KR20180106234A - Hetero-cyclic compound and organic light emitting device comprising the same - Google Patents
Hetero-cyclic compound and organic light emitting device comprising the same Download PDFInfo
- Publication number
- KR20180106234A KR20180106234A KR1020170034053A KR20170034053A KR20180106234A KR 20180106234 A KR20180106234 A KR 20180106234A KR 1020170034053 A KR1020170034053 A KR 1020170034053A KR 20170034053 A KR20170034053 A KR 20170034053A KR 20180106234 A KR20180106234 A KR 20180106234A
- Authority
- KR
- South Korea
- Prior art keywords
- group
- substituted
- unsubstituted
- same
- formula
- Prior art date
- Legal status (The legal status is an assumption and is not a legal conclusion. Google has not performed a legal analysis and makes no representation as to the accuracy of the status listed.)
- Withdrawn
Links
Images
Classifications
-
- C—CHEMISTRY; METALLURGY
- C07—ORGANIC CHEMISTRY
- C07D—HETEROCYCLIC COMPOUNDS
- C07D493/00—Heterocyclic compounds containing oxygen atoms as the only ring hetero atoms in the condensed system
- C07D493/22—Heterocyclic compounds containing oxygen atoms as the only ring hetero atoms in the condensed system in which the condensed system contains four or more hetero rings
-
- C—CHEMISTRY; METALLURGY
- C07—ORGANIC CHEMISTRY
- C07D—HETEROCYCLIC COMPOUNDS
- C07D493/00—Heterocyclic compounds containing oxygen atoms as the only ring hetero atoms in the condensed system
- C07D493/12—Heterocyclic compounds containing oxygen atoms as the only ring hetero atoms in the condensed system in which the condensed system contains three hetero rings
- C07D493/14—Ortho-condensed systems
-
- C—CHEMISTRY; METALLURGY
- C07—ORGANIC CHEMISTRY
- C07D—HETEROCYCLIC COMPOUNDS
- C07D495/00—Heterocyclic compounds containing in the condensed system at least one hetero ring having sulfur atoms as the only ring hetero atoms
- C07D495/22—Heterocyclic compounds containing in the condensed system at least one hetero ring having sulfur atoms as the only ring hetero atoms in which the condensed system contains four or more hetero rings
-
- C—CHEMISTRY; METALLURGY
- C07—ORGANIC CHEMISTRY
- C07F—ACYCLIC, CARBOCYCLIC OR HETEROCYCLIC COMPOUNDS CONTAINING ELEMENTS OTHER THAN CARBON, HYDROGEN, HALOGEN, OXYGEN, NITROGEN, SULFUR, SELENIUM OR TELLURIUM
- C07F7/00—Compounds containing elements of Groups 4 or 14 of the Periodic Table
- C07F7/02—Silicon compounds
- C07F7/08—Compounds having one or more C—Si linkages
- C07F7/0803—Compounds with Si-C or Si-Si linkages
- C07F7/081—Compounds with Si-C or Si-Si linkages comprising at least one atom selected from the elements N, O, halogen, S, Se or Te
- C07F7/0812—Compounds with Si-C or Si-Si linkages comprising at least one atom selected from the elements N, O, halogen, S, Se or Te comprising a heterocyclic ring
- C07F7/0816—Compounds with Si-C or Si-Si linkages comprising at least one atom selected from the elements N, O, halogen, S, Se or Te comprising a heterocyclic ring said ring comprising Si as a ring atom
-
- C—CHEMISTRY; METALLURGY
- C07—ORGANIC CHEMISTRY
- C07F—ACYCLIC, CARBOCYCLIC OR HETEROCYCLIC COMPOUNDS CONTAINING ELEMENTS OTHER THAN CARBON, HYDROGEN, HALOGEN, OXYGEN, NITROGEN, SULFUR, SELENIUM OR TELLURIUM
- C07F9/00—Compounds containing elements of Groups 5 or 15 of the Periodic Table
- C07F9/02—Phosphorus compounds
- C07F9/547—Heterocyclic compounds, e.g. containing phosphorus as a ring hetero atom
- C07F9/6564—Heterocyclic compounds, e.g. containing phosphorus as a ring hetero atom having phosphorus atoms, with or without nitrogen, oxygen, sulfur, selenium or tellurium atoms, as ring hetero atoms
- C07F9/6568—Heterocyclic compounds, e.g. containing phosphorus as a ring hetero atom having phosphorus atoms, with or without nitrogen, oxygen, sulfur, selenium or tellurium atoms, as ring hetero atoms having phosphorus atoms as the only ring hetero atoms
-
- C—CHEMISTRY; METALLURGY
- C09—DYES; PAINTS; POLISHES; NATURAL RESINS; ADHESIVES; COMPOSITIONS NOT OTHERWISE PROVIDED FOR; APPLICATIONS OF MATERIALS NOT OTHERWISE PROVIDED FOR
- C09K—MATERIALS FOR MISCELLANEOUS APPLICATIONS, NOT PROVIDED FOR ELSEWHERE
- C09K11/00—Luminescent, e.g. electroluminescent, chemiluminescent materials
- C09K11/06—Luminescent, e.g. electroluminescent, chemiluminescent materials containing organic luminescent materials
-
- H01L51/0071—
-
- H01L51/0073—
-
- H01L51/5012—
-
- H01L51/5048—
-
- H01L51/5088—
-
- H—ELECTRICITY
- H10—SEMICONDUCTOR DEVICES; ELECTRIC SOLID-STATE DEVICES NOT OTHERWISE PROVIDED FOR
- H10K—ORGANIC ELECTRIC SOLID-STATE DEVICES
- H10K85/00—Organic materials used in the body or electrodes of devices covered by this subclass
- H10K85/40—Organosilicon compounds, e.g. TIPS pentacene
-
- H—ELECTRICITY
- H10—SEMICONDUCTOR DEVICES; ELECTRIC SOLID-STATE DEVICES NOT OTHERWISE PROVIDED FOR
- H10K—ORGANIC ELECTRIC SOLID-STATE DEVICES
- H10K85/00—Organic materials used in the body or electrodes of devices covered by this subclass
- H10K85/60—Organic compounds having low molecular weight
- H10K85/631—Amine compounds having at least two aryl rest on at least one amine-nitrogen atom, e.g. triphenylamine
- H10K85/636—Amine compounds having at least two aryl rest on at least one amine-nitrogen atom, e.g. triphenylamine comprising heteroaromatic hydrocarbons as substituents on the nitrogen atom
-
- H—ELECTRICITY
- H10—SEMICONDUCTOR DEVICES; ELECTRIC SOLID-STATE DEVICES NOT OTHERWISE PROVIDED FOR
- H10K—ORGANIC ELECTRIC SOLID-STATE DEVICES
- H10K85/00—Organic materials used in the body or electrodes of devices covered by this subclass
- H10K85/60—Organic compounds having low molecular weight
- H10K85/649—Aromatic compounds comprising a hetero atom
- H10K85/657—Polycyclic condensed heteroaromatic hydrocarbons
-
- H—ELECTRICITY
- H10—SEMICONDUCTOR DEVICES; ELECTRIC SOLID-STATE DEVICES NOT OTHERWISE PROVIDED FOR
- H10K—ORGANIC ELECTRIC SOLID-STATE DEVICES
- H10K85/00—Organic materials used in the body or electrodes of devices covered by this subclass
- H10K85/60—Organic compounds having low molecular weight
- H10K85/649—Aromatic compounds comprising a hetero atom
- H10K85/657—Polycyclic condensed heteroaromatic hydrocarbons
- H10K85/6572—Polycyclic condensed heteroaromatic hydrocarbons comprising only nitrogen in the heteroaromatic polycondensed ring system, e.g. phenanthroline or carbazole
-
- H—ELECTRICITY
- H10—SEMICONDUCTOR DEVICES; ELECTRIC SOLID-STATE DEVICES NOT OTHERWISE PROVIDED FOR
- H10K—ORGANIC ELECTRIC SOLID-STATE DEVICES
- H10K85/00—Organic materials used in the body or electrodes of devices covered by this subclass
- H10K85/60—Organic compounds having low molecular weight
- H10K85/649—Aromatic compounds comprising a hetero atom
- H10K85/657—Polycyclic condensed heteroaromatic hydrocarbons
- H10K85/6574—Polycyclic condensed heteroaromatic hydrocarbons comprising only oxygen in the heteroaromatic polycondensed ring system, e.g. cumarine dyes
-
- C—CHEMISTRY; METALLURGY
- C09—DYES; PAINTS; POLISHES; NATURAL RESINS; ADHESIVES; COMPOSITIONS NOT OTHERWISE PROVIDED FOR; APPLICATIONS OF MATERIALS NOT OTHERWISE PROVIDED FOR
- C09K—MATERIALS FOR MISCELLANEOUS APPLICATIONS, NOT PROVIDED FOR ELSEWHERE
- C09K2211/00—Chemical nature of organic luminescent or tenebrescent compounds
- C09K2211/10—Non-macromolecular compounds
- C09K2211/1018—Heterocyclic compounds
- C09K2211/1025—Heterocyclic compounds characterised by ligands
- C09K2211/1088—Heterocyclic compounds characterised by ligands containing oxygen as the only heteroatom
-
- C—CHEMISTRY; METALLURGY
- C09—DYES; PAINTS; POLISHES; NATURAL RESINS; ADHESIVES; COMPOSITIONS NOT OTHERWISE PROVIDED FOR; APPLICATIONS OF MATERIALS NOT OTHERWISE PROVIDED FOR
- C09K—MATERIALS FOR MISCELLANEOUS APPLICATIONS, NOT PROVIDED FOR ELSEWHERE
- C09K2211/00—Chemical nature of organic luminescent or tenebrescent compounds
- C09K2211/10—Non-macromolecular compounds
- C09K2211/1018—Heterocyclic compounds
- C09K2211/1025—Heterocyclic compounds characterised by ligands
- C09K2211/1092—Heterocyclic compounds characterised by ligands containing sulfur as the only heteroatom
Landscapes
- Chemical & Material Sciences (AREA)
- Organic Chemistry (AREA)
- Engineering & Computer Science (AREA)
- Materials Engineering (AREA)
- Physics & Mathematics (AREA)
- Spectroscopy & Molecular Physics (AREA)
- Health & Medical Sciences (AREA)
- Life Sciences & Earth Sciences (AREA)
- Biochemistry (AREA)
- General Health & Medical Sciences (AREA)
- Molecular Biology (AREA)
- Electroluminescent Light Sources (AREA)
Abstract
Description
본 명세서는 헤테로고리 화합물 및 이를 포함하는 유기 발광 소자에 관한 것이다.TECHNICAL FIELD The present invention relates to heterocyclic compounds and organic light emitting devices comprising the same.
유기 발광 소자는 2개의 전극 사이에 유기박막을 배치시킨 구조를 가지고 있다. 이와 같은 구조의 유기 발광 소자에 전압이 인가되면, 2개의 전극으로부터 주입된 전자와 전공이 유기박막에서 결합하여 쌍을 이룬 후 소멸하면서 빛을 발하게 된다. 상기 유기박막은 필요에 따라 단층 또는 다층으로 구성될 수 있다.The organic light emitting device has a structure in which an organic thin film is disposed between two electrodes. When a voltage is applied to the organic light emitting device having such a structure, the electrons injected from the two electrodes and the electrons combine in the organic thin film to form a pair, and then the light is emitted while disappearing. The organic thin film may be composed of a single layer or a multilayer, if necessary.
유기 발광 소자에서 사용되는 물질로는 순수 유기 물질 또는 유기 물질과 금속이 착물을 이루는 착화합물이 대부분을 차지하고 있으며, 용도에 따라 정공주입 물질, 정공수송 물질, 발광 물질, 전자수송 물질, 전자주입 물질 등으로 구분될 수 있다. 여기서, 정공주입 물질이나 정공수송 물질로는 p-타입의 성질을 가지는 유기물질, 즉 쉽게 산화가 되고 산화 시에 전기화학적으로 안정한 상태를 가지는 유기물이 주로 사용되고 있다. 한편, 전자주입 물질이나 전자수송 물질로는 n-타입 성질을 가지는 유기 물질, 즉 쉽게 환원이 되고 환원 시에 전기화학적으로 안정한 상태를 가지는 유기물이 주로 사용되고 있다. 발광층 물질로는 p-타입 성질과 n-타입 성질을 동시에 가진 물질, 즉 산화와 환원 상태에서 모두 안정한 형태를 갖는 물질이 바람직하며, 정공 및 전자가 발광층에서 재결합하여 생성되는 엑시톤(exciton)이 형성되었을 때 이를 빛으로 전환하는 발광 효율이 높은 물질이 바람직하다.As a material used in an organic light emitting device, a pure organic material or a complex in which an organic material and a metal form a complex is mostly used. Depending on the application, a hole injecting material, a hole transporting material, a light emitting material, an electron transporting material, . As the hole injecting material and the hole transporting material, an organic material having a p-type property, that is, an organic material that is easily oxidized and electrochemically stable at the time of oxidation is mainly used. On the other hand, as an electron injecting material or an electron transporting material, an organic material having an n-type property, that is, an organic material that is easily reduced and electrochemically stable when being reduced is mainly used. As the light emitting layer material, a material having both a p-type property and an n-type property, that is, a material having both a stable state in oxidation and in a reduced state is preferable, and an exciton formed by recombination of holes and electrons in the light emitting layer is formed It is preferable to use a material having a high luminous efficiency for converting it into light.
유기 발광 소자의 성능, 수명 또는 효율을 향상시키기 위하여, 유기박막의 재료의 개발이 지속적으로 요구되고 있다.In order to improve the performance, life or efficiency of an organic light emitting device, development of materials for organic thin films is continuously required.
본 명세서는 헤테로고리 화합물 및 이를 포함하는 유기 발광 소자를 제공한다.The present invention provides a heterocyclic compound and an organic light emitting device including the heterocyclic compound.
본 명세서의 일 실시상태에 따르면, 하기 화학식 1로 표시되는 헤테로고리 화합물을 제공한다.According to one embodiment of the present invention, there is provided a heterocyclic compound represented by the following formula (1).
[화학식 1][Chemical Formula 1]
상기 화학식 1에 있어서,In Formula 1,
R1 내지 R4는 서로 같거나 상이하고, 각각 독립적으로 수소; 중수소; 할로겐기; 니트릴기; 치환 또는 비치환된 알킬기; 치환 또는 비치환된 알케닐기; 치환 또는 비치환된 알콕시기; 치환 또는 비치환된 시클로알킬기; 치환 또는 비치환된 아릴기; 또는 치환 또는 비치환된 헤테로고리기이거나, 인접한 치환기는 서로 결합하여 고리를 형성하며,R1 to R4 are the same or different from each other and each independently hydrogen; heavy hydrogen; A halogen group; A nitrile group; A substituted or unsubstituted alkyl group; A substituted or unsubstituted alkenyl group; A substituted or unsubstituted alkoxy group; A substituted or unsubstituted cycloalkyl group; A substituted or unsubstituted aryl group; Or a substituted or unsubstituted heterocyclic group, or adjacent substituents are bonded to each other to form a ring,
R5 내지 R9는 서로 같거나 상이하고, 각각 독립적으로 수소; 중수소; 할로겐기; 니트릴기; 치환 또는 비치환된 알킬기; 치환 또는 비치환된 알케닐기; 치환 또는 비치환된 알콕시기; 치환 또는 비치환된 시클로알킬기; 치환 또는 비치환된 아릴기; 치환 또는 비치환된 헤테로고리기; 치환 또는 비치환된 알킬아민기; 치환 또는 비치환된 헤테로아릴아민기; 또는 치환 또는 비치환된 아릴아민기이거나, 인접한 치환기는 서로 결합하여 고리를 형성하고,R5 to R9 are the same or different from each other, and each independently hydrogen; heavy hydrogen; A halogen group; A nitrile group; A substituted or unsubstituted alkyl group; A substituted or unsubstituted alkenyl group; A substituted or unsubstituted alkoxy group; A substituted or unsubstituted cycloalkyl group; A substituted or unsubstituted aryl group; A substituted or unsubstituted heterocyclic group; A substituted or unsubstituted alkylamine group; A substituted or unsubstituted heteroarylamine group; Or a substituted or unsubstituted arylamine group, or adjacent substituents are bonded to each other to form a ring,
W 및 X는 서로 같거나 상이하고, 각각 독립적으로 O, S, Se, Be, NQ1, PQ2, SO, SO2, PO, SiQ3Q4 또는 CQ5Q6 이며,W and X are the same or different from each other and each independently O, S, Se, Be, NQ 1 , PQ 2 , SO, SO 2 , PO, SiQ 3 Q 4 or CQ 5 Q 6 ,
Y 및 Z는 서로 같거나 상이하고, 각각 독립적으로 O, S, Se, Be, NRa, PRb, SO, SO2, PO, SiRcRd, CReRf, CRgRh-CRiRj, CRk=CRl, CRm=N 또는 PORn이고,Y and Z are the same as or different from each other, and each independently represents O, S, Se, Be, NRa, PRb, SO, SO 2, PO, SiRcRd, CReRf, and CRgRh-CRiRj, CRk = CRl, CRm = N or PORn ,
Q1 내지 Q6, Ra, Rb, Rc, Rd, Re, Rf, Rg, Rh, Ri, Rj, Rk, Rl Rm 및 Rn은 서로 같거나 상이하고, 각각 독립적으로 수소; 중수소; 할로겐기; 치환 또는 비치환된 알킬기; 치환 또는 비치환된 알케닐기; 치환 또는 비치환된 알콕시기; 치환 또는 비치환된 시클로알킬기; 치환 또는 비치환된 아릴기; 또는 치환 또는 비치환된 헤테로고리기이며,Q 1 to 6 Q, Ra, Rb, Rc, Rd, Re, Rf, Rg, Rh, Ri, Rj, Rk, Rl and Rm Rn is the same as or different from each other, and each independently hydrogen; heavy hydrogen; A halogen group; A substituted or unsubstituted alkyl group; A substituted or unsubstituted alkenyl group; A substituted or unsubstituted alkoxy group; A substituted or unsubstituted cycloalkyl group; A substituted or unsubstituted aryl group; Or a substituted or unsubstituted heterocyclic group,
n1 및 n2는 각각 1 또는 2이고, n1 and n2 are each 1 or 2,
a 및 b는 각각 0 또는 1이며, a and b are each 0 or 1,
c 및 e는 각각 0 내지 4의 정수이고, c and e are each an integer of 0 to 4,
d는 0 내지 2의 정수이며, d is an integer of 0 to 2,
n1, n2 및 d가 각각 2인 경우 괄호 내의 치환기는 서로 같거나 상이하고,When n1, n2 and d are each 2, the substituents in the parentheses are the same or different from each other,
c 및 e가 각각 2 이상인 경우 괄호 내의 치환기는 서로 같거나 상이하다.When c and e are each 2 or more, the substituents in the parentheses are the same or different from each other.
또한, 본 명세서의 일 실시상태에 따르면, 제1 전극; 상기 제1 전극과 대향하여 구비되는 제2 전극; 및 상기 제1 전극과 상기 제2 전극 사이에 구비되는 1층 이상의 유기물층을 포함하는 유기 발광 소자로서, 상기 유기물층 중 1층 이상은 상기 화학식 1로 표시되는 헤테로고리 화합물을 포함하는 것인 유기 발광 소자를 제공한다.According to an embodiment of the present invention, there is also provided a plasma display panel comprising: a first electrode; A second electrode facing the first electrode; And at least one organic compound layer disposed between the first electrode and the second electrode, wherein at least one of the organic compound layers includes a heterocyclic compound represented by
본 명세서에 기재된 헤테로고리 화합물은 유기 발광 소자의 유기물층의 재료로서 사용될 수 있다. 적어도 하나의 실시상태에 따른 화합물은 유기 발광 소자에서 효율의 향상, 낮은 구동전압 및/또는 수명 특성을 향상시킬 수 있다. 본 명세서에 기재된 화합물은 정공주입층, 정공수송층, 정공주입층과 정공수송층, 전자억제층, 발광층, 정공억제층, 전자수송층, 또는 전자주입층의 재료로 사용될 수 있다.The heterocyclic compound described in this specification can be used as a material of an organic layer of an organic light emitting device. The compound according to at least one embodiment can improve the efficiency, lower driving voltage and / or lifetime characteristics in the organic light emitting device. The compound described in this specification can be used as a material for the hole injecting layer, the hole transporting layer, the hole injecting layer and the hole transporting layer, the electron blocking layer, the light emitting layer, the hole blocking layer, the electron transporting layer, or the electron injecting layer.
도 1은 기판(1), 양극(2), 발광층(3) 및 음극(4)으로 이루어진 유기 발광 소자의 예를 도시한 것이다.
도 2는 기판(1), 양극(2), 정공 주입층(5), 정공 수송층(6), 발광층(3), 전자 수송층(7) 및 음극(4)로 이루어진 유기 발광 소자의 예를 도시한 것이다.Fig. 1 shows an example of an organic light-emitting device comprising a
2 shows an example of an organic light emitting element comprising a
이하, 본 명세서에 대하여 더욱 상세하게 설명한다.Hereinafter, the present invention will be described in more detail.
본 명세서는 상기 화학식 1로 표시되는 헤테로고리 화합물을 제공한다. 상기 화학식 1로 표시되는 헤테로고리 화합물을 유기 발광 소자의 유기물층에 사용하는 경우, 유기 발광 소자의 효율이 항상될 뿐만 아니라, 낮은 구동전압을 가지고, 우수한 수명특성을 갖는다.The present invention provides a heterocyclic compound represented by the above formula (1). When the heterocyclic compound represented by the formula (1) is used for an organic material layer of an organic light emitting device, the efficiency of the organic light emitting device is not only always low, but also has a low driving voltage and excellent lifetime characteristics.
본 명세서에 있어서, 어떤 부분이 어떤 구성요소를 "포함" 한다고 할 때, 이는 특별히 반대되는 기재가 없는 한 다른 구성요소를 제외하는 것이 아니라 다른 구성 요소를 더 포함할 수 있는 것을 의미한다.In this specification, when a part is referred to as "including " an element, it is to be understood that it may include other elements as well, without departing from the other elements unless specifically stated otherwise.
본 명세서에 있어서, 어떤 부재가 다른 부재 "상에" 위치하고 있다고 할 때, 이는 어떤 부재가 다른 부재에 접해 있는 경우뿐 아니라 두 부재 사이에 또 다른 부재가 존재하는 경우도 포함한다.In this specification, when a member is located on another member, it includes not only the case where the member is in contact with the other member but also the case where another member exists between the two members.
본 명세서에서 치환기의 예시들은 아래에서 설명하나, 이에 한정되는 것은 아니다.Examples of substituents herein are described below, but are not limited thereto.
상기 “치환” 이라는 용어는 화합물의 탄소 원자에 결합된 수소 원자가 다른 치환기로 바뀌는 것을 의미하며, 치환되는 위치는 수소 원자가 치환되는 위치 즉, 치환기가 치환 가능한 위치라면 한정하지 않으며, 2 이상 치환되는 경우, 2 이상의 치환기는 서로 동일하거나 상이할 수 있다.The term " substituted " means that the hydrogen atom bonded to the carbon atom of the compound is replaced with another substituent, and the substituted position is not limited as long as the substituent is a substitutable position, , Two or more substituents may be the same as or different from each other.
