KR20070003463A - Peptide Nucleic Acid Monomer Having a Photodegradable Protecting Group - Google Patents
Peptide Nucleic Acid Monomer Having a Photodegradable Protecting Group Download PDFInfo
- Publication number
- KR20070003463A KR20070003463A KR1020050059458A KR20050059458A KR20070003463A KR 20070003463 A KR20070003463 A KR 20070003463A KR 1020050059458 A KR1020050059458 A KR 1020050059458A KR 20050059458 A KR20050059458 A KR 20050059458A KR 20070003463 A KR20070003463 A KR 20070003463A
- Authority
- KR
- South Korea
- Prior art keywords
- formula
- compound
- protecting group
- nucleic acid
- peptide nucleic
- Prior art date
- Legal status (The legal status is an assumption and is not a legal conclusion. Google has not performed a legal analysis and makes no representation as to the accuracy of the status listed.)
- Ceased
Links
Classifications
-
- C—CHEMISTRY; METALLURGY
- C07—ORGANIC CHEMISTRY
- C07K—PEPTIDES
- C07K5/00—Peptides containing up to four amino acids in a fully defined sequence; Derivatives thereof
- C07K5/04—Peptides containing up to four amino acids in a fully defined sequence; Derivatives thereof containing only normal peptide links
-
- Y—GENERAL TAGGING OF NEW TECHNOLOGICAL DEVELOPMENTS; GENERAL TAGGING OF CROSS-SECTIONAL TECHNOLOGIES SPANNING OVER SEVERAL SECTIONS OF THE IPC; TECHNICAL SUBJECTS COVERED BY FORMER USPC CROSS-REFERENCE ART COLLECTIONS [XRACs] AND DIGESTS
- Y02—TECHNOLOGIES OR APPLICATIONS FOR MITIGATION OR ADAPTATION AGAINST CLIMATE CHANGE
- Y02P—CLIMATE CHANGE MITIGATION TECHNOLOGIES IN THE PRODUCTION OR PROCESSING OF GOODS
- Y02P20/00—Technologies relating to chemical industry
- Y02P20/50—Improvements relating to the production of bulk chemicals
- Y02P20/55—Design of synthesis routes, e.g. reducing the use of auxiliary or protecting groups
Landscapes
- Chemical & Material Sciences (AREA)
- Organic Chemistry (AREA)
- Health & Medical Sciences (AREA)
- Life Sciences & Earth Sciences (AREA)
- Biochemistry (AREA)
- Biophysics (AREA)
- General Health & Medical Sciences (AREA)
- Genetics & Genomics (AREA)
- Medicinal Chemistry (AREA)
- Molecular Biology (AREA)
- Proteomics, Peptides & Aminoacids (AREA)
- Plural Heterocyclic Compounds (AREA)
Abstract
본 발명은 광분해성 보호기를 갖는 펩타이드 핵산(peptide nucleic acid) 단량체에 관한 것이다. 보다 상세하게는 본 발명은 하기 화학식 (XV)의 펩타이드 핵산 단량체에 대한 것이다. The present invention relates to a peptide nucleic acid monomer having a photodegradable protecting group. More specifically, the present invention relates to peptide nucleic acid monomers of formula (XV).
(XV) (XV)
상기 식에서, B는 1-N-카복시메틸티민, 9-(카복시메틸)-6-N-(4-메톡시벤조일)아데닌, 1-(카복시메틸)-4-N-(4-메톡시벤조일)시토신 또는 9-(카복시메틸)-2-N-(이소부티릴)구아닌이며, P는 광분해성 보호기이다. Wherein B is 1- N -carboxymethylthymine, 9- (carboxymethyl) -6- N- (4-methoxybenzoyl) adenine, 1- (carboxymethyl) -4- N- (4-methoxybenzoyl ) Cytosine or 9- (carboxymethyl) -2- N- (isobutyryl) guanine, and P is a photodegradable protecting group.
Description
본 발명은 광분해성 보호기를 갖는 펩타이드 핵산(peptide nucleic acid, 이하, PNA라고 약칭함) 단량체에 관한 것이다. 보다 상세하게는 본 발명은 하기 화학식 (XV)의 PNA 단량체에 대한 것이다. The present invention relates to a peptide nucleic acid (hereinafter referred to as PNA) monomer having a photodegradable protecting group. More specifically, the present invention relates to PNA monomers of the formula (XV).
(XV) (XV)
상기 식에서, B는 1-N-카복시메틸티민(1-N-Carboxymethylthymine), 9-(카복시메틸)-6-N-(4-메톡시벤조일)아데닌{9-(Carboxymethyl)-6-N-(4-methoxybenzoyl)adenine}, 1-(카복시메틸)-4-N-(4-메톡시벤조일)시토신{1-(Carboxymethyl)-4-N-(4-methoxybenzoyl)cytosine} 또는 9-(카복시메틸)-2-N-(이소부티릴)구아닌{9-(carboxymethyl)-2-N-(isobutyryl)guanine}이며, P는 광분해성 보 호기이다.Wherein, B is a 1- N - carboxymethyl thymine (1- N -Carboxymethylthymine), 9- (carboxymethyl) -6- N - (4- methoxybenzoyl) adenine {9- (Carboxymethyl) -6- N - (4-methoxybenzoyl) adenine}, 1- (carboxymethyl) -4- N- (4-methoxybenzoyl) cytosine {1- (Carboxymethyl) -4- N- (4-methoxybenzoyl) cytosine} or 9- (carboxy Methyl) -2- N- (isobutyryl) guanine {9- (carboxymethyl) -2- N- (isobutyryl) guanine} and P is a photodegradable protecting group.
PNAs(peptide nucleic acids)는 포스포디에스테르(phosphodiester) 골격(backbone)이 2-아미노에틸 글리신(2-aminoethyl glycine)들의 연결로 대체된 DNA 유사체(analog)이다. PNAs는 매우 높은 특이성과 친화성을 가지고 상보적인 DNAs, RNAs 또는 PNAs를 인식하기 때문에 PNAs에 관한 연구가 활발히 진행되어 왔다. Peptide nucleic acids (PNAs) are DNA analogs in which the phosphodiester backbone has been replaced by linkages of 2-aminoethyl glycine. Since PNAs recognize complementary DNAs, RNAs or PNAs with very high specificity and affinity, studies on PNAs have been actively conducted.
