KR20090080610A - Intelligent flash device and method of digital imaging device - Google Patents
Intelligent flash device and method of digital imaging device Download PDFInfo
- Publication number
- KR20090080610A KR20090080610A KR1020080006471A KR20080006471A KR20090080610A KR 20090080610 A KR20090080610 A KR 20090080610A KR 1020080006471 A KR1020080006471 A KR 1020080006471A KR 20080006471 A KR20080006471 A KR 20080006471A KR 20090080610 A KR20090080610 A KR 20090080610A
- Authority
- KR
- South Korea
- Prior art keywords
- flash
- image
- preview image
- light
- digital imaging
- Prior art date
- Legal status (The legal status is an assumption and is not a legal conclusion. Google has not performed a legal analysis and makes no representation as to the accuracy of the status listed.)
- Granted
Links
Images
Classifications
-
- G—PHYSICS
- G03—PHOTOGRAPHY; CINEMATOGRAPHY; ANALOGOUS TECHNIQUES USING WAVES OTHER THAN OPTICAL WAVES; ELECTROGRAPHY; HOLOGRAPHY
- G03B—APPARATUS OR ARRANGEMENTS FOR TAKING PHOTOGRAPHS OR FOR PROJECTING OR VIEWING THEM; APPARATUS OR ARRANGEMENTS EMPLOYING ANALOGOUS TECHNIQUES USING WAVES OTHER THAN OPTICAL WAVES; ACCESSORIES THEREFOR
- G03B15/00—Special procedures for taking photographs; Apparatus therefor
- G03B15/02—Illuminating scene
- G03B15/03—Combinations of cameras with lighting apparatus; Flash units
- G03B15/05—Combinations of cameras with electronic flash apparatus; Electronic flash units
Landscapes
- Physics & Mathematics (AREA)
- General Physics & Mathematics (AREA)
- Studio Devices (AREA)
Abstract
본 발명은 디지털 이미징 기기의 플래시 장치 및 방법에 관한 것으로서, 촬영 영상의 광질감을 사진 전문가 수준으로 표현하기 위하여 영상을 기반으로 장면 내의 조명분포 또는 객체의 반사 특성을 해석하고 그 해석결과를 이용하여 플래시의 조사각도 또는 발광량을 조절하는 것을 특징으로 한다. 이에 의하면, 촬영 영상에 화질 저하 요인이 존재하는 경우 플래시의 조사각도 또는 발광량이 적응적으로 조정되어 고화질의 영상을 획득할 수 있게 된다.The present invention relates to a flash device and a method of a digital imaging device, and in order to express the light quality of a photographed image to a photographic expert level, an analysis of reflection characteristics of an illumination distribution or an object in a scene based on an image and the result of the analysis It is characterized by adjusting the irradiation angle or the light emission amount of the flash. According to this, when there is a quality deterioration factor in the captured image, the irradiation angle or the light emission amount of the flash is adaptively adjusted to obtain a high quality image.
Description
본 발명은 촬영 장치에 장착되는 플래시에 관한 것으로, 특히 전문가 수준으로 광질감을 표현할 수 있는 디지털 이미징 기기의 지능형 플래시 장치 및 방법과 관련된다.BACKGROUND OF THE
디지털 이미징 기기(digital imaging device)란 디지털 카메라, 웹 카메라와 같이 촬영 정보를 디지털화하여 사용자에게 표시하거나 저장하는 장치를 통칭한다. 최근에는 자신을 표현하고자 하는 소비자 욕구와 정보통신기술의 발달과 더불어 이러한 디지털 이미징 기기가 다수 보급되게 되었다. 예컨대, 개인용 디지털 카메라의 경우, 별도의 현상 과정이 필요하지 않으며 촬영된 화면을 수정하거나 저장하는데 많은 노력이 필요하지 않기 때문에 기존의 필름 카메라를 대체하여 그 사용이 일반화되었다.A digital imaging device generally refers to a device that digitalizes photographing information and displays or stores it to a user, such as a digital camera or a web camera. In recent years, along with the consumer desire to express themselves and the development of information and communication technology, many of these digital imaging devices have become popular. For example, in the case of a personal digital camera, its use has been generalized in place of an existing film camera because a separate development process is not required and a lot of effort is not required to modify or store a captured screen.
또한, 디지털 이미징 기기에는 피사체로 빛을 조사하는 플래시 장치가 함께 구비되는 것이 일반적이다. 특히 피사체를 촬영할 때 피사체 주변의 빛이 화면의 질을 결정하는데 중요한 역할을 담당하기 때문에 이러한 플래시가 디지털 이미징 기기와 함께 사용되는 경우가 매우 빈번하다. 나아가 사진 전문가와 같은 고화질의 영상을 촬영하고자 하는 일반 사용자의 욕구가 증대함에 따라 DSLR 카메라에 사용되는 고가의 플래시도 등장하게 되었다.In addition, the digital imaging device is generally provided with a flash device for irradiating light to the subject. Especially when shooting a subject, the flash around the subject plays an important role in determining the quality of the screen, so this flash is often used in conjunction with digital imaging equipment. In addition, as users' desire to capture high-definition images such as photographic professionals increases, expensive flashes used in DSLR cameras have emerged.
