KR20160029634A - 함질소 축합고리 화합물 및 이를 이용한 유기 발광 소자 - Google Patents
함질소 축합고리 화합물 및 이를 이용한 유기 발광 소자 Download PDFInfo
- Publication number
- KR20160029634A KR20160029634A KR1020150036949A KR20150036949A KR20160029634A KR 20160029634 A KR20160029634 A KR 20160029634A KR 1020150036949 A KR1020150036949 A KR 1020150036949A KR 20150036949 A KR20150036949 A KR 20150036949A KR 20160029634 A KR20160029634 A KR 20160029634A
- Authority
- KR
- South Korea
- Prior art keywords
- substituted
- group
- unsubstituted
- formula
- ring
- Prior art date
- Legal status (The legal status is an assumption and is not a legal conclusion. Google has not performed a legal analysis and makes no representation as to the accuracy of the status listed.)
- Pending
Links
- 229910052757 nitrogen Inorganic materials 0.000 title description 2
- IJGRMHOSHXDMSA-UHFFFAOYSA-N Atomic nitrogen Chemical compound N#N IJGRMHOSHXDMSA-UHFFFAOYSA-N 0.000 title 2
- 150000001923 cyclic compounds Chemical class 0.000 title 1
- 150000001875 compounds Chemical class 0.000 claims abstract description 61
- 239000000126 substance Substances 0.000 claims abstract description 28
- 125000003118 aryl group Chemical group 0.000 claims description 98
- 125000001424 substituent group Chemical group 0.000 claims description 49
- 125000000217 alkyl group Chemical group 0.000 claims description 45
- 125000002560 nitrile group Chemical group 0.000 claims description 41
- 125000000623 heterocyclic group Chemical group 0.000 claims description 38
- 125000001931 aliphatic group Chemical group 0.000 claims description 36
- 125000003545 alkoxy group Chemical group 0.000 claims description 34
- 125000005264 aryl amine group Chemical group 0.000 claims description 34
- 125000004104 aryloxy group Chemical group 0.000 claims description 34
- 125000000753 cycloalkyl group Chemical group 0.000 claims description 34
- UFHFLCQGNIYNRP-UHFFFAOYSA-N Hydrogen Chemical compound [H][H] UFHFLCQGNIYNRP-UHFFFAOYSA-N 0.000 claims description 33
- 125000003342 alkenyl group Chemical group 0.000 claims description 33
- 125000003282 alkyl amino group Chemical group 0.000 claims description 33
- 150000003974 aralkylamines Chemical group 0.000 claims description 33
- 125000005241 heteroarylamino group Chemical group 0.000 claims description 33
- 229910052739 hydrogen Inorganic materials 0.000 claims description 33
- 239000001257 hydrogen Substances 0.000 claims description 33
- 239000011368 organic material Substances 0.000 claims description 33
- UFHFLCQGNIYNRP-VVKOMZTBSA-N Dideuterium Chemical compound [2H][2H] UFHFLCQGNIYNRP-VVKOMZTBSA-N 0.000 claims description 31
- 230000032258 transport Effects 0.000 claims description 14
- 125000000732 arylene group Chemical group 0.000 claims description 10
- 125000005549 heteroarylene group Chemical group 0.000 claims description 7
- 150000002894 organic compounds Chemical class 0.000 claims description 6
- QJGQUHMNIGDVPM-UHFFFAOYSA-N nitrogen group Chemical group [N] QJGQUHMNIGDVPM-UHFFFAOYSA-N 0.000 abstract description 4
- 239000010410 layer Substances 0.000 description 124
- 239000000463 material Substances 0.000 description 41
- -1 n-octyl Chemical group 0.000 description 41
- 238000002347 injection Methods 0.000 description 17
- 239000007924 injection Substances 0.000 description 17
- 238000002360 preparation method Methods 0.000 description 17
- 125000001997 phenyl group Chemical group [H]C1=C([H])C([H])=C(*)C([H])=C1[H] 0.000 description 14
- 125000006267 biphenyl group Chemical group 0.000 description 12
- 239000000758 substrate Substances 0.000 description 12
- 125000004432 carbon atom Chemical group C* 0.000 description 11
- 125000001624 naphthyl group Chemical group 0.000 description 10
- 229910052751 metal Inorganic materials 0.000 description 9
- 239000002184 metal Substances 0.000 description 9
- 125000000609 carbazolyl group Chemical group C1(=CC=CC=2C3=CC=CC=C3NC12)* 0.000 description 8
- 125000003983 fluorenyl group Chemical group C1(=CC=CC=2C3=CC=CC=C3CC12)* 0.000 description 8
- 230000005525 hole transport Effects 0.000 description 8
- 239000012044 organic layer Substances 0.000 description 8
- 239000010406 cathode material Substances 0.000 description 7
- 238000000034 method Methods 0.000 description 7
- YJTKZCDBKVTVBY-UHFFFAOYSA-N 1,3-Diphenylbenzene Chemical group C1=CC=CC=C1C1=CC=CC(C=2C=CC=CC=2)=C1 YJTKZCDBKVTVBY-UHFFFAOYSA-N 0.000 description 6
- DMBHHRLKUKUOEG-UHFFFAOYSA-N diphenylamine Chemical group C=1C=CC=CC=1NC1=CC=CC=C1 DMBHHRLKUKUOEG-UHFFFAOYSA-N 0.000 description 6
- 125000002950 monocyclic group Chemical group 0.000 description 6
- 229910052782 aluminium Inorganic materials 0.000 description 5
- XAGFODPZIPBFFR-UHFFFAOYSA-N aluminium Chemical compound [Al] XAGFODPZIPBFFR-UHFFFAOYSA-N 0.000 description 5
- 230000000694 effects Effects 0.000 description 5
- 125000001792 phenanthrenyl group Chemical group C1(=CC=CC=2C3=CC=CC=C3C=CC12)* 0.000 description 5
- 125000004625 phenanthrolinyl group Chemical group N1=C(C=CC2=CC=C3C=CC=NC3=C12)* 0.000 description 5
- 125000003367 polycyclic group Chemical group 0.000 description 5
- 125000000714 pyrimidinyl group Chemical group 0.000 description 5
- XLOMVQKBTHCTTD-UHFFFAOYSA-N Zinc monoxide Chemical compound [Zn]=O XLOMVQKBTHCTTD-UHFFFAOYSA-N 0.000 description 4
- 150000004982 aromatic amines Chemical class 0.000 description 4
- 125000006615 aromatic heterocyclic group Chemical group 0.000 description 4
- 125000001769 aryl amino group Chemical group 0.000 description 4
- 238000006243 chemical reaction Methods 0.000 description 4
- 239000002019 doping agent Substances 0.000 description 4
- 125000001072 heteroaryl group Chemical group 0.000 description 4
- 125000005647 linker group Chemical group 0.000 description 4
- 125000004076 pyridyl group Chemical group 0.000 description 4
- BQCADISMDOOEFD-UHFFFAOYSA-N Silver Chemical compound [Ag] BQCADISMDOOEFD-UHFFFAOYSA-N 0.000 description 3
- YTPLMLYBLZKORZ-UHFFFAOYSA-N Thiophene Chemical group C=1C=CSC=1 YTPLMLYBLZKORZ-UHFFFAOYSA-N 0.000 description 3
- 229910045601 alloy Inorganic materials 0.000 description 3
- 239000000956 alloy Substances 0.000 description 3
- 125000004429 atom Chemical group 0.000 description 3
- IOJUPLGTWVMSFF-UHFFFAOYSA-N benzothiazole Chemical group C1=CC=C2SC=NC2=C1 IOJUPLGTWVMSFF-UHFFFAOYSA-N 0.000 description 3
- 238000000576 coating method Methods 0.000 description 3
- 229920001940 conductive polymer Polymers 0.000 description 3
- 238000000151 deposition Methods 0.000 description 3
- 125000005842 heteroatom Chemical group 0.000 description 3
- 238000004770 highest occupied molecular orbital Methods 0.000 description 3
- RAXXELZNTBOGNW-UHFFFAOYSA-N imidazole Natural products C1=CNC=N1 RAXXELZNTBOGNW-UHFFFAOYSA-N 0.000 description 3
- 238000004519 manufacturing process Methods 0.000 description 3
- 150000002739 metals Chemical class 0.000 description 3
- 125000002496 methyl group Chemical group [H]C([H])([H])* 0.000 description 3
- 229910052760 oxygen Inorganic materials 0.000 description 3
- 229910052709 silver Inorganic materials 0.000 description 3
- 239000004332 silver Substances 0.000 description 3
- 125000004306 triazinyl group Chemical group 0.000 description 3
- UWRZIZXBOLBCON-VOTSOKGWSA-N (e)-2-phenylethenamine Chemical class N\C=C\C1=CC=CC=C1 UWRZIZXBOLBCON-VOTSOKGWSA-N 0.000 description 2
- BCMCBBGGLRIHSE-UHFFFAOYSA-N 1,3-benzoxazole Chemical group C1=CC=C2OC=NC2=C1 BCMCBBGGLRIHSE-UHFFFAOYSA-N 0.000 description 2
- MYKQKWIPLZEVOW-UHFFFAOYSA-N 11h-benzo[a]carbazole Chemical group C1=CC2=CC=CC=C2C2=C1C1=CC=CC=C1N2 MYKQKWIPLZEVOW-UHFFFAOYSA-N 0.000 description 2
- QENGPZGAWFQWCZ-UHFFFAOYSA-N 3-Methylthiophene Chemical compound CC=1C=CSC=1 QENGPZGAWFQWCZ-UHFFFAOYSA-N 0.000 description 2
- UJOBWOGCFQCDNV-UHFFFAOYSA-N 9H-carbazole Chemical compound C1=CC=C2C3=CC=CC=C3NC2=C1 UJOBWOGCFQCDNV-UHFFFAOYSA-N 0.000 description 2
- OYPRJOBELJOOCE-UHFFFAOYSA-N Calcium Chemical compound [Ca] OYPRJOBELJOOCE-UHFFFAOYSA-N 0.000 description 2
- OKTJSMMVPCPJKN-UHFFFAOYSA-N Carbon Chemical compound [C] OKTJSMMVPCPJKN-UHFFFAOYSA-N 0.000 description 2
- WHXSMMKQMYFTQS-UHFFFAOYSA-N Lithium Chemical compound [Li] WHXSMMKQMYFTQS-UHFFFAOYSA-N 0.000 description 2
- 239000007983 Tris buffer Substances 0.000 description 2
- HCHKCACWOHOZIP-UHFFFAOYSA-N Zinc Chemical compound [Zn] HCHKCACWOHOZIP-UHFFFAOYSA-N 0.000 description 2
- DZBUGLKDJFMEHC-UHFFFAOYSA-N acridine Chemical compound C1=CC=CC2=CC3=CC=CC=C3N=C21 DZBUGLKDJFMEHC-UHFFFAOYSA-N 0.000 description 2
- 150000001338 aliphatic hydrocarbons Chemical group 0.000 description 2
- 125000002877 alkyl aryl group Chemical group 0.000 description 2
- 125000003277 amino group Chemical group 0.000 description 2
- 239000010405 anode material Substances 0.000 description 2
- MWPLVEDNUUSJAV-UHFFFAOYSA-N anthracene Chemical compound C1=CC=CC2=CC3=CC=CC=C3C=C21 MWPLVEDNUUSJAV-UHFFFAOYSA-N 0.000 description 2
- 125000002178 anthracenyl group Chemical group C1(=CC=CC2=CC3=CC=CC=C3C=C12)* 0.000 description 2
- 150000004945 aromatic hydrocarbons Chemical group 0.000 description 2
- 125000003710 aryl alkyl group Chemical group 0.000 description 2
- 125000003609 aryl vinyl group Chemical group 0.000 description 2
- 229910052791 calcium Inorganic materials 0.000 description 2
- 239000011575 calcium Substances 0.000 description 2
- 229910052799 carbon Inorganic materials 0.000 description 2
- WDECIBYCCFPHNR-UHFFFAOYSA-N chrysene Chemical compound C1=CC=CC2=CC=C3C4=CC=CC=C4C=CC3=C21 WDECIBYCCFPHNR-UHFFFAOYSA-N 0.000 description 2
- 150000002219 fluoranthenes Chemical class 0.000 description 2
- 229910052744 lithium Inorganic materials 0.000 description 2
- 229910044991 metal oxide Inorganic materials 0.000 description 2
- 150000004706 metal oxides Chemical class 0.000 description 2
- VNWKTOKETHGBQD-UHFFFAOYSA-N methane Chemical compound C VNWKTOKETHGBQD-UHFFFAOYSA-N 0.000 description 2
- 125000004957 naphthylene group Chemical group 0.000 description 2
- 239000007773 negative electrode material Substances 0.000 description 2
- 125000004433 nitrogen atom Chemical group N* 0.000 description 2
- WCPAKWJPBJAGKN-UHFFFAOYSA-N oxadiazole Chemical group C1=CON=N1 WCPAKWJPBJAGKN-UHFFFAOYSA-N 0.000 description 2
- 230000003647 oxidation Effects 0.000 description 2
- 238000007254 oxidation reaction Methods 0.000 description 2
- 125000004430 oxygen atom Chemical group O* 0.000 description 2
- 125000000843 phenylene group Chemical group C1(=C(C=CC=C1)*)* 0.000 description 2
- 238000005240 physical vapour deposition Methods 0.000 description 2
- BASFCYQUMIYNBI-UHFFFAOYSA-N platinum Chemical compound [Pt] BASFCYQUMIYNBI-UHFFFAOYSA-N 0.000 description 2
- 229920000553 poly(phenylenevinylene) Polymers 0.000 description 2
- 229920000767 polyaniline Polymers 0.000 description 2
- BBEAQIROQSPTKN-UHFFFAOYSA-N pyrene Chemical compound C1=CC=C2C=CC3=CC=CC4=CC=C1C2=C43 BBEAQIROQSPTKN-UHFFFAOYSA-N 0.000 description 2
- 239000000243 solution Substances 0.000 description 2
- 125000004434 sulfur atom Chemical group 0.000 description 2
- 239000010409 thin film Substances 0.000 description 2
- 229910052725 zinc Inorganic materials 0.000 description 2
- 239000011701 zinc Substances 0.000 description 2
- 239000011787 zinc oxide Substances 0.000 description 2
- FCEHBMOGCRZNNI-UHFFFAOYSA-N 1-benzothiophene Chemical group C1=CC=C2SC=CC2=C1 FCEHBMOGCRZNNI-UHFFFAOYSA-N 0.000 description 1
- 125000004973 1-butenyl group Chemical group C(=CCC)* 0.000 description 1
- NTYDMFCZXBCEJY-UHFFFAOYSA-N 1-methyl-2-phenylcyclohexa-2,4-dien-1-amine Chemical compound CC1(N)CC=CC=C1C1=CC=CC=C1 NTYDMFCZXBCEJY-UHFFFAOYSA-N 0.000 description 1
- 125000006023 1-pentenyl group Chemical group 0.000 description 1
- 125000006017 1-propenyl group Chemical group 0.000 description 1
- HYZJCKYKOHLVJF-UHFFFAOYSA-N 1H-benzimidazole Chemical group C1=CC=C2NC=NC2=C1 HYZJCKYKOHLVJF-UHFFFAOYSA-N 0.000 description 1
- 125000004974 2-butenyl group Chemical group C(C=CC)* 0.000 description 1
- 125000006176 2-ethylbutyl group Chemical group [H]C([H])([H])C([H])([H])C([H])(C([H])([H])*)C([H])([H])C([H])([H])[H] 0.000 description 1
- WONYVCKUEUULQN-UHFFFAOYSA-N 2-methyl-n-(2-methylphenyl)aniline Chemical group CC1=CC=CC=C1NC1=CC=CC=C1C WONYVCKUEUULQN-UHFFFAOYSA-N 0.000 description 1
- JTMODJXOTWYBOZ-UHFFFAOYSA-N 2-methyl-n-phenylaniline Chemical group CC1=CC=CC=C1NC1=CC=CC=C1 JTMODJXOTWYBOZ-UHFFFAOYSA-N 0.000 description 1
- 125000005916 2-methylpentyl group Chemical group 0.000 description 1
- 125000003903 2-propenyl group Chemical group [H]C([*])([H])C([H])=C([H])[H] 0.000 description 1