이러한 연구들은, PNAs, 특히 표면에 고정된 상태의 PNAs가 독특하고 효율적인 혼성화 특징들을 가진다는 것을 밝혀내고 있다(Wang, J.; Palecek, E.; Nielsen, P. E.; Rivas, G.; Cai, X.; Shiraishi, H.; Dontha, N.; Luo, D.; Farias,P. A. M. J. Am. Chem. Soc. 1996, 118, 7667-7670). These studies have revealed that PNAs, especially surface-fixed PNAs, have unique and efficient hybridization characteristics (Wang, J .; Palecek, E .; Nielsen, PE; Rivas, G .; Cai, X). Shiraishi, H .; Dontha, N .; Luo, D .; Farias, PAMJ Am. Chem. Soc. 1996, 118, 7667-7670).
PNA 인식 층들은 DNAs, RNAs 또는 PNAs와 상온에서 신속하게 혼성화되며, 혼성화 반응은 높은 감지도(sensitivity)와 특이성(specificity)을 나타낸다. 또한, 이온력에 대한 의존도가 낮고 비교적 짧은 길이의 프로브의 사용이 가능하다. PNA recognition layers hybridize rapidly with DNAs, RNAs or PNAs at room temperature, and hybridization reactions exhibit high sensitivity and specificity. It is also possible to use probes of relatively short length with low dependence on ionic force.
이와 같이 PNAs는 서열 특이적 DNA 바이오센서 분야에 응용되는 경우 DNA보다 더 많은 장점들을 나타낸다(Germini, A.; Mezzelani, A.; Lesignoli, F.; Corradini, R.; Marchelli, R.; Bordoni, R.; Consolandi, C.; Bellis, G. D. J. Agric. Food Chem. 2004, 52, 4535-4540, Kerman, K.; Ozkan, D.; Kara, P.; Erdem, A.; Meric, B.; Nielsen, P. E.; Ozsoz, M. Electroanalysis 2003, 15 (7), 667-670, Hashimoto, K.; Ishimori, Y. Lab on a Chip 2001, 1, 61-63, Arlinghaus, H. F.; Kwoka, M. N. Anal. Chem. 1997, 69, 3747-3753, Song, J.Y.; Park, H.G.; Jung, S.O.; Park, J. Nucleic Acids Res. 2005, 33 (2), e19). As such, PNAs show more advantages than DNA when applied in the field of sequence specific DNA biosensors (Germini, A .; Mezzelani, A .; Lesignoli, F .; Corradini, R .; Marchelli, R .; Bordoni, R .; Consolandi, C .; Bellis, GDJ Agric.Food Chem. 2004, 52, 4535-4540, Kerman, K .; Ozkan, D .; Kara, P .; Erdem, A .; Meric, B .; Nielsen , PE; Ozsoz, M. Electroanalysis 2003, 15 (7), 667-670, Hashimoto, K .; Ishimori, Y. Lab on a Chip 2001, 1, 61-63, Arlinghaus, HF; Kwoka, MN Anal.Chem 1997, 69, 3747-3753, Song, JY; Park, HG; Jung, SO; Park, J. Nucleic Acids Res. 2005, 33 (2), e19).
따라서 바이오센서에 배열되는 프로브 분자로서 DNA 프로브 대신에 PNAs를 사용하게 되면, DNA를 사용하여 제작된 미세배열(microarray) 센서보다 훨씬 더 뛰어난 성능을 가진 바이오센서를 만들 수 있다.Therefore, if PNAs are used instead of DNA probes as the probe molecules arranged in the biosensors, biosensors with much better performance than microarray sensors made using DNA can be produced.
DNA 배열을 준비하는 방법과 마찬가지로, PNA 배열을 준비하는 데 사용될 수 있는 방법에는 두 가지가 있다. 첫번째 방법은 가공되기 전의 PNA분자를 적합한 지지체 배지에 스폿팅하는 방법으로서 HPLC(High Perfomance Liquid Chromatography)로 정제된 PNA 분자들을 사용하여 높은 질의 PNA 미세배열을 생산할 수 있다. As with the preparation of DNA sequences, there are two methods that can be used to prepare PNA sequences. The first method is to spot PNA molecules prior to processing on a suitable support medium, which can produce high quality PNA microarrays using PNA molecules purified by High Perfomance Liquid Chromatography (HPLC).
그러나 이 방법은 PNA가 아직까지 널리 사용되고 있지 아니할 뿐 아니라 PNA의 표준 합성 스케일이 미세배열 생산에 필요한 양보다 훨씬 더 많은 약 2μmol 정도이기 때문에 많은 비용이 소모된다는 단점이 있다. 더욱이 HPLC를 사용하여 올리고머를 정제하면 시간과 비용이 많이 필요하다. However, this method has the disadvantage that PNA is not widely used yet, and it is expensive because the standard synthesis scale of PNA is about 2 μmol which is much more than the amount required for microarray production. Moreover, purifying oligomers using HPLC requires a lot of time and money.
두번째 방법은 다수의 PNAs를 적절한 기질 표면에서 평행하게 원위치(in situ) 합성하는 방법으로서, 서로 다른 여러 PNA들을 동시에 합성할 수 있고 올리고머 하나마다 매우 작은 양의 시약만 사용된다는 장점을 가지고 있다. 이러한 PNA 배열은 FMOC(fluorenylmethoxycarbonyl)를 이용하여 다공성 지지체 배지, 실리콘 또는 유리 슬라이드 표면 위에서 제작될 수 있다. The second method is to synthesize several PNAs in situ in parallel on an appropriate substrate surface, which has the advantage of being able to synthesize several different PNAs simultaneously and using only a small amount of reagent per oligomer. Such PNA arrays can be fabricated on porous support media, silicon or glass slide surfaces using fluorenylmethoxycarbonyl (FMOC).
그러나 다공성 막은 기계적인 안정성이 부족하여 다루기가 힘들며 라벨링 모드와 탐지 모드사이에서의 유동성이 부족하다. However, porous membranes are difficult to handle due to lack of mechanical stability and lack of fluidity between labeling and detection modes.
유리 또는 실리콘 슬라이드 위에서의 원 위치(in situ) 합성은 다공성 막을 사용하는 것보다 안정하지만, 단량체들이 정확히 같은 슬라이드 좌표에 여러 번 옮겨져야 하기 때문에 스폿팅이 매우 정확하게 이루어져야 한다. 그렇지 못한 경우에는 끝이 잘려버린 서열들이 많이 만들어지게 된다. In situ synthesis on glass or silicon slides is more stable than using porous membranes, but spotting must be made very precisely because the monomers must be transferred many times to the exact same slide coordinates. Otherwise, many truncated sequences are created.
