KR20100093834A - Method for generating optimal trajectory of a biped robot for walking up a staircase - Google Patents
Method for generating optimal trajectory of a biped robot for walking up a staircase Download PDFInfo
- Publication number
- KR20100093834A KR20100093834A KR1020090012939A KR20090012939A KR20100093834A KR 20100093834 A KR20100093834 A KR 20100093834A KR 1020090012939 A KR1020090012939 A KR 1020090012939A KR 20090012939 A KR20090012939 A KR 20090012939A KR 20100093834 A KR20100093834 A KR 20100093834A
- Authority
- KR
- South Korea
- Prior art keywords
- stairs
- leg
- robot
- joint
- climbing
- Prior art date
- Legal status (The legal status is an assumption and is not a legal conclusion. Google has not performed a legal analysis and makes no representation as to the accuracy of the status listed.)
- Granted
Links
- 238000000034 method Methods 0.000 title claims abstract description 31
- 210000002414 leg Anatomy 0.000 claims abstract description 54
- 230000009194 climbing Effects 0.000 claims abstract description 32
- 210000003141 lower extremity Anatomy 0.000 claims abstract description 18
- 238000005457 optimization Methods 0.000 claims abstract description 16
- 210000000689 upper leg Anatomy 0.000 claims abstract description 9
- 210000000544 articulatio talocruralis Anatomy 0.000 claims abstract description 7
- 210000000629 knee joint Anatomy 0.000 claims abstract description 7
- 210000002683 foot Anatomy 0.000 claims description 25
- 210000003423 ankle Anatomy 0.000 claims description 12
- 210000001503 joint Anatomy 0.000 claims description 7
- 230000005484 gravity Effects 0.000 claims description 6
- 210000003127 knee Anatomy 0.000 claims description 5
- 230000033001 locomotion Effects 0.000 description 11
- 238000004364 calculation method Methods 0.000 description 6
- 238000004422 calculation algorithm Methods 0.000 description 4
- 238000010586 diagram Methods 0.000 description 3
- 238000000605 extraction Methods 0.000 description 3
- 238000005516 engineering process Methods 0.000 description 2
- 230000002068 genetic effect Effects 0.000 description 2
- 230000032683 aging Effects 0.000 description 1
- 238000004458 analytical method Methods 0.000 description 1
- 238000005094 computer simulation Methods 0.000 description 1
- 230000018109 developmental process Effects 0.000 description 1
- 230000000694 effects Effects 0.000 description 1
- 238000005265 energy consumption Methods 0.000 description 1
- 230000005021 gait Effects 0.000 description 1
- 230000037230 mobility Effects 0.000 description 1
- 230000002265 prevention Effects 0.000 description 1
- 238000005070 sampling Methods 0.000 description 1
- 230000011218 segmentation Effects 0.000 description 1
- 238000004088 simulation Methods 0.000 description 1
- 230000001131 transforming effect Effects 0.000 description 1
Images
Classifications
-
- B—PERFORMING OPERATIONS; TRANSPORTING
- B62—LAND VEHICLES FOR TRAVELLING OTHERWISE THAN ON RAILS
- B62D—MOTOR VEHICLES; TRAILERS
- B62D57/00—Vehicles characterised by having other propulsion or other ground- engaging means than wheels or endless track, alone or in addition to wheels or endless track
- B62D57/02—Vehicles characterised by having other propulsion or other ground- engaging means than wheels or endless track, alone or in addition to wheels or endless track with ground-engaging propulsion means, e.g. walking members
- B62D57/032—Vehicles characterised by having other propulsion or other ground- engaging means than wheels or endless track, alone or in addition to wheels or endless track with ground-engaging propulsion means, e.g. walking members with alternately or sequentially lifted supporting base and legs; with alternately or sequentially lifted feet or skid
-
- B—PERFORMING OPERATIONS; TRANSPORTING
- B25—HAND TOOLS; PORTABLE POWER-DRIVEN TOOLS; MANIPULATORS
- B25J—MANIPULATORS; CHAMBERS PROVIDED WITH MANIPULATION DEVICES
- B25J9/00—Programme-controlled manipulators
- B25J9/06—Programme-controlled manipulators characterised by multi-articulated arms
-
- B—PERFORMING OPERATIONS; TRANSPORTING
- B25—HAND TOOLS; PORTABLE POWER-DRIVEN TOOLS; MANIPULATORS
- B25J—MANIPULATORS; CHAMBERS PROVIDED WITH MANIPULATION DEVICES
- B25J9/00—Programme-controlled manipulators
- B25J9/16—Programme controls
- B25J9/1615—Programme controls characterised by special kind of manipulator, e.g. planar, scara, gantry, cantilever, space, closed chain, passive/active joints and tendon driven manipulators
- B25J9/162—Mobile manipulator, movable base with manipulator arm mounted on it
-
- B—PERFORMING OPERATIONS; TRANSPORTING
- B25—HAND TOOLS; PORTABLE POWER-DRIVEN TOOLS; MANIPULATORS
- B25J—MANIPULATORS; CHAMBERS PROVIDED WITH MANIPULATION DEVICES
- B25J9/00—Programme-controlled manipulators
- B25J9/16—Programme controls
- B25J9/1628—Programme controls characterised by the control loop
- B25J9/1633—Programme controls characterised by the control loop compliant, force, torque control, e.g. combined with position control
-
- Y—GENERAL TAGGING OF NEW TECHNOLOGICAL DEVELOPMENTS; GENERAL TAGGING OF CROSS-SECTIONAL TECHNOLOGIES SPANNING OVER SEVERAL SECTIONS OF THE IPC; TECHNICAL SUBJECTS COVERED BY FORMER USPC CROSS-REFERENCE ART COLLECTIONS [XRACs] AND DIGESTS
- Y10—TECHNICAL SUBJECTS COVERED BY FORMER USPC
- Y10S—TECHNICAL SUBJECTS COVERED BY FORMER USPC CROSS-REFERENCE ART COLLECTIONS [XRACs] AND DIGESTS
- Y10S901/00—Robots
- Y10S901/01—Mobile robot
Landscapes
- Engineering & Computer Science (AREA)
- Mechanical Engineering (AREA)
- Robotics (AREA)
- Chemical & Material Sciences (AREA)
- Combustion & Propulsion (AREA)
- Transportation (AREA)
- Health & Medical Sciences (AREA)
- General Health & Medical Sciences (AREA)
- Orthopedic Medicine & Surgery (AREA)
- Manipulator (AREA)
Abstract
본 발명은 인간처럼 두 다리로 걸을 수 있는 인간형 로봇의 계단 보행을 위해 하지 관절모터들의 최적 궤적을 세분화하여 생성하는 설계 방법에 관한 것으로, 오른쪽 하지와 왼쪽 하지의 발목 관절과, 무릎 관절, 대퇴부 관절 각각에 관절모터를 구비한 이족 인간형 로봇의 계단 오르기를 위한 최적 궤적 설계 방법에 있어서, 투영(projection) 기법을 이용하여 로봇의 3차원 모델을 계산하여 모든 하지 관절에 대한 3차원 좌표를 획득하는 단계; 계단 오르기의 동작을 에너지 효율을 고려하여 복수개의 동작으로 구분하는 단계; 상기 구분된 각각의 동작 단계에서 로봇의 하지의 각 링크 길이와 질량을 이용하여 계단 보행 시 각 단계별로 관절에서 발생하는 토크를 계산하는 단계; 상기 3차원 모델로부터 계단 보행 시 각 시점의 영 모멘트 점(zero moment point, ZMP)을 계산하는 단계; 다항 함수(polynomial function)를 이용해서 계단 보행 중의 하지 관절 모터의 각 궤적 추이를 생성하는 단계; 연산적 최적화 기법을 이용해서 상기 다항 함수의 계수들을 컴퓨터로 탐색하는 단계를 포함하는 것을 특징으로 한다. The present invention relates to a design method for subdividing the optimal trajectories of the lower extremity joint motors for stair walking of a humanoid robot that can walk on two legs like a human, and includes ankle joints, knee joints, and thigh joints of the lower and lower extremities. An optimal trajectory design method for climbing stairs of a biped humanoid robot having a joint motor in each step, comprising: calculating a three-dimensional model of the robot using a projection technique and obtaining three-dimensional coordinates of all lower leg joints ; Dividing the operation of the stair climbing into a plurality of operations in consideration of energy efficiency; Calculating torque generated in the joint at each step when walking the stairs by using each link length and mass of the lower limb of the robot in each divided operation step; Calculating a zero moment point (ZMP) at each time point when walking the stairs from the 3D model; Generating a trajectory trajectory of the lower limb joint motor during stair walking using a polynomial function; Computing the coefficients of the polynomial function by a computer using a computational optimization technique.
