(C)C1=CC=CC=C1 VKLDCBNUFZIAFK-UHFFFAOYSA-N 0.000 description 2
- XTFIVUDBNACUBN-UHFFFAOYSA-N 1,3,5-trinitro-1,3,5-triazinane Chemical compound [O-][N+](=O)N1CN([N+]([O-])=O)CN([N+]([O-])=O)C1 XTFIVUDBNACUBN-UHFFFAOYSA-N 0.000 description 2
- OMXANELYEWRDAW-UHFFFAOYSA-N 1-Hexacosene Chemical compound CCCCCCCCCCCCCCCCCCCCCCCCC=C OMXANELYEWRDAW-UHFFFAOYSA-N 0.000 description 2
- SPURMHFLEKVAAS-UHFFFAOYSA-N 1-docosene Chemical compound CCCCCCCCCCCCCCCCCCCCC=C SPURMHFLEKVAAS-UHFFFAOYSA-N 0.000 description 2
- SDRZFSPCVYEJTP-UHFFFAOYSA-N 1-ethenylcyclohexene Chemical compound C=CC1=CCCCC1 SDRZFSPCVYEJTP-UHFFFAOYSA-N 0.000 description 2
- CVSXFBFIOUYODT-UHFFFAOYSA-N 178671-58-4 Chemical compound C=1C=CC=CC=1C(C=1C=CC=CC=1)=C(C#N)C(=O)OCC(COC(=O)C(C#N)=C(C=1C=CC=CC=1)C=1C=CC=CC=1)(COC(=O)C(C#N)=C(C=1C=CC=CC=1)C=1C=CC=CC=1)COC(=O)C(C#N)=C(C=1C=CC=CC=1)C1=CC=CC=C1 CVSXFBFIOUYODT-UHFFFAOYSA-N 0.000 description 2
- JLZIIHMTTRXXIN-UHFFFAOYSA-N 2-(2-hydroxy-4-methoxybenzoyl)benzoic acid Chemical compound OC1=CC(OC)=CC=C1C(=O)C1=CC=CC=C1C(O)=O JLZIIHMTTRXXIN-UHFFFAOYSA-N 0.000 description 2
- OLFNXLXEGXRUOI-UHFFFAOYSA-N 2-(benzotriazol-2-yl)-4,6-bis(2-phenylpropan-2-yl)phenol Chemical compound C=1C(N2N=C3C=CC=CC3=N2)=C(O)C(C(C)(C)C=2C=CC=CC=2)=CC=1C(C)(C)C1=CC=CC=C1 OLFNXLXEGXRUOI-UHFFFAOYSA-N 0.000 description 2
- 125000006176 2-ethylbutyl group Chemical group [H]C([H])([H])C([H])([H])C([H])(C([H])([H])*)C([H])([H])C([H])([H])[H] 0.000 description 2
- 125000004200 2-methoxyethyl group Chemical group [H]C([H])([H])OC([H])([H])C([H])([H])* 0.000 description 2
- 125000005916 2-methylpentyl group Chemical group 0.000 description 2
- RXFCIXRFAJRBSG-UHFFFAOYSA-N 3,2,3-tetramine Chemical compound NCCCNCCNCCCN RXFCIXRFAJRBSG-UHFFFAOYSA-N 0.000 description 2
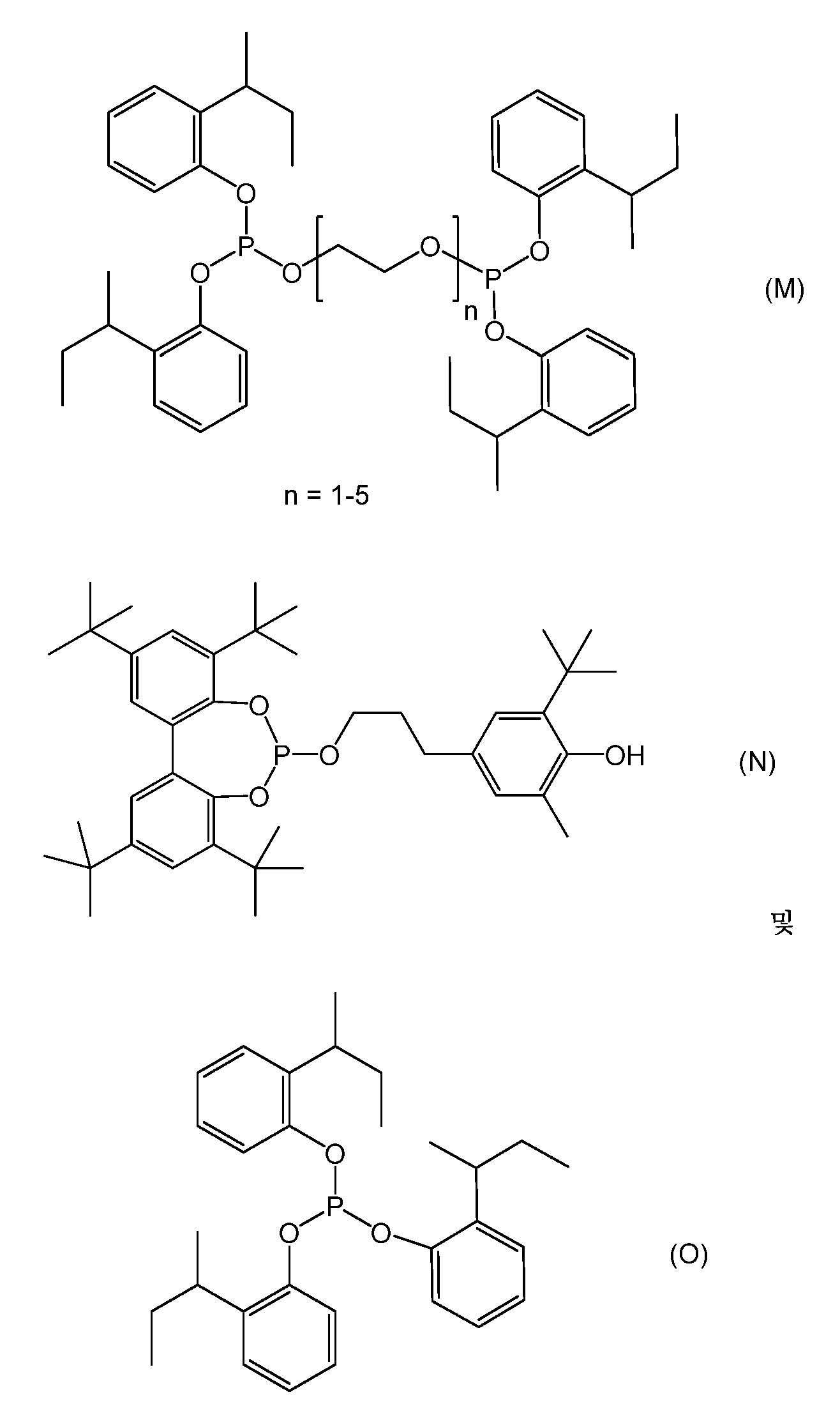
- AIBRSVLEQRWAEG-UHFFFAOYSA-N 3,9-bis(2,4-ditert-butylphenoxy)-2,4,8,10-tetraoxa-3,9-diphosphaspiro[5.5]undecane Chemical compound CC(C)(C)C1=CC(C(C)(C)C)=CC=C1OP1OCC2(COP(OC=3C(=CC(=CC=3)C(C)(C)C)C(C)(C)C)OC2)CO1 AIBRSVLEQRWAEG-UHFFFAOYSA-N 0.000 description 2
- ZCILGMFPJBRCNO-UHFFFAOYSA-N 4-phenyl-2H-benzotriazol-5-ol Chemical group OC1=CC=C2NN=NC2=C1C1=CC=CC=C1 ZCILGMFPJBRCNO-UHFFFAOYSA-N 0.000 description 2
- 239000005995 Aluminium silicate Substances 0.000 description 2
- 229920001651 Cyanoacrylate Polymers 0.000 description 2
- 229920000089 Cyclic olefin copolymer Polymers 0.000 description 2
- FBPFZTCFMRRESA-JGWLITMVSA-N D-glucitol Chemical compound OC[C@H](O)[C@@H](O)[C@H](O)[C@H](O)CO FBPFZTCFMRRESA-JGWLITMVSA-N 0.000 description 2
- RTZKZFJDLAIYFH-UHFFFAOYSA-N Diethyl ether Chemical compound CCOCC RTZKZFJDLAIYFH-UHFFFAOYSA-N 0.000 description 2
- DGAQECJNVWCQMB-PUAWFVPOSA-M Ilexoside XXIX Chemical compound C[C@@H]1CC[C@@]2(CC[C@@]3(C(=CC[C@H]4[C@]3(CC[C@@H]5[C@@]4(CC[C@@H](C5(C)C)OS(=O)(=O)[O-])C)C)[C@@H]2[C@]1(C)O)C)C(=O)O[C@H]6[C@@H]([C@H]([C@@H]([C@H](O6)CO)O)O)O.[Na+] DGAQECJNVWCQMB-PUAWFVPOSA-M 0.000 description 2
- FYYHWMGAXLPEAU-UHFFFAOYSA-N Magnesium Chemical compound [Mg] FYYHWMGAXLPEAU-UHFFFAOYSA-N 0.000 description 2
- MWCLLHOVUTZFKS-UHFFFAOYSA-N Methyl cyanoacrylate Chemical compound COC(=O)C(=C)C#N MWCLLHOVUTZFKS-UHFFFAOYSA-N 0.000 description 2
- ZLMJMSJWJFRBEC-UHFFFAOYSA-N Potassium Chemical compound [K] ZLMJMSJWJFRBEC-UHFFFAOYSA-N 0.000 description 2
- BGYHLZZASRKEJE-UHFFFAOYSA-N [3-[3-(3,5-ditert-butyl-4-hydroxyphenyl)propanoyloxy]-2,2-bis[3-(3,5-ditert-butyl-4-hydroxyphenyl)propanoyloxymethyl]propyl] 3-(3,5-ditert-butyl-4-hydroxyphenyl)propanoate Chemical compound CC(C)(C)C1=C(O)C(C(C)(C)C)=CC(CCC(=O)OCC(COC(=O)CCC=2C=C(C(O)=C(C=2)C(C)(C)C)C(C)(C)C)(COC(=O)CCC=2C=C(C(O)=C(C=2)C(C)(C)C)C(C)(C)C)COC(=O)CCC=2C=C(C(O)=C(C=2)C(C)(C)C)C(C)(C)C)=C1 BGYHLZZASRKEJE-UHFFFAOYSA-N 0.000 description 2
- 239000012190 activator Substances 0.000 description 2
- 239000000853 adhesive Substances 0.000 description 2
- 230000001070 adhesive effect Effects 0.000 description 2
- 150000001336 alkenes Chemical class 0.000 description 2
- 125000003342 alkenyl group Chemical group 0.000 description 2
- 125000003545 alkoxy group Chemical group 0.000 description 2
- 235000012211 aluminium silicate Nutrition 0.000 description 2
- 239000002216 antistatic agent Substances 0.000 description 2
- 125000001797 benzyl group Chemical group [H]C1=C([H])C([H])=C(C([H])=C1[H])C([H])([H])* 0.000 description 2
- 230000015572 biosynthetic process Effects 0.000 description 2
- ZEFSGHVBJCEKAZ-UHFFFAOYSA-N bis(2,4-ditert-butyl-6-methylphenyl) ethyl phosphite Chemical compound CC=1C=C(C(C)(C)C)C=C(C(C)(C)C)C=1OP(OCC)OC1=C(C)C=C(C(C)(C)C)C=C1C(C)(C)C ZEFSGHVBJCEKAZ-UHFFFAOYSA-N 0.000 description 2
- 238000000071 blow moulding Methods 0.000 description 2
- HQABUPZFAYXKJW-UHFFFAOYSA-N butan-1-amine Chemical compound CCCCN HQABUPZFAYXKJW-UHFFFAOYSA-N 0.000 description 2
- KBPLFHHGFOOTCA-UHFFFAOYSA-N caprylic alcohol Natural products CCCCCCCCO KBPLFHHGFOOTCA-UHFFFAOYSA-N 0.000 description 2
- 229910052799 carbon Inorganic materials 0.000 description 2
- 125000004432 carbon atom Chemical group C* 0.000 description 2
- 239000003795 chemical substances by application Substances 0.000 description 2
- 229910052801 chlorine Inorganic materials 0.000 description 2
- 238000005253 cladding Methods 0.000 description 2
- 239000011248 coating agent Substances 0.000 description 2
- 239000002131 composite material Substances 0.000 description 2
- 238000007906 compression Methods 0.000 description 2
- 230000006835 compression Effects 0.000 description 2
- 238000010276 construction Methods 0.000 description 2
- 238000005520 cutting process Methods 0.000 description 2
- MGNZXYYWBUKAII-UHFFFAOYSA-N cyclohexa-1,3-diene Chemical compound C1CC=CC=C1 MGNZXYYWBUKAII-UHFFFAOYSA-N 0.000 description 2
- 125000000113 cyclohexyl group Chemical group [H]C1([H])C([H])([H])C([H])([H])C([H])(*)C([H])([H])C1([H])[H] 0.000 description 2
- ZSWFCLXCOIISFI-UHFFFAOYSA-N cyclopentadiene Chemical compound C1C=CC=C1 ZSWFCLXCOIISFI-UHFFFAOYSA-N 0.000 description 2
- DIOQZVSQGTUSAI-UHFFFAOYSA-N decane Chemical compound CCCCCCCCCC DIOQZVSQGTUSAI-UHFFFAOYSA-N 0.000 description 2
- ZJIPHXXDPROMEF-UHFFFAOYSA-N dihydroxyphosphanyl dihydrogen phosphite Chemical compound OP(O)OP(O)O ZJIPHXXDPROMEF-UHFFFAOYSA-N 0.000 description 2
- KPUWHANPEXNPJT-UHFFFAOYSA-N disiloxane Chemical class [SiH3]O[SiH3] KPUWHANPEXNPJT-UHFFFAOYSA-N 0.000 description 2
- 238000009826 distribution Methods 0.000 description 2
- SNRUBQQJIBEYMU-UHFFFAOYSA-N dodecane Chemical compound CCCCCCCCCCCC SNRUBQQJIBEYMU-UHFFFAOYSA-N 0.000 description 2
- 229940069096 dodecene Drugs 0.000 description 2
- MCPKSFINULVDNX-UHFFFAOYSA-N drometrizole Chemical compound CC1=CC=C(O)C(N2N=C3C=CC=CC3=N2)=C1 MCPKSFINULVDNX-UHFFFAOYSA-N 0.000 description 2
- 238000005516 engineering process Methods 0.000 description 2
- LDLDYFCCDKENPD-UHFFFAOYSA-N ethenylcyclohexane Chemical compound C=CC1CCCCC1 LDLDYFCCDKENPD-UHFFFAOYSA-N 0.000 description 2
- 238000007765 extrusion coating Methods 0.000 description 2
- 239000000446 fuel Substances 0.000 description 2
- 238000010438 heat treatment Methods 0.000 description 2
- AHAREKHAZNPPMI-UHFFFAOYSA-N hexa-1,3-diene Chemical compound CCC=CC=C AHAREKHAZNPPMI-UHFFFAOYSA-N 0.000 description 2
- 229920001519 homopolymer Polymers 0.000 description 2
- 239000002440 industrial waste Substances 0.000 description 2
- 125000000959 isobutyl group Chemical group [H]C([H])([H])C([H])(C([H])([H])[H])C([H])([H])* 0.000 description 2
- 125000004491 isohexyl group Chemical group C(CCC(C)C)* 0.000 description 2
- 125000001972 isopentyl group Chemical group [H]C([H])([H])C([H])(C([H])([H])[H])C([H])([H])C([H])([H])* 0.000 description 2
- NLYAJNPCOHFWQQ-UHFFFAOYSA-N kaolin Chemical compound O.O.O=[Al]O[Si](=O)O[Si](=O)O[Al]=O NLYAJNPCOHFWQQ-UHFFFAOYSA-N 0.000 description 2
- 229920000092 linear low density polyethylene Polymers 0.000 description 2
- 239000004707 linear low-density polyethylene Substances 0.000 description 2
- HQKMJHAJHXVSDF-UHFFFAOYSA-L magnesium stearate Chemical compound [Mg+2].CCCCCCCCCCCCCCCCCC([O-])=O.CCCCCCCCCCCCCCCCCC([O-])=O HQKMJHAJHXVSDF-UHFFFAOYSA-L 0.000 description 2
- JDSHMPZPIAZGSV-UHFFFAOYSA-N melamine Chemical compound NC1=NC(N)=NC(N)=N1 JDSHMPZPIAZGSV-UHFFFAOYSA-N 0.000 description 2
- 239000012528 membrane Substances 0.000 description 2
- 150000002739 metals Chemical class 0.000 description 2
- 239000002362 mulch Substances 0.000 description 2
- GXELTROTKVKZBQ-UHFFFAOYSA-N n,n-dibenzylhydroxylamine Chemical compound C=1C=CC=CC=1CN(O)CC1=CC=CC=C1 GXELTROTKVKZBQ-UHFFFAOYSA-N 0.000 description 2
- DHXOCDLHWYUUAG-UHFFFAOYSA-N n,n-didodecylhydroxylamine Chemical compound CCCCCCCCCCCCN(O)CCCCCCCCCCCC DHXOCDLHWYUUAG-UHFFFAOYSA-N 0.000 description 2
- 125000004108 n-butyl group Chemical group [H]C([H])([H])C([H])([H])C([H])([H])C([H])([H])* 0.000 description 2
- 125000001280 n-hexyl group Chemical group C(CCCCC)* 0.000 description 2
- 125000000740 n-pentyl group Chemical group [H]C([H])([H])C([H])([H])C([H])([H])C([H])([H])C([H])([H])* 0.000 description 2
- 125000004123 n-propyl group Chemical group [H]C([H])([H])C([H])([H])C([H])([H])* 0.000 description 2
- 150000002848 norbornenes Chemical class 0.000 description 2
- GLDOVTGHNKAZLK-UHFFFAOYSA-N octadecan-1-ol Chemical compound CCCCCCCCCCCCCCCCCCO GLDOVTGHNKAZLK-UHFFFAOYSA-N 0.000 description 2
- SSDSCDGVMJFTEQ-UHFFFAOYSA-N octadecyl 3-(3,5-ditert-butyl-4-hydroxyphenyl)propanoate Chemical compound CCCCCCCCCCCCCCCCCCOC(=O)CCC1=CC(C(C)(C)C)=C(O)C(C(C)(C)C)=C1 SSDSCDGVMJFTEQ-UHFFFAOYSA-N 0.000 description 2
- 238000004806 packaging method and process Methods 0.000 description 2
- 230000000737 periodic effect Effects 0.000 description 2
- 150000002978 peroxides Chemical class 0.000 description 2
- ZQBAKBUEJOMQEX-UHFFFAOYSA-N phenyl salicylate Chemical compound OC1=CC=CC=C1C(=O)OC1=CC=CC=C1 ZQBAKBUEJOMQEX-UHFFFAOYSA-N 0.000 description 2
- 239000000049 pigment Substances 0.000 description 2
- 229920003023 plastic Polymers 0.000 description 2
- 239000004033 plastic Substances 0.000 description 2
- 229920005630 polypropylene random copolymer Polymers 0.000 description 2
- 239000011591 potassium Substances 0.000 description 2
- 229910052700 potassium Inorganic materials 0.000 description 2
- 239000002994 raw material Substances 0.000 description 2
- YGSDEFSMJLZEOE-UHFFFAOYSA-M salicylate Chemical compound OC1=CC=CC=C1C([O-])=O YGSDEFSMJLZEOE-UHFFFAOYSA-M 0.000 description 2
- 125000003548 sec-pentyl group Chemical group [H]C([H])([H])C([H])([H])C([H])([H])C([H])(*)C([H])([H])[H] 0.000 description 2
- 239000004065 semiconductor Substances 0.000 description 2
- 239000004460 silage Substances 0.000 description 2
- 239000011734 sodium Substances 0.000 description 2
- 229910052708 sodium Inorganic materials 0.000 description 2
- 238000005482 strain hardening Methods 0.000 description 2
- 239000000126 substance Substances 0.000 description 2
- 125000001424 substituent group Chemical group 0.000 description 2
- 230000009182 swimming Effects 0.000 description 2
- ZDLBWMYNYNATIW-UHFFFAOYSA-N tetracos-1-ene Chemical compound CCCCCCCCCCCCCCCCCCCCCCC=C ZDLBWMYNYNATIW-UHFFFAOYSA-N 0.000 description 2
- 239000004753 textile Substances 0.000 description 2
- 229910052723 transition metal Inorganic materials 0.000 description 2