- DMEVMYSQZPJFOK-UHFFFAOYSA-N 3,4,5,6,9,10-hexazatetracyclo[12.4.0.02,7.08,13]octadeca-1(18),2(7),3,5,8(13),9,11,14,16-nonaene Chemical group N1=NN=C2C3=CC=CC=C3C3=CC=NN=C3C2=N1 DMEVMYSQZPJFOK-UHFFFAOYSA-N 0.000 description 1
- 125000004975 3-butenyl group Chemical group C(CC=C)* 0.000 description 1
- DDTHMESPCBONDT-UHFFFAOYSA-N 4-(4-oxocyclohexa-2,5-dien-1-ylidene)cyclohexa-2,5-dien-1-one Chemical compound C1=CC(=O)C=CC1=C1C=CC(=O)C=C1 DDTHMESPCBONDT-UHFFFAOYSA-N 0.000 description 1
- 239000005725 8-Hydroxyquinoline Substances 0.000 description 1
- QXDWMAODKPOTKK-UHFFFAOYSA-N 9-methylanthracen-1-amine Chemical group C1=CC(N)=C2C(C)=C(C=CC=C3)C3=CC2=C1 QXDWMAODKPOTKK-UHFFFAOYSA-N 0.000 description 1
- ROFVEXUMMXZLPA-UHFFFAOYSA-N Bipyridyl Chemical group N1=CC=CC=C1C1=CC=CC=N1 ROFVEXUMMXZLPA-UHFFFAOYSA-N 0.000 description 1
- VYZAMTAEIAYCRO-UHFFFAOYSA-N Chromium Chemical compound [Cr] VYZAMTAEIAYCRO-UHFFFAOYSA-N 0.000 description 1
- RYGMFSIKBFXOCR-UHFFFAOYSA-N Copper Chemical compound [Cu] RYGMFSIKBFXOCR-UHFFFAOYSA-N 0.000 description 1
- QUSNBJAOOMFDIB-UHFFFAOYSA-N Ethylamine Chemical group CCN QUSNBJAOOMFDIB-UHFFFAOYSA-N 0.000 description 1
- 229910052688 Gadolinium Inorganic materials 0.000 description 1
- GYHNNYVSQQEPJS-UHFFFAOYSA-N Gallium Chemical compound [Ga] GYHNNYVSQQEPJS-UHFFFAOYSA-N 0.000 description 1
- DGAQECJNVWCQMB-PUAWFVPOSA-M Ilexoside XXIX Chemical compound C[C@@H]1CC[C@@]2(CC[C@@]3(C(=CC[C@H]4[C@]3(CC[C@@H]5[C@@]4(CC[C@@H](C5(C)C)OS(=O)(=O)[O-])C)C)[C@@H]2[C@]1(C)O)C)C(=O)O[C@H]6[C@@H]([C@H]([C@@H]([C@H](O6)CO)O)O)O.[Na+] DGAQECJNVWCQMB-PUAWFVPOSA-M 0.000 description 1
- FYYHWMGAXLPEAU-UHFFFAOYSA-N Magnesium Chemical compound [Mg] FYYHWMGAXLPEAU-UHFFFAOYSA-N 0.000 description 1
- XQVWYOYUZDUNRW-UHFFFAOYSA-N N-Phenyl-1-naphthylamine Chemical group C=1C=CC2=CC=CC=C2C=1NC1=CC=CC=C1 XQVWYOYUZDUNRW-UHFFFAOYSA-N 0.000 description 1
- ZCQWOFVYLHDMMC-UHFFFAOYSA-N Oxazole Chemical compound C1=COC=N1 ZCQWOFVYLHDMMC-UHFFFAOYSA-N 0.000 description 1
- YXLXNENXOJSQEI-UHFFFAOYSA-L Oxine-copper Chemical compound [Cu+2].C1=CN=C2C([O-])=CC=CC2=C1.C1=CN=C2C([O-])=CC=CC2=C1 YXLXNENXOJSQEI-UHFFFAOYSA-L 0.000 description 1
- ZLMJMSJWJFRBEC-UHFFFAOYSA-N Potassium Chemical compound [K] ZLMJMSJWJFRBEC-UHFFFAOYSA-N 0.000 description 1
- KYQCOXFCLRTKLS-UHFFFAOYSA-N Pyrazine Chemical group C1=CN=CC=N1 KYQCOXFCLRTKLS-UHFFFAOYSA-N 0.000 description 1
- JUJWROOIHBZHMG-UHFFFAOYSA-N Pyridine Chemical group C1=CC=NC=C1 JUJWROOIHBZHMG-UHFFFAOYSA-N 0.000 description 1
- NRCMAYZCPIVABH-UHFFFAOYSA-N Quinacridone Chemical compound N1C2=CC=CC=C2C(=O)C2=C1C=C1C(=O)C3=CC=CC=C3NC1=C2 NRCMAYZCPIVABH-UHFFFAOYSA-N 0.000 description 1
- 229910052772 Samarium Inorganic materials 0.000 description 1
- FZWLAAWBMGSTSO-UHFFFAOYSA-N Thiazole Chemical group C1=CSC=N1 FZWLAAWBMGSTSO-UHFFFAOYSA-N 0.000 description 1
- ATJFFYVFTNAWJD-UHFFFAOYSA-N Tin Chemical compound [Sn] ATJFFYVFTNAWJD-UHFFFAOYSA-N 0.000 description 1
- RTAQQCXQSZGOHL-UHFFFAOYSA-N Titanium Chemical compound [Ti] RTAQQCXQSZGOHL-UHFFFAOYSA-N 0.000 description 1
- 229910052769 Ytterbium Inorganic materials 0.000 description 1
- DGEZNRSVGBDHLK-UHFFFAOYSA-N [1,10]phenanthroline Chemical group C1=CN=C2C3=NC=CC=C3C=CC2=C1 DGEZNRSVGBDHLK-UHFFFAOYSA-N 0.000 description 1
- 125000005024 alkenyl aryl group Chemical group 0.000 description 1
- 125000002490 anilino group Chemical group [H]N(*)C1=C([H])C([H])=C([H])C([H])=C1[H] 0.000 description 1
- YUENFNPLGJCNRB-UHFFFAOYSA-N anthracen-1-amine Chemical group C1=CC=C2C=C3C(N)=CC=CC3=CC2=C1 YUENFNPLGJCNRB-UHFFFAOYSA-N 0.000 description 1
- 150000001454 anthracenes Chemical class 0.000 description 1
- PYKYMHQGRFAEBM-UHFFFAOYSA-N anthraquinone Natural products CCC(=O)c1c(O)c2C(=O)C3C(C=CC=C3O)C(=O)c2cc1CC(=O)OC PYKYMHQGRFAEBM-UHFFFAOYSA-N 0.000 description 1
- 150000004056 anthraquinones Chemical class 0.000 description 1
- 125000005165 aryl thioxy group Chemical group 0.000 description 1
- 229910052788 barium Inorganic materials 0.000 description 1
- DSAJWYNOEDNPEQ-UHFFFAOYSA-N barium atom Chemical compound [Ba] DSAJWYNOEDNPEQ-UHFFFAOYSA-N 0.000 description 1
- 150000001556 benzimidazoles Chemical class 0.000 description 1
- 125000000499 benzofuranyl group Chemical group O1C(=CC2=C1C=CC=C2)* 0.000 description 1
- 125000001164 benzothiazolyl group Chemical group S1C(=NC2=C1C=CC=C2)* 0.000 description 1
- 229910052790 beryllium Inorganic materials 0.000 description 1
- ATBAMAFKBVZNFJ-UHFFFAOYSA-N beryllium atom Chemical compound [Be] ATBAMAFKBVZNFJ-UHFFFAOYSA-N 0.000 description 1
- 125000006616 biphenylamine group Chemical group 0.000 description 1
- 150000001616 biphenylenes Chemical group 0.000 description 1
- 125000002529 biphenylenyl group Chemical group C1(=CC=CC=2C3=CC=CC=C3C12)* 0.000 description 1
- UFVXQDWNSAGPHN-UHFFFAOYSA-K bis[(2-methylquinolin-8-yl)oxy]-(4-phenylphenoxy)alumane Chemical compound [Al+3].C1=CC=C([O-])C2=NC(C)=CC=C21.C1=CC=C([O-])C2=NC(C)=CC=C21.C1=CC([O-])=CC=C1C1=CC=CC=C1 UFVXQDWNSAGPHN-UHFFFAOYSA-K 0.000 description 1
- 229920001400 block copolymer Polymers 0.000 description 1
- 150000001638 boron Chemical class 0.000 description 1
- 125000004369 butenyl group Chemical group C(=CCC)* 0.000 description 1
- 125000000484 butyl group Chemical group [H]C([*])([H])C([H])([H])C([H])([H])C([H])([H])[H] 0.000 description 1
- 229910052792 caesium Inorganic materials 0.000 description 1
- TVFDJXOCXUVLDH-UHFFFAOYSA-N caesium atom Chemical compound [Cs] TVFDJXOCXUVLDH-UHFFFAOYSA-N 0.000 description 1
- 150000001716 carbazoles Chemical class 0.000 description 1
- XOYLJNJLGBYDTH-UHFFFAOYSA-M chlorogallium Chemical compound [Ga]Cl XOYLJNJLGBYDTH-UHFFFAOYSA-M 0.000 description 1
- 229910052804 chromium Inorganic materials 0.000 description 1
- 239000011651 chromium Substances 0.000 description 1
- 239000011248 coating agent Substances 0.000 description 1
- 150000004696 coordination complex Chemical class 0.000 description 1
- 229910052802 copper Inorganic materials 0.000 description 1
- 239000010949 copper Substances 0.000 description 1
- 125000004122 cyclic group Chemical group 0.000 description 1
- 125000001995 cyclobutyl group Chemical group [H]C1([H])C([H])([H])C([H])(*)C1([H])[H] 0.000 description 1
- 125000000582 cycloheptyl group Chemical group [H]C1([H])C([H])([H])C([H])([H])C([H])([H])C([H])(*)C([H])([H])C1([H])[H] 0.000 description 1
- 125000004210 cyclohexylmethyl group Chemical group [H]C([H])(*)C1([H])C([H])([H])C([H])([H])C([H])([H])C([H])([H])C1([H])[H] 0.000 description 1
- 125000001511 cyclopentyl group Chemical group [H]C1([H])C([H])([H])C([H])([H])C([H])(*)C1([H])[H] 0.000 description 1
- 125000001559 cyclopropyl group Chemical group [H]C1([H])C([H])([H])C1([H])* 0.000 description 1
- 150000004826 dibenzofurans Chemical class 0.000 description 1
- IYYZUPMFVPLQIF-ALWQSETLSA-N dibenzothiophene Chemical group C1=CC=CC=2[34S]C3=C(C=21)C=CC=C3 IYYZUPMFVPLQIF-ALWQSETLSA-N 0.000 description 1
- 125000001664 diethylamino group Chemical group [H]C([H])([H])C([H])([H])N(*)C([H])([H])C([H])([H])[H] 0.000 description 1
- 125000002147 dimethylamino group Chemical group [H]C([H])([H])N(*)C([H])([H])[H] 0.000 description 1
- 238000003618 dip coating Methods 0.000 description 1
- 125000001495 ethyl group Chemical group [H]C([H])([H])C([H])([H])* 0.000 description 1
- 238000001704 evaporation Methods 0.000 description 1
- 230000008020 evaporation Effects 0.000 description 1
- GVEPBJHOBDJJJI-UHFFFAOYSA-N fluoranthrene Natural products C1=CC(C2=CC=CC=C22)=C3C2=CC=CC3=C1 GVEPBJHOBDJJJI-UHFFFAOYSA-N 0.000 description 1
- YLQWCDOCJODRMT-UHFFFAOYSA-N fluoren-9-one Chemical compound C1=CC=C2C(=O)C3=CC=CC=C3C2=C1 YLQWCDOCJODRMT-UHFFFAOYSA-N 0.000 description 1
- 150000002240 furans Chemical class 0.000 description 1
- 125000002541 furyl group Chemical group 0.000 description 1
- UIWYJDYFSGRHKR-UHFFFAOYSA-N gadolinium atom Chemical compound [Gd] UIWYJDYFSGRHKR-UHFFFAOYSA-N 0.000 description 1
- 229910052733 gallium Inorganic materials 0.000 description 1
- PCHJSUWPFVWCPO-UHFFFAOYSA-N gold Chemical compound [Au] PCHJSUWPFVWCPO-UHFFFAOYSA-N 0.000 description 1
- 229910052737 gold Inorganic materials 0.000 description 1
- 239000010931 gold Substances 0.000 description 1
- 230000005283 ground state Effects 0.000 description 1
- 125000003187 heptyl group Chemical group [H]C([*])([H])C([H])([H])C([H])([H])C([H])([H])C([H])([H])C([H])([H])C([H])([H])[H] 0.000 description 1
- 150000002391 heterocyclic compounds Chemical class 0.000 description 1
- 125000004435 hydrogen atom Chemical group [H]* 0.000 description 1
- 125000002883 imidazolyl group Chemical group 0.000 description 1
- 229910052738 indium Inorganic materials 0.000 description 1
- APFVFJFRJDLVQX-UHFFFAOYSA-N indium atom Chemical compound [In] APFVFJFRJDLVQX-UHFFFAOYSA-N 0.000 description 1
- 229910003437 indium oxide Inorganic materials 0.000 description 1
- PJXISJQVUVHSOJ-UHFFFAOYSA-N indium(iii) oxide Chemical compound [O-2].[O-2].[O-2].[In+3].[In+3] PJXISJQVUVHSOJ-UHFFFAOYSA-N 0.000 description 1
- AMGQUBHHOARCQH-UHFFFAOYSA-N indium;oxotin Chemical compound [In].[Sn]=O AMGQUBHHOARCQH-UHFFFAOYSA-N 0.000 description 1
- 238000007641 inkjet printing Methods 0.000 description 1
- 229910052741 iridium Inorganic materials 0.000 description 1
- GKOZUEZYRPOHIO-UHFFFAOYSA-N iridium atom Chemical compound [Ir] GKOZUEZYRPOHIO-UHFFFAOYSA-N 0.000 description 1
- 125000000959 isobutyl group Chemical group [H]C([H])([H])C([H])(C([H])([H])[H])C([H])([H])* 0.000 description 1
- 125000004491 isohexyl group Chemical group C(CCC(C)C)* 0.000 description 1
- 125000000555 isopropenyl group Chemical group [H]\C([H])=C(\*)C([H])([H])[H] 0.000 description 1
- 125000001449 isopropyl group Chemical group [H]C([H])([H])C([H])(*)C([H])([H])[H] 0.000 description 1
- 125000000842 isoxazolyl group Chemical group 0.000 description 1
- 238000010030 laminating Methods 0.000 description 1
- 239000011133 lead Substances 0.000 description 1
- 239000004973 liquid crystal related substance Substances 0.000 description 1
- 238000004020 luminiscence type Methods 0.000 description 1
- 229910052749 magnesium Inorganic materials 0.000 description 1
- 239000011777 magnesium Substances 0.000 description 1
- 150000002736 metal compounds Chemical class 0.000 description 1
- 125000000250 methylamino group Chemical group [H]N(*)C([H])([H])[H] 0.000 description 1
- 230000005012 migration Effects 0.000 description 1
- 238000013508 migration Methods 0.000 description 1
- MPZBTWOMRYDUGX-UHFFFAOYSA-N n,3-dimethylnaphthalen-1-amine Chemical compound C1=CC=C2C(NC)=CC(C)=CC2=C1 MPZBTWOMRYDUGX-UHFFFAOYSA-N 0.000 description 1
- 125000004108 n-butyl group Chemical group [H]C([H])([H])C([H])([H])C([H])([H])C([H])([H])* 0.000 description 1
- 125000001280 n-hexyl group Chemical group C(CCCCC)* 0.000 description 1
- 125000004123 n-propyl group Chemical group [H]C([H])([H])C([H])([H])C([H])([H])* 0.000 description 1
- 150000002790 naphthalenes Chemical class 0.000 description 1
- 125000005184 naphthylamino group Chemical group C1(=CC=CC2=CC=CC=C12)N* 0.000 description 1
- 125000006574 non-aromatic ring group Chemical group 0.000 description 1
- 125000002347 octyl group Chemical group [H]C([*])([H])C([H])([H])C([H])([H])C([H])([H])C([H])([H])C([H])([H])C([H])([H])C([H])([H])[H] 0.000 description 1
- 125000001715 oxadiazolyl group Chemical group 0.000 description 1
- 125000002971 oxazolyl group Chemical group 0.000 description 1
- 229960003540 oxyquinoline Drugs 0.000 description 1
- 150000002964 pentacenes Chemical class 0.000 description 1
- 125000003538 pentan-3-yl group Chemical group [H]C([H])([H])C([H])([H])C([H])(*)C([H])([H])C([H])([H])[H] 0.000 description 1
- CSHWQDPOILHKBI-UHFFFAOYSA-N perylene Chemical compound C1=CC(C2=CC=CC=3C2=C2C=CC=3)=C3C2=CC=CC3=C1 CSHWQDPOILHKBI-UHFFFAOYSA-N 0.000 description 1
- FVDOBFPYBSDRKH-UHFFFAOYSA-N perylene-3,4,9,10-tetracarboxylic acid Chemical compound C=12C3=CC=C(C(O)=O)C2=C(C(O)=O)C=CC=1C1=CC=C(C(O)=O)C2=C1C3=CC=C2C(=O)O FVDOBFPYBSDRKH-UHFFFAOYSA-N 0.000 description 1
- 125000002080 perylenyl group Chemical group C1(=CC=C2C=CC=C3C4=CC=CC5=CC=CC(C1=C23)=C45)* 0.000 description 1
- 150000002987 phenanthrenes Chemical class 0.000 description 1
- 125000005561 phenanthryl group Chemical group 0.000 description 1
- 125000001484 phenothiazinyl group Chemical group C1(=CC=CC=2SC3=CC=CC=C3NC12)* 0.000 description 1
- 125000003356 phenylsulfanyl group Chemical group [*]SC1=C([H])C([H])=C([H])C([H])=C1[H] 0.000 description 1