Description
본 발명은 이족 인간형 로봇의 계단 오르기를 위한 최적 궤적 설계 방법에 관한 것으로, 더욱 상세하게는 인간처럼 두 다리로 걸을 수 있는 인간형 로봇의 계단 보행을 위해 하지 관절모터들의 최적 궤적을 세분화하여 생성하는 설계 방법에 관한 것이다. The present invention relates to a method for designing an optimal trajectory for climbing stairs of a biped humanoid robot, and more specifically, a design for subdividing an optimal trajectory of lower limb joint motors for stair walking of a humanoid robot that can walk with two legs like a human. It is about a method.
현재 사회에서 급속히 진행되고 있는 인구의 노령화로 인해 각 가정에서 방범, 심부름, 홈 케어 등 인간의 활동을 보조 또는 대체할 지능형 서비스 로봇의 필요성이 증대되고 있다. 인간이 주거하는 환경인 주택이나 사무실에서 공존하면서 최대의 이동성이 보장되는 로봇은 인간형 로봇임을 고려할 때, 휴머노이드의 평지에서의 이족 보행 뿐만 아니라 계단에서의 보행 기술도 대단히 중요함을 알 수 있다. 그러므로 휴머노이드가 계단이나 경사면 또는 복잡한 보행 환경에서도 안정적으로 보행할 수 있게 하는 지능적 이족보행 기술의 발전이 크게 요구되고 있다.The rapidly aging population in society is increasing the need for intelligent service robots to assist or replace human activities such as crime prevention, errands and home care. Considering that humanoid robots that coexist in homes or offices, which are human dwelling environments, guarantee the maximum mobility, humanoid robots are not only bipedal walking on the plains but also walking technology on stairs. Therefore, there is a great demand for the development of intelligent bipedal walking technology that enables humanoids to walk stably even on stairs, slopes, or complex walking environments.
현재까지 휴머노이드의 이족 계단 보행의 안정성에 관한 많은 연구가 진행되고 있으며 계단 보행 궤적을 생성할 때 인간의 보행 데이터를 추출하여 적용하고 있다. 안전한 계단 보행을 위한 인간 보행 특성 추출 방법(임인식 외, "유전자 알고리즘을 이용한 인간형 로봇의 최적화 계단 보행 궤적 생성", 대한기계학회 춘계학술대회 논문집, 2006)과 인간의 보행 패턴 분석을 통한 최적의 보행 제어 인자 연구(하승석 외, "인간의 보행 패턴 분석을 통한 최적의 보행 제어 인자 추출에 대한 연구", 한국 퍼지 및 지능시스템학회 춘계학술대회 논문집, 제 17권 제 1호, 2007)등의 연구가 이루어져 왔다. To date, many studies on the stability of biped stair walking of humanoids have been conducted, and human walking data have been extracted and applied when generating the walking trajectory. Extraction of Human Walking Characteristics for Safe Stair Walking (Lim, et al., "Optimization of Stair Walking Trajectory of Humanoid Robot Using Genetic Algorithm", Korean Society of Mechanical Engineers Spring Conference, 2006) Research on control factors (Ha Seung-suk et al., "Study on Optimal Gait Control Factor Extraction through Human Walking Pattern Analysis", Proceedings of the Korea Fuzzy Logic and Intelligent Systems Society Spring Conference, Vol. 17, No. 1, 2007) Has been made.
그러나, 이러한 기존의 이족 계단 보행 방법들은 복잡한 계산식을 사용해야 하거나, 모션 캡쳐 등 추가장비를 사용해야 하는 문제점이 있다. However, these existing bipedal walking methods have a problem of using complicated calculation formulas or using additional equipment such as motion capture.
본 발명은 상기와 같은 문제점을 해결하기 위한 것으로, 본 발명의 목적은, 3차원에서의 인간형 로봇을 2차원으로 투영(projection)시키는 모델에서 정확한 보행 궤적 생성을 위해 계단 보행 단계를 세분화하고, 각 단계마다 동역학과 영 모멘트 점(Zero Moment Point; 이하 'ZMP'라 함)을 계산하여 안정성과 에너지 최소화, 정확한 보폭을 동시에 만족시킬 수 있는 하지 관절모터의 최적 궤적을 생성시키는 이족 인간형 로봇의 계단 오르기를 위한 최적 궤적 설계 방법을 제공함에 있다.The present invention has been made to solve the above problems, and an object of the present invention is to subdivide a step walking step for generating a correct walking trajectory in a model projecting a humanoid robot in two dimensions in two dimensions. Stepping up the stairs of the biped humanoid robot by calculating the dynamics and zero moment points (hereinafter referred to as 'ZMP') for each step to generate the optimal trajectory of the lower limb joint motor that can satisfy stability, energy minimization and accurate stride. To provide an optimal trajectory design method for
상기와 같은 목적을 달성하기 위한 본 발명은, 오른쪽 하지와 왼쪽 하지의 발목 관절과, 무릎 관절, 대퇴부 관절 각각에 관절모터를 구비한 이족 인간형 로봇의 계단 오르기를 위한 최적 궤적 설계 방법에 있어서, 투영(projection) 기법을 이용하여 로봇의 3차원 모델을 계산하여 모든 하지 관절에 대한 3차원 좌표를 획득하는 단계; 계단 오르기의 동작을 에너지 효율을 고려하여 복수개의 동작으로 구분하는 단계; 상기 구분된 각각의 동작 단계에서 로봇의 하지의 각 링크 길이와 질량을 이용하여 계단 보행 시 각 단계별로 관절에서 발생하는 토크를 계산하는 단계; 상기 3차원 모델로부터 계단 보행 시 각 시점의 영 모멘트 점(zero moment point, ZMP)을 계산하는 단계; 다항 함수(polynomial function)를 이용해서 계단 보행 중의 하지 관절 모터의 각 궤적 추이를 생성하는 단계; 연산적 최적화 기법을 이용해서 상기 다항 함수의 계수들을 컴퓨터로 탐색하는 단계를 포함하는 것을 특징으로 하는 이족 인간형 로봇의 계단 오르기를 위한 최적 궤적 설계 방법을 제공한다. In the present invention for achieving the above object, in the optimum trajectory design method for climbing the stairs of the biped humanoid robot having a joint motor in each of the ankle joint, knee joint, thigh joint of the right lower leg and left lower leg, projection calculating a three-dimensional model of the robot by using a (projection) technique to obtain three-dimensional coordinates of all the leg joints; Dividing the operation of the stair climbing into a plurality of operations in consideration of energy efficiency; Calculating torque generated in the joint at each step when walking the stairs by using each link length and mass of the lower limb of the robot in each divided operation step; Calculating a zero moment point (ZMP) at each time point when walking the stairs from the 3D model; Generating a trajectory trajectory of the lower limb joint motor during stair walking using a polynomial function; The present invention provides an optimal trajectory design method for climbing a step of a biped humanoid robot, comprising the step of computing the coefficients of the polynomial function using a computer optimization technique.