본 명세서에서 “치환 또는 비치환된” 이라는 용어는 중수소; 할로겐기; 니트릴기; 실릴기; 붕소기; 치환 또는 비치환된 알킬기; 치환 또는 비치환된 시클로알킬기; 치환 또는 비치환된 알콕시기; 치환 또는 비치환된 알케닐기; 치환 또는 비치환된 알킬아민기; 치환 또는 비치환된 헤테로아릴아민기; 치환 또는 비치환된 아릴아민기; 치환 또는 비치환된 아릴기; 및 치환 또는 비치환된 헤테로고리기로 이루어진 군에서 선택된 1 또는 2 이상의 치환기로 치환되었거나 상기 예시된 치환기 중 2 이상의 치환기가 연결된 치환기로 치환되거나, 또는 어떠한 치환기도 갖지 않는 것을 의미한다. 예컨대, “2 이상의 치환기가 연결된 치환기”는 바이페닐기일 수 있다. 즉, 바이페닐기는 아릴기일 수도 있고, 2개의 페닐기가 연결된 치환기로 해석될 수 도 있다.As used herein, the term " substituted or unsubstituted " A halogen group; A nitrile group; Silyl group; Boron group; A substituted or unsubstituted alkyl group; A substituted or unsubstituted cycloalkyl group; A substituted or unsubstituted alkoxy group; A substituted or unsubstituted alkenyl group; A substituted or unsubstituted alkylamine group; A substituted or unsubstituted heteroarylamine group; A substituted or unsubstituted arylamine group; A substituted or unsubstituted aryl group; And a substituted or unsubstituted heterocyclic group, or that at least two of the substituents exemplified above are substituted with a substituent to which they are linked, or have no substituent. For example, " a substituent to which at least two substituents are connected " may be a biphenyl group. That is, the biphenyl group may be an aryl group or may be interpreted as a substituent in which two phenyl groups are connected.
본 명세서에 있어서, "인접한" 기는 해당 치환기가 치환된 원자와 직접 연결된 원자에 치환된 치환기, 해당 치환기와 입체구조적으로 가장 가깝게 위치한 치환기, 또는 해당 치환기가 치환된 원자에 치환된 다른 치환기를 의미할 수 있다. 예컨대, 벤젠고리에서 오쏘(ortho)위치로 치환된 2개의 치환기 및 지방족 고리에서 동일 탄소에 치환된 2개의 치환기는 서로 “인접한”기로 해석될 수 있다.In this specification, "adjacent" The group may mean a substituent substituted on an atom directly connected to the substituted atom, a substituent stereostructically closest to the substituent, or another substituent substituted on the substituted atom of the substituent. For example, two substituents substituted at the ortho position in the benzene ring and two substituents substituted at the same carbon in the aliphatic ring may be interpreted as " adjacent " groups to each other.
본 명세서에 있어서, 할로겐기의 예로는 불소(F), 염소(Cl), 브롬(Br) 또는 요오드(I)가 있다.In this specification, examples of the halogen group include fluorine (F), chlorine (Cl), bromine (Br) or iodine (I).
본 명세서에 있어서, 실릴기는 -SiRaRbRc의 화학식으로 표시될 수 있고, 상기 Ra, Rb 및 Rc는 각각 수소; 치환 또는 비치환된 알킬기; 또는 치환 또는 비치환된 아릴기일 수 있다. 상기 실릴기는 구체적으로 트리메틸실릴기, 트리에틸실릴기, t-부틸디메틸실릴기, 비닐디메틸실릴기, 프로필디메틸실릴기, 트리페닐실릴기, 디페닐실릴기, 페닐실릴기 등이 있으나 이에 한정되지 않는다. In the present specification, the silyl group may be represented by the formula of -SiR a R b R c , wherein R a , R b and R c are each hydrogen; A substituted or unsubstituted alkyl group; Or a substituted or unsubstituted aryl group. Specific examples of the silyl group include, but are not limited to, trimethylsilyl, triethylsilyl, t-butyldimethylsilyl, vinyldimethylsilyl, propyldimethylsilyl, triphenylsilyl, diphenylsilyl and phenylsilyl groups. Do not.
본 명세서에 있어서, 붕소기는 -BRaRb의 화학식으로 표시될 수 있고, 상기 Ra 및 Rb는 각각 수소; 치환 또는 비치환된 알킬기; 또는 치환 또는 비치환된 아릴기일 수 있다. 상기 붕소기는 구체적으로 트리메틸붕소기, 트리에틸붕소기, t-부틸디메틸붕소기, 트리페닐붕소기, 페닐붕소기 등이 있으나 이에 한정되지 않는다.In the present specification, the boron group may be represented by the formula of -BR a R b , wherein R a and R b are each hydrogen; A substituted or unsubstituted alkyl group; Or a substituted or unsubstituted aryl group. The boron group specifically includes, but is not limited to, a trimethylboron group, a triethylboron group, a t-butyldimethylboron group, a triphenylboron group, and a phenylboron group.
본 명세서에 있어서, 알킬아민기는 탄소수는 특별히 한정되지 않으나, 1 내지 40인 것이 바람직하다. 알킬아민기의 구체적인 예로는 메틸아민기, 디메틸아민기, 에틸아민기, 디에틸아민기, 페닐아민기, 나프틸아민기, 비페닐아민기, 안트라세닐아민기, 9-메틸-안트라세닐아민기, 디페닐아민기, 페닐나프틸아민기, 디톨릴아민기, 페닐톨릴아민기, 트리페닐아민기 등이 있으나, 이들에만 한정되는 것은 아니다.In the present specification, the number of carbon atoms of the alkylamine group is not particularly limited, but is preferably 1 to 40. Specific examples of the alkylamine group include a methylamine group, a dimethylamine group, an ethylamine group, a diethylamine group, a phenylamine group, a naphthylamine group, a biphenylamine group, an anthracenylamine group, Group, a diphenylamine group, a phenylnaphthylamine group, a ditolylamine group, a phenyltolylamine group, a triphenylamine group, and the like, but are not limited thereto.
본 명세서에 있어서, 아릴아민기의 예로는 치환 또는 비치환된 모노아릴아민기, 치환 또는 비치환된 디아릴아민기, 또는 치환 또는 비치환된 트리아릴아민기가 있다. 상기 아릴아민기 중의 아릴기는 단환식 아릴기일 수 있고, 다환식 아릴기일 수 있다. 상기 2 이상의 아릴기를 포함하는 아릴아민기는 단환식 아릴기, 다환식 아릴기, 또는 단환식 아릴기와 다환식 아릴기를 동시에 포함할 수 있다. In the present specification, examples of the arylamine group include a substituted or unsubstituted monoarylamine group, a substituted or unsubstituted diarylamine group, or a substituted or unsubstituted triarylamine group. The aryl group in the arylamine group may be a monocyclic aryl group or a polycyclic aryl group. The arylamine group containing two or more aryl groups may contain a monocyclic aryl group, a polycyclic aryl group, or a monocyclic aryl group and a polycyclic aryl group at the same time.
아릴아민기의 구체적인 예로는 페닐아민, 나프틸아민, 비페닐아민, 안트라세닐아민, 3-메틸-페닐아민, 4-메틸-나프틸아민, 2-메틸-비페닐아민, 9-메틸-안트라세닐아민, 디페닐 아민기, 페닐 나프틸 아민기, 디톨릴 아민기, 페닐 톨릴 아민기, 카바졸 및 트리페닐 아민기 등이 있으나, 이에 한정되는 것은 아니다.Specific examples of the arylamine group include phenylamine, naphthylamine, biphenylamine, anthracenylamine, 3-methylphenylamine, 4-methyl-naphthylamine, 2-methyl- But are not limited to, cenylamine, diphenylamine, phenylnaphthylamine, ditolylamine, phenyltolylamine, carbazole and triphenylamine groups.
본 명세서에 있어서, 헤테로아릴아민기의 예로는 치환 또는 비치환된 모노헤테로아릴아민기, 치환 또는 비치환된 디헤테로아릴아민기, 또는 치환 또는 비치환된 트리헤테로아릴아민기가 있다. 상기 헤테로아릴아민기 중의 헤테로아릴기는 단환식 헤테로 고리기일 수 있고, 다환식 헤테로 고리기일 수 있다. 상기 2 이상의 헤테로 고리기를 포함하는 헤테로아릴아민기는 단환식 헤테로 고리기, 다환식 헤테로 고리기, 또는 단환식 헤테로 고리기와 다환식 헤테로 고리기를 동시에 포함할 수 있다. In the present specification, examples of the heteroarylamine group include a substituted or unsubstituted monoheteroarylamine group, a substituted or unsubstituted diheteroarylamine group, or a substituted or unsubstituted triheteroarylamine group. The heteroaryl group in the heteroarylamine group may be a monocyclic heterocyclic group or a polycyclic heterocyclic group. The heteroarylamine group containing at least two heterocyclic groups may contain a monocyclic heterocyclic group, a polycyclic heterocyclic group, or a monocyclic heterocyclic group and a polycyclic heterocyclic group at the same time.
본 명세서에 있어서, 상기 알킬기는 직쇄 또는 분지쇄일 수 있고, 탄소수는 특별히 한정되지 않으나 1 내지 60인 것이 바람직하다. 일 실시상태에 따르면, 상기 알킬기의 탄소수는 1 내지 40이다. 또 하나의 실시상태에 따르면, 상기 알킬기의 탄소수는 1 내지 20이다. 구체적인 예로는 메틸기, 에틸기, 프로필기, n-프로필기, 이소프로필기, 부틸기, n-부틸기, 이소부틸기, tert-부틸기, sec-부틸기, 1-메틸-부틸기, 1-에틸-부틸기, 펜틸기, n-펜틸기, 이소펜틸기, 네오펜틸기, tert-펜틸기, 헥실기, n-헥실기, 1-메틸펜틸기, 2-메틸펜틸기, 4-메틸-2-펜틸기, 3,3-디메틸부틸기, 2-에틸부틸기, 헵틸기, n-헵틸기, 1-메틸헥실기, 시클로펜틸메틸기, 시클로헥실메틸기, 옥틸기, n-옥틸기, tert-옥틸기, 1-메틸헵틸기, 2-에틸헥실기, 2-프로필펜틸기, n-노닐기, 2,2-디메틸헵틸기, 1-에틸-프로필기, 1,1-디메틸-프로필기, 이소헥실기, 2-메틸펜틸기, 4-메틸헥실기, 5-메틸헥실기 등이 있으나, 이들에 한정되지 않는다.In the present specification, the alkyl group may be linear or branched, and the number of carbon atoms is not particularly limited, but is preferably 1 to 60. According to one embodiment, the alkyl group has 1 to 40 carbon atoms. According to another embodiment, the alkyl group has 1 to 20 carbon atoms. Specific examples include methyl, ethyl, propyl, n-propyl, isopropyl, butyl, n-butyl, isobutyl, Ethyl, propyl, isopropyl, n-butyl, isobutyl, isobutyl, isobutyl, An n-pentyl group, a tert-butyl group, a tert-butyl group, a 3-methylbutyl group, a 3-methylbutyl group, a 2-ethylbutyl group, a heptyl group, Ethylhexyl group, 2-propylpentyl group, n-nonyl group, 2,2-dimethylheptyl group, 1-ethyl-propyl group, 1,1-dimethyl-propyl group , Isohexyl group, 2-methylpentyl group, 4-methylhexyl group, 5-methylhexyl group and the like, but are not limited thereto.
본 명세서에 있어서, 시클로알킬기는 특별히 한정되지 않으나, 탄소수 3 내지 60인 것이 바람직하다. 일 실시상태에 따르면, 상기 시클로알킬기의 탄소수는 3 내지 40이다. 또 하나의 실시상태에 따르면, 상기 시클로알킬기의 탄소수는 1 내지 20이다. 구체적으로 시클로프로필기, 시클로부틸기, 시클로펜틸기, 3-메틸시클로펜틸기, 2,3-디메틸시클로펜틸기, 시클로헥실기, 3-메틸시클로헥실기, 4-메틸시클로헥실기, 2,3-디메틸시클로헥실기, 3,4,5-트리메틸시클로헥실기, 4-tert-부틸시클로헥실기, 시클로헵틸기, 시클로옥틸기 등이 있으나, 이에 한정되지 않는다. In the present specification, the cycloalkyl group is not particularly limited, but preferably has 3 to 60 carbon atoms. According to one embodiment, the cycloalkyl group has 3 to 40 carbon atoms. According to another embodiment, the number of carbon atoms in the cycloalkyl group is from 1 to 20. Specific examples include cyclopropyl, cyclobutyl, cyclopentyl, 3-methylcyclopentyl, 2,3-dimethylcyclopentyl, cyclohexyl, 3-methylcyclohexyl, 4-methylcyclohexyl, 3-dimethylcyclohexyl group, 3,4,5-trimethylcyclohexyl group, 4-tert-butylcyclohexyl group, cycloheptyl group, cyclooctyl group and the like, but are not limited thereto.
본 명세서에 있어서, 상기 알콕시기는 직쇄, 분지쇄 또는 고리쇄일 수 있다. 알콕시기의 탄소수는 특별히 한정되지 않으나, 탄소수 1 내지 30인 것이 바람직하다. 구체적으로, 메톡시, 에톡시, n-프로폭시, 이소프로폭시, i-프로필옥시, n-부톡시, 이소부톡시, tert-부톡시, sec-부톡시, n-펜틸옥시, 네오펜틸옥시, 이소펜틸옥시, n-헥실옥시, 3,3-디메틸부틸옥시, 2-에틸부틸옥시, n-옥틸옥시, n-노닐옥시, n-데실옥시, 벤질옥시, p-메틸벤질옥시 등이 될 수 있으나, 이에 한정되는 것은 아니다.In the present specification, the alkoxy group may be linear, branched or cyclic. The number of carbon atoms of the alkoxy group is not particularly limited, but is preferably 1 to 30 carbon atoms. Specific examples include methoxy, ethoxy, n-propoxy, isopropoxy, i-propyloxy, n-butoxy, isobutoxy, tert-butoxy, sec-butoxy, n-pentyloxy, neopentyloxy, N-hexyloxy, n-hexyloxy, 3,3-dimethylbutyloxy, 2-ethylbutyloxy, n-octyloxy, n-nonyloxy, n-decyloxy, benzyloxy, But is not limited thereto.
본 명세서에 있어서, 상기 알케닐기는 직쇄 또는 분지쇄일 수 있고, 탄소수는 특별히 한정되지 않으나, 2 내지 30인 것이 바람직하다. 구체적인 예로는 비닐, 1-프로페닐, 이소프로페닐, 1-부테닐, 2-부테닐, 3-부테닐, 1-펜테닐, 2-펜테닐, 3-펜테닐, 3-메틸-1-부테닐, 1,3-부타디에닐, 알릴, 1-페닐비닐-1-일, 2-페닐비닐-1-일, 2,2-디페닐비닐-1-일, 2-페닐-2-(나프틸-1-일)비닐-1-일, 2,2-비스(디페닐-1-일)비닐-1-일, 스틸베닐기, 스티레닐기 등이 있으나, 이에 한정되는 것은 아니다.In the present specification, the alkenyl group may be linear or branched, and the number of carbon atoms is not particularly limited, but is preferably 2 to 30. Specific examples include vinyl, 1-propenyl, isopropenyl, 1-butenyl, 2-butenyl, 3-butenyl, 1-pentenyl, Butenyl, allyl, 1-phenylvinyl-1-yl, 2-phenylvinyl-1-yl, (Diphenyl-1-yl) vinyl-1-yl, stilbenyl, stilenyl, and the like.
본 명세서에서 상기 아릴기가 단환식 아릴기인 경우 탄소수는 특별히 한정되지 않으나, 탄소수 6 내지 60인 것이 바람직하다. 일 실시상태에 따르면, 상기 아릴기의 탄소수는 6 내지 30이다. 구체적으로 단환식 아릴기로는 페닐기, 바이페닐기, 터페닐기 등이 될 수 있으나, 이에 한정되는 것은 아니다.In the present specification, when the aryl group is a monocyclic aryl group, the number of carbon atoms is not particularly limited, but is preferably 6 to 60 carbon atoms. According to one embodiment, the aryl group has 6 to 30 carbon atoms. Specific examples of the monocyclic aryl group include a phenyl group, a biphenyl group, a terphenyl group, and the like, but are not limited thereto.
상기 아릴기가 다환식 아릴기인 경우 탄소수는 특별히 한정되지 않으나. 탄소수 10 내지 60인 것이 바람직하다. 일 실시상태에 따르면, 상기 아릴기의 탄소수는 10 내지 30이다. 구체적으로 다환식 아릴기로는 나프틸기, 안트라세닐기, 페난트릴기, 파이레닐기, 페릴레닐기, 크라이세닐기, 플루오레닐기 등이 될 수 있으나, 이에 한정되는 것은 아니다.When the aryl group is a polycyclic aryl group, the number of carbon atoms is not particularly limited. And preferably has 10 to 60 carbon atoms. According to one embodiment, the aryl group has 10 to 30 carbon atoms. Specific examples of the polycyclic aryl group include naphthyl, anthracenyl, phenanthryl, pyrenyl, perylenyl, klychenyl, fluorenyl, and the like.
본 명세서에 있어서, 상기 플루오레닐기는 치환될 수 있으며, 인접한 치환기들이 서로 결합하여 고리를 형성할 수 있다. In the present specification, the fluorenyl group may be substituted, and adjacent substituents may be bonded to each other to form a ring.
상기 플루오레닐기가 치환되는 경우, , , 및 등이 될 수 있다. 다만, 이에 한정되는 것은 아니다.When the fluorenyl group is substituted, , , And And the like. However, the present invention is not limited thereto.
본 명세서에 있어서, 헤테로고리기는 이종원자로 N, O, P, S, Si 및 Se 중 1개 이상을 포함하는 헤테로고리기로서, 탄소수는 특별히 한정되지 않으나 탄소수 1 내지 60인 것이 바람직하다. 일 실시상태에 따르면, 상기 헤테로 고리기의 탄소수는 1 내지 30이다. 헤테로 고리기의 예로는 예로는 피리딜기, 피롤기, 피리미딜기, 피리다지닐기, 퓨라닐기, 티오페닐기, 이미다졸기, 피라졸기, 옥사졸기, 이소옥사졸기, 티아졸기, 이소티아졸기, 트리아졸기, 옥사디아졸기, 티아디아졸기, 디티아졸기, 테트라졸기, 피라닐기, 티오피라닐기, 피라지닐기, 옥사지닐기, 티아지닐기, 디옥시닐기, 트리아지닐기, 테트라지닐기, 퀴놀리닐기, 이소퀴놀리닐기, 퀴놀릴기, 퀴나졸리닐기, 퀴녹살리닐기, 나프티리디닐기, 아크리딜기, 크산테닐기, 페난트리디닐기, 디아자나프탈레닐기, 트리아자인데닐기, 인돌기, 인돌리닐기, 인돌리지닐기, 프탈라지닐기, 피리도 피리미디닐기, 피리도 피라지닐기, 피라지노 피라지닐기, 벤조티아졸기, 벤즈옥사졸기, 벤즈이미다졸기, 벤조티오펜기, 벤조퓨라닐기, 디벤조티오페닐기, 디벤조퓨라닐기, 카바졸기, 벤조카바졸기, 디벤조카바졸기, 인돌로카바졸기, 인데노카바졸기, 페나지닐기, 이미다조피리딘기, 페녹사지닐기, 페난트리딘기, 페난트롤린(phenanthroline)기, 페노티아진(phenothiazine)기, 이미다조피리딘기, 이미다조페난트리딘기. 벤조이미다조퀴나졸린기, 또는 벤조이미다조페난트리딘기 등이 있으나, 이들에만 한정되는 것은 아니다.In the present specification, the heterocyclic group is a heterocyclic group and is a heterocyclic group containing at least one of N, O, P, S, Si and Se, and the number of carbon atoms is not particularly limited, but is preferably 1 to 60 carbon atoms. According to one embodiment, the number of carbon atoms of the heterocyclic group is from 1 to 30. [ Examples of the heterocyclic group include a pyridyl group, a pyrrolyl group, a pyrimidyl group, a pyridazinyl group, a furanyl group, a thiophenyl group, an imidazole group, a pyrazole group, an oxazole group, an isoxazole group, a thiazole group, A thiadiazole group, a thiadiazole group, a tetrazolyl group, a pyranyl group, a thiopyranyl group, a pyrazinyl group, an oxazinyl group, a thiazinyl group, a dioxinyl group, a triazinyl group, a tetrazinyl group, A phenanthridinyl group, a diazanaphthalenyl group, a triazinylidene group, an indole group, a thiazolidinyl group, a thiomorpholinyl group, a thiomorpholinyl group, a thiomorpholinyl group, an isothiazolyl group, , Indolinyl group, indolizinyl group, phthalazinyl group, pyridopyrimidinyl group, pyridopyrazinyl group, pyrazinopyrazinyl group, benzothiazole group, benzoxazole group, benzimidazole group, benzothiophene group , Benzofuranyl group, dibenzothiophenyl group, dibenzofuranyl , A carbazole group, a benzocarbazole group, a dibenzocarbazole group, an indolocarbazole group, an indenocarbazole group, a phenazinyl group, an imidazopyridine group, a phenoxazinyl group, a phenanthroline group, a phenanthroline group, Phenothiazine group, imidazopyridine group, imidazophenanthridine group. A benzoimidazoquinazolinyl group, a benzoimidazophenanthridin group, and the like, but are not limited thereto.
본 명세서에 있어서, 헤테로아릴기는 방향족인 것을 제외하고는 전술한 헤테로고리기에 관한 설명이 적용될 수 있다.In the present specification, the description of the aforementioned heterocyclic group can be applied, except that the heteroaryl group is aromatic.
본 명세서에 있어서, 인접한 기가 서로 결합하여 형성되는 치환 또는 비치환된 고리에서, "고리"는 치환 또는 비치환된 탄화수소고리; 또는 치환 또는 비치환된 헤테로고리를 의미한다.In the present specification, in the substituted or unsubstituted ring formed by bonding adjacent groups to each other, the "ring" means a substituted or unsubstituted hydrocarbon ring; Or a substituted or unsubstituted heterocycle.
본 명세서에 있어서, 탄화수소고리는 방향족, 지방족 또는 방향족과 지방족의 축합고리일 수 있으며, 상기 1가가 아닌 것을 제외하고 상기 시클로알킬기 또는 아릴기의 예시 중에서 선택될 수 있다.In the present specification, the hydrocarbon ring may be an aromatic, aliphatic or aromatic and aliphatic condensed ring, and may be selected from the examples of the cycloalkyl group or the aryl group except the univalent hydrocarbon ring.
본 명세서에 있어서, 방향족 탄화수소고리는 1가인 것을 제외하고는 아릴기에 관한 설명이 적용될 수 있다.In the present specification, the explanation about the aryl group except for the monovalent aromatic hydrocarbon ring can be applied.
본 명세서에 있어서, 헤테로고리는 탄소가 아닌 원자, 이종원자를 1 이상 포함하는 것으로서, 구체적으로 상기 이종 원자는 O, N, Se 및 S 등으로 이루어진 군에서 선택되는 원자를 1 이상 포함할 수 있다. 상기 헤테로고리는 단환 또는 다환일 수 있으며, 방향족, 지방족 또는 방향족과 지방족의 축합고리일 수 있으며, 1가가 아닌 것을 제외하고 상기 헤테로고리기의 예시 중에서 선택될 수 있다.In the present specification, the hetero ring includes one or more non-carbon atoms and hetero atoms. Specifically, the hetero atom may include one or more atoms selected from the group consisting of O, N, Se, and S, and the like. The heterocyclic ring may be monocyclic or polycyclic, and may be an aromatic, aliphatic or aromatic and aliphatic condensed ring, and examples thereof may be selected from the examples of the heterocyclic group except that the heterocyclic group is not monovalent.
본 명세서에서는, 상기 화학식 1로 표시되는 헤테로고리 화합물을 제공한다.In the present specification, the heterocyclic compound represented by the above formula (1) is provided.
