KR20110133009A - Compound containing five-membered heterocyclic ring, organic electric device using same, and terminal thereof - Google Patents
Compound containing five-membered heterocyclic ring, organic electric device using same, and terminal thereof Download PDFInfo
- Publication number
- KR20110133009A KR20110133009A KR1020110111767A KR20110111767A KR20110133009A KR 20110133009 A KR20110133009 A KR 20110133009A KR 1020110111767 A KR1020110111767 A KR 1020110111767A KR 20110111767 A KR20110111767 A KR 20110111767A KR 20110133009 A KR20110133009 A KR 20110133009A
- Authority
- KR
- South Korea
- Prior art keywords
- unsubstituted
- substituted
- carbon atoms
- group
- groups
- Prior art date
- Legal status (The legal status is an assumption and is not a legal conclusion. Google has not performed a legal analysis and makes no representation as to the accuracy of the status listed.)
- Withdrawn
Links
- 150000001875 compounds Chemical class 0.000 title claims abstract description 79
- 125000000623 heterocyclic group Chemical group 0.000 title description 6
- 239000010410 layer Substances 0.000 claims description 111
- 239000000463 material Substances 0.000 claims description 74
- 125000004432 carbon atom Chemical group C* 0.000 claims description 51
- IJGRMHOSHXDMSA-UHFFFAOYSA-N Atomic nitrogen Chemical compound N#N IJGRMHOSHXDMSA-UHFFFAOYSA-N 0.000 claims description 44
- 238000000034 method Methods 0.000 claims description 24
- XUIMIQQOPSSXEZ-UHFFFAOYSA-N Silicon Chemical compound [Si] XUIMIQQOPSSXEZ-UHFFFAOYSA-N 0.000 claims description 23
- 229910052710 silicon Inorganic materials 0.000 claims description 23
- 239000010703 silicon Substances 0.000 claims description 23
- 229910052757 nitrogen Inorganic materials 0.000 claims description 22
- OAICVXFJPJFONN-UHFFFAOYSA-N Phosphorus Chemical compound [P] OAICVXFJPJFONN-UHFFFAOYSA-N 0.000 claims description 21
- NINIDFKCEFEMDL-UHFFFAOYSA-N Sulfur Chemical compound [S] NINIDFKCEFEMDL-UHFFFAOYSA-N 0.000 claims description 21
- QVGXLLKOCUKJST-UHFFFAOYSA-N atomic oxygen Chemical compound [O] QVGXLLKOCUKJST-UHFFFAOYSA-N 0.000 claims description 21
- 239000011368 organic material Substances 0.000 claims description 21
- 229910052760 oxygen Inorganic materials 0.000 claims description 21
- 239000001301 oxygen Substances 0.000 claims description 21
- 229910052698 phosphorus Inorganic materials 0.000 claims description 21
- 239000011574 phosphorus Substances 0.000 claims description 21
- 229910052717 sulfur Inorganic materials 0.000 claims description 21
- 239000011593 sulfur Substances 0.000 claims description 21
- 229910052799 carbon Inorganic materials 0.000 claims description 17
- OKTJSMMVPCPJKN-UHFFFAOYSA-N Carbon Chemical compound [C] OKTJSMMVPCPJKN-UHFFFAOYSA-N 0.000 claims description 16
- 230000008569 process Effects 0.000 claims description 16
- 125000003545 alkoxy group Chemical group 0.000 claims description 14
- 125000000217 alkyl group Chemical group 0.000 claims description 14
- 150000001491 aromatic compounds Chemical class 0.000 claims description 9
- 150000002391 heterocyclic compounds Chemical class 0.000 claims description 8
- 125000003342 alkenyl group Chemical group 0.000 claims description 7
- 125000003118 aryl group Chemical group 0.000 claims description 7
- 125000000732 arylene group Chemical group 0.000 claims description 7
- 125000004104 aryloxy group Chemical group 0.000 claims description 7
- 125000004093 cyano group Chemical group *C#N 0.000 claims description 7
- 125000005843 halogen group Chemical group 0.000 claims description 7
- 125000001072 heteroaryl group Chemical group 0.000 claims description 7
- 125000005553 heteroaryloxy group Chemical group 0.000 claims description 7
- 125000004435 hydrogen atom Chemical group [H]* 0.000 claims description 7
- 125000003396 thiol group Chemical group [H]S* 0.000 claims description 7
- 239000012044 organic layer Substances 0.000 claims description 4
- 229920006395 saturated elastomer Polymers 0.000 claims description 2
- 125000005842 heteroatom Chemical group 0.000 abstract description 15
- 238000002347 injection Methods 0.000 description 39
- 239000007924 injection Substances 0.000 description 39
- YXFVVABEGXRONW-UHFFFAOYSA-N Toluene Chemical compound CC1=CC=CC=C1 YXFVVABEGXRONW-UHFFFAOYSA-N 0.000 description 34
- 239000000126 substance Substances 0.000 description 22
- 230000005525 hole transport Effects 0.000 description 21
- 230000032258 transport Effects 0.000 description 21
- 238000006243 chemical reaction Methods 0.000 description 20
- 230000015572 biosynthetic process Effects 0.000 description 13
- VYPSYNLAJGMNEJ-UHFFFAOYSA-N silicon dioxide Inorganic materials O=[Si]=O VYPSYNLAJGMNEJ-UHFFFAOYSA-N 0.000 description 13
- 238000003786 synthesis reaction Methods 0.000 description 13
- CSCPPACGZOOCGX-UHFFFAOYSA-N Acetone Chemical compound CC(C)=O CSCPPACGZOOCGX-UHFFFAOYSA-N 0.000 description 12
- -1 silicon germanium oxide Compound Chemical class 0.000 description 11
- 239000002019 doping agent Substances 0.000 description 10
- 229910052751 metal Inorganic materials 0.000 description 10
- 239000002184 metal Substances 0.000 description 10
- 239000000543 intermediate Substances 0.000 description 9
- 239000003086 colorant Substances 0.000 description 8
- 239000007858 starting material Substances 0.000 description 8
- 230000000903 blocking effect Effects 0.000 description 6
- 238000001816 cooling Methods 0.000 description 6
- PQXKHYXIUOZZFA-UHFFFAOYSA-M lithium fluoride Chemical compound [Li+].[F-] PQXKHYXIUOZZFA-UHFFFAOYSA-M 0.000 description 6
- 229910002027 silica gel Inorganic materials 0.000 description 6
- 239000000741 silica gel Substances 0.000 description 6
- 229960001866 silicon dioxide Drugs 0.000 description 6
- 239000000758 substrate Substances 0.000 description 6
- 229910052782 aluminium Inorganic materials 0.000 description 5
- XAGFODPZIPBFFR-UHFFFAOYSA-N aluminium Chemical compound [Al] XAGFODPZIPBFFR-UHFFFAOYSA-N 0.000 description 5
- XLOMVQKBTHCTTD-UHFFFAOYSA-N Zinc monoxide Chemical compound [Zn]=O XLOMVQKBTHCTTD-UHFFFAOYSA-N 0.000 description 4
- 238000004519 manufacturing process Methods 0.000 description 4
- 238000002360 preparation method Methods 0.000 description 4
- 239000002904 solvent Substances 0.000 description 4
- XLYOFNOQVPJJNP-UHFFFAOYSA-N water Substances O XLYOFNOQVPJJNP-UHFFFAOYSA-N 0.000 description 4
- QGJOPFRUJISHPQ-UHFFFAOYSA-N Carbon disulfide Chemical compound S=C=S QGJOPFRUJISHPQ-UHFFFAOYSA-N 0.000 description 3
- 229910045601 alloy Inorganic materials 0.000 description 3
- 239000000956 alloy Substances 0.000 description 3
- 239000010405 anode material Substances 0.000 description 3
- 238000004440 column chromatography Methods 0.000 description 3
- 230000000052 comparative effect Effects 0.000 description 3
- 238000004770 highest occupied molecular orbital Methods 0.000 description 3
- RAXXELZNTBOGNW-UHFFFAOYSA-N imidazole Natural products C1=CNC=N1 RAXXELZNTBOGNW-UHFFFAOYSA-N 0.000 description 3
- VLKZOEOYAKHREP-UHFFFAOYSA-N n-Hexane Chemical compound CCCCCC VLKZOEOYAKHREP-UHFFFAOYSA-N 0.000 description 3
- 239000003960 organic solvent Substances 0.000 description 3
- 229920000642 polymer Polymers 0.000 description 3
- 239000011241 protective layer Substances 0.000 description 3
- 239000011701 zinc Substances 0.000 description 3
- RFFLAFLAYFXFSW-UHFFFAOYSA-N 1,2-dichlorobenzene Chemical compound ClC1=CC=CC=C1Cl RFFLAFLAYFXFSW-UHFFFAOYSA-N 0.000 description 2
- UHXOHPVVEHBKKT-UHFFFAOYSA-N 1-(2,2-diphenylethenyl)-4-[4-(2,2-diphenylethenyl)phenyl]benzene Chemical compound C=1C=C(C=2C=CC(C=C(C=3C=CC=CC=3)C=3C=CC=CC=3)=CC=2)C=CC=1C=C(C=1C=CC=CC=1)C1=CC=CC=C1 UHXOHPVVEHBKKT-UHFFFAOYSA-N 0.000 description 2
- QENGPZGAWFQWCZ-UHFFFAOYSA-N 3-Methylthiophene Chemical compound CC=1C=CSC=1 QENGPZGAWFQWCZ-UHFFFAOYSA-N 0.000 description 2
- 239000005725 8-Hydroxyquinoline Substances 0.000 description 2
- LFQSCWFLJHTTHZ-UHFFFAOYSA-N Ethanol Chemical compound CCO LFQSCWFLJHTTHZ-UHFFFAOYSA-N 0.000 description 2
- YTPLMLYBLZKORZ-UHFFFAOYSA-N Thiophene Chemical compound C=1C=CSC=1 YTPLMLYBLZKORZ-UHFFFAOYSA-N 0.000 description 2
- 229920001940 conductive polymer Polymers 0.000 description 2
- 230000007423 decrease Effects 0.000 description 2
- 238000011161 development Methods 0.000 description 2
- IYYZUPMFVPLQIF-UHFFFAOYSA-N dibenzothiophene Chemical compound C1=CC=C2C3=CC=CC=C3SC2=C1 IYYZUPMFVPLQIF-UHFFFAOYSA-N 0.000 description 2
- ZUOUZKKEUPVFJK-UHFFFAOYSA-N diphenyl Chemical group C1=CC=CC=C1C1=CC=CC=C1 ZUOUZKKEUPVFJK-UHFFFAOYSA-N 0.000 description 2
- 230000000694 effects Effects 0.000 description 2
- 230000005281 excited state Effects 0.000 description 2
- 239000011521 glass Substances 0.000 description 2
- 238000007641 inkjet printing Methods 0.000 description 2
- 239000000203 mixture Substances 0.000 description 2
- IBHBKWKFFTZAHE-UHFFFAOYSA-N n-[4-[4-(n-naphthalen-1-ylanilino)phenyl]phenyl]-n-phenylnaphthalen-1-amine Chemical group C1=CC=CC=C1N(C=1C2=CC=CC=C2C=CC=1)C1=CC=C(C=2C=CC(=CC=2)N(C=2C=CC=CC=2)C=2C3=CC=CC=C3C=CC=2)C=C1 IBHBKWKFFTZAHE-UHFFFAOYSA-N 0.000 description 2
- 229960003540 oxyquinoline Drugs 0.000 description 2
- 125000002080 perylenyl group Chemical group C1(=CC=C2C=CC=C3C4=CC=CC5=CC=CC(C1=C23)=C45)* 0.000 description 2
- CSHWQDPOILHKBI-UHFFFAOYSA-N peryrene Natural products C1=CC(C2=CC=CC=3C2=C2C=CC=3)=C3C2=CC=CC3=C1 CSHWQDPOILHKBI-UHFFFAOYSA-N 0.000 description 2
- 238000005240 physical vapour deposition Methods 0.000 description 2
- 239000002985 plastic film Substances 0.000 description 2
- 229920000553 poly(phenylenevinylene) Polymers 0.000 description 2
- 229920000767 polyaniline Polymers 0.000 description 2
- MCJGNVYPOGVAJF-UHFFFAOYSA-N quinolin-8-ol Chemical compound C1=CN=C2C(O)=CC=CC2=C1 MCJGNVYPOGVAJF-UHFFFAOYSA-N 0.000 description 2
- 238000004528 spin coating Methods 0.000 description 2
- IATRAKWUXMZMIY-UHFFFAOYSA-N strontium oxide Chemical compound [O-2].[Sr+2] IATRAKWUXMZMIY-UHFFFAOYSA-N 0.000 description 2
- TVIVIEFSHFOWTE-UHFFFAOYSA-K tri(quinolin-8-yloxy)alumane Chemical compound [Al+3].C1=CN=C2C([O-])=CC=CC2=C1.C1=CN=C2C([O-])=CC=CC2=C1.C1=CN=C2C([O-])=CC=CC2=C1 TVIVIEFSHFOWTE-UHFFFAOYSA-K 0.000 description 2
- RIOQSEWOXXDEQQ-UHFFFAOYSA-N triphenylphosphine Chemical compound C1=CC=CC=C1P(C=1C=CC=CC=1)C1=CC=CC=C1 RIOQSEWOXXDEQQ-UHFFFAOYSA-N 0.000 description 2
- 239000011787 zinc oxide Substances 0.000 description 2
- NHEKBOACSUDJKR-UHFFFAOYSA-N 1,2-bis(2,4,4-triphenylbuta-1,3-dienyl)benzene Chemical class C1(=CC=CC=C1)C(=CC(=CC1=C(C=CC=C1)C=C(C=C(C1=CC=CC=C1)C1=CC=CC=C1)C1=CC=CC=C1)C1=CC=CC=C1)C1=CC=CC=C1 NHEKBOACSUDJKR-UHFFFAOYSA-N 0.000 description 1
- PKJBWOWQJHHAHG-UHFFFAOYSA-N 1-bromo-4-phenylbenzene Chemical group C1=CC(Br)=CC=C1C1=CC=CC=C1 PKJBWOWQJHHAHG-UHFFFAOYSA-N 0.000 description 1
- HIXDQWDOVZUNNA-UHFFFAOYSA-N 2-(3,4-dimethoxyphenyl)-5-hydroxy-7-methoxychromen-4-one Chemical compound C=1C(OC)=CC(O)=C(C(C=2)=O)C=1OC=2C1=CC=C(OC)C(OC)=C1 HIXDQWDOVZUNNA-UHFFFAOYSA-N 0.000 description 1
- QLYUAISAKGDXCW-UHFFFAOYSA-N 2-(4-bromophenyl)-4,6-diphenylpyrimidine Chemical compound C1=CC(Br)=CC=C1C1=NC(C=2C=CC=CC=2)=CC(C=2C=CC=CC=2)=N1 QLYUAISAKGDXCW-UHFFFAOYSA-N 0.000 description 1
- GEQBRULPNIVQPP-UHFFFAOYSA-N 2-[3,5-bis(1-phenylbenzimidazol-2-yl)phenyl]-1-phenylbenzimidazole Chemical compound C1=CC=CC=C1N1C2=CC=CC=C2N=C1C1=CC(C=2N(C3=CC=CC=C3N=2)C=2C=CC=CC=2)=CC(C=2N(C3=CC=CC=C3N=2)C=2C=CC=CC=2)=C1 GEQBRULPNIVQPP-UHFFFAOYSA-N 0.000 description 1
- PTPGZCQGDXUUAH-UHFFFAOYSA-N 2-bromo-4,6-diphenyl-1,3,5-triazine Chemical compound N=1C(Br)=NC(C=2C=CC=CC=2)=NC=1C1=CC=CC=C1 PTPGZCQGDXUUAH-UHFFFAOYSA-N 0.000 description 1
- APSMUYYLXZULMS-UHFFFAOYSA-N 2-bromonaphthalene Chemical compound C1=CC=CC2=CC(Br)=CC=C21 APSMUYYLXZULMS-UHFFFAOYSA-N 0.000 description 1
- DMEVMYSQZPJFOK-UHFFFAOYSA-N 3,4,5,6,9,10-hexazatetracyclo[12.4.0.02,7.08,13]octadeca-1(18),2(7),3,5,8(13),9,11,14,16-nonaene Chemical group N1=NN=C2C3=CC=CC=C3C3=CC=NN=C3C2=N1 DMEVMYSQZPJFOK-UHFFFAOYSA-N 0.000 description 1
- HXWWMGJBPGRWRS-CMDGGOBGSA-N 4- -2-tert-butyl-6- -4h-pyran Chemical compound O1C(C(C)(C)C)=CC(=C(C#N)C#N)C=C1\C=C\C1=CC(C(CCN2CCC3(C)C)(C)C)=C2C3=C1 HXWWMGJBPGRWRS-CMDGGOBGSA-N 0.000 description 1