- LFSXCDWNBUNEEM-UHFFFAOYSA-N phthalazine Chemical group C1=NN=CC2=CC=CC=C21 LFSXCDWNBUNEEM-UHFFFAOYSA-N 0.000 description 1
- 229910052697 platinum Inorganic materials 0.000 description 1
- 229920002098 polyfluorene Polymers 0.000 description 1
- 229920000642 polymer Polymers 0.000 description 1
- 229920000128 polypyrrole Polymers 0.000 description 1
- 229920000123 polythiophene Polymers 0.000 description 1
- 150000004032 porphyrins Chemical class 0.000 description 1
- 229910052700 potassium Inorganic materials 0.000 description 1
- 239000011591 potassium Substances 0.000 description 1
- 125000001436 propyl group Chemical group [H]C([*])([H])C([H])([H])C([H])([H])[H] 0.000 description 1
- 125000003373 pyrazinyl group Chemical group 0.000 description 1
- 150000003220 pyrenes Chemical class 0.000 description 1
- 125000001725 pyrenyl group Chemical group 0.000 description 1
- 125000002098 pyridazinyl group Chemical group 0.000 description 1
- 229940083082 pyrimidine derivative acting on arteriolar smooth muscle Drugs 0.000 description 1
- 150000003230 pyrimidines Chemical class 0.000 description 1
- 125000000168 pyrrolyl group Chemical group 0.000 description 1
- 125000002294 quinazolinyl group Chemical group N1=C(N=CC2=CC=CC=C12)* 0.000 description 1
- MCJGNVYPOGVAJF-UHFFFAOYSA-N quinolin-8-ol Chemical compound C1=CN=C2C(O)=CC=CC2=C1 MCJGNVYPOGVAJF-UHFFFAOYSA-N 0.000 description 1
- 125000002943 quinolinyl group Chemical group N1=C(C=CC2=CC=CC=C12)* 0.000 description 1
- 125000001567 quinoxalinyl group Chemical group N1=C(C=NC2=CC=CC=C12)* 0.000 description 1
- YYMBJDOZVAITBP-UHFFFAOYSA-N rubrene Chemical compound C1=CC=CC=C1C(C1=C(C=2C=CC=CC=2)C2=CC=CC=C2C(C=2C=CC=CC=2)=C11)=C(C=CC=C2)C2=C1C1=CC=CC=C1 YYMBJDOZVAITBP-UHFFFAOYSA-N 0.000 description 1
- KZUNJOHGWZRPMI-UHFFFAOYSA-N samarium atom Chemical compound [Sm] KZUNJOHGWZRPMI-UHFFFAOYSA-N 0.000 description 1
- 238000007650 screen-printing Methods 0.000 description 1
- 125000003808 silyl group Chemical group [H][Si]([H])([H])[*] 0.000 description 1
- 239000002356 single layer Substances 0.000 description 1
- 229910052708 sodium Inorganic materials 0.000 description 1
- 239000011734 sodium Substances 0.000 description 1
- 238000004528 spin coating Methods 0.000 description 1
- 150000003413 spiro compounds Chemical class 0.000 description 1
- 125000003003 spiro group Chemical group 0.000 description 1
- 238000005507 spraying Methods 0.000 description 1
- 238000004544 sputter deposition Methods 0.000 description 1
- 125000005504 styryl group Chemical group 0.000 description 1
- 229910052717 sulfur Inorganic materials 0.000 description 1
- 238000010345 tape casting Methods 0.000 description 1
- 125000000999 tert-butyl group Chemical group [H]C([H])([H])C(*)(C([H])([H])[H])C([H])([H])[H] 0.000 description 1
- 125000001973 tert-pentyl group Chemical group [H]C([H])([H])C([H])([H])C(*)(C([H])([H])[H])C([H])([H])[H] 0.000 description 1
- 125000001113 thiadiazolyl group Chemical group 0.000 description 1
- 125000004305 thiazinyl group Chemical group S1NC(=CC=C1)* 0.000 description 1
- 229930192474 thiophene Natural products 0.000 description 1
- IBBLKSWSCDAPIF-UHFFFAOYSA-N thiopyran Chemical compound S1C=CC=C=C1 IBBLKSWSCDAPIF-UHFFFAOYSA-N 0.000 description 1
- 229910052718 tin Inorganic materials 0.000 description 1
- 239000011135 tin Substances 0.000 description 1
- 229910052719 titanium Inorganic materials 0.000 description 1
- 239000010936 titanium Substances 0.000 description 1
- TVIVIEFSHFOWTE-UHFFFAOYSA-K tri(quinolin-8-yloxy)alumane Chemical compound [Al+3].C1=CN=C2C([O-])=CC=CC2=C1.C1=CN=C2C([O-])=CC=CC2=C1.C1=CN=C2C([O-])=CC=CC2=C1 TVIVIEFSHFOWTE-UHFFFAOYSA-K 0.000 description 1
- KWQNQSDKCINQQP-UHFFFAOYSA-K tri(quinolin-8-yloxy)gallane Chemical compound C1=CN=C2C(O[Ga](OC=3C4=NC=CC=C4C=CC=3)OC=3C4=NC=CC=C4C=CC=3)=CC=CC2=C1 KWQNQSDKCINQQP-UHFFFAOYSA-K 0.000 description 1
- 150000003852 triazoles Chemical class 0.000 description 1
- 125000001425 triazolyl group Chemical group 0.000 description 1
- 125000006617 triphenylamine group Chemical group 0.000 description 1
- 238000001771 vacuum deposition Methods 0.000 description 1
- 229910052720 vanadium Inorganic materials 0.000 description 1
- GPPXJZIENCGNKB-UHFFFAOYSA-N vanadium Chemical compound [V]#[V] GPPXJZIENCGNKB-UHFFFAOYSA-N 0.000 description 1
- 125000000391 vinyl group Chemical group [H]C([*])=C([H])[H] 0.000 description 1
- 229920002554 vinyl polymer Polymers 0.000 description 1
- NAWDYIZEMPQZHO-UHFFFAOYSA-N ytterbium Chemical compound [Yb] NAWDYIZEMPQZHO-UHFFFAOYSA-N 0.000 description 1
- 229910052727 yttrium Inorganic materials 0.000 description 1
- VWQVUPCCIRVNHF-UHFFFAOYSA-N yttrium atom Chemical compound [Y] VWQVUPCCIRVNHF-UHFFFAOYSA-N 0.000 description 1
- YVTHLONGBIQYBO-UHFFFAOYSA-N zinc indium(3+) oxygen(2-) Chemical compound [O--].[Zn++].[In+3] YVTHLONGBIQYBO-UHFFFAOYSA-N 0.000 description 1
- HTPBWAPZAJWXKY-UHFFFAOYSA-L zinc;quinolin-8-olate Chemical compound [Zn+2].C1=CN=C2C([O-])=CC=CC2=C1.C1=CN=C2C([O-])=CC=CC2=C1 HTPBWAPZAJWXKY-UHFFFAOYSA-L 0.000 description 1
Images
Classifications
-
- C—CHEMISTRY; METALLURGY
- C07—ORGANIC CHEMISTRY
- C07D—HETEROCYCLIC COMPOUNDS
- C07D471/00—Heterocyclic compounds containing nitrogen atoms as the only ring hetero atoms in the condensed system, at least one ring being a six-membered ring with one nitrogen atom, not provided for by groups C07D451/00 - C07D463/00
- C07D471/02—Heterocyclic compounds containing nitrogen atoms as the only ring hetero atoms in the condensed system, at least one ring being a six-membered ring with one nitrogen atom, not provided for by groups C07D451/00 - C07D463/00 in which the condensed system contains two hetero rings
- C07D471/10—Spiro-condensed systems
-
- C—CHEMISTRY; METALLURGY
- C07—ORGANIC CHEMISTRY
- C07D—HETEROCYCLIC COMPOUNDS
- C07D403/00—Heterocyclic compounds containing two or more hetero rings, having nitrogen atoms as the only ring hetero atoms, not provided for by group C07D401/00
- C07D403/02—Heterocyclic compounds containing two or more hetero rings, having nitrogen atoms as the only ring hetero atoms, not provided for by group C07D401/00 containing two hetero rings
- C07D403/04—Heterocyclic compounds containing two or more hetero rings, having nitrogen atoms as the only ring hetero atoms, not provided for by group C07D401/00 containing two hetero rings directly linked by a ring-member-to-ring-member bond
-
- C—CHEMISTRY; METALLURGY
- C07—ORGANIC CHEMISTRY
- C07D—HETEROCYCLIC COMPOUNDS
- C07D471/00—Heterocyclic compounds containing nitrogen atoms as the only ring hetero atoms in the condensed system, at least one ring being a six-membered ring with one nitrogen atom, not provided for by groups C07D451/00 - C07D463/00
- C07D471/02—Heterocyclic compounds containing nitrogen atoms as the only ring hetero atoms in the condensed system, at least one ring being a six-membered ring with one nitrogen atom, not provided for by groups C07D451/00 - C07D463/00 in which the condensed system contains two hetero rings
- C07D471/04—Ortho-condensed systems
-
- C—CHEMISTRY; METALLURGY
- C07—ORGANIC CHEMISTRY
- C07D—HETEROCYCLIC COMPOUNDS
- C07D471/00—Heterocyclic compounds containing nitrogen atoms as the only ring hetero atoms in the condensed system, at least one ring being a six-membered ring with one nitrogen atom, not provided for by groups C07D451/00 - C07D463/00
- C07D471/12—Heterocyclic compounds containing nitrogen atoms as the only ring hetero atoms in the condensed system, at least one ring being a six-membered ring with one nitrogen atom, not provided for by groups C07D451/00 - C07D463/00 in which the condensed system contains three hetero rings
- C07D471/20—Spiro-condensed systems
-
- C—CHEMISTRY; METALLURGY
- C07—ORGANIC CHEMISTRY
- C07D—HETEROCYCLIC COMPOUNDS
- C07D487/00—Heterocyclic compounds containing nitrogen atoms as the only ring hetero atoms in the condensed system, not provided for by groups C07D451/00 - C07D477/00
- C07D487/02—Heterocyclic compounds containing nitrogen atoms as the only ring hetero atoms in the condensed system, not provided for by groups C07D451/00 - C07D477/00 in which the condensed system contains two hetero rings
- C07D487/04—Ortho-condensed systems
-
- C—CHEMISTRY; METALLURGY
- C09—DYES; PAINTS; POLISHES; NATURAL RESINS; ADHESIVES; COMPOSITIONS NOT OTHERWISE PROVIDED FOR; APPLICATIONS OF MATERIALS NOT OTHERWISE PROVIDED FOR
- C09K—MATERIALS FOR MISCELLANEOUS APPLICATIONS, NOT PROVIDED FOR ELSEWHERE
- C09K11/00—Luminescent, e.g. electroluminescent, chemiluminescent materials
- C09K11/06—Luminescent, e.g. electroluminescent, chemiluminescent materials containing organic luminescent materials
-
- H01L51/50—
-
- H—ELECTRICITY
- H10—SEMICONDUCTOR DEVICES; ELECTRIC SOLID-STATE DEVICES NOT OTHERWISE PROVIDED FOR
- H10K—ORGANIC ELECTRIC SOLID-STATE DEVICES
- H10K50/00—Organic light-emitting devices
Landscapes
- Chemical & Material Sciences (AREA)
- Organic Chemistry (AREA)
- Engineering & Computer Science (AREA)
- Materials Engineering (AREA)
- Physics & Mathematics (AREA)
- Optics & Photonics (AREA)
- Electroluminescent Light Sources (AREA)
- Nitrogen Condensed Heterocyclic Rings (AREA)
Abstract
본 명세서는 함질소 축합고리 화합물 및 이를 포함하는 유기 발광 소자에 관한 것 이다.
Description
본 출원은 2014년 9월 5일에 한국특허청에 제출된 한국 특허 출원 제 10-2014-0119113호의 출원일의 이익을 주장하며, 그 내용 전부는 본 명세서에 포함된다.
본 명세서는 함질소 축합고리 화합물 및 이를 이용한 유기 발광 소자에 관한 것이다.
유기 발광 현상은 특정 유기 분자의 내부 프로세스에 의하여 전류가 가시광으로 전환되는 예의 하나이다. 유기 발광 현상의 원리는 다음과 같다.
양극과 음극 사이에 유기물층을 위치시켰을 때 두 전극 사이에 전압을 걸어주게 되면 음극과 양극으로부터 각각 전자와 정공이 유기물층으로 주입된다. 유기물층으로 주입된 전자와 정공은 재결합하여 엑시톤(exciton)을 형성하고, 이 엑시톤이 다시 바닥 상태로 떨어지면서 빛이 나게 된다. 이러한 원리를 이용하는 유기 발광 소자는 일반적으로 음극과 양극 및 그 사이에 위치한 유기물층, 예컨대 정공주입층, 정공수송층, 발광층, 전자수송층을 포함하는 유기물층으로 구성될 수 있다.
유기 발광 소자에서 사용되는 물질로는 순수 유기 물질 또는 유기 물질과 금속이 착물을 이루는 착화합물이 대부분을 차지하고 있으며, 용도에 따라 정공주입 물질, 정공수송 물질, 발광 물질, 전자수송 물질, 전자주입 물질 등으로 구분될 수 있다. 여기서, 정공주입 물질이나 정공수송 물질로는 p-타입의 성질을 가지는 유기물질, 즉 쉽게 산화가 되고 산화시에 전기화학적으로 안정한 상태를 가지는 유기물이 주로 사용되고 있다. 한편, 전자주입 물질이나 전자수송 물질로는 n-타입 성질을 가지는 유기 물질, 즉 쉽게 환원이 되고 환원시에 전기화학적으로 안정한 상태를 가지는 유기물이 주로 사용되고 있다. 발광층 물질로는 p-타입 성질과 n-타입 성질을 동시에 가진 물질, 즉 산화와 환원 상태에서 모두 안정한 형태를 갖는 물질이 바람직하며, 엑시톤이 형성되었을 때 이를 빛으로 전환하는 발광 효율이 높은 물질이 바람직하다.
따라서, 당 기술분야에서는 새로운 유기물의 개발이 요구되고 있다.
본 명세서는 함질소 축합고리 화합물 및 이를 이용한 유기 발광 소자를 제공한다.
본 명세서의 일 실시상태는 하기 화학식 1로 표시되는 화합물을 제공한다:
[화학식 1]
화학식 1에 있어서,
R9와 R10이 서로 결합하여 고리를 형성하거나, R10과 R11이 서로 결합하여 고리를 형성하거나, R11과 R12가 결합하여 고리를 형성하며, 형성된 고리는 치환기 (R20)m을 포함하고,
m은 1 내지 4의 정수이고, m이 2 이상인 경우 R20은 서로 같거나 상이하며,
R9 내지 R12 중 고리를 형성하지 않는 기, R1 내지 R8, R13 내지 R18, R20, Ar1 및 Ar2는 서로 같거나 상이하고, 각각 독립적으로 수소; 중수소; 니트릴기; 치환 또는 비치환된 알킬기; 치환 또는 비치환된 알케닐기; 치환 또는 비치환된 시클로알킬기; 치환 또는 비치환된 아릴기; 치환 또는 비치환된 방향족 또는 지방족의 헤테로고리기; 치환 또는 비치환된 알콕시기; 치환 또는 비치환된 아릴옥시기; 치환 또는 비치환된 알킬아민기; 치환 또는 비치환된 아릴아민기; 치환 또는 비치환된 아르알킬아민기; 치환 또는 비치환된 알킬아릴아민기; 또는 치환 또는 비치환된 헤테로아릴아민기이거나, 인접한 치환기와 서로 결합하여 고리를 형성하며,
L1 및 L2는 서로 같거나 상이하고, 각각 독립적으로 직접결합; 치환 또는 비치환된 아릴렌기; 또는 치환 또는 비치환된 헤테로아릴렌기이고, L1은 R1 또는 R18과 결합하여 고리를 형성할 수 있다.
본 명세서의 또 하나의 실시상태는 제1 전극; 상기 제1 전극과 대향하여 구비되는 제2 전극; 및 상기 제1 전극과 상기 제2 전극 사이에 구비되는 발광층을 포함한 1층 이상의 유기물층을 포함하는 유기 발광 소자로서, 상기 유기물층 중 1층 이상이 상기 화학식 1로 표시되는 화합물을 포함하는 것인 유기 발광 소자를 제공한다.
본 명세서의 실시상태들에 따른 축합고리 화합물은 적절한 에너지 준위를 가지고, 전기 화학적 안정성 및 열적 안정성이 우수하다. 따라서, 상기 화합물을 포함하는 유기 발광 소자는 높은 효율 및/또는 높은 구동 안정성을 제공한다.
도 1 내지 5는 본 명세서의 일 실시상태에 따른 유기 발광 소자의 구조를 예시한 단면도이다.
이하 본 명세서에 대하여 더욱 상세히 설명한다.
본 명세서의 일 실시상태는 상기 화학식 1로 표시되는 화합물을 제공한다.
상기 치환기의 예시들은 아래에서 설명하나, 이에 한정되는 것은 아니다.
본 명세서에서 "치환 또는 비치환된" 이라는 용어는 중수소; 니트릴기; 알킬기; 알케닐기; 시클로알킬기; 아릴기; 헤테로고리기; 아르알킬기; 아르알케닐기; 알킬아릴기; 알케닐아릴기; 알콕시기; 아릴옥시기; 알킬아민기; 아르알킬아민기; 아릴아민기; 알킬아릴아민기; 또는 헤테로아릴아민기로 이루어진 군에서 선택된 1개 이상의 치환기로 치환 또는 비치환되거나, 상기 예시된 치환기 중 2 이상의 치환기가 연결된 치환기로 치환 또는 비치환된 것을 의미한다. 예컨대, "2 이상의 치환기가 연결된 치환기"는 비페닐기일 수 있다. 즉, 비페닐기는 아릴기일 수도 있고, 2개의 페닐기가 연결된 치환기로 해석될 수 있다.
본 명세서에 있어서, 상기 알킬기는 직쇄 또는 분지쇄일 수 있고, 탄소수는 특별히 한정되지 않으나 1 내지 50인 것이 바람직하다. 구체적인 예로는 메틸, 에틸, 프로필, n-프로필, 이소프로필, 부틸, n-부틸, 이소부틸, tert-부틸, sec-부틸, 1-메틸-부틸, 1-에틸-부틸, 펜틸, n-펜틸, 이소펜틸, 네오펜틸, tert-펜틸, 헥실, n-헥실, 1-메틸펜틸, 2-메틸펜틸, 4-메틸-2-펜틸, 3,3-디메틸부틸, 2-에틸부틸, 헵틸, n-헵틸, 1-메틸헥실, 시클로펜틸메틸, 시클로헥실메틸, 옥틸, n-옥틸, tert-옥틸, 1-메틸헵틸, 2-에틸헥실, 2-프로필펜틸, n-노닐, 2,2-디메틸헵틸, 1-에틸-프로필, 1,1-디메틸-프로필, 이소헥실, 2-메틸펜틸, 4-메틸헥실, 5-메틸헥실 등이 있으나, 이들에 한정되지 않는다.
본 명세서에 있어서, 상기 알케닐기는 직쇄 또는 분지쇄일 수 있고, 탄소수는 특별히 한정되지 않으나, 2 내지 50인 것이 바람직하다. 구체적인 예로는 비닐, 1-프로페닐, 이소프로페닐, 1-부테닐, 2-부테닐, 3-부테닐, 1-펜테닐, 2-펜테닐, 3-펜테닐, 3-메틸-1-부테닐, 1,3-부타디에닐, 알릴, 1-페닐비닐-1-일, 2-페닐비닐-1-일, 2,2-디페닐비닐-1-일, 2-페닐-2-(나프틸-1-일)비닐-1-일, 2,2-비스(디페닐-1-일)비닐-1-일, 스틸베닐기, 스티레닐기 등이 있으나 이들에 한정되지 않는다.