따라서 높은 밀도의 PNA 미세 배열의 원위치 합성은 적합한 PNA 단량체 및 하드웨어가 준비되었을 때에만 가능하다. Thus in situ synthesis of high density PNA microarrays is only possible when suitable PNA monomers and hardware are in place.
이와 관련하여 펩타이드와 DNA 미세 배열의 원 위치 합성 방법에서는 이미 조합적 포토리소그래프(combinatorial photolithograph) 방식이 성공적으로 적용되고 있다(Fordor, S. P.A.; Read, J.L.; Pirrung, M. C.; Stryer L.; Lu, A.T.; Solas, D. Science 1991, 251,767-773, McGall, G. H.; Barone, A. D.; Diggelmann, M.; Fodor, S. P. A.; Gentalen, E.; Ngo, N. J. Am. Chem. Soc. 1997, 119 (22), 5081-5090, Pease, A. C.; Solas, D.; Sullivan, E. J.; Cronin, M. T.; Holmes, C. P.; Fodor, S. P. A. Proc. Natl. Acad. Sci. USA 1994, 91, 5022-5026).In this regard, the combinatorial photolithograph method has already been successfully applied for in situ synthesis of peptide and DNA microarrays (Fordor, SPA; Read, JL; Pirrung, MC; Stryer L .; Lu, AT; Solas, D. Science 1991, 251, 767-773, McGall, GH; Barone, AD; Diggelmann, M .; Fodor, SPA; Gentalen, E .; Ngo, N. J. Am. Chem. Soc. 1997 , 119 (22) , 5081-5090, Pease, AC; Solas, D .; Sullivan, EJ; Cronin, MT; Holmes, CP; Fodor, SPA Proc. Natl. Acad. Sci. USA 1994 , 91 , 5022-5026).
PNA가 기본적으로 DNA와 펩타이드가 결합된 형태라는 점을 고려할 때, 적합한 PNA 단량체만 합성될 수 있다면 상기의 포토리소그래프(photolithograph) 방식과 같은 광 유도성(light-directed) 프로브 분자 배열 합성 방식이 PNA 에도 적용될 수 있을 것이다. Considering that PNA is basically a combination of DNA and peptide, if only suitable PNA monomers can be synthesized, a light-directed probe molecule array synthesis method such as the photolithograph method may be employed. It could be applied to PNA.
따라서 당업계에서는 높은 감지도(sensitivity)와 특이성(specificity), 빠른 혼성화 능력 및 짧은 프로브의 사용 가능성 등의 이점을 가지면서도 프로브 분자 미세 배열의 고체상 합성을 위한 포토리소그래프 방법에 적합한 PNA 단량체 및 효율적인 합성 방법에 대한 개발이 절실하게 요청되고 있다. Therefore, in the art, PNA monomers and efficient suitable for photolithographic methods for solid phase synthesis of probe molecule microarrays have advantages such as high sensitivity and specificity, fast hybridization capability and short probe availability. There is an urgent need for development of synthetic methods.
그러므로 본 발명의 기본적인 목적은 하기 화학식 (I)의 펩타이드 핵산(peptide nucleic acid) 단량체를 제공하는 것이다.Therefore, the basic object of the present invention is to provide a peptide nucleic acid monomer of formula (I).
(I) (I)
상기 식에서 P 는 광분해성 보호기이다. Wherein P is a photodegradable protecting group.
본 발명의 또 다른 목적은 하기 화학식 (II)의 펩타이드 핵산 단량체를 제공하는 것이다. Another object of the present invention is to provide a peptide nucleic acid monomer of formula (II).
(II) (II)
상기 식에서 P 는 광분해성 보호기이고, An은 4-메톡시벤조일 (4-methoxybenzoyl)이다.Wherein P is a photodegradable protecting group and An is 4-methoxybenzoyl.
본 발명의 또 다른 목적은 하기 화학식 (III)의 펩타이드 핵산 단량체를 제공하는 것이다.Another object of the present invention is to provide a peptide nucleic acid monomer of formula (III).
(III) (III)
상기 식에서 P 는 광분해성 보호기이고, An은 4-메톡시벤조일 4-methoxybenzoyl)이다.Wherein P is a photodegradable protecting group and An is 4-methoxybenzoyl 4-methoxybenzoyl).
본 발명의 또 다른 목적은 하기 화학식 (IV)의 펩타이드 핵산 단량체를 제공하는 것이다.Another object of the present invention is to provide a peptide nucleic acid monomer of formula (IV).
(IV) (IV)
상기 식에서 P 는 광분해성 보호기이고, iBu은 이소부티릴(isobutyryl)이다. Wherein P is a photodegradable protecting group and iBu is isobutyryl.
본 발명의 또 다른 목적은 i) 하기 화학식 (VI) 의 화합물을 아니소일 클로라이드(anisoyl chloride)와 반응시켜 하기 화학식 (VII)의 화합물을 제조하는 단계; ii) 하기 화학식 (VII)의 화합물을 메틸 브로모아세테이트(methylbromo acetate)와 반응시켜 하기 화학식 (VIII)의 화합물을 제조하는 단계; 그리고 iii) 하기 화학식 (VIII)의 화합물을 비누화(saponification) 반응시키는 단계;를 포함하는 하기 화학식 (IX)의 1-(카복시메틸)-4-N-(4-메톡시벤조일)시토신을 제조하는 방법을 제공하는 것이다.Another object of the present invention is to prepare a compound of formula (VII) by reacting i) a compound of formula (VI) with anisoyl chloride; ii) reacting a compound of formula (VII) with methyl bromoacetate to prepare a compound of formula (VIII); And iii) saponification of a compound of formula (VIII) to prepare 1- (carboxymethyl) -4- N- (4-methoxybenzoyl) cytosine of formula (IX) To provide a way.
(VI) (VII) (VIII) (IX) (VI) (VII) (VIII) (IX)
본 발명의 또 다른 목적은 i) 하기 화학식 (X)의 2-N-이소부티릴구아닌(2-N-isobutyrylguanine)을 tert-부틸 브로모아세테이트(tert-butyl bromoacetate)와 반응시켜 하기 화학식 (XII)의 화합물을 제조하는 단계; ii) 하기 화학식 (XI)의 화합물을 재결정하는 단계; 그리고 iii) 재결정된 하기 화학식 (XI)의 화합물을 TFA(trifluoroacetic acid)와 반응시키는 단계;를 포함하는 하기 화학식 (XII)의 9-(카복시메틸)-2-N-(이소부티릴)구아닌을 제조하는 방법을 제공하는 것이다.It is another object of the present invention i) the following general formula (X) 2-N- isobutyryl guanine (2-N-isobutyrylguanine) of the tert-butyl bromoacetate (tert -butyl bromoacetate) and reacting the formula (XII Preparing a compound of; ii) recrystallizing the compound of formula (XI); And iii) reacting the recrystallized compound of formula (XI) with trifluoroacetic acid (TFA) to 9- (carboxymethyl) -2-N- (isobutyryl) guanine of formula (XII) It is to provide a method of manufacturing.