- GWKGPQCKIBRXGW-UHFFFAOYSA-N 5-bromo-1,10-phenanthroline Chemical compound C1=CC=C2C(Br)=CC3=CC=CN=C3C2=N1 GWKGPQCKIBRXGW-UHFFFAOYSA-N 0.000 description 1
- PLAZXGNBGZYJSA-UHFFFAOYSA-N 9-ethylcarbazole Chemical compound C1=CC=C2N(CC)C3=CC=CC=C3C2=C1 PLAZXGNBGZYJSA-UHFFFAOYSA-N 0.000 description 1
- WKBOTKDWSSQWDR-UHFFFAOYSA-N Bromine atom Chemical compound [Br] WKBOTKDWSSQWDR-UHFFFAOYSA-N 0.000 description 1
- ITHJVESPIWLLBQ-UHFFFAOYSA-N C1(=CC=CC=C1)C(=CC1=C(C=CC=C1)C=1C2=CC=CC=C2C(=C2C=CC=CC=12)C1=C(C=CC=C1)C=C(C1=CC=CC=C1)C1=CC=CC=C1)C1=CC=CC=C1 Chemical compound C1(=CC=CC=C1)C(=CC1=C(C=CC=C1)C=1C2=CC=CC=C2C(=C2C=CC=CC=12)C1=C(C=CC=C1)C=C(C1=CC=CC=C1)C1=CC=CC=C1)C1=CC=CC=C1 ITHJVESPIWLLBQ-UHFFFAOYSA-N 0.000 description 1
- OYPRJOBELJOOCE-UHFFFAOYSA-N Calcium Chemical compound [Ca] OYPRJOBELJOOCE-UHFFFAOYSA-N 0.000 description 1
- VYZAMTAEIAYCRO-UHFFFAOYSA-N Chromium Chemical compound [Cr] VYZAMTAEIAYCRO-UHFFFAOYSA-N 0.000 description 1
- RYGMFSIKBFXOCR-UHFFFAOYSA-N Copper Chemical compound [Cu] RYGMFSIKBFXOCR-UHFFFAOYSA-N 0.000 description 1
- DGAQECJNVWCQMB-PUAWFVPOSA-M Ilexoside XXIX Chemical compound C[C@@H]1CC[C@@]2(CC[C@@]3(C(=CC[C@H]4[C@]3(CC[C@@H]5[C@@]4(CC[C@@H](C5(C)C)OS(=O)(=O)[O-])C)C)[C@@H]2[C@]1(C)O)C)C(=O)O[C@H]6[C@@H]([C@H]([C@@H]([C@H](O6)CO)O)O)O.[Na+] DGAQECJNVWCQMB-PUAWFVPOSA-M 0.000 description 1
- WHXSMMKQMYFTQS-UHFFFAOYSA-N Lithium Chemical compound [Li] WHXSMMKQMYFTQS-UHFFFAOYSA-N 0.000 description 1
- FYYHWMGAXLPEAU-UHFFFAOYSA-N Magnesium Chemical compound [Mg] FYYHWMGAXLPEAU-UHFFFAOYSA-N 0.000 description 1
- ZCQWOFVYLHDMMC-UHFFFAOYSA-N Oxazole Chemical compound C1=COC=N1 ZCQWOFVYLHDMMC-UHFFFAOYSA-N 0.000 description 1
- NRCMAYZCPIVABH-UHFFFAOYSA-N Quinacridone Chemical compound N1C2=CC=CC=C2C(=O)C2=C1C=C1C(=O)C3=CC=CC=C3NC1=C2 NRCMAYZCPIVABH-UHFFFAOYSA-N 0.000 description 1
- BQCADISMDOOEFD-UHFFFAOYSA-N Silver Chemical compound [Ag] BQCADISMDOOEFD-UHFFFAOYSA-N 0.000 description 1
- 229910006404 SnO 2 Inorganic materials 0.000 description 1
- FZWLAAWBMGSTSO-UHFFFAOYSA-N Thiazole Chemical compound C1=CSC=N1 FZWLAAWBMGSTSO-UHFFFAOYSA-N 0.000 description 1
- ATJFFYVFTNAWJD-UHFFFAOYSA-N Tin Chemical compound [Sn] ATJFFYVFTNAWJD-UHFFFAOYSA-N 0.000 description 1
- HCHKCACWOHOZIP-UHFFFAOYSA-N Zinc Chemical compound [Zn] HCHKCACWOHOZIP-UHFFFAOYSA-N 0.000 description 1
- 229910001508 alkali metal halide Inorganic materials 0.000 description 1
- 150000008045 alkali metal halides Chemical class 0.000 description 1
- PYKYMHQGRFAEBM-UHFFFAOYSA-N anthraquinone Natural products CCC(=O)c1c(O)c2C(=O)C3C(C=CC=C3O)C(=O)c2cc1CC(=O)OC PYKYMHQGRFAEBM-UHFFFAOYSA-N 0.000 description 1
- 150000004056 anthraquinones Chemical class 0.000 description 1
- 239000007864 aqueous solution Substances 0.000 description 1
- 150000004982 aromatic amines Chemical class 0.000 description 1
- PPYIVKOTTQCYIV-UHFFFAOYSA-L beryllium;selenate Chemical compound [Be+2].[O-][Se]([O-])(=O)=O PPYIVKOTTQCYIV-UHFFFAOYSA-L 0.000 description 1
- 235000010290 biphenyl Nutrition 0.000 description 1
- UFVXQDWNSAGPHN-UHFFFAOYSA-K bis[(2-methylquinolin-8-yl)oxy]-(4-phenylphenoxy)alumane Chemical compound [Al+3].C1=CC=C([O-])C2=NC(C)=CC=C21.C1=CC=C([O-])C2=NC(C)=CC=C21.C1=CC([O-])=CC=C1C1=CC=CC=C1 UFVXQDWNSAGPHN-UHFFFAOYSA-K 0.000 description 1
- 229910052796 boron Inorganic materials 0.000 description 1
- 150000001639 boron compounds Chemical class 0.000 description 1
- GDTBXPJZTBHREO-UHFFFAOYSA-N bromine Substances BrBr GDTBXPJZTBHREO-UHFFFAOYSA-N 0.000 description 1
- 229910052794 bromium Inorganic materials 0.000 description 1
- 229910052791 calcium Inorganic materials 0.000 description 1
- 239000011575 calcium Substances 0.000 description 1
- 239000010406 cathode material Substances 0.000 description 1
- 229910052804 chromium Inorganic materials 0.000 description 1
- 239000011651 chromium Substances 0.000 description 1
- 239000011248 coating agent Substances 0.000 description 1
- 238000000576 coating method Methods 0.000 description 1
- 238000004891 communication Methods 0.000 description 1
- 238000007796 conventional method Methods 0.000 description 1
- 150000004696 coordination complex Chemical class 0.000 description 1
- 229910052802 copper Inorganic materials 0.000 description 1
- 239000010949 copper Substances 0.000 description 1
- XCJYREBRNVKWGJ-UHFFFAOYSA-N copper(II) phthalocyanine Chemical compound [Cu+2].C12=CC=CC=C2C(N=C2[N-]C(C3=CC=CC=C32)=N2)=NC1=NC([C]1C=CC=CC1=1)=NC=1N=C1[C]3C=CC=CC3=C2[N-]1 XCJYREBRNVKWGJ-UHFFFAOYSA-N 0.000 description 1
- 238000000151 deposition Methods 0.000 description 1
- 238000003618 dip coating Methods 0.000 description 1
- 238000004821 distillation Methods 0.000 description 1
- 230000005684 electric field Effects 0.000 description 1
- 238000005516 engineering process Methods 0.000 description 1
- RTZKZFJDLAIYFH-UHFFFAOYSA-N ether Substances CCOCC RTZKZFJDLAIYFH-UHFFFAOYSA-N 0.000 description 1
- 238000011156 evaluation Methods 0.000 description 1
- 238000001704 evaporation Methods 0.000 description 1
- 230000008020 evaporation Effects 0.000 description 1
- 230000009477 glass transition Effects 0.000 description 1
- PCHJSUWPFVWCPO-UHFFFAOYSA-N gold Chemical compound [Au] PCHJSUWPFVWCPO-UHFFFAOYSA-N 0.000 description 1
- 229910052737 gold Inorganic materials 0.000 description 1
- 239000010931 gold Substances 0.000 description 1
- RBTKNAXYKSUFRK-UHFFFAOYSA-N heliogen blue Chemical compound [Cu].[N-]1C2=C(C=CC=C3)C3=C1N=C([N-]1)C3=CC=CC=C3C1=NC([N-]1)=C(C=CC=C3)C3=C1N=C([N-]1)C3=CC=CC=C3C1=N2 RBTKNAXYKSUFRK-UHFFFAOYSA-N 0.000 description 1
- 125000002883 imidazolyl group Chemical group 0.000 description 1
- 229910052738 indium Inorganic materials 0.000 description 1
- APFVFJFRJDLVQX-UHFFFAOYSA-N indium atom Chemical compound [In] APFVFJFRJDLVQX-UHFFFAOYSA-N 0.000 description 1
- 229910003437 indium oxide Inorganic materials 0.000 description 1
- PJXISJQVUVHSOJ-UHFFFAOYSA-N indium(iii) oxide Chemical compound [O-2].[O-2].[O-2].[In+3].[In+3] PJXISJQVUVHSOJ-UHFFFAOYSA-N 0.000 description 1
- AMGQUBHHOARCQH-UHFFFAOYSA-N indium;oxotin Chemical compound [In].[Sn]=O AMGQUBHHOARCQH-UHFFFAOYSA-N 0.000 description 1
- 230000009878 intermolecular interaction Effects 0.000 description 1
- UEEXRMUCXBPYOV-UHFFFAOYSA-N iridium;2-phenylpyridine Chemical compound [Ir].C1=CC=CC=C1C1=CC=CC=N1.C1=CC=CC=C1C1=CC=CC=N1.C1=CC=CC=C1C1=CC=CC=N1 UEEXRMUCXBPYOV-UHFFFAOYSA-N 0.000 description 1
- 229910052744 lithium Inorganic materials 0.000 description 1
- DLEDOFVPSDKWEF-UHFFFAOYSA-N lithium butane Chemical compound [Li+].CCC[CH2-] DLEDOFVPSDKWEF-UHFFFAOYSA-N 0.000 description 1
- FUJCRWPEOMXPAD-UHFFFAOYSA-N lithium oxide Chemical compound [Li+].[Li+].[O-2] FUJCRWPEOMXPAD-UHFFFAOYSA-N 0.000 description 1
- 229910001947 lithium oxide Inorganic materials 0.000 description 1
- 229910003002 lithium salt Inorganic materials 0.000 description 1
- 229910052749 magnesium Inorganic materials 0.000 description 1
- 239000011777 magnesium Substances 0.000 description 1
- 239000012528 membrane Substances 0.000 description 1
- 229910044991 metal oxide Inorganic materials 0.000 description 1
- 150000004706 metal oxides Chemical class 0.000 description 1
- 150000002739 metals Chemical class 0.000 description 1
- 238000010295 mobile communication Methods 0.000 description 1
- MZRVEZGGRBJDDB-UHFFFAOYSA-N n-Butyllithium Substances [Li]CCCC MZRVEZGGRBJDDB-UHFFFAOYSA-N 0.000 description 1
- 229910052763 palladium Inorganic materials 0.000 description 1
- 229920006255 plastic film Polymers 0.000 description 1
- 229920002098 polyfluorene Polymers 0.000 description 1
- 239000002861 polymer material Substances 0.000 description 1
- 229920000128 polypyrrole Polymers 0.000 description 1
- 229920000123 polythiophene Polymers 0.000 description 1
- 239000007774 positive electrode material Substances 0.000 description 1
- 239000010453 quartz Substances 0.000 description 1
- 239000000376 reactant Substances 0.000 description 1
- 230000006798 recombination Effects 0.000 description 1
- 238000005215 recombination Methods 0.000 description 1
- 230000027756 respiratory electron transport chain Effects 0.000 description 1
- 238000007650 screen-printing Methods 0.000 description 1
- 229910052709 silver Inorganic materials 0.000 description 1
- 239000004332 silver Substances 0.000 description 1
- 239000002356 single layer Substances 0.000 description 1
- 229910052708 sodium Inorganic materials 0.000 description 1
- 239000011734 sodium Substances 0.000 description 1
- 125000003003 spiro group Chemical group 0.000 description 1
- 238000004544 sputter deposition Methods 0.000 description 1
- 238000003756 stirring Methods 0.000 description 1
- 238000010345 tape casting Methods 0.000 description 1
- 125000000999 tert-butyl group Chemical group [H]C([H])([H])C(*)(C([H])([H])[H])C([H])([H])[H] 0.000 description 1
- 238000012360 testing method Methods 0.000 description 1
- 229930192474 thiophene Natural products 0.000 description 1
- 229910052718 tin Inorganic materials 0.000 description 1
- 238000012546 transfer Methods 0.000 description 1
- WRECIMRULFAWHA-UHFFFAOYSA-N trimethyl borate Chemical compound COB(OC)OC WRECIMRULFAWHA-UHFFFAOYSA-N 0.000 description 1
- 229910052720 vanadium Inorganic materials 0.000 description 1
- GPPXJZIENCGNKB-UHFFFAOYSA-N vanadium Chemical compound [V]#[V] GPPXJZIENCGNKB-UHFFFAOYSA-N 0.000 description 1
- 125000000391 vinyl group Chemical group [H]C([*])=C([H])[H] 0.000 description 1
- 229910052725 zinc Inorganic materials 0.000 description 1
- YVTHLONGBIQYBO-UHFFFAOYSA-N zinc indium(3+) oxygen(2-) Chemical compound [O--].[Zn++].[In+3] YVTHLONGBIQYBO-UHFFFAOYSA-N 0.000 description 1
Images
Classifications
-
- H—ELECTRICITY
- H10—SEMICONDUCTOR DEVICES; ELECTRIC SOLID-STATE DEVICES NOT OTHERWISE PROVIDED FOR
- H10K—ORGANIC ELECTRIC SOLID-STATE DEVICES
- H10K85/00—Organic materials used in the body or electrodes of devices covered by this subclass
- H10K85/60—Organic compounds having low molecular weight
- H10K85/649—Aromatic compounds comprising a hetero atom
- H10K85/657—Polycyclic condensed heteroaromatic hydrocarbons
-
- H—ELECTRICITY
- H05—ELECTRIC TECHNIQUES NOT OTHERWISE PROVIDED FOR
- H05B—ELECTRIC HEATING; ELECTRIC LIGHT SOURCES NOT OTHERWISE PROVIDED FOR; CIRCUIT ARRANGEMENTS FOR ELECTRIC LIGHT SOURCES, IN GENERAL
- H05B33/00—Electroluminescent light sources
- H05B33/12—Light sources with substantially two-dimensional radiating surfaces
- H05B33/14—Light sources with substantially two-dimensional radiating surfaces characterised by the chemical or physical composition or the arrangement of the electroluminescent material, or by the simultaneous addition of the electroluminescent material in or onto the light source
-
- H—ELECTRICITY
- H10—SEMICONDUCTOR DEVICES; ELECTRIC SOLID-STATE DEVICES NOT OTHERWISE PROVIDED FOR
- H10K—ORGANIC ELECTRIC SOLID-STATE DEVICES
- H10K50/00—Organic light-emitting devices
- H10K50/10—OLEDs or polymer light-emitting diodes [PLED]
- H10K50/11—OLEDs or polymer light-emitting diodes [PLED] characterised by the electroluminescent [EL] layers
-
- Y—GENERAL TAGGING OF NEW TECHNOLOGICAL DEVELOPMENTS; GENERAL TAGGING OF CROSS-SECTIONAL TECHNOLOGIES SPANNING OVER SEVERAL SECTIONS OF THE IPC; TECHNICAL SUBJECTS COVERED BY FORMER USPC CROSS-REFERENCE ART COLLECTIONS [XRACs] AND DIGESTS
- Y02—TECHNOLOGIES OR APPLICATIONS FOR MITIGATION OR ADAPTATION AGAINST CLIMATE CHANGE
- Y02E—REDUCTION OF GREENHOUSE GAS [GHG] EMISSIONS, RELATED TO ENERGY GENERATION, TRANSMISSION OR DISTRIBUTION
- Y02E10/00—Energy generation through renewable energy sources
- Y02E10/50—Photovoltaic [PV] energy
- Y02E10/549—Organic PV cells
Landscapes
- Physics & Mathematics (AREA)
- Optics & Photonics (AREA)
- Spectroscopy & Molecular Physics (AREA)
- Chemical & Material Sciences (AREA)
- Engineering & Computer Science (AREA)
- Materials Engineering (AREA)
- Electroluminescent Light Sources (AREA)
Abstract
본 발명은 오원자 헤테로 고리를 포함하는 화합물 및 이를 이용한 유기전기소자, 그 단말을 제공한다.The present invention provides a compound containing an five-membered hetero ring, an organic electric device using the same, and a terminal thereof.
