KR20140129871A - Post metallocene ligand compound, organometallic compound, catalyst composition, and method for preparing olefin polymers using the same - Google Patents
Post metallocene ligand compound, organometallic compound, catalyst composition, and method for preparing olefin polymers using the same Download PDFInfo
- Publication number
- KR20140129871A KR20140129871A KR20130048747A KR20130048747A KR20140129871A KR 20140129871 A KR20140129871 A KR 20140129871A KR 20130048747 A KR20130048747 A KR 20130048747A KR 20130048747 A KR20130048747 A KR 20130048747A KR 20140129871 A KR20140129871 A KR 20140129871A
- Authority
- KR
- South Korea
- Prior art keywords
- carbon atoms
- radical
- formula
- halogen
- compound
- Prior art date
- Legal status (The legal status is an assumption and is not a legal conclusion. Google has not performed a legal analysis and makes no representation as to the accuracy of the status listed.)
- Withdrawn
Links
- 150000001875 compounds Chemical class 0.000 title claims abstract description 78
- 239000003054 catalyst Substances 0.000 title claims abstract description 58
- 239000000203 mixture Substances 0.000 title claims abstract description 48
- 150000002902 organometallic compounds Chemical class 0.000 title claims abstract description 46
- 238000000034 method Methods 0.000 title claims abstract description 25
- 229920000098 polyolefin Polymers 0.000 title claims abstract description 16
- 239000003446 ligand Substances 0.000 title abstract description 24
- 125000004432 carbon atom Chemical group C* 0.000 claims description 233
- -1 Halogen radicals Chemical class 0.000 claims description 179
- 229910052736 halogen Inorganic materials 0.000 claims description 45
- 239000001257 hydrogen Substances 0.000 claims description 30
- 229910052739 hydrogen Inorganic materials 0.000 claims description 30
- 125000003118 aryl group Chemical group 0.000 claims description 28
- 125000005843 halogen group Chemical group 0.000 claims description 28
- 238000006116 polymerization reaction Methods 0.000 claims description 25
- 125000000217 alkyl group Chemical group 0.000 claims description 22
- 150000005840 aryl radicals Chemical class 0.000 claims description 22
- 125000004435 hydrogen atom Chemical group [H]* 0.000 claims description 21
- UFHFLCQGNIYNRP-UHFFFAOYSA-N Hydrogen Chemical compound [H][H] UFHFLCQGNIYNRP-UHFFFAOYSA-N 0.000 claims description 19
- 239000000178 monomer Substances 0.000 claims description 19
- 238000004519 manufacturing process Methods 0.000 claims description 18
- 125000001931 aliphatic group Chemical group 0.000 claims description 17
- JRZJOMJEPLMPRA-UHFFFAOYSA-N olefin Natural products CCCCCCCC=C JRZJOMJEPLMPRA-UHFFFAOYSA-N 0.000 claims description 13
- 230000008569 process Effects 0.000 claims description 12
- OLRJXMHANKMLTD-UHFFFAOYSA-N silyl Chemical compound [SiH3] OLRJXMHANKMLTD-UHFFFAOYSA-N 0.000 claims description 12
- 229910052751 metal Inorganic materials 0.000 claims description 11
- 239000002184 metal Substances 0.000 claims description 11
- XLYOFNOQVPJJNP-UHFFFAOYSA-N water Chemical group O XLYOFNOQVPJJNP-UHFFFAOYSA-N 0.000 claims description 11
- LIKMAJRDDDTEIG-UHFFFAOYSA-N 1-hexene Chemical compound CCCCC=C LIKMAJRDDDTEIG-UHFFFAOYSA-N 0.000 claims description 10
- 150000001336 alkenes Chemical class 0.000 claims description 10
- 150000002430 hydrocarbons Chemical class 0.000 claims description 10
- 239000000126 substance Substances 0.000 claims description 10
- ZOXJGFHDIHLPTG-UHFFFAOYSA-N Boron Chemical compound [B] ZOXJGFHDIHLPTG-UHFFFAOYSA-N 0.000 claims description 9
- 239000004215 Carbon black (E152) Substances 0.000 claims description 9
- 229910052796 boron Inorganic materials 0.000 claims description 9
- 229930195733 hydrocarbon Natural products 0.000 claims description 9
- 150000003254 radicals Chemical class 0.000 claims description 9
- 229910052782 aluminium Inorganic materials 0.000 claims description 8
- XAGFODPZIPBFFR-UHFFFAOYSA-N aluminium Chemical compound [Al] XAGFODPZIPBFFR-UHFFFAOYSA-N 0.000 claims description 8
- VGGSQFUCUMXWEO-UHFFFAOYSA-N Ethene Chemical compound C=C VGGSQFUCUMXWEO-UHFFFAOYSA-N 0.000 claims description 7
- 239000005977 Ethylene Substances 0.000 claims description 7
- VYPSYNLAJGMNEJ-UHFFFAOYSA-N Silicium dioxide Chemical compound O=[Si]=O VYPSYNLAJGMNEJ-UHFFFAOYSA-N 0.000 claims description 6
- 125000001183 hydrocarbyl group Chemical group 0.000 claims description 6
- VXNZUUAINFGPBY-UHFFFAOYSA-N 1-Butene Chemical compound CCC=C VXNZUUAINFGPBY-UHFFFAOYSA-N 0.000 claims description 5
- 125000003710 aryl alkyl group Chemical group 0.000 claims description 5
- 125000004430 oxygen atom Chemical group O* 0.000 claims description 5
- 239000010936 titanium Substances 0.000 claims description 5
- 239000002879 Lewis base Substances 0.000 claims description 4
- 229910052795 boron group element Inorganic materials 0.000 claims description 4
- 125000000753 cycloalkyl group Chemical group 0.000 claims description 4
- 150000002367 halogens Chemical class 0.000 claims description 4
- 230000007935 neutral effect Effects 0.000 claims description 4
- YWAKXRMUMFPDSH-UHFFFAOYSA-N pentene Chemical compound CCCC=C YWAKXRMUMFPDSH-UHFFFAOYSA-N 0.000 claims description 4
- 125000000951 phenoxy group Chemical group [H]C1=C([H])C([H])=C(O*)C([H])=C1[H] 0.000 claims description 4
- 229910052747 lanthanoid Inorganic materials 0.000 claims description 3
- 150000002602 lanthanoids Chemical class 0.000 claims description 3
- 239000000377 silicon dioxide Substances 0.000 claims description 3
- 229910052719 titanium Inorganic materials 0.000 claims description 3
- RTAQQCXQSZGOHL-UHFFFAOYSA-N Titanium Chemical group [Ti] RTAQQCXQSZGOHL-UHFFFAOYSA-N 0.000 claims description 2
- PNEYBMLMFCGWSK-UHFFFAOYSA-N aluminium oxide Inorganic materials [O-2].[O-2].[O-2].[Al+3].[Al+3] PNEYBMLMFCGWSK-UHFFFAOYSA-N 0.000 claims description 2
- 229910052735 hafnium Inorganic materials 0.000 claims description 2
- VBJZVLUMGGDVMO-UHFFFAOYSA-N hafnium atom Chemical compound [Hf] VBJZVLUMGGDVMO-UHFFFAOYSA-N 0.000 claims description 2
- VSZWPYCFIRKVQL-UHFFFAOYSA-N selanylidenegallium;selenium Chemical compound [Se].[Se]=[Ga].[Se]=[Ga] VSZWPYCFIRKVQL-UHFFFAOYSA-N 0.000 claims description 2
- 125000005353 silylalkyl group Chemical group 0.000 claims description 2
- VAMFXQBUQXONLZ-UHFFFAOYSA-N n-alpha-eicosene Natural products CCCCCCCCCCCCCCCCCCC=C VAMFXQBUQXONLZ-UHFFFAOYSA-N 0.000 claims 2
- CCCMONHAUSKTEQ-UHFFFAOYSA-N octadec-1-ene Chemical compound CCCCCCCCCCCCCCCCC=C CCCMONHAUSKTEQ-UHFFFAOYSA-N 0.000 claims 2
- 229940106006 1-eicosene Drugs 0.000 claims 1
- FIKTURVKRGQNQD-UHFFFAOYSA-N 1-eicosene Natural products CCCCCCCCCCCCCCCCCC=CC(O)=O FIKTURVKRGQNQD-UHFFFAOYSA-N 0.000 claims 1
- GSJVCUYTSZCIBA-UHFFFAOYSA-N 4-methylhexadec-1-ene Chemical compound CCCCCCCCCCCCC(C)CC=C GSJVCUYTSZCIBA-UHFFFAOYSA-N 0.000 claims 1
- 230000000379 polymerizing effect Effects 0.000 claims 1
- ZSWFCLXCOIISFI-UHFFFAOYSA-N cyclopentadiene Chemical class C1C=CC=C1 ZSWFCLXCOIISFI-UHFFFAOYSA-N 0.000 abstract description 8
- 238000002360 preparation method Methods 0.000 abstract description 6
- 125000005842 heteroatom Chemical group 0.000 abstract description 5
- 239000002904 solvent Substances 0.000 description 42
- 229920000642 polymer Polymers 0.000 description 20
- VLKZOEOYAKHREP-UHFFFAOYSA-N n-Hexane Chemical compound CCCCCC VLKZOEOYAKHREP-UHFFFAOYSA-N 0.000 description 18
- YMWUJEATGCHHMB-UHFFFAOYSA-N Dichloromethane Chemical compound ClCCl YMWUJEATGCHHMB-UHFFFAOYSA-N 0.000 description 12
- YXFVVABEGXRONW-UHFFFAOYSA-N Toluene Chemical compound CC1=CC=CC=C1 YXFVVABEGXRONW-UHFFFAOYSA-N 0.000 description 12
- 239000000243 solution Substances 0.000 description 12
- 238000006243 chemical reaction Methods 0.000 description 11
- 150000002736 metal compounds Chemical class 0.000 description 11
- XPPWLXNXHSNMKC-UHFFFAOYSA-N phenylboron Chemical compound [B]C1=CC=CC=C1 XPPWLXNXHSNMKC-UHFFFAOYSA-N 0.000 description 11
- RTZKZFJDLAIYFH-UHFFFAOYSA-N Diethyl ether Chemical compound CCOCC RTZKZFJDLAIYFH-UHFFFAOYSA-N 0.000 description 9
- 238000000926 separation method Methods 0.000 description 9
- IMNFDUFMRHMDMM-UHFFFAOYSA-N N-Heptane Chemical compound CCCCCCC IMNFDUFMRHMDMM-UHFFFAOYSA-N 0.000 description 8
- OFBQJSOFQDEBGM-UHFFFAOYSA-N Pentane Chemical compound CCCCC OFBQJSOFQDEBGM-UHFFFAOYSA-N 0.000 description 8
- 230000000694 effects Effects 0.000 description 8
- 238000007334 copolymerization reaction Methods 0.000 description 7
- 238000003756 stirring Methods 0.000 description 7
- KWKAKUADMBZCLK-UHFFFAOYSA-N 1-octene Chemical compound CCCCCCC=C KWKAKUADMBZCLK-UHFFFAOYSA-N 0.000 description 6
- UHOVQNZJYSORNB-UHFFFAOYSA-N Benzene Chemical compound C1=CC=CC=C1 UHOVQNZJYSORNB-UHFFFAOYSA-N 0.000 description 6
- 239000010410 layer Substances 0.000 description 6
- 229910052757 nitrogen Inorganic materials 0.000 description 6
- 125000001997 phenyl group Chemical group [H]C1=C([H])C([H])=C(*)C([H])=C1[H] 0.000 description 6
- GEJUFTHBORQCNQ-UHFFFAOYSA-N phenylalumane Chemical compound [AlH2]c1ccccc1 GEJUFTHBORQCNQ-UHFFFAOYSA-N 0.000 description 6
- ZOICEQJZAWJHSI-UHFFFAOYSA-N (2,3,4,5,6-pentafluorophenyl)boron Chemical compound [B]C1=C(F)C(F)=C(F)C(F)=C1F ZOICEQJZAWJHSI-UHFFFAOYSA-N 0.000 description 5
- 230000004913 activation Effects 0.000 description 5
- 229920001577 copolymer Polymers 0.000 description 5
- 125000002524 organometallic group Chemical group 0.000 description 5
- 125000001424 substituent group Chemical group 0.000 description 5
- KAKZBPTYRLMSJV-UHFFFAOYSA-N Butadiene Chemical compound C=CC=C KAKZBPTYRLMSJV-UHFFFAOYSA-N 0.000 description 4
- 229910052799 carbon Inorganic materials 0.000 description 4
- MVPPADPHJFYWMZ-UHFFFAOYSA-N chlorobenzene Chemical compound ClC1=CC=CC=C1 MVPPADPHJFYWMZ-UHFFFAOYSA-N 0.000 description 4
- DIOQZVSQGTUSAI-UHFFFAOYSA-N decane Chemical compound CCCCCCCCCC DIOQZVSQGTUSAI-UHFFFAOYSA-N 0.000 description 4
- 238000002347 injection Methods 0.000 description 4
- 239000007924 injection Substances 0.000 description 4
- 239000002994 raw material Substances 0.000 description 4
- WEVYAHXRMPXWCK-UHFFFAOYSA-N Acetonitrile Chemical compound CC#N WEVYAHXRMPXWCK-UHFFFAOYSA-N 0.000 description 3
- OKKJLVBELUTLKV-UHFFFAOYSA-N Methanol Chemical compound OC OKKJLVBELUTLKV-UHFFFAOYSA-N 0.000 description 3
- 230000003197 catalytic effect Effects 0.000 description 3
- 239000012760 heat stabilizer Substances 0.000 description 3
- TVMXDCGIABBOFY-UHFFFAOYSA-N n-Octanol Natural products CCCCCCCC TVMXDCGIABBOFY-UHFFFAOYSA-N 0.000 description 3
- 239000012044 organic layer Substances 0.000 description 3
- 230000000704 physical effect Effects 0.000 description 3
- 239000002574 poison Substances 0.000 description 3
- 231100000614 poison Toxicity 0.000 description 3
- 238000011084 recovery Methods 0.000 description 3
- RIOQSEWOXXDEQQ-UHFFFAOYSA-O triphenylphosphanium Chemical compound C1=CC=CC=C1[PH+](C=1C=CC=CC=1)C1=CC=CC=C1 RIOQSEWOXXDEQQ-UHFFFAOYSA-O 0.000 description 3
- DBQOUEWUAIHCNY-UHFFFAOYSA-N (2,3,4,5,6-pentafluorophenyl)alumane Chemical compound Fc1c(F)c(F)c([AlH2])c(F)c1F DBQOUEWUAIHCNY-UHFFFAOYSA-N 0.000 description 2
- MYRTYDVEIRVNKP-UHFFFAOYSA-N 1,2-Divinylbenzene Chemical compound C=CC1=CC=CC=C1C=C MYRTYDVEIRVNKP-UHFFFAOYSA-N 0.000 description 2
- 125000002030 1,2-phenylene group Chemical group [H]C1=C([H])C([*:1])=C([*:2])C([H])=C1[H] 0.000 description 2
- RRIQVLZDOZPJTH-UHFFFAOYSA-N 3,5-di-tert-butyl-2-hydroxybenzaldehyde Chemical compound CC(C)(C)C1=CC(C=O)=C(O)C(C(C)(C)C)=C1 RRIQVLZDOZPJTH-UHFFFAOYSA-N 0.000 description 2
- WSSSPWUEQFSQQG-UHFFFAOYSA-N 4-methyl-1-pentene Chemical compound CC(C)CC=C WSSSPWUEQFSQQG-UHFFFAOYSA-N 0.000 description 2
- XKRFYHLGVUSROY-UHFFFAOYSA-N Argon Chemical compound [Ar] XKRFYHLGVUSROY-UHFFFAOYSA-N 0.000 description 2
- OKTJSMMVPCPJKN-UHFFFAOYSA-N Carbon Chemical compound [C] OKTJSMMVPCPJKN-UHFFFAOYSA-N 0.000 description 2
- MHAJPDPJQMAIIY-UHFFFAOYSA-N Hydrogen peroxide Chemical compound OO MHAJPDPJQMAIIY-UHFFFAOYSA-N 0.000 description 2
- ISWSIDIOOBJBQZ-UHFFFAOYSA-N Phenol Chemical compound OC1=CC=CC=C1 ISWSIDIOOBJBQZ-UHFFFAOYSA-N 0.000 description 2
- PPBRXRYQALVLMV-UHFFFAOYSA-N Styrene Chemical compound C=CC1=CC=CC=C1 PPBRXRYQALVLMV-UHFFFAOYSA-N 0.000 description 2
- 230000003213 activating effect Effects 0.000 description 2
- 239000012190 activator Substances 0.000 description 2
- 150000001338 aliphatic hydrocarbons Chemical class 0.000 description 2
- 125000005234 alkyl aluminium group Chemical group 0.000 description 2
- 125000002877 alkyl aryl group Chemical group 0.000 description 2
- 229940100198 alkylating agent Drugs 0.000 description 2
- 239000002168 alkylating agent Substances 0.000 description 2
- 230000029936 alkylation Effects 0.000 description 2
- 238000005804 alkylation reaction Methods 0.000 description 2
- 238000013459 approach Methods 0.000 description 2
- 150000004945 aromatic hydrocarbons Chemical class 0.000 description 2
- 239000003849 aromatic solvent Substances 0.000 description 2
- 230000015572 biosynthetic process Effects 0.000 description 2
- 238000003763 carbonization Methods 0.000 description 2
- 239000003795 chemical substances by application Substances 0.000 description 2
- 125000001309 chloro group Chemical group Cl* 0.000 description 2
- 238000001816 cooling Methods 0.000 description 2
- 238000005859 coupling reaction Methods 0.000 description 2
- 125000000058 cyclopentadienyl group Chemical group C1(=CC=CC1)* 0.000 description 2
- 150000004985 diamines Chemical class 0.000 description 2
- 238000010528 free radical solution polymerization reaction Methods 0.000 description 2
- 230000014509 gene expression Effects 0.000 description 2
- 229960002163 hydrogen peroxide Drugs 0.000 description 2
- 125000002887 hydroxy group Chemical group [H]O* 0.000 description 2
- DLEDOFVPSDKWEF-UHFFFAOYSA-N lithium butane Chemical compound [Li+].CCC[CH2-] DLEDOFVPSDKWEF-UHFFFAOYSA-N 0.000 description 2
- CPOFMOWDMVWCLF-UHFFFAOYSA-N methyl(oxo)alumane Chemical compound C[Al]=O CPOFMOWDMVWCLF-UHFFFAOYSA-N 0.000 description 2
- 125000000325 methylidene group Chemical group [H]C([H])=* 0.000 description 2
- 230000004048 modification Effects 0.000 description 2
- 238000012986 modification Methods 0.000 description 2
- DILRJUIACXKSQE-UHFFFAOYSA-N n',n'-dimethylethane-1,2-diamine Chemical compound CN(C)CCN DILRJUIACXKSQE-UHFFFAOYSA-N 0.000 description 2
- MZRVEZGGRBJDDB-UHFFFAOYSA-N n-Butyllithium Substances [Li]CCCC MZRVEZGGRBJDDB-UHFFFAOYSA-N 0.000 description 2
- ZCYXXKJEDCHMGH-UHFFFAOYSA-N nonane Chemical compound CCCC[CH]CCCC ZCYXXKJEDCHMGH-UHFFFAOYSA-N 0.000 description 2
- BKIMMITUMNQMOS-UHFFFAOYSA-N normal nonane Natural products CCCCCCCCC BKIMMITUMNQMOS-UHFFFAOYSA-N 0.000 description 2
- QQONPFPTGQHPMA-UHFFFAOYSA-N propylene Natural products CC=C QQONPFPTGQHPMA-UHFFFAOYSA-N 0.000 description 2
- 125000004805 propylene group Chemical group [H]C([H])([H])C([H])([*:1])C([H])([H])[*:2] 0.000 description 2
- 239000002683 reaction inhibitor Substances 0.000 description 2
- 239000013557 residual solvent Substances 0.000 description 2
- 125000006413 ring segment Chemical group 0.000 description 2
- 229920006395 saturated elastomer Polymers 0.000 description 2
- 238000007086 side reaction Methods 0.000 description 2