이와 같은 본 발명은 기구학 계산방법을 이용하여 인간형 이족 로봇의 계단 오르기 보행 동작을 4단계로 나누어 간편하고 정확하게 계산할 수 있도록 한다. As described above, the present invention divides the walking step movement of the humanoid biped robot into four steps using a kinematic calculation method so that it can be easily and accurately calculated.
본 발명은 하지를 구성하는 각 링크의 길이와 질량, 관절 모터의 기준 회전 방향만 알면 로봇의 종류와 상관 없이 모든 인간형 로봇에 적용할 수 있는 장점이 있다. The present invention has the advantage that it can be applied to all humanoid robots regardless of the type of robot only knowing the length and mass of each link constituting the lower limbs, the reference rotation direction of the joint motor.
본 발명에 의해 생성된 최적 궤적은 기존의 인간형 로봇에 기준 궤적(reference trajectory)으로 사용되어 계단 보행 성능을 향상시킬 수 있다.The optimal trajectory generated by the present invention can be used as a reference trajectory in the existing humanoid robot to improve the step walking performance.
본 발명에서 제안된 계단 보행 세분화 생성 방법은 향후 물건 옮기기, 춤 추기 등 인간형 로봇의 다양한 동작의 세부적 구현에도 적용 가능하다.The stepped walking segmentation generation method proposed in the present invention can be applied to the detailed implementation of various motions of the humanoid robot, such as moving objects and dancing in the future.
이하, 첨부된 도면을 참조하여 본 발명에 따른 이족 인간형 로봇의 계단 오르기를 위한 최적 궤적 설계 방법에 대한 바람직한 실시예를 상세히 설명한다. Hereinafter, with reference to the accompanying drawings will be described in detail a preferred embodiment of the optimum trajectory design method for climbing the stairs of the biped humanoid robot according to the present invention.
본 발명은 인간의 계단 오르기 동작을 모사하여, 기존의 전체 보행 패턴 분석이 아닌 한 번의 계단 오르기 동작을 4단계로 세분화하여 다양한 높이와 폭의 계단에 대해서도 적응적으로 관절 궤적을 생성할 수 있고, 들어 올리는 다리의 관절은 유전 알고리즘을 이용하여 최소한의 에너지를 소모하도록 그 궤적을 최적화한다.The present invention simulates the human step climbing motion, and instead of analyzing the existing overall walking pattern, one step climbing motion can be subdivided into four steps to generate joint trajectories adaptively for stairs of various heights and widths. The joints of the lifting leg use genetic algorithms to optimize the trajectory to consume minimal energy.
본 발명에 따른 이족 인간형 로봇의 계단 오르기를 위한 최적 궤적 설계 방 법은, 투영(projection) 기법을 이용하여 로봇의 3차원 모델을 계산하여 모든 하지 관절에 대한 3차원 좌표를 획득하는 단계; 계단 오르기의 동작을 에너지 효율을 고려하여 복수개의 동작으로 구분하는 단계; 상기 구분된 각각의 동작 단계에서 로봇의 하지의 각 링크 길이와 질량을 이용하여 계단 보행 시 각 단계별로 관절에서 발생하는 토크를 계산하는 단계; 상기 3차원 모델로부터 계단 보행 시 각 시점의 영 모멘트 점(zero moment point, ZMP)을 계산하는 단계; 다항 함수(polynomial function)를 이용해서 계단 보행 중의 하지 관절 모터의 각 궤적 추이를 생성하는 단계; 연산적 최적화 기법을 이용해서 상기 다항 함수의 계수들을 컴퓨터로 탐색하는 단계로 구성된다.The optimal trajectory design method for climbing the stairs of the biped humanoid robot according to the present invention comprises the steps of: calculating a three-dimensional model of the robot by using a projection technique to obtain three-dimensional coordinates for all lower limb joints; Dividing the operation of the stair climbing into a plurality of operations in consideration of energy efficiency; Calculating torque generated in the joint at each step when walking the stairs by using each link length and mass of the lower limb of the robot in each divided operation step; Calculating a zero moment point (ZMP) at each time point when walking the stairs from the 3D model; Generating a trajectory trajectory of the lower limb joint motor during stair walking using a polynomial function; Computing the coefficients of the polynomial function using a computer optimization technique.
이족 로봇의 계단 보행 3차원 모델 계산Calculation of 3D Model of Stair Walking of Biped Robot
본 발명에서는 인간형 로봇의 계단 보행을 표현하기 위해 투영(projection) 기법을 도입하여 직진 보행 시 각 관절의 3차원 순시 좌표를 결합된 형태로 표현하는 방법을 사용하였다. 도 1과 도 2는 로봇 하지를 시상면(sagittal plane)과 관상면(coronal plane)에서 모델링 한 것을 링크와 관절 각도로써 각각 표현한 것이다. 시상면 각도인 는 로봇의 측면에서 본 하지 관절의 각도를 나타내며, 이 중 는 지지하는 다리의 발목과 무릎관절 각도이며, 은 상체와 지지하는 다리의 대퇴부가 이루는 각도를 의미한다. 그리고, 은 움직이 는 다리의 대퇴부, 무릎, 발목 관절의 각도를 각각 의미한다. 본 발명에서는 이족 보행 시 시상면의 각도의 궤적을 최소화하는 것이 아니라, 각 관절에 장착된 모터의 회전 각도들을 최적화한다. 이는 계단 보행시 하지 관절의 실제 회전 각도를 알기 때문에 최적화 시 관절 모터별 최대, 최소 탐색 영역을 적절히 설정할 수 있고, 계산된 최적 궤적을 중앙 제어부에서 바로 각 관절 모터로 전송함으로써 하드웨어 구현 시 편리하기 때문이다. 관절 모터 각도는 도 1에서 로 표현되어 있으며, 각 첨자는 발목(an), 무릎(kn), 대퇴부(th) 관절 모터를 나타내고 l,r은 왼쪽 다리와 오른쪽 다리를 의미한다. 특히 관절 모터 각도는 지지하는 다리와는 상관없이 관절 별로 고유하게 할당되어 있기 때문에, 관절별 제어기를 설계할 때 사용될 수 있다. 관절 모터와 시상면 각도 간에는 일대일 관계를 가진다.In the present invention, in order to represent the stepped walking of the humanoid robot, a projection method was introduced to use the method of expressing the three-dimensional instantaneous coordinates of each joint in a combined form when walking straight. 1 and 2 show the model of the robot lower limb in the sagittal plane and the coronal plane as the link and joint angles, respectively. Sagittal angle Represents the angle of the lower limb joint seen from the side of the robot, of which Is the ankle and knee joint angle of the supporting leg, Means the angle between the upper body and the supporting thigh. And, Means the angle of the thigh, knee and ankle joint of the moving leg. In the present invention, rather than minimizing the trajectory of the sagittal angle during biped walking, it optimizes the rotation angles of the motor mounted to each joint. This is because it knows the actual rotation angle of the lower limb joint when walking the stairs, so it is possible to set the maximum and minimum search ranges for each joint motor at the time of optimization. to be. Articulated motor angle in FIG. Each subscript represents ankle ( an ), knee ( kn ) and femoral ( th ) motors, and l and r represent the left and right legs. In particular, since the joint motor angle is uniquely assigned to each joint regardless of the supporting leg, it can be used when designing a joint-specific controller. There is a one-to-one relationship between the articulated motor and the sagittal angle.
