KR20140027993A - Dispersion composition, curable composition, transparent film, microlens and solid-state image sensing device using the same, method for manufacturing transparent film, method for manufacturing microlens and method for manufacturing solid-state image sensing device - Google Patents
Dispersion composition, curable composition, transparent film, microlens and solid-state image sensing device using the same, method for manufacturing transparent film, method for manufacturing microlens and method for manufacturing solid-state image sensing device Download PDFInfo
- Publication number
- KR20140027993A KR20140027993A KR1020137030122A KR20137030122A KR20140027993A KR 20140027993 A KR20140027993 A KR 20140027993A KR 1020137030122 A KR1020137030122 A KR 1020137030122A KR 20137030122 A KR20137030122 A KR 20137030122A KR 20140027993 A KR20140027993 A KR 20140027993A
- Authority
- KR
- South Korea
- Prior art keywords
- group
- resin
- repeating unit
- preferable
- curable composition
- Prior art date
- Legal status (The legal status is an assumption and is not a legal conclusion. Google has not performed a legal analysis and makes no representation as to the accuracy of the status listed.)
- Granted
Links
- 0 CC*C=C[*@](*(C)C=C)C1=C(C)*C(CC=CCCC*)=C1C Chemical compound CC*C=C[*@](*(C)C=C)C1=C(C)*C(CC=CCCC*)=C1C 0.000 description 4
Classifications
-
- C—CHEMISTRY; METALLURGY
- C08—ORGANIC MACROMOLECULAR COMPOUNDS; THEIR PREPARATION OR CHEMICAL WORKING-UP; COMPOSITIONS BASED THEREON
- C08L—COMPOSITIONS OF MACROMOLECULAR COMPOUNDS
- C08L101/00—Compositions of unspecified macromolecular compounds
- C08L101/02—Compositions of unspecified macromolecular compounds characterised by the presence of specified groups, e.g. terminal or pendant functional groups
-
- G—PHYSICS
- G02—OPTICS
- G02B—OPTICAL ELEMENTS, SYSTEMS OR APPARATUS
- G02B1/00—Optical elements characterised by the material of which they are made; Optical coatings for optical elements
- G02B1/04—Optical elements characterised by the material of which they are made; Optical coatings for optical elements made of organic materials, e.g. plastics
-
- C—CHEMISTRY; METALLURGY
- C08—ORGANIC MACROMOLECULAR COMPOUNDS; THEIR PREPARATION OR CHEMICAL WORKING-UP; COMPOSITIONS BASED THEREON
- C08F—MACROMOLECULAR COMPOUNDS OBTAINED BY REACTIONS ONLY INVOLVING CARBON-TO-CARBON UNSATURATED BONDS
- C08F2/00—Processes of polymerisation
- C08F2/44—Polymerisation in the presence of compounding ingredients, e.g. plasticisers, dyestuffs, fillers
-
- C—CHEMISTRY; METALLURGY
- C08—ORGANIC MACROMOLECULAR COMPOUNDS; THEIR PREPARATION OR CHEMICAL WORKING-UP; COMPOSITIONS BASED THEREON
- C08F—MACROMOLECULAR COMPOUNDS OBTAINED BY REACTIONS ONLY INVOLVING CARBON-TO-CARBON UNSATURATED BONDS
- C08F2/00—Processes of polymerisation
- C08F2/46—Polymerisation initiated by wave energy or particle radiation
- C08F2/48—Polymerisation initiated by wave energy or particle radiation by ultraviolet or visible light
-
- C—CHEMISTRY; METALLURGY
- C08—ORGANIC MACROMOLECULAR COMPOUNDS; THEIR PREPARATION OR CHEMICAL WORKING-UP; COMPOSITIONS BASED THEREON
- C08F—MACROMOLECULAR COMPOUNDS OBTAINED BY REACTIONS ONLY INVOLVING CARBON-TO-CARBON UNSATURATED BONDS
- C08F2/00—Processes of polymerisation
- C08F2/46—Polymerisation initiated by wave energy or particle radiation
- C08F2/48—Polymerisation initiated by wave energy or particle radiation by ultraviolet or visible light
- C08F2/50—Polymerisation initiated by wave energy or particle radiation by ultraviolet or visible light with sensitising agents
-
- C—CHEMISTRY; METALLURGY
- C08—ORGANIC MACROMOLECULAR COMPOUNDS; THEIR PREPARATION OR CHEMICAL WORKING-UP; COMPOSITIONS BASED THEREON
- C08G—MACROMOLECULAR COMPOUNDS OBTAINED OTHERWISE THAN BY REACTIONS ONLY INVOLVING UNSATURATED CARBON-TO-CARBON BONDS
- C08G73/00—Macromolecular compounds obtained by reactions forming a linkage containing nitrogen with or without oxygen or carbon in the main chain of the macromolecule, not provided for in groups C08G12/00 - C08G71/00
- C08G73/02—Polyamines
- C08G73/0206—Polyalkylene(poly)amines
-
- C—CHEMISTRY; METALLURGY
- C08—ORGANIC MACROMOLECULAR COMPOUNDS; THEIR PREPARATION OR CHEMICAL WORKING-UP; COMPOSITIONS BASED THEREON
- C08G—MACROMOLECULAR COMPOUNDS OBTAINED OTHERWISE THAN BY REACTIONS ONLY INVOLVING UNSATURATED CARBON-TO-CARBON BONDS
- C08G73/00—Macromolecular compounds obtained by reactions forming a linkage containing nitrogen with or without oxygen or carbon in the main chain of the macromolecule, not provided for in groups C08G12/00 - C08G71/00
- C08G73/02—Polyamines
- C08G73/0206—Polyalkylene(poly)amines
- C08G73/0213—Preparatory process
- C08G73/022—Preparatory process from polyamines and epihalohydrins
-
- C—CHEMISTRY; METALLURGY
- C08—ORGANIC MACROMOLECULAR COMPOUNDS; THEIR PREPARATION OR CHEMICAL WORKING-UP; COMPOSITIONS BASED THEREON
- C08J—WORKING-UP; GENERAL PROCESSES OF COMPOUNDING; AFTER-TREATMENT NOT COVERED BY SUBCLASSES C08B, C08C, C08F, C08G or C08H
- C08J3/00—Processes of treating or compounding macromolecular substances
- C08J3/02—Making solutions, dispersions, lattices or gels by other methods than by solution, emulsion or suspension polymerisation techniques
- C08J3/09—Making solutions, dispersions, lattices or gels by other methods than by solution, emulsion or suspension polymerisation techniques in organic liquids
-
- C—CHEMISTRY; METALLURGY
- C08—ORGANIC MACROMOLECULAR COMPOUNDS; THEIR PREPARATION OR CHEMICAL WORKING-UP; COMPOSITIONS BASED THEREON
- C08K—Use of inorganic or non-macromolecular organic substances as compounding ingredients
- C08K3/00—Use of inorganic substances as compounding ingredients
- C08K3/18—Oxygen-containing compounds, e.g. metal carbonyls
- C08K3/20—Oxides; Hydroxides
- C08K3/22—Oxides; Hydroxides of metals
-
- C—CHEMISTRY; METALLURGY
- C09—DYES; PAINTS; POLISHES; NATURAL RESINS; ADHESIVES; COMPOSITIONS NOT OTHERWISE PROVIDED FOR; APPLICATIONS OF MATERIALS NOT OTHERWISE PROVIDED FOR
- C09D—COATING COMPOSITIONS, e.g. PAINTS, VARNISHES OR LACQUERS; FILLING PASTES; CHEMICAL PAINT OR INK REMOVERS; INKS; CORRECTING FLUIDS; WOODSTAINS; PASTES OR SOLIDS FOR COLOURING OR PRINTING; USE OF MATERIALS THEREFOR
- C09D179/00—Coating compositions based on macromolecular compounds obtained by reactions forming in the main chain of the macromolecule a linkage containing nitrogen, with or without oxygen, or carbon only, not provided for in groups C09D161/00 - C09D177/00
- C09D179/02—Polyamines
-
- G—PHYSICS
- G03—PHOTOGRAPHY; CINEMATOGRAPHY; ANALOGOUS TECHNIQUES USING WAVES OTHER THAN OPTICAL WAVES; ELECTROGRAPHY; HOLOGRAPHY
- G03F—PHOTOMECHANICAL PRODUCTION OF TEXTURED OR PATTERNED SURFACES, e.g. FOR PRINTING, FOR PROCESSING OF SEMICONDUCTOR DEVICES; MATERIALS THEREFOR; ORIGINALS THEREFOR; APPARATUS SPECIALLY ADAPTED THEREFOR
- G03F7/00—Photomechanical, e.g. photolithographic, production of textured or patterned surfaces, e.g. printing surfaces; Materials therefor, e.g. comprising photoresists; Apparatus specially adapted therefor
- G03F7/0005—Production of optical devices or components in so far as characterised by the lithographic processes or materials used therefor
- G03F7/0007—Filters, e.g. additive colour filters; Components for display devices
-
- G—PHYSICS
- G03—PHOTOGRAPHY; CINEMATOGRAPHY; ANALOGOUS TECHNIQUES USING WAVES OTHER THAN OPTICAL WAVES; ELECTROGRAPHY; HOLOGRAPHY
- G03F—PHOTOMECHANICAL PRODUCTION OF TEXTURED OR PATTERNED SURFACES, e.g. FOR PRINTING, FOR PROCESSING OF SEMICONDUCTOR DEVICES; MATERIALS THEREFOR; ORIGINALS THEREFOR; APPARATUS SPECIALLY ADAPTED THEREFOR
- G03F7/00—Photomechanical, e.g. photolithographic, production of textured or patterned surfaces, e.g. printing surfaces; Materials therefor, e.g. comprising photoresists; Apparatus specially adapted therefor
- G03F7/004—Photosensitive materials
-
- G—PHYSICS
- G03—PHOTOGRAPHY; CINEMATOGRAPHY; ANALOGOUS TECHNIQUES USING WAVES OTHER THAN OPTICAL WAVES; ELECTROGRAPHY; HOLOGRAPHY
- G03F—PHOTOMECHANICAL PRODUCTION OF TEXTURED OR PATTERNED SURFACES, e.g. FOR PRINTING, FOR PROCESSING OF SEMICONDUCTOR DEVICES; MATERIALS THEREFOR; ORIGINALS THEREFOR; APPARATUS SPECIALLY ADAPTED THEREFOR
- G03F7/00—Photomechanical, e.g. photolithographic, production of textured or patterned surfaces, e.g. printing surfaces; Materials therefor, e.g. comprising photoresists; Apparatus specially adapted therefor
- G03F7/004—Photosensitive materials
- G03F7/0047—Photosensitive materials characterised by additives for obtaining a metallic or ceramic pattern, e.g. by firing
-
- G—PHYSICS
- G03—PHOTOGRAPHY; CINEMATOGRAPHY; ANALOGOUS TECHNIQUES USING WAVES OTHER THAN OPTICAL WAVES; ELECTROGRAPHY; HOLOGRAPHY
- G03F—PHOTOMECHANICAL PRODUCTION OF TEXTURED OR PATTERNED SURFACES, e.g. FOR PRINTING, FOR PROCESSING OF SEMICONDUCTOR DEVICES; MATERIALS THEREFOR; ORIGINALS THEREFOR; APPARATUS SPECIALLY ADAPTED THEREFOR
- G03F7/00—Photomechanical, e.g. photolithographic, production of textured or patterned surfaces, e.g. printing surfaces; Materials therefor, e.g. comprising photoresists; Apparatus specially adapted therefor
- G03F7/004—Photosensitive materials
- G03F7/027—Non-macromolecular photopolymerisable compounds having carbon-to-carbon double bonds, e.g. ethylenic compounds
-
- G—PHYSICS
- G03—PHOTOGRAPHY; CINEMATOGRAPHY; ANALOGOUS TECHNIQUES USING WAVES OTHER THAN OPTICAL WAVES; ELECTROGRAPHY; HOLOGRAPHY
- G03F—PHOTOMECHANICAL PRODUCTION OF TEXTURED OR PATTERNED SURFACES, e.g. FOR PRINTING, FOR PROCESSING OF SEMICONDUCTOR DEVICES; MATERIALS THEREFOR; ORIGINALS THEREFOR; APPARATUS SPECIALLY ADAPTED THEREFOR
- G03F7/00—Photomechanical, e.g. photolithographic, production of textured or patterned surfaces, e.g. printing surfaces; Materials therefor, e.g. comprising photoresists; Apparatus specially adapted therefor
- G03F7/004—Photosensitive materials
- G03F7/027—Non-macromolecular photopolymerisable compounds having carbon-to-carbon double bonds, e.g. ethylenic compounds
- G03F7/028—Non-macromolecular photopolymerisable compounds having carbon-to-carbon double bonds, e.g. ethylenic compounds with photosensitivity-increasing substances, e.g. photoinitiators
- G03F7/031—Organic compounds not covered by group G03F7/029
-
- H—ELECTRICITY
- H10—SEMICONDUCTOR DEVICES; ELECTRIC SOLID-STATE DEVICES NOT OTHERWISE PROVIDED FOR
- H10F—INORGANIC SEMICONDUCTOR DEVICES SENSITIVE TO INFRARED RADIATION, LIGHT, ELECTROMAGNETIC RADIATION OF SHORTER WAVELENGTH OR CORPUSCULAR RADIATION
- H10F99/00—Subject matter not provided for in other groups of this subclass
-
- C—CHEMISTRY; METALLURGY
- C08—ORGANIC MACROMOLECULAR COMPOUNDS; THEIR PREPARATION OR CHEMICAL WORKING-UP; COMPOSITIONS BASED THEREON
- C08K—Use of inorganic or non-macromolecular organic substances as compounding ingredients
- C08K3/00—Use of inorganic substances as compounding ingredients
- C08K3/18—Oxygen-containing compounds, e.g. metal carbonyls
- C08K3/20—Oxides; Hydroxides
- C08K3/22—Oxides; Hydroxides of metals
- C08K2003/2237—Oxides; Hydroxides of metals of titanium
- C08K2003/2241—Titanium dioxide
-
- C—CHEMISTRY; METALLURGY
- C08—ORGANIC MACROMOLECULAR COMPOUNDS; THEIR PREPARATION OR CHEMICAL WORKING-UP; COMPOSITIONS BASED THEREON
- C08K—Use of inorganic or non-macromolecular organic substances as compounding ingredients
- C08K2201/00—Specific properties of additives
- C08K2201/002—Physical properties
- C08K2201/003—Additives being defined by their diameter
Landscapes
- Chemical & Material Sciences (AREA)
- Physics & Mathematics (AREA)
- Chemical Kinetics & Catalysis (AREA)
- Organic Chemistry (AREA)
- Health & Medical Sciences (AREA)
- Medicinal Chemistry (AREA)
- Polymers & Plastics (AREA)
- General Physics & Mathematics (AREA)
- Engineering & Computer Science (AREA)
- Spectroscopy & Molecular Physics (AREA)
- Life Sciences & Earth Sciences (AREA)
- Optics & Photonics (AREA)
- Materials Engineering (AREA)
- Wood Science & Technology (AREA)
- Ceramic Engineering (AREA)
- Dispersion Chemistry (AREA)
- Compositions Of Macromolecular Compounds (AREA)
- Solid State Image Pick-Up Elements (AREA)
- Polymerisation Methods In General (AREA)
- Graft Or Block Polymers (AREA)
- Other Resins Obtained By Reactions Not Involving Carbon-To-Carbon Unsaturated Bonds (AREA)
- Macromolecular Compounds Obtained By Forming Nitrogen-Containing Linkages In General (AREA)
- Materials For Photolithography (AREA)
Abstract
본 발명의 분산 조성물은 일차 입자지름이 1nm∼100nm인 무색 또는 투명한 금속 산화물 입자(A); pKa 14 이하의 관능기를 갖는 기(X)를 갖는 반복단위 및 측쇄에 원자수 40∼10,000개의 올리고머쇄 또는 폴리머쇄(Y)를 갖고, 또한 염기성 질소원자를 함유하는 수지(B1); 및 용매(C)를 포함한다.The dispersion composition of the present invention comprises colorless or transparent metal oxide particles (A) having a primary particle diameter of 1 nm to 100 nm; Resin (B1) which has an oligomer chain or a polymer chain (Y) of 40-10,000 atoms, and contains a basic nitrogen atom in the repeating unit and side chain which have group (X) which has a pKa 14 or less functional group, and a side chain; And solvent (C).
Description
본 발명은 분산 조성물, 이것을 사용한 경화성 조성물, 투명막, 마이크로렌즈 및 고체 촬상 소자, 및 투명막의 제조 방법, 마이크로렌즈의 제조 방법 및 고체 촬상 소자의 제조 방법에 관한 것이다.The present invention relates to a dispersion composition, a curable composition using the same, a transparent film, a microlens and a solid-state imaging device, a method for producing a transparent film, a method for producing a microlens, and a method for producing a solid-state imaging device.
전자 복사기 및 고체 촬상 소자 등의 온칩 컬러필터의 촬상 광학에 사용할 수 있는 마이크로렌즈 또는 구리배선을 대체하는 광학배선의 용도로서, 고굴절률을 갖고 마이크로 투명막, 투명배선 등을 형성할 수 있는 투명 부재의 형성용 조성물이 요구되고 있다.An optical wiring that replaces microlenses or copper wiring that can be used for imaging optics of on-chip color filters, such as electronic copiers and solid-state imaging devices. A transparent member having a high refractive index and capable of forming a micro transparent film, transparent wiring, or the like There is a need for a composition for forming a resin.
특히, 고체 촬상 소자에 사용할 수 있는 마이크로렌즈는 고체 촬상 소자의 소형화가 진행됨으로써 보다 소형화 및 보다 효율적인 광 포커싱을 달성하기 위해서 고굴절률이 요구되고 있다. 예를 들면, 실리카 피복 산화 티타늄 입자를 사용한 고굴절률의 패턴을 형성할 수 있는 광중합성 조성물이 개시되어 있다(예를 들면, 일본 특허 공개 제2009-179678호 참조). 상기 입자 표면의 규소 원자의 20% 이상을 갖는 금속 산화물을 사용한 고체 촬상 소자용 조성물이 개시되어 있고, 고굴절률 및 우수한 패턴 형성성이 얻어지는 것을 나타내고 있다(예를 들면, 일본 특허 공개 제2008-1485683호). 특히, 최근에는 해상도가 높아짐으로써 화소의 사이즈가 상응하여 감소되어, 보다 효율적으로 광을 수집하는 것이 필수적이다. 따라서, 고굴절률을 갖는 마이크로렌즈가 요구되고 있다. 하나의 제조 공정으로 보다 많은 디바이스를 제작하기 위해서, 사용되는 웨이퍼의 사이즈도 커진다.In particular, microlenses that can be used in solid-state imaging devices are required to have high refractive indices in order to achieve miniaturization and more efficient optical focusing by miniaturization of solid-state imaging devices. For example, a photopolymerizable composition capable of forming a high refractive index pattern using silica coated titanium oxide particles is disclosed (see, for example, Japanese Patent Laid-Open No. 2009-179678). The composition for solid-state image sensors using the metal oxide which has 20% or more of the silicon atom of the said particle surface is disclosed, and has shown that high refractive index and the outstanding pattern formation property are obtained (for example, Unexamined-Japanese-Patent No. 2008-1485683) number). In particular, in recent years, as the resolution increases, the size of the pixel is correspondingly reduced, so that it is essential to collect light more efficiently. Therefore, there is a need for a microlens having a high refractive index. In order to manufacture more devices in one manufacturing process, the size of the wafer used is also increased.
그러나, 웨이퍼 사이즈가 커지면, 마이크로렌즈를 얻기 위해서 형성되는 막은 웨이퍼의 중심부와 주변부 사이의 막 두께의 차가 증가하므로, 상기 웨이퍼로부터 절단하여 얻어진 다수의 고체 촬상 소자 칩에 있어서 성능의 불균형이 생길 문제가 있었다.However, as the wafer size increases, the film formed to obtain the microlenses increases the difference in film thickness between the center portion and the peripheral portion of the wafer, so that there is a problem that performance imbalance occurs in many solid-state image pickup chips obtained by cutting from the wafer. there was.
본 발명은 상술한 내용을 고려하여 이루어지고, 본 발명의 목적은 우수한 분산성 및 분산 안정성을 갖고 경화성 조성물로서 제조할 때에 고굴절률 및 고광투과율을 갖고, 상기 조성물을 큰 사이즈의 웨이퍼에 도포했을 때에 그 중심부와 주변부 사이의 막 두께의 차가 작은 막을 형성할 수 있는 분산 조성물, 이것을 사용한 경화성 조성물, 투명막, 마이크로렌즈 및 고체 촬상 소자, 및 투명막의 제조 방법, 마이크로렌즈의 제조 방법 및 고체 촬상 소자의 제조 방법을 제공하는 것이다.The present invention has been made in view of the above, and an object of the present invention is to have excellent dispersibility and dispersion stability and to have a high refractive index and a high light transmittance when prepared as a curable composition, and to apply the composition to a large size wafer. A dispersion composition capable of forming a film having a small difference in film thickness between the center portion and the peripheral portion thereof, a curable composition using the same, a transparent film, a microlens and a solid-state imaging device, and a method of manufacturing a transparent film, a method of manufacturing a microlens, and a solid-state imaging device It is to provide a manufacturing method.
한편, 고체 촬상 소자용 차광막을 형성할 수 있는 흑색 재료를 분산용으로 측쇄에 고분자량의 올리고머쇄 또는 폴리머쇄를 갖고, 또한 질소원자를 함유하는 수지가 알려져 있지만(일본 특허 공개 제2010-6932호 참조), 특히 고굴절률 및 고광투과율을 갖고 상기 막 두께의 차가 작은 막을 형성할 수 있는 분산 조성물은 기재되어 있지 않았다.On the other hand, resins having high molecular weight oligomer chains or polymer chains in the side chains and containing nitrogen atoms are known for dispersing a black material capable of forming a light shielding film for a solid-state imaging device (Japanese Patent Laid-Open No. 2010-6932). In particular, no dispersion composition has been described which can form a film having a high refractive index and a high light transmittance and having a small difference in the film thickness.
상기 과제를 해결하기 위한 구체적인 수단은 이하와 같다.Specific means for solving the above problems are as follows.
<1> 일차 입자지름이 1nm∼100nm인 무색 또는 투명한 금속 산화물 입자(A);<1> colorless or transparent metal oxide particles (A) having a primary particle diameter of 1 nm to 100 nm;
pKa 14 이하의 관능기를 갖는 기(X)를 갖는 반복단위 및 측쇄에 원자수 40∼10,000개의 올리고머쇄 또는 폴리머쇄(Y)를 갖고, 또한 염기성 질소원자를 함유하는 수지(B1); 및Resin (B1) which has an oligomer chain or a polymer chain (Y) of 40-10,000 atoms, and contains a basic nitrogen atom in the repeating unit and side chain which have group (X) which has a pKa 14 or less functional group, and a side chain; And
용매(C)를 포함하는 것을 특징으로 하는 분산 조성물.A dispersion composition comprising a solvent (C).
<2> 상기 <1>에 있어서, 상기 수지(B1)는 상기 pKa 14 이하의 관능기를 갖는 기(X)에 결합하는 질소원자를 함유하는 반복단위 및 측쇄에 원자수 40∼10,000개의 올리고머쇄 또는 폴리머쇄(Y)를 갖는 수지(B2)인 것을 특징으로 하는 분산 조성물.<2> The resin (B1) according to the above <1>, wherein the oligomer chain having 40 to 10,000 atoms in the repeating unit and side chain containing a nitrogen atom bonded to the group (X) having a pKa 14 or less functional group or It is resin (B2) which has a polymer chain (Y), The dispersion composition characterized by the above-mentioned.
<3> 상기 <1> 또는 <2>에 있어서, 일차 입자지름이 1nm∼100nm인 무색 또는 투명한 금속 산화물 입자(A),<3> Colorless or transparent metal oxide particles (A) according to <1> or <2>, wherein the primary particle diameter is 1 nm to 100 nm,
(i) 폴리(저급 알킬렌이민)계 반복단위, 폴리알릴아민계 반복단위, 폴리디알릴아민계 반복단위, 메타크실렌디아민-에피클로로히드린 중축합물계 반복단위 및 폴리비닐아민계 반복단위로부터 선택되고 질소원자를 함유하는 적어도 하나의 반복단위로서, pKa 14 이하의 관능기를 갖고 질소원자에 결합하는 기(X)를 갖는 반복단위, 및 (ii) 측쇄에 원자수 40∼10,000개의 올리고머쇄 또는 폴리머쇄(Y)를 갖는 수지(B), 및(i) from poly (lower alkyleneimine) repeating units, polyallylamine repeating units, polydiallylamine repeating units, metaxylenediamine-epichlorohydrin polycondensation repeating units and polyvinylamine repeating units At least one repeating unit selected and containing nitrogen atoms, the repeating unit having a functional group of pKa 14 or less and having a group (X) bonded to the nitrogen atom, and (ii) an oligomer chain having 40 to 10,000 atoms in the side chain, or Resin (B) having a polymer chain (Y), and
용매(C)를 포함하는 것을 특징으로 하는 분산 조성물.A dispersion composition comprising a solvent (C).
<4> 상기 <1> 내지 <3> 중 어느 하나에 있어서, 상기 기(X)가 갖는 pKa 14 이하의 관능기는 카르복실산, 술폰산 또는 -COCH2CO-인 것을 특징으로 하는 분산 조성물.<4> The dispersion composition according to any one of <1> to <3>, wherein the functional group having a pKa 14 or less of the group (X) is carboxylic acid, sulfonic acid, or -COCH 2 CO-.
<5> 상기 <3> 또는 <4>에 있어서, 상기 수지(B)는 하기 일반식(I-1)으로 나타내어지는 반복단위 및 하기 일반식(I-2)으로 나타내어지는 반복단위를 포함하는 수지인 것을 특징으로 하는 분산 조성물.<5> In <3> or <4>, the said resin (B) contains the repeating unit represented by the following general formula (I-1), and the repeating unit represented by the following general formula (I-2). It is resin, The dispersion composition characterized by the above-mentioned.
[일반식(1-1) 및 일반식(1-2) 중,[In Formula (1-1) and Formula (1-2),
R1 및 R2는 각각 독립적으로 수소원자, 할로겐 원자 또는 알킬기를 나타내고,R 1 and R 2 each independently represent a hydrogen atom, a halogen atom or an alkyl group,
a는 각각 독립적으로 1∼5의 정수를 나타내고,a respectively independently represents the integer of 1-5,
*는 반복단위 사이의 연결부를 나타내고,* Denotes the connection between repeat units,
X는 pKa 14 이하의 관능기를 갖는 기를 나타내고,X represents a group having a functional group of pKa 14 or less,
Y는 원자수 40∼10,000개의 올리고머쇄 또는 폴리머쇄를 나타낸다]Y represents an oligomer chain or a polymer chain having 40 to 10,000 atoms;
<6> 상기 <3> 또는 <4>에 있어서, 상기 수지(B)는 하기 일반식(II-1)으로 나타내어지는 반복단위 및 하기 일반식(II-2)으로 나타내어지는 반복단위를 함유하는 수지인 것을 특징으로 하는 분산 조성물.<6> In <3> or <4>, the said resin (B) contains the repeating unit represented by the following general formula (II-1), and the repeating unit represented by the following general formula (II-2). It is resin, The dispersion composition characterized by the above-mentioned.
[일반식(II-1) 및 일반식(II-2) 중,[In Formula (II-1) and Formula (II-2),
R3, R4, R5 및 R6은 각각 독립적으로 수소원자, 할로겐 원자 또는 알킬기를 나타내고,R 3 , R 4 , R 5 and R 6 each independently represent a hydrogen atom, a halogen atom or an alkyl group,
*는 반복단위 사이의 연결부를 나타내고,* Denotes the connection between repeat units,
X는 pKa 14 이하의 관능기를 갖는 기를 나타내고,X represents a group having a functional group of pKa 14 or less,
Y는 원자수 40∼10,000개의 올리고머쇄 또는 폴리머쇄를 나타낸다]Y represents an oligomer chain or a polymer chain having 40 to 10,000 atoms;
<7> 상기 <1> 내지 <6> 중 어느 하나에 있어서, 상기 원자수 40∼10,000개의 올리고머쇄 또는 폴리머쇄(Y)는 하기 일반식(III-1)으로 나타내어지는 구조를 갖는 것을 특징으로 하는 분산 조성물.<7> In any one of <1> to <6>, the oligomer chain or polymer chain (Y) having 40 to 10,000 atoms has a structure represented by the following general formula (III-1). Dispersion composition.
[상기 일반식(III-1) 중, Z는 부분 구조로서 폴리에스테르쇄를 갖는 폴리머 또는 올리고머이고, 하기 일반식(IV)으로 나타내어지는 유리 카르복실산을 갖는 폴리에스테르로부터 카르복실기를 제외한 잔기를 나타낸다.[In the general formula (III-1), Z is a polymer or oligomer having a polyester chain as a partial structure, and represents a moiety excluding a carboxyl group from a polyester having a free carboxylic acid represented by the following general formula (IV). .
상기 일반식(IV) 중, Z는 일반식(III-1) 중의 Z와 동일하다]In General Formula (IV), Z is the same as Z in General Formula (III-1).]
<8> 상기 <1> 내지 <7> 중 어느 하나에 기재된 분산 조성물을 포함하는 경화성 조성물로서, 상기 경화성 조성물은 중합성 화합물(D) 및 중합개시제(E)를 더 함유하는 것을 특징으로 하는 경화성 조성물.<8> Curable composition containing the dispersion composition in any one of said <1>-<7>, The said curable composition further contains a polymeric compound (D) and a polymerization initiator (E). Composition.
<9> 상기 <8>에 있어서, 바인더 폴리머를 더 포함하는 것을 특징으로 하는 경화성 조성물.<9> Curable composition as described in said <8> which further contains a binder polymer.
<10> 상기 <8> 또는 <9>에 있어서, 상기 중합개시제(E)는 옥심계 중합개시제인 것을 특징으로 하는 경화성 조성물.<10> The curable composition according to <8> or <9>, wherein the polymerization initiator (E) is an oxime polymerization initiator.
<11> 상기 <8> 내지 <10> 중 어느 하나에 있어서, 마이크로렌즈의 형성에 사용되는 것을 특징으로 하는 경화성 조성물.<11> Curable composition as described in any one of said <8>-<10> used for formation of a microlens.
<12> 상기 <8> 내지 <11> 중 어느 하나에 기재된 경화성 조성물을 사용하여 형성되는 것을 특징으로 하는 투명막.<12> The transparent film formed using the curable composition in any one of said <8>-<11>.
<13> 상기 <12>에 기재된 투명막을 사용하여 형성되는 것을 특징으로 하는 마이크로렌즈.<13> The microlens formed using the transparent film as described in said <12>.
<14> 상기 <13>에 기재된 마이크로렌즈를 포함하는 것을 특징으로 하는 고체 촬상 소자.<14> The solid-state imaging device containing the microlens as described in said <13>.
<15> 상기 <8> 내지 <10> 중 어느 하나에 기재된 경화성 조성물을 웨이퍼 상에 도포하는 공정,<15> Process of apply | coating curable composition in any one of said <8> to <10> on a wafer,
이어서 상기 조성물을 가열하는 제 1 가열 공정, 및A first heating step of subsequently heating the composition, and
이어서 상기 제 1 가열 공정의 온도보다 높은 온도에서 상기 조성물을 가열하는 제 2 가열 공정을 포함하는 것을 특징으로 하는 투명막의 제조 방법.And a second heating step of heating the composition at a temperature higher than the temperature of the first heating step.
<16> 상기 <12>에 기재된 투명막을 포스트베이킹 처리하여 상기 투명막을 성형하는 공정, 및<16> post-baking the transparent film according to <12> to form the transparent film, and
상기 투명막을 드라이 에칭하는 공정을 포함하는 것을 특징으로 하는 마이크로렌즈의 제조 방법.And dry etching the transparent film.
<17> 적어도 포토다이오드, 차광막 및 디바이스 보호막을 갖는 고체 촬상 소자용 기판에 적색화소, 청색화소 및 녹색화소를 형성하는 공정,<17> forming a red pixel, a blue pixel, and a green pixel on a substrate for a solid-state imaging device having at least a photodiode, a light shielding film, and a device protective film;
상기 <8> 내지 <10> 중 어느 하나에 기재된 경화성 조성물을 도포하고 가열하는 공정,Process of apply | coating and heating curable composition in any one of said <8>-<10>,
레지스트 패턴을 형성하는 공정,Forming a resist pattern,
포스트베이킹 처리를 행하여 상기 형성된 레지스트 패턴을 렌즈상 형상으로 성형하는 공정, 및Performing a post-baking process to mold the formed resist pattern into a lens shape; and
드라이 에칭을 행하는 공정을 포함하는 것을 특징으로 하는 고체 촬상 소자의 제조 방법.A method of manufacturing a solid-state imaging device, comprising the step of performing dry etching.
본 발명의 분산 조성물에 있어서 후술하는 바와 같이, 금속 산화물 입자(A)는 수지(B1) 중의 질소원자와 기(X)가 갖는 pKa 14 이하의 관능기와 상호작용하고, 또한 상기 수지(B1)는 원자수 40∼10,000개의 올리고머쇄 또는 폴리머쇄(Y)를 갖으므로, 예를 들면 상기 올리고머쇄 또는 폴리머쇄(Y)가 입체적으로 반발하는 기로서 기능하여 우수한 분산성을 나타냄으로써, 고굴절률 입자로서 금속 산화물 입자를 균일하게 분산시킬 수 있다. 상기 분산 조성물이 실온 등에서 장기간 동안 보존되는 경우에도, 상기 올리고머쇄 또는 폴리머쇄(Y)는 용매와 상호작용함으로써, 상기 금속 산화물 입자의 침전을 장기간 동안 억제할 수 있다. 또한, 상기 분산 조성물(보다 구체적으로는, 예를 들면 경화성 조성물)에 의해 도포막을 형성하는 경우, 상기 올리고머쇄 또는 폴리머쇄(Y)는 입체적으로 반발하는 기로서 기능하여 금속 산화물 입자를 응집으로부터 억제함으로써, 금속 산화물 입자의 함량을 증가시켜도 상술한 바와 같이 분산성 및 분산 안정성은 쉽게 손상되지 않는다. 즉, 본 발명의 분산 조성물은 우수한 분산성 및 분산 안정성을 달성하는데 사용될 수 있고, 매우 고굴절률을 갖는 막을 얻을 수 있다.In the dispersion composition of the present invention, as will be described later, the metal oxide particles (A) interact with the pKa 14 or less functional group of the nitrogen atom and the group (X) in the resin (B1), and the resin (B1) Since it has an oligomer chain or a polymer chain (Y) of 40-10,000 atoms, for example, the said oligomer chain or a polymer chain (Y) functions as a group which repels three-dimensionally, and shows excellent dispersibility, and it is high refractive index particle | grains, Metal oxide particles can be uniformly dispersed. Even when the dispersion composition is preserved for a long time at room temperature or the like, the oligomer chain or polymer chain (Y) can inhibit the precipitation of the metal oxide particles for a long time by interacting with a solvent. In addition, when forming a coating film with the said dispersion composition (more specifically, curable composition, for example), the said oligomer chain or polymer chain (Y) functions as a group which repels three-dimensionally, and suppresses metal oxide particle from aggregation. Thus, even if the content of the metal oxide particles is increased, dispersibility and dispersion stability are not easily impaired as described above. That is, the dispersion composition of the present invention can be used to achieve excellent dispersibility and dispersion stability, and a film having a very high refractive index can be obtained.
상기 수지(B1)가 사용되어 분산 조성물을 구성하고, 상기 분산 조성물을 사용하여 경화성 조성물을 구성하는 경우, 상기 경화성 조성물에 의해 얻어진 도포막에 있어서 막 두께의 균일성은 우수하고, 그 결과 상기 조성물이 큰 사이즈의 웨이퍼에 도포되는 경우에도, 상기 웨이퍼의 중심주와 주변부 사이의 막 두께의 차가 작은 막(예를 들면, 마이크로렌즈 등을 형성하기 위한 막)을 얻을 수 있다. 이것은, 예를 들면 상기 도포막에 있어서 본 발명의 수지(B1)의 올리고머쇄 또는 폴리머쇄(Y) 및 용매가 서로 우수한 상호작용을 나타내기 때문이라고 추정된다.When the said resin (B1) is used to comprise a dispersion composition, and when using the said dispersion composition to comprise a curable composition, the uniformity of film thickness is excellent in the coating film obtained by the said curable composition, As a result, the said composition is Even when applied to a large size wafer, a film (for example, a film for forming microlenses, etc.) having a small difference in film thickness between the center circumference and the peripheral portion of the wafer can be obtained. This is assumed to be because, for example, the oligomer chain or polymer chain (Y) of the resin (B1) of the present invention and the solvent exhibit excellent interaction with each other in the coating film.
본 발명에 의하면, 우수한 분산성 및 분산 안정성을 갖고 경화성 조성물로서 제조할 때에 고굴절률 및 고광투과율을 갖고, 상기 조성물이 큰 사이즈의 웨이퍼에 도포되는 경우에도, 그 중심부와 주변부 사이의 막 두께의 차가 작은 막을 형성할 수 있는 분산 조성물, 이것을 사용한 경화성 조성물, 투명막, 마이크로렌즈 및 고체 촬상 소자, 및 투명막의 제조 방법, 마이크로렌즈의 제조 방법 및 고체 촬상 소자의 제조 방법을 제공하는 것이다.According to the present invention, the film has a high refractive index and a high light transmittance when produced as a curable composition with excellent dispersibility and dispersion stability, and even when the composition is applied to a wafer of a large size, the difference in film thickness between the central portion and the peripheral portion thereof is A dispersion composition capable of forming a small film, a curable composition using the same, a transparent film, a microlens and a solid-state imaging device, and a method for producing a transparent film, a method for producing a microlens, and a method for producing a solid-state imaging device.
이하에, 본 발명의 분산 조성물을 상세하게 설명한다.EMBODIMENT OF THE INVENTION Below, the dispersion composition of this invention is demonstrated in detail.
한편, 본 명세서에 있어서 기(원자단)의 표기에 있어서, 기(원자군)가 치환 및 미치환을 설명하지 않은 임의의 표기는 치환기를 갖지 않는 것뿐만 아니라 치환기를 갖는 것도 포함한다. 예를 들면, "알킬기"는 치환기를 갖지 않는 알킬기(미치환 알킬기)뿐만 아니라 치환기를 갖는 알킬기(치환 알킬기)도 포함한다.In addition, in the description of group (atom group) in this specification, the arbitrary notation in which group (atom group) does not explain substitution and unsubstitution includes not only having a substituent but also having a substituent. For example, an "alkyl group" includes not only an alkyl group having no substituent (unsubstituted alkyl group) but also an alkyl group having a substituent (substituted alkyl group).
이하에 기재된 구성 요건의 설명은 본 발명의 대표적인 형태에 근거하여 이루어지지만, 본 발명은 이러한 형태로 한정되는 것은 아니다. 본 명세서에 있어서, "∼"를 사용하여 나타내어지는 수치범위는 "∼"의 전후에 기재된 수치를 하한값 및 상한값으로서 포함하는 범위를 의미한다.Although description of the element | module described below is made | formed based on the typical form of this invention, this invention is not limited to this form. In this specification, the numerical range represented using "-" means the range which includes the numerical value described before and after "-" as a lower limit and an upper limit.
본 명세서에 있어서, "(메타)아크릴레이트"는 아크릴레이트 및 메타아크릴레이트를 나타내고, "(메타)아크릴"은 아크릴 및 메타아크릴을 나타내고, "(메타)아크릴로일"은 아크릴로일 및 메타크릴로일을 나타낸다. 본 명세서에 있어서, "단량체" 및 "모노머"는 서로 동일하다. 본 발명에 있어서, 모노머는 올리고머 및 폴리머로 구별되고, 상기 모노머는 질량 평균 분자량이 2,000 이하인 화합물을 말한다. 본 명세서에 있어서, 중합성 화합물은 중합성기를 갖는 화합물을 말하고, 모노머 또는 폴리머이어도 좋다. 상기 중합성기는 중합 반응에 관여하는 기를 말한다.In the present specification, "(meth) acrylate" refers to acrylate and methacrylate, "(meth) acryl" refers to acryl and methacryl, and "(meth) acryloyl" refers to acryloyl and meta Represents kryloyl. In the present specification, "monomer" and "monomer" are the same as each other. In the present invention, a monomer is classified into an oligomer and a polymer, and the monomer refers to a compound having a mass average molecular weight of 2,000 or less. In the present specification, the polymerizable compound refers to a compound having a polymerizable group, and may be a monomer or a polymer. The polymerizable group refers to a group involved in the polymerization reaction.
본 명세서에 있어서, "굴절률"은 특별히 언급하지 않으면 파장 500nm의 광에 대한 굴절률을 말한다.In this specification, "refractive index" refers to the refractive index with respect to light of wavelength 500nm unless there is particular notice.
<분산 조성물><Dispersion Composition>
본 발명의 분산 조성물은 일차 입자지름이 1nm∼1OOnm인 무색 또는 투명한 금속 산화물 입자(A), pKa 14 이하의 관능기를 갖는 기(X)를 갖는 반복단위 및 측쇄에 원자수 40∼10,000개의 올리고머쇄 또는 폴리머쇄(Y)를 갖고, 염기성 질소원자를 함유하는 수지(B1), 및 용매(C)를 함유한다.The dispersion composition of the present invention is a colorless or transparent metal oxide particle (A) having a primary particle diameter of 1 nm to 100 nm, a repeating unit having a group (X) having a functional group of pKa 14 or less, and an oligomer chain having 40 to 10,000 atoms in the side chain. Or resin (B1) having a polymer chain (Y), containing a basic nitrogen atom, and a solvent (C).
본 발명의 분산 조성물은 일차 입자지름이 1nm∼1OOnm인 무색 또는 투명한 금속 산화물 입자(A), (i) 폴리(저급 알킬렌이민)계 반복단위, 폴리알릴아민계 반복단위, 폴리디알릴아민계 반복단위, 메타크실렌디아민-에피클로로히드린 중축합물계 반복단위 및 폴리비닐아민계 반복단위로부터 선택되고 질소원자를 함유하는 적어도 하나의 반복단위로서, pKa 14 이하의 관능기를 갖고 질소원자에 결합하는 기(X)를 갖는 반복단위, 및 (ii) 측쇄에 원자수 40∼10,000개의 올리고머쇄 또는 폴리머쇄(Y)를 갖는 수지(B), 및 용매(C)를 포함하는 것이 특히 바람직하다.The dispersion composition of the present invention is a colorless or transparent metal oxide particle having a primary particle diameter of 1 nm to 100 nm (A), (i) poly (lower alkyleneimine) repeating unit, polyallylamine repeating unit, polydiallylamine based At least one repeating unit containing a nitrogen atom selected from a repeating unit, a metha xylenediamine-epichlorohydrin polycondensate repeating unit, and a polyvinylamine repeating unit, having a functional group of pKa 14 or less, and bonded to a nitrogen atom It is particularly preferable to include a repeating unit having a group (X), and (ii) a resin (B) having an oligomer chain or a polymer chain (Y) having 40 to 10,000 atoms in the side chain, and a solvent (C).
상기 구성을 가짐으로써, 우수한 분산성 및 분산 안정성을 갖고 후술하는 경화성 조성물로서 제조되는 경우에 매우 고굴절률을 갖고, 큰 사이즈의 웨이퍼에 도포되는 경우에도, 중심부와 주변부 사이의 막 두께의 차가 작은 막(대표적으로, 투명막)을 형성할 수 있는 분산 조성물을 제공할 수 있다.By having the above structure, it has excellent dispersibility and dispersion stability and has a very high refractive index when produced as a curable composition described later, and a film having a small difference in film thickness between the central portion and the peripheral portion even when applied to a large size wafer. The dispersion composition which can form a (typically transparent film) can be provided.
<(A) 일차 입자지름이 1nm∼100nm인 무색 또는 투명한 금속 산화물 입자><(A) Colorless or transparent metal oxide particles having a primary particle diameter of 1 nm to 100 nm>
본 발명에 있어서, 무색 또는 투명한 금속 산화물 입자(A)는 고굴절률을 갖는 무색 또는 투명한 무기입자이고, 그 예는 티타늄(Ti), 지르코늄(Zr), 알루미늄(Al), 규소(Si), 아연(Zn) 또는 마그네슘(Mg)의 산화물 입자, 바람직하게는 이산화티타늄(TiO2) 입자, 이산화지르코늄(ZrO2) 입자 또는 이산화규소(SiO2) 입자를 포함하고, 이들 중에 이산화티타늄 입자(이하에, 간단히 "이산화티타늄"이라 함)가 바람직하다.In the present invention, the colorless or transparent metal oxide particles (A) are colorless or transparent inorganic particles having a high refractive index, for example, titanium (Ti), zirconium (Zr), aluminum (Al), silicon (Si), zinc Oxide particles of (Zn) or magnesium (Mg), preferably titanium dioxide (TiO 2 ) particles, zirconium dioxide (ZrO 2 ) particles or silicon dioxide (SiO 2 ) particles, among which titanium dioxide particles (hereinafter , Simply referred to as "titanium dioxide".
본 발명에 있어서, 무색 또는 투명한 이산화티타늄 입자는 화학식 TiO2으로 나타낼 수 있고, 순도 70% 이상이 바람직하고, 순도 80% 이상이 보다 바람직하고, 순도 85% 이상이 더욱 바람직하다. 일반식 TinO2n - 1(n은 2∼4의 수를 나타냄)으로 나타내는 낮은 차원의 산화티타늄, 산질화티타늄 등은 30질량% 이하가 바람직하고, 20질량% 이하가 보다 바람직하고, 15질량% 이하가 더욱 바람직하다.In the present invention, the colorless or transparent titanium dioxide particles can be represented by the formula TiO 2 , purity of 70% or more is preferable, purity of 80% or more is more preferable, purity of 85% or more is more preferable. General formula Ti n O 2n - 1 (n represents a number of 2 to 4) of the low-dimensional titanium oxide, titanium oxynitride, etc. are shown by no more than 30% by weight and preferably, and more preferably not more than 20% by mass, 15 The mass% or less is more preferable.
본 발명에 있어서, 금속 산화물 입자는 일차 입자지름이 1nm∼1OOnm이면 특별히 제한은 없고, 예를 들면 시판의 금속 산화물 입자로부터 적당히 선택하여 사용되어도 좋다.In the present invention, the metal oxide particles are not particularly limited as long as the primary particle diameter is 1 nm to 100 nm. For example, the metal oxide particles may be appropriately selected from commercially available metal oxide particles.
상기 금속 산화물 입자는 일차 입자지름이 1nm∼100nm이고, 1nm∼80nm가 바람직하고, 1nm∼50nm가 특히 바람직하다. 상기 금속 산화물 입자의 일차 입자지름이 1OOnm를 초과하면, 굴절률 및 투과율이 감소할 경우가 있다. 상기 지름이 1nm 미만인 경우, 응집에 의해 분산성이 감소할 경우가 있다.The metal oxide particles have a primary particle diameter of 1 nm to 100 nm, preferably 1 nm to 80 nm, and particularly preferably 1 nm to 50 nm. When the primary particle diameter of the said metal oxide particle exceeds 100 nm, refractive index and transmittance may fall. When the diameter is less than 1 nm, dispersibility may decrease due to aggregation.
본 발명에 있어서, 일차 입자지름의 지표로서 평균 입자지름을 사용할 수 있다. 본 발명에 있어서, 금속 산화물 입자의 평균 입자지름은 금속 산화물 입자를 포함하는 혼합액 또는 분산액을 프로필렌글리콜모노메틸에테르 아세테이트로 80배 희석하여 얻어진 희석액에 대하여 동적 광산란법을 사용하여 측정함으로써 얻어진 값을 말한다.In the present invention, the average particle diameter can be used as an index of the primary particle diameter. In the present invention, the average particle diameter of the metal oxide particles refers to a value obtained by measuring using a dynamic light scattering method with respect to a dilution obtained by diluting a mixed solution or dispersion containing metal oxide particles by 80 times with propylene glycol monomethyl ether acetate. .
이 측정은 NIKKISO Co., Ltd. 제작의 MICROTRAC UPA-EX150을 사용하여 측정함으로써 얻어진 수 평균 입자지름으로 산출한다.This measurement is NIKKISO Co., Ltd. It calculates with the number average particle diameter obtained by measuring using the produced MICROTRAC UPA-EX150.
본 발명에 있어서, 금속 산화물 입자의 굴절률은 특별히 제한은 없지만, 고굴절률을 얻는 관점에서 1.75∼2.70이 바람직하고, 1.90∼2.70이 보다 바람직하다.In the present invention, the refractive index of the metal oxide particles is not particularly limited, but from the viewpoint of obtaining a high refractive index, 1.75 to 2.70 are preferable, and 1.90 to 2.70 are more preferable.
금속 산화물 입자는 비표면적 10㎡/g∼400㎡/g이 바람직하고, 20㎡/g∼200㎡/g이 보다 바람직하고, 30㎡/g∼150㎡/g이 더욱 바람직하다.The specific surface area of the metal oxide particles is preferably 10 m 2 / g to 400 m 2 / g, more preferably 20 m 2 / g to 200 m 2 / g, and still more preferably 30 m 2 / g to 150 m 2 / g.
금속 산화물 입자의 형상은 특별히 제한은 없다. 예를 들면, 쌀알형, 구형, 입방체형, 스핀들형 또는 무정형이어도 좋다.The shape of the metal oxide particles is not particularly limited. For example, it may be a rice grain, a spherical form, a cube form, a spindle form, or an amorphous form.
본 발명에 있어서, 금속 산화물 입자는 유기 화합물로 표면처리된 것이어도 좋다. 표면처리에 사용되는 유기 화합물의 예는 폴리올, 알카놀아민, 스테아린산, 실란 커플링제 및 티타네이트 커플링제를 포함한다. 이들 중에, 실란 커플링제가 바람직하다.In the present invention, the metal oxide particles may be surface treated with an organic compound. Examples of organic compounds used for the surface treatment include polyols, alkanolamines, stearic acid, silane coupling agents and titanate coupling agents. Among these, a silane coupling agent is preferable.
표면처리는 1종 단독 표면처리제 또는 2종 이상의 표면처리제를 조합하여 행해도 좋다.Surface treatment may be performed in combination of 1 type of surface treatment agents, or 2 or more types of surface treatment agents.
금속 산화물 입자의 표면이 알루미늄, 규소 및 지르코니아 등의 산화물에 의해 덮어져 있는 것도 바람직하다. 이것에 의해, 내후성이 보다 향상된다.It is also preferable that the surface of the metal oxide particles is covered with oxides such as aluminum, silicon, and zirconia. Thereby, weather resistance improves more.
본 발명에 있어서 금속 산화물 입자로서 그것들의 시판품을 바람직하게 사용할 수 있다.In this invention, these commercial items can be used suitably as metal oxide particle.
이산화티타늄 입자의 시판품의 예는 ISHIHARA SANGYO KAISHA, LTD. 제작의 TTO 시리즈(TTO-51(A), TTO-51(C) 등), TTO-S 및 V 시리즈(TTO-S-1, TTO-S-2, TTO-V-3 등), TAYCA CORP. 제작의 MT 시리즈(MT-01, MT-05 등)를 포함한다.Examples of commercially available titanium dioxide particles include ISHIHARA SANGYO KAISHA, LTD. TTO Series (TTO-51 (A), TTO-51 (C), etc.), TTO-S and V Series (TTO-S-1, TTO-S-2, TTO-V-3, etc.), TAYCA CORP . It includes MT series (MT-01, MT-05, etc.) made.
이산화지르코늄 입자의 시판품의 예는 UEP(Daiichi Kigenso Kagaku Kogyo Ltd. 제작), PCS(NIPPON DENKO CO., LTD.), JS-01, JS-03 및 JS-04(NIPPON DENKO CO., LTD.), UEP-100(Daiichi Kigenso Kagaku Kogyo Ltd. 제작) 등을 포함한다.Examples of commercially available products of zirconium dioxide particles include UEP (manufactured by Daiichi Kigenso Kagaku Kogyo Ltd.), PCS (NIPPON DENKO CO., LTD.), JS-01, JS-03 and JS-04 (NIPPON DENKO CO., LTD.) And UEP-100 (manufactured by Daiichi Kigenso Kagaku Kogyo Ltd.).
이산화규소의 시판품의 예는 Clariant Co. 제작의 OG502-31 등을 포함한다.Examples of commercially available products of silicon dioxide include Clariant Co. OG502-31 of manufacture etc. are included.
본 발명에 있어서, 금속 산화물 입자는 1종 단독 또는 2종 이상을 조합하여 사용해도 좋다.In the present invention, the metal oxide particles may be used alone or in combination of two or more thereof.
본 발명의 분산 조성물(또는 후술하는 경화성 조성물)에 있어서 금속 산화물 입자의 함량은 분산 안정성의 관점에서 상기 분산 조성물 총 고형분에 대하여 10질량%∼90질량%가 바람직하고, 10질량%∼50질량%가 보다 바람직하고, 12질량% 및 40질량%가 더욱 바람직하고, 15질량%∼35질량%가 특히 바람직하다.(본 명세서에 있어서, 질량비는 중량비와 동등하다.)In the dispersion composition (or curable composition described later) of the present invention, the content of the metal oxide particles is preferably from 10% by mass to 90% by mass, and from 10% by mass to 50% by mass, based on the dispersion stability total solids. 12 mass% and 40 mass% are more preferable, and 15 mass%-35 mass% are especially preferable. (In this specification, mass ratio is equivalent to weight ratio.)
한편, 특히 고굴절률을 갖는 마이크로렌즈로서 함량은 상기 분산 조성물 총 고형분에 대하여 50∼90질량%가 바람직하고, 52∼85질량%가 보다 바람직하다.On the other hand, the content of the microlens having a high refractive index is particularly preferably 50 to 90% by mass and more preferably 52 to 85% by mass based on the total solid content of the dispersion composition.
<pKa 14 이하의 관능기를 갖는 기(X)를 갖는 반복단위 및 측쇄에 원자수 40∼10,000개의 올리고머쇄 또는 폴리머쇄(Y)를 갖고, 염기성 질소원자를 함유하는 수지(B1)><Resin (B1) having a basic nitrogen atom having an oligomer chain or a polymer chain (Y) having 40 to 10,000 atoms in atoms and a repeating unit having a group (X) having a functional group of pKa 14 or less>
본 명세서에 있어서, 염기성 질소원자는 염기성을 나타낸 질소원자이면 특별히 제한은 없지만, 수지(B1)가 pKb 14 이하의 질소원자를 갖는 구조를 함유하는 것이 바람직하고, pKb 10 이하의 질소원자를 갖는 구조를 함유하는 것이 보다 바람직하다.In the present specification, the basic nitrogen atom is not particularly limited as long as it is a basic nitrogen atom, but the resin (B1) preferably contains a structure having a nitrogen atom of pKb 14 or less, and has a structure having a nitrogen atom of pKb 10 or less. It is more preferable to contain.
본 발명에 있어서, 염기 강도(pKb)는 수온 25℃에서 pKb를 말하고, 염기의 강도를 정량적으로 나타내는 지표 중 하나이고, 염기성 정수와 동일하다. 염기 강도(pKb) 및 후술하는 산 강도(pKa)는 pKb=14-pKa의 관계를 갖는다.In the present invention, the base strength (pKb) refers to pKb at a water temperature of 25 ° C., which is one of the indicators that quantitatively indicates the strength of the base, and is the same as the basic constant. Base strength (pKb) and acid strength (pKa) described later have a relationship of pKb = 14-pKa.
pKa 14 이하의 관능기를 갖는 기(X)는 상기 수지(B)에 대해 후술하는 기(X)와 동일하다.Group (X) which has a functional group of pKa or less is the same as group (X) mentioned later with respect to the said resin (B).
상기 수지(B1)가 측쇄에 갖는 원자수 40∼10,O00개의 올리고머쇄 또는 폴리머쇄(Y)는 상기 수지(B)에 대해 후술하는 원자수 40∼10,000개의 올리고머쇄 또는 폴리머쇄(Y)와 동일하다.The oligomer chain or the polymer chain (Y) having 40 to 10,000,000 atoms in the side chain of the resin (B1) is composed of the oligomer chain or polymer chain (Y) having 40 to 10,000 atoms described later for the resin (B). same.
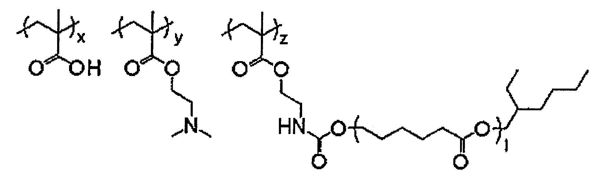
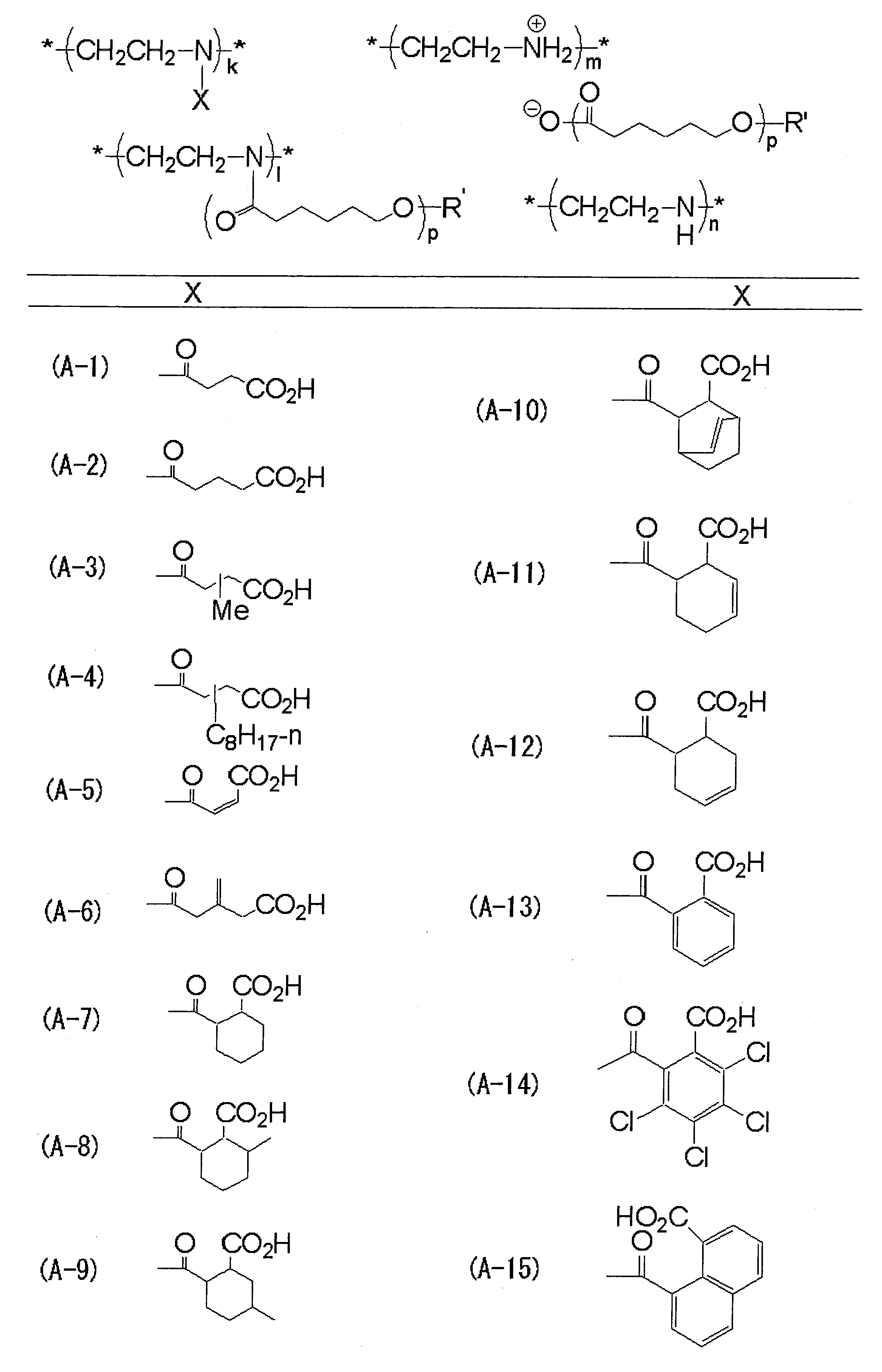
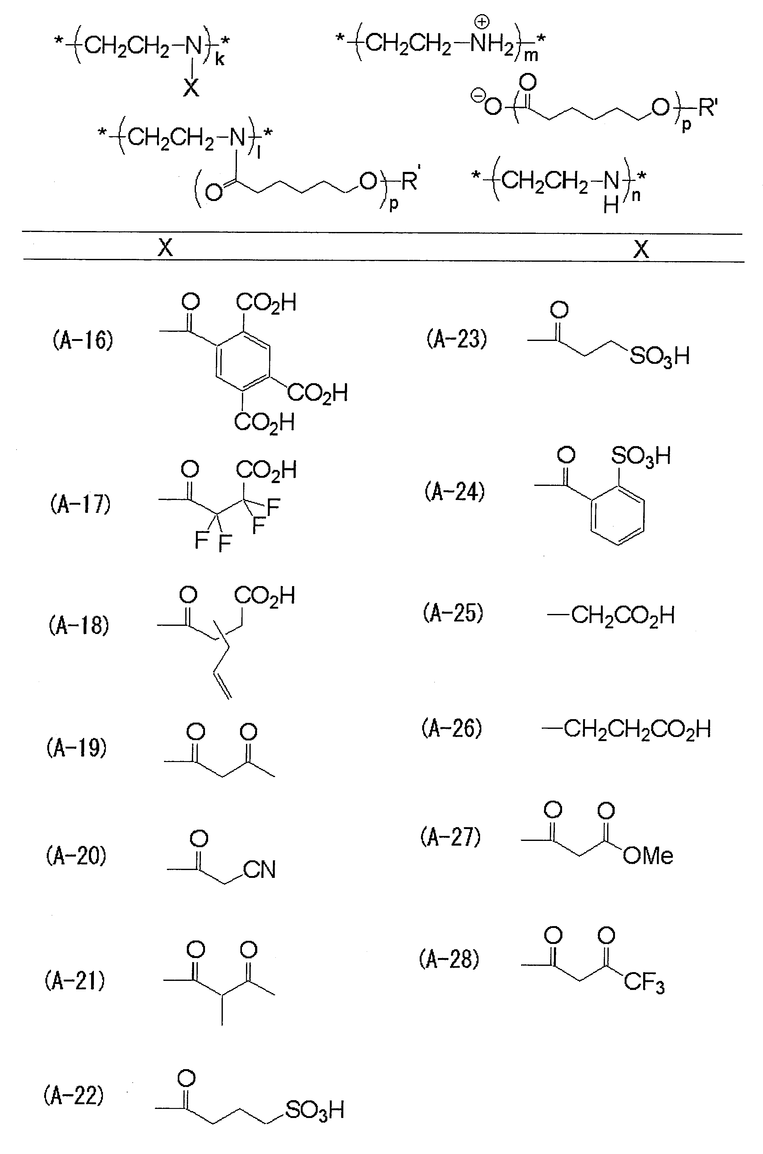
상기 수지(B1)의 예는 하기 식으로 나타내어지는 pKa 14 이하의 관능기를 갖는 기(X)를 갖는 반복단위, 하기 식으로 나타내어지는 염기성 질소원자를 갖는 반복단위, 및 하기 식으로 나타내어지는 원자수 40∼10,000개의 올리고머쇄 또는 폴리머쇄(Y)를 갖는 반복단위(이하의 반복단위의 구조의 좌측으로부터 순서대로 상응함)를 함유하는 수지를 포함한다.Examples of the resin (B1) include a repeating unit having a group (X) having a pKa 14 or less functional group represented by the following formula, a repeating unit having a basic nitrogen atom represented by the following formula, and the number of atoms represented by the following formula: Resins containing repeating units having 40 to 10,000 oligomer chains or polymer chains (Y) (corresponding in order from the left side of the structure of the repeating units below).