본 명세서에 있어서, 시클로알킬기는 특별히 한정되지 않으나, 탄소수 3 내지 60인 것이 바람직하며, 구체적으로 시클로프로필, 시클로부틸, 시클로펜틸, 3-메틸시클로펜틸, 2,3-디메틸시클로펜틸, 시클로헥실, 3-메틸시클로헥실, 4-메틸시클로헥실, 2,3-디메틸시클로헥실, 3,4,5-트리메틸시클로헥실, 4-tert-부틸시클로헥실, 시클로헵틸, 시클로옥틸 등이 있으나, 이에 한정되지 않는다.
본 명세서에 있어서, 아릴기는 단환식 아릴기 또는 다환식 아릴기일 수 있다. 상기 아릴기가 단환식 아릴기인 경우 탄소수는 특별히 한정되지 않으나, 탄소수 6 내지 60인 것이 바람직하다. 구체적으로 단환식 아릴기로는 페닐기, 바이페닐기, 터페닐기 등이 될 수 있으나, 이에 한정되는 것은 아니다. 다환식 아릴기로는 나프틸기, 안트라세닐기, 페난트릴기, 파이레닐기, 페릴레닐기, 크라이세닐기, 플루오레닐기 등이 될 수 있으나, 이에 한정되는 것은 아니다.
본 명세서에 있어서, 플루오레닐기는 치환될 수 있고, 치환기 2개가 서로 결합하여 스피로 구조를 형성할 수 있다.
본 명세서에 있어서, 헤테로고리기는 이종 원소로 O, N 및 S 중 1개 이상을 포함하는 방향족 또는 지방족의 헤테로고리기로서, 탄소수는 특별히 한정되지 않으나, 탄소수 2 내지 60인 것이 바람직하다. 헤테로고리기의 예로는 티오펜기, 퓨란기, 피롤기, 이미다졸기, 티아졸기, 옥사졸기, 옥사디아졸기, 트리아졸기, 피리딘기, 비피리딘기, 피리미딘기, 트리아진기, 트리아졸기, 아크리딘기, 피리다진기, 피라진기, 퀴놀린기, 퀴나졸린기, 퀴녹살린기, 프탈라진기, 피리도 피리미디닐기, 피리도 피라지닐기, 피라지노 피라지닐기, 이소퀴놀린기, 인돌기, 카바졸기, 카볼린기, 벤조옥사졸기, 벤조이미다졸기, 벤조티아졸기, 벤조카바졸기, 벤조티오펜기, 디벤조티오펜기, 벤조퓨라닐기, 페난쓰롤린기(phenanthroline), 티아졸릴기, 이소옥사졸릴기, 옥사디아졸릴기, 티아디아졸릴기, 벤조티아졸릴기, 페노티아지닐기, 아크리딘, 및 디벤조퓨라닐기 등이 있으나, 이들에만 한정되는 것은 아니다.
본 명세서에 있어서, 상기 알콕시기는 직쇄, 분지쇄 또는 고리쇄일 수 있다. 알콕시기의 탄소수는 특별히 한정되지 않으나, 탄소수 1 내지 20인 것이 바람직하다. 구체적으로, 메톡시, 에톡시, n-프로폭시, 이소프로폭시, i-프로필옥시, n-부톡시, 이소부톡시, tert-부톡시, sec-부톡시, n-펜틸옥시, 네오펜틸옥시, 이소펜틸옥시, n-헥실옥시, 3,3-디메틸부틸옥시, 2-에틸부틸옥시, n-옥틸옥시, n-노닐옥시, n-데실옥시, 벤질옥시, p-메틸벤질옥시 등이 될 수 있으나, 이에 한정되는 것은 아니다.
본 명세서에 있어서, 아릴옥시기 중의 아릴기는 전술한 아릴기의 예시와 같다. 구체적으로 아릴옥시기로는 페녹시, p-토릴옥시, m-토릴옥시, 3,5-디메틸-페녹시, 2,4,6-트리메틸페녹시, p-tert-부틸페녹시, 3-비페닐옥시, 4-비페닐옥시, 1-나프틸옥시, 2-나프틸옥시, 4-메틸-1-나프틸옥시, 5-메틸-2-나프틸옥시, 1-안트릴옥시, 2-안트릴옥시, 9-안트릴옥시, 1-페난트릴옥시, 3-페난트릴옥시, 9-페난트릴옥시 등이 있고, 아릴티옥시기로는 페닐티옥시기, 2-메틸페닐티옥시기, 4-tert-부틸페닐티옥시기 등이 있으나, 이에 한정되지 않는다.
본 명세서에 있어서, 알킬아민기, 아르알킬아민기, 아릴아민기, 알킬아릴아민기, 및 헤테로아릴아민기는 각각 알킬기, 아르알킬기, 아릴기, 알킬아릴기 및 헤테로아릴기로 치환된 아민기로서, 여기서, 알킬 및 아릴은 전술한 알킬기 및 아릴기에 대한 설명이 적용될 수 있고, 헤테로아릴기는 전술한 헤테로고리기 중 방향족 헤테로고리기에 관한 설명이 적용될 수 있다. 아민기의 구체적인 예로는 메틸아민기, 디메틸아민기, 에틸아민기, 디에틸아민기, 페닐아민기, 나프틸아민기, 비페닐아민기, 안트라세닐아민기, 3-메틸-페닐아민, 4-메틸-나프틸아민, 2-메틸-비페닐아민, 9-메틸-안트라세닐아민기, 디페닐아민기, 페닐나프틸아민기, 디톨릴아민기, 페닐톨릴아민기, 트리페닐아민기 등이 있으나, 이들에만 한정되는 것은 아니다.
본 명세서에 있어서, 아릴렌기는 아릴기에 결합위치가 두 개 있는 것, 즉 2가기를 의미한다. 이들은 각각 2가기인 것을 제외하고는 전술한 아릴기의 설명이 적용될 수 있다.
본 명세서에 있어서, 헤테로아릴렌기는 헤테로아릴기에 결합위치가 두 개 있는 것, 즉 2가기를 의미한다. 이들은 각각 2가기인 것을 제외하고는 전술한 방향족 헤테로고리기의 설명이 적용될 수 있다.
본 명세서에 있어서, 인접하는 기와 서로 결합하여 고리를 형성한다는 의미는 인접하는 기와 서로 결합하여 치환 또는 비치환된 지방족 탄화수소고리; 치환 또는 비치환된 방향족 탄화수소고리; 치환 또는 비치환된 지방족 헤테로고리; 또는 치환 또는 비치환된 방향족 헤테로고리를 형성하는 것을 의미한다.
본 명세서에 있어서, "인접하는 기"는 해당 치환기가 치환된 원자와 직접 연결된 원자에 치환된 치환기, 해당 치환기와 입체구조적으로 가장 가깝게 위치한 치환기, 또는 해당 치환기가 치환된 원자에 치환된 다른 치환기를 의미할 수 있다. 예컨대, 벤젠고리에서 오쏘(ortho) 위치에 치환된 2개의 치환기 및 지방족 고리에서 동일 탄소에 치환된 2개의 치환기는 서로 "인접하는 기"로 해석될 수 있다.
본 명세서에 있어서, 지방족 탄화수소고리란 방향족이 아닌 고리로서 탄소와 수소 원자로만 이루어진 고리를 의미한다.
본 명세서에 있어서, 방향족 탄화수소고리의 예로는 페닐기, 나프틸기, 안트라세닐기 등이 있으나 이들에만 한정되는 것은 아니다.
본 명세서에 있어서, 지방족 헤테로고리란 헤테로원자로 N, O 및 S 원자 중 1개 이상을 포함하는 지방족고리를 의미한다.
본 명세서에 있어서, 방향족 헤테로고리란 헤테로원자로 N, O 및 S 원자 중 1개 이상을 포함하는 방향족고리를 의미한다.
본 명세서에 있어서, 상기 지방족고리, 방향족고리, 지방족 헤테로고리 및 방향족 헤테로고리는 단환 또는 다환일 수 있다.
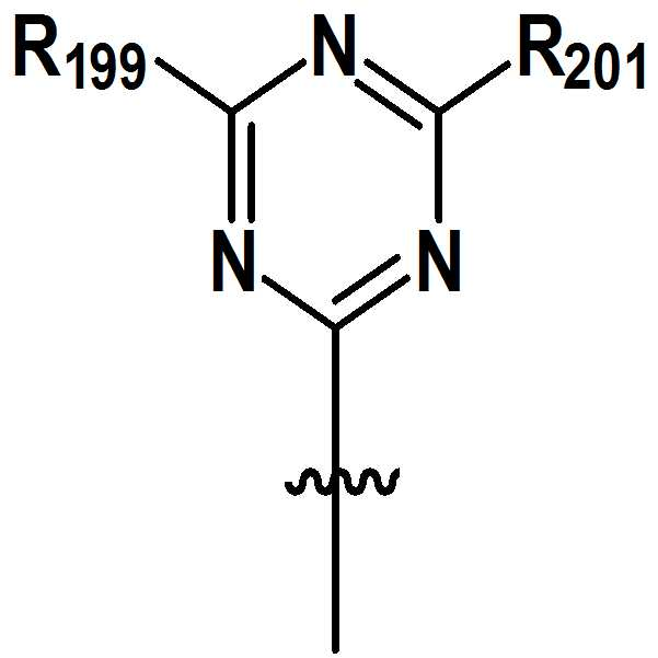
본 명세서의 일 실시상태에 따르면, 상기 화학식 1에 있어서, Ar1 및 Ar2 중 적어도 하나는 하기 화학식 A 내지 D 중 하나로 표시되나, 이에만 한정되는 것은 아니다.
[화학식 A]
화학식 A에 있어서,
Y1 내지 Y3는 서로 같거나 상이하고, 각각 독립적으로 N 또는 CRd이고,
R201 및 Rd는 서로 같거나 상이하고, 각각 독립적으로 수소; 중수소; 니트릴기; 치환 또는 비치환된 알킬기; 치환 또는 비치환된 알케닐기; 치환 또는 비치환된 시클로알킬기; 치환 또는 비치환된 아릴기; 치환 또는 비치환된 방향족 또는 지방족의 헤테로고리기; 치환 또는 비치환된 알콕시기; 치환 또는 비치환된 아릴옥시기; 치환 또는 비치환된 알킬아민기; 치환 또는 비치환된 아릴아민기; 치환 또는 비치환된 아르알킬아민기; 치환 또는 비치환된 알킬아릴아민기; 또는 치환 또는 비치환된 헤테로아릴아민기이거나 인접한 치환기와 서로 결합하여 고리를 형성한다.
[화학식 B]
화학식 B에 있어서,
T1 및 T2는 서로 같거나 상이하고, 각각 독립적으로 N 또는 CRe이고,
R300 내지 R305 및 Re는 서로 같거나 상이하고, 각각 독립적으로 수소; 중수소; 니트릴기; 치환 또는 비치환된 알킬기; 치환 또는 비치환된 알케닐기; 치환 또는 비치환된 시클로알킬기; 치환 또는 비치환된 아릴기; 치환 또는 비치환된 방향족 또는 지방족의 헤테로고리기; 치환 또는 비치환된 알콕시기; 치환 또는 비치환된 아릴옥시기; 치환 또는 비치환된 알킬아민기; 치환 또는 비치환된 아릴아민기; 치환 또는 비치환된 아르알킬아민기; 치환 또는 비치환된 알킬아릴아민기; 또는 치환 또는 비치환된 헤테로아릴아민기이거나 인접한 치환기와 서로 결합하여 고리를 형성하고, n은 1 또는 2이며,
n이 2인 경우, R305는 서로 같거나 상이하다.
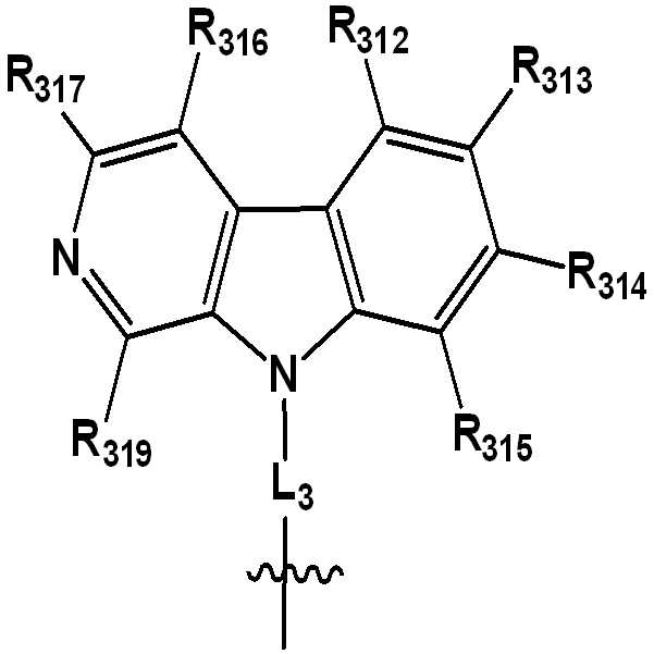
[화학식 C]
화학식 C에 있어서,
U1 내지 U8은 서로 같거나 상이하고, 각각 독립적으로 N 또는 CRf이고,
L3는 직접결합; 치환 또는 비치환된 아릴렌기; 또는 치환 또는 비치환된 헤테로아릴렌기이며,
Rf는 서로 같거나 상이하고, 각각 독립적으로 수소; 중수소; 니트릴기; 치환 또는 비치환된 알킬기; 치환 또는 비치환된 알케닐기; 치환 또는 비치환된 시클로알킬기; 치환 또는 비치환된 아릴기; 치환 또는 비치환된 방향족 또는 지방족의 헤테로고리기; 치환 또는 비치환된 알콕시기; 치환 또는 비치환된 아릴옥시기; 치환 또는 비치환된 알킬아민기; 치환 또는 비치환된 아릴아민기; 치환 또는 비치환된 아르알킬아민기; 치환 또는 비치환된 알킬아릴아민기; 또는 치환 또는 비치환된 헤테로아릴아민기이거나 인접한 치환기와 서로 결합하여 고리를 형성한다.
[화학식 D]
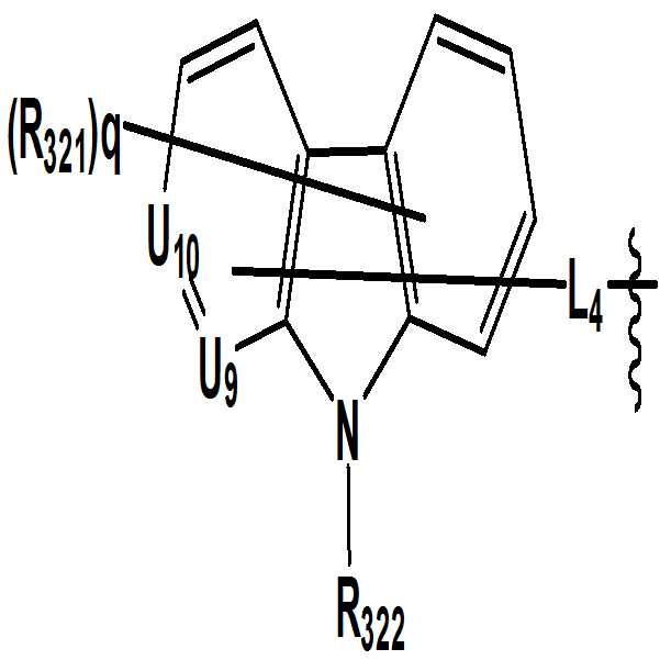
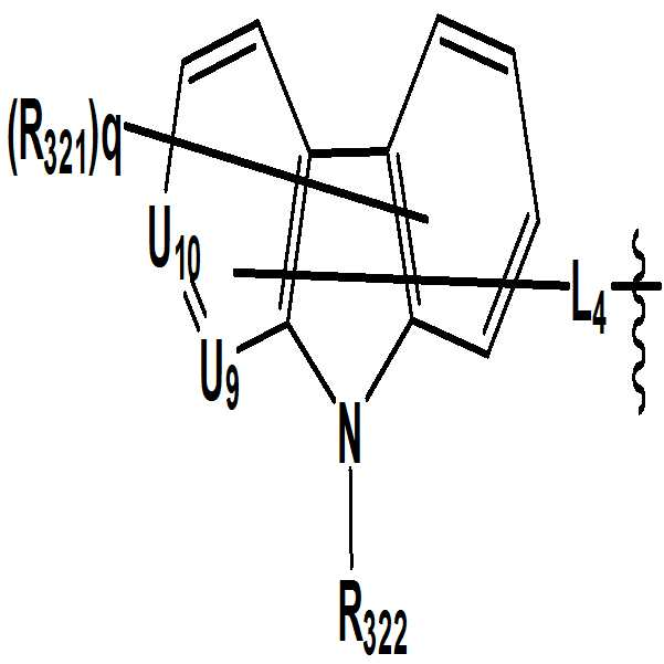
화학식 D에 있어서, U9 및 U10 중 하나는 N이고, 나머지는 CRg이고,
L4는 직접결합; 치환 또는 비치환된 아릴렌기; 또는 치환 또는 비치환된 헤테로아릴렌기이며,
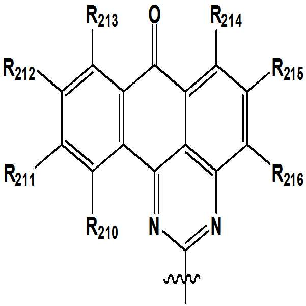
Rg, R321 및 R322는 서로 같거나 상이하고, 각각 독립적으로 수소; 중수소; 니트릴기; 치환 또는 비치환된 알킬기; 치환 또는 비치환된 알케닐기; 치환 또는 비치환된 시클로알킬기; 치환 또는 비치환된 아릴기; 치환 또는 비치환된 방향족 또는 지방족의 헤테로고리기; 치환 또는 비치환된 알콕시기; 치환 또는 비치환된 아릴옥시기; 치환 또는 비치환된 알킬아민기; 치환 또는 비치환된 아릴아민기; 치환 또는 비치환된 아르알킬아민기; 치환 또는 비치환된 알킬아릴아민기; 또는 치환 또는 비치환된 헤테로아릴아민기이거나 인접한 치환기와 서로 결합하여 고리를 형성하고, q는 1 내지 5의 정수이다.