- 150000003624 transition metals Chemical class 0.000 description 2
- 125000000391 vinyl group Chemical group [H]C([*])=C([H])[H] 0.000 description 2
- 229920002554 vinyl polymer Polymers 0.000 description 2
- 229910052725 zinc Inorganic materials 0.000 description 2
- 239000011701 zinc Substances 0.000 description 2
- GVJHHUAWPYXKBD-IEOSBIPESA-N α-tocopherol Chemical compound OC1=C(C)C(C)=C2O[C@@](CCC[C@H](C)CCC[C@H](C)CCCC(C)C)(C)CCC2=C1C GVJHHUAWPYXKBD-IEOSBIPESA-N 0.000 description 2
- DNIAPMSPPWPWGF-VKHMYHEASA-N (+)-propylene glycol Chemical compound C[C@H](O)CO DNIAPMSPPWPWGF-VKHMYHEASA-N 0.000 description 1
- RRKODOZNUZCUBN-CCAGOZQPSA-N (1z,3z)-cycloocta-1,3-diene Chemical compound C1CC\C=C/C=C\C1 RRKODOZNUZCUBN-CCAGOZQPSA-N 0.000 description 1
- OUBISKKOUYNDML-UHFFFAOYSA-N (2,2,6,6-tetramethylpiperidin-4-yl) 2-[bis[2-oxo-2-(2,2,6,6-tetramethylpiperidin-4-yl)oxyethyl]amino]acetate Chemical compound C1C(C)(C)NC(C)(C)CC1OC(=O)CN(CC(=O)OC1CC(C)(C)NC(C)(C)C1)CC(=O)OC1CC(C)(C)NC(C)(C)C1 OUBISKKOUYNDML-UHFFFAOYSA-N 0.000 description 1
- JMUOXOJMXILBTE-UHFFFAOYSA-N (2,2,6,6-tetramethylpiperidin-4-yl) octadecanoate Chemical compound CCCCCCCCCCCCCCCCCC(=O)OC1CC(C)(C)NC(C)(C)C1 JMUOXOJMXILBTE-UHFFFAOYSA-N 0.000 description 1
- BJGZXKKYBXZLAM-UHFFFAOYSA-N (2,4-ditert-butyl-6-methylphenyl) 3,5-ditert-butyl-4-hydroxybenzoate Chemical compound CC1=CC(C(C)(C)C)=CC(C(C)(C)C)=C1OC(=O)C1=CC(C(C)(C)C)=C(O)C(C(C)(C)C)=C1 BJGZXKKYBXZLAM-UHFFFAOYSA-N 0.000 description 1
- KJYSXRBJOSZLEL-UHFFFAOYSA-N (2,4-ditert-butylphenyl) 3,5-ditert-butyl-4-hydroxybenzoate Chemical compound CC(C)(C)C1=CC(C(C)(C)C)=CC=C1OC(=O)C1=CC(C(C)(C)C)=C(O)C(C(C)(C)C)=C1 KJYSXRBJOSZLEL-UHFFFAOYSA-N 0.000 description 1
- HQEPZWYPQQKFLU-UHFFFAOYSA-N (2,6-dihydroxyphenyl)-phenylmethanone Chemical compound OC1=CC=CC(O)=C1C(=O)C1=CC=CC=C1 HQEPZWYPQQKFLU-UHFFFAOYSA-N 0.000 description 1
- ATLWFAZCZPSXII-UHFFFAOYSA-N (2-octylphenyl) 2-hydroxybenzoate Chemical compound CCCCCCCCC1=CC=CC=C1OC(=O)C1=CC=CC=C1O ATLWFAZCZPSXII-UHFFFAOYSA-N 0.000 description 1
- ZEBMSMUPGIOANU-UHFFFAOYSA-N (3,5-ditert-butyl-4-hydroxyphenyl)methylphosphonic acid Chemical compound CC(C)(C)C1=CC(CP(O)(O)=O)=CC(C(C)(C)C)=C1O ZEBMSMUPGIOANU-UHFFFAOYSA-N 0.000 description 1
- GOZHNJTXLALKRL-UHFFFAOYSA-N (5-benzoyl-2,4-dihydroxyphenyl)-phenylmethanone Chemical compound OC1=CC(O)=C(C(=O)C=2C=CC=CC=2)C=C1C(=O)C1=CC=CC=C1 GOZHNJTXLALKRL-UHFFFAOYSA-N 0.000 description 1
- OJOWICOBYCXEKR-KRXBUXKQSA-N (5e)-5-ethylidenebicyclo[2.2.1]hept-2-ene Chemical compound C1C2C(=C/C)/CC1C=C2 OJOWICOBYCXEKR-KRXBUXKQSA-N 0.000 description 1
- DNIAPMSPPWPWGF-GSVOUGTGSA-N (R)-(-)-Propylene glycol Chemical compound C[C@@H](O)CO DNIAPMSPPWPWGF-GSVOUGTGSA-N 0.000 description 1
- VCMZIKKVYXGKCI-UHFFFAOYSA-N 1,1-bis(2,4-ditert-butyl-6-methylphenyl)-2,2-bis(hydroxymethyl)propane-1,3-diol dihydroxyphosphanyl dihydrogen phosphite Chemical compound OP(O)OP(O)O.C(C)(C)(C)C1=C(C(=CC(=C1)C(C)(C)C)C)C(O)(C(CO)(CO)CO)C1=C(C=C(C=C1C)C(C)(C)C)C(C)(C)C VCMZIKKVYXGKCI-UHFFFAOYSA-N 0.000 description 1
- CGXOAAMIQPDTPE-UHFFFAOYSA-N 1,2,2,6,6-pentamethylpiperidin-4-amine Chemical compound CN1C(C)(C)CC(N)CC1(C)C CGXOAAMIQPDTPE-UHFFFAOYSA-N 0.000 description 1
- VNQNXQYZMPJLQX-UHFFFAOYSA-N 1,3,5-tris[(3,5-ditert-butyl-4-hydroxyphenyl)methyl]-1,3,5-triazinane-2,4,6-trione Chemical group CC(C)(C)C1=C(O)C(C(C)(C)C)=CC(CN2C(N(CC=3C=C(C(O)=C(C=3)C(C)(C)C)C(C)(C)C)C(=O)N(CC=3C=C(C(O)=C(C=3)C(C)(C)C)C(C)(C)C)C2=O)=O)=C1 VNQNXQYZMPJLQX-UHFFFAOYSA-N 0.000 description 1
- XYXJKPCGSGVSBO-UHFFFAOYSA-N 1,3,5-tris[(4-tert-butyl-3-hydroxy-2,6-dimethylphenyl)methyl]-1,3,5-triazinane-2,4,6-trione Chemical compound CC1=CC(C(C)(C)C)=C(O)C(C)=C1CN1C(=O)N(CC=2C(=C(O)C(=CC=2C)C(C)(C)C)C)C(=O)N(CC=2C(=C(O)C(=CC=2C)C(C)(C)C)C)C1=O XYXJKPCGSGVSBO-UHFFFAOYSA-N 0.000 description 1
- MYMKXVFDVQUQLG-UHFFFAOYSA-N 1,3,7,9-tetratert-butyl-11-fluoro-5-methyl-5h-benzo[d][1,3,2]benzodioxaphosphocine Chemical compound CC1C2=CC(C(C)(C)C)=CC(C(C)(C)C)=C2OP(F)OC2=C1C=C(C(C)(C)C)C=C2C(C)(C)C MYMKXVFDVQUQLG-UHFFFAOYSA-N 0.000 description 1
- GGQHNQQPLWRNHD-UHFFFAOYSA-N 1,3,7,9-tetratert-butyl-11-hydroxy-5h-benzo[d][1,3,2]benzodioxaphosphocine 11-oxide Chemical compound C1C2=CC(C(C)(C)C)=CC(C(C)(C)C)=C2OP(O)(=O)OC2=C1C=C(C(C)(C)C)C=C2C(C)(C)C GGQHNQQPLWRNHD-UHFFFAOYSA-N 0.000 description 1
- QTYUSOHYEPOHLV-FNORWQNLSA-N 1,3-Octadiene Chemical compound CCCC\C=C\C=C QTYUSOHYEPOHLV-FNORWQNLSA-N 0.000 description 1
- YPFDHNVEDLHUCE-UHFFFAOYSA-N 1,3-propanediol Substances OCCCO YPFDHNVEDLHUCE-UHFFFAOYSA-N 0.000 description 1
- ALVZNPYWJMLXKV-UHFFFAOYSA-N 1,9-Nonanediol Chemical compound OCCCCCCCCCO ALVZNPYWJMLXKV-UHFFFAOYSA-N 0.000 description 1
- FYQOHJWNKFULEZ-UHFFFAOYSA-N 1-(2-hydroxy-2-methylpropoxy)-2,2,6,6-tetramethylpiperidin-4-ol Chemical compound CC(C)(O)CON1C(C)(C)CC(O)CC1(C)C FYQOHJWNKFULEZ-UHFFFAOYSA-N 0.000 description 1
- FUVBNYKKKZSBCG-UHFFFAOYSA-N 1-(2-hydroxy-2-methylpropoxy)-2,2,6,6-tetramethylpiperidin-4-one Chemical compound CC(C)(O)CON1C(C)(C)CC(=O)CC1(C)C FUVBNYKKKZSBCG-UHFFFAOYSA-N 0.000 description 1
- WICJDHJYOIJBDM-UHFFFAOYSA-N 1-[4-[butyl-[4-[butyl-[1-(2-hydroxy-2-methylpropoxy)-2,2,6,6-tetramethylpiperidin-4-yl]amino]-6-(2-hydroxyethylamino)-1,3,5-triazin-2-yl]amino]-2,2,6,6-tetramethylpiperidin-1-yl]oxy-2-methylpropan-2-ol Chemical compound N=1C(NCCO)=NC(N(CCCC)C2CC(C)(C)N(OCC(C)(C)O)C(C)(C)C2)=NC=1N(CCCC)C1CC(C)(C)N(OCC(C)(C)O)C(C)(C)C1 WICJDHJYOIJBDM-UHFFFAOYSA-N 0.000 description 1
- OKELZJLBUAZSCL-UHFFFAOYSA-N 1-cyclohexyloxy-2,2,6,6-tetramethyl-n-octadecylpiperidin-4-amine Chemical compound CC1(C)CC(NCCCCCCCCCCCCCCCCCC)CC(C)(C)N1OC1CCCCC1 OKELZJLBUAZSCL-UHFFFAOYSA-N 0.000 description 1
- 125000001637 1-naphthyl group Chemical group [H]C1=C([H])C([H])=C2C(*)=C([H])C([H])=C([H])C2=C1[H] 0.000 description 1
- RKMGAJGJIURJSJ-UHFFFAOYSA-N 2,2,6,6-Tetramethylpiperidine Substances CC1(C)CCCC(C)(C)N1 RKMGAJGJIURJSJ-UHFFFAOYSA-N 0.000 description 1
- FTVFPPFZRRKJIH-UHFFFAOYSA-N 2,2,6,6-tetramethylpiperidin-4-amine Chemical compound CC1(C)CC(N)CC(C)(C)N1 FTVFPPFZRRKJIH-UHFFFAOYSA-N 0.000 description 1
- NQWSTSQUHUUDRI-UHFFFAOYSA-N 2,4-ditert-butyl-6-(5-butylsulfonylbenzotriazol-2-yl)phenol Chemical compound N1=C2C=C(S(=O)(=O)CCCC)C=CC2=NN1C1=CC(C(C)(C)C)=CC(C(C)(C)C)=C1O NQWSTSQUHUUDRI-UHFFFAOYSA-N 0.000 description 1
- VNHBJPHMBDPOJS-UHFFFAOYSA-N 2,4-ditert-butyl-6-[5-(trifluoromethyl)benzotriazol-2-yl]phenol Chemical compound CC(C)(C)C1=CC(C(C)(C)C)=CC(N2N=C3C=C(C=CC3=N2)C(F)(F)F)=C1O VNHBJPHMBDPOJS-UHFFFAOYSA-N 0.000 description 1
- YEWBOZCFGXOUQW-UHFFFAOYSA-N 2,6,7-trioxa-1-phosphabicyclo[2.2.2]octan-4-ylmethanol Chemical compound C1OP2OCC1(CO)CO2 YEWBOZCFGXOUQW-UHFFFAOYSA-N 0.000 description 1
- NEAHJFGPHPHWND-UHFFFAOYSA-N 2-(2-phenylpropan-2-yl)-6-[5-(trifluoromethyl)benzotriazol-2-yl]-4-(2,4,4-trimethylpentan-2-yl)phenol Chemical compound C=1C(C(C)(C)CC(C)(C)C)=CC(N2N=C3C=C(C=CC3=N2)C(F)(F)F)=C(O)C=1C(C)(C)C1=CC=CC=C1 NEAHJFGPHPHWND-UHFFFAOYSA-N 0.000 description 1
- LEVFXWNQQSSNAC-UHFFFAOYSA-N 2-(4,6-diphenyl-1,3,5-triazin-2-yl)-5-hexoxyphenol Chemical compound OC1=CC(OCCCCCC)=CC=C1C1=NC(C=2C=CC=CC=2)=NC(C=2C=CC=CC=2)=N1 LEVFXWNQQSSNAC-UHFFFAOYSA-N 0.000 description 1
- KQGPHXLJAYSZJR-UHFFFAOYSA-N 2-(4-methylbenzotriazol-2-yl)-4-(2,4,4-trimethylpentan-2-yl)phenol Chemical compound CC1=CC=CC2=NN(N=C21)C1=C(C=CC(=C1)C(C)(C)CC(C)(C)C)O KQGPHXLJAYSZJR-UHFFFAOYSA-N 0.000 description 1
- YBTIWSATJVNXPU-UHFFFAOYSA-N 2-(5-butylsulfonylbenzotriazol-2-yl)-6-(2-phenylpropan-2-yl)-4-(2,4,4-trimethylpentan-2-yl)phenol Chemical compound N1=C2C=C(S(=O)(=O)CCCC)C=CC2=NN1C(C=1O)=CC(C(C)(C)CC(C)(C)C)=CC=1C(C)(C)C1=CC=CC=C1 YBTIWSATJVNXPU-UHFFFAOYSA-N 0.000 description 1
- ZCYCLXOQGLQFNH-UHFFFAOYSA-N 2-(5-chlorobenzotriazol-2-yl)-4,6-bis(2-phenylpropan-2-yl)phenol Chemical compound C=1C(N2N=C3C=C(Cl)C=CC3=N2)=C(O)C(C(C)(C)C=2C=CC=CC=2)=CC=1C(C)(C)C1=CC=CC=C1 ZCYCLXOQGLQFNH-UHFFFAOYSA-N 0.000 description 1
- GSQIWXJOYBPPGF-UHFFFAOYSA-N 2-(5-chlorobenzotriazol-2-yl)-6-(2-phenylpropan-2-yl)-4-(2,4,4-trimethylpentan-2-yl)phenol Chemical compound C=1C(C(C)(C)CC(C)(C)C)=CC(N2N=C3C=C(Cl)C=CC3=N2)=C(O)C=1C(C)(C)C1=CC=CC=C1 GSQIWXJOYBPPGF-UHFFFAOYSA-N 0.000 description 1
- KXPXKNBDCUOENF-UHFFFAOYSA-N 2-(Octylthio)ethanol Chemical compound CCCCCCCCSCCO KXPXKNBDCUOENF-UHFFFAOYSA-N 0.000 description 1
- ZMWRRFHBXARRRT-UHFFFAOYSA-N 2-(benzotriazol-2-yl)-4,6-bis(2-methylbutan-2-yl)phenol Chemical compound CCC(C)(C)C1=CC(C(C)(C)CC)=CC(N2N=C3C=CC=CC3=N2)=C1O ZMWRRFHBXARRRT-UHFFFAOYSA-N 0.000 description 1
- LHPPDQUVECZQSW-UHFFFAOYSA-N 2-(benzotriazol-2-yl)-4,6-ditert-butylphenol Chemical compound CC(C)(C)C1=CC(C(C)(C)C)=CC(N2N=C3C=CC=CC3=N2)=C1O LHPPDQUVECZQSW-UHFFFAOYSA-N 0.000 description 1
- IYAZLDLPUNDVAG-UHFFFAOYSA-N 2-(benzotriazol-2-yl)-4-(2,4,4-trimethylpentan-2-yl)phenol Chemical compound CC(C)(C)CC(C)(C)C1=CC=C(O)C(N2N=C3C=CC=CC3=N2)=C1 IYAZLDLPUNDVAG-UHFFFAOYSA-N 0.000 description 1
- PXXWRCVMDNLZOS-UHFFFAOYSA-N 2-(benzotriazol-2-yl)-4-(2-phenylpropan-2-yl)-6-(2,4,4-trimethylpentan-2-yl)phenol Chemical compound C=1C(N2N=C3C=CC=CC3=N2)=C(O)C(C(C)(C)CC(C)(C)C)=CC=1C(C)(C)C1=CC=CC=C1 PXXWRCVMDNLZOS-UHFFFAOYSA-N 0.000 description 1
- WXHVQMGINBSVAY-UHFFFAOYSA-N 2-(benzotriazol-2-yl)-4-tert-butylphenol Chemical compound CC(C)(C)C1=CC=C(O)C(N2N=C3C=CC=CC3=N2)=C1 WXHVQMGINBSVAY-UHFFFAOYSA-N 0.000 description 1
- ITLDHFORLZTRJI-UHFFFAOYSA-N 2-(benzotriazol-2-yl)-5-octoxyphenol Chemical compound OC1=CC(OCCCCCCCC)=CC=C1N1N=C2C=CC=CC2=N1 ITLDHFORLZTRJI-UHFFFAOYSA-N 0.000 description 1
- UZUNCLSDTUBVCN-UHFFFAOYSA-N 2-(benzotriazol-2-yl)-6-(2-phenylpropan-2-yl)-4-(2,4,4-trimethylpentan-2-yl)phenol Chemical compound C=1C(C(C)(C)CC(C)(C)C)=CC(N2N=C3C=CC=CC3=N2)=C(O)C=1C(C)(C)C1=CC=CC=C1 UZUNCLSDTUBVCN-UHFFFAOYSA-N 0.000 description 1
- RTNVDKBRTXEWQE-UHFFFAOYSA-N 2-(benzotriazol-2-yl)-6-butan-2-yl-4-tert-butylphenol Chemical compound CCC(C)C1=CC(C(C)(C)C)=CC(N2N=C3C=CC=CC3=N2)=C1O RTNVDKBRTXEWQE-UHFFFAOYSA-N 0.000 description 1
- VQMHSKWEJGIXGA-UHFFFAOYSA-N 2-(benzotriazol-2-yl)-6-dodecyl-4-methylphenol Chemical compound CCCCCCCCCCCCC1=CC(C)=CC(N2N=C3C=CC=CC3=N2)=C1O VQMHSKWEJGIXGA-UHFFFAOYSA-N 0.000 description 1
- BLDFSDCBQJUWFG-UHFFFAOYSA-N 2-(methylamino)-1,2-diphenylethanol Chemical compound C=1C=CC=CC=1C(NC)C(O)C1=CC=CC=C1 BLDFSDCBQJUWFG-UHFFFAOYSA-N 0.000 description 1
- 125000000134 2-(methylsulfanyl)ethyl group Chemical group [H]C([H])([H])SC([H])([H])C([H])([H])[*] 0.000 description 1
- CTQAYJKMGXQVQH-UHFFFAOYSA-N 2-[4,6-bis(2,4-dimethylphenyl)-1,3,5-triazin-2-yl]-5-(2-hydroxy-3-phenylmethoxypropoxy)phenol Chemical compound CC1=CC(C)=CC=C1C1=NC(C=2C(=CC(C)=CC=2)C)=NC(C=2C(=CC(OCC(O)COCC=3C=CC=CC=3)=CC=2)O)=N1 CTQAYJKMGXQVQH-UHFFFAOYSA-N 0.000 description 1
- XOEDSKNCBPKBJK-UHFFFAOYSA-N 2-[4,6-bis(2,4-dimethylphenyl)-1,3,5-triazin-2-yl]-5-hexoxy-4-(2-phenylpropan-2-yl)phenol Chemical compound CCCCCCOC1=CC(O)=C(C=2N=C(N=C(N=2)C=2C(=CC(C)=CC=2)C)C=2C(=CC(C)=CC=2)C)C=C1C(C)(C)C1=CC=CC=C1 XOEDSKNCBPKBJK-UHFFFAOYSA-N 0.000 description 1
- GZQKBPSHUCTQCZ-UHFFFAOYSA-N 2-[4,6-bis[4-(3-butan-2-yloxy-2-hydroxypropoxy)-2-hydroxyphenyl]-1,3,5-triazin-2-yl]-5-(3-butan-2-yloxy-2-hydroxypropoxy)phenol Chemical compound OC1=CC(OCC(O)COC(C)CC)=CC=C1C1=NC(C=2C(=CC(OCC(O)COC(C)CC)=CC=2)O)=NC(C=2C(=CC(OCC(O)COC(C)CC)=CC=2)O)=N1 GZQKBPSHUCTQCZ-UHFFFAOYSA-N 0.000 description 1