상기 식 중, x, y 및 z는 각각 반복단위의 중합 몰비를 나타내고, x는 5∼50, y는 5∼60, z는 10∼90인 것이 바람직하다. 1은 폴리에스테르쇄의 연결수를 나타내고, 원자수 40∼10,000개의 올리고머쇄 또는 폴리머쇄를 형성할 수 있는 정수이고, 70∼2,000개가 바람직하다.In said formula, x, y, and z represent the polymerization molar ratio of a repeating unit, respectively, It is preferable that x is 5-50, y is 5-60, and z is 10-90. 1 represents the number of connection of a polyester chain, it is an integer which can form the oligomer chain or a polymer chain of 40-10,000 atoms, and 70-2,000 pieces are preferable.
상기 수지(B1)는 상기 pKa 14 이하의 관능기를 갖는 기(X)에 결합하는 질소원자를 함유하는 반복단위, 측쇄에 원자수 40∼10,000개의 올리고머쇄 또는 폴리머쇄(Y)를 갖는 수지(B2)가 바람직하다.The resin (B1) is a repeating unit containing a nitrogen atom bonded to a group (X) having a functional group of pKa 14 or less, a resin having an oligomer chain or a polymer chain (Y) having 40 to 10,000 atoms in the side chain (B2). Is preferred.
상기 수지(B1)는 (i) 폴리(저급 알킬렌이민)계 반복단위, 폴리알릴아민계 반복단위, 폴리디알릴아민계 반복단위, 메타크실렌디아민-에피클로로히드린 중축합물계 반복단위 및 폴리비닐아민계 반복단위로부터 선택되고 질소원자를 함유하는 적어도 하나의 반복단위로서, pKa 14 이하의 관능기를 갖고 질소원자에 결합하는 기(X)를 갖는 반복단위, 및 (ii) 측쇄에 원자수 40∼10,000개의 올리고머쇄 또는 폴리머쇄(Y)를 갖는 수지(B)(이하에, 적절히 "특정 수지"라고 함)가 특히 바람직하다.The resin (B1) comprises (i) a poly (lower alkyleneimine) repeating unit, a polyallylamine repeating unit, a polydiallylamine repeating unit, a metha xylenediamine-epichlorohydrin polycondensate repeating unit and a poly At least one repeating unit selected from a vinylamine repeating unit and containing a nitrogen atom, the repeating unit having a functional group of pKa 14 or less and having a group (X) bonded to a nitrogen atom, and (ii) 40 atoms in the side chain. Particularly preferred is a resin (B) having ˜10,000 oligomer chains or polymer chains (Y) (hereinafter, appropriately referred to as “specific resin”).
((i) 폴리(저급 알킬렌이민)계 반복단위, 폴리알릴아민계 반복단위, 폴리디알릴아민계 반복단위, 메타크실렌디아민-에피클로로히드린 중축합물계 반복단위 및 폴리비닐아민계 반복단위로부터 선택되고 질소원자를 함유하는 적어도 하나의 반복단위)((i) poly (lower alkyleneimine) -based repeating units, polyallylamine-based repeating units, polydiallylamine-based repeating units, metha xylenediamine-epichlorohydrin polycondensate-based repeating units and polyvinylamine-based repeating units At least one repeating unit selected from and containing nitrogen atoms)
본 발명에 있어서, 특정 수지는 (i) 폴리(저급 알킬렌이민)계 반복단위, 폴리알릴아민 반복단위, 폴리디알릴아민계 반복단위, 메타크실렌디아민-에피클로로히드린 중축합물계 반복단위 및 폴리비닐아민계 반복단위로부터 선택되고 질소원자를 함유하는 적어도 하나의 반복단위를 갖는다. 따라서, 상기 금속 산화물 입자(A)의 표면에 대한 흡착력이 향상되고, 상기 금속 산화물 입자 사이의 상호작용을 감소시킬 수 있다.In the present invention, the specific resin includes (i) a poly (lower alkyleneimine) repeating unit, a polyallylamine repeating unit, a polydiallylamine repeating unit, a metaxylenediamine-epichlorohydrin polycondensate repeating unit and It has at least one repeating unit which is selected from a polyvinylamine type repeating unit and contains a nitrogen atom. Therefore, the adsorption force on the surface of the metal oxide particles (A) is improved, it is possible to reduce the interaction between the metal oxide particles.
상기 폴리(저급 알킬렌이민)은 쇄상 또는 메쉬상이어도 좋다.The poly (lower alkyleneimine) may be in the form of a chain or a mesh.
(i) 폴리(저급 알킬렌이민)계 반복단위, 폴리알릴아민계 반복단위, 폴리디알릴아민계 반복단위, 메타크실렌디아민-에피클로로히드린 중축합물계 반복단위 및 폴리비닐아민계 반복단위로부터 선택되고 질소원자를 함유하는 적어도 하나의 반복단위를 중합하여 얻어지는 주쇄의 수 평균 분자량, 즉 수지(B)로부터 측쇄의 상기 올리고머쇄 또는 폴리머쇄(Y) 부분을 제외한 부분의 수 평균 분자량은 100∼10,000이 바람직하고, 보다 바람직하게는 200∼5,000, 더욱 바람직하게는 300∼2,000이다. 주쇄부의 수 평균 분자량은 핵자기 공명 분광법으로 측정한 말단기와 주쇄부의 수소원자 적분값의 비율로부터 구할 수 있고, 또는 원료로서 아미노기를 함유하는 올리고머 또는 폴리머의 분자량의 측정에 의해 구할 수 있다.(i) from poly (lower alkyleneimine) repeating units, polyallylamine repeating units, polydiallylamine repeating units, metaxylenediamine-epichlorohydrin polycondensation repeating units and polyvinylamine repeating units The number average molecular weight of the main chain selected and obtained by polymerizing at least one repeating unit containing a nitrogen atom, that is, the number average molecular weight of the portion excluding the oligomer chain or polymer chain (Y) portion of the side chain from the resin (B) is from 100 to 10,000 is preferable, More preferably, it is 200-5,000, More preferably, it is 300-2,000. The number average molecular weight of a main chain part can be calculated | required from the ratio of the hydrogen atom integral value of the terminal group and a main chain part measured by nuclear magnetic resonance spectroscopy, or can be calculated | required by the measurement of the molecular weight of the oligomer or polymer containing an amino group as a raw material.
질소원자를 함유하는 반복단위(i)는 폴리(저급 알킬렌이민)계 반복단위 또는 폴리알릴아민계 반복단위가 특히 바람직하다. 한편, 본 발명에 있어서, 상기 폴리(저급 알킬렌이민)에 사용되는 "저급"은 탄소원자수 1∼5개를 나타내고, 상기 저급 알킬렌이민은 탄소원자수 1∼5개의 알킬렌이민을 나타낸다. 이 구조를 명시하면, 본 발명의 특정 수지는 일반식(I-1)으로 나타내어지는 반복단위 및 일반식(I-2)으로 나타내어지는 반복단위를 갖는 구조, 또는 일반식(II-1)으로 나타내어지는 반복단위 및 일반식(II-2)으로 나타내어지는 반복단위를 갖는 구조를 포함하는 것이 바람직하다.The repeating unit (i) containing a nitrogen atom is particularly preferably a poly (lower alkyleneimine) repeating unit or a polyallylamine repeating unit. In the present invention, "lower" used for the poly (lower alkyleneimine) represents 1 to 5 carbon atoms, and the lower alkyleneimine represents alkyleneimine having 1 to 5 carbon atoms. When this structure is specified, the specific resin of this invention is a structure which has a repeating unit represented by general formula (I-1), and a repeating unit represented by general formula (I-2), or general formula (II-1). It is preferable to include the structure which has a repeating unit represented and a repeating unit represented by general formula (II-2).
(일반식(I-1)으로 나타내어지는 반복단위 및 일반식(I-2)으로 나타내어지는 반복단위)(A repeating unit represented by the general formula (I-1) and a repeating unit represented by the general formula (I-2)
본 발명의 특정 수지의 바람직한 구성 성분으로서 일반식(I-1)으로 나타내어지는 반복단위 및 일반식(I-2)으로 나타내어지는 반복단위를 상세하게 설명한다.As a preferable structural component of specific resin of this invention, the repeating unit represented by general formula (I-1) and the repeating unit represented by general formula (I-2) are demonstrated in detail.
상기 일반식(I-1) 및 (I-2) 중,In the general formulas (I-1) and (I-2),
R1 및 R2는 각각 독립적으로 수소원자, 할로겐 원자 또는 알킬기를 나타낸다. a는 각각 독립적으로 1∼5의 정수를 나타낸다. *는 반복단위 사이의 연결부를 나타낸다.R 1 and R 2 each independently represent a hydrogen atom, a halogen atom or an alkyl group. a respectively independently represents the integer of 1-5. * Represents a connection between repeating units.
X는 pKa 14 이하의 관능기를 갖는 기를 나타낸다.X represents a group having a functional group having a pKa of 14 or less.
Y는 원자수 40∼10,000개의 올리고머쇄 또는 폴리머쇄를 나타낸다.Y represents an oligomer chain or polymer chain having 40 to 10,000 atoms.
본 발명의 특정 수지는 일반식(I-1) 또는 일반식(I-2)으로 나타내어지는 반복단위 이외에, 일반식(I-3)으로 나타내어지는 반복단위를 중합 성분으로서 갖는 것이 바람직하다. 이 수지가 상기 금속 산화물 입자(A)의 분산제로서 사용되는 경우, 이들 반복단위를 조합하여 사용함으로써 분산 성능은 더 향상된다.It is preferable that specific resin of this invention has a repeating unit represented by general formula (I-3) as a polymerization component other than the repeating unit represented by general formula (I-1) or general formula (I-2). When this resin is used as a dispersing agent of the said metal oxide particle (A), dispersion performance improves further by using these repeating units in combination.
상기 일반식(I-3) 중,In said general formula (I-3),
*, R1, R2 및 a는 일반식(I-1)과 동일하다.*, R 1 , R 2 and a are the same as in the general formula (I-1).
Y'는 음이온기를 갖는 원자수 40∼10,000개의 올리고머쇄 또는 폴리머쇄를 나타낸다.Y 'represents an oligomer chain or a polymer chain having 40 to 10,000 atoms having an anion group.
일반식(I-3)으로 나타내어지는 반복단위는 그 주쇄부에 일차 또는 이차 아미노기를 갖는 수지에 아민과 반응하여 염을 형성하는 기를 갖는 올리고머 또는 폴리머를 첨가하여 반응함으로써 형성되는 것이 가능하다. 여기서, 상기 음이온기로서, CO2 - 또는 SO3 -가 바람직하고, CO2 -가 더욱 바람직하다. 상기 음이온기는 Y'를 갖는 올리고머쇄 도는 폴리머쇄의 말단에 존재하는 것이 바람직하다.The repeating unit represented by the general formula (I-3) can be formed by adding an oligomer or a polymer having a group which reacts with an amine to form a salt to the resin having a primary or secondary amino group in the main chain portion thereof. Here, as the anion group, CO 2 - or SO 3 - is preferable, and CO 2 − is more preferable. The anionic group is preferably present at the end of the oligomer chain or polymer chain having Y '.
일반식(I-1), 일반식(I-2) 및 일반식(I-3) 중, R1 및 R2는 수소원자인 것이 특히 바람직하다. a는 원료 입수의 관점에서 2인 것이 바람직하다.In general formula (I-1), general formula (I-2), and general formula (I-3), it is especially preferable that R <1> and R <2> are hydrogen atoms. a is preferably 2 from the viewpoint of raw material availability.
본 발명의 특정 수지는 일반식(I-1), 일반식(I-2) 및 일반식(I-3)으로 나타내어지는 반복단위 이외에, 반복단위로서 일차 또는 삼차 아미노기를 함유하는 저급 알킬렌이민을 포함해도 좋다. 상기 저급 알킬렌이민은 탄소원자 1∼5개를 갖는 알킬렌이민을 나타낸다. 상기 특정 수지는 이러한 저급 알킬렌이민 반복단위를 함유해도 함유하지 않아도 좋지만, 상기 특정 수지가 저급 알킬렌이민 반복단위를 함유하는 경우에 상기 저급 알킬렌이민 반복단위는 상기 특정 수지에 포함되는 총 반복단위에 대하여 1몰%∼60몰%를 함유하는 것이 바람직하고, 3몰%∼40몰%가 보다 바람직하다. 한편, 이러한 저급 알킬렌이민 반복단위의 질소원자에 X, Y 또는 Y'으로 나타내어지는 기가 결합되어도 좋다. 이러한 주쇄 구조에 결합된 X로 나타내어지는 기를 갖는 반복단위 및 이러한 주쇄 구조에 결합된 Y를 갖는 반복단위 모두를 포함하는 수지도 본 발명의 특정 수지에 포함된다.Specific resins of the present invention are lower alkyleneimines containing primary or tertiary amino groups as repeating units, in addition to repeating units represented by formulas (I-1), (I-2) and (I-3). It may include. The lower alkyleneimine represents an alkyleneimine having 1 to 5 carbon atoms. The specific resin may or may not contain such a lower alkyleneimine repeating unit, but when the specific resin contains a lower alkyleneimine repeating unit, the lower alkyleneimine repeating unit is a total repeat included in the specific resin. It is preferable to contain 1 mol%-60 mol% with respect to a unit, and 3 mol%-40 mol% are more preferable. On the other hand, the group represented by X, Y or Y 'may be bonded to the nitrogen atom of such a lower alkyleneimine repeating unit. Resin containing both a repeating unit having a group represented by X bonded to such a main chain structure and a repeating unit having Y bonded to such a main chain structure is also included in the specific resin of the present invention.
일반식(I-1)으로 나타내어지는 반복단위는 pKa 14 이하의 관능기를 갖는 기(X)가 결합된 질소원자를 함유하는 반복단위이고, 상기 질소원자를 함유하는 반복단위는 보존 안정성 및 현상성의 관점에서 본 발명의 수지에 포함되는 총 반복단위에 대하여 1몰%∼80몰%의 양을 함유하는 것이 바람직하고, 3몰%∼50몰%의 양이 더욱 바람직하다.The repeating unit represented by the general formula (I-1) is a repeating unit containing a nitrogen atom bonded to a group (X) having a functional group of pKa 14 or less, and the repeating unit containing the nitrogen atom has a storage stability and developability. It is preferable to contain the quantity of 1 mol%-80 mol% with respect to the total repeating unit contained in resin of this invention from a viewpoint, and the quantity of 3 mol%-50 mol% is more preferable.
일반식(I-2)으로 나타내어지는 반복단위는 원자수 40∼10,000개의 올리고머쇄 또는 폴리머쇄를 갖는 반복단위이고, 상기 반복단위는 보존 안정성의 관점에서 본 발명의 수지의 총 반복단위에 대하여 10몰%∼90몰%의 양을 함유하는 것이 바람직하고, 30몰%∼70몰%의 양이 더욱 바람직하다.The repeating unit represented by General Formula (I-2) is a repeating unit having an oligomer chain or a polymer chain having 40 to 10,000 atoms, and the repeating unit is 10 to the total repeating unit of the resin of the present invention in view of storage stability. It is preferable to contain the quantity of mol%-90 mol%, and the amount of 30 mol%-70 mol% is more preferable.
둘 모두의 함량비를 검토함으로써, 반복단위(I-1):(I-2)이 몰비는 분산 안정성 및 친수성과 소수성의 밸런스의 관점에서 10:1∼1:100의 범위가 바람직하고, 1:1∼1:10의 범위가 보다 바람직하다.By reviewing the content ratio of both, the molar ratio of repeating unit (I-1) :( I-2) is preferably in the range of 10: 1 to 1: 100 in view of dispersion stability and balance of hydrophilicity and hydrophobicity, and 1 The range of: 1 to 1:10 is more preferable.
한편, 소망에 의해 조합하여 사용되는 일반식(I-3)으로 나타내어지는 반복단위는 원자수 40∼10,000개의 올리고머쇄 또는 폴리머쇄을 포함하는 부분 구조가 주쇄의 질소원자에 이온적으로 결합되어 있고, 효과의 관점에서 본 발명의 수지의 총 반복단위에 대하여 0.5몰∼20몰%의 양을 함유하는 것이 바람직하고, 1몰%∼10몰%의 양이 더욱 바람직하다.On the other hand, the repeating unit represented by the general formula (I-3) used in combination as desired has a partial structure containing an oligomer chain or a polymer chain having 40 to 10,000 atoms, and is ionically bonded to the nitrogen atom of the main chain, It is preferable to contain the quantity of 0.5 mol-20 mol% with respect to the total repeating unit of the resin of this invention from a viewpoint of an effect, and the quantity of 1 mol% -10 mol% is more preferable.
한편, 상기 폴리머쇄(Y)의 이온결합은 적외선 분광법 또는 염기적정에 의해 확인할 수 있다.On the other hand, the ion bond of the polymer chain (Y) can be confirmed by infrared spectroscopy or basic titration.
(일반식(II-1)으로 나타내어지는 반복단위 및 일반식(II-2)으로 나타내지는 반복단위)(Repeating unit represented by general formula (II-1) and repeating unit represented by general formula (II-2))
본 발명의 특정 수지의 다른 바람직한 구성 성분으로서 일반식(II-1)으로 나타내어지는 반복단위 및 일반식(II-2)으로 나타내어지는 반복단위를 상세하게 설명한다.As another preferable structural component of specific resin of this invention, the repeating unit represented by general formula (II-1) and the repeating unit represented by general formula (II-2) are demonstrated in detail.
일반식(II-1) 및 (II-2) 중,In general formula (II-1) and (II-2),
R3, R4, R5 및 R6은 각각 독립적으로 수소원자, 할로겐 원자 및 알킬기를 나타낸다. *, X 및 Y는 일반식(I-1) 및 (I-2) 중에 *, X 및 Y와 동일하다.R 3 , R 4 , R 5 and R 6 each independently represent a hydrogen atom, a halogen atom and an alkyl group. *, X and Y are the same as *, X and Y in general formula (I-1) and (I-2).
본 발명에 있어서, 수지는 일반식(II-1)으로 나타내어지는 반복단위 및 일반식(II-2)으로 나타내어지는 반복단위 이외에, 일반식(II-3)으로 나타내어지는 반복단위를 중합 성분으로서 포함하는 것이 바람직하다. 상기 수지가 상기 금속 산화물 입자(A)의 분산제로서 사용되는 경우, 이들 반복단위를 조합함으로써 분산 성능이 향상된다.In the present invention, the resin includes a repeating unit represented by the general formula (II-3) as the polymerization component, in addition to the repeating unit represented by the general formula (II-1) and the repeating unit represented by the general formula (II-2). It is preferable to include. When the said resin is used as a dispersing agent of the said metal oxide particle (A), dispersion performance improves by combining these repeating units.
일반식(II-3) 중, *, R3, R4, R5 및 R6은 일반식(II-1)과 동일하다. Y'는 일반식(I-3) 중에 Y'과 동일하다.In the general formula (II-3), *, R 3 , R 4 , R 5 and R 6 are the same as in the general formula (II-1). Y 'is the same as Y' in general formula (I-3).
일반식(II-1), (II-2) 및 (II-3) 중에, R3, R4, R5 및 R6은 원료의 입수성의 관점에서 수소원자가 바람직하다.In general formula (II-1), (II-2), and (II-3), R <3> , R <4> , R <5> and R <6> have a hydrogen atom from a viewpoint of the availability of a raw material.
일반식(II-1)은 pKa 14 이하의 관능기를 함유하는 기(X)가 결합된 질소원자를 함유하는 반복단위이고, 이러한 질소원자를 함유하는 반복단위는 보존 안정성 및 현상성의 관점에서, 본 발명의 수지에 포함되는 총 반복단위에 대하여 1몰%∼80몰%의 양을 함유하는 것이 바람직하고, 3몰%∼50몰%의 양이 가장 바람직하다.General formula (II-1) is a repeating unit containing the nitrogen atom to which the group (X) containing the functional group of pKa 14 or less is couple | bonded, The repeating unit containing this nitrogen atom is seen from a viewpoint of storage stability and developability, It is preferable to contain the quantity of 1 mol%-80 mol% with respect to the total repeating unit contained in resin of this invention, and the quantity of 3 mol%-50 mol% is the most preferable.
일반식(II-2)은 원자수 40∼10,000개의 올리고머쇄 또는 폴리머쇄(Y)를 갖는 반복단위이고, 상기 반복단위는 보존 안정성의 관점에서 본 발명의 수지의 총 반복단위에 대하여 10몰%∼90몰%의 양을 함유하는 것이 바람직하고, 30몰%∼70몰%의 양이 바람직하다.General formula (II-2) is a repeating unit which has the oligomer chain or the polymer chain (Y) of 40-10,000 atoms, and the said repeating unit is 10 mol% with respect to the total repeating unit of the resin of this invention from a storage stability point of view. It is preferable to contain the quantity of -90 mol%, and the quantity of 30 mol%-70 mol% is preferable.
둘 모두의 함량비를 검토함으로써, 반복단위의 몰비(II-1):(II-2)는 분산 안정성 및 친수성과 소수성의 밸런스의 관점에서 10:1∼1:100의 범위가 바람직하고, 1:1∼1:10의 범위가 보다 바람직하다.By examining both content ratios, the molar ratio (II-1) :( II-2) of the repeating unit is preferably in the range of 10: 1 to 1: 100 in view of dispersion stability and balance of hydrophilicity and hydrophobicity, and 1 The range of: 1 to 1:10 is more preferable.
소망에 의해 조합하여 사용되는 일반식(II-3)으로 나타내어지는 반복단위는 본 발명의 수지의 총 반복단위에 대하여 0.5몰%∼20몰%의 양을 함유하는 것이 바람직하고, 1몰%∼10몰%의 양이 가장 바람직하다.It is preferable that the repeating unit represented by general formula (II-3) used by combining as desired contains the quantity of 0.5 mol%-20 mol% with respect to the total repeating unit of resin of this invention, and it is 1 mol%- Most preferred is an amount of 10 mol%.
본 발명의 특정 수지에 있어서, 분산성의 관점에서 일반식(I-1)으로 나타내어지는 반복단위와 일반식(I-2)으로 나타내어지는 반복단위 둘 모두를 포함하는 것이 가장 바람직하다.In the specific resin of the present invention, it is most preferable to include both the repeating unit represented by the general formula (I-1) and the repeating unit represented by the general formula (I-2) in view of dispersibility.
<pKa 14 이하의 관능기를 갖는 기(X)><group (X) having a functional group of pKa 14 or less>
X는 수온 25℃에서의 pKa 14 이하인 관능기를 갖는다. 본 명세서에서 언급한 "pKa"는 Chemical Handbook(II)(개정 제 4 판, 1993년, THe Chemical Society of Japan, Maruzen Co., Ltd. 제작)에 기재되어 있다.X has a functional group which is pKa14 or less in water temperature of 25 degreeC. "PKa" referred to herein is described in Chemical Handbook (II) (Rev. 4, 1993, manufactured by THe Chemical Society of Japan, Maruzen Co., Ltd.).
"pKa 14 이하의 관능기"는 그 물성이 이 조건을 만족시키는 것이면 구조 등은 특별히 한정되지 않고, 그 예는 상술한 범위의 pKa를 갖는 공지의 관능기를 포함하지만 pKa 12 이하인 관능기가 특히 바람직하고, pKa 11 이하인 관능기가 가장 바람직하다. 구체적으로, 그 예는 카르복실산(pKa 3∼5 정도), 술폰산(pKa -3∼-2정도), -COCH2CO-(pKa 8∼10 정도), -COCH2CN(pKa 8∼11 정도), -CONHCO-, 페놀성 히드록실기, -RFCH2OH 또는 -(RF)2CHOH(RF는 퍼플루오로알킬기를 나타낸다. pKa 9∼11 정도), 술폰아미드기(pKa 9∼11 정도) 등을 포함하고, 특히 바람직하게는 카르복실산(pKa 3∼5 정도), 술폰산(pKa -3∼-2 정도) 및 -COCH2CO-(pKa 8∼10 정도)이다."PKa 14 or less functional group" is not particularly limited in structure and the like as long as its physical properties satisfy this condition, and examples thereof include known functional groups having a pKa in the above-mentioned range, but a functional group having a pKa 12 or less is particularly preferable, Most preferable are functional groups of pKa11 or less. Specifically, examples include carboxylic acid (pKa 3-5), sulfonic acid (pKa-3-3), -COCH 2 CO- (pKa 8-10), -COCH 2 CN (pKa 8-11). Degree), -CONHCO-, phenolic hydroxyl group, -R F CH 2 OH or-(RF) 2 CHOH (R F represents a perfluoroalkyl group. PKa 9 to 11), sulfonamide group (pKa 9 ˜11) and the like, and particularly preferably carboxylic acid (about pKa 3 to 5), sulfonic acid (about pKa -3 to -2), and -COCH 2 CO- (about pKa about 8 to 10).
상기 기(X)가 갖는 관능기의 pKa가 14 이하임으로써, 상기 금속 산화물 입자(A)와의 상호작용을 달성할 수 있다.When pKa of the functional group which the said group (X) has is 14 or less, interaction with the said metal oxide particle (A) can be achieved.
상기 pKa 14 이하의 관능기를 갖는 기(X)는 상기 질소원자를 함유하는 반복단위에 질소원자에 직접 결합하는 것이 바람직하지만, 상기 질소원자를 함유하는 반복단위의 질소원자와 X는 공유결합 또는 이온결합을 통해서 결합하여 염을 형성하는 것이어도 좋다.The group (X) having a pKa or less functional group is preferably bonded directly to the nitrogen atom in the repeating unit containing the nitrogen atom, but the nitrogen atom and X in the repeating unit containing the nitrogen atom are covalently bonded or ionized. It may combine with a bond and form a salt.
본 발명에 있어서 pKa 14 이하의 관능기를 함유하는 기(X)는 일반식(V-1), 일반식(V-2) 또는 일반식(V-3)으로 나타내어지는 구조를 갖는 것이 특히 바람직하다.In this invention, it is especially preferable that group (X) containing a functional group of pKa14 or less has a structure represented by general formula (V-1), general formula (V-2), or general formula (V-3). .
일반식(V-1) 및 일반식(V-2) 중,In general formula (V-1) and general formula (V-2),
U는 단일결합 또는 2가의 연결기를 나타낸다.U represents a single bond or a divalent linking group.
d 및 e는 각각 독립적으로 O 또는 1을 나타낸다.d and e each independently represent O or 1;
일반식(V-3) 중, Q는 아실기 또는 알콕시카르보닐기를 나타낸다.In the general formula (V-3), Q represents an acyl group or an alkoxycarbonyl group.
U로 나타내어지는 2가의 연결기의 예는 알킬렌(보다 구체적으로, 예를 들면 -CH2-, -CH2CH2-, -CH2CHMe-, -(CH2)5-, -CH2CH(n-C10H21) 등), 산소 함유 알킬렌(보다 구체적으로, 예를 들면 -CH2OCH2-, -CH2CH2OCH2CH2 등), 아릴렌기(예를 들면, 페닐렌, 톨릴렌, 비페닐렌, 나프틸렌, 푸라닐렌, 피롤릴렌 등), 알킬렌옥시(예를 들면, 에틸렌옥시, 프로필렌옥시, 페닐렌옥시 등) 등을 포함하지만, 탄소원자 1∼30개의 알킬렌기 또는 탄소원자 6∼20개의 아릴렌기가 바람직하고, 탄소원자 1∼20개의 알킬렌 또는 탄소원자 6∼15개의 아릴렌기가 가장 바람직하다. 생산성의 관점에서, d는 1이 바람직하고, e는 O이 바람직하다.Examples of the divalent linking group represented by U include alkylene (more specifically, for example, —CH 2 —, —CH 2 CH 2 —, —CH 2 CHMe—, — (CH 2 ) 5 —, —CH 2 CH (nC 10 H 21 ), etc.), oxygen-containing alkylene (more specifically, -CH 2 OCH 2- , -CH 2 CH 2 OCH 2 CH 2, etc.), an arylene group (eg, phenylene, Tolylene, biphenylene, naphthylene, furanylene, pyrroylene, etc.), alkyleneoxy (for example, ethyleneoxy, propyleneoxy, phenyleneoxy, etc.), and the like, but alkylene groups having 1 to 30 carbon atoms Or arylene groups having 6 to 20 carbon atoms are preferred, and arylene groups having 1 to 20 carbon atoms or arylene groups having 6 to 15 carbon atoms are most preferred. From the viewpoint of productivity, d is preferably 1, and e is preferably O.
Q는 아실기 또는 알콕시카르보닐기를 나타낸다. Q에 있어서 아실기로서, 탄소원자 1∼30개의 아실기(예를 들면, 포르밀, 아세틸, n-프로파노일, 벤조일 등)가 바람직하고, 아세틸이 특히 바람직하다. Q에 있어서 알콕시카르보닐기로서, 탄소원자 2∼30개의 알콕시카르보닐기(예를 들면, 메톡시카르보닐기, 에톡시카르보닐기, n-프로폭시카르보닐기 등)가 바람직하다. Q로서, 아실기가 특히 바람직하고, 아세틸기가 제조 용이성 및 원료(X의 전구체 X') 입수성의 관점에서 바람직하다.Q represents an acyl group or an alkoxycarbonyl group. As the acyl group in Q, acyl groups having 1 to 30 carbon atoms (for example, formyl, acetyl, n-propanoyl, benzoyl, etc.) are preferable, and acetyl is particularly preferable. As Q, the alkoxycarbonyl group having 2 to 30 carbon atoms (for example, methoxycarbonyl group, ethoxycarbonyl group, n-propoxycarbonyl group, etc.) is preferable. As Q, an acyl group is especially preferable, and an acetyl group is preferable from a viewpoint of ease of manufacture and availability of a raw material (precursor X 'of X).
본 발명에 있어서 기(X)는 질소원자를 함유하는 반복단위의 질소원자와 결합하는 것이 바람직하다. 따라서, 상기 금속 산화물 입자(A)의 분산성 및 분산 안정성이 급격하게 향상된다. 이 이유는 명백하지 않지만, 이하와 같다고 생각된다. 즉, 질소원자를 함유하는 반복단위의 상기 질소원자는 아미노기, 암모늄기 또는 아미드기의 구조에 존재하고, 상기 기는 상기 금속 산화물 입자(A)의 표면에 산성부와 수소결합 및 이온결합 등의 상호작용에 의해 흡착되어 있다고 생각된다. 또한, 본 발명에 있어서 X는 산성기로서 기능하므로, 상기 금속 산화물 입자(A)의 염기성부(상기 금속 산화물 입자가 염기성을 나타냄) 또는 금속 원자(TiO2의 Ti 등)와 상호작용할 수 있다. 즉, 본 발명의 특정 수지는 상기 질소원자와 기(X)로 상기 금속 산화물 입자(A)의 염기성부와 산성부 둘 모두를 흡착할 수 있으므로, 흡착능이 증가하여 분산성 및 보존 안정성이 급격하게 향상된다고 생각된다.In the present invention, group (X) is preferably bonded to a nitrogen atom of a repeating unit containing a nitrogen atom. Therefore, the dispersibility and dispersion stability of the said metal oxide particle (A) improve rapidly. Although this reason is not clear, it is thought that it is as follows. That is, the nitrogen atom of the repeating unit containing a nitrogen atom is present in the structure of an amino group, an ammonium group or an amide group, and the group is used to interact with an acidic moiety and a hydrogen bond or an ionic bond on the surface of the metal oxide particle (A). It is thought that it is adsorbed by. In addition, in the present invention, since X functions as an acidic group, it is possible to interact with a basic portion of the metal oxide particles (A) (the metal oxide particles exhibit basicity) or a metal atom (such as Ti of TiO 2 ). That is, the specific resin of the present invention can adsorb both the basic and acidic portions of the metal oxide particles (A) with the nitrogen atom and the group (X), so that the adsorption capacity is increased and the dispersibility and storage stability are rapidly increased. I think it improves.
본 발명에 있어서 X는 용매 용해성을 부여하여 경시로 침전되는 수지를 억제함으로써, 분산 안정성에 기여한다고 생각된다.In this invention, it is thought that X contributes to dispersion stability by providing solvent solubility and suppressing resin precipitated with time.
상기 기(X)는 거기에 부분 구조로서 pKa 14 이하의 관능기를 포함함으로써, 알칼리 가용성기로서 기능한다. 따라서, 이 수지를 경화성 조성물 등에 사용하여 도포막에 에너지를 부여하고 부분적으로 경화시키고, 미노광부를 용해하여 제거하고 패턴을 형성하는데 사용되는 경우, 상기 미경화 영역의 알칼리 현상액에의 현상성은 향상되고 분산성, 분산 안정성 및 현상성을 달성할 수 있다고 생각된다.The group (X) functions as an alkali-soluble group by including a functional group of pKa 14 or less as a partial structure therein. Therefore, when this resin is used to impart energy to the coating film and to partially cure the resin using a curable composition or the like, to dissolve and remove the unexposed portions, and to form a pattern, the developability of the uncured region to the alkaline developer is improved. It is thought that dispersibility, dispersion stability, and developability can be achieved.
X의 pKa 14 이하의 관능기의 함량은 특별히 제한되지 않지만, 본 발명의 특정 수지 1g에 대하여 0.01mmol∼5mmol이 바람직하고, 0.05mmol∼1mmol이 가장 바람직하다. 이 범위내에서 상기 금속 산화물 입자(A)의 분산성 및 분산 안정성이 향상되고, 상기 수지가 경화성 조성물에 사용되는 경우에 상기 미경화부의 현상성은 우수해진다. 산가의 관점에서, 상기 관능기는 본 발명의 특정 수지를 패턴 형성성을 갖는 경화성 조성물에 사용했을 때에 현상성의 관점에서 상기 특정 수지의 산가가 5mgKOH/g∼50mgKOH/g가 되는 양을 함유하는 것이 바람직하다.Although the content of the functional group of pKa 14 or less of X is not specifically limited, 0.01 mmol-5 mmol are preferable with respect to 1 g of specific resin of this invention, and 0.05 mmol-1 mmol are the most preferable. The dispersibility and dispersion stability of the said metal oxide particle (A) improve in this range, and developability of the said unhardened part becomes excellent when the said resin is used for a curable composition. From the viewpoint of the acid value, the functional group preferably contains an amount such that the acid value of the specific resin is 5 mgKOH / g to 50 mgKOH / g from the viewpoint of developability when the specific resin of the present invention is used in a curable composition having pattern formability. Do.
(원자수 40∼10,000의 올리고머쇄 또는 폴리머쇄(Y))(Oligomer chain or polymer chain (Y) having 40 to 10,000 atoms)
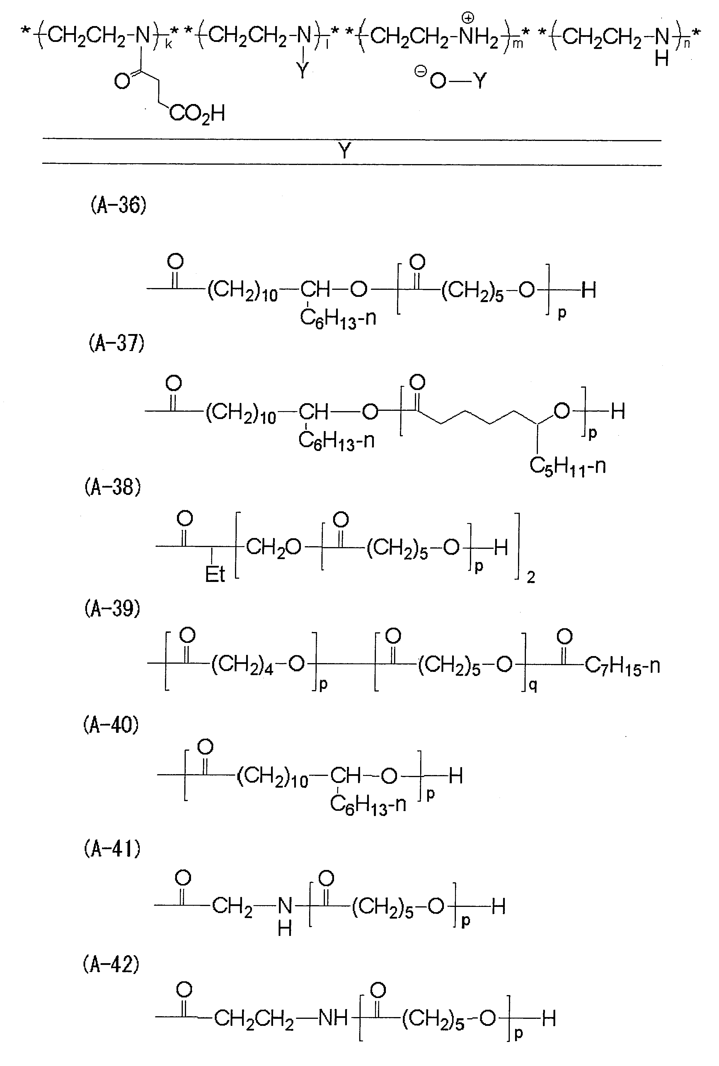
Y의 예는 특정 수지의 주쇄부와 연결할 수 있는 폴리에스테르, 폴리아미드, 폴리이미드 및 폴리(메타)아크릴산 에스테르 등의 공지의 폴리머쇄를 포함한다. 상기 특정 수지와 Y의 결합부는 올리고머쇄 또는 폴리머쇄(Y)의 말단이 바람직하다.Examples of Y include known polymer chains such as polyesters, polyamides, polyimides and poly (meth) acrylic esters which can be connected to the main chain portion of a specific resin. The end of the oligomer chain or polymer chain (Y) is preferably bonded to the specific resin and Y.
Y는 폴리(저급 알킬렌이민)계 반복단위, 폴리알릴아민 반복단위, 폴리디알릴아민계 반복단위, 메타크실렌디아민-에피클로로히드린 중축합물계 반복단위 및 폴리비닐아민계 반복단위로부터 선택되고 질소원자를 함유하는 적어도 하나의 반복단위의 질소원자와 결합하는 것이 바람직하다. 폴리(저급 알킬렌이민)계 반복단위, 폴리알릴아민 반복단위, 폴리디알릴아민계 반복단위, 메타크실렌디아민-에피클로로히드린 중축합물계 반복단위 및 폴리비닐아민계 반복단위로부터 선택되고 질소원자를 함유하는 적어도 하나의 반복단위 등의 주쇄부와 Y의 결합 방식은 공유결합, 이온결합 또는 공유결합과 이온결합의 조합이다. Y와 상기 주쇄부의 결합 방식의 비는 공유결합:이온결합=100:0∼0:100의 범위이고, 바람직하게는 95:5∼5:95, 보다 바람직하게는 90:10∼10:90이다. 상기 비가 상기 범위인 경우, 분산성 및 분산 안정성은 악화되고 용매 용해성도 감소한다.Y is selected from poly (lower alkyleneimine) repeating units, polyallylamine repeating units, polydiallylamine repeating units, metha xylenediamine-epichlorohydrin polycondensate repeating units and polyvinylamine repeating units It is preferred to combine with at least one repeating unit nitrogen atom containing a nitrogen atom. A nitrogen atom selected from a poly (lower alkyleneimine) repeating unit, a polyallylamine repeating unit, a polydiallylamine repeating unit, a metaxylenediamine-epichlorohydrin polycondensate repeating unit and a polyvinylamine repeating unit The manner of bonding Y to the main chain portion, such as at least one repeating unit, is covalent, ionic or a combination of covalent and ionic bonds. The ratio of the bonding method of Y and the main chain portion is in the range of covalent bond: ion bond = 100: 0 to 0: 100, preferably 95: 5 to 5:95, and more preferably 90:10 to 10:90. . When the ratio is in the above range, dispersibility and dispersion stability deteriorate and solvent solubility also decreases.
상기 질소원자를 함유하는 반복단위의 질소원자에, Y는 아미드 결합 또는 카르복실레이트로서 이온결합하는 것이 바람직하다.It is preferable that Y is ion-bonded to the nitrogen atom of the repeating unit containing the said nitrogen atom as an amide bond or a carboxylate.
상기 올리고머쇄 또는 폴리머쇄(Y)의 원자수는 분산성, 분산 안정성 및 현상성의 관점에서 50∼5,000이 바람직하고, 60∼3,000이 보다 바람직하다.From the viewpoint of dispersibility, dispersion stability and developability, the number of atoms of the oligomer chain or polymer chain (Y) is preferably from 50 to 5,000, more preferably from 60 to 3,000.
상기 올리고머쇄 또는 폴리머쇄(Y)당의 원자수가 40개 미만인 경우, 그래프트쇄는 짧아지고 입체적으로 반발하는 효과가 감소하여 분산성이 악화될 수 있다. 한편, 상기 올리고머쇄 또는 폴리머쇄(Y)당의 원자수가 10,000개 이상인 경우, 상기 올리고머쇄 또는 폴리머쇄(Y)는 매우 길어지고 상기 금속 산화물 입자에의 흡착력은 감소하여 분산성이 감소할 수 있다.When the number of atoms per oligomeric chain or polymer chain (Y) is less than 40, the graft chain may be shortened and the effect of steric repulsion may be reduced, resulting in deterioration in dispersibility. On the other hand, when the number of atoms per oligomer chain or polymer chain (Y) is 10,000 or more, the oligomer chain or polymer chain (Y) is very long and the adsorptivity to the metal oxide particles may be reduced, thereby reducing dispersibility.
Y의 수 평균 분자량은 GPC법에 의한 폴리스티렌 환산값에 의해 측정할 수 있다. Y의 수 평균 분자량은 분산성, 분산 안정성 및 현상성의 관점에서 1,000∼50,000이 특히 바람직하고, 1,000∼30,000이 가장 바람직하다.The number average molecular weight of Y can be measured by the polystyrene conversion value by GPC method. As for the number average molecular weight of Y, 1,000-50,000 are especially preferable from a viewpoint of dispersibility, dispersion stability, and developability, and 1,000-30,000 are the most preferable.
Y로 나타내어지는 측쇄 구조의 바람직하게는 2개 이상, 가장 바람직하게는 5개 이상은 상기 수지의 한 분자에 연결된 주쇄에 결합된다.Preferably at least two, most preferably at least five of the side chain structures represented by Y are bonded to the main chain linked to one molecule of said resin.
특히, Y는 일반식(III-1)으로 나타내어지는 구조를 갖는 것이 바람직하다.In particular, Y preferably has a structure represented by the general formula (III-1).
일반식(III-1) 중, Z는 부분 구조로서 폴리에스테르쇄를 갖는 폴리머 또는 올리고머이고, 하기 일반식(IV)으로 나타내어지는 유리 카르복실산을 갖는 폴리에스테르로부터 카르복실기를 제외한 잔기를 나타낸다.In general formula (III-1), Z is a polymer or oligomer which has a polyester chain as a partial structure, and shows the residue remove | excluding the carboxyl group from the polyester which has the free carboxylic acid represented by the following general formula (IV).
일반식(IV) 중, Z는 일반식(III-1) 중에 Z와 동일하다.In the general formula (IV), Z is the same as Z in the general formula (III-1).
특정 수지가 일반식(I-3) 또는 일반식(II-3)으로 나타내지는 반복단위를 함유하는 경우, Y'는 일반식(III-2)로 나타내어지는 것이 바람직하다.When specific resin contains the repeating unit represented by general formula (I-3) or general formula (II-3), it is preferable that Y 'is represented by general formula (III-2).
일반식(III-2) 중, Z는 일반식(III-1) 중에 Z와 동일하다.In the general formula (III-2), Z is the same as Z in the general formula (III-1).
한 말단에 카르복실기를 갖는 폴리에스테르(일반식(IV)으로 나타내어지는 폴리에스테르)는 카르복실산과 락톤의 중축합(IV-1), 히드록시기 함유 카르복실산의 중축합(IV-2), 2가 알콜과 2가 카르복실산(또는 환상 산무수물)의 중축합(IV-3) 등에 의해 얻을 수 있다.Polyesters having a carboxyl group at one end (polyester represented by formula (IV)) include polycondensation of carboxylic acid and lactone (IV-1), polycondensation of hydroxy group-containing carboxylic acid (IV-2), divalent It can obtain by polycondensation (IV-3) of an alcohol and a bivalent carboxylic acid (or cyclic acid anhydride).
카르복실산과 락톤의 중축합 반응(IV-1)에 사용하는 카르복실산은 지방족 카르복실산(탄소원자 1∼30개의 직쇄상 또는 분기상 카르복실산이 바람직하고, 예를 들면 포름산, 아세트산, 프로피온산, 부티르산, 발레르산, n-헥산산, n-옥탄산, n-데칸산, n-도데칸산, 팔미트산, 2-에틸헥산산, 시클로헥산산 등), 히드록시기 함유 카르복실산(탄소원자 1∼30개의 직쇄상 또는 분기상 카르복실산이 바람직하고, 예를 들면, 글리콜산, 락트산, 3-히드록시프로피온산, 4-히드록시드데칸산, 5-히드록시드데칸산, 리시놀레산, 12-히드록시도데칸산, 12-히드록시스테아린산, 2,2-비스(히드록시메틸)부티르산 등)이어도 좋지만, 특히 탄소원자 6∼20개의 직쇄상 지방족 카르복실산 또는 탄소원자 1∼20개의 히드록시기 함유 카르복실산이 바람직하다. 이들 카르복실산은 혼합물을 사용해도 좋다. 상기 락톤으로서, 공지의 락톤을 사용해도 좋고, 그 예는 β-프로피오락톤, β-부티로락톤, γ-부티로락톤, γ-헥산올락톤, γ-옥탄올락톤, δ-발레로락톤, δ-헥산올락톤, δ-옥탄올락톤, ε-카프로락톤, δ-도데칸올락톤, α-메틸-γ-부티로락톤 등을 포함하고, 특히 반응성 및 입수성의 관점에서 ε-카프로락톤이 바람직하다.The carboxylic acid used for the polycondensation reaction (IV-1) of carboxylic acid and lactone is preferably an aliphatic carboxylic acid (linear or branched carboxylic acid having 1 to 30 carbon atoms, for example, formic acid, acetic acid, propionic acid, Butyric acid, valeric acid, n-hexanoic acid, n-octanoic acid, n-decanoic acid, n-dodecanoic acid, palmitic acid, 2-ethylhexanoic acid, cyclohexanoic acid, etc., hydroxy group-containing carboxylic acid (carbon atom 1) -30 linear or branched carboxylic acids are preferable, for example, glycolic acid, lactic acid, 3-hydroxypropionic acid, 4-hydroxydecanoic acid, 5-hydroxydecanoic acid, ricinoleic acid, 12 Hydroxydodecanoic acid, 12-hydroxystearic acid, 2,2-bis (hydroxymethyl) butyric acid, etc.), but in particular, linear aliphatic carboxylic acids having 6 to 20 carbon atoms or hydroxy groups having 1 to 20 carbon atoms Containing carboxylic acid is preferred. These carboxylic acids may use a mixture. As the lactone, known lactones may be used, and examples thereof include β-propiolactone, β-butyrolactone, γ-butyrolactone, γ-hexanolactone, γ-octanolactone, and δ-valerolactone. , δ-hexanolactone, δ-octanolactone, ε-caprolactone, δ-dodecanolactone, α-methyl-γ-butyrolactone, and the like, in particular ε-caprolactone in view of reactivity and availability desirable.
이들 락톤은 그 복수종을 조합하여 사용해도 좋다.You may use these lactones in combination of multiple types.
상기 반응시에 카르복실산과 락톤의 투입비는 목적의 폴리에스테르쇄의 분자량에 의존하므로 전적으로 결정할 수 없지만, 카르복실산:락톤=1:1∼1:1,000이 바람직하고, 1:3∼1:500이 가장 바람직하다.Since the input ratio of carboxylic acid and lactone at the time of the said reaction depends on the molecular weight of the target polyester chain, it cannot fully determine, but carboxylic acid: lactone = 1: 1-1: 1,000 is preferable, and 1: 3-1: 500 Is most preferred.
히드록시기 함유 카르복실산의 중축합(IV-2)의 히드록시기 함유 카르복실산은 상기 (IV-1)의 히드록시기 함유 카르복실산과 동일하고, 그 바람직한 범위도 동일하다.The hydroxyl group containing carboxylic acid of polycondensation (IV-2) of a hydroxyl group containing carboxylic acid is the same as the hydroxyl group containing carboxylic acid of said (IV-1), and its preferable range is also the same.
2가 알콜과 2가 카르복실산(또는 환상 산무수물)의 중축합 반응(IV-3)의 2가 알콜은 직쇄상 또는 분기상 지방족 디올(탄소원자 2∼30개의 디올이 바람직하고, 예를 들면 에틸렌글리콜, 디에틸렌글리콜, 트리에틸렌글리콜, 디프로필렌글리콜, 1,2-프로판디올, 1,3-프로판디올, 1,5-펜탄디올, 1,6-헥산디올, 1,8-옥탄디올 등)이어도 좋고, 특히 탄소원자 2∼20의 지방족 디올이 바람직하다.The dihydric alcohol of the polycondensation reaction (IV-3) of dihydric alcohol and dihydric carboxylic acid (or cyclic acid anhydride) is preferably a linear or branched aliphatic diol (diol having 2 to 30 carbon atoms). Ethylene glycol, diethylene glycol, triethylene glycol, dipropylene glycol, 1,2-propanediol, 1,3-propanediol, 1,5-pentanediol, 1,6-hexanediol, 1,8-octanediol Etc.), and an aliphatic diol having 2 to 20 carbon atoms is particularly preferable.
상기 2가 카르복실산의 예는 직쇄상 또는 분기상 2가의 지방족 카르복실산(탄소원자 1∼30개의 2가의 지방족 카르복실산이 바람직하고, 예를 들면 숙신산, 말레산, 아디프산, 세바신산, 도데칸산, 글루타르산, 수베르산, 타르타르산, 옥살산, 말론산 등)을 포함하고, 특히 탄소원자 3∼20개의 2가 카르복실산이 바람직하다. 이들 2가 카르복실산와 동등한 산무수물(예를 들면, 무수 숙신산, 무수 글루타르산 등)을 사용해도 좋다.Examples of the divalent carboxylic acid are linear or branched divalent aliphatic carboxylic acids (preferably divalent aliphatic carboxylic acids having 1 to 30 carbon atoms, for example succinic acid, maleic acid, adipic acid, sebacic acid). , Dodecanoic acid, glutaric acid, suberic acid, tartaric acid, oxalic acid, malonic acid, and the like), and divalent carboxylic acid having 3 to 20 carbon atoms is particularly preferable. Acid anhydrides (e.g., succinic anhydride, glutaric anhydride, etc.) equivalent to these divalent carboxylic acids may be used.
상기 2가 카르복실산 및 2가 알콜은 1:1의 몰비로 투입되는 것이 바람직하다. 따라서, 말단에 카르복실산을 도입하는 것이 가능해진다.The dihydric carboxylic acid and the dihydric alcohol are preferably added in a molar ratio of 1: 1. Therefore, it becomes possible to introduce a carboxylic acid at the terminal.
폴리에스테르 제조시의 중축합은 촉매의 첨가로 행하는 것이 바람직하다. 상기 촉매는 루이스산으로서 기능하는 촉매가 바람직하고, 그 예는 Ti 화합물(예를 들면, Ti(OBu)4, Ti(O-Pr)4 등), Sn 화합물(예를 들면, 주석 옥틸레이트, 디부틸주석 옥시드, 디부틸주석 라우레이트, 모노부틸주석 히드록시부틸 옥시드, 염화 제 2 주석 등), 프로톤산(예를 들면, 황산, 파라톨루엔술폰산 등) 등을 포함한다. 촉매량은 총 모노머의 몰수에 대하여 0.01몰%∼10몰%가 바람직하고, 0.1몰%∼5몰%가 가장 바람직하다. 반응 온도는 80℃∼250℃가 바람직하고, 100℃∼180℃가 가장 바람직하다. 반응 시간은 반응 조건에 따라 다르지만, 통상 1시∼24시이다.It is preferable to perform polycondensation at the time of polyester manufacture by addition of a catalyst. The catalyst is preferably a catalyst which functions as a Lewis acid, and examples thereof include Ti compounds (eg Ti (OBu) 4 , Ti (O-Pr) 4, etc.), Sn compounds (eg tin octylate, Dibutyltin oxide, dibutyltin laurate, monobutyltin hydroxybutyl oxide, tin dichloride, etc.), protonic acid (e.g. sulfuric acid, paratoluenesulfonic acid, etc.), and the like. 0.01 mol%-10 mol% are preferable with respect to the mole number of a total monomer, and 0.1 mol%-5 mol% are the most preferable. The reaction temperature is preferably 80 ° C to 250 ° C, and most preferably 100 ° C to 180 ° C. Although reaction time changes with reaction conditions, it is 1 hour-24 hours normally.
상기 폴리에스테르의 수 평균 분자량은 GPC법에 의한 폴리스티렌 환산값에 의해 측정할 수 있다. 상기 폴리에스테르의 수 평균 분자량은 1,000∼1,000,000이고, 2,000∼100,000이 바람직하고, 3,000∼50,000이 가장 바람직하다. 이 범위내인 분자량은 분산성 및 현상성 둘 모두를 달성할 수 있다.The number average molecular weight of the said polyester can be measured by the polystyrene conversion value by GPC method. The polyester has a number average molecular weight of 1,000 to 1,000,000, preferably 2,000 to 100,000, and most preferably 3,000 to 50,000. Molecular weights within this range can achieve both dispersibility and developability.
Y의 폴리머쇄을 형성하는 폴리에스테르 부분 구조는 제조 용이성의 관점에서, 특히 카르복실산과 락톤의 중축합(IV-1) 및 히드록시기 함유 카르복실산의 중축합(IV-2)에 의해 얻어지는 폴리에스테르가 바람직하다.The polyester partial structure forming the polymer chain of Y is, in view of ease of manufacture, in particular, a polyester obtained by polycondensation of carboxylic acid and lactone (IV-1) and polycondensation of hydroxy group-containing carboxylic acid (IV-2). desirable.
본 발명의 특정 수지의 구체적인 형태[(A-1)∼(A-60)]를 수지가 갖는 반복단위의 구체적인 구조와 그 조합에 의해 나타내지만, 본 발명은 이들로 제한되지 않는다. 하기 식 중, k, l, m 및 n은 반복단위의 중합 몰비를 나타내고, k는 1∼80을 나타내고, l은 10∼90을 나타내고, m은 0∼80을 나타내고, n은 0∼70을 나타내고, k+l+m+n=100이다. p 및 q는 폴리에스테르쇄의 연결수를 나타내고, 각각 독립적으로 5∼100,000을 나타낸다. R'는 수소원자 또는 알콕시카르보닐기를 나타낸다.Although the specific form [(A-1)-(A-60)] of specific resin of this invention is shown by the specific structure of the repeating unit which resin has, and its combination, this invention is not limited to these. In the following formulas, k, l, m and n represent the polymerization molar ratios of the repeating units, k represents 1 to 80, l represents 10 to 90, m represents 0 to 80, and n represents 0 to 70. And k + l + m + n = 100. p and q show the connection number of a polyester chain, and represent 5-100,000 each independently. R 'represents a hydrogen atom or an alkoxycarbonyl group.
본 발명의 특정 수지를 합성하기 위해서, 특정 수지는 (1) 일차 또는 이차 아미노기를 갖는 수지, X의 전구체(x) 및 Y의 전구체(y)를 반응하는 방법, (2) X를 함유하는 모노머와 Y를 함유하는 매크로모노머를 중합하는 방법 등에 의해 제조할 수 있고, 특정 수지는 일차 또는 이차 아미노기를 주쇄에 갖는 수지를 우선 합성한 후 상기 수지에 X의 전구체(x) 및 Y의 전구체(y)를 반응시켜 주쇄에 존재하는 질소원자에 폴리머 반응에 의해 도입함으로써 제조하는 것이 바람직하다.In order to synthesize the specific resin of the present invention, the specific resin is (1) a resin having a primary or secondary amino group, a method of reacting the precursor (x) of X and the precursor (y) of Y, and (2) a monomer containing X. And a macromonomer containing Y and the like, and a specific resin is first synthesized with a resin having a primary or secondary amino group in a main chain, and then a precursor of x (x) and a precursor of Y (y) to the resin. It is preferable to prepare by reacting N) with a polymer reaction and introducing it into the nitrogen atom present in the main chain.