Description
본 발명은 오원자 헤테로 고리를 포함하는 화합물 및 이를 이용한 유기전기소자, 그 단말에 관한 것이다. The present invention relates to a compound comprising a five-membered hetero ring, an organic electric device using the same, and a terminal thereof.
일반적으로 유기 발광 현상이란 유기 물질을 이용하여 전기에너지를 빛에너지로 전환시켜주는 현상을 말한다. 유기 발광 현상을 이용하는 유기전기소자는 통상 양극과 음극 및 이 사이에 유기물층을 포함하는 구조를 가진다. 여기서 유기물층은 유기전기소자의 효율과 안정성을 높이기 위하여 각기 다른 물질로 구성된 다층의 구조로 이루어진 경우가 많으며, 예컨대 정공주입층, 정공수송층, 발광층, 전자수송층 및 전자주입층 등으로 이루어질 수 있다.In general, organic light emission phenomenon refers to a phenomenon in which an organic material is used to convert electric energy into light energy. An organic electric device using an organic light emitting phenomenon generally has a structure including an anode, an anode, and an organic material layer therebetween. In this case, the organic material layer is often formed of a multi-layered structure composed of different materials in order to increase the efficiency and stability of the organic electric device, for example, it may be made of a hole injection layer, a hole transport layer, a light emitting layer, an electron transport layer and an electron injection layer.
유기전기소자에서 유기물층으로 사용되는 재료는 기능에 따라, 발광 재료와 전하 수송 재료, 예컨대 정공주입 재료, 정공수송 재료, 전자수송 재료, 전자주입 재료 등으로 분류될 수 있다. 그리고, 상기 발광 재료는 분자량에 따라 고분자형과 저분자형으로 분류될 수 있고, 발광 메커니즘에 따라 전자의 일중항 여기상태로부터 유래되는 형광 재료와 전자의 삼중항 여기상태로부터 유래되는 인광 재료로 분류될 수 있다. 또한, 발광 재료는 발광색에 따라 청색, 녹색, 적색 발광 재료와 보다 나은 천연색을 구현하기 위해 필요한 노란색 및 주황색 발광 재료로 구분될 수 있다.Materials used as the organic material layer in the organic electric element may be classified into light emitting materials and charge transport materials, such as hole injection materials, hole transport materials, electron transport materials, electron injection materials, and the like, depending on their functions. The light emitting material may be classified into a polymer type and a low molecular type depending on the molecular weight, and may be classified into a phosphorescent material derived from singlet excited state of electrons and a phosphorescent material derived from the triplet excited state of electrons . In addition, the light emitting material may be classified into blue, green, and red light emitting materials and yellow and orange light emitting materials required to achieve a better natural color according to the light emitting color.
한편, 발광 재료로서 하나의 물질만 사용하는 경우 분자간 상호 작용에 의하여 최대 발광 파장이 장파장으로 이동하고 색순도가 떨어지거나 발광 감쇄 효과로 소자의 효율이 감소되는 문제가 발생하므로, 색순도의 증가와 에너지 전이를 통한 발광 효율을 증가시키기 위하여 발광 재료로서 호스트/도판트 계를 사용할 수 있다. 그 원리는 발광층을 형성하는 호스트 보다 에너지 대역 간극이 작은 도판트를 발광층에 소량 혼합하면, 발광층에서 발생한 엑시톤이 도판트로 수송되어 효율이 높은 빛을 내는 것이다. 이 때 호스트의 파장이 도판트의 파장대로 이동하므로, 이용하는 도판트의 종류에 따라 원하는 파장의 빛을 얻을 수 있다.On the other hand, when only one material is used as a light emitting material, there arises a problem that the maximum light emission wavelength shifts to a long wavelength due to intermolecular interaction, the color purity decreases, or the efficiency of the device decreases due to the light emission attenuating effect. A host / dopant system may be used as the light emitting material in order to increase the light emitting efficiency through the light emitting layer. The principle is that when a small amount of dopant having an energy band gap smaller than that of a host forming the light emitting layer is mixed in the light emitting layer, excitons generated in the light emitting layer are transported to the dopant, thereby producing high-efficiency light. At this time, since the wavelength of the host is shifted to the wavelength band of the dopant, the desired wavelength light can be obtained depending on the type of the dopant used.
전술한 유기전기소자가 갖는 우수한 특징들을 충분히 발휘하기 위해서는 소자내 유기물층을 이루는 물질, 예컨대 정공주입 물질, 정공수송 물질, 발광 물질, 전자수송 물질, 전자주입 물질 등이 안정하고 효율적인 재료에 의하여 뒷받침되는 것이 선행되어야 하나, 아직까지 안정하고 효율적인 유기전기소자용 유기물층 재료의 개발이 충분히 이루어지지 않은 상태이며, 따라서 새로운 재료의 개발이 계속 요구되고 있다.In order to fully exhibit the excellent characteristics of the above-described organic electroluminescent device, a material forming the organic material layer in the device, such as a hole injection material, a hole transport material, a light emitting material, an electron transport material, an electron injection material, etc., is supported by a stable and efficient material. Although this should be preceded, the development of a stable and efficient organic material layer for an organic electric element has not yet been made sufficiently, and therefore, the development of new materials is continuously required.
본 발명자들은 신규한 구조를 갖는 2개 이상의 오원자 헤테로 고리를 포함하는 화합물을 밝혀내었으며, 또한 이 화합물을 유기전기소자에 적용시 소자의 발광효율, 안정성 및 수명을 크게 향상시킬 수 있다는 사실을 밝혀내었다.The present inventors have found a compound comprising two or more five-membered heterocycles having a novel structure, and the application of the compound to organic electroluminescent devices can significantly improve the luminous efficiency, stability and lifetime of the device. Revealed.
이에 본 발명은 신규한 오원자 헤테로 고리를 포함하는 화합물 및 이를 이용한 유기전기소자, 그 단말을 제공하는 것을 목적으로 한다.Accordingly, an object of the present invention is to provide a compound containing a novel five-membered hetero ring, an organic electric device using the same, and a terminal thereof.
일측면에서, 본 발명은 아래 화학식의 화합물을 제공한다.In one aspect, the present invention provides a compound of the formula
본 발명은 2개 이상의 오원자 헤테로 고리를 포함하는 화합물에 따라서 적색, 녹색, 청색, 흰색 등의 모든 칼라의 형광과 인광소자에 적합한 정공주입 재료, 정공수송 재료, 발광 재료 및/또는 전자수송 재료로 유용하며, 다양한 색의 인광 도판트의 호스트 물질로 유용하다.The present invention provides hole injection materials, hole transport materials, light emitting materials and / or electron transport materials suitable for fluorescence and phosphorescent devices of all colors, such as red, green, blue, white, etc., depending on the compound comprising two or more five-membered hetero rings. It is useful as a host material for phosphorescent dopants of various colors.
또한, 본 발명은 상기의 화학식을 가지는 화합물을 이용한 유기 전자 소자 및 이 유기 전자 소자를 포함하는 단말을 제공한다.The present invention also provides an organic electronic device using the compound having the above formula and a terminal including the organic electronic device.
2개 이상의 오원자 헤테로 고리를 포함하는 화합물은 유기전기소자 및 단말에서 다양한 역할을 할 수 있으며, 적색, 녹색, 청색, 흰색 등의 모든 칼라의 형광과 인광소자에 적합한 정공주입 재료, 정공수송 재료, 발광 재료 및/또는 전자수송 재료로 유용하며, 다양한 색의 인광 도판트의 호스트 물질로 유용하다.Compounds containing two or more five-membered heterocycles can play various roles in organic electronic devices and terminals, and are suitable for injection and hole transport materials suitable for fluorescent and phosphorescent devices of all colors such as red, green, blue, and white. It is useful as a light emitting material and / or an electron transporting material, and as a host material of phosphorescent dopants of various colors.
도 1 내지 도 6은 본 발명의 화합물을 적용할 수 있는 유기전계발광소자의 예를 도시한 것이다.1 to 6 show examples of the organic light emitting display device to which the compound of the present invention can be applied.
이하, 본 발명의 일부 실시예들을 예시적인 도면을 통해 상세하게 설명한다. 각 도면의 구성요소들에 참조부호를 부가함에 있어서, 동일한 구성요소들에 대해서는 비록 다른 도면상에 표시되더라도 가능한 한 동일한 부호를 가지도록 하고 있음에 유의해야 한다. 또한, 본 발명을 설명함에 있어, 관련된 공지 구성 또는 기능에 대한 구체적인 설명이 본 발명의 요지를 흐릴 수 있다고 판단되는 경우에는 그 상세한 설명은 생략한다.Hereinafter, some embodiments of the present invention will be described in detail through exemplary drawings. In adding reference numerals to the components of each drawing, it should be noted that the same reference numerals are assigned to the same components as much as possible even though they are shown in different drawings. In the following description of the present invention, a detailed description of known functions and configurations incorporated herein will be omitted when it may make the subject matter of the present invention rather unclear.
또한, 본 발명의 구성 요소를 설명하는 데 있어서, 제 1, 제 2, A, B, (a), (b) 등의 용어를 사용할 수 있다. 이러한 용어는 그 구성 요소를 다른 구성 요소와 구별하기 위한 것일 뿐, 그 용어에 의해 해당 구성 요소의 본질이나 차례 또는 순서 등이 한정되지 않는다. 어떤 구성 요소가 다른 구성요소에 "연결", "결합" 또는 "접속"된다고 기재된 경우, 그 구성 요소는 그 다른 구성요소에 직접적으로 연결되거나 또는 접속될 수 있지만, 각 구성 요소 사이에 또 다른 구성 요소가 "연결", "결합" 또는 "접속"될 수도 있다고 이해되어야 할 것이다.
In describing the components of the present invention, terms such as first, second, A, B, (a), and (b) may be used. These terms are only for distinguishing the components from other components, and the nature, order or order of the components are not limited by the terms. If a component is described as being "connected", "coupled" or "connected" to another component, that component may be directly connected to or connected to that other component, but there may be another configuration between each component. It should be understood that the elements may be "connected", "coupled" or "connected".
일측면에서, 본 발명은 아래 화학식 1의 화합물을 제공한다.
In one aspect, the present invention provides a compound of Formula 1 below.
위 화학식 1에 있어서, In Chemical Formula 1,
(1) R1, R2, R3, R4, R5, R6, R7, R8, R9 및 R10은 각각 서로 독립적으로 수소 원자, 할로겐 원자, 시아노기, 알콕시기, 티올기, 치환 또는 비치환된 탄소수 1 내지 50의 알킬기, 치환 또는 비치환된 탄소수 1 내지 50의 알콕시기, 치환 또는 비치환의 탄소수 1 내지 50의 알케닐기, 치환 또는 비치환의 탄소수 5 내지 60의 아릴렌기, 치환 또는 비치환된 탄소수 5 내지 60의 아릴기, 치환 또는 비치환된 탄소수 5 내지 60의 아릴옥시기, 황(S), 질소(N), 산소(O), 인(P) 및 규소(Si)를 적어도 하나 이상 포함하는 치환 또는 비치환된 탄소수 1 내지 50의 알킬기 또는 황(S), 질소(N), 산소(O), 인(P) 및 규소(Si)를 적어도 하나 이상 포함하는 치환 또는 비치환된 탄소수 5 내지 60의 헤테로아릴기 또는 황(S), 질소(N), 산소(O), 인(P) 및 규소(Si)를 적어도 하나 이상 포함하는 치환 또는 비치환된 탄소수 5 내지 60의 헤테로아릴옥시기이다.(1) R 1 , R 2 , R 3 , R 4 , R 5 , R 6 , R 7 , R 8 , R 9 and R 10 are each independently a hydrogen atom, a halogen atom, a cyano group, an alkoxy group, a thiol Groups, substituted or unsubstituted C1-C50 alkyl groups, substituted or unsubstituted C1-C50 alkoxy groups, substituted or unsubstituted C1-C50 alkenyl groups, substituted or unsubstituted C5-C60 arylene groups , Substituted or unsubstituted aryl group having 5 to 60 carbon atoms, substituted or unsubstituted aryloxy group having 5 to 60 carbon atoms, sulfur (S), nitrogen (N), oxygen (O), phosphorus (P) and silicon ( At least one substituted or unsubstituted alkyl group having 1 to 50 carbon atoms or at least one of sulfur (S), nitrogen (N), oxygen (O), phosphorus (P) and silicon (Si) Substituted or unsubstituted heteroaryl group having 5 to 60 carbon atoms or at least one containing sulfur (S), nitrogen (N), oxygen (O), phosphorus (P) and silicon (Si) or It is an unsubstituted heteroaryloxy group having 5 to 60 carbon atoms.
(2) R1과 R2, R2와 R3, R3와 R4, R5와 R6, R6와 R7, R7과 R8 및 R9과 R10은 인접한 기와 결합하여 포화 또는 불포화고리를 형성 할 수 있다.(2) R 1 and R 2 , R 2 and R 3 , R 3 and R 4 , R 5 and R 6 , R 6 and R 7 , R 7 and R 8 and R 9 and R 10 combine with adjacent groups to form a saturated or unsaturated It can form a ring.
(3) Ar은 탄소(C)로 이루어진 탄소수 6 내지 60의 방향족화합물로 치환 또는 비치환될 수 있다.(3) Ar may be substituted or unsubstituted with an aromatic compound having 6 to 60 carbon atoms made of carbon (C).
(4) 상기 구조식을 가지는 화합물은 용액 공정(soluble process)에 사용될 수 있다.
(4) The compound having the above structural formula can be used in a soluble process.
다른 측면에서, 본 발명은 아래 화학식 2의 화합물을 제공한다. In another aspect, the present invention provides a compound of Formula 2 below.
위 화학식 2에 있어서, In Chemical Formula 2,
(5) R1, R2, R3, R4, R5, R6, R7, R8, R9 및 R10은 상기 화학식 1에서 정의한 R1 내지 R10과 동일하다.(5) R 1 , R 2 , R 3 , R 4 , R 5 , R 6 , R 7 , R 8 , R 9 and R 10 are the same as R 1 to R 10 defined in Chemical Formula 1.
(6) R1과 R2, R2와 R3, R3와 R4, R5와 R6, R6와 R7, R7과 R8 및 R9과 R10은 인접한 기와 결합하여 포화 또는 불포화고리를 형성 할 수 있다.(6) R 1 and R 2 , R 2 and R 3 , R 3 and R 4 , R 5 and R 6 , R 6 and R 7 , R 7 and R 8 and R 9 and R 10 combine with adjacent groups to saturate Or unsaturated rings.
(7) HAr은 탄소(C)를 제외한 다른 원소를 하나 이상 포함하는 것으로 탄소수 1 내지 60의 헤테로 고리화합물로 치환 또는 비치환될 수 있다.(7) HAr contains one or more elements other than carbon (C) and may be substituted or unsubstituted with a heterocyclic compound having 1 to 60 carbon atoms.
