KR20070046261A - Antibacterial polyurethane resin composition and antibacterial processed product thereof - Google Patents
Antibacterial polyurethane resin composition and antibacterial processed product thereof Download PDFInfo
- Publication number
- KR20070046261A KR20070046261A KR1020050102729A KR20050102729A KR20070046261A KR 20070046261 A KR20070046261 A KR 20070046261A KR 1020050102729 A KR1020050102729 A KR 1020050102729A KR 20050102729 A KR20050102729 A KR 20050102729A KR 20070046261 A KR20070046261 A KR 20070046261A
- Authority
- KR
- South Korea
- Prior art keywords
- antimicrobial
- polyurethane resin
- resin composition
- antimicrobial agent
- antibacterial
- Prior art date
- Legal status (The legal status is an assumption and is not a legal conclusion. Google has not performed a legal analysis and makes no representation as to the accuracy of the status listed.)
- Ceased
Links
Classifications
-
- C—CHEMISTRY; METALLURGY
- C08—ORGANIC MACROMOLECULAR COMPOUNDS; THEIR PREPARATION OR CHEMICAL WORKING-UP; COMPOSITIONS BASED THEREON
- C08G—MACROMOLECULAR COMPOUNDS OBTAINED OTHERWISE THAN BY REACTIONS ONLY INVOLVING UNSATURATED CARBON-TO-CARBON BONDS
- C08G18/00—Polymeric products of isocyanates or isothiocyanates
- C08G18/06—Polymeric products of isocyanates or isothiocyanates with compounds having active hydrogen
- C08G18/83—Chemically modified polymers
-
- C—CHEMISTRY; METALLURGY
- C08—ORGANIC MACROMOLECULAR COMPOUNDS; THEIR PREPARATION OR CHEMICAL WORKING-UP; COMPOSITIONS BASED THEREON
- C08G—MACROMOLECULAR COMPOUNDS OBTAINED OTHERWISE THAN BY REACTIONS ONLY INVOLVING UNSATURATED CARBON-TO-CARBON BONDS
- C08G18/00—Polymeric products of isocyanates or isothiocyanates
- C08G18/06—Polymeric products of isocyanates or isothiocyanates with compounds having active hydrogen
- C08G18/08—Processes
-
- C—CHEMISTRY; METALLURGY
- C08—ORGANIC MACROMOLECULAR COMPOUNDS; THEIR PREPARATION OR CHEMICAL WORKING-UP; COMPOSITIONS BASED THEREON
- C08G—MACROMOLECULAR COMPOUNDS OBTAINED OTHERWISE THAN BY REACTIONS ONLY INVOLVING UNSATURATED CARBON-TO-CARBON BONDS
- C08G18/00—Polymeric products of isocyanates or isothiocyanates
- C08G18/06—Polymeric products of isocyanates or isothiocyanates with compounds having active hydrogen
- C08G18/82—Post-polymerisation treatment
-
- C—CHEMISTRY; METALLURGY
- C08—ORGANIC MACROMOLECULAR COMPOUNDS; THEIR PREPARATION OR CHEMICAL WORKING-UP; COMPOSITIONS BASED THEREON
- C08J—WORKING-UP; GENERAL PROCESSES OF COMPOUNDING; AFTER-TREATMENT NOT COVERED BY SUBCLASSES C08B, C08C, C08F, C08G or C08H
- C08J5/00—Manufacture of articles or shaped materials containing macromolecular substances
- C08J5/18—Manufacture of films or sheets
-
- C—CHEMISTRY; METALLURGY
- C08—ORGANIC MACROMOLECULAR COMPOUNDS; THEIR PREPARATION OR CHEMICAL WORKING-UP; COMPOSITIONS BASED THEREON
- C08K—Use of inorganic or non-macromolecular organic substances as compounding ingredients
- C08K5/00—Use of organic ingredients
- C08K5/0008—Organic ingredients according to more than one of the "one dot" groups of C08K5/01 - C08K5/59
- C08K5/0058—Biocides
-
- C—CHEMISTRY; METALLURGY
- C08—ORGANIC MACROMOLECULAR COMPOUNDS; THEIR PREPARATION OR CHEMICAL WORKING-UP; COMPOSITIONS BASED THEREON
- C08K—Use of inorganic or non-macromolecular organic substances as compounding ingredients
- C08K5/00—Use of organic ingredients
- C08K5/16—Nitrogen-containing compounds
- C08K5/34—Heterocyclic compounds having nitrogen in the ring
- C08K5/3412—Heterocyclic compounds having nitrogen in the ring having one nitrogen atom in the ring
-
- C—CHEMISTRY; METALLURGY
- C08—ORGANIC MACROMOLECULAR COMPOUNDS; THEIR PREPARATION OR CHEMICAL WORKING-UP; COMPOSITIONS BASED THEREON
- C08L—COMPOSITIONS OF MACROMOLECULAR COMPOUNDS
- C08L75/00—Compositions of polyureas or polyurethanes; Compositions of derivatives of such polymers
- C08L75/04—Polyurethanes
Landscapes
- Chemical & Material Sciences (AREA)
- Organic Chemistry (AREA)
- Health & Medical Sciences (AREA)
- Chemical Kinetics & Catalysis (AREA)
- Medicinal Chemistry (AREA)
- Polymers & Plastics (AREA)
- Manufacturing & Machinery (AREA)
- Engineering & Computer Science (AREA)
- Materials Engineering (AREA)
- Life Sciences & Earth Sciences (AREA)
- Biodiversity & Conservation Biology (AREA)
- General Chemical & Material Sciences (AREA)
- Agricultural Chemicals And Associated Chemicals (AREA)
Abstract
본 발명은 항균 폴리우레탄 수지 조성물 및 그의 항균 가공제품에 관한 것으로서, 본 발명의 항균 폴리우레탄 수지 조성물은 폴리우레탄 수지와 공유결합을 형성하고 있는 아미노글리코사이드계 항균제를 포함하는 것을 특징으로 한다.The present invention relates to an antimicrobial polyurethane resin composition and an antimicrobial processed product thereof, wherein the antimicrobial polyurethane resin composition of the present invention comprises an aminoglycoside-based antimicrobial agent which forms a covalent bond with the polyurethane resin.
본 발명의 항균 폴리우레탄 수지 조성물은 폴리우레탄 수지와 아미노글리코사이드계 항균제가 공유 결합을 형성하고 있기 때문에 우수한 항균성을 지속적으로 나타내며, 폴리우레탄 수지와 항균제의 결합력 저하로 인해 항균제가 묻어 나오는 현상(Bleeding 현상)을 효과적으로 방지할 수 있고, 소량의 항균제 사용으로도 뛰어난 항균성을 나타내는 효과가 있다.The antimicrobial polyurethane resin composition of the present invention exhibits excellent antimicrobial properties continuously because the polyurethane resin and the aminoglycoside-based antimicrobial agent form a covalent bond, and a phenomenon in which the antimicrobial agent is buried due to a decrease in the binding force between the polyurethane resin and the antimicrobial agent (Bleeding) Phenomenon) can be effectively prevented, and the use of a small amount of the antimicrobial agent has an excellent antimicrobial effect.
항균, 폴리우레탄, 수지 조성물, 아미노글리코사이드, 코팅, 공유결합. Antibacterial, polyurethane, resin compositions, aminoglycosides, coatings, covalent bonds.
Description
본 발명은 폴리우레탄 수지와 공유결합을 형성하고 있는 아미노글리코사이드계 항균제를 포함하는 폴리우레탄 수지 조성물 및 그의 항균 가공제품에 관한 것이다.The present invention relates to a polyurethane resin composition comprising an aminoglycoside-based antimicrobial agent which forms a covalent bond with a polyurethane resin, and an antibacterial processed product thereof.