- JPGKCKOKTLQEOD-UHFFFAOYSA-N 2-[4-(4-bromophenyl)-6-[2-hydroxy-4-(2-hydroxyethoxy)phenyl]-1,3,5-triazin-2-yl]-5-(2-hydroxyethoxy)phenol Chemical compound OC1=CC(OCCO)=CC=C1C1=NC(C=2C=CC(Br)=CC=2)=NC(C=2C(=CC(OCCO)=CC=2)O)=N1 JPGKCKOKTLQEOD-UHFFFAOYSA-N 0.000 description 1
- CWVUGNSYIROMGD-UHFFFAOYSA-N 2-[4-(4-chlorophenyl)-6-[2-hydroxy-4-(2-hydroxyethoxy)phenyl]-1,3,5-triazin-2-yl]-5-(2-hydroxyethoxy)phenol Chemical compound OC1=CC(OCCO)=CC=C1C1=NC(C=2C=CC(Cl)=CC=2)=NC(C=2C(=CC(OCCO)=CC=2)O)=N1 CWVUGNSYIROMGD-UHFFFAOYSA-N 0.000 description 1
- POHXPVPPMDIIOA-UHFFFAOYSA-N 2-[4-[4-[4-(2-acetyloxyethoxy)-2-hydroxyphenyl]-6-(4-chlorophenyl)-1,3,5-triazin-2-yl]-3-hydroxyphenoxy]ethyl acetate Chemical compound OC1=CC(OCCOC(=O)C)=CC=C1C1=NC(C=2C=CC(Cl)=CC=2)=NC(C=2C(=CC(OCCOC(C)=O)=CC=2)O)=N1 POHXPVPPMDIIOA-UHFFFAOYSA-N 0.000 description 1
- MUSZAXSTSOKYKG-UHFFFAOYSA-N 2-[5-(benzenesulfonyl)benzotriazol-2-yl]-4,6-ditert-butylphenol Chemical compound CC(C)(C)C1=CC(C(C)(C)C)=CC(N2N=C3C=C(C=CC3=N2)S(=O)(=O)C=2C=CC=CC=2)=C1O MUSZAXSTSOKYKG-UHFFFAOYSA-N 0.000 description 1
- YCWJIUAUMAHNDB-UHFFFAOYSA-N 2-[5-(trifluoromethyl)benzotriazol-2-yl]-4,6-bis(2,4,4-trimethylpentan-2-yl)phenol Chemical compound CC(C)(C)CC(C)(C)C1=CC(C(C)(C)CC(C)(C)C)=CC(N2N=C3C=C(C=CC3=N2)C(F)(F)F)=C1O YCWJIUAUMAHNDB-UHFFFAOYSA-N 0.000 description 1
- 125000004182 2-chlorophenyl group Chemical group [H]C1=C([H])C(Cl)=C(*)C([H])=C1[H] 0.000 description 1
- ZPIRWAHWDCHWLM-UHFFFAOYSA-N 2-dodecylsulfanylethanol Chemical compound CCCCCCCCCCCCSCCO ZPIRWAHWDCHWLM-UHFFFAOYSA-N 0.000 description 1
- LHHLLQVLJAUUDT-UHFFFAOYSA-N 2-ethylhexyl 3-[3-(benzotriazol-2-yl)-5-tert-butyl-4-hydroxyphenyl]propanoate Chemical compound CC(C)(C)C1=CC(CCC(=O)OCC(CC)CCCC)=CC(N2N=C3C=CC=CC3=N2)=C1O LHHLLQVLJAUUDT-UHFFFAOYSA-N 0.000 description 1
- AWEVLIFGIMIQHY-UHFFFAOYSA-N 2-ethylhexyl 3-[3-tert-butyl-5-(5-chlorobenzotriazol-2-yl)-4-hydroxyphenyl]propanoate Chemical compound CC(C)(C)C1=CC(CCC(=O)OCC(CC)CCCC)=CC(N2N=C3C=C(Cl)C=CC3=N2)=C1O AWEVLIFGIMIQHY-UHFFFAOYSA-N 0.000 description 1
- 125000004204 2-methoxyphenyl group Chemical group [H]C1=C([H])C(*)=C(OC([H])([H])[H])C([H])=C1[H] 0.000 description 1
- 125000006227 2-n-butoxyethyl group Chemical group [H]C([H])([H])C([H])([H])C([H])([H])C([H])([H])OC([H])([H])C([H])([H])* 0.000 description 1
- 125000001622 2-naphthyl group Chemical group [H]C1=C([H])C([H])=C2C([H])=C(*)C([H])=C([H])C2=C1[H] 0.000 description 1
- 125000000094 2-phenylethyl group Chemical group [H]C1=C([H])C([H])=C(C([H])=C1[H])C([H])([H])C([H])([H])* 0.000 description 1
- GUCMKIKYKIHUTM-UHFFFAOYSA-N 3,3,5,5-tetramethyl-1-[2-(3,3,5,5-tetramethyl-2-oxopiperazin-1-yl)ethyl]piperazin-2-one Chemical compound O=C1C(C)(C)NC(C)(C)CN1CCN1C(=O)C(C)(C)NC(C)(C)C1 GUCMKIKYKIHUTM-UHFFFAOYSA-N 0.000 description 1
- 125000006186 3,5-dimethyl benzyl group Chemical group [H]C1=C(C([H])=C(C([H])=C1C([H])([H])[H])C([H])([H])*)C([H])([H])[H] 0.000 description 1
- SSADPHQCUURWSW-UHFFFAOYSA-N 3,9-bis(2,6-ditert-butyl-4-methylphenoxy)-2,4,8,10-tetraoxa-3,9-diphosphaspiro[5.5]undecane Chemical compound CC(C)(C)C1=CC(C)=CC(C(C)(C)C)=C1OP1OCC2(COP(OC=3C(=CC(C)=CC=3C(C)(C)C)C(C)(C)C)OC2)CO1 SSADPHQCUURWSW-UHFFFAOYSA-N 0.000 description 1
- YLUZWKKWWSCRSR-UHFFFAOYSA-N 3,9-bis(8-methylnonoxy)-2,4,8,10-tetraoxa-3,9-diphosphaspiro[5.5]undecane Chemical compound C1OP(OCCCCCCCC(C)C)OCC21COP(OCCCCCCCC(C)C)OC2 YLUZWKKWWSCRSR-UHFFFAOYSA-N 0.000 description 1
- PZRWFKGUFWPFID-UHFFFAOYSA-N 3,9-dioctadecoxy-2,4,8,10-tetraoxa-3,9-diphosphaspiro[5.5]undecane Chemical compound C1OP(OCCCCCCCCCCCCCCCCCC)OCC21COP(OCCCCCCCCCCCCCCCCCC)OC2 PZRWFKGUFWPFID-UHFFFAOYSA-N 0.000 description 1
- HCILJBJJZALOAL-UHFFFAOYSA-N 3-(3,5-ditert-butyl-4-hydroxyphenyl)-n'-[3-(3,5-ditert-butyl-4-hydroxyphenyl)propanoyl]propanehydrazide Chemical compound CC(C)(C)C1=C(O)C(C(C)(C)C)=CC(CCC(=O)NNC(=O)CCC=2C=C(C(O)=C(C=2)C(C)(C)C)C(C)(C)C)=C1 HCILJBJJZALOAL-UHFFFAOYSA-N 0.000 description 1
- 125000004179 3-chlorophenyl group Chemical group [H]C1=C([H])C(*)=C([H])C(Cl)=C1[H] 0.000 description 1
- SAEZGDDJKSBNPT-UHFFFAOYSA-N 3-dodecyl-1-(1,2,2,6,6-pentamethylpiperidin-4-yl)pyrrolidine-2,5-dione Chemical compound O=C1C(CCCCCCCCCCCC)CC(=O)N1C1CC(C)(C)N(C)C(C)(C)C1 SAEZGDDJKSBNPT-UHFFFAOYSA-N 0.000 description 1
- FBIXXCXCZOZFCO-UHFFFAOYSA-N 3-dodecyl-1-(2,2,6,6-tetramethylpiperidin-4-yl)pyrrolidine-2,5-dione Chemical compound O=C1C(CCCCCCCCCCCC)CC(=O)N1C1CC(C)(C)NC(C)(C)C1 FBIXXCXCZOZFCO-UHFFFAOYSA-N 0.000 description 1
- 125000004207 3-methoxyphenyl group Chemical group [H]C1=C([H])C(*)=C([H])C(OC([H])([H])[H])=C1[H] 0.000 description 1
- 125000006201 3-phenylpropyl group Chemical group [H]C1=C([H])C([H])=C(C([H])=C1[H])C([H])([H])C([H])([H])C([H])([H])* 0.000 description 1
- STEYNUVPFMIUOY-UHFFFAOYSA-N 4-Hydroxy-1-(2-hydroxyethyl)-2,2,6,6-tetramethylpiperidine Chemical compound CC1(C)CC(O)CC(C)(C)N1CCO STEYNUVPFMIUOY-UHFFFAOYSA-N 0.000 description 1
- FROCQMFXPIROOK-UHFFFAOYSA-N 4-[4,6-bis(2,4-dimethylphenyl)-1,3,5-triazin-2-yl]benzene-1,3-diol Chemical compound CC1=CC(C)=CC=C1C1=NC(C=2C(=CC(C)=CC=2)C)=NC(C=2C(=CC(O)=CC=2)O)=N1 FROCQMFXPIROOK-UHFFFAOYSA-N 0.000 description 1
- YKPDTZIJTQXUTG-UHFFFAOYSA-N 4-[4-(2,4-dihydroxyphenyl)-6-(2,4-dimethylphenyl)-1,3,5-triazin-2-yl]benzene-1,3-diol Chemical compound CC1=CC(C)=CC=C1C1=NC(C=2C(=CC(O)=CC=2)O)=NC(C=2C(=CC(O)=CC=2)O)=N1 YKPDTZIJTQXUTG-UHFFFAOYSA-N 0.000 description 1
- DFHQAPGPWJFKQB-UHFFFAOYSA-N 4-[4-(4-chlorophenyl)-6-(2,4-dihydroxyphenyl)-1,3,5-triazin-2-yl]benzene-1,3-diol Chemical compound OC1=CC(O)=CC=C1C1=NC(C=2C=CC(Cl)=CC=2)=NC(C=2C(=CC(O)=CC=2)O)=N1 DFHQAPGPWJFKQB-UHFFFAOYSA-N 0.000 description 1
- YZXTWMQYSSMUFH-UHFFFAOYSA-N 4-[6-(1-amino-2,2,6,6-tetramethylpiperidin-4-yl)hexyl]-2,2,6,6-tetramethylpiperidin-1-amine Chemical compound C1C(C)(C)N(N)C(C)(C)CC1CCCCCCC1CC(C)(C)N(N)C(C)(C)C1 YZXTWMQYSSMUFH-UHFFFAOYSA-N 0.000 description 1
- IYHCWTYKAWVGPA-UHFFFAOYSA-N 4-[6-(3-amino-1,2,2,6,6-pentamethylpiperidin-4-yl)hexyl]-1,2,2,6,6-pentamethylpiperidin-3-amine Chemical compound NC1C(C)(C)N(C)C(C)(C)CC1CCCCCCC1C(N)C(C)(C)N(C)C(C)(C)C1 IYHCWTYKAWVGPA-UHFFFAOYSA-N 0.000 description 1
- DUIYSQWRKVPEOA-UHFFFAOYSA-N 4-[6-(3-amino-2,2,6,6-tetramethyl-1-propoxypiperidin-4-yl)hexyl]-2,2,6,6-tetramethyl-1-propoxypiperidin-3-amine Chemical compound NC1C(C)(C)N(OCCC)C(C)(C)CC1CCCCCCC1C(N)C(C)(C)N(OCCC)C(C)(C)C1 DUIYSQWRKVPEOA-UHFFFAOYSA-N 0.000 description 1
- VSAWBBYYMBQKIK-UHFFFAOYSA-N 4-[[3,5-bis[(3,5-ditert-butyl-4-hydroxyphenyl)methyl]-2,4,6-trimethylphenyl]methyl]-2,6-ditert-butylphenol Chemical compound CC1=C(CC=2C=C(C(O)=C(C=2)C(C)(C)C)C(C)(C)C)C(C)=C(CC=2C=C(C(O)=C(C=2)C(C)(C)C)C(C)(C)C)C(C)=C1CC1=CC(C(C)(C)C)=C(O)C(C(C)(C)C)=C1 VSAWBBYYMBQKIK-UHFFFAOYSA-N 0.000 description 1
- 125000004172 4-methoxyphenyl group Chemical group [H]C1=C([H])C(OC([H])([H])[H])=C([H])C([H])=C1* 0.000 description 1
- 125000006181 4-methyl benzyl group Chemical group [H]C1=C([H])C(=C([H])C([H])=C1C([H])([H])[H])C([H])([H])* 0.000 description 1
- DBOSBRHMHBENLP-UHFFFAOYSA-N 4-tert-Butylphenyl Salicylate Chemical compound C1=CC(C(C)(C)C)=CC=C1OC(=O)C1=CC=CC=C1O DBOSBRHMHBENLP-UHFFFAOYSA-N 0.000 description 1
- INKKKAWJTSAIMW-UHFFFAOYSA-N 4-tert-butyl-2-(2-phenylpropan-2-yl)-6-[5-(trifluoromethyl)benzotriazol-2-yl]phenol Chemical compound C=1C(C(C)(C)C)=CC(N2N=C3C=C(C=CC3=N2)C(F)(F)F)=C(O)C=1C(C)(C)C1=CC=CC=C1 INKKKAWJTSAIMW-UHFFFAOYSA-N 0.000 description 1
- AESQDCMZHBUWPN-UHFFFAOYSA-N 4h-1,3,2-dioxaphosphinine Chemical compound C1OPOC=C1 AESQDCMZHBUWPN-UHFFFAOYSA-N 0.000 description 1
- JKKPQQAIEAQNPR-UHFFFAOYSA-N 5-(3-butan-2-yloxy-2-hydroxypropoxy)-2-[4-[2-hydroxy-4-(2-hydroxy-3-pentan-2-yloxypropoxy)phenyl]-6-phenyl-1,3,5-triazin-2-yl]phenol Chemical compound CCCC(C)OCC(O)COc1ccc(c(O)c1)-c1nc(nc(n1)-c1ccc(OCC(O)COC(C)CC)cc1O)-c1ccccc1 JKKPQQAIEAQNPR-UHFFFAOYSA-N 0.000 description 1
- YAWARMNTAGPPGS-UHFFFAOYSA-N 5-(3-butoxy-2-hydroxypropoxy)-2-[3-[[6-[4-(3-butoxy-2-hydroxypropoxy)-2-hydroxyphenyl]-2,4-bis(2,4-dimethylphenyl)-2H-1,3,5-triazin-1-yl]methyl]-2,6-bis(2,4-dimethylphenyl)-2H-1,3,5-triazin-4-yl]phenol Chemical compound OC1=CC(OCC(O)COCCCC)=CC=C1C1=NC(C=2C(=CC(C)=CC=2)C)=NC(C=2C(=CC(C)=CC=2)C)N1CN1C(C=2C(=CC(OCC(O)COCCCC)=CC=2)O)=NC(C=2C(=CC(C)=CC=2)C)=NC1C1=CC=C(C)C=C1C YAWARMNTAGPPGS-UHFFFAOYSA-N 0.000 description 1
- YPFBPAKTPNIEJE-UHFFFAOYSA-N 5-(3-butoxy-2-hydroxypropoxy)-2-[4-[4-(3-butoxy-2-hydroxypropoxy)-2-hydroxyphenyl]-6-(2,4,6-trimethylphenyl)-1,3,5-triazin-2-yl]phenol Chemical compound OC1=CC(OCC(O)COCCCC)=CC=C1C1=NC(C=2C(=CC(OCC(O)COCCCC)=CC=2)O)=NC(C=2C(=CC(C)=CC=2C)C)=N1 YPFBPAKTPNIEJE-UHFFFAOYSA-N 0.000 description 1
- UWSMKYBKUPAEJQ-UHFFFAOYSA-N 5-Chloro-2-(3,5-di-tert-butyl-2-hydroxyphenyl)-2H-benzotriazole Chemical compound CC(C)(C)C1=CC(C(C)(C)C)=CC(N2N=C3C=C(Cl)C=CC3=N2)=C1O UWSMKYBKUPAEJQ-UHFFFAOYSA-N 0.000 description 1
- DRXGKQPTFWTTJW-UHFFFAOYSA-N 5-butoxy-2-[4-(4-butoxy-2-hydroxyphenyl)-6-(2,4-dibutoxyphenyl)-1,3,5-triazin-2-yl]phenol Chemical compound OC1=CC(OCCCC)=CC=C1C1=NC(C=2C(=CC(OCCCC)=CC=2)O)=NC(C=2C(=CC(OCCCC)=CC=2)OCCCC)=N1 DRXGKQPTFWTTJW-UHFFFAOYSA-N 0.000 description 1
- GSQTYQNXLUAYRF-UHFFFAOYSA-N 6-(2,4-dimethylphenyl)-4-[2-hydroxy-4-(2-hydroxyethoxy)phenyl]-1H-1,3,5-triazin-2-one Chemical compound Cc1ccc(c(C)c1)-c1nc(nc(=O)[nH]1)-c1ccc(OCCO)cc1O GSQTYQNXLUAYRF-UHFFFAOYSA-N 0.000 description 1
- DFANMEUHPMJFDO-UHFFFAOYSA-N 6-[4,6-bis(4-hexoxy-2-hydroxy-3-methylphenyl)-1,3,5-triazin-2-yl]-3-hexoxy-2-methylphenol Chemical compound OC1=C(C)C(OCCCCCC)=CC=C1C1=NC(C=2C(=C(C)C(OCCCCCC)=CC=2)O)=NC(C=2C(=C(C)C(OCCCCCC)=CC=2)O)=N1 DFANMEUHPMJFDO-UHFFFAOYSA-N 0.000 description 1
- DGYGESJVCCOGHL-UHFFFAOYSA-N 6-methylheptyl 3-[3-(benzotriazol-2-yl)-5-tert-butyl-4-hydroxyphenyl]propanoate Chemical compound CC(C)(C)C1=CC(CCC(=O)OCCCCCC(C)C)=CC(N2N=C3C=CC=CC3=N2)=C1O DGYGESJVCCOGHL-UHFFFAOYSA-N 0.000 description 1
- MAEDTQBZZXPXLZ-UHFFFAOYSA-N 6-methylheptyl 3-[3-tert-butyl-5-(5-chlorobenzotriazol-2-yl)-4-hydroxyphenyl]propanoate Chemical compound CC(C)(C)C1=CC(CCC(=O)OCCCCCC(C)C)=CC(N2N=C3C=C(Cl)C=CC3=N2)=C1O MAEDTQBZZXPXLZ-UHFFFAOYSA-N 0.000 description 1
- IPRLZACALWPEGS-UHFFFAOYSA-N 7,7,9,9-tetramethyl-2-undecyl-1-oxa-3,8-diazaspiro[4.5]decan-4-one Chemical compound O1C(CCCCCCCCCCC)NC(=O)C11CC(C)(C)NC(C)(C)C1 IPRLZACALWPEGS-UHFFFAOYSA-N 0.000 description 1
- VPOKLVDHXARWQB-UHFFFAOYSA-N 7,7,9,9-tetramethyl-3-octyl-1,3,8-triazaspiro[4.5]decane-2,4-dione Chemical compound O=C1N(CCCCCCCC)C(=O)NC11CC(C)(C)NC(C)(C)C1 VPOKLVDHXARWQB-UHFFFAOYSA-N 0.000 description 1
- ZCYVEMRRCGMTRW-UHFFFAOYSA-N 7553-56-2 Chemical group [I] ZCYVEMRRCGMTRW-UHFFFAOYSA-N 0.000 description 1
- HBAQYPYDRFILMT-UHFFFAOYSA-N 8-[3-(1-cyclopropylpyrazol-4-yl)-1H-pyrazolo[4,3-d]pyrimidin-5-yl]-3-methyl-3,8-diazabicyclo[3.2.1]octan-2-one Chemical class C1(CC1)N1N=CC(=C1)C1=NNC2=C1N=C(N=C2)N1C2C(N(CC1CC2)C)=O HBAQYPYDRFILMT-UHFFFAOYSA-N 0.000 description 1
- RAZWNFJQEZAVOT-UHFFFAOYSA-N 8-acetyl-3-dodecyl-7,7,9,9-tetramethyl-1,3,8-triazaspiro[4.5]decane-2,4-dione Chemical compound O=C1N(CCCCCCCCCCCC)C(=O)NC11CC(C)(C)N(C(C)=O)C(C)(C)C1 RAZWNFJQEZAVOT-UHFFFAOYSA-N 0.000 description 1
- 241000251468 Actinopterygii Species 0.000 description 1
- 101001053401 Arabidopsis thaliana Acid beta-fructofuranosidase 3, vacuolar Proteins 0.000 description 1