일차 또는 이차 아미노기를 갖는 수지의 예는 질소원자를 함유하는 주쇄부를 구성하는 1차 또는 2차 아미노기를 함유하는 올리고머 또는 폴리머를 포함하고, 예를 들면 폴리(저급 알킬렌이민), 폴리알릴아민, 폴리디알릴아민, 메타크실렌디아민-에피클로로히드린 중축합물, 폴리비닐아민 등을 포함한다. 이들 중에, 폴리(저급 알킬렌이민) 또는 폴리알릴아민으로 구성되는 올리고머 또는 폴리머가 바람직하다.Examples of resins having primary or secondary amino groups include oligomers or polymers containing primary or secondary amino groups that make up the main chain portion containing nitrogen atoms, for example poly (lower alkyleneimines), polyallylamines, Polydiallylamine, methaxylenediamine-epichlorohydrin polycondensate, polyvinylamine and the like. Among them, oligomers or polymers composed of poly (lower alkyleneimine) or polyallylamine are preferred.
pKa 14 이하의 관능기를 갖는 기(X)의 전구체(x)는 상기 일차 또는 이차 아미노기를 갖는 수지와 반응하여 주쇄에 X를 도입할 수 있는 화합물을 나타낸다.Precursor (x) of group (X) having a functional group of pKa 14 or less represents a compound capable of reacting with a resin having the primary or secondary amino group to introduce X into the main chain.
x의 예는 환상 카르복실산 무수물(탄소원자 4∼30개의 환상 카르복실산 무수물이 바람직하고, 예를 들면 숙신산 무수물, 글루타르산 무수물, 이타콘산 무수물, 말레산 무수물, 알릴숙신산 무수물, 부틸숙신산 무수물, n-옥틸숙신산 무수물, n-데실숙신산 무수물, n-도데실숙신산 무수물, n-테트라데실숙신산 무수물, n-도코세닐숙신산 무수물, (2-헥센-1-일)숙신산 무수물, (2-메틸프로펜-1-일)숙신산 무수물, (2-도데센-1-일)숙신산 무수물, n-옥테닐숙신산 무수물, (2,7-옥탄디엔-1-일)숙신산 무수물, 아세틸말산 무수물, 디아세틸타르타르산 무수물, 헷산 무수물, 시클로헥산-1,2-디카르복실산 무수물, 3 또는 4-메틸시클로헥산-1,2-디카르복실산 무수물, 테트라플루오로숙신산 무수물, 3 또는 4-시클로헥센-1,2-디카르복실산 무수물, 4-메틸-4-시클로헥센-1,2-디카르복실산 무수물, 프탈산무수물, 테트라클로로프탈산 무수물, 나프탈산 무수물, 나프탈산 무수물, 비시클로[2.2.2]옥토-7-엔-2,3,5,6-테트라카르복실산 이무수물, 피로멜리트산 이무수물, 메소-부탄-1,2,3,4-테트라카르복실산 이무수물, 1,2,3,4-시클로펜탄카르복실산 이무수물 등), 할로겐 원자 함유 카르복실산(예를 들면, 클로로아세트산, 브로모아세트산, 요오드아세트산, 4-클로로-n-부티르산 등), 술톤(예를 들면, 프로판술톤, 1,4-부탄술톤 등), 디케텐, 환상 술포카르복실산 무수물(예를 들면, 2-술포벤조산 무수물 등), -COCH2COCl 함유 화합물(예를 들면, 에틸말로닐 클로라이드 등) 또는 시아노아세트산 클로라이드 등을 포함하고, 생산성의 관점에서 환상 카르복실산 무수물, 술톤 및 디케텐이 특히 바람직하다.Examples of x are cyclic carboxylic anhydrides (cyclic carboxylic anhydrides having 4 to 30 carbon atoms are preferable, and for example, succinic anhydride, glutaric anhydride, itaconic anhydride, maleic anhydride, allyl succinic anhydride, and butyl succinic acid. Anhydride, n-octylsuccinic anhydride, n-decylsuccinic anhydride, n-dodecylsuccinic anhydride, n-tedecylsuccinic anhydride, n-docosenylsuccinic anhydride, (2-hexen-1-yl) succinic anhydride, (2- Methylpropen-1-yl) succinic anhydride, (2-dodecen-1-yl) succinic anhydride, n-octenylsuccinic anhydride, (2,7-octanedien-1-yl) succinic anhydride, acetyl malic anhydride, Diacetyltartaric anhydride, hexic anhydride, cyclohexane-1,2-dicarboxylic acid anhydride, 3 or 4-methylcyclohexane-1,2-dicarboxylic acid anhydride, tetrafluorosuccinic anhydride, 3 or 4-cyclo Hexene-1,2-dicarboxylic anhydride, 4-methyl-4-cyclohexene-1,2-dicarboxyl Anhydride, phthalic anhydride, tetrachlorophthalic anhydride, naphthalic anhydride, naphthalic anhydride, bicyclo [2.2.2] octo-7-ene-2,3,5,6-tetracarboxylic dianhydride, pyromellitic dianhydride Water, meso-butane-1,2,3,4-tetracarboxylic dianhydride, 1,2,3,4-cyclopentanecarboxylic dianhydride, and the like, halogen atom-containing carboxylic acids (e.g., Chloroacetic acid, bromoacetic acid, iodiacetic acid, 4-chloro-n-butyric acid, etc., sultone (e.g., propanesultone, 1,4-butanesultone, etc.), diketene, cyclic sulfocarboxylic anhydride (e.g. For example, 2-sulfobenzoic anhydride, etc.), -COCH 2 COCl-containing compound (for example, ethyl malonyl chloride, etc.) or cyanoacetic acid chloride, and the like, cyclic carboxylic anhydride, sultone and dike in terms of productivity Ten is particularly preferred.
원자수 40∼10,000개의 올리고머쇄 또는 폴리머쇄(Y)의 전구체(y)는 상기 일차 또는 이차 아미노기를 갖는 수지와 반응하여 상기 올리고머쇄 또는 폴리머쇄(Y)를 도입할 수 있는 화합물을 나타낸다.The precursor y of an oligomer chain or polymer chain (Y) having 40 to 10,000 atoms represents a compound capable of introducing the oligomer chain or polymer chain (Y) by reacting with a resin having the primary or secondary amino group.
y는 상기 특정 수지의 질소원자와 공유결합 또는 이온결합할 수 있는 기를 말단에 갖는 원자수 40∼10,000개의 올리고머 또는 폴리머가 바람직하고, 특히 한 말단에 유리 카르복실기를 갖는 원자수 40∼10,000개의 올리고머 또는 폴리머가 가장 바람직하다.y is preferably an oligomer having 40 to 10,000 atoms or a polymer having a group capable of covalently or ionically bonding to a nitrogen atom of the specific resin, and particularly an oligomer having 40 to 10,000 atoms having a free carboxyl group at one terminal or Most preferred are polymers.
y의 예는 일반식(IV)으로 나타내어지는 한 말단에 유리 카르복실산을 갖는 폴리에스테르, 한 말단에 유리 카르복실산을 갖는 폴리아미드, 한 말단에 유리 카르복실산을 갖는 폴리(메타)아크릴산계 수지를 포함하지만, 특히 한 말단에 유리 카르복실산을 함유하는 일반식(IV)으로 나타내어지는 폴리에스테르가 가장 바람직하다.Examples of y are polyesters having free carboxylic acid at one terminal, polyamide having free carboxylic acid at one terminal, and poly (meth) acryl having free carboxylic acid at one terminal represented by general formula (IV) The polyester represented by general formula (IV) which contains an acidic resin but especially contains a free carboxylic acid at one terminal is most preferable.
y는 공지의 방법에 의해 합성할 수 있고, 예를 들면 일반식(IV)으로 나타내어지는 한 말단에 유리 카르복실산을 함유하는 폴리에스테르는, 상술한 바와 같이 카르복실산과 락톤의 중축합(IV-1), 히드록시기 함유 카르복실산의 중축합(IV-2) 또는 2가 알콜과 2가 카르복실산(또는 환상 산무수물)의 중축합(IV-3)에 의해 제조하는 방법을 들 수 있다. 한 말단에 유리 카르복실산을 함유하는 폴리아미드는 아미노기 함유 카르복실산(예를 들면, 글리신, 알라닌, β-알라닌, 2-아미노부티르산 등)의 자기축합 등에 의해 제조할 수 있다. 한 말단에 유리 카르복실산을 갖는 폴리(메타)아크릴산 에스테르는 카르복실기 함유 연쇄이동제(예를 들면, 3-메르캅토 프로피온산 등)의 존재에서 (메타)아크릴산계 모노머의 라디칼 중합함으로써 제조할 수 있다.y can be synthesize | combined by a well-known method, For example, the polyester containing free carboxylic acid in the terminal represented by General formula (IV) is polycondensation (IV) of carboxylic acid and lactone as mentioned above. -1), the polycondensation (IV-2) of hydroxy group containing carboxylic acid, or the method of manufacturing by polycondensation (IV-3) of dihydric alcohol and dihydric carboxylic acid (or cyclic acid anhydride) is mentioned. . Polyamides containing free carboxylic acid at one end can be produced by self-condensation of amino group-containing carboxylic acids (for example, glycine, alanine, β-alanine, 2-aminobutyric acid, etc.). The poly (meth) acrylic acid ester having free carboxylic acid at one end can be produced by radical polymerization of a (meth) acrylic acid monomer in the presence of a carboxyl group-containing chain transfer agent (for example, 3-mercapto propionic acid or the like).
본 발명의 특정 수지는 (a) 일차 또는 이차 아미노기를 갖는 수지와 x 및 y를 동시에 반응하는 방법, (b) 일차 또는 이차 아미노기를 갖는 수지와 x를 우선 반응한 후 y와 반응하는 방법 또는 (c) 일차 또는 이차 아미노기를 갖는 수지와 y를 우선 반응한 후 x와 반응하는 방법에 의해 제조할 수 있다. 특히, (c) 일차 또는 이차 아미노기를 갖는 수지와 y를 우선 반응한 후 x와 반응하는 방법이 바람직하다.Specific resins of the present invention include (a) a method of reacting x and y simultaneously with a resin having a primary or secondary amino group, (b) a method of first reacting x with a resin having a primary or secondary amino group and then reacting with y or ( c) A resin having a primary or secondary amino group and y can be prepared by a method of reacting with x first. In particular, the method of reacting (c) resin which has a primary or secondary amino group with y first, and then x is preferable.
반응 온도는 조건에 따라 적당히 선택할 수 있지만, 20℃∼200℃가 바람직하고, 40℃∼150℃가 가장 바람직하다. 반응 시간은 1시간∼48시간이 바람직하고, 1시간∼24시간이 생산성의 관점에서 보다 바람직하다.The reaction temperature can be appropriately selected depending on the conditions, but it is preferably from 20 캜 to 200 캜, and most preferably from 40 캜 to 150 캜. The reaction time is preferably 1 hour to 48 hours, more preferably 1 hour to 24 hours from the viewpoint of productivity.
상기 반응은 용매의 존재에서 행해도 좋다. 상기 용매의 예는 물, 술폭시드 화합물(예를 들면, 디메틸술폭시드 등), 케톤 화합물(예를 들면, 아세톤, 메틸에틸케톤, 시클로헥사논 등), 에스테르 화합물(예를 들면, 에틸 아세테이트, 부틸 아세테이트, 에틸 아세테이트, 프로필렌글리콜 1-모노메틸에테르 2-아세테이트 등), 에테르 화합물(예를 들면, 디에틸에테르, 디부틸에테르, 테트라히드로푸란 등), 지방족 탄화수소 화합물(예를 들면, 펜탄, 헥산 등), 방향족 탄화수소 화합물(예를 들면, 톨루엔, 크실렌, 메시틸렌 등), 니트릴 화합물(예를 들면, 아세토니트릴, 프로피오니트릴 등), 아미드 화합물(예를 들면, N,N-디메틸포름아미드, N,N-디메틸아세트아미드, N-메틸피롤리돈 등), 카르복실산 화합물(예를 들면, 아세트산, 프로피온산 등), 알콜 화합물(예를 들면, 메탄올, 에탄올, 이소프로판올, n-부탄올, 3-메틸부탄올, 1-메톡시-2-프로판올 등) 및 할로겐계 용매(예를 들면, 클로로포름, 1,2-디클로로에탄 등)을 포함한다.The reaction may be performed in the presence of a solvent. Examples of the solvent include water, sulfoxide compounds (e.g., dimethyl sulfoxide, etc.), ketone compounds (e.g., acetone, methyl ethyl ketone, cyclohexanone, etc.), ester compounds (e.g., ethyl acetate, Butyl acetate, ethyl acetate, propylene glycol 1-monomethylether 2-acetate, and the like, ether compounds (e.g., diethyl ether, dibutyl ether, tetrahydrofuran, etc.), aliphatic hydrocarbon compounds (e.g., pentane, Hexane, etc.), aromatic hydrocarbon compounds (e.g., toluene, xylene, mesitylene, etc.), nitrile compounds (e.g., acetonitrile, propionitrile, etc.), amide compounds (e.g., N, N-dimethylform Amides, N, N-dimethylacetamide, N-methylpyrrolidone and the like), carboxylic acid compounds (e.g. acetic acid, propionic acid, etc.), alcohol compounds (e.g. methanol, ethanol, isopropanol, n-butanol , 3 -Methylbutanol, 1-methoxy-2-propanol, and the like) and halogen solvents (for example, chloroform, 1,2-dichloroethane and the like).
용매가 사용되는 경우, 상기 용매는 기질에 대하여 0.1질량배∼100질량배를 사용하는 것이 바람직하고, 0.5질량배∼10질량배가 가장 바람직하다.When a solvent is used, it is preferable to use 0.1 mass times-100 mass times with respect to a board | substrate, and 0.5 mass times-10 mass times are the most preferable.
본 발명의 특정 수지는 재침전법에 의해 정제할 수 있다. 재침전법에 의해 저분자량 성분을 제거함으로써 얻어진 특정 수지를 분산제로서 사용하는 경우, 분산 성능은 향상된다.The specific resin of this invention can be refine | purified by the reprecipitation method. When using the specific resin obtained by removing a low molecular weight component by the reprecipitation method as a dispersing agent, dispersion performance improves.
상기 재침전법에 대해서, 헥산 등의 탄화수소계 용매 및 메탄올 등의 알콜계 용매를 사용하는 것이 바람직하다.For the reprecipitation method, it is preferable to use a hydrocarbon solvent such as hexane and an alcohol solvent such as methanol.
이와 같이 하여 얻어진 본 발명에 있어서 특정 수지는 GPC법에 의해 측정된 중량 평균 분자량이 3,000∼100,000이 바람직하고, 5,000∼55,000인 보다 바람직하다. 상술한 범위의 상기 분자량은 고현상성 및 고보존 안정성을 달성할 수 있는 이점이 있다. 본 발명의 특정 수지에 질소원자를 함유하는 반복단위(i) 중의 질소원자의 존재는 산적정법 등의 의해 확인할 수 있고, pKa 14 이하인 관능기(ii)의 존재 및 상기 관능기가 상기 반복단위의 질소원자와 결합하고 있는 것은 염기적정, 핵자기 공명 분광법 및 적외선 분광법 등에 의해 확인할 수 있다. (ii) 원자수 40∼10,000개의 올리고머쇄 또는 폴리머쇄(Y)가 측쇄에 함유되는 것은 핵자기 공명 분광법 및 GPC법 등의 방법에 의해 확인할 수 있다.In this invention obtained in this way, 3,000-100,000 are preferable and, as for specific resin, the weight average molecular weight measured by GPC method is more preferable that it is 5,000-55,000. The molecular weight in the above-described range has the advantage of achieving high developability and high storage stability. The presence of the nitrogen atom in the repeating unit (i) containing the nitrogen atom in the specific resin of the present invention can be confirmed by an acid titration method, and the presence of the functional group (ii) having a pKa of 14 or less and the nitrogen group of the repeating unit The binding to can be confirmed by basic titration, nuclear magnetic resonance spectroscopy and infrared spectroscopy. (ii) Inclusion of oligomer chains or polymer chains (Y) having 40 to 10,000 atoms in the side chain can be confirmed by methods such as nuclear magnetic resonance spectroscopy and GPC.
이하에, 본 발명의 특정 수지의 구제적인 예를 그 분자량과 함께 설명한다. R'는 알킬기를 나타낸다.Below, the specific example of specific resin of this invention is demonstrated with the molecular weight. R 'represents an alkyl group.
본 발명의 분산 조성물에 있어서, 특정 수지는 단독 또는 그 2종 이상의 조합 중 어느 하나를 사용해도 좋다.In the dispersion composition of the present invention, the specific resin may be used either alone or in combination of two or more thereof.
분산성 및 분산 안정성의 관점에서, 특정 수지의 함량은 본 발명의 분산 조성물(또는 후술하는 경화성 조성물)의 총 고형분에 대하여 10질량%∼50질량%의 범위가 바람직하고, 11질량%∼40질량%의 범위가 보다 바람직하고, 12질량%∼30질량%의 범위가 더욱 바람직하다.From the viewpoint of dispersibility and dispersion stability, the content of the specific resin is preferably in the range of 10% by mass to 50% by mass, and 11% by mass to 40% by mass, based on the total solids of the dispersion composition (or curable composition described later) of the present invention. The range of% is more preferable, and the range of 12 mass%-30 mass% is further more preferable.
-기타 분산 수지-- Other dispersed resin -
본 발명의 분산 조성물은 금속 산화물 입자의 분산성을 제어하기 위해서 상기 특정 수지 이외의 분산 수지(이하에, "기타 분산 수지"라고 함)를 함유해도 좋다.In order to control the dispersibility of a metal oxide particle, the dispersion composition of this invention may contain dispersion resin (henceforth "other dispersion resin") other than the said specific resin.
본 발명에 사용할 수 있는 기타 분산 수지의 예는 고분자 분산제[예를 들면, 폴리아미드 아민과 그 염, 폴리카르복실산과 그 염, 고분자량 불포화산 에스테르, 변성 폴리우레탄, 변성 폴리에스테르, 변성 폴리(메타)아크릴레이트, (메타)아크릴계 코폴리머 및 나프탈렌술폰산 포르말린 축합물], 폴리옥시에틸렌알킬인산 에스테르, 폴리옥시에틸렌알킬아민, 알카놀아민, 안료 유도체 등을 포함한다.Examples of other dispersion resins that can be used in the present invention include polymer dispersants [e.g., polyamide amines and salts thereof, polycarboxylic acids and salts thereof, high molecular weight unsaturated acid esters, modified polyurethanes, modified polyesters, modified poly ( Meta) acrylates, (meth) acrylic copolymers and naphthalenesulfonic acid formalin condensates], polyoxyethylene alkyl phosphate esters, polyoxyethylene alkylamines, alkanolamines, pigment derivatives, and the like.
기타 분산 수지는 그 구조에 따라 직쇄상 고분자, 말단변성형 고분자, 그래프트형 고분자 및 블록형 고분자로 분류할 수 있다.Other dispersion resins can be classified into linear polymers, terminal modified polymers, graft polymers, and block polymers according to their structure.
기타 분산 수지는 금속 산화물 입자의 표면에 흡착하고, 재응집을 억제하는 기능을 한다. 따라서, 상기 수지의 바람직한 구조의 예는 상기 금속 산화물 입자의 표면에 앵커부를 갖는 각각의 말단변성형 고분자, 그래프트형 고분자 및 블록형 고분자를 포함한다.The other dispersed resin adsorbs on the surface of the metal oxide particles and functions to suppress reagglomeration. Thus, examples of the preferred structure of the resin include respective end-modified polymers, graft-type polymers and block-type polymers having anchoring portions on the surfaces of the metal oxide particles.
한편, 상기 기타 분산 수지는 금속 산화물 입자의 표면을 수식함으로써 분산 수지의 흡착을 촉진시키는 효과를 갖는다.On the other hand, the other dispersion resin has the effect of promoting the adsorption of the dispersion resin by modifying the surface of the metal oxide particles.
기타 분산 수지의 구체예는는 BYK Chemie GmbH 제작의 "Disperbyk-101(폴리아미드아민 포스페이트), 107(카르복실산 에스테르), 110(산성기를 함유하는 코폴리머), 130(폴리아미드), 161, 162, 163, 164, 165, 166 및 170(고분자 코폴리머)", "BYK-P104 및 P105(고분자량 불포화 폴리카르복실산), EFKA 제작의 "EFKA 4047, 4050, 4010, 4165(폴리우레탄계), EFKA 4330, 4340(블록 공중합체), 4400, 4402(변성 폴리아크릴레이트), 5010(폴리에스테르 아미드), 5765(고분자량 폴리카르복실산 염), 6220(지방산 폴리에스테르), 6745(프탈로시아닌 유도체), 6750(아조 안료 유도체)"; Ajinomoto Fine-Techno Co., Inc. 제작의 "AJISPER PB821, PB822", KYOEISHA CHEMICAL Co., Ltd. 제작의 "FLOWLEN TG-710(우레탄 올리고머)", "POLYFLOW No. 50E, No. 300(아크릴계 코폴리머)", Kusmoto Chemical Ltd. 제작의 "Disparlon KS-860, 873SN, 874, #2150(지방족 다가 카르복실산), #7004(폴리에테르 에스테르), DA-703-50, DA-705, DA-725", Kao Corporation 제작의 "DEMOL RN, N(나프탈렌술폰산 포르말린 중축합물), "MS, C, SN-B(방향족 술폰산 포르말린 중축합물)", "HOMOGENOL-18(고분자 폴리카르복실산)", "EMULGEN 920, 930, 935, 985(폴리옥시에틸렌노닐페닐에테르)", "ACETAMIN 86(스테아릴아민 아세테이트)", The Lubrizol Corporation 제작의 "Solsperse 5000(프탈로시아닌 유도체), 22000(아조 안료유도체), 13240(폴리에스테르 아민), 3000, 17000, 27000(그 말단에 기능부를 갖는 코폴리머), 24000, 28000, 32000, 38500(그래프트형 고분자)", Nikko Chemicals Co., Ltd. 제작의 "NIKKOL T106(폴리옥시에틸렌 소르비탄 모노올레이트) 및 MYS-IEX(폴리옥시에틸렌 모노스테아레이트)"를 포함한다.Specific examples of other dispersion resins include "Disperbyk-101 (polyamideamine phosphate), 107 (carboxylic acid ester), 110 (copolymer containing acidic group), 130 (polyamide), 161, 162 by BYK Chemie GmbH. , 163, 164, 165, 166 and 170 (polymer copolymer) "," BYK-P104 and P105 (high molecular weight unsaturated polycarboxylic acid), "EFKA 4047, 4050, 4010, 4165 (polyurethane-based) manufactured by EFKA, EFKA 4330, 4340 (block copolymer), 4400, 4402 (modified polyacrylate), 5010 (polyester amide), 5765 (high molecular weight polycarboxylic acid salt), 6220 (fatty acid polyester), 6745 (phthalocyanine derivative) , 6750 (Azo Pigment Derivatives); "AJISPER PB821, PB822" manufactured by Ajinomoto Fine-Techno Co., Inc., "FLOWLEN TG-710 (urethane oligomer)" manufactured by KYOEISHA CHEMICAL Co., Ltd., "POLYFLOW No . 50E, No. 300 (acrylic copolymer) "," Disparlon KS-860, 873SN, 874, # 2150 (aliphatic polyhydric carboxylic acid), # 7004 (polyether ester), manufactured by Kusmoto Chemical Ltd., DA-703-50, DA- 705, DA-725, "DEMOL RN, N (naphthalenesulfonic acid formalin polycondensate) manufactured by Kao Corporation," MS, C, SN-B (aromatic sulfonic acid formalin polycondensate) "," HOMOGENOL-18 (polymer polycarboxyl) Acid) "," EMULGEN 920, 930, 935, 985 (polyoxyethylene nonylphenyl ether) "," ACETAMIN 86 (stearylamine acetate) "," Solsperse 5000 (phthalocyanine derivative), 22000 (Azo) by The Lubrizol Corporation Pigment derivatives), 13240 (polyester amine), 3000, 17000, 27000 (copolymers having functional groups at their ends), 24000, 28000, 32000, 38500 (grafted polymers) ", Nikko Chemicals Co., Ltd. Manufactured by "NIKKOL T106 (polyoxyethylene sorbitan monooleate) and MYS-IEX (polyoxyethylene monostearate)".
이들 기타 수지는 단독 또는 그 2종 이상의 조합 중 어느 하나를 사용해도 좋다.You may use these other resin individually or in combination of 2 or more types.
본 발명의 분산 조성물(또는 후술하는 경화성 조성물)은 기타 분산 수지를 함유해도 함유하지 않아도 좋지만, 상기 조성물이 기타 분산 수지는 함유하는 경우에 상기 기타 분산 수지의 함량은 본 발명의 분산 조성물(또는 후술하는 경화성 조성물)의 총 고형분에 대하여 1질량%∼20질량%의 범위가 바람직하고, 1질량%∼10질량%의 범위가 보다 바람직하다.Although the dispersion composition (or the curable composition mentioned later) of this invention does not need to contain even if it contains other dispersion resin, when the said composition contains other dispersion resin, the content of the said other dispersion resin is the dispersion composition (or below-mentioned) of this invention. The range of 1 mass%-20 mass% is preferable with respect to the total solid of the said curable composition), and the range of 1 mass%-10 mass% is more preferable.
(C) 용매(C) Solvent
본 발명의 분산 조성물은 용매를 포함하고, 용매는 각종 유기용매를 사용하여 구성할 수 있다.The dispersion composition of this invention contains a solvent, and a solvent can be comprised using various organic solvents.
본 명세서에 사용할 수 있는 유기용매의 예는 아세톤, 메틸에틸케톤, 시클로헥산, 에틸 아세테이트, 에틸렌 디클로라이드, 테트라히드로푸란, 톨루엔, 에틸렌글리콜모노메틸에테르, 에틸렌글리콜모노에틸에테르, 에틸렌글리콜디메틸에테르, 프로필렌글리콜모노메틸에테르, 프로필렌글리콜모노에틸에테르, 아세틸아세톤, 시클로헥사논, 디아세톤 알콜, 에틸렌글리콜모노메틸에테르 아세테이트, 에틸렌글리콜에틸에테르 아세테이트, 에틸렌글리콜모노이소프로필에테르, 에틸렌글리콜모노부틸에테르 아세테이트, 3-메톡시프로판올, 메톡시메톡시에탄올, 디에틸렌글리콜모노메틸에테르, 디에틸렌글리콜모노에틸에테르, 디에틸렌글리콜디메틸에테르, 디에틸렌글리콜디에틸에테르, 프로필렌글리콜모노메틸에테르 아세테이트, 프로필렌글리콜모노에틸에테르 아세테이트, 3-메톡시프로필 아세테이트, N,N-디메틸포름아미드, 디메틸술폭시드, γ-부티로락톤, 메틸 락테이트, 에틸 락테이트 등을 포함한다.Examples of organic solvents that can be used herein include acetone, methyl ethyl ketone, cyclohexane, ethyl acetate, ethylene dichloride, tetrahydrofuran, toluene, ethylene glycol monomethyl ether, ethylene glycol monoethyl ether, ethylene glycol dimethyl ether, Propylene glycol monomethyl ether, propylene glycol monoethyl ether, acetylacetone, cyclohexanone, diacetone alcohol, ethylene glycol monomethyl ether acetate, ethylene glycol ethyl ether acetate, ethylene glycol monoisopropyl ether, ethylene glycol monobutyl ether acetate, 3-methoxypropanol, methoxymethoxyethanol, diethylene glycol monomethyl ether, diethylene glycol monoethyl ether, diethylene glycol dimethyl ether, diethylene glycol diethyl ether, propylene glycol monomethyl ether acetate, propylene glycol monoe Ether acetate, includes a 3-methoxypropyl acetate, N, N- dimethylformamide, dimethyl sulfoxide, butyric γ- lactone, such as methyl lactate, ethyl lactate.
이들 용매는 단독 또는 조합 중 어느 하나를 사용해도 좋다. 본 발명의 분산 조성물 중에 고형분의 농도는 2∼60질량%가 바람직하다.These solvents may be used either alone or in combination. As for the density | concentration of solid content in the dispersion composition of this invention, 2-60 mass% is preferable.
본 발명의 분산 조성물의 제조 방법은 특별히 제한되지 않고, 전형적으로 사용되는 분산 조성물의 제조 방법을 적용할 수 있다. 예를 들면, 금속 산화물 입자(A), 수지(B) 및 용매(C)를 혼합하고, 상기 혼합물을 순환형 분산 장치(비즈밀) 등을 사용하여 분산 처리함으로써 제조를 행해도 좋다.The manufacturing method of the dispersion composition of this invention is not specifically limited, The manufacturing method of the dispersion composition used typically can be applied. For example, you may manufacture by mixing a metal oxide particle (A), resin (B), and a solvent (C), and disperse | distributing the said mixture using a circulation type dispersing apparatus (bead mill).
<경화성 조성물>≪ Curable composition >
본 발명의 분산성 조성물은 본 발명의 분산 조성물이 중합성 화합물(D) 및 중합개시제, 필요에 따라서 기타 성분을 포함하여 구성되는 경화성 조성물이 바람직하다.The dispersible composition of the present invention is preferably a curable composition in which the dispersing composition of the present invention comprises a polymerizable compound (D) and a polymerization initiator and, if necessary, other components.
상기 분산 조성물을 경화성 조성물로 우수한 분산성 및 분산 안정성, 고굴절률을 갖고, 상기 조성물을 큰 사이즈의 웨이퍼에 도포하는 경우에도 중심부와 주변부 사이의 막 두께의 차가 작은 막(대표적으로, 투명막)을 형성할 수 있다.The dispersion composition has excellent dispersibility, dispersion stability and high refractive index as a curable composition, and even when the composition is applied to a large size wafer, a film (typically, a transparent film) having a small difference in film thickness between the central portion and the peripheral portion is applied. Can be formed.
또한, 본 발명은 본 발명의 경화성 조성물을 사용하여 형성된 투명막에 관한 것이다.Moreover, this invention relates to the transparent film formed using the curable composition of this invention.
상기 경화성 조성물로부터 얻어지는 경화막(경화성 조성물로 형성되고, 이어서 경화 반응을 행한 막)은 굴절률 1.72∼2.60이 바람직하고, 1.80∼2.60이 보다 바람직하다.Refractive index 1.72-2.60 are preferable and, as for the cured film obtained from the said curable composition (film formed with a curable composition, and then hardening reaction), 1.80-2.60 are more preferable.
상기 경화막의 굴절률이 1.72∼2.60인 물성은 본 발명의 분산 조성물, 중합성 화합물(D) 및 중합개시제(E)를 함유하는 상기 조성물인 한 임의의 수단에 의해 달성할 수 있고, 상기 물성은 예를 들면 중합성 화합물(D) 또는 더 첨가되어도 좋은 바인더 폴리머의 종류 및 함량을 제어하거나, 또는 상기 경화성 조성물 중에 금속 산화물 입자(A)를 함유하는 동시에, 상기 금속 산화물 입자의 종류 및 함량을 제어함으로써 적절하게 달성할 수 있다.The physical property of the refractive index of the said cured film is 1.72-2.60 can be achieved by arbitrary means as long as it is the said composition containing the dispersion composition, polymeric compound (D), and polymerization initiator (E) of this invention, The said physical property is an example For example, by controlling the type and content of the polymerizable compound (D) or a binder polymer which may be further added, or by containing the metal oxide particles (A) in the curable composition and controlling the type and content of the metal oxide particles. It can achieve appropriately.
특히, 상술한 물성은 상술한 바람직한 예로서 금속 산화물 입자를 사용하여 바람직하게 달성할 수 있다.In particular, the above-described physical properties can be preferably achieved by using metal oxide particles as the above-mentioned preferred examples.
또한, 본 발명의 조성물은 투명한 조성물이 바람직하고, 보다 구체적으로는 상기 조성물에 의해 막 두께 1.0㎛의 경화막을 형성하는 경우에 상기 조성물은 상기 경화막의 두께 방향에 대하여 광투과율이 400nm∼700nm의 전체 파장영역에 걸쳐서 90% 이상인 조성물이다.The composition of the present invention is preferably a transparent composition, and more specifically, in the case where a cured film having a thickness of 1.0 μm is formed by the composition, the composition has a total light transmittance of 400 nm to 700 nm with respect to the thickness direction of the cured film. 90% or more over the wavelength range.
즉, 본 발명의 투명막은 막 두께 1.0㎛에 있어서 막의 두께 방향에 대하여 광투과율이 400nm∼700nm의 전체 파장영역에 걸쳐서 90% 이상인 막을 말한다.That is, the transparent film of the present invention refers to a film having a light transmittance of 90% or more over the entire wavelength range of 400 nm to 700 nm in the film thickness direction at a film thickness of 1.0 m.
이러한 광투과율의 물성은 본 발명의 분산 조성물, 중합성 화합물(D) 및 중합개시제(E)를 함유하는 경화성 조성물이면 임의의 어떤 수단에 의해 달성될 수 있고, 중합성 화합물(D) 또는 더욱 첨가되어도 좋은 바인더 폴리머의 종류 및 함량을 제어함으로써 적절하게 달성할 수 있다. 상기 금속 산화물 입자(A)의 입자지름 또는 상기 수지(B)의 종류 및 첨가량을 제어함으로써 상기 광투과율의 물성을 적절하게 달성할 수 있다.Such light transmittance physical properties can be achieved by any means as long as it is a curable composition containing the dispersion composition, the polymerizable compound (D) and the polymerization initiator (E) of the present invention, and the polymerizable compound (D) or further addition. It can achieve suitably by controlling the kind and content of binder polymer which may be sufficient. The physical property of the said light transmittance can be suitably achieved by controlling the particle diameter of the said metal oxide particle (A), or the kind and addition amount of the said resin (B).
본 발명의 경화성 조성물 및 투명막에 대해서, 상기 광투과율이 400nm∼700nm의 전체 파장영역에 걸쳐서 90% 이상인 것은, 특히 마이크로렌즈가 요구되는 특성을 나타내기 위해서 중요한 요인이다.With respect to the curable composition and the transparent film of the present invention, the light transmittance of 90% or more over the entire wavelength range of 400 nm to 700 nm is an important factor especially in order to exhibit the characteristics required for the microlens.
상기 광투과율은 400nm∼700nm의 전체 파장영역에 걸쳐서 95% 이상이 바람직하고, 99% 이상이 보다 바람직하고, 100%가 가장 바람직하다.The light transmittance is preferably 95% or more, more preferably 99% or more, and most preferably 100% over the entire wavelength range of 400 nm to 700 nm.
상술한 것을 고려하여, 본 발명의 경화성 조성물은 착색제를 실질적으로 함유하지 않는다(착색제의 함량은 상기 조성물의 총 고형분에 대하여 0질량%가 바람직함).In view of the above, the curable composition of the present invention contains substantially no colorant (the content of the colorant is preferably 0% by mass based on the total solids of the composition).
(D) 중합성 화합물(D) a polymerizable compound
본 발명에 있어서 중합성 화합물(D)은 적어도 1개의 에틸렌성 불포화 이중결합을 갖는 부가 중합성 화합물이고, 말단 에틸렌성 불포화 결합을 적어도 1개, 바람직하게는 2개 이상 갖는 화합물로부터 선택된다. 이러한 화합물은 상기 기술분야에 있어서 널리 알려져 있고, 본 발명에 사용할 수 있는 이들 화합물을 특별히 제한되지 않는다.In the present invention, the polymerizable compound (D) is an addition polymerizable compound having at least one ethylenically unsaturated double bond, and is selected from compounds having at least one, preferably two or more terminal ethylenically unsaturated bonds. Such compounds are well known in the art, and these compounds which can be used in the present invention are not particularly limited.
이들 화합물은, 예를 들면 모노머, 프리폴리머, 즉 다이머, 트라이머, 및 올리고머 또는 그 혼합물, 및 그 코폴리머 등의 화학적 형태를 갖는다. 모노머 및 그 코폴리머의 예는 불포화 카르복실산(예를 들면, 아크릴산, 메타크릴산, 이타콘산, 크로톤산, 이소크로톤산, 말레산 등), 및 그 에스테르류 및 아미드류를 포함하고, 불포화 카르복실산과 지방족 다가알콜 화합물의 에스테르 및 불포화 카르복실산과 지방족 다가아민 화합물의 아미드류가 사용되는 것이 바람직하다. 히드록실기, 아미노기 및 메르캅토기 등의 친핵성 치환기를 갖는 불포화 카르복실산 에스테르류 또는 불포화 카르복실산 아미드류와 단관능 또는 다관능 이소시아네이트류 또는 에폭시류의 부가 반응물, 불포화 카르복실산 에스테르류 또는 불포화 카르복실산 아미드류와 단관능 또는 다관능 카르복실산의 탈수 축합 반응물 등이 적절하게 사용된다. 이소시아네이트기 및 에폭시기 등의 친전자성 치환기를 갖는 불포화 카르복실산 에스테르 또는 불포화 카르복실산 아미드류와 단관능 또는 다관능 알콜류, 아민류 또는 티올류의 부가 반응물; 및 할로겐기 및 토실옥시기 등의 탈리성 치환기를 갖는 불포화 카르복실산 에스테르 또는 불포화 카르복실산 아미드류와 단관능 또는 다관능 알콜류, 아민류 또는 티올류의 치환 반응물도 적절하게 사용된다. 다른 예로서, 상기 불포화 카르복실산 대신에 불포화 포스폰산, 스티렌, 비닐에테르 등에 의해 얻어지는 화합물군을 사용해도 좋다.These compounds have chemical forms such as, for example, monomers, prepolymers, ie dimers, trimers, and oligomers or mixtures thereof, and copolymers thereof. Examples of monomers and copolymers thereof include unsaturated carboxylic acids (e.g., acrylic acid, methacrylic acid, itaconic acid, crotonic acid, isocrotonic acid, maleic acid, and the like), and esters and amides thereof. It is preferable to use esters of carboxylic acids and aliphatic polyhydric alcohol compounds and amides of unsaturated carboxylic acids and aliphatic polyamine compounds. Addition reactants and unsaturated carboxylic esters of unsaturated carboxylic acid esters or unsaturated carboxylic acid amides having mononuclear substituents such as hydroxyl groups, amino groups and mercapto groups with monofunctional or polyfunctional isocyanates or epoxys Or dehydration condensation reaction products of unsaturated carboxylic acid amides and monofunctional or polyfunctional carboxylic acids, and the like are suitably used. Addition reactants of unsaturated carboxylic esters or unsaturated carboxylic acid amides having electrophilic substituents such as isocyanate groups and epoxy groups with monofunctional or polyfunctional alcohols, amines or thiols; And substitution reaction products of unsaturated carboxylic esters or unsaturated carboxylic acid amides having a leaving group such as a halogen group and a tosyloxy group with monofunctional or polyfunctional alcohols, amines or thiols. As another example, a compound group obtained by unsaturated phosphonic acid, styrene, vinyl ether or the like may be used instead of the above unsaturated carboxylic acid.
지방족 다가알콜 화합물과 불포화 카르복실산의 에스테르의 모노머의 구체예는 아크릴산 에스테르, 예를 들면 에틸렌글리콜 디아크릴레이트, 트리에틸렌글리콜 디아크릴레이트, 1,3-부탄디올 디아크릴레이트, 테트라메틸렌글리콜 디아크릴레이트, 프로필렌글리콜 디아크릴레이트, 네오펜틸글리콜 디아크릴레이트, 트리메티롤프로판 트리아크릴레이트, 트리메티롤프로판 트리스(아크릴로일옥시프로필)에테르, 트리메티롤에탄 트리아크릴레이트, 헥산디올 디아크릴레이트, 1,4-시클로헥산디올 디아크릴레이트, 테트라에틸렌글리콜 디아크릴레이트, 펜타에리스리톨 디아크릴레이트, 펜타에리스리톨 트리아크릴레이트, 펜타에리스리톨 테트라아크릴레이트, 디펜타에리스리톨 디아크릴레이트, 디펜타에리스리톨 헥사아크릴레이트, 소르비톨 트리아크릴레이트, 소르비톨 테트라아크릴레이트, 소르비톨 펜타아크릴레이트, 소르비톨 헥사아크릴레이트, 트리스(아크릴로일옥시에틸) 이소시아누레이트, 폴리에스테르 아크리레이트 올리고머, 이소시아누르산 EO변성 트리아크릴레이트 등을 포함한다.Specific examples of the monomer of the aliphatic polyhydric alcohol compound and the ester of the unsaturated carboxylic acid include acrylic acid esters such as ethylene glycol diacrylate, triethylene glycol diacrylate, 1,3-butanediol diacrylate, and tetramethylene glycol diacryl. Latex, propylene glycol diacrylate, neopentyl glycol diacrylate, trimetholpropane triacrylate, trimetholpropane tris (acryloyloxypropyl) ether, trimetholethane triacrylate, hexanediol diacrylate , 1,4-cyclohexanediol diacrylate, tetraethylene glycol diacrylate, pentaerythritol diacrylate, pentaerythritol triacrylate, pentaerythritol tetraacrylate, dipentaerythritol diacrylate, dipentaerythritol hexaacrylate , Sorbitol triac Acrylate, sorbitol tetraacrylate, sorbitol pentaacrylate, sorbitol hexaacrylate, tris (acryloyloxyethyl) isocyanurate, polyester acrylate oligomer, isocyanuric acid EO modified triacrylate, and the like. .
상기 메타크릴산 에스테르의 예는 테트라메틸렌글리콜 디메타크릴레이트, 트리에틸렌글리콜 디메타크릴레이트, 네오펜틸글리콜 디메타크릴레이트, 트리메티롤프로판 트리메타크릴레이트, 트리메티롤에탄 트리메타크릴레이트, 에틸렌글리콜 디메타크릴레이트, 1,3-부탄디올 디메타크릴레이트, 헥산디올 디메타크릴레이트, 펜타에리스리톨 디메타크릴레이트, 펜타에리스리톨 트리메타크릴레이트, 펜타에리스리톨 테트라메타크릴레이트, 디펜타에리스리톨 디메타크릴레이트, 디펜타에리스리톨 헥사메타크릴레이트, 소르비톨 트리메타크릴레이트, 소르비톨 테트라메타크릴레이트, 비스[p-(3-메타크릴옥시-2-히드록시프로폭시)페닐]디메틸 메탄, 비스-[p-(메타크릴옥시에톡시)페닐]디메틸 메탄 등을 포함한다.Examples of the methacrylic acid esters include tetramethylene glycol dimethacrylate, triethylene glycol dimethacrylate, neopentyl glycol dimethacrylate, trimetholpropane trimethacrylate, trimetholethane trimethacrylate, Ethylene glycol dimethacrylate, 1,3-butanediol dimethacrylate, hexanediol dimethacrylate, pentaerythritol dimethacrylate, pentaerythritol trimethacrylate, pentaerythritol tetramethacrylate, dipentaerythritol dimethacrylate Acrylate, dipentaerythritol hexamethacrylate, sorbitol trimethacrylate, sorbitol tetramethacrylate, bis [p- (3-methacryloxy-2-hydroxypropoxy) phenyl] dimethyl methane, bis- [p -(Methacryloxyethoxy) phenyl] dimethyl methane and the like.
상기 이타콘산 에스테르의 예는 에틸렌글리콜 디이타코네이트, 프로필렌글리콜 디이타코네이트, 1,3-부탄디올 디이타코네이트, 1,4-부탄디올 디이타코네이트, 테트라메틸렌글리콜 디이타코네이트, 펜타에리스리톨 디이타코네이트, 소르비톨 테트라이타코네이트 등을 포함한다.Examples of the itaconic acid ester include ethylene glycol diitaconate, propylene glycol diitaconate, 1,3-butanediol diitaconate, 1,4-butanediol diitaconate, tetramethylene glycol diitaconate, pentaerythritol diitaconate, Sorbitol tetraitaconate and the like.
상기 크로톤산 에스테르의 예는 에틸렌글리콜 디크로토네이트, 테트라메틸렌글리콜 디크로토네이트, 펜타에리스리톨 디크로토네이트, 소르비톨 테트라디크로토네이트 등을 포함한다. 이소크로톤산 에스테르의 예는 에틸렌글리콜 디이소크로토네이트, 펜타에리스리톨 디이소크로토네이트, 소르비톨 테트라이소크로토네이트 등을 포함한다.Examples of the crotonic acid ester include ethylene glycol dicrotonate, tetramethylene glycol dicrotonate, pentaerythritol dicrotonate, sorbitol tetradicrotonate and the like. Examples of isocrotonic acid esters include ethylene glycol diisocrotonate, pentaerythritol diisocrotonate, sorbitol tetraisocrotonate and the like.
상기 말레산 에스테르의 예는 에틸렌글리콜 디말레이트, 트리에틸렌글리콜 디말레이트, 펜타에리스리톨 디말레이트, 소르비톨 테트라말레이트 등을 포함한다.Examples of the maleic acid ester include ethylene glycol dimaleate, triethylene glycol dimaleate, pentaerythritol dimaleate, sorbitol tetramaleate and the like.
예를 들면, 일본 특허 공개 S51-47334 및 일본 특허 공개 S57-196231에 기재된 지방족 알콜계 에스테르류, 일본 특허 공개 S59-5240, S59-5241, 및 H2-226149에 기재된 방향족계 골격을 갖는 에스테르류, 및 일본 특허 공개 H1-165613에 기재된 아미노기를 함유하는 에스테르류 등이 기타 에스테르류의 예로서 적절하게 사용된다. 상술한 에스테르 모노머를 혼합물로서 사용해도 좋다.For example, the aliphatic alcohol esters described in Japanese Patent Laid-Open No. S51-47334 and Japanese Patent Laid-Open No. S57-196231, esters having an aromatic skeleton described in Japanese Patent Laid-Open Nos. S59-5240, S59-5241, and H2-226149, And esters containing amino groups described in Japanese Patent Laid-Open No. H1-165613 are suitably used as examples of other esters. You may use the above-mentioned ester monomer as a mixture.
상기 지방족 다가아민 화합물과 불포화 카르복실산의 아미드의 모노머의 구체예는 메틸렌 비스-아크릴아미드, 메틸렌 비스-메타크릴아미드, 1,6-헥사메틸렌 비스-아크릴아미드, 1,6-헥사메틸렌 비스-메타크릴아미드, 디에틸렌트리아민 트리스아크릴아미드, 크실릴렌 비스아크릴아미드, 크실릴렌 비스메타크릴아미드 등을 포함한다.Specific examples of the monomer of the amide of the aliphatic polyvalent amine compound and the unsaturated carboxylic acid include methylene bis-acrylamide, methylene bis-methacrylamide, 1,6-hexamethylene bis-acrylamide, and 1,6-hexamethylene bis- Methacrylamide, diethylenetriamine trisacrylamide, xylylene bisacrylamide, xylylene bismethacrylamide and the like.
기타 바람직한 아미드계 모노머의 예는 일본 특허 공고 S54-21726에 기재된 시클로헥실렌 구조를 갖는 모노머를 포함한다.Examples of other preferred amide monomers include monomers having a cyclohexylene structure described in Japanese Patent Publication S54-21726.
이소시아네이트와 히드록실기의 첨가 반응을 사용하여 제조되는 우레탄계 부가 중합성 화합물도 적합하고, 그 구체예는 일본 특허 공고 S48-41708에 기재된 한 분자에 2개 이상의 이소시아네이트기를 갖는 폴리이소시아네이트 화합물에 하기 일반식(V)으로 나타내어지는 히드록실기를 함유하는 비닐 모노머를 첨가하여 얻어진 그 한 분자에 2개 이상의 중합성 비닐기를 함유하는 비닐 우레탄 화합물을 포함한다.Also suitable are urethane-based addition polymerizable compounds prepared using the addition reaction of isocyanates and hydroxyl groups, specific examples of which are given in the polyisocyanate compounds having two or more isocyanate groups in one molecule described in Japanese Patent Publication S48-41708. The vinyl urethane compound containing two or more polymerizable vinyl groups in the molecule obtained by adding the vinyl monomer containing the hydroxyl group represented by (V) is included.
하기 일반식(V) 중, R7 및 R8은 각각 독립적으로 수소원자 또는 메틸기를 나타낸다.In General Formula (V) below, R 7 and R 8 each independently represent a hydrogen atom or a methyl group.
일본 특허 공개 S51-37193, 일본 특허 공고 H2-32293 및 H2-16765에 기재된 우레탄 아크릴레이트류, 또는 일본 특허 공고 S58-49860, S56-17654, S62-39417 및 S62-39418에 기재된 에틸렌옥시드계 골격을 갖는 우레탄 화합물류도 적합하다. 일본 특허 공개 S63-277653, S63-260909 및 H1-105238에 기재된 한 분자에 아미노 구조 또는 술피드 구조를 갖는 중합성 화합물류를 사용하여 우수한 감광성 스피드를 갖는 경화성 조성물을 얻을 수 있다.Urethane acrylates described in Japanese Patent Laid-Open No. S51-37193, Japanese Patent Publications H2-32293 and H2-16765, or the ethylene oxide skeleton described in Japanese Patent Publications S58-49860, S56-17654, S62-39417 and S62-39418. Also suitable are urethane compounds having the same. Using the polymerizable compounds having an amino structure or a sulfide structure in one molecule described in Japanese Patent Laid-Open Nos. S63-277653, S63-260909 and H1-105238, a curable composition having an excellent photosensitive speed can be obtained.
그 다른 예는 일본 특허 공개 S48-64183 및 일본 특허 공고 S49-43191 및 S52-30490에 기재된 폴리에스테르 아크릴레이트류, 및 에폭시 수지와 (메타)아크릴산을 반응하여 얻어진 에폭시아크릴레이트류 등의 다관능 아크릴레이트 또는 메타크릴레이트를 포함한다. 그 예는 일본 특허 공고 S46-43946, H1-40337 및 H1-40336에 기재된 특정 불포화 화합물, 일본 특허 공개 H2-25493에 기재된 비닐포스폰산계 화합물 등을 포함한다. 몇몇의 경우에 있어서, 일본 특허 공개 S61-22048에 기재된 퍼플루오로알킬기를 함유하는 구조가 적합하게 사용된다. Journal of the Adhesion Society of Japan Vol. 20, No. 7, 300∼308쪽 (1984)에 기재된 광경화성 모노머 및 올리고머를 사용할 수 있다.Other examples thereof include polyfunctional acrylics such as polyester acrylates described in Japanese Patent Application Laid-Open No. S48-64183 and Japanese Patent Publications S49-43191 and S52-30490, and epoxy acrylates obtained by reacting an epoxy resin with (meth) acrylic acid. Rate or methacrylate. Examples include the specific unsaturated compounds described in Japanese Patent Publications S46-43946, H1-40337 and H1-40336, the vinylphosphonic acid-based compounds described in Japanese Patent Publication H2-25493, and the like. In some cases, structures containing perfluoroalkyl groups described in Japanese Patent Laid-Open No. S61-22048 are suitably used. Journal of the Adhesion Society of Japan Vol. 20, No. 7, photocurable monomers and oligomers as described on pages 300 to 308 (1984) can be used.
이들 중합성 화합물에 대해서, 상기 화합물의 구조, 단독 사용 또는 조합, 및 첨가량 등의 사용 방법의 상세는 경화성 조성물의 최종 성능 설계에 따라 선택적으로 결정할 수 있다. 예를 들면, 상기 방법은 이하의 관점에서 선택된다.For these polymerizable compounds, the details of the method of use, such as the structure of the compound, single use or combination, and the addition amount, can be selectively determined according to the final performance design of the curable composition. For example, the method is selected from the following viewpoints.
감도의 관점에서 한 분자당 불포화기의 고함량을 갖는 구조가 바람직하고, 다수의 경우에 있어서, 이관능 이상이 바람직하다. 경화막의 강도를 증가시키기 위해서, 삼관능 이상이 바람직하다. 다른 관능 및/또는 다른 중합성기(예를 들면, 아크릴산 에스테르, 메타크릴산 에스테르, 스티렌계 화합물 및 비닐에테르계 화합물)를 갖는 화합물을 사용하여 감도 및 강도 둘 모두를 제어하는 방법을 사용하는 것이 효과적이다.From the viewpoint of sensitivity, a structure having a high content of unsaturated groups per molecule is preferable, and in many cases, bifunctional or more is preferable. In order to increase the strength of a cured film, trifunctional or more is preferable. It is effective to use a method of controlling both sensitivity and strength using compounds having different functional and / or other polymerizable groups (e.g., acrylic esters, methacrylic esters, styrenic compounds and vinyl ether based compounds). to be.
상기 경화성 조성물에 함유되는 다른 성분(예를 들면, 중합개시제, 금속 산화물 입자 등)과의 상용성 및 분산성에 대해서도 상기 중합성 화합물의 선택 및 사용 방법은 중요한 요인이다. 예를 들면, 상기 상용성은 저순도 화합물의 사용 또는 2종 이상의 다른 성분의 조합의 사용에 의해 증가될 수 있다. 몇몇의 경우에 있어서, 기판 등의 경질 표면과의 밀착성을 향상시키기 위해서 특정 구조를 선택할 수 있다.The method of selecting and using the polymerizable compound is also an important factor in terms of compatibility and dispersibility with other components (eg, polymerization initiator, metal oxide particles, etc.) contained in the curable composition. For example, the compatibility can be increased by the use of low purity compounds or the use of a combination of two or more other ingredients. In some cases, specific structures may be selected to improve adhesion to hard surfaces such as substrates.
-한 분자에 2개 이상의 에폭시기 또는 옥세타닐기를 갖는 화합물-Compounds having two or more epoxy or oxetanyl groups in one molecule
중합성 화합물(D)로서 한 분자에 2개 이상의 에폭시기를 갖는 화합물의 예는 비스페놀A형의 에폭시 수지, 비스페놀F형의 에폭시 수지, 페놀 노볼락형의 에폭시 수지, 크레솔 노볼락형의 에폭시 수지 및 지방족 에폭시 수지를 포함한다.Examples of the compound having two or more epoxy groups in one molecule as the polymerizable compound (D) include bisphenol A type epoxy resins, bisphenol F type epoxy resins, phenol novolac type epoxy resins, cresol novolac type epoxy resins, and the like. And aliphatic epoxy resins.
그들은 시중에 있는 상품으로서 시판품이다. 따라서, 상기 비스페놀A형의 에폭시 수지의 예는 JER827, JER828, JER834, JER1001, JER1002, JER1003, JER1055, JER1007, JER1009 및 JER1010(모두, Japan Epoxy Resin 제작), 및 EPICLON860, EPICLON1050, EPICLON1051 및 EPICLON1055(모두, DIC Corporation 제작); 상기 비스페놀F형의 에폭시 수지의 예는 JER806, JER807, JER4004, JER4005, JER4007 및 JER4010(모두, Japan Epoxy Resin 제작), EPICLON830 및 EPICLON835(모두 DIC Corporation 제작), 및 LCE-21 및 RE-602S(모두, Nippon Kayaku Co., Ltd. 제작); 상기 페놀 노볼락형의 에폭시 수지의 예는 JER152, JER154, JER157S70 및 JER157S65(모두, Japan Epoxy Resin 제작), 및 EPICLON N-740, EPICLON N-770 및 EPICLON N-775(모두, DIC Corporation 제작); 상기 크레솔 노볼락형의 에폭시 수지의 예는 EPICLON N-660, EPICLON N-665, EPICLON N-670, EPICLON N-673, EPICLON N-680, EPICLON N-690 및 EPICLON N-695(모두, DIC Corporation 제작), 및 EOCN-1020(Nippon Kayaku Co., Ltd. 제작); 상기 지방족 에폭시 수지의 예는 ADEKA RESIN EP-4080S, EP-4085S 및 EP-4088S(모두, ADEKA 제작), Celloxide 2021P, Celloxide 2081, Celloxide 2083, Celloxide 2085, EHPE3150, EPOLEAD PB 3600 및 PB 4700(모두, Daicel Corporation 제작), 및 Denacol EX-212L, EX-214L, EX-216L, EX-321L 및 EX-850L(모두, Nagase Chemtex 제작)이다. 상기 이외에, ADEKA RESIN EP-4000S, EP-4003S, EP-4010S 및 EP-4011S(모두, ADEKA 제작), NC-2000, NC-3000, NC-7300, XD-1000, EPPN-501 및 EPPN-502(모두, ADEKA 제작) 및 JER1031S(Japan Epoxy Resin 제작)을 들 수 있다.They are commercially available products on the market. Thus, examples of the epoxy resins of the bisphenol A type are JER827, JER828, JER834, JER1001, JER1002, JER1003, JER1055, JER1007, JER1009 and JER1010 (all manufactured by Japan Epoxy Resin), and EPICLON860, EPICLON1050, EPICLON1051 and EPICLON1055. , Manufactured by DIC Corporation); Examples of the bisphenol F-type epoxy resins include JER806, JER807, JER4004, JER4005, JER4007 and JER4010 (all manufactured by Japan Epoxy Resin), EPICLON830 and EPICLON835 (all manufactured by DIC Corporation), and LCE-21 and RE-602S (all Nippon Kayaku Co., Ltd.); Examples of the phenol novolac type epoxy resins include JER152, JER154, JER157S70 and JER157S65 (all manufactured by Japan Epoxy Resin), and EPICLON N-740, EPICLON N-770 and EPICLON N-775 (all manufactured by DIC Corporation); Examples of the cresol novolac epoxy resin include EPICLON N-660, EPICLON N-665, EPICLON N-670, EPICLON N-673, EPICLON N-680, EPICLON N-690 and EPICLON N-695 (all, DIC). Corporation), and EOCN-1020 (manufactured by Nippon Kayaku Co., Ltd.); Examples of the aliphatic epoxy resins include ADEKA RESIN EP-4080S, EP-4085S and EP-4088S (all manufactured by ADEKA), Celloxide 2021P, Celloxide 2081, Celloxide 2083, Celloxide 2085, EHPE3150, EPOLEAD PB 3600 and PB 4700 (all, Daicel Corporation) and Denacol EX-212L, EX-214L, EX-216L, EX-321L and EX-850L (all manufactured by Nagase Chemtex). In addition to the above, ADEKA RESIN EP-4000S, EP-4003S, EP-4010S and EP-4011S (all manufactured by ADEKA), NC-2000, NC-3000, NC-7300, XD-1000, EPPN-501 and EPPN-502 (Both manufactured by ADEKA) and JER1031S (manufactured by Japan Epoxy Resin).
그들은 각각 단독으로 사용해도 좋고, 또는 그 2종 이상을 조합하여 사용해도 좋다.They may be used alone, or may be used in combination of two or more thereof.
한 분자에 2개 이상의 옥세타닐기를 갖는 화합물의 구체예는 Aron Oxetan OXT-121, OXT-221, OX-SQ 및 PNOX(모두, Toa Gosei Co., Ltd. 제작)를 포함한다.Specific examples of compounds having two or more oxetanyl groups in one molecule include Aron Oxetan OXT-121, OXT-221, OX-SQ and PNOX (all manufactured by Toa Gosei Co., Ltd.).
상기 옥세타닐기를 갖는 화합물을 단독 또는 에폭시기를 갖는 화합물과의 혼합 중 어느 하나를 사용하는 것이 바람직하다.It is preferable to use either the compound which has the said oxetanyl group, alone or in mixture with the compound which has an epoxy group.
상기 중합성 화합물(D)의 함량은 상기 경화성 조성물의 총 고형분에 대하여 1질량%∼50질량%의 범위가 바람직하고, 3질량%∼40질량%의 범위가 보다 바람직하고, 5질량%∼30질량%의 범위가 더욱 바람직하다.As for content of the said polymeric compound (D), the range of 1 mass%-50 mass% is preferable with respect to the total solid of the said curable composition, The range of 3 mass%-40 mass% is more preferable, 5 mass%-30 The range of mass% is more preferable.
상기 범위내인 함량이면, 굴절률을 악화시키지 않고 경화성이 우수하기 때문에 바람직하다.If it is content in the said range, since it is excellent in sclerosis | hardenability without degrading a refractive index, it is preferable.
(E) 중합개시제(E) Polymerization initiator
본 발명에 사용할 수 있는 중합개시제(E)는 중합성 화합물(D)의 중합을 개시 및 촉진하는 화합물이고, 후술하는 마이크로렌즈의 형성 방법에 있어서 공정(IV) 및 방법(b) 등의 가열 공정에 있어서의 경화를 향상시키는 관점에서 45℃까지 안정하지만, 고온에서 가열시에 중합 개시능이 우수한 것이 바람직하다.The polymerization initiator (E) which can be used for this invention is a compound which starts and accelerates superposition | polymerization of a polymeric compound (D), and heating processes, such as a process (IV) and a method (b), in the formation method of a microlens mentioned later. Although it is stable to 45 degreeC from the viewpoint of improving hardening in the thing, it is preferable that it is excellent in the polymerization start ability at the time of heating at high temperature.
후술하는 마이크로렌즈의 형성 방법에 있어서 공정(IV), 방법(b) 및 (d) 등의 방사선 조사에 의한 노광 공정에 있어서 경화를 향상시키는 관점에서, 자외선 영역에서 적외선 영역으로 가시 광선에 대해 감광성을 갖는 것이 바람직하다. 상기 중합개시제는 광여기된 증감제와 임의의 작용을 발생하여 활성 라디칼을 생성하는 활성제이어도 좋고, 모노머의 종류에 따라서 양이온 중합을 개시하는 개시제이어도 좋다.In the method of forming a microlens described later, in the exposure step by irradiation with radiation such as step (IV), method (b) and (d), photosensitive to visible light from the ultraviolet region to the infrared region from the viewpoint of improving the curing. It is preferable to have. The polymerization initiator may be an activator which generates an active radical by generating any action with a photoexcited sensitizer, or may be an initiator that initiates cationic polymerization depending on the type of monomer.