- 229910052710 silicon Inorganic materials 0.000 description 2
- 239000010703 silicon Substances 0.000 description 2
- 239000002002 slurry Substances 0.000 description 2
- 239000007787 solid Substances 0.000 description 2
- 239000007858 starting material Substances 0.000 description 2
- 238000003786 synthesis reaction Methods 0.000 description 2
- 125000000999 tert-butyl group Chemical group [H]C([H])([H])C(*)(C([H])([H])[H])C([H])([H])[H] 0.000 description 2
- VOITXYVAKOUIBA-UHFFFAOYSA-N triethylaluminium Chemical compound CC[Al](CC)CC VOITXYVAKOUIBA-UHFFFAOYSA-N 0.000 description 2
- MCULRUJILOGHCJ-UHFFFAOYSA-N triisobutylaluminium Chemical compound CC(C)C[Al](CC(C)C)CC(C)C MCULRUJILOGHCJ-UHFFFAOYSA-N 0.000 description 2
- JLTRXTDYQLMHGR-UHFFFAOYSA-N trimethylaluminium Chemical compound C[Al](C)C JLTRXTDYQLMHGR-UHFFFAOYSA-N 0.000 description 2
- GETQZCLCWQTVFV-UHFFFAOYSA-N trimethylamine Chemical compound CN(C)C GETQZCLCWQTVFV-UHFFFAOYSA-N 0.000 description 2
- YWWDBCBWQNCYNR-UHFFFAOYSA-O trimethylphosphanium Chemical compound C[PH+](C)C YWWDBCBWQNCYNR-UHFFFAOYSA-O 0.000 description 2
- 238000010626 work up procedure Methods 0.000 description 2
- 239000004711 α-olefin Substances 0.000 description 2
- WCFQIFDACWBNJT-UHFFFAOYSA-N $l^{1}-alumanyloxy(2-methylpropyl)aluminum Chemical compound CC(C)C[Al]O[Al] WCFQIFDACWBNJT-UHFFFAOYSA-N 0.000 description 1
- SZUVGFMDDVSKSI-WIFOCOSTSA-N (1s,2s,3s,5r)-1-(carboxymethyl)-3,5-bis[(4-phenoxyphenyl)methyl-propylcarbamoyl]cyclopentane-1,2-dicarboxylic acid Chemical compound O=C([C@@H]1[C@@H]([C@](CC(O)=O)([C@H](C(=O)N(CCC)CC=2C=CC(OC=3C=CC=CC=3)=CC=2)C1)C(O)=O)C(O)=O)N(CCC)CC(C=C1)=CC=C1OC1=CC=CC=C1 SZUVGFMDDVSKSI-WIFOCOSTSA-N 0.000 description 1
- GWUXLTRGPPIDJA-UHFFFAOYSA-N (4-methylphenyl)alumane Chemical compound CC1=CC=C([AlH2])C=C1 GWUXLTRGPPIDJA-UHFFFAOYSA-N 0.000 description 1
- VKMQKNJWQNCEQV-UHFFFAOYSA-N (4-methylphenyl)boron Chemical compound [B]C1=CC=C(C)C=C1 VKMQKNJWQNCEQV-UHFFFAOYSA-N 0.000 description 1
- PMJHHCWVYXUKFD-SNAWJCMRSA-N (E)-1,3-pentadiene Chemical compound C\C=C\C=C PMJHHCWVYXUKFD-SNAWJCMRSA-N 0.000 description 1
- HMDQPBSDHHTRNI-UHFFFAOYSA-N 1-(chloromethyl)-3-ethenylbenzene Chemical compound ClCC1=CC=CC(C=C)=C1 HMDQPBSDHHTRNI-UHFFFAOYSA-N 0.000 description 1
- HECLRDQVFMWTQS-RGOKHQFPSA-N 1755-01-7 Chemical compound C1[C@H]2[C@@H]3CC=C[C@@H]3[C@@H]1C=C2 HECLRDQVFMWTQS-RGOKHQFPSA-N 0.000 description 1
- YBYIRNPNPLQARY-UHFFFAOYSA-N 1H-indene Natural products C1=CC=C2CC=CC2=C1 YBYIRNPNPLQARY-UHFFFAOYSA-N 0.000 description 1
- MEKOFIRRDATTAG-UHFFFAOYSA-N 2,2,5,8-tetramethyl-3,4-dihydrochromen-6-ol Chemical compound C1CC(C)(C)OC2=C1C(C)=C(O)C=C2C MEKOFIRRDATTAG-UHFFFAOYSA-N 0.000 description 1
- YVSMQHYREUQGRX-UHFFFAOYSA-N 2-ethyloxaluminane Chemical compound CC[Al]1CCCCO1 YVSMQHYREUQGRX-UHFFFAOYSA-N 0.000 description 1
- NHOSADUTDSFMNF-UHFFFAOYSA-N CC1(CC=C(C=C1)C)[B] Chemical compound CC1(CC=C(C=C1)C)[B] NHOSADUTDSFMNF-UHFFFAOYSA-N 0.000 description 1
- UDIMWNNPXFTTCC-UHFFFAOYSA-N CCN(CC)CC.CN(C)C.[Al+3].[Al+3].[Al+3].[Al+3] Chemical compound CCN(CC)CC.CN(C)C.[Al+3].[Al+3].[Al+3].[Al+3] UDIMWNNPXFTTCC-UHFFFAOYSA-N 0.000 description 1
- 229920000089 Cyclic olefin copolymer Polymers 0.000 description 1
- BQJVAUQGMACYGL-UHFFFAOYSA-N FC1C(C(C(C=C1)(F)[B])(F)F)(F)F Chemical compound FC1C(C(C(C=C1)(F)[B])(F)F)(F)F BQJVAUQGMACYGL-UHFFFAOYSA-N 0.000 description 1
- CTQNGGLPUBDAKN-UHFFFAOYSA-N O-Xylene Chemical compound CC1=CC=CC=C1C CTQNGGLPUBDAKN-UHFFFAOYSA-N 0.000 description 1
- OAICVXFJPJFONN-UHFFFAOYSA-N Phosphorus Chemical compound [P] OAICVXFJPJFONN-UHFFFAOYSA-N 0.000 description 1
- 239000004698 Polyethylene Substances 0.000 description 1
- 239000004743 Polypropylene Substances 0.000 description 1
- 229920010524 Syndiotactic polystyrene Polymers 0.000 description 1
- 229910007926 ZrCl Inorganic materials 0.000 description 1
- DXQXWMYUGOTNGJ-UHFFFAOYSA-N [4-(trifluoromethyl)phenyl]boron Chemical compound [B]C1=CC=C(C(F)(F)F)C=C1 DXQXWMYUGOTNGJ-UHFFFAOYSA-N 0.000 description 1
- 239000013543 active substance Substances 0.000 description 1
- XYLMUPLGERFSHI-UHFFFAOYSA-N alpha-Methylstyrene Chemical compound CC(=C)C1=CC=CC=C1 XYLMUPLGERFSHI-UHFFFAOYSA-N 0.000 description 1
- 125000003368 amide group Chemical group 0.000 description 1
- 229910052786 argon Inorganic materials 0.000 description 1
- 239000012298 atmosphere Substances 0.000 description 1
- IAQRGUVFOMOMEM-UHFFFAOYSA-N butene Natural products CC=CC IAQRGUVFOMOMEM-UHFFFAOYSA-N 0.000 description 1
- OCFSGVNHPVWWKD-UHFFFAOYSA-N butylaluminum Chemical compound [Al].[CH2]CCC OCFSGVNHPVWWKD-UHFFFAOYSA-N 0.000 description 1
- 239000011203 carbon fibre reinforced carbon Substances 0.000 description 1
- 239000007810 chemical reaction solvent Substances 0.000 description 1
- 229910052801 chlorine Inorganic materials 0.000 description 1
- 238000004440 column chromatography Methods 0.000 description 1
- 229940126543 compound 14 Drugs 0.000 description 1
- 238000011109 contamination Methods 0.000 description 1
- 239000000498 cooling water Substances 0.000 description 1
- 238000004132 cross linking Methods 0.000 description 1
- 238000004925 denaturation Methods 0.000 description 1
- 230000036425 denaturation Effects 0.000 description 1
- MYBJXSAXGLILJD-UHFFFAOYSA-N diethyl(methyl)alumane Chemical compound CC[Al](C)CC MYBJXSAXGLILJD-UHFFFAOYSA-N 0.000 description 1
- GGSUCNLOZRCGPQ-UHFFFAOYSA-O diethyl(phenyl)azanium Chemical compound CC[NH+](CC)C1=CC=CC=C1 GGSUCNLOZRCGPQ-UHFFFAOYSA-O 0.000 description 1
- 238000007865 diluting Methods 0.000 description 1
- JGHYBJVUQGTEEB-UHFFFAOYSA-M dimethylalumanylium;chloride Chemical compound C[Al](C)Cl JGHYBJVUQGTEEB-UHFFFAOYSA-M 0.000 description 1
- MWNKMBHGMZHEMM-UHFFFAOYSA-N dimethylalumanylium;ethanolate Chemical compound CCO[Al](C)C MWNKMBHGMZHEMM-UHFFFAOYSA-N 0.000 description 1
- 238000002845 discoloration Methods 0.000 description 1
- 239000012153 distilled water Substances 0.000 description 1
- 238000009826 distribution Methods 0.000 description 1
- 238000001035 drying Methods 0.000 description 1
- HEAMQYHBJQWOSS-UHFFFAOYSA-N ethene;oct-1-ene Chemical compound C=C.CCCCCCC=C HEAMQYHBJQWOSS-UHFFFAOYSA-N 0.000 description 1
- SHGOGDWTZKFNSC-UHFFFAOYSA-N ethyl(dimethyl)alumane Chemical compound CC[Al](C)C SHGOGDWTZKFNSC-UHFFFAOYSA-N 0.000 description 1
- 238000002474 experimental method Methods 0.000 description 1
- 239000012530 fluid Substances 0.000 description 1
- RMBPEFMHABBEKP-UHFFFAOYSA-N fluorene Chemical compound C1=CC=C2C3=C[CH]C=CC3=CC2=C1 RMBPEFMHABBEKP-UHFFFAOYSA-N 0.000 description 1
- 125000003983 fluorenyl group Chemical group C1(=CC=CC=2C3=CC=CC=C3CC12)* 0.000 description 1
- 239000007789 gas Substances 0.000 description 1
- 239000011521 glass Substances 0.000 description 1
- 229920006158 high molecular weight polymer Polymers 0.000 description 1
- 229920001519 homopolymer Polymers 0.000 description 1
- 239000012535 impurity Substances 0.000 description 1
- 238000010348 incorporation Methods 0.000 description 1
- 125000003454 indenyl group Chemical group C1(C=CC2=CC=CC=C12)* 0.000 description 1
- 238000010550 living polymerization reaction Methods 0.000 description 1
- 239000012968 metallocene catalyst Substances 0.000 description 1
- BQBCXNQILNPAPX-UHFFFAOYSA-N methoxy(dimethyl)alumane Chemical compound [O-]C.C[Al+]C BQBCXNQILNPAPX-UHFFFAOYSA-N 0.000 description 1
- 125000001624 naphthyl group Chemical group 0.000 description 1
- QJGQUHMNIGDVPM-UHFFFAOYSA-N nitrogen group Chemical group [N] QJGQUHMNIGDVPM-UHFFFAOYSA-N 0.000 description 1
- NIHNNTQXNPWCJQ-UHFFFAOYSA-N o-biphenylenemethane Natural products C1=CC=C2CC3=CC=CC=C3C2=C1 NIHNNTQXNPWCJQ-UHFFFAOYSA-N 0.000 description 1
- 239000003960 organic solvent Substances 0.000 description 1
- 229910052760 oxygen Inorganic materials 0.000 description 1
- 125000001037 p-tolyl group Chemical group [H]C1=C([H])C(=C([H])C([H])=C1*)C([H])([H])[H] 0.000 description 1
- 229910052698 phosphorus Inorganic materials 0.000 description 1
- 239000011574 phosphorus Substances 0.000 description 1
- 229920000573 polyethylene Polymers 0.000 description 1
- 239000002685 polymerization catalyst Substances 0.000 description 1
- 229920001155 polypropylene Polymers 0.000 description 1
- 239000012005 post-metallocene catalyst Substances 0.000 description 1
- 238000005086 pumping Methods 0.000 description 1
- 238000000746 purification Methods 0.000 description 1
- 239000011541 reaction mixture Substances 0.000 description 1
- 238000004064 recycling Methods 0.000 description 1
- 238000007670 refining Methods 0.000 description 1
- 239000000758 substrate Substances 0.000 description 1
- 238000012546 transfer Methods 0.000 description 1
- 229910052723 transition metal Inorganic materials 0.000 description 1
- 150000003623 transition metal compounds Chemical class 0.000 description 1
- 150000003624 transition metals Chemical class 0.000 description 1
- SQBBHCOIQXKPHL-UHFFFAOYSA-N tributylalumane Chemical compound CCCC[Al](CCCC)CCCC SQBBHCOIQXKPHL-UHFFFAOYSA-N 0.000 description 1
- IMFACGCPASFAPR-UHFFFAOYSA-O tributylazanium Chemical compound CCCC[NH+](CCCC)CCCC IMFACGCPASFAPR-UHFFFAOYSA-O 0.000 description 1
- CMHHITPYCHHOGT-UHFFFAOYSA-N tributylborane Chemical compound CCCCB(CCCC)CCCC CMHHITPYCHHOGT-UHFFFAOYSA-N 0.000 description 1
- PYLGJXLKFZZEBJ-UHFFFAOYSA-N tricyclopentylalumane Chemical compound C1CCCC1[Al](C1CCCC1)C1CCCC1 PYLGJXLKFZZEBJ-UHFFFAOYSA-N 0.000 description 1
- ZMANZCXQSJIPKH-UHFFFAOYSA-O triethylammonium ion Chemical compound CC[NH+](CC)CC ZMANZCXQSJIPKH-UHFFFAOYSA-O 0.000 description 1
- LALRXNPLTWZJIJ-UHFFFAOYSA-N triethylborane Chemical compound CCB(CC)CC LALRXNPLTWZJIJ-UHFFFAOYSA-N 0.000 description 1
- ORYGRKHDLWYTKX-UHFFFAOYSA-N trihexylalumane Chemical compound CCCCCC[Al](CCCCCC)CCCCCC ORYGRKHDLWYTKX-UHFFFAOYSA-N 0.000 description 1
- WXRGABKACDFXMG-UHFFFAOYSA-N trimethylborane Chemical compound CB(C)C WXRGABKACDFXMG-UHFFFAOYSA-N 0.000 description 1
- LFXVBWRMVZPLFK-UHFFFAOYSA-N trioctylalumane Chemical compound CCCCCCCC[Al](CCCCCCCC)CCCCCCCC LFXVBWRMVZPLFK-UHFFFAOYSA-N 0.000 description 1
- JOJQVUCWSDRWJE-UHFFFAOYSA-N tripentylalumane Chemical compound CCCCC[Al](CCCCC)CCCCC JOJQVUCWSDRWJE-UHFFFAOYSA-N 0.000 description 1
- JQPMDTQDAXRDGS-UHFFFAOYSA-N triphenylalumane Chemical compound C1=CC=CC=C1[Al](C=1C=CC=CC=1)C1=CC=CC=C1 JQPMDTQDAXRDGS-UHFFFAOYSA-N 0.000 description 1
- CNWZYDSEVLFSMS-UHFFFAOYSA-N tripropylalumane Chemical compound CCC[Al](CCC)CCC CNWZYDSEVLFSMS-UHFFFAOYSA-N 0.000 description 1
- ZMPKTELQGVLZTD-UHFFFAOYSA-N tripropylborane Chemical compound CCCB(CCC)CCC ZMPKTELQGVLZTD-UHFFFAOYSA-N 0.000 description 1
- XDSSGQHOYWGIKC-UHFFFAOYSA-N tris(2-methylpropyl)borane Chemical compound CC(C)CB(CC(C)C)CC(C)C XDSSGQHOYWGIKC-UHFFFAOYSA-N 0.000 description 1
- WSITXTIRYQMZHM-UHFFFAOYSA-N tris(4-methylphenyl)alumane Chemical compound C1=CC(C)=CC=C1[Al](C=1C=CC(C)=CC=1)C1=CC=C(C)C=C1 WSITXTIRYQMZHM-UHFFFAOYSA-N 0.000 description 1
- 125000002221 trityl group Chemical group [H]C1=C([H])C([H])=C([H])C([H])=C1C([*])(C1=C(C(=C(C(=C1[H])[H])[H])[H])[H])C1=C([H])C([H])=C([H])C([H])=C1[H] 0.000 description 1
- 238000009834 vaporization Methods 0.000 description 1
- 230000008016 vaporization Effects 0.000 description 1
- 239000008096 xylene Substances 0.000 description 1
- 229910052726 zirconium Inorganic materials 0.000 description 1
Classifications
-
- C—CHEMISTRY; METALLURGY
- C07—ORGANIC CHEMISTRY
- C07C—ACYCLIC OR CARBOCYCLIC COMPOUNDS
- C07C211/00—Compounds containing amino groups bound to a carbon skeleton
- C07C211/43—Compounds containing amino groups bound to a carbon skeleton having amino groups bound to carbon atoms of six-membered aromatic rings of the carbon skeleton
- C07C211/44—Compounds containing amino groups bound to a carbon skeleton having amino groups bound to carbon atoms of six-membered aromatic rings of the carbon skeleton having amino groups bound to only one six-membered aromatic ring
- C07C211/49—Compounds containing amino groups bound to a carbon skeleton having amino groups bound to carbon atoms of six-membered aromatic rings of the carbon skeleton having amino groups bound to only one six-membered aromatic ring having at least two amino groups bound to the carbon skeleton
-
- B—PERFORMING OPERATIONS; TRANSPORTING
- B01—PHYSICAL OR CHEMICAL PROCESSES OR APPARATUS IN GENERAL
- B01J—CHEMICAL OR PHYSICAL PROCESSES, e.g. CATALYSIS OR COLLOID CHEMISTRY; THEIR RELEVANT APPARATUS
- B01J31/00—Catalysts comprising hydrides, coordination complexes or organic compounds
- B01J31/02—Catalysts comprising hydrides, coordination complexes or organic compounds containing organic compounds or metal hydrides
- B01J31/12—Catalysts comprising hydrides, coordination complexes or organic compounds containing organic compounds or metal hydrides containing organo-metallic compounds or metal hydrides
- B01J31/128—Mixtures of organometallic compounds
-
- C—CHEMISTRY; METALLURGY
- C07—ORGANIC CHEMISTRY
- C07F—ACYCLIC, CARBOCYCLIC OR HETEROCYCLIC COMPOUNDS CONTAINING ELEMENTS OTHER THAN CARBON, HYDROGEN, HALOGEN, OXYGEN, NITROGEN, SULFUR, SELENIUM OR TELLURIUM
- C07F17/00—Metallocenes
-
- C—CHEMISTRY; METALLURGY
- C08—ORGANIC MACROMOLECULAR COMPOUNDS; THEIR PREPARATION OR CHEMICAL WORKING-UP; COMPOSITIONS BASED THEREON
- C08F—MACROMOLECULAR COMPOUNDS OBTAINED BY REACTIONS ONLY INVOLVING CARBON-TO-CARBON UNSATURATED BONDS
- C08F10/00—Homopolymers and copolymers of unsaturated aliphatic hydrocarbons having only one carbon-to-carbon double bond
-
- B—PERFORMING OPERATIONS; TRANSPORTING
- B01—PHYSICAL OR CHEMICAL PROCESSES OR APPARATUS IN GENERAL
- B01J—CHEMICAL OR PHYSICAL PROCESSES, e.g. CATALYSIS OR COLLOID CHEMISTRY; THEIR RELEVANT APPARATUS
- B01J2531/00—Additional information regarding catalytic systems classified in B01J31/00
- B01J2531/40—Complexes comprising metals of Group IV (IVA or IVB) as the central metal
-
- C—CHEMISTRY; METALLURGY
- C07—ORGANIC CHEMISTRY
- C07C—ACYCLIC OR CARBOCYCLIC COMPOUNDS
- C07C2531/00—Catalysts comprising hydrides, coordination complexes or organic compounds
- C07C2531/02—Catalysts comprising hydrides, coordination complexes or organic compounds containing organic compounds or metal hydrides
- C07C2531/12—Catalysts comprising hydrides, coordination complexes or organic compounds containing organic compounds or metal hydrides containing organo-metallic compounds or metal hydrides
Landscapes
- Chemical & Material Sciences (AREA)
- Organic Chemistry (AREA)
- Chemical Kinetics & Catalysis (AREA)
- Inorganic Chemistry (AREA)
- Engineering & Computer Science (AREA)
- Materials Engineering (AREA)
- Health & Medical Sciences (AREA)
- Medicinal Chemistry (AREA)
- Polymers & Plastics (AREA)
- Transition And Organic Metals Composition Catalysts For Addition Polymerization (AREA)
Abstract
Description
본 발명은 포스트 메탈로센형 신규 리간드 화합물, 상기 신규 리간드 화합물을 포함하는 유기 금속 화합물, 상기 유기 금속 화합물을 포함하는 촉매 조성물과 이의 제조방법 및 상기 촉매 조성물을 이용한 올레핀 중합체의 제조방법에 관한 것이다.The present invention relates to a post metallocene type novel ligand compound, an organometallic compound containing the novel ligand compound, a catalyst composition comprising the organometallic compound, a process for preparing the same, and a process for preparing an olefin polymer using the catalyst composition.