그러나, 촬영 열악 환경에서 자동으로 촬영하는 경우, 카메라 세트의 개발자들이 사전에 세팅해 놓은 파라미터들이 일반 사용자들의 기대와는 상이한 경우가 많아서 사용자 대다수가 촬영된 사진에 만족하지 못하거나 촬영 상의 어려움을 겪는 문제점이 있다.However, in the case of automatic shooting in a poor shooting environment, the parameters set by the developers of the camera set are often different from those of the general users, so that the majority of users are not satisfied with the captured pictures or have difficulty in shooting. There is a problem.
특히 기존의 플래시는 실내, 야경, 역광 환경에서 피사체의 특성에 따라 빛의 조사각도 또는 발광량 등이 정밀하게 조정되지 않아 지나친 반사 또는 표면상의 번들거림 등 화질저하 요인이 발생하는 경우가 많다. 나아가 주광, 보조광이 장면 내에 동시에 존재하는 경우 전문 촬영 지식 없이 플래시를 제어하기에는 어려움이 따른다.In particular, the conventional flash is not precisely adjusted according to the characteristics of the subject in the room, night view, backlight environment, the quality of the light deterioration factors such as excessive reflection or surface bundling often occurs. In addition, when the main light and the auxiliary light are present in the scene at the same time, it is difficult to control the flash without professional shooting knowledge.
본 발명은 전술한 문제점을 고려하여 안출된 것으로, 사진 전문가 수준의 고화질 영상을 제공하기 위해 영상을 기반으로 장면의 광질감 특성을 분석하고 그 분석 결과에 따라 플래시를 적응적으로 조정하는 디지털 이미징 기기의 플래시 장치 및 방법에 관한 것이다.SUMMARY OF THE INVENTION The present invention has been made in view of the above-described problems. In order to provide a high-quality image of a photographic expert, a digital imaging device for analyzing a photo quality characteristic of a scene based on an image and adaptively adjusting a flash according to the analysis result Relates to a flash device and a method thereof.
구체적으로, 본 발명에 따른 디지털 이미징 기기의 플래시 장치는, 디지털 이미징 기기의 프리뷰 영상에 대한 광질감 특성을 분석하는 영상해석부; 및 영상해석부의 분석 결과에 따라 디지털 이미징 기기에 구비된 플래시의 발광량 또는 조사각도를 조절하는 플래시 제어부;를 포함한다.Specifically, the flash device of the digital imaging device according to the present invention, the image analysis unit for analyzing the light quality characteristics of the preview image of the digital imaging device; And a flash controller configured to adjust a light emission amount or an irradiation angle of a flash provided in the digital imaging apparatus according to the analysis result of the image analyzer.
이때, 상기 영상해석부는 프리뷰 영상을 다수의 윈도우로 분할하고 각 윈도우의 평균 휘도값을 산출하여 장면의 조명분포를 분석하는 것이 가능하다. 또한, 상기 영상해석부는 프리뷰 영상의 RBG 데이터를 휘도/조도/반사율 데이터로 변환하는 색공간 변환을 통해 피사체의 반사특성을 분석할 수 있다.In this case, the image analyzer may analyze the illumination distribution of the scene by dividing the preview image into a plurality of windows and calculating an average luminance value of each window. The image analyzer may analyze reflection characteristics of the subject through color space conversion that converts RBG data of the preview image into luminance / illuminance / reflectance data.
또한, 상기 플래시 제어부는 영상해석부의 분석결과 프리뷰 영상에 다중 광원이 검출되는 경우 부드러운 광질감이 표현되도록 플래시의 발광량을 부분적으로 조절하는 것이 가능하다. 이러한 경우, 플래시는 다수의 발광소자가 균일하게 배열된 어레이 광원형 플래시를 사용할 수 있다.In addition, the flash controller may partially adjust the amount of light emitted from the flash so that a soft light quality is expressed when multiple light sources are detected in the preview image of the image analyzer. In this case, the flash may use an array light source type flash in which a plurality of light emitting elements are uniformly arranged.
또한, 상기 플래시 제어부는 영상해석부의 분석결과 프리뷰 영상에 반사체가 검출되는 경우 직반사가 일어나지 않도록 상기 플래시의 조사각도를 조절하는 것이 가능하다.The flash controller may adjust the irradiation angle of the flash so that no direct reflection occurs when the reflector is detected in the preview image of the analysis result of the image analyzer.
한편, 본 발명에 따른 디지털 이미징 기기의 플래시 방법은, 디지털 이미징 기기의 프리뷰 영상을 분석하여 프리뷰 영상에 대한 광질감 특성을 파악하는 단계; 및 파악된 광질감 특성에 따라 디지털 이미징 기기에 구비된 플래시의 발광량 또는 조사각도를 조절하는 단계;를 포함한다.On the other hand, the flash method of the digital imaging device according to the present invention comprises the steps of analyzing the preview image of the digital imaging device to determine the light quality characteristics of the preview image; And adjusting an amount of light emitted or an irradiation angle of a flash provided in the digital imaging device according to the identified light quality characteristic.