관상면 상의 각도인 는 로봇의 정면에서 본 관절의 각도로 안정적인 보행을 위해 로봇의 상체를 좌우로 움직일 때 사용된다. 그리고, 도 2의ψ i =l,r 은 대퇴부 모터를 횡평면(transverse plane) 상에서 대퇴부 관절 축을 기준으로 회전시켜 로봇의 전진 방향을 변하게 할 때 사용되는 각도를 의미한다. 이로서 도 1과 도 2는 로봇이 임의의 방향으로 전, 후진을 하거나, 횡 방향으로 진행을 하거나, 방향을 바꿀 수 있기 위한 모든 관절 각도를 포함하고 있음을 알 수 있다.The angle on the coronal plane Is used to move the upper body of the robot from side to side for stable walking at the angle of the joint seen from the front of the robot. In addition, ψ i = l, r in FIG. 2 means an angle used when the femoral motor is rotated on the transverse plane with respect to the femoral joint axis to change the robot's forward direction. As a result, it can be seen that FIGS. 1 and 2 include all the joint angles for the robot to move forward or backward in a random direction, to advance in a lateral direction, or to change directions.
계단 보행의 기구학 계산을 위해, 다리의 링크들을 두 평면으로 투영 시키도록 한다. 도 2에서 x축을 중심으로 만큼 회전하면 도 1의 평면(시상면)에서 보았을 때 해당 링크의 길이가 배로 투영되는 것을 알 수 있다. 그리고 상체와 발목의 각도를 양쪽 평면에서 모두 90°로 유지하는 조건을 추가하면 다음과 같이 하지 링크들의 투영된 길이 값을 얻을 수 있다.For kinematic calculations of stair steps, project the links of the legs in two planes. 2 around the x-axis Rotating by, the length of the link when viewed in the plane (sagittal plane) of FIG. You can see that it is projected by a ship. And by adding a condition that keeps the angle of the upper body and ankle 90 ° in both planes, we can get the projected length of the lower links as follows.
상기 수학식 1은 시상면에서 보았을 때 투영된 링크의 길이를 나타내며, 각 관절 좌표의 x 좌표와 z 좌표 계산 시 사용된다. 수학식 1에서 는 각 링크의 실제 길이를 의미한다. Equation 1 represents the length of the projected link when viewed from the sagittal plane, and is used to calculate the x and z coordinates of each joint coordinate. In Equation 1 Means the actual length of each link.
상기 수학식 2는 관상면에서 보았을 때 사상된 링크의 길이를 나타내며, 를 의미한다.
각 관절의 3차원 좌표는 상기 수학식 2와 도 1, 도 2의 기하학적 형상관계를 이용하여 계산할 수 있으며, 왼발로 지지하는 경우 모든 하지 관절에 대해 계산된 3차원 좌표를 정리하면 다음과 같이 나타낼 수 있다. The three-dimensional coordinates of each joint can be calculated using the geometrical relations of
상기 수학식 3에서 C12...j와 는 각각 와 를 나타낸다. 또한 오른발로 지지하는 경우 상기 수학식 3에서 y3 좌표의 수식만 y3 = y2 + l7로 바뀌고 나머지는 동일하다. 이는 상기 수학식 3이 휴머노이드에 특화되었지만 충분히 일반화된 기구학 수식임을 나타낸다.With C 12 ... j in
최적 관절 궤적 생성Optimal joint trajectory generation
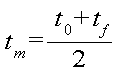
본 발명에서는 로봇의 계단 오르기 동작을 4개의 동작으로 구분하고, 각 동작 단계에서 관절 모터의 궤적을 컴퓨터 최적화 방법을 이용하여 생성하고, 혼합 다항식으로 근사화한다. 혼합 다항식은 전체 궤적의 경유점 사이를 부분 궤적으로 분할하고, 각 부분 궤적에 대해 주어진 각도와 각속도 값을 이용해서 3차 다항식(cubic polynomial)의 계수를 구하여 얻어지는 다항식이다. 즉, 아래와 같은 어떤 부분 궤적의 초기 시간 t0, tf 에 대해 아래 수학식 4와 같이 각도와 각속도 조건이 주어졌다고 가정한다. 이 때 이 조건을 만족시키는 3차 다항식을 구하면 아래 수학식 5와 같다.In the present invention, the step climbing motion of the robot is divided into four motions, and the trajectory of the joint motor is generated by using a computer optimization method at each motion step and approximated by a mixed polynomial. The mixed polynomial is a polynomial obtained by dividing the waypoints of the entire trajectories into partial trajectories, and obtaining coefficients of cubic polynomials using given angle and angular velocity values for each partial trajectory. That is, it is assumed that angle and angular velocity conditions are given as shown in
본 발명에서는 시상면 관절 모터 각도인 에 대해서는 두 개의 부분 궤적을 이용해서 하나의 모터 회전 궤적을 근사화 한다. 이 경우 t0 ~tm 구간과 tm ~tf 구간에서 부분궤적을 만든 후, 이어 붙여서 하나의 궤적을 만드는 경우 결정해야 할 계수는 다음과 같이 총 9개가 된다.In the present invention, the sagittal joint motor angle For, we approximate one motor rotational trajectory using two partial trajectories. In this case, after creating partial trajectories in the t 0 ~ t m and t m ~ t f sections, the number of coefficients to be determined is 9 as follows.
