KR20090014903A - Back light driving method and device of liquid crystal display - Google Patents
Back light driving method and device of liquid crystal display Download PDFInfo
- Publication number
- KR20090014903A KR20090014903A KR1020070079233A KR20070079233A KR20090014903A KR 20090014903 A KR20090014903 A KR 20090014903A KR 1020070079233 A KR1020070079233 A KR 1020070079233A KR 20070079233 A KR20070079233 A KR 20070079233A KR 20090014903 A KR20090014903 A KR 20090014903A
- Authority
- KR
- South Korea
- Prior art keywords
- value
- led
- ciexyz
- duty
- backlight unit
- Prior art date
- Legal status (The legal status is an assumption and is not a legal conclusion. Google has not performed a legal analysis and makes no representation as to the accuracy of the status listed.)
- Granted
Links
Images
Classifications
-
- G—PHYSICS
- G09—EDUCATION; CRYPTOGRAPHY; DISPLAY; ADVERTISING; SEALS
- G09G—ARRANGEMENTS OR CIRCUITS FOR CONTROL OF INDICATING DEVICES USING STATIC MEANS TO PRESENT VARIABLE INFORMATION
- G09G3/00—Control arrangements or circuits, of interest only in connection with visual indicators other than cathode-ray tubes
- G09G3/20—Control arrangements or circuits, of interest only in connection with visual indicators other than cathode-ray tubes for presentation of an assembly of a number of characters, e.g. a page, by composing the assembly by combination of individual elements arranged in a matrix no fixed position being assigned to or needed to be assigned to the individual characters or partial characters
- G09G3/34—Control arrangements or circuits, of interest only in connection with visual indicators other than cathode-ray tubes for presentation of an assembly of a number of characters, e.g. a page, by composing the assembly by combination of individual elements arranged in a matrix no fixed position being assigned to or needed to be assigned to the individual characters or partial characters by control of light from an independent source
- G09G3/36—Control arrangements or circuits, of interest only in connection with visual indicators other than cathode-ray tubes for presentation of an assembly of a number of characters, e.g. a page, by composing the assembly by combination of individual elements arranged in a matrix no fixed position being assigned to or needed to be assigned to the individual characters or partial characters by control of light from an independent source using liquid crystals
- G09G3/3611—Control of matrices with row and column drivers
-
- G—PHYSICS
- G09—EDUCATION; CRYPTOGRAPHY; DISPLAY; ADVERTISING; SEALS
- G09G—ARRANGEMENTS OR CIRCUITS FOR CONTROL OF INDICATING DEVICES USING STATIC MEANS TO PRESENT VARIABLE INFORMATION
- G09G3/00—Control arrangements or circuits, of interest only in connection with visual indicators other than cathode-ray tubes
- G09G3/20—Control arrangements or circuits, of interest only in connection with visual indicators other than cathode-ray tubes for presentation of an assembly of a number of characters, e.g. a page, by composing the assembly by combination of individual elements arranged in a matrix no fixed position being assigned to or needed to be assigned to the individual characters or partial characters
- G09G3/34—Control arrangements or circuits, of interest only in connection with visual indicators other than cathode-ray tubes for presentation of an assembly of a number of characters, e.g. a page, by composing the assembly by combination of individual elements arranged in a matrix no fixed position being assigned to or needed to be assigned to the individual characters or partial characters by control of light from an independent source
- G09G3/3406—Control of illumination source
-
- G—PHYSICS
- G09—EDUCATION; CRYPTOGRAPHY; DISPLAY; ADVERTISING; SEALS
- G09G—ARRANGEMENTS OR CIRCUITS FOR CONTROL OF INDICATING DEVICES USING STATIC MEANS TO PRESENT VARIABLE INFORMATION
- G09G2320/00—Control of display operating conditions
- G09G2320/02—Improving the quality of display appearance
- G09G2320/0233—Improving the luminance or brightness uniformity across the screen
-
- G—PHYSICS
- G09—EDUCATION; CRYPTOGRAPHY; DISPLAY; ADVERTISING; SEALS
- G09G—ARRANGEMENTS OR CIRCUITS FOR CONTROL OF INDICATING DEVICES USING STATIC MEANS TO PRESENT VARIABLE INFORMATION
- G09G2320/00—Control of display operating conditions
- G09G2320/06—Adjustment of display parameters
- G09G2320/0666—Adjustment of display parameters for control of colour parameters, e.g. colour temperature
-
- G—PHYSICS
- G09—EDUCATION; CRYPTOGRAPHY; DISPLAY; ADVERTISING; SEALS
- G09G—ARRANGEMENTS OR CIRCUITS FOR CONTROL OF INDICATING DEVICES USING STATIC MEANS TO PRESENT VARIABLE INFORMATION
- G09G2360/00—Aspects of the architecture of display systems
- G09G2360/14—Detecting light within display terminals, e.g. using a single or a plurality of photosensors
- G09G2360/141—Detecting light within display terminals, e.g. using a single or a plurality of photosensors the light conveying information used for selecting or modulating the light emitting or modulating element
- G09G2360/142—Detecting light within display terminals, e.g. using a single or a plurality of photosensors the light conveying information used for selecting or modulating the light emitting or modulating element the light being detected by light detection means within each pixel
-
- G—PHYSICS
- G09—EDUCATION; CRYPTOGRAPHY; DISPLAY; ADVERTISING; SEALS
- G09G—ARRANGEMENTS OR CIRCUITS FOR CONTROL OF INDICATING DEVICES USING STATIC MEANS TO PRESENT VARIABLE INFORMATION
- G09G2360/00—Aspects of the architecture of display systems
- G09G2360/16—Calculation or use of calculated indices related to luminance levels in display data
Landscapes
- Engineering & Computer Science (AREA)
- Physics & Mathematics (AREA)
- Computer Hardware Design (AREA)
- General Physics & Mathematics (AREA)
- Theoretical Computer Science (AREA)
- Chemical & Material Sciences (AREA)
- Crystallography & Structural Chemistry (AREA)
- Circuit Arrangement For Electric Light Sources In General (AREA)
- Liquid Crystal Display Device Control (AREA)
Abstract
본 발명은 3색 엘이디(RGB LED)를 사용하는 액정표시장치의 백라이트 구동시스템에서 환경변화에 관계없이 항상 일정한 휘도 및 색도를 유지하는 기술에 관한 것이다. 이러한 본 발명은, 목표로 하는 휘도,색온도값을 설정한 후 그 색온도로부터 색도값을 계산하고, 그 휘도,색도값으로부터 목표로 하는 CIEXYZ 값을 계산하는 제1과정과; 엘이디 백라이트 유닛의 현재 발광상태를 파악하기 위해 그의 주변에 설치된 RGB 광학센서의 출력값을 획득한 후 이를 특성화 처리하여 현재의 CIEXYZ 값을 추정하는 제2과정과; 상기 현재 CIEXYZ 및 듀티 값을 근거로 현재 엘이디 백라이트 유닛상의 LED 발광상태가 반영되도록 XYZ to Duty 변환행렬을 갱신하고, 그 갱신된 결과를 이용하여 목표로 하는 CIEXYZ 값을 출력하기 위한 LED의 듀티값을 계산하는 제3과정과; 상기 계산된 LED의 듀티값에 상응되는 구동펄스를 상기 엘이디 백라이트 유닛상의 LED에 출력하는 제4과정에 의해 달성된다.The present invention relates to a technology for maintaining a constant luminance and chromaticity at all times regardless of environmental changes in a backlight driving system of a liquid crystal display device using a tricolor LED (RGB LED). The present invention includes a first step of setting a target luminance and color temperature value, calculating a chromaticity value from the color temperature, and calculating a target CIEXYZ value from the luminance and chromaticity values; A second process of acquiring an output value of an RGB optical sensor installed around the LED backlight unit to determine a current light emitting state and then characterizing the LED backlight unit to estimate a current CIEXYZ value; Based on the current CIEXYZ and the duty value, the XYZ to Duty conversion matrix is updated to reflect the LED light emitting state on the LED backlight unit, and the duty value of the LED for outputting the target CIEXYZ value is obtained using the updated result. A third step of calculating; The driving pulse corresponding to the calculated duty value of the LED is achieved by a fourth process of outputting to the LED on the LED backlight unit.