이하에서는 첨부한 도면을 참조하여 본 발명의 실시예를 상세히 설명한다. 본 발명을 설명함에 있어 관련된 공지 기능 또는 구성에 대한 구체적인 설명이 본 발명의 요지를 불필요하게 흐릴 수 있다고 판단되는 경우에는 그 상세한 설명을 생략할 것이다. 또한, 후술되는 용어들은 본 발명에서의 기능을 고려하여 정의된 용어들로서 이는 사용자, 운용자 의도 또는 관례 등에 따라 달라질 수 있다. 그러므로 그 정의는 본 명세서 전반에 걸친 내용을 토대로 내려져야 할 것이다.Hereinafter, with reference to the accompanying drawings will be described an embodiment of the present invention; In the following description of the present invention, if it is determined that detailed descriptions of related well-known functions or configurations may unnecessarily obscure the subject matter of the present invention, the detailed description thereof will be omitted. In addition, terms to be described below are terms defined in consideration of functions in the present invention, and may vary according to a user, an operator's intention, or a custom. Therefore, the definition should be made based on the contents throughout the specification.
도 1은 본 발명의 실시예에 따른 디지털 이미징 기기의 지능형 플래시 장치의 전체적인 구성을 나타낸 것이다.1 illustrates the overall configuration of an intelligent flash device of a digital imaging device according to an embodiment of the present invention.
도 1을 참조하면, 본 발명의 실시예에 따른 디지털 이미징 기기의 지능형 플래시 장치는 영상해석부(101) 및 플래시 제어부(102)를 포함한다.Referring to FIG. 1, an intelligent flash apparatus of a digital imaging apparatus according to an exemplary embodiment of the present invention includes an
영상해석부(101)는 디지털 이미징 기기의 프리뷰 영상에 대한 광질감 특성을 분석하는 부분이다. 여기서 디지털 이미징 기기란 개인용 디지털 카메라 또는 휴대폰에 내장된 디지털 카메라와 같이 촬영 정보를 디지털화하여 사용자에게 표시하거나 저장하는 촬영 장치를 말한다. 상기 디지털 이미징 기기는 촬영 정보를 디지털 처리하기 위해 각종 광학렌즈, 이미지 센서, 디지털 신호처리 장치 등을 포함하여 구성되는 것이 일반적이다. 예컨대, 도 1에서와 같이, 상기 디지털 이미징 기기는 렌즈부(103), 영상센서부(104), 영상처리부(105), 영상표시부(106), 3A 파라미터 생성부(107), 렌즈 제어부(108), 플래시(109) 등을 포함할 수 있다.The
도 1에서, 렌즈부(103)는 피사체로부터 반사된 빛을 영상센서부(104)로 전달하는 부분으로, 사용자가 임의의 피사체를 촬영하는 경우 피사체로부터 반사된 빛이 영상센서부(104)에 적절하게 결상될 수 있도록 다수의 광학렌즈 및 조리개 등으로 구성될 수 있다.In FIG. 1, the
영상센서부(104)는 결상된 빛을 전기적인 신호로 변환하는 부분으로, CCD 또는 CMOS 이미지 센서와 같은 고체촬상소자가 사용될 수 있다.The
영상처리부(105)는 영상센서부(104)로부터 전기적인 신호를 입력받아 이를 영상 처리하여 영상표시부(106)에 표시되도록 하거나 별도의 저장부(미도시)에 저장되도록 하는 부분이다.The
3A 파라미터 생성부(107)는 고화질 생성을 위해 미리 정의된 기준에 따라 장면을 분류하고 각 장면에 가장 적합한 조절 파라미터를 생성하여 렌즈 제어부(108)로 인가하는 기능을 수행한다. 예컨대, 3A 파라미터 생성부(107)는 자동노출(AE), 자동 화이트 밸런스(AWB), 자동초점(AF) 등의 조절을 위한 파라미터를 생성하여 렌즈 제어부(108)에 인가함으로써, 셔터 스피드, 렌즈 어퍼쳐(aperture), 포커스 렌즈 등을 조절하는 것이 가능하다. The 3A
사용자가 특정 대상을 촬영하고자 하는 경우 영상표시부(106)에 나타나는 프리뷰 영상을 보고 촬영 구도를 정한 후 실제 촬영을 하게 되는데, 영상해석부(101) 는 이러한 프리뷰 영상, 즉 영상표시부(106)에 표시되는 촬영 전 화면에 지나친 반사 또는 광번짐 등의 화질저하 요인이 발생하였는지 여부를 분석하게 되는 것이다. When the user wants to shoot a specific object, the preview image appearing on the
예를 들어, 상기 영상해석부(101)는 프리뷰 영상에 대한 장면의 조명분포 또는 피사체의 반사특성을 분석할 수 있다. 이때, 장면의 조명분포는 장면의 주요 광원의 개수 및 분포를, 피사체의 반사특성은 피사체의 표면에 대한 휘도, 조도 또는 반사율 등을 포함하는 개념이다. 이러한 광질감 특성의 분석 방법으로는 색공간 변환, 휘도 강도의 산출 등과 같이 영상을 기반으로 하는 장면 해석 기법이 이용될 수 있다.For example, the
플래시 제어부(102)는 영상해석부(101)의 분석 결과에 따라 디지털 이미징 기기에 구비된 플래시(109)의 발광량 또는 조사각도를 조절한다.The
예컨대, 영상해석부(101)의 분석 결과 프리뷰 영상에 다중 광원이 검출되는 경우 부드러운 광질감이 표현되도록 플래시(109)의 발광량을 부분적으로 조절하는 것이 가능하다. 또한, 상기 프리뷰 영상에 반사체가 검출되는 경우 직반사가 일어나지 않도록 플래시(109)의 조사각도를 조절하는 것이 가능하다. 이를 위해 상기 플래시(109)는 도 2와 같은 구성을 가질 수 있다.For example, when multiple light sources are detected in the preview image of the
도 2는 본 발명의 실시예에 따른 플래시의 구성을 나타낸 것이다.2 illustrates a configuration of a flash according to an embodiment of the present invention.