상기 수학식 6의 모든 파라미터들을 최적화 알고리즘으로 구해도 되지만 중복성을 피하고 탐색 효율을 높이기 위해 파라미터의 특성을 활용할 수 있다. 일례로 수학식 6에서 시간 계수는 로 설정하고, 각 관절의 초기 속도와 최종 속도는 보행의 시작과 끝을 부드럽게 하기 위해 v0 = vf = 0 으로 설정했다. 또한 계단 오르기 시에는 다리를 바꾸어가며 보행하므로 보행의 시작과 끝부분에서 ZMP의 불안정성을 보인다. 이 문제점을 해결하기 위해 보행의 시작과 종료 시의 관절각도 q0 와 qf 는 는 적절한 각도 값을 할당해 주었다. 그러므로 상기 수학식 6에서 최종 미지수로 남는 값은 qm 과 vm이 되며 이의 최적 값을 컴퓨터 최적화 기법으로 탐색한다.Although all parameters of Equation 6 may be obtained by an optimization algorithm, the characteristics of the parameters may be utilized to avoid redundancy and improve search efficiency. For example, in Equation 6, the time coefficient is The initial velocity and final velocity of each joint were set to v 0 = v f = 0 to smooth the start and end of walking. In addition, when climbing stairs, the legs change with each other, so ZMP instability is seen at the beginning and end of walking. In order to solve this problem, the joint angles q 0 and q f at the start and end of walking were assigned the appropriate angle values. Therefore, values remaining as final unknowns in Equation 6 become q m and v m , and their optimal values are searched by computer optimization.
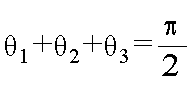
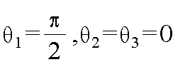
관상면 관절각 는 시상면 관절과는 달리 보행 안정성을 위해 0°에서 시작하여(직립 상태, q0 = 0), ZMP 안정도를 만족시키는 일정한 각도를 충분히 유지한 후, 다시 0°로 복귀해야 한다(qf = 0). 이 경우 최소 세 개의 부분 궤적이 필요하며, 전체 궤적을 구성하는 계수는 다음과 같이 총 12개가 된다.Coronal joint angle Unlike sagittal joints, starting at 0 ° (upright state, q 0 = 0) for walking stability, maintain a constant angle that satisfies ZMP stability and then return to 0 ° again (q f = 0). In this case, at least three partial trajectories are required, and a total of 12 coefficients constitute the total trajectory as follows.
상기 수학식 7에서 ZMP 안정도에 중요한 역할을 하는 것은 두 중간 시간 , 와 중간 각도 , 각 경계점에서 부드러운 각도 변화 를 위해 이라는 조건을 주면 결국 3개의 미지수 ,, 가 남고 이를 최적화 알고리즘으로 최적화한다. In Equation 7, an important role for ZMP stability is two intermediate times. , And middle angle For smooth angle changes at each boundary If you give the condition, then 3 unknowns , , And optimize it with the optimization algorithm.
결과적으로 안정되면서도 최소한의 토크로 휴머노이드가 왼발로 지지한 상태에서 발걸음을 옮기기 위해 최적화해야 할 하지 관절 전체에 대한 탐색 파라미터를 나타내면 다음과 같다. As a result, the search parameters for the entire lower limb joint, which should be optimized to move the foot with the humanoid supported by the left foot with a stable and minimum torque, are as follows.
상기 수학식 8의 파라미터 중 과 이 없는 이유는, 상체를 직각으로 유지하는 조건 중 과 이 자동적으로 계산되기 때문이다. Among the parameters of
계단 오르기 시 최적의 관절 패턴을 생성하기 위해서는 각 관절의 소비 에너지와 ZMP 안정도, 보행 시 자세 조건, 착지하는 발 중심점의 위치 등이 동시에 고려되어야 하므로 비용함수의 미분 식을 계산할 필요가 없는 연산적 최적화 기법이 사용되어야 한다. 본 발명에서는 컴퓨터 최적화 기법을 이용하여 아래 수학식 9의 비용함수를 최소화시키는 관절 궤적 파라미터를 탐색한다. 수학식 10은 비용함수를 구성하는 벌칙함수로서 구속조건을 위반하는 파라미터에 대해서는 큰 값을 생성하 여 결과적으로 나쁜 해로 판정되게 하는 역할을 한다. In order to generate the best joint pattern when climbing stairs, the energy consumption of each joint, ZMP stability, posture condition when walking, and the position of the center of the landing foot should be considered at the same time. Therefore, it is not necessary to calculate the differential function of the cost function. Should be used. In the present invention, the joint trajectory parameter for minimizing the cost function of Equation 9 is searched using a computer optimization technique. Equation (10) is a penalty function constituting the cost function, and generates a large value for a parameter that violates the constraint, resulting in a bad solution.
상기 수학식 9과 10에서 T 와 N 은 시뮬레이션 시 보행 주기와 샘플 데이터 개수를 의미하며(샘플링 타임 Ts = T/N), S와 hf 는 보폭과 계단 높이를 의미한다. 그리고, 와 는 최소화해야 할 토크의 가중치와 벌칙함수 P(X)의 각 항에 대한 가중치를 각각 의미한다. 벌칙함수의 각 항은 반드시 만족시켜야 하는 조건들이므로 는 에 비해 상대적으로 수십 또는 수백 배 큰 값을 설정해야 한다. In Equations 9 and 10, T and N refer to the walking period and the number of sample data during the simulation (sampling time T s = T / N), and S and h f refer to the stride length and the step height. And, Wow Denotes the weight of the torque to be minimized and the weight of each term of the penalty function P (X). Each term in the penalty function is a condition that must be met. Is You should set a value that is tens or hundreds of times larger than.
계단 오르기의 동작에 따른 최적 궤적 생성Optimal Trajectory Generation According to the Motion of Stair Climbing
전술한 것과 같이, 본 발명에서는 기존의 방법인 보행 패턴 추출 방식이 아닌 보행의 패턴을 분석하여 계단 오르기 동작을 4개의 단계로 나누어 정의한다. As described above, in the present invention, the step climbing operation is defined by dividing the stair climbing operation into four steps by analyzing the walking pattern rather than the conventional walking pattern extraction method.
인간의 계단 오르기 동작을 분석하면, 첫 번째 단계로서 발을 들어올려서 윗계단에 올려 놓을 때까지 반대쪽 다리는 무게중심을 유지한다. 그리고 무게 중심을 계단에 올린 발로 이동시킨 다음, 계단 아래에 있던 다리를 위쪽으로 끌어 올린다. 그리고 마무리 동작으로서 윗 계단에서 초기 직립 상태를 회복한다. 이와 같은 인간의 계단 오르기 동작 패턴을 분석하여 계단 1단 오르기의 한 주기를 아래의 4개의 단계로 나눌 수 있다.Analyzing human stepping motion, the first step is to maintain the center of gravity until the foot is lifted and placed on the upper stairs. Then move the center of gravity to the feet on the stairs, and then pull up on the legs under the stairs. Then, as the finishing operation, the initial upright state is recovered from the upper stairs. By analyzing the movement pattern of the human step climbing as described above, one cycle of the first step climbing can be divided into the following four steps.