상기 중합개시제는 약 300nm∼800nm(보다 바람직하게는 330nm∼500nm)의 범위내에 적어도 약 50의 분자 흡광계수를 갖는 적어도 하나의 화합물을 함유하는 것이 바람직하다.The polymerization initiator preferably contains at least one compound having a molecular extinction coefficient of at least about 50 within the range of about 300 nm to 800 nm (more preferably 330 nm to 500 nm).
상기 중합개시제는 단독 또는 그 2종 이상의 조합 중 어느 하나를 사용해도 좋다.The polymerization initiator may be used either alone or in combination of two or more thereof.
중합개시제(E)의 예는 유기 할로겐화 화합물, 옥시디아졸 화합물, 카르보닐 화합물, 케탈 화합물, 벤조인 화합물, 아크리딘 화합물, 유기 퍼옥시드 화합물, 아조 화합물, 쿠마린 화합물, 아지드 화합물, 메탈로센 화합물, 헥사아릴 비이미다졸 화합물, 유기 붕산 화합물, 디술폰산 화합물, 옥심 에스테르 화합물, 오늄염 화합물 및 아실포스핀(옥시드) 화합물을 포함한다.Examples of the polymerization initiator (E) include organic halogenated compounds, oxydiazole compounds, carbonyl compounds, ketal compounds, benzoin compounds, acridine compounds, organic peroxide compounds, azo compounds, coumarin compounds, azide compounds, metallo Sen compounds, hexaaryl biimidazole compounds, organic boric acid compounds, disulfonic acid compounds, oxime ester compounds, onium salt compounds and acylphosphine (oxide) compounds.
상기 유기 할로겐화 화합물의 구체예는 "Bull Chem. Soc Japan", 42, 2924 (1969), Wakabayashi et al., 미국 특허 제3,905,815호, 일본 특허 공고 S46-4605, 일본 특허 공개 S48-36281, S55-32070, S60-239736, S61-169835, S61-169837, S62-58241, S62-212401, S63-70243 및 S63-298339, 및 "Journal of Heterocyclic Chemistry, 1 (No 3), (1970)", M. P. Hutt를 포함하고, 특히 트리할로메틸기로 치환된 옥사졸 화합물 및 s-트리아진 화합물을 포함한다.Specific examples of the organic halogenated compound include "Bull Chem. Soc Japan", 42, 2924 (1969), Wakabayashi et al., US Patent No. 3,905,815, Japanese Patent Publication S46-4605, Japanese Patent Publication S48-36281, S55- 32070, S60-239736, S61-169835, S61-169837, S62-58241, S62-212401, S63-70243 and S63-298339, and "Journal of Heterocyclic Chemistry, 1 (No 3), (1970)", MP Hutt And, in particular, oxazole compounds substituted with trihalomethyl groups and s-triazine compounds.
상기 s-트리아진 화합물로서 적어도 하나의 모노, 디 또는 트리할로겐 치환 메틸기가 s-트리아진환과 결합한 s-트리아진 유도체가 보다 바람직하고, 상기 s-트리아진 화합물의 구체예는 2,4,6-트리스(모노클로로메틸)-s-트리아진, 2,4,6-트리스(디클로로메틸)-s-트리아진, 2,4,6-트리스(트리클로로메틸)-s-트리아진, 2-메틸-4,6-비스(트리클로로메틸)-s-트리아진, 2-n-프로필-4,6-비스(트리클로로메틸)-s-트리아진, 2-(α,α,β-트리클로로에틸)-4,6-비스(트리클로로메틸)-s-트리아진, 2-페닐-4,6-비스(트리클로로메틸)-s-트리아진, 2-(p-메톡시페닐)-4,6-비스(트리클로로메틸)-s-트리아진, 2-(3,4-에폭시페닐)-4,6-비스(트리클로로메틸)-s-트리아진, 2-(p-클로로페닐)-4,6-비스(트리클로로메틸)-s-트리아진, 2-[1-(p-메톡시페닐)-2,4-부타디에닐]-4,6-비스(트리클로로메틸)-s-트리아진, 2-스티릴-4,6-비스(트리클로로메틸)-s-트리아진, 2-(p-메톡시스티릴)-4,6-비스(트리클로로메틸)-s-트리아진, 2-(p-i-프로필옥시스티릴)-4,6-비스(트리클로로메틸)-s-트리아진, 2-(p-톨릴)-4,6-비스(트리클로로메틸)-s-트리아진, 2-(4-나톡시나프틸)-4,6-비스(트리클로로메틸)-s-트리아진, 2-페닐티오-4,6-비스(트리클로로메틸)-s-트리아진, 2-벤질티오-4,6-비스(트리클로로메틸)-s-트리아진, 2,4,6-트리스(디브로모메틸)-s-트리아진, 2,4,6-트리스(트리브로모메틸)-s-트리아진, 2-메틸-4,6-비스(트리브로모메틸)-s-트리아진, 2-메톡시-4,6-비스(트리브로모메틸)-s-트리아진 등을 포함한다.As the s-triazine compound, an s-triazine derivative having at least one mono, di or trihalogen substituted methyl group bonded to the s-triazine ring is more preferable, and specific examples of the s-triazine compound are 2,4,6 -Tris (monochloromethyl) -s-triazine, 2,4,6-tris (dichloromethyl) -s-triazine, 2,4,6-tris (trichloromethyl) -s-triazine, 2- Methyl-4,6-bis (trichloromethyl) -s-triazine, 2-n-propyl-4,6-bis (trichloromethyl) -s-triazine, 2- (α, α, β-trichloro Roethyl) -4,6-bis (trichloromethyl) -s-triazine, 2-phenyl-4,6-bis (trichloromethyl) -s-triazine, 2- (p-methoxyphenyl)- 4,6-bis (trichloromethyl) -s-triazine, 2- (3,4-epoxyphenyl) -4,6-bis (trichloromethyl) -s-triazine, 2- (p-chlorophenyl ) -4,6-bis (trichloromethyl) -s-triazine, 2- [1- (p-methoxyphenyl) -2,4-butadienyl] -4,6-bis (trichloromethyl) -s-triazine, 2-styryl-4 , 6-bis (trichloromethyl) -s-triazine, 2- (p-methoxystyryl) -4,6-bis (trichloromethyl) -s-triazine, 2- (pi-propyloxysty Ryl) -4,6-bis (trichloromethyl) -s-triazine, 2- (p-tolyl) -4,6-bis (trichloromethyl) -s-triazine, 2- (4-nathoxy Naphthyl) -4,6-bis (trichloromethyl) -s-triazine, 2-phenylthio-4,6-bis (trichloromethyl) -s-triazine, 2-benzylthio-4,6- Bis (trichloromethyl) -s-triazine, 2,4,6-tris (dibromomethyl) -s-triazine, 2,4,6-tris (tribromomethyl) -s-triazine, 2-methyl-4,6-bis (tribromomethyl) -s-triazine, 2-methoxy-4,6-bis (tribromomethyl) -s-triazine and the like.
상기 옥시디아졸 화합물의 예는 2-트리클로로메틸-5-스티릴-1,3,4-옥소디아졸, 2-트리클로로메틸-5-(시아노스티릴)-1,3,4-옥소디아졸, 2-트리클로로메틸-5-(나프토-1-일)-1,3,4-옥소디아졸, 2-트리클로로메틸-5-(4-스티릴)스티릴-1,3,4-옥소디아졸 등을 포함한다.Examples of the oxydiazole compound include 2-trichloromethyl-5-styryl-1,3,4-oxodiazole, 2-trichloromethyl-5- (cyanostyryl) -1,3,4-oxo Diazole, 2-trichloromethyl-5- (naphtho-1-yl) -1,3,4-oxodiazole, 2-trichloromethyl-5- (4-styryl) styryl-1,3 , 4-oxodiazole and the like.
상기 카르보닐 화합물의 예는 벤조페논, 미힐러케톤, 2-메틸벤조페논, 3-메틸벤조페논, 4-메틸벤조페논, 2-클로로벤조페논 및 4-브로모벤조페논, 2-카르복시벤조페논 등의 벤조페논 유도체, 2,2-디메톡시-2-페닐 아세토페논, 2,2-디에톡시 아세토페논, 1-히드록시시클로헥실페닐 케톤, α-히드록시-2-메틸페닐 프로파논, 1-히드록시-1-메틸에틸-(p-이소프로필 페닐)케톤, 1-히드록시-1-(p-도데실페닐)케톤, 2-메틸-(4'-(메틸티오)페닐)-2-모르폴리노-1-프로파논, 2-(디메틸아미노)-2-[(4-메틸페닐)메틸]-1-[4-(4-모르폴리닐)페닐]-1-부타논, 1,1,1-트리클로로메틸-(p-부틸페닐)케톤 및 2-벤질-2-디메틸아미노-4-몰포리노부틸로페논 등의 아세토페논 유도체, 티오크산톤, 2-에틸티오크산톤, 2-이소프로필티오크산톤, 2-클로로티오크산톤, 2,4-디메틸티오크산톤 및 2,4-디에틸티오크산톤, 2,4-디이소프로필티오크산톤 등의 티오크산톤 유도체, 에틸 p-디메틸아미노벤조에이트 또는 에틸 p-디에틸아미노벤조에이트 등의 벤조에이트 유도체를 포함한다.Examples of the carbonyl compound include benzophenone, Michler's ketone, 2-methylbenzophenone, 3-methylbenzophenone, 4-methylbenzophenone, 2-chlorobenzophenone and 4-bromobenzophenone, 2-carboxybenzophenone Benzophenone derivatives such as 2,2-dimethoxy-2-phenyl acetophenone, 2,2-diethoxy acetophenone, 1-hydroxycyclohexylphenyl ketone, α-hydroxy-2-methylphenyl propane, 1- Hydroxy-1-methylethyl- (p-isopropyl phenyl) ketone, 1-hydroxy-1- (p-dodecylphenyl) ketone, 2-methyl- (4 '-(methylthio) phenyl) -2- Morpholino-1-propaneone, 2- (dimethylamino) -2-[(4-methylphenyl) methyl] -1- [4- (4-morpholinyl) phenyl] -1-butanone, 1,1 Acetophenone derivatives such as, 1-trichloromethyl- (p-butylphenyl) ketone and 2-benzyl-2-dimethylamino-4-morpholinobutyllophenone, thioxanthone, 2-ethyl thioxanthone, 2- Isopropyl thioxanthone, 2-chloro thioxanthone, 2,4-dimethyl thioxanthone and 2,4-diethyl thioxanthone And thioxanthone derivatives such as 2,4-diisopropyl thioxanthone, and benzoate derivatives such as ethyl p-dimethylaminobenzoate or ethyl p-diethylaminobenzoate.
상기 케탈 화합물의 예는 벤질메틸케탈, 벤질-β-메톡시에틸에틸아세탈 등을 포함한다.Examples of the ketal compound include benzyl methyl ketal, benzyl-β-methoxyethylethyl acetal and the like.
상기 벤조인 화합물의 예는, m-벤조인 이소프로필에테르, 벤조인 이소부틸에테르, 벤조인 메틸에테르, 메틸-o-벤조일 벤조에이트 등을 포함한다.Examples of the benzoin compound include m-benzoin isopropyl ether, benzoin isobutyl ether, benzoin methyl ether, methyl-o-benzoyl benzoate and the like.
상기 아크리딘 화합물의 예는 9-페닐아크리딘, 1,7-비스(9-아크리디닐)헵탄 등을 포함한다.Examples of the acridine compound include 9-phenylacridine, 1,7-bis (9-acridinyl) heptane and the like.
상기 유기 퍼옥시드 화합물의 예는 트리메틸 시클로헥산온 퍼옥시드, 아세틸아세톤 퍼옥시드, 1,1-비스(tert-부틸퍼옥시)-3,3,5-트리메틸시클로헥산, 1,1-비스(tert-부틸퍼옥시)시클로헥산, 2,2-비스(tert-부틸퍼옥시)부탄, tert-부틸히드로퍼옥시드, 쿠멘 히드로퍼옥시드, 디이소프로필 벤젠 히드로퍼옥시드, 2,5-디메틸헥산-2,5-디히드로퍼옥시드, 1,1,3,3-테트라-메틸부틸 히드로퍼옥시드, tert-부틸쿠밀 퍼옥시드, 디쿠밀 퍼옥시드, 2,5-디메틸-2,5-디(tert-부틸퍼옥시)헥산, 2,5-옥사노일 퍼옥시드, 숙신산 퍼옥시드, 벤조일 퍼옥시드, 2,4-디클로로벤조일 퍼옥시드, 디이소프로필 퍼옥시디카보네이트, 디-2-에틸헥실 퍼옥시디카보네이트, 디-2-에톡시에틸 퍼옥시디카보네이트, 디메톡시이소프로필 퍼옥시카보네이트, 디(3-메틸-3-메톡시부틸)퍼옥시디카보네이트, tert-부틸 퍼옥시아세테이트, tert-부틸 퍼옥시피발레이트, tert-부틸 퍼옥시네오데카노에이트, tert-부틸 퍼옥시옥타노에이트, tert-부틸퍼옥시라우레이트, 3,3',4,4'-테트라-(t-부틸퍼옥시카르보닐)벤조페논, 3,3',4,4'-테트라-(t-헥실퍼옥시카르보닐)벤조페논, 3,3',4,4'-테트라-(p-이소프로필쿠밀퍼옥시카르보닐)벤조페논, 카르보닐-디(t-부틸퍼옥시디히드로젠디프탈레이트), 카르보닐-디(t-헥실퍼옥시 디히드로젠디프탈레이트) 등을 포함한다.Examples of the organic peroxide compound include trimethyl cyclohexanone peroxide, acetylacetone peroxide, 1,1-bis (tert-butylperoxy) -3,3,5-trimethylcyclohexane, 1,1-bis (tert -Butyl peroxy) cyclohexane, 2,2-bis (tert-butylperoxy) butane, tert-butylhydroperoxide, cumene hydroperoxide, diisopropyl benzene hydroperoxide, 2,5-dimethylhexane-2 , 5-dihydroperoxide, 1,1,3,3-tetra-methylbutyl hydroperoxide, tert-butylcumyl peroxide, dicumyl peroxide, 2,5-dimethyl-2,5-di (tert- Butylperoxy) hexane, 2,5-oxanoyl peroxide, succinic acid peroxide, benzoyl peroxide, 2,4-dichlorobenzoyl peroxide, diisopropyl peroxydicarbonate, di-2-ethylhexyl peroxydicarbonate, di 2-ethoxyethyl peroxydicarbonate, dimethoxyisopropyl peroxycarbonate, di (3-methyl-3-methoxybutyl) peroxydicarbonate, tert-butyl Oxyacetate, tert-butyl peroxy pivalate, tert-butyl peroxy neodecanoate, tert-butyl peroxyoctanoate, tert-butylperoxylaurate, 3,3 ', 4,4'-tetra- (t-butylperoxycarbonyl) benzophenone, 3,3 ', 4,4'-tetra- (t-hexylperoxycarbonyl) benzophenone, 3,3', 4,4'-tetra- (p -Isopropylcumylperoxycarbonyl) benzophenone, carbonyl-di (t-butylperoxydihydrogendiphthalate), carbonyl-di (t-hexylperoxy dihydrogendiphthalate) and the like.
상기 아조 화합물의 예는 일본 특허 공개 H8-108621에 기재된 아조 화합물을 포함한다.Examples of the azo compound include the azo compound described in Japanese Patent Laid-Open No. H8-108621.
상기 쿠마린 화합물의 예는 3-메틸-5-아미노-((s-트리아진-2-일)아미노)-3-페닐 쿠마린, 3-클로로-5-디에틸아미노-((s-트리아진-2-일)아미노)-3-페닐 쿠마린, 3-부틸-5-디메틸아미노-((s-트리아진-2-일)아미노)-3-페닐 쿠마린 등을 포함한다.Examples of the coumarin compound include 3-methyl-5-amino-((s-triazin-2-yl) amino) -3-phenyl coumarin, 3-chloro-5-diethylamino-((s-triazine- 2-yl) amino) -3-phenyl coumarin, 3-butyl-5-dimethylamino-((s-triazin-2-yl) amino) -3-phenyl coumarin and the like.
상기 아지드 화합물의 예는 미국 특허 제2,848,328호, 제2,852,379호 및 제2,940,853호에 기재된 유기 아지드 화합물, 2,6-비스(4-아지도벤질리덴)-4-에틸시클로헥사논(BAC-E) 등을 포함한다.Examples of such azide compounds include the organic azide compounds described in US Pat. Nos. 2,848,328, 2,852,379 and 2,940,853, 2,6-bis (4-azidobenzylidene) -4-ethylcyclohexanone (BAC- E) and the like.
상기 메탈로센 화합물의 예는 일본 특허 공개 S59-152396, S61-151197, S63-41484, H2-249, H2-4705 및 H5-83588에 기재된 각종 티타노센 화합물을 포함하고, 그 예는 디시클로펜타디에닐-Ti-비스페닐, 디시클로펜타디에닐-Ti-비스-2,6-디플루오로페닐-1-일, 디시클로펜타디에닐-Ti-비스-2,4-디플루오로페닐-1-일, 디시클로펜타디에닐-Ti-비스-2,4,6-트리플루오로페닐-1-일, 디시클로펜타디에닐-Ti-비스-2,3,5,6-테트라플루오로페닐-1-일, 디시클로펜타디에닐-Ti-비스-2,3,4,5,6-펜타플루오로페닐-1-일, 디메틸시클로펜타디에닐-Ti-비스-2,6-디플루오로페닐-1-일, 디메틸시클로펜타디에닐-Ti-비스-2,4,6-트리플루오로페닐-1-일, 디메틸시클로펜타디에닐-Ti-비스-2,3,5,6-테트라플루오로페닐-1-일, 디메틸시클로펜타디에닐-Ti-비스-2,3,4,5,6-펜타플루오로페닐-1-일, 일본 특허 공개 H1-304453 및 H1-152109에 기재된 철-아렌 착체 등을 포함한다.Examples of the metallocene compound include various titanocene compounds described in Japanese Patent Laid-Open Nos. S59-152396, S61-151197, S63-41484, H2-249, H2-4705 and H5-83588, and examples thereof include dicyclopenta. Dienyl-Ti-bisphenyl, dicyclopentadienyl-Ti-bis-2,6-difluorophenyl-1-yl, dicyclopentadienyl-Ti-bis-2,4-difluorophenyl- 1-yl, dicyclopentadienyl-Ti-bis-2,4,6-trifluorophenyl-1-yl, dicyclopentadienyl-Ti-bis-2,3,5,6-tetrafluoro Phenyl-1-yl, dicyclopentadienyl-Ti-bis-2,3,4,5,6-pentafluorophenyl-1-yl, dimethylcyclopentadienyl-Ti-bis-2,6-di Fluorophenyl-1-yl, dimethylcyclopentadienyl-Ti-bis-2,4,6-trifluorophenyl-1-yl, dimethylcyclopentadienyl-Ti-bis-2,3,5,6 -Tetrafluorophenyl-1-yl, dimethylcyclopentadienyl-Ti-bis-2,3,4,5,6-pentafluorophenyl-1-yl, in Japanese Patent Laid-Opens H1-304453 and H1-152109Iron-arene complexes as described and the like.
상기 비이미다졸계 화합물로서, 예를 들면 헥사아릴 비이미다졸 화합물(로핀 다이머계 화합물) 등이 바람직하다.As said biimidazole type compound, a hexaaryl biimidazole compound (ropin dimer type compound) etc. are preferable, for example.
상기 헥사아릴 비이미다졸 화합물의 예는 일본 특허 공고 S45-37377 및 S44-86516에 기재된 로핀 다이머류, 및 일본 특허 공개 H6-29285, 미국 특허 제3,479,185호, 제4,311,783호 및 제4,622,286호 등의 각종 화합물을 포함하고, 그 구체예는 2,2'-비스(o-클로로페닐)-4,4',5,5'-테트라페닐비이미다졸, 2,2'-비스(o -브로모페닐))4,4',5,5'-테트라페닐비이미다졸, 2,2'-비스(o,p-디클로로페닐)-4,4',5,5'-테트라페닐비이미다졸, 2,2'-비스(o-클로로페닐)-4,4',5,5'-테트라(m-메톡시페닐)비이미다졸, 2,2'-비스(o,o'-디클로로페닐)-4,4',5,5'-테트라페닐비이미다졸, 2,2'-비스(o-니트로페닐)-4,4',5,5'-테트라페닐비이미다졸, 2,2'-비스(o-메틸페닐)-4,4',5,5'-테트라페닐비이미다졸, 2,2'-비스(o-트리플루오로페닐)-4,4',5,5'-테트라페닐 비이미다졸 등을 포함한다.Examples of the hexaaryl biimidazole compound include a variety of lophine dimers described in Japanese Patent Publications S45-37377 and S44-86516, and Japanese Patent Publication H6-29285, US Patent Nos. 3,479,185, 4,311,783, and 4,622,286. Compounds, the specific examples of which are 2,2'-bis (o-chlorophenyl) -4,4 ', 5,5'-tetraphenylbiimidazole, 2,2'-bis (o-bromophenyl )) 4,4 ', 5,5'-tetraphenylbiimidazole, 2,2'-bis (o, p-dichlorophenyl) -4,4', 5,5'-tetraphenylbiimidazole, 2 , 2'-bis (o-chlorophenyl) -4,4 ', 5,5'-tetra (m-methoxyphenyl) biimidazole, 2,2'-bis (o, o'-dichlorophenyl)- 4,4 ', 5,5'-tetraphenylbiimidazole, 2,2'-bis (o-nitrophenyl) -4,4', 5,5'-tetraphenylbiimidazole, 2,2'- Bis (o-methylphenyl) -4,4 ', 5,5'-tetraphenylbiimidazole, 2,2'-bis (o-trifluorophenyl) -4,4', 5,5'-tetraphenyl Biimidazole and the like.
상기 유기 보레이트 화합물의 예는 일본 특허 공개 S62-143044, S62-150242, H9-188685, H9-188686, H9-188710, 2000-131837, 2002-107916, 일본 특허 제2764769호 및 일본 특허 공개 제2001-16539호, 및 "Rad Tech '98. Proceeding, in Chicago Apr. 19-22,1998", Kunz, Martin에 기재된 유기 보레이트, 일본 특허 공개 H6-157623, H6-175564 및 H6-175561에 기재된 유기 붕소 술포늄 착체 또는 유기 붕소 옥소술포늄 착체, 일본 특허 공개 H6-175554 및 H6-175553에 기재된 유기 붕소 요오드늄 착체, 일본 특허 공개 H9-188710에 기재된 유기 붕소 포스포늄 착체, 일본 특허 공개 H6-348011, H7-128785, H7-140589, H7-306527, H7-292014에 기재된 유기 붕소 전이금속 배위 착체 등을 포함한다.Examples of the organic borate compound include Japanese Patent Laid-Open Nos. S62-143044, S62-150242, H9-188685, H9-188686, H9-188710, 2000-131837, 2002-107916, Japanese Patent No. 2764769, and Japanese Patent Laid-Open No. 2001- 16539, and organic borates described in "Rad Tech '98. Proceeding, in Chicago Apr. 19-22,1998", Kunz, Martin, organic boron liquor described in Japanese Patent Laid-Opens H6-157623, H6-175564 and H6-175561. Phosphorium complex or organoboron oxosulfonium complex, organoboron iodonium complex described in Japanese Patent Laid-Open H6-175554 and H6-175553, organoboron phosphonium complex described in Japanese Patent Laid-Open H9-188710, Japanese Patent Laid-Open H6-348011, H7 Organoboron transition metal coordination complexes described in -128785, H7-140589, H7-306527, H7-292014 and the like.
상기 디술폰 화합물의 예는 일본 특허 공개 S61-166544 및 2002-328465에 기재된 화합물 등을 포함한다.Examples of the disulfone compound include compounds described in Japanese Patent Laid-Open Nos. S61-166544 and 2002-328465 and the like.
경화성, 경시 안정성 및 포스트가열시에 착색되기 어려운 관점에서, 본 발명에 사용할 수 있는 중합개시제(E)로서 옥심 화합물이 바람직하다.An oxime compound is preferable as a polymerization initiator (E) which can be used for this invention from a viewpoint of sclerosis | hardenability, time-lapse stability, and a difficulty in coloring at the time of post-heating.
상기 옥심 화합물의 예는 J. C. S. Perkin II (1979) 1653-1660, J. C. S. Perkin II (1979) 156-162, Journal of Photopolymer Science and Techno1ogy (1995) 202-232, 및 일본 특허 공개 제2000-66385호에 기재된 화합물, 일본 특허 공개 제2000-80068호 및 일본 특허 공표 제2004-534797호에 기재된 화합물 등을 포함한다.Examples of such oxime compounds are described in JCS Perkin II (1979) 1653-1660, JCS Perkin II (1979) 156-162, Journal of Photopolymer Science and Techno1ogy (1995) 202-232, and Japanese Patent Laid-Open No. 2000-66385. Compounds, the compounds described in Japanese Patent Laid-Open No. 2000-80068 and Japanese Patent Laid-Open No. 2004-534797, and the like.
감도 및 경시 안정성의 관점에서, 본 발명에 사용할 수 있는 옥심 화합물로서 하기 일반식(a)으로 나타내어지는 화합물이 보다 바람직하다.From the viewpoint of sensitivity and stability over time, as the oxime compound which can be used in the present invention, a compound represented by the following general formula (a) is more preferable.
식(a) 중, R 및 X는 각각 독립적으로 1가의 치환기를 나타내고, A는 2가의 유기기를 나타내고, Ar은 아릴기를 나타낸다. n은 0∼5의 정수이다. 복수의 X가 존재하는 경우, X는 각각 다른 X와 같거나 달라도 좋다.In formula (a), R and X each independently represent a monovalent substituent, A represents a divalent organic group, and Ar represents an aryl group. n is an integer of 0-5. When there are a plurality of X's, X may be the same as or different from each other.
식(a)의 R로 나타내어지는 1가의 치환기의 예는 이하에 나타낸 1가의 비금속 원자단을 포함하는 것이 바람직하다.It is preferable that the example of the monovalent substituent represented by R of Formula (a) contains the monovalent nonmetallic atom group shown below.
식(a)의 R로 나타내어지는 1가의 비금속 원자단의 예는 치환기를 가져도 좋은 알킬기, 치환기를 가져도 좋은 아릴기, 치환기를 가져도 좋은 알케닐기, 치환기를 가져도 좋은 알키닐기, 치환기를 가져도 좋은 알킬술피닐기, 치환기를 가져도 좋은 아릴술피닐기, 치환기를 가져도 좋은 알킬술포닐기, 치환기를 가져도 좋은 아릴술포닐기, 치환기를 가져도 좋은 아실기, 치환기를 가져도 좋은 알콕시카르보닐기, 치환기를 가져도 좋은 아릴옥시카르보닐기, 치환기를 가져도 좋은 포스피노일기, 치환기를 가져도 좋은 복소환기, 치환기를 가져도 좋은 알킬티오카르보닐기, 치환기를 가져도 좋은 아릴티오카르보닐기, 치환기를 가져도 좋은 디알킬아미노카르보닐기, 치환기를 가져도 좋은 디알킬아미노티오카르보닐기 등을 포함한다.Examples of the monovalent nonmetallic atom group represented by R in formula (a) include an alkyl group which may have a substituent, an aryl group which may have a substituent, an alkenyl group which may have a substituent, an alkynyl group which may have a substituent, and a substituent An alkylsulfinyl group which may have a substituent, an arylsulfinyl group which may have a substituent, an alkylsulfonyl group which may have a substituent, an arylsulfonyl group which may have a substituent, an acyl group which may have a substituent, an alkoxycarbonyl group which may have a substituent, and a substituent Aryloxycarbonyl group which may have, phosphinoyl group which may have substituent, heterocyclic group which may have substituent, alkylthiocarbonyl group which may have substituent, arylthiocarbonyl group which may have substituent, dialkyl which may have substituent Aminocarbonyl group, the dialkylaminothiocarbonyl group which may have a substituent, etc. are contained.
치환기를 가져도 좋은 알킬기로서 탄소원자 1∼30개의 알킬기가 바람직하고, 그 예는 메틸기, 에틸기, 프로필기, 부틸기, 헥실기, 옥틸기, 데실기, 도데실기, 옥타데실기, 이소프로필기, 이소부틸기, sec-부틸기, t-부틸기, 1-에틸펜틸기, 시클로펜틸기, 시클로헥실기, 트리플루오로메틸기, 2-에틸헥실기, 페나실기, 1-나프토일메틸기, 2-나프토일메틸기, 4-메틸술파닐페나실기, 4-페닐술파닐페나실기, 4-디메틸아미노페나실기, 4-시아노페나실기, 4-메틸페나실기, 2-메틸페나실기, 3-플루오로페나실기, 3-트리플루오로메틸페나실기, 3-니트로페나실기 등을 포함한다.As the alkyl group which may have a substituent, an alkyl group having 1 to 30 carbon atoms is preferable, and examples thereof include methyl group, ethyl group, propyl group, butyl group, hexyl group, octyl group, decyl group, dodecyl group, octadecyl group and isopropyl group. , Isobutyl group, sec-butyl group, t-butyl group, 1-ethylpentyl group, cyclopentyl group, cyclohexyl group, trifluoromethyl group, 2-ethylhexyl group, phenacyl group, 1-naphthoylmethyl group, 2 -Naphthoylmethyl group, 4-methylsulfanylphenacyl group, 4-phenylsulfanylphenacyl group, 4-dimethylaminophenacyl group, 4-cyanophenacyl group, 4-methylphenacyl group, 2-methylphenacyl group, 3-fluoro Lofenacyl groups, 3-trifluoromethylphenacyl groups, 3-nitrophenacyl groups and the like.
치환기를 가져도 좋은 아릴기로서 탄소원자 6∼30개의 아릴기가 바람직하고, 그 예는 페닐기, 비페닐기, 1-나프틸기, 2-나프틸기, 9-안트릴기, 9-페난트릴기, 1-피레닐기, 5-나프타세닐기, 1-인데닐기, 2-아줄레닐기, 9-플루오레닐기, 터페닐기, 쿼터페닐기, o-, m- 및 p-톨릴기, 크실릴기, o-, m- 및 p-쿠메닐기, 메시틸기, 펜타레닐기, 비나프탈레닐기, 터나프타닐기, 퀴터나프탈레닐기, 헵타레닐기, 비페닐레닐기, 인다세닐기, 플루오란테닐기, 아세타프틸레닐기, 아세안트릴레닐기, 페날레닐기, 플루오레닐기, 안트릴기, 비안트라세닐기, 터안트라세닐기, 쿼터안트라세닐기, 안트라퀴놀릴기, 페난트릴기, 트리페닐레닐기, 피레닐기, 크리세닐기, 나프타세닐기, 프레이아데닐기, 피세닐기, 페릴레닐기, 펜타페닐기, 펜타세닐기, 테트라페닐레닐기, 헥사페닐기, 헥사세닐기, 루비세닐기, 코로네닐기, 트리나프틸레닐기, 헵타페닐기, 헵타세닐기, 피란트레닐기, 오발레닐기 등을 포함한다.As an aryl group which may have a substituent, a C6-C30 aryl group is preferable, The example is a phenyl group, a biphenyl group, 1-naphthyl group, 2-naphthyl group, 9- anthryl group, 9-phenanthryl group, 1 -Pyrenyl group, 5-naphthacenyl group, 1-indenyl group, 2-azulenyl group, 9-fluorenyl group, terphenyl group, quarterphenyl group, o-, m- and p-tolyl group, xylyl group, o- , m- and p-cumenyl groups, mesityl groups, pentarenyl groups, vinaphthalenyl groups, ternaphtanyl groups, quternaphthalenyl groups, heptarenyl groups, biphenylenyl groups, indaseyl groups, fluoranthhenyl groups, acetaphs Thilenyl group, aceanthrylenyl group, penalenyl group, fluorenyl group, anthryl group, bianthracenyl group, teranthracenyl group, quarter anthracenyl group, anthraquinolyl group, phenanthryl group, triphenylenyl group, pyrenyl group Neyl group, crysenyl group, naphthacenyl group, preadenyl group, pisenyl group, perylenyl group, pentaphenyl group, pentasenyl group, tetraphenylenyl group, hexaphenyl group, hexa It includes groups, ruby hexenyl group, a nose Ro group, tri tilre naphthyl group, a heptadecyl group, a heptadecyl hexenyl group, a pyran group Trail, Oh groups such as ballet.
치환기를 가져도 좋은 알케닐기로서 탄소원자 2∼10개의 알케닐기가 바람직하고, 그 예는 비닐기, 알릴기, 스티릴기 등을 포함한다.Alkenyl groups having 2 to 10 carbon atoms are preferable as the alkenyl group which may have a substituent, and examples thereof include vinyl group, allyl group, styryl group and the like.
치환기를 가져도 좋은 알키닐기로서 탄소원자 2∼10개의 알키닐기가 바람직하고, 그 예는 에티닐기, 프로피닐기, 프로파르길기 등을 포함한다.As the alkynyl group which may have a substituent, an alkynyl group having 2 to 10 carbon atoms is preferable, and examples thereof include an ethynyl group, propynyl group, propargyl group and the like.
치환기를 가져도 좋은 알킬술피닐기로서 탄소원자 1∼20개의 알킬술피닐기가 바람직하고, 그 예는 메틸술피닐기, 에틸술피닐기, 프로필술피닐기, 이소프로필술피닐기, 부틸술피닐기, 헥실술피닐기, 시클로헥실술피닐기, 옥틸술피닐기, 2-에틸헥실술피닐기, 데카노일술피닐기, 도데카노일술피닐기, 옥타데카노일술피닐기, 시아노메틸술피닐기, 메톡시메틸술피닐기 등을 포함한다.The alkylsulfinyl group which may have a substituent is preferably an alkylsulfinyl group having 1 to 20 carbon atoms, and examples thereof include methylsulfinyl, ethylsulfinyl, propylsulfinyl, isopropylsulfinyl, butylsulfinyl, hexylsulfinyl, Cyclohexylsulfinyl group, octylsulfinyl group, 2-ethylhexylsulfinyl group, decanoylsulfinyl group, dodecanoylsulfinyl group, octadecanoylsulfinyl group, cyanomethylsulfinyl group, methoxymethylsulfinyl group and the like.
치환기를 가져도 좋은 아릴술피닐기로서 탄소원자 6∼30개의 아릴술피닐기가 바람직하고, 그 예는 페닐술피닐기, 1-나프틸술피닐기, 2-나프틸술피닐기, 2-클로로페닐술피닐기, 2-메틸페닐술피닐기, 2-메톡시페닐술피닐기, 2-부톡시페닐술피닐기, 3-클로로페닐술피닐기, 3-트리플루오로메틸페닐술피닐기, 3-시아노페닐술피닐기, 3-니트로페닐술피닐기, 4-플루오로페닐술피닐기, 4-시아노페닐술피닐기, 4-메톡시페닐술피닐기, 4-메틸술파닐페닐술피닐기, 4-페닐술파닐페닐술피닐기, 4-디메틸아미노페닐술피닐기 등을 포함한다.As the arylsulfinyl group which may have a substituent, an arylsulfinyl group having 6 to 30 carbon atoms is preferable, and examples thereof include a phenylsulfinyl group, 1-naphthylsulfinyl group, 2-naphthylsulfinyl group, 2-chlorophenylsulfinyl group, 2-methylphenylsulfinyl group, 2-methoxyphenylsulfinyl group, 2-butoxyphenylsulfinyl group, 3-chlorophenylsulfinyl group, 3-trifluoromethylphenylsulfinyl group, 3-cyanophenylsulfinyl group, 3-nitrophenyl Sulfinyl, 4-fluorophenylsulfinyl, 4-cyanophenylsulfinyl, 4-methoxyphenylsulfinyl, 4-methylsulfanylphenylsulfinyl, 4-phenylsulfanylphenylsulfinyl, 4-dimethylaminophenyl Sulfinyl groups and the like.
치환기를 가져도 좋은 알킬술포닐기로서 탄소원자 1∼20개의 알킬술포닐기가 바람직하고, 그 예는 메틸술포닐기, 에틸술포닐기, 프로필술포닐기, 이소프로필술포닐기, 부틸술포닐기, 헥실술포닐기, 시클로헥실술포닐기, 옥틸술포닐기, 2-에틸헥실술포닐기, 데카노일술포닐기, 도데카노일술포닐기, 옥타데카노일술포닐기, 시아노메틸술포닐기, 메톡시메틸술포닐기, 퍼플루오로알킬술포닐기 등을 포함한다.The alkylsulfonyl group which may have a substituent is preferably an alkylsulfonyl group having 1 to 20 carbon atoms, and examples thereof include methylsulfonyl group, ethylsulfonyl group, propylsulfonyl group, isopropylsulfonyl group, butylsulfonyl group, hexylsulfonyl group, Cyclohexylsulfonyl group, octylsulfonyl group, 2-ethylhexylsulfonyl group, decanoylsulfonyl group, dodecanoylsulfonyl group, octadecanoylsulfonyl group, cyanomethylsulfonyl group, methoxymethylsulfonyl group, perfluoroalkylsulfo And a nil group.
치환기를 가져도 좋은 아릴술포닐기로서 탄소원자 6∼30개의 아릴술포닐기가 바람직하고, 그 예는 페닐술포닐기, 1-나프틸술포닐기, 2-나프틸술포닐기, 2-클로로페닐술포닐기, 2-메틸페닐술포닐기, 2-메톡시페닐술포닐기, 2-부톡시페닐술포닐기, 3-클로로페닐술포닐기, 3-트리플루오로메틸페닐술포닐기, 3-시아노페닐술포닐기, 3-니트로페닐술포닐기, 4-플루오로페닐술포닐기, 4-시아노페닐술포닐기, 4-메톡시페닐술포닐기, 4-메틸술파닐페닐술포닐기, 4-페닐술파닐페닐술포닐기, 4-디메틸아미노페닐술포닐기 등을 포함한다.As an arylsulfonyl group which may have a substituent, the arylsulfonyl group of 6-30 carbon atoms is preferable, For example, a phenylsulfonyl group, 1-naphthylsulfonyl group, 2-naphthylsulfonyl group, 2-chlorophenylsulfonyl group, 2-methylphenylsulfonyl group, 2-methoxyphenylsulfonyl group, 2-butoxyphenylsulfonyl group, 3-chlorophenylsulfonyl group, 3-trifluoromethylphenylsulfonyl group, 3-cyanophenylsulfonyl group, 3-nitrophenyl Sulfonyl group, 4-fluorophenylsulfonyl group, 4-cyanophenylsulfonyl group, 4-methoxyphenylsulfonyl group, 4-methylsulfanylphenylsulfonyl group, 4-phenylsulfanylphenylsulfonyl group, 4-dimethylaminophenyl Sulfonyl groups and the like.
치환기를 가져도 좋은 아실기로서 탄소원자 2∼20개의 아실기가 바람직하고, 그 예는 아세틸기, 프로파노일기, 부타노일기, 트리플루오로메틸카르보닐기, 펜타노일기, 벤조일기, 1-나프토일기, 2-나프토일기, 4-메틸술파닐벤조일기, 4-페닐술파닐벤조일기, 4-디메틸아미노벤조일기, 4-디에틸아미노벤조일기, 2-클로로벤조일기, 2-메틸벤조일기, 2-메톡시벤조일기, 2-부톡시벤조일기, 3-클로로벤조일기, 3-트리플루오로메틸벤조일기, 3-시아노벤조일기, 3-니트로벤조일기, 4-플루오로벤조일기, 4-시아노벤조일기, 4-메톡시벤조일기 등을 포함한다.As the acyl group which may have a substituent, an acyl group having 2 to 20 carbon atoms is preferable, and examples thereof include an acetyl group, propanoyl group, butanoyl group, trifluoromethylcarbonyl group, pentanoyl group, benzoyl group, 1-naphthoyl group, 2-naphthoyl group, 4-methylsulfanylbenzoyl group, 4-phenylsulfanylbenzoyl group, 4-dimethylaminobenzoyl group, 4-diethylaminobenzoyl group, 2-chlorobenzoyl group, 2-methylbenzoyl group, 2 -Methoxybenzoyl group, 2-butoxybenzoyl group, 3-chlorobenzoyl group, 3-trifluoromethylbenzoyl group, 3-cyanobenzoyl group, 3-nitrobenzoyl group, 4-fluorobenzoyl group, 4- Cyanobenzoyl group, 4-methoxybenzoyl group and the like.
치환기를 가져도 좋은 알콕시카르보닐기로서 탄소원자 2∼20개의 알콕시카르보닐기가 바람직하고, 그 예는 메톡시카르보닐기, 에톡시카르보닐기, 프로폭시카르보닐기, 부톡시카르보닐기, 헥실옥시카르보닐기, 옥틸옥시카르보닐기, 데실옥시카르보닐기, 옥타데실옥시카르보닐기, 트리플루오로메틸옥시카르보닐기 등을 포함한다.As the alkoxycarbonyl group which may have a substituent, alkoxycarbonyl group having 2 to 20 carbon atoms is preferable, and examples thereof include methoxycarbonyl group, ethoxycarbonyl group, propoxycarbonyl group, butoxycarbonyl group, hexyloxycarbonyl group, octyloxycarbonyl group, decyloxycarbonyl group , Octadecyloxycarbonyl group, trifluoromethyloxycarbonyl group, and the like.
치환기를 가져도 좋은 아릴옥시카르보닐기의 예는 페녹시카르보닐기, 1-나프틸옥시카르보닐기, 2-나프틸옥시카르보닐기, 4-메틸술파닐페닐옥시카르보닐기, 4-페닐술파닐페닐옥시카르보닐기, 4-디메틸아미노페닐옥시카르보닐기, 4-디에틸아미노페닐옥시카르보닐기, 2-클로로페닐옥시카르보닐기, 2-메틸페닐옥시카르보닐기, 2-메톡시페닐옥시카르보닐기, 2-부톡시페닐옥시카르보닐기, 3-클로로페닐옥시카르보닐기, 3-트리플루오로메틸페닐옥시카르보닐기, 3-시아노페닐옥시카르보닐기, 3-니트로페닐옥시카르보닐기, 4-플루오로페닐옥시카르보닐기, 4-시아노페닐옥시카르보닐기, 4-메톡시페닐옥시카르보닐기 등을 포함한다.Examples of the aryloxycarbonyl group which may have a substituent include phenoxycarbonyl group, 1-naphthyloxycarbonyl group, 2-naphthyloxycarbonyl group, 4-methylsulfanylphenyloxycarbonyl group, 4-phenylsulfanylphenyloxycarbonyl group, 4-dimethyl Aminophenyloxycarbonyl group, 4-diethylaminophenyloxycarbonyl group, 2-chlorophenyloxycarbonyl group, 2-methylphenyloxycarbonyl group, 2-methoxyphenyloxycarbonyl group, 2-butoxyphenyloxycarbonyl group, 3-chlorophenyloxycarbonyl group, 3-trifluoromethylphenyloxycarbonyl group, 3-cyanophenyloxycarbonyl group, 3-nitrophenyloxycarbonyl group, 4-fluorophenyloxycarbonyl group, 4-cyanophenyloxycarbonyl group, 4-methoxyphenyloxycarbonyl group and the like do.
치환기를 가져도 좋은 포스피노일기로서 총 탄소원자 2∼50개의 포스피노일기가 바람직하고, 그 예는 디메틸포스피노일기, 디에틸포스피노일기, 디프로필포스피노일기, 디페닐포스피노일기, 디메톡시포스피노일기, 디에톡시포스피노일기, 디벤조일포스피노일기, 비스(2,4,6-트리메틸페닐)포스피노일기 등을 포함한다.As the phosphinoyl group which may have a substituent, a phosphinoyl group having 2 to 50 carbon atoms is preferable, and examples thereof include dimethyl phosphinoyl group, diethyl phosphinoyl group, dipropyl phosphinoyl group, diphenyl phosphinoyl group, and dimethopyl group. Oxyphosphinoyl group, diethoxyphosphinoyl group, dibenzoylphosphinoyl group, bis (2,4,6-trimethylphenyl) phosphinoyl group and the like.
치환기를 가져도 좋은 복소환기로서 질소원자, 산소원자, 황원자 및 인원자를 함유하는 방향족 또는 지방족의 복소환이 바람직하다. 그 예는 티에닐기, 벤조[b]티에닐기, 나프토[2,3-b]티에닐기, 티안트레닐기, 푸릴기, 피라닐기, 이소벤조푸라닐기, 크로메닐기, 크산테닐기, 페녹사티이닐, 2H-피롤릴기, 피롤릴기, 이미다졸릴기, 피라졸릴기, 피리딜기, 피라지닐기, 피리미디닐기, 피리다지닐기, 인돌리지닐기, 이소인돌릴기, 3H-인돌릴기, 인돌릴기, 1H-인다졸릴기, 푸리닐기, 4H-퀴놀리지닐기, 이소퀴놀릴기, 퀴놀릴기, 프탈라지닐기, 나프티리디닐기, 퀴녹살리닐기, 퀴나졸리닐기, 신놀리닐기, 프테리디닐기, 4aH-카르바졸릴기, 카르바졸릴기, β-카르볼리닐기, 페난트리디닐기, 아크리디닐기, 페리미디닐기, 페난트롤리닐기, 페나지닐기, 페날사지닐기, 이소티아졸릴기, 페노티아지닐기, 이속사졸릴기, 푸라자닐기, 페녹사지닐기, 이소크로마닐기, 크로마닐기, 피롤리디닐기, 피롤리닐기, 이미다졸리디닐기, 이미다졸리닐기, 피라졸리디닐기, 피라졸리닐기, 피페리딜기, 피페라지닐기, 인돌리닐기, 이소인돌리닐기, 퀴누클리디닐기, 모르폴리닐기, 티옥산톨릴기 등을 포함한다.As the heterocyclic group which may have a substituent, an aromatic or aliphatic heterocycle containing a nitrogen atom, an oxygen atom, a sulfur atom and a person atom is preferable. Examples thereof include thienyl group, benzo [b] thienyl group, naphtho [2,3-b] thienyl group, thianthrenyl group, furyl group, pyranyl group, isobenzofuranyl group, chromenyl group, xanthenyl group, phenoxa Thiynyl, 2H-pyrrolyl group, pyrrolyl group, imidazolyl group, pyrazolyl group, pyridyl group, pyrazinyl group, pyrimidinyl group, pyridazinyl group, indolinyl group, isoindolinyl group, 3H-indolyl group , Indolyl group, 1H-indazolyl group, furinyl group, 4H-quinolinyl group, isoquinolyl group, quinolyl group, phthalazinyl group, naphthyridinyl group, quinoxalinyl group, quinazolinyl group, cinnaolinyl group, Pterridinyl group, 4aH-carbazolyl group, carbazolyl group, β-carbolinyl group, phenantridinyl group, acridinyl group, perimidinyl group, phenanthrolinyl group, phenazinyl group, phenalzazinyl group, iso Thiazolyl, phenothiazinyl, isoxazolyl, furazanyl, phenoxazinyl, isochromenyl, chromanyl, pyrrolidinyl, pyrrolinyl, Dazolidinyl, imidazolinyl, pyrazolidinyl, pyrazolinyl, piperidyl, piperazinyl, indolinyl, isoindolinyl, quinuclidinyl, morpholinyl, thioxantholyl And the like.
치환기를 가져도 좋은 알킬티오카르보닐기의 예는 메틸티오카르보닐기, 프로필티오카르보닐기, 부틸티오카르보닐기, 헥실티오카르보닐기, 옥틸티오카르보닐기, 데실티오카르보닐기, 옥타데실티오카르보닐기, 트리플루오로메틸티오카르보닐기 등을 포함한다.Examples of the alkylthiocarbonyl group which may have a substituent include methylthiocarbonyl group, propylthiocarbonyl group, butylthiocarbonyl group, hexylthiocarbonyl group, octylthiocarbonyl group, decylthiocarbonyl group, octadecylthiocarbonyl group, trifluoromethylthiocarbonyl group, and the like. .
치환기를 가져도 좋은 아릴티오카르보닐기의 예는 1-나프틸티오카르보닐기, 2-나프틸티오카르보닐기, 4-메틸술파닐페닐티오카르보닐기, 4-페닐술파닐페닐티오카르보닐기, 4-디메틸아미노페닐티오카르보닐기, 4-디에틸아미노페닐티오카르보닐기, 2-클로로페닐티오카르보닐기, 2-메틸페닐티오카르보닐기, 2-메톡시페닐티오카르보닐기, 2-부톡시페닐티오카르보닐기, 3-클로로페닐티오카르보닐기, 3-트리플루오로메틸페닐티오카르보닐기, 3-시아노페닐티오카르보닐기, 3-니트로페닐티오카르보닐기, 4-플루오로페닐티오카르보닐기, 4-시아노페닐티오카르보닐기, 4-메톡시페닐티오카르보닐기 등을 포함한다.Examples of the arylthiocarbonyl group which may have a substituent include 1-naphthylthiocarbonyl group, 2-naphthylthiocarbonyl group, 4-methylsulfanylphenylthiocarbonyl group, 4-phenylsulfanylphenylthiocarbonyl group, 4-dimethylaminophenylthiocarbonyl group , 4-diethylaminophenylthiocarbonyl group, 2-chlorophenylthiocarbonyl group, 2-methylphenylthiocarbonyl group, 2-methoxyphenylthiocarbonyl group, 2-butoxyphenylthiocarbonyl group, 3-chlorophenylthiocarbonyl group, 3-trifluoro A romethylphenylthiocarbonyl group, 3-cyanophenylthiocarbonyl group, 3-nitrophenylthiocarbonyl group, 4-fluorophenylthiocarbonyl group, 4-cyanophenylthiocarbonyl group, 4-methoxyphenylthiocarbonyl group, and the like.
치환기를 가져도 좋은 디알킬아미노카르보닐기의 예는 디메틸아미노카르보닐기, 디에틸아미노카르보닐기, 디프로필아미노카르보닐기, 디부틸아미노카르보닐기 등을 포함한다.Examples of the dialkylaminocarbonyl group which may have a substituent include dimethylaminocarbonyl group, diethylaminocarbonyl group, dipropylaminocarbonyl group, dibutylaminocarbonyl group and the like.
치환기를 가져도 좋은 디알킬아미노티오카르보닐기의 예는 디메틸아미노티오카르보닐기, 디프로필아미노티오카르보닐기, 디부틸아미노티오카르보닐기 등을 포함한다.Examples of the dialkylaminothiocarbonyl group which may have a substituent include a dimethylaminothiocarbonyl group, dipropylaminothiocarbonyl group, dibutylaminothiocarbonyl group and the like.
이들 중에 감도가 증가하는 관점에서, 식(a)의 R은 아실기가 보다 바람직하고, 구체적으로는 아세틸기, 에틸로일기, 프로피오일기, 벤조일기 및 톨루일기가 바람직하다.Among these, from the viewpoint of increasing the sensitivity, R in the formula (a) is more preferably an acyl group, and specifically, an acetyl group, an ethyloyl group, a propioyl group, a benzoyl group and a toluyl group are preferable.
식(a)의 A로 나타내어지는 2가의 유기기의 예는 치환기를 가져도 좋은 탄소원자 1∼12개의 알킬렌, 치환기를 가져도 좋은 시클로헥실렌 및 치환기를 가져도 좋은 알키닐렌을 포함한다.Examples of the divalent organic group represented by A in formula (a) include alkylene having 1 to 12 carbon atoms which may have a substituent, cyclohexylene which may have a substituent, and alkynylene which may have a substituent.
이들 기에 도입할 수 있는 치환기의 예는 불소원자, 염소원자, 브롬원자, 요오드원자 등의 할로겐기, 메톡시기, 에톡시기 및 tert-부톡시기 등의 알콕시기, 페녹시기 및 p-톨릴옥시 등의 아릴옥시기, 메톡시카르보닐기, 부톡시카르보닐기 및 페녹시카르보닐기 등의 알콕시카르보닐기, 아세톡시기, 프로피오닐옥시기 및 벤조일옥시기 등의 아실옥시기, 아세틸기, 벤조일기, 이소부티릴기, 아크릴로일기, 메타크릴로일기 및 메톡사릴기 등의 아실기, 메틸술파닐기 및 tert-부틸술파닐기 등의 알킬술파닐기, 페닐술파닐기 및 p-톨릴술파닐기 등의 아릴술파닐기, 메틸아미노기 및 시클로헥실아미노기 등의 알킬아미노기, 디메틸아미노기, 디에틸아미노기, 모르폴리노기 및 피페리디노기 등의 디알킬아미노기, 페닐아미노기 및 p-톨릴아미노기 등의 아릴아미노기, 메틸기, 에틸기, tert-부틸기 및 도데실기 등의 알킬기, 페닐기, p-톨릴기, 크실릴기, 쿠메닐기, 나프틸기, 안트릴기 및 페난트릴기 등의 아릴기, 및 히드록시기, 카르복실기, 포르밀기, 메르캅토기, 술포기, 메실기, p-톨루엔 술포닐기, 아미노기, 니트로기, 시아노기, 트리플루오로메틸기, 트리클로로메틸기, 트리메틸실릴기, 포스피니코기, 포스포노기, 트리메틸암모니우밀기, 디메틸술포니우밀기 및 트리페닐페나실포스포니우밀기 등의 기타 기를 포함한다.Examples of substituents that can be introduced into these groups include halogen groups such as fluorine, chlorine, bromine and iodine atoms, alkoxy groups such as methoxy, ethoxy and tert-butoxy groups, phenoxy and p-tolyloxy and the like. Acyloxy group, acetyl group, benzoyl group, isobutyryl group, acrylo, such as alkoxycarbonyl group, acetoxy group, propionyloxy group and benzoyloxy group such as aryloxy group, methoxycarbonyl group, butoxycarbonyl group and phenoxycarbonyl group Arylsulfanyl groups such as acyl groups such as diary, methacryloyl group and methoxaryl group, alkylsulfanyl groups such as methylsulfanyl group and tert-butylsulfanyl group, phenylsulfanyl group and p-tolylsulfanyl group, methylamino group and cyclohexyl Arylamino groups such as dialkylamino groups such as alkylamino groups such as amino groups, dimethylamino groups, diethylamino groups, morpholino groups and piperidino groups, phenylamino groups and p-tolylamino groups Aryl groups such as alkyl groups such as methyl, ethyl, tert-butyl and dodecyl, phenyl, p-tolyl, xylyl, cumenyl, naphthyl, anthryl and phenanthryl groups, and hydroxy, carboxyl, Formyl group, mercapto group, sulfo group, mesyl group, p-toluene sulfonyl group, amino group, nitro group, cyano group, trifluoromethyl group, trichloromethyl group, trimethylsilyl group, phosphinico group, phosphono group, trimethyl And other groups such as an ammonium group, a dimethyl sulfonium group, and a triphenylphenacylphosphonium group.
이들 중에, 감도를 증가시키고 가열 경시에 따른 착색을 억제하는 관점에서 식(a)의 A는 무치환의 알킬렌기, 알킬기(예를 들면, 메틸기, 에틸기, tert-부틸기 및 도데실기)로 치환된 알킬렌기, 알케닐기(예를 들면, 비닐기 및 알릴기)로 치환된 알킬렌기, 아릴기(예를 들면, 페닐기, p-톨릴기, 크실릴기, 쿠메닐기, 나프틸기, 안트릴기, 페난트릴기 및 스티릴기)로 치환된 알킬렌기가 바람직하다.Among them, A in formula (a) is substituted with an unsubstituted alkylene group and an alkyl group (for example, methyl group, ethyl group, tert-butyl group and dodecyl group) in view of increasing sensitivity and suppressing coloring with time of heating. An alkylene group substituted with an alkylene group, an alkenyl group (eg, vinyl group and allyl group), an aryl group (eg, phenyl group, p-tolyl group, xylyl group, cumenyl group, naphthyl group, anthryl group) , Phenanthryl group and styryl group) is preferable.
식(a)의 Ar로 나타내어지는 아릴기는 탄소원자 6∼30개의 아릴기가 바람직하고, 치환기를 가져도 좋다.The aryl group represented by Ar in formula (a) is preferably an aryl group having 6 to 30 carbon atoms, and may have a substituent.
그 구체예는 페닐기, 비페닐기, 1-나프틸기, 2-나프틸기, 9-안트릴기, 9-페난트릴기, 1-피레닐기, 5-나프타세닐기, 1-인데닐기, 2-아줄레닐기, 9-플루오레닐기, 터페닐기, 쿼터페닐기, o-, m- 및 p-톨릴기, 크실릴기, o-, m- 및 p-쿠메닐기, 메시틸기, 펜타레닐기, 비나프탈레닐기, 터나프타닐기, 퀴터나프탈레닐기, 헵타레닐기, 비페닐레닐기, 인다세닐기, 플루오란테닐기, 아세나프틸레닐기, 아세안트릴레닐기, 페날레닐기, 플루오레닐기, 안트릴기, 비안트라세닐기, 터안트라세닐기, 쿼터안트라세닐기, 안트라퀴놀릴기, 페난트릴기, 트리페닐레닐기, 피레닐기, 크리세닐기, 나프타세닐기, 프레이아데닐, 피세닐기, 피릴레닐기, 펜타페닐기, 펜타세닐기, 테트라페닐레닐기, 헥사페닐기, 헥사세닐기, 루비세닐기, 코로네닐기, 트리나프틸레닐기, 트리나프틸레닐기, 헵타페닐기, 헵타세닐기, 피란트레닐기, 오발레닐기 등을 포함한다. 이들 중에, 감도를 증가시키고 가열 경시에 따른 착색을 억제하는 관점에서 치환 또는 무치환의 페닐기가 바람직하다.Specific examples thereof include a phenyl group, a biphenyl group, 1-naphthyl group, 2-naphthyl group, 9-anthryl group, 9-phenanthryl group, 1-pyrenyl group, 5-naphthacenyl group, 1-indenyl group and 2-a Zulenyl, 9-fluorenyl, terphenyl, quarter-phenyl, o-, m- and p-tolyl, xylyl, o-, m- and p-cumenyl, mesityl, pentarenyl, vinaf Thalenyl group, ternaphtanyl group, quternaphthalenyl group, heptarenyl group, biphenylenyl group, indasenyl group, fluoranthenyl group, acenaphthylenyl group, aceanthrylenyl group, penalenyl group, fluorenyl group, anthryl Group, bianthracenyl group, teranthracenyl group, quarter anthracenyl group, anthraquinolyl group, phenanthryl group, triphenylenyl group, pyrenyl group, chrysenyl group, naphthacenyl group, preadienyl, picenyl group, Pyryleneyl group, pentaphenyl group, pentaxenyl group, tetraphenylenyl group, hexaphenyl group, hexasenyl group, rubisenyl group, coronyl group, trinaphthyllenyl group, trinaphthylenyl group, hep A taphenyl group, a heptacenyl group, a pyrantrenyl group, an ovalenyl group and the like. Among them, a substituted or unsubstituted phenyl group is preferable from the viewpoint of increasing the sensitivity and suppressing coloring with time of heating.