Description
본 발명은 액정표시장치에서 백라이트의 특성이 변화되는 것을 방지하는 기술에 관한 것으로, 특히 3색 엘이디(RGB LED)를 사용하는 백라이트에서 환경변화에 관계없이 항상 일정한 휘도 및 색도를 유지할 수 있도록 한 액정표시장치의 백라이트 구동방법 및 장치에 관한 것이다.The present invention relates to a technology for preventing a change in the characteristics of the backlight in the liquid crystal display device, in particular a liquid crystal that can maintain a constant brightness and chromaticity at all times regardless of environmental changes in the backlight using a three-color LED (RGB LED) A backlight driving method and apparatus for a display device are provided.
일반적으로, 액정표시장치는 스스로 발광하지 못하기 때문에 광을 공급하는 백라이트 유닛(Back Light Unit)을 구비하게 된다. 상기 백라이트 유닛은 광원으로서 주로 냉음극형광램프(CCFL: Cold Cathode Fluorescent Lamp)를 이용하며, 이 냉음극형광램프에서 발생된 빛을 도광판을 통해 전달하여 액정표시장치의 직하에서 액정화면에 투사된다. In general, the liquid crystal display does not emit light by itself and includes a backlight unit for supplying light. The backlight unit mainly uses a Cold Cathode Fluorescent Lamp (CCFL) as a light source, and transmits the light generated by the Cold Cathode Fluorescent Lamp through the light guide plate and is projected onto the LCD screen directly under the liquid crystal display.
그런데, 상기 냉음극형광램프는 환경규제 대상인 수은을 비교적 많이 사용하는 문제점이 있고, 전원선로를 통해 인버터와 연결되어 있으므로 전류가 누설될 우려가 있다. 또한, 상기 냉음극형광램프는 수명이 10,000∼50,000 시간 정도밖에 되지 않아 티브이용으로 적합하지 않은 단점이 있다. 또한, 신뢰성면에서 진동이나 충격 에 약하고, 색재현성면에서도 기존의 씨알티(CRT) 대비 시인성이 많이 떨어지는 단점이 있다.However, the cold cathode fluorescent lamp has a problem of using a relatively large amount of mercury, which is a target of environmental regulation, and there is a risk of current leakage because it is connected to the inverter through a power line. In addition, the cold-cathode fluorescent lamp has a disadvantage that it is not suitable for TV use because its lifetime is only about 10,000 to 50,000 hours. In addition, it is weak in vibration and shock in terms of reliability, and in terms of color reproduction, there is a disadvantage in that visibility is much lower than that of existing CRT.
이와 같은 이유로 인하여 근래에는 냉음극형광램프의 단점을 극복할 수 있는 고신뢰성의 발광소자로서 화이트 발광다이오드(White LED)가 주목을 받고 있는데, 그 이유는 고색재현성이 우수하고, 환경친화적이며, 수명이 길기 때문이다. For this reason, in recent years, white LEDs have attracted attention as high reliability light emitting devices capable of overcoming the disadvantages of cold cathode fluorescent lamps because of their excellent color reproducibility, environmental friendliness, and lifetime. Because it is long.
그러나, 상기 화이트 LED 백라이트의 드라이브 장치는, 직류/직류 컨버터의 출력전압에 리플(ripple)이 발생하여 포워드 전압이 주기적으로 떨리는 현상이 발생되고, 직류/직류 컨버터의 부스트업(boost-up) 전압을 쉽게 바꿀 수 없는 문제점이 있었다.However, in the drive device of the white LED backlight, a ripple occurs in the output voltage of the DC / DC converter, and the forward voltage periodically fluctuates, and the boost-up voltage of the DC / DC converter is generated. There was a problem that can not be easily changed.
이에 따라, 최근에는 화이트 LED 대신 컬러 LED 즉, 3색(RGB: Red, Green, Blue) 엘이디(LED: Light Emitting Diode)를 이용하여 화이트 광을 제공하는 백라이트 유닛이 각광을 받고 있다.Accordingly, recently, a backlight unit that provides white light using color LEDs, that is, three colors (RGB: Red, Green, Blue) LEDs (Light Emitting Diodes) instead of the white LEDs has been in the spotlight.
도 1은 종래의 기술의 한 예로써, 조사원의 조명 측정 시스템 및 방법(US6344641)을 나타낸 것이다. FIG. 1 is an example of the prior art, which shows a lighting measurement system and method US6344641 of a researcher.
여기에서는, 적어도 한 개의 광검출기(11a)와 강도검지·제어회로(50)를 구비하는 마이크로 디스플레이장치(14)를 설치하고, 조사원(12a)를 이용하여 그 광검출기(11a)를 조사할 수 있도록 한다. Here, the
그리고, 상기 광검출기(11a)를 이용하여 상기 조사원(12a)의 강도를 측정하여 상기 강도검지·제어회로(50)에 전송한다. 이에 대하여 상기 강도검지·제어회로(50)에서는 측정된 출력전압과 목표 출력전압을 비교하여 그 비교 결과에 따라 상기 조사원(12a)을 소정의 레벨로 조정하도록 되어 있다.Then, the intensity of the
그런데, 이와 같은 시스템에서는 광학센서인 광검출기가 1채널 센서이므로, RGB LED를 동시에 점등시킨 발광상태에서 각 LED 구동전류를 조절하기 위한 센싱작업을 수행할 수 없고, RGB LED 중에서 센싱 대상인 하나의 LED만 점등시키게 되어 있었다.However, in such a system, since the photodetector, which is an optical sensor, is a 1-channel sensor, it is not possible to perform a sensing operation for adjusting each LED driving current in a light emitting state in which RGB LEDs are simultaneously turned on, and one LED that is a sensing target among RGB LEDs. It was supposed to light up only.
따라서, 이와 같은 종래 액정표시장치의 백라이트 구동기술에 이용하는 경우, 백라이트 광을 검출하는 과정이 복잡하고 검출시간이 많이 소요되는 등의 문제점이 있었다. Therefore, when used in the backlight driving technology of the conventional liquid crystal display device, there is a problem that the process of detecting the backlight light is complicated and takes a lot of detection time.
또한, 도 2는 종래의 기술의 또 다른 예로써, LED 광원의 스펙트럴 콘텐츠의 측정 및 제어를 행하는 방법 및 장치(US6448550)을 나타낸 것이다.In addition, FIG. 2 shows another method of the related art (US6448550) for measuring and controlling the spectral content of an LED light source.