DOW 사가 1990년대 초반 [Me2Si(Me4C5)NtBu]TiCl2(Constrained-Geometry Catalyst, CGC)를 발표하였는데(미국 특허 5,064,802), 에틸렌과 알파-올레핀의 공중합 반응에서 CGC 가 기존까지 알려진 메탈로센 촉매들에 비해 우수한 측면을 크게 다음과 같이 두 가지로 요약할 수 있다: (1) 높은 중합 온도에서도 높은 활성도를 나타내면서 고분자량의 중합체를 생성하며, (2) 1-헥센 및 1-옥텐과 같은 입체적 장애가 큰 알파-올레핀의 공중합성도 매우 뛰어나다는 점이다. 그 외에도 중합 반응 시, CGC 의 여러 가지 특성들이 점차 알려지면서 이의 유도체를 합성하여 중합 촉매로 사용하고자 하는 노력이 학계 및 산업계에서 활발히 이루어졌다.In the early 1990s, DOW announced the use of [Me 2 Si (Me 4 C 5 ) N t Bu] TiCl 2 (Constrained-Geometry Catalyst, CGC) (US Pat. No. 5,064,802) (1) produce high molecular weight polymers with high activity even at high polymerization temperatures, (2) react with 1-hexene and It is also excellent in the copolymerization of α-olefins with large steric hindrance such as 1-octene. In addition, various characteristics of CGC were gradually known during the polymerization reaction, and efforts to synthesize the derivative and use it as a polymerization catalyst have actively been made in academia and industry.
그 중 하나의 접근 방법으로 실리콘 브릿지 대신에 다른 다양한 브릿지 및 질소(nitrogen) 치환체가 도입된 금속 화합물의 합성과 이를 이용한 올레핀 중합이 시도되었다. 최근까지 알려진 대표적인 금속 화합물들을 열거하면 아래와 같다(Chem . Rev . 2003, 103, 283).One approach is to synthesize metal compounds in which various other bridges and nitrogen substituents have been introduced instead of silicon bridges and olefin polymerization using the same. Opening exemplary metal compounds known to date are: (Chem. Rev. 2003, 103 , 283).
1 2 3 4 One 2 3 4
상기에 나열된 화합물들은 CGC 구조의 실리콘 브릿지 대신에 포스포러스(1), 에틸렌 또는 프로필렌(2), 메틸리덴(3), 및 메틸렌(4) 브릿지가 각각 도입되어 있으나, 에틸렌 중합 또는 알파-올레핀과의 공중합 적용 시에 CGC에 대비하여 활성도나 공중합 성능 등의 측면에서 뛰어난 결과들을 주지 못했다.The compounds listed above have been introduced with phosphorus (1), ethylene or propylene (2), methylidene (3), and methylene (4) bridges, respectively, instead of the CGC structure of silicon bridges, In the case of the copolymerization, there were no excellent results in terms of activity or copolymerization performance in comparison with CGC.
또한, 다른 접근 방법으로는 상기 CGC 의 아미도 리간드 대신에 옥시도 리간드로 구성된 화합물들 많이 합성되었으며, 이를 이용한 중합도 일부 시도되었다. 그 예들을 정리하면 다음과 같다.In addition, as another approach, a large amount of compounds composed of oxydolides were synthesized instead of the amido ligands of CGC, and some polymerization using the compounds was attempted. The examples are summarized as follows.
5 6 7 8 5 6 7 8
상기 화합물(5)은 T. J. Marks 등에 의해 보고된 내용으로, Cp 유도체와 옥시도 리간드가 오르토-페닐렌기에 의해 가교된 것이 특징이다(Organometallics 1997, 16, 5958). 동일한 가교를 가지고 있는 화합물 및 이를 이용한 중합이 Mu 등에 의해서도 보고되었다(Organometallics 2004, 23, 540). 또한, 인데닐 리간드와 옥시도 리간드가 동일한 오르토-펜닐렌기에 의해 가교된 것이 Rothwell 등에 의해 발표되었다(Chem . Commun . 2003, 1034). 상기 화합물(6)은 Whitby 등이 보고한 내용으로, 탄소 3개에 의해 싸이클로펜타디에닐 리간드와 옥시도 리간드가 교각된 것이 특징인데(Organometallics 1999, 18, 348), 이런 촉매들이 신디오탁틱(syndiotactic) 폴리스티렌 중합에 활성을 보인다고 보고 되었다. 유사한 화합물이 또한 Hessen 등에 의해서도 보고되었다(Organometallics 1998, 17, 1652). 상기 (7)로 표시되는 화합물은 Rau 등이 보고한 것으로, 고온 고압(210℃, 150 MPa)에서 에틸렌과 에틸렌/1-헥센 공중합에 활성을 보이는 것이 특징이다(J. Organomet . Chem. 2000, 608, 71). 또한, 이후 이와 유사한 구조의 촉매(8)의 합성 및 이를 이용한 고온 고압 중합이 스미토모(Sumitomo) 사에 의하여 특허 출원되었다(미국 특허 6,548,686).The compound (5) is reported by TJ Marks et al., And is characterized in that the Cp derivative and the oxydolidine are cross-linked by ortho-phenylene groups ( Organometallics 1997, 16 , 5958). Compounds having the same cross-linking and polymerization using them have also been reported by Mu et al. ( Organometallics 2004, 23 , 540). Also, Rothwell et al . ( Chem . Commun . 2003, 1034) have reported that an indenyl ligand and an oxydol ligand are bridged by the same ortho-phenylene group. The compound (6) is reported by Whitby et al., And is characterized in that a cyclopentadienyl ligand and an oxydol ligand are bridged by three carbon atoms ( Organometallics 1999, 18 , 348). These catalysts are synthesized from syndiotactic syndiotactic polystyrene polymerization. Similar compounds have also been reported by Hessen et al. ( Organometallics 1998, 17 , 1652). The compound represented by the above formula (7) is reported by Rau et al. And is characterized in that it exhibits activity in ethylene and ethylene / 1-hexene copolymerization at high temperature and high pressure (210 ° C, 150 MPa) ( J. Organomet . 608 , 71). Also, the synthesis of the catalyst (8) having similar structure and the high-temperature high-pressure polymerization using the same were patented by Sumitomo Co. (US Pat. No. 6,548,686).
9 9
최근에는 CGC 구조에서 벗어난 피리딜-아미드(pyridyl-amide) 리간드를 가지는 상기 화합물(9)와 같은 화합물이 DOW 사에 의해 보고 되었다(US 2004/0220050, J. Am . Chem . Soc. 2007, 129, 7831). 이 촉매는 고온 중합이 가능하며 다중 활성점을 가지고 있어서 넓은 분자량 분포를 가지는 에틸렌/옥텐 공중합에 대해 활성을 보여준다.Recently, compounds such as the above compound (9) having a pyridyl-amide ligand deviating from the CGC structure have been reported by DOW (US 2004/0220050, J. Am . Chem . Soc . 2007, 129 , 7831). These catalysts are capable of high temperature polymerization and have multiple active sites and thus exhibit activity against ethylene / octene copolymerization with a broad molecular weight distribution.
한편 일본 미쯔이 사에서는 페녹시 이민을 기본 골격으로 하는 4족 전이금속 화합물(Ti, Zr)을 개발하여 폴리에틸렌은 물론 폴리프로필렌의 여러가지 조절, 리빙중합 등 뛰어난 활성과 능력을 가짐을 보여주었다. 이 촉매의 특징은 기존 메탈로센 촉매나 CGC 의 중요한 골격이 되는 시클로펜타디엔 리간드가 촉매 구조상에 없다는 것이다. 그로 인해 이 촉매는 포스트 메탈로센 즉, 메탈로센 구조를 벗어나는 차세대 촉매로 각광을 받기 시작하였다. 이후 이 촉매는 FI 촉매 (10)로 명명되어 촉매 기본 골격을 중심으로 여러가지 치환체들이 바뀜에 따라 촉매의 활성과 효율성 등에 대하여 자세히 조사되었고 현재 수많은 문헌들에 인용되고 있다 (J. Am . Chem. Soc . 2001, 123, 6847 and 2002, 124, 3327). On the other hand, Mitsui Japan has developed a transition metal compound (Ti, Zr) having a basic skeleton of phenoxyimine, showing excellent activity and ability such as controlling various polypropylene as well as living polymerization, as well as polyethylene. This catalyst is characterized by the fact that cyclopentadiene ligands, which are important skeletons of conventional metallocene catalysts and CGCs, are not present in the catalyst structure. As a result, this catalyst began to receive its spotlight as a post-metallocene, ie, a next-generation catalyst outside the metallocene structure. This catalyst was named FI catalyst 10, and the activity and efficiency of the catalyst were investigated in detail as the various substituents were changed around the basic structure of the catalyst, and it has been quoted in numerous literatures at present ( J. Am . Chem. Soc . 2001, 123, 6847 and 2002 , 124, 3327).
10 10
최근에는 CGC 백본에서 또 다른 브릿지, 즉 페닐기를 도입한 리간드를 가지는 촉매(11,12)를 엘지화학이 개발하였다 (Organometallics, 2006, 25, 5122 and 2008, 27, 3907). 이들 촉매는 에틸렌/1-옥텐 공중합체를 만드는데 있어서 기존 CGC 대비 동등 이상 수준의 활성, 분자량, 1-옥텐의 함량 등을 보이고 있다.Recently, LG Chem developed a catalyst (11, 12) having another bridge, that is, a ligand in which a phenyl group is introduced, in the CGC backbone ( Organometallics , 2006, 25 , 5122 and 2008, 27 , 3907). These catalysts have the same activity level, molecular weight, and 1-octene content as those of conventional CGC in the production of ethylene / 1-octene copolymer.
11 12 11 12
본 발명은 상기 종래의 공중합체 제조용 촉매 구조에 있어서 새로운 구조를 가지는 하이브리드형 리간드를 도입함으로써 차세대 포스트 메탈로센 촉매를 개발하는데 목적이 있다. It is an object of the present invention to develop a next-generation post metallocene catalyst by introducing a hybrid ligand having a novel structure in the above catalyst structure for producing a copolymer.
이에 따른 본 발명의 목적은 사이클로펜타디엔 유도체 및 헤테로 원자를 동시에 포함하는 포스트 메탈로센용 리간드 화합물을 제공하는 것이다. Accordingly, an object of the present invention is to provide a ligand compound for a post metallocene which simultaneously contains a cyclopentadiene derivative and a hetero atom.
본 발명의 또 다른 목적은 상기 리간드를 이용하여 4족 내지 12족 전이금속이 중심 금속을 이루고 있는 유기 금속 화합물을 제공하는 것이다.Another object of the present invention is to provide an organometallic compound wherein a transition metal of group 4 to group 12 is a central metal using the ligand.
본 발명의 또 다른 목적은 상기 유기 금속 화합물을 포함하는 촉매 조성물을 제공하는 것이다.It is still another object of the present invention to provide a catalyst composition comprising the organometallic compound.
본 발명의 또 다른 목적은 상기 유기 금속 화합물을 포함하는 촉매 조성물의 제조방법을 제공하는 것이다.It is still another object of the present invention to provide a process for preparing a catalyst composition comprising the organometallic compound.
본 발명의 또 다른 목적은 상기 촉매 조성물을 이용한 올레핀 중합체의 제조방법을 제공하는 것이다.It is a further object of the present invention to provide a process for preparing an olefin polymer using the catalyst composition.
상기 목적을 달성하기 위해 본 발명의 일 측면에 따르면, 하기 화학식 1로 표시되는 리간드 화합물을 제공한다.According to one aspect of the present invention, there is provided a ligand compound represented by the following general formula (1).
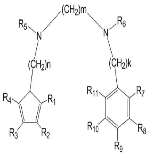
[화학식 1] [Chemical Formula 1]
상기 화학식 1에서, In Formula 1,
R1 내지 R4는 서로 같거나 다를 수 있으며, 각각 독립적으로 수소; 할로겐 라디칼; 할로겐으로 치환 또는 비치환된 탄소수 1 내지 20의 알킬 라디칼; 탄소수 1 내지 20의 알킬리딘 라디칼; 탄소수 2 내지 20의 알케닐 라디칼; 탄소수 1 내지 20의 실릴 라디칼; 탄소수 6 내지 60의 아릴 라디칼; 탄소수 7 내지 60의 알킬아릴 라디칼; 탄소수 7 내지 60의 아릴알킬 라디칼이고; 또는 탄소수 3 내지 60의 시클로알킬 라디칼이고; 상기 R1 내지 R4중에서 인접하는 2개 이상은 서로 연결되어 하나 이상의 지방족 고리, 또는 방향족 고리를 형성할 수 있고;R1 to R4 may be the same or different from each other, and each independently hydrogen; Halogen radicals; An alkyl radical having 1 to 20 carbon atoms which is unsubstituted or substituted with halogen; An alkylidene radical having 1 to 20 carbon atoms; An alkenyl radical having 2 to 20 carbon atoms; A silyl radical having 1 to 20 carbon atoms; An aryl radical having 6 to 60 carbon atoms; An alkylaryl radical having 7 to 60 carbon atoms; An arylalkyl radical having 7 to 60 carbon atoms; Or a cycloalkyl radical having 3 to 60 carbon atoms; Two or more adjacent ones of R1 to R4 may be connected to each other to form at least one aliphatic ring or aromatic ring;
R5 및 R6은 서로 같거나 상이하고, 각각 독립적으로 수소; 할로겐기로 치환 또는 비치환된 탄소수 1 내지 20의 알킬 라디칼; 탄소수 3 내지 60의 시클로알킬 라디칼; 탄소수 6 내지 60의 아릴 라디칼; 탄소수 2 내지 20의 알케닐 라디칼; 탄소수 7 내지 60의 알킬아릴 라디칼 또는 탄소수 7 내지 60의 아릴알킬 라디칼이고;R5 and R6 are the same or different from each other, and each independently hydrogen; An alkyl radical having 1 to 20 carbon atoms which is unsubstituted or substituted with a halogen group; A cycloalkyl radical having 3 to 60 carbon atoms; An aryl radical having 6 to 60 carbon atoms; An alkenyl radical having 2 to 20 carbon atoms; An alkylaryl radical having 7 to 60 carbon atoms or an arylalkyl radical having 7 to 60 carbon atoms;
R7 내지 R10은 서로 같거나 다를 수 있으며, 각각 독립적으로 수소; 할로겐 라디칼; 할로겐으로 치환 또는 비치환된 탄소수 1 내지 20의 알킬 라디칼; 탄소수 1 내지 20의 알킬리딘 라디칼; 탄소수 2 내지 20의 알케닐 라디칼; 탄소수 1 내지 20의 실릴 라디칼; 탄소수 6 내지 60의 아릴 라디칼; 탄소수 7 내지 60의 알킬아릴 라디칼; 탄소수 7 내지 60의 아릴알킬 라디칼이고; 또는 탄소수 3 내지 60의 시클로알킬 라디칼이고; 상기 R7 내지 R10중에서 인접하는 2개 이상은 서로 연결되어 하나 이상의 지방족 고리, 또는 방향족 고리를 형성할 수 있고;R7 to R10 may be the same or different from each other, and each independently hydrogen; Halogen radicals; An alkyl radical having 1 to 20 carbon atoms which is unsubstituted or substituted with halogen; An alkylidene radical having 1 to 20 carbon atoms; An alkenyl radical having 2 to 20 carbon atoms; A silyl radical having 1 to 20 carbon atoms; An aryl radical having 6 to 60 carbon atoms; An alkylaryl radical having 7 to 60 carbon atoms; An arylalkyl radical having 7 to 60 carbon atoms; Or a cycloalkyl radical having 3 to 60 carbon atoms; Two or more adjacent ones of R7 to R10 may be connected to each other to form at least one aliphatic ring or aromatic ring;
R11은 하이드록시 라디칼; 탄소수 1 내지 20의 하이드록시알킬 라디칼; 또는 탄소수 6 내지 20의 하이드록시아릴 라디칼이며;R11 is a hydroxy radical; A hydroxyalkyl radical having from 1 to 20 carbon atoms; Or a hydroxyaryl radical having 6 to 20 carbon atoms;
n, m 및 k는 각각 독립적으로 1 내지 10의 정수이다.n, m and k are each independently an integer of 1 to 10.
상기 목적을 달성하기 위한 본 발명의 두 번째 측면에 따르면, 하기 화학식 2로 표시되는 유기 금속 화합물을 제공한다.According to a second aspect of the present invention, there is provided an organometallic compound represented by the following general formula (2).
[화학식 2](2)
상기 화학식 2에 있어서, In Formula 2,
R1 내지 R4는 서로 같거나 다를 수 있으며, 각각 독립적으로 수소; 할로겐 라디칼; 할로겐으로 치환 또는 비치환된 탄소수 1 내지 20의 알킬 라디칼; 탄소수 1 내지 20의 알킬리딘 라디칼; 탄소수 2 내지 20의 알케닐 라디칼; 탄소수 1 내지 20의 실릴 라디칼; 탄소수 6 내지 60의 아릴 라디칼; 탄소수 7 내지 60의 알킬아릴 라디칼; 탄소수 7 내지 60의 아릴알킬 라디칼이고; 또는 탄소수 3 내지 60의 시클로알킬 라디칼이고; 상기 R1 내지 R4중에서 인접하는 2개 이상은 서로 연결되어 하나 이상의 지방족 고리, 또는 방향족 고리를 형성할 수 있고;R1 to R4 may be the same or different from each other, and each independently hydrogen; Halogen radicals; An alkyl radical having 1 to 20 carbon atoms which is unsubstituted or substituted with halogen; An alkylidene radical having 1 to 20 carbon atoms; An alkenyl radical having 2 to 20 carbon atoms; A silyl radical having 1 to 20 carbon atoms; An aryl radical having 6 to 60 carbon atoms; An alkylaryl radical having 7 to 60 carbon atoms; An arylalkyl radical having 7 to 60 carbon atoms; Or a cycloalkyl radical having 3 to 60 carbon atoms; Two or more adjacent ones of R1 to R4 may be connected to each other to form at least one aliphatic ring or aromatic ring;
R5 및 R6은 서로 같거나 상이하고, 각각 독립적으로 수소; 할로겐기로 치환 또는 비치환된 탄소수 1 내지 20의 알킬 라디칼; 탄소수 3 내지 60의 시클로알킬 라디칼; 탄소수 6 내지 60의 아릴 라디칼; 탄소수 2 내지 20의 알케닐 라디칼; 탄소수 7 내지 60의 알킬아릴 라디칼 또는 탄소수 7 내지 60의 아릴알킬 라디칼이고;R5 and R6 are the same or different from each other, and each independently hydrogen; An alkyl radical having 1 to 20 carbon atoms which is unsubstituted or substituted with a halogen group; A cycloalkyl radical having 3 to 60 carbon atoms; An aryl radical having 6 to 60 carbon atoms; An alkenyl radical having 2 to 20 carbon atoms; An alkylaryl radical having 7 to 60 carbon atoms or an arylalkyl radical having 7 to 60 carbon atoms;
R7 내지 R10은 서로 같거나 다를 수 있으며, 각각 독립적으로 수소; 할로겐 라디칼; 할로겐으로 치환 또는 비치환된 탄소수 1 내지 20의 알킬 라디칼; 탄소수 1 내지 20의 알킬리딘 라디칼; 탄소수 2 내지 20의 알케닐 라디칼; 탄소수 1 내지 20의 실릴 라디칼; 탄소수 6 내지 60의 아릴 라디칼; 탄소수 7 내지 60의 알킬아릴 라디칼; 탄소수 7 내지 60의 아릴알킬 라디칼이고; 또는 탄소수 3 내지 60의 시클로알킬 라디칼이고; 상기 R7 내지 R10중에서 인접하는 2개 이상은 서로 연결되어 하나 이상의 지방족 고리, 또는 방향족 고리를 형성할 수 있고;R7 to R10 may be the same or different from each other, and each independently hydrogen; Halogen radicals; An alkyl radical having 1 to 20 carbon atoms which is unsubstituted or substituted with halogen; An alkylidene radical having 1 to 20 carbon atoms; An alkenyl radical having 2 to 20 carbon atoms; A silyl radical having 1 to 20 carbon atoms; An aryl radical having 6 to 60 carbon atoms; An alkylaryl radical having 7 to 60 carbon atoms; An arylalkyl radical having 7 to 60 carbon atoms; Or a cycloalkyl radical having 3 to 60 carbon atoms; Two or more adjacent ones of R7 to R10 may be connected to each other to form at least one aliphatic ring or aromatic ring;
R11'은 산소 원자(-O-); 탄소수 1 내지 20의 옥시알킬렌 라디칼; 또는 탄소수 6 내지 20의 옥시아릴렌 라디칼이고;R11 'is an oxygen atom (-O-); An oxyalkylene radical having 1 to 20 carbon atoms; Or an oxyarylene radical having 6 to 20 carbon atoms;
M은 3 족 내지 12족의 금속 또는 란타나이드 계열 금속이고; M is a metal of group 3 to 12 or a lanthanide series metal;
X1 및 X2는 서로 같거나 다를 수 있으며, 각각 독립적으로 할로겐 라디칼; 탄소수 1 내지 20의 알킬아미도 라디칼; 탄소수 6 내지 60의 아릴아미도 라디칼; 탄소수 1 내지 20의 알킬 라디칼; 탄소수 1 내지 20의 실릴알킬 라디칼; 탄소수 2 내지 20의 알케닐 라디칼; 탄소수 6 내지 60의 아릴 라디칼; 탄소수 7 내지 60의 알킬아릴 라디칼; 또는 탄소수 7 내지 60의 아릴알킬 라디칼이며;X1 and X2 may be the same or different from each other and are each independently a halogen radical; An alkylamido radical having 1 to 20 carbon atoms; An arylamido radical having 6 to 60 carbon atoms; An alkyl radical having 1 to 20 carbon atoms; A silylalkyl radical having 1 to 20 carbon atoms; An alkenyl radical having 2 to 20 carbon atoms; An aryl radical having 6 to 60 carbon atoms; An alkylaryl radical having 7 to 60 carbon atoms; Or an arylalkyl radical having 7 to 60 carbon atoms;
n, m 및 k는 각각 독립적으로 1 내지 10 의 정수이다.n, m and k are each independently an integer of 1 to 10.