도 2를 참조하면, 본 발명의 실시예에 따른 플래시(109)는 LED와 같은 발광소자(202)가 평면상에 균일하게 배열된 구조를 가지며, 회전축(201)을 중심으로 상하(Θ)/좌우(α)로 회전가능하게 구성된다. Referring to FIG. 2, the
따라서, 플래시 제어부(102)가 플래시(109)의 발광량을 부분적으로 조절하고 자 하는 경우 각 발광소자(202)를 독립적으로 조절하여 전체적인 발광량을 부분적으로 조절할 수 있다. 또한, 플래시 제어부(102)가 회전축(201) 또는 헤드를 회전시킴으로써 플래시(109)로부터 방출되어 피사체로 조사되는 빛의 방향을 조절하는 것이 가능하다.Accordingly, when the
도 3은 조명분포에 따라 플래시의 발광량이 부분적으로 조절되는 경우를 나타낸 일 예이다.3 is an example illustrating a case where a light emission amount of a flash is partially adjusted according to an illumination distribution.
도 1 및 도 3을 참조하여 이를 구체적으로 설명하면, 도 1에서, 영상해석부(101)는 프리뷰 영상의 조명분포 및 개수를 분석하여 다중 광원이 존재하는지 여부를 판단한다. 영상해석부(101)가 광원으로 검출된 영역이 화질 향상에 필요한 광원으로 의미가 있는지를 추론하는 방법은 다음과 같은 방법으로 이루어질 수 있다.1 and 3, in detail, in FIG. 1, the
예컨대, 영상해석부(101)는 프리뷰 영상을 M×N 개의 하위 윈도우로 분할하고 각 윈도우의 평균휘도값을 계산하여 계산된 평균휘도값이 미리 설정된 임계값보다 큰 경우 해당 윈도우 영역을 광원으로 검출하는 것이 가능하다.For example, the
또 다른 방법으로는, 각 윈도우의 평균 휘도 강도를 균일한 컬러 공간(uniform color space) 상에서 계산하여 이를 기반으로 지역적 분산 누적 확률(cumulative density probability)를 계산한다. 이러한 지역적 분산 누적 확률 분포를 L 개의 레벨로 나누고 영역별 각 레벨을 분석하여 의미 있는 조명의 개수와 공간적 위치에 대한 통계적 유의 레벨을 검출하는 것이 가능하다.In another method, the average luminance intensity of each window is calculated in a uniform color space and a cumulative density probability is calculated based on the average luminance intensity of each window. It is possible to detect the statistically significant level of the number of meaningful illumination and the spatial position by dividing the local variance cumulative probability distribution into L levels and analyzing each level for each region.
영상해석부(101)에 의해 다중 광원이 검출되면, 플래시 제어부(102)는 플래시(109)의 발광량을 부분적으로 조절한다. 예컨대, 도 3과 같이, 플래시 제어 부(102)가 각 발광소자(202)를 독립적으로 조절하여 플래시(109)의 발광량이 부분적으로 조절되도록 하는 것이 가능하다. 예컨대, 다음 수식을 이용하여 (n,m)좌표에 존재하는 발광소자(202)의 발광량을 조절할 수 있다.When multiple light sources are detected by the
상기 수학식 1에서, In ,m은 n,m 번째 플래시 광량을, Ia는 전체 플래시의 최대 광량을, Sa는 전체 영상조도를, Sn ,m은 N,M 번째 윈도우의 영상조도를 각각 나타내며, 조도 함수(f)는 도 3의 그래프와 같이 표현될 수 있다.In
이와 같이 장면 내에 다중 광원이 존재하는 경우 플래시의 부분적 발광량을 조절하여 전체적인 빛의 질감을 부드럽게 하는 것이 가능하다. 이는 사진 전문가들이 사용하는 조명보조 소프트박스와 유사한 영상효과를 거둘 수 있다.As such, when there are multiple light sources in the scene, it is possible to soften the overall light texture by adjusting the partial light emission amount of the flash. This can produce a visual effect similar to the light-assisted softbox used by photography professionals.