이는 폐루프 스펙트럴 제어를 이용한 반도체 조정장치로서, 상이한 색을 생성하는 3색의 LED인 적색 LED(110a,110b,110c), 녹색 LED(120a,120b,120c) 및 청색 LED(130a,130b,130c)를 포토센서(150a, 150b,150c,150d)에 근접되게 설치한다.This is a semiconductor regulator using closed loop spectral control, which is a red LED (110a, 110b, 110c), green LED (120a, 120b, 120c) and blue LED (130a, 130b, 130c) is installed close to the
그리고, 상기 발광다이오드(110a-110c),(120a-120c),(130a-130c)의 스펙트럴 콘텐츠를 상기 포토센서(150a-150d)로 측정하고, 그 측정치를 근거로 상기 발광다이오드(110a-110c),(120a-120c),(130a-130c)의 전류를 조절하여, 소망의 스펙트럴 특성을 달성하도록 되어 있다.The spectral contents of the
하지만, 이와 같은 시스템은 RGB LED 각각을 센싱하기 위해 차례로 LED를 점등시킬 필요없이 시간적으로 동시에 센싱할 수 있지만, LED 사이 사이에 포토센서를 설치해야 하므로 그에 따른 설치작업 시간과 비용이 많이 소요되는 문제점이 있었 다.However, such a system can sense each time at the same time without having to turn on the LEDs in order to sense each of the RGB LEDs, but it requires a lot of installation time and cost accordingly because photosensors must be installed between the LEDs. There was this.
또 다른 종래 기술의 예로써 미국특허 US6507159B2가 있다. 이 특허의 경우 LED 제어 전류와 LED 출력광의 전달함수(G_LED)를 모델링할 때 파라미터로 LED의 현재 온도와 현재 전류 등을 이용하지만, 이때 사용된 모든 LED의 특성이 동일할 수 없으므로 모델링에 오차가 발생되는 문제점이 있었다. Another example of the prior art is US Patent US6507159B2. This patent uses the LED current temperature and current current as parameters when modeling the LED control current and the transfer function of the LED output light (G_LED), but there are errors in modeling because all LEDs cannot be the same. There was a problem that occurred.
또 다른 종래 기술의 예로써 미국특허 US6630801B2가 있다. 이 특허의 전반적인 기술은 상기 미국특허 US6507159B2와 동일하지만 필터가 없는 광학센서를 추가한 것이 다른 점이다. 따라서, 필터가 없는 광학센서의 추가 설치에 따른 비용이 추가되는 문제점이 있었다.Another example of the prior art is US patent US6630801B2. The overall technology of this patent is the same as the US patent US6507159B2, except that an optical sensor without a filter is added. Therefore, there is a problem in that the cost of the additional installation of the optical sensor without the filter is added.
또 다른 종래 기술의 예로써 미국특허 US6992803B2가 있다. 이 특허는 RGB LED가 모두 점등되어 있는 백라이트 유닛에서 각 RGB LED의 색도 값을 찾는 방법을 제시한 것이다. 이를 위해 RGB 세 LED의 색도 값을 찾아야 하므로 3개 이상의 백색 값이 필요하다. 그리고, 3개의 백색 샘플에 대해서는 역행렬 연산을 통해 RGB LED의 색도값을 찾고, 3개 이상의 백색 샘플에 대해서는 의사 역행렬 연산을 통해 RGB LED의 색도값을 찾아야 한다. 이에 따라, RGB LED의 색도 값을 찾는 과정이 복잡할뿐더러 시간이 많이 소요되는 문제점이 있었다.Another example of the prior art is US Pat. No. 6,923,803 B2. This patent proposes a method of finding the chromaticity value of each RGB LED in a backlight unit in which all of the RGB LEDs are lit. To do this, we need to find the chromaticity values of the RGB three LEDs, so we need three or more white values. In addition, the chromaticity values of the RGB LEDs should be found through inverse matrix operations on three white samples, and the chromaticity values of the RGB LEDs should be found through pseudo inverse matrix operations on three or more white samples. Accordingly, the process of finding the chromaticity value of the RGB LED is complicated and time-consuming.
따라서, 본 발명의 목적은 3색 엘이디(RGB LED)를 사용하는 백라이트의 제어 시스템을 구현함에 있어서, 목표로 하는 색공간의 색신호값을 만족시키는 RGB LED의 듀티값을 산출하고 이를 이용하여 주변의 환경변화에 관계없이 항상 일정한 휘도 및 색도를 유지할 수 있도록 하는데 있다.Accordingly, an object of the present invention is to calculate a duty value of an RGB LED satisfying a color signal value of a target color space in implementing a backlight control system using a tricolor LED (RGB LED) and using It is to maintain constant brightness and chromaticity regardless of environmental changes.
상기와 같은 목적을 달성하기 위한 본 발명은, 목표로하는 휘도,색도값으로부터 목표로 하는 CIEXYZ 값을 계산하는 과정과; 엘이디 백라이트 유닛의 발광상태를 파악하기 위한 RGB 광학센서의 출력값을 특성화 처리하여 현재의 CIEXYZ 값을 추정하는 과정과; 상기 현재 CIEXYZ 및 듀티 값을 근거로 현재 엘이디 백라이트 유닛상의 LED 발광상태가 반영되도록 XYZ to Duty 변환행렬을 갱신하고, 그 갱신 결과를 이용하여 목표로 하는 CIEXYZ 값을 출력하기 위한 LED의 듀티값을 계산하는 과정과; 상기 계산된 LED의 듀티값에 상응되는 구동펄스를 생성하여 상기 엘이디 백라이트 유닛에 출력하는 과정을 포함하여 이루어짐을 특징으로 한다.The present invention for achieving the above object, the process of calculating the target CIEXYZ value from the target luminance, chromaticity value; Characterizing an output value of an RGB optical sensor for identifying an emission state of the LED backlight unit to estimate a current CIEXYZ value; Based on the current CIEXYZ and the duty value, the XYZ to Duty conversion matrix is updated to reflect the LED emission state on the LED backlight unit, and the duty value of the LED for outputting the target CIEXYZ value is calculated using the update result. Process of doing; And generating a driving pulse corresponding to the calculated duty value of the LED and outputting the driving pulse to the LED backlight unit.
상기와 같은 목적을 달성하기 위한 또 다른 본 발명은, 엘이디 백라이트 유닛에서 조사되는 빛의 세기를 검출하여 그에 따른 출력신호를 출력하는 RGB 광학센서와; 상기 RGB 광학센서의 출력값을 특성화 처리하여 현재의 CIEXYZ 값을 추정하고, 그 CIEXYZ 및 듀티값을 근거로 현재 엘이디 백라이트 유닛상의 LED 발광상태가 반영되도록 XYZ to Duty 변환행렬을 갱신한 다음 그 결과를 이용하여 목표로 하는 CIEXYZ 값을 출력하기 위한 LED의 듀티값을 계산하는 콘트롤러와; 상기 콘트롤러에서 계산된 LED의 듀티값에 상응되는 구동펄스를 생성하여 상기 엘이디 백라이트 유닛에 출력하는 백라이트 구동부로 구성함을 특징으로 한다.Another object of the present invention to achieve the above object, the RGB optical sensor for detecting the intensity of the light irradiated from the LED backlight unit and outputs the output signal according to; Characterize the output value of the RGB optical sensor to estimate the current CIEXYZ value, update the XYZ to Duty conversion matrix based on the CIEXYZ and duty value to reflect the LED emission state on the LED backlight unit, and then use the result. A controller for calculating a duty value of the LED for outputting a target CIEXYZ value; And a backlight driving unit generating a driving pulse corresponding to the duty value of the LED calculated by the controller and outputting the driving pulse to the LED backlight unit.