본 명세서의 일 실시상태에 있어서, 상기 W 및 X는 서로 같거나 상이하고, 각각 독립적으로 O, S, Se, Be, NQ1, PQ2, SO, SO2, PO, SiQ3Q4 또는 CQ5Q6 이다.In one embodiment of the present specification, W and X are the same or different from each other and each independently represents O, S, Se, Be, NQ 1 , PQ 2 , SO, SO 2 , PO, SiQ 3 Q 4, 5 Q 6 .
또 하나의 일 실시상태에 있어서, 상기 W 및 X는 서로 같거나 상이하고, 각각 독립적으로 O, S, P=O, NQ1 또는 CQ5Q6이다.In another embodiment, W and X are the same or different and are each independently 0, S, P = O, NQ 1 or CQ 5 Q 6 .
또 하나의 일 실시상태에 따르면, 상기 W 및 X는 서로 같거나 상이하고, 각각 독립적으로 O, S 또는 P=0이다.According to another embodiment, W and X are the same or different and each independently O, S or P = O.
또 하나의 일 실시상태에 있어서, 상기 W 및 X는 서로 같거나 상이하고, 각각 독립적으로 O 또는 S이다.In another embodiment, W and X are the same or different and are each independently O or S.
또 하나의 일 실시상태에 있어서, 상기 W 및 X는 O이다.In another embodiment, W and X are O.
본 명세서의 일 실시상태에 있어서, 상기 Q1은 수소; 중수소 또는 치환 또는 비치환된 아릴기이다.In one embodiment of the present disclosure, Q 1 is selected from the group consisting of hydrogen; Deuterium, or a substituted or unsubstituted aryl group.
본 명세서의 일 실시상태에 따르면, 상기 Q1은 수소; 중수소; 또는 치환 또는 비치환된 탄소수 6 내지 30의 아릴기이다.According to one embodiment of the present disclosure, Q 1 is hydrogen; heavy hydrogen; Or a substituted or unsubstituted aryl group having 6 to 30 carbon atoms.
또 하나의 일 실시상태에 있어서, 상기 Q1은 수소; 중수소; 치환 또는 비치환된 페닐기; 치환 또는 비치환된 바이페닐기; 또는 치환 또는 비치환된 나프틸기이다.In another embodiment Q 1 is hydrogen; heavy hydrogen; A substituted or unsubstituted phenyl group; A substituted or unsubstituted biphenyl group; Or a substituted or unsubstituted naphthyl group.
또 하나의 일 실시상태에 있어서, 상기 Q1은 치환 또는 비치환된 페닐기이다.In another embodiment, Q 1 is a substituted or unsubstituted phenyl group.
또 하나의 일 실시상태에 있어서, 상기 Q1은 페닐기이다.In another embodiment, Q 1 is a phenyl group.
본 명세서의 일 실시상태에 있어서, 상기 Q2는 수소; 중수소; 치환 또는 비치환된 알킬기; 치환 또는 비치환된 아릴기; 또는 치환 또는 비치환된 헤테로고리기이다.In one embodiment of the present specification, Q < 2 > is hydrogen; heavy hydrogen; A substituted or unsubstituted alkyl group; A substituted or unsubstituted aryl group; Or a substituted or unsubstituted heterocyclic group.
본 명세서의 일 실시상태에 따르면, 상기 Q2는 서로 같거나 상이하고, 각각 독립적으로 수소; 중수소; 치환 또는 비치환된 알킬기; 또는 치환 또는 비치환된 탄소수 6 내지 30의 아릴기이다.According to an exemplary embodiment of the present disclosure, wherein Q 2 is the same as or different from each other, and each independently hydrogen; heavy hydrogen; A substituted or unsubstituted alkyl group; Or a substituted or unsubstituted aryl group having 6 to 30 carbon atoms.
또 하나의 일 실시상태에 있어서, 상기 Q2는 서로 같거나 상이하고, 각각 독립적으로 수소; 중수소; 치환 또는 비치환된 메틸기; 치환 또는 비치환된 에틸기; 치환 또는 비치환된 페닐기; 치환 또는 비치환된 바이페닐기; 또는 치환 또는 비치환된 나프틸기이다.Further in one exemplary embodiment of the Q 2 are the same as or different from each other, and each independently hydrogen; heavy hydrogen; A substituted or unsubstituted methyl group; A substituted or unsubstituted ethyl group; A substituted or unsubstituted phenyl group; A substituted or unsubstituted biphenyl group; Or a substituted or unsubstituted naphthyl group.
또 하나의 일 실시상태에 있어서, 상기 Q2는 치환 또는 비치환된 페닐기이다.In another embodiment, Q < 2 > is a substituted or unsubstituted phenyl group.
또 하나의 일 실시상태에 있어서, 상기 Q2는 페닐기이다.In another embodiment, Q < 2 > is a phenyl group.
본 명세서의 일 실시상태에 있어서, 상기 Q3 및 Q4는 서로 같거나 상이하고, 각각 독립적으로 수소; 중수소; 치환 또는 비치환된 알킬기; 치환 또는 비치환된 아릴기; 또는 치환 또는 비치환된 헤테로고리기이다.In one embodiment of the present specification, Q 3 and Q 4 are the same or different from each other and each independently hydrogen; heavy hydrogen; A substituted or unsubstituted alkyl group; A substituted or unsubstituted aryl group; Or a substituted or unsubstituted heterocyclic group.
본 명세서의 일 실시상태에 따르면, 상기 Q3 및 Q4는 서로 같거나 상이하고, 각각 독립적으로 수소; 중수소; 치환 또는 비치환된 탄소수 1 내지 20의 알킬기; 또는 치환 또는 비치환된 탄소수 6 내지 30의 아릴기이다.According to one embodiment of the present disclosure, Q 3 and Q 4 are the same or different from each other, and each independently hydrogen; heavy hydrogen; A substituted or unsubstituted alkyl group having 1 to 20 carbon atoms; Or a substituted or unsubstituted aryl group having 6 to 30 carbon atoms.
또 하나의 일 실시상태에 있어서, 상기 Q3 및 Q4는 서로 같거나 상이하고, 각각 독립적으로 수소; 중수소; 치환 또는 비치환된 메틸기; 치환 또는 비치환된 에틸기; 치환 또는 비치환된 페닐기; 치환 또는 비치환된 바이페닐기; 또는 치환 또는 비치환된 나프틸기이다.In another embodiment, Q 3 and Q 4 are the same or different and are each independently selected from the group consisting of hydrogen; heavy hydrogen; A substituted or unsubstituted methyl group; A substituted or unsubstituted ethyl group; A substituted or unsubstituted phenyl group; A substituted or unsubstituted biphenyl group; Or a substituted or unsubstituted naphthyl group.
또 하나의 일 실시상태에 있어서, 상기 Q3 및 Q4는 치환 또는 비치환된 메틸기 또는 치환 또는 비치환된 페닐기이다.In another embodiment, Q 3 and Q 4 are a substituted or unsubstituted methyl group or a substituted or unsubstituted phenyl group.
또 하나의 일 실시상태에 따르면, 상기 Q3 및 Q4는 메틸기 또는 페닐기이다.According to another embodiment, Q 3 and Q 4 are a methyl group or a phenyl group.
본 명세서의 일 실시상태에 있어서, 상기 Q5 및 Q6는 서로 같거나 상이하고, 각각 독립적으로 수소; 중수소; 치환 또는 비치환된 알킬기; 치환 또는 비치환된 아릴기; 또는 치환 또는 비치환된 헤테로고리기이다.In one embodiment of the present specification, Q 5 and Q 6 are the same or different from each other, and each independently hydrogen; heavy hydrogen; A substituted or unsubstituted alkyl group; A substituted or unsubstituted aryl group; Or a substituted or unsubstituted heterocyclic group.
본 명세서의 일 실시상태에 따르면, 상기 Q5 및 Q6는 서로 같거나 상이하고, 각각 독립적으로 수소; 중수소; 치환 또는 비치환된 탄소수 1 내지 20의 알킬기; 또는 치환 또는 비치환된 탄소수 6 내지 30의 아릴기이다.According to an exemplary embodiment of the present disclosure, the Q 5 and Q 6 are the same as or different from each other, and each independently hydrogen; heavy hydrogen; A substituted or unsubstituted alkyl group having 1 to 20 carbon atoms; Or a substituted or unsubstituted aryl group having 6 to 30 carbon atoms.
또 하나의 일 실시상태에 있어서, 상기 Q5 및 Q6는 서로 같거나 상이하고, 각각 독립적으로 수소; 중수소; 치환 또는 비치환된 메틸기; 치환 또는 비치환된 에틸기; 치환 또는 비치환된 페닐기; 치환 또는 비치환된 바이페닐기; 또는 치환 또는 비치환된 나프틸기이다.In another embodiment, Q 5 and Q 6 are the same or different and are each independently selected from the group consisting of hydrogen; heavy hydrogen; A substituted or unsubstituted methyl group; A substituted or unsubstituted ethyl group; A substituted or unsubstituted phenyl group; A substituted or unsubstituted biphenyl group; Or a substituted or unsubstituted naphthyl group.
또 하나의 일 실시상태에 있어서, 상기 Q5 및 Q6는 치환 또는 비치환된 메틸기 또는 치환 또는 비치환된 페닐기이다.In another embodiment, Q 5 and Q 6 are a substituted or unsubstituted methyl group or a substituted or unsubstituted phenyl group.
또 하나의 일 실시상태에 있어서, 상기 Q5 및 Q6는 메틸기 또는 페닐기이다.Further in one exemplary embodiment of the Q 5 and Q 6 is a methyl group or a phenyl group.
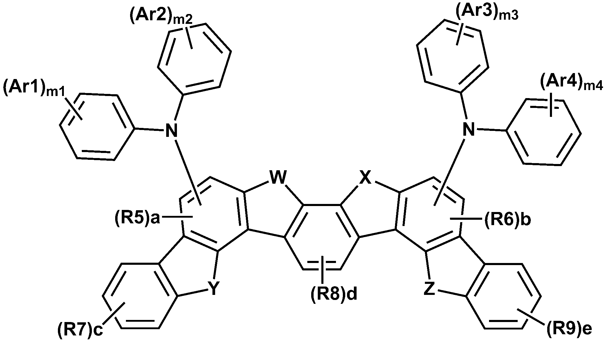
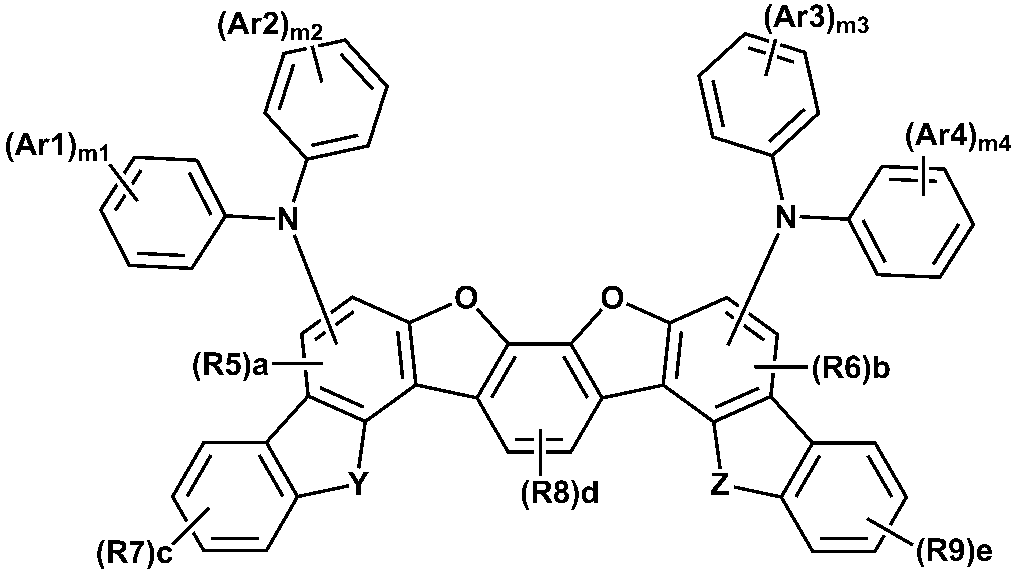
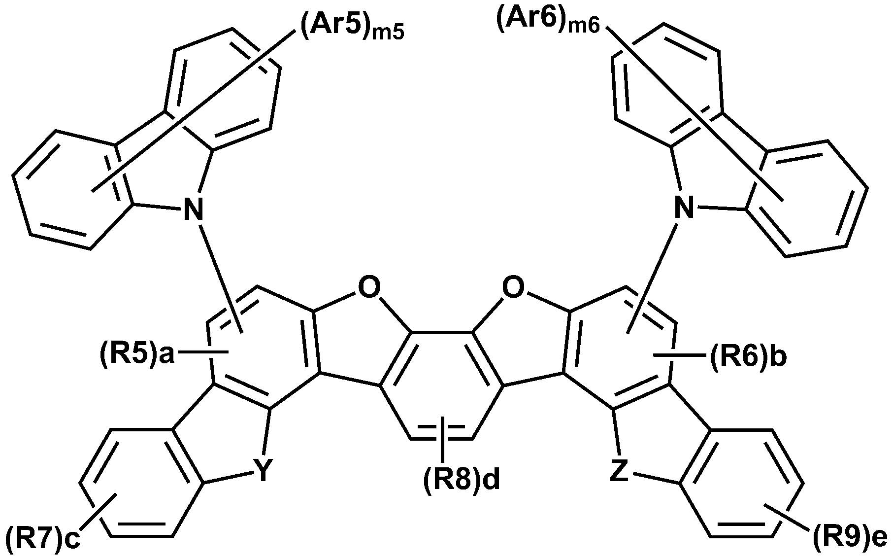
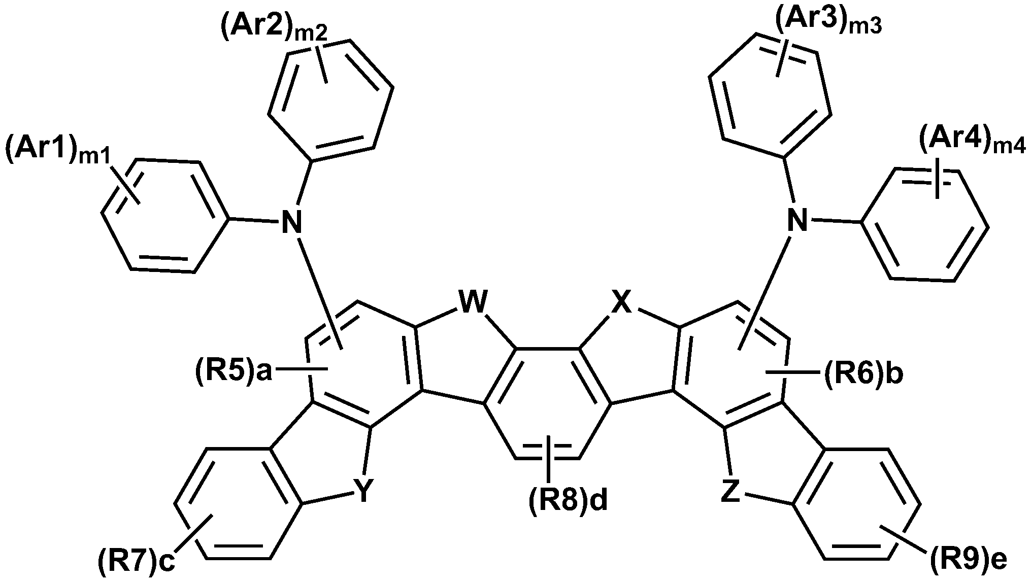
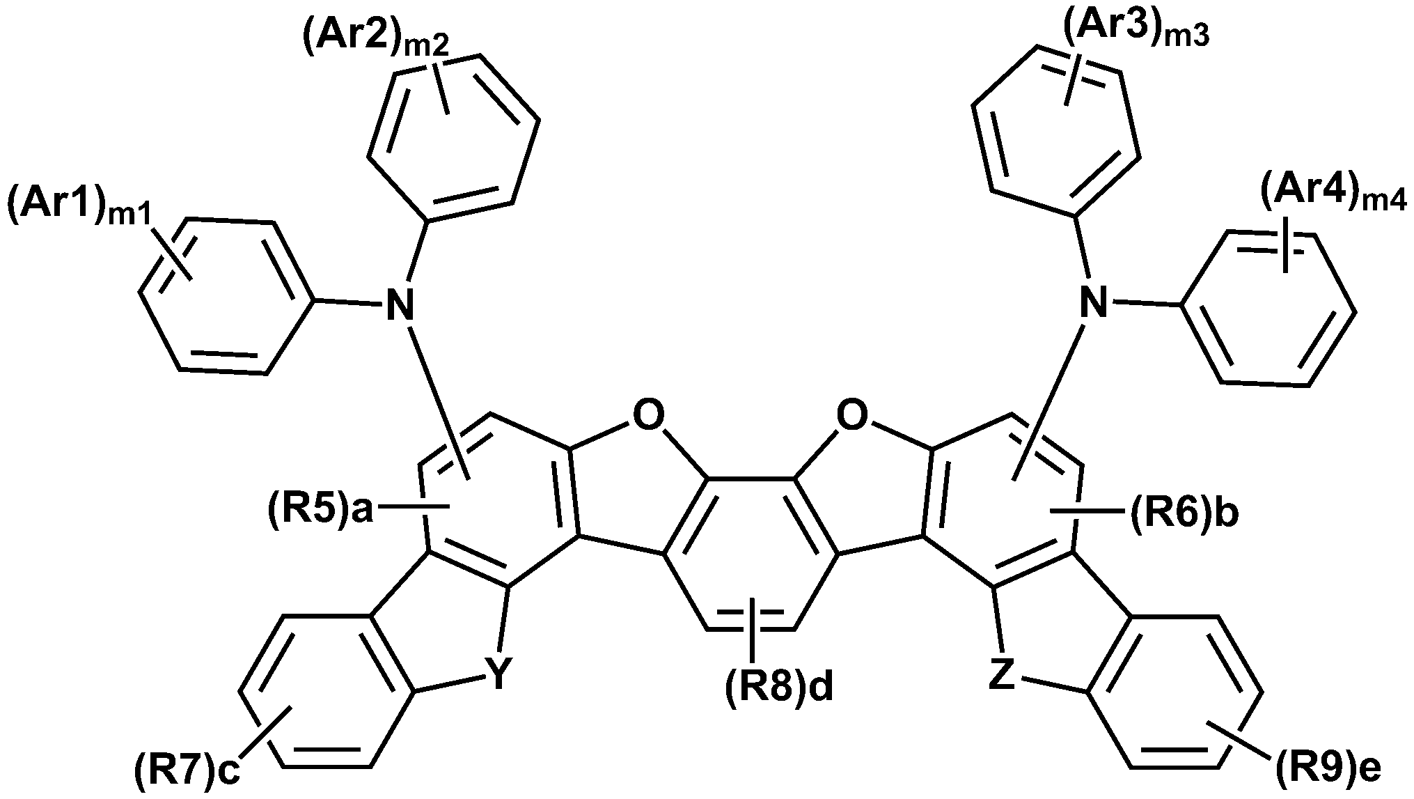
본 명세서의 일 실시상태에 있어서, 상기 화학식 1은 하기 화학식 2로 표시된다.In one embodiment of the present invention, the formula (1) is represented by the following formula (2).
[화학식 2](2)
상기 화학식 2에 있어서,In
R1 내지 R9, Z, Y, n1, n2 및 a 내지 e의 정의는 상기 화학식 1에서의 정의와 같다.The definitions of R1 to R9, Z, Y, n1, n2 and a to e are as defined in the above formula (1).
본 명세서의 일 실시상태에 있어서, 상기 n1 및 n2는 1이다.In one embodiment of the present disclosure, n1 and n2 are one.
또 하나의 일 실시상태에 있어서, 상기 n1 및 n2는 2이다.In another embodiment, n1 and n2 are two.