- WKBOTKDWSSQWDR-UHFFFAOYSA-N Bromine atom Chemical group [Br] WKBOTKDWSSQWDR-UHFFFAOYSA-N 0.000 description 1
- DQWXVCSVQMSDQD-UHFFFAOYSA-N C(CCCCCCC)P(O)(O)OC1=C(C=C(C=C1Br)C(C)(C)C1=CC(=C(C(=C1)Br)O)Br)Br Chemical compound C(CCCCCCC)P(O)(O)OC1=C(C=C(C=C1Br)C(C)(C)C1=CC(=C(C(=C1)Br)O)Br)Br DQWXVCSVQMSDQD-UHFFFAOYSA-N 0.000 description 1
- IJMJLDXXPUDLAO-UHFFFAOYSA-N C(CCCCCCC)P(O)(O)OC1=CC=C(C=C1)C(C)(C)C1=CC=C(C=C1)O Chemical compound C(CCCCCCC)P(O)(O)OC1=CC=C(C=C1)C(C)(C)C1=CC=C(C=C1)O IJMJLDXXPUDLAO-UHFFFAOYSA-N 0.000 description 1
- ODGLXKAYKLXYRH-UHFFFAOYSA-N CCCCC(CC)COCC(COC1=C(C(=C(C=C1)C2=NC(=NC(=N2)C3=C(C=C(C=C3)C)C)C4=C(C=C(C=C4)C)C)O)O)O Chemical compound CCCCC(CC)COCC(COC1=C(C(=C(C=C1)C2=NC(=NC(=N2)C3=C(C=C(C=C3)C)C)C4=C(C=C(C=C4)C)C)O)O)O ODGLXKAYKLXYRH-UHFFFAOYSA-N 0.000 description 1
- DKMAVLSHFTVXRU-UHFFFAOYSA-N CCCCCCCCP(O)(OC1=CC=C(C(C)(C)C)C=C1C(C)(C)C)OC1=CC=C(C(C)(C)C)C=C1C(C)(C)C Chemical compound CCCCCCCCP(O)(OC1=CC=C(C(C)(C)C)C=C1C(C)(C)C)OC1=CC=C(C(C)(C)C)C=C1C(C)(C)C DKMAVLSHFTVXRU-UHFFFAOYSA-N 0.000 description 1
- OKTJSMMVPCPJKN-UHFFFAOYSA-N Carbon Chemical compound [C] OKTJSMMVPCPJKN-UHFFFAOYSA-N 0.000 description 1
- 239000004971 Cross linker Substances 0.000 description 1
- GHKOFFNLGXMVNJ-UHFFFAOYSA-N Didodecyl thiobispropanoate Chemical compound CCCCCCCCCCCCOC(=O)CCSCCC(=O)OCCCCCCCCCCCC GHKOFFNLGXMVNJ-UHFFFAOYSA-N 0.000 description 1
- 229920001174 Diethylhydroxylamine Polymers 0.000 description 1
- 239000003508 Dilauryl thiodipropionate Substances 0.000 description 1
- 239000002656 Distearyl thiodipropionate Substances 0.000 description 1
- BRLQWZUYTZBJKN-UHFFFAOYSA-N Epichlorohydrin Chemical compound ClCC1CO1 BRLQWZUYTZBJKN-UHFFFAOYSA-N 0.000 description 1
- 239000004386 Erythritol Substances 0.000 description 1
- UNXHWFMMPAWVPI-UHFFFAOYSA-N Erythritol Natural products OCC(O)C(O)CO UNXHWFMMPAWVPI-UHFFFAOYSA-N 0.000 description 1
- OTMSDBZUPAUEDD-UHFFFAOYSA-N Ethane Chemical compound CC OTMSDBZUPAUEDD-UHFFFAOYSA-N 0.000 description 1
- 235000015842 Hesperis Nutrition 0.000 description 1
- 235000012633 Iberis amara Nutrition 0.000 description 1
- 206010021639 Incontinence Diseases 0.000 description 1
- OKOBUGCCXMIKDM-UHFFFAOYSA-N Irganox 1098 Chemical compound CC(C)(C)C1=C(O)C(C(C)(C)C)=CC(CCC(=O)NCCCCCCNC(=O)CCC=2C=C(C(O)=C(C=2)C(C)(C)C)C(C)(C)C)=C1 OKOBUGCCXMIKDM-UHFFFAOYSA-N 0.000 description 1
- TWRXJAOTZQYOKJ-UHFFFAOYSA-L Magnesium chloride Chemical class [Mg+2].[Cl-].[Cl-] TWRXJAOTZQYOKJ-UHFFFAOYSA-L 0.000 description 1
- 241000699670 Mus sp. Species 0.000 description 1
- VYPSYNLAJGMNEJ-UHFFFAOYSA-N Silicium dioxide Chemical compound O=[Si]=O VYPSYNLAJGMNEJ-UHFFFAOYSA-N 0.000 description 1
- 229910000831 Steel Inorganic materials 0.000 description 1
- KDYFGRWQOYBRFD-UHFFFAOYSA-N Succinic acid Natural products OC(=O)CCC(O)=O KDYFGRWQOYBRFD-UHFFFAOYSA-N 0.000 description 1
- 229910010413 TiO 2 Inorganic materials 0.000 description 1
- ZJCCRDAZUWHFQH-UHFFFAOYSA-N Trimethylolpropane Chemical compound CCC(CO)(CO)CO ZJCCRDAZUWHFQH-UHFFFAOYSA-N 0.000 description 1
- KGUHWHHMNQPSRV-UHFFFAOYSA-N [1-(2-hydroxy-2-methylpropoxy)-2,2,6,6-tetramethylpiperidin-4-yl] octadecanoate Chemical compound CCCCCCCCCCCCCCCCCC(=O)OC1CC(C)(C)N(OCC(C)(C)O)C(C)(C)C1 KGUHWHHMNQPSRV-UHFFFAOYSA-N 0.000 description 1
- BLXLSQIOCCHAHJ-UHFFFAOYSA-N [2,3,4-tri(nonyl)phenyl] dihydrogen phosphite Chemical group CCCCCCCCCC1=CC=C(OP(O)O)C(CCCCCCCCC)=C1CCCCCCCCC BLXLSQIOCCHAHJ-UHFFFAOYSA-N 0.000 description 1
- IORUEKDKNHHQAL-UHFFFAOYSA-N [2-tert-butyl-6-[(3-tert-butyl-2-hydroxy-5-methylphenyl)methyl]-4-methylphenyl] prop-2-enoate Chemical compound CC(C)(C)C1=CC(C)=CC(CC=2C(=C(C=C(C)C=2)C(C)(C)C)OC(=O)C=C)=C1O IORUEKDKNHHQAL-UHFFFAOYSA-N 0.000 description 1
- YIMQCDZDWXUDCA-UHFFFAOYSA-N [4-(hydroxymethyl)cyclohexyl]methanol Chemical compound OCC1CCC(CO)CC1 YIMQCDZDWXUDCA-UHFFFAOYSA-N 0.000 description 1
- BEIOEBMXPVYLRY-UHFFFAOYSA-N [4-[4-bis(2,4-ditert-butylphenoxy)phosphanylphenyl]phenyl]-bis(2,4-ditert-butylphenoxy)phosphane Chemical compound CC(C)(C)C1=CC(C(C)(C)C)=CC=C1OP(C=1C=CC(=CC=1)C=1C=CC(=CC=1)P(OC=1C(=CC(=CC=1)C(C)(C)C)C(C)(C)C)OC=1C(=CC(=CC=1)C(C)(C)C)C(C)(C)C)OC1=CC=C(C(C)(C)C)C=C1C(C)(C)C BEIOEBMXPVYLRY-UHFFFAOYSA-N 0.000 description 1
- HHFMFWAFQGUGOB-UHFFFAOYSA-N [5-(4-tert-butylbenzoyl)-2,4-dihydroxyphenyl]-(4-tert-butylphenyl)methanone Chemical compound C1=CC(C(C)(C)C)=CC=C1C(=O)C1=CC(C(=O)C=2C=CC(=CC=2)C(C)(C)C)=C(O)C=C1O HHFMFWAFQGUGOB-UHFFFAOYSA-N 0.000 description 1
- 125000004423 acyloxy group Chemical group 0.000 description 1
- 239000002390 adhesive tape Substances 0.000 description 1
- 125000002877 alkyl aryl group Chemical group 0.000 description 1
- 125000005907 alkyl ester group Chemical group 0.000 description 1
- 150000001350 alkyl halides Chemical class 0.000 description 1
- 125000005376 alkyl siloxane group Chemical group 0.000 description 1
- 229940087168 alpha tocopherol Drugs 0.000 description 1
- AZDRQVAHHNSJOQ-UHFFFAOYSA-N alumane Chemical class [AlH3] AZDRQVAHHNSJOQ-UHFFFAOYSA-N 0.000 description 1
- PNEYBMLMFCGWSK-UHFFFAOYSA-N aluminium oxide Inorganic materials [O-2].[O-2].[O-2].[Al+3].[Al+3] PNEYBMLMFCGWSK-UHFFFAOYSA-N 0.000 description 1
- CEGOLXSVJUTHNZ-UHFFFAOYSA-K aluminium tristearate Chemical compound [Al+3].CCCCCCCCCCCCCCCCCC([O-])=O.CCCCCCCCCCCCCCCCCC([O-])=O.CCCCCCCCCCCCCCCCCC([O-])=O CEGOLXSVJUTHNZ-UHFFFAOYSA-K 0.000 description 1
- 229940063655 aluminum stearate Drugs 0.000 description 1
- OYFUVZBROQZLCL-UHFFFAOYSA-K aluminum;4-tert-butylbenzoate;hydroxide Chemical compound [OH-].[Al+3].CC(C)(C)C1=CC=C(C([O-])=O)C=C1.CC(C)(C)C1=CC=C(C([O-])=O)C=C1 OYFUVZBROQZLCL-UHFFFAOYSA-K 0.000 description 1
- 125000003710 aryl alkyl group Chemical group 0.000 description 1
- 239000010425 asbestos Substances 0.000 description 1
- UKMSUNONTOPOIO-UHFFFAOYSA-M behenate Chemical compound CCCCCCCCCCCCCCCCCCCCCC([O-])=O UKMSUNONTOPOIO-UHFFFAOYSA-M 0.000 description 1
- 229940116224 behenate Drugs 0.000 description 1
- 125000005605 benzo group Chemical group 0.000 description 1
- 235000010233 benzoic acid Nutrition 0.000 description 1
- 150000001559 benzoic acids Chemical class 0.000 description 1
- 235000013361 beverage Nutrition 0.000 description 1
- 230000001588 bifunctional effect Effects 0.000 description 1
- 235000010290 biphenyl Nutrition 0.000 description 1
- 239000004305 biphenyl Substances 0.000 description 1
- 125000006267 biphenyl group Chemical group 0.000 description 1
- CMXLJKWFEJEFJE-UHFFFAOYSA-N bis(1,2,2,6,6-pentamethylpiperidin-4-yl) 2-[(4-methoxyphenyl)methylidene]propanedioate Chemical compound C1=CC(OC)=CC=C1C=C(C(=O)OC1CC(C)(C)N(C)C(C)(C)C1)C(=O)OC1CC(C)(C)N(C)C(C)(C)C1 CMXLJKWFEJEFJE-UHFFFAOYSA-N 0.000 description 1
- FLPKSBDJMLUTEX-UHFFFAOYSA-N bis(1,2,2,6,6-pentamethylpiperidin-4-yl) 2-butyl-2-[(3,5-ditert-butyl-4-hydroxyphenyl)methyl]propanedioate Chemical compound C1C(C)(C)N(C)C(C)(C)CC1OC(=O)C(C(=O)OC1CC(C)(C)N(C)C(C)(C)C1)(CCCC)CC1=CC(C(C)(C)C)=C(O)C(C(C)(C)C)=C1 FLPKSBDJMLUTEX-UHFFFAOYSA-N 0.000 description 1
- RSOILICUEWXSLA-UHFFFAOYSA-N bis(1,2,2,6,6-pentamethylpiperidin-4-yl) decanedioate Chemical compound C1C(C)(C)N(C)C(C)(C)CC1OC(=O)CCCCCCCCC(=O)OC1CC(C)(C)N(C)C(C)(C)C1 RSOILICUEWXSLA-UHFFFAOYSA-N 0.000 description 1
- PVIFXIBJQWPGNU-UHFFFAOYSA-N bis(1-acetyloxy-2,2,6,6-tetramethylpiperidin-4-yl) decanedioate Chemical compound C1C(C)(C)N(OC(=O)C)C(C)(C)CC1OC(=O)CCCCCCCCC(=O)OC1CC(C)(C)N(OC(C)=O)C(C)(C)C1 PVIFXIBJQWPGNU-UHFFFAOYSA-N 0.000 description 1
- DLHNOZQXRABONJ-UHFFFAOYSA-N bis(1-cyclohexyloxy-2,2,6,6-tetramethylpiperidin-4-yl) decanedioate Chemical compound CC1(C)CC(OC(=O)CCCCCCCCC(=O)OC2CC(C)(C)N(OC3CCCCC3)C(C)(C)C2)CC(C)(C)N1OC1CCCCC1 DLHNOZQXRABONJ-UHFFFAOYSA-N 0.000 description 1
- JLOAPAGFWFMZLD-UHFFFAOYSA-N bis(1-cyclohexyloxy-2,2,6,6-tetramethylpiperidin-4-yl) hexanedioate Chemical compound CC1(C)CC(OC(=O)CCCCC(=O)OC2CC(C)(C)N(OC3CCCCC3)C(C)(C)C2)CC(C)(C)N1OC1CCCCC1 JLOAPAGFWFMZLD-UHFFFAOYSA-N 0.000 description 1
- VKVSLLBZHYUYHH-UHFFFAOYSA-N bis(2,2,6,6-tetramethyl-1-octoxypiperidin-3-yl) butanedioate Chemical compound CC1(C)N(OCCCCCCCC)C(C)(C)CCC1OC(=O)CCC(=O)OC1C(C)(C)N(OCCCCCCCC)C(C)(C)CC1 VKVSLLBZHYUYHH-UHFFFAOYSA-N 0.000 description 1
- OSIVCXJNIBEGCL-UHFFFAOYSA-N bis(2,2,6,6-tetramethyl-1-octoxypiperidin-4-yl) decanedioate Chemical compound C1C(C)(C)N(OCCCCCCCC)C(C)(C)CC1OC(=O)CCCCCCCCC(=O)OC1CC(C)(C)N(OCCCCCCCC)C(C)(C)C1 OSIVCXJNIBEGCL-UHFFFAOYSA-N 0.000 description 1
- VYCDFODYRFOXDA-UHFFFAOYSA-N bis(2,2,6,6-tetramethyl-1-undecoxypiperidin-4-yl) carbonate Chemical compound C1C(C)(C)N(OCCCCCCCCCCC)C(C)(C)CC1OC(=O)OC1CC(C)(C)N(OCCCCCCCCCCC)C(C)(C)C1 VYCDFODYRFOXDA-UHFFFAOYSA-N 0.000 description 1
- XITRBUPOXXBIJN-UHFFFAOYSA-N bis(2,2,6,6-tetramethylpiperidin-4-yl) decanedioate Chemical compound C1C(C)(C)NC(C)(C)CC1OC(=O)CCCCCCCCC(=O)OC1CC(C)(C)NC(C)(C)C1 XITRBUPOXXBIJN-UHFFFAOYSA-N 0.000 description 1
- VZRMYAIVHSRUQY-UHFFFAOYSA-N bis(2,4-ditert-butyl-6-methylphenyl) methyl phosphite Chemical compound CC=1C=C(C(C)(C)C)C=C(C(C)(C)C)C=1OP(OC)OC1=C(C)C=C(C(C)(C)C)C=C1C(C)(C)C VZRMYAIVHSRUQY-UHFFFAOYSA-N 0.000 description 1
- DVXRGUXKOSSOHV-UHFFFAOYSA-N bis[1-(2-hydroxy-2-methylpropoxy)-2,2,6,6-tetramethylpiperidin-4-yl] decanedioate Chemical compound C1C(C)(C)N(OCC(C)(O)C)C(C)(C)CC1OC(=O)CCCCCCCCC(=O)OC1CC(C)(C)N(OCC(C)(C)O)C(C)(C)C1 DVXRGUXKOSSOHV-UHFFFAOYSA-N 0.000 description 1
- WUXGYZUOHKJTEY-UHFFFAOYSA-N bis[1-(2-hydroxy-2-methylpropoxy)-2,2,6,6-tetramethylpiperidin-4-yl] hexanedioate Chemical compound C1C(C)(C)N(OCC(C)(O)C)C(C)(C)CC1OC(=O)CCCCC(=O)OC1CC(C)(C)N(OCC(C)(C)O)C(C)(C)C1 WUXGYZUOHKJTEY-UHFFFAOYSA-N 0.000 description 1
- FQUNFJULCYSSOP-UHFFFAOYSA-N bisoctrizole Chemical compound N1=C2C=CC=CC2=NN1C1=CC(C(C)(C)CC(C)(C)C)=CC(CC=2C(=C(C=C(C=2)C(C)(C)CC(C)(C)C)N2N=C3C=CC=CC3=N2)O)=C1O FQUNFJULCYSSOP-UHFFFAOYSA-N 0.000 description 1
- 125000001246 bromo group Chemical group Br* 0.000 description 1
- RHDGNLCLDBVESU-UHFFFAOYSA-N but-3-en-4-olide Chemical compound O=C1CC=CO1 RHDGNLCLDBVESU-UHFFFAOYSA-N 0.000 description 1
- KDYFGRWQOYBRFD-NUQCWPJISA-N butanedioic acid Chemical compound O[14C](=O)CC[14C](O)=O KDYFGRWQOYBRFD-NUQCWPJISA-N 0.000 description 1
- 229960005069 calcium Drugs 0.000 description 1
- 159000000007 calcium salts Chemical class 0.000 description 1
- 150000001721 carbon Chemical group 0.000 description 1
- 239000006229 carbon black Substances 0.000 description 1
- 229910002091 carbon monoxide Inorganic materials 0.000 description 1
- 230000003197 catalytic effect Effects 0.000 description 1
- 230000001413 cellular effect Effects 0.000 description 1
- 238000012512 characterization method Methods 0.000 description 1
- 238000010382 chemical cross-linking Methods 0.000 description 1
- 238000007385 chemical modification Methods 0.000 description 1
- 239000003638 chemical reducing agent Substances 0.000 description 1
- 210000000038 chest Anatomy 0.000 description 1
- 239000008395 clarifying agent Substances 0.000 description 1
- 239000003086 colorant Substances 0.000 description 1
- 238000000748 compression moulding Methods 0.000 description 1
- 238000010411 cooking Methods 0.000 description 1
- 238000001816 cooling Methods 0.000 description 1
- 239000002537 cosmetic Substances 0.000 description 1
- MGNCLNQXLYJVJD-UHFFFAOYSA-N cyanuric chloride Chemical compound ClC1=NC(Cl)=NC(Cl)=N1 MGNCLNQXLYJVJD-UHFFFAOYSA-N 0.000 description 1