본 발명은 RGB 광학센서를 이용하여 LED 백라이트 유닛의 CIEXYZ 값을 추정하고, 그 추정된 값을 이용하여 현재의 RGB LED 발광상태가 고려된 XYZ to Duty 변환 행렬을 생성한 후, 그 행렬의 연산결과를 근거로 CIEXYZ 값을 일정하게 낼 수 있는 RGB LED의 듀티 제어값을 산출함으로써, 환경변화에 관계없이 일정한 휘도 및 색도를 발휘하는 RGB LED 백라이트 유닛을 구현할 수 있는 효과가 있다.The present invention estimates the CIEXYZ value of the LED backlight unit using an RGB optical sensor, and generates an XYZ to Duty conversion matrix considering the current RGB LED light emission state using the estimated value, and then computes the result of the matrix. By calculating the duty control value of the RGB LED that can maintain a constant CIEXYZ value, it is possible to implement an RGB LED backlight unit that exhibits a constant brightness and chromaticity regardless of environmental changes.
이하, 첨부한 도면을 참조하여 본 발명의 바람직한 실시예를 상세히 설명하면 다음과 같다.Hereinafter, exemplary embodiments of the present invention will be described in detail with reference to the accompanying drawings.
도 3은 액정표시장치의 백라이트 구동방법에 대한 신호 흐름도로서 이에 도시한 바와 같이, 목표로 하는 휘도,색온도값을 설정한 후 그 색온도로부터 색도값을 계산하고, 그 휘도,색도값으로부터 목표로 하는 CIEXYZ 값을 계산하는 제1과정(S11-S13)과; 엘이디 백라이트 유닛의 현재 발광상태를 파악하기 위해 그의 주변에 설치된 RGB 광학센서의 출력값을 획득한 후 이를 특성화 처리하여 현재의 CIEXYZ 값을 추정하는 제2과정(S21,S22)과; 상기 현재 CIEXYZ 및 듀티 값을 근거로 현재 엘이디 백라이트 유닛상의 LED 발광상태가 반영되도록 XYZ to Duty 변환행렬을 갱신하고, 그 갱신된 결과를 이용하여 목표로 하는 CIEXYZ 값을 출력하기 위한 LED의 듀티값을 계산하는 제3과정(S23,S24)과; 상기 계산된 LED의 듀티값에 상응되는 구동펄스를 상기 엘이디 백라이트 유닛상의 LED에 출력하는 제4과정(S25)으로 이루어진다. FIG. 3 is a signal flow diagram of a backlight driving method of a liquid crystal display device. As shown therein, after setting a target luminance and color temperature value, a chromaticity value is calculated from the color temperature, and the target value is calculated from the luminance and chromaticity value. First steps (S11-S13) for calculating a CIEXYZ value; A second process (S21, S22) of acquiring an output value of an RGB optical sensor installed around the LED backlight unit to determine a current light emitting state and then characterizing the LED backlight unit to estimate a current CIEXYZ value; Based on the current CIEXYZ and the duty value, the XYZ to Duty conversion matrix is updated to reflect the LED light emitting state on the LED backlight unit, and the duty value of the LED for outputting the target CIEXYZ value is obtained using the updated result. A third process of calculating (S23, S24); A fourth process (S25) of outputting a driving pulse corresponding to the calculated duty value of the LED to the LED on the LED backlight unit.
도 4는 본 발명에 의한 액정표시장치의 백라이트 구동장치의 블록도로서 이에 도시한 바와 같이, 어레이 형태로 배열된 다수의 LED를 구비하여 백라이트 광을 출 력하는 엘이디 백라이트 유닛(41)과; 상기 엘이디 백라이트 유닛(41)의 주변에 설치되어 그 엘이디 백라이트 유닛(41)으로부터 조사되는 빛의 세기를 검출하여 그에 따른 출력신호를 출력하는 RGB 광학센서(42)와; 상기 RGB 광학센서(42)의 출력값을 특성화 처리하여 현재의 CIEXYZ 값을 추정한 후, 그 CIEXYZ 및 듀티값을 근거로 현재 엘이디 백라이트 유닛상의 LED 발광상태가 반영되도록 XYZ to Duty 변환행렬을 갱신한 다음 그 결과를 이용하여 목표로 하는 CIEXYZ 값을 출력하기 위한 LED의 듀티값을 계산하는 콘트롤러(43)와; 상기 콘트롤러(43)에서 계산된 LED의 듀티값에 상응되는 구동펄스를 생성하여 이를 상기 엘이디 백라이트 유닛(41)상의 각 LED에 출력하는 백라이트 구동부(44)로 구성한 것으로, 이와 같이 구성한 본 발명의 작용을 첨부한 도 5를 참조하여 상세히 설명하면 다음과 같다.4 is a block diagram of a backlight driving apparatus of a liquid crystal display according to the present invention, and as shown therein, an
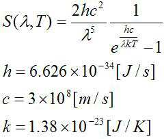
우선, 목표로 하는 색온도 값을 설정한 후, 다음의 [수학식1]을 이용하여 그 목표로 하는 색온도로부터 흑체의 복사 스펙트럼을 계산한다.(S11)First, after setting a target color temperature value, the radiation spectrum of a black body is calculated from the target color temperature using Equation 1 below (S11).
여기서, 'S'는 흑체의 복사 스펙트럼을 의미하고, 'λ'는 스펙트럼의 파장을 의미하며, 'T'는 절대온도를 의미한다. 그리고, 'h'는 플랑크 상수, 'c'는 빛의 속도, 'k'는 볼츠만 상수를 의미한다. 즉, 흑체의 복사스펙트럼은 색온도에 따라 각 기 다른 스펙트럼을 지니게 된다. Here, 'S' means the radiation spectrum of the black body, 'λ' means the wavelength of the spectrum, 'T' means the absolute temperature. 'H' is Planck's constant, 'c' is the speed of light, and 'k' is Boltzmann's constant. That is, the radiation spectrum of the black body has different spectra depending on the color temperature.
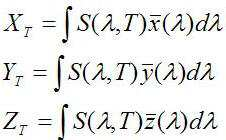
이렇게 구한 흑체의 복사 스펙트럼을 다음의 [수학식2]에서와 같이 파장별로 xyz 칼라 매칭 함수에 곱한 후 적분하여 목표로 하는 RGB 색공간의 색신호(이하, "CIEXYZ"라 칭함) 값을 계산한다.(S12)The radiation spectrum of the black body thus obtained is multiplied by the xyz color matching function for each wavelength as shown in Equation 2 below, and then integrated to calculate the color signal (hereinafter referred to as "CIEXYZ") of the target RGB color space. (S12)
참고로, 칼라 모델(color models)에는 RGB(red,green,blue) 모델, HSB/HLS 모델, 문셀(Munsell) 칼라 시스템 및 CIE칼라 모델 등이 있다. 상기 CIE칼라 모델은 조명장치에 관한 표준을 정하는 국제조명위원회에서 결정한 것으로, CIEXYZ,CIELUV 및 CIELAB 등이 있다. 상기 CIEXYZ 칼라 모델은 RGB 3요소값을 모두 양의 부호를 가지는 다른 3 요소값의 세트인 XYZ로 나타낸 것이다. 여기서, X,Y,Z를 통상 3자극값(tri-stimulus)이라고 명명한다.For reference, color models include RGB (red, green, blue) model, HSB / HLS model, Munsell color system and CIE color model. The CIE color model is determined by the International Lighting Commission, which sets the standard for lighting devices, and includes CIEXYZ, CIELUV, and CIELAB. The CIEXYZ color model represents the RGB three element values as XYZ, which is a set of other three element values all having a positive sign. Here, X, Y, and Z are commonly referred to as tri-stimulus values.