(8) 상기 구조식을 가지는 화합물은 용액 공정(soluble process)에 사용될 수 있다.
(8) The compound having the above structural formula can be used in a soluble process.
또다른 측면에서, 본 발명은 아래 화학식 3의 화합물을 제공한다. In another aspect, the present invention provides a compound of formula 3 below.
위 화학식 3에 있어서, In Chemical Formula 3,
(9) R1, R2, R3, R4, R5, R6, R7, R8, R9 및 R10은 상기 화학식 1에서 정의한 R1 내지 R10과 동일하다.(9) R 1 , R 2 , R 3 , R 4 , R 5 , R 6 , R 7 , R 8 , R 9 and R 10 are the same as R 1 to R 10 defined in Chemical Formula 1.
(10) R1과 R2, R2와 R3, R3와 R4, R5와 R6, R6와 R7, R7과 R8 및 R9과 R10은 인접한 기와 결합하여 포화 또는 불포화고리를 형성 할 수 있다.(10) R 1 and R 2 , R 2 and R 3 , R 3 and R 4 , R 5 and R 6 , R 6 and R 7 , R 7 and R 8 and R 9 and R 10 combine with adjacent groups to saturate Or unsaturated rings.
(11) Ar은 탄소(C)로 이루어진 탄소수 6 내지 60의 방향족화합물로 치환 또는 비치환될 수 있다.(11) Ar may be substituted or unsubstituted with an aromatic compound having 6 to 60 carbon atoms made of carbon (C).
(12) 상기 구조식을 가지는 화합물은 용액 공정(soluble process)에 사용될 수 있다.
(12) The compound having the above structural formula can be used in a soluble process.
또다른 측면에서, 본 발명은 아래 화학식 4의 화합물을 제공한다. In another aspect, the present invention provides a compound of formula (4) below.
위 화학식 4에 있어서, In Chemical Formula 4,
(13) R1, R2, R3, R4, R5, R6, R7, R8, R9 및 R10은 상기 화학식 1에서 정의한 R1 내지 R10과 동일하다.(13) R 1 , R 2 , R 3 , R 4 , R 5 , R 6 , R 7 , R 8 , R 9 and R 10 are the same as R 1 to R 10 defined in Chemical Formula 1.
(14) R1과 R2, R2와 R3, R3와 R4, R5와 R6, R6와 R7, R7과 R8 및 R9과 R10은 인접한 기와 결합하여 포화 또는 불포화고리를 형성 할 수 있다.(14) R 1 and R 2 , R 2 and R 3 , R 3 and R 4 , R 5 and R 6 , R 6 and R 7 , R 7 and R 8 and R 9 and R 10 combine with adjacent groups to saturate Or unsaturated rings.
(15) Ar은 탄소(C)로 이루어진 탄소수 6 내지 60의 방향족화합물로 치환 또는 비치환될 수 있다.(15) Ar may be substituted or unsubstituted with an aromatic compound having 6 to 60 carbon atoms made of carbon (C).
(16) HAr은 탄소(C)를 제외한 다른 원소를 하나 이상 포함하는 것으로 탄소수 1 내지 60의 헤테로 고리화합물로 치환 또는 비치환될 수 있다.(16) HAr contains one or more elements other than carbon (C) and may be substituted or unsubstituted with a heterocyclic compound having 1 to 60 carbon atoms.
(17) 상기 구조식을 가지는 화합물은 용액 공정(soluble process)에 사용될 수 있다.
(17) The compound having the above structural formula can be used in a soluble process.
또다른 측면에서, 본 발명은 아래 화학식 5의 화합물을 제공한다. In another aspect, the present invention provides a compound of formula 5 below.
위 화학식 5에 있어서, In Chemical Formula 5,
(18) R1, R2, R3, R4, R5, R6, R7, R8, R9 및 R10은 상기 화학식 1에서 정의한 R1 내지 R10과 동일하다.(18) R 1 , R 2 , R 3 , R 4 , R 5 , R 6 , R 7 , R 8 , R 9 and R 10 are the same as R 1 to R 10 as defined in Chemical Formula 1.
(19) R1과 R2, R2와 R3, R3와 R4, R5와 R6, R6와 R7, R7과 R8 및 R9과 R10은 인접한 기와 결합하여 포화 또는 불포화고리를 형성 할 수 있다.(19) R 1 and R 2 , R 2 and R 3 , R 3 and R 4 , R 5 and R 6 , R 6 and R 7 , R 7 and R 8 and R 9 and R 10 combine with adjacent groups to saturate Or unsaturated rings.
(20) HAr은 탄소(C)를 제외한 다른 원소를 하나 이상 포함하는 것으로 탄소수 1 내지 60의 헤테로 고리화합물로 치환 또는 비치환될 수 있다.(20) HAr contains one or more elements other than carbon (C) and may be substituted or unsubstituted with a heterocyclic compound having 1 to 60 carbon atoms.
(21) Ar은 탄소(C)로 이루어진 탄소수 6 내지 60의 방향족화합물로 치환 또는 비치환될 수 있다.(21) Ar may be substituted or unsubstituted with an aromatic compound having 6 to 60 carbon atoms made of carbon (C).
(22) 상기 구조식을 가지는 화합물은 용액 공정(soluble process)에 사용될 수 있다.
(22) The compound having the above structural formula can be used in a soluble process.
또다른 측면에서, 본 발명은 아래 화학식 6의 화합물을 제공한다. In another aspect, the present invention provides a compound of Formula 6 below.
위 화학식 6에 있어서, In Chemical Formula 6,
(23) R1, R2, R3, R4, R5, R6, R7, R8, R9 및 R10은 상기 화학식 1에서 정의한 R1 내지 R10과 동일하다.(23) R 1 , R 2 , R 3 , R 4 , R 5 , R 6 , R 7 , R 8 , R 9 and R 10 are the same as R 1 to R 10 defined in Chemical Formula 1.
(24) R1과 R2, R2와 R3, R3와 R4, R5와 R6, R6와 R7, R7과 R8 및 R9과 R10은 인접한 기와 결합하여 포화 또는 불포화고리를 형성 할 수 있다.(24) R 1 and R 2 , R 2 and R 3 , R 3 and R 4 , R 5 and R 6 , R 6 and R 7 , R 7 and R 8 and R 9 and R 10 combine with adjacent groups to saturate Or unsaturated rings.
(25) HAr은 탄소(C)를 제외한 다른 원소를 하나 이상 포함하는 것으로 탄소수 1 내지 60의 헤테로 고리화합물로 치환 또는 비치환될 수 있다.(25) HAr includes one or more elements other than carbon (C) and may be substituted or unsubstituted with a heterocyclic compound having 1 to 60 carbon atoms.
(26) 상기 구조식을 가지는 화합물은 용액 공정(soluble process)에 사용될 수 있다.
(26) The compound having the above structural formula can be used in a soluble process.
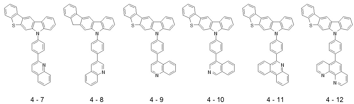
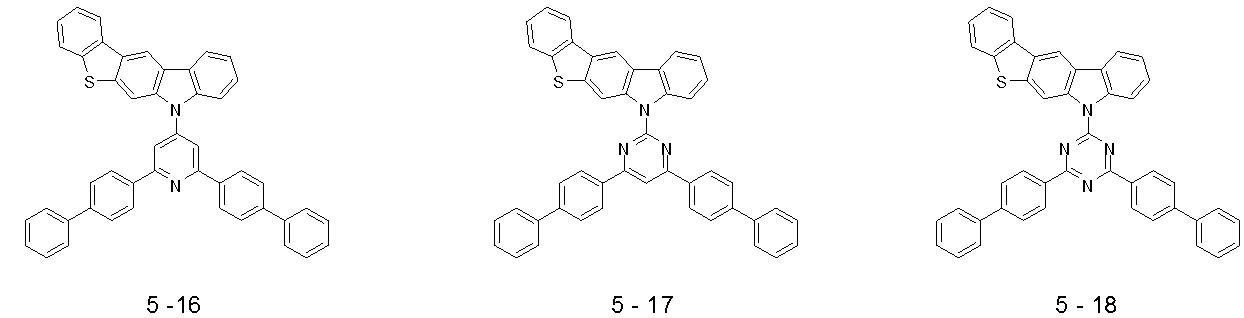
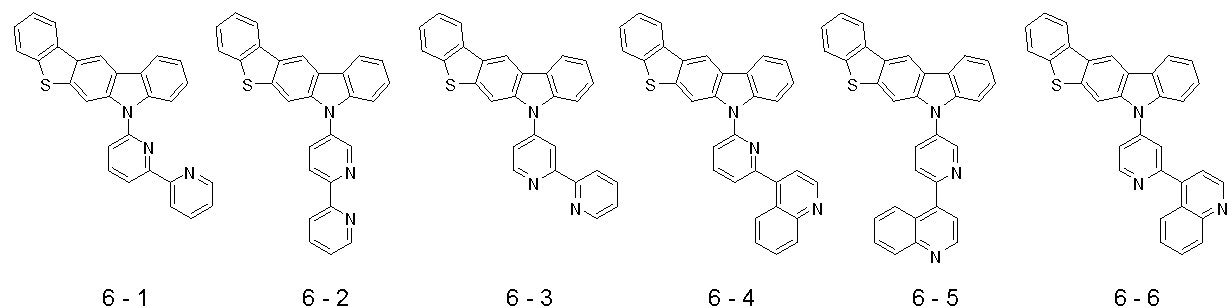
본 발명의 일실시예에 따른 2개 이상의 오원자 헤테로 고리를 포함하는 화합물인 화학식 1 내지 6에 속하는 화합물의 구체적 예로서 아래 화학식 7의 화합물들이 있으나, 본 발명이 이들에만 한정되는 것은 아니다.Specific examples of the compounds belonging to Formulas 1 to 6 which are compounds including two or more five-membered hetero rings according to one embodiment of the present invention include the compounds of Formula 7 below, but the present invention is not limited thereto.
화학식 1 내지 12를 참조하여 설명한 2개 이상의 오원자 헤테로 고리를 포함하는 화합물들이 유기물층으로 사용되는 다양한 유기전기소자들이 존재한다. 화학식 1 내지 12을 참조하여 설명한 2개 이상의 오원자 헤테로 고리를 포함하는 화합물들이 사용될 수 있는 유기전기소자는 예를 들어, 유기전계발광소자(OLED), 유기태양전지, 유기감광체(OPC) 드럼, 유기트랜지스트(유기 TFT), 포토다이오드(photodiode), 유기레이저(organic laser), 레이저 다이오드(laser diode) 등이 있다.Various organic electric devices exist in which compounds including two or more five-membered hetero rings described with reference to Chemical Formulas 1 to 12 are used as the organic material layer. Examples of the organic electroluminescent device in which compounds including two or more five-membered hetero rings described with reference to Chemical Formulas 1 to 12 may be used include, for example, an organic light emitting diode (OLED), an organic solar cell, an organic photoconductor (OPC) drum, Organic transistors (organic TFTs), photodiodes, organic lasers, laser diodes, and the like.
화학식 1 내지 12을 참조하여 설명한 2개 이상의 오원자 헤테로 고리를 포함하는 화합물들이 적용될 수 있는 유기전기소자 중 일예로 유기전계발광소자(OLED)에 대하여 아래 설명하나, 본 발명은 이에 제한되지 않고 다양한 유기전기소자에 위에서 설명한 2개 이상의 오원자 헤테로 고리를 포함하는 화합물이 적용될 수 있다.As an example of an organic electroluminescent device to which compounds including two or more five-membered hetero rings described with reference to Chemical Formulas 1 to 12 may be applied, an organic light emitting diode (OLED) will be described below, but the present invention is not limited thereto. The compound including two or more five-membered hetero rings described above may be applied to the organic electric device.
본 발명의 다른 실시예는 제1 전극, 제2 전극 및 이들 전극 사이에 배치된 유기물층을 포함하는 유기전기소자에 있어서, 상기 유기물층 중 1층 이상이 상기 화학식 1 내지 12의 화합물들을 포함하는 유기전계발광소자를 제공한다.Another embodiment of the present invention is an organic electric device comprising a first electrode, a second electrode and an organic material layer disposed between the electrodes, wherein at least one of the organic material layer of the organic electric field comprising the compounds of Formula 1 to 12 Provided is a light emitting device.
도 1 내지 도 6은 본 발명의 화합물을 적용할 수 있는 유기전계발광소자의 예를 도시한 것이다.1 to 6 show examples of the organic light emitting display device to which the compound of the present invention can be applied.
본 발명의 다른 실시예에 따른 유기전계발광소자는, 정공주입층, 정공수송층, 발광층, 전자수송층 및 전자주입층을 포함하는 유기물층 중 1층 이상을 상기 화학식 1 내지 6의 화합물들을 포함하도록 형성하는 것을 제외하고는, 당 기술 분야에 통상의 제조 방법 및 재료를 이용하여 당 기술 분야에 알려져 있는 구조로 제조될 수 있다.The organic light emitting device according to another embodiment of the present invention, a hole injection layer, a hole transport layer, a light emitting layer, an electron transport layer And a structure known in the art using conventional manufacturing methods and materials in the art, except that at least one layer of the organic material layer including the electron injection layer is formed to include the compounds of Formulas 1 to 6. It can be prepared as.
본 발명에 다른 실시예에 따른 유기전계발광소자의 구조는 도 1 내지 6에 예시되어 있으나, 이들 구조에만 한정된 것은 아니다. 이때, 도면번호 101은 기판, 102는 양극, 103는 정공주입층(HIL), 104는 정공수송층(HTL), 105는 발광층(EML), 106은 전자주입층(EIL), 107은 전자수송층(ETL), 108은 음극을 나타낸다. 미도시하였지만, 이러한 유기전계발광소자는 정공의 이동을 저지하는 정공저지층(HBL), 전자의 이동을 저지하는 전자저지층(EBL) 및 보호층이 더 위치할 수도 있다. 보호층의 경우 최상위층에서 유기물층을 보호하거나 음극을 보호하도록 형성될 수 있다.The structure of the organic light emitting display device according to another embodiment of the present invention is illustrated in FIGS. 1 to 6, but is not limited thereto. In this case, reference numeral 101 denotes a substrate, 102 an anode, 103 a hole injection layer (HIL), 104 a hole transport layer (HTL), 105 a light emitting layer (EML), 106 an electron injection layer (EIL), 107 an electron transport layer ( ETL), 108 represents a negative electrode. Although not shown, the organic light emitting diode may further include a hole blocking layer (HBL) for blocking the movement of holes, an electron blocking layer (EBL) for preventing the movement of electrons, and a protective layer. The protective layer may be formed to protect the organic material layer or the cathode at the uppermost layer.
이때, 화학식 1 내지 12를 참조하여 설명한 2개 이상의 오원자 헤테로 고리를 포함하는 화합물은 정공주입층, 정공수송층, 발광층 및 전자수송층을 포함하는 유기물층 중 하나 이상에 포함될 수 있다. 구체적으로, 화학식 1 내지 12를 참조하여 설명한 2개 이상의 오원자 헤테로 고리를 포함하는 화합물은 정공주입층, 정공수송층, 발광층, 전자수송층, 전자주입층, 정공저지층, 전자저지층, 보호층 중 하나 이상을 대신하여 사용되거나 이들과 함께 층을 형성하여 사용될 수도 있다. 물론 유기물층 중 한층에만 사용되는 것이 아니라 두층 이상에 사용될 수 있다.In this case, the compound including two or more five-membered hetero rings described with reference to Chemical Formulas 1 to 12 may be included in one or more of an organic material layer including a hole injection layer, a hole transport layer, a light emitting layer, and an electron transport layer. Specifically, the compound including two or more five-membered heterocyclic rings described with reference to Chemical Formulas 1 to 12 includes a hole injection layer, a hole transport layer, a light emitting layer, an electron transport layer, an electron injection layer, a hole blocking layer, an electron blocking layer, a protective layer It may be used in place of one or more, or may be used in conjunction with them to form a layer. Of course, the organic layer may be used not only in one layer but also in two or more layers.