상기 페닐기가 치환기를 갖는 경우, 그 치환기의 예는 불소원자, 염소원자, 브롬원자, 요오드원자 등의 할로겐기, 메톡시기, 에톡시기 및 tert-부톡시기 등의 알콕시기, 페녹시기 및 p-톨릴옥시기 등의 아릴옥시기, 메틸티오기, 에틸티오기 및 tert-부틸티오기 등의 알킬티오기, 페닐티오기 및 p-톨릴티오기 등의 아릴티오기, 메톡시카르보닐기, 부톡시카르보닐기 및 페녹시카르보닐기 등의 알콕시카르보닐기, 아세톡시기, 프로피오닐옥시기 및 벤조일옥시기 등의 등의 아실옥시기, 아세틸기, 벤조일기, 이소부티릴기, 아크릴로일기, 메타크릴로일기 및 메톡살릴기 등의 아실기, 메틸술파닐기 및 tert-부틸술파닐기 등의 알킬술파닐기, 페닐술파닐기 및 p-톨릴술파닐기 등의 아릴술파닐기, 메틸아미노기 및 시클로헥실아미노기 등의 알킬아미노기, 디메틸아미노기, 디에틸아미노기, 모르폴리노기 및 피페리디노기 등의 디알킬아미노기, 페닐아미노기 및 p-톨릴아미노기 등의 아릴아미노기, 에틸기, tert-부틸기 및 도데실기 등의 알킬기, 히드록실기, 카르복실기, 포르밀기, 메르캅토 기, 술포기, 메실기, p-톨루엔 술포닐기, 아미노기, 니트로기, 시아노기, 트리플루오로메틸기, 트리클로로메틸기, 트리메틸실릴기, 포스피니코기, 포스포노기, 트리메틸암모니우밀기, 디메틸술포니우밀기, 트리페닐페나실포스포니우밀기 등을 포함한다.When the phenyl group has a substituent, examples of the substituent include halogen groups such as fluorine atom, chlorine atom, bromine atom and iodine atom, alkoxy group such as methoxy group, ethoxy group and tert-butoxy group, phenoxy group and p-tol Arylthio groups such as aryloxy groups such as aryloxy groups, methylthio groups, ethylthio groups and tert-butylthio groups, arylthio groups such as phenylthio groups and p-tolylthio groups, methoxycarbonyl groups, butoxycarbonyl groups, and Acyloxy groups, such as alkoxycarbonyl groups, such as the phenoxycarbonyl group, acetoxy group, propionyloxy group, and benzoyloxy group, acetyl group, benzoyl group, isobutyryl group, acryloyl group, methacryloyl group, and methoxylyl group Alkylsulfanyl groups, such as the acyl group, methylsulfanyl group, and tert- butylsulfanyl group, such as arylsulfanyl groups, such as phenylsulfanyl group and p-tolylsulfanyl group, alkylamino groups, such as methylamino group and cyclohexylamino group, and dimethylami Dialkylamino groups such as groups, diethylamino groups, morpholino groups and piperidino groups, arylamino groups such as phenylamino groups and p-tolylamino groups, alkyl groups such as ethyl groups, tert-butyl groups and dodecyl groups, hydroxyl groups, carboxyl groups, Formyl group, mercapto group, sulfo group, mesyl group, p-toluene sulfonyl group, amino group, nitro group, cyano group, trifluoromethyl group, trichloromethyl group, trimethylsilyl group, phosphinico group, phosphono group, trimethyl Ammonium wheat group, dimethyl sulfonyl wheat group, triphenyl phenacyl phosphonyl wheat group and the like.
식(a) 중, 감도의 관점에서 Ar와 상기 Ar와 인접하는 S로 형성되는 "SAr"의 구조는 이하에 나타낸 임의의 구조인 것이 바람직하다.In formula (a), it is preferable that the structure of "SAr" formed from Ar and S adjacent to said Ar from a viewpoint of a sensitivity is arbitrary structures shown below.
식(a)의 X로 나타내어지는 1가의 치환기의 예는 치환기를 가져도 좋은 알킬기, 치환기를 가져도 좋은 아릴기, 치환기를 가져도 좋은 알케닐기, 치환기를 가져도 좋은 알키닐기, 치환기를 가져도 좋은 알콕시기, 치환기를 가져도 좋은 아릴옥시기, 치환기를 가져도 좋은 알킬티오기, 치환기를 가져도 좋은 아릴티오기, 치환기를 가져도 좋은 아실옥시기, 치환기를 가져도 좋은 알킬술파닐기, 치환기를 가져도 좋은 아릴술파닐기, 치환기를 가져도 좋은 알킬술피닐기, 치환기를 가져도 좋은 아릴술피닐기, 치환기를 가져도 좋은 알킬술포닐기, 치환기를 가져도 좋은 아릴술포닐기, 치환기를 가져도 좋은 아실기, 치환기를 가져도 좋은 알콕시카르보닐기, 치환기를 가져도 좋은 카르바모일기, 치환기를 가져도 좋은 술파모일기, 치환기를 가져도 좋은 아미노기, 치환기를 가져도 좋은 포스피노일기, 치환기를 가져도 좋은 복소환기, 할로겐기 등을 포함한다.Examples of the monovalent substituent represented by X in formula (a) include an alkyl group which may have a substituent, an aryl group which may have a substituent, an alkenyl group which may have a substituent, an alkynyl group which may have a substituent, and a substituent Good alkoxy group, aryloxy group which may have substituent, alkylthio group which may have substituent, arylthio group which may have substituent, acyloxy group which may have substituent, alkylsulfanyl group which may have substituent, substituent An arylsulfanyl group which may have a substituent, an alkylsulfinyl group which may have a substituent, an arylsulfinyl group which may have a substituent, an alkylsulfonyl group which may have a substituent, an arylsulfonyl group which may have a substituent, or an a substituent which may have a substituent The alkoxycarbonyl group which may have a real group and a substituent, the carbamoyl group which may have a substituent, the sulfamoyl group which may have a substituent, and the amino group which may have a substituent And a phosphinoyl group which may have a substituent, a heterocyclic group which may have a substituent, and a halogen group.
치환기를 가져도 좋은 알킬기로서 탄소원자 1∼30개의 알킬기가 바람직하고, 그 예는 메틸기, 에틸기, 프로필기, 부틸기, 헥실기, 옥틸기, 데실기, 도데실기, 옥타데실기, 이소프로필기, 이소부틸기, sec-부틸기, tert-부틸기, 1-에틸펜틸기, 시클로펜틸기, 시클로헥실기, 트리플루오로메틸기, 2-에틸헥실기, 페나실기, 1-나프토일메틸기, 2-나프토일메틸기, 4-메틸술파닐페나실기, 4-페닐술파닐페나실기, 4-디메틸아미노페나실기, 4-시아노페나실기, 4-메틸페나실기, 2-메틸페나실기, 3-플루오로페나실기, 3-트리플루오로메틸페나실기, 3-니트로페나실기 등을 포함한다.As the alkyl group which may have a substituent, an alkyl group having 1 to 30 carbon atoms is preferable, and examples thereof include methyl group, ethyl group, propyl group, butyl group, hexyl group, octyl group, decyl group, dodecyl group, octadecyl group and isopropyl group. , Isobutyl group, sec-butyl group, tert-butyl group, 1-ethylpentyl group, cyclopentyl group, cyclohexyl group, trifluoromethyl group, 2-ethylhexyl group, phenacyl group, 1-naphthoylmethyl group, 2 -Naphthoylmethyl group, 4-methylsulfanylphenacyl group, 4-phenylsulfanylphenacyl group, 4-dimethylaminophenacyl group, 4-cyanophenacyl group, 4-methylphenacyl group, 2-methylphenacyl group, 3-fluoro Lofenacyl groups, 3-trifluoromethylphenacyl groups, 3-nitrophenacyl groups and the like.
치환기를 가져도 좋은 아릴기로서 탄소원자 6∼30개의 아릴기가 바람직하고, 그 예는 페닐기, 비페닐기, 1-나프틸기, 2-나프틸기, 9-안트릴기, 9-페난트릴기, 1-피레닐기, 5-나프타세닐기, 1-인데닐기, 2-아줄레닐기, 9-플루오레닐기, 터페닐기, 쿼터페닐기, o-, m- 및 p-톨릴기, 크실릴기, o-, m- 및 p-쿠메닐기, 메시틸기, 펜타레닐기, 비나프탈레닐기, 터나프탈레닐기, 퀴터나프탈레닐기, 헵타레닐기, 비페닐레닐기, 인다세닐기, 플루오란테닐기, 아세나프틸레닐기, 아세안트릴레닐기, 페날레닐기, 플루오레닐기, 안트릴기, 비안트라세닐기, 터안트라세닐기, 쿼터안트라세닐기, 안트라퀴놀릴기, 페난트릴기, 트리페닐레닐기, 피레닐기, 크리세닐기, 나프타세닐기, 프레이아데닐기, 피세닐기, 페릴레닐기, 펜타페닐기, 펜타세닐기, 테트라페닐레닐기, 헥사페닐기, 헥사세닐기, 루비세닐기, 코로네닐기, 트리나프틸레닐기, 헵타페닐기, 헵타세닐기, 피란트레닐기, 오발레닐기 등을 포함한다.As an aryl group which may have a substituent, a C6-C30 aryl group is preferable, The example is a phenyl group, a biphenyl group, 1-naphthyl group, 2-naphthyl group, 9- anthryl group, 9-phenanthryl group, 1 -Pyrenyl group, 5-naphthacenyl group, 1-indenyl group, 2-azulenyl group, 9-fluorenyl group, terphenyl group, quarterphenyl group, o-, m- and p-tolyl group, xylyl group, o- , m- and p-cumenyl groups, mesityl groups, pentarenyl groups, vinaphthalenyl groups, ternaphthalenyl groups, quternaphthalenyl groups, heptarenyl groups, biphenylenyl groups, indasenyl groups, fluoranthrenyl groups, ace Naphthylenyl group, aceanthrylenyl group, penalenyl group, fluorenyl group, anthryl group, bianthracenyl group, teranthracenyl group, quarter anthracenyl group, anthraquinolyl group, phenanthryl group, triphenylenyl group, Pyrenyl, chrysenyl, naphthacenyl, preadenyl, pisenyl, perrylenyl, pentaphenyl, pentasenyl, tetraphenylenyl, hexaphenyl, hex It includes a hexenyl group, a hexenyl group ruby, nose Ro group, tri tilre naphthyl group, a heptadecyl group, a heptadecyl hexenyl group, a pyran group Trail, Oh groups such as ballet.
치환기를 가져도 좋은 알케닐기로서 탄소원자 2∼10개의 알케닐기가 바람직하고, 그 예는 비닐기, 알릴기, 스티릴기 등을 포함한다.Alkenyl groups having 2 to 10 carbon atoms are preferable as the alkenyl group which may have a substituent, and examples thereof include vinyl group, allyl group, styryl group and the like.
치환기를 가져도 좋은 알키닐기로서 탄소원자 2∼10개의 알키닐기가 바람직하고, 그 예는 에티닐기, 프로피닐기, 프로파르길기 등을 포함한다.As the alkynyl group which may have a substituent, an alkynyl group having 2 to 10 carbon atoms is preferable, and examples thereof include an ethynyl group, propynyl group, propargyl group and the like.
치환기를 가져도 좋은 알콕시기로서 탄소원자 1∼30개의 알콕시기가 바람직하고, 그 예는 메톡시기, 에톡시기, 프로필옥시기, 이소프로필옥시기, 부톡시기, 이소부톡시기, sec-부톡시기, tert-부톡시기, 펜틸옥시기, 이소펜틸옥시기, 헥실옥시기, 헵틸옥시기, 옥틸옥시기, 2-에틸헥실옥시기, 데실옥시기, 도데실옥시기, 옥타데실옥시기, 에톡시카르보닐메틸기, 2-에틸헥실옥시카르보닐메틸옥시기, 아미노카르보닐메틸옥시기, N,N-디부틸아미노카르보닐메틸옥시기, N-메틸아미노카르보닐메틸옥시기, N-에틸아미노카르보닐메틸옥시기, N-옥틸아미노카르보닐메틸옥시기, N-메틸-N-벤질아미노카르보닐메틸옥시기, 벤질옥시기, 시아노메틸옥시기 등을 포함한다.As the alkoxy group which may have a substituent, an alkoxy group having 1 to 30 carbon atoms is preferable, and examples thereof include methoxy group, ethoxy group, propyloxy group, isopropyloxy group, butoxy group, isobutoxy group, sec-butoxy group and tert Butoxy group, pentyloxy group, isopentyloxy group, hexyloxy group, heptyloxy group, octyloxy group, 2-ethylhexyloxy group, decyloxy group, dodecyloxy group, octadecyloxy group, ethoxycarbonylmethyl group , 2-ethylhexyloxycarbonylmethyloxy group, aminocarbonylmethyloxy group, N, N-dibutylaminocarbonylmethyloxy group, N-methylaminocarbonylmethyloxy group, N-ethylaminocarbonylmethyl Oxy group, N-octylaminocarbonylmethyloxy group, N-methyl-N-benzylaminocarbonylmethyloxy group, benzyloxy group, cyanomethyloxy group and the like.
치환기를 가져도 좋은 아릴옥시기로서 탄소원자 6∼30개의 아릴옥시기가 바람직하고, 그 예는 페닐옥시기, 1-나프틸옥시기, 2-나프틸옥시기, 2-클로로페닐옥시기, 2-메틸페닐옥시기, 2-메톡시페닐옥시기, 2-부톡시페닐옥시기, 3-클로로페닐옥시기, 3-트리플루오로메틸페닐옥시기, 3-시아노페닐옥시기, 3-니트로페닐옥시기, 4-플루오로페닐옥시기, 4-시아노페닐옥시기, 4-메톡시페닐옥시기, 4-디메틸아미노페닐옥시기, 4-메틸술파닐페닐옥시기, 4-페닐술파닐페닐옥시기 등을 포함한다.As an aryloxy group which may have a substituent, a C6-C30 aryloxy group is preferable, The example is a phenyloxy group, 1-naphthyloxy group, 2-naphthyloxy group, 2-chlorophenyloxy group, 2-methylphenyl Oxy group, 2-methoxyphenyloxy group, 2-butoxyphenyloxy group, 3-chlorophenyloxy group, 3-trifluoromethylphenyloxy group, 3-cyanophenyloxy group, 3-nitrophenyloxy group, 4-fluorophenyloxy group, 4-cyanophenyloxy group, 4-methoxyphenyloxy group, 4-dimethylaminophenyloxy group, 4-methylsulfanylphenyloxy group, 4-phenylsulfanylphenyloxy group, etc. It includes.
치환기를 가져도 좋은 알킬티오기로서 탄소원자 1∼30개의 티오알콕시기가 바람직하고, 그 예는 메틸티오기, 에틸티오기, 프로필티오기, 이소프로필티오기, 부틸티오기, 이소부틸티오기, sec-부틸티오기, tert-부틸티오기, 펜틸티오기, 이소펜틸티오기, 헥실티오기, 헵틸티오기, 옥틸티오기, 2-에틸헥실티오기, 데실티오기, 도데실티오기, 옥타데실티오기, 벤질티오기 등을 포함한다.As the alkylthio group which may have a substituent, a thioalkoxy group having 1 to 30 carbon atoms is preferable, and examples thereof include methylthio group, ethylthio group, propylthio group, isopropylthio group, butylthio group, isobutylthio group, sec-butylthio group, tert-butylthio group, pentylthio group, isopentylthio group, hexylthio group, heptylthio group, octylthio group, 2-ethylhexylthio group, decylthio group, dodecylthio group, octade A silthio group, a benzylthio group, and the like.
치환기를 가져도 좋은 아릴티오기로서 탄소원자 6∼30개의 아릴티오기가 바람직하고, 그 예는 페닐티오기, 1-나프틸티오기, 2-나프틸티오기, 2-클로로페닐티오기, 2-메틸페닐티오기, 2-메톡시페닐티오기, 2-부톡시페닐티오기, 3-클로로페닐티오기, 3-트리플루오로메틸페닐티오기, 3-시아노페닐티오기, 3-니트로페닐티오기, 4-플루오로페닐티오기, 4-시아노페닐티오기, 4-메톡시페닐티오기, 4-디메틸아미노페닐티오기, 4-메틸술파닐페닐티오기, 4-페닐술파닐페닐티오기 등을 포함한다.As the arylthio group which may have a substituent, an arylthio group having 6 to 30 carbon atoms is preferable, and examples thereof include phenylthio group, 1-naphthylthio group, 2-naphthylthio group, 2-chlorophenylthio group, and 2-methylphenyl. Thio group, 2-methoxyphenylthio group, 2-butoxyphenylthio group, 3-chlorophenylthio group, 3-trifluoromethylphenylthio group, 3-cyanophenylthio group, 3-nitrophenylthio group, 4-fluorophenylthio group, 4-cyanophenylthio group, 4-methoxyphenylthio group, 4-dimethylaminophenylthio group, 4-methylsulfanylphenylthio group, 4-phenylsulfanylphenylthio group, etc. It includes.
치환기를 가져도 좋은 아실옥시기로서 탄소원자 2∼20개의 아실옥시기가 바람직하고, 그 예는 아세틸옥시기, 프로파노일옥시기, 부타노일옥시기, 펜타노일옥시기, 트리플루오로메틸카르보닐옥시기, 벤조일옥시기, 1-나프틸카르보닐옥시기, 2-나프틸카르보닐옥시기 등을 포함한다.As the acyloxy group which may have a substituent, an acyloxy group having 2 to 20 carbon atoms is preferable, and examples thereof include acetyloxy group, propanoyloxy group, butanoyloxy group, pentanoyloxy group, trifluoromethylcarbonyloxy group, Benzoyloxy group, 1-naphthylcarbonyloxy group, 2-naphthylcarbonyloxy group and the like.
치환기를 가져도 좋은 알킬술파닐기로서 탄소원자 1∼20개의 알킬술파닐기가 바람직하고, 그 예는 메틸술파닐기, 에틸술파닐기, 프로필술파닐기, 이소프로필술파닐기, 부틸술파닐기, 헥실술파닐기, 시클로헥실술파닐기, 옥틸술파닐기, 2-에틸헥실술파닐기, 데카노일술파닐기, 도데카노일술파닐기, 옥타데카노일술파닐기, 시아노메틸술파닐기, 메톡시메틸술파닐기 등을 포함한다.The alkylsulfanyl group which may have a substituent is preferably an alkylsulfanyl group having 1 to 20 carbon atoms, and examples thereof include methylsulfanyl group, ethylsulfanyl group, propylsulfanyl group, isopropylsulfanyl group, butylsulfanyl group, hexylsulfanyl group, Cyclohexylsulfanyl group, octylsulfanyl group, 2-ethylhexylsulfanyl group, decanoylsulfanyl group, dodecanoylsulfanyl group, octadecanoylsulfanyl group, cyanomethylsulfanyl group, methoxymethylsulfanyl group and the like.
치환기를 가져도 좋은 아릴술파닐기로서 탄소원자 6∼30개의 아릴술파닐기가 바람직하고, 그 예는 페닐술파닐기, 1-나프틸술파닐기, 2-나프틸술파닐기, 2-클로로페닐술파닐기, 2-메틸페닐술파닐기, 2-메톡시페닐술파닐기, 2-부톡시페닐술파닐기, 3-클로로페닐술파닐기, 3-트리플루오로메틸페닐술파닐기, 3-시아노페닐술파닐기, 3-니트로페닐술파닐기, 4-플루오로페닐술파닐기, 4-시아노페닐술파닐기, 4-메톡시페닐술파닐기, 4-메틸술파닐페닐술파닐기, 4-페닐술파닐페닐술파닐기, 4-디메틸아미노페닐술파닐기 등을 포함한다.As the arylsulfanyl group which may have a substituent, an arylsulfanyl group having 6 to 30 carbon atoms is preferable, and examples thereof include a phenylsulfanyl group, 1-naphthylsulfanyl group, 2-naphthylsulfanyl group, 2-chlorophenylsulfanyl group, 2-methylphenylsulfanyl group, 2-methoxyphenylsulfanyl group, 2-butoxyphenylsulfanyl group, 3-chlorophenylsulfanyl group, 3-trifluoromethylphenylsulfanyl group, 3-cyanophenylsulfanyl group, 3-nitrophenyl Sulfanyl group, 4-fluorophenylsulfanyl group, 4-cyanophenylsulfanyl group, 4-methoxyphenylsulfanyl group, 4-methylsulfanylphenylsulfanyl group, 4-phenylsulfanylphenylsulfanyl group, 4-dimethylaminophenyl Sulfanyl groups and the like.
치환기를 가져도 좋은 알킬술피닐기로서 탄소원자 1∼20개의 알킬술피닐기가 바람직하고, 그 예는 메틸술피닐기, 에틸술피닐기, 프로필술피닐기, 이소프로필술피닐기, 부틸술피닐기, 헥실술피닐기, 시클로헥실술피닐기, 옥틸술피닐기, 2-에틸헥실술피닐기, 데카노일술피닐기, 도데카노일술피닐기, 옥타데카노일술피닐기, 시아노메틸술피닐기, 메톡시메틸술피닐기 등을 포함한다.The alkylsulfinyl group which may have a substituent is preferably an alkylsulfinyl group having 1 to 20 carbon atoms, and examples thereof include methylsulfinyl, ethylsulfinyl, propylsulfinyl, isopropylsulfinyl, butylsulfinyl, hexylsulfinyl, Cyclohexylsulfinyl group, octylsulfinyl group, 2-ethylhexylsulfinyl group, decanoylsulfinyl group, dodecanoylsulfinyl group, octadecanoylsulfinyl group, cyanomethylsulfinyl group, methoxymethylsulfinyl group and the like.
치환기를 가져도 좋은 아릴술피닐기로서 탄소원자 6∼30개의 아릴술피닐기가 바람직하고, 그 예는 페닐술피닐기, 1-나프틸술피닐기, 2-나프틸술피닐기, 2-클로로페닐술피닐기, 2-메틸페닐술피닐기, 2-메톡시페닐술피닐기, 2-부톡시페닐술피닐기, 3-클로로페닐술피닐기, 3-트리플루오로메틸페닐술피닐기, 3-시아노페닐술피닐기, 3-니트로페닐술피닐기, 4-플루오로페닐술피닐기, 4-시아노페닐술피닐기, 4-메톡시페닐술피닐기, 4-메틸술파닐페닐술피닐기, 4-페닐술파닐페닐술피닐기, 4-디메틸아미노페닐술피닐기 등을 포함한다.As the arylsulfinyl group which may have a substituent, an arylsulfinyl group having 6 to 30 carbon atoms is preferable, and examples thereof include a phenylsulfinyl group, 1-naphthylsulfinyl group, 2-naphthylsulfinyl group, 2-chlorophenylsulfinyl group, 2-methylphenylsulfinyl group, 2-methoxyphenylsulfinyl group, 2-butoxyphenylsulfinyl group, 3-chlorophenylsulfinyl group, 3-trifluoromethylphenylsulfinyl group, 3-cyanophenylsulfinyl group, 3-nitrophenyl Sulfinyl, 4-fluorophenylsulfinyl, 4-cyanophenylsulfinyl, 4-methoxyphenylsulfinyl, 4-methylsulfanylphenylsulfinyl, 4-phenylsulfanylphenylsulfinyl, 4-dimethylaminophenyl Sulfinyl groups and the like.
치환기를 가져도 좋은 알킬술포닐기로서 탄소원자 1∼20개의 알킬술포닐기가 바람직하고, 그 예는 메틸술포닐기, 에틸술포닐기, 프로필술포닐기, 이소프로필술포닐기, 부틸술포닐기, 헥실술포닐기, 시클로헥실술포닐기, 옥틸술포닐기, 2-에틸헥실술포닐기, 데카노일술포닐기, 도데카노일술포닐기, 옥타데카노일술포닐기, 시아노메틸술포닐기, 메톡시메틸술포닐기 등을 포함한다.The alkylsulfonyl group which may have a substituent is preferably an alkylsulfonyl group having 1 to 20 carbon atoms, and examples thereof include methylsulfonyl group, ethylsulfonyl group, propylsulfonyl group, isopropylsulfonyl group, butylsulfonyl group, hexylsulfonyl group, Cyclohexylsulfonyl group, octylsulfonyl group, 2-ethylhexylsulfonyl group, decanoylsulfonyl group, dodecanoylsulfonyl group, octadecanoylsulfonyl group, cyanomethylsulfonyl group, methoxymethylsulfonyl group and the like.
치환기를 가져도 좋은 아릴술포닐기로서 탄소원자 6∼30개의 아릴술포닐기가 바람직하고, 그 예는 페닐술포닐기, 1-나프틸술포닐기, 2-나프틸술포닐기, 2-클로로페닐술포닐기, 2-메틸페닐술포닐기, 2-메톡시페닐술포닐기, 2-부톡시페닐술포닐기, 3-클로로페닐술포닐기, 3-트리플루오로메틸페닐술포닐기, 3-시아노페닐술포닐기, 3-니트로페닐술포닐기, 4-플루오로페닐술포닐기, 4-시아노페닐술포닐기, 4-메톡시페닐술포닐기, 4-메틸술파닐페닐술포닐기, 4-페닐술파닐페닐술포닐기, 4-디메틸아미노페닐술포닐기 등을 포함한다.As an arylsulfonyl group which may have a substituent, the arylsulfonyl group of 6-30 carbon atoms is preferable, For example, a phenylsulfonyl group, 1-naphthylsulfonyl group, 2-naphthylsulfonyl group, 2-chlorophenylsulfonyl group, 2-methylphenylsulfonyl group, 2-methoxyphenylsulfonyl group, 2-butoxyphenylsulfonyl group, 3-chlorophenylsulfonyl group, 3-trifluoromethylphenylsulfonyl group, 3-cyanophenylsulfonyl group, 3-nitrophenyl Sulfonyl group, 4-fluorophenylsulfonyl group, 4-cyanophenylsulfonyl group, 4-methoxyphenylsulfonyl group, 4-methylsulfanylphenylsulfonyl group, 4-phenylsulfanylphenylsulfonyl group, 4-dimethylaminophenyl Sulfonyl groups and the like.
치환기를 가져도 좋은 아실기로서 탄소원자 2∼20개의 아실기가 바람직하고, 그 예는 아세틸기, 프로파노일기, 부타노일기, 트리플루오로메틸카르보닐기, 펜타노일기, 벤조일기, 1-나프토일기, 2-나프토일기, 4-메틸술파닐벤조일기, 4-페닐술파닐벤조일기, 4-디메틸아미노벤조일기, 4-디에틸아미노벤조일기, 2-클로로벤조일기, 2-메틸벤조일기, 2-메톡시벤조일기, 2-부톡시벤조일기, 3-클로로벤조일기, 3-트리플루오로메틸벤조일기, 3-시아노벤조일기, 3-니트로벤조일기, 4-플루오로벤조일기, 4-시아노벤조일기, 4-메톡시벤조일기 등을 포함한다.As the acyl group which may have a substituent, an acyl group having 2 to 20 carbon atoms is preferable, and examples thereof include an acetyl group, propanoyl group, butanoyl group, trifluoromethylcarbonyl group, pentanoyl group, benzoyl group, 1-naphthoyl group, 2-naphthoyl group, 4-methylsulfanylbenzoyl group, 4-phenylsulfanylbenzoyl group, 4-dimethylaminobenzoyl group, 4-diethylaminobenzoyl group, 2-chlorobenzoyl group, 2-methylbenzoyl group, 2 -Methoxybenzoyl group, 2-butoxybenzoyl group, 3-chlorobenzoyl group, 3-trifluoromethylbenzoyl group, 3-cyanobenzoyl group, 3-nitrobenzoyl group, 4-fluorobenzoyl group, 4- Cyanobenzoyl group, 4-methoxybenzoyl group and the like.
치환기를 가져도 좋은 알콕시카르보닐기로서 탄소원자 2∼20개의 알콕시카르보닐기가 바람직하고, 그 예는 메톡시카르보닐기, 에톡시카르보닐기, 프로폭시카르보닐기, 부톡시카르보닐기, 헥실옥시카르보닐기, 옥틸옥시카르보닐기, 데실옥시카르보닐기, 옥타데실옥시카르보닐기, 페녹시카르보닐기, 트리플루오로메틸옥시카르보닐기, 1-나프틸옥시카르보닐기, 2-나프틸옥시카르보닐기, 4-메틸술파닐페닐옥시카르보닐기, 4-페닐술파닐페닐옥시카르보닐기, 4-디메틸아미노페닐옥시카르보닐기, 4-디에틸아미노페닐옥시카르보닐기, 2-클로로페닐옥시카르보닐기, 2-메틸페닐옥시카르보닐기, 2-메톡시페닐옥시카르보닐기, 2-부톡시페닐옥시카르보닐기, 3-클로로페닐옥시카르보닐기, 3-트리플루오로메틸페닐옥시카르보닐기, 3-시아노페닐옥시카르보닐기, 3-니트로페닐옥시카르보닐기, 4-플루오로페닐옥시카르보닐기, 4-시아노페닐옥시카르보닐기, 4-메톡시페닐옥시카르보닐기 등을 포함한다.As the alkoxycarbonyl group which may have a substituent, alkoxycarbonyl group having 2 to 20 carbon atoms is preferable, and examples thereof include methoxycarbonyl group, ethoxycarbonyl group, propoxycarbonyl group, butoxycarbonyl group, hexyloxycarbonyl group, octyloxycarbonyl group, decyloxycarbonyl group , Octadecyloxycarbonyl group, phenoxycarbonyl group, trifluoromethyloxycarbonyl group, 1-naphthyloxycarbonyl group, 2-naphthyloxycarbonyl group, 4-methylsulfanylphenyloxycarbonyl group, 4-phenylsulfanylphenyloxycarbonyl group, 4 -Dimethylaminophenyloxycarbonyl group, 4-diethylaminophenyloxycarbonyl group, 2-chlorophenyloxycarbonyl group, 2-methylphenyloxycarbonyl group, 2-methoxyphenyloxycarbonyl group, 2-butoxyphenyloxycarbonyl group, 3-chlorophenyloxy Carbonyl group, 3-trifluoromethylphenyloxycarbonyl group, 3-cyanophenyloxycarbonyl group, 3-ni A trophenyloxycarbonyl group, 4-fluorophenyloxycarbonyl group, 4-cyanophenyloxycarbonyl group, 4-methoxyphenyloxycarbonyl group, and the like.
치환기를 가져도 좋은 카르바모일기로서 총 탄소원자 1∼30개의 카르바모일기가 바람직하고, 그 예는, N-메틸카르바모일기, N-에틸카르바모일기, N-프로필카르바모일기, N-부틸카르바모일기, N-헥실카르바모일기, N-시클로헥실카르바모일기, N-옥틸카르바모일기, N-데실카르바모일기, N-옥타데실카르바모일기, N-페닐카르바모일기, N-2-메틸페닐카르바모일기, N-2-클로로페닐카르바모일기, N-2-이소프로폭시페닐카르바모일기, N-2-(2-에틸헥실)페닐카르바모일기, N-3-클로로페닐카르바모일기, N-3-니트로페닐카르바모일기, N-3-시아노페닐카르바모일기, N-4-메톡시페닐카르바모일기, N-4-시아노페닐카르바모일기, N-4-메틸술파닐페닐카르바모일기, N-4-페닐술파닐페닐카르바모일기, N-메틸-N-페닐카르바모일기, N,N-디메틸카르바모일기, N,N-디부틸카르바모일기, N,N-디페닐카르바모일기 등을 포함한다.As a carbamoyl group which may have a substituent, a carbamoyl group having 1 to 30 carbon atoms in total is preferable, and examples thereof include N-methylcarbamoyl group, N-ethylcarbamoyl group, N-propylcarbamoyl group, and N-. Butylcarbamoyl group, N-hexylcarbamoyl group, N-cyclohexylcarbamoyl group, N-octylcarbamoyl group, N-decylcarbamoyl group, N-octadecylcarbamoyl group, N-phenylcarbamoyl group, N -2-methylphenylcarbamoyl group, N-2-chlorophenylcarbamoyl group, N-2-isopropoxyphenylcarbamoyl group, N-2- (2-ethylhexyl) phenylcarbamoyl group, N-3-chloro Phenylcarbamoyl group, N-3-nitrophenylcarbamoyl group, N-3-cyanophenylcarbamoyl group, N-4-methoxyphenylcarbamoyl group, N-4-cyanophenylcarbamoyl group, N- 4-methylsulfanylphenylcarbamoyl group, N-4-phenylsulfanylphenylcarbamoyl group, N-methyl-N-phenylcarbamoyl group, N, N-dimethylcarbamoyl group, N, N-dibutylcarbamo Diary, N, N-D Carbonyl, and the like carbamoyl group.
치환기를 가져도 좋은 술파모일기로서 총 탄소원자 0∼30개의 술파모일기가 바람직하고, 그 예는 술파모일기, N-알킬술파모일기, N-아릴술파모일기, N,N-디알킬술파모일기, N,N-디아릴술파모일기, N-알킬-N-아릴술파모일기 등을 포함한다. 보다 구체적으로는 N-메틸술파모일기, N-에틸술파모일기, N-프로필술파모일기, N-부틸술파모일기, N-헥실술파모일기, N-시클로헥실술파모일기, N-옥틸술파모일기, N-2-에틸헥실술파모일기, N-데실술파모일기, N-옥타데실술파모일기, N-페닐술파모일기, N-2-메틸페닐술파모일기, N-2-클로로페닐술파모일기, N-2-메톡시페닐술파모일기, N-2-이소프로폭시페닐술파모일기, N-3-클로로페닐술파모일기, N-3-니트로페닐술파모일기, N-3-시아노페닐술파모일기, N-4-메톡시페닐술파모일기, N-4-시아노페닐술파모일기, N-4-디메틸아미노페닐술파모일기, N-4-메틸술파닐페닐술파모일기, N-4-페닐술파닐페닐술파모일기, N-메틸-N-페닐술파모일기, N,N-디메틸술파모일기, N,N-디부틸술파모일기, N,N-디페닐술파모일기 등을 포함한다.The sulfamoyl group which may have a substituent is preferably a sulfamoyl group having 0 to 30 carbon atoms, and examples thereof include sulfamoyl group, N-alkylsulfamoyl group, N-arylsulfamoyl group, and N, N-dialkyl. Sulfamoyl groups, N, N-diarylsulfamoyl groups, N-alkyl-N-arylsulfamoyl groups and the like. More specifically, N-methylsulfamoyl group, N-ethylsulfamoyl group, N-propylsulfamoyl group, N-butyl sulfamoyl group, N-hexyl sulfamoyl group, N-cyclohexyl sulfamoyl group, N-jade Tilsulfamoyl, N-2-ethylhexylsulfamoyl, N-decylsulfamoyl, N-octadecylsulfamoyl, N-phenylsulfamoyl, N-2-methylphenylsulfamoyl, N-2-chloro Phenyl sulfamoyl group, N-2-methoxyphenyl sulfamoyl group, N-2-isopropoxyphenyl sulfamoyl group, N-3-chlorophenyl sulfamoyl group, N-3-nitrophenyl sulfamoyl group, N- 3-cyanophenylsulfamoyl group, N-4-methoxyphenylsulfamoyl group, N-4-cyanophenylsulfamoyl group, N-4-dimethylaminophenylsulfamoyl group, N-4-methylsulfanylphenyl Sulfamoyl group, N-4-phenylsulfanylphenylsulfamoyl group, N-methyl-N-phenylsulfamoyl group, N, N-dimethylsulfamoyl group, N, N-dibutylsulfamoyl group, N, N- Diphenyl sulfamoyl group and the like.
치환기를 가져도 좋은 아미노기로서 총 탄소원자 0∼50개의 아미노기가 바람직하고, 그 예는 -NH2, N-알킬아미노기, N-아릴아미노기, N-아실아미노기, N-술포닐아미노기, N,N-디알킬아미노기, N,N-디아릴아미노기, N-알킬-N-아릴아미노기, N,N-디술포닐아미노기 등을 포함한다. 보다 구체적으로는 N-메틸아미노기, N-에틸아미노기, N-프로필아미노기, N-이소프로필아미노기, N-부틸아미노기, N-tert-부틸아미노기, N-헥실아미노기, N-시클로헥실아미노기, N-옥틸아미노기, N-2-에틸헥실아미노기, N-데실아미노기, N-옥타데실아미노기, N-벤질아미노기, N-페닐아미노기, N-2-메틸페닐아미노기, N-2-클로로페닐아미노기, N-2-메톡시페닐아미노기, N-2-이소프로폭시페닐아미노기, N-2-(2-에틸헥실)페닐아미노기, N-3-클로로페닐아미노기, N-3-니트로페닐아미노기, N-3-시아노페닐아미노기, N-3-트리플루오로메틸페닐아미노기, N-4-메톡시페닐아미노기, N-4-시아노페닐아미노기, N-4-트리플루오로메틸페닐아미노기, N-4-메틸술파닐페닐아미노기, N-4-페닐술파닐페닐아미노기, N-4-디메틸아미노페닐아미노기, N-메틸-N-페닐아미노기, N,N-디메틸아미노기, N,N-디에틸아미노기, N,N-디부틸아미노기, N,N-디페닐아미노기, N,N-디아세틸아미노기, N,N-디벤조일아미노기, N,N-(디부틸카르보닐)아미노기, N,N-(디메틸술포닐)아미노기, N,N-(디에틸술포닐)아미노기, N,N-(디부틸술포닐)아미노기, N,N-(디페닐술포닐)아미노기, 모르폴리노기, 3,5-디메틸모르폴리노기, 카르바졸기 등을 포함한다.May have a substituent group as good preferably a total of 0-50 carbon atoms and an amino group, examples of -NH 2, N- alkylamino, N- arylamino group, N- acylamino group, N- sulfonyl amino group, N, N -Dialkylamino group, N, N-diarylamino group, N-alkyl-N-arylamino group, N, N-disulfonylamino group, etc. are included. More specifically, examples thereof include N-methylamino, N-ethylamino, N-propylamino, N-isopropylamino, N-butylamino, N-tert- N-2-ethylhexylamino group, N-decylamino group, N-octadecylamino group, N-benzylamino group, N-phenylamino group, N-2-methylphenylamino group, N- (2-ethylhexyl) phenylamino group, an N-3-chlorophenylamino group, an N-3-nitrophenylamino group, an N-3- N-3-trifluoromethylphenylamino group, N-4-methylphenylamino group, N-4-methylphenylamino group, An amino group, an N-4-phenylsulfanylphenylamino group, an N-4-dimethylaminophenylamino group, an N-methyl- Tylamino group, N, N-dibutylamino group, N, N-diphenylamino group, N, N-diacetylamino group, N, N-dibenzoylamino group, N, N- (dibutylcarbonyl) amino group, N, N -(Dimethylsulfonyl) amino group, N, N- (diethylsulfonyl) amino group, N, N- (dibutylsulfonyl) amino group, N, N- (diphenylsulfonyl) amino group, morpholino group, 3, 5-dimethylmorpholino group, carbazole group and the like.
치환기를 가져도 좋은 포스피노일기로서 총 탄소원자 2∼50개의 포스피노일기가 바람직하고, 그 예는 디메틸포스피노일기, 디에틸포스피노일기, 디프로필포스피노일기, 디페닐포스피노일기, 디메톡시포스피노일기, 디에톡시포스피노일기, 디벤조일포스피노일기, 비스(2,4,6-트리메틸페닐)포스피노일기 등을 포함한다.As the phosphinoyl group which may have a substituent, a phosphinoyl group having 2 to 50 carbon atoms is preferable, and examples thereof include dimethyl phosphinoyl group, diethyl phosphinoyl group, dipropyl phosphinoyl group, diphenyl phosphinoyl group, and dimethopyl group. Oxyphosphinoyl group, diethoxyphosphinoyl group, dibenzoylphosphinoyl group, bis (2,4,6-trimethylphenyl) phosphinoyl group and the like.
치환기를 가져도 좋은 복소환기로서 질소원자, 산소원자, 황원자 및 인원자를 함유하는 방향족 또는 지방족의 복소환이 바람직하다. 그 예는 티에닐기, 벤조[b]티에닐기, 나프토[2,3-b]티에닐기, 티안트레닐기, 푸릴기, 피라닐기, 이소벤조푸라닐기, 쿠로메닐기, 크산테닐기, 페녹사티이닐기, 2H-피롤릴기, 피롤릴기, 이미다졸릴기, 피라졸릴기, 피리딜기, 피라지닐기, 피리미디닐기, 피리다지닐기, 인돌리지닐기, 이소인돌릴기, 3H-인돌릴기, 인돌릴기, 1H-인다졸릴기, 푸리닐기, 4H-퀴놀리지닐기, 이소퀴놀릴기, 퀴놀릴기, 프탈라지닐기, 나프틸리디닐기, 퀴녹살리닐기, 퀴나졸리닐기, 신놀리닐기, 프테리디닐기, 4aH-카르바졸릴기, 카르바졸릴기, β-카르볼리닐기, 페난트리디닐기, 아크리디닐기, 페리미디닐기, 페난트롤리닐기, 페나지닐기, 페날사지닐기, 이소티아졸릴기, 페노티아지닐기, 이속사졸릴기, 푸라자닐기, 페녹사지닐기, 이소크로마닐기, 크로마닐기, 피롤리디닐기, 피롤리닐기, 이미다졸리디닐기, 이미다졸리닐기, 피라졸리디닐기, 피라졸리닐기, 피페리딜기, 피페라지닐기, 인돌리닐기, 이소인돌리닐기, 퀴누크리디닐기, 모르폴리닐기, 티오크산톨릴기 등을 포함한다.As the heterocyclic group which may have a substituent, an aromatic or aliphatic heterocycle containing a nitrogen atom, an oxygen atom, a sulfur atom and a person atom is preferable. Examples thereof include thienyl group, benzo [b] thienyl group, naphtho [2,3-b] thienyl group, thianthrenyl group, furyl group, pyranyl group, isobenzofuranyl group, uromenyl group, xanthenyl group, phenoxa Thiynyl group, 2H-pyrrolyl group, pyrrolyl group, imidazolyl group, pyrazolyl group, pyridyl group, pyrazinyl group, pyrimidinyl group, pyridazinyl group, indolinyl group, isoindolinyl group, 3H-indolyl group , Indolyl group, 1H-indazolyl group, furinyl group, 4H-quinolinyl group, isoquinolyl group, quinolyl group, phthalazinyl group, naphthyridinyl group, quinoxalinyl group, quinazolinyl group, cinnaolinyl group , Pterridinyl group, 4aH-carbazolyl group, carbazolyl group, β-carbolinyl group, phenantridinyl group, acridinyl group, perimidinyl group, phenanthrolinyl group, phenazinyl group, phenalsazinyl group, Isothiazolyl group, phenothiazinyl group, isoxazolyl group, furazanyl group, phenoxazinyl group, isochromenyl group, chromanyl group, pyrrolidinyl group, pyrrolinyl group, Midazolidinyl group, imidazolinyl group, pyrazolidinyl group, pyrazolinyl group, piperidyl group, piperazinyl group, indolinyl group, isoindolinyl group, quinukridinyl group, morpholinyl group, thioxantholyl group And the like.
할로겐기의 예는 불소원자, 염소원자, 브롬원자, 요오드원자 등을 포함한다.Examples of the halogen group include fluorine atom, chlorine atom, bromine atom, iodine atom and the like.
상술한 치환기를 가져도 좋은 알킬기, 치환기를 가져도 좋은 아릴기, 치환기를 가져도 좋은 알케닐기, 치환기를 가져도 좋은 알키닐기, 치환기를 가져도 좋은 알콕시기, 치환기를 가져도 좋은 아릴옥시기, 치환기를 가져도 좋은 알킬티오기, 치환기를 가져도 좋은 아릴티오기, 치환기를 가져도 좋은 아실옥시기, 치환기를 가져도 좋은 알킬술파닐기, 치환기를 가져도 좋은 아릴술파닐기, 치환기를 가져도 좋은 알킬술피닐기, 치환기를 가져도 좋은 아릴술피닐기, 치환기를 가져도 좋은 알킬술포닐기, 치환기를 가져도 좋은 아릴술포닐기, 치환기를 가져도 좋은 아실기, 치환기를 가져도 좋은 알콕시카르보닐기, 치환기를 가져도 좋은 카르바모일기, 치환기를 가져도 좋은 술파모일기, 치환기를 가져도 좋은 아미노기 및 치환기를 가져도 좋은 복소환기는 다른 치환기로 치환되어도 좋다.Alkyl group which may have a substituent mentioned above, The aryl group which may have a substituent, The alkenyl group which may have a substituent, The alkynyl group which may have a substituent, The alkoxy group which may have a substituent, The aryloxy group which may have a substituent, Alkylthio group which may have a substituent, The arylthio group which may have a substituent, The acyloxy group which may have a substituent, The alkylsulfanyl group which may have a substituent, The arylsulfanyl group which may have a substituent, You may have a substituent Alkylsulfinyl group, an arylsulfinyl group which may have a substituent, an alkylsulfonyl group which may have a substituent, an arylsulfonyl group which may have a substituent, an acyl group which may have a substituent, the alkoxycarbonyl group which may have a substituent, and a substituent A carbamoyl group which may have a substituent, a sulfamoyl group which may have a substituent, an amino group which may have a substituent, and a heterocyclic group which may have a substituent It may be substituted with other substituents.
이러한 치환기의 예는 불소원자, 염소원자, 브롬원자 및 요오드원자 등의 할로겐기, 메톡시기, 에톡시기 및 tert-부톡시기 등의 알콕시기, 페녹시기 및 p-톨릴옥시기 등의 아릴옥시기, 메톡시카르보닐기, 부톡시카르보닐기 및 페녹시카르보닐기 등의 알콕시카르보닐기, 아세톡시기, 프로피오닐옥시기 및 벤조일옥시기 등의 아실옥시기, 아세틸기, 벤조일기, 이소부티릴기, 아크릴로일기, 메타크릴로일기 및 메톡살릴기 등의 아실기, 메틸술파닐기 및 tert-부틸술파닐기 등의 알킬술파닐기, 페닐술파닐기 및 p-톨릴술파닐기 등의 아릴술파닐기, 메틸아미노기 및 시클로헥실아미노기 등의 알킬아미노기, 디메틸아미노기, 디에틸아미노기, 모르폴리노기 및 피페리디노기 등의 디알킬아미노기, 페닐아미노기 및 p-톨릴아미노기 등의 아릴아미노기, 메틸기, 에틸기, tert-부틸기 및 도데실기 등의 알킬기, 페닐기, p-톨릴기, 크실릴기, 쿠메닐기, 나프틸기, 안트릴기 및 페난트릴기 등의 아릴기, 및 히드록실기, 카르복실기, 포르밀기, 메르캅토기, 술포기, 메실기, p-톨루엔 술포닐기, 아미노기, 니트로기, 시아노기, 트리플루오로메틸기, 트리클로로메틸기, 트리메틸실릴기, 포스피니코기, 포스포노기, 트리메틸암모니우밀기, 디메틸술포니우밀기 및 트리페닐페나실포스포니우밀기를 포함한다.Examples of such substituents include halogen groups such as fluorine, chlorine, bromine and iodine atoms, alkoxy groups such as methoxy, ethoxy and tert-butoxy groups, aryloxy groups such as phenoxy and p-tolyloxy, Acyloxy groups, such as an alkoxycarbonyl group, an acetoxy group, a propionyloxy group, and a benzoyloxy group, such as a methoxycarbonyl group, butoxycarbonyl group, and a phenoxycarbonyl group, an acetyl group, benzoyl group, isobutyryl group, acryloyl group, methacryl Alkyl sulfanyl groups, such as acyl groups, such as a loyl group and a methoxylyl group, methylsulfanyl group, and tert- butylsulfanyl group, arylsulfanyl groups, such as a phenylsulfanyl group and p-tolylsulfanyl group, alkyl, such as a methylamino group and a cyclohexylamino group Arylamino groups such as dialkylamino groups such as amino group, dimethylamino group, diethylamino group, morpholino group and piperidino group, phenylamino group and p-tolylamino group, methyl group, ethyl Aryl groups, such as alkyl groups such as groups, tert-butyl groups and dodecyl groups, phenyl groups, p-tolyl groups, xylyl groups, cumenyl groups, naphthyl groups, anthryl groups and phenanthryl groups, and hydroxyl groups, carboxyl groups, and fortyl groups Wheat group, mercapto group, sulfo group, mesyl group, p-toluene sulfonyl group, amino group, nitro group, cyano group, trifluoromethyl group, trichloromethyl group, trimethylsilyl group, phosphinico group, phosphono group, trimethylammonium Bran group, dimethylsulfonium group and triphenylphenacylphosphonium group.
이들 중에, 용매 용해성을 증가시키고 장파장 영역에서 흡수 효율성을 향상시키는 관점에서 식(a)의 X는 치환기를 가져도 좋은 알킬기, 치환기를 가져도 좋은 아릴기, 치환기를 가져도 좋은 알케닐기, 치환기를 가져도 좋은 알키닐기, 치환기를 가져도 좋은 알콕시기, 치환기를 가져도 좋은 아릴옥시기, 치환기를 가져도 좋은 알킬티오기, 치환기를 가져도 좋은 아릴티오기 및 치환기를 가져도 좋은 아미노기가 바람직하다.Among them, in view of increasing solvent solubility and improving absorption efficiency in the long wavelength region, X in formula (a) represents an alkyl group which may have a substituent, an aryl group which may have a substituent, an alkenyl group which may have a substituent, and a substituent The alkynyl group which may have, the alkoxy group which may have a substituent, the aryloxy group which may have a substituent, the alkylthio group which may have a substituent, the arylthio group which may have a substituent, and the amino group which may have a substituent are preferable. .
식(a) 중, n은 0∼5의 정수를 나타내고, 0∼2의 정수가 바람직하다.In formula (a), n represents the integer of 0-5, and the integer of 0-2 is preferable.
이하에, 옥심 화합물의 구체예를 나타내지만, 본 발명은 이들로 제한되지 않는다.Although the specific example of an oxime compound is shown below, this invention is not limited to these.
옥심 화합물은 열에 의해 분해되어 중합을 개시 및 촉진하는 열중합개시제로서의 기능을 갖는다. 특히, 식(a)으로 나타내어지는 옥심 화합물은 포스트가열시에 착색이 적고, 우수한 경화성 갖는다.The oxime compound has a function as a thermal polymerization initiator that decomposes by heat to initiate and promote polymerization. In particular, the oxime compound represented by formula (a) has little coloring at the time of post-heating, and has excellent curability.
본 발명에 사용할 수 있는 옥심 화합물은 350nm∼500nm의 파장영역에서 극대 흡수 파장을 갖는 것이 바람직하고, 360nm∼480nm의 파장영역에서 흡수 파장을 갖는 것이 보다 바람직하고, 365nm 및 455nm의 고흡광도를 갖는 옥심 화합물이 특히 바람직하다.The oxime compound which can be used in the present invention preferably has a maximum absorption wavelength in the wavelength region of 350 nm to 500 nm, more preferably has an absorption wavelength in the wavelength region of 360 nm to 480 nm, and an oxime having high absorbance of 365 nm and 455 nm. Particular preference is given to compounds.
상기 옥심 화합물에 있어서, 365nm 또는 405nm에서 몰흡광계수는 감도의 관점에서 1,000∼300,000이 바람직하고, 2,000∼300,000이 보다 바람직하고, 5,000 ∼200,000이 특히 바람직하다.In the oxime compound, the molar absorption coefficient at 365 nm or 405 nm is preferably from 1,000 to 300,000, more preferably from 2,000 to 300,000, particularly preferably from 5,000 to 200,000 from the viewpoint of sensitivity.
상기 화합물의 몰흡광계수는 공지의 방법을 사용하여 측정할 수 있지만, 구체적으로는, 예를 들면 자외선 및 가시광 분광 광도계(Carry-5 spctrophotometer, Varian Inc. 제작)에 의해 에틸 아세테이트 용매를 사용하여 0.01g/L의 농도에서 측정하는 것이 바람직하다.The molar extinction coefficient of the compound can be measured using a known method, but specifically, using an ethyl acetate solvent, for example, by an ultraviolet and visible light spectrophotometer (Carry-5 spctrophotometer, manufactured by Varian Inc.) It is preferable to measure at the concentration of g / L.
상기 옥심 화합물로서 IRGACURE OXE01 및 IRGACURE OXE02 등의 시판품(모두, BASF Corporation 제작)를 적합하게 사용할 수 있다.As said oxime compound, commercial items, such as IRGACURE OXE01 and IRGACURE OXE02, can all be used suitably.
상기 오늄염 화합물의 예는 S. I. Schlesinger, Photogr. Sci. Eng., 18, 387 (1974) 및 T. S. Bal et al., Polymer, 21, 423 (1980)에 기재된 디아조늄염, 미국 특허 제4,069,055호, 일본 특허 공개 H4-365049 등에 기재된 암모늄염, 미국 특허 제4,069,055호 및 제4,069,056호에 기재된 포스포늄염, 유럽 특허 제104,143호, 일본 특허 공개 H2-150848 및 H2-296514에 기재된 요오드늄염 등을 포함한다.Examples of such onium salt compounds are described in S. I. Schlesinger, Photogr. Sci. Diazonium salts described in Eng., 18, 387 (1974) and TS Bal et al., Polymer, 21, 423 (1980), ammonium salts described in US Pat. No. 4,069,055, Japanese Patent Publication H4-365049, and US Pat. No. 4,069,055 Phosphonium salts described in US Pat. No. 4,069,056, European Patent No. 104,143, iodonium salts described in Japanese Patent Laid-Open Nos. H2-150848 and H2-296514, and the like.
본 발명에 적합하게 사용할 수 있는 요오드늄염은 디아릴 요오드늄염이고, 안정성의 관점에서 알킬기, 알콕시기 및 아릴옥시기 등의 2개 이상의 전자공여성기로 치환되는 것이 바람직하다.The iodonium salt which can be used suitably for the present invention is a diaryl iodonium salt and is preferably substituted with two or more electron donating groups such as an alkyl group, an alkoxy group and an aryloxy group from the viewpoint of stability.
본 발명에 적합하게 사용할 수 있는 술포늄염의 예는 유럽 특허 제370,693호, 제390,214호, 제233,567호, 제297,443호 및 제297,442호, 미국 특허 제4,933,377호, 제4,760,013호, 제4,734,444호 및 제2,833,827호, 및 독일 특허 제2,904,626호, 제3,604,580호 및 제3,604,581호에 기재된 술포늄염을 포함하고, 상기 술포늄염이 안정성 및 감도의 관점에서 전자구인성기로 치환되는 것이 바람직하다. 상기 전자구인성기의 하메트값은 제로보다 큰 것이 바람직하다. 상기 전자구인성기의 바람직한 예는 할로겐 원자, 카르복실산기 등을 포함한다.Examples of sulfonium salts that can be suitably used in the present invention are European Patents 370,693, 390,214, 233,567, 297,443 and 297,442, US Patents 4,933,377, 4,760,013, 4,734,444 and 5 2,833,827, and the sulfonium salts described in German Patent Nos. 2,904,626, 3,604,580 and 3,604,581, wherein the sulfonium salt is preferably substituted with an electron withdrawing group in view of stability and sensitivity. The Hamet value of the electron withdrawing group is preferably larger than zero. Preferred examples of the electron withdrawing group include a halogen atom, a carboxylic acid group and the like.
상기 술포늄염의 다른 바람직한 예는 트리아릴술포늄염의 1개의 치환기가 쿠마린 구조 또는 안트라퀴논 구조를 갖고, 300nm 이상에서 흡수를 갖는 술포늄염을 포함한다. 상기 술포늄염의 다른 바람직한 예는 트리아릴술포늄염이 알릴옥시기 또는 아릴티오기를 치환기에 갖고, 300nm 이상에서 흡수를 갖는 술포늄염을 포함한다.Other preferred examples of the sulfonium salt include sulfonium salts in which one substituent of the triarylsulfonium salt has a coumarin structure or an anthraquinone structure and has an absorption at 300 nm or more. Other preferred examples of the sulfonium salt include sulfonium salts in which the triarylsulfonium salt has an allyloxy group or an arylthio group as a substituent and has an absorption at 300 nm or more.
상기 오늄염 화합물의 예는 J. V. Crivello et al., Macromolecules, 10(6), 1307 (1977) 및 J. V. Crivello et al,, J. Polymer Sci., Polymer Chem. Ed., 17, 1047 (1979)에 기재된 셀레노늄염, 및 C. S. Wen et al., Teh, Proc. Conf. Rad. Curing ASIA, p.478, Tokyo, October (1988)에 기재된 아르소늄염 등의 오늄염을 포함한다.Examples of such onium salt compounds are described in J. V. Crivello et al., Macromolecules, 10 (6), 1307 (1977) and J. V. Crivello et al., J. Polymer Sci., Polymer Chem. Selenium salts described in Ed., 17, 1047 (1979), and C. S. Wen et al., Teh, Proc. Conf. Rad. Onium salts, such as the arsonium salt described in Curing ASIA, p.478, Tokyo, October (1988).
상기 아실포스핀(옥시드) 화합물의 예는 BASF Corporation 제작의 IRGACURE 819, DAROCURE 4265, DAROCURE TPO 등을 포함한다.Examples of such acylphosphine (oxide) compounds include IRGACURE 819, DAROCURE 4265, DAROCURE TPO, and the like, manufactured by BASF Corporation.
경화성의 관점에서, 본 발명의 경화성 조성물에 사용할 수 있는 중합개시제(E)는 트리할로메틸트리아진 화합물, 벤질디메틸케탈 화합물, α-히드록시케톤 화합물, α-아미노케톤 화합물, 아실포스핀계 화합물, 포스핀옥시드 화합물, 메탈로센 화합물, 옥심 화합물, 트리알릴이미다졸 다이머, 오늄 화합물, 벤조티아졸 화합물, 벤조페논 화합물, 아세토페논 화합물 및 그 유도체, 시클로펜타디엔-벤젠-철 착체 및 그 염, 할로메틸옥사디아졸 화합물 및 3-아릴 치환 쿠마린 화합물로 이루어진 군으로부터 선택된 화합물이 바람직하다.From the viewpoint of curability, the polymerization initiator (E) that can be used in the curable composition of the present invention is a trihalomethyltriazine compound, a benzyl dimethyl ketal compound, an α-hydroxyketone compound, an α-aminoketone compound, an acylphosphine compound , Phosphine oxide compounds, metallocene compounds, oxime compounds, triallylimidazole dimers, onium compounds, benzothiazole compounds, benzophenone compounds, acetophenone compounds and derivatives thereof, cyclopentadiene-benzene-iron complexes and their Preferred are compounds selected from the group consisting of salts, halomethyloxadiazole compounds and 3-aryl substituted coumarin compounds.
트리할로메틸트리아진 화합물, α-아미노케톤 화합물, 아실포스핀 화합물, 포스핀옥시드 화합물, 옥심 화합물, 트리아릴이미다졸 다이머, 오늄 화합물, 벤조페논 화합물 및 아세토페논 화합물이 보다 바람직하고, 트리할로메틸트리아진 화합물, α-아미노케톤 화합물, 옥심 화합물, 트리아릴이미다졸 다이머 및 벤조페논 화합물로 이루어진 군으로부터 선택된 적어도 하나의 화합물이 가장 바람직하다.More preferred are trihalomethyltriazine compound, α-aminoketone compound, acylphosphine compound, phosphine oxide compound, oxime compound, triarylimidazole dimer, onium compound, benzophenone compound and acetophenone compound Most preferred is at least one compound selected from the group consisting of halomethyltriazine compounds, α-aminoketone compounds, oxime compounds, triarylimidazole dimers and benzophenone compounds.
특히, 본 발명의 경화성 조성물이 고체 촬상 소자의 컬러필터에 형성되어 마이크로렌즈로 제조되는 경우, 상기 조성물은 포스트가열시에 착색이 적고 우수한 경화성을 갖으므로, 중합개시제(E)로서 옥심계 화합물을 사용하는 것이 가장 바람직하다.In particular, when the curable composition of the present invention is formed on a color filter of a solid-state imaging device and made of a microlens, the composition has little coloration at the time of post-heating and has excellent curability. Therefore, an oxime compound is used as the polymerization initiator (E). Most preferably used.
본 발명의 경화성 조성물에 함유되는 중합개시제(E)의 함량은 상기 경화성 조성물의 총 고형분에 대하여 0.1질량%∼10질량%가 바람직하고, 보다 바람직하게는0.3질량%∼8질량%, 더욱 바람직하게는 0.5질량%∼5질량%이다. 이들 범위내이면, 우수한 경화성을 얻을 수 있다.As for content of the polymerization initiator (E) contained in the curable composition of this invention, 0.1 mass%-10 mass% are preferable with respect to the total solid of the said curable composition, More preferably, it is 0.3 mass%-8 mass%, More preferably, Is 0.5 mass%-5 mass%. If it is in these ranges, the outstanding sclerosis | hardenability can be obtained.
본 발명의 경화성 조성물은 필요에 따라서, 이하에 상술하는 임의의 성분을 더 함유해도 좋다. 이하에, 경화성 조성물이 함유할 수 있는 임의의 성분을 설명한다.The curable composition of this invention may further contain the arbitrary components mentioned below as needed. Below, arbitrary components which the curable composition can contain are demonstrated.
[증감제][Sensitizer]
본 발명의 경화성 조성물은 중합개시제(E)의 라디칼 발생 효율의 향상 및 감광 파장에서 장파장으로 시프트시키기 위해서 증감제를 함유해도 좋다.The curable composition of this invention may contain a sensitizer in order to improve the radical generation efficiency of a polymerization initiator (E), and to shift to a long wavelength in the photosensitive wavelength.
본 발명에 사용할 수 있는 증감제는 전자 이동 메카니즘 또는 에너지 이동 메카니즘에 의해 중합개시제(E)에 증감시키는 것이 바람직하다.The sensitizer which can be used in the present invention is preferably sensitized to the polymerization initiator (E) by an electron transfer mechanism or an energy transfer mechanism.