도 4는 피사체의 반사특성에 따라 플래시의 조사각도가 조절되는 경우를 나타낸 일 예이다. 도 1 및 도 4를 참조하여 이를 구체적으로 살펴보면 다음과 같다.4 illustrates an example in which an irradiation angle of a flash is adjusted according to a reflection characteristic of a subject. Looking at this in detail with reference to Figures 1 and 4 as follows.
도 4는 피사체 표면에 반사체(401)가 검출되는 경우 직반사가 일어나지 않도록 플래시(109)의 조사각도가 조절되는 것을 나타낸다.4 shows that the irradiation angle of the
이를 위해, 도 1에서, 영상해석부(101)는 장면 내에 존재하는 피사체의 표면에 대한 휘도, 조도 또는 반사율을 분석한다. 예컨대, 영상해석부(101)는 색공간 변환을 통해 프리뷰 영상의 RGB 데이터를 휘도, 조도 또는 반사율 데이터로 변환하 는 것이 가능하다.To this end, in FIG. 1, the
이러한 색공간 변환을 위한 매트릭스 계수는 다음과 같이 도출될 수 있으나, 반드시 이에 한정하는 것은 아니며, 그 밖에 색공간 변환 기법이 사용될 수 있음은 물론이다.The matrix coefficient for the color space transformation may be derived as follows, but is not necessarily limited thereto, and of course, a color space transformation technique may be used.
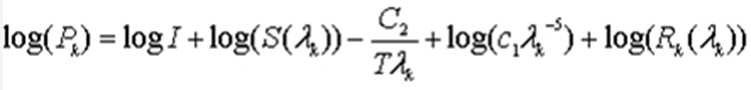
예컨대, 영상해석부(101)는 프리뷰 영상의 RGB 데이터를 이용하여 센서 반응 모델을 만들고 센서 반응 모델을 디렉 델타(Dirac delta) 함수를 이용하여 모델을 재구성한 후, 흑체복사(black body radiation)를 기반으로 조도를 추정하고 여기에 로그(log)를 취하여 PCA(pricipal component analysis)법을 통해 계수를 도출하는 것이 가능하다.For example, the
상기 수학식 2에서, P0, P1, P2는 R신호, G신호, B신호를 각각 나타내며, L, I, r은 RGB 정보에 대응되는 휘도(luminance), 조도(illumination), 반사율(reflectance factor)을 각각 나타내고, a는 색공간 변환을 위한 매트릭스 계수(coefficients)를 나타낸다.In Equation 2, P 0 , P 1 , and P 2 represent R signals, G signals, and B signals, respectively, and L, I, and r represent luminance, illuminance, and reflectance corresponding to RGB information. reflectance factor), and a denotes matrix coefficients for color space conversion.
색공간 변환을 위한 계수를 도출하기 위해 RGB 데이터와 이를 센서로 받아들이는 반응모델을 구성하고 반응모델을 디렉 델타 함수를 이용하여 재구성하면 아래의 식을 얻을 수 있다.To derive the coefficients for color space conversion, we construct the response model that accepts the RGB data and the sensor and reconstruct the response model using the delta delta function.
상기 수학식 3에서, E는 조도 스펙트럼 분산(illumination spectral power distribution), S는 표면 반사도(matter surface reflectance fuction), R은 센서감도(sensor sensitivity)를 각각 나타낸다.In Equation 3, E denotes an illumination spectral power distribution, S denotes a surface reflectance fuction, and R denotes a sensor sensitivity.
수학식 3에서, 흑체복사기법(black body radiator)을 기반으로 E함수에 대해 조도를 추정하면 다음과 같다.In Equation 3, roughness is estimated for the E function based on a black body radiator as follows.
상기 수학식 4에서, I는 조도의 세기(power of illumination), T는 흑체의 색온도, C는 상수를 나타낸다.In Equation 4, I denotes a power of illumination, T denotes a color temperature of a black body, and C denotes a constant.
위 식을 최초 구성된 반응 모델에 대입하고 로그(log)를 취한 후 PCA(principal component analysis) 기법을 이용하면 다음과 같이 휘도, 조도, 반사율의 값을 얻을 수 있다.Substituting the above equation into the initially constructed response model and taking a log, we can use the PCA (principal component analysis) technique to obtain the values of luminance, illuminance and reflectance as follows.
상기 수학식 5에서, 첫 번째 항은 조도의 강도(intensity)와 관련되고, 두 번째 항은 반사율과 관련되며, 세 번째 항은 조도와 관련된 함수이다. 또한, 네 번 째 항은 상수로써 센서와 관련되며, 마지막 항은 반사도가 0인 경우 그레이 컬러(gray color)를 판별하는데 사용된다.In Equation 5, the first term is related to the intensity of illuminance, the second term is related to reflectance, and the third term is a function related to illuminance. In addition, the fourth term is associated with the sensor as a constant, and the last term is used to determine the gray color when the reflectivity is zero.