- 125000001995 cyclobutyl group Chemical group [H]C1([H])C([H])([H])C([H])(*)C1([H])[H] 0.000 description 1
- 125000000582 cycloheptyl group Chemical group [H]C1([H])C([H])([H])C([H])([H])C([H])([H])C([H])(*)C([H])([H])C1([H])[H] 0.000 description 1
- 125000000640 cyclooctyl group Chemical group [H]C1([H])C([H])([H])C([H])([H])C([H])([H])C([H])(*)C([H])([H])C([H])([H])C1([H])[H] 0.000 description 1
- 125000001511 cyclopentyl group Chemical group [H]C1([H])C([H])([H])C([H])([H])C([H])(*)C1([H])[H] 0.000 description 1
- 238000013500 data storage Methods 0.000 description 1
- 125000006612 decyloxy group Chemical group 0.000 description 1
- 238000010612 desalination reaction Methods 0.000 description 1
- 238000013461 design Methods 0.000 description 1
- 239000003599 detergent Substances 0.000 description 1
- 238000011161 development Methods 0.000 description 1
- 150000001993 dienes Chemical class 0.000 description 1
- FVCOIAYSJZGECG-UHFFFAOYSA-N diethylhydroxylamine Chemical compound CCN(O)CC FVCOIAYSJZGECG-UHFFFAOYSA-N 0.000 description 1
- 238000000113 differential scanning calorimetry Methods 0.000 description 1
- 235000019304 dilauryl thiodipropionate Nutrition 0.000 description 1
- 239000000539 dimer Substances 0.000 description 1
- PWWSSIYVTQUJQQ-UHFFFAOYSA-N distearyl thiodipropionate Chemical compound CCCCCCCCCCCCCCCCCCOC(=O)CCSCCC(=O)OCCCCCCCCCCCCCCCCCC PWWSSIYVTQUJQQ-UHFFFAOYSA-N 0.000 description 1
- 235000019305 distearyl thiodipropionate Nutrition 0.000 description 1
- 239000010791 domestic waste Substances 0.000 description 1
- 238000001035 drying Methods 0.000 description 1
- 239000000975 dye Substances 0.000 description 1
- 235000013399 edible fruits Nutrition 0.000 description 1
- 238000010894 electron beam technology Methods 0.000 description 1
- 239000003995 emulsifying agent Substances 0.000 description 1
- 238000005538 encapsulation Methods 0.000 description 1
- UNXHWFMMPAWVPI-ZXZARUISSA-N erythritol Chemical compound OC[C@H](O)[C@H](O)CO UNXHWFMMPAWVPI-ZXZARUISSA-N 0.000 description 1
- 229940009714 erythritol Drugs 0.000 description 1
- 235000019414 erythritol Nutrition 0.000 description 1
- 150000002170 ethers Chemical class 0.000 description 1
- 229920001038 ethylene copolymer Polymers 0.000 description 1
- 238000001704 evaporation Methods 0.000 description 1
- 230000008020 evaporation Effects 0.000 description 1
- 230000001747 exhibiting effect Effects 0.000 description 1
- 235000019688 fish Nutrition 0.000 description 1
- 239000003063 flame retardant Substances 0.000 description 1
- 239000005357 flat glass Substances 0.000 description 1
- 238000007647 flexography Methods 0.000 description 1
- 238000007667 floating Methods 0.000 description 1
- 238000009408 flooring Methods 0.000 description 1
- 239000011888 foil Substances 0.000 description 1
- 239000002828 fuel tank Substances 0.000 description 1
- 238000003958 fumigation Methods 0.000 description 1
- 239000003502 gasoline Substances 0.000 description 1
- 239000004746 geotextile Substances 0.000 description 1
- 230000009477 glass transition Effects 0.000 description 1
- 150000004820 halides Chemical class 0.000 description 1
- IPCSVZSSVZVIGE-UHFFFAOYSA-M hexadecanoate Chemical compound CCCCCCCCCCCCCCCC([O-])=O IPCSVZSSVZVIGE-UHFFFAOYSA-M 0.000 description 1
- ACCCMOQWYVYDOT-UHFFFAOYSA-N hexane-1,1-diol Chemical compound CCCCCC(O)O ACCCMOQWYVYDOT-UHFFFAOYSA-N 0.000 description 1
- XXMIOPMDWAUFGU-UHFFFAOYSA-N hexane-1,6-diol Chemical compound OCCCCCCO XXMIOPMDWAUFGU-UHFFFAOYSA-N 0.000 description 1
- 238000011065 in-situ storage Methods 0.000 description 1
- 238000010348 incorporation Methods 0.000 description 1
- 230000006698 induction Effects 0.000 description 1
- 239000003112 inhibitor Substances 0.000 description 1
- 238000001746 injection moulding Methods 0.000 description 1
- 229910052500 inorganic mineral Inorganic materials 0.000 description 1
- 239000012774 insulation material Substances 0.000 description 1
- 239000012212 insulator Substances 0.000 description 1
- 229910052740 iodine Inorganic materials 0.000 description 1
- 125000002346 iodo group Chemical group I* 0.000 description 1
- 235000000396 iron Nutrition 0.000 description 1
- ZFSLODLOARCGLH-UHFFFAOYSA-N isocyanuric acid Chemical compound OC1=NC(O)=NC(O)=N1 ZFSLODLOARCGLH-UHFFFAOYSA-N 0.000 description 1
- 238000010030 laminating Methods 0.000 description 1
- 239000003446 ligand Substances 0.000 description 1
- 238000011068 loading method Methods 0.000 description 1
- 239000000314 lubricant Substances 0.000 description 1
- 125000000040 m-tolyl group Chemical group [H]C1=C([H])C(*)=C([H])C(=C1[H])C([H])([H])[H] 0.000 description 1
- 235000019359 magnesium stearate Nutrition 0.000 description 1
- 229940091250 magnesium supplement Drugs 0.000 description 1
- OBQVOBQZMOXRAL-UHFFFAOYSA-L magnesium;docosanoate Chemical compound [Mg+2].CCCCCCCCCCCCCCCCCCCCCC([O-])=O.CCCCCCCCCCCCCCCCCCCCCC([O-])=O OBQVOBQZMOXRAL-UHFFFAOYSA-L 0.000 description 1
- 238000012423 maintenance Methods 0.000 description 1
- 235000012054 meals Nutrition 0.000 description 1
- 235000013372 meat Nutrition 0.000 description 1
- 229920001179 medium density polyethylene Polymers 0.000 description 1
- 239000004701 medium-density polyethylene Substances 0.000 description 1
- 238000002844 melting Methods 0.000 description 1
- 230000008018 melting Effects 0.000 description 1
- 239000006078 metal deactivator Substances 0.000 description 1
- 229910052987 metal hydride Inorganic materials 0.000 description 1
- 150000004681 metal hydrides Chemical class 0.000 description 1
- 125000000956 methoxy group Chemical group [H]C([H])([H])O* 0.000 description 1
- 125000004184 methoxymethyl group Chemical group [H]C([H])([H])OC([H])([H])* 0.000 description 1
- WGGBUPQMVJZVIO-XFXZXTDPSA-N methyl (z)-2-cyano-3-(4-methoxyphenyl)but-2-enoate Chemical compound COC(=O)C(\C#N)=C(\C)C1=CC=C(OC)C=C1 WGGBUPQMVJZVIO-XFXZXTDPSA-N 0.000 description 1
- UJRDRFZCRQNLJM-UHFFFAOYSA-N methyl 3-[3-(benzotriazol-2-yl)-5-tert-butyl-4-hydroxyphenyl]propanoate Chemical compound CC(C)(C)C1=CC(CCC(=O)OC)=CC(N2N=C3C=CC=CC3=N2)=C1O UJRDRFZCRQNLJM-UHFFFAOYSA-N 0.000 description 1
- JMGAGEUAMQQJAD-UHFFFAOYSA-N methyl 3-[3-tert-butyl-4-hydroxy-5-[5-(trifluoromethyl)benzotriazol-2-yl]phenyl]propanoate Chemical compound CC(C)(C)C1=CC(CCC(=O)OC)=CC(N2N=C3C=C(C=CC3=N2)C(F)(F)F)=C1O JMGAGEUAMQQJAD-UHFFFAOYSA-N 0.000 description 1
- VRBLLGLKTUGCSG-UHFFFAOYSA-N methyl 3-[3-tert-butyl-5-(5-chlorobenzotriazol-2-yl)-4-hydroxyphenyl]propanoate Chemical compound CC(C)(C)C1=CC(CCC(=O)OC)=CC(N2N=C3C=C(Cl)C=CC3=N2)=C1O VRBLLGLKTUGCSG-UHFFFAOYSA-N 0.000 description 1
- 125000001570 methylene group Chemical group [H]C([H])([*:1])[*:2] 0.000 description 1
- 239000010445 mica Substances 0.000 description 1
- 229910052618 mica group Inorganic materials 0.000 description 1
- 239000011707 mineral Substances 0.000 description 1
- 235000010755 mineral Nutrition 0.000 description 1
- 238000005065 mining Methods 0.000 description 1
- 239000000178 monomer Substances 0.000 description 1
- DNIAPMSPPWPWGF-UHFFFAOYSA-N monopropylene glycol Natural products CC(O)CO DNIAPMSPPWPWGF-UHFFFAOYSA-N 0.000 description 1
- 238000009740 moulding (composite fabrication) Methods 0.000 description 1
- 239000010813 municipal solid waste Substances 0.000 description 1
- 125000001421 myristyl group Chemical group [H]C([*])([H])C([H])([H])C([H])([H])C([H])([H])C([H])([H])C([H])([H])C([H])([H])C([H])([H])C([H])([H])C([H])([H])C([H])([H])C([H])([H])C([H])([H])C([H])([H])[H] 0.000 description 1
- COFLEVLXIIWATL-UHFFFAOYSA-N n,n'-bis(1,2,2,6,6-pentamethylpiperidin-4-yl)hexane-1,6-diamine Chemical compound C1C(C)(C)N(C)C(C)(C)CC1NCCCCCCNC1CC(C)(C)N(C)C(C)(C)C1 COFLEVLXIIWATL-UHFFFAOYSA-N 0.000 description 1
- FPQJEXTVQZHURJ-UHFFFAOYSA-N n,n'-bis(2-hydroxyethyl)oxamide Chemical compound OCCNC(=O)C(=O)NCCO FPQJEXTVQZHURJ-UHFFFAOYSA-N 0.000 description 1
- DDLNUIWJEDITCB-UHFFFAOYSA-N n,n-di(tetradecyl)hydroxylamine Chemical compound CCCCCCCCCCCCCCN(O)CCCCCCCCCCCCCC DDLNUIWJEDITCB-UHFFFAOYSA-N 0.000 description 1
- OTXXCIYKATWWQI-UHFFFAOYSA-N n,n-dihexadecylhydroxylamine Chemical compound CCCCCCCCCCCCCCCCN(O)CCCCCCCCCCCCCCCC OTXXCIYKATWWQI-UHFFFAOYSA-N 0.000 description 1
- ITUWQZXQRZLLCR-UHFFFAOYSA-N n,n-dioctadecylhydroxylamine Chemical compound CCCCCCCCCCCCCCCCCCN(O)CCCCCCCCCCCCCCCCCC ITUWQZXQRZLLCR-UHFFFAOYSA-N 0.000 description 1
- WQAJFRSBFZAUPB-UHFFFAOYSA-N n,n-dioctylhydroxylamine Chemical compound CCCCCCCCN(O)CCCCCCCC WQAJFRSBFZAUPB-UHFFFAOYSA-N 0.000 description 1
- UONLDZHKYCFZRW-UHFFFAOYSA-N n-[6-[formyl-(2,2,6,6-tetramethylpiperidin-4-yl)amino]hexyl]-n-(2,2,6,6-tetramethylpiperidin-4-yl)formamide Chemical compound C1C(C)(C)NC(C)(C)CC1N(C=O)CCCCCCN(C=O)C1CC(C)(C)NC(C)(C)C1 UONLDZHKYCFZRW-UHFFFAOYSA-N 0.000 description 1
- DARUEKWVLGHJJT-UHFFFAOYSA-N n-butyl-1-[4-[4-(butylamino)-2,2,6,6-tetramethylpiperidin-1-yl]-6-chloro-1,3,5-triazin-2-yl]-2,2,6,6-tetramethylpiperidin-4-amine Chemical compound CC1(C)CC(NCCCC)CC(C)(C)N1C1=NC(Cl)=NC(N2C(CC(CC2(C)C)NCCCC)(C)C)=N1 DARUEKWVLGHJJT-UHFFFAOYSA-N 0.000 description 1
- BLBLVDQTHWVGRA-UHFFFAOYSA-N n-butyl-3-[4-[4-(butylamino)-1,2,2,6,6-pentamethylpiperidin-3-yl]-6-chloro-1,3,5-triazin-2-yl]-1,2,2,6,6-pentamethylpiperidin-4-amine Chemical compound CCCCNC1CC(C)(C)N(C)C(C)(C)C1C1=NC(Cl)=NC(C2C(N(C)C(C)(C)CC2NCCCC)(C)C)=N1 BLBLVDQTHWVGRA-UHFFFAOYSA-N 0.000 description 1
- JQARHBQLKPQLRB-UHFFFAOYSA-N n-heptadecyl-n-hexadecylhydroxylamine Chemical compound CCCCCCCCCCCCCCCCCN(O)CCCCCCCCCCCCCCCC JQARHBQLKPQLRB-UHFFFAOYSA-N 0.000 description 1
- ZRPOKHXBOZQSOX-UHFFFAOYSA-N n-heptadecyl-n-octadecylhydroxylamine Chemical compound CCCCCCCCCCCCCCCCCCN(O)CCCCCCCCCCCCCCCCC ZRPOKHXBOZQSOX-UHFFFAOYSA-N 0.000 description 1
- WGCBLWIBXXQTAW-UHFFFAOYSA-N n-hexadecyl-n-octadecylhydroxylamine Chemical compound CCCCCCCCCCCCCCCCCCN(O)CCCCCCCCCCCCCCCC WGCBLWIBXXQTAW-UHFFFAOYSA-N 0.000 description 1
- IUMKEVRMAYGUGZ-UHFFFAOYSA-N n-hexadecyl-n-tetradecylhydroxylamine Chemical compound CCCCCCCCCCCCCCCCN(O)CCCCCCCCCCCCCC IUMKEVRMAYGUGZ-UHFFFAOYSA-N 0.000 description 1
- VNPWYJMHLZEKFZ-UHFFFAOYSA-N n-methyl-n-octadecylhydroxylamine Chemical compound CCCCCCCCCCCCCCCCCCN(C)O VNPWYJMHLZEKFZ-UHFFFAOYSA-N 0.000 description 1
- SQDFHQJTAWCFIB-UHFFFAOYSA-N n-methylidenehydroxylamine Chemical compound ON=C SQDFHQJTAWCFIB-UHFFFAOYSA-N 0.000 description 1
- 239000002114 nanocomposite Substances 0.000 description 1
- SLCVBVWXLSEKPL-UHFFFAOYSA-N neopentyl glycol Chemical compound OCC(C)(C)CO SLCVBVWXLSEKPL-UHFFFAOYSA-N 0.000 description 1
- 239000004745 nonwoven fabric Substances 0.000 description 1
- 125000006611 nonyloxy group Chemical group 0.000 description 1
- JFNLZVQOOSMTJK-KNVOCYPGSA-N norbornene Chemical class C1[C@@H]2CC[C@H]1C=C2 JFNLZVQOOSMTJK-KNVOCYPGSA-N 0.000 description 1
- 125000003261 o-tolyl group Chemical group [H]C1=C([H])C(*)=C(C([H])=C1[H])C([H])([H])[H] 0.000 description 1
- QUAMTGJKVDWJEQ-UHFFFAOYSA-N octabenzone Chemical class OC1=CC(OCCCCCCCC)=CC=C1C(=O)C1=CC=CC=C1 QUAMTGJKVDWJEQ-UHFFFAOYSA-N 0.000 description 1
- QEXZDYLACYKGOM-UHFFFAOYSA-N octacos-1-ene Chemical compound CCCCCCCCCCCCCCCCCCCCCCCCCCC=C QEXZDYLACYKGOM-UHFFFAOYSA-N 0.000 description 1