일반적으로 폴리비닐클로라이드와 같은 일부 합성수지를 제외한 대부분의 합성수지는 미생물들이 서식하기 어려운 환경인 관계로 세균류에 대하여 안전한 것으로 알려져 왔으나, 적당한 환경 하에서는 대부분의 합성수지에서도 균의 서식이 가능하다는 것이 최근에 밝혀졌다.In general, most synthetic resins, except for some synthetic resins such as polyvinyl chloride, have been known to be safe for bacteria because they are difficult to inhabit microorganisms, but recently, it has been found that bacteria can be grown in most synthetic resins under suitable conditions. .
합성수지의 용도가 점차 확대되어 인간의 생활주변에서 사용되는 합성수지도 많아짐에 따라, 합성수지의 표면상에서 서식하는 균에 의한 인체의 1차 감염이나, 대기 혹은 식품류에서의 감염을 통한 제 2차 감염 등을 통하여 질병을 유발하거나 건강상에 치명적인 영향을 주게 되는 것이 큰 문제점으로 대두 되었다.As the use of synthetic resins is gradually expanded to increase the number of synthetic resins used around human life, the primary infection of the human body by bacteria inhabiting the surface of synthetic resins and the secondary infection through infections in the atmosphere or foodstuffs, etc. It has become a big problem to cause disease or have a fatal effect on health.
이러한 문제점을 해결하기 위하여 개발된 수지를 통상 항균수지라 부르며 제 품의 주변 전체 또는 내부에 대하여 영향을 미치지 않고 단지 제품자체 및 제품 표면상에서만 항균효과를 나타낸다는 점에서 살균성 수지와는 다른 의미로 사용된다.The resin developed to solve this problem is usually called antibacterial resin and used differently from disinfectant resin in that it shows antimicrobial effect only on the product itself and on the product surface without affecting the whole or the inside of the product. do.
일반적으로 항균성 수지를 제조하는 방법으로서는 대한민국 특허공보 94-31에서와 같이 항균성 유기화합물을 수지 가공시 혼합하는 방법과 대한민국 특허공보 91-7590에서와 같이 항균성을 지닌 금속 성분을 함유하고 있는 무기항균제를 수지 가공시에 혼합하는 방법 등이 알려져 있다. 그러나 수지 가공시에 항균성 유기화합물을 혼합하는 방법은 항균성 유기화합물이 독성이 있거나 특정 균에 대해서만 효과를 나타내는 경우가 있다. 상기의 문제점들을 해결하기 위하여 인체에 큰 해가 없는 항균제들을 사용하여 수지를 제조하는 경우가 있다. 미국등록특허 제4,581,028호, 미국등록특허 제4,563,485호, 미국등록특허 제5,093,165호, 미국등록특허 제5,165,952호 등에서는 인체에 사용되는 주사제나 경구투여용으로 사용되는 항균물질들을 합성 수지표면에 코팅처리 하거나 컴파운드 칩에 포함시켜 항균성을 부여하기도 한다. 그러나 상기 특허에 사용된 수지들은 대부분 폴리우레탄 수지이며 폴리우레탄 특성상 상온에서 분자간의 유동성이 상당히 활발하여 항균제들과의 결합력이 약해져 항균물질이 수지 표면으로 빠져나오는 현상이 발생한다. 따라서 항균 수지 제조 후 일정시간이 지나면 항균력이 급속히 저하되는 문제점이 있다.In general, a method for producing an antimicrobial resin is a method of mixing an antimicrobial organic compound during resin processing as in Korean Patent Publication No. 94-31 and an inorganic antimicrobial agent containing a metal component having antimicrobial properties as in Korean Patent Publication No. 91-7590. The method of mixing at the time of resin processing, etc. are known. However, the method of mixing the antimicrobial organic compounds in the processing of the resin may be toxic or effective only against certain bacteria. In order to solve the above problems, there are cases in which resins are prepared using antibacterial agents that are not harmful to the human body. U.S. Patent No. 4,581,028, U.S. Patent No. 4,563,485, U.S. Patent No. 5,093,165, U.S. Patent No. 5,165,952, etc., coated antimicrobial materials used for injection or oral administration on the synthetic resin surface. It may also be incorporated into compound chips to impart antimicrobial properties. However, the resins used in the above patents are mostly polyurethane resins, and due to the characteristics of polyurethanes, fluidity between molecules is considerably active at room temperature, so that the binding strength of the antimicrobial agents is weakened, and the antimicrobial substance is released to the resin surface. Therefore, after a certain time after the production of the antimicrobial resin there is a problem that the antimicrobial activity is rapidly lowered.
또한 미국등록특허 제6,228,393호 을 보면 수지표면에 항균제를 포함하고 있는 하이드로겔(Hydrogel)을 부착함으로써 수지적용 후 천천히 항균제가 방출되어 장시간 사용에도 항균성을 유지하게 한다. 그러나 이 경우 수지의 제조방법이 복잡하며 약을 포함하고 있는 하이드로겔(Hydrogel)에서 항균제가 모두 방출되었을 경 우 항균력이 저하되는 단점이 있다. 그리고 미국등록특허 제2001/0049422호에서는 상기의 문제점을 극복하기 위하여 폴리우레탄 수지와 이온결합이 가능한 유기항균제를 사용하는데 이 경우 사용 초기에는 우수한 항균력을 보이나 10일 경과 후에는 항균제가 모두 사라진 것을 알 수 있으며 더욱이 수지를 제조하는데 24시간 이상이 소요되기 때문에 생산성이 크게 저하된다는 단점이 있다.In addition, U.S. Patent No. 6,228,393 shows a hydrogel containing an antimicrobial agent on the resin surface to slowly release the antimicrobial agent after application of the resin to maintain antimicrobial activity even for long time use. However, in this case, the manufacturing method of the resin is complicated, and when all of the antimicrobial agent is released from the hydrogel (Hydrogel) containing the drug has a disadvantage that the antimicrobial power is reduced. In addition, US Patent No. 2001/0049422 uses an organic antimicrobial agent capable of ion bonding with a polyurethane resin in order to overcome the above problems. In this case, it shows excellent antimicrobial activity at the beginning of use, but after 10 days all the antimicrobial agents disappeared. In addition, since it takes more than 24 hours to manufacture the resin, there is a disadvantage in that the productivity is greatly reduced.
이러한 문제점을 해결하기 위하여 통상적으로 항균수지 제조에는 항균성을 나타내는 금속 성분을 함유하고 있는 무기계 항균제를 수지 가공시에 혼합하여 사용하는 경우가 많다.In order to solve this problem, in general, in the production of antibacterial resins, an inorganic antimicrobial agent containing a metal component exhibiting antimicrobial properties is often mixed and used during resin processing.
항균성을 나타내는 금속에는 은, 구리, 아연등이 있고 이들을 담지하는 무기질 재료로는 대한민국 특허공보 91-7590에서와 같은 제오라이트류, 일본국 특개평 4-275370에서와 같은 인산염료, 일본국 특개평 5-112415에서와 같은 활석(Talc)류, 일본국 특개평 3-21875에서와 같은 하이드록시아파타이트류, 일본국 특개평 5-201817에서와 같은 실리카겔 및 활성탄등이 알려져 있으나 담지체 내에 함유되어 있는 금속의 상태 혹은 금속과 담지체의 결합력 혹은 담지된 항균성 금속의 함량에 따라 항균성능 및 항균성능의 지속성과 수지에 미치는 영향에 있어서 상당한 차이를 나타낸다.Metals exhibiting antimicrobial properties include silver, copper and zinc, and the inorganic materials supporting them include zeolites as in Korean Patent Publication No. 91-7590, phosphate as in Japanese Patent Laid-Open No. 4-275370, Japanese Laid-Open Patent No. 5 Talc as in -112415, hydroxyapatite as in JP-A 3-21875, silica gel and activated carbon as in JP-A 5-201817, and the like are contained in the carrier. Depending on the state or the binding strength of the metal and the support or the content of the supported antimicrobial metal, there is a significant difference in the antimicrobial performance, the persistence of the antimicrobial performance and the effect on the resin.