즉, 전술한 방법을 통해 프리뷰 영상에 존재하는 피사체 표면의 휘도, 조도, 반사율 등을 분석하는 것이 가능하며, 특정 임계값 이상의 반사율을 갖는 피사체 표면을 반사체라고 판별할 수 있다.That is, it is possible to analyze the luminance, illuminance, reflectance, etc. of the surface of the subject existing in the preview image by the above-described method, and to determine that the surface of the subject having the reflectance above a specific threshold is a reflector.
예컨대, 도 4와 같이, 피사체의 특정 부분이 반사체(401)로 검출되는 경우, 플래시 제어부(102)는 플래시(109)의 회전축 또는 헤드를 구동하여 직반사가 일어나지 않도록 조사각도를 변경하는 것이 가능하다.For example, as shown in FIG. 4, when a specific part of the subject is detected by the
다음으로, 도 5를 참조하여, 본 발명의 실시예에 따른 디지털 이미징 기기의 지능형 플래시 방법을 설명한다.Next, an intelligent flash method of a digital imaging device according to an embodiment of the present invention will be described with reference to FIG. 5.
본 발명의 실시예에 따른 디지털 이미징 기기의 지능형 플래시 방법은, 먼저 상기 디지털 이미징 기기의 프리뷰 영상에 대한 광질감 특성을 파악한다(S501).In an intelligent flash method of a digital imaging device according to an embodiment of the present invention, first, a light quality characteristic of a preview image of the digital imaging device is determined (S501).
여기서 프리뷰 영상은 디지털 이미징 기기의 표시부를 통해 나타나는 촬영 전 화면을 의미하는 것으로 사용자는 이러한 프리뷰 영상을 보고 촬영을 개시하게 된다. 따라서 상기 프리뷰 영상에는 촬영하고자 하는 장면이 나타난다. 또한, 상기 광질감 특성이란 프리뷰 영상에 나타난 빛의 질감을 말하며, 프리뷰 영상에 대한 장면의 조명분포 또는 피사체의 반사특성 등을 포함할 수 있다.Here, the preview image refers to a screen before shooting, which is displayed through the display unit of the digital imaging device, and the user starts to view the preview image. Therefore, the scene to be photographed appears in the preview image. The light quality characteristic may refer to a texture of light appearing in the preview image, and may include an illumination distribution of a scene or a reflection characteristic of a subject with respect to the preview image.
이러한 광질감 특성은 전술한 영상해석부(101)가 프리뷰 영상을 다수의 윈도우로 분할하고 각 윈도우에 대한 평균휘도값을 산출하여 장면의 조명분포를 분석하거나, 색공간 변환을 통해 RBG 데이터를 휘도, 조도 또는 반사율 데이터로 변환하 여 피사체의 반사특성을 분석하는 것이 가능하다.This optical quality characteristic is analyzed by the
프리뷰 영상에 대한 광질감 특성이 파악되면, 파악된 광질감 특성에 따라 디지털 이미징 기기에 구비된 플래시의 발광량 또는 조사각도를 조절한다(S502).When the light quality characteristic of the preview image is determined, the light emission amount or the irradiation angle of the flash included in the digital imaging apparatus is adjusted according to the identified light quality characteristic (S502).
이를 위해 상기 플래시는 도 2와 같이 구성될 수 있으며, 전술한 플래시 제어부(102)가 상기 플래시의 발광량 또는 조사각도를 조절하는 것이 가능하다.To this end, the flash may be configured as shown in FIG. 2, and the
예컨대, 프리뷰 영상에 다중 광원이 존재하는 경우, 플래시 제어부(102)가 플래시(109)의 발광량을 부분적으로 조절하여 부드러운 광질감이 표현되도록 하는 것이 가능하다. 또한, 프리뷰 영상에 반사체가 존재하는 경우, 플래시 제어부(102)가 플래시(109)의 조사각도를 조절하여 직반사가 일어나지 않도록 할 수 있다.For example, when multiple light sources exist in the preview image, the
결국, 전술한 실시예에 의하면, 실내, 야경, 역광과 같이 특수한 촬영 환경에서 지나친 반사 또는 빛의 번짐 등과 같은 화질 저하 요인이 발생 되는 경우, 영상기반으로 장면을 해석하고 이를 이용하여 플래시를 조절하기 때문에 장면의 광질감을 전문가 수준으로 표현할 수 있게 된다.As a result, according to the above-described embodiment, when a deterioration factor such as excessive reflection or light bleeding occurs in a special shooting environment such as indoors, night scenes, or backlighting, the scene is interpreted based on an image and the flash is adjusted using the image. As a result, the quality of the scene can be expressed professionally.