본 명세서의 일 실시상태에 있어서, 상기 R1 내지 R4는 서로 같거나 상이하고, 각각 독립적으로 수소; 중수소; 치환 또는 비치환된 알킬기; 치환 또는 비치환된 아릴기; 또는 치환 또는 비치환된 헤테로고리기이거나, 인접한 치환기는 서로 결합하여 고리를 형성한다.In one embodiment of the present invention,
본 명세서의 일 실시상태에 있어서, 상기 R1 내지 R4는 서로 같거나 상이하고, 각각 독립적으로 수소; 중수소; 치환 또는 비치환된 아릴기이거나, 인접한 치환기는 서로 결합하여 고리를 형성한다.In one embodiment of the present invention,
또 하나의 일 실시상태에 따르면, 상기 R1 내지 R4는 서로 같거나 상이하고, 각각 독립적으로 수소; 중수소; 치환 또는 비치환된 탄소수 6 내지 30의 아릴기이거나, 인접한 치환기는 서로 결합하여 고리를 형성한다.According to another embodiment,
또 하나의 일 실시상태에 따르면, 상기 R1 내지 R4는 서로 같거나 상이하고, 각각 독립적으로 수소; 중수소; 치환 또는 비치환된 탄소수 6 내지 12의 아릴기이거나, 인접한 치환기는 서로 결합하여 고리를 형성한다.According to another embodiment,
또 하나의 일 실시상태에 따르면, 상기 R1 내지 R4는 서로 같거나 상이하고, 각각 독립적으로 수소; 중수소; 치환 또는 비치환된 페닐기; 또는 치환 또는 비치환된 바이페닐기이다.According to another embodiment,
또 하나의 일 실시상태에 있어서, 상기 R1 내지 R4는 치환 또는 비치환된 페닐기이다.In another embodiment,
본 명세서의 일 실시상태에 있어서, 상기 R1 및 R2는 서로 결합하여 치환 또는 비치환된 헤테로고리를 형성한다.In one embodiment of the present specification,
또 하나의 일 실시상태에 있어서, 상기 R1 및 R2는 서로 결합하여 방향족 헤테로고리를 형성한다.In another embodiment,
또 하나의 일 실시상태에 있어서, 상기 R1 및 R2는 서로 결합하여 치환 또는 비치환된 카바졸릴기를 형성한다.In another embodiment,
본 명세서의 일 실시상태에 있어서, 상기 R3 및 R4는 서로 결합하여 치환 또는 비치환된 헤테로고리를 형성한다.In one embodiment of the present specification,
또 하나의 일 실시상태에 있어서, 상기 R3 및 R4는 서로 결합하여 방향족 헤테로고리를 형성한다.In another embodiment,
본 명세서의 일 실시사태에 따르면, 상기 R3 및 R4는 서로 결합하여 치환 또는 비치환된 카바졸릴기를 형성한다.According to one embodiment of the present invention,
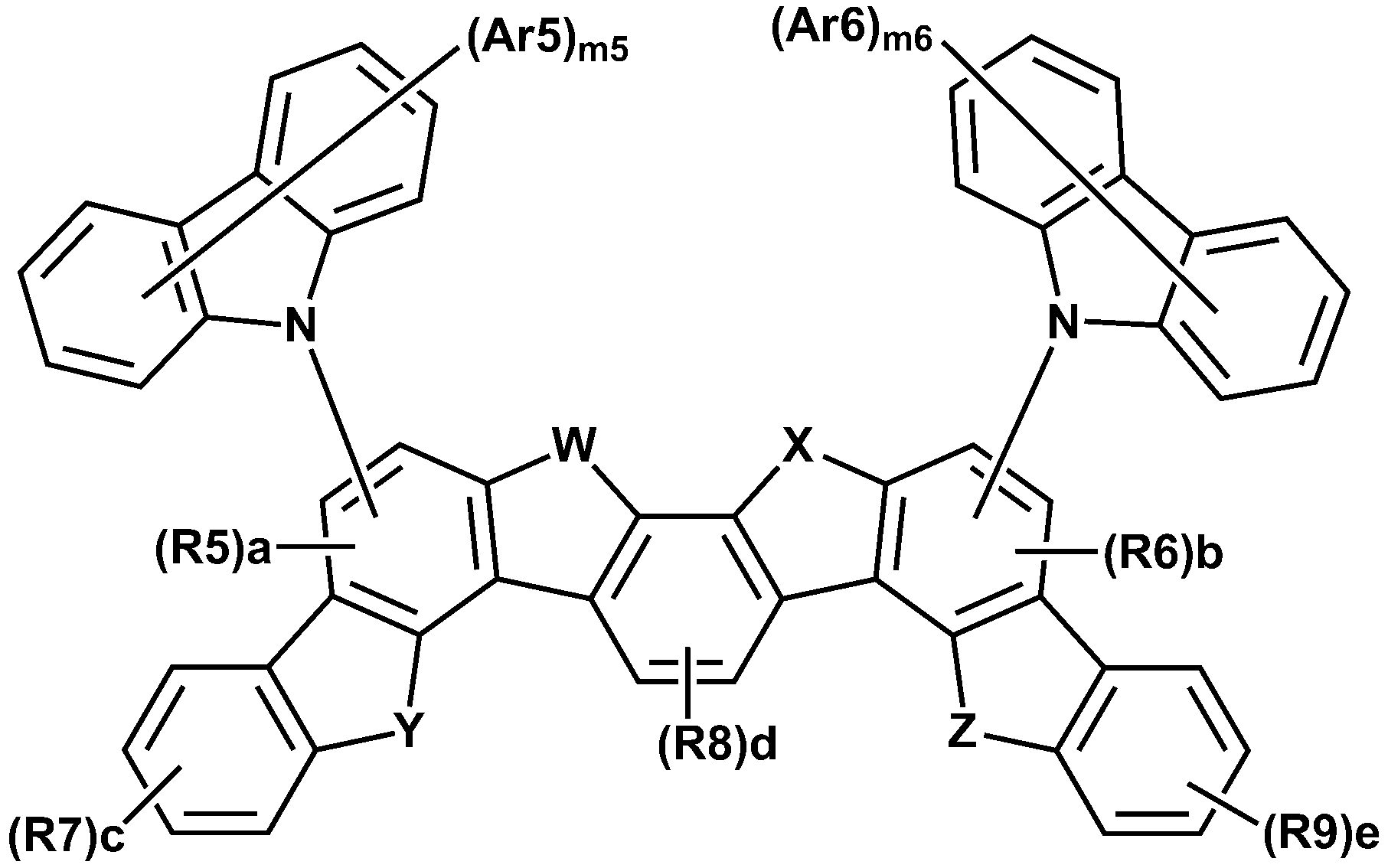
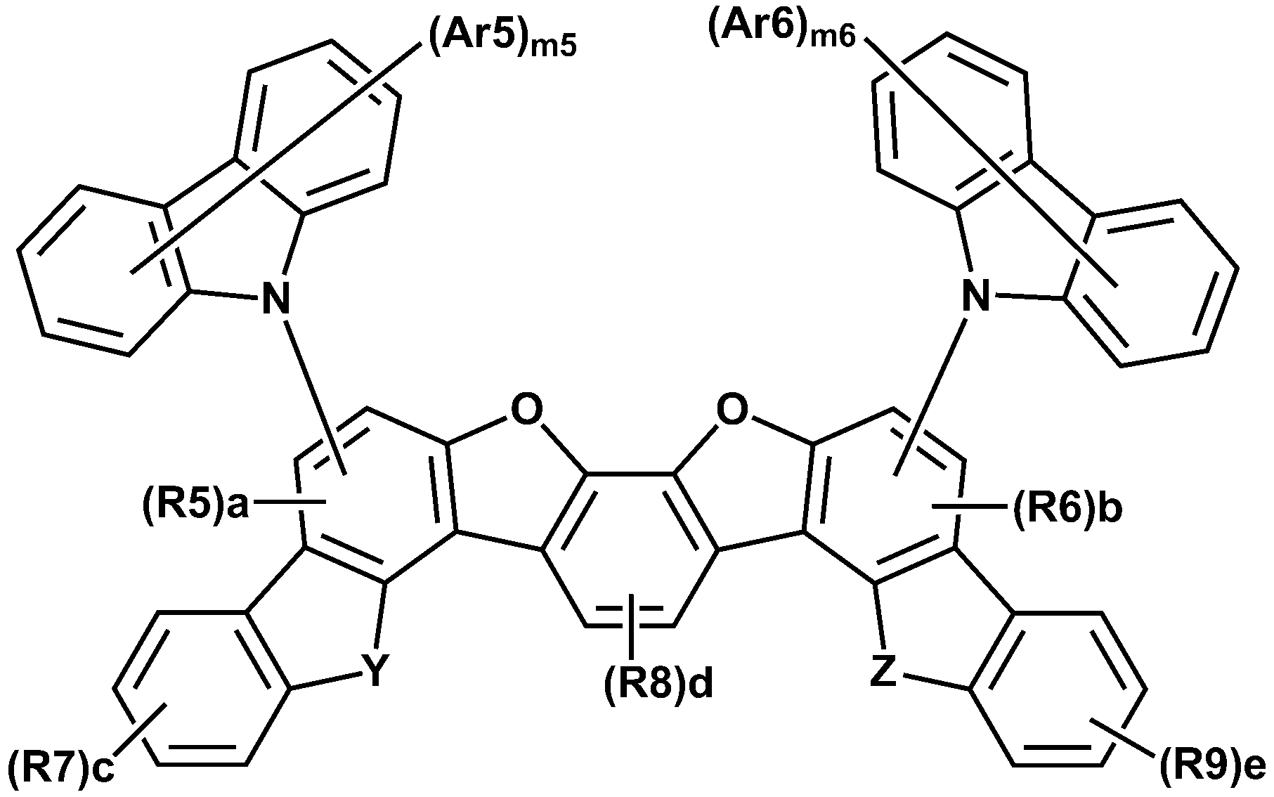
본 명세서의 일 실시상태에 있어서, 상기 화학식 1은 하기 화학식 3 또는 4로 표시된다.In one embodiment of the present invention, the formula (1) is represented by the following formula (3) or (4).
[화학식 3](3)
[화학식 4][Chemical Formula 4]
상기 화학식 3 및 4에 있어서,In the above formulas (3) and (4)
R5 내지 R9, W, X, Z, Y 및 a 내지 e의 정의는 상기 화학식 1에서의 정의와 같고,R5 to R9, W, X, Z, Y and a to e are as defined in the above formula (1)
Ar1 내지 Ar6는 서로 같거나 상이하고, 각각 독립적으로 수소; 중수소; 할로겐기; 니트릴기; 치환 또는 비치환된 알킬기; 치환 또는 비치환된 알케닐기; 치환 또는 비치환된 알콕시기; 치환 또는 비치환된 시클로알킬기; 치환 또는 비치환된 아릴기; 치환 또는 비치환된 헤테로고리기; 치환 또는 비치환된 알킬아민기; 치환 또는 비치환된 헤테로아릴아민기; 또는 치환 또는 비치환된 아릴아민기이거나, 인접한 치환기는 서로 결합하여 고리를 형성하며,
m1 내지 m4는 각각 0 내지 5의 정수이고,m1 to m4 each represent an integer of 0 to 5,
m5 및 m6은 각각 0 내지 8의 정수이며,m5 and m6 are each an integer of 0 to 8,
m1 내지 m6가 각각 2 이상인 경우, 괄호 내의 치환기는 서로 같거나 상이하다.When m1 to m6 are each 2 or more, the substituents in the parentheses are the same or different from each other.
본 명세서의 일 실시상태에 있어서, 상기 화학식 1은 하기 화학식 5 또는 6으로 표시된다.In one embodiment of the present invention, the formula (1) is represented by the following formula (5) or (6).
[화학식 5][Chemical Formula 5]
[화학식 6][Chemical Formula 6]
상기 화학식 5 및 6에 있어서,In the above formulas (5) and (6)
R5 내지 R9, Z, Y 및 a 내지 e의 정의는 상기 화학식 1에서의 정의와 같고,R5 to R9, Z, Y and a to e are as defined in the above formula (1)
Ar1 내지 Ar6는 서로 같거나 상이하고, 각각 독립적으로 수소; 중수소; 할로겐기; 니트릴기; 치환 또는 비치환된 알킬기; 치환 또는 비치환된 알케닐기; 치환 또는 비치환된 알콕시기; 치환 또는 비치환된 시클로알킬기; 치환 또는 비치환된 아릴기; 치환 또는 비치환된 헤테로고리기; 치환 또는 비치환된 알킬아민기; 치환 또는 비치환된 헤테로아릴아민기; 또는 치환 또는 비치환된 아릴아민기이거나, 인접한 치환기는 서로 결합하여 고리를 형성하며,
m1 내지 m4는 각각 0 내지 5의 정수이고,m1 to m4 each represent an integer of 0 to 5,
m5 및 m6은 각각 0 내지 8의 정수이며,m5 and m6 are each an integer of 0 to 8,
m1 내지 m6가 각각 2 이상인 경우, 괄호 내의 치환기는 서로 같거나 상이하다.When m1 to m6 are each 2 or more, the substituents in the parentheses are the same or different from each other.
본 명세서의 일 실시상태에 있어서, 상기 Y 및 Z는 서로 같거나 상이하고, 각각 독립적으로 O, S, Se, Be, NRa, PRb, SO, SO2, PO, SiRcRd, CReRf, CRgRh-CRiRj, CRk=CRl, CRm=N 또는 PORn이다.In one embodiment of this disclosure, the Y and Z are the same as or different from each other, each independently represent O, S, Se, Be, NRa, PRb, SO, SO 2, PO, SiRcRd, CReRf, CRgRh-CRiRj, CRk = CRl, CRm = N or PORn.
또 하나의 일 실시상태에 따르면, 상기 Y 및 Z는 서로 같거나 상이하고, 각각 독립적으로 O, S, NRa, PRb, SO, SO2, SiRcRd, CReRf 또는 PORn이다.According to one exemplary embodiment of the Y and Z are the same as or different from each other, each independently represent O, S, NRa, PRb, SO, SO 2, SiRcRd, or CReRf PORn.
본 명세서의 일 실시상태에 있어서, 상기 Y 및 Z는 O이다.In one embodiment of the present disclosure, Y and Z are O.
본 명세서의 일 실시상태에 있어서, 상기 Y 및 Z는 S이다.In one embodiment of the present disclosure, Y and Z are S.
본 명세서의 일 실시상태에 있어서, 상기 Y 및 Z는 CReRf이다.In one embodiment of the present disclosure, Y and Z are CReRf.
본 명세서의 일 실시상태에 있어서, 상기 Re 및 Rf는 서로 같거나 상이하고, 각각 독립적으로 수소; 중수소; 치환 또는 비치환된 알킬기; 치환 또는 비치환된 아릴기; 또는 치환 또는 비치환된 헤테로고리기이다.In one embodiment of the present specification, Re and Rf are the same or different from each other, and each independently hydrogen; heavy hydrogen; A substituted or unsubstituted alkyl group; A substituted or unsubstituted aryl group; Or a substituted or unsubstituted heterocyclic group.
본 명세서의 일 실시상태에 따르면, 상기 Re 및 Rf는 서로 같거나 상이하고, 각각 독립적으로 수소; 중수소; 치환 또는 비치환된 탄소수 1 내지 20의 알킬기; 또는 치환 또는 비치환된 탄소수 6 내지 30의 아릴기이다.According to one embodiment of the present disclosure, Re and Rf are the same or different from each other, and each independently hydrogen; heavy hydrogen; A substituted or unsubstituted alkyl group having 1 to 20 carbon atoms; Or a substituted or unsubstituted aryl group having 6 to 30 carbon atoms.
또 하나의 일 실시상태에 있어서, 상기 Re 및 Rf는 서로 같거나 상이하고, 각각 독립적으로 수소; 중수소; 치환 또는 비치환된 메틸기; 치환 또는 비치환된 에틸기; 치환 또는 비치환된 페닐기; 치환 또는 비치환된 바이페닐기; 또는 치환 또는 비치환된 나프틸기이다.In another embodiment, Re and Rf are the same or different and are each independently selected from the group consisting of hydrogen; heavy hydrogen; A substituted or unsubstituted methyl group; A substituted or unsubstituted ethyl group; A substituted or unsubstituted phenyl group; A substituted or unsubstituted biphenyl group; Or a substituted or unsubstituted naphthyl group.
또 하나의 일 실시상태에 있어서, 상기 Re 및 Rf는 치환 또는 비치환된 메틸기이다.In another embodiment, Re and Rf are substituted or unsubstituted methyl groups.
또 하나의 일 실시상태에 따르면, 상기 Re 및 Rf는 메틸기이다.According to another embodiment, Re and Rf are methyl groups.
본 명세서의 일 실시상태에 있어서, 상기 Y 및 Z는 SiRcRd이다.In one embodiment of the present disclosure, Y and Z are SiRcRd.
본 명세서의 일 실시상태에 있어서, 상기 Rc 및 Rd는 서로 같거나 상이하고, 각각 독립적으로 수소; 중수소; 치환 또는 비치환된 알킬기; 치환 또는 비치환된 아릴기; 또는 치환 또는 비치환된 헤테로고리기이다.In one embodiment of the present specification, Rc and Rd are the same or different from each other, and each independently hydrogen; heavy hydrogen; A substituted or unsubstituted alkyl group; A substituted or unsubstituted aryl group; Or a substituted or unsubstituted heterocyclic group.
본 명세서의 일 실시상태에 따르면, 상기 Rc 및 Rd는 서로 같거나 상이하고, 각각 독립적으로 수소; 중수소; 치환 또는 비치환된 탄소수 1 내지 20의 알킬기; 또는 치환 또는 비치환된 탄소수 6 내지 30의 아릴기이다.According to one embodiment of the present disclosure, Rc and Rd are the same or different and each independently hydrogen; heavy hydrogen; A substituted or unsubstituted alkyl group having 1 to 20 carbon atoms; Or a substituted or unsubstituted aryl group having 6 to 30 carbon atoms.
또 하나의 일 실시상태에 있어서, 상기 Rc 및 Rd는 서로 같거나 상이하고, 각각 독립적으로 수소; 중수소; 치환 또는 비치환된 메틸기; 치환 또는 비치환된 에틸기; 치환 또는 비치환된 페닐기; 치환 또는 비치환된 바이페닐기; 또는 치환 또는 비치환된 나프틸기이다.In another embodiment, Rc and Rd are the same or different and are each independently selected from the group consisting of hydrogen; heavy hydrogen; A substituted or unsubstituted methyl group; A substituted or unsubstituted ethyl group; A substituted or unsubstituted phenyl group; A substituted or unsubstituted biphenyl group; Or a substituted or unsubstituted naphthyl group.
또 하나의 일 실시상태에 있어서, 상기 Rc 및 Rd는 치환 또는 비치환된 메틸기이다.In another embodiment, Rc and Rd are substituted or unsubstituted methyl groups.
또 하나의 일 실시상태에 따르면, 상기 Rc 및 Rd는 메틸기이다.According to another embodiment, Rc and Rd are methyl groups.
본 명세서의 일 실시상태에 있어서, 상기 Y 및 Z는 SO이다.In one embodiment of the present disclosure, Y and Z are SO.
본 명세서의 일 실시상태에 있어서, 상기 Y 및 Z는 NRa이다.In one embodiment of the present disclosure, Y and Z are NRa.
본 명세서의 일 실시상태에 있어서, 상기 Ra는 수소; 중수소; 치환 또는 비치환된 알킬기 또는 치환 또는 비치환된 아릴기이다.In one embodiment of the present disclosure, Ra is hydrogen; heavy hydrogen; A substituted or unsubstituted alkyl group or a substituted or unsubstituted aryl group.
본 명세서의 일 실시상태에 따르면, 상기 Ra는 수소; 중수소; 치환 또는 비치환된 탄소수 1 내지 20의 알킬기; 또는 치환 또는 비치환된 탄소수 6 내지 30의 아릴기이다.According to one embodiment of the present disclosure, Ra is hydrogen; heavy hydrogen; A substituted or unsubstituted alkyl group having 1 to 20 carbon atoms; Or a substituted or unsubstituted aryl group having 6 to 30 carbon atoms.
또 하나의 일 실시상태에 따르면, 상기 Ra는 수소; 중수소; 치환 또는 비치환된 탄소수 1 내지 10의 알킬기; 또는 치환 또는 비치환된 탄소수 6 내지 20의 아릴기이다.According to another embodiment, Ra is hydrogen; heavy hydrogen; A substituted or unsubstituted alkyl group having 1 to 10 carbon atoms; Or a substituted or unsubstituted C6 to C20 aryl group.
또 하나의 일 실시상태에 있어서, 상기 Ra는 수소; 중수소; 치환 또는 비치환된 메틸기; 치환 또는 비치환된 에틸기; 치환 또는 비치환된 페닐기; 치환 또는 비치환된 바이페닐기; 또는 치환 또는 비치환된 나프틸기이다.In another embodiment, Ra is hydrogen; heavy hydrogen; A substituted or unsubstituted methyl group; A substituted or unsubstituted ethyl group; A substituted or unsubstituted phenyl group; A substituted or unsubstituted biphenyl group; Or a substituted or unsubstituted naphthyl group.
또 하나의 일 실시상태에 있어서, 상기 Ra는 치환 또는 비치환된 메틸기; 또는 치환 또는 비치환된 페닐기이다.In another embodiment, Ra is a substituted or unsubstituted methyl group; Or a substituted or unsubstituted phenyl group.
또 하나의 일 실시상태에 있어서, 상기 Ra는 페닐기이다.In another embodiment, Ra is a phenyl group.
본 명세서의 일 실시상태에 있어서, 상기 Y 및 Z는 PRb이다.In one embodiment of the present disclosure, Y and Z are PRb.
본 명세서의 일 실시상태에 있어서, 상기 Rb는 수소; 중수소; 치환 또는 비치환된 알킬기; 치환 또는 비치환된 아릴기; 또는 치환 또는 비치환된 헤테로고리기이다.In one embodiment of the present specification, R < b > is hydrogen; heavy hydrogen; A substituted or unsubstituted alkyl group; A substituted or unsubstituted aryl group; Or a substituted or unsubstituted heterocyclic group.
본 명세서의 일 실시상태에 따르면, 상기 Rb는 서로 같거나 상이하고, 각각 독립적으로 수소; 중수소; 치환 또는 비치환된 탄소수 1 내지 20의 알킬기; 또는 치환 또는 비치환된 탄소수 6 내지 30의 아릴기이다.According to one embodiment of the present invention, Rb are the same or different from each other, and each independently hydrogen; heavy hydrogen; A substituted or unsubstituted alkyl group having 1 to 20 carbon atoms; Or a substituted or unsubstituted aryl group having 6 to 30 carbon atoms.
또 하나의 일 실시상태에 따르면, 상기 Rb는 서로 같거나 상이하고, 각각 독립적으로 수소; 중수소; 치환 또는 비치환된 탄소수 1 내지 10의 알킬기; 또는 치환 또는 비치환된 탄소수 6 내지 20의 아릴기이다.According to another embodiment, the R < b > s are the same or different and each independently hydrogen; heavy hydrogen; A substituted or unsubstituted alkyl group having 1 to 10 carbon atoms; Or a substituted or unsubstituted C6 to C20 aryl group.
또 하나의 일 실시상태에 있어서, 상기 Rb는 서로 같거나 상이하고, 각각 독립적으로 수소; 중수소; 치환 또는 비치환된 메틸기; 치환 또는 비치환된 에틸기; 치환 또는 비치환된 페닐기; 치환 또는 비치환된 바이페닐기; 또는 치환 또는 비치환된 나프틸기이다.In another embodiment, the R < b > s are the same or different and independently selected from the group consisting of hydrogen; heavy hydrogen; A substituted or unsubstituted methyl group; A substituted or unsubstituted ethyl group; A substituted or unsubstituted phenyl group; A substituted or unsubstituted biphenyl group; Or a substituted or unsubstituted naphthyl group.
또 하나의 일 실시상태에 있어서, 상기 Rb는 치환 또는 비치환된 페닐기이다.In another embodiment, Rb is a substituted or unsubstituted phenyl group.
또 하나의 일 실시상태에 있어서, 상기 Rb는 페닐기이다.In another embodiment, Rb is a phenyl group.
본 명세서의 일 실시상태에 있어서, 상기 Y 및 Z는 PORn이고, PORn은 '-P(=O)Rn-' 으로, 의 구조를 갖는 것을 의미하며, ''는 화학식 1의 연결되는 부위를 의미한다.In one embodiment of the present disclosure, Y and Z are PORn, PORn is -P (= O) Rn-, &Quot; and " &Quot; means a linked site of formula (1).
본 명세서의 일 실시상태에 있어서, 상기 Rn은 수소; 중수소; 치환 또는 비치환된 알킬기; 또는 치환 또는 비치환된 아릴기이다.In one embodiment of the present disclosure, Rn is hydrogen; heavy hydrogen; A substituted or unsubstituted alkyl group; Or a substituted or unsubstituted aryl group.
또 하나의 일 실시상태에 있어서, 상기 Rn은 수소; 중수소; 치환 또는 비치환된 탄소수 1 내지 20의 알킬기; 또는 치환 또는 비치환된 탄소수 6 내지 30의 아릴기이다.In another embodiment, Rn is hydrogen; heavy hydrogen; A substituted or unsubstituted alkyl group having 1 to 20 carbon atoms; Or a substituted or unsubstituted aryl group having 6 to 30 carbon atoms.
또 하나의 일 실시상태에 있어서, 상기 Rn은 수소; 중수소; 치환 또는 비치환된 탄소수 1 내지 12이 알킬기; 또는 치환 또는 비치환된 탄소수 6 내지 20의 아릴기이다.In another embodiment, Rn is hydrogen; heavy hydrogen; A substituted or unsubstituted alkyl group having 1 to 12 carbon atoms; Or a substituted or unsubstituted C6 to C20 aryl group.
또 하나의 일 실시상태에 따르면, 상기 Rn은 수소; 중수소; 치환 또는 비치환된 페닐기; 치환 또는 비치환된 바이페닐기; 치환 또는 비치환된 나프틸기; 치환 또는 비치환된 메틸기; 또는 치환 또는 비치환된 에틸기이다.According to another embodiment, Rn is hydrogen; heavy hydrogen; A substituted or unsubstituted phenyl group; A substituted or unsubstituted biphenyl group; A substituted or unsubstituted naphthyl group; A substituted or unsubstituted methyl group; Or a substituted or unsubstituted ethyl group.
또 하나의 일 실시상태에 따르면, 상기 Rn은 치환 또는 비치환된 메틸기; 또는 치환 또는 비치환된 페닐기이다.According to another embodiment, Rn is a substituted or unsubstituted methyl group; Or a substituted or unsubstituted phenyl group.
또 하나의 일 실시상태에 따르면, 상기 Rn은 페닐기이다.According to another embodiment, Rn is a phenyl group.
본 명세서의 일 실시상태에 있어서, 상기 Y 및 Z는 SO2이고, SO2는 의 구조를 갖는 것을 의미하며, ''는 화학식 1의 연결되는 부위를 의미한다.In one embodiment of the present disclosure, Y and Z are SO 2 , SO 2 is &Quot; and " &Quot; means a linked site of formula (1).
본 명세서의 일 실시상태에 있어서, 상기 Y 및 Z 중 어느 하나는 O이고, 나머지 하나는 S이다.In one embodiment of the present specification, one of Y and Z is O and the other is S.
본 명세서의 일 실시상태에 있어서, 상기 Y 및 Z 중 어느 하나는 O이고, 나머지 하나는 CReRf이다.In one embodiment of the present specification, one of Y and Z is O and the other is CReRf.
본 명세서의 일 실시상태에 있어서, 상기 Y 및 Z 중 어느 하나는 O이고, 나머지 하나는 NRa이다.In one embodiment of the present specification, one of Y and Z is O and the other is NRa.