- RNVAPPWJCZTWQL-UHFFFAOYSA-N octadecyl 3,5-ditert-butyl-4-hydroxybenzoate Chemical compound CCCCCCCCCCCCCCCCCCOC(=O)C1=CC(C(C)(C)C)=C(O)C(C(C)(C)C)=C1 RNVAPPWJCZTWQL-UHFFFAOYSA-N 0.000 description 1
- DMFXLIFZVRXRRR-UHFFFAOYSA-N octyl 3-[3-tert-butyl-5-(5-chlorobenzotriazol-2-yl)-4-hydroxyphenyl]propanoate Chemical compound CC(C)(C)C1=CC(CCC(=O)OCCCCCCCC)=CC(N2N=C3C=C(Cl)C=CC3=N2)=C1O DMFXLIFZVRXRRR-UHFFFAOYSA-N 0.000 description 1
- 125000005447 octyloxy group Chemical group [H]C([H])([H])C([H])([H])C([H])([H])C([H])([H])C([H])([H])C([H])([H])C([H])([H])C([H])([H])O* 0.000 description 1
- 230000003287 optical effect Effects 0.000 description 1
- 150000001451 organic peroxides Chemical class 0.000 description 1
- 230000001590 oxidative effect Effects 0.000 description 1
- 125000003854 p-chlorophenyl group Chemical group [H]C1=C([H])C(*)=C([H])C([H])=C1Cl 0.000 description 1
- 125000001037 p-tolyl group Chemical group [H]C1=C([H])C(=C([H])C([H])=C1*)C([H])([H])[H] 0.000 description 1
- 239000005022 packaging material Substances 0.000 description 1
- 125000002958 pentadecyl group Chemical group [H]C([*])([H])C([H])([H])C([H])([H])C([H])([H])C([H])([H])C([H])([H])C([H])([H])C([H])([H])C([H])([H])C([H])([H])C([H])([H])C([H])([H])C([H])([H])C([H])([H])C([H])([H])[H] 0.000 description 1
- WXZMFSXDPGVJKK-UHFFFAOYSA-N pentaerythritol Chemical compound OCC(CO)(CO)CO WXZMFSXDPGVJKK-UHFFFAOYSA-N 0.000 description 1
- 239000002304 perfume Substances 0.000 description 1
- 229960000969 phenyl salicylate Drugs 0.000 description 1
- ZPNJBTBYIHBSIG-UHFFFAOYSA-N phenyl-(2,2,6,6-tetramethylpiperidin-4-yl)methanone Chemical compound C1C(C)(C)NC(C)(C)CC1C(=O)C1=CC=CC=C1 ZPNJBTBYIHBSIG-UHFFFAOYSA-N 0.000 description 1
- ZUOUZKKEUPVFJK-UHFFFAOYSA-N phenylbenzene Natural products C1=CC=CC=C1C1=CC=CC=C1 ZUOUZKKEUPVFJK-UHFFFAOYSA-N 0.000 description 1
- 125000000843 phenylene group Chemical group C1(=C(C=CC=C1)*)* 0.000 description 1
- AQSJGOWTSHOLKH-UHFFFAOYSA-N phosphite(3-) Chemical class [O-]P([O-])[O-] AQSJGOWTSHOLKH-UHFFFAOYSA-N 0.000 description 1
- XRBCRPZXSCBRTK-UHFFFAOYSA-N phosphonous acid Chemical compound OPO XRBCRPZXSCBRTK-UHFFFAOYSA-N 0.000 description 1
- 125000004437 phosphorous atom Chemical group 0.000 description 1
- HDOWRFHMPULYOA-UHFFFAOYSA-N piperidin-4-ol Chemical compound OC1CCNCC1 HDOWRFHMPULYOA-UHFFFAOYSA-N 0.000 description 1
- 239000004014 plasticizer Substances 0.000 description 1
- 229920002959 polymer blend Polymers 0.000 description 1
- 239000002861 polymer material Substances 0.000 description 1
- 239000002685 polymerization catalyst Substances 0.000 description 1
- 229920000166 polytrimethylene carbonate Polymers 0.000 description 1
- 229940114930 potassium stearate Drugs 0.000 description 1
- MQOCIYICOGDBSG-UHFFFAOYSA-M potassium;hexadecanoate Chemical compound [K+].CCCCCCCCCCCCCCCC([O-])=O MQOCIYICOGDBSG-UHFFFAOYSA-M 0.000 description 1
- 238000007639 printing Methods 0.000 description 1
- LRGQZEKJTHEMOJ-UHFFFAOYSA-N propane-1,2,3-triol;zinc Chemical compound [Zn].OCC(O)CO LRGQZEKJTHEMOJ-UHFFFAOYSA-N 0.000 description 1
- 235000013772 propylene glycol Nutrition 0.000 description 1
- 230000001681 protective effect Effects 0.000 description 1
- 238000010526 radical polymerization reaction Methods 0.000 description 1
- 229920005604 random copolymer Polymers 0.000 description 1
- 230000002787 reinforcement Effects 0.000 description 1
- 239000006254 rheological additive Substances 0.000 description 1
- WBHHMMIMDMUBKC-QJWNTBNXSA-M ricinoleate Chemical compound CCCCCC[C@@H](O)C\C=C/CCCCCCCC([O-])=O WBHHMMIMDMUBKC-QJWNTBNXSA-M 0.000 description 1
- 229940066675 ricinoleate Drugs 0.000 description 1
- 229910052895 riebeckite Inorganic materials 0.000 description 1
- 238000001175 rotational moulding Methods 0.000 description 1
- 238000007789 sealing Methods 0.000 description 1
- 229940116351 sebacate Drugs 0.000 description 1
- CXMXRPHRNRROMY-UHFFFAOYSA-L sebacate(2-) Chemical compound [O-]C(=O)CCCCCCCCC([O-])=O CXMXRPHRNRROMY-UHFFFAOYSA-L 0.000 description 1
- DCKVNWZUADLDEH-UHFFFAOYSA-N sec-butyl acetate Chemical compound CCC(C)OC(C)=O DCKVNWZUADLDEH-UHFFFAOYSA-N 0.000 description 1
- 239000010865 sewage Substances 0.000 description 1
- 230000035939 shock Effects 0.000 description 1
- 150000004760 silicates Chemical class 0.000 description 1
- 229910052814 silicon oxide Inorganic materials 0.000 description 1
- 239000002356 single layer Substances 0.000 description 1
- 239000012748 slip agent Substances 0.000 description 1
- 239000000779 smoke Substances 0.000 description 1
- 229940083542 sodium Drugs 0.000 description 1
- WXMKPNITSTVMEF-UHFFFAOYSA-M sodium benzoate Chemical compound [Na+].[O-]C(=O)C1=CC=CC=C1 WXMKPNITSTVMEF-UHFFFAOYSA-M 0.000 description 1
- 235000010234 sodium benzoate Nutrition 0.000 description 1
- 239000004299 sodium benzoate Substances 0.000 description 1
- IJRHDFLHUATAOS-DPMBMXLASA-M sodium ricinoleate Chemical compound [Na+].CCCCCC[C@@H](O)C\C=C/CCCCCCCC([O-])=O IJRHDFLHUATAOS-DPMBMXLASA-M 0.000 description 1
- 239000002904 solvent Substances 0.000 description 1
- 125000006850 spacer group Chemical group 0.000 description 1
- 230000003595 spectral effect Effects 0.000 description 1
- 239000010959 steel Substances 0.000 description 1
- 229920006302 stretch film Polymers 0.000 description 1
- 239000000758 substrate Substances 0.000 description 1
- 150000005846 sugar alcohols Polymers 0.000 description 1
- 125000000446 sulfanediyl group Chemical group *S* 0.000 description 1
- 230000000475 sunscreen effect Effects 0.000 description 1
- 239000000516 sunscreening agent Substances 0.000 description 1
- 239000000454 talc Substances 0.000 description 1
- 229910052623 talc Inorganic materials 0.000 description 1
- 229920001897 terpolymer Polymers 0.000 description 1
- ISIJQEHRDSCQIU-UHFFFAOYSA-N tert-butyl 2,7-diazaspiro[4.5]decane-7-carboxylate Chemical compound C1N(C(=O)OC(C)(C)C)CCCC11CNCC1 ISIJQEHRDSCQIU-UHFFFAOYSA-N 0.000 description 1
- WUPCFMITFBVJMS-UHFFFAOYSA-N tetrakis(1,2,2,6,6-pentamethylpiperidin-4-yl) butane-1,2,3,4-tetracarboxylate Chemical compound C1C(C)(C)N(C)C(C)(C)CC1OC(=O)CC(C(=O)OC1CC(C)(C)N(C)C(C)(C)C1)C(C(=O)OC1CC(C)(C)N(C)C(C)(C)C1)CC(=O)OC1CC(C)(C)N(C)C(C)(C)C1 WUPCFMITFBVJMS-UHFFFAOYSA-N 0.000 description 1
- NZNAAUDJKMURFU-UHFFFAOYSA-N tetrakis(2,2,6,6-tetramethylpiperidin-4-yl) butane-1,2,3,4-tetracarboxylate Chemical compound C1C(C)(C)NC(C)(C)CC1OC(=O)CC(C(=O)OC1CC(C)(C)NC(C)(C)C1)C(C(=O)OC1CC(C)(C)NC(C)(C)C1)CC(=O)OC1CC(C)(C)NC(C)(C)C1 NZNAAUDJKMURFU-UHFFFAOYSA-N 0.000 description 1
- 238000003856 thermoforming Methods 0.000 description 1
- YODZTKMDCQEPHD-UHFFFAOYSA-N thiodiglycol Chemical compound OCCSCCO YODZTKMDCQEPHD-UHFFFAOYSA-N 0.000 description 1
- YONPGGFAJWQGJC-UHFFFAOYSA-K titanium(iii) chloride Chemical compound Cl[Ti](Cl)Cl YONPGGFAJWQGJC-UHFFFAOYSA-K 0.000 description 1
- 229960000984 tocofersolan Drugs 0.000 description 1
- 125000002889 tridecyl group Chemical group [H]C([*])([H])C([H])([H])C([H])([H])C([H])([H])C([H])([H])C([H])([H])C([H])([H])C([H])([H])C([H])([H])C([H])([H])C([H])([H])C([H])([H])C([H])([H])[H] 0.000 description 1
- IVIIAEVMQHEPAY-UHFFFAOYSA-N tridodecyl phosphite Chemical compound CCCCCCCCCCCCOP(OCCCCCCCCCCCC)OCCCCCCCCCCCC IVIIAEVMQHEPAY-UHFFFAOYSA-N 0.000 description 1
- ZIBGPFATKBEMQZ-UHFFFAOYSA-N triethylene glycol Chemical compound OCCOCCOCCO ZIBGPFATKBEMQZ-UHFFFAOYSA-N 0.000 description 1
- CNUJLMSKURPSHE-UHFFFAOYSA-N trioctadecyl phosphite Chemical compound CCCCCCCCCCCCCCCCCCOP(OCCCCCCCCCCCCCCCCCC)OCCCCCCCCCCCCCCCCCC CNUJLMSKURPSHE-UHFFFAOYSA-N 0.000 description 1
- DPXMCGQIIKXTKL-UHFFFAOYSA-N tris(2-butan-2-ylphenyl) phosphite Chemical compound CCC(C)C1=CC=CC=C1OP(OC=1C(=CC=CC=1)C(C)CC)OC1=CC=CC=C1C(C)CC DPXMCGQIIKXTKL-UHFFFAOYSA-N 0.000 description 1
- WGKLOLBTFWFKOD-UHFFFAOYSA-N tris(2-nonylphenyl) phosphite Chemical compound CCCCCCCCCC1=CC=CC=C1OP(OC=1C(=CC=CC=1)CCCCCCCCC)OC1=CC=CC=C1CCCCCCCCC WGKLOLBTFWFKOD-UHFFFAOYSA-N 0.000 description 1
- 125000002948 undecyl group Chemical group [H]C([*])([H])C([H])([H])C([H])([H])C([H])([H])C([H])([H])C([H])([H])C([H])([H])C([H])([H])C([H])([H])C([H])([H])C([H])([H])[H] 0.000 description 1
- 238000011144 upstream manufacturing Methods 0.000 description 1
- 235000013311 vegetables Nutrition 0.000 description 1
- KAKZBPTYRLMSJV-UHFFFAOYSA-N vinyl-ethylene Natural products C=CC=C KAKZBPTYRLMSJV-UHFFFAOYSA-N 0.000 description 1
- 239000003039 volatile agent Substances 0.000 description 1
- 238000005406 washing Methods 0.000 description 1
- 239000002351 wastewater Substances 0.000 description 1
- 239000010456 wollastonite Substances 0.000 description 1
- 229910052882 wollastonite Inorganic materials 0.000 description 1
- 239000002023 wood Substances 0.000 description 1
- 239000002983 wood substitute Substances 0.000 description 1
- 239000002759 woven fabric Substances 0.000 description 1
- 238000004383 yellowing Methods 0.000 description 1
- 239000002076 α-tocopherol Substances 0.000 description 1
- 235000004835 α-tocopherol Nutrition 0.000 description 1
Classifications
-
- C—CHEMISTRY; METALLURGY
- C08—ORGANIC MACROMOLECULAR COMPOUNDS; THEIR PREPARATION OR CHEMICAL WORKING-UP; COMPOSITIONS BASED THEREON
- C08K—Use of inorganic or non-macromolecular organic substances as compounding ingredients
- C08K5/00—Use of organic ingredients
- C08K5/49—Phosphorus-containing compounds
- C08K5/51—Phosphorus bound to oxygen
- C08K5/53—Phosphorus bound to oxygen bound to oxygen and to carbon only
- C08K5/5317—Phosphonic compounds, e.g. R—P(:O)(OR')2
- C08K5/5333—Esters of phosphonic acids
- C08K5/5357—Esters of phosphonic acids cyclic
-
- C—CHEMISTRY; METALLURGY
- C08—ORGANIC MACROMOLECULAR COMPOUNDS; THEIR PREPARATION OR CHEMICAL WORKING-UP; COMPOSITIONS BASED THEREON
- C08K—Use of inorganic or non-macromolecular organic substances as compounding ingredients
- C08K3/00—Use of inorganic substances as compounding ingredients
- C08K3/18—Oxygen-containing compounds, e.g. metal carbonyls
- C08K3/20—Oxides; Hydroxides
- C08K3/22—Oxides; Hydroxides of metals
-
- C—CHEMISTRY; METALLURGY
- C08—ORGANIC MACROMOLECULAR COMPOUNDS; THEIR PREPARATION OR CHEMICAL WORKING-UP; COMPOSITIONS BASED THEREON
- C08K—Use of inorganic or non-macromolecular organic substances as compounding ingredients
- C08K3/00—Use of inorganic substances as compounding ingredients
- C08K3/18—Oxygen-containing compounds, e.g. metal carbonyls
- C08K3/24—Acids; Salts thereof
- C08K3/26—Carbonates; Bicarbonates
-
- C—CHEMISTRY; METALLURGY
- C08—ORGANIC MACROMOLECULAR COMPOUNDS; THEIR PREPARATION OR CHEMICAL WORKING-UP; COMPOSITIONS BASED THEREON
- C08K—Use of inorganic or non-macromolecular organic substances as compounding ingredients
- C08K3/00—Use of inorganic substances as compounding ingredients
- C08K3/34—Silicon-containing compounds
-
- C—CHEMISTRY; METALLURGY
- C08—ORGANIC MACROMOLECULAR COMPOUNDS; THEIR PREPARATION OR CHEMICAL WORKING-UP; COMPOSITIONS BASED THEREON
- C08K—Use of inorganic or non-macromolecular organic substances as compounding ingredients
- C08K5/00—Use of organic ingredients
- C08K5/0008—Organic ingredients according to more than one of the "one dot" groups of C08K5/01 - C08K5/59
- C08K5/005—Stabilisers against oxidation, heat, light, ozone
-
- C—CHEMISTRY; METALLURGY