상기와 같은 과정을 통해 계산된 CIEXYZ 값은 아직 목표 휘도를 고려하지 않은 값이다. 목표 휘도를 고려한 CIEXYZ 값을 구하기 위해서는 상기에서 구한 CIEXYZ 값의 색도는 그대로 유지하고 휘도만을 목표 휘도로 바꾸어 주는 다음의 [수학식3]의 연산을 수행한다.(S13)The CIEXYZ value calculated through the above process is a value that does not yet consider the target luminance. In order to obtain the CIEXYZ value considering the target luminance, the following equation (3) is performed, in which the chromaticity of the CIEXYZ value obtained above is maintained as it is and only the luminance is converted to the target luminance.
여기서, 'Y'는 목표로 하는 휘도를 의미한다. 이렇게 구한 'X','Y','Z'값이 목표 휘도와 색온도를 동시에 만족시키는 색공간의 색신호 값이 된다. Here, 'Y' means target luminance. The 'X', 'Y', and 'Z' values thus obtained are the color signal values of the color space satisfying the target luminance and color temperature at the same time.
콘트롤러(43)는 현재 엘이디 백라이트 유닛(LED BLU)(41)의 발광상태를 파악하기 위해 그 엘이디 백라이트 유닛(41)의 표면에 설치된 RGB 광학센서(42)의 출력값을 획득하고, 이를 이용하여 현재 엘이디 백라이트 유닛(41)이 발하는 빛의 CIEXYZ 값을 추정하는 RGB 광학센서(42)의 특성화 과정을 다음과 같이 수행한다.(S21,S22) The
상기 콘트롤러(43)가 상기 RGB 광학센서(42)의 임의의 출력값을 근거로 하여 상기 엘이디 백라이트 유닛(41)이 발하는 빛의 CIEXYZ 값을 추정할 수 있도록 하기 위하여, 시스템 설계자는 그 엘이디 백라이트 유닛(41)상에 어레이 형태로 배열된 RGB LED의 듀티 제어값을 조합하여 64가지의 샘플광을 설정한다. In order to enable the
이후, 상기 RGB LED를 통해 상기 64가지의 샘플광을 순차적으로 발하게 되는데, 그 때마다 상기 콘트롤러(43)는 상기 RGB 광학센서(42)로부터 빛의 세기에 비례하는 출력값을 획득한다. 이에 대응하여, 분광광도계(예: Minolta CS-1000)인 광계측기(도면에 미표시)로 상기 64가지 샘플광을 순차적으로 측색한다.Thereafter, the 64 sample lights are sequentially emitted through the RGB LED, and each time the
물론, 상기 콘트롤러(43)가 상기 64가지의 샘플광에 대한 XYZ값을 메모리 등을 통해 미리 확보하고 있는 경우에는 상기와 같이 광계측기를 통해 64가지 샘플광을 순차적으로 측색하는 과정이 생략된다.Of course, when the
그리고, 콘트롤러(43)는 상기 측색 결과를 이용하여 상기 RGB 광학센서(42)의 출력값과 이에 대응하는 CIEXYZ 값 사이의 3×4 관계 행렬을 구할 수 있다. 상기 RGB 광학센서(42)의 임의의 출력값을 이에 대응하는 CIEXYZ 값으로 변환시키기 위한 RGB to XYZ 관계 행렬은 다음의 [수학식4]와 같이 이용된다.The
상기 RGB to XYZ 관계 행렬은 다음의 [수학식5]와 같은 의사 역행렬(pseudo inverse) 연산을 통해 획득된다.The RGB to XYZ relation matrix is obtained through a pseudo inverse operation as shown in Equation 5 below.
여기서, 'n'은 샘플 개수 64를 의미하고, '(RK,GK,BK)'는 RGB 광학센서(42)의 출력값 중에서 k번째의 출력값을 의미한다. 그리고, '(XK,YK,ZK)'는 k번째 샘플의 측정된 CIEXYZ 값을 의미한다. 결과적으로, RGB to XYZ 변환 행렬은 크기가 3×4이다.Here, 'n' means the number of samples 64, and '(R K , G K , B K )' means the k-th output value among the output values of the RGB
상기 RGB 광학센서(42)의 출력값이나, 상기 CIEXYZ 값은 LED의 제어 듀티값과 선형적인 관계에 있으므로, 크기가 3×4 이상의 변환 행렬을 사용하여 더욱 정확한 CIEXYZ 값을 추정한다 하더라도 그 개선의 정도는 크지 않다. 왜냐하면, 3×4 크기 이상의 변환 행렬을 구하기 위해서는 상기 RGB 광학센서(42)의 출력값과 상기 CIEXYZ 값의 제곱 혹은 세제곱의 조합을 이용하게 되는데, 이들의 값은 서로 선형적인 관계에 있으므로 이들의 값을 그대로 사용하더라도 충분히 선형 관계를 규정할 수 있는 행렬을 구할 수 있기 때문이다. Since the output value of the RGB
도 5는 RGB to XYZ 변환 행렬의 크기와 CIEXYZ 값의 추정 오차와의 관계를 나타낸 표로서 이에 도시한 바와 같이, 변환 행렬의 크기가 커지더라도 CIEXYZ 값의 추정오차의 감소 정도가 크지 않은 것을 알 수 있다. 또한, 3×4 행렬을 사용한 특성화 오차가 허용오차 범위(△Eab < 3) 이내에 들어온 것을 알 수 있다. 결국, 이는 3×4 변환 행렬을 이용한 센서 특성화 성능이 만족할 만한 결과를 보여주는 것을 의미한다.5 is a table showing the relationship between the size of the RGB to XYZ conversion matrix and the estimation error of the CIEXYZ value. As shown in FIG. have. It can also be seen that the characterization error using the 3x4 matrix falls within the tolerance range ΔEab <3. After all, this means that the sensor characterization performance using the 3x4 transformation matrix shows satisfactory results.
상기 콘트롤러(43)가 상기 엘이디 백라이트 유닛(41)의 휘도 및 색도 값을 제어하여 목표로 하는 휘도 및 색도 값을 내기 위하여, 본 발명에서는 기본적으로 RGB LED를 구동하는 전류는 고정시키고, 전류의 듀티 제어값을 적절히 변화시키는 방법을 사용한다.In order to control the luminance and chromaticity values of the
상기 엘이디 백라이트 유닛(41)에서 목표로 하는 CIEXYZ 값을 내도록 하기 위한 제어 듀티 값을 얻기 위하여, 상기 콘트롤러(43)에서는 CIEXYZ 값을 그에 상응하는 듀티 입력 값으로 바꾸어 주는 3×3 변환 행렬을 사용한다. In order to obtain a control duty value for the
이와 같이 하는 이유는 상기 듀티 제어값과 측정된 CIEXYZ 값은 서로 선형적인 관계가 있으므로 3×3 크기의 행렬을 사용하더라도 이들의 선형 관계를 충분히 규정할 수 있고, 정방행렬 형태이므로 행렬 연산에서의 역변환이 용이하기 때문이다. The reason for this is that the duty control value and the measured CIEXYZ value have a linear relationship with each other, so even when using a 3 × 3 matrix, the linear relationship can be sufficiently defined. This is because it is easy.