본 명세서의 또 하나의 실시상태에 따르면, 상기 화학식 1은 하기 화학식 2 내지 4 중 하나로 표시될 수 있다.
[화학식 2]
[화학식 3]
[화학식 4]
화학식 2 내지 4에 있어서, R1 내지 R18, R20, m, L1, L2, Ar1 및 Ar2는 화학식 1에서 정의한 바와 같다.
본 명세서의 또 하나의 실시상태에 따르면, 상기 화학식 1은 하기 화학식 5 내지 7 중 하나로 표시될 수 있다.
[화학식 5]
[화학식 6]
[화학식 7]
화학식 5 내지 7에 있어서, R1 내지 R18, R20, m, L2, Ar1 및 Ar2는 화학식 1에서 정의한 바와 같고,
R19는 수소; 중수소; 치환 또는 비치환된 알킬기; 치환 또는 비치환된 알케닐기; 치환 또는 비치환된 시클로알킬기; 치환 또는 비치환된 아릴기; 치환 또는 비치환된 방향족 또는 지방족의 헤테로고리기; 치환 또는 비치환된 알콕시기; 치환 또는 비치환된 아릴옥시기; 치환 또는 비치환된 알킬아민기; 치환 또는 비치환된 아릴아민기; 치환 또는 비치환된 아르알킬아민기; 치환 또는 비치환된 알킬아릴아민기; 또는 치환 또는 비치환된 헤테로아릴아민기이거나, 인접한 치환기와 서로 결합하여 고리를 형성하며, n은 1 내지 4의 정수이고, n이 2 이상인 경우 R19는 같거나 상이하다.
본 명세서의 또 하나의 실시상태에 따르면, 상기 화학식 1은 하기 화학식 8 내지 10 중 하나로 표시될 수 있다.
[화학식 8]
[화학식 9]
[화학식 10]
상기 화학식 8 내지 10에 있어서, R1 내지 R18, R20, m, L2, Ar1 및 Ar2는 화학식 1에서 정의한 바와 같고,
R19는 수소; 중수소; 치환 또는 비치환된 알킬기; 치환 또는 비치환된 알케닐기; 치환 또는 비치환된 시클로알킬기; 치환 또는 비치환된 아릴기; 치환 또는 비치환된 방향족 또는 지방족의 헤테로고리기; 치환 또는 비치환된 알콕시기; 치환 또는 비치환된 아릴옥시기; 치환 또는 비치환된 알킬아민기; 치환 또는 비치환된 아릴아민기; 치환 또는 비치환된 아르알킬아민기; 치환 또는 비치환된 알킬아릴아민기; 또는 치환 또는 비치환된 헤테로아릴아민기이거나, 인접한 치환기와 서로 결합하여 고리를 형성하며, p은 1 내지 3의 정수이고, p가 2 이상인 경우 R19는 같거나 상이하다.
본 명세서의 일 실시상태에 따르면, 상기 화학식 1에 있어서,L1 및 L2는 서로 같거나 상이하고, 각각 독립적으로 직접결합; 또는 치환 또는 비치환된 아릴렌기이다.
본 명세서의 일 실시상태에 따르면, 상기 화학식 1에 있어서, L1 및 L2는 서로 같거나 상이하고, 각각 독립적으로 직접결합; 또는 치환 또는 비치환된 탄소수 6 내지 30의 단환 또는 다환의 아릴렌기이다.
본 명세서의 일 실시상태에 따르면, 상기 화학식 1에 있어서, L1 및 L2는 서로 같거나 상이하고, 각각 독립적으로 직접결합; 또는 치환 또는 비치환된 탄소수 6 내지 20의 단환 또는 다환의 아릴렌기이다.
본 명세서의 일 실시상태에 따르면, 상기 화학식 1에 있어서, L1 및 L2는 서로 같거나 상이하고, 각각 독립적으로 직접결합; 치환 또는 비치환된 페닐렌기; 치환 또는 비치환된 비페닐릴렌기; 또는 치환 또는 비치환된 나프틸렌기이다.
본 명세서의 일 실시상태에 따르면, 상기 화학식 1에 있어서, L1 및 L2는 서로 같거나 상이하고, 각각 독립적으로 직접결합; 페닐렌기; 비페닐릴렌기; 또는 나프틸렌기이다.
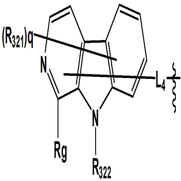
본 명세서의 일 실시상태에 따르면, 상기 화학식 A는 하기 화학식 A-1 내지 A-4 중 어느 하나로 표시될 수 있다.
[화학식 A-1]
[화학식 A-2]
[화학식 A-3]
[화학식 A-4]
상기 화학식 A-1 내지 A-4에 있어서,
R198 내지 R201은 서로 같거나 상이하고, 각각 독립적으로 수소; 중수소; 니트릴기; 치환 또는 비치환된 알킬기; 치환 또는 비치환된 알케닐기; 치환 또는 비치환된 시클로알킬기; 치환 또는 비치환된 아릴기; 치환 또는 비치환된 방향족 또는 지방족의 헤테로고리기; 치환 또는 비치환된 알콕시기; 치환 또는 비치환된 아릴옥시기; 치환 또는 비치환된 알킬아민기; 치환 또는 비치환된 아릴아민기; 치환 또는 비치환된 아르알킬아민기; 치환 또는 비치환된 알킬아릴아민기; 또는 치환 또는 비치환된 헤테로아릴아민기이거나 인접한 치환기와 서로 결합하여 고리를 형성한다.
본 명세서의 일 실시상태에 따르면, 상기 화학식 A는 하기 화학식 A-5로 표시될 수 있다.
[화학식 A-5]
화학식 A-5에 있어서, Y1 및 Y2는 화학식 A에서 정의한 바와 같고,
Z1 내지 Z4는 서로 같거나 상이하고, 각각 독립적으로 N 또는 CRc이고,
Rc는 서로 같거나 상이하고, 각각 독립적으로 수소; 중수소; 니트릴기; 치환 또는 비치환된 알킬기; 치환 또는 비치환된 알케닐기; 치환 또는 비치환된 시클로알킬기; 치환 또는 비치환된 아릴기; 치환 또는 비치환된 방향족 또는 지방족의 헤테로고리기; 치환 또는 비치환된 알콕시기; 치환 또는 비치환된 아릴옥시기; 치환 또는 비치환된 알킬아민기; 치환 또는 비치환된 아릴아민기; 치환 또는 비치환된 아르알킬아민기; 치환 또는 비치환된 알킬아릴아민기; 또는 치환 또는 비치환된 헤테로아릴아민기이거나 인접한 치환기와 서로 결합하여 고리를 형성한다.
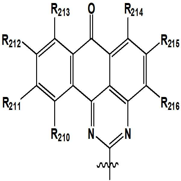
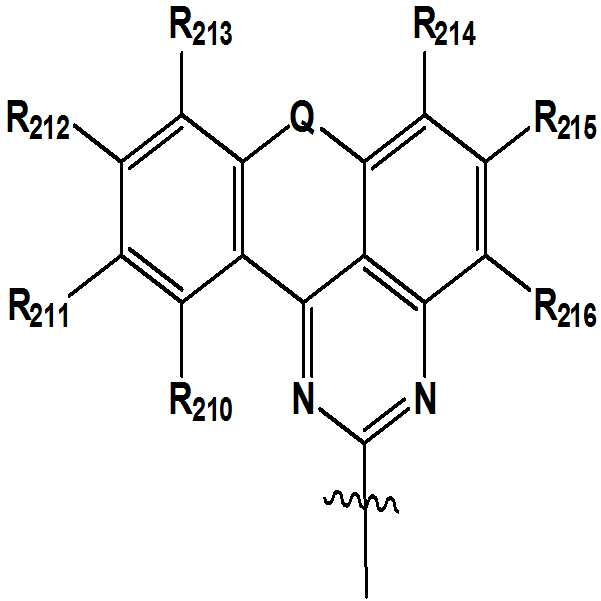
본 명세서의 일 실시상태에 따르면, 상기 화학식 A-5은 하기 화학식 A-6 내지 A-9 중 하나로 표시될 수 있다.
[화학식 A-6]
[화학식 A-7]
[화학식 A-8]
[화학식 A-9]
화학식 A-6 내지 A-9에 있어서,
Y1 및 Y2는 화학식 A에서 정의한 바와 같고,
Q는 직접결합, C(=O), 또는 CRhRi이며,
R202 내지 R205, R210 내지 R216, Rh 및 Ri는 서로 같거나 상이하고, 각각 독립적으로 수소; 중수소; 니트릴기; 치환 또는 비치환된 알킬기; 치환 또는 비치환된 알케닐기; 치환 또는 비치환된 시클로알킬기; 치환 또는 비치환된 아릴기; 치환 또는 비치환된 방향족 또는 지방족의 헤테로고리기; 치환 또는 비치환된 알콕시기; 치환 또는 비치환된 아릴옥시기; 치환 또는 비치환된 알킬아민기; 치환 또는 비치환된 아릴아민기; 치환 또는 비치환된 아르알킬아민기; 치환 또는 비치환된 알킬아릴아민기; 또는 치환 또는 비치환된 헤테로아릴아민기이거나 인접한 치환기와 서로 결합하여 고리를 형성한다.
본 명세서의 일 실시상태에 따르면, 상기 화학식 A-5은 하기 화학식 A-10 또는 A-11로 표시될 수 있다.
[화학식 A-10]
[화학식 A-11]
화학식 A-10 및 A-11에 있어서,
R202 내지 R207 은 서로 같거나 상이하고, 각각 독립적으로 수소; 중수소; 니트릴기; 치환 또는 비치환된 알킬기; 치환 또는 비치환된 알케닐기; 치환 또는 비치환된 시클로알킬기; 치환 또는 비치환된 아릴기; 치환 또는 비치환된 방향족 또는 지방족의 헤테로고리기; 치환 또는 비치환된 알콕시기; 치환 또는 비치환된 아릴옥시기; 치환 또는 비치환된 알킬아민기; 치환 또는 비치환된 아릴아민기; 치환 또는 비치환된 아르알킬아민기; 치환 또는 비치환된 알킬아릴아민기; 또는 치환 또는 비치환된 헤테로아릴아민기이거나 인접한 치환기와 서로 결합하여 고리를 형성한다.
본 명세서의 일 실시상태에 따르면, 상기 화학식 A-5은 하기 화학식 A-12 또는 A-13로 표시될 수 있다.
[화학식 A-12]
[화학식 A-13]
화학식 A-12 및 A-13에 있어서,
R202 내지 R205, R208 및 R209는 서로 같거나 상이하고, 각각 독립적으로 수소; 중수소; 니트릴기; 치환 또는 비치환된 알킬기; 치환 또는 비치환된 알케닐기; 치환 또는 비치환된 시클로알킬기; 치환 또는 비치환된 아릴기; 치환 또는 비치환된 방향족 또는 지방족의 헤테로고리기; 치환 또는 비치환된 알콕시기; 치환 또는 비치환된 아릴옥시기; 치환 또는 비치환된 알킬아민기; 치환 또는 비치환된 아릴아민기; 치환 또는 비치환된 아르알킬아민기; 치환 또는 비치환된 알킬아릴아민기; 또는 치환 또는 비치환된 헤테로아릴아민기이거나 인접한 치환기와 서로 결합하여 고리를 형성한다.
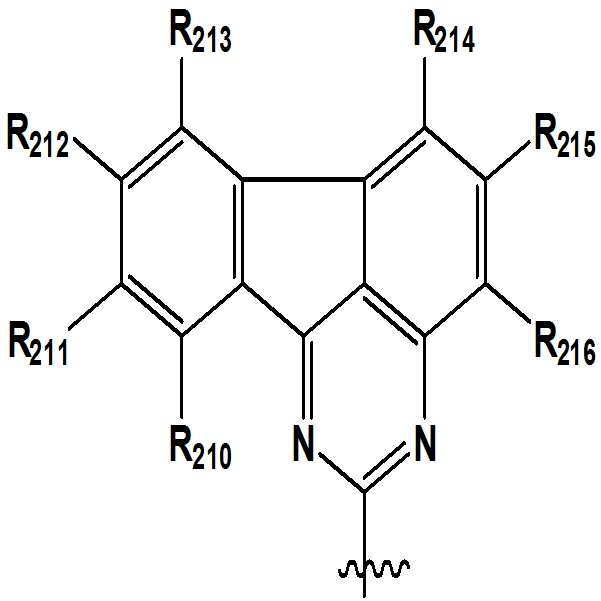
본 명세서의 일 실시상태에 따르면, 상기 화학식 A-9는 하기 화학식 A-14 내지 A-16 중 하나로 표시될 수 있다.
[화학식 A-14]
[화학식 A-15]
[화학식 A-16]
화학식 A-14 내지 A-16에 있어서,
R210 내지 R218은 서로 같거나 상이하고, 각각 독립적으로 수소; 중수소; 니트릴기; 치환 또는 비치환된 알킬기; 치환 또는 비치환된 알케닐기; 치환 또는 비치환된 시클로알킬기; 치환 또는 비치환된 아릴기; 치환 또는 비치환된 방향족 또는 지방족의 헤테로고리기; 치환 또는 비치환된 알콕시기; 치환 또는 비치환된 아릴옥시기; 치환 또는 비치환된 알킬아민기; 치환 또는 비치환된 아릴아민기; 치환 또는 비치환된 아르알킬아민기; 치환 또는 비치환된 알킬아릴아민기; 또는 치환 또는 비치환된 헤테로아릴아민기이거나 인접한 치환기와 서로 결합하여 고리를 형성한다.
본 명세서의 일 실시상태에 따르면, 상기 화학식 B는 하기 화학식 B-1로 표시될 수 있다.
[화학식 B-1]
화학식 B-1에 있어서,
T1 및 T2는 화학식 B에서 정의한 바와 같고,
R300 내지 R306은 서로 같거나 상이하고, 각각 독립적으로 수소; 중수소; 니트릴기; 치환 또는 비치환된 알킬기; 치환 또는 비치환된 알케닐기; 치환 또는 비치환된 시클로알킬기; 치환 또는 비치환된 아릴기; 치환 또는 비치환된 방향족 또는 지방족의 헤테로고리기; 치환 또는 비치환된 알콕시기; 치환 또는 비치환된 아릴옥시기; 치환 또는 비치환된 알킬아민기; 치환 또는 비치환된 아릴아민기; 치환 또는 비치환된 아르알킬아민기; 치환 또는 비치환된 알킬아릴아민기; 또는 치환 또는 비치환된 헤테로아릴아민기이거나 인접한 치환기와 서로 결합하여 고리를 형성한다.
본 명세서의 일 실시상태에 따르면, 상기 화학식 B는 하기 화학식 B-2 내지 B-4 중 하나로 표시될 수 있다.
[화학식 B-2]
[화학식 B-3]
[화학식 B-4]
화학식 B-2 내지 B-4에 있어서,
R300 내지 R312은 서로 같거나 상이하고, 각각 독립적으로 수소; 중수소; 니트릴기; 치환 또는 비치환된 알킬기; 치환 또는 비치환된 알케닐기; 치환 또는 비치환된 시클로알킬기; 치환 또는 비치환된 아릴기; 치환 또는 비치환된 방향족 또는 지방족의 헤테로고리기; 치환 또는 비치환된 알콕시기; 치환 또는 비치환된 아릴옥시기; 치환 또는 비치환된 알킬아민기; 치환 또는 비치환된 아릴아민기; 치환 또는 비치환된 아르알킬아민기; 치환 또는 비치환된 알킬아릴아민기; 또는 치환 또는 비치환된 헤테로아릴아민기이거나 인접한 치환기와 서로 결합하여 고리를 형성한다.
본 명세서의 일 실시상태에 따르면, 상기 화학식 C의 U1 내지 U8 중 적어도 하나는 N이다.
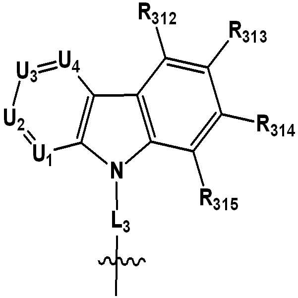
본 명세서의 일 실시상태에 따르면, 상기 화학식 C는 하기 화학식 C-1로 표시될 수 있다.
[화학식 C-1]
화학식 C-1에 있어서,
U1 내지 U4 및 L3는 화학식 C에서 정의한 바와 같고,
R312 내지 R315는 서로 같거나 상이하고, 각각 독립적으로 수소; 중수소; 니트릴기; 치환 또는 비치환된 알킬기; 치환 또는 비치환된 알케닐기; 치환 또는 비치환된 시클로알킬기; 치환 또는 비치환된 아릴기; 치환 또는 비치환된 방향족 또는 지방족의 헤테로고리기; 치환 또는 비치환된 알콕시기; 치환 또는 비치환된 아릴옥시기; 치환 또는 비치환된 알킬아민기; 치환 또는 비치환된 아릴아민기; 치환 또는 비치환된 아르알킬아민기; 치환 또는 비치환된 알킬아릴아민기; 또는 치환 또는 비치환된 헤테로아릴아민기이거나 인접한 치환기와 서로 결합하여 고리를 형성한다.
본 명세서의 일 실시상태에 따르면, 상기 화학식 C의 U1 내지 U4 중 적어도 하나는 N이다.
본 명세서의 일 실시상태에 따르면, 상기 화학식 C는 하기 화학식 C-2 또는 C-3으로 표시될 수 있다.
[화학식 C-2]
[화학식 C-3]
화학식 C-2 및 C-3에 있어서,
L3는 화학식 C에서 정의한 바와 같고,
R312 내지 R319는 서로 같거나 상이하고, 각각 독립적으로 수소; 중수소; 니트릴기; 치환 또는 비치환된 알킬기; 치환 또는 비치환된 알케닐기; 치환 또는 비치환된 시클로알킬기; 치환 또는 비치환된 아릴기; 치환 또는 비치환된 방향족 또는 지방족의 헤테로고리기; 치환 또는 비치환된 알콕시기; 치환 또는 비치환된 아릴옥시기; 치환 또는 비치환된 알킬아민기; 치환 또는 비치환된 아릴아민기; 치환 또는 비치환된 아르알킬아민기; 치환 또는 비치환된 알킬아릴아민기; 또는 치환 또는 비치환된 헤테로아릴아민기이거나 인접한 치환기와 서로 결합하여 고리를 형성한다.