본 명세서의 일 실시상태에 있어서, 상기 Y 및 Z 중 어느 하나는 S이고, 나머지 하나는 NRa이다.In one embodiment of the present specification, one of Y and Z is S and the other is NRa.
본 명세서의 일 실시상태에 있어서, 상기 Rg, Rh, Ri, Rj, Rk, Rl 및 Rm은 서로 같거나 상이하고, 각각 독립적으로 수소; 중수소; 할로겐기; 치환 또는 비치환된 알킬기; 치환 또는 비치환된 아릴기; 또는 치환 또는 비치환된 헤테로고리기이다.In one embodiment of the present specification, Rg, Rh, Ri, Rj, Rk, Rl and Rm are the same or different and each independently hydrogen; heavy hydrogen; A halogen group; A substituted or unsubstituted alkyl group; A substituted or unsubstituted aryl group; Or a substituted or unsubstituted heterocyclic group.
또 하나의 일 실시상태에 있어서, 상기 Rg, Rh, Ri, Rj, Rk, Rl 및 Rm은 서로 같거나 상이하고, 각각 독립적으로 수소; 중수소; 할로겐기; 치환 또는 비치환된 알킬기; 또는 치환 또는 비치환된 아릴기이다.In another embodiment, Rg, Rh, Ri, Rj, Rk, Rl and Rm are the same or different and each independently hydrogen; heavy hydrogen; A halogen group; A substituted or unsubstituted alkyl group; Or a substituted or unsubstituted aryl group.
또 하나의 일 실시상태에 있어서, 상기 Rg, Rh, Ri, Rj, Rk, Rl 및 Rm은 서로 같거나 상이하고, 각각 독립적으로 수소; 중수소; 할로겐기; 치환 또는 비치환된 탄소수 1 내지 20의 알킬기; 또는 치환 또는 비치환된 탄소수 6 내지 30의 아릴기이다.In another embodiment, Rg, Rh, Ri, Rj, Rk, Rl and Rm are the same or different and each independently hydrogen; heavy hydrogen; A halogen group; A substituted or unsubstituted alkyl group having 1 to 20 carbon atoms; Or a substituted or unsubstituted aryl group having 6 to 30 carbon atoms.
또 하나의 일 실시상태에 따르면, 상기 Rg, Rh, Ri, Rj, Rk, Rl 및 Rm은 서로 같거나 상이하고, 각각 독립적으로 수소; 중수소; 할로겐기; 치환 또는 비치환된 탄소수 1 내지 10의 알킬기; 또는 치환 또는 비치환된 탄소수 6 내지 20의 아릴기이다.According to another embodiment, Rg, Rh, Ri, Rj, Rk, Rl and Rm are the same or different and each independently hydrogen; heavy hydrogen; A halogen group; A substituted or unsubstituted alkyl group having 1 to 10 carbon atoms; Or a substituted or unsubstituted C6 to C20 aryl group.
또 하나의 일 실시상태에 있어서, 상기 Rg, Rh, Ri, Rj, Rk, Rl 및 Rm은 서로 같거나 상이하고, 각각 독립적으로 수소; 중수소; 할로겐기; 치환 또는 비치환된 메틸기; 치환 또는 비치환된 에틸기; 치환 또는 비치환된 프로필기; 치환 또는 비치환된 페닐기; 치환 또는 비치환된 바이페닐기; 또는 치환 또는 비치환된 나프틸기이다.In another embodiment, Rg, Rh, Ri, Rj, Rk, Rl and Rm are the same or different and each independently hydrogen; heavy hydrogen; A halogen group; A substituted or unsubstituted methyl group; A substituted or unsubstituted ethyl group; A substituted or unsubstituted propyl group; A substituted or unsubstituted phenyl group; A substituted or unsubstituted biphenyl group; Or a substituted or unsubstituted naphthyl group.
또 하나의 일 실시상태에 있어서, 상기 Rg, Rh, Ri, Rj, Rk, Rl 및 Rm은 서로 같거나 상이하고, 각각 독립적으로 수소; 중수소; 할로겐기; 메틸기; 에틸기; 프로필기; 페닐기; 바이페닐기; 또는 나프틸기이다.In another embodiment, Rg, Rh, Ri, Rj, Rk, Rl and Rm are the same or different and each independently hydrogen; heavy hydrogen; A halogen group; Methyl group; An ethyl group; Propyl group; A phenyl group; A biphenyl group; Or a naphthyl group.
본 명세서의 일 실시상태에 있어서, 상기 R5 및 R6는 서로 같거나 상이하고, 각각 독립적으로 수소; 중수소; 치환 또는 비치환된 알킬기; 치환 또는 비치환된 아릴기; 또는 치환 또는 비치환된 헤테로고리기이다.In one embodiment of the present specification, R5 and R6 are the same or different from each other, and each independently hydrogen; heavy hydrogen; A substituted or unsubstituted alkyl group; A substituted or unsubstituted aryl group; Or a substituted or unsubstituted heterocyclic group.
또 하나의 일 실시상태에 있어서, 상기 R5 및 R6는 서로 같거나 상이하고, 각각 독립적으로 수소; 중수소; 치환 또는 비치환된 탄소수 1 내지 20의 알킬기; 치환 또는 비치환된 탄소수 6 내지 30의 아릴기; 또는 치환 또는 비치환된 탄소수 2 내지 30의 헤테로고리기이다.In another embodiment, R5 and R6 are the same or different and are each independently selected from the group consisting of hydrogen; heavy hydrogen; A substituted or unsubstituted alkyl group having 1 to 20 carbon atoms; A substituted or unsubstituted C6 to C30 aryl; Or a substituted or unsubstituted heterocyclic group having 2 to 30 carbon atoms.
또 하나의 일 실시상태에 있어서, 상기 R5 및 R6는 서로 같거나 상이하고, 각각 독립적으로 수소; 중수소; 치환 또는 비치환된 탄소수 1 내지 12의 알킬기; 치환 또는 비치환된 탄소수 6 내지 20의 아릴기; 또는 치환 또는 비치환된 탄소수 2 내지 20의 헤테로고리기이다.In another embodiment, R5 and R6 are the same or different and are each independently selected from the group consisting of hydrogen; heavy hydrogen; A substituted or unsubstituted alkyl group having 1 to 12 carbon atoms; A substituted or unsubstituted C6 to C20 aryl; Or a substituted or unsubstituted C2-C20 heterocyclic group.
또 하나의 일 실시상태에 있어서, 상기 R5 및 R6는 서로 같거나 상이하고, 각각 독립적으로 수소; 중수소; 치환 또는 비치환된 탄소수 1 내지 10의 알킬기; 치환 또는 비치환된 탄소수 6 내지 12의 아릴기; 또는 치환 또는 비치환된 탄소수 2 내지 12의 헤테로고리기이다.In another embodiment, R5 and R6 are the same or different and are each independently selected from the group consisting of hydrogen; heavy hydrogen; A substituted or unsubstituted alkyl group having 1 to 10 carbon atoms; A substituted or unsubstituted C6 to C12 aryl; Or a substituted or unsubstituted heterocyclic group having 2 to 12 carbon atoms.
또 하나의 일 실시상태에 따르면, 상기 R5 및 R6는 서로 같거나 상이하고, 각각 독립적으로 수소; 중수소; 치환 또는 비치환된 메틸기; 치환 또는 비치환된 에틸기; 또는 치환 또는 비치환된 페닐기이다.According to another embodiment, R5 and R6 are the same or different from each other, and each independently hydrogen; heavy hydrogen; A substituted or unsubstituted methyl group; A substituted or unsubstituted ethyl group; Or a substituted or unsubstituted phenyl group.
또 하나의 일 실시상태에 따르면, 상기 R5 및 R6는 수소 또는 치환 또는 비치환된 메틸기이다.According to another embodiment, R5 and R6 are hydrogen or a substituted or unsubstituted methyl group.
본 명세서의 일 실시상태에 따르면, 상기 a 및 b는 1이다.According to one embodiment of the present disclosure, a and b are one.
본 명세서의 일 실시상태에 있어서, 상기 c 및 e는 0 내지 2의 정수이다.In one embodiment of the present specification, c and e are an integer of 0 to 2.
본 명세서의 일 실시상태에 있어서, 상기 c 및 e는 2이다.In one embodiment of the present disclosure, c and e are two.
본 명세서의 일 실시상태에 있어서, 상기 c 및 e는 1이다.In one embodiment of the present disclosure, c and e are one.
본 명세서의 일 실시상태에 있어서, 상기 c 및 e는 0이다.In one embodiment of the present disclosure, c and e are zero.
본 명세서의 일 실시상태에 있어서, 상기 R7 및 R9는 서로 같거나 상이하고, 각각 독립적으로 수소; 중수소; 치환 또는 비치환된 알킬기; 치환 또는 비치환된 아릴기; 치환 또는 비치환된 아릴아민기; 또는 치환 또는 비치환된 헤테로고리기이거나, 인접한 치환기는 서로 결합하여 고리를 형성한다.In one embodiment of the present specification, R7 and R9 are the same or different from each other, and each independently hydrogen; heavy hydrogen; A substituted or unsubstituted alkyl group; A substituted or unsubstituted aryl group; A substituted or unsubstituted arylamine group; Or a substituted or unsubstituted heterocyclic group, or adjacent substituents are bonded to each other to form a ring.
또 하나의 일 실시상태에 있어서, 상기 R7 및 R9는 서로 같거나 상이하고, 각각 독립적으로 수소; 중수소; 치환 또는 비치환된 탄소수 1 내지 30의 알킬기; 치환 또는 비치환된 탄소수 6 내지 30의 아릴기; 치환 또는 비치환된 아릴아민기; 또는 치환 또는 비치환된 탄소수 2 내지 30의 헤테로고리기이거나, 인접한 치환기는 서로 결합하여 고리를 형성한다.In another embodiment, R7 and R9 are the same or different and each independently hydrogen; heavy hydrogen; A substituted or unsubstituted alkyl group having 1 to 30 carbon atoms; A substituted or unsubstituted C6 to C30 aryl; A substituted or unsubstituted arylamine group; Or a substituted or unsubstituted heterocyclic group having 2 to 30 carbon atoms, or adjacent substituents are bonded to each other to form a ring.
또 하나의 일 실시상태에 있어서, 상기 R7 및 R9는 서로 같거나 상이하고, 각각 독립적으로 수소; 중수소; 치환 또는 비치환된 탄소수 1 내지 20의 알킬기; 치환 또는 비치환된 탄소수 6 내지 20의 아릴기; 치환 또는 비치환된 아릴아민기; 또는 치환 또는 비치환된 탄소수 2 내지 20의 헤테로고리기이거나, 인접한 치환기는 서로 결합하여 고리를 형성한다.In another embodiment, R7 and R9 are the same or different and each independently hydrogen; heavy hydrogen; A substituted or unsubstituted alkyl group having 1 to 20 carbon atoms; A substituted or unsubstituted C6 to C20 aryl; A substituted or unsubstituted arylamine group; Or a substituted or unsubstituted C2-C20 heterocyclic group, or adjacent substituents are bonded to each other to form a ring.
또 하나의 일 실시상태에 있어서, 상기 R7 및 R9는 서로 같거나 상이하고, 각각 독립적으로 수소; 중수소; 치환 또는 비치환된 탄소수 1 내지 12의 알킬기; 치환 또는 비치환된 탄소수 6 내지 12의 아릴기; 치환 또는 비치환된 아릴아민기; 또는 치환 또는 비치환된 탄소수 2 내지 12의 헤테로고리기이거나, 인접한 치환기는 서로 결합하여 고리를 형성한다.In another embodiment, R7 and R9 are the same or different and each independently hydrogen; heavy hydrogen; A substituted or unsubstituted alkyl group having 1 to 12 carbon atoms; A substituted or unsubstituted C6 to C12 aryl; A substituted or unsubstituted arylamine group; Or a substituted or unsubstituted C2-C12 heterocyclic group, or adjacent substituents are bonded to each other to form a ring.
또 하나의 일 실시상태에 있어서, 상기 R7 및 R9는 서로 같거나 상이하고, 각각 독립적으로 수소; 중수소; 치환 또는 비치환된 메틸기; 치환 또는 비치환된 에틸기; 치환 또는 비치환된 페닐기; 치환 또는 비치환된 바이페닐기; 치환 또는 비치환된 나프틸기; 또는 치환 또는 비치환된 디페닐아민기이거나, 인접한 치환기는 서로 결합하여 고리를 형성한다.In another embodiment, R7 and R9 are the same or different and each independently hydrogen; heavy hydrogen; A substituted or unsubstituted methyl group; A substituted or unsubstituted ethyl group; A substituted or unsubstituted phenyl group; A substituted or unsubstituted biphenyl group; A substituted or unsubstituted naphthyl group; Or a substituted or unsubstituted diphenylamine group, or adjacent substituents are bonded to each other to form a ring.
또 하나의 일 실시상태에 있어서, 상기 R7 및 R9는 수소; 치환 또는 비치환된 페닐기; 또는 치환 또는 비치환된 디페닐아민기이다.In another embodiment, R7 and R9 are independently selected from the group consisting of hydrogen; A substituted or unsubstituted phenyl group; Or a substituted or unsubstituted diphenylamine group.
또 하나의 일 실시상태에 있어서, 상기 R7 및 R9는 수소; 페닐기; 또는 디페닐아민기이다.In another embodiment, R7 and R9 are independently selected from the group consisting of hydrogen; A phenyl group; Or a diphenylamine group.
또 하나의 일 실시상태에 있어서, 상기 c가 2 이상인 경우, 인접한 R7은 서로 결합하여 고리를 형성할 수 있다.In another embodiment, in the case where c is 2 or more, adjacent R < 7 > may bond to each other to form a ring.
또 하나의 일 실시상태에 있어서, 상기 c가 2 이상인 경우, 인접한 R7은 서로 결합하여 탄화수소 고리를 형성할 수 있다.In another embodiment, in the case where c is 2 or more,
또 하나의 일 실시상태에 따르면, 상기 c가 2 이상인 경우, 인접한 R7은 서로 결합하여 방향족 탄화수소 고리를 형성할 수 있다.According to another embodiment, when c is 2 or more, adjacent R < 7 > may combine with each other to form an aromatic hydrocarbon ring.
또 하나의 일 실시상태에 따르면, 상기 c가 2 이상인 경우, 인접한 R7은 서로 결합하여 벤젠고리를 형성할 수 있다.According to another embodiment, when c is 2 or more, adjacent R < 7 > may combine with each other to form a benzene ring.
또 하나의 일 실시상태에 있어서, 상기 e가 2 이상인 경우, 인접한 R9는 서로 결합하여 고리를 형성할 수 있다.In another embodiment, in the case where e is 2 or more, adjacent R9 may combine with each other to form a ring.
또 하나의 일 실시상태에 있어서, 상기 e가 2 이상인 경우, 인접한 R9는 서로 결합하여 탄화수소 고리를 형성할 수 있다.In another embodiment, when e is 2 or more, adjacent R9 may combine with each other to form a hydrocarbon ring.
또 하나의 일 실시상태에 따르면, 상기 e가 2 이상인 경우, 인접한 R9는 서로 결합하여 방향족 탄화수소 고리를 형성할 수 있다.According to another embodiment, in the case where e is 2 or more, adjacent R9 may combine with each other to form an aromatic hydrocarbon ring.
또 하나의 일 실시상태에 따르면, 상기 e가 2 이상인 경우, 인접한 R9는 서로 결합하여 벤젠고리를 형성할 수 있다.According to another embodiment, in the case where e is 2 or more, adjacent R9 may combine with each other to form a benzene ring.
본 명세서의 일 실시상태에 있어서, 상기 R8은 수소; 중수소; 니트릴기; 치환 또는 비치환된 알킬기; 치환 또는 비치환된 아릴기; 또는 치환 또는 비치환된 헤테로고리기이거나, 인접한 치환기는 서로 결합하여 고리를 형성한다.In one embodiment of the present disclosure, R8 is selected from the group consisting of hydrogen; heavy hydrogen; A nitrile group; A substituted or unsubstituted alkyl group; A substituted or unsubstituted aryl group; Or a substituted or unsubstituted heterocyclic group, or adjacent substituents are bonded to each other to form a ring.
또 하나의 일 실시상태에 있어서, 상기 R8은 수소; 중수소; 니트릴기; 치환 또는 비치환된 탄소수 1 내지 30의 알킬기; 치환 또는 비치환된 탄소수 6 내지 30의 아릴기; 또는 치환 또는 비치환된 탄소수 2 내지 30의 헤테로고리기이거나, 인접한 치환기는 서로 결합하여 고리를 형성한다.In another embodiment, R8 is selected from the group consisting of hydrogen; heavy hydrogen; A nitrile group; A substituted or unsubstituted alkyl group having 1 to 30 carbon atoms; A substituted or unsubstituted C6 to C30 aryl; Or a substituted or unsubstituted heterocyclic group having 2 to 30 carbon atoms, or adjacent substituents are bonded to each other to form a ring.
또 하나의 일 실시상태에 있어서, 상기 R8은 수소; 중수소; 니트릴기; 치환 또는 비치환된 탄소수 1 내지 20의 알킬기; 치환 또는 비치환된 탄소수 6 내지 20의 아릴기; 또는 치환 또는 비치환된 탄소수 2 내지 20의 헤테로고리기이거나, 인접한 치환기는 서로 결합하여 고리를 형성한다.In another embodiment, R8 is selected from the group consisting of hydrogen; heavy hydrogen; A nitrile group; A substituted or unsubstituted alkyl group having 1 to 20 carbon atoms; A substituted or unsubstituted C6 to C20 aryl; Or a substituted or unsubstituted C2-C20 heterocyclic group, or adjacent substituents are bonded to each other to form a ring.
또 하나의 일 실시상태에 있어서, 상기 R8은 수소; 중수소; 니트릴기; 치환 또는 비치환된 탄소수 1 내지 12의 알킬기; 치환 또는 비치환된 탄소수 6 내지 12의 아릴기; 또는 치환 또는 비치환된 탄소수 2 내지 12의 헤테로고리기이거나, 인접한 치환기는 서로 결합하여 고리를 형성한다.In another embodiment, R8 is selected from the group consisting of hydrogen; heavy hydrogen; A nitrile group; A substituted or unsubstituted alkyl group having 1 to 12 carbon atoms; A substituted or unsubstituted C6 to C12 aryl; Or a substituted or unsubstituted C2-C12 heterocyclic group, or adjacent substituents are bonded to each other to form a ring.
또 하나의 일 실시상태에 있어서, 상기 R8은 수소 또는 니트릴기이다.In another embodiment R8 is hydrogen or a nitrile group.
또 하나의 일 실시상태에 있어서, 상기 d가 2인 경우, 인접한 R8은 서로 결합하여 고리를 형성할 수 있다.In another embodiment, when d is 2, adjacent R 8 may combine with each other to form a ring.
또 하나의 일 실시상태에 있어서, 상기 d가 2인 경우, 인접한 R8은 서로 결합하여 탄화수소 고리를 형성할 수 있다.In another embodiment, when d is 2, adjacent R 8 may combine with each other to form a hydrocarbon ring.
또 하나의 일 실시상태에 따르면, 상기 d가 2인 경우, 인접한 R8은 서로 결합하여 방향족 탄화수소 고리를 형성할 수 있다.According to another embodiment, when d is 2, adjacent R < 8 > may combine with each other to form an aromatic hydrocarbon ring.
또 하나의 일 실시상태에 따르면, 상기 d가 2인 경우, 인접한 R8은 서로 결합하여 벤젠고리를 형성할 수 있다.According to another embodiment, when d is 2, adjacent R 8 may combine with each other to form a benzene ring.
본 명세서의 일 실시상태에 있어서, 상기 Ar1 내지 Ar4는 서로 같거나 상이하고, 각각 독립적으로 수소; 중수소; 치환 또는 비치환된 알킬기; 치환 또는 비치환된 아릴기; 또는 치환 또는 비치환된 헤테로고리기이거나, 인접한 치환기는 서로 결합하여 고리를 형성한다.In one embodiment of the present specification, Ar1 to Ar4 are the same or different from each other, and each independently hydrogen; heavy hydrogen; A substituted or unsubstituted alkyl group; A substituted or unsubstituted aryl group; Or a substituted or unsubstituted heterocyclic group, or adjacent substituents are bonded to each other to form a ring.
본 명세서의 일 실시상태에 따르면, 상기 Ar1 내지 Ar4는 서로 같거나 상이하고, 각각 독립적으로 수소; 중수소; 치환 또는 비치환된 탄소수 1 내지 30의 알킬기; 치환 또는 비치환된 탄소수 6 내지 30의 아릴기; 또는 치환 또는 비치환된 탄소수 2 내지 30의 헤테로고리기이거나, 인접한 치환기는 서로 결합하여 고리를 형성한다.According to one embodiment of the present invention, Ar1 to Ar4 are the same or different from each other, and each independently hydrogen; heavy hydrogen; A substituted or unsubstituted alkyl group having 1 to 30 carbon atoms; A substituted or unsubstituted C6 to C30 aryl; Or a substituted or unsubstituted heterocyclic group having 2 to 30 carbon atoms, or adjacent substituents are bonded to each other to form a ring.
본 명세서의 일 실시상태에 따르면, 상기 Ar1 내지 Ar4는 서로 같거나 상이하고, 각각 독립적으로 수소; 중수소; 치환 또는 비치환된 탄소수 1 내지 20의 알킬기; 치환 또는 비치환된 탄소수 6 내지 20의 아릴기; 또는 치환 또는 비치환된 탄소수 2 내지 20의 헤테로고리기이거나, 인접한 치환기는 서로 결합하여 고리를 형성한다.According to one embodiment of the present invention, Ar1 to Ar4 are the same or different from each other, and each independently hydrogen; heavy hydrogen; A substituted or unsubstituted alkyl group having 1 to 20 carbon atoms; A substituted or unsubstituted C6 to C20 aryl; Or a substituted or unsubstituted C2-C20 heterocyclic group, or adjacent substituents are bonded to each other to form a ring.
또 하나의 일 실시상태에 따르면, 상기 Ar1 내지 Ar4는 서로 같거나 상이하고, 각각 독립적으로 수소; 중수소; 치환 또는 비치환된 메틸기; 치환 또는 비치환된 에틸기; 치환 또는 비치환된 t-부틸기이거나 인접한 치환기는 서로 결합하여 치환 또는 비치환된 탄화수소고리 또는 치환 또는 비치환된 방향족 헤테로고리를 형성한다.According to another embodiment, Ar1 to Ar4 are the same or different from each other, and each independently hydrogen; heavy hydrogen; A substituted or unsubstituted methyl group; A substituted or unsubstituted ethyl group; A substituted or unsubstituted t-butyl group or an adjacent substituent is bonded to each other to form a substituted or unsubstituted hydrocarbon ring or a substituted or unsubstituted aromatic heterocycle.
또 하나의 일 실시상태에 따르면, 상기 Ar1 내지 Ar4는 서로 같거나 상이하고, 각각 독립적으로 수소; 중수소; 치환 또는 비치환된 메틸기; 치환 또는 비치환된 에틸기; 치환 또는 비치환된 t-부틸기이거나 인접한 치환기는 서로 결합하여 치환 또는 비치환된 방향족 탄화수소고리 또는 치환 또는 비치환된 방향족 헤테로고리를 형성한다.According to another embodiment, Ar1 to Ar4 are the same or different from each other, and each independently hydrogen; heavy hydrogen; A substituted or unsubstituted methyl group; A substituted or unsubstituted ethyl group; A substituted or unsubstituted t-butyl group or an adjacent substituent is bonded to each other to form a substituted or unsubstituted aromatic hydrocarbon ring or a substituted or unsubstituted aromatic heterocycle.