(X) (XI) (XII) (X) (XI) (XII)
본 발명의 또 다른 목적은 i) 하기 화학식 (XIII)의 화합물을 광분해성 보호기와 반응시켜 광분해성 보호기를 갖는 하기 화학식 (XIV)의 화합물을 제조하는 단계; 그리고 ii) 하기 화학식 (XIV)의 화합물을, 1-(카복시메틸)-4-N-(4-메톡시벤조일)시토신, 9-(카복시메틸)-2-N-(이소부티릴)구아닌, 1-N-카복시메틸티민, 9-(카복시메틸)-6-N-(4-메톡시벤조일)아데닌과 각각 별도로 반응시키는 단계;를 포함하는 하기 화학식 (XV)의 4종류의 펩타이드 핵산 단량체들의 제조 방법을 제공하는 것이다.Another object of the present invention is to prepare a compound of formula (XIV) having a photodegradable protecting group by reacting a compound of formula (XIII) with a photodegradable protecting group; And ii) 1- (carboxymethyl) -4- N- (4-methoxybenzoyl) cytosine, 9- (carboxymethyl) -2- N- (isobutyryl) guanine, Reacting separately with 1- N -carboxymethylthymine and 9- (carboxymethyl) -6- N- (4-methoxybenzoyl) adenine; each of four peptide nucleic acid monomers of formula (XV) It is to provide a manufacturing method.
(XIII) (XIV) (XV) (XIII) (XIV) (XV)
상기 식에서 P는 광분해성 보호기이고, tBu는 tert-부틸이며, B는 하기 화학식(XVI), 화학식(XVII), 화학식(XVIII) 또는 화학식(XIX)의 화합물이다.Wherein P is a photodegradable protecting group, tBu is tert -butyl, and B is a compound of formula (XVI), formula (XVII), formula (XVIII) or formula (XIX).
(XVI) (XVII) (XVIII) (XIX) (XVI) (XVII) (XVIII) (XIX)
본 발명의 기본적인 목적은 하기 화학식 (I)의 펩타이드 핵산(peptide nucleic acid) 단량체를 제공함으로써 달성된다.The basic object of the present invention is achieved by providing a peptide nucleic acid monomer of formula (I).
(I) (I)
상기 식에서 P 는 광분해성 보호기이다. Wherein P is a photodegradable protecting group.
본 발명의 또 다른 목적은 하기 화학식 (II)의 펩타이드 핵산 단량체를 제공함으로써 달성된다. Another object of the present invention is achieved by providing a peptide nucleic acid monomer of formula (II).
(II) (II)
상기 식에서 P 는 광분해성 보호기이고, An은 4-메톡시벤조일 (4-methoxybenzoyl)이다.Wherein P is a photodegradable protecting group and An is 4-methoxybenzoyl.
본 발명의 또 다른 목적은 하기 화학식 (III)의 펩타이드 핵산 단량체를 제공함으로써 달성된다.Another object of the present invention is achieved by providing a peptide nucleic acid monomer of formula (III).
(III) (III)
상기 식에서 P 는 광분해성 보호기이고, An은 4-메톡시벤조일 (4-methoxybenzoyl)이다.Wherein P is a photodegradable protecting group and An is 4-methoxybenzoyl.
본 발명의 또 다른 목적은 하기 화학식 (IV)의 펩타이드 핵산 단량체를 제공함으로써 달성된다.Another object of the present invention is achieved by providing a peptide nucleic acid monomer of formula (IV).
(IV) (IV)
상기 식에서 P 는 광분해성 보호기이고, iBu은 이소부티릴(isobutyryl)이다.Wherein P is a photodegradable protecting group and iBu is isobutyryl.
PNA 단량체의 화학적 합성은 보호기로 보호된 N-(2-아미노에틸)글리신 (glycine(N-(2-aminoethyl)glycine) 골격과 핵산 염기로 치환된 아세트산 구조 단위들의 조합에 의존한다. Chemical synthesis of PNA monomer is an N-protected with a protecting group - depends on the combination of the acid structural unit substituted with (2-aminoethyl) glycine) backbone and nucleobases (2-aminoethyl) glycine (glycine (N.
광 유도성(light-directed) PNA 합성의 경우, 단량체의 기본 구조를 해치지 않는 일정 범위의 파장에서는 높은 효율로 광분해되지만, 펩타이드들을 연결하는 일반적인 화학 반응들에서는 안정한 광 분해성 보호 그룹들이 필요하다. For light-directed PNA synthesis, photodegradation is highly efficient at a range of wavelengths that do not harm the basic structure of the monomers, but stable photodegradable protecting groups are required for common chemical reactions linking peptides.
광분해성 보호기는 340nm보다 짧은 파장에서는 핵산 염기에 손상이 일어날 가능성이 많아지기 때문에 340nm보다 긴 파장에서 분해가 이루어져야 한다. 또한, 열에 대한 안정성이 높아야 하며 광분해가 짧은 시간에 일어나야 한다. The photodegradable protecting group should be decomposed at wavelengths longer than 340 nm since the damage to nucleic acid base is more likely to occur at wavelengths shorter than 340 nm. In addition, heat stability should be high and photolysis should occur in a short time.
본 발명의 광분해성 보호기에는 1-(3,4-(메틸렌디옥시)-6-니트로페닐)에틸옥시카르보닐(MeNPOC)과 같은 2-니트로벤질 유도체 , 2-메틸-2-(2-니트로페닐)프로필옥시카르보닐 유도체, 벤조인 유도체 및 o-니트로벤질옥시 유도체 등이 사용될 수 있다. Photodegradable protecting groups of the present invention include 2-nitrobenzyl derivatives such as 1- (3,4- (methylenedioxy) -6-nitrophenyl) ethyloxycarbonyl (MeNPOC), 2-methyl-2- (2-nitro Phenyl) propyloxycarbonyl derivatives, benzoin derivatives, o -nitrobenzyloxy derivatives, and the like can be used.