목표로 하는 CIEXYZ 값을 낼 수 있는 LED의 듀티 값을 구하는 XYZ to Duty 변환 행렬은 다음의 [수학식6]과 같이 이용된다.(S24) The XYZ to Duty conversion matrix for calculating the duty value of the LED capable of producing the target CIEXYZ value is used as shown in Equation 6 below (S24).
여기서, '[XT YT ZT]'는 목표로 하는 CIEXYZ 값이고, '[DR DG DB]'는 목표로 하는 CIEXYZ 값을 내기 위한 RGB LED의 입력 듀티값이다. 상기 입력 듀티값은 정규화하여 0∼1 사이의 값을 사용한다. 통상적으로, XYZ to Duty 변환 행렬은 다음의 [수학식7]에서와 같이 구한다.Here, '[X T Y T Z T ]' is a target CIEXYZ value, and '[D R D G D B ]' is an input duty value of an RGB LED for generating a target CIEXYZ value. The input duty value is normalized to use a value between 0 and 1. Typically, the XYZ to Duty transformation matrix is obtained as shown in Equation 7 below.
여기서,'(XRmax YRmax ZRmax )'는 적색용 LED의 듀티값을 최대로 했을 때 측정된 CIEXYZ 값이고, '(XGmax YGmax ZGmax )'는 녹색용 LED의 듀티값을 최대로 했을 때 측정된 CIEXYZ 값이며, '(XBmax YBmax ZBmax )'는 청색용 LED의 듀티값을 최대로 했을 때 측정된 CIEXYZ 값이다. Here, '(XR max YR max ZR max )' is the CIEXYZ value measured when the duty value of the red LED is maximized, and '(XG max YG max ZG max )' is the maximum duty value of the green LED. It is measured CIEXYZ value, and '(XB max YB max ZB max )' is the CIEXYZ value measured when the duty value of the blue LED is maximized.
그런데, 여기서 주의할 것은 상기 엘이디 백라이트 유닛(41)에 일정한 듀티값을 인가했다 하더라도 그 엘이디 백라이트 유닛(41)의 휘도 및 색도는 일정한 값을 가지지 않고 즉, 일정한 CIEXYZ 값을 가지지 않고 시간에 따라 변한다는 것이다. 그 이유는 여러 가지가 있을 수 있는데, 대표적인 이유로써 엘이디 백라이트 유닛(41)의 온도변화를 들 수 있다.However, it should be noted that even though a constant duty value is applied to the
따라서, 목표로 하는 CIEXYZ 값을 내기 위한 듀티값을 구하기 위해서는 상기 콘트롤러(43)가 고정된 XYZ to Duty 변환 행렬을 사용하는 것이 아니라, 현재 엘이디 백라이트 유닛(41)의 발광상태에 맞게 지속적으로 변하는 XYZ to Duty 변환 행렬을 사용하여야 한다. 즉, 상기 콘트롤러(43)는 현재 엘이디 백라이트 유닛(41)의 발광상태를 주기적으로 점검하고, 그 점검결과에 따라 XYZ to Duty 변환 행렬을 지속적으로 갱신시켜 주어야 한다. Therefore, in order to obtain a duty value for producing a target CIEXYZ value, the
여기서, 상기 콘트롤러(43)에서 현재 엘이디 백라이트 유닛(41)의 발광상태를 주기적으로 점검하는 작업은 상기 RGB 광학센서(42)의 출력값을 획득한 후 상기 센서 특성화 과정을 거쳐 현재 엘이디 백라이트 유닛(41)이 발하는 CIEXYZ 값을 추정하는 과정으로 이루어진다. 이 과정에서, 상기 콘트롤러(43)는 현재 엘이디 백라이트 유닛(41)의 발광상태를 점검하고 다음의 [수학식8]과 같은 XYZ to Duty 변환 행렬을 연산한다.(S23)In this case, the
여기서, '[n]'은 현재의 점검 시점을 나타내고, '[n-1]'은 현재 시점에서 한 단계 앞선 점검 시점을 나타내며, '[n-2]'는 현재 시점보다 두 단계 앞선 점검 시점을 나타낸다. 그리고, '(DR DG DB)'는 상기 콘트롤러(43)가 백라이트 구동부(44)에 출력하는 RGB LED의 입력 듀티 값이므로 그 콘트롤러(43)가 이미 인식하고 있는 값이고, '(X0 Y0 Z0)'는 그에 따른 엘이디 백라이트 유닛(41)의 출력 CIEXYZ 값을 나타낸다. Here, '[n]' represents the current inspection point, '[n-1]' represents the inspection point one step ahead of the current point in time, and '[n-2]' is the inspection point two steps ahead of the current point in time. Indicates. In addition, since '(D R D G D B )' is an input duty value of the RGB LED output from the
따라서, '(DR[n] DG[n] DB[n])'은 현재 점검 시점에서 콘트롤러(43)로부터 백라이트 구동부(44)에 출력되는 RGB LED의 입력 듀티값을 의미하고, (X0[n] Y0[n] Z0[n])'는 현재 점검 시점에서 상기 RGB 광학센서(42)의 출력값을 획득한 후 상기 센서 특성화 과정을 거쳐 추정된 엘이디 백라이트 유닛(41)의 출력 CIEXYZ 값을 의미한다. 즉, XYZ to Duty 변환 행렬은 엘이디 백라이트 유닛(41)의 발광상태가 점검되는 시점마다 그 때의 듀티값과 CIEXYZ 값을 근거로 만들어진다. 그리고, 새로운 듀티값과 CIEXYZ 값이 입력될 때마다 가장 오래된 점검 시점의 듀티값과 CIEXYZ 값은 사용하지 않게 된다. Therefore, '(D R [n] D G [n] D B [n])' means an input duty value of the RGB LED output from the
이에 대해 좀더 상세히 설명하면, 상기와 같이 생성된 3×3 XYZ to Duty 변환 행렬은 다음을 만족한다. 앞의 식에서 3개의 CIEXYZ 값으로 구성된 행렬을 양변에 곱하면, 다음의 [수학식9]로 표현되고,In more detail, the 3 × 3 XYZ to Duty transformation matrix generated as described above satisfies the following. Multiplying both sides of a matrix of three CIEXYZ values in the previous equation is expressed by the following equation (9),
이는 다음의 [수학식10]과 같이 나누어 생각할 수 있다.This can be thought of as the following equation (10).
결과적으로, 상기 XYZ to Duty 변환 행렬은 엘이디 백라이트 유닛(41)이 현재 발광상태에서 CIEXYZ 값과 그 값을 낼 수 있는 듀티 입력값의 관계를 규정짓는 행렬이라 할 수 있고, 이와 동시에 한 단계 앞선 점검 시점 및 두 단계 앞선 점검 시점에서 엘이디 백라이트 유닛(41)의 발광상태에 따른 CIEXYZ 값과 그 값을 낼 수 있는 듀티 입력값의 관계를 규정짓는 행렬이라 할 수 있다. As a result, the XYZ to Duty conversion matrix can be referred to as a matrix defining the relationship between the CIEXYZ value and the duty input value that the
현재 점검 시점과 시간 차이가 많이 나는 과거 점검 시점일수록 현재 엘이디 백라이트 유닛(41)의 발광상태와 차이가 커진다고 볼 수 있으므로 현재 점검 시점과 두 단계 앞선 점검 시점까지만 고려하여 3×3 행렬을 구성한다. 시간이 경과됨에 따라 다음 점검 시점이 현재 점검 시점 [n]이 되고, 이전의 현재 시점은 한 단계 앞선 점검 시점 [n-1]이 된다. Since the difference between the light emitting state of the current
즉, 현재 시점의 CIEXYZ 값과 듀티 값이 행렬의 맨 첫 열을 차지하면서 이전 시점의 값을 다음 열로 밀어내어 가장 과거 시점의 값이 탈락되게 하는 과정을 엘이디 백라이트 유닛(41)의 발광상태 점검시 마다 반복 수행하게 된다. 단, 동일 듀티 입력 값이 계산되면 행렬의 갱신은 하지 않고 그대로 둔다.That is, when the CIEXYZ value and the duty value of the current point of time occupy the first column of the matrix, the value of the previous point of time is eliminated by pushing the value of the previous point into the next column when checking the light emission state of the
아래의 [수학식11]은 XYZ to Duty 변환 행렬은 시작시점에서부터 4번째 점검 시점까지의 행렬예를 나타낸 것이다.Equation 11 below shows an example of the XYZ to Duty transformation matrix from the start point to the fourth check point.