본 명세서의 일 실시상태에 따르면, 상기 m1 내지 m4는 각각 0 내지 2의 정수이다.According to one embodiment of the present invention, m1 to m4 are integers of 0 to 2, respectively.
본 명세서의 일 실시상태에 따르면, 상기 m1이 2인 경우, 인접한 Ar1은 서로 결합하여 고리를 형성할 수 있다.According to one embodiment of the present invention, when m1 is 2, adjacent Ar1 may combine with each other to form a ring.
또 하나의 일 실시상태에 있어서, 상기 m1이 2인 경우, 인접한 Ar1은 서로 결합하여 탄화수소 고리를 형성할 수 있다.In another embodiment, when m1 is 2, adjacent Ar1 may combine with each other to form a hydrocarbon ring.
또 하나의 일 실시상태에 따르면, 상기 m1이 2인 경우, 인접한 Ar1은 서로 결합하여 방향족 탄화수소 고리를 형성할 수 있다.According to another embodiment, when m1 is 2, adjacent Ar1 may combine with each other to form an aromatic hydrocarbon ring.
또 하나의 일 실시상태에 따르면, 상기 m1이 2 이상인 경우, 인접한 Ar1은 서로 결합하여 벤젠고리를 형성하여, 나프틸기를 형성할 수 있다.According to another embodiment of the present invention, when m1 is 2 or more, adjacent Ar1 may combine with each other to form a benzene ring to form a naphthyl group.
또 하나의 일 실시상태에 있어서, 상기 m1이 2인 경우, 인접한 Ar1은 서로 결합하여 헤테로고리를 형성할 수 있다.In another embodiment, when m1 is 2, adjacent Ar1 may combine with each other to form a heterocycle.
또 하나의 일 실시상태에 따르면, 상기 m1이 2인 경우, 인접한 Ar1은 서로 결합하여 방향족 헤테로고리를 형성할 수 있다.According to another embodiment, when m1 is 2, adjacent Ar1 may combine with each other to form an aromatic heterocyclic ring.
또 하나의 일 실시상태에 따르면, 상기 m1이 2인 경우, 인접한 Ar1은 서로 결합하여 벤조퓨란고리를 형성하여, 디벤조퓨라닐기를 형성할 수 있다.According to another embodiment, when m1 is 2, adjacent Ar1 may combine with each other to form a benzofuran ring to form a dibenzofuranyl group.
본 명세서의 일 실시상태에 따르면, 상기 m2가 2인 경우, 인접한 Ar2는 서로 결합하여 고리를 형성할 수 있다.According to one embodiment of the present invention, when m2 is 2, adjacent Ar2 may combine with each other to form a ring.
또 하나의 일 실시상태에 있어서, 상기 m2가 2인 경우, 인접한 Ar2는 서로 결합하여 탄화수소 고리를 형성할 수 있다.In another embodiment, when m2 is 2, adjacent Ar2 may combine with each other to form a hydrocarbon ring.
또 하나의 일 실시상태에 따르면, 상기 m2가 2인 경우, 인접한 Ar2는 서로 결합하여 방향족 탄화수소 고리를 형성할 수 있다.According to another embodiment, in the case where m2 is 2, adjacent Ar2 may combine with each other to form an aromatic hydrocarbon ring.
또 하나의 일 실시상태에 따르면, 상기 m2가 2인 경우, 인접한 Ar2는 서로 결합하여 벤젠고리를 형성하여, 나프틸기를 형성할 수 있다.According to another embodiment, when m2 is 2, adjacent Ar2 may combine with each other to form a benzene ring to form a naphthyl group.
또 하나의 일 실시상태에 있어서, 상기 m2가 2인 경우, 인접한 Ar2는 서로 결합하여 헤테로고리를 형성할 수 있다.In another embodiment, when m2 is 2, adjacent Ar2 may combine with each other to form a heterocycle.
또 하나의 일 실시상태에 따르면, 상기 m2가 2인 경우, 인접한 Ar2는 서로 결합하여 방향족 헤테로고리를 형성할 수 있다.According to another embodiment, in the case where m2 is 2, adjacent Ar2 may combine with each other to form an aromatic heterocyclic ring.
또 하나의 일 실시상태에 따르면, 상기 m2가 2인 경우, 인접한 Ar2는 서로 결합하여 벤조퓨란고리를 형성하여, 디벤조퓨라닐기를 형성할 수 있다.According to another embodiment, when m2 is 2, adjacent Ar2 may combine with each other to form a benzofuran ring to form a dibenzofuranyl group.
본 명세서의 일 실시상태에 따르면, 상기 m3가 2인 경우, 인접한 Ar3는 서로 결합하여 고리를 형성할 수 있다.According to one embodiment of the present invention, when m3 is 2, adjacent Ar3 may combine with each other to form a ring.
또 하나의 일 실시상태에 있어서, 상기 m3가 2인 경우, 인접한 Ar3는 서로 결합하여 탄화수소 고리를 형성할 수 있다.In another embodiment, when m3 is 2, adjacent Ar3 may combine with each other to form a hydrocarbon ring.
또 하나의 일 실시상태에 따르면, 상기 m3가 2인 경우, 인접한 Ar3는 서로 결합하여 방향족 탄화수소 고리를 형성할 수 있다.According to another embodiment, when m3 is 2, adjacent Ar3 may combine with each other to form an aromatic hydrocarbon ring.
또 하나의 일 실시상태에 따르면, 상기 m3가 2인 경우, 인접한 Ar3는 서로 결합하여 벤젠고리를 형성하여, 나프틸기를 형성할 수 있다.According to another embodiment, when m3 is 2, adjacent Ar3 may combine with each other to form a benzene ring to form a naphthyl group.
또 하나의 일 실시상태에 있어서, 상기 m3가 2인 경우, 인접한 Ar3는 서로 결합하여 헤테로고리를 형성할 수 있다.In another embodiment, when m3 is 2, adjacent Ar3 may combine with each other to form a heterocycle.
또 하나의 일 실시상태에 따르면, 상기 m3가 2인 경우, 인접한 Ar3는 서로 결합하여 방향족 헤테로고리를 형성할 수 있다.According to another embodiment, when m3 is 2, adjacent Ar3 may combine with each other to form an aromatic heterocycle.
또 하나의 일 실시상태에 따르면, 상기 m3가 2인 경우, 인접한 Ar3는 서로 결합하여 벤조퓨란고리를 형성하여, 디벤조퓨라닐기를 형성할 수 있다.According to another embodiment, when m3 is 2, adjacent Ar3 may combine with each other to form a benzofuran ring to form a dibenzofuranyl group.
본 명세서의 일 실시상태에 따르면, 상기 m4가 2인 경우, 인접한 Ar4는 서로 결합하여 고리를 형성할 수 있다.According to one embodiment of the present invention, when m4 is 2, adjacent Ar4 may combine with each other to form a ring.
또 하나의 일 실시상태에 있어서, 상기 m4가 2인 경우, 인접한 Ar4는 서로 결합하여 탄화수소 고리를 형성할 수 있다.In another embodiment, when m4 is 2, adjacent Ar4 may combine with each other to form a hydrocarbon ring.
또 하나의 일 실시상태에 따르면, 상기 m4가 2인 경우, 인접한 Ar4는 서로 결합하여 방향족 탄화수소 고리를 형성할 수 있다.According to another embodiment, when m4 is 2, adjacent Ar4 may combine with each other to form an aromatic hydrocarbon ring.
또 하나의 일 실시상태에 따르면, 상기 m4가 2인 경우, 인접한 Ar4는 서로 결합하여 벤젠고리를 형성할 수 하여, 나프틸기를 형성할 수 있다.According to another embodiment, when m4 is 2, adjacent Ar4 may combine with each other to form a benzene ring to form a naphthyl group.
또 하나의 일 실시상태에 있어서, 상기 m4가 2인 경우, 인접한 Ar4는 서로 결합하여 헤테로고리를 형성할 수 있다.In another embodiment, when m4 is 2, adjacent Ar4 may combine with each other to form a heterocycle.
또 하나의 일 실시상태에 따르면, 상기 m4가 2인 경우, 인접한 Ar4는 서로 결합하여 방향족 헤테로고리를 형성할 수 있다.According to another embodiment, when m4 is 2, adjacent Ar4 may combine with each other to form an aromatic heterocycle.
또 하나의 일 실시상태에 따르면, 상기 m4가 2인 경우, 인접한 Ar4는 서로 결합하여 벤조퓨란고리를 형성하여, 디벤조퓨라닐기를 형성할 수 있다.According to another embodiment, when m4 is 2, adjacent Ar4 may combine with each other to form a benzofuran ring to form a dibenzofuranyl group.
본 명세서의 일 실시상태에 있어서, 상기 Ar1 및 Ar2; 및 Ar3 및 Ar4 중 적어도 하나 이상은 서로 결합하여 고리를 형성할 수 있다.In one embodiment of the present specification, Ar1 and Ar2; And at least one or more of Ar3 and Ar4 may combine with each other to form a ring.
본 명세서의 일 실시상태에 있어서, 상기 Ar1 및 Ar2는 서로 결합하여 고리를 형성할 수 있다.In one embodiment of the present invention, Ar1 and Ar2 may combine with each other to form a ring.
본 명세서의 일 실시상태에 있어서, 상기 Ar1 및 Ar2는 S, O 또는 CX1X2로 연결되어 6각 고리를 형성할 수 있다.In one embodiment of the present specification, Ar1 and Ar2 may be connected to S, O or CX1X2 to form a hexagonal ring.
본 명세서의 일 실시상태에 있어서, 상기 X1 및 X2는 서로 같거나 상이하고, 각각 독립적으로 수소; 중수소; 또는 치환 또는 비치환된 알킬기이다.In one embodiment of the present specification, X1 and X2 are the same or different from each other, and each independently hydrogen; heavy hydrogen; Or a substituted or unsubstituted alkyl group.
또 하나의 일 실시상태에 있어서, 상기 X1 및 X2는 서로 같거나 상이하고, 각각 독립적으로 수소; 중수소; 또는 치환 도는 비치환된 탄소수 1 내지 12의 알킬기이다.In another embodiment, X1 and X2 are the same or different and are each independently selected from the group consisting of hydrogen; heavy hydrogen; Or the substituent is an unsubstituted alkyl group having 1 to 12 carbon atoms.
또 하나의 일 실시상태에 있어서, 상기 X1 및 X2는 서로 같거나 상이하고, 각각 독립적으로 수소; 중수소; 치환 또는 비치환된 메틸기; 또는 치환 또는 비치환된 에틸기이다.In another embodiment, X1 and X2 are the same or different and are each independently selected from the group consisting of hydrogen; heavy hydrogen; A substituted or unsubstituted methyl group; Or a substituted or unsubstituted ethyl group.
또 하나의 일 실시상태에 있어서, 상기 X1 및 X2는 서로 같거나 상이하고, 각각 독립적으로 치환 또는 비치환된 메틸기이다.In another embodiment, X1 and X2 are the same or different and are each independently a substituted or unsubstituted methyl group.
또 하나의 일 실시상태에 있어서, 상기 X1 및 X2는 메틸기이다.In another embodiment, X1 and X2 are methyl groups.
본 명세서의 일 실시상태에 있어서, 상기 Ar3 및 Ar4는 S, O 또는 CX3X4로 연결되어 고리를 형성할 수 있다.In one embodiment of the present specification, Ar3 and Ar4 may be linked to S, O or CX3X4 to form a ring.
본 명세서의 일 실시상태에 있어서, 상기 X3 및 X4는 서로 같거나 상이하고, 각각 독립적으로 수소; 중수소; 또는 치환 또는 비치환된 알킬기이다.In one embodiment of the present specification, X3 and X4 are the same or different from each other, and each independently hydrogen; heavy hydrogen; Or a substituted or unsubstituted alkyl group.
또 하나의 일 실시상태에 있어서, 상기 X3 및 X4는 서로 같거나 상이하고, 각각 독립적으로 수소; 중수소; 또는 치환 도는 비치환된 탄소수 1 내지 12의 알킬기이다.In another embodiment, X3 and X4 are the same or different and each independently hydrogen; heavy hydrogen; Or the substituent is an unsubstituted alkyl group having 1 to 12 carbon atoms.
또 하나의 일 실시상태에 있어서, 상기 X3 및 X4는 서로 같거나 상이하고, 각각 독립적으로 수소; 중수소; 치환 또는 비치환된 메틸기; 또는 치환 또는 비치환된 에틸기이다.In another embodiment, X3 and X4 are the same or different and each independently hydrogen; heavy hydrogen; A substituted or unsubstituted methyl group; Or a substituted or unsubstituted ethyl group.
또 하나의 일 실시상태에 있어서, 상기 X3 및 X4는 서로 같거나 상이하고, 각각 독립적으로 치환 또는 비치환된 메틸기이다.In another embodiment, X3 and X4 are the same or different and are each independently a substituted or unsubstituted methyl group.
또 하나의 일 실시상태에 있어서, 상기 X3 및 X4는 메틸기이다.In another embodiment, X3 and X4 are methyl groups.
본 명세서의 일 실시상태에 있어서, 상기 Ar5 및 Ar6는 서로 같거나 상이하고, 각각 독립적으로 수소; 중수소; 치환 또는 비치환된 알킬기; 치환 또는 비치환된 아릴기; 또는 치환 또는 비치환된 헤테로고리기이다.In one embodiment of the present specification, Ar5 and Ar6 are the same or different from each other, and each independently hydrogen; heavy hydrogen; A substituted or unsubstituted alkyl group; A substituted or unsubstituted aryl group; Or a substituted or unsubstituted heterocyclic group.
본 명세서의 일 실시상태에 있어서, 상기 Ar5 및 Ar6는 서로 같거나 상이하고, 각각 독립적으로 수소; 중수소; 치환 또는 비치환된 탄소수 1 내지 30의 알킬기; 치환 또는 비치환된 탄소수 6 내지 30의 아릴기; 또는 치환 또는 비치환된 탄소수 2 내지 30의 헤테로고리기이다.In one embodiment of the present specification, Ar5 and Ar6 are the same or different from each other, and each independently hydrogen; heavy hydrogen; A substituted or unsubstituted alkyl group having 1 to 30 carbon atoms; A substituted or unsubstituted C6 to C30 aryl; Or a substituted or unsubstituted heterocyclic group having 2 to 30 carbon atoms.
본 명세서의 일 실시상태에 있어서, 상기 Ar5 및 Ar6는 서로 같거나 상이하고, 각각 독립적으로 수소; 중수소; 치환 또는 비치환된 탄소수 1 내지 20의 알킬기; 치환 또는 비치환된 탄소수 6 내지 20의 아릴기; 또는 치환 또는 비치환된 탄소수 2 내지 20의 헤테로고리기이다.In one embodiment of the present specification, Ar5 and Ar6 are the same or different from each other, and each independently hydrogen; heavy hydrogen; A substituted or unsubstituted alkyl group having 1 to 20 carbon atoms; A substituted or unsubstituted C6 to C20 aryl; Or a substituted or unsubstituted C2-C20 heterocyclic group.
또 하나의 일 실시상태에 있어서, 상기 Ar5 및 Ar6는 서로 같거나 상이하고, 각각 독립적으로 수소; 중수소; 치환 또는 비치환된 메틸기; 치환 또는 비치환된 에틸기; 치환 또는 비치환된 페닐기; 또는 치환 또는 비치환된 바이페닐기이다.In another embodiment, Ar5 and Ar6 are the same or different and are each independently selected from the group consisting of hydrogen; heavy hydrogen; A substituted or unsubstituted methyl group; A substituted or unsubstituted ethyl group; A substituted or unsubstituted phenyl group; Or a substituted or unsubstituted biphenyl group.
또 하나의 일 실시상태에 있어서, 상기 Ar5 및 Ar6는 서로 같거나 상이하고, 각각 독립적으로 수소; 중수소; 메틸기; 에틸기; 페닐기; 또는 바이페닐기이다.In another embodiment, Ar5 and Ar6 are the same or different and are each independently selected from the group consisting of hydrogen; heavy hydrogen; Methyl group; An ethyl group; A phenyl group; Or a biphenyl group.
또 하나의 일 실시상태에 있어서, 상기 Ar5 및 Ar6는 서로 같거나 상이하고, 각각 독립적으로 수소 또는 메틸기이다.In another embodiment, Ar5 and Ar6 are the same or different and each independently hydrogen or a methyl group.
본 명세서의 일 실시상태에 있어서, 상기 m5 및 m6는 각각 0 내지 2의 정수이다. In one embodiment of the present specification, m5 and m6 are integers of 0 to 2, respectively.
또 하나의 일 실시상태에 있어서, 상기 m5 및 m6는0 또는 1이다.In another embodiment, m5 and m6 are 0 or 1.
본 명세서의 일 실시상태에 있어서, 상기 화학식 1의 코어 구조는 하기와 같은 구조를 가질 수 있으며, 하기 코어 구조는 화학식 1의 치환기((NR1R2)n1, (NR3R4)n2, (R5)a, (R6)b, (R7)c, (R8)d, (R9)e)로 치환된다.In one embodiment of the present invention, the core structure of
본 명세서의 일 실시상태에 있어서, 상기 화학식 1의 헤테로고리 화합물은 하기 화합물 중에서 선택되는 어느 하나일 수 있다.In one embodiment of the present invention, the heterocyclic compound of
본 명세서의 일 실시상태에 따른 화합물은 후술하는 제조방법으로 제조될 수 있다.The compound according to one embodiment of the present specification can be produced by a production method described below.
예컨대 상기 화학식 1의 헤테로고리 화합물은 하기 반응식과 같이 코어구조가 제조될 수 있다. 치환기는 당 기술분야에 알려져 있는 방법에 의하여 결합될 수 있으며, 치환기의 종류, 위치 또는 개수는 당 기술분야에 알려져 있는 기술에 따라 변경될 수 있다.For example, the heterocyclic compound of
화합물의 컨쥬게이션 길이와 에너지 밴드갭은 밀접한 관계가 있다. 구체적으로, 화합물의 컨쥬게이션 길이가 길수록 에너지 밴드갭이 작아진다. The conjugation length of the compound and the energy band gap are closely related. Specifically, the longer the conjugation length of the compound, the smaller the energy bandgap.
본 발명에서는 상기와 같이 코어 구조에 다양한 치환기를 도입함으로써 다양한 에너지 밴드갭을 갖는 화합물을 합성할 수 있다. 또한, 본 발명에서는 상기와 같은 구조의 코어 구조에 다양한 치환기를 도입함으로써 화합물의 HOMO 및 LUMO 에너지 준위도 조절할 수 있다.In the present invention, compounds having various energy bandgaps can be synthesized by introducing various substituents into the core structure as described above. Further, in the present invention, the HOMO and LUMO energy levels of the compound can be controlled by introducing various substituents to the core structure having the above structure.
또한, 상기와 같은 구조의 코어 구조에 다양한 치환기를 도입함으로써 도입된 치환기의 고유 특성을 갖는 화합물을 합성할 수 있다. 예컨대, 유기 발광 소자 제조시 사용되는 정공 주입층 물질, 정공 수송용 물질, 발광층 물질 및 전자 수송층 물질에 주로 사용되는 치환기를 상기 코어 구조에 도입함으로써 각 유기물층에서 요구하는 조건들을 충족시키는 물질을 합성할 수 있다.Further, by introducing various substituents into the core structure having the above structure, it is possible to synthesize a compound having the intrinsic characteristics of the substituent introduced. For example, by introducing a substituent mainly used in a hole injecting layer material, a hole transporting material, a light emitting layer material, and an electron transporting layer material used in manufacturing an organic light emitting device into the core structure, a material meeting the requirements of each organic layer is synthesized .
또한, 본 발명에 따른 유기 발광 소자는 제1 전극; 상기 제1 전극과 대향하여 구비되는 제2 전극; 및 상기 제1 전극과 상기 제2 전극 사이에 구비되는 1층 이상의 유기물층을 포함하는 유기 발광 소자로서, 상기 유기물층 중 1층 이상은 상기 화학식 1의 헤테로고리 화합물을 포함하는 것을 특징으로 한다.Further, the organic light emitting device according to the present invention includes a first electrode; A second electrode facing the first electrode; And at least one organic compound layer disposed between the first electrode and the second electrode, wherein at least one of the organic compound layers includes the heterocyclic compound of
본 발명의 유기 발광 소자는 전술한 화합물을 이용하여 한 층 이상의 유기물층을 형성하는 것을 제외하고는, 통상의 유기 발광 소자의 제조방법 및 재료에 의하여 제조될 수 있다.The organic light emitting device of the present invention can be manufactured by a conventional method and material for manufacturing an organic light emitting device, except that one or more organic compound layers are formed using the above-described compounds.
상기 화합물은 유기 발광 소자의 제조시 진공 증착법 뿐만 아니라 용액 도포법에 의하여 유기물층으로 형성될 수 있다. 여기서, 용액 도포법이라 함은 스핀 코팅, 딥 코팅, 잉크젯 프린팅, 스크린 프린팅, 스프레이법, 롤 코팅 등을 의미하지만, 이들만으로 한정되는 것은 아니다.The compound may be formed into an organic material layer by a solution coating method as well as a vacuum deposition method in the production of an organic light emitting device. Here, the solution coating method refers to spin coating, dip coating, inkjet printing, screen printing, spraying, roll coating, and the like, but is not limited thereto.
본 발명의 유기 발광 소자의 유기물층은 단층 구조로 이루어질 수도 있으나, 2층 이상의 유기물층이 적층된 다층 구조로 이루어질 수 있다. 예컨대, 본 발명의 유기 발광 소자는 유기물층으로서 정공 주입층, 정공 수송층, 발광층, 전자 수송층, 전자 주입층 등을 포함하는 구조를 가질 수 있다. 그러나, 유기 발광 소자의 구조는 이에 한정되지 않고 더 적은 수의 유기물층을 포함할 수 있다.The organic material layer of the organic light emitting device of the present invention may have a single layer structure, but may have a multilayer structure in which two or more organic material layers are stacked. For example, the organic light emitting device of the present invention may have a structure including a hole injecting layer, a hole transporting layer, a light emitting layer, an electron transporting layer, and an electron injecting layer as an organic material layer. However, the structure of the organic light emitting device is not limited thereto, and may include a smaller number of organic layers.
본 발명의 유기 발광 소자에서, 상기 유기물층은 전자수송층, 전자주입층 및 전자주입과 전자수송을 동시에 하는 층 중 1층 이상을 포함할 수 있고, 상기 층들 중 1층 이상이 상기 화학식 1로 표시되는 헤테로고리 화합물을 포함할 수 있다.In the organic light emitting device of the present invention, the organic material layer may include at least one of an electron transporting layer, an electron injecting layer, and a layer simultaneously performing electron injection and electron transporting, and at least one of the layers may be represented by
또 하나의 유기 발광 소자에서, 상기 유기물층은 전자수송층 또는 전자주입층을 포함할 수 있고, 상기 전자수송층 또는 전자주입층이 상기 화학식 1로 표시되는 헤테로고리 화합물을 포함할 수 있다.In another organic light emitting device, the organic material layer may include an electron transporting layer or an electron injecting layer, and the electron transporting layer or the electron injecting layer may include a heterocyclic compound represented by the above formula (1).
본 발명의 유기 발광 소자에서, 상기 유기물층은 정공 주입층, 정공 수송층 및 정공주입과 정공수송을 동시에 하는 층 중 1층 이상을 포함할 수 있고, 상기 층들 중 1층 이상이 상기 화학식 1로 표시되는 헤테로고리 화합물을 포함할 수 있다.In the organic light emitting device of the present invention, the organic material layer may include at least one of a hole injecting layer, a hole transporting layer, and a layer simultaneously injecting holes and transporting holes, and at least one of the layers may be represented by
또 하나의 의 유기 발광 소자에서, 상기 유기물층은 정공주입층 또는 정공수송층을 포함할 수 있고, 상기 전자수송층 또는 전자주입층이 상기 화학식 1로 표시되는 헤테로고리 화합물을 포함할 수 있다.In another organic light emitting device, the organic material layer may include a hole injecting layer or a hole transporting layer, and the electron transporting layer or the electron injecting layer may include a heterocyclic compound represented by the above formula (1).