항균성능 측면에서는 항균성 금속성분 중 은(Ag) 혹은 은과 다른 항균성 금속이 함께 사용되는 경우가 가장 우수하지만 수지의 변색 및 가공안정성 측면에서불리하다. 또한 일부 담지체들은 담치제가 함유할 수 있는 항균성 금속의 함량에 제한이 있는 관계로 항균력이 미약하게 나타나는 경우도 있다. 이러한 수지가공시 의 변색안정성과 항균력은 상호 상반된 결과를 나타내어 항균력이 미약한 항균제는 수지를 거의 변색시키지 않는 반면 항균력이 우수한 항균제들은 수지를 심각하게 변색시키므로 적용이 불가한 경우도 있다. 또한 일부 항균제들은 자체의 색상이 흑색 혹은 갈색 계통인 관계로 수지에 작용 시 수지의 색상을 심하게 변색시키므로 적용이 불가한 경우도 있었다. 항균력이 약한 항균제가 함유된 수지는 항균성능을 충분히 발현하기 어려운 관계로 실제 적용시 항균력을 보충하기 어려운 문제점이 있고 이를 극복하기 위하여 항균제를 과량 사용시에는 수지의 물성이 취약해지고 가격이 상승하여 바람직하지 못하게 된다.In terms of antimicrobial performance, silver (Ag) or silver and other antimicrobial metals are best used together among antimicrobial metals, but they are disadvantageous in terms of discoloration and processing stability of the resin. In addition, some of the carriers are limited in the amount of antimicrobial metals that can be contained in the antimicrobial agent, so the antimicrobial activity may be weak. The discoloration stability and antimicrobial activity of the resin processing resulted in mutually opposite results. Antimicrobial agents with poor antimicrobial activity hardly discolor the resin, whereas antimicrobial agents having excellent antimicrobial power seriously discolor the resin and thus may not be applicable. In addition, some antimicrobial agents are not applicable because the color of the resin is black or brown because the color of the resin is severely discolored when acting on the resin. The resin containing the antimicrobial agent with weak antimicrobial power is difficult to express the antimicrobial performance sufficiently, so it is difficult to supplement the antimicrobial power in actual application, and to overcome this, when the antimicrobial agent is used excessively, the properties of the resin are weak and the price rises, which is undesirable. I can't.
이러한 문제점을 해결하기 위하여 대한민국 특허공보 91-7590에서는 항균제의 일부를 암모늄이온으로 치환하고 변색방지제를 사용하여 해결하고자 하였으나 완전히 변색을 방지하기에는 불충분하고 수지에 적용하여 가공시 열에 의하여 암모니아가 방출되기 때문에 수지가 발포되는 문제가 있으며 제시된 변색 방지제중의 일부는 오히려 변색을 촉진하는 경우도 있었다. 또한 대한민국 특허공보 95-2855에서는 이를 해결하기 위해 무기항균제 표면에 유동 파라핀을 코팅하는 방법이 제시되고 있으나 코팅을 위한 추가 공정이 필요하여 비용이 상승하게 되고 코팅층의 두께 및 코팅의 정도를 균일하게 조절하는 것이 용이치 않다. 또한 일부 항균제가 노출된 부위에서 발생하는 변색은 방지하기 어려우며 제시된 방법은 항균력에 영향이 없는 것으로 나타나 있으나 실제적으로 항균성을 나타내는 금속의 이온화 혹은 활성화에 상당한 영향을 미쳐 항균력이 감소되는 문제점이 있다. 또한 일본국 특개평 4-275370에서는 항균성을 나타내는 금속의 이온화 혹은 활성화에 상당한 영향을 미 쳐 항균력이 감소되는 문제점이 있다.In order to solve this problem, Korean Patent Publication 91-7590 attempts to solve some of the antimicrobial agents by replacing ammonium ions with a discoloration inhibitor, but it is insufficient to prevent discoloration completely. There is a problem that the resin is foamed, and some of the suggested discoloration inhibitors may rather promote discoloration. In addition, Korean Patent Publication 95-2855 proposes a method of coating liquid paraffin on the surface of an inorganic antimicrobial agent to solve this problem, but an additional process for coating is required to increase the cost and to uniformly control the thickness of the coating layer and the degree of coating. It is not easy to do. In addition, it is difficult to prevent discoloration occurring at the exposed part of the antimicrobial agent, and the proposed method has no effect on the antimicrobial activity, but there is a problem in that the antimicrobial activity is substantially reduced due to the significant effect on the ionization or activation of the metal that exhibits antimicrobial activity. In addition, Japanese Patent Laid-Open No. 4-275370 has a problem in that the antimicrobial activity is reduced due to a significant effect on ionization or activation of metals exhibiting antimicrobial activity.
본 발명은 종래 항균성 수지의 문제점을 해결하기 위해 제안된 것으로써, 본 발명은 폴리우레탄 수지와 공유결합을 형성하고 있는 아미노글리코사이드계 항균제를 포함하여 항균성이 우수함과 동시에 항균제가 묻어나오는 현상(Bleeding 현상)이 없어 항균성이 오랫동안 지속되는 항균 폴리우레탄 수지 조성물과 그의 항균 가공제품을 제공하고자 한다.The present invention has been proposed to solve the problems of the conventional antimicrobial resin, the present invention includes an aminoglycoside-based antimicrobial agent which forms a covalent bond with the polyurethane resin, excellent antimicrobial properties and at the same time the antibacterial agent (Bleeding) It is intended to provide an antimicrobial polyurethane resin composition and its antimicrobial processed product having no antimicrobial activity for a long time.
또한, 본 발명은 상기와 같이 폴리우레탄 수지와 공유결합을 형성하고 있는 아미노글리코사이드계 항균제를 포함하는 항균 폴리우레탄 수지 조성물이 공지의 방법 등으로 표면에 코팅처리되어 영구적인 항균성을 갖는 항균 가공제품을 제공하고자 한다.In addition, the present invention is an antimicrobial processed product having a permanent antimicrobial by coating the surface of the antimicrobial polyurethane resin composition comprising an aminoglycoside-based antimicrobial agent which forms a covalent bond with the polyurethane resin as described above by a known method To provide.
또한 본 발명은 항균제와 폴리우레탄 수지를 단순히 혼합하는 경우에 폴리우레탄수지와 항균제의 결합력 저하로 일정시간 방치 후 항균제가 묻어나오는 현상 (Bleeding 현상)이 발생하여 항균지속력의 급격하게 감소 되는 문제점과, 폴리우레탄 수지에 의한 항균제 코팅으로 인하여 균과의 접촉이 차단되어 항균제의 항균력이 상실되는 문제점과, 높은 항균력을 유지하기 위해 과도한 양의 항균제를 사용하는 등의 문제점 등을 해결하고자 한다.In addition, the present invention is a problem in that the antimicrobial persists rapidly due to the phenomenon that the antimicrobial is buried after a certain time (Bleeding phenomenon) due to a decrease in the binding force between the polyurethane resin and the antimicrobial agent when simply mixing the antimicrobial agent and the polyurethane resin, Due to the coating of the antimicrobial agent by the polyurethane resin, the contact with the bacteria is blocked and the antimicrobial power of the antimicrobial agent is lost, and to solve the problems such as using an excessive amount of antimicrobial agent to maintain high antimicrobial power.
상기한 과제를 달성하기 위한 본 발명의 항균 폴리우레탄 수지 조성물은 폴리우레탄 수지와 공유결합을 형성하고 있는 아미노글리코사이드계 항균제를 포함하는 것을 특징으로 한다.The antimicrobial polyurethane resin composition of the present invention for achieving the above object is characterized by comprising an aminoglycoside-based antimicrobial agent which forms a covalent bond with the polyurethane resin.