상기 목적을 달성하기 위한 본 발명의 세 번째 측면은 상기 유기 금속 화합물을 포함하는 촉매 조성물 및 이의 제조방법을 제공한다.A third aspect of the present invention provides a catalyst composition comprising the organometallic compound and a process for preparing the same.
상기 목적을 달성하기 위한 본 발명의 네 번째 측면은 상기 촉매 조성물을 이용한 올레핀 중합체의 제조방법을 제공한다.A fourth aspect of the present invention provides a process for preparing an olefin polymer using the catalyst composition.
상기 새로운 리간드를 가지는 유기 금속 화합물은 기존에 알려지거나 합성된 예들이 없으며, 사이클로펜타디엔 유도체 및 헤테로 원자를 동시에 포함하는 하이브리드형 리간드에 다양한 치환체를 도입함으로써 금속 주위의 전자적, 입체적 환경을 쉽게 제어할 수 있고 궁극적으로는 생성되는 폴리올레핀의 구조 및 물성 등의 조절이 가능하다.The organometallic compound having the new ligand has no known or synthesized examples, and various substituents are introduced into a hybrid type ligand that simultaneously contains a cyclopentadiene derivative and a hetero atom, thereby easily controlling the electronic and stereoscopic environment around the metal And ultimately it is possible to control the structure and physical properties of the resulting polyolefin.
본 발명에서, 제1, 제2 등의 용어는 다양한 구성요소들을 설명하는데 사용되며, 상기 용어들은 하나의 구성 요소를 다른 구성 요소로부터 구별하는 목적으로만 사용된다. In the present invention, the terms first, second, etc. are used to describe various components, and the terms are used only for the purpose of distinguishing one component from another.
또한, 본 명세서에서 사용되는 용어는 단지 예시적인 실시예들을 설명하기 위해 사용된 것으로, 본 발명을 한정하려는 의도는 아니다. 단수의 표현은 문맥상 명백하게 다르게 뜻하지 않는 한, 복수의 표현을 포함한다. 본 명세서에서, "포함하다", "구비하다" 또는 "가지다" 등의 용어는 실시된 특징, 숫자, 단계, 구성 요소 또는 이들을 조합한 것이 존재함을 지정하려는 것이지, 하나 또는 그 이상의 다른 특징들이나 숫자, 단계, 구성 요소, 또는 이들을 조합한 것들의 존재 또는 부가 가능성을 미리 배제하지 않는 것으로 이해되어야 한다.Moreover, the terminology used herein is for the purpose of describing exemplary embodiments only and is not intended to be limiting of the present invention. The singular expressions include plural expressions unless the context clearly dictates otherwise. In this specification, the terms "comprising," "comprising," or "having ", and the like are intended to specify the presence of stated features, But do not preclude the presence or addition of one or more other features, integers, steps, components, or combinations thereof.
또한 본 발명에 있어서, 각 층 또는 요소가 각 층들 또는 요소들의 "상에" 또는 "위에" 형성되는 것으로 언급되는 경우에는 각 층 또는 요소가 직접 각 층들 또는 요소들의 위에 형성되는 것을 의미하거나, 다른 층 또는 요소가 각 층 사이, 대상체, 기재 상에 추가적으로 형성될 수 있음을 의미한다. Also in the present invention, when referring to each layer or element being "on" or "on" each layer or element, it is meant that each layer or element is formed directly on each layer or element, Layer or element may be additionally formed between each layer, the object, and the substrate.
본 발명은 다양한 변경을 가할 수 있고 여러 가지 형태를 가질 수 있는 바, 특정 실시예들을 예시하고 하기에서 상세하게 설명하고자 한다. 그러나, 이는 본 발명을 특정한 개시 형태에 대해 한정하려는 것이 아니며, 본 발명의 사상 및 기술 범위에 포함되는 모든 변경, 균등물 내지 대체물을 포함하는 것으로 이해되어야 한다.
While the invention is susceptible to various modifications and alternative forms, specific embodiments thereof are shown by way of example in the drawings and will herein be described in detail. It should be understood, however, that the invention is not intended to be limited to the particular forms disclosed, but includes all modifications, equivalents, and alternatives falling within the spirit and scope of the invention.
이하에서 본 발명에 대하여 상세히 설명한다. Hereinafter, the present invention will be described in detail.
본 발명은 하기 화학식 1의 리간드 화합물을 제공한다. The present invention provides a ligand compound represented by the following formula (1).
[화학식 1][Chemical Formula 1]
상기 화학식 1에서, In Formula 1,
R1 내지 R4는 서로 같거나 다를 수 있으며, 각각 독립적으로 수소; 할로겐 라디칼; 할로겐으로 치환 또는 비치환된 탄소수 1 내지 20의 알킬 라디칼; 탄소수 1 내지 20의 알킬리딘 라디칼; 탄소수 2 내지 20의 알케닐 라디칼; 탄소수 1 내지 20의 실릴 라디칼; 탄소수 6 내지 60의 아릴 라디칼; 탄소수 7 내지 60의 알킬아릴 라디칼; 탄소수 7 내지 60의 아릴알킬 라디칼이고; 또는 탄소수 3 내지 60의 시클로알킬 라디칼이고; 상기 R1 내지 R4중에서 인접하는 2개 이상은 서로 연결되어 하나 이상의 지방족 고리, 또는 방향족 고리를 형성할 수 있고;R1 to R4 may be the same or different from each other, and each independently hydrogen; Halogen radicals; An alkyl radical having 1 to 20 carbon atoms which is unsubstituted or substituted with halogen; An alkylidene radical having 1 to 20 carbon atoms; An alkenyl radical having 2 to 20 carbon atoms; A silyl radical having 1 to 20 carbon atoms; An aryl radical having 6 to 60 carbon atoms; An alkylaryl radical having 7 to 60 carbon atoms; An arylalkyl radical having 7 to 60 carbon atoms; Or a cycloalkyl radical having 3 to 60 carbon atoms; Two or more adjacent ones of R1 to R4 may be connected to each other to form at least one aliphatic ring or aromatic ring;
R5 및 R6은 서로 같거나 상이하고, 각각 독립적으로 수소; 할로겐기로 치환 또는 비치환된 탄소수 1 내지 20의 알킬 라디칼; 탄소수 3 내지 60의 시클로알킬 라디칼; 탄소수 6 내지 60의 아릴 라디칼; 탄소수 2 내지 20의 알케닐 라디칼; 탄소수 7 내지 60의 알킬아릴 라디칼 또는 탄소수 7 내지 60의 아릴알킬 라디칼이고;R5 and R6 are the same or different from each other, and each independently hydrogen; An alkyl radical having 1 to 20 carbon atoms which is unsubstituted or substituted with a halogen group; A cycloalkyl radical having 3 to 60 carbon atoms; An aryl radical having 6 to 60 carbon atoms; An alkenyl radical having 2 to 20 carbon atoms; An alkylaryl radical having 7 to 60 carbon atoms or an arylalkyl radical having 7 to 60 carbon atoms;
R7 내지 R10은 서로 같거나 다를 수 있으며, 각각 독립적으로 수소; 할로겐 라디칼; 할로겐으로 치환 또는 비치환된 탄소수 1 내지 20의 알킬 라디칼; 탄소수 1 내지 20의 알킬리딘 라디칼; 탄소수 2 내지 20의 알케닐 라디칼; 탄소수 1 내지 20의 실릴 라디칼; 탄소수 6 내지 60의 아릴 라디칼; 탄소수 7 내지 60의 알킬아릴 라디칼; 탄소수 7 내지 60의 아릴알킬 라디칼이고; 또는 탄소수 3내지 60의 시클로알킬 라디칼이고; 상기 R7 내지 R10중에서 인접하는 2개 이상은 서로 연결되어 하나 이상의 지방족 고리, 또는 방향족 고리를 형성할 수 있고;R7 to R10 may be the same or different from each other, and each independently hydrogen; Halogen radicals; An alkyl radical having 1 to 20 carbon atoms which is unsubstituted or substituted with halogen; An alkylidene radical having 1 to 20 carbon atoms; An alkenyl radical having 2 to 20 carbon atoms; A silyl radical having 1 to 20 carbon atoms; An aryl radical having 6 to 60 carbon atoms; An alkylaryl radical having 7 to 60 carbon atoms; An arylalkyl radical having 7 to 60 carbon atoms; Or a cycloalkyl radical having 3 to 60 carbon atoms; Two or more adjacent ones of R7 to R10 may be connected to each other to form at least one aliphatic ring or aromatic ring;
R11은 하이드록시 라디칼; 탄소수 1 내지 20의 하이드록시알킬 라디칼; 또는 탄소수 6 내지 20의 하이드록시아릴 라디칼이며;R11 is a hydroxy radical; A hydroxyalkyl radical having from 1 to 20 carbon atoms; Or a hydroxyaryl radical having 6 to 20 carbon atoms;
n, m 및 k는 각각 독립적으로 1 내지 10 의 정수이다.n, m and k are each independently an integer of 1 to 10.
상기 화학식 1에서 주요한 치환기에 대하여 상세히 설명하면 다음과 같다. The main substituents in Formula 1 will be described in detail as follows.
상기 알킬 라디칼은 1 내지 20개, 바람직하게는 1 내지 10개, 보다 바람직하게는 1 내지 6개의 탄소 원자의 직쇄 또는 분지쇄 포화 1가 탄화수소를 의미한다.The alkyl radical means a straight or branched saturated monovalent hydrocarbon of 1 to 20, preferably 1 to 10, more preferably 1 to 6 carbon atoms.
상기 아릴 라디칼은 6 내지 60개, 바람직하게는 6 내지 12개의 고리 원자를 가지는 1가의 방향족 탄화수소를 의미하며, 단일 고리 또는 2 이상의 고리의 축합 고리일 수 있다. 아릴의 예로는, 페닐, 나프틸, 플루오레닐 등을 들 수 있으나, 본 발명이 이들로만 한정되는 것은 아니다. The aryl radical means a monovalent aromatic hydrocarbon having 6 to 60, preferably 6 to 12, ring atoms and may be a single ring or a condensed ring of two or more rings. Examples of aryl include phenyl, naphthyl, fluorenyl, and the like, but the present invention is not limited thereto.
상기 알킬아릴 라디칼은 7 내지 60개, 바람직하겐게는 7 내지 20개의 탄소 원자를 가지며, 상기 알킬기에 의하여 치환된 아릴기를 의미한다.The alkylaryl radical has from 7 to 60 carbon atoms, preferably from 7 to 20 carbon atoms, and refers to an aryl group substituted by an alkyl group.
상기 아릴알킬 라디칼은 7 내지 60개, 바람직하겐게는 7 내지 20개의 탄소 원자를 가지며, 상기 아릴기에 의하여 치환된 알킬기를 의미한다.The arylalkyl radical has from 7 to 60 carbon atoms, preferably from 7 to 20 carbon atoms, and refers to an alkyl group substituted by an aryl group.
상기 알케닐 라디칼은 1 이상의 탄소-탄소 이중 결합을 포함하는 2 내지 20개, 바람직하게는 2 내지 10개, 보다 바람직하게는 2 내지 6개의 탄소 원자의 직쇄 또는 분지쇄의 탄화수소를 의미한다. The alkenyl radical means a straight or branched hydrocarbon of 2 to 20, preferably 2 to 10, more preferably 2 to 6 carbon atoms, containing at least one carbon-carbon double bond.
상기 시클로알킬 라디칼은 3 내지 60개, 바람직하게는 5 내지 20개의 고리 원자를 가지며 포화 또는 불포화된 비방향족 1가의 탄화수소기를 의미하며, 단일 고리 또는 2 이상의 고리의 축합 고리일 수 있다. 이들의 예로는 펜탄, 헥산, 헵탄, 시클로펜타디에닐 등을 들 수 있나, 본 발명이 이들로만 한정되는 것은 아니다. The cycloalkyl radical means a saturated or unsaturated nonaromatic monovalent hydrocarbon group having 3 to 60, preferably 5 to 20, ring atoms and may be a single ring or a condensed ring of two or more rings. Examples thereof include pentane, hexane, heptane, cyclopentadienyl and the like, but the present invention is not limited thereto.
상기 하이드록시알킬 라디칼은 상기 정의된 알킬기의 수소 원자가 1개 이상이 하이드록시기(-OH)로 치환되어 있는 알킬기를 의미한다. The hydroxyalkyl radical means an alkyl group in which at least one hydrogen atom of the alkyl group defined above is substituted with a hydroxy group (-OH).
상기 하이드록시아릴 라디칼은 상기 정의된 아릴기의 수소 원자가 1개 이상이 하이드록시기(-OH)로 치환되어 있는 아릴기를 의미한다.The hydroxyaryl radical means an aryl group in which at least one hydrogen atom of the above-defined aryl group is substituted with a hydroxyl group (-OH).
본 발명의 일 실시예에 따르면, 상기 화학식 1 에 있어서, 상기 R1 내지 R4는 은 각각 독립적으로, 수소 또는 탄소수 1 내지 20의 알킬이거나, 상기 R1 내지 R4 중 인접하는 2개 이상이 서로 연결되어 하나 이상의 지방족 고리, 또는 방향족 고리를 형성할 수 있다. 상기 R5 및 R6은 각각 독립적으로, 수소, 또는 탄소수 1 내지 20의 알킬일 수 있으며, 상기 R7 내지 R10은 각각 독립적으로, 수소, 탄소수 1 내지 20의 알킬, 탄소수 5 내지 60의 시클로 알킬, 탄소수 6 내지 60의 아릴, 탄소수 7 내지 60의 알킬 아릴 또는 탄소수 7 내지 60의 아릴 알킬일 수 있다. 또한, 상기 R11은 하이드록시 라디칼일 수 있다. According to an embodiment of the present invention, R1 to R4 are each independently hydrogen or alkyl having 1 to 20 carbon atoms, or two or more adjacent R1 to R4 are connected to each other to form a Or more of an aliphatic ring or an aromatic ring. R5 and R6 are each independently hydrogen, or alkyl having 1 to 20 carbon atoms, and R7 to R10 are each independently hydrogen, alkyl having 1 to 20 carbon atoms, cycloalkyl having 5 to 60 carbon atoms, carbon number 6 Aryl of from 60 to 60 carbon atoms, alkylaryl of from 7 to 60 carbon atoms, or arylalkyl of from 7 to 60 carbon atoms. Also, R11 may be a hydroxy radical.
상기 화학식 1로 표시되는 화합물의 구체적인 예는 하기 구조식들 중 하나로 표시되는 화합물일 수 있으나, 본 발명이 이에 한정되는 것은 아니다. Specific examples of the compound represented by the formula (1) may be a compound represented by one of the following structural formulas, but the present invention is not limited thereto.
상기 화학식 1로 표시되는 화합물은 디아민(diamine)을 출발물질로 하여 C-N 커플링 반응을 통해 페닐 치환기를 도입하고 할로알킬시클로펜타디엔 유도체와의 반응을 거쳐 합성할 수 있다. 더욱 구체적인 예는 이하 제조예에 기재하였으며, 당업자는 제조예에 기재된 내용을 참고하여 상기 화학식 1의 화합물을 제조할 수 있다. The compound represented by Formula 1 can be synthesized by introducing a phenyl substituent through a C-N coupling reaction using a diamine as a starting material and reacting with a haloalkyl cyclopentadiene derivative. More specific examples are described in the following Preparation Examples, and those skilled in the art will be able to prepare the compound of Formula 1 with reference to the description in the Production Examples.
본 발명의 다른 일 측면에 의하면, 하기 화학식 2로 표시되는 유기 금속 화합물을 제공한다.According to another aspect of the present invention, there is provided an organometallic compound represented by the following general formula (2).
[화학식 2](2)
상기 화학식 2에 있어서, In Formula 2,
R1 내지 R4는 서로 같거나 다를 수 있으며, 각각 독립적으로 수소; 할로겐 라디칼; 할로겐으로 치환 또는 비치환된 탄소수 1 내지 20의 알킬 라디칼; 탄소수 1 내지 20의 알킬리딘 라디칼; 탄소수 2 내지 20의 알케닐 라디칼; 탄소수 1 내지 20의 실릴 라디칼; 탄소수 6 내지 60의 아릴 라디칼; 탄소수 7 내지 60의 알킬아릴 라디칼; 탄소수 7 내지 60의 아릴알킬 라디칼이고; 또는 탄소수 3 내지 60의 시클로알킬 라디칼이고; 상기 R1 내지 R4중에서 인접하는 2개 이상은 서로 연결되어 하나 이상의 지방족 고리, 또는 방향족 고리를 형성할 수 있고;R1 to R4 may be the same or different from each other, and each independently hydrogen; Halogen radicals; An alkyl radical having 1 to 20 carbon atoms which is unsubstituted or substituted with halogen; An alkylidene radical having 1 to 20 carbon atoms; An alkenyl radical having 2 to 20 carbon atoms; A silyl radical having 1 to 20 carbon atoms; An aryl radical having 6 to 60 carbon atoms; An alkylaryl radical having 7 to 60 carbon atoms; An arylalkyl radical having 7 to 60 carbon atoms; Or a cycloalkyl radical having 3 to 60 carbon atoms; Two or more adjacent ones of R1 to R4 may be connected to each other to form at least one aliphatic ring or aromatic ring;
R5 및 R6은 서로 같거나 상이하고, 각각 독립적으로 수소; 할로겐기로 치환 또는 비치환된 탄소수 1 내지 20의 알킬 라디칼; 탄소수 3내지 60의 시클로알킬 라디칼; 탄소수 6 내지 60의 아릴 라디칼; 탄소수 2 내지 20의 알케닐 라디칼; 탄소수 7 내지 60의 알킬아릴 라디칼 또는 탄소수 7 내지 60의 아릴알킬 라디칼이고;R5 and R6 are the same or different from each other, and each independently hydrogen; An alkyl radical having 1 to 20 carbon atoms which is unsubstituted or substituted with a halogen group; A cycloalkyl radical having 3 to 60 carbon atoms; An aryl radical having 6 to 60 carbon atoms; An alkenyl radical having 2 to 20 carbon atoms; An alkylaryl radical having 7 to 60 carbon atoms or an arylalkyl radical having 7 to 60 carbon atoms;
R7 내지 R10은 서로 같거나 다를 수 있으며, 각각 독립적으로 수소; 할로겐 라디칼; 할로겐으로 치환 또는 비치환된 탄소수 1 내지 20의 알킬 라디칼; 탄소수 1 내지 20의 알킬리딘 라디칼; 탄소수 2 내지 20의 알케닐 라디칼; 탄소수 1 내지 20의 실릴 라디칼; 탄소수 6 내지 60의 아릴 라디칼; 탄소수 7 내지 60의 알킬아릴 라디칼; 탄소수 7 내지 60의 아릴알킬 라디칼이고; 또는 탄소수 3 내지 60의 시클로알킬 라디칼이고; 상기 R7 내지 R10중에서 인접하는 2개 이상은 서로 연결되어 하나 이상의 지방족 고리, 또는 방향족 고리를 형성할 수 있고;R7 to R10 may be the same or different from each other, and each independently hydrogen; Halogen radicals; An alkyl radical having 1 to 20 carbon atoms which is unsubstituted or substituted with halogen; An alkylidene radical having 1 to 20 carbon atoms; An alkenyl radical having 2 to 20 carbon atoms; A silyl radical having 1 to 20 carbon atoms; An aryl radical having 6 to 60 carbon atoms; An alkylaryl radical having 7 to 60 carbon atoms; An arylalkyl radical having 7 to 60 carbon atoms; Or a cycloalkyl radical having 3 to 60 carbon atoms; Two or more adjacent ones of R7 to R10 may be connected to each other to form at least one aliphatic ring or aromatic ring;
R11'은 산소 원자(-O-); 탄소수 1 내지 20의 옥시알킬렌 라디칼; 또는 탄소수 6 내지 20의 옥시아릴렌 라디칼이고;R11 'is an oxygen atom (-O-); An oxyalkylene radical having 1 to 20 carbon atoms; Or an oxyarylene radical having 6 to 20 carbon atoms;
M은 3 족 내지 12족의 금속 또는 란타나이드 계열 금속이고; M is a metal of group 3 to 12 or a lanthanide series metal;
X1 및 X2는 서로 같거나 다를 수 있으며, 각각 독립적으로 할로겐 라디칼; 탄소수 1 내지 20의 알킬아미도 라디칼; 탄소수 6 내지 60의 아릴아미도 라디칼; 탄소수 1 내지 20의 알킬 라디칼; 탄소수 1 내지 20의 실릴알킬 라디칼; 탄소수 2 내지 20의 알케닐 라디칼; 탄소수 6 내지 60의 아릴 라디칼; 탄소수 7 내지 60의 알킬아릴 라디칼; 또는 탄소수 7 내지 60의 아릴알킬 라디칼이며;X1 and X2 may be the same or different from each other and are each independently a halogen radical; An alkylamido radical having 1 to 20 carbon atoms; An arylamido radical having 6 to 60 carbon atoms; An alkyl radical having 1 to 20 carbon atoms; A silylalkyl radical having 1 to 20 carbon atoms; An alkenyl radical having 2 to 20 carbon atoms; An aryl radical having 6 to 60 carbon atoms; An alkylaryl radical having 7 to 60 carbon atoms; Or an arylalkyl radical having 7 to 60 carbon atoms;
n, m 및 k는 각각 독립적으로 1 내지 10 의 정수이다.n, m and k are each independently an integer of 1 to 10.