화학식 1 내지 12를 참조하여 설명한 2개 이상의 오원자 헤테로 고리를 포함하는 화합물은 유기전기소자 및 단말에서 다양한 역할을 할 수 있으며, 적색, 녹색, 청색, 흰색 등의 모든 칼라의 형광과 인광소자에 적합한 정공주입 재료, 정공수송 재료, 발광 재료 및/또는 전자수송 재료로 유용하며, 다양한 색의 인광 도판트의 호스트 물질로 사용될 수 있다. Compounds including two or more five-membered heterocycles described with reference to Chemical Formulas 1 to 12 may play various roles in organic electronic devices and terminals, and may be used in fluorescent and phosphorescent devices of all colors such as red, green, blue, and white. It is useful as a suitable hole injection material, hole transport material, luminescent material and / or electron transport material and can be used as a host material for phosphorescent dopants of various colors.
예컨대, 본 발명의 다른 실시예에 따른 유기전계발광소자는 스퍼터링(sputtering)이나 전자빔 증발(e-beam evaporation)과 같은 PVD(physical vapor deposition) 방법을 이용하여, 기판 상에 금속 또는 전도성을 가지는 금속 산화물 또는 이들의 합금을 증착시켜 양극을 형성하고, 그 위에 정공주입층, 정공수송층, 발광층, 전자수송층 및 전자주입층을 포함하는 유기물층을 형성한 후, 그 위에 음극으로 사용할 수 있는 물질을 증착시킴으로써 제조될 수 있다.For example, the organic light emitting device according to another embodiment of the present invention is a metal having a metal or conductivity on a substrate by using a physical vapor deposition (PVD) method such as sputtering or e-beam evaporation An oxide or an alloy thereof is deposited to form an anode, an organic material layer including a hole injection layer, a hole transport layer, a light emitting layer, an electron transport layer, and an electron injection layer is formed thereon, and then a material that can be used as a cathode is deposited thereon. Can be prepared.
이와 같은 방법 외에도, 기판 상에 음극 물질부터 유기물층, 양극 물질을 차례로 증착시켜 유기전기소자를 만들 수도 있다. 상기 유기물층은 정공주입층, 정공수송층, 발광층, 전자수송층 및 전자주입층 등을 포함하는 다층 구조일 수도 있으나, 이에 한정되지 않고 단층 구조일 수 있다. 또한, 상기 유기물층은 다양한 고분자 소재를 사용하여 증착법이 아닌 솔벤트 프로세스(solvent process), 예컨대 스핀 코팅, 딥 코팅, 닥터 블레이딩, 스크린 프린팅, 잉크젯 프린팅 또는 열 전사법 등의 방법에 의하여 더 적은 수의 층으로 제조할 수 있다.In addition to the above method, an organic electronic device may be fabricated by sequentially depositing a cathode material, an organic material layer, and an anode material on a substrate. The organic material layer may have a multilayer structure including a hole injection layer, a hole transport layer, a light emitting layer, an electron transport layer and an electron injection layer, but is not limited thereto and may have a single layer structure. In addition, the organic material layer may be formed using a variety of polymer materials by a solvent process such as a spin coating process, a dip coating process, a doctor blading process, a screen printing process, an inkjet printing process or a thermal transfer process, Layer.
본 발명의 다른 실시예에 따른 유기전계발광소자는 위에서 설명한 2개 이상의 오원자 헤테로 고리를 포함하는 화합물을 용액 공정(soluble process)에 의해 유기물층, 예를 들어 발광층을 형성할 수도 있다. The organic electroluminescent device according to another embodiment of the present invention may form an organic layer, for example a light emitting layer, by a soluble process of a compound containing two or more five-membered hetero rings described above.
기판은 유기전계발광소자의 지지체이며, 실리콘 웨이퍼, 석영 또는 유리판, 금속판, 플라스틱 필름이나 시트 등이 사용될 수 있다.The substrate is a support of the organic light emitting device, and a silicon wafer, quartz or glass plate, metal plate, plastic film or sheet, or the like can be used.
기판 위에는 양극이 위치된다. 이러한 양극은 그 위에 위치되는 정공주입층으로 정공을 주입한다. 양극 물질로는 통상 유기물층으로 정공주입이 원활할 수 있도록 일함수가 큰 물질이 바람직하다. 본 발명에서 사용될 수 있는 양극 물질의 구체적인 예로는 바나듐, 크롬, 구리, 아연, 금과 같은 금속 또는 이들의 합금; 아연산화물, 인듐산화물, 인듐주석 산화물(ITO), 인듐아연산화물(IZO)과 같은 금속 산화물; ZnO:Al 또는 SnO2:Sb와 같은 금속과 산화물의 조합; 폴리(3-메틸티오펜), 폴리[3,4-(에틸렌-1,2-디옥시)티오펜](PEDT), 폴리피롤 및 폴리아닐린과 같은 전도성 고분자 등이 있으나, 이들에만 한정되는 것은 아니다. An anode is positioned over the substrate. This anode injects holes into the hole injection layer located thereon. As the anode material, a material having a large work function is usually preferred to facilitate hole injection into the organic material layer. Specific examples of the positive electrode material that can be used in the present invention include metals such as vanadium, chromium, copper, zinc and gold or alloys thereof; Metal oxides such as zinc oxide, indium oxide, indium tin oxide (ITO), and indium zinc oxide (IZO); ZnO: Al or SnO 2: a combination of a metal and an oxide such as Sb; Conductive polymers such as poly (3-methylthiophene), poly [3,4- (ethylene-1,2-dioxy) thiophene] (PEDT), polypyrrole and polyaniline.
양극 위에는 정공주입층이 위치된다. 이러한 정공주입층의 물질로 요구되는 조건은 양극으로부터의 정공주입 효율이 높으며, 주입된 정공을 효율적으로 수송할 수 있어야 한다. 이를 위해서는 이온화 포텐셜이 작고 가시광선에 대한 투명성이 높으며, 정공에 대한 안정성이 우수해야 한다.The hole injection layer is located on the anode. The conditions required for the material of the hole injection layer are high hole injection efficiency from the anode, it should be able to transport the injected holes efficiently. This requires a small ionization potential, high transparency to visible light, and excellent hole stability.
정공주입 물질로는 낮은 전압에서 양극으로부터 정공을 잘 주입받을 수 있는 물질로서, 정공주입 물질의 HOMO(highest occupied molecular orbital)가 양극 물질의 일함수와 주변 유기물층의 HOMO 사이인 것이 바람직하다. 정공주입 물질의 구체적인 예로는 금속 포피린(porphyrine), 올리고티오펜, 아릴아민 계열의 유기물, 헥사니트릴 헥사아자트리페닐렌, 퀴나크리돈(quinacridone) 계열의 유기물, 페릴렌(perylene) 계열의 유기물, 안트라퀴논 및 폴리아닐린과 폴리티오펜 계열의 전도성 고분자 등이 있으나, 이들에만 한정되는 것은 아니다.As the hole injecting material, it is preferable that the highest occupied molecular orbital (HOMO) of the hole injecting material be between the work function of the anode material and the HOMO of the surrounding organic layer. Specific examples of hole injection materials include metal porphyrine, oligothiophene, arylamine-based organics, hexanitrile hexaazatriphenylene, quinacridone-based organics, perylene-based organics, Anthraquinone, polyaniline and polythiophene-based conductive polymers, but are not limited thereto.
상기 정공주입층 위에는 정공수송층이 위치된다. 이러한 정공수송층은 정공주입층으로부터 정공을 전달받아 그 위에 위치되는 유기발광층으로 수송하는 역할을 하며, 높은 정공 이동도와 정공에 대한 안정성 및 전자를 막아주는 역할를 한다. 이러한 일반적 요구 이외에 차체 표시용으로 응용할 경우 소자에 대한 내열성이 요구되며, 유리 전이 온도(Tg)가 70 ℃ 이상의 값을 갖는 재료가 바람직하다. 이와 같은 조건을 만족하는 물질들로는 NPD(혹은 NPB라 함), 스피로-아릴아민계화합물, 페릴렌-아릴아민계화합물, 아자시클로헵타트리엔화합물, 비스(디페닐비닐페닐)안트라센, 실리콘게르마늄옥사이드화합물, 실리콘계아릴아민화합물 등이 될 수 있다.The hole transport layer is positioned on the hole injection layer. The hole transport layer receives holes from the hole injection layer and transports the holes to the organic light emitting layer located thereon, and serves to prevent high hole mobility, hole stability, and electrons. In addition to these general requirements, when applied for vehicle body display, heat resistance to the device is required, and a material having a glass transition temperature (Tg) of 70 ° C. or higher is preferable. Materials satisfying these conditions include NPD (or NPB), spiro-arylamine compounds, perylene-arylamine compounds, azacycloheptatriene compounds, bis (diphenylvinylphenyl) anthracene, silicon germanium oxide Compound, a silicon-based arylamine compound, and the like.
정공수송층 위에는 유기발광층이 위치된다. 이러한 유기발광층는 양극과 음극으로부터 각각 주입된 정공과 전자가 재결합하여 발광을 하는 층이며, 양자효율이 높은 물질로 이루어져 있다. 발광 물질로는 정공수송층과 전자수송층으로부터 정공과 전자를 각각 수송받아 결합시킴으로써 가시광선 영역의 빛을 낼 수 있는 물질로서, 형광이나 인광에 대한 양자효율이 좋은 물질이 바람직하다. The organic light emitting layer is positioned on the hole transport layer. The organic light emitting layer is a layer for emitting light by recombination of holes and electrons injected from the anode and the cathode, respectively, and is made of a material having high quantum efficiency. The light emitting material is a material capable of emitting light in the visible region by transporting and combining holes and electrons from the hole transport layer and the electron transport layer, respectively, and a material having good quantum efficiency with respect to fluorescence or phosphorescence is preferable.
이와 같은 조건을 만족하는 물질 또는 화합물로는 녹색의 경우 Alq3가, 청색의 경우 Balq(8-hydroxyquinoline beryllium salt), DPVBi(4,4'-bis(2,2-diphenylethenyl)-1,1'-biphenyl) 계열, 스피로(Spiro) 물질, 스피로-DPVBi(Spiro-4,4'-bis(2,2-diphenylethenyl)-1,1'-biphenyl), LiPBO(2-(2-benzoxazoyl)-phenol lithium salt), 비스(디페닐비닐페닐비닐)벤젠, 알루미늄-퀴놀린 금속착체, 이미다졸, 티아졸 및 옥사졸의 금속착체 등이 있으며, 청색 발광 효율을 높이기 위해 페릴렌, 및 BczVBi(3,3'[(1,1'-biphenyl)-4,4'-diyldi-2,1-ethenediyl]bis(9-ethyl)-9H-carbazole; DSA(distrylamine)류)를 소량 도핑하여 사용할 수 있다. 적색의 경우는 녹색 발광 물질에 DCJTB([2-(1,1-dimethylethyl)-6-[2-(2,3,6,7-tetrahydro-1,1,7,7-tetramethyl-1H,5H-benzo(ij)quinolizin-9-yl)ethenyl]-4H-pyran-4-ylidene]-propanedinitrile)와 같은 물질을 소량 도핑하여 사용할 수 있다. 잉크젯프린팅, 롤코팅, 스핀코팅 등의 공정을 사용하여 발광층을 형성할 경우에, 폴리페닐렌비닐렌(PPV) 계통의 고분자나 폴리 플로렌(poly 플루오렌(fluorene)) 등의 고분자를 유기발광층에 사용할 수 있다.Substances or compounds that satisfy these conditions include Alq3 for green, Balq (8-hydroxyquinoline beryllium salt) for blue, DPVBi (4,4'-bis (2,2-diphenylethenyl) -1,1'- biphenyl) series, Spiro material, Spiro-DPVBi (Spiro-4,4'-bis (2,2-diphenylethenyl) -1,1'-biphenyl), LiPBO (2- (2-benzoxazoyl) -phenol lithium salt), bis (diphenylvinylphenylvinyl) benzene, aluminum-quinoline metal complex, metal complexes of imidazole, thiazole and oxazole, and the like, perylene, and BczVBi (3,3 ') to increase blue light emission efficiency. [(1,1'-biphenyl) -4,4'-diyldi-2,1-ethenediyl] bis (9-ethyl) -9H-carbazole; DSA (distrylamine) can be used by doping in small amounts. In the case of red, DCJTB ([2- (1,1-dimethylethyl) -6- [2- (2,3,6,7-tetrahydro-1,1,7,7-tetramethyl-1H, 5H Small amounts of doping such as -benzo (ij) quinolizin-9-yl) ethenyl] -4H-pyran-4-ylidene] -propanedinitrile) can be used. When the light emitting layer is formed using a process such as inkjet printing, roll coating, or spin coating, an organic light emitting layer is formed of a polymer of polyphenylene vinylene (PPV) or a polymer such as poly fluorene. Can be used for
유기발광층 위에는 전자수송층이 위치된다. 이러한 전자수송층은 그 위에 위치되는 음극으로부터 전자주입 효율이 높고 주입된 전자를 효율적으로 수송할 수 있는 물질이 필요하다. 이를 위해서는 전자 친화력과 전자 이동속도가 크고 전자에 대한 안정성이 우수한 물질로 이루어져야 한다. 이와 같은 조건을 충족시키는 전자수송 물질로는 구체적인 예로 8-히드록시퀴놀린의 Al 착물; Alq3를 포함한 착물; 유기 라디칼 화합물; 히드록시플라본-금속 착물 등이 있으나, 이들에만 한정되는 것은 아니다.The electron transport layer is positioned on the organic light emitting layer. The electron transport layer needs a material having high electron injection efficiency from the cathode positioned thereon and capable of efficiently transporting the injected electrons. To this end, it must be made of a material having high electron affinity and electron transfer speed and excellent stability to electrons. Examples of the electron transport material that satisfies such conditions include Al complexes of 8-hydroxyquinoline; Complexes including Alq 3 ; Organic radical compounds; Hydroxyflavone-metal complexes, and the like, but are not limited thereto.
전자수송층 위에는 전자주입층이 적층된다. 전자주입층은 Balq, Alq3, Be(bq)2, Zn(BTZ)2, Zn(phq)2, PBD, spiro-PBD, TPBI, Tf-6P 등과 같은 금속착제 화합물, imidazole ring 을 갖는 aromatic화합물이나 boron화합물 등을 포함하는 저분자 물질을 이용하여 제작할 수 있다. 이때, 전자주입층은 100Å ~ 300Å의 두께 범위에서 형성될 수 있다.The electron injection layer is stacked on the electron transport layer. The electron injection layer is a metal complex compound such as Balq, Alq3, Be (bq) 2, Zn (BTZ) 2, Zn (phq) 2, PBD, spiro-PBD, TPBI, Tf-6P, aromatic compound with imidazole ring, It can be produced using a low molecular weight material containing boron compounds and the like. At this time, the electron injection layer may be formed in a thickness range of 100 ~ 300Å.
전자주입층 위에는 음극이 위치된다. 이러한 음극은 전자를 주입하는 역할을 한다. 음극으로 사용하는 재료는 양극에 사용된 재료를 이용하는 것이 가능하며, 효율적인 전자주입을 위해서는 일 함수가 낮은 금속이 보다 바람직하다. 특히 주석, 마그네슘, 인듐, 칼슘, 나트륨, 리튬, 알루미늄, 은 등의 적당한 금속, 또는 그들의 적절한 합금이 사용될 수 있다. 또한 100 ㎛ 이하 두께의 리튬플루오라이드와 알루미늄, 산화리튬과 알루미늄, 스트론튬산화물과 알루미늄 등의 2 층 구조의 전극도 사용될 수 있다.The cathode is positioned on the electron injection layer. This cathode serves to inject electrons. As the material used as the cathode, it is possible to use the material used for the anode, and a metal having a low work function is more preferable for efficient electron injection. In particular, a suitable metal such as tin, magnesium, indium, calcium, sodium, lithium, aluminum, silver, or a suitable alloy thereof can be used. In addition, an electrode having a two-layer structure such as lithium fluoride and aluminum, lithium oxide and aluminum, strontium oxide and aluminum having a thickness of 100 μm or less may also be used.