바람직하게는, 본 발명의 광분해성 보호기는 o-니트로베라트릴옥시카보닐(o-nitroveratryloxycarbonyl)로서 즉, 4,5-디메톡시-2-니트로벤질옥시카보닐(NVOC)이다. 상기 NVOC의 o-nitrobenzyl부분은 300nm이상의 파장의 빛에서 핵산에 영향을 미치지 않고 제거된다. Preferably, the photodegradable protecting group of the present invention, o - a nitro vera Trill butyloxycarbonyl (o -nitroveratryloxycarbonyl) That is, 4,5-dimethoxy-2-nitro-benzyloxy-carbonyl (NVOC) a. The o- nitrobenzyl portion of the NVOC is removed without affecting the nucleic acid in light of a wavelength of more than 300nm.
PNA 의 단량체들을 합성하는 경로에 있어서 중요한 중간체는 반응식 1에서 보여지고 있는 경로에 의해서 합성되는 화학식 (1)의 tert-부틸 N-[2-N-(4,5-디메톡시-2-니트로벤질옥시카보닐)아미노에틸]글리시네이트(tert-butyl N-[2-N-(4,5-dimethoxy-2-nitrobenzyloxycarbonyl)aminoethyl]glycinate)이다.An important intermediate in the pathway for synthesizing the monomers of PNA is tert-butyl N- [2-N- (4,5-dimethoxy-2-nitrobenzyl) of formula (1) synthesized by the route shown in Scheme 1. Oxycarbonyl) aminoethyl] glycinate (tert-butyl N- [2-N- (4,5-dimethoxy-2-nitrobenzyloxycarbonyl) aminoethyl] glycinate).
(1) (One)
반응식 1의 tert-부틸 N-(2-아미노에틸)글리시네이트(tert-Butyl N-(2-aminoethyl)glycinate)는 선행 기술 문헌의 방법에 따라 얻을 수 있다(Thomson, S. A.; Josey, J. A.; Cadilla, R.; Gaul, M.D.; Hassman, C. F.; Luzzio, M. J.; Pipe, A. J.; Reed, K. L.; Ricca, D. J.; Wiethe, R. W.; Noble, S.A. Tetrahedron 1995, 51(22), 6179-6194). Tert-Butyl N- (2-aminoethyl) glycinate of Scheme 1 can be obtained according to the methods of the prior art literature (Thomson, SA; Josey, JA; Cadilla, R .; Gaul, MD; Hassman, CF; Luzzio, MJ; Pipe, AJ; Reed, KL; Ricca, DJ; Wiethe, RW; Noble, SA Tetrahedron 1995, 51 (22), 6179-6194).
tert-부틸 N-(2-아미노에틸)글리시네이트의 제1차 아민과 o-니트로베라트릴옥시카보닐 클로라이드(o-nitroveratryloxycarbonyl chloride)을 선택적으로 반응 시킨 후 플래쉬 크로마토그래피를 통해 정제하여 화학식 (1)의 화학물을 얻는다.tert- butyl N- (2- aminoethyl) was purified via glycinate first primary amine and o- nitro vera Trill butyloxycarbonyl chloride flash chromatography then optionally reacting (o- nitroveratryloxycarbonyl chloride) of formula ( Obtain the chemicals in 1).
염기들은 아실기 보호 그룹을 가지는 외향고리(exocyclic) 아미노 기능기들을 포함하고 있다. 상기 보호 그룹들은 염기에 불안정하여 염기로부터 유리될 수 있다. Bases contain exocyclic amino functional groups with an acyl group protecting group. The protecting groups are labile to the base and can be liberated from the base.
이러한 보호 그룹들은 원하지 않는 부반응을 막을 뿐만 아니라 염기 단량체들의 용해도와 DNA 합성에 사용되는 온화한 반응 조건에 대한 적합성을 향상시킨다(Will, D. W.; Breipohl, G.; Langner, D.; Knolle, J.; Uhlmann, E. Tetrahedron 1995, 51(44), 12069-12082, Breipohl, G.; Will, D. W.; Peyman, A.; Uhlmann, E. Tetrahedron 1997, 53(43), 14671-14686, Kovacs, G.; Timar, Z.; Kupihar, Z.; Kele, Z.; Kovacs, L. J. Chem. Soc., Perkin Trans. 1 2002, 1266-1270, Timar, Z.; Kovacs, L.; Kovacs, G.; Schmel, Z. J. Chem. Soc., Perkin Trans. 1 2000, 19-26, Kofoed, T.; Hansen, H. F.; Orum, H.; Koch, T. J. Peptide Sci. 2001,7, 402-412). These protecting groups not only prevent unwanted side reactions but also improve the solubility of the base monomers and the suitability for the mild reaction conditions used for DNA synthesis (Will, DW; Breipohl, G .; Langner, D .; Knolle, J .; Uhlmann, E. Tetrahedron 1995, 51 (44), 12069-12082, Breipohl, G .; Will, DW; Peyman, A .; Uhlmann, E. Tetrahedron 1997, 53 (43), 14671-14686, Kovacs, G. ; Timar, Z .; Kupihar, Z .; Kele, Z .; Kovacs, LJ Chem. Soc., Perkin Trans. 1 2002, 1266-1270, Timar, Z .; Kovacs, L .; Kovacs, G .; Schmel , ZJ Chem. Soc., Perkin Trans. 1 2000, 19-26, Kofoed, T .; Hansen, HF; Orum, H .; Koch, TJ Peptide Sci. 2001, 7, 402-412).
1-N-카복시메틸티민(1-N-carboxymethylthymine), 9-(카복시메틸)-6-N-(4-메톡시벤조일)아데닌(9-(carboxymethyl)-6-N-(4-methoxybenzoyl)adenine)이 각각 선행 기술에 따라 합성되었다. (Kosynkina, L.; Wang, W.; Liang, T. C. Tetrahedron Lett. 1994, 35(29), 5173-5176, Will, D. W.; Breipohl, G.; Langner, D.; Knolle, J.; Uhlmann, E. Tetrahedron 1995, 51(44), 12069-12082, Breipohl, G.; Will, D. W.; Peyman, A.; Uhlmann, E. Tetrahedron 1997, 53(43),14671-14686).1-N-carboxymethylthymine, 9- (carboxymethyl) -6-N- (4-methoxybenzoyl) adenine (9- (carboxymethyl) -6-N- (4-methoxybenzoyl) adenine) were each synthesized according to the prior art. (Kosynkina, L .; Wang, W .; Liang, TC Tetrahedron Lett. 1994, 35 (29), 5173-5176, Will, DW; Breipohl, G .; Langner, D .; Knolle, J .; Uhlmann, E Tetrahedron 1995, 51 (44), 12069-12082, Breipohl, G .; Will, DW; Peyman, A .; Uhlmann, E. Tetrahedron 1997, 53 (43), 14671-14686).