상기 증감제의 예는 이하에 열거하는 화합물류에 속하고, 300nm∼450nm의 파장영역에서 흡수 파장을 갖는다.Examples of the sensitizer belong to the compounds listed below and have an absorption wavelength in a wavelength range of 300 nm to 450 nm.
즉, 그 예는 다핵 방향족류(예를 들면, 페난트렌, 안트라센, 피렌, 페릴렌, 트리페닐렌 및 9,10-디알콕시 안트라센), 크산텐류(예를 들면, 플루오레세인, 에오신, 에리스로신, 로다민B 및 로즈벵갈), 티오크산톤류(이소프로필티오크산톤, 디에틸티옥산톤 및 클로로티오크산톤), 시아닌류(예를 들면, 티아카르보시아닌 및 옥사카르보시아닌), 메로시아닌류(예를 들면, 메로시아닌 및 카르보메로시아닌), 프탈로시아닌류, 티아진류(예를 들면, 티오닌, 메틸렌블루 및 톨루이딘 블루), 아크리딘류(예를 들면, 아크리딘 오렌지, 클로로플라빈 및 아크리플라빈), 안트라퀴논류(예를 들면, 안트라퀴논), 스쿠아릴리움류(예를 들면, 스쿠아릴리움), 아크리딘 오렌지, 쿠마린류(예를 들면, 7-디에틸아미노-4-메틸쿠마린), 케토쿠마린, 페노티아진류, 페나진류, 스티릴벤젠류, 아조 화합물, 디페닐메탄, 트리페닐메탄, 디스릴벤젠류, 카르바졸류, 포르피린, 스피로 화합물, 퀴나크리돈, 인디고, 스티릴, 피릴리륨 화합물, 피로메텐 화합물, 피라졸로트리아졸 화합물, 벤조티아졸 화합물, 바르비투르산 유도체, 티오바르비투르산 유도체, 아세토페논, 벤조페논, 티오크산톤, 미힐러케톤 등의 방향족 케톤 화합물, N-아릴옥사졸리디논 등의 헤테로환 화합물을 포함한다.That is, examples include polynuclear aromatics (eg, phenanthrene, anthracene, pyrene, perylene, triphenylene and 9,10-dialkoxy anthracene), xanthenes (eg, fluorescein, eosin, erythro Shin, rhodamine B and rose bengal), thioxanthones (isopropyl thioxanthone, diethyl thioxanthone and chlorothioxanthone), cyanines (e.g., thiacarbocyanine and oxacarbocyanine) , Merocyanines (e.g. merocyanine and carbomerocyanine), phthalocyanines, thiazines (e.g. thionine, methylene blue and toluidine blue), acridines (e.g. Credin orange, chloroflavin and acriflavin), anthraquinones (e.g., anthraquinones), squaryliums (e.g., squarialium), acridine oranges, coumarins (e.g. , 7-diethylamino-4-methylcoumarin), ketocoumarin, phenothiazines, phenazines, styrylbenzene , Azo compounds, diphenylmethane, triphenylmethane, disylbenzenes, carbazoles, porphyrins, spiro compounds, quinacridones, indigo, styryls, pyrilium compounds, pyrromethene compounds, pyrazolotriazole compounds, Heterocyclic compounds such as benzothiazole compounds, barbituric acid derivatives, thiobarbituric acid derivatives, acetophenones, benzophenones, thioxanthones, aromatic ketone compounds such as Myhilerketone, and N-aryloxazolidinones.
본 발명에 사용할 수 있는 증감제의 보다 바람직한 예는 하기 일반식(e-1)∼(e-4)으로 나타내어지는 화합물을 포함한다.More preferable examples of the sensitizer which can be used in the present invention include compounds represented by the following general formulas (e-1) to (e-4).
식(e-1) 중, A1은 황원자 또는 NR50을 나타내고, R50은 알킬기 또는 아릴기를 나타내고, L1은 L1에 인접하는 A1와 탄소원자와 함께 색소의 염기성 핵을 형성하는 비금속 원자단을 나타내고, R51 및 R52는 각각 독립적으로 수소원자 또는 1가의 비금속 원자단을 나타내고, R51 및 R52는 서로 결합하여 색소의 산성 핵을 형성해도 좋다. W는 산소원자 또는 황원자를 나타낸다.In the formulas (e-1), A 1 denotes a sulfur atom or NR 50, R 50 represents an alkyl group or an aryl group, L 1 is a non-metal that forms a basic nucleus of the dye together with A 1 and the carbon atom adjacent to L 1 An atomic group is represented, R 51 and R 52 each independently represent a hydrogen atom or a monovalent nonmetallic atomic group, and R 51 and R 52 may be bonded to each other to form an acidic nucleus of a dye. W represents an oxygen atom or a sulfur atom.
식(e-2) 중, Ar1 및 Ar2는 각각 독립적으로 아릴기를 나타내고, Ar1 및 Ar2는 그 안에 -L2- 결합을 통하여 서로 연결된다. 여기서, -L2-는 -O- 또는 -S-를 나타낸다. W는 식(e-1)에 나타낸 것과 동일하다.In formula (e-2), Ar 1 and Ar 2 each independently represent an aryl group, and Ar 1 and Ar 2 are connected to each other via a -L 2 -bond therein. Here, -L 2 -represents -O- or -S-. W is the same as that shown in Formula (e-1).
식(e-3) 중, A2는 황원자 또는 NR59을 나타내고, L3은 L3에 인접하는 A2와 탄소원자와 함께 색소의 염기성 핵을 형성하는 비금속 원자단을 나타내고, R53, R54, R55, R56, R57 및 R58은 각각 독립적으로 1가의 비금속 원자단을 나타내고, R59는 알킬기 또는 아릴기를 나타낸다.In formula (e-3), A 2 represents a sulfur atom or NR 59 , L 3 represents a nonmetallic atom group forming a basic nucleus of a dye together with A 2 and a carbon atom adjacent to L 3 , and R 53 , R 54 , R 55 , R 56 , R 57 and R 58 each independently represent a monovalent nonmetallic atom group, and R 59 represents an alkyl group or an aryl group.
식(e-4) 중, A3 및 A4는 각각 독립적으로 -S- 또는 -NR62를 나타내고, R62는 치환 또는 비치환의 알킬기, 또는 치환 또는 비치환의 아릴기를 나타내고, L4는 L4에 인접하는 A3과 탄소원자와 함께 색소의 염기성 핵을 형성하는 비금속 원자단을 나타내고, L5는 L5에 인접하는 A4와 탄소원자와 함께 색소의 염기성 핵을 형성하는 비금속 원자단을 나타내고, R60 및 R61은 각각 독립적으로 1가의 비금속 원자단을 나타내고, 또는 서로 결합하여 지방족 또는 방향족환을 형성해도 좋다.In formula (e-4), A 3 and A 4 each independently represent -S- or -NR 62 , R 62 represents a substituted or unsubstituted alkyl group, or a substituted or unsubstituted aryl group, and L 4 represents L 4. A nonmetallic atom group forming a basic nucleus of the dye together with A 3 adjacent to and a carbon atom, L 5 represents a nonmetallic atom group forming a basic nucleus of the dye together with A 4 adjacent to L 5 and a carbon atom, and R 60 and R 61 each independently represent a monovalent nonmetallic atom group or may be bonded to each other to form an aliphatic or aromatic ring.
상기 경화성 조성물 중에 증감제의 함량은 심부에 광흡수 효율과 개시제의 분해 효율의 관점에서 총 고형분에 대하여 0.1질량%∼20질량%가 바람직하고, 0.5질량∼15질량%가 보다 바람직하다.0.1 mass%-20 mass% are preferable with respect to total solid from a viewpoint of light absorption efficiency and the decomposition efficiency of an initiator, and, as for content of a sensitizer in the said curable composition, 0.5 mass-15 mass% are more preferable.
상기 증감제는 단독 또는 그 2종 이상의 조합 중 어느 하나이어도 좋다.The said sensitizer may be single or a combination of two or more thereof.
상기 경화성 조성물에 함유할 수 있는 바람직한 증감제의 예는 상기 증감제 이외에, 하기 일반식(II)으로 나타내어지는 화합물 및 일반식(III)으로 나타내어지는 화합물로부터 선택된 적어도 하나를 포함한다.Examples of preferred sensitizers that may be contained in the curable composition include, in addition to the sensitizers, at least one selected from compounds represented by the following general formula (II) and compounds represented by the general formula (III).
상기 증감제는 단독 또는 그 2종 이상의 조합 중 어느 하나이어도 좋다.The said sensitizer may be single or a combination of two or more thereof.
일반식(II) 중, R11 및 R12는 각각 독립적으로 1가의 치환기를 나타내고, R13, R14, R15 및 R16은 각각 독립적으로 수소원자 또는 1가의 치환기를 나타낸다. n은 0∼5의 정수를 나타내고, n'는 0∼5의 정수를 나타내지만, n 및 n' 둘 모두가 0이 되는 경우는 없다. n이 2 이상인 경우, 복수의 R11은 각각 다른 R11과 같거나 다르다. n'이 2 이상인 경우, 복수의 R12는 각각 다른 R12와 같거나 달라도 좋다. 한편, 일반식(II)은 이중결합에 의해 그 이성체 중 어느 하나로 제한되지 않는다.In Formula (II), R 11 and R 12 each independently represent a monovalent substituent, and R 13 , R 14 , R 15, and R 16 each independently represent a hydrogen atom or a monovalent substituent. n represents an integer of 0 to 5 and n 'represents an integer of 0 to 5, but both n and n' do not become zero. When n is 2 or more, a plurality of R 11 's are the same as or different from each other R 11 . If more than n 'is 2, a plurality of R 12 are the same or may be different to each other R 12. On the other hand, general formula (II) is not limited to any one of its isomers by a double bond.
일반식(II)으로 나타내어지는 화합물의 몰흡광계수(ε)는 파장 365nm에서 50Omol-1·L·cm-1 이상이 바람직하고, 파장 365nm에서 3,00Omol-1·L·cm-1 이상이 보다 바람직하고, 파장 365nm에서 20,000mol-1·L·cm-1 이상이 가장 바람직하다. 각 파장에서 몰흡광계수(ε)의 값이 상술한 범위내이면, 광흡수 효율의 관점에서 감도 향상의 효과가 높기 때문에 바람직하다.As for the molar extinction coefficient ((epsilon)) of the compound represented by general formula (II), 50Omol <-1> L * cm <-1> or more is preferable at wavelength 365nm, and 3,00Omol <-1> L * cm <-1> or more is shown at wavelength 365nm. More preferably, 20,000 mol <-1> L * cm <-1> or more is the most preferable at wavelength 365nm. If the value of the molar extinction coefficient (epsilon) in each wavelength is in the range mentioned above, since the effect of a sensitivity improvement is high from a light absorption efficiency viewpoint, it is preferable.
일반식(II)으로 나타내어지는 화합물의 바람직한 구체예를 이하에 나타내지만, 본 발명은 이들로 제한되지 않는다.Although the preferable specific example of a compound represented by general formula (II) is shown below, this invention is not limited to these.
한편, 본 명세서에 있어서, 화학식은 간략 구조식에 의해 기재되어도 좋고, 원소 또는 치환기를 특별히 언급하지 않는 한 실선은 탄화수소기를 나타낸다.In addition, in this specification, a chemical formula may be described by simple structural formula and a solid line represents a hydrocarbon group unless an element or a substituent is specifically mentioned.
일반식(III) 중, A5는 치환기를 가져도 좋은 방향족환 또는 헤테로환을 나타내고, X4는 산소원자, 황원자 또는 -N(R23)-을 나타내고, Y는 산소원자, 황원자 또는 -N(R23)-을 나타낸다. R21, R22 및 R23은 각각 독립적으로 수소원자 또는 1가의 비금속 원자단을 나타내고, A5, R21, R22 및 R23은 각각 서로 결합하여 지방족 또는 방향족환을 형성해도 좋다.In the general formula (III), A 5 is a substituent also shows a good aromatic ring or heterocycle, X 4 is an oxygen atom, a sulfur atom or -N (R 23) - represents the, Y is an oxygen atom, a sulfur atom or -N (R 23 )-is represented. R 21 , R 22 and R 23 each independently represent a hydrogen atom or a monovalent nonmetallic atom group, and A 5 , R 21 , R 22 and R 23 may be bonded to each other to form an aliphatic or aromatic ring.
일반식(III) 중에, R21, R22 및 R23은 각각 독립적으로 수소원자 또는 1가의 비금속 원자단을 나타낸다. R21, R22 및 R23이 1가의 비금속 원자를 나타내는 경우, 치환 또는 비치환의 알킬기, 치환 또는 비치환의 아릴기, 치환 또는 비치환의 알케닐기, 치환 또는 비치환의 방향족 복소환 잔기, 치환 또는 비치환의 알콕시기, 치환 또는 비치환의 알킬티오기, 히드록실기 또는 할로겐 원자가 바람직하다.In General Formula (III), R 21 , R 22 and R 23 each independently represent a hydrogen atom or a monovalent nonmetallic atom group. When R 21 , R 22 and R 23 represent a monovalent nonmetal atom, a substituted or unsubstituted alkyl group, a substituted or unsubstituted aryl group, a substituted or unsubstituted alkenyl group, a substituted or unsubstituted aromatic heterocyclic moiety, a substituted or unsubstituted Alkoxy groups, substituted or unsubstituted alkylthio groups, hydroxyl groups or halogen atoms are preferred.
일반식(III)으로 나타내어지는 화합물에 있어서, 광중합개시제의 분해 효율 향상의 관점에서 Y는 산소원자 또는 -N(R23)-이 바람직하다. R23은 수소원자 또는 1가의 비금속 원자단을 나타낸다. Y는 -N(R23)-이 가장 바람직하다.In the compound represented by the general formula (III), Y is preferably an oxygen atom or -N (R 23 )-from the viewpoint of improving the decomposition efficiency of the photopolymerization initiator. And R 23 represents a hydrogen atom or a monovalent non-metallic atomic group. Y is most preferably -N (R 23 )-.
이하에, 일반식(III)으로 나타내어지는 화합물의 바람직한 구체예를 나타내지만, 본 발명은 이들로 제한되지 않는다. 산성 핵과 염기성 핵을 연결하는 이중결합에 의한 이성체는 명백하지 않지만, 본 발명은 상기 이성체 중 어느 하나로 제한되지 않는다.Although the preferable specific example of a compound represented by general formula (III) below is shown, this invention is not limited to these. Isomers by double bonds connecting the acidic nucleus and the basic nucleus are not clear, but the present invention is not limited to any one of the isomers.
[공증감제][Notary sensitizer]
본 발명의 경화성 조성물은 공증감제를 더 함유하는 것이 바람직하다.It is preferable that the curable composition of this invention contains a sensitizer further.
본 발명에 있어서, 공증감제는 유효 방사에 대해 중합개시제(E) 또는 증감제의 감도를 더 증가시키고 산소에 의한 중합성 화합물(D)의 중합 금지를 억제하는 등의 기능을 갖는다.In the present invention, the co-sensitizer has a function of further increasing the sensitivity of the polymerization initiator (E) or the sensitizer to effective radiation, and inhibiting the inhibition of polymerization of the polymerizable compound (D) by oxygen.
이러한 공증감제의 예는 아민류, 예를 들면 M. R. Sander et al. 저 "Journal of Polymer Society", Vol.10, p.3173 (1972), 일본 특허 공개 S44-20189, 일본 특허 공개 S51-82102, S52-134692, S59-138205, S60-84305, S62-18537 및 S64-33104, 및 Research Disclosure No.33825에 기재된 화합물을 포함한다. 그 구체예는 트리에탄올 아민, 에틸 p-디메틸아미노벤조에이트, p-포르밀디메틸아닐린, p-메틸티오디메틸아닐린 등을 포함한다.Examples of such sensitizers are amines such as M. R. Sander et al. "Journal of Polymer Society", Vol. 10, p.3173 (1972), Japanese Patent Publication S44-20189, Japanese Patent Publication S51-82102, S52-134692, S59-138205, S60-84305, S62-18537 and S64 -33104, and the compounds described in Research Disclosure No.33825. Specific examples include triethanol amine, ethyl p-dimethylaminobenzoate, p-formyldimethylaniline, p-methylthiodimethylaniline, and the like.
상기 공증감제의 다른 예는 티올류 및 술피드류, 예를 들면 일본 특허 공개 S53-702, 일본 특허 공고 S55-500806 및 일본 특허 공개 H5-142772에 기재된 티올 화합물, 일본 특허 공개 S56-75643에 기재된 디술피드 화합물 등을 포함한다. 그 구체예는 2-메르캅토벤조티아졸, 2-메르캅토벤조옥사졸, 2-메르캅토벤즈이미다졸, 2-메르캅토-4(3H)-퀴나졸린, β-메르캅토나프탈렌 등을 포함한다.Other examples of such a sensitizer include thiols and sulfides, for example, the thiol compounds described in Japanese Patent Application S53-702, Japanese Patent Publication S55-500806, and Japanese Patent Publication H5-142772, and Japanese Patent Publication S56-75643. Disulfide compounds and the like. Specific examples include 2-mercaptobenzothiazole, 2-mercaptobenzoxazole, 2-mercaptobenzimidazole, 2-mercapto-4 (3H) -quinazolin, β-mercaptonaphthalene, and the like. .
상기 공증감제의 또 다른 예는 아미노산 화합물류(예를 들면, N-페닐글리신 등), 일본 특허 공고 S48-42965에 기재된 유기 금속 화합물(예를 들면, 트리부틸 주석 아세테이트 등), 일본 특허 공고 S55-34414에 기재된 수소 공여체, 일본 특허 공개 H6-308727에 기재된 황 화합물(예를 들면, 트리티안 등) 등을 포함한다.Still other examples of such a sensitizer include amino acid compounds (for example, N-phenylglycine and the like), organometallic compounds (for example, tributyl tin acetate and the like) described in Japanese Patent Publication S48-42965, and Japanese Patent Publication S55. Hydrogen donors described in -34414, sulfur compounds described in Japanese Patent Laid-Open No. H6-308727 (for example, trithiane and the like) and the like.
상기 공증감제의 함량은 상기 중합 성장률과 연쇄이동제의 밸런스에 의한 경화 속도 증가의 관점에서 상기 경화성 조성물의 총 고형분 질량에 대하여 0.1질량%∼30질량%의 범위가 바람직하고, 보다 바람직하게는 1질량%∼25질량%, 더욱 바람직하게는 1.5질량%∼20질량%이다.The content of the co-sensitizer is preferably in the range of 0.1% by mass to 30% by mass with respect to the total solid mass of the curable composition from the viewpoint of increasing the curing rate due to the balance between the polymerization growth rate and the chain transfer agent, and more preferably 1% by mass. % -25 mass%, More preferably, it is 1.5 mass%-20 mass%.
[중합금지제][Polymerization inhibitor]
본 발명에 있어서, 경화성 조성물의 제조 또는 보관시에 중합성 에틸렌성 불포화 이중결합을 갖는 화합물의 불필요한 중합을 억제하기 위해서 중합금지제를 첨가하는 것이 바람직하다.In this invention, it is preferable to add a polymerization inhibitor in order to suppress unnecessary superposition | polymerization of the compound which has a polymerizable ethylenically unsaturated double bond at the time of manufacture or storage of a curable composition.
본 발명에 사용할 수 있는 중합금지제의 예는 페놀성 히드록실기 함유 화합물, N-옥시드 화합물류, 피페리딘 1-옥시 자유 라디칼 화합물류, 피롤리딘 1-옥시 자유 라디칼 화합물류, N-니트로소페닐히드록실아민류, 디아조늄 화합물류, 양이온 염료류, 술피드기 함유 화합물류, 니트로기 함유 화합물류, FeCl3 또는 CuCl2 등의 전이금속 화합물류를 포함한다.Examples of polymerization inhibitors that can be used in the present invention include phenolic hydroxyl group-containing compounds, N-oxide compounds, piperidine 1-oxy free radical compounds, pyrrolidine 1-oxy free radical compounds, N -Transition metal compounds such as nitrosophenylhydroxylamines, diazonium compounds, cationic dyes, sulfide group-containing compounds, nitro group-containing compounds, FeCl 3 or CuCl 2 .
보다 바람직한 형태는 이하와 같다.More preferable aspect is as follows.
상기 페놀성 히드록실기 함유 화합물은 하이드로퀴논, p-메톡시페놀, 디-t-부틸-p-크레졸, 피로갈롤, t-부틸카테콜, 벤조퀴논, 4,4-티오비스(3-메틸-6-t-부틸 페놀), 2,2'-메틸렌비스(4-메틸-6-t-부틸페놀), 페놀 수지류 및 크레졸 수지류로 이루어진 군으로부터 선택된 화합물이 바람직하다.The phenolic hydroxyl group-containing compound is hydroquinone, p-methoxyphenol, di-t-butyl-p-cresol, pyrogallol, t-butylcatechol, benzoquinone, 4,4-thiobis (3-methyl Preferred is a compound selected from the group consisting of -6-t-butyl phenol), 2,2'-methylenebis (4-methyl-6-t-butylphenol), phenol resins and cresol resins.
상기 N-옥시드 화합물류는 5,5-디메틸-1-피롤린 N-옥시드, 4-메틸모르폴린 N-옥시드, 피리딘 N-옥시드, 4-니트로피리딘 N-옥시드, 3-히드록시피리딘 N-옥시드, 피콜린산 N-옥시드, 니코틴산 N-옥시드 및 이소니코틴산 N-옥시드로 이루어진 군으로부터 선택된 화합물이 바람직하다.The N-oxide compounds are 5,5-dimethyl-1-pyrroline N-oxide, 4-methylmorpholine N-oxide, pyridine N-oxide, 4-nitropyridine N-oxide, 3- Preferred are compounds selected from the group consisting of hydroxypyridine N-oxide, picolinic acid N-oxide, nicotinic acid N-oxide and isnicotinic acid N-oxide.
상기 피페리딘 1-옥시 자유 라디칼 화합물류는 피페리딘 1-옥시 자유 라디칼, 2,2,6,6-테트라메틸피페리딘-1-옥시 자유 라디칼, 4-옥소-2,2,6,6-테트라메틸피페리딘-1-옥시 자유 라디칼, 4-히드록시-2,2,6,6-테트라메틸피페리딘-1-옥시 자유 라디칼, 4-아세트아미드-2,2,6,6-테트라메틸피페리딘-1-옥시 자유 라디칼, 4-말레이미드-2,2,6,6-테트라메틸피페리딘-1-옥시 자유 라디칼 및 4-포스포녹시-2,2,6,6-테트라메틸피페리딘-1-옥시 자유 라디칼로 이루어진 군으로부터 선택된 화합물이 바람직하다.The piperidine 1-oxy free radical compounds include piperidine 1-oxy free radicals, 2,2,6,6-tetramethylpiperidine-1-oxy free radicals, 4-oxo-2,2,6 , 6-tetramethylpiperidine-1-oxy free radical, 4-hydroxy-2,2,6,6-tetramethylpiperidine-1-oxy free radical, 4-acetamide-2,2,6 , 6-tetramethylpiperidine-1-oxy free radical, 4-maleimide-2,2,6,6-tetramethylpiperidine-1-oxy free radical and 4-phosphonoxy-2,2, Preferred are compounds selected from the group consisting of 6,6-tetramethylpiperidine-1-oxy free radicals.
상기 피롤리딘 1-옥시 자유 라디칼 화합물류는 3-카르복시프록실 자유 라디칼(3-카르복시-2,2,5,5-테트라메틸피롤리딘 1-옥시 자유 라디칼)이 바람직하다.The pyrrolidine 1-oxy free radical compounds are preferably 3-carboxy free radicals (3-carboxy-2,2,5,5-tetramethylpyrrolidine 1-oxy free radicals).
상기 N-니트로소페닐히드록실아민류는 N-니트로소페닐히드록실아민 세륨(I)염 및 N-니트로소페닐히드록실아민 알루미늄염으로 이루어진 화합물 군으로부터 선택된 화합물이 바람직하다.The N-nitrosophenylhydroxylamines are preferably compounds selected from the group consisting of N-nitrosophenylhydroxylamine cerium (I) salts and N-nitrosophenylhydroxylamine aluminum salts.
상기 디아조늄 화합물류는 4-디아조페닐디메틸아민 황산수소염, 4-디아조디페닐아민 테트라플루오로 붕산염 및 3-메톡시-4-디아조디페닐아민 헥사플루오로 인산염으로 이루어진 군으로부터 선택된 화합물이 바람직하다.The diazonium compounds are preferably a compound selected from the group consisting of 4-diazophenyldimethylamine hydrogen sulfate, 4-diazophenylphenyl tetrafluoro borate and 3-methoxy-4-diazophenylphenyl hexafluoro phosphate. Do.
본 발명에 사용할 수 있는 바람직한 중합금지제를 이하에 나타내지만, 본 발명은 이들로 제한되지 않는다. 한편, 페놀성 중합금지제는 하기 화합물(P-1)∼(P-24)를 포함한다.Although the preferable polymerization inhibitor which can be used for this invention is shown below, this invention is not limited to these. In addition, a phenolic polymerization inhibitor contains following compound (P-1)-(P-24).
아민 중합금지제는 하기 예시 화합물(N-1)∼(N-7)을 포함한다.Amine polymerization inhibitors include the following exemplary compounds (N-1) to (N-7).
황계 중합금지제는 하기 예시 화합물(S-1)∼(S-5)을 포함한다.Sulfur-based polymerization inhibitors include the following exemplary compounds (S-1) to (S-5).
포스페이트계 중합금지제는 하기 예시 화합물(R-1)∼(R-5)을 포함한다.Phosphate-based polymerization inhibitors include the following exemplary compounds (R-1) to (R-5).
이하의 각 화합물도 적합한 중합금지제로서 사용할 수 있다.Each of the following compounds can also be used as a suitable polymerization inhibitor.
상술한 예시 화합물 중에, 그 바람직한 예는 하이드로퀴논, p-메톡시페놀, 디-t-부틸-p-크레졸, 피로갈롤, t-부틸카테콜, 벤조퀴논, 4,4-티오비스(3-메틸-6-t-부틸페놀) 및 2,2'-메틸렌비스(4-메틸-6-t-부틸페놀) 등의 페놀성 히드록실기 함유 화합물, 피페리딘-1-옥시 자유 라디칼 화합물류, 또는 2,2,6,6-테트라메틸피페리딘-1-옥시 자유 라디칼, 4-옥소-2,2,6,6-테트라메틸피페리딘-1-옥시 자유 라디칼, 4-히드록시-2,2,6,6-테트라메틸피페리딘-1-옥시 자유 라디칼, 4-아세트아미드-2,2,6,6-테트라메틸피페리딘-1-옥시 자유 라디칼, 4-말레이미드-2,2,6,6-테트라메틸피페리딘-1-옥시 자유 라디칼 및 4-포스포녹시-2,2,6,6-테트라메틸피페리딘-1-옥시 자유 라디칼 등의 피페리딘-1-옥시 자유 라디칼화합물, 또는 N-니트로소페닐히드록실아민 세륨(I)염 및 N-니트로소페닐히드록실아민 알루미늄염 등의 N-니트로소페닐히드록실아민 화합물을 포함하고, 그 보다 바람직한 예는 2,2,6,6-테트라메틸피페리딘-1-옥시 자유 라디칼, 4-옥소-2,2,6,6-테트라메틸피페리딘-1-옥시 자유 라디칼, 4-히드록시-2,2,6,6-테트라메틸피페리딘-1-옥시 자유 라디칼, 4-아세트아미드-2,2,6,6-테트라메틸피페리딘-1-옥시 자유 라디칼, 4-말레이미드-2,2,6,6-테트라메틸피페리딘-1-옥시 자유 라디칼 및 4-포스포녹시-2,2,6,6-테트라메틸피페리딘 1-옥시 자유 라디칼 등의 피페리딘-1-옥시 자유 라디칼 화합물, 또는 N-니트로소페닐히드록실아민 세륨(I)염 및 N-니트로소페닐히드록실아민 알루미늄염 등의 N-니트로소페닐히드록실아민 화합물을 포함하고, 더욱 바람직한 예는 N-니트로소페닐히드록실아민 세륨(I)염 및 N-니트로소페닐히드록실아민 알루미늄염 등의 N-니트로소페닐히드록실아민 화합물을 포함한다.Among the above exemplary compounds, preferred examples thereof are hydroquinone, p-methoxyphenol, di-t-butyl-p-cresol, pyrogallol, t-butylcatechol, benzoquinone, 4,4-thiobis (3- Phenolic hydroxyl group-containing compounds, such as methyl-6-t-butylphenol) and 2,2'-methylenebis (4-methyl-6-t-butylphenol), piperidine-1-oxy free radical compounds Or 2,2,6,6-tetramethylpiperidine-1-oxy free radical, 4-oxo-2,2,6,6-tetramethylpiperidine-1-oxy free radical, 4-hydroxy -2,2,6,6-tetramethylpiperidine-1-oxy free radicals, 4-acetamide-2,2,6,6-tetramethylpiperidine-1-oxy free radicals, 4-maleimide Piperi such as -2,2,6,6-tetramethylpiperidine-1-oxy free radical and 4-phosphonoxy-2,2,6,6-tetramethylpiperidine-1-oxy free radical Din-1-oxy free radicals, or N-nitrosophenylhydroxylamine cerium (I) salts and N-nitrosophenylhydroxylamine al N-nitrosophenylhydroxylamine compounds such as aluminum salts, and more preferred examples thereof are 2,2,6,6-tetramethylpiperidine-1-oxy free radicals, 4-oxo-2,2, 6,6-tetramethylpiperidine-1-oxy free radicals, 4-hydroxy-2,2,6,6-tetramethylpiperidine-1-oxy free radicals, 4-acetamide-2,2, 6,6-tetramethylpiperidine-1-oxy free radicals, 4-maleimide-2,2,6,6-tetramethylpiperidine-1-oxy free radicals and 4-phosphonoxy-2,2 Piperidine-1-oxy free radical compounds such as, 6,6-tetramethylpiperidine 1-oxy free radicals, or N-nitrosophenylhydroxylamine cerium (I) salts and N-nitrosophenylhydroxyl N-nitrosophenylhydroxylamine compounds, such as an amine aluminum salt, and a more preferable example is N-, such as N-nitrosophenyl hydroxylamine cerium (I) salt and N-nitrosophenyl hydroxylamine aluminum salt. Nitrosophenyl hydroxide Silamine compounds.
상기 중합금지제의 첨가량은 중합개시제(E)의 100질량부에 대하여 0.01질량부∼10질량부가 바람직하고, 0.01질량부∼8질량부가 보다 바람직하고, 0.05질량부∼5질량부가 가장 바람직하다.0.01 mass part-10 mass parts are preferable with respect to 100 mass parts of a polymerization initiator (E), as for the addition amount of the said polymerization inhibitor, 0.01 mass part-8 mass parts are more preferable, 0.05 mass part-5 mass parts are the most preferable.
상술한 범위내로 그 양을 설정함으로써, 비화상부에서 경화 반응 억제 및 화상부에서 경화 반응 촉진이 충분히 달성되어, 화상 형성성 및 감도가 양호해진다.By setting the amount within the above-mentioned range, suppression of the curing reaction in the non-image portion and promotion of the curing reaction in the image portion are sufficiently achieved, and image formation and sensitivity are improved.
[바인더 폴리머][Binder Polymer]
본 발명의 경화성 조성물은 피막 특성 향상 등의 관점에서 바인더 폴리머를 더 함유하는 것이 바람직하다.It is preferable that the curable composition of this invention contains a binder polymer further from a viewpoint of a film characteristic improvement.
상기 바인더 폴리머로서 선상유기 폴리머를 사용하는 것이 바람직하다. 상기 선상 유기 폴리머로서 공지의 폴리머를 임의로 사용할 수 있다. 수현상 또는 약알칼리 수현상을 가능하게 하기 위해서, 물 또는 약알칼리수에 가용성 또는 팽윤성인 선상 유기 폴리머가 선택되는 것이 바람직하다. 상기 선상 유기 폴리머는 피막형성제로서뿐만 아니라, 물, 약알칼리수 또는 유기 용매 현상제로서의 용도에 따라서 선택적으로 사용된다. 예를 들면, 수가용성 유기 폴리머가 사용되는 경우, 수현상이 가능하게 된다. 이러한 선상 유기 폴리머의 예는 측쇄에 카르복실산기를 갖는 라디칼 중합체, 예를 들면 일본 특허 공개 S59-44615, 일본 특허 공고 S54-34327, S58-12577 및 S54-25957, 일본 특허 공개 S54-92723, S59-53836 및 S59-71048에 기재된 폴리머, 즉 카르복실기를 갖는 모노머의 단독중합 또는 공중합으로 형성된 수지, 산무수물을 갖는 모노머의 단독중합 또는 공중합으로 형성된 산무수물 유닛을 가수분해, 하프에스테르화 또는 하프아미드화로 형성된 수지, 에폭시 수지를 불포화 모노카르복실산 및 산무수물로 변성하여 형성된 에폭시 아크릴레이트 등을 포함한다. 카르복실기를 갖는 모노머의 예는 아크릴산, 메타크릴산, 이타콘산, 크로톤산, 말레산, 푸말산, 4-카르복실스티렌 등을 포함하고, 산무수물을 갖는 모노머의 예는 무수 말레산 등을 포함한다.It is preferable to use linear organic polymer as said binder polymer. A well-known polymer can be used arbitrarily as said linear organic polymer. In order to enable water or weak alkali water development, it is preferable to select a linear organic polymer soluble or swellable in water or weak alkaline water. The linear organic polymer is optionally used depending on the use as a film forming agent, as well as water, weak alkaline water or an organic solvent developer. For example, when a water-soluble organic polymer is used, water development becomes possible. Examples of such linear organic polymers are radical polymers having a carboxylic acid group in the side chain, for example, Japanese Patent Application S59-44615, Japanese Patent Publications S54-34327, S58-12577 and S54-25957, Japanese Patent Publication S54-92723, S59 Resin formed by homopolymerization or copolymerization of the polymers described in -53836 and S59-71048, ie, monomers having carboxyl groups, and acid anhydride units formed by homopolymerization or copolymerization of monomers having acid anhydrides are subjected to hydrolysis, half esterification or half amidation. Epoxy resins formed by modifying the formed resins and epoxy resins with unsaturated monocarboxylic acids and acid anhydrides. Examples of the monomer having a carboxyl group include acrylic acid, methacrylic acid, itaconic acid, crotonic acid, maleic acid, fumaric acid, 4-carboxystyrene, and the like, and examples of the monomer having an acid anhydride include maleic anhydride and the like. .
그 측쇄에 유사하게 카르복실산기를 갖는 산성 셀룰로오스 유도체를 포함한다. 히드록실기 등을 갖는 폴리머에 환상 산무수물을 첨가하여 형성된 수지도 유용하다.Similarly include acidic cellulose derivatives having carboxylic acid groups in the side chain thereof. A resin formed by adding a cyclic acid anhydride to a polymer having a hydroxyl group or the like is also useful.
본 발명에 있어서, 코폴리머가 바인더 폴리머로서 사용되는 경우, 상술한 모노머 이외의 모노머를 공중합시키는 화합물로서 사용할 수 있다. 다른 모노머의 예는 하기 (1)∼(12)에 기재된 화합물을 포함한다.In the present invention, when a copolymer is used as the binder polymer, it can be used as a compound for copolymerizing monomers other than the monomers described above. Examples of other monomers include the compounds described in the following (1) to (12).
(1) 2-히드록시에틸 아크릴레이트, 2-히드록시프로필 아크릴레이트, 3-히드록시프로필 아크릴레이트, 4-히드록시부틸 아크릴레이트, 2-히드록시에틸 메타크릴레이트, 2-히드록시프로필 메타크릴레이트, 3-히드록시프로필 메타크릴레이트 및 4-히드록시부틸 메타크릴레이트 등의 지방족 히드록실기를 갖는 아크릴산 에스테르류 및 메타크릴산 에스테르류.(1) a polyfunctional monomer selected from the group consisting of 2-hydroxyethyl acrylate, 2-hydroxypropyl acrylate, 3-hydroxypropyl acrylate, 4-hydroxybutyl acrylate, 2-hydroxyethyl methacrylate, Acrylate esters and methacrylate esters having aliphatic hydroxyl groups such as acrylate, 3-hydroxypropyl methacrylate and 4-hydroxybutyl methacrylate.
(2) 메틸아크릴레이트, 에틸아크릴레이트, 프로필아크릴레이트, 부틸아크릴레이트, 이소부틸아크릴레이트, 아밀아크릴레이트, 헥실아크릴레이트, 2-에틸헥실아크릴레이트, 옥틸아크릴레이트, 벤질아크릴레이트, 12-클로로에틸아크릴레이트, 글리시딜아크릴레이트, 3,4-에폭시시클로헥실메틸아크릴레이트, 비닐아크릴레이트, 2-페닐비닐아크릴레이트, 1-프로필아크릴레이트, 알릴아크릴레이트, 2-알릴옥시에틸아크릴레이트 및 프로파르길아크릴레이트 등의 알킬아크릴레이트.(2) methyl acrylate, ethyl acrylate, propyl acrylate, butyl acrylate, isobutyl acrylate, amyl acrylate, hexyl acrylate, 2-ethylhexyl acrylate, octyl acrylate, benzyl acrylate, 12-chloro Ethyl acrylate, glycidyl acrylate, 3,4-epoxycyclohexylmethyl acrylate, vinyl acrylate, 2-phenylvinyl acrylate, 1-propyl acrylate, allyl acrylate, 2-allyloxyethyl acrylate and Alkyl acrylates, such as propargyl acrylate.
(3) 메틸메타크릴레이트, 에틸메타크릴레이트, 프로필메타크릴레이트, 부틸메타크릴레이트, 이소부틸메타크릴레이트, 아밀메타크릴레이트, 헥실메타크릴레이트, 2-에틸헥실메타크릴레이트, 시클로헥실메타크릴레이트, 벤질메타크릴레이트, 12-클로로에틸메타크릴레이트, 메타크릴레이트메타크릴레이트, 3,4-에폭시시클로헥실메틸메타크릴레이트, 비닐메타크릴레이트, 2-페닐비닐메타크릴레이트, 1-프로페닐메타크릴레이트, 알릴메타크릴레이트, 2-알릴옥시에틸메타크릴레이트 및 프로파르길메타크릴레이트 등의 알킬메타크릴레이트.(3) Methyl methacrylate, ethyl methacrylate, propyl methacrylate, butyl methacrylate, isobutyl methacrylate, amyl methacrylate, hexyl methacrylate, 2-ethylhexyl methacrylate, cyclohexyl methacrylate Acrylate, benzyl methacrylate, 12-chloroethyl methacrylate, methacrylate methacrylate, 3,4-epoxycyclohexylmethyl methacrylate, vinyl methacrylate, 2-phenylvinyl methacrylate, 1- Alkyl methacrylates, such as propenyl methacrylate, allyl methacrylate, 2-allyloxyethyl methacrylate, and propargyl methacrylate.
(4) 아크릴아미드, 메타크릴아미드, N-메티롤아크릴아미드, N-에틸아크릴아미드, N-헥실메타크릴아미드, N-시클로헥실아크릴아미드, N-히드록시에틸아크릴아미드, N-페닐아크릴아미드, N-니트로페닐아크릴아미드, N-에틸-N-페닐아크릴아미드, 비닐아크릴아미드, 비닐메타크릴아미드, N,N-디알릴아크릴아미드, N,N-디알릴메타크릴아미드, 알릴아크릴아미드 및 알릴메타크릴아미드 등의 아크릴아미드류 또는 메타크릴아미드류.(4) Acrylamide, methacrylamide, N-methyrolacrylamide, N-ethylacrylamide, N-hexyl methacrylamide, N-cyclohexyl acrylamide, N-hydroxyethyl acrylamide, N-phenyl acrylamide , N-nitrophenylacrylamide, N-ethyl-N-phenylacrylamide, vinylacrylamide, vinylmethacrylamide, N, N-diallylacrylamide, N, N-diallylmethacrylamide, allylacrylamide and Acrylamide or methacrylamide, such as allyl methacrylamide.
(5) 에틸비닐에테르, 2-클로로에틸비닐에테르, 히드록시에틸 비닐에테르, 프로필비닐에테르, 부틸비닐에테르, 옥틸비닐에테르 및 페닐비닐에테르 등의 비닐에테르류.(5) Vinyl ethers, such as ethyl vinyl ether, 2-chloroethyl vinyl ether, hydroxyethyl vinyl ether, propyl vinyl ether, butyl vinyl ether, octyl vinyl ether, and phenyl vinyl ether.
(6) 비닐아세테이트, 비닐클로로아세테이트, 비닐부티레이트 및 비닐벤조에이트 등의 비닐에스테르류.(6) Vinyl esters, such as vinyl acetate, vinyl chloro acetate, vinyl butyrate, and vinyl benzoate.
(7) 스티렌, α-메틸스티렌, 메틸스티렌, 클로로메틸스티렌, p-아세톡시스티렌 등의 스티렌류.(7) styrenes such as styrene,? -Methylstyrene, methylstyrene, chloromethylstyrene, and p-acetoxystyrene.
(8) 메틸비닐케톤, 에틸비닐케톤, 프로필비닐케톤 및 페닐비닐케톤 등의 비닐케톤류.(8) Vinyl ketones, such as methyl vinyl ketone, ethyl vinyl ketone, propyl vinyl ketone, and phenyl vinyl ketone.
(9) 에틸렌, 프로필렌, 이소부티렌, 부타디엔 및 이소프렌 등의 올레핀류.(9) Olefins such as ethylene, propylene, isobutylene, butadiene and isoprene.
(10) N-비닐피롤리돈, 아크릴로니트릴, 메타크릴로니트릴 등.(10) N-vinylpyrrolidone, acrylonitrile, methacrylonitrile, and the like.
(11) 말레이미드, N-아크릴로일아크릴아미드, N-아세틸메타크릴아미드, N-프로피오닐메타크릴아미드, N-(p-클로로벤조일)메타크릴아미드 등의 불포화 이미드.(11) Unsaturated imides such as maleimide, N-acryloyl acrylamide, N-acetyl methacrylamide, N-propionyl methacrylamide and N- (p-chlorobenzoyl) methacrylamide.
(12) 그 α-위치에 헤테로 원자가 결합한 메타크릴산계 모노머, 예를 들면 일본 특허 공개 제2002-309057호 및 제2002-311569호 등에 기재된 화합물을 포함한다.(12) Methacrylic acid monomers having a hetero atom bonded to the α-position thereof, for example, the compounds described in JP-A-2002-309057 and 2002-311569 and the like.
상기 바인더 폴리머에 있어서, 하기 일반식(ED)으로 나타내어지는 화합물(이하에, "에테르 다이머"라고 하는 경우가 함)을 필수적으로 포함하는 모노머 성분을 중합하여 형성되는 반복단위를 포함하는 것도 바람직하다.It is also preferable that the said binder polymer contains the repeating unit formed by superposing | polymerizing the monomer component which consists essentially of the compound represented by the following general formula (ED) (henceforth "ether dimer"). .
(식(ED) 중, R1 및 R2는 각각 독립적으로 수소원자 또는 치환기를 가져도 좋은 탄소원자 1∼25개의 탄화수소기를 나타낸다)(In formula (ED), R 1 and R 2 each independently represent a hydrogen atom or a hydrocarbon group of 1 to 25 carbon atoms which may have a substituent.)
따라서, 본 발명의 경화성 수지 조성물은 우수한 내열성 또한 매우 우수한 투명성을 갖는 경화 도포막을 형성할 수 있다. 상기 에테르 다이머를 나타내는 일반식(ED) 중, R1 및 R2로 나타내어지는 치환기를 가져도 좋은 탄소원자 1∼25개의 탄화수소기는 특별히 제한되지 않지만, 그 예는 메틸, 에틸, n-프로필, 이소프로필, n-부틸, 이소부틸, t-부틸, t-아밀, 스테아릴, 라우릴 및 2-에틸헥실 등의 직쇄상 또는 분기상의 알킬기; 페닐 등의 아릴기; 시클로헥실, t-부틸시클로헥실, 디시클로펜타디에닐, 트리시클로데카닐, 이소보르닐, 아다만틸, 2-메틸-2-아다만틸 등의 지환식기; 1-메톡시에틸, 1-에톡시에틸 등의 알콕시 치환 알킬기; 벤질 등의 아릴기 치환 알킬기; 등을 포함한다. 이들 중에, 특히 메틸, 에틸, 시클로헥실 및 벤질 등의 산 또는 열에 의해 이탈하기 어려운 1차 또는 2차 탄소 치환기가 내열성의 관점에서 바람직하다.Therefore, the curable resin composition of this invention can form the cured coating film which has the outstanding heat resistance and very excellent transparency. Although the hydrocarbon group of 1-25 carbon atoms which may have a substituent represented by R <1> and R <2> in general formula (ED) which represents the said ether dimer is not restrict | limited, Examples are methyl, ethyl, n-propyl, iso Linear or branched alkyl groups such as propyl, n-butyl, isobutyl, t-butyl, t-amyl, stearyl, lauryl and 2-ethylhexyl; An aryl group such as phenyl; Cyclohexyl, t-butylcyclohexyl, dicyclopentadienyl, tricyclodecanyl, isobornyl, adamantyl, 2-methyl-2-adamantyl and the like; Alkoxy substituted alkyl groups such as 1-methoxyethyl and 1-ethoxyethyl; An aryl group-substituted alkyl group such as benzyl; And the like. Among them, primary or secondary carbon substituents which are difficult to be released by acids or heat, particularly methyl, ethyl, cyclohexyl and benzyl, are preferable in view of heat resistance.
상기 에테르 다이머의 구체예는 디메틸-2,2'-[옥시비스(메틸렌)]비스-2-프로페노에이트, 디에틸-2,2'-[옥시비스(메틸렌)]비스-2-프로페노에이트, 디(n-프로필)-2,2'-[옥시비스(메틸렌)]비스-2-프로페노에이트, 디(이소프로필)-2,2'-[옥시비스(메틸렌)]비스-2-프로페노에이트, 디(n-부틸)-2,2'-[옥시비스(메틸렌)]비스-2-프로페노에이트, 디(이소부틸)-2,2'-[옥시비스(메틸렌)]비스-2-프로페노에이트, 디(t-부틸)-2,2'-[옥시비스(메틸렌)]비스-2-프로페노에이트, 디(t-아밀)-2,2'-[옥시비스(메틸렌)]비스-2-프로페노에이트, 디(스테아릴)-2,2'-[옥시비스(메틸렌)]비스-2-프로페노에이트, 디(라우릴)-2,2'-[옥시비스(메틸렌)]비스-2-프로페노에이트, 디(2-에틸헥실)-2,2'-[옥시비스(메틸렌)]비스-2-프로페노에이트, 디(1-메톡시에틸)-2,2'-[옥시비스(메틸렌)]비스-2-프로페노에이트, 디(1-에톡시에틸)-2,2'-[옥시비스(메틸렌)]비스-2-프로페노에이트, 디벤질-2,2'-[옥시비스(메틸렌)]비스-2-프로페노에이트, 디페닐-2,2'-[옥시비스(메틸렌)]비스-2-프로페노에이트, 디시클로헥실-2,2'-[옥시비스(메틸렌)]비스-2-프로페노에이트, 디(t-부틸시클로헥실)-2,2'-[옥시비스(메틸렌)]비스-2-프로페노에이트, 디(디시클로펜타디에닐)-2,2'-[옥시비스(메틸렌)]비스-2-프로페노에이트, 디(트리시클로데카닐)-2,2'-[옥시비스(메틸렌)]비스-2-프로페노에이트, 디(이소보르닐)-2,2'-[옥시비스(메틸렌)]비스-2-프로페노에이트, 디아다만틸-2,2'-[옥시비스(메틸렌)]비스-2-프로페노에이트, 디(2-메틸-2-아다만틸)-2,2'-[옥시비스(메틸렌)]비스-2-프로페노에이트 등을 포함한다. 이들 중에, 특히 디메틸-2,2'-[옥시비스(메틸렌)]비스-2-프로페노에이트, 디에틸-2,2'-[옥시비스(메틸렌)]비스-2-프로페노에이트, 디시클로헥실-2,2'-[옥시비스(메틸렌)]비스-2-프로페노에이트 및 디벤질-2,2'-[옥시비스(메틸렌)]비스-2-프로페노에이트가 바람직하다. 이들 에테르 다이머는 단독 또는 그 2종 이상의 조합 중 어느 하나를 사용해도 좋다. 상기 일반식(ED)으로 나타내어지는 화합물로부터 유래된 구조는 다른 모노머와 공중합시켜도 좋다.Specific examples of the ether dimer include dimethyl-2,2'- [oxybis (methylene)] bis-2-propenoate, diethyl-2,2 '- [oxybis (methylene)] bis- Bis (methylene)] bis-2-propenoate, di (isopropyl) -2,2 '- [oxybis Di (isobutyl) -2,2 '- [oxybis (methylene)] propaneate, di (n-butyl) -2,2' - [oxybis Di (t-butyl) -2,2'- [oxybis (methylene)] bis-2-propenoate, di (t-amyl) -2,2 '- [oxybis (Methylene)] bis-2-propenoate, di (stearyl) -2,2 '- [oxybis Bis (2-ethylhexyl) -2,2 '- [oxybis (methylene)] bis-2-propenoate, di (1-methoxyethyl) -2,2'- [oxybis (methylene)] bis-2-propenoate, di (1-ethoxy ) -2,2 '-[oxybis (methylene)] bis-2-propenoate, dibenzyl-2,2'-[oxybis (methylene)] bis-2-propenoate, diphenyl-2, 2 '-[oxybis (methylene)] bis-2-propenoate, dicyclohexyl-2,2'-[oxybis (methylene)] bis-2-propenoate, di (t-butylcyclohexyl) -2,2 '-[oxybis (methylene)] bis-2-propenoate, di (dicyclopentadienyl) -2,2'-[oxybis (methylene)] bis-2-propenoate, Di (tricyclodecanyl) -2,2 '-[oxybis (methylene)] bis-2-propenoate, di (isobornyl) -2,2'-[oxybis (methylene)] bis-2 -Propenoate, diaadamantyl-2,2 '-[oxybis (methylene)] bis-2-propenoate, di (2-methyl-2-adamantyl) -2,2'-[oxybis (Methylene)] bis-2-propenoate and the like. Among them, in particular, dimethyl-2,2 '-[oxybis (methylene)] bis-2-propenoate, diethyl-2,2'-[oxybis (methylene)] bis-2-propenoate, dicy Chlohexyl-2,2 '-[oxybis (methylene)] bis-2-propenoate and dibenzyl-2,2'-[oxybis (methylene)] bis-2-propenoate are preferred. These ether dimers may be used alone or in combination of two or more thereof. The structure derived from the compound represented by the formula (ED) may be copolymerized with other monomers.
이들 중에, 측쇄에 알릴기 또는 비닐에스테르기와 카르복실기를 갖는 (메타)아크릴 수지, 일본 특허 공개 제2000-187322호 및 제2002-62698호에 기재된 측쇄에 이중결합을 갖는 알칼리 가용성 수지, 또는 일본 특허 공개 제2001-242612호에 기재된 측쇄에 아미드기를 갖는 알칼리 가용성 수지가 막 강도, 감도 및 현상성의 우수한 밸런스에 의해 적합하다.Among them, (meth) acrylic resins having allyl groups or vinyl ester groups and carboxyl groups in the side chains, alkali-soluble resins having double bonds in the side chains described in Japanese Patent Laid-Open Nos. 2000-187322 and 2002-62698, or Japanese Patent Laid-Open. Alkali-soluble resin which has an amide group in the side chain of 2001-242612 is suitable for the outstanding balance of film | membrane strength, a sensitivity, and developability.
일본 특허 공고 H7-12004, H7-120041, H7-120042, H8-12424 및 S63-287944, 일본 특허 공개 S63-287947, S63-287947 및 H1-271741 등에 기재된 산성기를 갖는 우레탄계 바인더 폴리머, 또는 일본 특허 공개 제2002-107918호에 기재된 측쇄에 산성기 및 이중결합을 갖는 우레탄계 바인더 폴리머는 매우 우수한 강도를 가지므로, 막 강도의 관점에서 유리하다.Urethane-based binder polymers having acidic groups described in Japanese Patent Publications H7-12004, H7-120041, H7-120042, H8-12424 and S63-287944, Japanese Patent Publication S63-287947, S63-287947 and H1-271741, or Japanese Patent Publication Since the urethane-based binder polymer having acidic groups and double bonds in the side chain described in 2002-107918 has very excellent strength, it is advantageous in view of film strength.
유럽 특허 제993966호, 유럽 특허 제1204000호, 일본 특허 공개 제2001-318463호 등에 기재된 산성기를 갖는 아세탈 변성 폴리비닐알콜계 바인더 폴리머는 우수한 막 강도를 가지므로 적합하다.Acetal modified polyvinyl alcohol-based binder polymers having acidic groups described in European Patent No. 993966, European Patent No. 1204000, Japanese Patent Laid-Open No. 2001-318463 and the like are suitable because they have excellent film strength.
수용성 선상 유기 폴리머로서 폴리비닐피롤리돈, 폴리에틸렌옥시드 등이 유용하다. 상기 경화 피막의 강도를 증가시키기 위해서 알콜 가용성 나일론, 2,2-비스-(4-히드록시페닐)-프로판과 에피크롤로히드린의 폴리에테르 등도 유용하다.As the water-soluble linear organic polymer, polyvinylpyrrolidone, polyethylene oxide and the like are useful. Alcoholic soluble nylon, polyethers of 2,2-bis- (4-hydroxyphenyl) -propane and epichlorohydrin are also useful for increasing the strength of the cured coating.
본 발명의 경화성 조성물에 사용할 수 있는 바인더 폴리머의 중량 평균 분자량(GPC법으로 측정된 폴리스티렌 환산값)은 5,000 이상이 바람직하고, 보다 바람직하게는 10,000∼300,000의 범위이고, 그 수 평균 분자량은 1,000 이상이 바람직하고, 보다 바람직하게는 2,000∼250,000의 범위이다. 그 분산도(중량 평균 분자량/수 평균 분자량)는 1 이상이 바람직하고, 보다 바람직하게는 1.1∼10의 범위이다.As for the weight average molecular weight (polystyrene conversion value measured by GPC method) of the binder polymer which can be used for the curable composition of this invention, 5,000 or more are preferable, More preferably, it is the range of 10,000-300,000, The number average molecular weight is 1,000 or more This is preferable, More preferably, it is the range of 2,000-250,000. 1 or more is preferable, and, as for the dispersion degree (weight average molecular weight / number average molecular weight), it is the range of 1.1-10 more preferably.
상기 바인더 폴리머는 랜덤 폴리머, 블록 폴리머, 그래프트 폴리머 등 중 어느 하나를 사용해도 좋다.The binder polymer may be any one of a random polymer, a block polymer, a graft polymer and the like.
본 발명에 사용할 수 있는 바인더 폴리머는 종래 공지의 방법에 의해 합성할 수 있다. 상기 합성에 사용할 수 있는 용매의 예는 테트라히드로푸란, 에틸렌클로라이드, 시클로헥사논, 메틸에틸케톤, 아세톤, 메탄올, 에탄올, 에틸렌글리콜모노메틸에테르, 에틸렌글리콜모노에틸에테르, 2-메톡시에틸아세테이트, 디에틸렌글리콜디메틸에테르, 1-메톡시-2-프로판올, 1-메톡시-2-프로필아세테이트, N,N-디메틸포름아미드, N,N-디메틸아세트아미드, 톨루엔, 에틸아세테이트, 메틸락테이트, 에틸락테이트, 디메틸술폭시드, 물 등을 포함한다. 이들 접착제는 단독 또는 그 2종 이상의 조합 중 어느 하나를 사용해도 좋다.The binder polymer which can be used for this invention can be synthesize | combined by a conventionally well-known method. Examples of the solvent that can be used for the synthesis include tetrahydrofuran, ethylene chloride, cyclohexanone, methyl ethyl ketone, acetone, methanol, ethanol, ethylene glycol monomethyl ether, ethylene glycol monoethyl ether, 2-methoxyethyl acetate, Diethylene glycol dimethyl ether, 1-methoxy-2-propanol, 1-methoxy-2-propyl acetate, N, N-dimethylformamide, N, N-dimethylacetamide, toluene, ethyl acetate, methyl lactate, Ethyl lactate, dimethyl sulfoxide, water and the like. You may use these adhesives individually or in combination of 2 or more types.
본 발명의 경화성 조성물에 사용할 수 있는 바인더 폴리머의 합성에 사용할 수 있는 라디칼 중합개시제의 예는 아조계 개시제 및 퍼옥시드 개시제 등의 관련분야에 공지된 화합물을 포함한다.Examples of the radical polymerization initiator that can be used for the synthesis of the binder polymer that can be used in the curable composition of the present invention include compounds known in the related art such as azo initiators and peroxide initiators.
본 발명의 경화성 조성물에 있어서, 바인더 폴리머는 단독 또는 그 2종 이상의 조합 중 어느 하나를 사용해도 좋다.In the curable composition of this invention, you may use any of a binder polymer individually or in combination of 2 or more types.
본 발명의 경화성 조성물은 바인더 폴리머를 함유해도 함유하지 않아도 좋지만, 상기 조성물이 바인더 폴리머를 함유하는 경우, 상기 바인더 폴리머의 함량은 상기 경화성 조성물의 총 고형분에 대하여 1질량%∼40질량%가 바람직하고, 3질량%∼30질량%가 보다 바람직하고, 4질량%∼20질량%가 더욱 바람직하다.Although the curable composition of this invention does not need to contain even if it contains a binder polymer, when the said composition contains a binder polymer, the content of the said binder polymer is 1 mass%-40 mass% with respect to the total solid of the said curable composition, 3 mass%-30 mass% are more preferable, and 4 mass%-20 mass% are more preferable.
[계면활성제][Surfactants]
본 발명의 경화성 조성물에 도포성을 보다 향상시키는 관점에서 각종 계면활성제를 첨가해도 좋다. 불소계 계면활성제, 비이온계 계면활성제, 양이온계 계면활성제, 음이온계 계면활성제 및 실리콘계 계면활성제 등의 각종 계면활성제를 상기 계면활성제로서 사용할 수 있다.You may add various surfactant to the curable composition of this invention from a viewpoint of further improving applicability | paintability. Various surfactants, such as a fluorochemical surfactant, nonionic surfactant, cationic surfactant, anionic surfactant, and a silicone type surfactant, can be used as said surfactant.
특히, 본 발명의 경화성 조성물이 불소계 계면활성제를 함유하는 경우, 도포액으로 조제했을 때의 액 특성(특히, 유동성)이 보다 향상될 수 있으므로, 도포 두께의 균일성 또는 성액성을 보다 개선시킬 수 있다.In particular, when the curable composition of the present invention contains a fluorine-based surfactant, the liquid properties (particularly fluidity) when prepared with a coating liquid can be further improved, so that the uniformity of the coating thickness or the liquid-liquidity can be further improved. have.
즉, 불소계 계면활성제를 함유하는 감광성 투명 조성물을 적용한 도포액을 사용하여 막을 형성하는 경우, 피도포면과 도포액 사이의 계면장력을 저하시킴으로써 피도포면에 대한 젖음성이 개선되어 피도포면에 대한 도포성은 향상된다. 따라서, 소량의 액량으로 수㎛ 정도의 두께를 갖는 박막을 형성했을 경우에도, 두께 불균일이 적은 균일한 두께의 막을 형성하는데 적합하게 행할 수 있어 효과적이다.That is, when the film is formed using the coating liquid to which the photosensitive transparent composition containing the fluorine-based surfactant is formed, the wettability on the coated surface is improved by decreasing the interfacial tension between the coated surface and the coating liquid, thereby improving the coatability on the coated surface. do. Therefore, even when a thin film having a thickness of about several micrometers is formed with a small amount of liquid, it can be suitably performed to form a film of uniform thickness with little thickness unevenness and is effective.
상기 불소계 계면활성제 중에 불소의 함유율은 3질량%∼40질량%가 바람직하고, 보다 바람직하게는 5질량%∼30질량%, 특히 바람직하게는 7질량%∼25질량%이다. 불소 함유율이 상술한 범위내인 불소계 계면활성제는 도포막의 두께 균일성 및 성액성의 관점에서 효과적이고, 상기 경화성 조성물 중에서 양호한 용해성을 나타낸다.The content of fluorine in the fluorine-based surfactant is preferably 3% by mass to 40% by mass, more preferably 5% by mass to 30% by mass, particularly preferably 7% by mass to 25% by mass. The fluorine-based surfactant having a fluorine content in the above-described range is effective in view of the thickness uniformity and the liquid-liquidity of the coating film, and exhibits good solubility in the curable composition.