본 발명의 일 실시예에 따르면, 상기 화학식 2에 있어서, 상기 R1 내지 R4는 각각 독립적으로, 수소 또는 탄소수 1 내지 20의 알킬이거나, 상기 R1 내지 R4 중 인접하는 2개 이상이 서로 연결되어 하나 이상의 지방족 고리, 또는 방향족 고리를 형성할 수 있다. 상기 R5 및 R6은 각각 독립적으로, 수소, 또는 탄소수 1 내지 20의 알킬일 수 있으며, 상기 R7 내지 R10은 각각 독립적으로, 수소, 탄소수 1 내지 20의 알킬, 탄소수 5 내지 20의 시클로 알킬, 탄소수 6 내지 20의 아릴, 탄소수 7 내지 20의 알킬 아릴 또는 탄소수 7 내지 20의 아릴 알킬일 수 있다. 또한, 상기 R11'은 산소원자(-O-)일 수 있다.According to an embodiment of the present invention, in Formula 2, each of R 1 to R 4 is independently hydrogen or alkyl having 1 to 20 carbon atoms, or two or more adjacent of R 1 to R 4 are connected to each other to form one or more An aliphatic ring, or an aromatic ring. R5 and R6 are each independently hydrogen or alkyl of 1 to 20 carbon atoms, and R7 to R10 are each independently hydrogen, alkyl of 1 to 20 carbon atoms, cycloalkyl of 5 to 20 carbon atoms, carbon number of 6 An aryl of from 20 to 20 carbon atoms, an alkylaryl of from 7 to 20 carbon atoms, or an arylalkyl of from 7 to 20 carbon atoms. Also, R11 'may be an oxygen atom (-O-).
상기 M은 티타늄(Ti), 지르코늄(Zr), 또는 하프늄(Hf)일 수 있으며, 상기 X1 및 X2는 각각 독립적으로, 할로겐, 탄소수 1 내지 20의 알킬, 또는 탄소수 1 내지 20의 실릴 알킬일 수 있으나, 본 발명이 이에 한정되는 것은 아니다.Wherein M may be titanium (Ti), zirconium (Zr), or hafnium (Hf), wherein X1 and X2 are each independently halogen, alkyl of 1 to 20 carbon atoms, or silylalkyl of 1 to 20 carbon atoms However, the present invention is not limited thereto.
상기 화학식 2로 표시되는 유기 금속 화합물의 예로는 하기 화합물이 있으나, 이에 한정되는 것은 아니다.Examples of the organometallic compound represented by the general formula (2) include, but are not limited to, the following compounds.
본 발명에 따르면, 상기 화학식 2의 유기 금속 화합물은 사이클로펜타디엔 유도체 및 헤테로 원자를 동시에 포함하는 하이브리드형 리간드에 다양한 치환체를 도입함으로써 금속 주위의 전자적, 입체적 환경을 쉽게 제어할 수 있고 궁극적으로는 생성되는 폴리올레핀의 구조 및 물성 등의 조절이 가능하다.According to the present invention, the organometallic compound of formula (2) can easily control the electronic and stereoscopic environment around the metal by introducing various substituents into the hybrid ligand simultaneously containing the cyclopentadiene derivative and the hetero atom, and ultimately, It is possible to control the structure and physical properties of the polyolefin.
본 발명에 따른 상기 화학식 2의 유기 금속 화합물은 올레핀 단량체의 중합용 촉매로서 사용되는 것이 바람직하나, 이에 한정되지는 않으며 기타 상기 유기 금속 화합물이 사용될 수 있는 모든 분야에 적용이 가능하다.The organometallic compound of Formula 2 according to the present invention is preferably used as a catalyst for the polymerization of olefin monomers, but is not limited thereto and is applicable to all fields in which the organometallic compound can be used.
본 발명에 따른 상기 화학식 2로 표시되는 유기 금속 화합물은 디아민을 출발물질로 하여 C-N 커플링 반응을 통해 페닐 치환기를 도입하고 할로알킬시클로펜타디엔 유도체와의 반응을 거쳐 화학식 1로 표시되는 리간드 화합물을 합성한 후, 이를 다시 금속 소스와 반응시켜 제조할 수 있다. 더욱 구체적인 예는 이하 제조예에 기재하였으며, 당업자는 제조예에 기재된 내용을 참고하여 상기 화학식 2의 유기 금속 화합물을 제조할 수 있다.The organometallic compound represented by Formula 2 according to the present invention may be prepared by introducing a phenyl substituent through a CN coupling reaction using a diamine as a starting material and reacting with a haloalkyl cyclopentadiene derivative to obtain a ligand compound represented by Formula 1 Synthesized, and then reacting it with a metal source. More specific examples are described in the following Preparation Examples, and those skilled in the art can prepare the organometallic compounds of Formula 2 with reference to the description of the Production Examples.
본 발명은 또한 상기 화학식 2의 유기 금속 화합물을 포함하는 촉매 조성물을 제공한다. The present invention also provides a catalyst composition comprising the organometallic compound of formula (2).
본 발명에 따른 촉매 조성물은 상기 화학식 2의 유기 금속 화합물 이외에 하기 화학식 3의 화합물, 하기 화학식 4의 화합물 및 하기 화학식 5의 화합물로 이루어진 군에서 선택된 1종 이상의 조촉매 화합물을 추가로 포함할 수 있다.The catalyst composition according to the present invention may further comprise at least one promoter compound selected from the group consisting of a compound represented by the following general formula (3), a compound represented by the following general formula (4) and a compound represented by the following general formula .
[화학식 3](3)
-[Al(R12)-O]c- - [Al (R 12) -O ] c-
상기 화학식 3에서, R12는 할로겐 라디칼, 탄소수 1 내지 20의 하이드로카빌 라디칼, 또는 할로겐으로 치환된 탄소수 1 내지 20의 하이드로카빌 라디칼이고, c는 2 이상의 정수이며,In the general formula (3), R 12 is a halogen radical, a hydrocarbyl radical having 1 to 20 carbon atoms, or a hydrocarbyl radical having 1 to 20 carbon atoms substituted with halogen, c is an integer of 2 or more,
[화학식 4][Chemical Formula 4]
D(R13)3 D (R 13) 3
상기 화학식 4에서,In Formula 4,
D는 알루미늄 또는 보론이고, R13은 탄소수 1 내지 20의 하이드로카빌 또는 할로겐으로 치환된 탄소수 1 내지 20의 하이드로카빌이고,D is aluminum or boron, R < 13 > is hydrocarbyl having 1 to 20 carbon atoms or hydrocarbyl having 1 to 20 carbon atoms substituted with halogen,
[화학식 5[Chemical Formula 5
[L-H]+[ZA4]- 또는 [L]+[ZA4]- [LH] + [ZA 4 ] - or [L] + [ZA 4 ] -
상기 화학식 5에서,In Formula 5,
L은 중성 또는 양이온성 루이스 염기이고, H는 수소 원자이며, Z는 13족 원소이고, A는 서로 동일하거나 다를 수 있으며, 각각 독립적으로 1 이상의 수소 원자가 할로겐, 탄소수 1 내지 20의 탄화수소, 알콕시 또는 페녹시로 치환 또는 비치환된 탄소수 6 내지 20의 아릴기 또는 탄소수 1 내지 20의 알킬기이다.L is a neutral or cationic Lewis base, H is a hydrogen atom, Z is a Group 13 element, A can be the same or different from each other, and each independently at least one hydrogen atom is replaced by halogen, a hydrocarbon having 1 to 20 carbon atoms, An aryl group having 6 to 20 carbon atoms or an alkyl group having 1 to 20 carbon atoms which is substituted or unsubstituted with phenoxy.
상기 조촉매 화합물들 중에서, 상기 화학식 3의 화합물 및 상기 화학식 4의 화합물은 다르게는 알킬화제로 표시될 수 있으며, 상기 화학식 5의 화합물은 활성화제로 표시될 수 있다.Among the above-mentioned promoter compounds, the compound of Formula 3 and the compound of Formula 4 may alternatively be represented by an alkylating agent, and the compound of Formula 5 may be represented by an activating agent.
상기 화학식 3으로 표시되는 화합물은 알킬알루미녹산이라면 특별히 한정되지 않으나 바람직한 예로는 메틸알루미녹산, 에틸알루미녹산, 이소부틸알루미녹산, 부틸알루미녹산 등이 있으며, 특히 바람직한 화합물은 메틸알루미녹산이다.The compound represented by the general formula (3) is not particularly limited as long as it is alkylaluminoxane, and preferred examples thereof include methylaluminoxane, ethylaluminoxane, isobutylaluminoxane and butylaluminoxane. A particularly preferred compound is methylaluminoxane.
상기 화학식 4로 표시되는 알킬 금속 화합물은 특별히 한정되지 않으나 바람직한 예로는 트리메틸알루미늄, 트리에틸알루미늄, 트리이소부틸알루미늄, 트리프로필알루미늄, 트리부틸알루미늄, 디메틸클로로알루미늄, 트리이소프로필알루미늄, 트리-s-부틸알루미늄, 트리사이클로펜틸알루미늄, 트리펜틸알루미늄, 트리이소펜틸알루미늄, 트리헥실알루미늄, 트리옥틸알루미늄, 에틸디메틸알루미늄, 메틸디에틸알루미늄, 트리페닐알루미늄, 트리-p-톨릴알루미늄, 디메틸알루미늄메톡시드, 디메틸알루미늄에톡시드, 트리메틸보론, 트리에틸보론, 트리이소부틸보론, 트리프로필보론, 트리부틸보론 등이 포함되며, 특히 바람직한 화합물은 트리메틸알루미늄, 트리에틸알루미늄, 트리이소부틸알루미늄 중에서 선택된다.The alkyl metal compound represented by the general formula (4) is not particularly limited, but preferable examples thereof include trimethyl aluminum, triethyl aluminum, triisobutyl aluminum, tripropyl aluminum, tributyl aluminum, dimethyl chloro aluminum, triisopropyl aluminum, Butylaluminum, tricyclopentylaluminum, tripentylaluminum, triisopentylaluminum, trihexylaluminum, trioctylaluminum, ethyldimethylaluminum, methyldiethylaluminum, triphenylaluminum, tri-p-tolylaluminum, dimethylaluminum methoxide, Dimethyl aluminum ethoxide, trimethyl boron, triethyl boron, triisobutyl boron, tripropyl boron, tributyl boron and the like. Particularly preferred compounds are selected from trimethyl aluminum, triethyl aluminum and triisobutyl aluminum.
상기 화학식 5로 표시되는 화합물의 예로는 트리에틸암모니움테트라(페닐)보론, 트리부틸암모니움테트라(페닐)보론, 트리메틸암모니움테트라(페닐)보론, 트리프로필암모니움테트라(페닐)보론, 트리메틸암모니움테트라(p-톨릴)보론, 트리메틸암모니움테트라(o,p-디메틸페닐)보론, 트리부틸암모니움테트라(p-트리플루오로메틸페닐)보론, 트리메틸암모니움테트라(p-트리플루오로메틸페닐)보론, 트리부틸암모니움테트라(펜타플루오로페닐)보론, N,N-디에틸아밀리디움테트라(페닐)보론, N,N-디에틸아닐리디움테트라(페닐)보론, N,N-디에틸아닐리니움테트라(펜타플루오로페닐)보론, 디에틸암모니움테트라(펜타플루오로페닐)보론, 트리페닐포스포늄테트라(페닐)보론, 트리메틸포스포늄테트라(페닐)보론, 트리에틸암모니움테트라(페닐)알루미늄, 트리부틸암모니움테트라(페닐)알루미늄, 트리메틸암모니움테트라(페닐)알루미늄, 트리프로필암모니움테트라(페닐)알루미늄, 트리메틸암모니움테트라(p-톨릴)알루미늄, 트리프로필암모니움테트라(p-톨릴)알루미늄, 트리에틸암모니움테트라(o,p-디메틸페닐)알루미늄, 트리부틸암모니움테트라(p-트리플루오로메틸페닐)알루미늄, 트리메틸암모니움테트라(p-트리플루오로메틸페닐)알루미늄, 트리부틸암모니움테트라(펜타플루오로페닐)알루미늄, N,N-디에틸아닐리니움테트라(페닐)알루미늄, N,N-디에틸아닐리니움테트라(페닐)알루미늄, N,N-디에틸아닐리니움테트라(펜타플루오로페닐)알루미늄, 디에틸암모니움테트라(펜타플루오로페닐)알루미늄, 트리페닐포스포늄테트라(페닐)알루미늄, 트리메틸포스포늄테트라(페닐)알루미늄, 트리에틸암모니움테트라(페닐)알루미늄, 트리부틸암모니움테트라(페닐)알루미늄, 트리메틸암모니움테트라(페닐)보론, 트리프로필암모니움테트라(페닐)보론, 트리메틸암모니움테트라(p-톨릴)보론,트리프로필암모니움테트라(p-톨릴)보론, 트리에틸암모니움테트라(o,p-디메틸페닐)보론, 트리메틸암모니움테트라(o,p-디메틸페닐)보론, 트리부틸암모니움테트라(p-트리플루오로메틸페닐)보론, 트리메틸암모니움테트라(p-트리플루오로메틸페닐)보론, 트리부틸암모니움테트라(펜타플루오로페닐)보론, N,N-디에틸아닐리니움테트라(페닐)보론, N,N-디에틸아닐리니움테트라(페닐)보론, N,N-디에틸아닐리니움테트라(펜타플루오로페닐)보론, 디에틸암모니움테트라(펜타플루오로페닐)보론, 트리페닐포스포늄테트라(페닐)보론, 트리페닐카보니움테트라(p-트리풀로로메틸페닐)보론, 트리페닐카보니움테트라(펜타플루오로페닐)보론, 트리틸테트라(펜타플루오로페닐)보론 등이 있으나 이에 한정되는 것은 아니다.Examples of the compound represented by Formula 5 include triethylammoniumtetra (phenyl) boron, tributylammoniumtetra (phenyl) boron, trimethylammoniumtetra (phenyl) boron, tripropylammoniumtetra (phenyl) (P-tolyl) boron, trimethylammoniumtetra (o, p-dimethylphenyl) boron, tributylammoniumtetra (ptrifluoromethylphenyl) boron, trimethylammoniumtetra (ptrifluoromethylphenyl (Phenyl) boron, N, N-diethylamidinium tetra (phenyl) boron, N, N-diethylanilinium tetra (Pentafluorophenyl) boron, diethylammoniumtetra (pentafluorophenyl) boron, triphenylphosphonium tetra (phenyl) boron, trimethylphosphonium tetra (phenyl) boron, triethylammonium Tetra (phenyl) aluminum, tributylammonium (P-tolyl) aluminum, trimethylammonium tetra (p-tolyl) aluminum, trimethylammonium tetra (phenyl) aluminum, trimethylammonium tetra Aluminum triethylammonium tetra (o, p-dimethylphenyl) aluminum, tributylammoniumtetra (ptrifluoromethylphenyl) aluminum, trimethylammoniumtetra (ptrifluoromethylphenyl) aluminum, tributylammoniumtetra N, N-diethylaniliniumtetra (phenyl) aluminum, N, N-diethylaniliniumtetra (phenyl) aluminum, N, N-diethylaniliniumtetra (pentafluoro (Phenyl) aluminum, trimethylphosphonium tetra (phenyl) aluminum, triethylammoniumtetra (phenyl) aluminum, diethylammoniumtetra (pentafluorophenyl) aluminum, triphenylphosphonium tetra (Phenyl) boron, trimethylammoniumtetra (phenyl) boron, trimethylammoniumtetra (p-tolyl) boron, tripropylammoniumtetra (p-tolyl) (O, p-dimethylphenyl) boron, tributylammoniumtetra (p-dimethylphenyl) boron, trimethylammoniumtetra (p-trifluoromethylphenyl) boron, tributylammoniumtetra (pentafluorophenyl) boron, N, N-diethylaniliniumtetra (phenyl) boron, N, N-diethylaniliniumtetra ) Boron, N, N-diethylaniliniumtetra (pentafluorophenyl) boron, diethylammoniumtetra (pentafluorophenyl) boron, triphenylphosphonium tetra (phenyl) boron, triphenylcarboniumtetra (p-tribromonomethylphenyl) boron, triphenylcarbonium tetra (pent Phenyl) boron, trityl tetra (pentafluoro-fluorophenyl) boron, etc., but is not limited to this.
상기 촉매 조성물은 금속 화합물과 조촉매들 사이의 반응으로 활성화된 상태로 존재하며, 이를 활성화 촉매 조성물이라는 용어로 표현하기도 한다. 그러나, 상기 촉매 조성물이 활성화된 상태로 존재한다는 것은 당해 기술 분야에서 공지된 사실이므로, 본 명세서에서는 활성화된 촉매 조성물이라는 용어를 별도로 사용하지 않기로 한다. 상기 촉매 조성물은 올레핀 단일 중합 또는 공중합에 사용될 수 있다.The catalyst composition is in an activated state due to a reaction between the metal compound and the cocatalyst, and may be referred to as an activated catalyst composition. However, since it is well known in the art that the catalyst composition is present in an activated state, the term activated catalyst composition will not be used separately herein. The catalyst composition can be used for olefin mono-polymerization or copolymerization.
본 발명에 따른 촉매 조성물을 제조하는 방법으로서, 예컨대 하기의 방법을 이용할 수 있다. As a method for producing the catalyst composition according to the present invention, for example, the following method can be used.
첫 번째로 상기 화학식 2의 유기 금속 화합물과 상기 화학식 3의 화합물 및/또는 화학식 4의 화합물을 접촉시켜 혼합물을 얻는 단계; 및 상기 혼합물에 상기 화학식 5의 화합물을 첨가하는 단계를 포함하는 제조 방법을 이용할 수 있다.First, contacting the organometallic compound of Formula 2 with the compound of Formula 3 and / or the compound of Formula 4 to obtain a mixture; And adding the compound of formula (5) to the mixture.
그리고, 두 번째로 상기 화학식 2의 유기 금속 화합물과 상기 화학식 3의 화합물을 접촉시켜 촉매 조성물을 제조하는 방법을 이용할 수 있다. Secondly, a method of preparing a catalyst composition by contacting the organometallic compound of Formula 2 with the compound of Formula 3 may be used.
그리고, 세 번째로 상기 화학식 2의 유기 금속 화합물과 상기 화학식 5의 화합물을 접촉시켜 촉매 조성물을 제조하는 방법을 이용할 수 있다. Thirdly, a method of preparing a catalyst composition by contacting the organometallic compound of Formula 2 with the compound of Formula 5 may be used.