전술하였듯이, 화학식 1 내지 12을 참조하여 설명한 2개 이상의 오원자 헤테로 고리를 포함하는 화합물에 따라서 적색, 녹색, 청색, 흰색 등의 모든 칼라의 형광과 인광소자에 적합한 정공주입 재료, 정공수송 재료, 발광 재료, 전자수송 재료 및 전자주입 재료로 사용할 수 있으며, 다양한 색의 인광 도판트의 호스트 물질로 사용될 수 있다.As described above, a hole injection material, a hole transport material, suitable for fluorescence and phosphorescent devices of all colors, such as red, green, blue, white, etc., according to a compound including two or more five-membered hetero rings described with reference to Chemical Formulas 1 to 12, It can be used as a light emitting material, an electron transporting material and an electron injection material, and can be used as a host material for phosphorescent dopants of various colors.
본 발명에 따른 유기전계발광소자는 사용되는 재료에 따라 전면 발광형, 후면 발광형 또는 양면 발광형일 수 있다.The organic light emitting device according to the present invention may be a top emission type, a bottom emission type or a double-sided emission type according to the material used.
한편 본 발명은, 위에서 설명한 유기전기소자를 포함하는 디스플레이장치와, 이 디스플레이장치를 구동하는 제어부를 포함하는 단말을 포함한다. 이 단말은 현재 또는 장래의 유무선 통신단말을 의미한다. 이상에서 전술한 본 발명에 따른 단말은 휴대폰 등의 이동 통신 단말기일 수 있으며, PDA, 전자사전, PMP, 리모콘, 네비게이션, 게임기, 각종 TV, 각종 컴퓨터 등 모든 단말을 포함한다.
Meanwhile, the present invention includes a display device including the organic electric element described above, and a terminal including a control unit for driving the display device. This terminal means a current or future wired or wireless communication terminal. The terminal according to the present invention described above may be a mobile communication terminal such as a mobile phone, and includes all terminals such as a PDA, an electronic dictionary, a PMP, a remote control, a navigation device, a game machine, various TVs, various computers, and the like.
실시예Example
이하, 제조예 및 실험예를 통하여 본 발명을 보다 상세하게 설명한다.그러나, 이하의 제조예 및 실험예는 본 발명을 예시하기 위한 것이며, 본 발명의 범위가 이들에 의하여 한정되는 것은 아니다.
Hereinafter, the present invention will be described in more detail with reference to Preparation Examples and Experimental Examples. However, the following Preparation Examples and Experimental Examples are for illustrating the present invention, and the scope of the present invention is not limited thereto.
제조예Manufacturing example
이하, 화학식 7 내지 12에 속하는 2개 이상의 오원자 헤테로 고리를 포함하는 화합물들에 대한 제조예 또는 합성예를 설명한다. 다만, 화학식 7 내지 12에 속하는 2개 이상의 오원자 헤테로 고리를 포함하는 화합물들의 수가 많기 때문에 화학식 6에 속하는 2개 이상의 오원자 헤테로 고리를 포함하는 화합물들 중 하나 또는 둘을 예시적으로 설명한다. 본 발명이 속하는 기술분야의 통상의 지식을 가진 자, 즉 당업자라면 아래에서 설명한 제조예들을 통해, 예시하지 않은 본 발명에 속하는 2개 이상의 오원자 헤테로 고리를 포함하는 화합물을 제조할 수 있다.
Hereinafter, preparation or synthesis examples of the compounds including two or more five membered hetero rings belonging to Chemical Formulas 7 to 12 will be described. However, since a large number of compounds including two or more five-membered hetero rings belonging to Formulas 7 to 12, one or two of the compounds including two or more five-membered hetero rings belonging to Formula 6 will be described. Those skilled in the art, ie, those skilled in the art, may prepare compounds including two or more five-membered heterocycles belonging to the present invention, which are not illustrated by the preparations described below.
단계 1) 중간체 A의 합성Step 1) Synthesis of Intermediate A
[반응식 1]Scheme 1
질소하에서 dibenzothiophene을 carbon disulfide 용매에 녹인 후, bromine을 서서히 적가시켰다. 상온에서 12시간동안 교반시킨 후, 반응이 종료되면 감압장치를 이용하여 유기용매를 농축하여 생성된 생성물을 ethanol 용매를 이용하여 재결정화하여 원하는 중간체 A를 얻었다 (수율: 86%).
Dibenzothiophene was dissolved in carbon disulfide solvent under nitrogen and bromine was slowly added dropwise. After stirring at room temperature for 12 hours, when the reaction was completed, the organic solvent was concentrated using a depressurization apparatus to recrystallize the product using ethanol solvent to obtain the desired intermediate A (yield: 86%).
단계 2) 중간체 B의 합성Step 2) Synthesis of Intermediate B
[반응식 2]Scheme 2
단계 1)에서 얻은 중간체 A를 무수 THF에 녹이고, 반응물의 온도를 -78 ℃로 낮추고, n-BuLi (2.5 M in hexane)을 천천히 적가하고 난 후, 반응물을 0 ℃에서 1시간동안 교반시켰다. 이후, 반응물의 온도를 -78 ℃로 낮추고, trimethyl borate를 적가하고 난 후, 상온에서 12시간동안 교반시켰다. 반응이 종결되면 2N-HCl 수용액을 넣고, 30분간 교반시킨 후, ether로 추출하였다. 무수 MgSO4로 반응물 내의 물을 제거하고 감압 여과 후, 유기용매를 농축하여 생성된 생성물을 컬럼크로마토그래피를 이용하여 분리하여 원하는 중간체 B를 얻었다 (수율: 82%).
The intermediate A obtained in step 1) was dissolved in anhydrous THF, the temperature of the reaction was lowered to -78 ° C, n-BuLi (2.5 M in hexane) was slowly added dropwise, and the reaction was stirred at 0 ° C for 1 hour. Then, the temperature of the reaction was lowered to -78 ℃, trimethyl borate was added dropwise, and stirred at room temperature for 12 hours. After the reaction was completed, 2N-HCl aqueous solution was added, stirred for 30 minutes, and extracted with ether. After removing the water in the reaction with anhydrous MgSO 4 and filtered under reduced pressure, the organic solvent was concentrated and the resulting product was separated by column chromatography to give the desired intermediate B (yield: 82%).
단계 3) 중간체 C의 합성Step 3) Synthesis of Intermediate C
[반응식 3]Scheme 3
단계 2)에서 얻은 중간체 B와 Pd(PPh3)4, K2CO3를 무수 THF와 소량의 물에 녹이고 난 후, 24시간동안 환류시켰다. 반응이 종료되면 반응물의 온도를 상온으로 식히고, CH2Cl2로 추출하고 물로 닦아주었다. 소량의 물을 무수 MgSO4로 제거하고 감압 여과 후, 유기용매를 농축하여 생성된 생성물을 컬럼크로마토그래피를 이용하여 분리하여 원하는 중간체 C를 얻었다 (수율: 87%).
The intermediates B, Pd (PPh 3 ) 4 and K 2 CO 3 obtained in step 2) were dissolved in anhydrous THF and a small amount of water, and then refluxed for 24 hours. After the reaction was completed, the temperature of the reactant was cooled to room temperature, extracted with CH 2 Cl 2 , and washed with water. A small amount of water was removed with anhydrous MgSO 4 , filtered under reduced pressure, the organic solvent was concentrated, and the resulting product was separated using column chromatography to give the desired intermediate C (yield: 87%).
단계 4) 출발물질 S의 합성Step 4) Synthesis of Starting Material S
[반응식 4]Scheme 4
단계 3)에서 얻은 중간체 C와 triphenylphosphine을 o-dichlorobenzene에 녹이고, 24시간 동안 환류시켰다. 반응이 종결되면 감압 증류를 이용하여 용매를 제거한 후, 농축된 생성물을 컬럼크로마토그래피를 이용하여 분리하여 원하는 출발물질 S(수율: 53%)를 얻었다.
Intermediate C and triphenylphosphine obtained in step 3) were dissolved in o -dichlorobenzene and refluxed for 24 hours. After completion of the reaction, the solvent was removed by distillation under reduced pressure, and the concentrated product was separated by column chromatography to obtain a desired starting material S (yield: 53%).
*합성예1 : 화학식 7의 화합물 1-3의 합성 Synthesis Example 1 Synthesis of Compound 1-3 of Chemical Formula 7
[반응식 5]Scheme 5
단계 4)에서 합성한 출발물질 S와 2-Bromonaphthalene, Pd2(dba)3, P(tBu)3 그리고 NaOtBu를 톨루엔(Toluene) 용매에 녹인 후, 110 ℃에서 6시간동안 교반시켰다. 반응이 종료되면 반응물을 뜨거운 톨루엔 용매를 사용하여 Celite와 Silica-gel를 이용하여 여과를 하였다. 온도를 상온으로 식힘 다음 석출된 생성물을 다시 톨루엔과 아세톤을 사용하여 재결정화하여 원하는 화합물 1-3을 얻어내었다 (수율: 76%).
The starting material S and 2-Bromonaphthalene, Pd 2 (dba) 3 , P ( t Bu) 3 and NaO t Bu synthesized in step 4) were dissolved in toluene solvent and stirred at 110 ° C. for 6 hours. After the reaction was completed, the reaction was filtered using hot toluene solvent using Celite and Silica-gel. After cooling the temperature to room temperature, the precipitated product was recrystallized again using toluene and acetone to obtain the desired compound 1-3 (yield: 76%).
합성예Synthetic example 2: 화학식 8의 화합물 2-17의 합성 2: Synthesis of Compound 2-17 of Formula 8
[반응식 6]Scheme 6
단계 4)에서 합성한 출발물질 S와 5-Bromo-1,10-phenanthroline, Pd2(dba)3, P(tBu)3 그리고 NaOtBu를 톨루엔 용매에 녹인 후, 110 ℃에서 6시간동안 교반시켰다. 반응이 종료되면 반응물을 뜨거운 톨루엔 용매를 사용하여 Celite와 Silica-gel를 이용하여 여과를 하였다. 온도를 상온으로 식힘 다음 석출된 생성물을 다시 톨루엔과 아세톤을 사용하여 재결정화하여 원하는 화합물 2-17을 얻어내었다 (수율: 70%).
The starting material S and 5-Bromo-1,10-phenanthroline, Pd 2 (dba) 3 , P ( t Bu) 3 and NaO t Bu synthesized in step 4) were dissolved in toluene solvent and then heated at 110 ° C. for 6 hours. Stirred. After the reaction was completed, the reaction was filtered using hot toluene solvent using Celite and Silica-gel. After cooling the temperature to room temperature, the precipitated product was recrystallized again using toluene and acetone to give the desired compound 2-17 (yield: 70%).
합성예Synthetic example 3: 화학식 9의 화합물 4-14의 합성 3: Synthesis of Compound 4-14 of Formula 9
[반응식 7]Scheme 7
단계 4)에서 합성한 출발물질 S와 4-Bromobiphenyl, Pd2(dba)3, P(tBu)3 그리고 NaOtBu를 톨루엔 용매에 녹인 후, 110 ℃에서 6시간동안 교반시켰다. 반응이 종료되면 반응물을 뜨거운 톨루엔 용매를 사용하여 Celite와 Silica-gel를 이용하여 여과를 하였다. 온도를 상온으로 식힘 다음 석출된 생성물을 다시 톨루엔과 아세톤을 사용하여 재결정화하여 원하는 화합물 3-3을 얻어내었다 (수율: 72%).
The starting material S and 4-Bromobiphenyl, Pd 2 (dba) 3 , P ( t Bu) 3 and NaO t Bu synthesized in step 4) were dissolved in toluene solvent and stirred at 110 ° C. for 6 hours. After the reaction was completed, the reaction was filtered using hot toluene solvent using Celite and Silica-gel. After cooling the temperature to room temperature, the precipitated product was recrystallized again using toluene and acetone to give the desired compound 3-3 (yield: 72%).
합성예Synthetic example 4: 화학식 10의 화합물 4-14의 합성 4: Synthesis of Compound 4-14 of Formula 10
[반응식 8]Scheme 8
단계 4)에서 합성한 출발물질 S와 2-(4-Bromophenyl)-4,6-diphenylpyrimidine, Pd2(dba)3, P(tBu)3 그리고 NaOtBu를 톨루엔 용매에 녹인 후, 110 ℃에서 6시간동안 교반시켰다. 반응이 종료되면 반응물을 뜨거운 톨루엔 용매를 사용하여 Celite와 Silica-gel를 이용하여 여과를 하였다. 온도를 상온으로 식힘 다음 석출된 생성물을 다시 톨루엔과 아세톤을 사용하여 재결정화하여 원하는 화합물 4-14을 얻어내었다 (수율: 68%).
The starting material S synthesized in step 4) and 2- (4-Bromophenyl) -4,6-diphenylpyrimidine, Pd 2 (dba) 3 , P ( t Bu) 3 and NaO t Bu were dissolved in toluene solvent and then 110 ° C. Stirred for 6 h. After the reaction was completed, the reaction was filtered using hot toluene solvent using Celite and Silica-gel. After cooling the temperature to room temperature, the precipitated product was recrystallized again using toluene and acetone to give the desired compound 4-14 (yield: 68%).
합성예Synthetic example 5: 화학식 11의 화합물 5-11의 합성 5: Synthesis of Compound 5-11 of Formula 11
[반응식 9]Scheme 9
단계 4)에서 합성한 출발물질 S와 2-Bromo-4,6-diphenyl-1,3,5-triazine, Pd2(dba)3, P(tBu)3 그리고 NaOtBu를 톨루엔 용매에 녹인 후, 110 ℃에서 6시간동안 교반시켰다. 반응이 종료되면 반응물을 뜨거운 톨루엔 용매를 사용하여 Celite와 Silica-gel를 이용하여 여과를 하였다. 온도를 상온으로 식힘 다음 석출된 생성물을 다시 톨루엔과 아세톤을 사용하여 재결정화하여 원하는 화합물 5-11을 얻어내었다 (수율: 66%).
The starting material S synthesized in step 4) and 2-Bromo-4,6-diphenyl-1,3,5-triazine, Pd 2 (dba) 3 , P ( t Bu) 3 and NaO t Bu were dissolved in toluene. Then, the mixture was stirred at 110 ° C. for 6 hours. After the reaction was completed, the reaction was filtered using hot toluene solvent using Celite and Silica-gel. After cooling to room temperature, the precipitated product was recrystallized again using toluene and acetone to give the desired compound 5-11 (yield: 66%).
합성예Synthetic example 6: 화학식 12의 화합물 6-7의 합성 6: Synthesis of Compound 6-7 of Formula 12
[반응식 10]Scheme 10
단계 4)에서 합성한 출발물질 S와 4’-Bromo-2,2’:6’,2”-terpyridine, Pd2(dba)3, P(tBu)3 그리고 NaOtBu를 톨루엔 용매에 녹인 후, 110 ℃에서 6시간동안 교반시켰다. 반응이 종료되면 반응물을 뜨거운 톨루엔 용매를 사용하여 Celite와 Silica-gel를 이용하여 여과를 하였다. 온도를 상온으로 식힘 다음 석출된 생성물을 다시 톨루엔과 아세톤을 사용하여 재결정화하여 원하는 화합물 6-7을 얻어내었다 (수율: 58%).
The starting material S synthesized in step 4) and 4'-Bromo-2,2 ': 6', 2 ”-terpyridine, Pd 2 (dba) 3 , P ( t Bu) 3 and NaO t Bu were dissolved in toluene. Then, the mixture was stirred at 110 ° C. for 6 hours. After the reaction was completed, the reaction was filtered using hot toluene solvent using Celite and Silica-gel. After cooling the temperature to room temperature, the precipitated product was recrystallized again using toluene and acetone to give the desired compound 6-7 (yield: 58%).
유기 abandonment 전계Field 소자의 제조 평가 Manufacturing evaluation of the device
합성을 통해 얻은 화합물 1-3, 2-17, 3-3, 4-14, 5-11, 6-7 각각을 발광층의 발광 호스트 물질로 사용하여 통상적인 방법에 따라 유기전계 발광소자를 제작하였다. 먼저, 유리 기판에 형성된 ITO층(양극) 위에 우선 홀 주입층으로서 구리프탈로사이아닌(이하 CuPc로 약기함)막을 진공증착하여 10 nm 두께로 형성하였다. 이어서, 이 막 상에 전공수송 화합물로서 4,4-비스[N-(1-나프틸)-N-페닐아미노]비페닐 (이하 α-NPD로 약기함)을 30 nm의 두께로 진공증착하여 홀 수송층을 형성하였다.Compounds 1-3, 2-17, 3-3, 4-14, 5-11, and 6-7 obtained through synthesis were used as light emitting host materials of the light emitting layer, thereby manufacturing an organic light emitting diode according to a conventional method. . First, a copper phthalocyanine (hereinafter abbreviated as CuPc) film was vacuum-deposited on the ITO layer (anode) formed on the glass substrate to form a thickness of 10 nm. Subsequently, 4,4-bis [N- (1-naphthyl) -N-phenylamino] biphenyl (hereinafter abbreviated as α-NPD) was vacuum-deposited onto the membrane as a major transport compound. A hole transport layer was formed.