상기 불소계 계면활성제의 예는 MEGAFAC F171, MEGAFAC F172, MEGAFAC F173, MEGAFAC F176, MEGAFAC F177, MEGAFAC F141, MEGAFAC F142, MEGAFAC F143, MEGAFAC F144, MEGAFAC R30, MEGAFAC F437, MEGAFAC F475, MEGAFAC F479, MEGAFAC F482, MEGAFAC F554, MEGAFAC F780 및 MEGAFAC F781(모두, DIC corporation 제작), Fluorad FC430, Fluorad FC431 및 Fluorad FC171(모두, Sumitomo 3M Limited 제작), Surflon S-382, Surflon SC-101, Surflon SC-103, Surflon SC-104, Surflon SC-105, Surflon SC-1068, Surflon SC-381, Surflon SC-383, Surflon SC393 및 Surflon KH-40(모두, ASAHI GLASS CO. LTD. 제작), PF636, PF656, PF6320, PF6520, PF7002(모두, OMNOVA 제작) 등을 포함한다.Examples of the fluorine-based surfactants are MEGAFAC F171, MEGAFAC F172, MEGAFAC F173, MEGAFAC F176, MEGAFAC F177, MEGAFAC F141, MEGAFAC F142, MEGAFAC F143, MEGAFAC F144, MEGAFAC R30, MEGAFAC F437, MEGAFAC F475, MEGAFAC F475, MEGAFAC F475 F554, MEGAFAC F780 and MEGAFAC F781 (all manufactured by DIC corporation), Fluorad FC430, Fluorad FC431, and Fluorad FC171 (all manufactured by Sumitomo 3M Limited), Surflon S-382, Surflon SC-101, Surflon SC-103, Surflon SC- 104, Surflon SC-105, Surflon SC-1068, Surflon SC-381, Surflon SC-383, Surflon SC393 and Surflon KH-40 (all manufactured by ASAHI GLASS CO. LTD.), PF636, PF656, PF6320, PF6520, PF7002 (All, manufactured by OMNOVA) and the like.
상기 비이온계 계면활성제의 구체예는 글리세롤, 트리메티롤프로판, 트리메티롤에탄 및 그 에톡실레이트, 프로폭실레이트(예를 들면, 글리세롤프로폭실레이트, 글리세린에톡실레이트 등), 폴리옥시에틸렌라우릴에테르, 폴리옥시에틸렌스테아릴에테르, 폴리옥시에틸렌올레일에테르, 폴리옥시에틸렌옥틸페닐에테르, 폴리옥시에틸렌노닐페닐에테르, 폴리에틸렌글리콜디라우레이트, 폴리에틸렌글리콜디스테아레이트, 소르비탄 지방산 에스테르(BASF Corporation 제작의 Pluronic L10, L31, L61, L62, 10R5, 17R2, 25R2, 및 Tetronic 304, 701, 704, 901, 904, 150R1), SOLSPERSE 20000(The Lubrizol Corporation 제작) 등을 포함한다.Specific examples of the nonionic surfactants include glycerol, trimetholpropane, trimetholethane and ethoxylates thereof, propoxylate (for example, glycerol propoxylate, glycerin ethoxylate, and the like), polyoxyethylene Lauryl ether, polyoxyethylene stearyl ether, polyoxyethylene oleyl ether, polyoxyethylene octylphenyl ether, polyoxyethylene nonylphenyl ether, polyethylene glycol dilaurate, polyethylene glycol distearate, sorbitan fatty acid ester (BASF Pluronic L10, L31, L61, L62, 10R5, 17R2, 25R2, and Tetronic 304, 701, 704, 901, 904, 150R1 manufactured by Corporation, SOLSPERSE 20000 (manufactured by The Lubrizol Corporation), and the like.
상기 양이온계 계면활성제의 구체예는 프탈로시아닌 유도체(상품명: EFKA-745, Morishita & Co., Ltd. 제작), 오르가노실록산 폴리머 KP341(Shin-Etsu Chemical Co., Ltd. 제작), (메타)아크릴산계 코폴리머 Polyflow No. 75, No. 90 및 No. 95(KYOEISHA CHEMICAL Co., Ltd. 제작), W001(YUSHO CO., LTD. 제작) 등을 포함한다.Specific examples of the cationic surfactant include phthalocyanine derivatives (trade name: EFKA-745, manufactured by Morishita & Co., Ltd.), organosiloxane polymer KP341 (manufactured by Shin-Etsu Chemical Co., Ltd.), and (meth) acrylic. Acid copolymer Polyflow No. 75, No. 90 and No. 95 (manufactured by KYOEISHA CHEMICAL Co., Ltd.), W001 (manufactured by YUSHO CO., LTD.), And the like.
상기 음이온계 계면활성제의 구체예는 W004, W005, W017(YUSHO CO., LTD. 제작) 등을 포함한다.Specific examples of the anionic surfactant include W004, W005, W017 (manufactured by YUSHO CO., LTD.) And the like.
상기 실리콘계 계면활성제의 예는 Dow Corning Toray Co., Ltd. 제작의 "Toray silicone DC3PA", "Toray silicone SH7PA", "Toray silicone DC11PA", "Toray silicone SH21PA", "Toray silicone SH28PA", "Toray silicone SH29PA", "Toray silicone SH30PA" 및 "Toray silicone SH8400", Momentive Performance Materials Inc. 제작의 "TSF-4440", "TSF-4300", "TSF-4445", "TSF-4460" 및 "TSF-4452", Shin-Etsu Silicone Co., Ltd. 제작의 "KP341", "KF6001" 및 "KF6002", BYK Chemie GmbH 제작의 "BYK307", "BYK323" 및 "BYK330" 등을 포함한다.Examples of the silicone-based surfactants are Dow Corning Toray Co., Ltd. "Toray silicone DC3PA", "Toray silicone SH7PA", "Toray silicone DC11PA", "Toray silicone SH21PA", "Toray silicone SH28PA", "Toray silicone SH29PA", "Toray silicone SH30PA" and "Toray silicone SH8400", Momentive Performance Materials Inc. "TSF-4440", "TSF-4300", "TSF-4445", "TSF-4460" and "TSF-4452" produced by Shin-Etsu Silicone Co., Ltd. "KP341", "KF6001" and "KF6002" produced, "BYK307", "BYK323" and "BYK330" manufactured by BYK Chemie GmbH, and the like.
상기 계면활성제는 단독 또는 2종 이상의 조합 중 어느 하나를 사용해도 좋다.The surfactant may be used either alone or in combination of two or more.
상기 경화성 조성물은 계면활성제를 함유해도 함유하지 않아도 좋지만, 상기 조성물이 계면활성제를 함유하는 경우, 상기 계면활성제의 첨가량은 상기 경화성 조성물의 총 질량에 대하여 0.001질량%∼2.0질량%가 바람직하고, 보다 바람직하게는 0.005질량%∼1.0질량%이다.Although the said curable composition does not need to contain even if it contains surfactant, when the said composition contains surfactant, the addition amount of the said surfactant is preferably 0.001 mass%-2.0 mass% with respect to the gross mass of the said curable composition, More Preferably they are 0.005 mass%-1.0 mass%.
[기타 첨가제][Other additives]
상기 경화성 조성물에 경화 피막의 물성을 향상시키기 위해서 가소제 및 감화제 등의 공지의 첨가제를 첨가해도 좋다.In order to improve the physical property of a cured film, you may add well-known additives, such as a plasticizer and a sensitizer, to the said curable composition.
상기 가소제의 예는 디옥틸프탈레이트, 디도데실프탈레이트, 트리에틸렌글리콜디카프릴레이트, 디메틸글리콜프탈레이트, 트리크레실포스페이트, 디옥틸아디페이트, 디부틸세바케이트, 트리아세틸글리세린 등을 포함하고, 바인더 폴리머가 사용되는 경우, 중합성 화합물과 바인더 폴리머의 총 질량에 대하여 10질량% 이하의 양을 상기 가소제에 첨가할 수 있다.Examples of the plasticizer include dioctyl phthalate, didodecyl phthalate, triethylene glycol dicaprylate, dimethyl glycol phthalate, tricresyl phosphate, dioctyl adipate, dibutyl sebacate, triacetylglycerine, and the like. When used, an amount of 10% by mass or less may be added to the plasticizer based on the total mass of the polymerizable compound and the binder polymer.
[UV 흡수제][UV absorbers]
본 발명의 경화성 조성물은 UV 흡수제를 함유해도 좋다. UV 흡수제로서 공역 디엔계 화합물인 하기 일반식(I)으로 나타내어지는 화합물이 특히 바람직하다.The curable composition of this invention may contain a UV absorber. Particularly preferred is a compound represented by the following general formula (I), which is a conjugated diene compound as a UV absorber.
일반식(I) 중에, R1 및 R2는 각각 독립적으로 수소원자, 탄소원자 1∼20개의 알킬기 또는 탄소원자 6∼20개의 아릴기를 나타내고, R1과 R2는 서로 같거나 달라도 좋지만, 동시에 수소원자를 나타내는 경우는 없다.In formula (I), R 1 and R 2 each independently represent a hydrogen atom, an alkyl group of 1 to 20 carbon atoms or an aryl group of 6 to 20 carbon atoms, and R 1 and R 2 may be the same as or different from each other, It does not represent a hydrogen atom.
R1 및 R2로 나타내어지는 탄소원자 1∼20개의 알킬기의 예는 메틸기, 에틸기, 프로필기, n-부틸기, n-헥실기, 시클로헥실기, n-데실기, n-도데실기, n-옥타데실기, 에이코실기, 메톡시에틸기, 에톡시프로필기, 2-에틸헥실기, 히드록시에틸기, 클로로프로필기, N,N-디에틸아미노프로필기, 시아노에틸기, 페네틸기, 벤질기, p-t-부틸페네틸기, p-t-옥틸페녹시에틸기, 3-(2,4-디-t-아밀페녹시)프로필기, 에톡시카르보닐메틸기, 2-(2-히드록시에톡시)에틸기, 2-푸릴에틸기 등을 포함하고, 메틸기, 에틸기, 프로필기, n-부틸기 및 n-헥실기가 바람직하다.Examples of the alkyl group having 1 to 20 carbon atoms represented by R 1 and R 2 are methyl group, ethyl group, propyl group, n-butyl group, n-hexyl group, cyclohexyl group, n-decyl group, n-dodecyl group, n Octadecyl group, eicosyl group, methoxyethyl group, ethoxypropyl group, 2-ethylhexyl group, hydroxyethyl group, chloropropyl group, N, N-diethylaminopropyl group, cyanoethyl group, phenethyl group, benzyl group , pt-butylphenethyl group, pt-octylphenoxyethyl group, 3- (2,4-di-t-amylphenoxy) propyl group, ethoxycarbonylmethyl group, 2- (2-hydroxyethoxy) ethyl group, 2-furylethyl group etc. are contained, and a methyl group, an ethyl group, a propyl group, n-butyl group, and n-hexyl group are preferable.
R1 및 R2로 나타내어지는 알킬기는 치환기를 가져도 좋고, 치환기를 갖는 알킬기의 치환기의 예는 알킬기, 아릴기, 알콕시기, 아릴옥시기, 아실옥시기, 할로겐 원자, 아실아미노기, 아실기, 알킬티오기, 아릴티오기, 히드록실기, 시아노기, 알킬옥시카르보닐기, 아릴옥시카르보닐기, 치환 카르바모일기, 치환 술파모일기, 니트로기, 치환 아미노기, 알킬술포닐기, 아릴술포닐기 등을 포함한다.The alkyl group represented by R 1 and R 2 may have a substituent, and examples of the substituent of the alkyl group having a substituent include alkyl group, aryl group, alkoxy group, aryloxy group, acyloxy group, halogen atom, acylamino group, acyl group, Alkylthio group, arylthio group, hydroxyl group, cyano group, alkyloxycarbonyl group, aryloxycarbonyl group, substituted carbamoyl group, substituted sulfamoyl group, nitro group, substituted amino group, alkylsulfonyl group, arylsulfonyl group and the like .
R1 및 R2로 나타내어지는 탄소원자 6∼20개의 아릴기는 단환 또는 축합환이어도 좋고, 치환기를 갖는 치환 아릴기 및 무치환 아릴기 중 어느 하나이어도 좋다. 그 예는 페닐기, 1-나프틸기, 2-나프틸기, 안트릴기, 페난트릴기, 인데닐기, 아세나부테닐기, 플루오레닐기 등을 포함한다. 치환기를 갖는 치환 아릴기의 치환기의 예는 알킬기, 아릴기, 알콕시기, 아릴옥시기, 아실옥시기, 할로겐 원자, 아실아미노기, 아실기, 알킬티오기, 아릴티오기, 히드록실기, 시아노기, 알킬옥시카르보닐기, 아릴옥시 카르보닐기, 치환 카르바모일기, 치환 술파모일기, 니트로기, 치환 아미노기, 알킬술포닐기, 아릴술포닐기 등을 포함한다. 이들 중에, 치환 또는 무치환 페닐기, 1-나프틸기 및 2-나프틸기가 바람직하다.The aryl group having 6 to 20 carbon atoms represented by R 1 and R 2 may be monocyclic or condensed, or may be any of a substituted aryl group and an unsubstituted aryl group having a substituent. Examples include a phenyl group, 1-naphthyl group, 2-naphthyl group, anthryl group, phenanthryl group, indenyl group, acenabutenyl group, fluorenyl group and the like. Examples of the substituent of the substituted aryl group having a substituent include alkyl group, aryl group, alkoxy group, aryloxy group, acyloxy group, halogen atom, acylamino group, acyl group, alkylthio group, arylthio group, hydroxyl group, cyano group , Alkyloxycarbonyl group, aryloxy carbonyl group, substituted carbamoyl group, substituted sulfamoyl group, nitro group, substituted amino group, alkylsulfonyl group, arylsulfonyl group and the like. Among these, a substituted or unsubstituted phenyl group, a 1-naphthyl group and a 2-naphthyl group are preferable.
R1 및 R2는 R1 및 R2가 결합하는 질소원자와 환상 아미노기를 형성해도 좋다. 환상 아미노기의 예는 피페리디노기, 모르폴리노기, 피롤리디노기, 헥사히드로아제피노기, 피페라지노기 등을 포함한다.R 1 and R 2 may form a nitrogen atom and a cyclic amino group to which R 1 and R 2 are bonded. Examples of the cyclic amino group include a piperidino group, a morpholino group, a pyrrolidino group, a hexahydroazino group, a piperazino group, and the like.
이들 중에, R1 및 R2는 각각 탄소원자 1∼8개의 저급 알킬기(예를 들면, 메틸, 에틸, 이소프로필, 부틸, sec-부틸, tert-부틸, 펜틸, tert-펜틸, 헥실, 옥틸, 2-에틸헥실, tert-옥틸 등), 또는 치환 또는 무치환 페닐기(예를 들면, 톨릴기, 페닐기, 아니실기, 메시틸기, 클로로페닐기, 2,4-디-tert-아밀페닐기 등)가 바람직하다. 또한, R1 및 R2가 결합하여 일반식 중에 N으로 나타내어지는 질소원자를 함유하는 환(예를 들면, 피페리딘환, 피롤리딘환, 모르폴린환 등)을 형성하는 것도 바람직하다.Among them, R 1 and R 2 each represent a lower alkyl group having 1 to 8 carbon atoms (e.g., methyl, ethyl, isopropyl, butyl, sec-butyl, tert-butyl, pentyl, tert-pentyl, hexyl, octyl, 2-ethylhexyl, tert-octyl, etc.) or a substituted or unsubstituted phenyl group (e.g., tolyl group, phenyl group, anylyl group, mesityl group, chlorophenyl group, 2,4-di-tert-amylphenyl group, etc.) is preferable. Do. It is also preferable to form a ring (for example, a piperidine ring, a pyrrolidine ring, a morpholine ring, etc.) containing a nitrogen atom represented by N in the general formula by combining R 1 and R 2 .
일반식(I) 중에, R3 및 R4는 각각 전자 끄는 기를 나타낸다. 여기서, 전자 끄는 기는 0.20∼1.0의 하메트 치환기 정수(σp값)(이하에, 간단히 "σp값"이라 함)를 갖는 전자 구인성기이다. 상기 전자 끄는 기는 σp값이 0.30∼0.8인 전자 구인성기가 바람직하다.In general formula (I), R <3> and R <4> represents an electron withdrawing group, respectively. Here, the electron withdrawing group is an electron withdrawing group having a Hammett substituent constant (? P value) (hereinafter simply referred to as “? P value”) of 0.20 to 1.0. The electron withdrawing group is preferably an electron withdrawing group having a sigma p value of 0.30 to 0.8.
하메트 룰은 벤젠 유도체의 반응 또는 평형에 영향을 미치는 치환기의 영향을 정량적으로 논의하기 위해서 1935년에 L. P. Hammett에 의해 주장된 경험칙이고, 이 룰의 타당성은 오늘날 널리 인정받고 있다. 하메트 룰에 의해 결정된 치환기 정수는 σp값 및 σm값을 포함하고, 이들 값은 다수의 일반적인 문서에 기재되어 있고, 예를 들면 J. A. Dean, 판 "Lange' s Handbook of Chemistry", 제12판, 1979(McGraw-Hil1) 또는 "Realms of Chemistry", No. 122, 96∼103쪽, 1979(Nankodo Co., Ltd.) 및 Chemical Reviews, Vol. 91, 165∼195쪽, 1991에 상세하게 기재되어 있다. 본 발명에 있어서, 이들 문서에 기재되고 이미 문헌에 알려진 값은 임의의 치환기만으로 제한된다는 의미가 아니고, 그 값이 문헌에 알려지지 않았어도 하메트 룰에 근거하여 측정될 때에 범위내에 포함되는 값인 한 본 발명에 명백히 포함될 것이다.Hammet's rule is an empirical rule proposed by L. P. Hammett in 1935 to quantitatively discuss the effect of substituents on the reaction or equilibrium of benzene derivatives, and the validity of this rule is widely accepted today. Substituent constants determined by Hammett's rule include sigma p values and sigma m values, which are described in many general documents and described, for example, in JA Dean, Edition "Lange's Handbook of Chemistry", Twelfth Edition, 1979 (McGraw-Hil1) or "Realms of Chemistry", No. 122, pp. 96-103, 1979 (Nankodo Co., Ltd.) and Chemical Reviews, Vol. 91, pp. 165-195, 1991. In the present invention, the values described in these documents and already known in the literature are not meant to be limited to any substituents alone, and as long as the values are within the range when measured on the basis of Hammet rules, even if they are not known in the literature, Will be included in the
상기 σp값이 0.20∼1.0인 전자 구인성기의 구체예는 아실기, 아실옥시기, 카르바모일기, 알킬옥시카르보닐기, 아릴옥시카르보닐기, 시아노기, 니트로기, 디알킬포스포노기, 디아릴포스포노기, 디아릴포스피노기, 알킬술피닐기, 아릴술피닐기, 알킬술포닐기, 아릴술포닐기, 술포닐옥시기, 아실티오기, 술파모일기, 티오시아네이트기, 티오카르보닐기, 적어도 2개 이상의 할로겐 원자로 치환된 알킬기, 적어도 2개 이상의 할로겐 원자로 치환된 알콕시기, 적어도 2개 이상의 할로겐 원자로 치환된 아릴옥시기, 적어도 2개 이상의 할로겐 원자로 치환된 알킬아미노기, 적어도 2개 이상의 할로겐 원자로 치환된 알킬티오기, σp값이 0.20 이상인 다른 전자 구인성기로 치환된 아릴기, 복소환기, 염소원자, 브롬원자, 아조기 또는 셀레노시아네이트를 포함한다. 이들 치환기 중에, 치환기를 더 가질 수 있는 기는 상술한 것 등의 치환기를 더 가져도 좋다.Specific examples of the electron withdrawing groups having the above sigma p values of 0.20 to 1.0 include acyl, acyloxy, carbamoyl, alkyloxycarbonyl, aryloxycarbonyl, cyano, nitro, dialkylphosphono and diarylphosphono Group, diarylphosphino group, alkylsulfinyl group, arylsulfinyl group, alkylsulfonyl group, arylsulfonyl group, sulfonyloxy group, acylthio group, sulfamoyl group, thiocyanate group, thiocarbonyl group, at least two halogen atoms A substituted alkyl group, an alkoxy group substituted with at least two halogen atoms, an aryloxy group substituted with at least two halogen atoms, an alkylamino group substituted with at least two halogen atoms, an alkylthio group substituted with at least two halogen atoms, aryl groups, heterocyclic groups, chlorine atoms, bromine atoms, azo groups or selenocyanates substituted with other electron withdrawing groups having a sigma p value of 0.20 or more. In these substituents, the group which may further have a substituent may further have substituents such as those described above.
이들 중에, R3 및 R4는 각각 아실기, 카르바모일기, 알킬옥시카르보닐기, 아릴옥시카르보닐기, 시아노기, 니트로기, 알킬술포닐기, 아릴술포닐기, 술포닐옥시기 및 술파모일기가 바람직하고, 특히 바람직하게는 아실기, 카르바모일기, 알킬옥시카르보닐기, 아릴옥시카르보닐기, 시아노기, 알킬술포닐기, 아릴술포닐기, 술포닐옥시기 및 술파모일기이다.Among these, R 3 and R 4 are preferably an acyl group, carbamoyl group, alkyloxycarbonyl group, aryloxycarbonyl group, cyano group, nitro group, alkylsulfonyl group, arylsulfonyl group, sulfonyloxy group and sulfamoyl group, Particularly preferred are acyl group, carbamoyl group, alkyloxycarbonyl group, aryloxycarbonyl group, cyano group, alkylsulfonyl group, arylsulfonyl group, sulfonyloxy group and sulfamoyl group.
상술한 것 중에, 본 발명에 있어서 R3은 시아노기, -COOR5, -CONHR5, -COR5 및 -SO2R5로부터 선택된 기가 바람직하고, R4는 시아노기, -COOR6, -CONHR6, -COR6 및 -SO2R6으로부터 선택된 기가 바람직하다. R5 및 R6은 각각 독립적으로 탄소원자 1∼20개의 알킬기 또는 탄소원자 6∼20개의 아릴기를 나타낸다. R5 및 R6으로 나타내어지는 탄소원자 1∼20개의 알킬기 및 탄소원자 6∼20개의 아릴기는 R1 및 R2과 각각 동일한 의미를 가지고, 바람직한 형태도 동일하다.Among the above, in the present invention, R 3 is preferably a group selected from cyano group, -COOR 5 , -CONHR 5 , -COR 5 and -SO 2 R 5 , and R 4 is cyano group, -COOR 6 , -CONHR Groups selected from 6 , -COR 6 and -SO 2 R 6 are preferred. R 5 and R 6 each independently represent an alkyl group having from 1 to 20 carbon atoms or an aryl group having from 6 to 20 carbon atoms. The C1-C20 alkyl group and C6-C20 aryl group represented by R <5> and R <6> have the same meaning as R <1> and R <2> , respectively, and their preferable form is also the same.
R3 및 R4는 서로 결합하여 환을 형성해도 좋다.R 3 and R 4 may combine with each other to form a ring.
R1, R2, R3 및 R4 중 적어도 하나는 연결기를 통하여 비닐기와 결합한 모노머로부터 유래된 폴리머의 형태이어도 좋다. 다른 모노머와의 코폴리머를 사용해도 좋다. 코폴리머의 경우에 있어서, 다른 모노머의 예는 아크릴산, α-클로로아크릴산, α-아라크릴산(예를 들면, 메타아크릴산 등의 아크릴산류로부터 유래된 에스테르, 바람직하게는 저급 알킬에스테르 및 아미드, 예를 들면 아크릴아미드, 메타아크릴아미드, t-부틸아크릴아미드, 메틸아크릴레이트, 메틸메타아크릴레이트, 에틸아크릴레이트, 에틸메타아크릴레이트, n-프로필아크릴레이트, n-부틸아크릴레이트, 2-에틸헥실아크릴레이트, n-헥실아크릴레이트, 옥틸메타아크릴레이트 및 라우릴메타아크릴레이트, 메틸렌비스아크릴아미드 등), 비닐 에스테르(예를 들면, 비닐아세테이트, 비닐프로피오네이트, 비닐라우레이트 등), 아크릴로니트릴, 메타아크릴로니트릴, 방향족 비닐 화합물(예를 들면, 스티렌 및 그 유도체, 예를 들면 비닐톨루엔, 디비닐벤젠, 비닐아세토페논, 술포스티렌, 스티렌술핀산 등), 이타콘산, 시트라콘산, 크로톤산, 비닐리덴 클로라이드, 비닐 알킬에테르(예를 들면, 비닐에틸에테르 등), 말레산 에스테르, N-비닐-2-피롤리돈, N-비닐피리딘, 2 및 4-비닐피리딘 등을 포함한다.At least one of R 1 , R 2 , R 3 and R 4 may be in the form of a polymer derived from a monomer bonded to a vinyl group via a linking group. You may use a copolymer with another monomer. In the case of copolymers, examples of other monomers include esters derived from acrylic acids such as acrylic acid, α-chloroacrylic acid and α-acrylic acid (eg methacrylic acid, preferably lower alkyl esters and amides, eg For example acrylamide, methacrylamide, t-butyl acrylamide, methyl acrylate, methyl methacrylate, ethyl acrylate, ethyl methacrylate, n-propyl acrylate, n-butyl acrylate, 2-ethylhexyl acryl Acrylate, n-hexyl acrylate, octyl methacrylate and lauryl methacrylate, methylenebisacrylamide, etc., vinyl esters (e.g., vinyl acetate, vinyl propionate, vinyl laurate, etc.), acrylonitrile , Methacrylonitrile, aromatic vinyl compounds (e.g. styrene and derivatives thereof, e.g. vinyltoluene, divinylbenzene, vinyl Acetophenone, sulfostyrene, styrenesulfonic acid, etc.), itaconic acid, citraconic acid, crotonic acid, vinylidene chloride, vinyl alkyl ethers (e.g., vinyl ethyl ether, etc.), maleic esters, N-vinyl-2- Pyrrolidone, N-vinylpyridine, 2 and 4-vinylpyridine and the like.
이들 중에, 아크릴산 에스테르, 메타아크릴산 에스테르 및 방향족 비닐 화합물이 특히 바람직하다.Among these, acrylic esters, methacrylic acid esters and aromatic vinyl compounds are particularly preferred.
다른 모노머 화합물의 2종 이상을 조합하여 사용해도 좋다. 예를 들면, n-부틸아크릴레이트와 디비닐벤젠, 스티렌과 메틸메타아크릴레이트, 메틸아크릴레이트와 메타아크릴레이트산 등을 조합하여 사용해도 좋다.You may use it in combination of 2 or more type of another monomer compound. For example, n-butyl acrylate, divinylbenzene, styrene and methyl methacrylate, methyl acrylate and methacrylate may be used in combination.
이하에, 상기 일반식(I)으로 나타내어지는 화합물의 바람직한 구체예[예시 화합물(1)∼(14)]을 나타낸다. 단, 본 발명은 이들로 제한되지 않는다.Below, the preferable specific example [example compound (1)-(14)] of the compound represented by the said general formula (I) is shown. However, the present invention is not limited to these.
일반식(I)으로 나타내어지는 UV 흡수제는 일본 특허 공고 S44-29620호, 일본 특허 공개 S53-128333, S61-169831, S63-53543, S63-53544 및 S63-56651 등, 및 WO2009/123109호 팸플릿에 기재된 방법에 의해 합성할 수 있다. 구체적으로, 예시 화합물(I)은 WO2009/123109호의 팸플릿의 단락번호 [0040]에 기재된 방법에 의해 합성할 수 있다.UV absorbers represented by the general formula (I) are disclosed in Japanese Patent Publication S44-29620, Japanese Patent Publication S53-128333, S61-169831, S63-53543, S63-53544 and S63-56651, and WO2009 / 123109 pamphlet. It can synthesize | combine by the method as described. Specifically, exemplary compound (I) can be synthesized by the method described in paragraph No. [0040] of the pamphlet of WO2009 / 123109.
본 발명의 경화성 조성물은 UV 흡수제를 함유해도 함유하지 않아도 좋지만, 상기 조성물이 UV 흡수제를 함유하는 경우에 상기 UV 흡수제의 함량은 상기 조성물의 총 고형분에 대하여 0.1질량%∼10질량%가 바람직하고, 0.1질량%∼5질량%가 보다 바람직하고, 0.1질량%∼3질량%가 특히 바람직하다.Although the curable composition of this invention does not need to contain even if it contains a UV absorber, when the composition contains a UV absorber, the content of the UV absorber is preferably 0.1% by mass to 10% by mass relative to the total solids of the composition, 0.1 mass%-5 mass% are more preferable, and 0.1 mass%-3 mass% are especially preferable.
본 발명에 있어서, 상기 각종 UV 흡수제는 단독 또는 그 2종 이상의 조합 중 어느 하나를 사용해도 좋다.In the present invention, the above various UV absorbers may be used either alone or in combination of two or more thereof.
본 발명의 경화성 조성물은 불순물 제거 또는 결함을 감소시키기 위해서 필터에 의해 여과하는 것이 바람직하다. 종래부터 여과용 등에 사용되고 있는 필터이면 특별히 제한되지 않고 사용될 수 있다. 그 예는 폴리테트라플루오르에틸렌(PTFE) 등의 불소 수지, 나일론-6 및 나일론-6,6 등의 폴리아미드계 수지, 및 폴리에틸렌 및 폴리프로필렌(PP) 등의 폴리올레핀 수지(고밀도 및 초고분자량을 포함)로 형성된 필터를 포함한다. 이들 부재 중에, 폴리프로필렌(고밀도 폴리프로필렌을 포함)이 바람직하다.The curable composition of the present invention is preferably filtered by a filter in order to remove impurities or reduce defects. If it is a filter conventionally used for filtration and the like, it is not particularly limited and can be used. Examples include fluorine resins such as polytetrafluoroethylene (PTFE), polyamide resins such as nylon-6 and nylon-6,6, and polyolefin resins such as polyethylene and polypropylene (PP) (high density and ultra high molecular weight). It includes a filter formed of). Among these members, polypropylene (including high density polypropylene) is preferred.
상기 필터의 포어 사이즈로서 0.01㎛∼7.0㎛가 바람직하고, 바람직하게는 0.01㎛∼25㎛, 보다 바람직하게는 0.01㎛∼1.5㎛이다. 이 범위로 상기 직경을 조정함으로써, 용해된 안료 등에 혼합되고 그 후의 공정에서 균일하고 평활한 경화성 조성물의 조제를 억제하는 미세한 불순물을 확실하게 제거할 수 있다.As pore size of the said filter, 0.01 micrometer-7.0 micrometers are preferable, Preferably they are 0.01 micrometer-25 micrometers, More preferably, they are 0.01 micrometer-1.5 micrometers. By adjusting the diameter in this range, fine impurities mixed with the dissolved pigment or the like and suppressing the preparation of the uniform and smooth curable composition can be reliably removed.
필터가 사용되는 경우, 다른 필터를 조합해도 좋다. 그 때에, 제 1 필터에서의 여과는 한번 또는 2회 이상 행해도 좋다. 다른 필터를 조합하여 2회 이상 여과하는 경우, 제 2 여과에서의 포어 직경 또는 제 1 여과에서의 포어 직경보다 큰 제2 여과 후에서의 포어 직경이 바람직하다. 상술한 범위내에 다른 포어 직경을 갖는 제 1 여과를 조합해도 좋다. 본 명세서에서 사용되는 포어 직경으로서, 필터 메이커의 공칭값을 참조할 수 있다. 시판의 필터로서, 예를 들면 Nihon Pall Corporation, Advantech Toyo Roshi Kaisha, Ltd., Nihon Entegris, Inc.(구, Nippon Microlith Co. Ltd.), KITZ MICRO FILTER CORPORATION 등에 의해 제공되는 각종 필터로부터 하나를 선택할 수 있다.If a filter is used, other filters may be combined. In that case, the filtration by a 1st filter may be performed once or twice or more. In the case of filtering two or more times in combination with another filter, the pore diameter after the second filtration larger than the pore diameter in the second filtration or the pore diameter in the first filtration is preferable. You may combine the 1st filtration which has another pore diameter within the range mentioned above. As pore diameter used in this specification, the nominal value of a filter maker can be referred to. As a commercially available filter, for example, one can be selected from various filters provided by Nihon Pall Corporation, Advantech Toyo Roshi Kaisha, Ltd., Nihon Entegris, Inc. (formerly Nippon Microlith Co. Ltd.), KITZ MICRO FILTER CORPORATION, and the like. Can be.
제 2 필터는 상술한 제 1 필터에 대한 재료와 동일한 재료로 형성된 필터를 사용할 수 있다. 상기 제 2 필터는 포어 직경이 0.5㎛∼7.0㎛, 바람직하게는 2.5㎛∼7.0㎛, 보다 바람직하게는 4.5∼6.0㎛를 갖는다. 이 범위내로 상기 포어 직경을 설정함으로써, 혼합액에 함유된 성분 입자를 잔존시키면서 상기 혼합액에 혼합되고 그 후 공정에서 균일하고 평활한 경화성 조성물의 제조를 억제하는 불순물을 제거할 수 있다.The second filter may use a filter formed of the same material as the material for the first filter described above. The second filter has a pore diameter of 0.5 µm to 7.0 µm, preferably 2.5 µm to 7.0 µm, and more preferably 4.5 to 6.0 µm. By setting the pore diameter within this range, it is possible to remove impurities which are mixed with the mixed liquid while remaining component particles contained in the mixed liquid and which inhibit the production of a uniform and smooth curable composition in the subsequent step.
예를 들면, 상기 제 1 필터에서의 여과는 분산액만으로 행할 수 있고, 상기 제 2 여과는 다른 성분을 혼합한 후에 행해도 좋다.For example, the filtration in a said 1st filter can be performed only by a dispersion liquid, and the said 2nd filtration may be performed after mixing another component.
[투명막의 제조 방법][Method of Manufacturing Transparent Membrane]
본 발명의 투명막의 제조 방법은 상술한 경화성 조성물을 웨이퍼 상에 스프레이법, 롤 코트법, 회전 코팅법, 바 코팅법 등에 의해 도포하는 공정, 그 후에 제 1 가열 공정, 및 그 후에 상기 가열 온도보다 높은 온도에서의 제 2 가열 공정을 포함한다.The manufacturing method of the transparent film of this invention is a process of apply | coating the curable composition mentioned above on a wafer by the spray method, the roll coat method, the rotation coating method, the bar coating method, etc., after that, a 1st heating process, and after that than the said heating temperature A second heating process at a high temperature.
상기 제 1 가열 공정에서 조건은 마이크로렌즈의 제조 방법에 있어서 공정(I)에서 프리베이킹 조건으로서 후술하는 조건과 동일하다.The conditions in the first heating step are the same as the conditions described later as prebaking conditions in step (I) in the method of manufacturing the microlens.
상기 제 2 가열 공정에서 조건은 마이크로렌즈의 제조 방법에 있어서 공정(IV)에서 포스트베이킹 조건으로서 후술하는 조건과 동일하다.The conditions in the second heating step are the same as the conditions described later as post-baking conditions in step (IV) in the method of manufacturing the microlens.
<마이크로렌즈><Microlens>
본 발명의 경화성 조성물은 고굴절률 및 고투과율을 갖는 투명막을 형성함으로써, 예를 들면 마이크로렌즈 및 마이크로렌즈 어레이의 형성에 매우 적합하게 사용할 수 있다.The curable composition of the present invention can be suitably used for forming microlenses and microlens arrays, for example, by forming a transparent film having a high refractive index and a high transmittance.
즉, 본 발명의 경화성 조성물은 마이크로렌즈 형성하는데 바람직하다.That is, the curable composition of the present invention is preferable for forming microlenses.
본 발명은 본 발명의 경화성 조성물을 사용하여 형성된 투명막을 사용하여 형성된 마이크로렌즈에도 관한 것이다.The present invention also relates to a microlens formed using a transparent film formed by using the curable composition of the present invention.
[마이크로렌즈의 제조 방법][Method for Manufacturing Micro Lens]
본 발명의 경화성 조성물을 사용한 마이크로렌즈의 제조 방법으로서, 특별히 제한되지 않게 통상적으로 사용할 수 있는 방법을 적용할 수 있고, 그 예는 상술한 투명막을 포스트베이킹 처리하여 상기 투명막을 성형하는 공정 및 드라이 에칭 공정을 더 포함하는 제조 방법을 포함한다.As a method for producing a microlens using the curable composition of the present invention, a method that can be used conventionally can be applied without particular limitation, and examples thereof include a step of forming the transparent film by post-baking the transparent film and dry etching. It includes the manufacturing method which further includes a process.
투명막을 포스트베이킹 처리하여 상기 투명막을 성형하는 공정은 공정(f)으로서 상세하게 후술하는 공정과 동일하다.The process of post-baking a transparent film and shape | molding the said transparent film is the same as the process mentioned later in detail as a process (f).
드라이 에칭 공정은 공정(g)으로서 상세하게 후술하는 공정과 동일하다.Dry etching process is the same as the process (g) mentioned later in detail.
본 발명의 경화성 조성물을 사용한 마이크로렌즈의 제조 방법의 바람직한 형태로서, 그 예는 적어도 하기 공정(I)∼(IV)을 포함하는 제조 방법을 포함한다.As a preferable aspect of the manufacturing method of a micro lens using the curable composition of this invention, the example includes the manufacturing method containing at least the following process (I)-(IV).
(I) 본 발명의 경화성 조성물의 도포막을 기판 상에 형성하는 공정(I) Process of forming the coating film of curable composition of this invention on board | substrate
(II) 상기 도포막의 적어도 일부에 방사선을 조사하는 공정(II) irradiating at least a part of the coating film with radiation
(III) 상기 조사 후에 상기 도포막을 현상하는 공정(III) Process of developing the said coating film after the said irradiation
(IV) 상기 현상 후에 상기 도포막을 가열하는 공정(IV) heating the coating film after the development
이하에, 이들 공정을 설명한다.Below, these processes are demonstrated.
(I) 공정(I) Process
이 공정에 있어서, 경화성 조성물은 액상 조성물로서 기판 표면에 도포하고, 프리베이킹을 행하여 용매를 제거함으로써 기판 상에 도포막을 형성한다.In this step, the curable composition is applied to the surface of the substrate as a liquid composition, prebaked to form a coating film on the substrate by removing the solvent.
상기 기판의 예는 유리 기판, 실리콘 웨이퍼, 그 표면에 형성된 각종 금속층을 갖는 기판, 이미지 센서용 온칩 컬러필터가 도포된 기판 등을 포함한다.Examples of the substrate include a glass substrate, a silicon wafer, a substrate having various metal layers formed on the surface thereof, a substrate coated with an on-chip color filter for an image sensor, and the like.
도포 방법은 특별히 제한되지 않고, 예를 들면 스프레이법, 롤 코트법, 회전 도포법 및 바 코팅법 등의 적당한 방법을 채용할 수 있다.The coating method is not particularly limited, and for example, a suitable method such as a spray method, a roll coating method, a rotary coating method and a bar coating method can be adopted.
프리베이킹의 조건은 각 성분의 종류 또는 사용량에 따라 다르지만, 통상 60℃∼120℃에서 30초∼15분이다. 형성된 도포막의 막 두께는 프리베이킹 후의 값이고, 0.5㎛∼20㎛가 바람직하다.Although the conditions of prebaking vary with the kind or usage-amount of each component, they are 30 second-15 minutes at 60 degreeC-120 degreeC normally. The film thickness of the formed coating film is the value after prebaking, and 0.5 micrometer-20 micrometers are preferable.
(II) 공정(II) process
이 공정에 있어서, 상기 형성된 도포막의 적어도 일부에 방사선을 조사한다.In this step, at least part of the formed coating film is irradiated with radiation.
상기 도포막의 일부에만 방사선을 조사하는 경우, 방사선은 소정의 패턴을 갖는 마스크를 통하여 조사된다.When only a part of the coating film is irradiated with radiation, the radiation is irradiated through a mask having a predetermined pattern.
조사되는 방사선으로서, 예를 들면 g선 및 i선 등의 UV, KrF 엑시머 레이저 및 ArF 엑시머 레이저 등의 원자외선, 싱크로트론 방사선 등의 X선, 전자선 등의 하전 입자선을 사용할 수 있지만, 이들 중에 자외선이 바람직하다.As radiation to be irradiated, for example, UV rays such as g-rays and i-rays, far ultraviolet rays such as KrF excimer lasers and ArF excimer lasers, X-rays such as synchrotron radiation, and charged particle beams such as electron beams can be used. This is preferred.
노광량은 상기 경화성 조성물의 구성에 따라 적당히 선택할 수 있지만, 50J/㎡∼2,O0OJ/㎡가 바람직하다.Although exposure amount can be suitably selected according to the structure of the said curable composition, 50J / m <2> -2, OOJ / m <2> is preferable.
(III) 공정(III) process
이 공정에 있어서, 노광 후의 도포막을 현상액, 바람직하게는 알칼리 현상액에 의해 현상하고, 방사선의 미조사 부분을 제거함으로써 소정 형상의 패턴을 형성한다.In this step, the coated film after exposure is developed with a developer, preferably an alkali developer, and a pattern of a predetermined shape is formed by removing the unirradiated portion of the radiation.
상기 알칼리 현상액의 예는 수산화나트륨, 수산화칼륨, 탄산나트륨, 규산나트륨, 메타규산나트륨, 암모니아, 에틸아민, n-프로필아민, 디에틸아민, 디에틸아미노에탄올, 디-n-프로필아민, 트리에틸아민, 메틸디에틸아민, 디메틸에탄올아민, 트리에탄올아민, 테트라메틸암모늄 히드록시드, 테트라에틸암모늄 히드록시드, 피롤, 피페리딘, 1,8-디아자비시클로[5.4.0]-7-운데센, 1,5-디아자비시클로[4.3.0]-5-노넨 등의 수용액을 포함한다. 메탄올 및 에탄올 등의 수용성 유기용매, 계면활성제 또는 각종 유기용매를 상기 알칼리 현상액에 첨가하여 사용할 수 있다.Examples of the alkali developer include sodium hydroxide, potassium hydroxide, sodium carbonate, sodium silicate, sodium metasilicate, ammonia, ethylamine, n-propylamine, diethylamine, diethylaminoethanol, di-n-propylamine, triethylamine , Methyldiethylamine, dimethylethanolamine, triethanolamine, tetramethylammonium hydroxide, tetraethylammonium hydroxide, pyrrole, piperidine, 1,8-diazabicyclo [5.4.0] -7-undecene And aqueous solutions, such as 1, 5- diazabicyclo [4.3.0] -5-nonene. Water-soluble organic solvents, such as methanol and ethanol, surfactants, or various organic solvents can be added to the alkaline developer and used.
현상 방법으로서 점착법, 침지법, 로킹 침지법 및 샤워법 등의 적당한 방법을 채용할 수 있다. 한편, 알칼리 현상액으로 현상한 후 상기 도포막은, 예를 들면 유수에 의해 세정된다.As a developing method, suitable methods, such as the adhesion method, the dipping method, the locking dipping method, and the shower method, can be employ | adopted. On the other hand, after developing with alkaline developing solution, the said coating film is wash | cleaned by running water, for example.
현상 시간은 상기 감광성 수지 조성물의 구성 및 현상액의 구성에 따라 다르지만, 통상 상온에서 30초∼120초이다.Although image development time changes with the structure of the said photosensitive resin composition, and the structure of a developing solution, it is 30 second-120 second normally at normal temperature.
(IV) 공정(IV) process
이 공정에 있어서, 현상 후의 도포막을 핫플레이트 및 오븐 등의 가열 장치를 사용하여 가열(포스트베이킹)함으로써 상기 도포막을 경화한다.In this step, the coated film is cured by heating (postbaking) the coated film after development using a heating apparatus such as a hot plate and an oven.
상기 포스트베이킹에 있어서, 가열 온도는 통상 120℃∼250℃, 바람직하게는 160℃∼230℃이다. 가열 시간은 가열 수단에 따라 다르지만, 핫플레이트 상에서 가열이 행해지는 경우에 가열 시간은 통상 5분∼30분이고, 오븐에서 가열이 행해지는 경우에 통상 30분∼90분이다.In the said postbaking, heating temperature is 120 degreeC-250 degreeC normally, Preferably it is 160 degreeC-230 degreeC. Although heating time changes with heating means, when heating is performed on a hotplate, heating time is 5 minutes-30 minutes normally, and when heating is performed in oven, it is 30 minutes-90 minutes normally.
포스트베이킹에 있어서, 2회 이상 가열 처리를 행하는 것을 포함하는 스텝 가열 방법을 채용할 수 있다.In post-baking, the step heating method including heat-processing twice or more can be employ | adopted.
본 발명의 경화성 조성물을 사용한 마이크로렌즈의 제조 방법의 바람직한 다른 형태로서, 그 예는 적어도 하기 공정(a)∼(g)을 포함하는 방법을 포함한다.As another preferable form of the manufacturing method of a micro lens using the curable composition of this invention, the example includes the method containing at least the following process (a)-(g).
(a) 본 발명의 경화성 조성물을 사용하여 컬러필터 등의 기판 상에 도포막을 형성하는 공정(a) Process of forming coating film on board | substrates, such as a color filter, using curable composition of this invention
(b) 상술한 도포막을 가열하여 상기 도포막을 건조(또는 건조 및 경화)하는 것, 또는 상술한 도포막을 적절한 파장을 갖는 광원(g선, i선 등)에 의해 노광시켜 상기 도포막을 경화시키는 것 중 적어도 어느 하나를 행함으로써 고굴절률막(투명막)을 얻는 공정(b) heating the coating film described above to dry (or drying and curing) the coating film, or exposing the coating film to a light source having a suitable wavelength (g-ray, i-ray, etc.) to cure the coating film. Process of obtaining a high refractive index film (transparent film) by performing at least any one of
(c) 상기 가열 후의 고굴절률막 상에 레지스트 도포막을 형성하는 공정(c) forming a resist coating film on the high refractive index film after heating;
(d) 상기 레지스트 도포막을 적절한 파장을 갖는 광원(g선, i선 등)에 의해 노광하는 공정(d) exposing the resist coating film with a light source (g line, i line, etc.) having an appropriate wavelength
(e) 상기 노광 후의 레지스트 도포막을 현상하여 레지스트 패턴을 형성하는 공정(e) developing the resist coating film after the exposure to form a resist pattern
(f) 포스트가열에 의해 상기 레지스트 패턴을 렌즈상으로 성형하는 공정(f) forming the resist pattern into a lens by post-heating
(g) 드라이 에칭에 의해 상기 레지스트 패턴과 상기 고굴절률막의 일부를 제거하여 고굴절률막을 렌즈상으로 성형하는 공정(g) forming a high refractive index film into a lens by removing part of the resist pattern and the high refractive index film by dry etching;
이하에, 이들 공정을 설명한다.Below, these processes are demonstrated.
-(a) 공정-(a) process-
이 공정에 있어서, 본 발명의 경화성 조성물을 컬러필터 등의 기판 상에 도포하여 도포막을 형성한다.In this process, the curable composition of this invention is apply | coated on board | substrates, such as a color filter, and a coating film is formed.
도포 방법의 예는 상기 공정(I)과 동일한 방법을 포함한다.Examples of the coating method include the same method as the above step (I).
-(b) 공정-(b) process-
이 공정에 있어서, 상기 도포막의 가열의 바람직한 실시형태는 프리베이킹과 포스트베이킹의 2단계 가열 처리를 포함한다.In this step, preferred embodiments of heating the coating film include two-step heat treatment of prebaking and postbaking.
프리베이킹 조건은 각 성분의 종류 또는 사용량에 따라 다르지만, 통상 60℃∼120℃에서 30초∼15분이다. 형성되는 도포막의 막 두께는 프리베이킹 후의 값이고, 0.5㎛∼20㎛가 바람직하다. 상기 프리베이킹 공정은 경우에 따라서 생략될 수 있다.The prebaking conditions vary depending on the type or amount of each component, but are usually 30 seconds to 15 minutes at 60 ° C to 120 ° C. The film thickness of the coating film formed is a value after prebaking, and 0.5 micrometer-20 micrometers are preferable. The prebaking process may be omitted in some cases.
그 후에, 핫플레이트 및 오븐 등의 가열 장치를 사용하여 상기 도포막을 가열(포스트베이킹)하여 상기 도포막을 경화시킨다. 포스트베이킹 조건은, 통상 120℃∼300℃에서 30초∼60분이다. 한편, 포스트베이킹 공정 앞에 노광을 행함으로써 경화를 촉진해도 좋다.Thereafter, the coating film is heated (postbaked) using a heating device such as a hot plate and an oven to cure the coating film. Post-baking conditions are 30 second-60 minutes normally at 120 degreeC-300 degreeC. In addition, you may accelerate hardening by exposing before a postbaking process.
상술한 도포막이 경화되는 적절한 파장을 갖는 광원(g선, i선 등)에 의해 노광되는 경우, 조사하는 방사선으로서 상기 공정(II)와 동일한 방사선의 종류 및 노광량을 적용할 수 있다.When the above-mentioned coating film is exposed by the light source (g line | wire, i line | wire etc.) which have a suitable wavelength to harden | cure, the kind of radiation and exposure amount similar to the said process (II) can be applied as radiation to irradiate.
-(c) 공정-(c) process-
이 공정에 있어서, 고굴절률막 상에 레지스트 도포막을 형성한다. 상기 레지스트로서, 자외선 노광에 의해 패턴을 형성할 수 있는 일반적인 시판의 레지스트를 사용할 수 있다. 상기 레지스트 도포막에 대해서, 프리베이킹을 공정(a)에서 행한다.In this step, a resist coating film is formed on the high refractive index film. As said resist, the general commercial resist which can form a pattern by ultraviolet exposure can be used. Prebaking is performed about the said resist coating film in process (a).
-(d) 공정-(d) process-
이 공정에 있어서, 상기 도포막을 마스크를 사용하여 패턴상으로 노광한다. 상기 공정(II)과 동일한 방사선의 종류 및 노광량을 조사되는 방사선에 적용할 수 있다.In this step, the coating film is exposed in a pattern using a mask. The same kind of radiation and the exposure amount as in the step (II) can be applied to the irradiated radiation.
-(e) 공정-(e) process-
이 공정에 있어서, 노광 후의 레지스트 도포막을 현상액, 바람직하게는 알칼리 현상액에 의해 현상하고, 방사선의 미조사 부분 또는 조사 부분을 제거함으로써 소정 형상의 패턴을 형성한다.In this step, the resist coating film after exposure is developed with a developer, preferably an alkaline developer, and a pattern of a predetermined shape is formed by removing the unirradiated portion or the irradiated portion of the radiation.
상기 알칼리 현상액의 예는 상기 공정(III)과 동일한 알칼리 현상액을 포함한다.Examples of the alkaline developer include the same alkaline developer as in step (III).
상기 현상 방법의 예는 공정(III)에서 상술한 방법을 포함한다.Examples of the developing method include the method described above in the step (III).
현상 시간은 공정(III)에서 상술한 것과 동일하다.The developing time is the same as described above in the step (III).
-(f) 공정-(f) process-
이 공정에 있어서, 핫플레이트 및 오븐 등의 가열 장치에 의해 포스트가열(포스트가열)함으로써, 상기 패턴 형성 후의 레지스트를 렌즈상으로 성형하여 형성한다. 상기 포스트베이킹 조건은, 통상 120℃∼300℃에서 30초∼60분이다. 렌즈상으로 성형하기 위해서, 2회 이상 가열 처리를 행하는 것을 포함하는 스텝 베이크 방법을 채용할 수 있다.In this step, post-heating (post-heating) is performed by heating apparatuses such as a hot plate and an oven, thereby forming the resist after the pattern formation into a lens. The said postbaking conditions are 30 second-60 minutes normally at 120 degreeC-300 degreeC. In order to shape | mold in a lens shape, the step baking method including performing heat processing twice or more can be employ | adopted.
-(g) 공정-(g) process-
드라이 에칭은 공지의 방법(예를 들면, 일본 특허 공개 제2010-204154호)에 의해 행할 수 있다.Dry etching can be performed by a well-known method (for example, Unexamined-Japanese-Patent No. 2010-204154).
이 방법에 있어서, 소망의 마이크로렌즈를 제조할 수 있다.In this method, a desired microlens can be manufactured.
마이크로렌즈를 제조하기 위한 본 발명의 제조 방법에 의하면, 우수한 특성(예를 들면, 고굴절률 및 고투과성)을 갖는 고세밀한 마이크로렌즈 및 마이크로렌즈 어레이를 높은 제품수율로 간단하게 형성할 수 있다.According to the production method of the present invention for producing microlenses, it is possible to easily form high-definition microlenses and microlens arrays having excellent characteristics (for example, high refractive index and high transparency) with high product yield.
본 발명에 있어서 마이크로렌즈는 본 발명의 경화성 조성물로 형성되고 특성에 있어서 우수한 밸런스를 갖고, 각종 OA 기기, 액정 텔레비전, 휴대전화, 프로젝터 등의 액정 표시 소자, 팩시밀리, 전자복사기, 고체 촬상 소자 등의 온칩 컬러필터의 이미징 광학계, 광파이버 커넥터 등에 매우 적합하게 사용할 수 있다.In the present invention, the microlenses are formed of the curable composition of the present invention and have excellent balance in characteristics, and are used for liquid crystal display devices such as various OA devices, liquid crystal televisions, mobile phones, projectors, facsimile machines, electronic copiers, solid state imaging devices, and the like. It can be suitably used for imaging optical systems, optical fiber connectors, and the like of on-chip color filters.
<고체 촬상 소자><Solid State Imaging Device>
본 발명의 고체 촬상 소자는 상술한 본 발명의 경화성 조성물을 사용하여 형성된 마이크로렌즈를 포함한다.The solid-state imaging device of the present invention includes a microlens formed using the curable composition of the present invention described above.
본 발명의 고체 촬상 소자는 고굴절률 및 고투과성을 갖는 마이크로렌즈를 포함하므로, 노이즈를 감소시킬 수 있고 우수한 색재현성을 나타낸다.Since the solid-state imaging device of the present invention includes a microlens having a high refractive index and a high transparency, noise can be reduced and excellent color reproducibility is exhibited.
본 발명의 고체 촬상 소자는 본 발명의 경화성 조성물을 사용하여 형성된 마이크로렌즈를 포함한 구성, 고체 촬상 소자로서 기능하는 구성을 갖는 소자이면, 특별히 제한되지 않고, 그 예는 기판 상에 고체 촬상 소자(CCD 이미지 센서, CMOS 이미지 센서 등)의 수광 지역을 구성하는 복수의 포토다이오드, 폴리실리콘 등으로 이루어지는 수광 소자가 배치되는 구성, 컬러필터 상에 상기 마이크로렌즈가 배치되는 구성 등을 포함한다.The solid-state imaging device of the present invention is not particularly limited as long as it has a configuration including a microlens formed using the curable composition of the present invention and a configuration functioning as a solid-state imaging device. Examples thereof include a solid-state imaging device (CCD) on a substrate. And a structure in which a light receiving element made of a plurality of photodiodes, polysilicon, or the like constituting a light receiving region of an image sensor, a CMOS image sensor, etc.) is arranged, a structure in which the microlenses are arranged on a color filter, and the like.
고체 촬상 소자를 제조하기 위한 본 발명의 방법은 특별히 제한되지 않지만, 하나의 바람직한 형태로서 적어도 포토다이오드, 차광막 및 디바이스 보호막을 갖는 고체 촬상 소자용 기판 상에 적색화소, 청색화소 및 녹색화소를 형성하는 공정, 상술한 경화성 조성물을 도포하고 가열하는 공정, 레지스트 패턴을 형성하는 공정, 포스트베이킹 처리하여 형성된 레지스트 패턴을 렌즈상으로 성형하는 공정 및 드라이 에칭 공정을 포함한다.The method of the present invention for manufacturing a solid-state imaging device is not particularly limited, but as one preferred form, red, blue, and green pixels are formed on a substrate for a solid-state imaging device having at least a photodiode, a light shielding film, and a device protective film. The process, the process of apply | coating and heating the curable composition mentioned above, the process of forming a resist pattern, the process of shape | molding the resist pattern formed by post-baking process, and a dry etching process are included.
상기 경화성 조성물을 도포하고 가열하는 공정은 상술한 마이크로렌즈의 제조 방법에 있어서 공정(a) 및 공정(b)에서 기판 상에 도포막을 형성하는 공정 및 상기 도포막을 가열하여 상기 도포막을 건조(또는 건조 및 경화)하는 공정과 동일한 방법으로 행한다.The step of applying and heating the curable composition includes the steps of forming a coating film on the substrate in steps (a) and (b) in the method for manufacturing a microlens described above, and drying the coating film by heating the coating film. And curing).
레지스트 패턴을 형성하는 공정은 상술한 마이크로렌즈의 제조 방법에 있어서 공정(d) 및 공정(e)과 동일한 방법을 행한다.The process of forming a resist pattern performs the same method as the process (d) and the process (e) in the manufacturing method of a microlens mentioned above.
포스트베이킹 처리하여 형성된 레지스트 패턴을 렌즈상으로 성형하는 공정은 상술한 마이크로렌즈의 제조 방법에 있어서 공정(f)와 동일한 방법으로 행한다.The step of forming the resist pattern formed by post-baking treatment into a lens is performed in the same manner as in step (f) in the above-described method for producing a microlens.
드라이 에칭 공정은 상술한 마이크로렌즈의 제조 방법에 있어서 공정(g)과 동일한 방법으로 행한다.The dry etching step is performed by the same method as the step (g) in the above-described method for producing a microlens.
(실시예)(Example)
이하에, 본 발명을 실시예를 참조하여 구체적으로 설명하지만, 본 발명은 이들 실시예로 제한되지 않는다. 한편, 특히 언급되지 않는 한 "부" 및 "%"는 질량기준이다.Hereinafter, the present invention will be specifically described with reference to examples, but the present invention is not limited to these examples. In addition, "part" and "%" are mass references | standards unless there is particular notice.
실시예에 있어서, 산가 및 아민가는 전위차법(용매 테트라히드로푸란/물=100/10(체적비), 적정액 0.01N 수산화나트륨 수용액(산가) 및 0.01N 염산(아민 가))에 의해 측정했다.In Examples, acid value and amine value were measured by the potentiometric method (solvent tetrahydrofuran / water = 100/10 (volume ratio), titration liquid 0.01N sodium hydroxide aqueous solution (acid value) and 0.01N hydrochloric acid (amine value)).
(합성예 1) 폴리에스테르(i-1)의 합성Synthesis Example 1 Synthesis of Polyester (i-1)
n-옥탄산 6.4g, ε-카프로락톤 200g 및 티타늄(IV) 테트라부톡시드 5g을 혼합하고, 160℃에서 8시간 동안 가열한 후 실온까지 냉각하여 폴리에스테르(i-1)를 얻었다.6.4 g of n-octanoic acid, 200 g of ε-caprolactone and 5 g of titanium (IV) tetrabutoxide were mixed, heated at 160 ° C. for 8 hours, and then cooled to room temperature to obtain polyester (i-1).
스킴을 이하에 나타낸다.The scheme is shown below.
(합성예 2∼15)Synthesis Examples 2-15
실시예 1에서 카르복실산 및 락톤을 표 1과 같이 변경하고 카르복실산의 투입량을 변경한 것 이외에는, 합성예 1과 동일한 방법으로 폴리에스테르(i-2)∼(i-10) 및 (i-15)∼(i-19)을 얻었다. 합성예에서 얻어진 이들 수지의 수 평균 분자량 및 중량 평균 분자량을 이미 상술한 GPC법에 의해 측정했다. 결과를 하기 표 1에 나타낸다. 각 폴리에스테르에 대해서 산출한 원자수 및 원료 투입량으로부터 산출한 락톤 유래 반복단위의 단위수를 함께 하기 표 1에 나타낸다.Polyester (i-2) to (i-10) and (i) in the same manner as in Synthesis Example 1 except that the carboxylic acid and the lactone were changed in Table 1 and the amount of carboxylic acid charged was changed. -15) to (i-19) were obtained. The number average molecular weight and weight average molecular weight of these resin obtained by the synthesis example were measured by the GPC method mentioned above already. The results are shown in Table 1 below. The number of units of the lactone derived repeating unit computed from the atomic number computed about each polyester and raw material input amount is shown in following Table 1 together.