본 발명의 또 다른 목적은 i) 하기 화학식 (VI) 의 화합물을 아니소일 클로 라이드(anisoyl chloride)와 반응시켜 하기 화학식 (VII)의 화합물을 제조하는 단계; ii) 하기 화학식 (VII)의 화합물을 메틸 브로모아세테이트(methylbromo acetate)와 반응시켜 하기 화학식 (VIII)의 화합물을 제조하는 단계; 그리고 iii) 하기 화학식 (VIII)의 화합물을 비누화(saponification) 반응시키는 단계;를 포함하는 하기 화학식 (IX)의 1-(카복시메틸)-4-N-(4-메톡시벤조일)시토신을 제조하는 방법을 제공함으로써 달성된다.Another object of the present invention is to prepare a compound of formula (VII) by reacting i) a compound of formula (VI) with anisoyl chloride; ii) reacting a compound of formula (VII) with methyl bromoacetate to prepare a compound of formula (VIII); And iii) saponification of a compound of formula (VIII) to prepare 1- (carboxymethyl) -4- N- (4-methoxybenzoyl) cytosine of formula (IX) By providing a method.
(VI) (VII) (VIII) (IX) (VI) (VII) (VIII) (IX)
1-(카복시메틸)-4-N-(4-메톡시벤조일)시토신(1-(carboxymethyl)-4-N-(4-methoxybenzoyl)cytosine)은 선행 기술에 변형을 가하여 높은 수율로 합성할 수 있다.1- (carboxymethyl) -4-N- (4-methoxybenzoyl) cytosine (1- (carboxymethyl) -4-N- (4-methoxybenzoyl) cytosine) can be synthesized in high yield by modifying the prior art. have.
하기의 반응식 2에서 볼 수 있듯이, 피리딘 용매 하에서 시토신과 아니소일 클로라이드(anisoyl chloride)의 아실화 반응을 통해 화학식 (2)의 화합물을 얻을 수 있다.As can be seen in Scheme 2 below, a compound of formula (2) can be obtained through acylation of cytosine and anisoyl chloride in a pyridine solvent.
(2) (3) (4) (2) (3) (4)
화학식 (2)의 화합물을 DMF(N,N-dimethylformamide)에서 수소화나트륨(NaH) 를 이용하여 나트륨 염으로 전환시키고, 메틸 브로모아세테이트(methylbromo acetate)를 이용하여 알킬화시켜 화학식 (3)의 화합물을 얻는다. Compound of formula (2) is converted to sodium salt with sodium hydride (NaH) in DMF (N, N-dimethylformamide) and alkylated with methylbromoacetate to prepare compound of formula (3) Get
상기에서 얻은 화학식 (3)의 화합물을 다이옥산(dioxane)과 물의 혼합액에서 수산화나트륨(NaOH)을 이용하여 비누화(saponification) 반응을 일으킨다. 상기에서 얻은 용액을 황산수소칼륨(KHSO4) 용액에서 pH 의존성 침전반응을 일으켜 화학식 (4)의 화합물을 분리한다. The compound of formula (3) obtained above is subjected to a saponification reaction using sodium hydroxide (NaOH) in a mixture of dioxane and water. The solution obtained above is subjected to pH dependent precipitation in potassium hydrogen sulfate (KHSO 4 ) solution to separate the compound of formula (4).
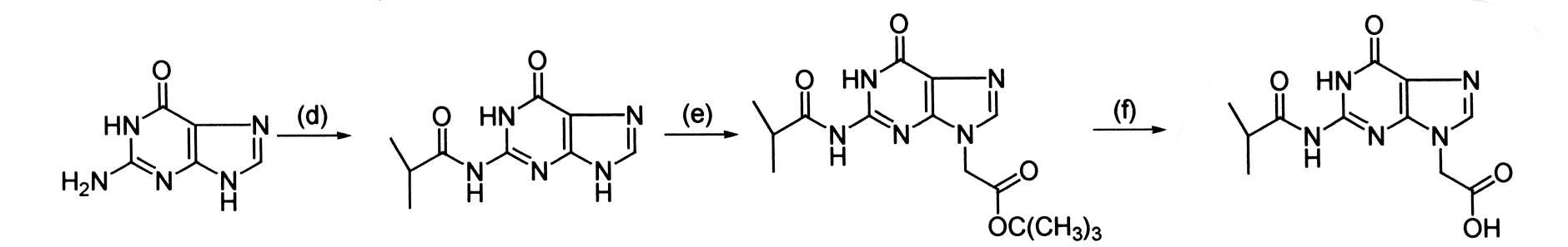
본 발명의 또 다른 목적은 i) 하기 화학식 (X)의 2-N-이소부티릴구아닌(2-N-isobutyrylguanine)을 tert-부틸 브로모아세테이트(tert-butyl bromoacetate)와 반응시켜 하기 화학식 (XI)의 화합물을 제조하는 단계; ii) 하기 화학식 (XI)의 화합물을 재결정하는 단계; 그리고 iii) 재결정된 하기 화학식 (XI)의 화합물을 TFA(trifluoroacetic acid)와 반응시키는 단계;를 포함하는 하기 화학식 (XII)의 9-(카복시메틸)-2-N-(이소부티릴)구아닌을 제조하는 방법을 제공하는 것이다.A further object of the present invention is i) a N- 2-isobutyryl guanine (the 2-N-isobutyrylguanine) tert of formula (X) - the formula by-butyl bromoacetate (tert -butyl bromoacetate) and the reaction (XI Preparing a compound of; ii) recrystallizing the compound of formula (XI); And iii) reacting the recrystallized compound of formula (XI) with trifluoroacetic acid (TFA) to 9- (carboxymethyl) -2-N- (isobutyryl) guanine of formula (XII) It is to provide a method of manufacturing.
(X) (XI) (XII) (X) (XI) (XII)
9-(카복시메틸)-2-N-(이소부티릴)구아닌(9-(carboxymethyl)-2-N-(isobutyryl )guanine)의 합성은 복잡한 분리 과정을 필요로 하는 N9/N7 위치이성질체(regioisomer)를 만들기 때문에 다른 염기들의 합성에 비해 상대적으로 어렵다. Synthesis of 9- (carboxymethyl) -2-N- (isobutyryl) guanine (9- (carboxymethyl) -2-N- (isobutyryl) guanine) requires N9 / N7 regioisomers that require complex separation processes ) Is relatively difficult compared to the synthesis of other bases.