상기 촉매 조성물의 제조 방법들 중에서 첫 번째 방법의 경우에, 상기 화학식 2의 유기 금속 화합물 대비 상기 화학식 3의 화합물 및 상기 화학식 4의 화합물의 몰비는 1:2 내지 1:5,000 이 바람직하고, 더욱 바람직하게는 1:10 내지 1:1,000 이고, 가장 바람직하게는 1:20 내지 1:500 이다. 또한, 상기 화학식 2의 유기 금속 화합물 대 상기 화학식 5의 화합물의 몰비는 1:1 내지 1:25 이 바람직하고, 더욱 바람직하게는 1:1 내지 1:10 이고, 가장 바람직하게는 1:2 내지 1:5 이다.In the first method of the catalyst composition, the molar ratio of the compound of Formula 3 to the compound of Formula 4 relative to the organometallic compound of Formula 2 is preferably 1: 2 to 1: 5,000, more preferably 1: 1:10 to 1: 1,000, and most preferably 1:20 to 1: 500. The molar ratio of the organometallic compound of Formula 2 to the compound of Formula 5 is preferably 1: 1 to 1:25, more preferably 1: 1 to 1:10, and most preferably 1: 1: 5.
상기 화학식 2의 유기 금속 화합물 1몰에 대한 상기 화학식 3의 화합물 및 상기 화학식 4의 화합물의 양이 2몰 미만일 경우에는 알킬화제의 양이 매우 작아 금속 화합물의 알킬화가 완전히 진행되지 못하는 문제가 있다. 또한, 상기 화학식 2의 유기 금속 화합물 1몰에 대한 상기 화학식 3의 화합물 및 상기 화학식 4의 화합물의 양이 5,000몰을 초과하는 경우에는 금속 화합물의 알킬화는 이루어지지만, 남아있는 과량의 알킬화제와 상기 화학식 5의 활성화제 간의 부반응으로 인하여 알킬화된 금속 화합물의 활성화가 완전히 이루어지지 못하는 문제가 있다. 또한 상기 화학식 2의 유기 금속 화합물 1몰에 대한 상기 화학식 5의 화합물의 양이 1몰 미만일 경우에는 활성화제의 양이 상대적으로 적어 금속 화합물의 활성화가 완전히 이루어지지 못해 생성되는 촉매 조성물의 활성도가 떨어지는 문제가 있고, 상기 화학식 2의 유기 금속 화합물 1몰에 대한 상기 화학식 5의 화합물의 양이 25몰을 초과하는 경우에는 금속 화합물의 활성화가 완전히 이루어지지만, 남아 있는 과량의 활성화제로 촉매 조성물의 단가가 경제적으로 못하거나 생성되는 고분자의 순도가 떨어지는 문제가 있다.When the amount of the compound of the formula (3) and the compound of the formula (4) is less than 2 mol per 1 mol of the organometallic compound of the formula (2), the amount of the alkylating agent is so small that the alkylation of the metal compound can not proceed completely. When the amount of the compound of the formula (3) and the compound of the formula (4) is more than 5,000 moles per mole of the organometallic compound of the formula (2), the alkylation of the metal compound is carried out, There is a problem that activation of the alkylated metal compound can not be completely performed due to the side reaction between the activating agent of 5. When the amount of the compound of the general formula (5) is less than 1 mole per 1 mole of the organometallic compound of the general formula (2), the amount of the activator is relatively small and the activation of the metal compound is not completely achieved. However, when the amount of the compound of the formula (5) is more than 25 mol per 1 mol of the organometallic compound of the formula (2), the activation of the metal compound is completely performed. However, There is a problem that the purity of the polymer which is not economically produced or is produced is lowered.
상기 촉매 조성물 제조 방법들 중에서 두 번째 방법의 경우에, 상기 화학식 2의 유기 금속 화합물 대 상기 화학식 3의 화합물의 몰비는 1:10 내지 1:10,000 이 바람직하며, 더욱 바람직하게는 1:100 내지 1:5,000 이고, 가장 바람직하게는 1:500 내지 1:2,000 이다. 상기 화학식 2의 유기 금속 화합물 1몰에 대하여 상기 화학식 3의 화합물의 양이 10 몰 미만일 경우에는 활성화제의 양이 상대적으로 적어 금속 화합물의 활성화가 완전히 이루어지지 못해 생성되는 촉매 조성물의 활성도가 떨어지는 문제가 있고, 상기 화학식 2의 유기 금속 화합물 1몰에 대하여 상기 화학식 3의 화합물의 양이 10,000몰을 초과하는 경우에는 금속 화합물의 활성화가 완전히 이루어지지만, 남아 있는 과량의 활성화제로 촉매 조성물의 단가가 경제적으로 못하거나 생성되는 고분자의 순도가 떨어지는 문제가 있다.In the case of the second method among the catalyst composition manufacturing methods, the molar ratio of the organometallic compound of Formula 2 to the compound of Formula 3 is preferably 1:10 to 1: 10,000, more preferably 1: 100 to 1: : 5,000, and most preferably from 1: 500 to 1: 2,000. If the amount of the compound of formula (3) is less than 10 moles per mole of the organometallic compound of formula (2), the activation of the metal compound is not completely achieved due to the relatively small amount of the activator, If the amount of the compound of Formula 3 is more than 10,000 mol per 1 mol of the organometallic compound of Formula 2, the activation of the metal compound is completely performed. However, Or the purity of the resulting polymer is lowered.
상기 촉매 조성물 제조 방법들 중에서 세 번째 방법의 경우에, 상기 화학식 2의 유기 금속 화합물 대 상기 화학식 5의 화합물의 몰비는 1:1 내지 1:25 이 바람직하고, 더욱 바람직하게는 1:1 내지 1:10 이고, 가장 바람직하게는 1:2 내지 1:5 이다.In the case of the third method among the catalyst composition manufacturing methods, the molar ratio of the organometallic compound of Formula 2 to the compound of Formula 5 is preferably 1: 1 to 1:25, more preferably 1: 1 to 1: : 10, and most preferably from 1: 2 to 1: 5.
상기 촉매 조성물의 제조 시에 반응 용매로서 펜탄, 헥산, 헵탄 등과 같은 탄화수소계 용매이거나 벤젠, 톨루엔 등과 같은 방향족계 용매가 사용될 수 있으나, 반드시 이에 한정되지는 않으며 당해 기술 분야에서 사용가능한 모든 용매가 사용될 수 있다.In the preparation of the catalyst composition, hydrocarbon solvents such as pentane, hexane, heptane and the like, aromatic solvents such as benzene and toluene may be used as the reaction solvent, but not always limited thereto, and all solvents usable in the related art are used .
또한, 상기 화학식 2의 유기 금속 화합물들과 조촉매들은 실리카나 알루미나에 담지된 형태로도 이용할 수 있다.In addition, the organometallic compounds and cocatalysts of Formula 2 may be supported on silica or alumina.
본 발명은 또한 상기 촉매 조성물을 이용한 올레핀 중합체의 제조방법을 제공한다. 본 발명에 따른 방법은 상기 촉매 조성물과 단량체를 접촉시키는 것에 의하여 수행될 수 있다. 본 발명의 올레핀 중합체의 제조방법에 따르면, 올레핀 단일 중합체 또는 올레핀 공중합체를 제공할 수 있다. The present invention also provides a process for preparing an olefin polymer using the catalyst composition. The process according to the invention can be carried out by contacting the catalyst composition with the monomers. According to the process for producing an olefin polymer of the present invention, an olefin homopolymer or an olefin copolymer can be provided.
본 발명의 중합 방법에서 상기 촉매 조성물을 이용한 가장 바람직한 중합 공정은 용액 공정이다. 상기 촉매 조성물을 실리카와 같은 무기 담체와 함께 사용하면 슬러리 또는 기상 공정에도 적용 가능하다.In the polymerization method of the present invention, the most preferable polymerization process using the above catalyst composition is a solution process. When the catalyst composition is used together with an inorganic carrier such as silica, it is applicable to a slurry or a gas phase process.
본 발명에 따른 중합체의 제조 방법에 있어서, 상기 촉매 조성물은 올레핀 중합 공정에 적합한 탄소수 5 내지 12의 지방족 탄화수소 용매, 예를 들면 펜탄, 헥산, 헵탄, 노난, 데칸, 및 이들의 이성질체와 톨루엔, 벤젠과 같은 방향족 탄화수소 용매, 디클로로메탄, 클로로벤젠과 같은 염소원자로 치환된 탄화수소 용매 등에 용해하거나 희석하여 주입 가능하다. 여기에 사용되는 용매는 소량의 알킬알루미늄 처리함으로써 촉매 독으로 작용하는 소량의 물 또는 공기 등을 제거하여 사용하는 것이 바람직하며, 조촉매를 더 사용하여 실시하는 것도 가능하다.In the process for producing a polymer according to the present invention, the catalyst composition may be an aliphatic hydrocarbon solvent having 5 to 12 carbon atoms suitable for the olefin polymerization process, for example, pentane, hexane, heptane, nonane, decane and isomers thereof, , A hydrocarbon solvent substituted with a chlorine atom such as dichloromethane, chlorobenzene, or the like. The solvent used here is preferably used by removing a small amount of water or air acting as a catalyst poison by treating with a small amount of alkylaluminum, and it is also possible to use a further cocatalyst.
상기 유기 금속 화합물들과 조촉매를 사용하여 중합 가능한 올레핀계 단량체의 예로는 에틸렌, 알파-올레핀, 사이클릭 올레핀 등이 있으며, 이중 결합을 2개 이상 가지고 있는 디엔 올레핀계 단량체 또는 트리엔 올레핀계 단량체 등도 중합 가능하다. 상기 단량체의 구체적인 예로는 에틸렌, 프로필렌, 1-부텐, 1-펜텐, 4-메틸-1-펜텐, 1-헥센, 1-헵텐, 1-옥텐, 1-데센, 1-운데센, 1-도데센, 1-테트라데센, 1-헥사데센, 1-아이토센, 노보넨, 노보나디엔, 에틸리덴노보넨, 페닐노보넨, 비닐노보넨, 디사이클로펜타디엔, 1,4-부타디엔, 1,5-펜타디엔, 1,6-헥사디엔, 스티렌, 알파-메틸스티렌, 디비닐벤젠, 3-클로로메틸스티렌 등이 있으며, 이들 단량체를 2 종 이상 혼합하여 공중합할 수도 있다. 상기 올레핀 중합체가 에틸렌과 다른 공단량체의 공중합체인 경우에, 상기 공중합체를 구성하는 단량체는 프로필렌, 1-부텐, 1-헥센, 및 4-메틸-1-펜텐, 및 1-옥텐으로 이루어진 군에서 선택된 하나 이상의 공단량체인 것이 바람직하다.Examples of the olefin-based monomer polymerizable with the organometallic compounds and the cocatalyst include ethylene, alpha-olefin, cyclic olefin, and the like. The diene olefin-based monomer or triene olefin-based monomer having two or more double bonds Can also be polymerized. Specific examples of the monomer include ethylene, propylene, 1-butene, 1-pentene, 4-methyl-1-pentene, 1-hexene, Butene, dicyclopentadiene, 1,4-butadiene, 1,4-butadiene, 1,3-butadiene, 1,3-butadiene, Pentadiene, 1,6-hexadiene, styrene, alpha-methylstyrene, divinylbenzene, 3-chloromethylstyrene and the like. These two or more monomers may be mixed and copolymerized. When the olefin polymer is a copolymer of ethylene and another comonomer, the monomer constituting the copolymer is selected from the group consisting of propylene, 1-butene, 1-hexene, and 4-methyl- It is preferably one or more comonomers selected.
특히, 본 발명에 따른 올레핀 중합체의 제조 방법에 있어서, 상기 촉매 조성물은 에틸렌과 1-옥텐과 같은 입체적 장애가 큰 단량체의 공중합 반응도 가능하며, 헤테로원자를 포함하는 트리덴테이트 리간드에 다양한 치환체를 도입함으로써 금속 주위의 전자적, 입체적 환경을 쉽게 제어할 수 있고 궁극적으로는 생성되는 폴리올레핀의 구조 및 물성 등의 조절이 가능하다. In particular, in the process for producing an olefin polymer according to the present invention, the catalyst composition can also be subjected to a copolymerization reaction of a monomer having a large steric hindrance such as ethylene and 1-octene, and by introducing various substituents into a tridentate ligand containing a hetero atom The electronic and stereoscopic environment around the metal can be easily controlled and ultimately the structure and physical properties of the produced polyolefin can be controlled.
이하에서 올레핀 중합체의 중합 공정을 예시하나, 이는 본 발명을 예시하기 위한 목적일 뿐이며, 하기 내용에 의하여 본 발명의 범위가 한정될 것을 의도한 것은 아니다.Hereinafter, the polymerization process of the olefin polymer will be illustrated, but this is merely for the purpose of illustrating the present invention, and the scope of the present invention is not intended to be limited by the following description.
본 발명에 따른 중합체의 제조 방법에서 사용되는 반응기는 연속 교반식 반응기(CSTR) 또는 연속 흐름식 반응기(PFR)인 것이 바람직하다. 상기 반응기는 2개 이상 직렬 혹은 병렬로 배열되는 것이 바람직하다. 또한 상기 제조 방법은 반응 혼합물로부터 용매 및 미반응 단량체를 연속적으로 분리하기 위한 분리기를 추가적으로 포함하는 것이 바람직하다.The reactor used in the process for preparing the polymer according to the present invention is preferably a continuously stirred reactor (CSTR) or a continuous flow reactor (PFR). It is preferable that two or more of the reactors are arranged in series or in parallel. It is also preferred that the process further comprises a separator for continuously separating the solvent and unreacted monomers from the reaction mixture.
본 발명에 따른 중합체의 제조 방법이 연속 용액 중합 공정으로 수행되는 경우, 이는 촉매공정, 중합공정, 용매 분리 공정, 회수 공정 단계로 구성될 수 있으며, 보다 구체적으로는 아래와 같다. When the process for producing a polymer according to the present invention is carried out by a continuous solution polymerization process, it can be composed of a catalytic process, a polymerization process, a solvent separation process, and a recovery process step, and more specifically, the following.
a) 촉매공정a) catalytic process
본 발명에 따른 촉매 조성물은 올레핀 중합 공정에 적합한 할로겐으로 치환되거나 치환되지 않은 탄소수 5 내지 12의 지방족 또는 방향족 용매 등에 용해하거나 희석하여 주입 가능하다. 예를 들어, 펜탄, 헥산, 헵탄, 노난, 데칸, 및 이들의 이성질체와 같은 지방족 탄화수소 용매, 톨루엔, 자일렌, 벤젠과 같은 방향족 탄화수소 용매, 디클로로메탄, 클로로벤젠과 같은 염소원자로 치환된 탄화수소 용매 등이 사용될 수 있다. 여기에 사용되는 용매는 소량의 알킬알루미늄 등으로 처리함으로써 촉매 독으로 작용하는 소량의 물 또는 공기 등을 제거하여 사용하는 것이 바람직하며, 조촉매를 과량으로 사용하여 실시하는 것도 가능하다.The catalyst composition according to the present invention can be injected by dissolving or diluting in an aliphatic or aromatic solvent having 5 to 12 carbon atoms which is unsubstituted or substituted with halogen suitable for the olefin polymerization process. For example, aliphatic hydrocarbon solvents such as pentane, hexane, heptane, nonane, decane and isomers thereof, aromatic hydrocarbon solvents such as toluene, xylene and benzene, hydrocarbon solvents substituted with chlorine atoms such as dichloromethane and chlorobenzene Can be used. The solvent used herein is preferably used by removing a small amount of water or air acting as a catalyst poison by treating with a small amount of alkylaluminum or the like, and it is also possible to use a large amount of a cocatalyst.
b) 중합공정b) Polymerization process
중합 공정은 반응기 상에서 상기 화학식 2의 유기 금속 화합물 및 조촉매를 포함하는 촉매 조성물과 1종 이상의 올레핀 단량체의 도입에 의하여 진행된다. 용액상 및 슬러리상의 중합의 경우, 상기 반응기 상에 용매가 주입된다. 용액 중합의 경우 반응기 내부에 용매, 촉매 조성물 및 단량체의 혼합액이 존재한다. The polymerization process proceeds on the reactor by introducing the catalyst composition comprising the organometallic compound of Formula 2 and the cocatalyst and one or more olefin monomers. In the case of solution phase and slurry polymerization, the solvent is injected onto the reactor. In the case of solution polymerization, a mixture of a solvent, a catalyst composition and a monomer is present in the reactor.
상기 반응에 적합한 단량체 대 용매의 몰비율은 반응 전 원료와 반응 후 생성되는 고분자를 용해하기에 적합한 비율이 되어야 한다. 구체적으로는, 단량체 대 용매의 몰비율은 10:1 내지 1:10,000, 바람직하게는 5:1 내지 1:100, 가장 바람직하게는 1:1 내지 1:20 이다. 상기 용매의 몰비율이 10:1 미만인 경우에는 용매의 양이 너무 적어 유체의 점도가 증가하여 생성된 중합체의 이송에 문제가 있고, 상기 용매의 몰비율이 1:10,000을 초과하는 경우에는 용매의 양이 필요이상으로 많아 용매의 정제 재순환에 따른 설비증가 및 에너지 비용 증가 등의 문제가 있다.The molar ratio of the monomer to the solvent suitable for the reaction should be a ratio suitable for dissolving the raw material before the reaction and the polymer produced after the reaction. Specifically, the molar ratio of monomer to solvent is from 10: 1 to 1: 10,000, preferably from 5: 1 to 1: 100, and most preferably from 1: 1 to 1:20. When the molar ratio of the solvent is less than 10: 1, the amount of the solvent is too small to increase the viscosity of the fluid, and there is a problem in transferring the resulting polymer. When the molar ratio of the solvent is more than 1: 10,000, There is a problem such as an increase in equipment and an increase in energy cost due to the refining and recycling of the solvent.
상기 용매는 히터 또는 냉동기를 사용하여 -40℃ 내지 150℃의 온도로 반응기로 투입되는 것이 바람직하며, 이에 의하여 단량체 및 촉매 조성물과 함께 중합반응이 시작된다. 상기 용매의 온도가 -40℃ 미만인 경우에는 반응량에 따라 다소간의 차이가 있겠지만, 보편적으로 용매의 온도가 너무 낮아 반응온도도 동반 하강하여 온도 제어가 어려운 문제가 있으며, 150℃를 초과하는 경우에는 용매의 온도가 너무 높아 반응에 따른 반응열의 제열이 어려운 문제가 있다.Preferably, the solvent is introduced into the reactor at a temperature of -40 DEG C to 150 DEG C by using a heater or a freezer, whereby the polymerization reaction starts with the monomer and the catalyst composition. When the temperature of the solvent is less than -40 ° C, there is a slight difference depending on the amount of the reaction. However, since the temperature of the solvent is generally too low, the reaction temperature is also lowered and the temperature is difficult to control. The temperature of the solvent is too high, so that it is difficult to remove the heat of reaction due to the reaction.
고용량 펌프가 압력을 50 bar 이상으로 상승시켜 공급물들(용매, 단량체, 촉매 조성물 등)을 공급함으로써, 상기 반응기 배열, 압력 강하 장치 및 분리기 사이에 추가적인 펌핑(pumping)없이 상기 공급물들의 혼합물을 통과시킬 수 있다.A high capacity pump passes the mixture of feeds without further pumping between the reactor arrangement, the pressure drop device and the separator by feeding the feeds (solvent, monomer, catalyst composition, etc.) by raising the pressure to more than 50 bar .
본 발명에 적합한 반응기의 내부 온도, 즉 중합 반응 온도는 -15 내지 300℃, 바람직하게는 30 내지 200℃, 가장 바람직하게는 70 내지 200℃이다. 상기 내부 온도가 -15℃ 미만인 경우에는 반응속도가 낮아 생산성이 낮아지는 문제가 있으며, 300℃를 초과하는 경우에는 부반응에 따른 불순물의 생성 및 중합체의 탄화 등의 변색의 문제가 발생할 수 있다.Internal temperature, i.e. polymerization temperature of the reactor suitable for the present invention - from 15 to 300 ℃, preferably from 30 to 200 ℃, most preferably from 70 to 200 ℃. When the internal temperature is lower than -15 ° C, the reaction rate is low and productivity is lowered. When the internal temperature is higher than 300 ° C, problems such as generation of impurities due to side reactions and carbonization of the polymer may occur.
본 발명에서 적합한 반응기의 내부 압력은 1bar 내지 300 bar, 바람직하게는 10 내지 200 bar, 가장 바람직하게는 30 내지 100 bar 정도이다. 상기 내부 압력이 1bar 미만인 경우에는 반응속도가 낮아 생산성이 낮아지고, 사용 용매의 기화 등에 따른 문제가 있으며, 300bar를 초과하는 경우에는 고압에 따른 장치 비용 등의 설비비 증가 문제가 있다. Suitable pressures in the reactor according to the invention are from 1 bar to 300 bar, preferably from 10 to 200 bar, most preferably from 30 to 100 bar. When the internal pressure is less than 1 bar, the reaction rate is low and the productivity is low, and there is a problem due to vaporization of the used solvent. When the internal pressure is more than 300 bar, there is a problem of equipment cost such as equipment cost due to high pressure.