이하, 본 발명의 구성에 대해 더욱 상세히 설명한다.Hereinafter, the configuration of the present invention will be described in more detail.
본 발명의 항균 폴리우레탄 수지 조성물은 폴리우레탄 수지의 중합 반응 중에 아미노글리코사이드계 항균제를 투입하여 폴리우레탄 수지와 아미노글리코사이드계 항균제를 공유 결합시키는 방법으로 제조할 수 있다.The antimicrobial polyurethane resin composition of the present invention can be prepared by a method of covalently bonding a polyurethane resin and an aminoglycoside-based antimicrobial agent by adding an aminoglycoside-based antimicrobial agent during a polymerization reaction of the polyurethane resin.
일반적으로 사용되고 있는 항균 물질로는 페니실린, 세팔로스포린, 설폰아미드, 플루오로 퀴놀론, 테트라 사이클린, 아미노글루코사이드, 마크롤라이드 등이 있다. 이중 범용적으로 많이 사용되며 수지와 결합 형성이 가능한 것은 페니실린, 세팔로스포린, 테트라 사이클린, 설폰아미드, 퀴놀론, 아미노글루코사이드 등이 있다. 본 발명에서는 이들 물질 중 미생물의 세포벽 파괴 및 단백질 합성을 억제함으로써 항균성을 부여하는 아미노글리코사이드계 항균제를 사용하였다.Commonly used antimicrobial agents include penicillin, cephalosporins, sulfonamides, fluoroquinolones, tetracyclines, aminoglucosides, macrolides, and the like. Among them, they are widely used and can form bonds with resins such as penicillin, cephalosporin, tetracycline, sulfonamide, quinolone and aminoglucoside. In the present invention, an aminoglycoside-based antimicrobial agent which provides antimicrobial activity by inhibiting cell wall destruction and protein synthesis of microorganisms is used.
아미노글리코사이드는 그람음성균 감염증의 치료에 매우중요한 역할을 하는 항균제로서 1944년 스트렙토마이세스 그리제어스(Streptomyces griseus)에서 추출한 스트렙토마이신(Streptomycin)을 시작으로 현재까지 15종이 개발되었다. 아미노글리코사이드는 강한 살균작용이 있으며 그 이유로는 두가지가 생각되고 있지만 어느 것이 더 중요한 것인지는 분명치 않다.Aminoglycoside is an antimicrobial agent that plays an important role in the treatment of Gram-negative bacterial infections, and 15 species have been developed to date, starting with Streptomycin extracted from Streptomyces griseus in 1944. Aminoglycosides have a strong bactericidal action for two reasons, but it is not clear which one is more important.
첫째는 세포막을 파괴하여 세포내 물질이 세포밖으로 흘러 나가게 하는 작용 (Leakage)이며, 둘째는 리보솜(ribosome)에 작용하여 단백질의 합성을 비가역적으로 억제하는 작용으로 이것이 더욱 중요한 기전이 된다. 아미노글리코사이드는 일단 세포 외막의 단백질 통로를 통과한 후, 산소의존성 펌프에 의하여 세포질 속으로 능동적으로 들어간다. 세포질내로 이송된 아미노글리코사이드는 세균의 30S 리보솜과 결합하여 mRNA 염기배열의 오독을 유발하고 이는 결국 세균과는 아무런 관계도 없는 불필요한 단백질의 합성으로 귀결된다The first is the action of breaking down the cell membrane and causing intracellular substances to flow out of the cell. The second is the action of acting on the ribosomes to irreversibly inhibit the synthesis of proteins. The aminoglycosides once pass through the protein pathway of the extracellular membrane and then actively enter the cytoplasm by an oxygen dependent pump. The aminoglycosides transported into the cytoplasm bind to bacterial 30S ribosomes, leading to misreading of mRNA nucleotide sequences, which results in the synthesis of unnecessary proteins that have nothing to do with bacteria.
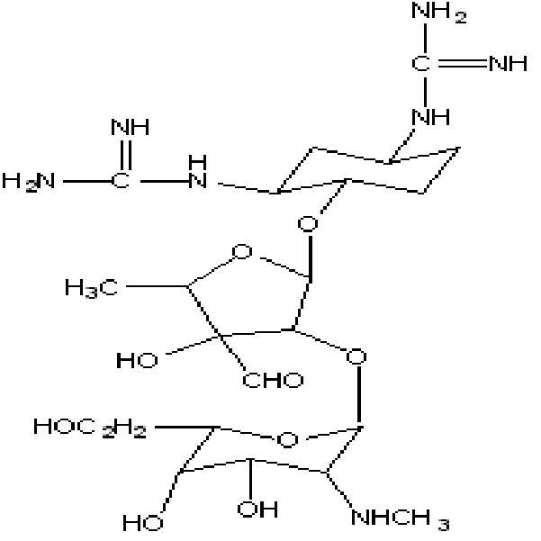
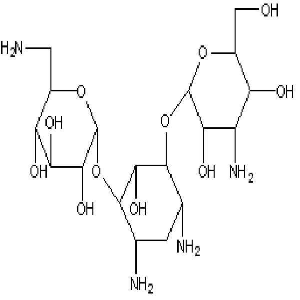
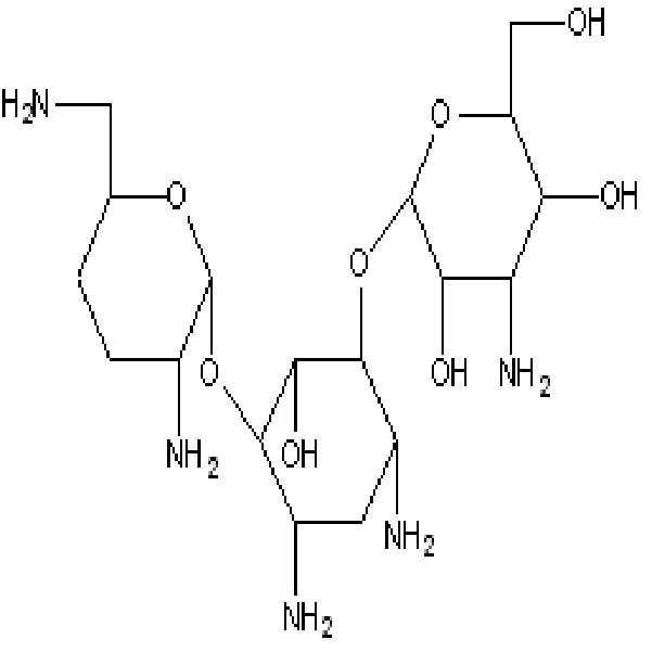
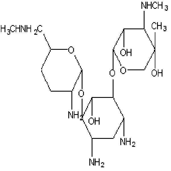
본 발명에서 이용되는 아미노글리코사이드계 항균제는 현재 다양한 종류가 있는데 스트렙토마이신(Streptomycin), 카나마이신(Kanamycin), 젠타마이신(Gentamicin), 토브라마이신(Tobramycin), 아미카신(Amikacin), 시소마이신(Sisomicin), 디베카신(Dibekacin), 네틸마이신(Netilmicin), 미크로노마이신(Micronomicin), 애스트로마이신(Astromicin), 이세파마이신(Isepamicin), 스펙티노마이신(Spectinomicin), 리보스타마이신(Ribostamycin)으로 이루어진 그룹 중에서 선택될 수 있으며, 이들 중에서도 항균작용이 우수한 미크로노마이신(Micronomicin)을 사용하는 것이 가장 바람직하다.There are various types of aminoglycoside-based antimicrobial agents used in the present invention, but there are various types of streptomycin, stranatomycin, kanamycin, gentamicin, tonicamycin, tobramycin, amikacin, and somimycin. Sisomicin, Dibekacin, Netilmicin, Micronomicin, Astromicin, Isepamicin, Spectinomicin, Ribostamycin It may be selected from the group consisting of, among these, it is most preferable to use a micromycin (Micronomicin) excellent in antibacterial action.