홀 수송층을 형성한 후, 이 홀 수송층 상부에 화합물 1-3, 2-17, 3-3, 4-14, 5-11 또는 6-7 각각을 인광 호스트 재료로서 증착하여 발광층을 성막하였다. 동시에 인광 발광성의 Ir 금속착체 도펀트로서 트리스(2-페닐피리딘)이리듐 (이하 I r(ppy)3로 약기함)을 첨가하였다. 이때 발광층 중에 있어서의 I r(ppy)3의 농도는 5중량%로 하였다. 홀 저지층으로 (1,1’-비스페닐)-4-올레이토)비스(2-메틸-8-퀴놀린올레이토)알루미늄 (이하 BAlq로 약기함)을 10 nm 의 두께로 진공증착하고, 이어서 전자주입층으로 트리스(8-퀴놀리놀)알루미늄 (이하 Alq3로 약칭함)을 40 nm의 두께로 성막하였다. 이 후, 할로젠화 알칼리 금속인 LiF를 0.2 nm의 두께로 증착하고, 이어서 Al을 150 nm의 두께로 증착하여 이 Al/LiF를 음극으로 사용함으로서 유기전계 발광소자를 제조하였다.
After the hole transport layer was formed, each of compounds 1-3, 2-17, 3-3, 4-14, 5-11, or 6-7 was deposited as a phosphorescent host material on the hole transport layer to form a light emitting layer. At the same time, tris (2-phenylpyridine) iridium (abbreviated as I r (ppy) 3 hereinafter) was added as a phosphorescent Ir metal complex dopant. At this time, the concentration of I r (ppy) 3 in the light emitting layer was 5% by weight. (1,1'-bisphenyl) -4-oleito) bis (2-methyl-8-quinolineoleito) aluminum (hereinafter abbreviated as BAlq) was vacuum-deposited to a thickness of 10 nm as a hole blocking layer. Tris (8-quinolinol) aluminum (hereinafter abbreviated as Alq 3 ) was formed into an electron injection layer to a thickness of 40 nm. Thereafter, LiF, an alkali metal halide, was deposited to a thickness of 0.2 nm, and then Al was deposited to a thickness of 150 nm to use an Al / LiF as a cathode to prepare an organic light emitting device.
비교실험예1Comparative Example 1
비교를 위해, 본 발명의 화합물 대신에 화학식 13로 표시되는 화합물(이하 CBP로 약기함)을 발광 호스트 물질로 사용하여 시험예와 동일한 구조의 유기전계발광소자를 제작하였다. For comparison, an organic electroluminescent device having the same structure as the test example was manufactured using a compound represented by Chemical Formula 13 (hereinafter abbreviated as CBP) as a light emitting host material instead of the compound of the present invention.
호스트 재료Emitting layer
Host material
( V )Voltage
(V)
( mA/cm2 )Current density
(mA / cm 2 )
( cd/A )Luminous efficiency
(cd / A)
( x, y )Chromaticity coordinates
(x, y)
상기 표 1의 결과로부터 알 수 있듯이, 상기 표의 결과로부터 알 수 있듯이, 본 발명의 유기전계발광소자용 재료를 이용한 유기전계발광소자는 발광효율이 비교예로 사용된 CBP에 비해 월등히 우수할 뿐만 아니라 색순도가 현저히 개선된 녹색 발광이 얻어지므로 유기전계발광 소자의 인광 호스트 물질로 사용되어 발광효율 및 색순도를 현저히 개선시킬 수 있다.
As can be seen from the results of Table 1, as can be seen from the results of the table, the organic electroluminescent device using the organic electroluminescent device material of the present invention is not only excellent in the luminous efficiency compared to the CBP used as a comparative example, Since green light emission is obtained, which is a markedly improved color purity, it can be used as a phosphorescent host material of an organic light emitting display device, which can significantly improve luminous efficiency and color purity.
본 발명의 화합물들을 유기전계발광소자의 다른 유기물층들, 예를 들어 발광층의 호스트 재료 뿐만 아니라, 전자주입층, 전자수송층, 정공주입층 및 정공수송층에 사용되더라도 동일한 효과를 얻을 수 있는 것은 자명하다.
It is apparent that the same effect can be obtained even when the compounds of the present invention are used in other organic material layers of the organic light emitting device, for example, the host material of the light emitting layer, as well as the electron injection layer, the electron transport layer, the hole injection layer and the hole transport layer.
이상의 설명은 본 발명을 예시적으로 설명한 것에 불과한 것으로, 본 발명이 속하는 기술분야에서 통상의 지식을 가지는 자라면 본 발명의 본질적인 특성에서 벗어나지 않는 범위에서 다양한 변형이 가능할 것이다. 따라서, 본 명세서에 개시된 실시예들은 본 발명을 한정하기 위한 것이 아니라 설명하기 위한 것이고, 이러한 실시예에 의하여 본 발명의 사상과 범위가 한정되는 것은 아니다.While the present invention has been described with reference to exemplary embodiments, it is to be understood that the invention is not limited to the disclosed exemplary embodiments. Accordingly, the embodiments disclosed herein are intended to be illustrative rather than limiting, and the spirit and scope of the present invention are not limited by these embodiments.
본 발명의 보호범위는 아래의 청구범위에 의하여 해석되어야 하며, 그와 동등한 범위 내에 있는 모든 기술은 본 발명의 권리범위에 포함되는 것으로 해석되어야 할 것이다.The protection scope of the present invention should be interpreted by the following claims, and all the technologies within the equivalent scope should be interpreted as being included in the scope of the present invention.
Claims (14)
위 화학식에 있어서,
(1) R1, R2, R3, R4, R5, R6, R7, R8, R9 및 R10은 각각 서로 독립적으로 수소 원자, 할로겐 원자, 시아노기, 알콕시기, 티올기, 치환 또는 비치환된 탄소수 1 내지 50의 알킬기, 치환 또는 비치환된 탄소수 1 내지 50의 알콕시기, 치환 또는 비치환의 탄소수 1 내지 50의 알케닐기, 치환 또는 비치환의 탄소수 5 내지 60의 아릴렌기, 치환 또는 비치환된 탄소수 5 내지 60의 아릴기, 치환 또는 비치환된 탄소수 5 내지 60의 아릴옥시기, 황(S), 질소(N), 산소(O), 인(P) 및 규소(Si)를 적어도 하나 이상 포함하는 치환 또는 비치환된 탄소수 1 내지 50의 알킬기 또는 황(S), 질소(N), 산소(O), 인(P) 및 규소(Si)를 적어도 하나 이상 포함하는 치환 또는 비치환된 탄소수 5 내지 60의 헤테로아릴기 또는 황(S), 질소(N), 산소(O), 인(P) 및 규소(Si)를 적어도 하나 이상 포함하는 치환 또는 비치환된 탄소수 5 내지 60의 헤테로아릴옥시기이다.
(2) Ar은 탄소(C)로 이루어진 탄소수 6 내지 60의 방향족화합물로 치환 또는 비치환되어 있다.A compound represented by the following formula.
In the above formula,
(1) R 1 , R 2 , R 3 , R 4 , R 5 , R 6 , R 7 , R 8 , R 9 and R 10 are each independently a hydrogen atom, a halogen atom, a cyano group, an alkoxy group, a thiol Groups, substituted or unsubstituted C1-C50 alkyl groups, substituted or unsubstituted C1-C50 alkoxy groups, substituted or unsubstituted C1-C50 alkenyl groups, substituted or unsubstituted C5-C60 arylene groups , Substituted or unsubstituted aryl group having 5 to 60 carbon atoms, substituted or unsubstituted aryloxy group having 5 to 60 carbon atoms, sulfur (S), nitrogen (N), oxygen (O), phosphorus (P) and silicon ( At least one substituted or unsubstituted alkyl group having 1 to 50 carbon atoms or at least one of sulfur (S), nitrogen (N), oxygen (O), phosphorus (P) and silicon (Si) Substituted or unsubstituted heteroaryl group having 5 to 60 carbon atoms or at least one containing sulfur (S), nitrogen (N), oxygen (O), phosphorus (P) and silicon (Si) or It is an unsubstituted heteroaryloxy group having 5 to 60 carbon atoms.
(2) Ar is substituted or unsubstituted with an aromatic compound having 6 to 60 carbon atoms made of carbon (C).
위 화학식에 있어서,
(1) R1, R2, R3, R4, R5, R6, R7, R8, R9 및 R10은 각각 서로 독립적으로 수소 원자, 할로겐 원자, 시아노기, 알콕시기, 티올기, 치환 또는 비치환된 탄소수 1 내지 50의 알킬기, 치환 또는 비치환된 탄소수 1 내지 50의 알콕시기, 치환 또는 비치환의 탄소수 1 내지 50의 알케닐기, 치환 또는 비치환의 탄소수 5 내지 60의 아릴렌기, 치환 또는 비치환된 탄소수 5 내지 60의 아릴기, 치환 또는 비치환된 탄소수 5 내지 60의 아릴옥시기, 황(S), 질소(N), 산소(O), 인(P) 및 규소(Si)를 적어도 하나 이상 포함하는 치환 또는 비치환된 탄소수 1 내지 50의 알킬기 또는 황(S), 질소(N), 산소(O), 인(P) 및 규소(Si)를 적어도 하나 이상 포함하는 치환 또는 비치환된 탄소수 5 내지 60의 헤테로아릴기 또는 황(S), 질소(N), 산소(O), 인(P) 및 규소(Si)를 적어도 하나 이상 포함하는 치환 또는 비치환된 탄소수 5 내지 60의 헤테로아릴옥시기이다.
(2) HAr은 탄소(C)를 제외한 다른 원소를 하나 이상 포함하는 것으로 탄소수 1 내지 60의 헤테로 고리화합물로 치환 또는 비치환되어 있다.The compound represented by the following formula.
In the above formula,
(1) R 1 , R 2 , R 3 , R 4 , R 5 , R 6 , R 7 , R 8 , R 9 and R 10 are each independently a hydrogen atom, a halogen atom, a cyano group, an alkoxy group, a thiol Groups, substituted or unsubstituted C1-C50 alkyl groups, substituted or unsubstituted C1-C50 alkoxy groups, substituted or unsubstituted C1-C50 alkenyl groups, substituted or unsubstituted C5-C60 arylene groups , Substituted or unsubstituted aryl group having 5 to 60 carbon atoms, substituted or unsubstituted aryloxy group having 5 to 60 carbon atoms, sulfur (S), nitrogen (N), oxygen (O), phosphorus (P) and silicon ( At least one substituted or unsubstituted alkyl group having 1 to 50 carbon atoms or at least one of sulfur (S), nitrogen (N), oxygen (O), phosphorus (P) and silicon (Si) Substituted or unsubstituted heteroaryl group having 5 to 60 carbon atoms or at least one containing sulfur (S), nitrogen (N), oxygen (O), phosphorus (P) and silicon (Si) or It is an unsubstituted heteroaryloxy group having 5 to 60 carbon atoms.
(2) HAr contains one or more elements other than carbon (C) and is unsubstituted or substituted with a heterocyclic compound having 1 to 60 carbon atoms.
위 화학식에 있어서,
(1) R1, R2, R3, R4, R5, R6, R7, R8, R9 및 R10은 각각 서로 독립적으로 수소 원자, 할로겐 원자, 시아노기, 알콕시기, 티올기, 치환 또는 비치환된 탄소수 1 내지 50의 알킬기, 치환 또는 비치환된 탄소수 1 내지 50의 알콕시기, 치환 또는 비치환의 탄소수 1 내지 50의 알케닐기, 치환 또는 비치환의 탄소수 5 내지 60의 아릴렌기, 치환 또는 비치환된 탄소수 5 내지 60의 아릴기, 치환 또는 비치환된 탄소수 5 내지 60의 아릴옥시기, 황(S), 질소(N), 산소(O), 인(P) 및 규소(Si)를 적어도 하나 이상 포함하는 치환 또는 비치환된 탄소수 1 내지 50의 알킬기 또는 황(S), 질소(N), 산소(O), 인(P) 및 규소(Si)를 적어도 하나 이상 포함하는 치환 또는 비치환된 탄소수 5 내지 60의 헤테로아릴기 또는 황(S), 질소(N), 산소(O), 인(P) 및 규소(Si)를 적어도 하나 이상 포함하는 치환 또는 비치환된 탄소수 5 내지 60의 헤테로아릴옥시기이다.
(2) Ar은 탄소(C)로 이루어진 탄소수 6 내지 60의 방향족화합물로 치환 또는 비치환되어 있다.
A compound represented by the following formula.
In the above formula,
(1) R 1 , R 2 , R 3 , R 4 , R 5 , R 6 , R 7 , R 8 , R 9 and R 10 are each independently a hydrogen atom, a halogen atom, a cyano group, an alkoxy group, a thiol Groups, substituted or unsubstituted C1-C50 alkyl groups, substituted or unsubstituted C1-C50 alkoxy groups, substituted or unsubstituted C1-C50 alkenyl groups, substituted or unsubstituted C5-C60 arylene groups , Substituted or unsubstituted aryl group having 5 to 60 carbon atoms, substituted or unsubstituted aryloxy group having 5 to 60 carbon atoms, sulfur (S), nitrogen (N), oxygen (O), phosphorus (P) and silicon ( At least one substituted or unsubstituted alkyl group having 1 to 50 carbon atoms or at least one of sulfur (S), nitrogen (N), oxygen (O), phosphorus (P) and silicon (Si) Substituted or unsubstituted heteroaryl group having 5 to 60 carbon atoms or at least one containing sulfur (S), nitrogen (N), oxygen (O), phosphorus (P) and silicon (Si) or It is an unsubstituted heteroaryloxy group having 5 to 60 carbon atoms.
(2) Ar is substituted or unsubstituted with an aromatic compound having 6 to 60 carbon atoms made of carbon (C).
위 화학식에 있어서,
(1) R1, R2, R3, R4, R5, R6, R7, R8, R9 및 R10은 각각 서로 독립적으로 수소 원자, 할로겐 원자, 시아노기, 알콕시기, 티올기, 치환 또는 비치환된 탄소수 1 내지 50의 알킬기, 치환 또는 비치환된 탄소수 1 내지 50의 알콕시기, 치환 또는 비치환의 탄소수 1 내지 50의 알케닐기, 치환 또는 비치환의 탄소수 5 내지 60의 아릴렌기, 치환 또는 비치환된 탄소수 5 내지 60의 아릴기, 치환 또는 비치환된 탄소수 5 내지 60의 아릴옥시기, 황(S), 질소(N), 산소(O), 인(P) 및 규소(Si)를 적어도 하나 이상 포함하는 치환 또는 비치환된 탄소수 1 내지 50의 알킬기 또는 황(S), 질소(N), 산소(O), 인(P) 및 규소(Si)를 적어도 하나 이상 포함하는 치환 또는 비치환된 탄소수 5 내지 60의 헤테로아릴기 또는 황(S), 질소(N), 산소(O), 인(P) 및 규소(Si)를 적어도 하나 이상 포함하는 치환 또는 비치환된 탄소수 5 내지 60의 헤테로아릴옥시기이다.
(2) Ar은 탄소(C)로 이루어진 탄소수 6 내지 60의 방향족화합물로 치환 또는 비치환될 수 있다.
(3) HAr은 탄소(C)를 제외한 다른 원소를 하나 이상 포함하는 것으로 탄소수 1 내지 60의 헤테로 고리화합물로 치환 또는 비치환되어 있다.A compound represented by the following formula.