반응기 내에서 생성되는 중합체는 용매 속에서 20wt%의 미만의 농도로 유지되며 짧은 체류 시간이 지난 후 용매 제거를 위해 첫 번째 용매 분리 공정으로 이송되는 것이 바람직하다. 생성된 중합체의 반응기 내 체류시간은 1분 내지 10시간, 바람직하게는 3분 내지 1시간, 가장 바람직하게는 5분 내지 30분이다. 상기 체류 시간이 3분 미만인 경우에는 짧은 체류 시간에 따른 생산성 저하 및 촉매의 손실 등 및 이에 따른 제조비용 증가 등의 문제가 있으며, 1시간을 초과하는 경우에는 촉매의 적정 활성기간 이상의 반응에 따라, 반응기가 커지고 이에 따라 설비비 증가 문제가 있다.The polymer produced in the reactor is preferably maintained at a concentration of less than 20 wt% in the solvent and is preferably transferred to the first solvent separation process for solvent removal after a short residence time. The residence time in the reactor of the resulting polymer is from 1 minute to 10 hours, preferably from 3 minutes to 1 hour, most preferably from 5 minutes to 30 minutes. When the residence time is less than 3 minutes, there is a problem such as a decrease in productivity and a loss of catalyst due to a short residence time, and an increase in manufacturing cost due to a short residence time. When the residence time exceeds 1 hour, There is a problem that the reactor cost is increased due to the increase of the reactor.
c) 용매 분리 공정c) solvent separation process
반응기를 빠져나온 중합체와 함께 존재하고 있는 용매의 제거를 위하여 용액 온도와 압력을 변화시킴으로써 용매 분리 공정이 수행된다. 예컨대 반응기로부터 이송된 고분자 용액은 히터를 통하여 약 200℃에서 230℃까지 승온시킨 후 압력 강하 장치를 거치면서 압력이 낮춰지며 첫 번째 분리기에서 미반응 원료 및 용매를 기화시킨다.A solvent separation process is performed by varying the solution temperature and pressure to remove the solvent present with the polymer exiting the reactor. For example, the polymer solution transferred from the reactor is heated from a temperature of about 200 ° C to 230 ° C through a heater, and the pressure is lowered through a pressure drop device, and the unreacted raw material and solvent are vaporized in a first separator.
이 때 분리기 내의 압력은 1 내지 30 bar, 바람직하게는 1 내지 10 bar, 가장 바람직하게는 3 내지 8 bar가 적합하다. 분리기 내의 온도는 150℃ 내지 250℃, 바람직하게는 170℃ 내지 230℃, 가장 바람직하게는 180℃ 내지 230℃가 적합하다.In this case, the pressure in the separator is suitably from 1 to 30 bar, preferably from 1 to 10 bar, and most preferably from 3 to 8 bar. The temperature in the separator is suitably 150 deg. C to 250 deg. C, preferably 170 deg. C to 230 deg. C, and most preferably 180 deg. C to 230 deg.
상기 분리기 내의 압력이 1bar 미만인 경우에는 중합물의 함량이 증가하여 이송에 문제가 있으며, 30bar를 초과하는 경우에는 중합과정에 사용된 용매의 분리가 어려운 문제가 있다. 그리고, 상기 분리기 내의 온도가 150℃ 미만인 경우에는 공중합체 및 이의 혼합물의 점도가 증가하여 이송에 문제가 있으며 250℃ 미만인 경우에는 고온에 따른 변성으로 중합물의 탄화 등에 따른 변색의 문제가 있다.When the pressure in the separator is less than 1 bar, the content of the polymer increases and there is a problem in transferring. When the pressure is more than 30 bar, it is difficult to separate the solvent used in the polymerization process. If the temperature in the separator is lower than 150 ° C, the viscosity of the copolymer and its mixture increases to cause a problem in transferring. When the temperature is lower than 250 ° C, there is a problem of discoloration due to carbonization of the polymer due to denaturation at high temperature.
분리기에서 기화된 용매는 오버헤드 시스템에서 응축된 반응기로 재순환시킬 수 있다. 첫 단계 용매 분리 공정을 거치게 되면 65%까지 농축된 고분자 용액을 얻을 수 있으며, 이는 히터를 통하여 이송 펌프에 의해 두 번째 분리기로 이송되며, 두번째 분리기에서 잔류 용매에 대한 분리 공정이 이루어진다. 히터를 통과하는 동안 고온에 의한 고분자의 변형을 방지하기 위하여 열안정제를 투입하고 아울러 고분자 용액속에 존재하는 활성화물의 잔류 활성에 의한 고분자의 반응을 억제하기 위하여 반응 금지제를 열안정제와 함께 히터로 주입한다. 두 번째 분리기로 주입된 고분자 용액 중의 잔류 용매는 최종적으로 진공 펌프에 의하여 완전히 제거되고, 냉각수와 절단기를 통과하면 입자화된 고분자를 얻을 수 있다. 두번째 분리 공정에서 기체화된 용매 및 기타 미반응 단량체들은 회수 공정으로 보내어 정제 후 재사용할 수 있다. The solvent vaporized in the separator can be recycled to the condensed reactor in the overhead system. After the first stage solvent separation process, a concentrated polymer solution of up to 65% is obtained, which is transferred to the second separator by the transfer pump through the heater, and the separation process for the residual solvent is performed in the second separator. In order to prevent deformation of polymer due to high temperature while passing through a heater, a heat stabilizer is added and a reaction inhibitor is injected with a heat stabilizer together with a heat stabilizer to suppress the reaction of the polymer due to the residual activity of the active substance present in the polymer solution do. The residual solvent in the polymer solution injected into the second separator is finally removed completely by a vacuum pump, and the granulated polymer can be obtained by passing through the cooling water and the cutter. In the second separation process, the gaseous solvent and other unreacted monomers can be sent to the recovery process for purification and reuse.
d) 회수공정d) Recovery process
중합 공정에 원료와 함께 투입된 유기 용매는 1차 용매 분리 공정에서 미반응 원료와 함께 중합공정으로 재순환 사용될 수 있다. 그러나, 2차 용매 분리 공정에서 회수된 용매는 촉매 활성을 정지시키기 위한 반응 금지제 혼입으로 인한 오염 및 진공 펌프에서의 스팀 공급으로 용매속에 촉매독으로 작용하는 수분이 다량 함유되어 회수공정에서 정제 후 재사용되는 것이 바람직하다.The organic solvent added with the raw material to the polymerization process may be recycled to the polymerization process together with the unreacted raw material in the primary solvent separation process. However, the solvent recovered in the secondary solvent separation process contains a large amount of water acting as a catalyst poison in the solvent due to contamination due to incorporation of a reaction inhibitor to stop the catalytic activity and steam supply in the vacuum pump, It is preferable to be reused.
이하 하기 실시예에 의거하여 본 발명을 보다 구체적으로 설명한다. 단, 이들 실시예는 본 발명을 예시하기 위한 것일 뿐, 이에 의해 본 발명의 범위가 한정되는 것은 아니다.
Hereinafter, the present invention will be described more specifically based on the following examples. It is to be understood, however, that these examples are for illustrative purposes only and are not intended to limit the scope of the present invention.
<실시예 > < Examples >
용어 "밤새"는 대략 12 내지 16시간을 의미하며 "실온"은 20 내지 25℃의 온도를 일컫는다. 모든 금속 화합물의 합성 및 실험의 준비는 건조상자 기술을 사용하거나 건조상태 유지 유리기구를 사용하여 건조 아르곤(Ar) 분위기 하에서 수행되었다. 사용되는 모든 용매는 anhydrous 등급이며 사용 전에 건조되었다.The term "overnight" means approximately 12 to 16 hours and "room temperature" refers to a temperature of 20 to 25 ° C. The preparation of all the metal compounds and preparation of the experiment was carried out in a dry argon (Ar) atmosphere using a dry box technique or using a dry-state glass instrument. All solvents used were anhydrous grade and dried prior to use.
리간드Ligand 화합물 및 유기 금속 화합물의 합성 Synthesis of compounds and organometallic compounds
제조 Produce 실시예Example 1 One
N1N1 -(2-(9-- (2- (9- fluorenylfluorenyl ) ) ethylethyl )-) - N2N2 -((4,6-- ((4,6- didi -- terttert -- butylbutyl )) phenolphenol -2--2- ylyl -- methylmethyl )-N1, ) -N1, N2N2 -- dimethyldimethyl -1,2--1,2- diaminoethanediaminoethane 의 제조Manufacturing
서로 다른 flask에 N, N-dimethylethylenediamine (5.55mmol, 0.6mL)과 3,5-di-tert-butyl-2-hydroxybenzaldehyde (4.27mmol, 1g)를 각각 MeOH 6mL와 22mL에 녹였다. N, N-dimethylethylenediamine을 포함하는 용액을 천천히 3,5-di-tert-butyl-2-hydroxybenzaldehyde 포함 용액에 실온에서 첨가한 후 3시간 동안 교반하였다. 공기 중에서 고체상의 NaBH4 (8.54mmol, 0.333g)를 1시간 간격으로 4회 넣어주었다. 물과 methylene chloride로 work-up하고 유기층을 건조하여 화합물(13)을 얻었다.N, N-dimethylethylenediamine (5.55 mmol, 0.6 mL) and 3,5-di-tert-butyl-2-hydroxybenzaldehyde (4.27 mmol, 1 g) were dissolved in 6 mL and 22 mL of MeOH, respectively. N, N-dimethylethylenediamine was slowly added to the solution containing 3,5-di-tert-butyl-2-hydroxybenzaldehyde at room temperature, followed by stirring for 3 hours. Solid NaBH 4 (8.54 mmol, 0.333 g) in air was added 4 times at 1 hour intervals. Work-up with water and methylene chloride and drying of the organic layer gave compound (13).
Fluorene (6mmol, 1g)과 anhydrous diethyl ether (23mL)를 넣고 -78℃로 냉각시킨 뒤, n-BuLi (7.2mmol, 2.5M hexane solution 2.9mL)를 천천히 주입하였다. 주입이 끝나고 상온이 될 때까지 놓아두었다. 상온에서 2시간 동안 교반한 후 다시 -78℃로 냉각시켰다. 1,3-dibromoethane (36mmol, 3mL)을 천천히 주입하고, 주입이 끝나면 상온이 될 때까지 놓아두었다. 상온에서 4시간 동안 교반한 후, diethyl ether와 증류수를 사용해 work-up하고 유기층을 건조하여 화합물(14)를 얻었다.Fluorene (6 mmol, 1 g) and anhydrous diethyl ether (23 mL) were added, cooled to -78 ° C, and n-BuLi (7.2 mmol, 2.9 mL of 2.5 M hexane solution) was slowly added. After the injection, it was allowed to stand at room temperature. After stirring at room temperature for 2 hours, it was cooled again to -78 ° C. 1,3-dibromoethane (36 mmol, 3 mL) was slowly injected and allowed to stand at room temperature after the injection. After stirring at room temperature for 4 hours, work-up was performed using diethyl ether and distilled water, and the organic layer was dried to obtain compound (14).
화합물(13) (96wt%, 6mmol, 1.92g), 화합물(14) (90wt%, 4mmol, 1.21g), NaHCO3 (8mmol, 0.67g), NaI (0.4mmol, 0.6g)을 flask에 넣었다. Anhydrous acetonitrile (8mL)를 넣고 16시간 동안 교반하면서 reflux하였다. 물과 methylene chloride로 work-up하여 유기층을 건조하고 column chromathography (EA:Hex=1:2)로 정제하여 oil형태의 화합물(15)을 얻었다.(수율 67%)Compound (13) (96 wt%, 6 mmol, 1.92 g), compound 14 (90 wt%, 4 mmol, 1.21 g), NaHCO 3 (8 mmol, 0.67 g) and NaI (0.4 mmol, 0.6 g) were placed in a flask. Anhydrous acetonitrile (8 mL) was added and refluxed with stirring for 16 hours. The organic layer was dried with water and methylene chloride and purified by column chromatography (EA: Hex = 1: 2) to give an oil-like compound (15) (yield 67%).
1H NMR(500MHz, CDCl3): 7.68 (dd, J=119, 7.5 Hz, 4H), 7.42 (t, J=7.5Hz, 2H), 7.37-7.34 (m, 2H), 7.29 (d, J=2Hz, 1H), 6.88 (d, J=0.5Hz, 1H), 4.13-4.12 (m, 1H), 3.70 (s, 2H), 2.53 (br, 4H), 2.33 (s, 3H), 2.29 (s, 4H), 2.22 (s, 3H), 1.50 (s, 9H), 1.36 (s, 9H)
NMR H 1 (500MHz, CDCl 3): 7.68 (dd, J = 119, 7.5 Hz, 4H), 7.42 (t, J = 7.5Hz, 2H), 7.37-7.34 (m, 2H), 7.29 (d, J 2H), 2.53 (br, 4H), 2.33 (s, 3H), 2.29 (d, J = s, 4H), 2.22 (s, 3H), 1.50 (s, 9H), 1.36
N1N1 -(2-(9-- (2- (9- fluorenylfluorenyl ) ) ethylethyl )-) - N2N2 -((4,6-- ((4,6- didi -- terttert -- butylbutyl )) phenolphenol -2--2- ylyl -- methylmethyl )-) - N1N1 , , N2N2 -- dimethyldimethyl -1,2-diaminoethane -1,2-diaminoethane zirconiumzirconium dichloridedichloride 의 제조Manufacturing
상기에서 제조한 화합물(15) (0.9mmol, 0.45g)을 flask에 넣고 diethyl ether (30mL)를 넣었다. -78℃로 냉각시킨 뒤 n-BuLi (1.98mmol, 2.5M hexane solution 0.79mL)를 천천히 주입하였다. 주입이 끝나고 상온이 될 때까지 놓아두었다. 상온에서 6시간 동안 교반한 후 용매를 건조하였다. 완전히 건조되면 toluene (6mL)를 넣고 -78℃로 냉각시키면서 교반을 시작하였다. 이 용액에 ZrCl4 (1mmol, 0.232g in toluene 6mL)을 천천히 주입하고, 주입이 끝나면 상온이 될 때까지 놓아두었다. 상온에서 2시간 동안 교반한 후 생성된 고체를 정제하고 용액을 건조하여 화합물(16)을 수득하였다. Compound (15) (0.9 mmol, 0.45 g) prepared above was placed in a flask and diethyl ether (30 mL) was added. After cooling to -78 ° C, n-BuLi (1.98 mmol, 0.79 mL of 2.5 M hexane solution) was slowly added. After the injection, it was allowed to stand at room temperature. After stirring at room temperature for 6 hours, the solvent was dried. When completely dried, toluene (6 mL) was added and stirring was started while cooling to -78 ° C. ZrCl 4 (1 mmol, 0.232 g in toluene 6 mL) was slowly poured into the solution and allowed to stand at room temperature until the injection was completed. After stirring at room temperature for 2 hours, the resulting solid was purified and the solution was dried to give compound (16).
1H NMR(500MHz, CDCl3): 7.76 (d, J=7.5Hz, 1H), 7.48 (br, 1H), 7.41-7.34 (m, 3H), 7.28-7.16 (m, 4H), 4.18 (br, 1H), 3.68 (br, 2H), 2.92-2.87 (m , 2H), 2.68 (m, 2H), 2.51 (br, 2H), 2.37 (br, 7H), 1.39 (br, 9H), 1.28 (br, 9H)
1 H NMR (500MHz, CDCl 3 ): 7.76 (d, J = 7.5Hz, 1H), 7.48 (br, 1H), 7.41-7.34 (m, 3H), 7.28-7.16 (m, 4H), 4.18 (br 2H), 2.37 (br, 2H), 2.37 (br, 2H), 2.48 (m, br, 9H)
Claims (17)
[화학식 1]
상기 화학식 1에서,
R1 내지 R4는 서로 같거나 다를 수 있으며, 각각 독립적으로 수소; 할로겐 라디칼; 할로겐으로 치환 또는 비치환된 탄소수 1 내지 20의 알킬 라디칼; 탄소수 1 내지 20의 알킬리딘 라디칼; 탄소수 2 내지 20의 알케닐 라디칼; 탄소수 1 내지 20의 실릴 라디칼; 탄소수 6 내지 60의 아릴 라디칼; 탄소수 7 내지 60의 알킬아릴 라디칼; 탄소수 7 내지 60의 아릴알킬 라디칼이고; 또는 탄소수 3 내지 60의 시클로알킬 라디칼이고; 상기 R1 내지 R4중에서 인접하는 2개 이상은 서로 연결되어 하나 이상의 지방족 고리, 또는 방향족 고리를 형성할 수 있고;
R5 및 R6은 서로 같거나 상이하고, 각각 독립적으로 수소; 할로겐기로 치환 또는 비치환된 탄소수 1 내지 20의 알킬 라디칼; 탄소수 3 내지 60의 시클로알킬 라디칼; 탄소수 6 내지 60의 아릴 라디칼; 탄소수 2 내지 20의 알케닐 라디칼; 탄소수 7 내지 60의 알킬아릴 라디칼 또는 탄소수 7 내지 60의 아릴알킬 라디칼이고;
R7 내지 R10은 서로 같거나 다를 수 있으며, 각각 독립적으로 수소; 할로겐 라디칼; 할로겐으로 치환 또는 비치환된 탄소수 1 내지 20의 알킬 라디칼; 탄소수 1 내지 20의 알킬리딘 라디칼; 탄소수 2 내지 20의 알케닐 라디칼; 탄소수 1 내지 20의 실릴 라디칼; 탄소수 6 내지 60의 아릴 라디칼; 탄소수 7 내지 60의 알킬아릴 라디칼; 탄소수 7 내지 60의 아릴알킬 라디칼이고; 또는 탄소수 3 내지 60의 시클로알킬 라디칼이고; 상기 R7 내지 R10중에서 인접하는 2개 이상은 서로 연결되어 하나 이상의 지방족 고리, 또는 방향족 고리를 형성할 수 있고;
R11은 하이드록시 라디칼; 탄소수 1 내지 20의 하이드록시알킬 라디칼; 또는 탄소수 6 내지 20의 하이드록시아릴 라디칼이며;
n, m 및 k는 각각 독립적으로 1 내지 10 의 정수이다.
A compound represented by the following formula (1):
[Chemical Formula 1]
In Formula 1,
R1 to R4 may be the same or different from each other, and each independently hydrogen; Halogen radicals; An alkyl radical having 1 to 20 carbon atoms which is unsubstituted or substituted with halogen; An alkylidene radical having 1 to 20 carbon atoms; An alkenyl radical having 2 to 20 carbon atoms; A silyl radical having 1 to 20 carbon atoms; An aryl radical having 6 to 60 carbon atoms; An alkylaryl radical having 7 to 60 carbon atoms; An arylalkyl radical having 7 to 60 carbon atoms; Or a cycloalkyl radical having 3 to 60 carbon atoms; Two or more adjacent ones of R1 to R4 may be connected to each other to form at least one aliphatic ring or aromatic ring;
R5 and R6 are the same or different from each other, and each independently hydrogen; An alkyl radical having 1 to 20 carbon atoms which is unsubstituted or substituted with a halogen group; A cycloalkyl radical having 3 to 60 carbon atoms; An aryl radical having 6 to 60 carbon atoms; An alkenyl radical having 2 to 20 carbon atoms; An alkylaryl radical having 7 to 60 carbon atoms or an arylalkyl radical having 7 to 60 carbon atoms;
R7 to R10 may be the same or different from each other, and each independently hydrogen; Halogen radicals; An alkyl radical having 1 to 20 carbon atoms which is unsubstituted or substituted with halogen; An alkylidene radical having 1 to 20 carbon atoms; An alkenyl radical having 2 to 20 carbon atoms; A silyl radical having 1 to 20 carbon atoms; An aryl radical having 6 to 60 carbon atoms; An alkylaryl radical having 7 to 60 carbon atoms; An arylalkyl radical having 7 to 60 carbon atoms; Or a cycloalkyl radical having 3 to 60 carbon atoms; Two or more adjacent ones of R7 to R10 may be connected to each other to form at least one aliphatic ring or aromatic ring;
R11 is a hydroxy radical; A hydroxyalkyl radical having from 1 to 20 carbon atoms; Or a hydroxyaryl radical having 6 to 20 carbon atoms;
n, m and k are each independently an integer of 1 to 10.