본 명세서의 일 실시상태에 따르면, 상기 화학식 C는 하기 화학식 C-4 또는 C-5로 표시될 수 있다.
[화학식 C-4]
[화학식 C-5]
화학식 C-4 및 C-5에 있어서,
U1 내지 U4는 화학식 C에서 정의한 바와 같고,
R312 내지 R315 및 R320은 서로 같거나 상이하고, 각각 독립적으로 수소; 중수소; 니트릴기; 치환 또는 비치환된 알킬기; 치환 또는 비치환된 알케닐기; 치환 또는 비치환된 시클로알킬기; 치환 또는 비치환된 아릴기; 치환 또는 비치환된 방향족 또는 지방족의 헤테로고리기; 치환 또는 비치환된 알콕시기; 치환 또는 비치환된 아릴옥시기; 치환 또는 비치환된 알킬아민기; 치환 또는 비치환된 아릴아민기; 치환 또는 비치환된 아르알킬아민기; 치환 또는 비치환된 알킬아릴아민기; 또는 치환 또는 비치환된 헤테로아릴아민기이거나 인접한 치환기와 서로 결합하여 고리를 형성하고, q는 1 내지 4의 정수이다.
본 명세서의 일 실시상태에 따르면, 상기 화학식 D는 하기 화학식 D-1 또는 D-2로 표시될 수 있다.
[화학식 D-1]
[화학식 D-2]
화학식 D-1 및 D-2의 치환기들은 화학식 D에서 정의한 바와 같다.
본 명세서의 일 실시상태에 따르면, 상기 화학식 D의 R322는 치환 또는 비치환된 아릴기이다.
본 명세서의 일 실시상태에 따르면, 상기 화학식 D의 R322는 니트릴기로 치환 또는 비치환된 페닐기이다.
본 명세서의 일 실시상태에 따르면, 상기 화학식 1 내지 10에 있어서, Ar1 및 Ar2는 서로 같거나 상이하고, 각각 독립적으로 치환 또는 비치환된 아릴기; 또는 상기 화학식 A 내지 D 중 하나로 표시된다.
본 명세서의 일 실시상태에 따르면, 상기 화학식 1 내지 10에 있어서, Ar1 및 Ar2는 서로 같거나 상이하고, 각각 독립적으로 치환 또는 비치환된 아릴기; 치환 또는 비치환된 헤테로아릴기; 치환 또는 비치환된 아릴아민기; 또는 상기 화학식 A 내지 D 중 하나로 표시된다.
본 명세서의 일 실시상태에 따르면, 상기 화학식 1 내지 10에 있어서, Ar1 및 Ar2는 서로 같거나 상이하고, 각각 독립적으로 치환 또는 비치환된 페닐기; 치환 또는 비치환된 바이페닐기; 치환 또는 비치환된 터페닐기; 치환 또는 비치환된 나프틸기; 치환 또는 비치환된 페난트레닐기; 치환 또는 비치환된 플루오레닐기; 치환 또는 비치환된 카바졸릴기; 치환 또는 비치환된 페난트롤리닐기; 치환 또는 비치환된 벤조퀴놀릴기; 치환 또는 비치환된 디페닐아민기; 또는 상기 화학식 A 내지 D 중 하나로 표시된다.
본 명세서의 일 실시상태에 따르면, 상기 화학식 1 내지 10에 있어서, Ar1 및 Ar2는 서로 같거나 상이하고, 각각 독립적으로 페닐기; 바이페닐기; 터페닐기; 나프틸기; 페난트레닐기; 플루오레닐기; 카바졸릴기; 페난트롤리닐기; 벤조퀴놀릴기; 디페닐아민기; 또는 상기 화학식 A 내지 D 중 하나로 표시되고,
상기 Ar1 및 Ar2는 니트릴기, 알킬기 및 아릴기로 이루어진 군으로부터 선택되는 1 이상으로 치환 또는 비치환될 수 있다.
본 명세서의 일 실시상태에 따르면, 상기 화학식 1 내지 10에 있어서, Ar1 및 Ar2는 서로 같거나 상이하고, 각각 독립적으로 페닐기; 바이페닐기; 터페닐기; 나프틸기; 페난트레닐기; 플루오레닐기; 카바졸릴기; 페난트롤리닐기; 벤조퀴놀릴기; 디페닐아민기; 또는 상기 화학식 A 내지 D 중 하나로 표시되고,
상기 Ar1 및 Ar2는 니트릴기, 메틸기, 페닐기, 바이페닐기 및 나프틸기로 이루어진 군으로부터 선택되는 1 이상으로 치환 또는 비치환될 수 있다.
본 명세서의 일 실시상태에 따르면, 상기 화학식 1 내지 10에 있어서, Ar2는 상기 화학식 A 내지 D 중 하나로 표시된다.
본 명세서의 일 실시상태에 따르면, 상기 화학식 1 내지 10에 있어서, Ar1는 상기 화학식 A 내지 D 중 하나로 표시된다.
본 명세서의 일 실시상태에 따르면, 상기 화학식 1 내지 10에 있어서, Ar1은 수소; 또는 치환 또는 비치환된 아릴기이고, Ar2는 상기 화학식 A 내지 D 중 하나로 표시된다.
본 명세서의 일 실시상태에 따르면, 상기 화학식 1 내지 10에 있어서, Ar1은 상기 화학식 A 내지 D 중 하나로 표시되고, Ar2는 수소; 또는 치환 또는 비치환된 아릴기이다.
본 명세서의 일 실시상태에 따르면, 상기 화학식 1 내지 10에 있어서, Ar1 및 Ar2는 서로 같거나 상이하고, 각각 독립적으로 상기 화학식 A 내지 D 중 하나로 표시된다.
본 명세서의 일 실시상태에 따르면, 상기 화학식 1 내지 10에 있어서, Ar1 및 Ar2는 서로 같거나 상이하고, 각각 독립적으로 치환 또는 비치환된 페닐기; 치환 또는 비치환된 바이페닐기; 치환 또는 비치환된 터페닐기; 치환 또는 비치환된 나프틸기; 치환 또는 비치환된 페난트레닐기; 치환 또는 비치환된 플루오레닐기; 치환 또는 비치환된 카바졸릴기; 치환 또는 비치환된 페난트롤리닐기; 치환 또는 비치환된 벤조퀴놀릴기; 치환 또는 비치환된 디페닐아민기; 치환 또는 비치환된 피리딜기; 치환 또는 비치환된 피리미딜기; 치환 또는 비치환된 트리아지닐기; 또는 하기 화학식으로 표시되는 기일 수 있다.
본 명세서의 일 실시상태에 따르면, 상기 화학식 1 내지 10에 있어서, Ar1 및 Ar2는 서로 같거나 상이하고, 각각 독립적으로 페닐기; 바이페닐기; 치환 또는 비치환된 터페닐기; 나프틸기; 페난트레닐기; 플루오레닐기; 카바졸릴기; 페난트롤리닐기; 벤조퀴놀릴기; 디페닐아민기; 피리딜기; 피리미딜기; 트리아지닐기; 또는 하기 화학식으로 표시되는 기일 수 있으며,
상기 Ar1 및 Ar2는 니트릴기, 메틸기, 페닐기, 바이페닐기 및 나프틸기로 이루어진 군으로부터 선택되는 1 이상으로 치환 또는 비치환될 수 있다.
본 명세서의 일 실시상태에 따르면, 상기 화학식 1 내지 10에 있어서, Ar1 및 Ar2 중 적어도 하나는 니트릴기, 알킬기 및 아릴기로 이루어진 군으로부터 선택되는 1 이상으로 치환 또는 비치환된 피리딜기; 니트릴기, 알킬기 및 아릴기로 이루어진 군으로부터 선택되는 1 이상으로 치환 또는 비치환된 피리미딜기; 니트릴기, 알킬기 및 아릴기로 이루어진 군으로부터 선택되는 1 이상으로 치환 또는 비치환된 트리아지닐기; 또는 하기 화학식으로 표시되는 기일 수 있다.
본 명세서의 일 실시상태에 따르면, 상기 화학식 1 내지 10에 있어서, Ar1 및 Ar2 중 적어도 하나는 피리딜기; 니트릴기, 페닐기 및 바이페닐기로 이루어진 군으로부터 선택되는 1 이상으로 치환 또는 비치환된 피리미딜기; 니트릴기, 페닐기, 바이페닐기 및 나프틸기로 이루어진 군으로부터 선택되는 1 이상으로 치환 또는 비치환된 트리아지닐기; 또는 하기 화학식으로 표시되는 기일 수 있다.
본 명세서의 일 실시상태에 따르면, 상기 화학식 1은 하기 구조식들로 표시될 수 있으나, 이에만 한정되는 것은 아니다.
또한, 본 명세서의 또 하나의 실시상태는 상기 화학식 1로 표시되는 화합물을 포함하는 유기 발광 소자를 제공한다.
본 명세서의 일 실시상태에 따른 유기 발광 소자는, 제1 전극; 상기 제1 전극과 대향하여 구비된 제2 전극; 및 상기 제1 전극과 상기 제2 전극 사이에 구비된 1층 이상의 유기물층을 포함하고, 상기 유기물층 중 1 층 이상은 상기 화학식 1의 화합물을 포함한다.
본 명세서의 실시상태들에 따른 유기 발광 소자의 유기물층은 단층 구조로 이루어질 수도 있으나, 2층 이상의 유기물층이 적층된 다층 구조로 이루어질 수 있다. 예컨대, 본 명세서의 실시상태들에 따른 유기 발광 소자는 유기물층으로서 정공주입층, 정공수송층, 발광층, 전자수송층, 전자주입층 등을 포함하는 구조를 가질 수 있다. 그러나, 유기 발광 소자의 구조는 이에 한정되지 않고 더 적은 수의 유기층을 포함할 수 있다.
또 하나의 실시상태에 있어서, 상기 유기물층은 전자수송층, 전자주입층, 전자수송 및 전자주입을 동시에 하는 층, 발광층, 정공수송층, 정공주입층 또는 정공수송 및 정공주입을 동시에 하는 층을 포함하고, 상기 전자수송층, 전자주입층, 전자수송 및 전자주입을 동시에 하는 층, 발광층, 정공수송층, 정공주입층 또는 정공수송 및 정공주입을 동시에 하는 층은 상기 화학식 1의 화합물을 포함한다.
본 명세서의 일 실시상태에 따르면, 상기 유기물층은 전자수송층, 전자주입층 또는 전자수송 및 전자주입을 동시에 하는 층을 포함하고, 상기 전자수송층, 전자주입층 또는 전자수송 및 전자주입을 동시에 하는 층은 상기 화학식 1의 화합물을 포함한다.
본 명세서의 일 실시상태에 있어서, 상기 발광층은 상기 화학식 1의 화합물을 포함한다.
본 명세서의 일 실시상태에 있어서, 상기 발광층은 상기 화학식 1의 화합물을 호스트로서 포함한다.
상기 도펀트는 하기 예시하는 화합물 중에서 선택되는 1 이상일 수 있으나, 이에만 한정되는 것은 아니다.
본 명세서의 일 실시상태에 있어서, 상기 유기물층은 정공주입층, 정공수송층 또는 정공수송 및 정공주입을 동시에 하는 층을 포함하고, 상기 정공주입층, 정공수송층 또는 정공수송 및 정공주입을 동시에 하는 층은 상기 화학식 1의 화합물을 포함한다.
본 명세서의 일 실시상태에 있어서, 상기 유기물층은 상기 화학식 1의 화합물을 포함하는 유기물층 이외에 아릴아미노기, 카바졸기 또는 벤조카바졸기를 포함하는 화합물을 포함하는 정공주입층 또는 정공수송층을 더 포함할 수 있다.
본 명세서의 일 실시상태에 있어서, 상기 화학식 1의 화합물을 포함하는 유기물층은 상기 화학식 1의 화합물을 호스트로서 포함하고, 다른 유기화합물, 금속 또는 금속화합물을 도펀트로 포함할 수 있다.
또 하나의 실시상태에 있어서, 유기 발광 소자는 기판 상에 양극, 1층 이상의 유기물층 및 음극이 순차적으로 적층된 구조(normal type)의 유기 발광 소자일 수 있다.
또 하나의 실시상태에 있어서, 유기 발광 소자는 기판 상에 음극, 1층 이상의 유기물층 및 양극이 순차적으로 적층된 역방향 구조(inverted type)의 유기 발광 소자일 수 있다.
예컨대, 본 발명에 따른 유기 발광 소자의 구조는 도 1 내지 5에 예시되어 있다.
도 1에는 기판(1) 위에 양극(2), 정공 주입층(3), 정공 수송층(4), 발광층(5), 전자 수송층(6) 및 음극(7)이 순차적으로 적층된 유기 발광 소자의 구조가 예시되어 있다. 이와 같은 구조에 있어서, 상기 화학식 1로 표시되는 화합물은 상기 정공 주입층(3), 정공 수송층(4), 발광층(5) 또는 전자 수송층(6)에 포함될 수 있다.
도 2에는 기판(1) 위에 양극(2), 정공 주입층(3), 정공 수송층(4), 발광층(5) 및 음극(7)이 순차적으로 적층된 유기 발광 소자의 구조가 예시되어 있다. 이와 같은 구조에 있어서, 상기 화학식 1로 표시되는 화합물은 상기 정공 주입층(3), 정공 수송층(4) 또는 발광층(5)에 포함될 수 있다.
도 3에는 기판(1) 위에 양극(2), 정공 수송층(4), 발광층(5), 전자 수송층(6) 및 음극(7)이 순차적으로 적층된 유기 발광 소자의 구조가 예시되어 있다. 이와 같은 구조에 있어서, 상기 화학식 1로 표시되는 화합물은 상기 정공 수송층(4), 발광층(5) 또는 전자 수송층(6)에 포함될 수 있다.
도 4에는 기판(1) 위에 양극(2), 발광층(5), 전자 수송층(6) 및 음극(7)이 순차적으로 적층된 유기 발광 소자의 구조가 예시되어 있다. 이와 같은 구조에 있어서, 상기 화학식 1로 표시되는 화합물은 상기 발광층(5) 또는 전자 수송층(6)에 포함될 수 있다.
도 5에는 기판(1) 위에 양극(2), 발광층(5) 및 음극(7)이 순차적으로 적층된 유기 발광 소자의 구조가 예시되어 있다. 이와 같은 구조에 있어서, 상기 화학식 1로 표시되는 화합물은 상기 발광층(5)에 포함될 수 있다.
상기 유기 발광 소자가 복수개의 유기물층을 포함하는 경우, 상기 유기물층은 동일한 물질 또는 다른 물질로 형성될 수 있다.
본 명세서의 유기 발광 소자는 유기물층 중 1층 이상이 본 명세서의 화합물, 즉 상기 화학식 1의 화합물을 포함하는 것을 제외하고는 당 기술분야에 알려져 있는 재료와 방법으로 제조될 수 있다.
예컨대, 본 명세서의 유기 발광 소자는 기판 상에 제1 전극, 유기물층 및 제2 전극을 순차적으로 적층시킴으로써 제조할 수 있다. 이 때 스퍼터링법(sputtering)이나 전자빔 증발법(e-beam evaporation)과 같은 PVD(Physical Vapor Deposition)방법을 이용하여, 기판 상에 금속 또는 전도성을 가지는 금속 산화물 또는 이들의 합금을 증착시켜 양극을 형성하고, 그 위에 정공 주입층, 정공 수송층, 발광층 및 전자 수송층을 포함하는 유기물층을 형성한 후, 그 위에 음극으로 사용할 수 있는 물질을 증착시킴으로써 제조될 수 있다. 이와 같은 방법 외에도, 기판 상에 음극 물질부터 유기물층, 양극 물질을 차례로 증착시켜 유기 발광 소자를 만들 수 있다.
또한, 상기 화학식 1의 화합물은 유기 발광 소자의 제조시 진공 증착법 뿐만 아니라 용액 도포법에 의하여 유기물층으로 형성될 수 있다. 여기서, 용액 도포법이라 함은 스핀 코팅, 딥코팅, 닥터 블레이딩, 잉크젯프린팅, 스크린 프린팅, 스프레이법, 롤 코팅 등을 의미하지만, 이들만으로 한정되는 것은 아니다.
이와 같은 방법 외에도, 기판 상에 음극 물질로부터 유기물층, 양극 물질을 차례로 증착시켜 유기 발광 소자를 만들 수도 있다 (국제 특허 출원 공개 제 2003/012890호). 다만, 제조 방법이 이에 한정되는 것은 아니다.
본 명세서의 일 실시상태에 있어서, 상기 제1 전극은 양극이고, 상기 제2 전극은 음극이다.
또 하나의 실시상태에 있어서, 상기 제1 전극은 음극이고, 상기 제2 전극은 양극이다.
상기 양극 물질로는 통상 유기물층으로 정공 주입이 원활할 수 있도록 일함수가 큰 물질이 바람직하다. 본 발명에서 사용될 수 있는 양극 물질의 구체적인 예로는 바나듐, 크롬, 구리, 아연, 금과 같은 금속 또는 이들의 합금; 아연 산화물, 인듐 산화물, 인듐주석 산화물(ITO), 인듐아연 산화물(IZO)과 같은 금속 산화물; ZnO:Al 또는 SNO2 : Sb와 같은 금속과 산화물의 조합; 폴리(3-메틸티오펜), 폴리[3,4-(에틸렌-1,2-디옥시)티오펜](PEDOT), 폴리피롤 및 폴리아닐린과 같은 전도성 고분자 등이 있으나, 이들에만 한정되는 것은 아니다.
상기 음극 물질로는 통상 유기물층으로 전자 주입이 용이하도록 일함수가 작은 물질인 것이 바람직하다. 음극 물질의 구체적인 예로는 마그네슘, 칼슘, 나트륨, 칼륨, 티타늄, 인듐, 이트륨, 리튬, 가돌리늄, 알루미늄, 은, 주석 및 납과 같은 금속 또는 이들의 합금; LiF/Al 또는 LiO2/Al과 같은 다층 구조 물질 등이 있으나, 이들에만 한정되는 것은 아니다.