상기 콘트롤러(43)는 상기와 같은 과정을 통해 구한 LED의 듀티 값을 백라이트 구동부(44)에 출력한다. 이에 따라, 상기 백라이트 구동부(44)는 상기 콘트롤러(43)로부터 공급받은 듀티값을 갖는 구동신호를 생성하여 엘이디 백라이트 유닛(41)에 출력한다.(S25)The
도 1은 종래 기술에 의한 조사원의 조명 측정 시스템의 블록도. 1 is a block diagram of an illumination measuring system of an irradiation source according to the prior art;
도 2는 종래 기술에 의한 LED 광원의 스펙트럴 콘텐츠의 측정장치에서의 공통기판의 배열도. 2 is a layout view of a common substrate in the apparatus for measuring the spectral content of an LED light source according to the prior art;
도 3은 본 발명에 의한 액정표시장치의 백라이트 구동방법의 제어 흐름도.3 is a control flowchart of a backlight driving method of a liquid crystal display according to the present invention;
도 4는 본 발명에 의한 액정표시장치의 백라이트 구동장치의 블록도.4 is a block diagram of a backlight driving apparatus of the liquid crystal display according to the present invention.
도 5는 본 발명에서의 RGB to XYZ 변환 행렬의 크기와 CIEXYZ 값의 추정 오차와의 관계를 나타낸 표.5 is a table showing the relationship between the magnitude of the RGB to XYZ conversion matrix and the estimation error of the CIEXYZ value in the present invention.
***도면의 주요 부분에 대한 부호의 설명*** *** Description of the symbols for the main parts of the drawings ***
41 : 엘이디 백라이트 유닛 42 : RGB 광학센서41: LED backlight unit 42: RGB optical sensor
43 : 콘트롤러 44 : 백라이트 구동부 43: controller 44: backlight driver
Claims (10)
Priority Applications (1)
| Application Number | Priority Date | Filing Date | Title |
|---|---|---|---|
| KR1020070079233A KR101388977B1 (en) | 2007-08-07 | 2007-08-07 | Method and apparatus for driving back light of liquid crystal display |
Applications Claiming Priority (1)
| Application Number | Priority Date | Filing Date | Title |
|---|---|---|---|
| KR1020070079233A KR101388977B1 (en) | 2007-08-07 | 2007-08-07 | Method and apparatus for driving back light of liquid crystal display |
Publications (2)
| Publication Number | Publication Date |
|---|---|
| KR20090014903A true KR20090014903A (en) | 2009-02-11 |
| KR101388977B1 KR101388977B1 (en) | 2014-04-25 |
Family
ID=40684725
Family Applications (1)
| Application Number | Title | Priority Date | Filing Date |
|---|---|---|---|
| KR1020070079233A Active KR101388977B1 (en) | 2007-08-07 | 2007-08-07 | Method and apparatus for driving back light of liquid crystal display |
Country Status (1)
| Country | Link |
|---|---|
| KR (1) | KR101388977B1 (en) |
Cited By (11)
| Publication number | Priority date | Publication date | Assignee | Title |
|---|---|---|---|---|
| US8737731B2 (en) | 2010-12-16 | 2014-05-27 | Electronics And Telecommunications Research Institute | Method and apparatus for correcting light |
| US10593255B2 (en) | 2015-05-14 | 2020-03-17 | Manufacturing Resources International, Inc. | Electronic display with environmental adaptation of display characteristics based on location |
| US10607520B2 (en) | 2015-05-14 | 2020-03-31 | Manufacturing Resources International, Inc. | Method for environmental adaptation of display characteristics based on location |
| US11022635B2 (en) | 2018-05-07 | 2021-06-01 | Manufacturing Resources International, Inc. | Measuring power consumption of an electronic display assembly |
| US11293908B2 (en) | 2018-06-14 | 2022-04-05 | Manufacturing Resources International, Inc. | System and method for detecting gas recirculation or airway occlusion |
| US11526044B2 (en) | 2020-03-27 | 2022-12-13 | Manufacturing Resources International, Inc. | Display unit with orientation based operation |
| CN117690377A (en) * | 2024-02-01 | 2024-03-12 | 深圳市研为科技有限公司 | LED display control system and terminal based on multi-sensor induction |
| US12022635B2 (en) | 2021-03-15 | 2024-06-25 | Manufacturing Resources International, Inc. | Fan control for electronic display assemblies |
| US12027132B1 (en) | 2023-06-27 | 2024-07-02 | Manufacturing Resources International, Inc. | Display units with automated power governing |
| CN118714691A (en) * | 2024-05-31 | 2024-09-27 | 苏州市恩创建材科技有限公司 | An intelligent management system for LED lighting of tea tables |
| US12105370B2 (en) | 2021-03-15 | 2024-10-01 | Manufacturing Resources International, Inc. | Fan control for electronic display assemblies |
Family Cites Families (3)
| Publication number | Priority date | Publication date | Assignee | Title |
|---|---|---|---|---|
| US6507159B2 (en) * | 2001-03-29 | 2003-01-14 | Koninklijke Philips Electronics N.V. | Controlling method and system for RGB based LED luminary |
| US7348949B2 (en) * | 2004-03-11 | 2008-03-25 | Avago Technologies Ecbu Ip Pte Ltd | Method and apparatus for controlling an LED based light system |
| US7324076B2 (en) * | 2004-07-28 | 2008-01-29 | Avago Technologies Ecbu Ip (Singapore) Pte. Ltd. | Methods and apparatus for setting the color point of an LED light source |
-
2007
- 2007-08-07 KR KR1020070079233A patent/KR101388977B1/en active Active
Cited By (26)
| Publication number | Priority date | Publication date | Assignee | Title |
|---|---|---|---|---|
| US8737731B2 (en) | 2010-12-16 | 2014-05-27 | Electronics And Telecommunications Research Institute | Method and apparatus for correcting light |
| US10593255B2 (en) | 2015-05-14 | 2020-03-17 | Manufacturing Resources International, Inc. | Electronic display with environmental adaptation of display characteristics based on location |
| US10607520B2 (en) | 2015-05-14 | 2020-03-31 | Manufacturing Resources International, Inc. | Method for environmental adaptation of display characteristics based on location |
| US11022635B2 (en) | 2018-05-07 | 2021-06-01 | Manufacturing Resources International, Inc. | Measuring power consumption of an electronic display assembly |
| US11656255B2 (en) | 2018-05-07 | 2023-05-23 | Manufacturing Resources International, Inc. | Measuring power consumption of a display assembly |
| US11977065B2 (en) | 2018-06-14 | 2024-05-07 | Manufacturing Resources International, Inc. | System and method for detecting gas recirculation or airway occlusion |
| US11293908B2 (en) | 2018-06-14 | 2022-04-05 | Manufacturing Resources International, Inc. | System and method for detecting gas recirculation or airway occlusion |
| US11774428B2 (en) | 2018-06-14 | 2023-10-03 | Manufacturing Resources International, Inc. | System and method for detecting gas recirculation or airway occlusion |
| US12007637B2 (en) | 2020-03-27 | 2024-06-11 | Manufacturing Resources International, Inc. | Display unit with orientation based operation |
| US12117684B2 (en) | 2020-03-27 | 2024-10-15 | Manufacturing Resources International, Inc. | Display unit with orientation based operation |
| US12326626B2 (en) | 2020-03-27 | 2025-06-10 | Manufacturing Resources International, Inc. | Display unit with monitoring features |