본 발명에서 이용되는 강력한 항균성을 지니는 아미노글리코사이드계 항균제로는 다음과 같은 종류가 있다.The aminoglycoside-based antimicrobial agents having strong antimicrobial properties used in the present invention include the following types.
스트렙토마이신(Streptomycin)Streptomycin
카나마이신(Kanamycin)Kanamycin
젠타마이신(Gentamicin)Gentamicin
(상기식에서 R1 및 R2 는 H 또는 CH3 이다.)(Wherein R 1 And R 2 Is H or CH 3 )
토브라마이신(Tobramycin)Tobramycin
아미카신(Amikacin)Amikacin
시소마이신(Sisomicin)Sisomycin
디베카신(Dibekacin)Dibekacin
네틸마이신(Netilmicin)Netylmicin
미크로노마이신(Micronomicin)Micronomicin
애스트로마이신(Astromicin)Astromicin
이세파마이신(Isepamicin)Isepamicin
스펙티노마이신 (Spectinomicin)Spectinomicin
리보스타마이신(Ribostamycin)Ribostamycin
한편, 본 발명에서 사용하는 폴리우레탄수지는 고분자 폴리올, 디이소시아네이트 화합물, 필요에 따라 사용되는 사슬연장제 또는 중합 정지제를 적당한 용제중에서 한번 반응시키는 일단법으로 제조할 수도 있다.In addition, the polyurethane resin used by this invention can also be manufactured by the one-step method which makes the polymer polyol, the diisocyanate compound, the chain extender or the polymerization terminator used as needed once in a suitable solvent.
또, 고분자 폴리에스터 폴리올과 디이소시아네이트 화합물을 이소시아네이트가 과잉 조건에서 반응시키고, 고분자폴리에스터 폴리올의 양 말단에 이소시아네이크기를 갖는 프리폴리머를 제조하고 이이서 이것을 적당한 용제 중에서 사슬신장제 또는 중합 정지제와 반응시키는 이단법으로 제조할 수 있다. 이단법이면 더욱 균일한 폴리우레탄 수지용액을 얻을 수 있다.In addition, the isocyanate reacts the polymer polyester polyol and the diisocyanate compound in an excess condition, to prepare a prepolymer having isocyanate groups at both ends of the polymer polyester polyol, and this is a chain extender or a polymerization terminator in a suitable solvent. It can be prepared by a two-stage method to react with. If it is a two-stage method, a more uniform polyurethane resin solution can be obtained.
상기의 고분자 폴리올로는(i) 산화에틸렌, 산화 프로필렌, 테트라하이드로퓨란등의 중합체 또는 공중합체로 되는 폴리에테르 폴리올류가 사용될 수 있고, (ⅱ) 3,3,5-트리메틸-1,6헥산디올,2,2,4-트리메틸-1,6-헥산디올, 글리세린, 트리메틸올프로판,트리메틸올에탄, 1,2,6-헥산트리올, 1,2,4-부탄트리올, 펜타에리스리톨, 솔비톨, 에틸렌글리콜,1,3-프로판디올, 1,3-부탄디올, 1,4-부탄디올, 네오펜틸글리 콜, 펜탄디올, 헥산디올, 옥탄디올, 1,4-부탄디올, 디에틸렌 글리콜, 트리에틸렌 글리콜, 디프로필렌글리콜등의 포화 및 불포화의 저분자글리콜류, 아디프산, 무수프탈산, 이소프탈산, 테레프탈산, 말레익산, 푸마르산, 숙신산, 옥살산, 말론산, 글루타르산, 피엘산, 아제라산, 세바스산등의 이염기산 또는 이들에 대응하는 산무수물을 탈수축합시켜서 얻는 폴리에스터글리콜을 함유하는 폴리에스터 폴리올류가 사용될 수 있다.As the polymer polyol, (i) polyether polyols composed of a polymer or copolymer such as ethylene oxide, propylene oxide, tetrahydrofuran, etc. may be used, and (ii) 3,3,5-trimethyl-1,6hexane Diol, 2,2,4-trimethyl-1,6-hexanediol, glycerin, trimethylolpropane, trimethylolethane, 1,2,6-hexanetriol, 1,2,4-butanetriol, pentaerythritol, Sorbitol, ethylene glycol, 1,3-propanediol, 1,3-butanediol, 1,4-butanediol, neopentylglycol, pentanediol, hexanediol, octanediol, 1,4-butanediol, diethylene glycol, triethylene Saturated and unsaturated low molecular glycols such as glycol and dipropylene glycol, adipic acid, phthalic anhydride, isophthalic acid, terephthalic acid, maleic acid, fumaric acid, succinic acid, oxalic acid, malonic acid, glutaric acid, pielic acid, azeraic acid, seba To poly which is obtained by dehydrating and condensing dibasic acids such as succinic acid or acid anhydrides corresponding thereto The polyester polyols containing polyether glycol can be used.
본 발명에서 사용하는 디이소시아네이트 화합물에는 방향족, 지방족 및 지환족의 디이소시아네이트류가 포함된다.Diisocyanate compounds used in the present invention include aromatic, aliphatic and alicyclic diisocyanates.
구체적으로는, 1,5-나프탈렌디이소시아네이트, 4,4‘-디페닐메탄디이소시아네이트, 4,4’-디벤질이소시아네이트, 디알킬디페닐메탄이소시아네이트, 테트라알칼디페닐메탄디이소시아네이트, 1,3-페닐렌디이소시아네이트, 1,4-페닐렌디이소시아네이트, 톨릴렌디이소시아네이트, 부탄-1,4-디이소시아네이트, 헥사메틸렌디이소시아네이트, 2,2,4-트리메틸헥사메틸렌디이소시아네이트, 톨리딘디이소시아네이트, 시클로헥산-1,4-디이소시아네이트, 자일렌디이소시아네이트, 이소포론디이소시아네이트, 디시클로로헥실메탄-4,4‘-디이소시아네이트, 1,3-비스(이소시아네이트메틸)시클로헥산, 메틸시클로헥산디이소시아네이트 등을 예시할 수 있다.Specifically, 1,5-naphthalene diisocyanate, 4,4'- diphenylmethane diisocyanate, 4,4'- dibenzyl isocyanate, dialkyl diphenylmethane isocyanate, tetraalkali diphenylmethane diisocyanate, 1,3 -Phenylenedi isocyanate, 1,4-phenylenedi isocyanate, tolylene diisocyanate, butane-1,4-diisocyanate, hexamethylene diisocyanate, 2,2,4-trimethylhexamethylene diisocyanate, tolidine diisocyanate, cyclohexane- 1,4-diisocyanate, xylene diisocyanate, isophorone diisocyanate, dicyclohexyl methane-4,4'- diisocyanate, 1, 3-bis (isocyanate methyl) cyclohexane, methylcyclohexane diisocyanate etc. are illustrated. Can be.
폴리우레탄수지의 합성에서 사용되는 용제로는, 통상, 인쇄잉크용 용제로서 잘 알려져 있는 벤젠, 톨루엔, 자일렌등의 방향족계 용제, 아세트산에틸, 아세트산 부틸등의 에스터계 용제, 메탄올, 에탄올, 이소프로필알콜, n-부탄올등의 알콜계 용제, 메틸에틸케톤, 메틸이소부틸케톤등의 케톤계 용제를 단독 또는 혼합 사용할 수 있다. As a solvent used in the synthesis | combination of a polyurethane resin, Usually, aromatic solvents, such as benzene, toluene, and xylene, which are well-known as a solvent for printing ink, ester solvents, such as ethyl acetate and butyl acetate, methanol, ethanol, and iso Alcohol solvents, such as propyl alcohol and n-butanol, ketone solvents, such as methyl ethyl ketone and a methyl isobutyl ketone, can be used individually or in mixture.