- C08—ORGANIC MACROMOLECULAR COMPOUNDS; THEIR PREPARATION OR CHEMICAL WORKING-UP; COMPOSITIONS BASED THEREON
- C08K—Use of inorganic or non-macromolecular organic substances as compounding ingredients
- C08K5/00—Use of organic ingredients
- C08K5/04—Oxygen-containing compounds
- C08K5/09—Carboxylic acids; Metal salts thereof; Anhydrides thereof
- C08K5/098—Metal salts of carboxylic acids
-
- C—CHEMISTRY; METALLURGY
- C08—ORGANIC MACROMOLECULAR COMPOUNDS; THEIR PREPARATION OR CHEMICAL WORKING-UP; COMPOSITIONS BASED THEREON
- C08K—Use of inorganic or non-macromolecular organic substances as compounding ingredients
- C08K5/00—Use of organic ingredients
- C08K5/04—Oxygen-containing compounds
- C08K5/10—Esters; Ether-esters
- C08K5/101—Esters; Ether-esters of monocarboxylic acids
- C08K5/103—Esters; Ether-esters of monocarboxylic acids with polyalcohols
-
- C—CHEMISTRY; METALLURGY
- C08—ORGANIC MACROMOLECULAR COMPOUNDS; THEIR PREPARATION OR CHEMICAL WORKING-UP; COMPOSITIONS BASED THEREON
- C08K—Use of inorganic or non-macromolecular organic substances as compounding ingredients
- C08K5/00—Use of organic ingredients
- C08K5/04—Oxygen-containing compounds
- C08K5/10—Esters; Ether-esters
- C08K5/101—Esters; Ether-esters of monocarboxylic acids
- C08K5/105—Esters; Ether-esters of monocarboxylic acids with phenols
-
- C—CHEMISTRY; METALLURGY
- C08—ORGANIC MACROMOLECULAR COMPOUNDS; THEIR PREPARATION OR CHEMICAL WORKING-UP; COMPOSITIONS BASED THEREON
- C08K—Use of inorganic or non-macromolecular organic substances as compounding ingredients
- C08K5/00—Use of organic ingredients
- C08K5/04—Oxygen-containing compounds
- C08K5/10—Esters; Ether-esters
- C08K5/12—Esters; Ether-esters of cyclic polycarboxylic acids
-
- C—CHEMISTRY; METALLURGY
- C08—ORGANIC MACROMOLECULAR COMPOUNDS; THEIR PREPARATION OR CHEMICAL WORKING-UP; COMPOSITIONS BASED THEREON
- C08K—Use of inorganic or non-macromolecular organic substances as compounding ingredients
- C08K5/00—Use of organic ingredients
- C08K5/04—Oxygen-containing compounds
- C08K5/15—Heterocyclic compounds having oxygen in the ring
- C08K5/151—Heterocyclic compounds having oxygen in the ring having one oxygen atom in the ring
- C08K5/1535—Five-membered rings
-
- C—CHEMISTRY; METALLURGY
- C08—ORGANIC MACROMOLECULAR COMPOUNDS; THEIR PREPARATION OR CHEMICAL WORKING-UP; COMPOSITIONS BASED THEREON
- C08K—Use of inorganic or non-macromolecular organic substances as compounding ingredients
- C08K5/00—Use of organic ingredients
- C08K5/16—Nitrogen-containing compounds
- C08K5/34—Heterocyclic compounds having nitrogen in the ring
- C08K5/3412—Heterocyclic compounds having nitrogen in the ring having one nitrogen atom in the ring
- C08K5/3432—Six-membered rings
- C08K5/3435—Piperidines
-
- C—CHEMISTRY; METALLURGY
- C08—ORGANIC MACROMOLECULAR COMPOUNDS; THEIR PREPARATION OR CHEMICAL WORKING-UP; COMPOSITIONS BASED THEREON
- C08K—Use of inorganic or non-macromolecular organic substances as compounding ingredients
- C08K5/00—Use of organic ingredients
- C08K5/16—Nitrogen-containing compounds
- C08K5/34—Heterocyclic compounds having nitrogen in the ring
- C08K5/3467—Heterocyclic compounds having nitrogen in the ring having more than two nitrogen atoms in the ring
- C08K5/3477—Six-membered rings
- C08K5/3492—Triazines
-
- C—CHEMISTRY; METALLURGY
- C08—ORGANIC MACROMOLECULAR COMPOUNDS; THEIR PREPARATION OR CHEMICAL WORKING-UP; COMPOSITIONS BASED THEREON
- C08K—Use of inorganic or non-macromolecular organic substances as compounding ingredients
- C08K5/00—Use of organic ingredients
- C08K5/16—Nitrogen-containing compounds
- C08K5/34—Heterocyclic compounds having nitrogen in the ring
- C08K5/35—Heterocyclic compounds having nitrogen in the ring having also oxygen in the ring
- C08K5/357—Six-membered rings
-
- C—CHEMISTRY; METALLURGY
- C08—ORGANIC MACROMOLECULAR COMPOUNDS; THEIR PREPARATION OR CHEMICAL WORKING-UP; COMPOSITIONS BASED THEREON
- C08K—Use of inorganic or non-macromolecular organic substances as compounding ingredients
- C08K5/00—Use of organic ingredients
- C08K5/49—Phosphorus-containing compounds
- C08K5/51—Phosphorus bound to oxygen
- C08K5/52—Phosphorus bound to oxygen only
- C08K5/521—Esters of phosphoric acids, e.g. of H3PO4
-
- C—CHEMISTRY; METALLURGY
- C08—ORGANIC MACROMOLECULAR COMPOUNDS; THEIR PREPARATION OR CHEMICAL WORKING-UP; COMPOSITIONS BASED THEREON
- C08K—Use of inorganic or non-macromolecular organic substances as compounding ingredients
- C08K5/00—Use of organic ingredients
- C08K5/49—Phosphorus-containing compounds
- C08K5/51—Phosphorus bound to oxygen
- C08K5/52—Phosphorus bound to oxygen only
- C08K5/524—Esters of phosphorous acids, e.g. of H3PO3
- C08K5/526—Esters of phosphorous acids, e.g. of H3PO3 with hydroxyaryl compounds
-
- C—CHEMISTRY; METALLURGY
- C08—ORGANIC MACROMOLECULAR COMPOUNDS; THEIR PREPARATION OR CHEMICAL WORKING-UP; COMPOSITIONS BASED THEREON
- C08K—Use of inorganic or non-macromolecular organic substances as compounding ingredients
- C08K5/00—Use of organic ingredients
- C08K5/49—Phosphorus-containing compounds
- C08K5/51—Phosphorus bound to oxygen
- C08K5/52—Phosphorus bound to oxygen only
- C08K5/527—Cyclic esters
-
- C—CHEMISTRY; METALLURGY
- C08—ORGANIC MACROMOLECULAR COMPOUNDS; THEIR PREPARATION OR CHEMICAL WORKING-UP; COMPOSITIONS BASED THEREON
- C08K—Use of inorganic or non-macromolecular organic substances as compounding ingredients
- C08K5/00—Use of organic ingredients
- C08K5/49—Phosphorus-containing compounds
- C08K5/51—Phosphorus bound to oxygen
- C08K5/52—Phosphorus bound to oxygen only
- C08K5/529—Esters containing heterocyclic rings not representing cyclic esters of phosphoric or phosphorous acids
-
- C—CHEMISTRY; METALLURGY
- C08—ORGANIC MACROMOLECULAR COMPOUNDS; THEIR PREPARATION OR CHEMICAL WORKING-UP; COMPOSITIONS BASED THEREON
- C08L—COMPOSITIONS OF MACROMOLECULAR COMPOUNDS
- C08L23/00—Compositions of homopolymers or copolymers of unsaturated aliphatic hydrocarbons having only one carbon-to-carbon double bond; Compositions of derivatives of such polymers
- C08L23/02—Compositions of homopolymers or copolymers of unsaturated aliphatic hydrocarbons having only one carbon-to-carbon double bond; Compositions of derivatives of such polymers not modified by chemical after-treatment
- C08L23/04—Homopolymers or copolymers of ethene
- C08L23/06—Polyethene
-
- C—CHEMISTRY; METALLURGY
- C08—ORGANIC MACROMOLECULAR COMPOUNDS; THEIR PREPARATION OR CHEMICAL WORKING-UP; COMPOSITIONS BASED THEREON
- C08L—COMPOSITIONS OF MACROMOLECULAR COMPOUNDS
- C08L23/00—Compositions of homopolymers or copolymers of unsaturated aliphatic hydrocarbons having only one carbon-to-carbon double bond; Compositions of derivatives of such polymers
- C08L23/02—Compositions of homopolymers or copolymers of unsaturated aliphatic hydrocarbons having only one carbon-to-carbon double bond; Compositions of derivatives of such polymers not modified by chemical after-treatment
- C08L23/10—Homopolymers or copolymers of propene
- C08L23/12—Polypropene
-
- C—CHEMISTRY; METALLURGY
- C08—ORGANIC MACROMOLECULAR COMPOUNDS; THEIR PREPARATION OR CHEMICAL WORKING-UP; COMPOSITIONS BASED THEREON
- C08K—Use of inorganic or non-macromolecular organic substances as compounding ingredients
- C08K3/00—Use of inorganic substances as compounding ingredients
- C08K3/18—Oxygen-containing compounds, e.g. metal carbonyls
- C08K3/20—Oxides; Hydroxides
- C08K3/22—Oxides; Hydroxides of metals
- C08K2003/2217—Oxides; Hydroxides of metals of magnesium
- C08K2003/2224—Magnesium hydroxide
-
- C—CHEMISTRY; METALLURGY
- C08—ORGANIC MACROMOLECULAR COMPOUNDS; THEIR PREPARATION OR CHEMICAL WORKING-UP; COMPOSITIONS BASED THEREON
- C08K—Use of inorganic or non-macromolecular organic substances as compounding ingredients
- C08K3/00—Use of inorganic substances as compounding ingredients
- C08K3/18—Oxygen-containing compounds, e.g. metal carbonyls
- C08K3/20—Oxides; Hydroxides
- C08K3/22—Oxides; Hydroxides of metals
- C08K2003/2227—Oxides; Hydroxides of metals of aluminium
-
- C—CHEMISTRY; METALLURGY
- C08—ORGANIC MACROMOLECULAR COMPOUNDS; THEIR PREPARATION OR CHEMICAL WORKING-UP; COMPOSITIONS BASED THEREON
- C08K—Use of inorganic or non-macromolecular organic substances as compounding ingredients
- C08K3/00—Use of inorganic substances as compounding ingredients
- C08K3/18—Oxygen-containing compounds, e.g. metal carbonyls
- C08K3/20—Oxides; Hydroxides
- C08K3/22—Oxides; Hydroxides of metals
- C08K2003/2296—Oxides; Hydroxides of metals of zinc
-
- C—CHEMISTRY; METALLURGY
- C08—ORGANIC MACROMOLECULAR COMPOUNDS; THEIR PREPARATION OR CHEMICAL WORKING-UP; COMPOSITIONS BASED THEREON
- C08K—Use of inorganic or non-macromolecular organic substances as compounding ingredients
- C08K3/00—Use of inorganic substances as compounding ingredients
- C08K3/18—Oxygen-containing compounds, e.g. metal carbonyls
- C08K3/24—Acids; Salts thereof
- C08K3/26—Carbonates; Bicarbonates
- C08K2003/267—Magnesium carbonate
-
- C—CHEMISTRY; METALLURGY
- C08—ORGANIC MACROMOLECULAR COMPOUNDS; THEIR PREPARATION OR CHEMICAL WORKING-UP; COMPOSITIONS BASED THEREON
- C08L—COMPOSITIONS OF MACROMOLECULAR COMPOUNDS
- C08L2201/00—Properties
- C08L2201/08—Stabilised against heat, light or radiation or oxydation
Landscapes
- Chemical & Material Sciences (AREA)
- Health & Medical Sciences (AREA)
- Chemical Kinetics & Catalysis (AREA)
- Medicinal Chemistry (AREA)
- Polymers & Plastics (AREA)
- Organic Chemistry (AREA)
- Compositions Of Macromolecular Compounds (AREA)
- Furan Compounds (AREA)
Abstract
Description
Claims (23)
- i) 폴리올레핀,
ii) 화학식 I-p1, I-p2, I-o1, I-o2, I-m1 및 I-m2로 이루어진 군으로부터 선택된 하나 이상의 벤조푸라논 화합물:
(여기서
X 및 Z는 독립적으로 P 또는 P=O이고; Yp, Yo 및 Ym은 산소이거나 공유 결합을 나타내고;
Yp, Yo 및 Ym이 산소인 경우, R1p는 하위화학식 II-p, II-o 또는 II-m 중 하나를 나타내고:
R1o는 하위화학식 II-o 또는 II-m 중 하나를 나타내고, R1m은 하위화학식 II-m을 나타내거나, 또는
R1p는 R2p와 함께, R1o는 R2o와 함께, 또한 R1m은 R2m과 함께 하위화학식 III, IV 또는 V 중 하나를 나타내거나:
또는 R1p, R1o 및 R1m은 비치환되거나 C1-C8-알킬, C1-C8-알콕시, 할로겐 또는 하나의 페닐에 의해 치환된 C6-C10-아릴, C1-C18-알킬, C3-C16-시클로알킬, C7-C13-아르알킬, C2-C18-알케닐, 하나 이상의 산소 원자에 의해 개재된 C2-C30-알킬, 또는 하나의 황 원자에 의해 개재된 C2-C16-알킬이고, R2p는 하위화학식 II-p, II-o 또는 II-m 중 하나를 나타내고, R2o는 하위화학식 II-o 또는 II-m 중 하나를 나타내고, R2m은 하위화학식 II-m을 나타내거나, 또는 R2p는 R1p와 함께, R2o는 R1o와 함께, 또한 R2m은 R1m과 함께 하위화학식 III, IV 또는 V 중 하나를 나타내거나, 또는 R2p, R2o 및 R2m은 비치환되거나 C1-C8-알킬, C1-C8-알콕시, 할로겐 또는 하나의 페닐에 의해 치환된 C6-C10-아릴, C1-C18-알킬, C3-C16-시클로알킬, C7-C13-아르알킬, C2-C18-알케닐, 하나 이상의 산소 원자에 의해 개재된 C2-C30-알킬, 또는 하나의 황 원자에 의해 개재된 C2-C16-알킬이고; Yp, Yo 및 Ym이 공유 결합을 나타내는 경우, R1p는 하위화학식 II-p, II-o 또는 II-m 중 하나를 나타내고, R1o는 하위화학식 II-o 또는 II-m 중 하나를 나타내고, R1m은 하위화학식 II-m을 나타내거나, 또는
R1p, R1o 및 R1m은 비치환되거나 C1-C8-알킬, C1-C8-알콕시, 할로겐 또는 하나의 페닐에 의해 치환된 C6-C10-아릴, C1-C18-알킬, C3-C16-시클로알킬, C7-C13-아르알킬, C2-C18-알케닐, 하나 이상의 산소 원자에 의해 개재된 C2-C30-알킬, 또는 하나의 황 원자에 의해 개재된 C2-C16-알킬이고, R2p, R2o 및 R2m은 비치환되거나 C1-C8-알킬, C1-C8-알콕시, 할로겐 또는 하나의 페닐에 의해 치환된 C6-C10-아릴, 또는 할로겐이고; R4, R5, R6 및 R7은 각각 독립적으로 수소 또는 C1-C8-알킬이고, Rp2, Rp3, Rp5 및 Rp6은 각각 독립적으로 수소 또는 C1-C8-알킬이고, Ro1, Ro2, Ro5 및 Ro6은 각각 독립적으로 수소 또는 C1-C8-알킬이고,
Rm1, Rm3, Rm5 및 Rm6은 각각 독립적으로 수소 또는 C1-C8-알킬이고, Ra1, Ra2, Ra3 및 Ra4는 각각 독립적으로 수소 또는 C1-C8-알킬이고, Rb1, Rb2, Rb3, Rb4, Rb5 및 Rb6은 각각 독립적으로 수소 또는 C1-C8-알킬이고, Rc1, Rc2, Rc3 및 Rc4는 각각 독립적으로 수소 또는 C1-C8-알킬임),
및
iii) 하나 이상의 산 스캐빈저
를 포함하는 조성물. - 제1항에 있어서, 폴리올레핀이 폴리프로필렌을 포함하는 것인 조성물.