(1) 로봇의 발끝이 계단에 부딪히지 않게 하기 위해 제자리에서 한쪽 다리를 계단 높이 이상으로 들어 올리는 제1동작 단계(1) a first operation step of lifting one leg above the step height in place to prevent the toe of the robot from hitting the steps;
(2) 계단 높이 이상 들어 올린 다리를 위쪽 계단에 올려놓는 제2동작 단계(2) the second operation step of placing the leg lifted above the stairs height on the upper stairs
(3) 계단에 올려놓은 다리가 지지하는 다리가 될 수 있도록 무게 중심을 위쪽 계단의 발로 이동시키는 제3동작 단계(3) a third operation step of moving the center of gravity to the feet of the upper stairs so that the legs placed on the stairs become supporting legs
(4) 계단 위에 있는 발로 지지하면서 아래 쪽에 있는 발을 계단 위로 들어 올려 직립상태가 되게 하는 제4동작 단계(4) a fourth operation step of supporting the foot on the stairs to lift the lower foot up the stairs to be in an upright position;
먼저, 제1동작 단계로서 로봇의 발끝이 계단에 부딪히지 않게 하기 위해 제자리에서 한쪽 다리를 계단 높이 이상으로 들어 올린다. 다리를 일정 높이까지 들어 올리는 최종 좌표는 역기구학(inverse kinematics)을 이용하여 구할 수 있다. First, as a first operation step, one leg is lifted above the step height in place so that the toe of the robot does not hit the steps. The final coordinates for lifting the legs up to a certain height can be found using inverse kinematics.
먼저 몸이 좌측으로 기운 상태에서 오른 발이 지면에 있을 때 오른발의 중심점의 좌표는 상기 수학식 3을 이용하여 아래 수학식 11과 같이 구할 수 있다. First, when the right foot is on the ground while the body is tilted to the left, the coordinates of the center point of the right foot may be obtained by using
이 좌표에 대해 z축으로 계단 높이인 hf 만큼 수직으로 들어 올렸을 때의 좌표는 아래 수학식 12와 같다. The coordinates when lifted vertically by the height h f, which is the height of the steps on the z-axis, are expressed by
그리고 들어 올린 발이 지면과 수직이 되기 위해서는 수학식 13의 조건을 만족시켜야 한다.And in order for the raised foot to be perpendicular to the ground, the condition of
현재 직립 상태이고 지지하는 왼쪽 다리의 시상면 각도는 전혀 움직이지 않았으므로 이 되고, 이를 이용해서 상기 수학식 11, 12, 13을 풀면 다음 수학식 14와 같은 관계가 성립한다. The sagittal angle of the left leg, which is now upright, is not moving at all When the
상기 수학식 14를 모터 각도로 변형 시켜서 수학식 12의 조건을 만족 시키는 각도 조건을 구하면 수학식 15와 같다.By transforming
위의 식을 만족하는 각도를 첫 번째 단계 최종 관절 각도로 둔다. 하지만 위의 식은 비선형 연립 방정식이므로 컴퓨터 최적화 기법을 이용해서 근사해를 구할 수 있다. 첫 번째 단계는 목표 높이까지 다리를 들어 올리는 것이므로, 들어 올리는 다리의 에너지 최소화는 고려하지 않는다. 즉, 실제로 움직이는 모터의 초기 각도부터 계산 된 최종 각도 값까지 등속으로 회전하게 한다. Let the angle satisfying the above equation be the first joint final angle. However, since the above equation is a nonlinear system of equations, it can be approximated using computer optimization techniques. The first step is to lift the legs to the target height, so do not consider minimizing the energy of the lifting legs. That is, it actually rotates at a constant speed from the initial angle of the moving motor to the calculated final angle value.
다음으로, 제2동작 단계는 첫 번째 동작 단계에서 계단 높이 이상 들어 올린 다리를 윗 계단에 올려놓는 단계이다. 지지하는 발바닥 안에 ZMP를 유지하고 위 쪽 계단으로 다리를 내뻗는다. 이 때 다리를 뻗는 보폭은 로봇의 발길이 보다 큰 보폭으로 움직이고, 최종 자세의 발목은 계단과 90도를 유지하도록 한다. 최소의 에너지를 이용해서 다리를 뻗기 위해 혼합 다항식을 사용해서 각 관절 모터의 궤적을 근사화하고, 컴퓨터 최적화 기법으로 비용함수 식인 상기 수학식 9를 최소화 한다.Next, the second operation step is a step of placing the leg lifted above the step height in the first operation step on the upper step. Keep the ZMP in the supporting sole and extend your legs up the stairs. At this time, the stride length of the leg moves to the stride length larger than that of the robot, and the ankle of the final posture is maintained at 90 degrees with the stairs. In order to extend the legs with minimum energy, we use a mixed polynomial to approximate the trajectory of each joint motor, and minimize the cost equation (9) using computer optimization techniques.
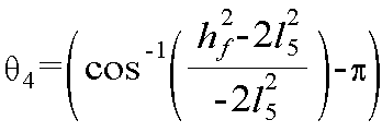
세 번째 동작 단계는 계단에 올려놓은 다리가 지지하는 다리가 될 수 있도록 무게 중심을 위쪽 계단의 발로 이동시키는 단계이다. 이 때 안정적인 자세를 만들기 위해, 계단 위에 있는 발바닥 안으로 ZMP를 이동하고 계단 아래에 있는 발은 뒤꿈치를 들어 올림으로써 지면과 닿는 면적을 최소화한다. 최종 관절 각도는 첫 번째 단계와 유사한 방법으로 역기구학을 이용하여 계산할 수 있다. 그러나 기구학에 있어서 첫 번째 단계에서는 원점 (x0, y0, z0)이 아래 계단에 위치했지만, 세 번째 단계에서는 원점이 위쪽 계단에 올려놓은 다리의 발목에 위치하는 것이 차이점이라고 할 수 있다. 계단 아래에 있는 다리의 대퇴부 모터의 각도는 위쪽 계단에 올려놓은 다리의 관절 각도를 기준으로, 계단 높이 hf 와 계단 아래에 있는 다리의 링크 길이 l5를 이용해서 다음과 같이 구할 수 있다. The third step is to move the center of gravity to the feet of the upper stair so that the leg on the staircase becomes the supporting leg. To ensure a stable posture, move the ZMP into the sole of the foot on the stairs and lift the heel of the foot below the stairs to minimize the area of contact with the ground. The final joint angle can be calculated using inverse kinematics in a similar way to the first step. In kinematics, however, the origin (x 0 , y 0 , z 0 ) is located on the lower step in the first step, but in the third step, the origin is located on the ankle of the leg placed on the upper step. The angle of the femoral motor of the leg under the stairs can be obtained by using the height of the step h f and the link length l 5 of the leg under the stairs, based on the joint angle of the legs on the upper stairs.
상기 수학식 16에서 계산된 관절 각도는 DH(Denavit-Hartenberg) 각도이므로 의 관계를 이용해서 모터 실제 각도 값으로 변환할 수 있다. 계단 아래에 있는 오른쪽 다리는 무릎을 일직선으로 뻗는 자세를 취하기 때문에, 이 된다. 그 이유는 최대한 계단 아래의 다리가 무게중심에서 벗어날 수 있도록 하기 위해서이다. Since the joint angle calculated in
계단 아래에 있는 다리의 발목 모터의 최종 각도는 앞에서 구한 대퇴부 모터의 각도를 사용하여 다음과 같이 구할 수 있다.The final angle of the ankle motor of the leg under the stairs can be found as follows using the angle of the femoral motor obtained earlier.