폴리우레탄 수지의 사슬연장제로는 에틸렌디아민, 프로필렌디아민, 헥사메틸렌디아민, 디에틸렌트리아민, 트리에틸렌테트라민, 이소포론디아민, 디시클로헥실메탄-4,4‘-디아민이ㅣ 예시될 수 있다. 또 분자내에 수산기를 갖는 디아민류, 가령 2-하이드록시에틸에틸렌디아민, 2-하이드록시에틸렌프로필렌디아민, 디-2-히이드록시에틸프로필렌디아민, 디-2-하이드록시에틸프로필렌디아민, 2-하이드록시프로필에틸렌디아민, 디-2-하이드록시프로필에틸렌디아민 등도 동일하게 사용된다.Examples of chain extenders for polyurethane resins include ethylenediamine, propylenediamine, hexamethylenediamine, diethylenetriamine, triethylenetetramine, isophoronediamine, dicyclohexylmethane-4,4'-diamine. Diamines having a hydroxyl group in the molecule, such as 2-hydroxyethylethylenediamine, 2-hydroxyethylenepropylenediamine, di-2-hydroxyethylpropylenediamine, di-2-hydroxyethylpropylenediamine and 2-hydroxy Roxypropylethylenediamine, di-2-hydroxypropylethylenediamine, etc. are also used similarly.
중합정지제로는 , 디알킬아민, 가령 디-n-부틸아민이 예시된다.Dialkylamine, such as di-n-butylamine, is illustrated as a polymerization terminator.
본 발명의 폴리우레탄은 공지된 여러 가지 상이한 방법으로 제조할 수 있다. 일반적으로 1회식 방법 (One Shot Method)에 있어서, 폴리에스터 디올, 폴리에테르 디올, 유기 디이소시아네이트 및 이작용성 쇄 연장제, 및 필요한 경우 , 기타 첨가제들을 동시에 혼합한 후 승온하면서 반응시킨다. 또 다른 방법은 소위 예비중합체 방법인데 이성느 먼저 폴리에스터 디올과 폴리에테르 디올을 포함하는 혼합물을 먼저 유기 디이소시아네이트와 반응시켜 디이소시아네이트 및 말단 예비 중합체를 형성시키고, 이어서 예비 중합체를 이 작용성 쇄 연장제와 반응하는 방법이다. 추가로 이용할 수 있는 또 다른 방법은 준-예비중합체라 불리는 것이다. 위의 변형된 방법 역시 먼저 이작용성 쇄 연장제를 유기 디이소시아네이트와 반응시키고, 이어서 반응 생성물을 폴리에스터 디올 및 폴리에테르 디올과 반응시킴으로써 수행한다.The polyurethanes of the invention can be prepared by a variety of known methods. In a generally one shot method, polyester diols, polyether diols, organic diisocyanates and difunctional chain extenders, and, if necessary, other additives are simultaneously mixed and then reacted at elevated temperature. Another method is the so-called prepolymer process, in which isomers first react a mixture comprising polyester diols and polyether diols first with organic diisocyanates to form diisocyanates and terminal prepolymers, and then the prepolymers extend this functional chain. How to react with the agent. Yet another method that can be used is called a quasi-prepolymer. The above modified method is also carried out by first reacting a bifunctional chain extender with an organic diisocyanate and then reacting the reaction product with polyester diols and polyether diols.
경우에 따라, 본 발명의 폴리우레탄 제조 시 적절한 단계에서 첨가제 (열안 정제, 산화방지제, 자외선 안정제 등)를 혼입할 수 있다.In some cases, additives (heat stabilizer tablets, antioxidants, UV stabilizers, etc.) may be incorporated at appropriate stages in the preparation of the polyurethanes of the present invention.
한편, 본 발명의 항균 가공 제품은 항균성이 요구되는 제품의 표면에 이상에서 설명한 본 발명의 항균 폴리우레탄 수지 조성물을 공지의 방법으로 코팅 처리하여 제조할 수 있다. 본 발명의 항균 가공 제품은 표면에 폴리우레탄 수지와 공유결합을 형성하고 있는 아미노글리코사이드계 항균제를 포함하는 수지 조성물이 코팅되어 있어서 항균성이 우수하고, 사용중 항균제가 묻어나오는 현상이 없어 지속적으로 항균성이 유지된다.On the other hand, the antimicrobial processed product of the present invention can be produced by coating the antimicrobial polyurethane resin composition of the present invention described above on a surface of a product for which antimicrobial properties are required by a known method. The antimicrobial processed product of the present invention is coated with a resin composition comprising an aminoglycoside-based antimicrobial agent which forms a covalent bond with a polyurethane resin on the surface, and thus has excellent antimicrobial properties. maintain.
본 발명의 항균 폴리우레탄 조성물 및 그의 항균 가공제품은 기존 항균수지및 항균 가공제품과 비교하여 인체에 무해하며 항균 내구성이 우수하여 의료용 분야 및 건축용 분야에 유용하게 사용될 수 있다.The antimicrobial polyurethane composition and its antimicrobial processed product of the present invention are harmless to human body and excellent antimicrobial durability compared to existing antimicrobial resins and antimicrobial processed products, and thus may be usefully used in medical and construction fields.
이하, 실시예를 통하여 본 발명을 더욱 구체적으로 살펴본다.Hereinafter, the present invention will be described in more detail with reference to Examples.
그러나, 본 발명의 권리범위가 하기 실시예에 의해 한정되는 것은 아니다.However, the scope of the present invention is not limited by the following examples.
실시예Example 1 One
온도계 , 교반기, 히터, 냉각기가 장치된 1000ml 둥근 사구 플라스크에 아디픽산과, 디에틸렌 글리콜과, 1,4-부탄디올이 포함된 분자량 3500의 폴리에스터 폴리올 0.1 mole과, 톨루이딘디이소시아네이트 0.2 mole 과, 쇄 연장제인 1,4-부탄디올 0.05 mole 과, 중합용매로 메틸에틸키톤을 함께 넣고 70~80℃에서 약 1시간 동안 교반하여 이소시아네이트의 말단기가 살아 있는 프리폴리머를 합성하였다. 1차 합성 완료 후 용매에 녹인 항균제인 미크로노마이신 0.0042 mole을 서서히 교반하 면서 투입 후 약 1시간동안 추가반응시킨다. 2차 반응 완료 후 미반응 이소시아네이트 말단기를 제거하기 위하여 디에틸아민 0.03몰을 천천히 반응기에 투입 후 30분간 교반시켜 항균성 폴리우레탄 수지 조성물을 제조하였다. 1000 ml round-necked flask equipped with thermometer, stirrer, heater and cooler, 0.1 mole of polyester polyol with molecular weight 3500 containing adipic acid, diethylene glycol, 1,4-butanediol, 0.2 mole of toluidine diisocyanate, and chain 0.05 mole of 1,4-butanediol as an extender and methyl ethyl ketone were added together with a polymerization solvent and stirred at 70 to 80 ° C. for about 1 hour to synthesize a prepolymer having end groups of isocyanates. After completion of the first synthesis, 0.0042 mole of micronomycin, an antimicrobial agent dissolved in a solvent, is slowly stirred and added for about 1 hour after the addition. In order to remove unreacted isocyanate end groups after completion of the second reaction, 0.03 mol of diethylamine was slowly added to the reactor, followed by stirring for 30 minutes to prepare an antimicrobial polyurethane resin composition.