- 제1항에 있어서, 폴리올레핀이 폴리에틸렌을 포함하는 것인 조성물.
- 제1항에 있어서, 산 스캐빈저가 히드로탈사이트, 비정질 염기성 알루미늄 마그네슘 카르보네이트, 지방 산의 금속 염 및 금속 산화물로 이루어진 군으로부터 선택되는 것인 조성물.
- 제1항에 있어서, 지방 산의 알칼리 또는 알칼리 토금속 염으로 이루어진 군으로부터 선택된 하나 이상의 산 스캐빈저를 포함하는 조성물.
- 제1항에 있어서, 칼슘 스테아레이트, 아연 스테아레이트, 히드로탈사이트 및 산화아연으로 이루어진 군으로부터 선택된 하나 이상의 산 스캐빈저를 포함하는 조성물.
- 제1항 내지 제6항 중 어느 한 항에 있어서, 장애 페놀 산화방지제로 이루어진 군으로부터 선택된 하나 이상의 화합물을 추가로 포함하는 조성물.
- 제1항 내지 제6항 중 어느 한 항에 있어서, β-(3,5-디-tert-부틸-4-히드록시페닐)프로피온산 에스테르로 이루어진 군으로부터 선택된 하나 이상의 장애 페놀 산화방지제를 추가로 포함하는 조성물.
- 제1항 내지 제6항 중 어느 한 항에 있어서, 하나 이상의 벤조푸라논 화합물이, 폴리올레핀의 중량을 기준으로 하여, 중량 기준으로 약 20 ppm 내지 약 1000 ppm으로 존재하는 것인 조성물.
- 제1항 내지 제6항 중 어느 한 항에 있어서, 하나 이상의 산 스캐빈저가, 폴리올레핀의 중량을 기준으로 하여, 중량 기준으로 약 20 ppm 내지 약 1500 ppm으로 존재하는 것인 조성물.
- 제1항 내지 제6항 중 어느 한 항에 있어서, 하나 이상의 산 스캐빈저에 대한 하나 이상의 벤조푸라논 화합물의 중량/중량 비율이 약 0.05 내지 약 1.0인 조성물.
- 제1항 내지 제6항 중 어느 한 항에 있어서, 벤조푸라논 화합물이 화학식 I-p1, I-p2 및 I-o1로 이루어진 군으로부터 선택되는 것인 조성물.
- 제1항 내지 제6항 중 어느 한 항에 있어서, 벤조푸라논 화합물에서, X 및 Z가 P이고, Y가 O인 조성물.
- 제1항 내지 제6항 중 어느 한 항에 있어서, 벤조푸라논 화합물이 화학식 I-p1, I-p2, I-o1, I-o2, I-m1 또는 I-m2이고, 여기서 Yp, Yo 및 Ym은 산소이거나 공유 결합을 나타내고; Yp, Yo 및 Ym이 산소인 경우, R1p는 하위화학식 II-p, II-o 또는 II-m 중 하나를 나타내고, R1o는 하위화학식 II-o 또는 II-m 중 하나를 나타내고, R1m은 하위화학식 II-m을 나타내거나, 또는 R1p는 R2p와 함께, R1o는 R2o와 함께, 또한 R1m은 R2m과 함께 하위화학식 III, IV 또는 V 중 하나를 나타내거나, 또는 R1p, R1o 및 R1m은 비치환되거나 C1-C8-알킬, C1-C8-알콕시, 할로겐 또는 하나의 페닐에 의해 치환된 C6-C10-아릴, C1-C18-알킬, C3-C16-시클로알킬, C7-C13-아르알킬, C2-Cis-알케닐, 하나 이상의 산소 원자에 의해 개재된 C2-C30-알킬, 또는 하나의 황 원자에 의해 개재된 C2-C16-알킬이고, R2p는 하위화학식 II-p, II-o 또는 II-m 중 하나를 나타내고, R2o는 하위화학식 II-o 또는 II-m 중 하나를 나타내고, R2m은 하위화학식 II-m을 나타내거나, 또는 R2p는 R1p와 함께, R2o는 R1o와 함께, 또한 R2m은 R1m과 함께 하위화학식 III, IV 또는 V 중 하나를 나타내거나, 또는 R2p, R2o 및 R2m은 비치환되거나 C1-C8-알킬, C1-C8-알콕시, 할로겐 또는 하나의 페닐에 의해 치환된 C6-C10-아릴, C1-C18-알킬, C3-C16-시클로알킬, C7-C13-아르알킬, C2-C18-알케닐, 하나 이상의 산소 원자에 의해 개재된 C2-C30-알킬, 또는 하나의 황 원자에 의해 개재된 C2-C16-알킬이고; Yp, Yo 및 Ym이 공유 결합을 나타내는 경우, R1p는 하위화학식 II-p, II-o 또는 II-m 중 하나를 나타내고, R1o는 하위화학식 II-o 또는 II-m 중 하나를 나타내고, R1m은 하위화학식 II-m을 나타내거나, 또는 R1p, R1o 및 R1m은 비치환되거나 C1-C8-알킬, C1-C8-알콕시, 할로겐 또는 하나의 페닐에 의해 치환된 C6-C10-아릴, C1-C18-알킬, C3-C16-시클로알킬, C7-C13-아르알킬, C2-C18-알케닐, 하나 이상의 산소 원자에 의해 개재된 C2-C30-알킬, 또는 하나의 황 원자에 의해 개재된 C2-C16-알킬이고, R2p, R2o 및 R2m은 비치환되거나 C1-C8-알킬, C1-C8-알콕시, 할로겐 또는 하나의 페닐에 의해 치환된 C6-C10-아릴, 또는 할로겐이고; R4 및 R6은 수소이고, R5 및 R7은 각각 독립적으로 수소 또는 C1-C8-알킬이고, Rp2 및 Rp6은 각각 독립적으로 수소 또는 C1-알킬이고, Rp3 및 Rp5는 각각 독립적으로 수소 또는 C1-C4-알킬이고, Ro1 및 Ro6은 각각 독립적으로 수소 또는 C1-C8-알킬이고, Ro2는 수소 또는 C1-알킬이고, Ro5는 수소 또는 C1-C4-알킬이고, Rm1은 수소 또는 C1-알킬이고, Rm3 및 Rm5는 각각 독립적으로 수소 또는 C1-C4-알킬이고, Rm6은 수소 또는 C1-C8-알킬이고, Ra1, Ra2, Ra3 및 Ra4는 각각 독립적으로 수소 또는 C1-C4-알킬이고, Rb1, Rb2, Rb3, Rb4, Rb5 및 Rb6은 각각 독립적으로 수소 또는 C1-C4-알킬이고, Rc1, Rc2, Rc3 및 Rc4는 각각 독립적으로 수소 또는 C1-C4-알킬인 조성물.
- 제1항 내지 제6항 중 어느 한 항에 있어서, 벤조푸라논이 화학식 I-p1, I-p2, I-o1, I-o2, I-m1 또는 I-m2의 것이고, 여기서 Yp, Yo 및 Ym은 산소이거나 공유 결합을 나타내고; Yp, Yo 및 Ym이 산소인 경우, R1p는 하위화학식 II-p, II-o 또는 II-m 중 하나를 나타내고, R1o는 하위화학식 II-o 또는 II-m 중 하나를 나타내고, R1m은 하위화학식 II-m을 나타내거나, 또는 R1p는 R2p와 함께, R1o는 R2o와 함께, 또한 R1m은 R2m과 함께 하위화학식 III, IV 또는 V 중 하나를 나타내거나, 또는 R1p, R1o 및 R1m은 비치환되거나 C1-C8-알킬에 의해 치환된 C6-C10-아릴, C1-C18-알킬 또는 C3-C16-시클로알킬이고, R2p는 하위화학식 II-p, II-o 또는 II-m 중 하나를 나타내고, R2o는 하위화학식 II-o 또는 II-m 중 하나를 나타내고, R2m은 하위화학식 II-m을 나타내거나, 또는 R2p는 R1p와 함께, R2o는 R1o와 함께, 또한 R2m은 R1m과 함께 하위화학식 III, IV 또는 V 중 하나를 나타내거나, 또는 R2p, R2o 및 R2m은 비치환되거나 C1-C8-알킬에 의해 치환된 C6-C10-아릴, C1-C18-알킬 또는 C3-C16-시클로알킬이고; Yp, Yo 및 Ym이 공유 결합을 나타내는 경우, R1p는 하위화학식 II-p, II-o 또는 II-m 중 하나를 나타내고, R1o는 하위화학식 II-o 또는 II-m 중 하나를 나타내고, R1m은 하위화학식 II-m을 나타내거나, 또는 R1p, R1o 및 R1m은 비치환되거나 C1-C8-알킬에 의해 치환된 C6-C10-아릴, C1-C18-알킬 또는 C3-C16-시클로알킬이고, R2p, R2o 및 R2m은 비치환되거나 C1-C8-알킬에 의해 치환된 C6-C10-아릴 또는 플루오로인 조성물.
- 제1항 내지 제6항 중 어느 한 항에 있어서, 벤조푸라논이 화학식 I-p1, I-p2, I-o1 또는 I-o2의 것이고, 여기서 Yp 및 Yo는 산소이거나 공유 결합을 나타내고; Yp 및 Yo가 산소인 경우, R1p, R2p, R1o 또는 R2o는 하위화학식 II-m을 나타내지 않고; Yp 및 Yo가 공유 결합을 나타내는 경우, R1p 또는 R1o는 하위화학식 II-m을 나타내지 않는 것인 조성물.
- 제1항 내지 제6항 중 어느 한 항에 있어서, 벤조푸라논이 화학식 I-p1, I-p2, I-o1 또는 I-o2의 것이고, 여기서 Yp 및 Yo는 산소이고, R1p는 R2p와 함께, 또한 R1o는 R2o와 함께 하위화학식 III, IV 또는 V 중 하나를 나타내고, R2p는 R1p와 함께, 또한 R2o는 R1o와 함께 하위화학식 III, IV 또는 V 중 하나를 나타내고, R4, R5, R6 및 R7은 각각 독립적으로 수소 또는 C1-C8-알킬이고, Rp2, Rp3, Rp5 및 Rp6은 각각 독립적으로 수소 또는 C1-C8-알킬이고, Ro1, Ro2, Ro5 및 Ro6은 각각 독립적으로 수소 또는 C1-C8-알킬이고, Ra1, Ra2, Ra3 및 Ra4는 각각 독립적으로 수소 또는 C1-C8-알킬이고, Rb1, Rb2, Rb3, Rb4, Rb5 및 Rb6은 각각 독립적으로 수소 또는 C1-C8-알킬이고, Rc1, Rc2, Rc3 및 Rc4는 각각 독립적으로 수소 또는 C1-C8-알킬인 조성물.
- 제1항 내지 제6항 중 어느 한 항에 따른 조성물을 포함하는 성형품.
- 조성물을 용융 블렌딩하는 것을 포함하는, 제19항에 따른 성형품의 제조 방법.
- ii) 제1항의 화학식 I-p1, I-p2, I-o1, I-o2, I-m1 및 I-m2로 이루어진 군으로부터 선택된 하나 이상의 벤조푸라논 화합물 및 iii) 하나 이상의 산 스캐빈저를 포함하는 첨가제 조성물.
- 제21항에 있어서, 하나 이상의 산 스캐빈저에 대한 하나 이상의 벤조푸라논 화합물의 중량/중량 비율이 약 0.05 내지 약 1.0인 첨가제 조성물.
- 폴리올레핀 내에 ii) 제1항의 화학식 I-p1, I-p2, I-o1, I-o2, I-m1 및 I-m2로 이루어진 군으로부터 선택된 하나 이상의 벤조푸라논 화합물 및 iii) 하나 이상의 산 스캐빈저를 혼입하는 것을 포함하는, 열, 빛 및 산소의 해로운 영향에 대하여 폴리올레핀을 안정화시키는 방법.
Applications Claiming Priority (5)
| Application Number | Priority Date | Filing Date | Title |
|---|---|---|---|
| EP17180079 | 2017-07-06 | ||
| EP17180079.0 | 2017-07-06 | ||
| US201862691202P | 2018-06-28 | 2018-06-28 | |
| US62/691,202 | 2018-06-28 | ||
| PCT/US2018/040699 WO2019010170A1 (en) | 2017-07-06 | 2018-07-03 | STABILIZED POLYOLEFIN COMPOSITIONS COMPRISING BENZOFURANONES AND ACID SENSORS |
Publications (1)
| Publication Number | Publication Date |
|---|---|
| KR20200027525A true KR20200027525A (ko) | 2020-03-12 |
Family
ID=67702077
Family Applications (1)
| Application Number | Title | Priority Date | Filing Date |
|---|---|---|---|
| KR1020207003112A Ceased KR20200027525A (ko) | 2017-07-06 | 2018-07-03 | 벤조푸라논 및 산 스캐빈저를 포함하는 안정화된 폴리올레핀 조성물 |
Country Status (11)
| Country | Link |
|---|---|
| US (1) | US20200181364A1 (ko) |
| EP (1) | EP3649136A4 (ko) |
| JP (1) | JP2020526608A (ko) |
| KR (1) | KR20200027525A (ko) |
| CN (1) | CN111406061A (ko) |
| AU (1) | AU2018298025B2 (ko) |
| BR (1) | BR112020000142A2 (ko) |
| CA (1) | CA3068987A1 (ko) |
| MX (1) | MX2020000234A (ko) |
| TW (2) | TW202225306A (ko) |
| ZA (1) | ZA202000588B (ko) |
Families Citing this family (2)
| Publication number | Priority date | Publication date | Assignee | Title |
|---|---|---|---|---|
| KR20200027524A (ko) * | 2017-07-06 | 2020-03-12 | 바스프 에스이 | 벤조푸라논 및 장애 페놀 산화방지제를 포함하는 안정화된 폴리올레핀 조성물 |
| JP2023108414A (ja) * | 2022-01-25 | 2023-08-04 | 株式会社ノリタケカンパニーリミテド | 装飾用組成物およびその利用 |
Family Cites Families (5)
| Publication number | Priority date | Publication date | Assignee | Title |
|---|---|---|---|---|
| KR102229334B1 (ko) * | 2014-02-17 | 2021-03-19 | 바스프 에스이 | 안정화제로서의 인을 함유하는 3-페닐-벤조푸란-2-온 유도체 |
| ES2701529T3 (es) * | 2014-08-05 | 2019-02-22 | Basf Se | Derivados de difosfito de 3-fenil-benzofuran-2-ona como estabilizadores |
| RU2722188C2 (ru) * | 2015-08-10 | 2020-05-28 | Басф Се | 3-фенил-бензофуран-2-оновые производные, содержащие фосфор, в качестве стабилизаторов |
| ES2874796T3 (es) * | 2017-07-06 | 2021-11-05 | Basf Se | Una tubería de polietileno |
| CA3103741A1 (en) * | 2018-06-21 | 2019-12-26 | Basf Se | 3-phenyl-benzofuran-2-one diphosphate derivatives as stabilizers |
-
2018
- 2018-07-03 JP JP2019572593A patent/JP2020526608A/ja active Pending
- 2018-07-03 AU AU2018298025A patent/AU2018298025B2/en not_active Expired - Fee Related
- 2018-07-03 US US16/628,570 patent/US20200181364A1/en not_active Abandoned
- 2018-07-03 MX MX2020000234A patent/MX2020000234A/es unknown
- 2018-07-03 BR BR112020000142-2A patent/BR112020000142A2/pt not_active Application Discontinuation
- 2018-07-03 EP EP18827768.5A patent/EP3649136A4/en not_active Withdrawn
- 2018-07-03 CA CA3068987A patent/CA3068987A1/en active Pending
- 2018-07-03 KR KR1020207003112A patent/KR20200027525A/ko not_active Ceased
- 2018-07-03 CN CN201880056783.1A patent/CN111406061A/zh active Pending
- 2018-07-05 TW TW111110383A patent/TW202225306A/zh unknown
- 2018-07-05 TW TW107123251A patent/TW201920425A/zh unknown
-
2020
- 2020-01-29 ZA ZA2020/00588A patent/ZA202000588B/en unknown
Also Published As
| Publication number | Publication date |
|---|---|
| CN111406061A (zh) | 2020-07-10 |
| AU2018298025B2 (en) | 2023-03-02 |
| MX2020000234A (es) | 2020-08-17 |
| ZA202000588B (en) | 2021-07-28 |
| TW201920425A (zh) | 2019-06-01 |
| AU2018298025A1 (en) | 2020-01-30 |
| CA3068987A1 (en) | 2019-01-10 |
| US20200181364A1 (en) | 2020-06-11 |
| TW202225306A (zh) | 2022-07-01 |
| BR112020000142A2 (pt) | 2020-07-14 |
| EP3649136A4 (en) | 2021-04-28 |
| JP2020526608A (ja) | 2020-08-31 |
| EP3649136A1 (en) | 2020-05-13 |
Similar Documents
| Publication | Publication Date | Title |
|---|---|---|
| US10934423B2 (en) | Stabilized polyolefin compositions comprising benzofuranones and organophosphorus stabilizers | |
| US11623979B2 (en) | Stabilized polyolefin compositions comprising benzofuranones and hindered amine light stabilizers | |
| US20220145053A1 (en) | Stabilized Polyolefin Compositions Comprising Benzofuranones and Hindered Phenolic Antioxidants | |
| AU2022203873A1 (en) | Stabilized polyolefin compositions comprising benzofuranones and organophosphorus stabilizers | |
| KR20200027525A (ko) | 벤조푸라논 및 산 스캐빈저를 포함하는 안정화된 폴리올레핀 조성물 |
Legal Events
| Date | Code | Title | Description |
|---|---|---|---|
| PA0105 | International application |
Patent event date: 20200131 Patent event code: PA01051R01D Comment text: International Patent Application |
|
| PG1501 | Laying open of application | ||
| PA0201 | Request for examination |
Patent event code: PA02012R01D Patent event date: 20210702 Comment text: Request for Examination of Application |
|
| E902 | Notification of reason for refusal | ||
| PE0902 | Notice of grounds for rejection |
Comment text: Notification of reason for refusal Patent event date: 20221216 Patent event code: PE09021S01D |
|
| PE0601 | Decision on rejection of patent |
Patent event date: 20230228 Comment text: Decision to Refuse Application Patent event code: PE06012S01D Patent event date: 20221216 Comment text: Notification of reason for refusal Patent event code: PE06011S01I |
















