(5) (6) (5) (6)
2-N-이소부티릴구아닌(2-N-isobutyrylguanine)을 합성한 후(Jenny, T. F.; Schneider, K. C.; Benner, S. A. Nucleosides, Nucleotides 1992, 11(6), 1257-1261), 상기 2-N-이소부티릴구아닌을 수소화나트륨/ter-부틸 브로모아세테이트(NaH/tert-butyl bromoacetate)를 이용하여 알킬화 반응을 시켜 다른 위치이성질체들과 함께 높은 수율로 화학식 (5)의 N9 위치이성질체를 얻는다. 상기 화학식 (5)의 화합물은 에틸 아세테이트(ethyl acetate)로부터의 간단한 재결정화를 통하여 효율적으로 분리될 수 있다. 2-N-isobutyrylguanine after synthesis (Jenny, TF; Schneider, KC; Benner, SA Nucleosides, Nucleotides 1992, 11 (6), 1257-1261), 2-N - isobutyronitrile the reel guanine using a sodium / ter- butyl bromoacetate hydride (NaH / tert -butyl bromoacetate) to an alkylation reaction to obtain the N9 position isomer of the formula (5), along with other positional isomer in high yield. The compound of formula (5) can be efficiently separated through simple recrystallization from ethyl acetate.
트리에틸실란(triethylsilane)의 존재 하에 디클로로메탄(dichloromethane)에서 TFA(trifluoroacetic acid)를 이용하여 tert-부틸 에스테르(tert-butyl ester)를 제거함으로써 화학식(6)의 산을 정량적으로 얻는다. The acid of Formula 6 is quantitatively obtained by removing tert -butyl ester using trifluoroacetic acid (TFA) in dichloromethane in the presence of triethylsilane.
본 발명의 또 다른 목적은 i) 하기 화학식 (XIII)의 화합물을 광분해성 보호기와 반응시켜 광분해성 보호기를 갖는 하기 화학식 (XIV)의 화합물을 제조하는 단계; 그리고 ii) 하기 화학식 (XIV)의 화합물을, 1-(카복시메틸)-4-N-(4-메톡시벤조일)시토신, 9-(카복시메틸)-2-N-(이소부티릴)구아닌, 1-N-카복시메틸티민, 9-(카복시메틸)-6-N-(4-메톡시벤조일)아데닌과 각각 별도로 반응시키는 단계;를 포함하는 하기 화학식 (XV)의 4종류의 펩타이드 핵산 단량체들의 제조 방법을 제공함으로써 달성된다.Another object of the present invention is to prepare a compound of formula (XIV) having a photodegradable protecting group by reacting a compound of formula (XIII) with a photodegradable protecting group; And ii) 1- (carboxymethyl) -4- N- (4-methoxybenzoyl) cytosine, 9- (carboxymethyl) -2- N- (isobutyryl) guanine, Reacting separately with 1- N -carboxymethylthymine and 9- (carboxymethyl) -6- N- (4-methoxybenzoyl) adenine; each of four peptide nucleic acid monomers of formula (XV) It is achieved by providing a manufacturing method.
(XIII) (XIV) (XV) (XIII) (XIV) (XV)
상기 식에서 P는 광분해성 보호기이고, tBu는 tert-부틸이며, B는 하기 화학식(XVI), 화학식(XVII), 화학식(XVIII) 또는 화학식(XIX)이다.Wherein P is a photodegradable protecting group, tBu is tert -butyl, and B is the following formula (XVI), formula (XVII), formula (XVIII) or formula (XIX).
(XVI) (XVII) (XVIII) (XIX) (XVI) (XVII) (XVIII) (XIX)
보호 그룹으로서 NVOC를 사용한 PNA 단량체를 합성하는 일반적인 경로가 반응식 4에 나타나 있다. The general route for synthesizing PNA monomers using NVOC as a protecting group is shown in Scheme 4.
카복시메틸화된 염기들은 여러가지 표준 방법들을 사용하여 tert-부틸 N-[2-N-4,5-디메톡시-2-니트로벤질옥시카보닐)아미노에틸]글리시네이트(tert-butyl N-[2-N-(4,5-dimethoxy-2-nitrobenzyl oxycarbonyl)aminoethyl]glycinate) 골격에 연결된다. Carboxymethylated bases are prepared using tert-butyl N- [2-N-4,5-dimethoxy-2-nitrobenzyloxycarbonyl) aminoethyl] glycinate using various standard methods. -N- (4,5-dimethoxy-2-nitrobenzyl oxycarbonyl) aminoethyl] glycinate) is linked to the backbone.
가장 간단하고 효율적인 시약은 피리미딘 계열에는 프로필포스포닉 무수물(propylphosphonic anhydride)이고 퓨린 계열으로는 BOP(O-benzotriazol-l-yl-N,N,N',N'-tetramethyluronium hexafluorophosphate)시약/HOBT(1-hydroxybenzotri azole)이다. The simplest and most efficient reagent is propylphosphonic anhydride for the pyrimidine series and O-benzotriazol-l-yl-N, N, N ', N'-tetramethyluronium hexafluorophosphate (BOP) reagent / HOBT for the pyridine series 1-hydroxybenzotri azole).
반응식 4에서 볼 수 있듯이, 염기 아세트산의 골격에의 연결 후에는 표준 조건 하에서 tert-부틸 에스테르가 제거된다. As can be seen in Scheme 4, the tert-butyl ester is removed under standard conditions after linking the base acetic acid to the backbone.
결론적으로, 본 발명은 광분해성 NVOC 그룹으로 보호된 PNA 단량체들의 합성 경로를 개시하고 있다. 이렇게 합성된 PNA 단량체들은 PNA 올리고머 제작에 사용될 수도 있다. In conclusion, the present invention discloses a synthetic route for PNA monomers protected with photodegradable NVOC groups. The PNA monomers thus synthesized may be used to prepare PNA oligomers.
이하에서, 본 발명의 바람직한 실시예를 본 명세서에 기재하였으나, 본 발명의 권리 범위는 기재된 실시예에 제한되는 것으로 해석되어서는 아니되며, 당업자라면 본 발명의 권리범위내에서 본 명세서에 기재된 내용의 변형을 실시할 수 있을 것이다. Hereinafter, although preferred embodiments of the present invention have been described herein, the scope of the present invention should not be construed as being limited to the described embodiments, those skilled in the art within the scope of the present invention within the scope of the present invention Modifications may be made.