상기 방법으로 얻어진 수지 조성물을 이형지에 코팅 처리 후 진공오븐 80℃에서 약 4시간동안 건조 후 두께 20㎛의 필름을 제조하였다.The resin composition obtained by the above method was coated on a release paper, and dried in a vacuum oven at 80 ° C. for about 4 hours to prepare a film having a thickness of 20 μm.
제조한 필름의 항균성 시험을 실시해본 결과는 표 1과 같다.The results of the antimicrobial test of the prepared film are shown in Table 1.
실시예Example 2 2
온도계 , 교반기, 히터, 냉각기가 장치된 1000ml둥근 사구 플라스크에 아디픽산과, 디에틸렌 글리콜과, 1,4-부탄디올이 포함된 분자량 3500의 폴리에스터 폴리올 0.1 mole과, 톨루이딘디이소시아네이트 0.2 mole 과, 쇄 연장제인 1,4-부탄디올 0.05 mole 과, 중합용매로 메틸에틸키톤을 함께 넣고 70~80℃에서 약 1시간 동안 교반하여 이소시아네이트의 말단기가 살아 있는 프리폴리머를 합성하였다. 1차 합성 완료 후 용매에 녹인 항균제인 미크로노마이신 0.0084 mole을 서서히 교반하면서 투입 후 약 1시간동안 추가반응 시킨다. 2차 반응 완료 후 미반응 이소시아네이트 말단기를 제거하기 위하여 디에틸아민 0.03몰을 천천히 반응기에 투입 후 30분간 교반시켜 항균성 폴리우레탄 수지 조성물을 제조하였다.A 1000 ml round-necked flask equipped with a thermometer, stirrer, heater and cooler contains 0.1 mole of polyester polyol with molecular weight 3500 containing adipic acid, diethylene glycol, 1,4-butanediol, 0.2 mole of toludine diisocyanate, and chain 0.05 mole of 1,4-butanediol as an extender and methyl ethyl ketone were added together with a polymerization solvent and stirred at 70 to 80 ° C. for about 1 hour to synthesize a prepolymer having end groups of isocyanates. After completion of the first synthesis, 0.0084 mole of micronomycin, an antimicrobial agent dissolved in a solvent, is slowly stirred and added for about 1 hour. In order to remove unreacted isocyanate end groups after completion of the second reaction, 0.03 mol of diethylamine was slowly added to the reactor, followed by stirring for 30 minutes to prepare an antimicrobial polyurethane resin composition.
상기 방법으로 얻어진 수지 조성물을 이형지에 코팅 처리 후 진공오븐 80℃에서 약 4시간동안 건조 후 두께 20㎛의 필름을 제조하였다.The resin composition obtained by the above method was coated on a release paper, and dried in a vacuum oven at 80 ° C. for about 4 hours to prepare a film having a thickness of 20 μm.
제조된 필름의 항균성 시험을 실시해본 결과는 표 1과 같다.The results of the antimicrobial test of the prepared film are shown in Table 1.
실시예Example 3 3
온도계 , 교반기, 히터, 냉각기가 장치된 1000ml둥근 사구 플라스크에 아디픽산과, 디에틸렌 글리콜과, 1,4-부탄디올이 포함된 분자량 3500의 폴리에스터 폴리올 0.1 mole과, 톨루이딘디이소시아네이트 0.2 mole 과, 쇄 연장제인 1,4-부탄디올 0.05 mole 과, 중합용매로 메틸에틸키톤을 함께 넣고 70~80℃에서 약 1시간 동안 교반하여 이소시아네이트의 말단기가 살아 있는 프리폴리머를 합성하였다. 1차 합성 완료 후 용매에 녹인 항균제인 미크로노마이신 0.021 mole을 서서히 교반하면서 투입 후 약 1시간동안 추가반응 시킨다. 2차 반응 완료 후 미반응 이소시아네이트 말단기를 제거하기 위하여 디에틸아민 0.03몰을 천천히 반응기에 투입 후 30분간 교반시켜 항균성 폴리우레탄 수지 조성물을 제조하였다.A 1000 ml round-necked flask equipped with a thermometer, stirrer, heater and cooler contains 0.1 mole of polyester polyol with molecular weight 3500 containing adipic acid, diethylene glycol, 1,4-butanediol, 0.2 mole of toludine diisocyanate, and chain 0.05 mole of 1,4-butanediol as an extender and methyl ethyl ketone were added together with a polymerization solvent and stirred at 70 to 80 ° C. for about 1 hour to synthesize a prepolymer having end groups of isocyanates. After completion of the first synthesis, 0.021 mole of micronomycin, an antimicrobial agent dissolved in a solvent, is slowly stirred and added and reacted for about 1 hour. In order to remove unreacted isocyanate end groups after completion of the second reaction, 0.03 mol of diethylamine was slowly added to the reactor, followed by stirring for 30 minutes to prepare an antimicrobial polyurethane resin composition.
상기 방법으로 얻어진 수지 조성물을 이형지에 코팅 처리 후 진공오븐 80℃에서 약 4시간동안 건조 후 두께 20㎛의 필름을 제조하였다.The resin composition obtained by the above method was coated on a release paper, and dried in a vacuum oven at 80 ° C. for about 4 hours to prepare a film having a thickness of 20 μm.
제조한 필름의 항균성 시험을 실시해본 결과는 표 1과 같다.The results of the antimicrobial test of the prepared film are shown in Table 1.
실시예Example 4 4
온도계 , 교반기, 히터, 냉각기가 장치된 1000ml둥근 사구 플라스크에 아디픽산과, 디에틸렌 글리콜과, 1,4-부탄디올이 포함된 분자량 3500의 폴리에스터 폴리올 0.1 mole과, 톨루이딘디이소시아네이트 0.2 mole 과, 쇄 연장제인 1,4-부탄디올 0.05 mole 과, 중합용매로 메틸에틸키톤을 함께 넣고 70~80℃에서 약 1시간 동 안 교반하여 이소시아네이트의 말단기가 살아 있는 프리폴리머를 합성하였다. 1차 합성 완료 후 용매에 녹인 항균제인 미크로노마이신 0.022 mole을 서서히 교반하면서 투입 후 약 1시간동안 추가반응 시킨다. 2차 반응 완료 후 미반응 이소시아네이트 말단기를 제거하기 위하여 디에틸아민 0.03몰을 천천히 반응기에 투입 후 30분간 교반시켜 항균성 폴리우레탄 수지 조성물을 제조하였다.A 1000 ml round-necked flask equipped with a thermometer, stirrer, heater and cooler contains 0.1 mole of polyester polyol with molecular weight 3500 containing adipic acid, diethylene glycol, 1,4-butanediol, 0.2 mole of toludine diisocyanate, and chain 0.05 mole of 1,4-butanediol as an extender and methyl ethyl ketone were added together with a polymerization solvent and stirred at 70 to 80 ° C. for about 1 hour to synthesize a prepolymer having end groups of isocyanates. After completion of the first synthesis, 0.022 mole of micronomycin, an antimicrobial agent dissolved in a solvent, is slowly stirred and added and reacted for about 1 hour. In order to remove unreacted isocyanate end groups after completion of the second reaction, 0.03 mol of diethylamine was slowly added to the reactor, followed by stirring for 30 minutes to prepare an antimicrobial polyurethane resin composition.
상기 방법으로 얻어진 수지 조성물 이형지에 코팅 처리 후 진공오븐 80℃에서 약 4시간동안 건조 후 두께 20㎛의 필름을 제조하였다. 제조된 필름을 10일간 방치 후 메틸에틸케톤 용액으로 필름의 표면 수세 후 진공오븐 80℃에서 약 2시간동안 건조하여 최종 필름을 제조하였다. After coating the resin composition release paper obtained by the above method, the film was dried in a vacuum oven at 80 ° C. for about 4 hours to prepare a film having a thickness of 20 μm. After the prepared film was left for 10 days, the surface of the film was washed with a methyl ethyl ketone solution and dried in a vacuum oven at 80 ° C. for about 2 hours to prepare a final film.