수학식 17에서 는 관상면에서 본 계단 아래의 다리 길이이며, 는 발목부터 발바닥까지의 링크 길이를 나타낸다. 상기 수학식 17에서도 DH 각도로 계산하였기 때문에 실제 모터 각도로 변환하기 위해서는 라는 기하학적 관계를 이용하면 된다. 상기 수학식 16과 17의 계산 결과인 을 최종 각도로 두고 첫 번째 단계와 마찬가지로 등속으로 관절 모터를 회전시킨다. In equation (17) Is the length of the bridge under the stairs, as seen from the coronal plane, Represents the link length from the ankle to the sole. In order to convert to the actual motor angle because it is calculated by the DH angle in Equation 17 You can use the geometric relationship Which is the result of the calculation of
마지막 제4동작 단계는 계단 위에 있는 발로 지지하면서 아래 쪽에 있는 발 을 계단 위로 들어 올려 직립상태가 되게 하는 과정이다. 계단 아래에 있는 다리를 들어 올릴 때 계단에 부딪히지 않도록 해야 하며, ZMP는 계단 위에 있는 발바닥 안에 유지되도록 해야 한다. 이러한 요구 사항들은 상기 수학식 10인 벌칙함수에 포함되며 비용함수 최소화 시 고려하여 계산하게 된다.The final step of the fourth step is to support the feet on the stairs while lifting the feet below the stairs into an upright position. When lifting a bridge under a stairway, do not hit the stairway, and the ZMP should be kept within the sole of the stairway. These requirements are included in the penalty function of Equation 10, and are calculated in consideration of minimizing the cost function.
첫 번째와 세 번째 단계를 제외한 나머지 단계는 3차원 공간에서 기구학과 동역학을 계산하여 최종위치를 생성한 후 그 궤적을 혼합 다항식의 계수로 하여 최적궤적을 컴퓨터 최적화 기법을 이용하여 생성한다.Except for the first and third stages, the kinematics and dynamics are computed in three-dimensional space to generate the final position, and then the optimal trajectories are generated using computer optimization techniques using the trajectories as coefficients of the mixed polynomial.
본 발명에서 제시한 계단 오르기 보행의 방법은 복잡한 계산식을 필요로 하지 않으므로 일반적인 동역학(Euler-Lagrange 수식)을 적용해서 빠른 궤적 생성을 가능케 한다.Since the step climbing method proposed in the present invention does not require a complicated calculation formula, it is possible to apply a general dynamics (Euler-Lagrange equation) to enable rapid trajectory generation.
도 5 내지 도 8은 이러한 계단 오르기 동작을 시뮬레이션한 결과를 나타낸다. 5 to 8 show the results of simulating such a step climbing operation.
도 1은 인간형 로봇을 시상면(sagittal plane)에서 모델링하여 나타낸 도면 1 is a diagram illustrating a humanoid robot modeled in a sagittal plane
도 2은 인간형 로봇을 관상면(coronal plane)에서 모델링하여 나타낸 도면FIG. 2 is a diagram illustrating a humanoid robot modeled in a coronal plane. FIG.
도 3은 혼합 다항함수와 컴퓨터 최적화 기법을 이용해서 7개의 관절에 대한 최적 모터 회전각 궤적을 계산한 예를 나타낸 그래프3 is a graph illustrating an example of calculating an optimum motor rotation angle trajectory for seven joints using a mixed polynomial function and a computer optimization technique.
도 4는 도 3의 회전각을 계산할 때 비용함수 값이 감소하는 것을 보여주는 그래프4 is a graph showing a decrease in the cost function value when calculating the rotation angle of FIG.
도 5 내지 도 8은 이족 로봇이 계단을 올라갈 때의 각 동작 단계 별 보행 컴퓨터 시뮬레이션 결과를 나타낸 도면5 to 8 are diagrams showing the results of computer simulations of walking by each operation step when the biped robot climbs the stairs.
Claims (7)
Priority Applications (1)
| Application Number | Priority Date | Filing Date | Title |
|---|---|---|---|
| KR1020090012939A KR101074494B1 (en) | 2009-02-17 | 2009-02-17 | Method for Generating Optimal Trajectory of a Biped Robot for Walking Up a Staircase |
Applications Claiming Priority (1)
| Application Number | Priority Date | Filing Date | Title |
|---|---|---|---|
| KR1020090012939A KR101074494B1 (en) | 2009-02-17 | 2009-02-17 | Method for Generating Optimal Trajectory of a Biped Robot for Walking Up a Staircase |
Publications (2)
| Publication Number | Publication Date |
|---|---|
| KR20100093834A true KR20100093834A (en) | 2010-08-26 |
| KR101074494B1 KR101074494B1 (en) | 2011-10-17 |
Family
ID=42758092
Family Applications (1)
| Application Number | Title | Priority Date | Filing Date |
|---|---|---|---|
| KR1020090012939A Active KR101074494B1 (en) | 2009-02-17 | 2009-02-17 | Method for Generating Optimal Trajectory of a Biped Robot for Walking Up a Staircase |
Country Status (1)
| Country | Link |
|---|---|
| KR (1) | KR101074494B1 (en) |
Cited By (12)
| Publication number | Priority date | Publication date | Assignee | Title |
|---|---|---|---|---|
| CN103197671A (en) * | 2012-01-04 | 2013-07-10 | 中国人民解放军第二炮兵工程学院 | Humanoid robot gait planning and synthesizing method |
| CN103204193A (en) * | 2013-04-08 | 2013-07-17 | 浙江大学 | Under-actuated biped robot walking control method |
| KR20180083052A (en) * | 2017-01-12 | 2018-07-20 | 한국기계연구원 | Method for deriving optimum structure of modular robot |
| KR20180085983A (en) * | 2017-01-20 | 2018-07-30 | 국방과학연구소 | Downhill walking control method of wearable exoskeleton robot |
| CN110206840A (en) * | 2019-06-21 | 2019-09-06 | 重庆大学 | A kind of imitative femoral head shock-damping structure and walking robot |
| US11123869B2 (en) | 2019-04-12 | 2021-09-21 | Boston Dynamics, Inc. | Robotically negotiating stairs |
| CN114641375A (en) * | 2019-10-14 | 2022-06-17 | 波士顿动力公司 | Dynamic programming controller |
| CN114684293A (en) * | 2020-12-28 | 2022-07-01 | 成都启源西普科技有限公司 | Robot walking simulation algorithm |
| CN115266130A (en) * | 2022-06-30 | 2022-11-01 | 东风商用车有限公司 | Human body posture datamation and application method and device in truck step test |
| US11599128B2 (en) | 2020-04-22 | 2023-03-07 | Boston Dynamics, Inc. | Perception and fitting for a stair tracker |
| US12077229B2 (en) | 2020-04-22 | 2024-09-03 | Boston Dynamics, Inc. | Stair tracking for modeled and perceived terrain |
| US12094195B2 (en) | 2020-04-20 | 2024-09-17 | Boston Dynamics, Inc. | Identifying stairs from footfalls |
Families Citing this family (1)
| Publication number | Priority date | Publication date | Assignee | Title |
|---|---|---|---|---|
| KR101607573B1 (en) | 2013-12-27 | 2016-03-30 | 동아대학교 산학협력단 | Joint Trajectory Generation of Humanoid Robot's Lower Extremity for Human-like Biped Walking |
Family Cites Families (2)
| Publication number | Priority date | Publication date | Assignee | Title |
|---|---|---|---|---|
| JP2004181600A (en) | 2002-12-05 | 2004-07-02 | Sony Corp | Legged mobile robot |
| KR100998717B1 (en) | 2008-02-27 | 2010-12-07 | 동아대학교 산학협력단 | Optimal Trajectory Generation Method for Humanoid Robot for Biped Walking |