(합성예 16) 폴리에스테르(i-11)의 합성Synthesis Example 16 Synthesis of Polyester (i-11)
외부 온도 160℃에서 생성되는 물을 딘-스탁(Dean-Stark)관으로 증류제거하면서 12-히드록시스테아린산 100g, 티탄(IV) 테트라부톡시드 0.1g 및 크실렌 300g을 질소 기류 하에서 서로 반응시켰다. GPC 측정에 있어서 각각 수 평균 분자량 및 중량 평균 분자량이 8,000 및 13,000이 되는 지점에서 반응을 정지하여 폴리에스테르(i-11)를 얻었다.100 g of 12-hydroxystearic acid, 0.1 g of titanium (IV) tetrabutoxide and 300 g of xylene were reacted with each other under a stream of nitrogen while distilling water generated at an external temperature of 160 ° C. into a Dean-Stark tube. In GPC measurement, reaction was stopped at the point where a number average molecular weight and a weight average molecular weight become 8,000 and 13,000, respectively, and polyester (i-11) was obtained.
(합성예 17) 폴리에스테르(i-12)의 합성Synthesis Example 17 Synthesis of Polyester (i-12)
합성예 16과 동일한 방법으로 실험을 행하고, GPC 측정에 있어서 각각 수 평균 분자량 및 중량 평균 분자량이 6,000 및 11,000이 되는 지점에서 가열을 정지하여 폴리에스테르(i-12)를 얻었다.The experiment was conducted in the same manner as in Synthesis example 16, and the heating was stopped at the point where the number average molecular weight and the weight average molecular weight became 6,000 and 11,000, respectively, in the GPC measurement to obtain polyester (i-12).
(합성예 18) 폴리에스테르(i-13)의 합성Synthesis Example 18 Synthesis of Polyester (i-13)
외부 온도 160℃에서 생성되는 물을 딘-스탁관으로 증류제거하면서 아디프산 307g, 네오펜틸글리콜 110g, 1,4-부탄디올 57g 및 에틸렌글리콜 26g을 질소 기류 하에서 서로 반응시켰다. GPC 측정에 있어서 각각 수 평균 분자량 및 중량 평균 분자량이 8,000 및 13,000이 되는 지점에서 반응을 정지하여 폴리에스테르(i-13)를 얻었다.307 g of adipic acid, 110 g of neopentylglycol, 57 g of 1,4-butanediol and 26 g of ethylene glycol were reacted with each other under a stream of nitrogen while distilling off the water produced at an external temperature of 160 ° C. with a Dean-Stark tube. In GPC measurement, reaction was stopped at the point where a number average molecular weight and a weight average molecular weight become 8,000 and 13,000, respectively, and polyester (i-13) was obtained.
(합성예 19) 매크로모노머(i-14)의 합성Synthesis Example 19 Synthesis of Macromonomer (i-14)
메틸 메타크릴레이트 50g(500mmol), 프로필렌글리콜모노메틸에테르 100g 및 2-메르캅토프로피온산 2.5g(23.6mmol)을 질소 기류 하에서 80℃에서 가열했다. 이어서, V-601(Wako Pure Chemical Industries, Ltd. 제작의 (아조비스(이소부티르산)디메틸)) 0.1g을 첨가하고, 3시간 후 V-601 0.1g을 더 첨가하고 4시간 가열했다. 그 후에, 글리시딜 메타크릴레이트 3.35g(23.6mmol) 및 테트라부틸암모늄 브로마이드 O.5g을 첨가하고 80℃에서 5시간 가열했다. 냉각시킨 후에, 물 20OmL과 메탄올 800mL의 혼합 용매를 재침전하기 위해서 사용한 후 매크로모노머(i-14) 55g을 얻었다.50 g (500 mmol) of methyl methacrylate, 100 g of propylene glycol monomethyl ether, and 2.5 g (23.6 mmol) of 2-mercaptopropionic acid were heated at 80 ° C. under a nitrogen stream. Next, 0.1 g of V-601 ((Azobis (isobutyric acid) dimethyl), manufactured by Wako Pure Chemical Industries, Ltd.) was added, and after 3 hours, 0.1 g of V-601 was further added, followed by heating for 4 hours. Then, 3.35 g (23.6 mmol) glycidyl methacrylate and 0.5 g of tetrabutylammonium bromide were added, and it heated at 80 degreeC for 5 hours. After cooling, 55 g of macromonomer (i-14) was obtained after use to reprecipitate a mixed solvent of 20 mL of water and 800 mL of methanol.
(합성예 20) [수지(J-1)의 합성]Synthesis Example 20 Synthesis of Resin (J-1)
폴리에틸렌이민(SP-018, 수 평균 분자량 1,800, NIPPON SHOKUBAI CO., LTD. 제작) 10g 및 Y 전구체(y)로서 폴리에스테르(i-1) 100g을 혼합하고, 120℃에서 3시간 가열하여 중간체(J-1B)를 얻었다. 그 후에, 상기 중간체를 65℃까지 냉가시키고, X 전구체(x)로서 무수 숙신산 2.3g을 함유하는 프로필렌글리콜 1-모노메틸에테르 2-아세테이트(이하에, PGMEA라고 하는 경우가 있음) 200g을 천천히 첨가하면서 2시간 교반했다. 그 후에 , PGMEA를 첨가하고, 수지(J-1)의 PGMEA 용액의 10질량%를 얻었다. 상기 수지(J-1)는 폴리에스테르(i-1)로부터 유래된 측쇄 및 pKa 14 이하의 관능기(카르복실기)를 갖는 무수 숙신산 유래 관능기를 함유했다.10 g of polyethyleneimine (SP-018, number average molecular weight 1,800, manufactured by NIPPON SHOKUBAI CO., LTD.) And 100 g of polyester (i-1) as Y precursors (y) were mixed and heated at 120 ° C. for 3 hours to obtain an intermediate ( J-1B). Thereafter, the intermediate was cooled to 65 DEG C and slowly added 200 g of propylene glycol 1-monomethylether 2-acetate (hereinafter sometimes referred to as PGMEA) containing 2.3 g of succinic anhydride as X precursor (x). It stirred for 2 hours. Then, PGMEA was added and 10 mass% of PGMEA solution of resin (J-1) was obtained. The said resin (J-1) contained the succinic anhydride derived functional group which has a side chain derived from polyester (i-1), and a functional group (carboxyl group) of pKa14 or less.
합성 스킴을 이하에 나타낸다.
The synthetic scheme is shown below.
중간체(J-1B)의 산가 적정을 행함으로써, 산가가 6.4mgKOH/g인 것을 확인할 수 있었다. 상기 수지(J-1)의 아민가 적정 및 산 적정을 행함으로써, 산가가 17.9mgKOH/g 및 아민가가 46.2mgKOH/g인 것을 알았다. 즉, 상기 수지(J-1)의 산가와 중간체(J-1B)의 산가의 차로부터 일반식(J-1)에 상당하는 반복단위의 몰%를 산출하고, 상기 수지(J-1)의 아민가와 반응 전의 수지의 질소원자수의 차로부터 (l1+l2)(=일반식(I-2)에 상당하는 반복단위의 몰%)를 산출하고, 상기 중간체(J-1B)의 산가로부터 (m1+m2)(=일반식(I-3)에 상당하는 반복단위의 몰%)를 산출할 수 있었다. 결과를 k/(l1+l2)/(m1+m2)/n=10/50/5/35로 나타낸다.By carrying out the acid value titration of the intermediate (J-1B), it was confirmed that the acid value was 6.4 mgKOH / g. By performing titration and acid titration of the amine of the resin (J-1), it was found that the acid value was 17.9 mgKOH / g and the amine value was 46.2 mgKOH / g. That is, mole% of the repeating unit corresponding to general formula (J-1) is computed from the difference of the acid value of the said resin (J-1) and the acid value of the intermediate (J-1B), (L 1 + l 2 ) (= mole% of repeating units corresponding to general formula (I-2)) was calculated from the difference between the amine number and the nitrogen atom number of the resin before the reaction, and from the acid value of the intermediate (J-1B). (m 1 + m 2 ) (= mol% of the repeating unit corresponding to General Formula (I-3)) could be calculated. The results are expressed as k / (l 1 + l 2 ) / (m 1 + m 2 ) / n = 10/50/5/35.
즉, 일반식(I-1)으로 나타내어지는 반복단위에 있어서 X가 -COCH2CH2CO2H인 반복단위를 10몰%, 일반식(I-2)으로 나타내어지는 반복단위에 있어서 Y가 폴리(ε-카프로락톤)인 반복단위를 50몰% 포함하는 수지인 것을 알았다. GPC법에 의해 측정된 중량 평균 분자량은 15,000이었다.That is, in the repeating unit represented by General Formula (I-1), 10 is the molar repeating unit where X is -COCH 2 CH 2 CO 2 H, and Y is the repeating unit represented by General Formula (I-2). It turned out that it is resin containing 50 mol% of repeating units which are poly ((epsilon) -caprolactone). The weight average molecular weight measured by the GPC method was 15,000.
(합성예 21∼32 및 47∼52)(Synthesis Examples 21-32 and 47-52)
[수지(J-2)∼(J-13) 및 (J-28)∼(J-33)의 합성][Synthesis of Resin (J-2) to (J-13) and (J-28) to (J-33)]
표 2∼4에 기재된 아미노기 함유 수지, X 전구체(x) 및 합성예 1∼18에서 얻어진 폴리에스테르를 사용한 것 이외에는, 합성예 20과 동일한 방법으로 합성을 행하여 수지(J-2)∼(J-13) 및 (J-28)∼(J-33)의 PGMEA 10질량% 용액을 얻었다. 상기 수지(J-13)로서, 반응액을 물로 재침전하고 건조하여 상기 수지(J-13)의 PGMEA 10질량% 용액을 얻어 사용했다.Synthesis was carried out in the same manner as in Synthesis Example 20, except that the amino group-containing resins described in Tables 2 to 4, the X precursor (x) and the polyesters obtained in Synthesis Examples 1 to 18 were used, and the resins (J-2) to (J- 13) and 10 mass% solution of PGMEA of (J-28)-(J-33) were obtained. As the resin (J-13), the reaction solution was reprecipitated with water and dried to obtain a 10 mass% PGMEA solution of the resin (J-13).
합성에 사용된 아미노기 함유 수지는 이하와 같다.The amino group-containing resin used for the synthesis is as follows.
SP-003(폴리에틸렌이민(NIPPON SHOKUBAI CO., LTD. 제작) 수 평균 분자량 300)SP-003 (Polyethyleneimine (manufactured by NIPPON SHOKUBAI CO., LTD.) Number average molecular weight 300)
SP-006(폴리에틸렌이민(NIPPON SHOKUBAI CO., LTD. 제작) 수 평균 분자량 600)SP-006 (Polyethyleneimine (manufactured by NIPPON SHOKUBAI CO., LTD.) Number average molecular weight 600)
SP-012(폴리에틸렌이민(NIPPON SHOKUBAI CO., LTD. 제작) 수 평균 분자량 1,200)SP-012 (polyethyleneimine (manufactured by NIPPON SHOKUBAI CO., LTD.) Number average molecular weight 1,200)
SP-018(폴리에틸렌이민(NIPPON SHOKUBAI CO., LTD. 제작) 수 평균 분자량 1,800)SP-018 (polyethylene imine (manufactured by NIPPON SHOKUBAI CO., LTD.) Number average molecular weight 1,800)
SP-200(폴리에틸렌이민(NIPPON SHOKUBAI CO., LTD. 제작) 수 평균 분자량 10,000)SP-200 (Polyethyleneimine (manufactured by NIPPON SHOKUBAI CO., LTD.) Number average molecular weight 10,000)
(합성예 28)Synthesis Example 28
[수지(J-14)의 합성][Synthesis of Resin (J-14)]
딘-스탁 관을 구비한 반응기에 있어서, 폴리알릴아민(PAA-08, 중량 평균 분자량 8,000, NIPPON SHOKUBAI CO., LTD. 제작) 수용액 100g 및 톨루엔 500g을 외부 온도 130℃에서 수분의 증류제거가 정지될 때까지 환류한 후에, 상기 혼합물을 농축하여 톨루엔을 제거했다. 이어서, 폴리에스테르(i-1) 100g을 혼합하고 120℃에서 3시간 가열했다. 그 후에, 상기 혼합물을 65℃까지 냉각시키고, 무수 글루타르산(X 전구체(x)) 9.0g을 포함하는 PGMEA 200g을 천천히 첨가하고 2시간 교반했다. 그 후에, PGMEA를 첨가하여 수지(J-14)의 PGMEA의 10질량% 용액을 얻었다.In a reactor equipped with a Dean-Stark tube, 100 g of an aqueous solution of polyallylamine (PAA-08, weight average molecular weight 8,000, manufactured by NIPPON SHOKUBAI CO., LTD.) And 500 g of toluene were stopped from distillation of water at an external temperature of 130 ° C. After reflux until the mixture was concentrated to remove toluene. Next, 100 g of polyester (i-1) was mixed and heated at 120 ° C. for 3 hours. Thereafter, the mixture was cooled to 65 ° C, and 200 g of PGMEA containing 9.0 g of glutaric anhydride (X precursor (x)) was slowly added and stirred for 2 hours. Then, PGMEA was added and the 10 mass% solution of PGMEA of resin (J-14) was obtained.
(합성예 34∼45 및 53∼56)(Synthesis Examples 34-45 and 53-56)
[수지(J-15)∼(J-26) 및 (J-15)∼(J-26)의 합성][Synthesis of Resin (J-15) to (J-26) and (J-15) to (J-26)]
표 2 및 표 3에 기재된 아미노기 함유 수지, X 전구체(x) 및 합성예 1∼18에서 얻어진 폴리에스테르를 사용한 것 이외에는, 합성예 33과 동일한 방법으로 수지(J-15)∼(J-26) 및 (J-15)∼(J-26)의 PGMEA의 10질량% 용액을 얻었다.Resins (J-15) to (J-26) in the same manner as in Synthesis Example 33, except that the amino group-containing resins shown in Tables 2 and 3, the X precursor (x) and the polyesters obtained in Synthesis Examples 1 to 18 were used. And 10 mass% solution of PGMEA of (J-15) to (J-26).
합성에 사용된 아미노기 함유 수지는 이하와 같다.The amino group-containing resin used for the synthesis is as follows.
PAA-01(폴리알릴아민(Nitto Boseki Co., Ltd. 제작) 중량 평균 분자량 1,000)PAA-01 (polyallylamine (manufactured by Nitto Boseki Co., Ltd.) weight average molecular weight 1,000)
PAA-03(폴리알릴아민(Nitto Boseki Co., Ltd. 제작) 중량 평균 분자량 3,000)PAA-03 (polyallylamine (manufactured by Nitto Boseki Co., Ltd.) weight average molecular weight 3,000)
PAA-05(폴리알릴아민(Nitto Boseki Co., Ltd. 제작) 중량 평균 분자량 5,000)PAA-05 (polyallylamine (manufactured by Nitto Boseki Co., Ltd.) weight average molecular weight 5,000)
PAA-08(폴리알릴아민(Nitto Boseki Co., Ltd. 제작) 중량 평균 분자량 8,000)PAA-08 (polyallylamine (manufactured by Nitto Boseki Co., Ltd.) weight average molecular weight 8,000)
PAA-15(폴리알릴아민(Nitto Boseki Co., Ltd. 제작) 중량 평균 분자량 15,000)PAA-15 (polyallylamine (manufactured by Nitto Boseki Co., Ltd.) weight average molecular weight 15,000)
(합성예 46)Synthesis Example 46
[수지(J-27)의 합성][Synthesis of Resin (J-27)]
모노머(B) 0.50g(3.5mmol), 매크로모노머(i-14) 55g(23mmol), 2-(N,N-디메틸아미노에틸)메타크릴레이트 1.50g(9.6mmol) 및 도데칸티올 0.2g(1.0mmol)을 디메틸술폭시드 200g과 N-메틸피롤리돈 100g의 혼합 용매에 용해시켰다. 상기 혼합물을 80℃로 가열한 후에, V-601 0.1g을 첨가하고 3시간 교반했다. 그 후에, V-601 0.1g을 첨가하고, 3시간 교반 후 냉각했다. 상기 얻어진 용액을 물 4,00OL에 1시간에 걸쳐적하첨가하고, 상기 침전된 수지를 여과에 의해 수집했다. 건조 후, 상기 수지는 1-메톡시-2-프로판올에 용해시켜 10질량% 용액을 얻었다.Monomer (B) 0.50 g (3.5 mmol), macromonomer (i-14) 55 g (23 mmol), 2- (N, N-dimethylaminoethyl) methacrylate 1.50 g (9.6 mmol) and dodecanethiol 0.2 g ( 1.0 mmol) was dissolved in a mixed solvent of 200 g of dimethyl sulfoxide and 100 g of N-methylpyrrolidone. After heating the mixture to 80 ° C., 0.1 g of V-601 was added and stirred for 3 hours. Thereafter, 0.1 g of V-601 was added and cooled after stirring for 3 hours. The obtained solution was added dropwise to 4,00 OL of water over 1 hour, and the precipitated resin was collected by filtration. After drying, the resin was dissolved in 1-methoxy-2-propanol to obtain a 10 mass% solution.
합성 스킴을 이하에 나타낸다.The synthetic scheme is shown below.
(산가 및 아민가의 측정)(Measurement of Acid Value and Amine Value)
상기 얻어진 수지(J-1)∼(J-37)의 산가 및 아민가를 상술한 방법에 의해 측정했다. 결과를 표 2∼4에 나타낸다.The acid value and amine value of the obtained resins (J-1) to (J-37) were measured by the method described above. The results are shown in Tables 2 to 4.
이들 측정 결과로부터, 중간체의 산가와 목적 수지의 산가의 결과 등으로부터 측쇄에 pKa 14 이하인 관능기가 존재하는 것을 확인할 수 있었다.From these measurement results, it was confirmed from the result of the acid value of the intermediate, the acid value of the target resin, and the like, and a functional group having pKa 14 or less in the side chain.
<실시예 1>≪ Example 1 >
[이산화티타늄 분산액(분산 조성물)의 제조][Production of Titanium Dioxide Dispersion (Dispersion Composition)]
하기 조성을 갖는 혼합액을 이하의 방법에 있어서 순환형 분산 장치(비즈밀)로서 KOTOBUKI INDUSTRIES Co., Ltd. 제작의 ULTRA APEX MILL을 사용하여 분산 처리를 행하여 분산 조성물로서 이산화티타늄 분산액을 얻었다.The mixed liquid having the following composition was used as KOTOBUKI INDUSTRIES Co., Ltd. The dispersion process was performed using the produced ULTRA APEX MILL, and the titanium dioxide dispersion liquid was obtained as a dispersion composition.
-조성--Furtherance-
·이산화티타늄(ISHIHARA SANGYO KAISHA, LTD. 제작의 TTO-51(C))(순도 75% 이상): 150부Titanium dioxide (TTO-51 (C) manufactured by ISHIHARA SANGYO KAISHA, LTD.) (More than 75% purity): 150 parts
·특정 수지 J-1: 40.5부Specific resin J-1: 40.5 parts
·프로필렌글리콜모노메틸에테르 아세테이트: 462부Propylene glycol monomethyl ether acetate: 462 parts
상기 분산 장치는 이하의 조건 하에서 작동했다.The dispersing device was operated under the following conditions.
·비즈 지름: Φ0.05mmBead diameter: Φ0.05mm
·비즈 충진률: 75체적%Bead filling rate: 75% by volume
·주속: 8m/secCircumference: 8m / sec
·펌프 공급량: 10Kg/시Pump supply amount: 10Kg / hour
·냉각수: 상수Coolant: Constant
·비즈밀 환상 통로의 내용적: 0.15L· Contents of Beads Mill Annular Passage: 0.15L
·분산 처리용 혼합액량: 0.44KgMixed liquid amount for dispersion treatment: 0.44 Kg
분산 시작 후에, 30분 간격(통과당 시간)으로 평균 입자지름을 측정했다.After the start of dispersion, the average particle diameter was measured at 30 minute intervals (time per pass).
상기 평균 입자지름은 분산 시간(통과수)과 함께 감소해지만, 상기 변화량은 점차적으로 감소했다. 분산 시간을 30분씩 증가시켰을 때의 일차 입자지름의 변화가 5nm 이하가 된 시점에서 분산을 종료했다. 한편, 상기 분산액 중에 이산화티타늄 입자의 일차 입자지름은 40nm이었다.The average particle diameter decreased with the dispersion time (passed water), but the amount of change gradually decreased. Dispersion was complete | finished when the change of the primary particle diameter when the dispersion time was increased by 30 minutes became 5 nm or less. On the other hand, the primary particle diameter of the titanium dioxide particles in the dispersion was 40 nm.
이 때의 점도를 측정하여 분산성을 평가하고, 분산의 1개월 후에 점도 변화를 측정하여 분산 안정성(보존 온도 25℃)을 평가했다.The viscosity at this time was measured to evaluate dispersibility, the viscosity change was measured after one month of dispersion, and dispersion stability (preservation temperature 25 degreeC) was evaluated.
점도가 15mPa·s 이하인 경우에 분산성은 우수하고, 15mPa·s 이상인 경우에 분산성은 열악했다.Dispersibility was excellent when the viscosity was 15 mPa · s or less, and poor when the viscosity was 15 mPa · s or more.
분산 안정성은 이하의 평가 기준에 의해 평가했다.Dispersion stability was evaluated by the following evaluation criteria.
분산의 1개월 후의 점도 변화가 ±10% 이내: AViscosity change after one month of dispersion within ± 10%: A
분산의 1개월 후의 점도 변화가 ±10% 이상: 및 ±20% 이하: BViscosity change after one month of dispersion: ± 10% or more: and ± 20% or less: B
분산의 1개월 후의 점도 변화가 ±20% 이상: CViscosity change more than ± 20% after 1 month of dispersion: C
실시예 2∼37 및 비교예 1 및 2에 있어서 조성물에 상응하는 분산 조성물을 이산화티타늄의 함량 및 특정 수지의 종류를 하기 표 5과 같이 변경한 것 이외에는, 실시예 1에 있어서 분산 조성물에 따라 제조된 후술하는 실시예 2∼37 및 비교예 1 및 2에 있어서 조성물에 상응하는 분산 조성물을 점도 측정을 행하여 분산성을 평가하고, 분산의 1개월 후의 점도 변화를 측정하여 분산 안정성(보존 온도 25℃)을 평가했다. 결과를 표 4에 나타낸다.The dispersion composition corresponding to the composition in Examples 2 to 37 and Comparative Examples 1 and 2 was prepared according to the dispersion composition in Example 1, except that the content of titanium dioxide and the kind of specific resin were changed as shown in Table 5 below. In Examples 2 to 37 described later and Comparative Examples 1 and 2, the dispersion composition corresponding to the composition was measured for viscosity to evaluate dispersibility, the viscosity change after one month of dispersion was measured, and dispersion stability (preservation temperature of 25 ° C). Evaluated. The results are shown in Table 4.
한편, 본 실시예에 있어서 이산화티타늄의 일차 입자지름은 이산화티타늄을 포함하는 혼합액 또는 분산액을 프로필렌글리콜모노메틸에테르 아세테이트로 80배 희석하여 얻어진 희석액에 동적 광산란법을 사용하여 측정함으로써 얻어진 값을 말한다.In addition, the primary particle diameter of titanium dioxide in a present Example means the value obtained by measuring using the dynamic light-scattering method in the dilution liquid obtained by diluting 80 times the mixture liquid or dispersion liquid containing titanium dioxide with propylene glycol monomethyl ether acetate.
이 측정은 NIKKISO Co., Ltd. 제작의 MICROTRAC UPA-EX150을 사용하여 측정함으로써 얻어진 수 평균 입자지름으로서 산출했다.This measurement is NIKKISO Co., Ltd. It calculated as the number average particle diameter obtained by measuring using the produced MICROTRAC UPA-EX150.
[경화성 조성물의 제조][Preparation of curable composition]
상기 얻어진 이산화티타늄 분산액(분산 조성물)을 사용하고, 이하의 조성이 되도록 각 성분을 서로 혼합하여 경화성 조성물을 얻었다.Using the obtained titanium dioxide dispersion (dispersion composition), each component was mixed with each other so that the following composition might be obtained, and the curable composition was obtained.
-경화성 조성물의 조성-Composition of Curable Composition
·상기 제조된 이산화티타늄 분산액(분산 조성물) 78.26부78.26 parts of the prepared titanium dioxide dispersion (dispersion composition)
·디펜타에리스리톨헥사아크릴레이트 4.36부4.36 parts of dipentaerythritol hexaacrylate
(중합성 화합물, 하기 T-1)(Polymerizable Compound, T-1 below)
·옥심계 광중합개시제 0.30부0.30 part of oxime photopolymerization initiator
(중합개시제, 하기 K-1)(Polymerization Initiator, K-1 below)
·바인더 폴리머 2.18부Binder polymer 2.18 parts
(하기 M-1; 중량 평균 분자량(Mw) 및 공중합비(몰비)는 하기와 같음)(M-1 below; weight average molecular weight (Mw) and copolymerization ratio (molar ratio) are as follows.)
·계면활성제 MEGAFAC F-781 O.30부Surfactant MEGAFAC F-781O.30parts
·프로필렌글리콜모노메틸에테르 아세테이트 14.60부
Propylene glycol monomethyl ether acetate 14.60 parts
(투명막의 제작)(Production of the transparent film)
상기 얻어진 경화성 조성물을 12인치 실리콘 웨이퍼 상에 스핀 코트법에 의해 도포한 후, 핫플레이트 상에서 100℃에서 2분 동안 가열하여 막 두께 1.05㎛인 막을 얻었다. 상기 도포막을 핫플레이트 상에서 200℃에서 5분 동안 가열하여 투명막으로서 경화막(막 두께: 1.0㎛)을 얻었다.The curable composition obtained above was applied on a 12 inch silicon wafer by spin coating, and then heated on a hot plate at 100 ° C. for 2 minutes to obtain a film having a film thickness of 1.05 μm. The coating film was heated on a hot plate at 200 ° C. for 5 minutes to obtain a cured film (film thickness: 1.0 μm) as a transparent film.
[투명막의 굴절률의 측정][Measurement of Refractive Index of Transparent Film]
상기 얻어진 기판에 대해서, J. A. Woollam JAPAN Co., Ltd. 제작의 엘립소미트리를 사용하여 파장 500nm에서 광에 대한 투명 패턴의 굴절률을 측정했다. Otsuka Electronics Co., Ltd. 제작의 MCPD 시리즈를 사용하여 400nm∼700nm의 파장영역에 걸쳐서 상기 투명막의 광투과율을 측정했다.For the obtained substrate, J. A. Woollam JAPAN Co., Ltd. The refractive index of the transparent pattern with respect to light was measured at the wavelength of 500 nm using the produced ellipsomite. Otsuka Electronics Co., Ltd. The light transmittance of the said transparent film was measured over the wavelength range of 400 nm-700 nm using the manufactured MCPD series.
각각의 결과를 하기 표 5에 나타낸다.Each result is shown in Table 5 below.
[웨이퍼의 중심부와 주변부 사이의 막 두께차의 측정][Measurement of film thickness difference between the center and the periphery of the wafer]
상기 얻어진 투명막이 형성된 웨이퍼 기판에 대해서, 웨이퍼의 중심부에서 투명막의 막 두께와 웨이퍼의 주변으로부터 웨이퍼의 중심부 방향으로 3cm 들어간 부분에서 투명막의 막 두께의 차를 Dekrak(Veeco Instruments Inc. 제작)로 측정했다. 수치 결과를 하기 표 5에 나타낸다.For the wafer substrate on which the obtained transparent film was formed, the difference between the film thickness of the transparent film at the center of the wafer and the film thickness of the transparent film at the portion 3 cm from the periphery of the wafer toward the center of the wafer was measured by Dekrak (manufactured by Veeco Instruments Inc.). . The numerical results are shown in Table 5 below.
<실시예 2∼37 및 비교예 1 및 2><Examples 2 to 37 and Comparative Examples 1 and 2>
경화성 조성물의 총 고형분에 대한 이산화티타늄의 함량 및 특정 수지와 중합개시제의 종류를 하기 표 5과 같이 변경한 것 이외에는, 실시예 1에 따라 실시예 2∼37 및 비교예 1 및 2의 경화성 조성물을 제조했다.The curable compositions of Examples 2 to 37 and Comparative Examples 1 and 2 were prepared according to Example 1, except that the content of titanium dioxide and the types of specific resins and polymerization initiators of the total solids of the curable composition were changed as shown in Table 5 below. Manufactured.
즉, 특정 수지를 실시예 1에서 사용된 J-1로 변경한 실시예에 있어서, 실시예 1에서 사용된 이산화티타늄 분산액의 제조에 있어서 J-1의 대신에 표 5에 나타낸 특정 수지를 사용하여 얻어진 이산화티타늄 분산액을 사용했다.That is, in the example in which the specific resin was changed to J-1 used in Example 1, in the preparation of the titanium dioxide dispersion liquid used in Example 1, the specific resin shown in Table 5 was used instead of J-1. The obtained titanium dioxide dispersion liquid was used.
한편, 비교예 1 및 2에 있어서, 본 발명의 특정 수지와는 다른 수지로서 각각 The Lubrizol Corporation 제작의 Solsperse 5000 및 BYK Chemie GmbH 제작의 DISPERBYK180을 사용했다.In Comparative Examples 1 and 2, Solsperse 5000 manufactured by The Lubrizol Corporation and DISPERBYK180 manufactured by BYK Chemie GmbH were used as resins different from the specific resin of the present invention, respectively.
상기 중합개시제를 실시예 1에서 사용된 화합물 K-1로 변경한 실시예에 있어서, 실시예 1에 있어서 경화성 조성물의 제조에 사용된 화합물 K-1의 대신에 표 5에 나타낸 중합개시제를 사용했다.In the examples where the polymerization initiator was changed to the compound K-1 used in Example 1, the polymerization initiator shown in Table 5 was used instead of the compound K-1 used in the preparation of the curable composition in Example 1. .
상기 경화성 조성물의 총 고형분에 대한 이산화티타늄의 함량(농도)의 변화는 상기 경화성 조성물의 총 고형분에 대한 이산화티타늄과 바인더의 총량을 실시예 1과 동일한 양으로 제어하면서, 이산화티타늄의 함량의 증감부를 바인더 폴리머의 함량의 증감으로 보충함으로써 행했다.The change in content (concentration) of titanium dioxide with respect to the total solids of the curable composition is controlled by increasing the amount of titanium dioxide and the binder with respect to the total solids of the curable composition in the same amount as in Example 1. It carried out by supplementing with the increase and decrease of content of a binder polymer.
얻어진 경화성 조성물을 사용하여 실시예 1과 동일한 방법으로 투명막을 각각 제작하고, 실시예 1과 동일한 방법으로 평가했다. 결과를 표 5에 나타낸다.Using the obtained curable composition, transparent films were produced in the same manner as in Example 1 and evaluated in the same manner as in Example 1. The results are shown in Table 5.
표 5로부터 명백한 바와 같이, 특정 수지를 사용하지 않는 비교예 1 및 2의 분산 조성물은 점도가 높고, 분산성이 열악하고 분산 안정성도 열악한 것을 알았다.As is apparent from Table 5, it was found that the dispersion compositions of Comparative Examples 1 and 2 without using a specific resin had high viscosity, poor dispersibility, and poor dispersion stability.
한편, 본 발명의 특정 수지를 사용한 실시예 1∼37의 분산 조성물은 점도가 낮고, 분산성이 우수하고 분산 안정성도 우수한 것을 알았다.On the other hand, it turned out that the dispersion composition of Examples 1-37 using the specific resin of this invention is low in viscosity, excellent in dispersibility, and also excellent in dispersion stability.
특정 수지를 사용하지 않는 비교예 1 및 2의 경화성 조성물은 웨이퍼의 중심부와 주변부 사이의 막 두께의 차가 큰 것을 알았다.It was found that the curable compositions of Comparative Examples 1 and 2 without using a specific resin had a large difference in film thickness between the center portion and the peripheral portion of the wafer.
한편, 본 발명의 특정 수지를 사용한 실시예 1∼37의 경화성 조성물은 웨이퍼 중심부와 주변부 사이에 막 두께의 차가 작은 것을 알았다.On the other hand, it was found that the curable compositions of Examples 1 to 37 using the specific resin of the present invention had a small difference in film thickness between the wafer center portion and the peripheral portion.
특정 수지를 사용하지 않는 비교예 1 및 2의 경화성 조성물을 사용하여 형성된 투명막은 굴절률 및 투과율이 작은 것을 알았다.It was found that the transparent film formed by using the curable compositions of Comparative Examples 1 and 2 without using a specific resin had a small refractive index and a low transmittance.
한편, 본 발명의 특정 수지를 사용한 실시예 1∼37의 경화성 조성물을 사용하여 형성된 투명막은 굴절률 및 투과율이 높은 것을 알았다.On the other hand, it turned out that the transparent film formed using the curable composition of Examples 1-37 using the specific resin of this invention has high refractive index and transmittance | permeability.
상기 실시예에 있어서 실리콘 웨이퍼 상에 투명막을 형성하는 실시예를 설명했지만, 고체 촬상 소자를 제작하는 경우에 있어서, 상기 실리콘 웨이퍼를 포토다이오드, 차광막 및 디바이스 보호막 등이 형성된 고체 촬상 소자용 기판으로 변경해도 좋다.In the above embodiment, an embodiment in which a transparent film is formed on a silicon wafer has been described, but in the case of manufacturing a solid-state imaging device, the silicon wafer is changed to a substrate for a solid-state imaging device in which a photodiode, a light shielding film, a device protective film, and the like are formed. Also good.
포토다이오드 및 전송 전극이 형성된 실리콘 웨이퍼 상에 포토다이오드의 수광부만을 연 텅스텐으로 이루어진 차광막을 형성하고, 형성된 차광막의 전면 및 포토다이오드 수광부(차광막의 개구부)를 덮도록 질화 실리콘으로 이루어진 디바이스 보호층을 형성했다.On the silicon wafer on which the photodiode and the transfer electrode are formed, a light shielding film made of tungsten with only the light receiving part of the photodiode is formed, and a device protective layer made of silicon nitride is formed to cover the entire surface of the formed light shielding film and the photodiode light receiving part (opening of the light shielding film). did.
이어서, 형성된 디바이스 보호층 상에, 일본 특허 공개 제2010-210702 A호 공보의 실시예 16에 기재된 방법으로 형성된 변 길이가 1.4㎛인 적색화소, 청색화소 및 녹색화소를 각각 형성한 후 컬러필터를 제조했다.Subsequently, on the formed device protective layer, the red filter, the blue pixel, and the green pixel, each having a side length of 1.4 µm, formed by the method described in Example 16 of JP2010-210702A, were formed, respectively, and then the color filter was formed. Manufactured.
그 상에, 상술한 바와 같이 제어된 실시예의 경화성 조성물을 막 두께 1.5㎛이 되도록 도포하고, 100℃에서 2분 동안 핫플레이트를 사용하여 가열한 후 200℃에서 5분 동안 핫플레이트에서 가열하여 상기 막을 경화시켰다.Thereon, the curable composition of the embodiment controlled as described above was applied to a film thickness of 1.5 μm, heated using a hot plate at 100 ° C. for 2 minutes, and then heated at a hot plate at 200 ° C. for 5 minutes. The film was cured.
그 상에 HPR-204ESZ-9-5mPa·s(FUJIFILM Electronic Materials Co., Ltd. 제작의 레지스트액)을 도포한 후 90℃에서 1분 동안 핫플레이트를 사용하여 가열했다. 상기 도포막을 변 길이 1.4㎛인 복수의 정사각형 패턴을 갖는 마스크를 통하여 i선 스텝퍼(제품명: FPA-3000i5+, Cannon Inc. 제작)에 의해 100mJ/㎠으로 노광했다. 여기서, 상기 마스크는 마스크에 있어서 다수의 정사각형 패턴이 각각 상기 컬러필터에 있어서 적색화소, 청색화소 및 녹색화소에 상응하는 위치가 되도록 배치했다.HPR-204ESZ-9-5 mPa.s (resist liquid manufactured by FUJIFILM Electronic Materials Co., Ltd.) was applied thereon, and then heated using a hot plate at 90 ° C. for 1 minute. The coating film was exposed at 100 mJ / cm 2 by an i-line stepper (product name: FPA-3000i5 +, manufactured by Cannon Inc.) through a mask having a plurality of square patterns having a side length of 1.4 μm. Here, the masks are arranged such that a plurality of square patterns in the mask are in positions corresponding to red pixels, blue pixels, and green pixels in the color filter, respectively.
상기 막을 알칼리 현상액 HPRD-429E(FUJIFILM Electronic Materials Co., Ltd. 제작)를 사용하여 실온에서 60초 동안 퍼들 현상한 후 20초 동안 스핀 샤워에 의해 순수로 린싱했다. 그 후에, 상기 막을 순수로 더 세정한 후 고속회전으로 상기 기판을 건조시켜 레지스트 패턴을 형성했다. 상기 막을 200℃에서 300초 동안 핫플레이트에서 포스트베이킹 처리하여 레지스트를 렌즈상으로 성형했다.The membrane was puddle developed at room temperature for 60 seconds using alkaline developer HPRD-429E (manufactured by FUJIFILM Electronic Materials Co., Ltd.) and then rinsed with pure water by spin shower for 20 seconds. Thereafter, the film was further washed with pure water, and then the substrate was dried at high speed to form a resist pattern. The film was postbaked on a hotplate at 200 ° C. for 300 seconds to form a resist onto the lens.
이와 같이 얻어진 기판을 드라이 에칭 장치(U-621: Hitachi High-Technologies Corporation 제작)를 사용하여 하기 조건 하에서 드라이 에칭 처리를 행한 후 고굴절률을 갖는 본 발명의 투명막을 마이크로렌즈로서 사용하도록 가공했다.The substrate thus obtained was subjected to a dry etching process using a dry etching apparatus (U-621: manufactured by Hitachi High-Technologies Corporation) under the following conditions, and then processed to use the transparent film of the present invention having a high refractive index as a microlens.
·RF 파워: 800WRF power: 800W
·안테나 바이어스: 10OWAntenna bias: 10 OW
·웨이퍼 바이어스: 500WWafer bias: 500 W
·챔버 내압: 0.5Pa· Chamber pressure: 0.5 Pa
·기판 온도: 50℃· Substrate temperature: 50 ° C
·혼합 가스 종 및 유량: CF4/C4F6/O2/Ar=175/25/50/2OOml/분Mixed gas species and flow rate: CF 4 / C 4 F 6 / O 2 / Ar = 175/25/50 / 2OOml / min
·포토레지스트 에칭 레이트: 140nm/분Photoresist etch rate: 140 nm / min
상기 얻어진 디바이스를 사용하여 화상을 촬영하는 경우, 우수한 화상을 얻을 수 있었다.When photographing an image using the obtained device, an excellent image could be obtained.
본 발명에 의하면, 우수한 분산성 및 분산 안정성을 갖고 경화성 조성물로서 제조할 때에 고굴절률 및 고광투과율을 갖고, 상기 조성물을 큰 사이즈의 웨이퍼에 도포했을 때에 그 중심부와 주변부 사이에 막 두께의 차가 작은 막을 형성할 수 있는 분산 조성물, 이것을 사용한 경화성 조성물, 투명막, 마이크로렌즈 및 고체 촬상 소자, 및 투명막의 제조 방법, 마이크로렌즈의 제조 방법 및 고체 촬상 소자의 제조 방법을 제공할 수 있다.According to the present invention, a film having excellent dispersibility and dispersion stability and having a high refractive index and a high light transmittance when prepared as a curable composition, and having a small difference in film thickness between its center and its periphery when the composition is applied to a large size wafer The dispersion composition which can be formed, the curable composition using this, a transparent film, a microlens and a solid-state image sensor, and the manufacturing method of a transparent film, the manufacturing method of a microlens, and the manufacturing method of a solid-state image sensor can be provided.
본 출원은 2011년 5월 18일자로 출원된 일본 특허 출원 JP 2011-111735, 2012년 5월 17일자로 출원된 JP 2012-113719에 근거하여 전체가 참조에 의해 본 명세서에 포함된다.This application is incorporated herein by reference in its entirety based on Japanese Patent Application JP 2011-111735, filed May 18, 2011, and JP 2012-113719, filed May 17, 2012.
Claims (17)
pKa 14 이하의 관능기를 갖는 기(X)를 갖는 반복단위 및 측쇄에 원자수 40∼10,000개의 올리고머쇄 또는 폴리머쇄(Y)를 갖고, 또한 염기성 질소원자를 함유하는 수지(B1); 및
용매(C)를 포함하는 것을 특징으로 하는 분산 조성물.Colorless or transparent metal oxide particles having a primary particle diameter of 1 nm to 100 nm (A);
Resin (B1) which has an oligomer chain or a polymer chain (Y) of 40-10,000 atoms, and contains a basic nitrogen atom in the repeating unit and side chain which have group (X) which has a pKa 14 or less functional group, and a side chain; And
A dispersion composition comprising a solvent (C).
상기 수지(B1)는 상기 pKa 14 이하의 관능기를 갖는 기(X)에 결합하는 질소원자를 함유하는 반복단위 및 측쇄에 원자수 40∼10,000개의 올리고머쇄 또는 폴리머쇄(Y)를 갖는 수지(B2)인 것을 특징으로 하는 분산 조성물.The method of claim 1,
The resin (B1) is a resin (B2) having an oligomer chain or a polymer chain (Y) having 40 to 10,000 atoms in the side chain and a repeating unit containing a nitrogen atom bonded to the group (X) having a functional group of pKa 14 or less. Dispersion composition characterized in that).
일차 입자지름이 1nm∼100nm인 무색 또는 투명한 금속 산화물 입자(A),
(i) 폴리(저급 알킬렌이민)계 반복단위, 폴리알릴아민계 반복단위, 폴리디알릴아민계 반복단위, 메타크실렌디아민-에피클로로히드린 중축합물계 반복단위 및 폴리비닐아민계 반복단위로부터 선택되고 질소원자를 함유하는 적어도 하나의 반복단위로서, pKa 14 이하의 관능기를 갖고 질소원자에 결합하는 기(X)를 갖는 반복단위, 및 (ii) 측쇄에 원자수 40∼10,000개의 올리고머쇄 또는 폴리머쇄(Y)를 갖는 수지(B), 및
용매(C)를 포함하는 것을 특징으로 하는 분산 조성물.3. The method according to claim 1 or 2,
Colorless or transparent metal oxide particles (A) having a primary particle diameter of 1 nm to 100 nm,
(i) from poly (lower alkyleneimine) repeating units, polyallylamine repeating units, polydiallylamine repeating units, metaxylenediamine-epichlorohydrin polycondensation repeating units and polyvinylamine repeating units At least one repeating unit selected and containing nitrogen atoms, the repeating unit having a functional group of pKa 14 or less and having a group (X) bonded to the nitrogen atom, and (ii) an oligomer chain having 40 to 10,000 atoms in the side chain, or Resin (B) having a polymer chain (Y), and
A dispersion composition comprising a solvent (C).
상기 기(X)가 갖는 pKa 14 이하의 관능기는 카르복실산, 술폰산 또는 -COCH2CO-인 것을 특징으로 하는 분산 조성물.4. The method according to any one of claims 1 to 3,
PKa of 14 or less having a functional group which the group (X) is dispersed composition, characterized in that carboxylic acid, sulfonic acid, or -COCH 2 CO-.
상기 수지(B)는 하기 일반식(I-1)으로 나타내어지는 반복단위 및 하기 일반식(I-2)으로 나타내어지는 반복단위를 포함하는 수지인 것을 특징으로 하는 분산 조성물.
[일반식(1-1) 및 일반식(1-2) 중,
R1 및 R2는 각각 독립적으로 수소원자, 할로겐 원자 또는 알킬기를 나타내고,
a는 각각 독립적으로 1∼5의 정수를 나타내고,
*는 반복단위 사이의 연결부를 나타내고,
X는 pKa 14 이하의 관능기를 갖는 기를 나타내고,
Y는 원자수 40∼10,000개의 올리고머쇄 또는 폴리머쇄를 나타낸다]The method according to claim 3 or 4,
The said resin (B) is resin containing the repeating unit represented by the following general formula (I-1), and the repeating unit represented by the following general formula (I-2), The dispersion composition characterized by the above-mentioned.
[In Formula (1-1) and Formula (1-2),
R 1 and R 2 each independently represent a hydrogen atom, a halogen atom or an alkyl group,
a respectively independently represents the integer of 1-5,
* Denotes the connection between repeat units,
X represents a group having a functional group of pKa 14 or less,
Y represents an oligomer chain or a polymer chain having 40 to 10,000 atoms;
상기 수지(B)는 하기 일반식(II-1)으로 나타내어지는 반복단위 및 하기 일반식(II-2)으로 나타내어지는 반복단위를 포함하는 수지인 것을 특징으로 하는 분산 조성물.
[일반식(II-1) 및 일반식(II-2) 중,
R3, R4, R5 및 R6은 각각 독립적으로 수소원자, 할로겐 원자 또는 알킬기를 나타내고,
*는 반복단위 사이의 연결부를 나타내고,
X는 pKa 14 이하의 관능기를 갖는 기를 나타내고,
Y는 원자수 40∼10,000개의 올리고머쇄 또는 폴리머쇄를 나타낸다]The method according to claim 3 or 4,
The resin (B) is a resin comprising a repeating unit represented by the following General Formula (II-1) and a repeating unit represented by the following General Formula (II-2).
[In Formula (II-1) and Formula (II-2),
R 3 , R 4 , R 5 and R 6 each independently represent a hydrogen atom, a halogen atom or an alkyl group,
* Denotes the connection between repeat units,
X represents a group having a functional group of pKa 14 or less,
Y represents an oligomer chain or a polymer chain having 40 to 10,000 atoms;
상기 원자수 40∼10,000개의 올리고머쇄 또는 폴리머쇄(Y)는 하기 일반식(III-1)으로 나타내어지는 구조를 갖는 것을 특징으로 하는 분산 조성물.
[일반식(III-1) 중, Z는 부분 구조로서 폴리에스테르쇄를 갖는 폴리머 또는 올리고머이고, 하기 일반식(IV)으로 나타내어지는 유리 카르복실산을 갖는 폴리에스테르로부터 카르복실기를 제외한 잔기를 나타낸다.
일반식(IV) 중, Z는 일반식(III-1) 중의 Z와 동일하다]7. The method according to any one of claims 1 to 6,
The above-mentioned 40 to 10,000 oligomer chain or polymer chain (Y) has a structure represented by the following general formula (III-1).
[In general formula (III-1), Z is a polymer or oligomer which has a polyester chain as a partial structure, and shows the residue remove | excluding the carboxyl group from the polyester which has the free carboxylic acid represented by the following general formula (IV).
In General Formula (IV), Z is the same as Z in General Formula (III-1).]
상기 경화성 조성물은 중합성 화합물(D) 및 중합개시제(E)를 더 포함하는 것을 특징으로 하는 경화성 조성물.As a curable composition containing the dispersion composition of any one of Claims 1-7,
The curable composition further comprises a polymerizable compound (D) and a polymerization initiator (E).
바인더 폴리머를 더 포함하는 것을 특징으로 하는 경화성 조성물.The method of claim 8,
Curable composition further comprising a binder polymer.
상기 중합개시제(E)는 옥심계 중합개시제인 것을 특징으로 하는 경화성 조성물.10. The method according to claim 8 or 9,
The polymerization initiator (E) is a curable composition, characterized in that the oxime polymerization initiator.
마이크로렌즈의 형성에 사용되는 것을 특징으로 하는 경화성 조성물.The method according to any one of claims 8 to 10,
A curable composition, characterized in that it is used to form microlenses.
이어서 상기 조성물을 가열하는 제 1 가열 공정, 및
이어서 상기 제 1 가열 공정의 온도보다 높은 온도에서 상기 조성물을 가열하는 제 2 가열 공정을 포함하는 것을 특징으로 하는 투명막의 제조 방법.The process of apply | coating the curable composition of any one of Claims 8-10 on a wafer,
A first heating step of subsequently heating the composition, and
And a second heating step of heating the composition at a temperature higher than the temperature of the first heating step.
상기 투명막을 드라이 에칭하는 공정을 포함하는 것을 특징으로 하는 마이크로렌즈의 제조 방법.A step of forming the transparent film by postbaking the transparent film according to claim 12, and
And dry etching the transparent film.
제 8 항 내지 제 10 항 중 어느 한 항에 기재된 경화성 조성물을 도포하고 가열하는 공정,
레지스트 패턴을 형성하는 공정,
포스트베이킹 처리를 행하여 상기 형성된 레지스트 패턴을 렌즈상 형상으로 성형하는 공정, 및
드라이 에칭을 행하는 공정을 포함하는 것을 특징으로 하는 고체 촬상 소자의 제조 방법.Forming a red pixel, a blue pixel, and a green pixel on a substrate for a solid-state imaging device having at least a photodiode, a light shielding film, and a device protective film,
The process of apply | coating and heating the curable composition of any one of Claims 8-10,
Forming a resist pattern,
Performing a post-baking process to mold the formed resist pattern into a lens shape; and
A method of manufacturing a solid-state imaging device, comprising the step of performing dry etching.
Applications Claiming Priority (3)
| Application Number | Priority Date | Filing Date | Title |
|---|---|---|---|
| JPJP-P-2011-111735 | 2011-05-18 | ||
| JP2011111735 | 2011-05-18 | ||
| PCT/JP2012/063402 WO2012157784A1 (en) | 2011-05-18 | 2012-05-18 | Dispersion composition, curable composition, transparent film, microlens and solid-state image sensing device using the same, method for manufacturing transparent film, method for manufacturing microlens and method for manufacturing solid-state image sensing device |
Publications (2)
| Publication Number | Publication Date |
|---|---|
| KR20140027993A true KR20140027993A (en) | 2014-03-07 |
| KR101775397B1 KR101775397B1 (en) | 2017-09-06 |
Family
ID=47177098
Family Applications (1)
| Application Number | Title | Priority Date | Filing Date |
|---|---|---|---|
| KR1020137030122A Active KR101775397B1 (en) | 2011-05-18 | 2012-05-18 | Dispersion composition, curable composition, transparent film, microlens and solid-state image sensing device using the same, method for manufacturing transparent film, method for manufacturing microlens and method for manufacturing solid-state image sensing device |
Country Status (4)
| Country | Link |
|---|---|
| JP (1) | JP5745458B2 (en) |
| KR (1) | KR101775397B1 (en) |
| TW (1) | TWI534188B (en) |
| WO (1) | WO2012157784A1 (en) |
Families Citing this family (7)
| Publication number | Priority date | Publication date | Assignee | Title |
|---|---|---|---|---|
| JP5734913B2 (en) * | 2011-08-31 | 2015-06-17 | 富士フイルム株式会社 | Radiation-sensitive composition, pattern forming method, color filter and method for producing the same, and solid-state imaging device |
| EP2905313B1 (en) * | 2012-10-03 | 2017-05-03 | Dai Nippon Printing Co., Ltd. | Metal particle dispersion, article and sintered film using metal particle dispersion, and method for producing sintered film |
| KR101678473B1 (en) * | 2013-01-18 | 2016-11-22 | 후지필름 가부시키가이샤 | Method for producing color filter |
| JP6097128B2 (en) * | 2013-04-12 | 2017-03-15 | 富士フイルム株式会社 | Far infrared light shielding layer forming composition |
| JP6114235B2 (en) * | 2013-07-03 | 2017-04-12 | 富士フイルム株式会社 | Infrared light shielding composition, infrared light shielding layer, infrared cut filter, camera module |
| JP6177204B2 (en) * | 2013-09-02 | 2017-08-09 | 東友ファインケム株式会社Dongwoo Fine−Chem Co., Ltd. | Photosensitive resin composition, color filter using the same, and liquid crystal display device |
| WO2016157988A1 (en) | 2015-03-31 | 2016-10-06 | 富士フイルム株式会社 | Upper layer film forming composition, pattern forming method, resist pattern, and electronic device manufacturing method |
Family Cites Families (10)
| Publication number | Priority date | Publication date | Assignee | Title |
|---|---|---|---|---|
| JPH09313917A (en) * | 1996-05-30 | 1997-12-09 | Takefu Fine Chem Kk | Dispersing agent |
| JP2007016208A (en) * | 2005-06-10 | 2007-01-25 | Canon Finetech Inc | Micro-particle dispersion and medium to be recorded using the same |
| JP2007099943A (en) * | 2005-10-05 | 2007-04-19 | Jsr Corp | Thermosetting composition, antihalation film for solid-state imaging device and method for forming the same, and solid-state imaging device |
| JP2008040477A (en) * | 2006-07-11 | 2008-02-21 | Fujifilm Electronic Materials Co Ltd | Colored resin composition and color filter for liquid crystal display device using the same |
| JP2008185683A (en) * | 2007-01-29 | 2008-08-14 | Jsr Corp | Composition for solid-state imaging device and method for producing microlens array |
| JP5371449B2 (en) * | 2008-01-31 | 2013-12-18 | 富士フイルム株式会社 | Resin, pigment dispersion, colored curable composition, color filter using the same, and method for producing the same |
| JP5224936B2 (en) * | 2008-06-26 | 2013-07-03 | 富士フイルム株式会社 | Dispersion, black curable composition, production method, production method of light-shielding film or antireflection film for solid-state imaging device, and solid-state imaging device |
| WO2010071134A1 (en) * | 2008-12-15 | 2010-06-24 | 旭硝子株式会社 | Photo-curing material manufacturing method, and photo-curing material and article |
| JP5701576B2 (en) * | 2009-11-20 | 2015-04-15 | 富士フイルム株式会社 | Dispersion composition, photosensitive resin composition, and solid-state imaging device |
| JP5178700B2 (en) * | 2009-12-21 | 2013-04-10 | 富士フイルム株式会社 | Dispersion composition, photosensitive composition, light-shielding color filter, solid-state imaging device, liquid crystal display device, and method for producing dispersion composition |
-
2012
- 2012-05-17 JP JP2012113719A patent/JP5745458B2/en active Active
- 2012-05-18 WO PCT/JP2012/063402 patent/WO2012157784A1/en not_active Ceased
- 2012-05-18 TW TW101117782A patent/TWI534188B/en active
- 2012-05-18 KR KR1020137030122A patent/KR101775397B1/en active Active
Also Published As
| Publication number | Publication date |
|---|---|
| JP5745458B2 (en) | 2015-07-08 |
| KR101775397B1 (en) | 2017-09-06 |
| WO2012157784A1 (en) | 2012-11-22 |
| TWI534188B (en) | 2016-05-21 |
| JP2012255148A (en) | 2012-12-27 |
| TW201307458A (en) | 2013-02-16 |
Similar Documents
| Publication | Publication Date | Title |
|---|---|---|
| KR101791493B1 (en) | Black curable composition, light-shielding color filter, light-shielding film and method for manufacturing the same, wafer level lens, and solid-state imaging device | |
| CN104603210B (en) | Dispersive composition, use the solidification compound of the dispersive composition, hyaline membrane, lenticule and solid-state imager | |
| JP5618746B2 (en) | Photosensitive composition, pattern forming material, and photosensitive film using the same, pattern forming method, pattern film, low refractive index film, antireflection film, optical device, and solid-state imaging device | |
| TWI516870B (en) | Radiation-sensitive composition, method for forming pattern, color filter and method of producing the same, and solid-state image sensor | |
| JP5816535B2 (en) | Curable composition, transparent film, microlens, and solid-state imaging device | |
| JP5894943B2 (en) | Dispersion composition, curable composition using the same, transparent film, microlens, method for producing microlens, and solid-state imaging device | |
| KR20140041530A (en) | Color filter, ccd sensor, cmos sensor, organic cmos sensor, and solid-state image sensor | |
| KR20120065315A (en) | Colored composition for light-shielding film, light-shielding pattern, method for forming the same, solid-state image sensing device, and method for producing the same | |
| KR101775397B1 (en) | Dispersion composition, curable composition, transparent film, microlens and solid-state image sensing device using the same, method for manufacturing transparent film, method for manufacturing microlens and method for manufacturing solid-state image sensing device | |
| CN104640932B (en) | Dispersion composition, and curable composition, transparent film, microlens and solid-state imaging element using same, and polymer compound | |
| JP5852986B2 (en) | Radiation-sensitive composition, color filter, and method for producing color filter | |
| JP2015031857A (en) | Colored photosensitive resin composition, cured film, color filter, method for producing color filter, solid-state imaging device, and image display device | |
| WO2014007267A1 (en) | Microlens fabrication method | |
| JP5894944B2 (en) | Compound and dispersion composition | |
| WO2012153826A1 (en) | Dispersion composition, curable composition, composition, transparent film, microlens, solid-state image sensing device, method for manufacturing transparent film, method for manufacturing microlens and method for manufacturing solid-state image sensing device | |
| TW202007720A (en) | Photosensitive composition, infrared cut filter, solid-state imaging element | |
| KR101673363B1 (en) | Dispersion composition, curable composition, composition, transparent film, microlens, solid-state image sensing device, method for manufacturing transparent film, method for manufacturing microlens and method for manufacturing solid-state image sensing device | |
| TWI549977B (en) | Dispersion composition, curable composition, composition, transparent film, microlens, solid-state image sensing device, method for manufacturing transparent film, method for manufacturing microlens and method for manufacturing solid-state image sensing |
Legal Events
| Date | Code | Title | Description |
|---|---|---|---|
| PA0105 | International application |
Patent event date: 20131113 Patent event code: PA01051R01D Comment text: International Patent Application |
|
| AMND | Amendment | ||
| PG1501 | Laying open of application | ||
| A201 | Request for examination | ||
| AMND | Amendment | ||
| PA0201 | Request for examination |
Patent event code: PA02012R01D Patent event date: 20141105 Comment text: Request for Examination of Application |
|
| E902 | Notification of reason for refusal | ||
| PE0902 | Notice of grounds for rejection |
Comment text: Notification of reason for refusal Patent event date: 20160222 Patent event code: PE09021S01D |
|
| AMND | Amendment | ||
| E90F | Notification of reason for final refusal | ||
| PE0902 | Notice of grounds for rejection |
Comment text: Final Notice of Reason for Refusal Patent event date: 20160830 Patent event code: PE09021S02D |
|
| AMND | Amendment | ||
| E601 | Decision to refuse application | ||
| PE0601 | Decision on rejection of patent |
Patent event date: 20170529 Comment text: Decision to Refuse Application Patent event code: PE06012S01D Patent event date: 20160830 Comment text: Final Notice of Reason for Refusal Patent event code: PE06011S02I Patent event date: 20160222 Comment text: Notification of reason for refusal Patent event code: PE06011S01I |
|
| AMND | Amendment | ||
| PX0901 | Re-examination |
Patent event code: PX09011S01I Patent event date: 20170529 Comment text: Decision to Refuse Application Patent event code: PX09012R01I Patent event date: 20161031 Comment text: Amendment to Specification, etc. Patent event code: PX09012R01I Patent event date: 20160422 Comment text: Amendment to Specification, etc. Patent event code: PX09012R01I Patent event date: 20141105 Comment text: Amendment to Specification, etc. Patent event code: PX09012R01I Patent event date: 20131219 Comment text: Amendment to Specification, etc. |
|
| PX0701 | Decision of registration after re-examination |
Patent event date: 20170807 Comment text: Decision to Grant Registration Patent event code: PX07013S01D Patent event date: 20170629 Comment text: Amendment to Specification, etc. Patent event code: PX07012R01I Patent event date: 20170529 Comment text: Decision to Refuse Application Patent event code: PX07011S01I Patent event date: 20161031 Comment text: Amendment to Specification, etc. Patent event code: PX07012R01I Patent event date: 20160422 Comment text: Amendment to Specification, etc. Patent event code: PX07012R01I Patent event date: 20141105 Comment text: Amendment to Specification, etc. Patent event code: PX07012R01I Patent event date: 20131219 Comment text: Amendment to Specification, etc. Patent event code: PX07012R01I |
|
| X701 | Decision to grant (after re-examination) | ||
| PR0701 | Registration of establishment |
Comment text: Registration of Establishment Patent event date: 20170831 Patent event code: PR07011E01D |
|
| PR1002 | Payment of registration fee |
Payment date: 20170901 End annual number: 3 Start annual number: 1 |
|
| PG1601 | Publication of registration | ||
| PR1001 | Payment of annual fee |
Payment date: 20200821 Start annual number: 4 End annual number: 4 |
|
| PR1001 | Payment of annual fee |
Payment date: 20210823 Start annual number: 5 End annual number: 5 |
|
| PR1001 | Payment of annual fee |
Payment date: 20220728 Start annual number: 6 End annual number: 6 |
|
| PR1001 | Payment of annual fee |
Payment date: 20230727 Start annual number: 7 End annual number: 7 |
|
| PR1001 | Payment of annual fee |
Payment date: 20240731 Start annual number: 8 End annual number: 8 |








































