또 하나의 실시 상태에 있어서, 상기 유기물층은 발광층을 포함하고, 상기 발광층이 상기 화학식 1로 표시되는 헤테로고리 화합물을 포함한다. 하나의 예로서, 상기 화학식 1로 표시되는 화합물은 발광층의 도펀트로서 포함될 수 있다. In another embodiment, the organic material layer includes a light emitting layer, and the light emitting layer includes a heterocyclic compound represented by the general formula (1). As one example, the compound represented by
또 하나의 예로서, 상기 화학식 1로 표시되는 헤테로고리 화합물을 포함하는 유기물층은 상기 화학식 1로 표시되는 화합물을 도펀트로서 포함하고, 형광 호스트 또는 인광 호스트를 포함할 수 있다. As another example, the organic compound layer containing the heterocyclic compound represented by
또 하나의 실시상태에 있어서, 상기 화학식 1로 표시되는 헤테로고리 화합물을 포함하는 유기물층은 상기 화학식 1로 표시되는 화합물을 도펀트로서 포함하고, 형광 호스트 또는 인광 호스트를 포함하며, 다른 유기화합물, 금속 또는 금속화합물을 도펀트로 포함할 수 있다.In another embodiment, the organic compound layer containing the heterocyclic compound represented by the formula (1) contains the compound represented by the formula (1) as a dopant and includes a fluorescent host or a phosphorescent host, A metal compound may be contained as a dopant.
또 하나의 예로서, 상기 화학식 1로 표시되는 헤테로고리 화합물을 포함하는 유기물층은 상기 화학식 1로 표시되는 화합물을 도펀트로서 포함하고, 형광 호스트 또는 인광 호스트를 포함하며, 이리듐계(Ir) 도펀트와 함께 사용할 수 있다.As another example, the organic material layer containing the heterocyclic compound represented by
본 발명의 유기 발광 소자의 구조는 도 1 및 도 2에 나타낸 것과 같은 구조를 가질 수 있으나, 이에만 한정되는 것은 아니다.The structure of the organic light emitting device of the present invention may have a structure as shown in FIGS. 1 and 2, but the present invention is not limited thereto.
도 1에는 기판(1) 위에 양극(2), 발광층(3) 및 음극(4)이 순차적으로 적층된 유기 발광 소자의 구조가 예시되어 있다. 이와 같은 구조에 있어서, 상기 화합물은 상기 발광층(3)에 포함될 수 있다.1 illustrates the structure of an organic light emitting device in which an
도 2에는 기판(1) 위에 양극(2), 정공 주입층(5), 정공 수송층(6), 발광층(3), 전자 수송층(7) 및 음극(4)이 순차적으로 적층된 유기 발광 소자의 구조가 예시되어 있다. 이와 같은 구조에 있어서, 상기 화합물은 상기 정공 주입층(5), 정공 수송층(6), 발광층(3) 또는 전자 수송층(7)에 포함될 수 있다.2 shows an organic light emitting device in which an
예컨대, 본 발명에 따른 유기 발광 소자는 스퍼터링(sputtering)이나 전자빔 증발(e-beam evaporation)과 같은 PVD(physical vapor deposition) 방법을 이용하여, 기판 상에 금속 또는 전도성을 가지는 금속 산화물 또는 이들의 합금을 증착시켜 양극을 형성하고, 그 위에 정공 주입층, 정공 수송층, 발광층 및 전자 수송층을 포함하는 유기물층을 형성한 후, 그 위에 음극으로 사용할 수 있는 물질을 증착시킴으로써 제조될 수 있다. 이와 같은 방법 외에도, 기판 상에 음극 물질부터 유기물층, 양극 물질을 차례로 증착시켜 유기 발광 소자를 만들 수도 있다.For example, the organic light emitting device according to the present invention may be formed by using a PVD (physical vapor deposition) method such as sputtering or e-beam evaporation to form a metal oxide or a metal oxide having conductivity on the substrate, To form an anode, an organic material layer including a hole injection layer, a hole transporting layer, a light emitting layer, and an electron transporting layer is formed on the anode, and a material which can be used as a cathode is deposited thereon. In addition to such a method, an organic light emitting device may be formed by sequentially depositing a cathode material, an organic material layer, and a cathode material on a substrate.
상기 유기물층은 정공 주입층, 정공 수송층, 발광층 및 전자 수송층 등을 포함하는 다층 구조일 수도 있으나, 이에 한정되지 않고 단층 구조일 수 있다. 또한, 상기 유기물층은 다양한 고분자 소재를 사용하여 증착법이 아닌 용매 공정(solvent process), 예컨대 스핀 코팅, 딥 코팅, 닥터 블레이딩, 스크린 프린팅, 잉크젯 프린팅 또는 열 전사법 등의 방법에 의하여 더 적은 수의 층으로 제조할 수 있다.The organic material layer may have a multi-layer structure including a hole injection layer, a hole transport layer, a light emitting layer, and an electron transport layer, but is not limited thereto and may have a single layer structure. The organic material layer may be formed using a variety of polymeric materials by a method such as a solvent process such as spin coating, dip coating, doctor blading, screen printing, inkjet printing, Layer.
상기 양극 물질로는 통상 유기물층으로 정공 주입이 원활할 수 있도록 일함수가 큰 물질이 바람직하다. 본 발명에서 사용될 수 있는 양극 물질의 구체적인 예로는 바나듐, 크롬, 구리, 아연, 금과 같은 금속 또는 이들의 합금; 아연 산화물, 인듐 산화물, 인듐주석 산화물(ITO), 인듐아연 산화물(IZO)과 같은 금속 산화물; ZnO : Al 또는 SnO2 : Sb와 같은 금속과 산화물의 조합; 폴리(3-메틸화합물의), 폴리[3,4-(에틸렌-1,2-디옥시)화합물의](PEDT), 폴리피롤 및 폴리아닐린과 같은 전도성 고분자 등이 있으나, 이들에만 한정되는 것은 아니다.As the anode material, a material having a large work function is preferably used so that hole injection can be smoothly conducted into the organic material layer. Specific examples of the cathode material that can be used in the present invention include metals such as vanadium, chromium, copper, zinc, and gold, or alloys thereof; Metal oxides such as zinc oxide, indium oxide, indium tin oxide (ITO), and indium zinc oxide (IZO); ZnO: Al or SnO 2: a combination of a metal and an oxide such as Sb; Conductive polymers such as poly (3-methyl compounds), poly [3,4- (ethylene-1,2-dioxy) compounds] (PEDT), polypyrrole and polyaniline.
상기 음극 물질로는 통상 유기물층으로 전자 주입이 용이하도록 일함수가 작은 물질인 것이 바람직하다. 음극 물질의 구체적인 예로는 마그네슘, 칼슘, 나트륨, 칼륨, 티타늄, 인듐, 이트륨, 리튬, 가돌리늄, 알루미늄, 은, 주석 및 납과 같은 금속 또는 이들의 합금; LiF/Al 또는 LiO2/Al과 같은 다층 구조 물질 등이 있으나, 이들에만 한정되는 것은 아니다.The negative electrode material is preferably a material having a small work function to facilitate electron injection into the organic material layer. Specific examples of the negative electrode material include metals such as magnesium, calcium, sodium, potassium, titanium, indium, yttrium, lithium, gadolinium, aluminum, silver, tin and lead or alloys thereof; Layer structure materials such as LiF / Al or LiO 2 / Al, but are not limited thereto.
상기 정공 주입 물질로는 낮은 전압에서 양극으로부터 정공을 잘 주입 받을 수 있는 물질로서, 정공 주입 물질의 HOMO(highest occupied molecular orbital)가 양극 물질의 일함수와 주변 유기물층의 HOMO 사이인 것이 바람직하다. 정공 주입 물질의 구체적인 예로는 금속 포피린(porphyrine), 올리고티오펜, 아릴아민 계열의 유기물, 헥사니트릴헥사아자트리페닐렌 계열의 유기물, 퀴나크리돈(quinacridone) 계열의 유기물, 페릴렌(perylene) 계열의 유기물, 안트라퀴논 및 폴리아닐린과 폴리화합물의 계열의 전도성 고분자 등이 있으나, 이들에만 한정되는 것은 아니다.As the hole injecting material, it is preferable that the highest occupied molecular orbital (HOMO) of the hole injecting material is between the work function of the anode material and the HOMO of the surrounding organic layer. Specific examples of the hole injecting material include metal porphyrine, oligothiophene, arylamine-based organic materials, hexanitrile hexaazatriphenylene-based organic materials, quinacridone-based organic materials, perylene , An anthraquinone, and a conductive polymer of polyaniline and a poly-compound, but the present invention is not limited thereto.
상기 정공 수송 물질로는 양극이나 정공 주입층으로부터 정공을 수송받아 발광층으로 옮겨줄 수 있는 물질로 정공에 대한 이동성이 큰 물질이 적합하다. 구체적인 예로는 아릴아민 계열의 유기물, 전도성 고분자, 및 공액 부분과 비공액 부분이 함께 있는 블록 공중합체 등이 있으나, 이들에만 한정되는 것은 아니다.As the hole transporting material, a material capable of transporting holes from the anode or the hole injecting layer to the light emitting layer and having high mobility to holes is suitable. Specific examples include arylamine-based organic materials, conductive polymers, and block copolymers having a conjugated portion and a non-conjugated portion together, but are not limited thereto.
상기 발광층은 적색, 녹색 또는 청색을 발광할 수 있으며, 인광 물질 또는 형광 물질로 이루어질 수 있다. 상기 발광 물질로는 정공 수송층과 전자 수송층으로부터 정공과 전자를 각각 수송받아 결합시킴으로써 가시광선 영역의 빛을 낼 수 있는 물질로서, 형광이나 인광에 대한 양자 효율이 좋은 물질이 바람직하다. 구체적인 예로는 8-히드록시-퀴놀린 알루미늄 착물(Alq3); 카르바졸 계열 화합물; 이량체화 스티릴(dimerized styryl) 화합물; BAlq; 10-히드록시벤조 퀴놀린-금속 화합물; 벤족사졸, 벤즈티아졸 및 벤즈이미다졸 계열의 화합물; 폴리(p-페닐렌비닐렌)(PPV) 계열의 고분자; 스피로(spiro) 화합물; 폴리플루오렌, 루브렌 등이 있으나, 이들에만 한정되는 것은 아니다.The light emitting layer may emit red, green or blue light, and may be formed of a phosphor or a fluorescent material. The light emitting material is preferably a material capable of emitting light in the visible light region by transporting and receiving holes and electrons from the hole transporting layer and the electron transporting layer, respectively, and having good quantum efficiency for fluorescence or phosphorescence. Specific examples include 8-hydroxy-quinoline aluminum complex (Alq 3 ); Carbazole-based compounds; Dimerized styryl compounds; BAlq; 10-hydroxybenzoquinoline-metal compounds; Compounds of the benzoxazole, benzothiazole and benzimidazole series; Polymers of poly (p-phenylenevinylene) (PPV) series; Spiro compounds; Polyfluorene, rubrene, and the like, but are not limited thereto.
발광층의 호스트 재료로는 축합 방향족환 유도체 또는 헤테로환 함유 화합물 등이 있다. 구체적으로 축합 방향족환 유도체로는 안트라센 유도체, 피렌 유도체, 나프탈렌 유도체, 펜타센 유도체, 페난트렌 화합물, 플루오란텐 화합물 등이 있고, 헤테로환 함유 화합물로는 카바졸 유도체, 디벤조퓨란 유도체, 래더형 퓨란 화합물, 피리미딘 유도체 등이 있으나, 이에 한정되지 않는다.Examples of the host material of the light emitting layer include a condensed aromatic ring derivative or a heterocyclic compound. Specific examples of the condensed aromatic ring derivatives include anthracene derivatives, pyrene derivatives, naphthalene derivatives, pentacene derivatives, phenanthrene compounds, and fluoranthene compounds. Examples of the heterocycle-containing compounds include carbazole derivatives, dibenzofuran derivatives, Furan compounds, pyrimidine derivatives, and the like, but are not limited thereto.
발광층의 도펀트로 사용되는 이리듐계 착물은 하기와 같으나, 이에 한정되지 않는다.The iridium complex used as a dopant in the light emitting layer is as follows but is not limited thereto.
[Ir(piq)3] [Btp2Ir(acac)][Ir (piq) 3 ] [Btp 2 Ir (acac)]
[Ir(ppy)3] [Ir(ppy)2(acac)][Ir (ppy) 3 ] [Ir (ppy) 2 (acac)]
[Ir(mpyp)3] [F2Irpic][Ir (mpyp) 3 ] [F 2 Irpic]
[(F2ppy)2Ir(tmd)] [Ir(dfppz)3][(F 2 ppy) 2 Ir (tmd)] [Ir (dfppz) 3 ]
상기 전자 수송 물질로는 음극으로부터 전자를 잘 주입 받아 발광층으로 옮겨줄 수 있는 물질로서, 전자에 대한 이동성이 큰 물질이 적합하다. 구체적인 예로는 8-히드록시퀴놀린의 Al 착물; Alq3를 포함한 착물; 유기 라디칼 화합물; 히드록시플라본-금속 착물 등이 있으나, 이들에만 한정되는 것은 아니다.As the electron transporting material, a material capable of transferring electrons from the cathode well into the light emitting layer, which is suitable for electrons, is suitable. Specific examples include an Al complex of 8-hydroxyquinoline; Complexes containing Alq 3 ; Organic radical compounds; Hydroxyflavone-metal complexes, and the like, but are not limited thereto.
본 발명에 따른 유기 발광 소자는 사용되는 재료에 따라 전면 발광형, 후면 발광형 또는 양면 발광형일 수 있다.The organic light emitting device according to the present invention may be a front emission type, a back emission type, or a both-sided emission type, depending on the material used.
<< 제조예Manufacturing example >>
1. 화합물 1의 제조 1. Preparation of
1) 중간체 1의 제조1) Preparation of intermediate 1
중간체 1 Intermediate 1
1-클로로-3,5-다이메톡시벤젠(10.0 g, 58 mmol)과 N-브로모숙신이미드(10.3 g, 58 mmol)를 1,2-다이에틸렌클로라이드(200 ml)에 녹인 후 상온에서 24시간 동안 교반한다. 반응 종료후 반응용액을 회전증발기를 통해 용매를 제거한 뒤, 메틸렌클로라이드/증류수로 추출한 후 메틸렌클로라이드/헥산 혼합용매를 전개용매로 컬럼크로마토그래피를 실시하여 13.3 g의 중간체 1을 얻었다. After dissolving 1-chloro-3,5-dimethoxybenzene (10.0 g, 58 mmol) and N -bromosuccinimide (10.3 g, 58 mmol) in 1,2-diethylene chloride (200 ml) Lt; / RTI > for 24 hours. After completion of the reaction, the reaction solution was subjected to rotary evaporation to remove the solvent, followed by extraction with methylene chloride / distilled water and column chromatography using a developing solvent of methylene chloride / hexane as an eluent to obtain 13.3 g of
중간체 1: 수율 91%, 질량분석 (EI) m/z 251 [(M+H)+], 1H NMR (500 MHz, CDCl3) : δ 6.57 (s, 1H), 6.26 (s, 1H), 3.81 (s, 3H), 3.69 (s, 3H).Intermediate 1: yield 91%, Mass Spec (EI) m / z 251 [ (M + H) +], 1 H NMR (500 MHz, CDCl 3): δ 6.57 (s, 1H), 6.26 (s, 1H) , 3.81 (s, 3 H), 3.69 (s, 3 H).
2) 중간체 2의 제조2) Preparation of intermediate 2
중간체 2 Intermediate 2
중간체 1(4.5 g, 18.1 mmol), 2-(4,4,5,5-테트라메틸-1,3,2-다이옥사보로란-2일)아닐린 (4 g, 18.1 mmol), 테트라키스(트리페닐포스핀)팔라듐(0)(0.9 g, 0.9 mmol)을 테트라하이드로퓨란(60 ml)과 포타슘 카보네이트 2M 솔루션 (20 ml)을 혼합한 용매에 넣은 후 24시간 동안 환류시켰다. 반응이 끝난 뒤 반응용액을 메틸렌클로라이드로 추출한 후 에틸아세테이트/헥산 혼합용매를 전개용매로 사용하여 컬럼크로마토그래피를 실시한다. 최종 건조 후 4.8 g의 중간체 2를 얻었다. A mixture of Intermediate 1 (4.5 g, 18.1 mmol), 2- (4,4,5,5-tetramethyl-1,3,2-dioxaborolan-2-yl) aniline (4 g, 18.1 mmol), tetrakis Triphenylphosphine) palladium (0) (0.9 g, 0.9 mmol) was added to a mixture of tetrahydrofuran (60 ml) and potassium carbonate 2M solution (20 ml) and refluxed for 24 hours. After completion of the reaction, the reaction solution was extracted with methylene chloride, and then subjected to column chromatography using an ethyl acetate / hexane mixed solvent as a developing solvent. After final drying, 4.8 g of intermediate 2 were obtained.
중간체 2: 수율 84%, 질량분석 (EI) m/z 263 [(M+H)+], 1H NMR (500 MHz, CDCl3) : δ 7.54 (d, 1H), 7.16 (t, 1H), 6.87 (t, 1H), 6.81 (s, 1H), 6.69 (d, 1H), 6.52 (s, 1H), 6.27 (s, 2H), 3.82 (s, 3H), 3.68 (s, 3H).Intermediate 2: yield 84%, Mass Spec (EI) m / z 263 [ (M + H) +], 1 H NMR (500 MHz, CDCl 3): δ 7.54 (d, 1H), 7.16 (t, 1H) , 6.87 (s, 3H), 6.82 (s, 3H), 6.87 (s, 1H).
3) 중간체 3의 제조3) Preparation of intermediate 3
중간체 3 Intermediate 3
중간체 2(5 g, 22.6 mmol)를 테트라하이드로퓨란 (25 ml)에 녹인 후 아세트산 (50 ml)을 추가하여 반응용액을 제조한다. 반응용액의 온도를 -10℃로 낮춘 후, tert-뷰틸 나이트라이트 (2.3g, 22.6 mmol)을 천천히 넣어준 뒤 1시간동안 교반한다. 1시간 경과 후, 온도를 0℃까지 서서히 올린 다음 다시 12시간동안 교반한다. 반응이 끝난 뒤 반응용액을 메틸렌클로라이드로 추출한 후 메틸렌클로라이드/헥산 혼합용매를 전개용매로 컬럼크로마토그래피를 실시하여 3.5 g의 중간체 3을 얻었다.Intermediate 2 (5 g, 22.6 mmol) is dissolved in tetrahydrofuran (25 ml) and acetic acid (50 ml) is added to prepare a reaction solution. After the temperature of the reaction solution was lowered to -10 ° C, tert -butyl nitrite (2.3 g, 22.6 mmol) was slowly added thereto and stirred for 1 hour. After 1 hour, the temperature is slowly raised to 0 < 0 > C and then stirred for another 12 hours. After the reaction was completed, the reaction solution was extracted with methylene chloride, and then subjected to column chromatography using a methylene chloride / hexane mixed solvent as eluent to obtain 3.5 g of
중간체 3: 수율 67%, 질량분석 (EI) m/z 232 [(M+H)+], 1H NMR (500 MHz, CDCl3) : δ 8.24 (d, 1H), 7.52 (d, 1H), 7.42 (t, 1H), 7.36 (t, 1H), 7.01 (s, 1H), 6.95 (1s, 1H).Intermediate 3: yield 67%, Mass Spec (EI) m / z 232 [ (M + H) +], 1 H NMR (500 MHz, CDCl 3): δ 8.24 (d, 1H), 7.52 (d, 1H) , 7.42 (t, 1 H), 7.36 (t, 1 H), 7.01 (s, 1 H), 6.95 (1s, 1 H).
4) 중간체 4의 제조4) Preparation of intermediate 4
중간체 4 Intermediate 4
중간체 3(5 g, 21.5 mmol)을 테트라하이드로퓨란 (25 ml)에 녹인 후, -78℃에서 2.5 M n-뷰틸리튬 (9 ml, 22.5 mmol)을 질소하에 천천히 넣어준다. 1시간 동안 교반시킨 후, 트리아이소프로필 보레이트 (3.3g, 23.65 mmol)를 반응용액에 첨가한 뒤, 3시간동안 교반한다. 반응이 끝난 뒤 반응용액을 5% 염산 수용액과 메틸렌클로라이드로 추출한 후 에틸아세테이트/헥산 혼합용매를 전개용매로 컬럼크로마토그래피를 실시하여 2.8 g의 중간체 4를 얻었다.Intermediate 3 (5 g, 21.5 mmol) was dissolved in tetrahydrofuran (25 ml), and then 2.5 M n -butyllithium (9 ml, 22.5 mmol) was slowly added under nitrogen at -78 ° C. After stirring for 1 hour, triisopropylborate (3.3 g, 23.65 mmol) was added to the reaction solution and stirred for 3 hours. After the reaction was completed, the reaction solution was extracted with a 5% aqueous hydrochloric acid solution and methylene chloride, and then subjected to column chromatography using a developing solvent of ethyl acetate / hexane as a developing solvent to obtain 2.8 g of
중간체 4: 수율 52%, 질량분석 (EI) m/z 276 [(M+H)+], 1H NMR (500 MHz, CDCl3) : δ 7.89 (d, 1H), 7.66 (d, 1H), 7.38 ~ 7.32 (m, 2H), 6.96 (s, 1H), 3.83 (s, 3H). Intermediate 4: yield 52%, Mass Spec (EI) m / z 276 [ (M + H) +], 1 H NMR (500 MHz, CDCl 3): δ 7.89 (d, 1H), 7.66 (d, 1H) , 7.38-7.32 (m, 2H), 6.96 (s, IH), 3.83 (s, 3H).
5) 중간체 5의 제조5) Preparation of intermediate 5
중간체 5 Intermediate 5
중간체 4 (5 g, 18.1 mmol), 1,4-다이브로모-2,3-다이플루오로벤젠 (2.4 g, 9.0 mmol), 테트라키스(트리페닐포스핀)팔라듐(0)(0.9 g, 0.9 mmol)을 테트라하이드로퓨란 (60 ml)와 포타슘 카보네이트 2M 솔루션 (20 ml) 혼합용매에 넣은 후 24시간 동안 환류시킨다. 반응이 끝난 뒤 반응용액을 메틸렌클로라이드로 추출한 후 메틸렌클로라이드/헥산 혼합용매를 전개용매로 컬럼크로마토그래피를 실시하여 4.3 g의 중간체 5를 얻었다. A solution of intermediate 4 (5 g, 18.1 mmol), 1,4-dibromo-2,3-difluorobenzene (2.4 g, 9.0 mmol), tetrakis (triphenylphosphine) palladium (0) mmol) is added to a mixed solvent of tetrahydrofuran (60 ml) and potassium carbonate 2M solution (20 ml), and the mixture is refluxed for 24 hours. After the reaction was completed, the reaction solution was extracted with methylene chloride, and then subjected to column chromatography using a solvent mixture of methylene chloride / hexane as a developing solvent to obtain 4.3 g of
중간체 5: 수율 83%, 질량분석 (EI) m/z 574 [(M+H)+], 1H NMR (500 MHz, CDCl3) : δ 7.89 (d, 2H), 7.66 (d, 2H), 7.60 (d, 2H), 7.38 ~ 7.32 (m, 4H), 6.71 (s, 2H), 3.83 (s, 6H).Intermediate 5: yield 83%, Mass Spec (EI) m / z 574 [ (M + H) +], 1 H NMR (500 MHz, CDCl 3): δ 7.89 (d, 2H), 7.66 (d, 2H) , 7.60 (d, 2H), 7.38-7.32 (m, 4H), 6.71 (s, 2H), 3.83 (s, 6H).