-
2009
- 2009-02-17 KR KR1020090012939A patent/KR101074494B1/en active Active
Cited By (16)
| Publication number | Priority date | Publication date | Assignee | Title |
|---|---|---|---|---|
| CN103197671A (en) * | 2012-01-04 | 2013-07-10 | 中国人民解放军第二炮兵工程学院 | Humanoid robot gait planning and synthesizing method |
| CN103204193A (en) * | 2013-04-08 | 2013-07-17 | 浙江大学 | Under-actuated biped robot walking control method |
| KR20180083052A (en) * | 2017-01-12 | 2018-07-20 | 한국기계연구원 | Method for deriving optimum structure of modular robot |
| KR20180085983A (en) * | 2017-01-20 | 2018-07-30 | 국방과학연구소 | Downhill walking control method of wearable exoskeleton robot |
| US11548151B2 (en) | 2019-04-12 | 2023-01-10 | Boston Dynamics, Inc. | Robotically negotiating stairs |
| US12151380B2 (en) | 2019-04-12 | 2024-11-26 | Boston Dynamics, Inc. | Robotically negotiating stairs |
| US11123869B2 (en) | 2019-04-12 | 2021-09-21 | Boston Dynamics, Inc. | Robotically negotiating stairs |
| US11660752B2 (en) | 2019-04-12 | 2023-05-30 | Boston Dynamics, Inc. | Perception and fitting for a stair tracker |
| CN110206840A (en) * | 2019-06-21 | 2019-09-06 | 重庆大学 | A kind of imitative femoral head shock-damping structure and walking robot |
| CN110206840B (en) * | 2019-06-21 | 2020-07-14 | 重庆大学 | Femoral head-imitated damping structure and walking robot |
| CN114641375A (en) * | 2019-10-14 | 2022-06-17 | 波士顿动力公司 | Dynamic programming controller |
| US12094195B2 (en) | 2020-04-20 | 2024-09-17 | Boston Dynamics, Inc. | Identifying stairs from footfalls |
| US11599128B2 (en) | 2020-04-22 | 2023-03-07 | Boston Dynamics, Inc. | Perception and fitting for a stair tracker |
| US12077229B2 (en) | 2020-04-22 | 2024-09-03 | Boston Dynamics, Inc. | Stair tracking for modeled and perceived terrain |
| CN114684293A (en) * | 2020-12-28 | 2022-07-01 | 成都启源西普科技有限公司 | Robot walking simulation algorithm |
| CN115266130A (en) * | 2022-06-30 | 2022-11-01 | 东风商用车有限公司 | Human body posture datamation and application method and device in truck step test |
Also Published As
| Publication number | Publication date |
|---|---|
| KR101074494B1 (en) | 2011-10-17 |
Similar Documents
| Publication | Publication Date | Title |
|---|---|---|
| KR101074494B1 (en) | Method for Generating Optimal Trajectory of a Biped Robot for Walking Up a Staircase | |
| KR101064638B1 (en) | Optimal Trajectory Design Method for Stepping Down the Stairs of Biped Humanoid Robots | |
| US7805218B2 (en) | Robot device and control method of robot device | |
| CN111674486A (en) | Stable walking control method, device, device and readable medium for biped robot | |
| CN110764416A (en) | Humanoid robot gait optimization control method based on deep Q network | |
| Albert et al. | Analytic path planning algorithms for bipedal robots without a trunk | |
| KR100998717B1 (en) | Optimal Trajectory Generation Method for Humanoid Robot for Biped Walking | |
| Kim et al. | Stability control for dynamic walking of bipedal robot with real-time capture point trajectory optimization | |
| KR20230120651A (en) | How the exoskeleton moves | |
| Yuan et al. | Crawling gait planning based on foot trajectory optimization for quadruped robot | |
| Vatankhah et al. | Intermittent control model for ascending stair biped robot using a stable limit cycle model | |
| Navaneeth et al. | Contact wrench cone-based stable gait generation and contact slip estimation of a 12-dof biped robot | |
| Felis et al. | Modeling and optimization of human walking | |
| Raj et al. | Humanoid gait pattern generation with orbital energy | |
| KR101607573B1 (en) | Joint Trajectory Generation of Humanoid Robot's Lower Extremity for Human-like Biped Walking | |
| Esfanabadi et al. | The average speed of motion and optimal power consumption in biped robots | |
| Desai et al. | DOF Bipedal Robot Design: Kinematic Analysis and Dynamic Simulation | |
| Sari et al. | Implementation and integration of fuzzy algorithms for descending stair of KMEI humanoid robot | |
| Huzaifa et al. | Control design for planar model of a core-located actuation walker | |
| Kim et al. | Optimal Trajectory Generation for Walking Up and Down a Staircase with a Biped Robot Using Genetic Algorithm (GA) | |
| Kim et al. | Generation of optimal trajectories for ascending and descending a stair of a humanoid based on uDEAS | |
| MG et al. | Biped Robot Stepping Over a Ditch using Multi-Objective Optimization Based on Contact Wrench Cone Approach | |
| Nava Rodri´ guez et al. | A New Design for Cassino Hexapod Robot | |
| Yoshida et al. | Motion planning for whole body tasks by humanoid robot | |
| Majithiya et al. | Static gait scheme for horizontal posture slope climbing with quadruped robot |
Legal Events
| Date | Code | Title | Description |
|---|---|---|---|
| A201 | Request for examination | ||
| PA0109 | Patent application |
Patent event code: PA01091R01D Comment text: Patent Application Patent event date: 20090217 |
|
| PA0201 | Request for examination | ||
| PG1501 | Laying open of application | ||
| E902 | Notification of reason for refusal | ||
| PE0902 | Notice of grounds for rejection |
Comment text: Notification of reason for refusal Patent event date: 20110304 Patent event code: PE09021S01D |
|
| E701 | Decision to grant or registration of patent right | ||
| PE0701 | Decision of registration |
Patent event code: PE07011S01D Comment text: Decision to Grant Registration Patent event date: 20111004 |
|
| GRNT | Written decision to grant | ||
| PR0701 | Registration of establishment |
Comment text: Registration of Establishment Patent event date: 20111011 Patent event code: PR07011E01D |
|
| PR1002 | Payment of registration fee |
Payment date: 20111012 End annual number: 3 Start annual number: 1 |
|
| PG1601 | Publication of registration | ||
| FPAY | Annual fee payment |
Payment date: 20170802 Year of fee payment: 18 |
|
| PR1001 | Payment of annual fee |
Payment date: 20170802 Start annual number: 7 End annual number: 18 |



