| US11815755B2 (en) | 2020-03-27 | 2023-11-14 | Manufacturing Resources International, Inc. | Display unit with orientation based operation |
| US11526044B2 (en) | 2020-03-27 | 2022-12-13 | Manufacturing Resources International, Inc. | Display unit with orientation based operation |
| US12298614B2 (en) | 2020-03-27 | 2025-05-13 | Manufacturing Resources International, Inc. | Display unit with monitoring features |
| US12022635B2 (en) | 2021-03-15 | 2024-06-25 | Manufacturing Resources International, Inc. | Fan control for electronic display assemblies |
| US12105370B2 (en) | 2021-03-15 | 2024-10-01 | Manufacturing Resources International, Inc. | Fan control for electronic display assemblies |
| US12245399B2 (en) | 2021-03-15 | 2025-03-04 | Manufacturing Resources International, Inc. | Fan control for electronic display assemblies |
| US12321058B2 (en) | 2021-03-15 | 2025-06-03 | Manufacturing Resources International, Inc. | Display assemblies with condensation mitigation and related systems and methods |
| US12416829B2 (en) | 2021-03-15 | 2025-09-16 | Manufacturing Resources International, Inc. | Display assemblies with condensation mitigation and related systems and methods |
| US12118953B1 (en) | 2023-06-27 | 2024-10-15 | Manufacturing Resources International, Inc. | Display units with automated power governing |
| US12027132B1 (en) | 2023-06-27 | 2024-07-02 | Manufacturing Resources International, Inc. | Display units with automated power governing |
| US12217713B2 (en) | 2023-06-27 | 2025-02-04 | Manufacturing Resources International, Inc. | Display units with automated power governing |
| US12400613B2 (en) | 2023-06-27 | 2025-08-26 | Manufacturing Resources International, Inc. | Display units with automated power governing |
| CN117690377A (en) * | 2024-02-01 | 2024-03-12 | 深圳市研为科技有限公司 | LED display control system and terminal based on multi-sensor induction |
| CN117690377B (en) * | 2024-02-01 | 2024-04-09 | 深圳市研为科技有限公司 | LED display control system and terminal based on multi-sensor induction |
| CN118714691A (en) * | 2024-05-31 | 2024-09-27 | 苏州市恩创建材科技有限公司 | An intelligent management system for LED lighting of tea tables |
Also Published As
| Publication number | Publication date |
|---|---|
| KR101388977B1 (en) | 2014-04-25 |
Similar Documents
| Publication | Publication Date | Title |
|---|---|---|
| KR101388977B1 (en) | Method and apparatus for driving back light of liquid crystal display | |
| KR100734465B1 (en) | Illumination brightness and color control system and method therefor | |
| US7446303B2 (en) | Ambient light sensing using a color sensor | |
| US8471807B2 (en) | Calibration of displays having spatially-variable backlight | |
| CA2521588C (en) | Illumination device and control method | |
| US8120276B2 (en) | Light source emitting mixed-colored light and method for controlling the color locus of such a light source | |
| JP2009526385A (en) | Light source luminance control system and method | |
| US20090033612A1 (en) | Correction of temperature induced color drift in solid state lighting displays | |
| US20050200578A1 (en) | Method and apparatus for controlling an LED based light system | |
| BRPI0718524A2 (en) | METHOD OF DETERMINING ACTIVATION VALUES TO ACTIVATE A LIGHTING DEVICE, ACTIVATEOR TO DETERMINE ACTIVATION VALUES, LIGHTING DEVICE AND DISPLAY UNIT. | |
| TWI383370B (en) | Chrominance compensation method and panel lightening method in a display apparatus | |
| JP2009519579A (en) | Illumination device and method for controlling the illumination device | |
| KR20100019527A (en) | Systems and methods for calibrating solid state lighting panels using combined light output measurements | |
| JP4757440B2 (en) | Image display device | |
| US7638956B2 (en) | Method of calibrating monochromatic light beams outputted by light emitting diodes and related light emitting diode control system | |
| US20060000963A1 (en) | Light source calibration | |
| KR100968451B1 (en) | Display device and control method | |
| CN101589422A (en) | Color-controlled backlit display device | |
| KR20070014813A (en) | Display device and method for performing color temperature correction function according to ambient light | |
| JP4715244B2 (en) | Projection device | |
| Nodari et al. | Implementation of an LED backlight for avionics displays |
Legal Events
| Date | Code | Title | Description |
|---|---|---|---|
| PA0109 | Patent application |
Patent event code: PA01091R01D Comment text: Patent Application Patent event date: 20070807 |
|
| PG1501 | Laying open of application | ||
| A201 | Request for examination | ||
| PA0201 | Request for examination |
Patent event code: PA02012R01D Patent event date: 20120802 Comment text: Request for Examination of Application Patent event code: PA02011R01I Patent event date: 20070807 Comment text: Patent Application |
|
| E902 | Notification of reason for refusal | ||
| PE0902 | Notice of grounds for rejection |
Comment text: Notification of reason for refusal Patent event date: 20130928 Patent event code: PE09021S01D |
|
| E701 | Decision to grant or registration of patent right | ||
| PE0701 | Decision of registration |
Patent event code: PE07011S01D Comment text: Decision to Grant Registration Patent event date: 20140410 |
|
| GRNT | Written decision to grant | ||
| PR0701 | Registration of establishment |
Comment text: Registration of Establishment Patent event date: 20140418 Patent event code: PR07011E01D |
|
| PR1002 | Payment of registration fee |
Payment date: 20140421 End annual number: 3 Start annual number: 1 |
|
| PG1601 | Publication of registration | ||
| FPAY | Annual fee payment |
Payment date: 20170320 Year of fee payment: 4 |
|
| PR1001 | Payment of annual fee |
Payment date: 20170320 Start annual number: 4 End annual number: 4 |
|
| FPAY | Annual fee payment |
Payment date: 20190318 Year of fee payment: 6 |
|
| PR1001 | Payment of annual fee |
Payment date: 20190318 Start annual number: 6 End annual number: 6 |
|
| PR1001 | Payment of annual fee |
Payment date: 20200319 Start annual number: 7 End annual number: 7 |
|
| PR1001 | Payment of annual fee |
Payment date: 20210315 Start annual number: 8 End annual number: 8 |
|
| PR1001 | Payment of annual fee |
Payment date: 20220314 Start annual number: 9 End annual number: 9 |
|
| PR1001 | Payment of annual fee |
Payment date: 20240315 Start annual number: 11 End annual number: 11 |
|
| PR1001 | Payment of annual fee |
Payment date: 20250318 Start annual number: 12 End annual number: 12 |