이상에서 본 발명의 실시예에 대하여 설명하였으나 본 발명은 상술한 특정의 실시예에 한정되지 아니한다. 즉, 본 발명이 속하는 기술분야에서 통상의 지식을 가지는 자라면 첨부된 특허청구범위의 사상 및 범주를 일탈함이 없이 본 발명에 대한 다수의 변경 및 수정이 가능하며, 그러한 모든 적절한 변경 및 수정의 균등물들도 본 발명의 범위에 속하는 것으로 간주되어야 할 것이다.While the embodiments of the present invention have been described above, the present invention is not limited to the above-described specific embodiments. That is, those skilled in the art to which the present invention pertains can make many changes and modifications to the present invention without departing from the spirit and scope of the appended claims, and all such appropriate changes and modifications are possible. Equivalents should be considered to be within the scope of the present invention.
도 1은 본 발명의 실시예에 따른 디지털 이미징 기기의 플래시 장치에 대한 전체적인 구성을 나타낸 도면,1 is a view showing the overall configuration of a flash device of a digital imaging device according to an embodiment of the present invention;
도 2는 본 발명의 실시예에 따른 플래시의 구성을 나타낸 도면,2 is a view showing the configuration of a flash according to an embodiment of the present invention;
도 3은 본 발명의 실시예에 따라 플래시의 발광량이 부분적으로 조절되는 것을 나타낸 도면,3 is a view showing that the light emission amount of the flash is partially adjusted according to an embodiment of the present invention,
도 4는 본 발명의 실시예에 따라 플래시의 조사각도가 조절되는 것을 나타낸 도면,4 is a view showing that the irradiation angle of the flash is adjusted according to an embodiment of the present invention,
도 5는 본 발명의 실시예에 따른 디지털 이미징 기기의 플래시 방법에 대한 흐름을 나타낸 도면이다.5 is a flowchart illustrating a flash method of a digital imaging device according to an embodiment of the present invention.
<도면의 주요부호에 대한 설명><Description of Major Symbols in Drawing>
101 : 영상해석부101: video analysis unit
102 : 플래시 제어부102: flash control unit
103 : 렌즈부103: lens unit
104 : 영상센서부104: image sensor
105 : 영상처리부105: image processing unit
106 : 영상표시부106: image display unit
107 : 3A 파라미터 생성부107: 3A parameter generator
108 : 렌즈제어부108: lens control unit
109 : 플래시109 flash
Claims (13)
Priority Applications (1)
| Application Number | Priority Date | Filing Date | Title |
|---|---|---|---|
| KR20080006471A KR101491123B1 (en) | 2008-01-22 | 2008-01-22 | An intellectual flash apparatus of digital imaging device and flash methods thereof |
Applications Claiming Priority (1)
| Application Number | Priority Date | Filing Date | Title |
|---|---|---|---|
| KR20080006471A KR101491123B1 (en) | 2008-01-22 | 2008-01-22 | An intellectual flash apparatus of digital imaging device and flash methods thereof |
Publications (2)
| Publication Number | Publication Date |
|---|---|
| KR20090080610A true KR20090080610A (en) | 2009-07-27 |
| KR101491123B1 KR101491123B1 (en) | 2015-02-09 |
Family
ID=41291690
Family Applications (1)
| Application Number | Title | Priority Date | Filing Date |
|---|---|---|---|
| KR20080006471A Active KR101491123B1 (en) | 2008-01-22 | 2008-01-22 | An intellectual flash apparatus of digital imaging device and flash methods thereof |
Country Status (1)
| Country | Link |
|---|---|
| KR (1) | KR101491123B1 (en) |
Cited By (2)
| Publication number | Priority date | Publication date | Assignee | Title |
|---|---|---|---|---|
| KR101055405B1 (en) * | 2009-11-13 | 2011-08-09 | 조창오 | Lighting control device and method |
| US8964089B2 (en) | 2012-05-09 | 2015-02-24 | Canon Kabushiki Kaisha | Systems and methods for simulated preview for preferred image exposure |
Family Cites Families (2)
| Publication number | Priority date | Publication date | Assignee | Title |
|---|---|---|---|---|
| JP2005024971A (en) * | 2003-07-03 | 2005-01-27 | Nikon Corp | Imaging system, illumination system, and illumination condition setting method |
| JP2006010745A (en) * | 2004-06-22 | 2006-01-12 | Sony Corp | Illuminator |
-
2008
- 2008-01-22 KR KR20080006471A patent/KR101491123B1/en active Active
Cited By (2)
| Publication number | Priority date | Publication date | Assignee | Title |
|---|---|---|---|---|
| KR101055405B1 (en) * | 2009-11-13 | 2011-08-09 | 조창오 | Lighting control device and method |
| US8964089B2 (en) | 2012-05-09 | 2015-02-24 | Canon Kabushiki Kaisha | Systems and methods for simulated preview for preferred image exposure |
Also Published As
| Publication number | Publication date |
|---|---|
| KR101491123B1 (en) | 2015-02-09 |
Similar Documents
| Publication | Publication Date | Title |
|---|---|---|
| US8018525B2 (en) | Camera flash module and method for controlling same | |
| JP4236433B2 (en) | System and method for simulating fill flash in photography | |
| JP4263890B2 (en) | System and method for determining when to correct a particular image defect based on camera, scene, display, and demographic data | |
| JP4133052B2 (en) | Digital imaging system | |
| KR100698483B1 (en) | Imaging Device and Control Method | |