In the above formula,
(1) R 1 , R 2 , R 3 , R 4 , R 5 , R 6 , R 7 , R 8 , R 9 and R 10 are each independently a hydrogen atom, a halogen atom, a cyano group, an alkoxy group, a thiol Groups, substituted or unsubstituted C1-C50 alkyl groups, substituted or unsubstituted C1-C50 alkoxy groups, substituted or unsubstituted C1-C50 alkenyl groups, substituted or unsubstituted C5-C60 arylene groups , Substituted or unsubstituted aryl group having 5 to 60 carbon atoms, substituted or unsubstituted aryloxy group having 5 to 60 carbon atoms, sulfur (S), nitrogen (N), oxygen (O), phosphorus (P) and silicon ( At least one substituted or unsubstituted alkyl group having 1 to 50 carbon atoms or at least one of sulfur (S), nitrogen (N), oxygen (O), phosphorus (P) and silicon (Si) Substituted or unsubstituted heteroaryl group having 5 to 60 carbon atoms or at least one containing sulfur (S), nitrogen (N), oxygen (O), phosphorus (P) and silicon (Si) or It is an unsubstituted heteroaryloxy group having 5 to 60 carbon atoms.
(2) Ar may be substituted or unsubstituted with an aromatic compound having 6 to 60 carbon atoms made of carbon (C).
(3) HAr contains one or more elements other than carbon (C) and is unsubstituted or substituted with a heterocyclic compound having 1 to 60 carbon atoms.
위 화학식에 있어서,
(1) R1, R2, R3, R4, R5, R6, R7, R8, R9 및 R10은 각각 서로 독립적으로 수소 원자, 할로겐 원자, 시아노기, 알콕시기, 티올기, 치환 또는 비치환된 탄소수 1 내지 50의 알킬기, 치환 또는 비치환된 탄소수 1 내지 50의 알콕시기, 치환 또는 비치환의 탄소수 1 내지 50의 알케닐기, 치환 또는 비치환의 탄소수 5 내지 60의 아릴렌기, 치환 또는 비치환된 탄소수 5 내지 60의 아릴기, 치환 또는 비치환된 탄소수 5 내지 60의 아릴옥시기, 황(S), 질소(N), 산소(O), 인(P) 및 규소(Si)를 적어도 하나 이상 포함하는 치환 또는 비치환된 탄소수 1 내지 50의 알킬기 또는 황(S), 질소(N), 산소(O), 인(P) 및 규소(Si)를 적어도 하나 이상 포함하는 치환 또는 비치환된 탄소수 5 내지 60의 헤테로아릴기 또는 황(S), 질소(N), 산소(O), 인(P) 및 규소(Si)를 적어도 하나 이상 포함하는 치환 또는 비치환된 탄소수 5 내지 60의 헤테로아릴옥시기이다.
(2) HAr은 탄소(C)를 제외한 다른 원소를 하나 이상 포함하는 것으로 탄소수 1 내지 60의 헤테로 고리화합물로 치환 또는 비치환될 수 있다.
(3) Ar은 탄소(C)로 이루어진 탄소수 6 내지 60의 방향족화합물로 치환 또는 비치환되어 있다.A compound represented by the following formula.
In the above formula,
(1) R 1 , R 2 , R 3 , R 4 , R 5 , R 6 , R 7 , R 8 , R 9 and R 10 are each independently a hydrogen atom, a halogen atom, a cyano group, an alkoxy group, a thiol Groups, substituted or unsubstituted C1-C50 alkyl groups, substituted or unsubstituted C1-C50 alkoxy groups, substituted or unsubstituted C1-C50 alkenyl groups, substituted or unsubstituted C5-C60 arylene groups , Substituted or unsubstituted aryl group having 5 to 60 carbon atoms, substituted or unsubstituted aryloxy group having 5 to 60 carbon atoms, sulfur (S), nitrogen (N), oxygen (O), phosphorus (P) and silicon ( At least one substituted or unsubstituted alkyl group having 1 to 50 carbon atoms or at least one of sulfur (S), nitrogen (N), oxygen (O), phosphorus (P) and silicon (Si) Substituted or unsubstituted heteroaryl group having 5 to 60 carbon atoms or at least one containing sulfur (S), nitrogen (N), oxygen (O), phosphorus (P) and silicon (Si) or It is an unsubstituted heteroaryloxy group having 5 to 60 carbon atoms.
(2) HAr contains one or more elements other than carbon (C) and may be substituted or unsubstituted with a heterocyclic compound having 1 to 60 carbon atoms.
(3) Ar is substituted or unsubstituted with an aromatic compound having 6 to 60 carbon atoms made of carbon (C).
위 화학식에 있어서,
(1) R1, R2, R3, R4, R5, R6, R7, R8, R9 및 R10은 각각 서로 독립적으로 수소 원자, 할로겐 원자, 시아노기, 알콕시기, 티올기, 치환 또는 비치환된 탄소수 1 내지 50의 알킬기, 치환 또는 비치환된 탄소수 1 내지 50의 알콕시기, 치환 또는 비치환의 탄소수 1 내지 50의 알케닐기, 치환 또는 비치환의 탄소수 5 내지 60의 아릴렌기, 치환 또는 비치환된 탄소수 5 내지 60의 아릴기, 치환 또는 비치환된 탄소수 5 내지 60의 아릴옥시기, 황(S), 질소(N), 산소(O), 인(P) 및 규소(Si)를 적어도 하나 이상 포함하는 치환 또는 비치환된 탄소수 1 내지 50의 알킬기 또는 황(S), 질소(N), 산소(O), 인(P) 및 규소(Si)를 적어도 하나 이상 포함하는 치환 또는 비치환된 탄소수 5 내지 60의 헤테로아릴기 또는 황(S), 질소(N), 산소(O), 인(P) 및 규소(Si)를 적어도 하나 이상 포함하는 치환 또는 비치환된 탄소수 5 내지 60의 헤테로아릴옥시기이다.
(2) HAr은 탄소(C)를 제외한 다른 원소를 하나 이상 포함하는 것으로 탄소수 1 내지 60의 헤테로 고리화합물로 치환 또는 비치환되어 있다.A compound represented by the following formula.
In the above formula,
(1) R 1 , R 2 , R 3 , R 4 , R 5 , R 6 , R 7 , R 8 , R 9 and R 10 are each independently a hydrogen atom, a halogen atom, a cyano group, an alkoxy group, a thiol Groups, substituted or unsubstituted C1-C50 alkyl groups, substituted or unsubstituted C1-C50 alkoxy groups, substituted or unsubstituted C1-C50 alkenyl groups, substituted or unsubstituted C5-C60 arylene groups , Substituted or unsubstituted aryl group having 5 to 60 carbon atoms, substituted or unsubstituted aryloxy group having 5 to 60 carbon atoms, sulfur (S), nitrogen (N), oxygen (O), phosphorus (P) and silicon ( At least one substituted or unsubstituted alkyl group having 1 to 50 carbon atoms or at least one of sulfur (S), nitrogen (N), oxygen (O), phosphorus (P) and silicon (Si) Substituted or unsubstituted heteroaryl group having 5 to 60 carbon atoms or at least one containing sulfur (S), nitrogen (N), oxygen (O), phosphorus (P) and silicon (Si) or It is an unsubstituted heteroaryloxy group having 5 to 60 carbon atoms.
(2) HAr contains one or more elements other than carbon (C) and is unsubstituted or substituted with a heterocyclic compound having 1 to 60 carbon atoms.
상기 R1과 R2, 상기 R2와 R3, 상기 R3와 R4, 상기 R5와 R6, 상기 R6와 R7, 상기 R7과 R8 및 상기 R9과 R10은 인접한 기와 결합하여 포화 또는 불포화 고리를 형성하는 것을 특징으로 하는 화합물.4. The method according to any one of claims 1 to 3,
R 1 and R 2 , R 2 and R 3 , R 3 and R 4 , R 5 and R 6 , R 6 and R 7 , R 7 and R 8, and R 9 and R 10 are adjacent to each other. A compound characterized by combining with a group to form a saturated or unsaturated ring.
상기 화합물은,
으로 구성된 그룹에서 선택된 하나인 것을 특징으로 하는 화합물.The method according to any one of claims 1 to 3,
The compound is,
Compounds, characterized in that one selected from the group consisting of.
상기 화합물을 용액 공정(soluble process)에 의해 상기 유기물층을 형성하는 것을 특징으로 하는 유기전기소자.10. The method of claim 9,
The organic electroluminescent device according to claim 1, wherein the organic layer is formed by a solution process.
상기 유기전기소자는 제1 전극, 상기 1층 이상의 유기물층 및 제2 전극을 순차적으로 적층된 형태로 포함하는 유기전계발광소자인 것을 특징으로 하는 유기전기소자.10. The method of claim 9,
The organic electroluminescent device is an organic electroluminescent device comprising a first electrode, the at least one organic material layer and the second electrode in a stacked form sequentially.
상기 유기물층은 발광층을 포함하며,
상기 발광층에서 상기 화합물이 호스트 물질로 사용되는 것을 특징으로 하는 유기전기소자.The method of claim 11,
The organic material layer includes a light emitting layer,
The organic electroluminescent device according to claim 1, wherein the compound is used as a host material in the emission layer.
상기 디스플레이장치를 구동하는 제어부를 포함하는 단말.A display device comprising the organic electric element of claim 9;
And a control unit for driving the display device.
상기 유기전기소자는 유기전계발광소자(OLED), 유기태양전지, 유기감광체(OPC) 드럼, 유기트랜지스트(유기 TFT), 포토다이오드(photodiode), 유기레이저(organic laser), 레이저 다이오드(laser diode) 중 하나인 것을 특징으로 하는 단말.The method of claim 12,
The organic electroluminescent device includes an organic light emitting diode (OLED), an organic solar cell, an organic photoconductor (OPC) drum, an organic transistor (organic TFT), a photodiode, an organic laser, and a laser diode. Terminal) characterized in that one of.
Priority Applications (1)
| Application Number | Priority Date | Filing Date | Title |
|---|---|---|---|
| KR1020110111767A KR20110133009A (en) | 2011-10-31 | 2011-10-31 | Compound containing five-membered heterocyclic ring, organic electric device using same, and terminal thereof |
Applications Claiming Priority (1)
| Application Number | Priority Date | Filing Date | Title |
|---|---|---|---|
| KR1020110111767A KR20110133009A (en) | 2011-10-31 | 2011-10-31 | Compound containing five-membered heterocyclic ring, organic electric device using same, and terminal thereof |
Related Parent Applications (1)
| Application Number | Title | Priority Date | Filing Date |
|---|---|---|---|
| KR1020090114964A Division KR20110058246A (en) | 2006-11-26 | 2009-11-26 | Compound containing five-membered heterocyclic ring, organic electric device using same, and terminal thereof |
Publications (1)
| Publication Number | Publication Date |
|---|---|
| KR20110133009A true KR20110133009A (en) | 2011-12-09 |
Family
ID=45500815
Family Applications (1)
| Application Number | Title | Priority Date | Filing Date |
|---|---|---|---|
| KR1020110111767A Withdrawn KR20110133009A (en) | 2011-10-31 | 2011-10-31 | Compound containing five-membered heterocyclic ring, organic electric device using same, and terminal thereof |
Country Status (1)
| Country | Link |
|---|---|
| KR (1) | KR20110133009A (en) |
Cited By (2)
| Publication number | Priority date | Publication date | Assignee | Title |
|---|---|---|---|---|
| KR101355558B1 (en) * | 2012-01-18 | 2014-01-27 | 덕산하이메탈(주) | Compound for organic electronic element, organic electronic element using the same, and an electronic device thereof |
| US9755157B2 (en) | 2013-08-05 | 2017-09-05 | Cheil Industries, Inc. | Organic compound and organic optoelectric device and display device |
-
2011
- 2011-10-31 KR KR1020110111767A patent/KR20110133009A/en not_active Withdrawn
Cited By (3)
| Publication number | Priority date | Publication date | Assignee | Title |
|---|---|---|---|---|
| KR101355558B1 (en) * | 2012-01-18 | 2014-01-27 | 덕산하이메탈(주) | Compound for organic electronic element, organic electronic element using the same, and an electronic device thereof |
| US9373806B2 (en) | 2012-01-18 | 2016-06-21 | Duk San Neolux Co., Ltd. | Compound for organic electric element, organic electric element comprising the same and electronic device thereof |
| US9755157B2 (en) | 2013-08-05 | 2017-09-05 | Cheil Industries, Inc. | Organic compound and organic optoelectric device and display device |
Similar Documents
| Publication | Publication Date | Title |
|---|---|---|
| KR101181280B1 (en) | Compound Containing 5-Membered Heterocycle And Organic Electronic Element Using The Same, Terminal Thereof | |
| KR101108512B1 (en) | Compound containing five-membered heterocyclic ring, organic electric device using same, and terminal thereof | |
| KR101219492B1 (en) | Compound Containing 5-Membered Heterocycle And Organic Electronic Element Using The Same, Terminal Thereof | |
| KR101115036B1 (en) | Compound Containing Thianthrene And Organic Electronic Element Using The Same, Terminal Thereof | |
| KR101144358B1 (en) | Compound Containing 5-Membered Heterocycle And Organic Electronic Element Using The Same, Terminal Thereof | |
| KR101181266B1 (en) | Bisdiarylamine Chemical Comprising Carbazole Derivatives and Organic Electronic Element using the same, Terminal thereof | |
| KR101305934B1 (en) | Chemical and Organic Electronic Element using the same, Terminal thereof | |
| KR20130076842A (en) | Compound containing five membered heterocyclic compound, and organic electronic element using the same, terminal thereof | |
| KR20110066763A (en) | Compound containing indolo acridine and organic electric device using the same, the terminal | |
| KR101219475B1 (en) | Compound Containing Indoloacridine And Organic Electronic Element Using The Same, Terminal Thereof | |
| KR20110129766A (en) | Compound containing five-membered heterocycle, and organic electric device using the same, the terminal | |
| KR20110092262A (en) | Compound containing a hetero ring in the carbazole skeleton, and an organic electric device using the same, the terminal | |
| KR101147318B1 (en) | Compound Containing 5-Membered Heterocycle And Organic Electronic Element Using The Same, Terminal Thereof | |
| KR101219485B1 (en) | Chemical comprising dibenzocarbazole and organic electroric element using the same, terminal thererof | |
| KR101497122B1 (en) | Compound Containing At Least Two 5-Membered Heterocycle And Organic Electronic Element Using The Same, Terminal Thereof | |
| KR20110092263A (en) | Compound having two or more five-membered heterocyclic rings, organic electric device using same, and terminal | |
| KR101497123B1 (en) | Compound Containing 5-Membered Heterocycle And Organic Electronic Element Using The Same, Terminal Thereof | |
| KR20110105268A (en) | Compound containing indoloquinoline and organic electric device using same, terminal thereof | |
| KR101146929B1 (en) | Compound Containing At Least Two 5-Membered Heterocycle And Organic Electronic Element Using The Same, Terminal Thereof | |
| KR20110133010A (en) | Compound containing five-membered heterocyclic ring, organic electric device using same, and terminal thereof | |
| KR20110133007A (en) | Compound containing five-membered heterocyclic ring, organic electric device using same, and terminal thereof | |
| KR20100125928A (en) | Compound containing two or more five-membered heterocycle, and organic electric device using the same, the terminal | |
| KR20110133009A (en) | Compound containing five-membered heterocyclic ring, organic electric device using same, and terminal thereof | |
| KR20110133008A (en) | Compound containing five-membered heterocyclic ring, organic electric device using same, and terminal thereof | |
| KR20110058248A (en) | Compound containing five-membered heterocyclic ring, organic electric device using same, and terminal thereof |
Legal Events
| Date | Code | Title | Description |
|---|---|---|---|
| A107 | Divisional application of patent | ||
| PA0107 | Divisional application |
Comment text: Divisional Application of Patent Patent event date: 20111031 Patent event code: PA01071R01D |
|
| PG1501 | Laying open of application | ||
| N231 | Notification of change of applicant | ||
| PN2301 | Change of applicant |
Patent event date: 20130708 Comment text: Notification of Change of Applicant Patent event code: PN23011R01D |
|
| PC1203 | Withdrawal of no request for examination | ||
| WITN | Application deemed withdrawn, e.g. because no request for examination was filed or no examination fee was paid |












































