The compound according to claim 1, wherein each of R1 to R4 is independently hydrogen, alkyl having 1 to 20 carbon atoms, or adjacent two or more of R1 to R4 are connected to each other to form at least one aliphatic ring or aromatic ring, Wherein R5 and R6 are each independently hydrogen or alkyl having 1 to 20 carbon atoms, and R7 to R10 are each independently hydrogen, alkyl having 1 to 20 carbon atoms, cycloalkyl having 5 to 60 carbon atoms, Arylalkyl having 7 to 60 carbon atoms or arylalkyl having 7 to 60 carbon atoms, and R < 11 > is a hydroxy radical.
A compound according to claim 1, selected from the group consisting of:
[화학식 2]
상기 화학식 2에 있어서,
R1 내지 R4는 서로 같거나 다를 수 있으며, 각각 독립적으로 수소; 할로겐 라디칼; 할로겐으로 치환 또는 비치환된 탄소수 1 내지 20의 알킬 라디칼; 탄소수 1 내지 20의 알킬리딘 라디칼; 탄소수 2 내지 20의 알케닐 라디칼; 탄소수 1 내지 20의 실릴 라디칼; 탄소수 6 내지 60의 아릴 라디칼; 탄소수 7 내지 60의 알킬아릴 라디칼; 탄소수 7 내지 60의 아릴알킬 라디칼이고; 또는 탄소수 3 내지 60의 시클로알킬 라디칼이고; 상기 R1 내지 R4중에서 인접하는 2개 이상은 서로 연결되어 하나 이상의 지방족 고리, 또는 방향족 고리를 형성할 수 있고;
R5 및 R6은 서로 같거나 상이하고, 각각 독립적으로 수소; 할로겐기로 치환 또는 비치환된 탄소수 1 내지 20의 알킬 라디칼; 탄소수 3 내지 60의 시클로알킬 라디칼; 탄소수 6 내지 60의 아릴 라디칼; 탄소수 2 내지 20의 알케닐 라디칼; 탄소수 7 내지 60의 알킬아릴 라디칼 또는 탄소수 7 내지 60의 아릴알킬 라디칼이고;
R7 내지 R10은 서로 같거나 다를 수 있으며, 각각 독립적으로 수소; 할로겐 라디칼; 할로겐으로 치환 또는 비치환된 탄소수 1 내지 20의 알킬 라디칼; 탄소수 1 내지 20의 알킬리딘 라디칼; 탄소수 2 내지 20의 알케닐 라디칼; 탄소수 1 내지 20의 실릴 라디칼; 탄소수 6 내지 60의 아릴 라디칼; 탄소수 7 내지 60의 알킬아릴 라디칼; 탄소수 7 내지 60의 아릴알킬 라디칼이고; 또는 탄소수 3 내지 60의 시클로알킬 라디칼이고; 상기 R7 내지 R10중에서 인접하는 2개 이상은 서로 연결되어 하나 이상의 지방족 고리, 또는 방향족 고리를 형성할 수 있고;
R11'은 산소 원자(-O-); 탄소수 1 내지 20의 옥시알킬렌 라디칼; 또는 탄소수 6 내지 20의 옥시아릴렌 라디칼이고;
M은 3 족 내지 12족의 금속 또는 란타나이드 계열 금속이고;
X1 및 X2는 서로 같거나 다를 수 있으며, 각각 독립적으로 할로겐 라디칼; 탄소수 1 내지 20의 알킬아미도 라디칼; 탄소수 6 내지 60의 아릴아미도 라디칼; 탄소수 1 내지 20의 알킬 라디칼; 탄소수 1 내지 20의 실릴알킬 라디칼; 탄소수 2 내지 20의 알케닐 라디칼; 탄소수 6 내지 60의 아릴 라디칼; 탄소수 7 내지 60의 알킬아릴 라디칼; 또는 탄소수 7 내지 60의 아릴알킬 라디칼이며;
n, m 및 k는 각각 독립적으로 1 내지 10 의 정수이다.
An organometallic compound represented by the following formula (2):
(2)
In Formula 2,
R1 to R4 may be the same or different from each other, and each independently hydrogen; Halogen radicals; An alkyl radical having 1 to 20 carbon atoms which is unsubstituted or substituted with halogen; An alkylidene radical having 1 to 20 carbon atoms; An alkenyl radical having 2 to 20 carbon atoms; A silyl radical having 1 to 20 carbon atoms; An aryl radical having 6 to 60 carbon atoms; An alkylaryl radical having 7 to 60 carbon atoms; An arylalkyl radical having 7 to 60 carbon atoms; Or a cycloalkyl radical having 3 to 60 carbon atoms; Two or more adjacent ones of R1 to R4 may be connected to each other to form at least one aliphatic ring or aromatic ring;
R5 and R6 are the same or different from each other, and each independently hydrogen; An alkyl radical having 1 to 20 carbon atoms which is unsubstituted or substituted with a halogen group; A cycloalkyl radical having 3 to 60 carbon atoms; An aryl radical having 6 to 60 carbon atoms; An alkenyl radical having 2 to 20 carbon atoms; An alkylaryl radical having 7 to 60 carbon atoms or an arylalkyl radical having 7 to 60 carbon atoms;
R7 to R10 may be the same or different from each other, and each independently hydrogen; Halogen radicals; An alkyl radical having 1 to 20 carbon atoms which is unsubstituted or substituted with halogen; An alkylidene radical having 1 to 20 carbon atoms; An alkenyl radical having 2 to 20 carbon atoms; A silyl radical having 1 to 20 carbon atoms; An aryl radical having 6 to 60 carbon atoms; An alkylaryl radical having 7 to 60 carbon atoms; An arylalkyl radical having 7 to 60 carbon atoms; Or a cycloalkyl radical having 3 to 60 carbon atoms; Two or more adjacent ones of R7 to R10 may be connected to each other to form at least one aliphatic ring or aromatic ring;
R11 'is an oxygen atom (-O-); An oxyalkylene radical having 1 to 20 carbon atoms; Or an oxyarylene radical having 6 to 20 carbon atoms;
M is a metal of group 3 to 12 or a lanthanide series metal;
X1 and X2 may be the same or different from each other and are each independently a halogen radical; An alkylamido radical having 1 to 20 carbon atoms; An arylamido radical having 6 to 60 carbon atoms; An alkyl radical having 1 to 20 carbon atoms; A silylalkyl radical having 1 to 20 carbon atoms; An alkenyl radical having 2 to 20 carbon atoms; An aryl radical having 6 to 60 carbon atoms; An alkylaryl radical having 7 to 60 carbon atoms; Or an arylalkyl radical having 7 to 60 carbon atoms;
n, m and k are each independently an integer of 1 to 10.
5. The compound according to claim 4, wherein each of R1 to R4 is independently hydrogen, alkyl having 1 to 20 carbon atoms, or adjacent two or more of R1 to R4 are connected to each other to form at least one aliphatic ring or aromatic ring; R5 and R6 are each independently hydrogen or alkyl having 1 to 20 carbon atoms, and R7 to R10 are each independently hydrogen, alkyl having 1 to 20 carbon atoms, cycloalkyl having 5 to 20 carbon atoms, Aryl of 7 to 20 carbon atoms or arylalkyl of 7 to 20 carbon atoms; R11 'is an oxygen atom (-O-); M is titanium (Ti), zirconium (Zr), or hafnium (Hf); X1 and X2 are each independently halogen, alkyl of 1 to 20 carbon atoms, or silylalkyl of 1 to 20 carbon atoms.
5. The organometallic compound of claim 4 selected from the group consisting of:
하기 화학식 3으로 표시되는 화합물, 하기 화학식 4로 표시되는 화합물 및 하기 화학식 5로 표시되는 화합물로 이루어진 군에서 선택된 1 이상의 조촉매 화합물을 포함하는 촉매 조성물:
[화학식 3]
-[Al(R12)-O]c-
상기 화학식 3에서, R12는 할로겐 라디칼, 탄소수 1 내지 20의 하이드로카빌 라디칼, 또는 할로겐으로 치환된 탄소수 1 내지 20의 하이드로카빌 라디칼이고, c는 2 이상의 정수이며,
[화학식 4]
D(R13)3
상기 화학식 4에서,
D는 알루미늄 또는 보론이고, R13은 탄소수 1 내지 20의 하이드로카빌 또는 할로겐으로 치환된 탄소수 1 내지 20의 하이드로카빌이고,
[화학식 5]
[L-H]+[ZA4]- 또는 [L]+[ZA4]-
상기 화학식 5에서,
L은 중성 또는 양이온성 루이스 염기이고, H는 수소 원자이며, Z는 13족 원소이고, A는 서로 동일하거나 다를 수 있으며, 각각 독립적으로 1 이상의 수소 원자가 할로겐, 탄소수 1 내지 20의 탄화수소, 알콕시 또는 페녹시로 치환 또는 비치환된 탄소수 6 내지 20의 아릴기 또는 탄소수 1 내지 20의 알킬기이다.
An organometallic compound of claim 4; And
1. A catalyst composition comprising at least one promoter compound selected from the group consisting of a compound represented by the following formula (3), a compound represented by the following formula (4) and a compound represented by the following formula (5)
(3)
- [Al (R 12) -O ] c-
In the general formula (3), R 12 is a halogen radical, a hydrocarbyl radical having 1 to 20 carbon atoms, or a hydrocarbyl radical having 1 to 20 carbon atoms substituted with halogen, c is an integer of 2 or more,
[Chemical Formula 4]
D (R 13) 3
In Formula 4,
D is aluminum or boron, R < 13 > is hydrocarbyl having 1 to 20 carbon atoms or hydrocarbyl having 1 to 20 carbon atoms substituted with halogen,
[Chemical Formula 5]
[LH] + [ZA 4 ] - or [L] + [ZA 4 ] -
In Formula 5,
L is a neutral or cationic Lewis base, H is a hydrogen atom, Z is a Group 13 element, A can be the same or different from each other, and each independently at least one hydrogen atom is replaced by halogen, a hydrocarbon having 1 to 20 carbon atoms, An aryl group having 6 to 20 carbon atoms or an alkyl group having 1 to 20 carbon atoms which is substituted or unsubstituted with phenoxy.
The catalyst composition according to claim 7, wherein the organometallic compound and the promoter compound are in the form of being supported on silica or alumina.
상기 혼합물에 하기 화학식 5로 표시되는 화합물을 첨가하는 단계를 포함하는 촉매 조성물의 제조방법:
[화학식 3]
-[Al(R12)-O]c-
상기 화학식 3에서, R12는 할로겐 라디칼, 탄소수 1 내지 20의 하이드로카빌 라디칼, 또는 할로겐으로 치환된 탄소수 1 내지 20의 하이드로카빌 라디칼이고, c는 2 이상의 정수이며,
[화학식 4]
D(R13)3
상기 화학식 4에서,
D는 알루미늄 또는 보론이고, R13은 탄소수 1 내지 20의 하이드로카빌 또는 할로겐으로 치환된 탄소수 1 내지 20의 하이드로카빌이고,
[화학식 5]
[L-H]+[ZA4]- 또는 [L]+[ZA4]-
상기 화학식 5에서,
L은 중성 또는 양이온성 루이스 염기이고, H는 수소 원자이며, Z는 13족 원소이고, A는 서로 동일하거나 다를 수 있으며, 각각 독립적으로 1 이상의 수소 원자가 할로겐, 탄소수 1 내지 20의 탄화수소, 알콕시 또는 페녹시로 치환 또는 비치환된 탄소수 6 내지 20의 아릴기 또는 탄소수 1 내지 20의 알킬기이다.
Contacting the organometallic compound of claim 4 with a compound represented by formula (3) and / or a compound represented by formula (4) to obtain a mixture; And
And adding a compound represented by the following formula (5) to the mixture:
(3)
- [Al (R 12) -O ] c-
In the general formula (3), R 12 is a halogen radical, a hydrocarbyl radical having 1 to 20 carbon atoms, or a hydrocarbyl radical having 1 to 20 carbon atoms substituted with halogen, c is an integer of 2 or more,
[Chemical Formula 4]
D (R 13) 3
In Formula 4,
D is aluminum or boron, R < 13 > is hydrocarbyl having 1 to 20 carbon atoms or hydrocarbyl having 1 to 20 carbon atoms substituted with halogen,
[Chemical Formula 5]
[LH] + [ZA 4 ] - or [L] + [ZA 4 ] -
In Formula 5,
L is a neutral or cationic Lewis base, H is a hydrogen atom, Z is a Group 13 element, A can be the same or different from each other, and each independently at least one hydrogen atom is replaced by halogen, a hydrocarbon having 1 to 20 carbon atoms, An aryl group having 6 to 20 carbon atoms or an alkyl group having 1 to 20 carbon atoms which is substituted or unsubstituted with phenoxy.
The organic electroluminescent device according to claim 9, wherein the molar ratio of the compound represented by the formula (3) and / or the compound represented by the formula (4) to the organometallic compound is 1: 2 to 1: 5,000, Is in the range of 1: 1 to 1:25.
[화학식 3]
-[Al(R12)-O]c-
상기 화학식 3에서, R12는 할로겐 라디칼, 탄소수 1 내지 20의 하이드로카빌 라디칼, 또는 할로겐으로 치환된 탄소수 1 내지 20의 하이드로카빌 라디칼이고, c는 2 이상의 정수이다.
Contacting the organometallic compound of claim 4 with a compound represented by the following formula (3) to obtain a mixture:
(3)
- [Al (R 12) -O ] c-
In the general formula (3), R 12 is a halogen radical, a hydrocarbyl radical having 1 to 20 carbon atoms, or a hydrocarbyl radical having 1 to 20 carbon atoms substituted with halogen, and c is an integer of 2 or more.
12. The method of claim 11, wherein the molar ratio of the organometallic compound to the compound represented by the formula (3) is 1:10 to 1: 10,000.
[화학식 5]
[L-H]+[ZA4]- 또는 [L]+[ZA4]-
상기 화학식 5에서,
L은 중성 또는 양이온성 루이스 염기이고, H는 수소 원자이며, Z는 13족 원소이고, A는 서로 동일하거나 다를 수 있으며, 각각 독립적으로 1 이상의 수소 원자가 할로겐, 탄소수 1 내지 20의 탄화수소, 알콕시 또는 페녹시로 치환 또는 비치환된 탄소수 6 내지 20의 아릴기 또는 탄소수 1 내지 20의 알킬기이다.
Contacting the organometallic compound of claim 4 with a compound represented by the following formula (5) to obtain a mixture:
[Chemical Formula 5]
[LH] + [ZA 4 ] - or [L] + [ZA 4 ] -
In Formula 5,
L is a neutral or cationic Lewis base, H is a hydrogen atom, Z is a Group 13 element, A can be the same or different from each other, and each independently at least one hydrogen atom is replaced by halogen, a hydrocarbon having 1 to 20 carbon atoms, An aryl group having 6 to 20 carbon atoms or an alkyl group having 1 to 20 carbon atoms which is substituted or unsubstituted with phenoxy.
14. The method of claim 13, wherein the molar ratio of the organometallic compound to the compound represented by Formula 5 is 1: 1 to 1:25.
A process for preparing an olefin polymer, comprising polymerizing at least one olefin monomer in the presence of the catalyst composition according to claim 7.
The process for producing an olefin polymer according to claim 15, wherein the polymerization of the polyolefin is carried out at a temperature of -15 to 300 캜 and a pressure of 1 to 300 bar.
Priority Applications (1)
| Application Number | Priority Date | Filing Date | Title |
|---|---|---|---|
| KR20130048747A KR20140129871A (en) | 2013-04-30 | 2013-04-30 | Post metallocene ligand compound, organometallic compound, catalyst composition, and method for preparing olefin polymers using the same |
Applications Claiming Priority (1)
| Application Number | Priority Date | Filing Date | Title |
|---|---|---|---|
| KR20130048747A KR20140129871A (en) | 2013-04-30 | 2013-04-30 | Post metallocene ligand compound, organometallic compound, catalyst composition, and method for preparing olefin polymers using the same |
Publications (1)
| Publication Number | Publication Date |
|---|---|
| KR20140129871A true KR20140129871A (en) | 2014-11-07 |
Family
ID=52455038
Family Applications (1)
| Application Number | Title | Priority Date | Filing Date |
|---|---|---|---|
| KR20130048747A Withdrawn KR20140129871A (en) | 2013-04-30 | 2013-04-30 | Post metallocene ligand compound, organometallic compound, catalyst composition, and method for preparing olefin polymers using the same |
Country Status (1)
| Country | Link |
|---|---|
| KR (1) | KR20140129871A (en) |
Cited By (2)
| Publication number | Priority date | Publication date | Assignee | Title |
|---|---|---|---|---|
| WO2020046785A1 (en) * | 2018-08-28 | 2020-03-05 | Exxonmobil Chemical Patents Inc. | Bridged phenolate transition metal complexes, production, and uses thereof |
| WO2020069086A3 (en) * | 2018-09-27 | 2020-05-28 | Exxonmobil Chemical Patents Inc. | C1,c2-bridged ligands and catalysts |
-
2013
- 2013-04-30 KR KR20130048747A patent/KR20140129871A/en not_active Withdrawn
Cited By (3)
| Publication number | Priority date | Publication date | Assignee | Title |
|---|---|---|---|---|
| WO2020046785A1 (en) * | 2018-08-28 | 2020-03-05 | Exxonmobil Chemical Patents Inc. | Bridged phenolate transition metal complexes, production, and uses thereof |
| WO2020069086A3 (en) * | 2018-09-27 | 2020-05-28 | Exxonmobil Chemical Patents Inc. | C1,c2-bridged ligands and catalysts |
| US11285465B2 (en) | 2018-09-27 | 2022-03-29 | Exxonmobil Chemical Patents Inc. | C1,C2-bridged ligands and catalysts |
Similar Documents
| Publication | Publication Date | Title |
|---|---|---|
| JP5972474B2 (en) | Transition metal compound, catalyst composition containing the same, and method for producing a polymer using the same | |
| JP5844398B2 (en) | Ethylene α-olefin copolymer | |
| JP5404614B2 (en) | Ethylene-α-olefin copolymer containing long chain branches | |
| KR101774615B1 (en) | The catalysts consist of inden derivatives and cyclopentadiene derivatives, and their applications to olefine polymerization | |
| KR101310239B1 (en) | Post metallocene catalysts with phosphine group and metohd for preparing olefin polymers using the same | |
| KR101588813B1 (en) | Catalyst composition, method for preparing the same and method for preparing polyolefin using the same | |
| KR101722138B1 (en) | Novel ligand compound, metallocene compound, and method for preparation of olefin-based polymer using the same | |
| KR101237467B1 (en) | New post metallocene catalysts and metohd for preparing olefin polymers using the same | |
| KR20140129871A (en) | Post metallocene ligand compound, organometallic compound, catalyst composition, and method for preparing olefin polymers using the same | |
| KR101784463B1 (en) | Rigand compound, metallocene compound, and method for preparation of olefin-based polymer using the same | |
| CN111094307B (en) | Ligand compound, transition metal compound and catalyst composition comprising the same | |
| KR101739164B1 (en) | The post metallocene catalyst based on diamine structure | |
| KR101153097B1 (en) | Group 4 Transition Metal Complexes Based On New Cyclopentadienone Ligand | |
| KR101725949B1 (en) | The post metallocene catalyst based on thiophene | |
| KR101563268B1 (en) | Post metallocene organometallic compound and method for preparing the same | |
| KR101205474B1 (en) | Metal complex and metohd for preparing olefin polymers using the same | |
| EP3783004A1 (en) | Transition metal compound, catalyst composition comprising same, and polymer preparation method using same | |
| KR101773649B1 (en) | The post metallocene catalyst having tridentate structure | |
| KR101703155B1 (en) | The post metallocene catalyst having diaryl ether backbone | |
| KR101725945B1 (en) | The post metallocene catalyst having aminoquinoline backbone | |
| KR101684647B1 (en) | Dinuclear metallocene compound, catalyst composition comprising the same, and method for preparing polyolefin uisng the same | |
| KR20170073141A (en) | Transition metal compound and catalytic composition comprising thereof | |
| KR20140070418A (en) | Post metallocene ligand compound, method for preparing the same, organometallic compound and method for preparing the same | |
| KR20100070068A (en) | Metal complex based on new tridentate ligands and metohd for preparing olefin polymers using the same | |
| KR20150048462A (en) | The catalysts consist of aniline derivatives and cyclopentadiene derivatives, and their applications to olefine polymerization |
Legal Events
| Date | Code | Title | Description |
|---|---|---|---|
| PA0109 | Patent application |
Patent event code: PA01091R01D Comment text: Patent Application Patent event date: 20130430 |
|
| PG1501 | Laying open of application | ||
| PC1203 | Withdrawal of no request for examination | ||
| WITN | Application deemed withdrawn, e.g. because no request for examination was filed or no examination fee was paid |



