| US8358370B2 (en) | Flash light compensation system for digital camera system | |
| CN107948538B (en) | Imaging method, device, mobile terminal and storage medium | |
| KR20060045424A (en) | Digital Camera with Luminance Correction | |
| KR20110043162A (en) | Multiple exposure control device and method | |
| US9497433B2 (en) | Imaging device with color adjustment function, imaging method using the same, and non-transitory storage medium in which imaging program is stored | |
| JP5728498B2 (en) | Imaging apparatus and light emission amount control method thereof | |
| US20090167932A1 (en) | Image capturing apparatus | |
| JP5149055B2 (en) | Imaging device | |
| JP6965132B2 (en) | Image processing equipment, imaging equipment, image processing methods and programs | |
| JP4300936B2 (en) | Imaging device | |
| JP5970871B2 (en) | Electronic camera | |
| KR101491123B1 (en) | An intellectual flash apparatus of digital imaging device and flash methods thereof | |
| JP6300514B2 (en) | IMAGING DEVICE AND IMAGING DEVICE CONTROL METHOD | |
| KR101493378B1 (en) | Imaging apparatus and imaging apparatus control method | |
| JP2010008717A (en) | Photographing device | |
| JP2000184382A (en) | Digital still camera | |
| JP2000184381A (en) | Digital still camera | |
| TWI405458B (en) | Digital camera sensitivity adjustment method | |
| Peres | Digital Cameras, Digital Images, and Strategies | |
| JP2000184273A (en) | Digital still camera |
Legal Events
| Date | Code | Title | Description |
|---|---|---|---|
| PA0109 | Patent application |
Patent event code: PA01091R01D Comment text: Patent Application Patent event date: 20080122 |
|
| PG1501 | Laying open of application | ||
| A201 | Request for examination | ||
| PA0201 | Request for examination |
Patent event code: PA02012R01D Patent event date: 20130116 Comment text: Request for Examination of Application Patent event code: PA02011R01I Patent event date: 20080122 Comment text: Patent Application |
|
| E902 | Notification of reason for refusal | ||
| PE0902 | Notice of grounds for rejection |
Comment text: Notification of reason for refusal Patent event date: 20140121 Patent event code: PE09021S01D |
|
| AMND | Amendment | ||
| E601 | Decision to refuse application | ||
| PE0601 | Decision on rejection of patent |
Patent event date: 20140729 Comment text: Decision to Refuse Application Patent event code: PE06012S01D Patent event date: 20140121 Comment text: Notification of reason for refusal Patent event code: PE06011S01I |
|
| AMND | Amendment | ||
| J201 | Request for trial against refusal decision | ||
| PJ0201 | Trial against decision of rejection |
Patent event date: 20140929 Comment text: Request for Trial against Decision on Refusal Patent event code: PJ02012R01D Patent event date: 20140729 Comment text: Decision to Refuse Application Patent event code: PJ02011S01I Appeal kind category: Appeal against decision to decline refusal Appeal identifier: 2014101006107 Request date: 20140929 |
|
| PB0901 | Examination by re-examination before a trial |
Comment text: Amendment to Specification, etc. Patent event date: 20140929 Patent event code: PB09011R02I Comment text: Request for Trial against Decision on Refusal Patent event date: 20140929 Patent event code: PB09011R01I Comment text: Amendment to Specification, etc. Patent event date: 20140321 Patent event code: PB09011R02I |
|
| B701 | Decision to grant | ||
| PB0701 | Decision of registration after re-examination before a trial |
Patent event date: 20141031 Comment text: Decision to Grant Registration Patent event code: PB07012S01D Patent event date: 20141030 Comment text: Transfer of Trial File for Re-examination before a Trial Patent event code: PB07011S01I |
|
| GRNT | Written decision to grant | ||
| PR0701 | Registration of establishment |
Comment text: Registration of Establishment Patent event date: 20150202 Patent event code: PR07011E01D |
|
| PR1002 | Payment of registration fee |
Payment date: 20150202 End annual number: 3 Start annual number: 1 |
|
| PG1601 | Publication of registration | ||
| FPAY | Annual fee payment |
Payment date: 20180102 Year of fee payment: 4 |
|
| PR1001 | Payment of annual fee |
Payment date: 20180102 Start annual number: 4 End annual number: 4 |
|
| FPAY | Annual fee payment |
Payment date: 20190103 Year of fee payment: 5 |
|
| PR1001 | Payment of annual fee |
Payment date: 20190103 Start annual number: 5 End annual number: 5 |
|
| FPAY | Annual fee payment |
Payment date: 20200102 Year of fee payment: 6 |
|
| PR1001 | Payment of annual fee |
Payment date: 20200102 Start annual number: 6 End annual number: 6 |
|
| PR1001 | Payment of annual fee |
Payment date: 20210120 Start annual number: 7 End annual number: 7 |