상기 정공 주입 물질로는 전극으로부터 정공을 주입하는 층으로, 정공 주입 물질로는 정공을 수송하는 능력을 가져 양극에서의 정공 주입효과, 발광층 또는 발광재료에 대하여 우수한 정공 주입 효과를 갖고, 발광층에서 생성된 여기자의 전자주입층 또는 전자주입재료에의 이동을 방지하며, 또한, 박막 형성 능력이 우수한 화합물이 바람직하다. 정공 주입 물질의 HOMO(highest occupied molecular orbital)가 양극 물질의 일함수와 주변 유기물층의 HOMO 사이인 것이 바람직하다. 정공 주입 물질의 구체적인 예로는 금속 포피린(porphyrin), 올리고티오펜, 아릴아민 계열의 유기물, 헥사니트릴헥사아자트리페닐렌 계열의 유기물, 퀴나크리돈(quinacridone)계열의 유기물, 페릴렌(perylene) 계열의 유기물, 안트라퀴논 및 폴리아닐린과 폴리티오펜 계열의 전도성 고분자 등이 있으나, 이들에만 한정 되는 것은 아니다.
상기 정공수송층은 정공주입층으로부터 정공을 수취하여 발광층까지 정공을 수송하는 층으로, 정공 수송 물질로는 양극이나 정공 주입층으로부터 정공을 수송받아 발광층으로 옮겨줄 수 있는 물질로 정공에 대한 이동성이 큰 물질이 적합하다. 구체적인 예로는 아릴아민 계열의 유기물, 전도성 고분자, 및 공액 부분과 비공액 부분이 함께 있는 블록 공중합체 등이 있으나, 이들에만 한정되는 것은 아니다.
상기 발광 물질로는 정공 수송층과 전자 수송층으로부터 정공과 전자를 각각 수송받아 결합시킴으로써 가시광선 영역의 빛을 낼 수 있는 물질로서, 형광이나 인광에 대한 양자 효율이 좋은 물질이 바람직하다. 구체적인 예로는 8-히드록시-퀴놀린 알루미늄 착물(Alq3); 카르바졸 계열 화합물; 이량체화 스티릴(dimerized styryl) 화합물; BAlq; 10-히드록시벤조 퀴놀린-금속 화합물; 벤족사졸, 벤즈티아졸 및 벤즈이미다졸 계열의 화합물; 폴리(p-페닐렌비닐렌)(PPV) 계열의 고분자; 스피로(spiro) 화합물; 폴리플루오렌, 루브렌 등이 있으나, 이들에만 한정되는 것은 아니다.
상기 발광층은 호스트 재료 및 도펀트 재료를 포함할 수 있다. 호스트 재료는 축합 방향족환 유도체 또는 헤테로환 함유 화합물 등이 있다. 구체적으로 축합 방향족환 유도체로는 안트라센 유도체, 피렌 유도체, 나프탈렌 유도체, 펜타센 유도체, 페난트렌 화합물, 플루오란텐 화합물 등이 있고, 헤테로환 함유 화합물로는 카바졸 유도체, 디벤조퓨란 유도체, 래더형 퓨란 화합물, 피리미딘 유도체 등이 있으나, 이에 한정되지 않는다.
도펀트 재료로는 방향족 아민 유도체, 스트릴아민 화합물, 붕소 착체, 플루오란텐 화합물, 금속 착체 등이 있다. 구체적으로 방향족 아민 유도체로는 치환 또는 비치환된 아릴아미노기를 갖는 축합 방향족환 유도체로서, 아릴아미노기를 갖는 피렌, 안트라센, 크리센, 페리플란텐 등이 있으며, 스티릴아민 화합물로는 치환 또는 비치환된 아릴아민에 적어도 1개의 아릴비닐기가 치환되어 있는 화합물로, 아릴기, 실릴기, 알킬기, 시클로알킬기 및 아릴아미노기로 이루어진 군에서 1 또는 2 이상 선택되는 치환기가 치환 또는 비치환된다. 구체적으로 스티릴아민, 스티릴디아민, 스티릴트리아민, 스티릴테트라아민 등이 있으나, 이에 한정되지 않는다. 또한, 금속 착체로는 이리듐 착체, 백금 착체 등이 있으나, 이에 한정되지 않는다.
상기 전자 수송 물질로는 전자주입층으로부터 전자를 수취하여 발광층까지 전자를 수송하는 층으로 전자 수송 물질로는 음극으로부터 전자를 잘 주입 받아 발광층으로 옮겨줄 수 있는 물질로서, 전자에 대한 이동성이 큰 물질이 적합하다. 구체적인 예로는 8-히드록시퀴놀린의 Al착물; Alq3를 포함한 착물; 유기 라디칼 화합물; 히드록시플라본-금속 착물 등이 있으나, 이들에만 한정되는 것은 아니다. 전자 수송층은 종래기술에 따라 사용된 바와 같이 임의의 원하는 캐소드 물질과 함께 사용할 수 있다. 특히, 적절한 캐소드 물질의 예는 낮은 일함수를 가지고 알루미늄층 또는 실버층이 뒤따르는 통상적인 물질이다. 구체적으로 세슘, 바륨, 칼슘, 이테르븀 및 사마륨이고, 각 경우 알루미늄 층 또는 실버층이 뒤따른다.
상기 전자주입층은 전극으로부터 전자를 주입하는 층으로, 전자를 수송하는 능력을 갖고, 음극으로부터의 전자주입 효과, 발광층 또는 발광 재료에 대하여 우수한 전자주입 효과를 가지며, 발광층에서 생성된 여기자의 정공 주입층에의 이동을 방지하고, 또한, 박막형성능력이 우수한 화합물이 바람직하다. 구체적으로는 플루오레논, 안트라퀴노다이메탄, 다이페노퀴논, 티오피란 다이옥사이드, 옥사졸, 옥사다이아졸, 트리아졸, 이미다졸, 페릴렌테트라카복실산, 프레오레닐리덴 메탄, 안트론 등과 그들의 유도체, 금속 착체 화합물 및 함질소 5원환 유도체 등이 있으나, 이에 한정되지 않는다.
상기 금속 착체 화합물로서는 8-하이드록시퀴놀리나토 리튬, 비스(8-하이드록시퀴놀리나토)아연, 비스(8-하이드록시퀴놀리나토)구리, 비스(8-하이드록시퀴놀리나토)망간, 트리스(8-하이드록시퀴놀리나토)알루미늄, 트리스(2-메틸-8-하이드록시퀴놀리나토)알루미늄, 트리스(8-하이드록시퀴놀리나토)갈륨, 비스(10-하이드록시벤조[h]퀴놀리나토)베릴륨, 비스(10-하이드록시벤조[h]퀴놀리나토)아연, 비스(2-메틸-8-퀴놀리나토)클로로갈륨, 비스(2-메틸-8-퀴놀리나토)(o-크레졸라토)갈륨, 비스(2-메틸-8-퀴놀리나토)(1-나프톨라토)알루미늄, 비스(2-메틸-8-퀴놀리나토)(2-나프톨라토)갈륨 등이 있으나, 이에 한정되지 않는다.
본 명세서에 따른 유기 발광 소자는 사용되는 재료에 따라 전면 발광형, 후면 발광형 또는 양면 발광형일 수 있다.
이하, 실시예를 통하여 본 발명을 더욱 상세히 설명한다. 다만, 하기 실시예는 본 발명을 예시하기 위한 것일 뿐 본 발명의 범위를 한정할 것을 의도한 것은 아니다.
본 명세서에 따른 화학식 1로 표시되는 화합물은 다단계 화학반응으로 제조할 수 있다. 상기 화합물들의 제조는 하기 제조예에 의해 기술된다.
상기 화학식 1로 표시되는 화합물은 하기 반응식 1-1 내지 반응식 1-9 과 같은 방법 및 순서로 각각 화학식 2 내지 10에 해당하는 화합물의 코어를 제조할 수 있으며, 이와 같은 반응에만 한정하는 것은 아니나, 이해를 돕기 위해 간략히 반응식을 기술하였다.
<제조예>
반응식 1-1. 화학식 2의 제조
1) 화학식 a의 제조
2) 화학식 2의 제조
반응식 1-2. 화학식 3의 제조
반응식 1-3. 화학식 4의 제조
반응식 1-4. 화학식 5의 제조
1) 화학식 b의 제조
2) 화학식 5의 제조
반응식 1-5. 화학식 6의 제조
반응식 1-6. 화학식 7의 제조
반응식 1-7. 화학식 8의 제조
1) 화학식 c의 제조
2) 화학식 8의 제조
반응식 1-8. 화학식 9의 제조
반응식 1-9. 화학식 10의 제조
상기 반응식 1-1 내지 1-9에서, L1, L2, Ar1 및 Ar2의 정의는 상기 화학식 1과 동일하고, L1, L2, Ar1 및 Ar2를 변형시켜서 상기 화학식 2 내지 10으로 표시되는 화합물을 다양하게 제조할 수 있다.
1: 기판
2: 양극
3: 정공주입층
4: 정공수송층
5: 발광층
6: 전자수송층
7: 음극
2: 양극
3: 정공주입층
4: 정공수송층
5: 발광층
6: 전자수송층
7: 음극
Claims (16)
- 하기 화학식 1로 표시되는 화합물:
[화학식 1]
화학식 1에 있어서,
R9와 R10이 서로 결합하여 고리를 형성하거나, R10과 R11이 서로 결합하여 고리를 형성하거나, R11과 R12가 결합하여 고리를 형성하며, 형성된 고리는 치환기 (R20)m을 포함하고,
m은 1 내지 4의 정수이고, m이 2 이상인 경우 R20은 서로 같거나 상이하며,
R9 내지 R12 중 고리를 형성하지 않는 기, R1 내지 R8, R13 내지 R18, R20, Ar1 및 Ar2는 서로 같거나 상이하고, 각각 독립적으로 수소; 중수소; 니트릴기; 치환 또는 비치환된 알킬기; 치환 또는 비치환된 알케닐기; 치환 또는 비치환된 시클로알킬기; 치환 또는 비치환된 아릴기; 치환 또는 비치환된 방향족 또는 지방족의 헤테로고리기; 치환 또는 비치환된 알콕시기; 치환 또는 비치환된 아릴옥시기; 치환 또는 비치환된 알킬아민기; 치환 또는 비치환된 아릴아민기; 치환 또는 비치환된 아르알킬아민기; 치환 또는 비치환된 알킬아릴아민기; 또는 치환 또는 비치환된 헤테로아릴아민기이거나, 인접한 치환기와 서로 결합하여 고리를 형성하며,
L1 및 L2는 서로 같거나 상이하고, 각각 독립적으로 직접결합; 치환 또는 비치환된 아릴렌기; 또는 치환 또는 비치환된 헤테로아릴렌기이고, L1은 R1 또는 R18과 결합하여 고리를 형성할 수 있다. - 청구항 1에 있어서, 상기 Ar1 및 Ar2 중 적어도 하나는 하기 화학식 A 내지 D 중 하나로 표시되는 것인 화합물:
[화학식 A]
화학식 A에 있어서,
Y1 내지 Y3는 서로 같거나 상이하고, 각각 독립적으로 N 또는 CRd이고,
R201 및 Rd는 서로 같거나 상이하고, 각각 독립적으로 수소; 중수소; 니트릴기; 치환 또는 비치환된 알킬기; 치환 또는 비치환된 알케닐기; 치환 또는 비치환된 시클로알킬기; 치환 또는 비치환된 아릴기; 치환 또는 비치환된 방향족 또는 지방족의 헤테로고리기; 치환 또는 비치환된 알콕시기; 치환 또는 비치환된 아릴옥시기; 치환 또는 비치환된 알킬아민기; 치환 또는 비치환된 아릴아민기; 치환 또는 비치환된 아르알킬아민기; 치환 또는 비치환된 알킬아릴아민기; 또는 치환 또는 비치환된 헤테로아릴아민기이거나 인접한 치환기와 서로 결합하여 고리를 형성하며,
[화학식 B]
화학식 B에 있어서,
T1 및 T2는 서로 같거나 상이하고, 각각 독립적으로 N 또는 CRe이고,
R300 내지 R305 및 Re는 서로 같거나 상이하고, 각각 독립적으로 수소; 중수소; 니트릴기; 치환 또는 비치환된 알킬기; 치환 또는 비치환된 알케닐기; 치환 또는 비치환된 시클로알킬기; 치환 또는 비치환된 아릴기; 치환 또는 비치환된 방향족 또는 지방족의 헤테로고리기; 치환 또는 비치환된 알콕시기; 치환 또는 비치환된 아릴옥시기; 치환 또는 비치환된 알킬아민기; 치환 또는 비치환된 아릴아민기; 치환 또는 비치환된 아르알킬아민기; 치환 또는 비치환된 알킬아릴아민기; 또는 치환 또는 비치환된 헤테로아릴아민기이거나 인접한 치환기와 서로 결합하여 고리를 형성하고, n은 1 또는 2이며,
n이 2 인 경우, R305는 서로 같거나 상이하며,
[화학식 C]
화학식 C에 있어서,
U1 내지 U8은 서로 같거나 상이하고, 각각 독립적으로 N 또는 CRf이고,
L3는 직접결합; 치환 또는 비치환된 아릴렌기; 또는 치환 또는 비치환된 헤테로아릴렌기이며,
Rf는 서로 같거나 상이하고, 각각 독립적으로 수소; 중수소; 니트릴기; 치환 또는 비치환된 알킬기; 치환 또는 비치환된 알케닐기; 치환 또는 비치환된 시클로알킬기; 치환 또는 비치환된 아릴기; 치환 또는 비치환된 방향족 또는 지방족의 헤테로고리기; 치환 또는 비치환된 알콕시기; 치환 또는 비치환된 아릴옥시기; 치환 또는 비치환된 알킬아민기; 치환 또는 비치환된 아릴아민기; 치환 또는 비치환된 아르알킬아민기; 치환 또는 비치환된 알킬아릴아민기; 또는 치환 또는 비치환된 헤테로아릴아민기이거나 인접한 치환기와 서로 결합하여 고리를 형성하고,
[화학식 D]
화학식 D에 있어서, U9 및 U10 중 하나는 N이고, 나머지는 CRg이고,
L4는 직접결합; 치환 또는 비치환된 아릴렌기; 또는 치환 또는 비치환된 헤테로아릴렌기이며,
Rg, R321 및 R322는 서로 같거나 상이하고, 각각 독립적으로 수소; 중수소; 니트릴기; 치환 또는 비치환된 알킬기; 치환 또는 비치환된 알케닐기; 치환 또는 비치환된 시클로알킬기; 치환 또는 비치환된 아릴기; 치환 또는 비치환된 방향족 또는 지방족의 헤테로고리기; 치환 또는 비치환된 알콕시기; 치환 또는 비치환된 아릴옥시기; 치환 또는 비치환된 알킬아민기; 치환 또는 비치환된 아릴아민기; 치환 또는 비치환된 아르알킬아민기; 치환 또는 비치환된 알킬아릴아민기; 또는 치환 또는 비치환된 헤테로아릴아민기이거나 인접한 치환기와 서로 결합하여 고리를 형성하고, q는 1 내지 5의 정수이며,
q가 2 이상인 경우, 2 이상의 R321은 서로 같거나 상이하다. - 청구항 1에 있어서, 상기 화학식 1은 하기 화학식 5 내지 7 중 하나로 표시되는 것인 화합물:
[화학식 5]
[화학식 6]
[화학식 7]
화학식 5 내지 7에 있어서, R1 내지 R18, R20, m, L2, Ar1 및 Ar2는 화학식 1에서 정의한 바와 같고,
R19는 수소; 중수소; 치환 또는 비치환된 알킬기; 치환 또는 비치환된 알케닐기; 치환 또는 비치환된 시클로알킬기; 치환 또는 비치환된 아릴기; 치환 또는 비치환된 방향족 또는 지방족의 헤테로고리기; 치환 또는 비치환된 알콕시기; 치환 또는 비치환된 아릴옥시기; 치환 또는 비치환된 알킬아민기; 치환 또는 비치환된 아릴아민기; 치환 또는 비치환된 아르알킬아민기; 치환 또는 비치환된 알킬아릴아민기; 또는 치환 또는 비치환된 헤테로아릴아민기이거나, 인접한 치환기와 서로 결합하여 고리를 형성하며, n은 1 내지 4의 정수이고, n이 2 이상인 경우 R19는 같거나 상이하다. - 청구항 1에 있어서, 상기 화학식 1은 하기 화학식 8 내지 10 중 하나로 표시되는 것인 화합물:
[화학식 8]
[화학식 9]
[화학식 10]
상기 화학식 8 내지 10에 있어서, R1 내지 R18, R20, m, L2, Ar1 및 Ar2는 화학식 1에서 정의한 바와 같고,
R19는 수소; 중수소; 치환 또는 비치환된 알킬기; 치환 또는 비치환된 알케닐기; 치환 또는 비치환된 시클로알킬기; 치환 또는 비치환된 아릴기; 치환 또는 비치환된 방향족 또는 지방족의 헤테로고리기; 치환 또는 비치환된 알콕시기; 치환 또는 비치환된 아릴옥시기; 치환 또는 비치환된 알킬아민기; 치환 또는 비치환된 아릴아민기; 치환 또는 비치환된 아르알킬아민기; 치환 또는 비치환된 알킬아릴아민기; 또는 치환 또는 비치환된 헤테로아릴아민기이거나, 인접한 치환기와 서로 결합하여 고리를 형성하며, p은 1 내지 3의 정수이고, p가 2 이상인 경우 R19는 같거나 상이하다. - 청구항 2에 있어서, 상기 화학식 A는 하기 화학식 A-5로 표시되는 것인 화합물:
[화학식 A-5]
화학식 A-5에 있어서, Y1 및 Y2는 화학식 A에서 정의한 바와 같고,
Z1 내지 Z4는 서로 같거나 상이하고, 각각 독립적으로 N 또는 CRc이고,
Rc는 서로 같거나 상이하고, 각각 독립적으로 수소; 중수소; 니트릴기; 치환 또는 비치환된 알킬기; 치환 또는 비치환된 알케닐기; 치환 또는 비치환된 시클로알킬기; 치환 또는 비치환된 아릴기; 치환 또는 비치환된 방향족 또는 지방족의 헤테로고리기; 치환 또는 비치환된 알콕시기; 치환 또는 비치환된 아릴옥시기; 치환 또는 비치환된 알킬아민기; 치환 또는 비치환된 아릴아민기; 치환 또는 비치환된 아르알킬아민기; 치환 또는 비치환된 알킬아릴아민기; 또는 치환 또는 비치환된 헤테로아릴아민기이거나 인접한 치환기와 서로 결합하여 고리를 형성한다. - 청구항 6에 있어서, 상기 화학식 A-5은 하기 화학식 A-6 내지 A-9 중 하나로 표시되는 것인 화합물.