6) 중간체 6의 제조6) Preparation of intermediate 6
중간체 6 Intermediate 6
중간체 5 (5g, 8.7 mmol)를 다이클로로메탄(100 ml) 에 녹인 후, 0 ℃에서 보론 트리브로마이드 (2.2g, 8.7 mmol)을 서서히 첨가하여, 12시간 동안 상온에서 교반시킨다. 반응이 끝난 뒤 반응용액을 메틸렌클로라이드로 추출한 후 에틸아세테이트/헥산 혼합용매를 전개용매로 컬럼크로마토그래피를 실시하여 3.4 g의 중간체 6을 얻었다.Intermediate 5 (5 g, 8.7 mmol) was dissolved in dichloromethane (100 ml), boron tribromide (2.2 g, 8.7 mmol) was slowly added at 0 ° C and the mixture was stirred at room temperature for 12 hours. After the reaction was completed, the reaction solution was extracted with methylene chloride, and then subjected to column chromatography using an ethyl acetate / hexane mixed solvent as a developing solvent to obtain 3.4 g of
중간체 6: 수율 72%, 질량분석 (EI) m/z 546 [(M+H)+], 1H NMR (500 MHz, CDCl3) : δ 10.3 (s, 2H), 7.89 (d, 2H), 7.66 (d, 2H), 7.60 (d, 2H), 7.38 ~ 7.32 (m, 4H), 6.67 (s, 2H).Intermediate 6: yield 72%, Mass Spec (EI) m / z 546 [ (M + H) +], 1 H NMR (500 MHz, CDCl 3): δ 10.3 (s, 2H), 7.89 (d, 2H) , 7.66 (d, 2H), 7.60 (d, 2H), 7.38-7.22 (m, 4H), 6.67 (s, 2H).
7) 중간체 7의 제조7) Preparation of intermediate 7
중간체 7 Intermediate 7
중간체 6 (5g, 9.1 mmol)과 포타슘카보네이트 (2.5g, 18.2 mmol)를 N-메틸-2-피롤리돈 (70 ml)에 녹여 150 ℃에서 12시간 동안 반응시킨다. 반응이 끝난 뒤 반응용액을 에틸아세테이트로 추출한 후 용매를 제거하여 3.6 g의 중간체 7을 얻었다.Intermediate 6 (5 g, 9.1 mmol) and potassium carbonate (2.5 g, 18.2 mmol) were dissolved in N -methyl-2-pyrrolidone (70 ml) and reacted at 150 ° C for 12 hours. After the reaction was completed, the reaction solution was extracted with ethyl acetate and the solvent was removed to obtain 3.6 g of
중간체 7: 수율 78%, 질량분석 (EI) m/z 506 [(M+H)+], 1H NMR (500 MHz, CDCl3) : δ 7.89 (d, 2H), 7.71 ~ 7.66 (m, 4H), 7.43 ~ 7.32 (m, 6H).Intermediate 7: yield 78%, Mass Spec (EI) m / z 506 [ (M + H) +], 1 H NMR (500 MHz, CDCl 3): δ 7.89 (d, 2H), 7.71 ~ 7.66 (m, 4H), 7.43-7.32 (m, 6H).
8) 화합물 1의 제조8) Preparation of
화합물 1
중간체 7(5g, 9.9 mmol), 다이페닐아민 (3.4g, 19.7 mmol), 트리-tert-뷰틸포스핀 (0.4g, 2.0 mmol), 소듐 tert-뷰톡사이드 (2g, 21.7 mmol), 팔라듐 아세테이트 (0.3g, 0.9 mmol)을 1,2-다이클로로벤제 (100 ml)에 녹여 질소하에 24시간동안 환류 교반시킨다. 반응이 끝난 뒤 반응용액을 메틸렌클로라이드로 추출한 후 메틸렌클로라이드/헥산 혼합용매를 전개용매로 컬럼크로마토그래피를 실시하여 5.4 g의 화합물 1을 얻었다.(3.4 g, 19.7 mmol), tri- tert -butylphosphine (0.4 g, 2.0 mmol), sodium tert -butoxide (2 g, 21.7 mmol), palladium acetate 0.3 g, 0.9 mmol) was dissolved in 1,2-dichlorobenzene (100 ml), and the mixture was refluxed under nitrogen for 24 hours. After the completion of the reaction, the reaction solution was extracted with methylene chloride, and then subjected to column chromatography using a methylene chloride / hexane mixed solvent as a developing solvent to obtain 5.4 g of
화합물 1: 수율 71%, 질량분석 (FAB) m/z 772 [(M+H)+], 1H NMR (500 MHz, CDCl3) : δ 7.89 (d, 2H), 7.71 ~ 7.66 (m, 4H), 7.43 ~ 7.32 (m, 6H), 7.20 (t, 8H), 6.81 (t, 4H), 6.63 (d, 8H).Compound 1: yield 71%, mass spectrometry (FAB) m / z 772 [(M + H) + ], 1 H NMR (500 MHz, CDCl 3 ):? 7.89 4H), 7.43-7.32 (m, 6H), 7.20 (t, 8H), 6.81 (t, 4H), 6.63 (d, 8H).
2. 화합물 2의 제조2. Preparation of
화합물 2
다이페닐아민을 비스(4-(tert)-뷰틸)페닐)아민으로 교체하는 것 이외에 화합물 1의 합성과 동일한 방법으로 반응을 진행하여 7.5 g의 화합물 2를 얻었다. The reaction was carried out in the same manner as in the synthesis of
화합물 2: 수율 76%, 질량분석 (FAB) m/z 996 [(M+H)+], 1H NMR (500 MHz, CDCl3) : δ 7.89 (d, 2H), 7.71 ~ 7.66 (m, 4H), 7.43 ~ 7.32 (m, 6H), 7.01 (d, 8H), 6.55 (d, 8H), 1.35 (s, 36H).Compound 2: Yield 76%, mass spectrometry (FAB) m / z 996 [(M + H) + ], 1 H NMR (500 MHz, CDCl 3 ):? 7.89 4H), 7.43-7.22 (m, 6H), 7.01 (d, 8H), 6.55 (d, 8H), 1.35 (s, 36H).
1: 기판
2: 양극
3: 발광층
4: 음극
5: 정공주입층
6: 정공수송층
7: 전자수송층1: substrate
2: anode
3: light emitting layer
4: cathode
5: Hole injection layer
6: hole transport layer
7: Electron transport layer
Claims (8)
[화학식 1]
상기 화학식 1에 있어서,
R1 내지 R4는 서로 같거나 상이하고, 각각 독립적으로 수소; 중수소; 할로겐기; 니트릴기; 치환 또는 비치환된 알킬기; 치환 또는 비치환된 알케닐기; 치환 또는 비치환된 알콕시기; 치환 또는 비치환된 시클로알킬기; 치환 또는 비치환된 아릴기; 또는 치환 또는 비치환된 헤테로고리기이거나, 인접한 치환기는 서로 결합하여 고리를 형성하며,
R5 내지 R9는 서로 같거나 상이하고, 각각 독립적으로 수소; 중수소; 할로겐기; 니트릴기; 치환 또는 비치환된 알킬기; 치환 또는 비치환된 알케닐기; 치환 또는 비치환된 알콕시기; 치환 또는 비치환된 시클로알킬기; 치환 또는 비치환된 아릴기; 치환 또는 비치환된 헤테로고리기; 치환 또는 비치환된 알킬아민기; 치환 또는 비치환된 헤테로아릴아민기; 또는 치환 또는 비치환된 아릴아민기이거나, 인접한 치환기는 서로 결합하여 고리를 형성하고,
W 및 X는 서로 같거나 상이하고, 각각 독립적으로 O, S, Se, Be, NQ1, PQ2, SO, SO2, PO, SiQ3Q4 또는 CQ5Q6 이며,
Y 및 Z는 서로 같거나 상이하고, 각각 독립적으로 O, S, Se, Be, NRa, PRb, SO, SO2, PO, SiRcRd, CReRf, CRgRh-CRiRj, CRk=CRl, CRm=N 또는 PORn이고,
Q1 내지 Q6, Ra, Rb, Rc, Rd, Re, Rf, Rg, Rh, Ri, Rj, Rk, Rl Rm 및 Rn은 서로 같거나 상이하고, 각각 독립적으로 수소; 중수소; 할로겐기; 치환 또는 비치환된 알킬기; 치환 또는 비치환된 알케닐기; 치환 또는 비치환된 알콕시기; 치환 또는 비치환된 시클로알킬기; 치환 또는 비치환된 아릴기; 또는 치환 또는 비치환된 헤테로고리기이며,
n1 및 n2는 각각 1 또는 2이고,
a 및 b는 각각 0 또는 1이며,
c 및 e는 각각 0 내지 4의 정수이고,
d는 0 내지 2의 정수이며,
n1, n2 및 d가 각각 2인 경우 괄호 내의 치환기는 서로 같거나 상이하고,
c 및 e가 각각 2 이상인 경우 괄호 내의 치환기는 서로 같거나 상이하다.A heterocyclic compound represented by the following formula (1):
[Chemical Formula 1]
In Formula 1,
R1 to R4 are the same or different from each other and each independently hydrogen; heavy hydrogen; A halogen group; A nitrile group; A substituted or unsubstituted alkyl group; A substituted or unsubstituted alkenyl group; A substituted or unsubstituted alkoxy group; A substituted or unsubstituted cycloalkyl group; A substituted or unsubstituted aryl group; Or a substituted or unsubstituted heterocyclic group, or adjacent substituents are bonded to each other to form a ring,
R5 to R9 are the same or different from each other, and each independently hydrogen; heavy hydrogen; A halogen group; A nitrile group; A substituted or unsubstituted alkyl group; A substituted or unsubstituted alkenyl group; A substituted or unsubstituted alkoxy group; A substituted or unsubstituted cycloalkyl group; A substituted or unsubstituted aryl group; A substituted or unsubstituted heterocyclic group; A substituted or unsubstituted alkylamine group; A substituted or unsubstituted heteroarylamine group; Or a substituted or unsubstituted arylamine group, or adjacent substituents are bonded to each other to form a ring,
W and X are the same or different from each other and each independently O, S, Se, Be, NQ 1 , PQ 2 , SO, SO 2 , PO, SiQ 3 Q 4 or CQ 5 Q 6 ,
Y and Z are the same as or different from each other, and each independently represents O, S, Se, Be, NRa, PRb, SO, SO 2, PO, SiRcRd, CReRf, and CRgRh-CRiRj, CRk = CRl, CRm = N or PORn ,
Q 1 to 6 Q, Ra, Rb, Rc, Rd, Re, Rf, Rg, Rh, Ri, Rj, Rk, Rl and Rm Rn is the same as or different from each other, and each independently hydrogen; heavy hydrogen; A halogen group; A substituted or unsubstituted alkyl group; A substituted or unsubstituted alkenyl group; A substituted or unsubstituted alkoxy group; A substituted or unsubstituted cycloalkyl group; A substituted or unsubstituted aryl group; Or a substituted or unsubstituted heterocyclic group,
n1 and n2 are each 1 or 2,
a and b are each 0 or 1,
c and e are each an integer of 0 to 4,
d is an integer of 0 to 2,
When n1, n2 and d are each 2, the substituents in the parentheses are the same or different from each other,
When c and e are each 2 or more, the substituents in the parentheses are the same or different from each other.
[화학식 2]
상기 화학식 2에 있어서,
R1 내지 R9, Z, Y, n1, n2 및 a 내지 e의 정의는 상기 화학식 1에서의 정의와 같다.The compound of claim 1, wherein the compound represented by Formula 1 is a heterocyclic compound represented by Formula 2:
(2)
In Formula 2,
The definitions of R1 to R9, Z, Y, n1, n2 and a to e are as defined in the above formula (1).
[화학식 3]
[화학식 4]
상기 화학식 3 및 4에 있어서,
R5 내지 R9, W, X, Z, Y 및 a 내지 e의 정의는 상기 화학식 1에서의 정의와 같고,
Ar1 내지 Ar6는 서로 같거나 상이하고, 각각 독립적으로 수소; 중수소; 할로겐기; 니트릴기; 치환 또는 비치환된 알킬기; 치환 또는 비치환된 알케닐기; 치환 또는 비치환된 알콕시기; 치환 또는 비치환된 시클로알킬기; 치환 또는 비치환된 아릴기; 치환 또는 비치환된 헤테로고리기; 치환 또는 비치환된 알킬아민기; 치환 또는 비치환된 헤테로아릴아민기; 또는 치환 또는 비치환된 아릴아민기이거나, 인접한 치환기는 서로 결합하여 고리를 형성하며,
m1 내지 m4는 각각 0 내지 5의 정수이고,
m5 및 m6은 각각 0 내지 8의 정수이며,
m1 내지 m6가 각각 2 이상인 경우, 괄호 내의 치환기는 서로 같거나 상이하다.[3] The compound according to claim 1, wherein the formula 1 is a heterocyclic compound represented by the following formula 3 or 4:
(3)
[Chemical Formula 4]
In the above formulas (3) and (4)
R5 to R9, W, X, Z, Y and a to e are as defined in the above formula (1)
Ar 1 to Ar 6 are the same or different from each other, and each independently hydrogen; heavy hydrogen; A halogen group; A nitrile group; A substituted or unsubstituted alkyl group; A substituted or unsubstituted alkenyl group; A substituted or unsubstituted alkoxy group; A substituted or unsubstituted cycloalkyl group; A substituted or unsubstituted aryl group; A substituted or unsubstituted heterocyclic group; A substituted or unsubstituted alkylamine group; A substituted or unsubstituted heteroarylamine group; Or a substituted or unsubstituted arylamine group, or adjacent substituents are bonded to each other to form a ring,
m1 to m4 each represent an integer of 0 to 5,
m5 and m6 are each an integer of 0 to 8,
When m1 to m6 are each 2 or more, the substituents in the parentheses are the same or different from each other.
[화학식 5]
[화학식 6]
상기 화학식 5 및 6에 있어서,
R5 내지 R9, Z, Y 및 a 내지 e의 정의는 상기 화학식 1에서의 정의와 같고,
Ar1 내지 Ar6는 서로 같거나 상이하고, 각각 독립적으로 수소; 중수소; 할로겐기; 니트릴기; 치환 또는 비치환된 알킬기; 치환 또는 비치환된 알케닐기; 치환 또는 비치환된 알콕시기; 치환 또는 비치환된 시클로알킬기; 치환 또는 비치환된 아릴기; 치환 또는 비치환된 헤테로고리기; 치환 또는 비치환된 알킬아민기; 치환 또는 비치환된 헤테로아릴아민기; 또는 치환 또는 비치환된 아릴아민기이거나, 인접한 치환기는 서로 결합하여 고리를 형성하며,
m1 내지 m4는 각각 0 내지 5의 정수이고,
m5 및 m6은 각각 0 내지 8의 정수이며,
m1 내지 m6가 각각 2 이상인 경우, 괄호 내의 치환기는 서로 같거나 상이하다.2. The heterocyclic compound according to claim 1, wherein the compound represented by Formula 1 is a heterocyclic compound represented by Formula 5 or 6:
[Chemical Formula 5]
[Chemical Formula 6]
In the above formulas (5) and (6)
R5 to R9, Z, Y and a to e are as defined in the above formula (1)
Ar 1 to Ar 6 are the same or different from each other, and each independently hydrogen; heavy hydrogen; A halogen group; A nitrile group; A substituted or unsubstituted alkyl group; A substituted or unsubstituted alkenyl group; A substituted or unsubstituted alkoxy group; A substituted or unsubstituted cycloalkyl group; A substituted or unsubstituted aryl group; A substituted or unsubstituted heterocyclic group; A substituted or unsubstituted alkylamine group; A substituted or unsubstituted heteroarylamine group; Or a substituted or unsubstituted arylamine group, or adjacent substituents are bonded to each other to form a ring,
m1 to m4 each represent an integer of 0 to 5,
m5 and m6 are each an integer of 0 to 8,
When m1 to m6 are each 2 or more, the substituents in the parentheses are the same or different from each other.
상기 유기물층은 정공주입층 또는 정공수송층을 포함하고, 상기 정공주입층 또는 정공수송층은 상기 화학식 1의 헤테로고리 화합물을 포함하는 것인 유기 발광 소자.The method of claim 5,
Wherein the organic material layer includes a hole injection layer or a hole transport layer, and the hole injection layer or the hole transport layer comprises the heterocycle compound of Formula 1.
상기 유기물층은 전자수송층 또는 전자주입층을 포함하고, 상기 전자수송층 또는 전자주입층은 상기 화학식 1의 헤테로고리 화합물을 포함하는 것인 유기 발광 소자.The method of claim 5,
Wherein the organic material layer comprises an electron transport layer or an electron injection layer, and the electron transport layer or the electron injection layer comprises the heterocyclic compound of the formula (1).
상기 유기물층은 발광층을 포함하고, 상기 발광층은 상기 화학식 1의 헤테로고리 화합물을 포함하는 것인 유기 발광 소자.The method of claim 5,
Wherein the organic layer includes a light emitting layer, and the light emitting layer comprises the heterocyclic compound of Formula 1.
Priority Applications (1)
| Application Number | Priority Date | Filing Date | Title |
|---|---|---|---|
| KR1020170034053A KR20180106234A (en) | 2017-03-17 | 2017-03-17 | Hetero-cyclic compound and organic light emitting device comprising the same |
Applications Claiming Priority (1)
| Application Number | Priority Date | Filing Date | Title |
|---|---|---|---|
| KR1020170034053A KR20180106234A (en) | 2017-03-17 | 2017-03-17 | Hetero-cyclic compound and organic light emitting device comprising the same |
Publications (1)
| Publication Number | Publication Date |
|---|---|
| KR20180106234A true KR20180106234A (en) | 2018-10-01 |
Family
ID=63877419
Family Applications (1)
| Application Number | Title | Priority Date | Filing Date |
|---|---|---|---|
| KR1020170034053A Withdrawn KR20180106234A (en) | 2017-03-17 | 2017-03-17 | Hetero-cyclic compound and organic light emitting device comprising the same |
Country Status (1)
| Country | Link |
|---|---|
| KR (1) | KR20180106234A (en) |
Cited By (2)
| Publication number | Priority date | Publication date | Assignee | Title |
|---|---|---|---|---|
| US11453680B2 (en) * | 2016-11-25 | 2022-09-27 | Merck Patent Gmbh | Bisbenzofuran-fused indeno[1,2-B]fluorene derivatives and related compounds as materials for organic electroluminescent devices (OLED) |
| US11584753B2 (en) * | 2016-11-25 | 2023-02-21 | Merck Patent Gmbh | Bisbenzofuran-fused 2,8-diaminoindeno[1,2-b]fluorene derivatives and related compounds as materials for organic electroluminescent devices (OLED) |
-
2017
- 2017-03-17 KR KR1020170034053A patent/KR20180106234A/en not_active Withdrawn
Cited By (2)
| Publication number | Priority date | Publication date | Assignee | Title |
|---|---|---|---|---|
| US11453680B2 (en) * | 2016-11-25 | 2022-09-27 | Merck Patent Gmbh | Bisbenzofuran-fused indeno[1,2-B]fluorene derivatives and related compounds as materials for organic electroluminescent devices (OLED) |
| US11584753B2 (en) * | 2016-11-25 | 2023-02-21 | Merck Patent Gmbh | Bisbenzofuran-fused 2,8-diaminoindeno[1,2-b]fluorene derivatives and related compounds as materials for organic electroluminescent devices (OLED) |
Similar Documents
| Publication | Publication Date | Title |
|---|---|---|
| KR101907292B1 (en) | Amine-based compound and organic light emitting device comprising the same | |
| KR101521790B1 (en) | Novel compound for organic electroluminescent device and organic electroluminescent device comprising the same | |
| KR101593465B1 (en) | Novel compound for organic electroluminescent device and organic electroluminescent device comprising the same | |
| KR101317511B1 (en) | New compounds and organic electronic device using the same | |
| KR102088096B1 (en) | Hetero cyclic compound and organic light emitting device comprising the same | |
| KR20180112721A (en) | Compound and organic light emitting device comprising the same | |
| KR20180112722A (en) | Compound and organic light emitting device comprising the same | |
| KR102050572B1 (en) | Novel compound and organic light emitting device comprising the same | |
| KR101627691B1 (en) | An electroluminescent compound and an electroluminescent device comprising the same | |
| KR101468493B1 (en) | Novel compound for organic electroluminescent device and organic electroluminescent device comprising the same | |
| KR101941150B1 (en) | Heterocyclic compound and organic light emitting device comprising the same | |
| KR20170067644A (en) | Heterocyclic compound and organic light emitting device comprising the same | |
| KR101888248B1 (en) | Amine-based compound and organic light emitting device comprising the same | |
| KR102041705B1 (en) | Benzocarbazole-based compound and organic light emitting device comprising the same | |
| KR101597865B1 (en) | New compounds and organic electronic device using the same | |
| KR20170092097A (en) | Amine-based compound and organic light emitting device comprising the same | |
| KR20160054870A (en) | An electroluminescent compound and an electroluminescent device comprising the same | |
| KR20150012974A (en) | Novel compound for organic electroluminescent device and organic electroluminescent device comprising the same | |
| KR20190037174A (en) | Multicyclic compound and organic light emitting device comprising the same | |
| KR20190106761A (en) | Multicyclic compound and organic light emitting device comprising the same | |
| KR20180033000A (en) | Amine-based compound and organic light emitting device comprising the same | |
| KR102054069B1 (en) | Hetero cyclic compound and organic light emitting device comprising the same | |
| KR101890719B1 (en) | Novel 2,7-bisanthrylnaphthalene compound and organic electroluminescence element using the same | |
| KR20150059680A (en) | Novel compound for organic electroluminescent device and organic electroluminescent device comprising the same | |
| KR101893310B1 (en) | Heterocyclic compound and organic electronic device comprising the same |
Legal Events
| Date | Code | Title | Description |
|---|---|---|---|
| PA0109 | Patent application |
St.27 status event code: A-0-1-A10-A12-nap-PA0109 |
|
| N231 | Notification of change of applicant | ||
| PN2301 | Change of applicant |
St.27 status event code: A-3-3-R10-R13-asn-PN2301 St.27 status event code: A-3-3-R10-R11-asn-PN2301 |
|
| PG1501 | Laying open of application |
St.27 status event code: A-1-1-Q10-Q12-nap-PG1501 |
|
| R18-X000 | Changes to party contact information recorded |
St.27 status event code: A-3-3-R10-R18-oth-X000 |
|
| R18-X000 | Changes to party contact information recorded |
St.27 status event code: A-3-3-R10-R18-oth-X000 |
|
| PC1202 | Submission of document of withdrawal before decision of registration |
St.27 status event code: N-1-6-B10-B11-nap-PC1202 |
|
| WITB | Written withdrawal of application | ||
| R18-X000 | Changes to party contact information recorded |
St.27 status event code: A-3-3-R10-R18-oth-X000 |
|
| P22-X000 | Classification modified |
St.27 status event code: A-2-2-P10-P22-nap-X000 |
|
| P22-X000 | Classification modified |
St.27 status event code: A-2-2-P10-P22-nap-X000 |
|
| P22-X000 | Classification modified |
St.27 status event code: A-2-2-P10-P22-nap-X000 |
|
| R18-X000 | Changes to party contact information recorded |
St.27 status event code: A-3-3-R10-R18-oth-X000 |
|
| P22-X000 | Classification modified |
St.27 status event code: A-2-2-P10-P22-nap-X000 |

