제조한 필름의 항균성 시험을 실시해본 결과는 표 1과 같다.The results of the antimicrobial test of the prepared film are shown in Table 1.
항균성 시험 조건 Antimicrobial Test Conditions
● 시험 방법 : JIS Z 2801 (필름 밀착법)● Test method: JIS Z 2801 (film adhesion method)
● 시험 균종 : 1) 균주 Ⅰ : Staphylococcus Aureus● Test species: 1) Strain I: Staphylococcus Aureus
2) 균주 Ⅱ : Eschericia Coli 2) Strain Ⅱ: Eschericia Coli
● 접종균의 농도 : 1) 균주 Ⅰ - 1.3×105 개/ml● The concentration of inoculating bacteria: 1) Strain I-1.3 × 105 pcs / ml
2) 균주 Ⅱ - 1.5×105 개/ml 2) Strain Ⅱ-1.5 × 105 pcs / ml
본 발명은 폴리우레탄 수지와 아미노글리코사이드계 항균제간에 공유결합이 형성되어 장시간 사용시에도 항균제가 밖으로 묻어나오는 현상을 효과적으로 방지할 수 있어서 항균성이 오랫동안 지속 된다.According to the present invention, a covalent bond is formed between the polyurethane resin and the aminoglycoside-based antimicrobial agent, which effectively prevents the phenomenon of the antimicrobial agent coming out even when used for a long time.
또한, 본 발명은 폭넓은 항균 및 항진 스펙트럼을 갖는 아미노글리코사이드계 항균제를 포함하고 있어서 항균성과 항진성이 매우 우수하다.In addition, the present invention includes an aminoglycoside-based antimicrobial agent having a broad antibacterial and antifungal spectrum, which is excellent in antimicrobial properties and antifungal properties.
Claims (3)
Priority Applications (1)
| Application Number | Priority Date | Filing Date | Title |
|---|---|---|---|
| KR1020050102729A KR20070046261A (en) | 2005-10-31 | 2005-10-31 | Antibacterial polyurethane resin composition and antibacterial processed product thereof |
Applications Claiming Priority (1)
| Application Number | Priority Date | Filing Date | Title |
|---|---|---|---|
| KR1020050102729A KR20070046261A (en) | 2005-10-31 | 2005-10-31 | Antibacterial polyurethane resin composition and antibacterial processed product thereof |
Publications (1)
| Publication Number | Publication Date |
|---|---|
| KR20070046261A true KR20070046261A (en) | 2007-05-03 |
Family
ID=38271625
Family Applications (1)
| Application Number | Title | Priority Date | Filing Date |
|---|---|---|---|
| KR1020050102729A Ceased KR20070046261A (en) | 2005-10-31 | 2005-10-31 | Antibacterial polyurethane resin composition and antibacterial processed product thereof |
Country Status (1)
| Country | Link |
|---|---|
| KR (1) | KR20070046261A (en) |
Cited By (2)
| Publication number | Priority date | Publication date | Assignee | Title |
|---|---|---|---|---|
| KR100924273B1 (en) * | 2008-01-21 | 2009-10-30 | 서강대학교산학협력단 | Antimicrobial Polyurethane Resin Composition and Method for Manufacturing the Same |
| WO2014066674A1 (en) * | 2012-10-24 | 2014-05-01 | Kci Licensing, Inc. | Amine-functionalized polymeric compositions for medical devices |
-
2005
- 2005-10-31 KR KR1020050102729A patent/KR20070046261A/en not_active Ceased
Cited By (2)
| Publication number | Priority date | Publication date | Assignee | Title |
|---|---|---|---|---|
| KR100924273B1 (en) * | 2008-01-21 | 2009-10-30 | 서강대학교산학협력단 | Antimicrobial Polyurethane Resin Composition and Method for Manufacturing the Same |
| WO2014066674A1 (en) * | 2012-10-24 | 2014-05-01 | Kci Licensing, Inc. | Amine-functionalized polymeric compositions for medical devices |
Similar Documents
| Publication | Publication Date | Title |
|---|---|---|
| US6258917B1 (en) | Extrudable thermoplastic elastomeric urea-extended polyurethane | |
| US5811506A (en) | Extrudable thermoplastic elastomeric urea-extended polyurethane | |
| US7772296B2 (en) | Antimicrobial polyurethane resins and products made therefrom | |
| JP6843269B2 (en) | Reactive UV absorbers and their applications | |
| CN101638471B (en) | Preparation method of water-based cationic blocked polyisocyanate crosslinking curing agent | |
| AU2003244436A1 (en) | Polyurethane prepolymers with reduced functionality comprising alkoxysilyl and oh terminal groups, a method for production and use thereof | |
| CN113088154B (en) | A kind of preparation method of guanidine group-containing antibacterial and mildew-proof water-based polyurethane leather finishing material | |
| CN114573762B (en) | Antibacterial benzisothiazolinone derivative-containing polyurethane acrylate polymer and preparation method thereof | |
| EP1606349B1 (en) | Controlled release polymeric gels | |
| US10709130B2 (en) | Clickable antimicrobial molecules and polymers | |
| CN1293579A (en) | Moulded bodies made of thermoplastic polyurethane containing active substance | |
| KR20070046261A (en) | Antibacterial polyurethane resin composition and antibacterial processed product thereof | |
| KR100924273B1 (en) | Antimicrobial Polyurethane Resin Composition and Method for Manufacturing the Same | |
| CN114479746A (en) | Preparation method of antibacterial polyurethane adhesive for bonding cork particles, adhesive and application thereof | |
| KR20070046260A (en) | Antibacterial polyurethane resin composition and antibacterial processed product thereof | |
| KR20070046258A (en) | Antibacterial polyurethane resin composition and antibacterial processed product thereof | |
| KR20070046263A (en) | Antibacterial polyurethane resin composition and antibacterial processed product thereof | |
| CN114957598A (en) | Low-melting-point high-hardness TPU and preparation method thereof | |
| KR20070046262A (en) | Antibacterial polyurethane resin composition and antibacterial processed product thereof | |
| KR20070046259A (en) | Antibacterial polyurethane resin composition and antibacterial processed product thereof | |
| EP2338923A1 (en) | Polyurethane with a biocidal polyuric material as comonomer | |
| KR100557838B1 (en) | Aqueous melt type polyurethane adhesive and its manufacturing method | |
| CN116462818A (en) | A kind of discoloration-resistant and antibacterial thermoplastic polyurethane elastomer, preparation method and application thereof | |
| JP3316247B2 (en) | Polyurethane composition | |
| CN101050266A (en) | Antibacterial polyisocyanate and its derivatives |
Legal Events
| Date | Code | Title | Description |
|---|---|---|---|
| PA0109 | Patent application |
Patent event code: PA01091R01D Comment text: Patent Application Patent event date: 20051031 |
|
| A201 | Request for examination | ||
| PA0201 | Request for examination |
Patent event code: PA02012R01D Patent event date: 20070404 Comment text: Request for Examination of Application Patent event code: PA02011R01I Patent event date: 20051031 Comment text: Patent Application |
|
| PG1501 | Laying open of application | ||
| E902 | Notification of reason for refusal | ||
| PE0902 | Notice of grounds for rejection |
Comment text: Notification of reason for refusal Patent event date: 20080421 Patent event code: PE09021S01D |
|
| E601 | Decision to refuse application | ||
| PE0601 | Decision on rejection of patent |
Patent event date: 20080725 Comment text: Decision to Refuse Application Patent event code: PE06012S01D Patent event date: 20080421 Comment text: Notification of reason for refusal Patent event code: PE06011S01I |