[화학식 A-6]
[화학식 A-7]
[화학식 A-8]
[화학식 A-9]
화학식 A-6 내지 A-9에 있어서,
Y1 및 Y2는 화학식 A에서 정의한 바와 같고,
Q는 직접결합, C(=O), 또는 CRhRi이며,
R202 내지 R205, R210 내지 R216, Rh 및 Ri는 서로 같거나 상이하고, 각각 독립적으로 수소; 중수소; 니트릴기; 치환 또는 비치환된 알킬기; 치환 또는 비치환된 알케닐기; 치환 또는 비치환된 시클로알킬기; 치환 또는 비치환된 아릴기; 치환 또는 비치환된 방향족 또는 지방족의 헤테로고리기; 치환 또는 비치환된 알콕시기; 치환 또는 비치환된 아릴옥시기; 치환 또는 비치환된 알킬아민기; 치환 또는 비치환된 아릴아민기; 치환 또는 비치환된 아르알킬아민기; 치환 또는 비치환된 알킬아릴아민기; 또는 치환 또는 비치환된 헤테로아릴아민기이거나 인접한 치환기와 서로 결합하여 고리를 형성한다. - 청구항 6에 있어서, 상기 화학식 A-5은 하기 화학식 A-10 내지 A-13 중 하나로 표시되는 것인 화합물:
[화학식 A-10]
[화학식 A-11]
[화학식 A-12]
[화학식 A-13]
화학식 A-10 내지 A-13에 있어서,
R202 내지 R209는 서로 같거나 상이하고, 각각 독립적으로 수소; 중수소; 니트릴기; 치환 또는 비치환된 알킬기; 치환 또는 비치환된 알케닐기; 치환 또는 비치환된 시클로알킬기; 치환 또는 비치환된 아릴기; 치환 또는 비치환된 방향족 또는 지방족의 헤테로고리기; 치환 또는 비치환된 알콕시기; 치환 또는 비치환된 아릴옥시기; 치환 또는 비치환된 알킬아민기; 치환 또는 비치환된 아릴아민기; 치환 또는 비치환된 아르알킬아민기; 치환 또는 비치환된 알킬아릴아민기; 또는 치환 또는 비치환된 헤테로아릴아민기이거나 인접한 치환기와 서로 결합하여 고리를 형성한다. - 청구항 7에 있어서, 상기 화학식 A-9는 하기 화학식 A-14 내지 A-16 중 하나로 표시되는 것인 화합물:
[화학식 A-14]
[화학식 A-15]
[화학식 A-16]
화학식 A-14 내지 A-16에 있어서,
R210 내지 R218은 서로 같거나 상이하고, 각각 독립적으로 수소; 중수소; 니트릴기; 치환 또는 비치환된 알킬기; 치환 또는 비치환된 알케닐기; 치환 또는 비치환된 시클로알킬기; 치환 또는 비치환된 아릴기; 치환 또는 비치환된 방향족 또는 지방족의 헤테로고리기; 치환 또는 비치환된 알콕시기; 치환 또는 비치환된 아릴옥시기; 치환 또는 비치환된 알킬아민기; 치환 또는 비치환된 아릴아민기; 치환 또는 비치환된 아르알킬아민기; 치환 또는 비치환된 알킬아릴아민기; 또는 치환 또는 비치환된 헤테로아릴아민기이거나 인접한 치환기와 서로 결합하여 고리를 형성한다. - 청구항 2에 있어서, 상기 화학식 B는 하기 화학식 B-2 내지 B-4 중 하나로 표시되는 것인 화합물:
[화학식 B-2]
[화학식 B-3]
[화학식 B-4]
화학식 B-2 내지 B-4에 있어서,
R300 내지 R312은 서로 같거나 상이하고, 각각 독립적으로 수소; 중수소; 니트릴기; 치환 또는 비치환된 알킬기; 치환 또는 비치환된 알케닐기; 치환 또는 비치환된 시클로알킬기; 치환 또는 비치환된 아릴기; 치환 또는 비치환된 방향족 또는 지방족의 헤테로고리기; 치환 또는 비치환된 알콕시기; 치환 또는 비치환된 아릴옥시기; 치환 또는 비치환된 알킬아민기; 치환 또는 비치환된 아릴아민기; 치환 또는 비치환된 아르알킬아민기; 치환 또는 비치환된 알킬아릴아민기; 또는 치환 또는 비치환된 헤테로아릴아민기이거나 인접한 치환기와 서로 결합하여 고리를 형성한다. - 청구항 2에 있어서, 상기 화학식 C는 하기 화학식 C-2 또는 C-3으로 표시되는 것인 화합물:
[화학식 C-2]
[화학식 C-3]
화학식 C-2 및 C-3에 있어서,
L3는 화학식 C에서 정의한 바와 같고,
R312 내지 R319는 서로 같거나 상이하고, 각각 독립적으로 수소; 중수소; 니트릴기; 치환 또는 비치환된 알킬기; 치환 또는 비치환된 알케닐기; 치환 또는 비치환된 시클로알킬기; 치환 또는 비치환된 아릴기; 치환 또는 비치환된 방향족 또는 지방족의 헤테로고리기; 치환 또는 비치환된 알콕시기; 치환 또는 비치환된 아릴옥시기; 치환 또는 비치환된 알킬아민기; 치환 또는 비치환된 아릴아민기; 치환 또는 비치환된 아르알킬아민기; 치환 또는 비치환된 알킬아릴아민기; 또는 치환 또는 비치환된 헤테로아릴아민기이거나 인접한 치환기와 서로 결합하여 고리를 형성한다. - 제1 전극; 상기 제1 전극과 대향하여 구비되는 제2 전극; 및 상기 제1 전극과 상기 제2 전극 사이에 구비되는 발광층을 포함한 1층 이상의 유기물층을 포함하는 유기 발광 소자로서, 상기 유기물층 중 1층 이상이 청구항 1 내지 13 중 어느 한 항에 따른 화합물을 포함하는 것인 유기 발광 소자.
- 청구항 14에 있어서, 상기 유기물층은 전자수송층, 전자주입층, 전자수송 및 전자주입을 동시에 하는 층, 발광층, 정공수송층, 정공주입층 또는 정공수송 및 정공주입을 동시에 하는 층을 포함하고, 상기 전자수송층, 전자주입층, 전자수송 및 전자주입을 동시에 하는 층, 발광층, 정공수송층, 정공주입층 또는 정공수송 및 정공주입을 동시에 하는 층은 상기 화학식 1의 화합물을 포함하는 것인 유기 발광 소자.
- 청구항 14에 있어서, 상기 발광층은 상기 화학식 1의 화합물을 포함하는 것인 유기 발광 소자.
Priority Applications (1)
| Application Number | Priority Date | Filing Date | Title |
|---|---|---|---|
| KR1020150120171A KR101773670B1 (ko) | 2014-09-05 | 2015-08-26 | 함질소 축합고리 화합물 및 이를 이용한 유기 발광 소자 |
Applications Claiming Priority (2)
| Application Number | Priority Date | Filing Date | Title |
|---|---|---|---|
| KR20140119113 | 2014-09-05 | ||
| KR1020140119113 | 2014-09-05 |
Publications (1)
| Publication Number | Publication Date |
|---|---|
| KR20160029634A true KR20160029634A (ko) | 2016-03-15 |
Family
ID=55542180
Family Applications (5)
| Application Number | Title | Priority Date | Filing Date |
|---|---|---|---|
| KR1020150036949A Pending KR20160029634A (ko) | 2014-09-05 | 2015-03-17 | 함질소 축합고리 화합물 및 이를 이용한 유기 발광 소자 |
| KR1020150036951A Pending KR20160029635A (ko) | 2014-09-05 | 2015-03-17 | 함질소 축합고리 화합물 및 이를 이용한 유기 발광 소자 |
| KR1020150120168A Active KR101779664B1 (ko) | 2014-09-05 | 2015-08-26 | 함질소 축합고리 화합물 및 이를 이용한 유기 발광 소자 |
| KR1020150120171A Active KR101773670B1 (ko) | 2014-09-05 | 2015-08-26 | 함질소 축합고리 화합물 및 이를 이용한 유기 발광 소자 |
| KR1020150120166A Active KR101774643B1 (ko) | 2014-09-05 | 2015-08-26 | 함질소 헤테로환 화합물 및 이를 이용한 유기 발광 소자 |
Family Applications After (4)
| Application Number | Title | Priority Date | Filing Date |
|---|---|---|---|
| KR1020150036951A Pending KR20160029635A (ko) | 2014-09-05 | 2015-03-17 | 함질소 축합고리 화합물 및 이를 이용한 유기 발광 소자 |
| KR1020150120168A Active KR101779664B1 (ko) | 2014-09-05 | 2015-08-26 | 함질소 축합고리 화합물 및 이를 이용한 유기 발광 소자 |
| KR1020150120171A Active KR101773670B1 (ko) | 2014-09-05 | 2015-08-26 | 함질소 축합고리 화합물 및 이를 이용한 유기 발광 소자 |
| KR1020150120166A Active KR101774643B1 (ko) | 2014-09-05 | 2015-08-26 | 함질소 헤테로환 화합물 및 이를 이용한 유기 발광 소자 |
Country Status (1)
| Country | Link |
|---|---|
| KR (5) | KR20160029634A (ko) |
Cited By (1)
| Publication number | Priority date | Publication date | Assignee | Title |
|---|---|---|---|---|
| KR20200088234A (ko) * | 2019-01-14 | 2020-07-22 | 주식회사 엘지화학 | 헤테로고리 화합물 및 이를 포함하는 유기 발광 소자 |
Families Citing this family (14)
| Publication number | Priority date | Publication date | Assignee | Title |
|---|---|---|---|---|
| CN107428701B (zh) * | 2015-06-03 | 2020-10-16 | 株式会社Lg化学 | 杂环化合物及包含其的有机发光器件 |
| KR101878544B1 (ko) * | 2015-06-05 | 2018-07-16 | 주식회사 엘지화학 | 헤테로고리 화합물 및 이를 포함하는 유기 발광 소자 |
| US9966542B2 (en) * | 2016-06-02 | 2018-05-08 | E I Du Pont De Nemours And Company | Electroactive materials |
| CN106083824B (zh) * | 2016-06-08 | 2019-02-15 | 中节能万润股份有限公司 | 有机光电材料以及包括该有机材料的有机电致发光器件 |
| JP6716854B2 (ja) * | 2016-07-01 | 2020-07-01 | エルジー・ケム・リミテッド | ヘテロ環化合物およびこれを含む有機発光素子 |
| JP6844095B2 (ja) * | 2016-07-01 | 2021-03-17 | エルジー・ケム・リミテッド | ヘテロ環化合物およびこれを含む有機発光素子 |
| TWI670357B (zh) * | 2016-07-01 | 2019-09-01 | Lg化學股份有限公司 | 化合物以及包含此化合物的有機電子裝置 |
| CN106243119B (zh) * | 2016-07-29 | 2018-06-29 | 东北林业大学 | 一种螺并环材料及其制备方法 |
| TW201831468A (zh) | 2016-12-05 | 2018-09-01 | 德商麥克專利有限公司 | 含氮的雜環化合物 |
| WO2019045405A1 (ko) * | 2017-08-28 | 2019-03-07 | 주식회사 엘지화학 | 헤테로고리 화합물 및 이를 이용한 유기 발광 소자 |
| CN110372715B (zh) * | 2018-04-13 | 2021-10-22 | 江苏三月科技股份有限公司 | 一种以氰基苯为核心的杂环化合物、其制备方法及包含其的有机电致发光器件 |
| KR102110835B1 (ko) * | 2018-11-12 | 2020-05-14 | 엘티소재주식회사 | 헤테로고리 화합물 및 이를 포함하는 유기 발광 소자 |
| KR102775962B1 (ko) * | 2019-07-12 | 2025-03-07 | 엘티소재주식회사 | 헤테로고리 화합물 및 이를 포함하는 유기 발광 소자 |
| CN110872303B (zh) * | 2019-11-18 | 2022-07-01 | 烟台九目化学股份有限公司 | 一种含螺吖啶结构的化合物及其应用 |
Citations (1)
| Publication number | Priority date | Publication date | Assignee | Title |
|---|---|---|---|---|
| KR20000051826A (ko) | 1999-01-27 | 2000-08-16 | 성재갑 | 신규한 착물 및 그의 제조 방법과 이를 이용한 유기 발광 소자 |
Family Cites Families (1)
| Publication number | Priority date | Publication date | Assignee | Title |
|---|---|---|---|---|
| KR101698640B1 (ko) * | 2013-09-26 | 2017-01-20 | 주식회사 엘지화학 | 헤테로환 화합물 및 이를 포함하는 유기 발광 소자 |
-
2015
- 2015-03-17 KR KR1020150036949A patent/KR20160029634A/ko active Pending
- 2015-03-17 KR KR1020150036951A patent/KR20160029635A/ko active Pending
- 2015-08-26 KR KR1020150120168A patent/KR101779664B1/ko active Active
- 2015-08-26 KR KR1020150120171A patent/KR101773670B1/ko active Active
- 2015-08-26 KR KR1020150120166A patent/KR101774643B1/ko active Active
Patent Citations (1)
| Publication number | Priority date | Publication date | Assignee | Title |
|---|---|---|---|---|
| KR20000051826A (ko) | 1999-01-27 | 2000-08-16 | 성재갑 | 신규한 착물 및 그의 제조 방법과 이를 이용한 유기 발광 소자 |
Cited By (1)
| Publication number | Priority date | Publication date | Assignee | Title |
|---|---|---|---|---|
| KR20200088234A (ko) * | 2019-01-14 | 2020-07-22 | 주식회사 엘지화학 | 헤테로고리 화합물 및 이를 포함하는 유기 발광 소자 |
Also Published As
| Publication number | Publication date |
|---|---|
| KR20160029663A (ko) | 2016-03-15 |
| KR20160029662A (ko) | 2016-03-15 |
| KR101774643B1 (ko) | 2017-09-05 |
| KR20160029661A (ko) | 2016-03-15 |
| KR101779664B1 (ko) | 2017-09-19 |
| KR20160029635A (ko) | 2016-03-15 |
| KR101773670B1 (ko) | 2017-08-31 |
Similar Documents
| Publication | Publication Date | Title |
|---|---|---|
| KR101913926B1 (ko) | 헤테로고리 화합물 및 이를 이용한 유기 발광 소자 | |
| KR101803599B1 (ko) | 유기 발광 소자 | |
| KR101927103B1 (ko) | 유기 발광 소자 | |
| KR101773670B1 (ko) | 함질소 축합고리 화합물 및 이를 이용한 유기 발광 소자 | |
| KR101641781B1 (ko) | 유기 발광 소자 | |
| KR101784562B1 (ko) | 헤테로고리 화합물 및 이를 포함하는 유기 발광 소자 | |
| KR101755093B1 (ko) | 신규한 화합물 및 이를 포함하는 유기발광소자 | |
| KR20150115622A (ko) | 헤테로고리 화합물 및 이를 포함하는 유기 발광 소자 | |
| KR101850245B1 (ko) | 화합물 및 이를 포함하는 유기 전자 소자 | |
| KR20170101577A (ko) | 함질소 화합물 및 이를 포함하는 유기 발광 소자 | |
| KR101940694B1 (ko) | 헤테로고리 화합물 및 이를 포함하는 유기발광소자 | |
| KR101916572B1 (ko) | 화합물 및 이를 포함하는 유기 전자 소자 | |
| KR20190105838A (ko) | 다중고리 화합물 및 이를 포함하는 유기 발광 소자 | |
| KR20180018404A (ko) | 헤테로고리 화합물 및 이를 포함하는 유기 발광 소자 | |
| KR101981245B1 (ko) | 고리 화합물 및 이를 포함하는 유기 발광 소자 | |
| KR20160090058A (ko) | 화합물 및 이를 포함하는 유기 발광 소자 | |
| KR101768312B1 (ko) | 헤테로환 화합물 및 이를 포함하는 유기 발광 소자 | |
| KR101984082B1 (ko) | 유기 발광 소자 | |
| KR101835203B1 (ko) | 함질소 축합고리 화합물 및 이를 이용한 유기 발광 소자 | |
| KR20170121577A (ko) | 화합물 및 이를 포함하는 유기발광소자 | |
| KR101975945B1 (ko) | 안트라센계 화합물 및 이를 포함하는 유기 발광 소자 | |
| KR101828669B1 (ko) | 헤테로고리 화합물 및 이를 포함하는 유기 발광 소자 | |
| KR102234191B1 (ko) | 신규한 화합물 및 이를 포함하는 유기 발광 소자 | |
| KR101753485B1 (ko) | 화합물 및 이를 포함하는 유기 발광 소자 | |
| KR20160022724A (ko) | 유기 발광 소자 |
Legal Events
| Date | Code | Title | Description |
|---|---|---|---|
| PA0109 | Patent application |
Patent event code: PA01091R01D Comment text: Patent Application Patent event date: 20150317 |
|
| PG1501 | Laying open of application | ||
| PC1204 | Withdrawal of earlier application forming a basis of a priority claim |
Patent event date: 20150317 Comment text: Patent Application Patent event code: PC12041R01I |







































































