[실시예1]Example 1
tert-Butyl N-[2-N-(4,5-dimethoxy-2-nitrobenzyloxycarbonyl)aminoethyl]glycinat e(1)의 제조Preparation of tert-Butyl N- [2-N- (4,5-dimethoxy-2-nitrobenzyloxycarbonyl) aminoethyl] glycinat e (1)
tert-butyl N-(2-aminoethyl)glycinate(1.75 g, 10.0 mmol)가 용해된 디클로로메탄 (100 ml) 용액을 기계적으로 저어 주면서 DIEA(1.69 ml, 9.5 mmol)를 넣어주었다. 상기 용액에 4,5-dimethoxy-2-nitrobenzylchloroformate (2.62 g, 9.5 mmol)가 용해된 디클로로메탄 (10 ml) 용액을 0℃에서 2시간 동안 적가하였다. DIEA (1.69 ml, 9.5 mmol) was added while mechanically stirring dichloromethane (100 ml) solution containing tert -butyl N- (2-aminoethyl) glycinate (1.75 g, 10.0 mmol). To the solution was added dropwise dichloromethane (10 ml) solution in which 4,5-dimethoxy-2-nitrobenzylchloroformate (2.62 g, 9.5 mmol) was dissolved at 0 ° C. for 2 hours.
상기 용액을 상온에서 따뜻해지도록 놓아두고 2시간 동안 계속 저어주었다. 그 후, 1 M의 HC1 수용액, NaHCO3 포화 수용액(3 x 20 ml) 및 소금물(brine)을 순서대로 이용하여 세척하였다. 유기 용매 층을 Na2SO4에서 건조시키고 진공에서 농축하였다. The solution was left to warm to room temperature and stirring continued for 2 hours. Then, 1 M aqueous HC1 solution, NaHCO 3 saturated aqueous solution (3 x 20 ml) and brine were washed sequentially. The organic solvent layer was dried over Na 2 S0 4 and concentrated in vacuo.
에틸 아세테이트에서 10% 메탄올로 용출(eluting)하는 플래쉬 크로마토그래피(flash chromatography)를 통해 정제하여 38% (1.51g)의 수득율로 녹색의 유성(oily) 생산물인 화합물 1을 얻었다. Purification via flash chromatography eluting with 10% methanol in ethyl acetate gave Compound 1 as a green oily product with a yield of 38% (1.51 g).
Rf = 0.37 (ethyl acetate: methanol/9:1); MALDI-TOF MS: 414.1872 (C18H27N3O8+H+ requires 414.1876); 1H NMR (CDCl3) δ 7.71 (s, 1H), 7.04 (s, 1H), 5.52 (s, 2H), 3.99 (s, 3H), 3.96 (s, 3H), 3.32 (t, J = 5.5 Hz, 2H), 3.28 (s, 2H), 2.78 (t, J = 5.6 Hz, 2H), 1.47 (s, 9H); 13C NMR (CDCl3) δ 171.6, 155.9, 153.3, 147.7, 139.4, 128.3, 109.8, 107.9, 81.2, 63.2, 56.2, 51.0, 48.4, 40.6, 27.9.R f = 0.37 (ethyl acetate: methanol / 9: 1); MALDI-TOF MS: 414.1872 (C 18 H 27 N 3 0 8 + H + requires 414.1876); 1 H NMR (CDCl 3 ) δ 7.71 (s, 1H), 7.04 (s, 1H), 5.52 (s, 2H), 3.99 (s, 3H), 3.96 (s, 3H), 3.32 (t, J = 5.5 Hz, 2H), 3.28 (s, 2H), 2.78 (t, J = 5.6 Hz, 2H), 1.47 (s, 9H); 13 C NMR (CDCl 3 ) δ 171.6, 155.9, 153.3, 147.7, 139.4, 128.3, 109.8, 107.9, 81.2, 63.2, 56.2, 51.0, 48.4, 40.6, 27.9.
[실시예2]Example 2
4-4- NN -(4-Methoxybenzoyl)cytosine(2)의 제조Preparation of-(4-Methoxybenzoyl) cytosine (2)
피리딘(100ml)에 시토신(2.5g, 22.5 mmol)을 넣은 현탁액에 4-methoxybenzoyl chloride(5.76g, 33.8 mmol)를 상온에서 첨가하고 80℃ 오일 배스에서 저어주었다. 4-methoxybenzoyl chloride (5.76 g, 33.8 mmol) was added to a suspension in which cytosine (2.5 g, 22.5 mmol) was added to pyridine (100 ml) at room temperature, followed by stirring in an 80 ° C oil bath.
시토신은 빠르게 용해되고 생성물이 용액으로부터 침전하였다. 2시간 후에 침전물을 여과시킨 후, 메탄올로 세척하고 진공에서 건조시켜 81%(4.5g)의 수득율로 흰색 가루의 화합물 2를 얻었다. Cytosine dissolves rapidly and the product precipitates out of solution. After 2 hours, the precipitate was filtered off, washed with methanol and dried in vacuo to yield Compound 2 as a white powder in a yield of 81% (4.5 g).
1H NMR (d6-DMSO) δ 8.00 (d, J = 8.9 Hz, 2H), 7.84 (d, J = 7.0 Hz, 1H), 7.22 (s, br, 1H), 7.02 (d, J = 8.9 Hz, 2H), 3.84(s, 3H) 1 H NMR (d6-DMSO) δ 8.00 (d, J = 8.9 Hz, 2H), 7.84 (d, J = 7.0 Hz, 1H), 7.22 (s, br, 1H), 7.02 (d, J = 8.9 Hz , 2H), 3.84 (s, 3H)
[실시예3]Example 3
4-4- NN -(4-Methoxybenzoyl)-1-(methoxycarbonylmethyl)cytosine(3)의 제조Preparation of-(4-Methoxybenzoyl) -1- (methoxycarbonylmethyl) cytosine (3)
0℃에서 건조된 DMF(300 ml)에 실시예 2의 화합물 2 (3.68 g,15.0 mmol)을 넣은 현탁액에 NaH(0.36g; 15.0 mmol)를 첨가하고 상기 혼합액을 1시간 동안 저어주었다. 상기 혼합액에 메틸 브로모아세테이트(methyl bromoacetate) (2.32g; 15.2 mmol/ 5ml 디클로로메탄)를 0℃에서 30분 동안 주사기를 사용하여 적가하였다. NaH (0.36 g; 15.0 mmol) was added to a suspension of Compound 2 (3.68 g, 15.0 mmol) of Example 2 in DMF (300 ml) dried at 0 ° C., and the mixture was stirred for 1 hour. Methyl bromoacetate (2.32 g; 15.2 mmol / 5 ml dichloromethane) was added dropwise to the mixture by using a syringe at 0 ° C. for 30 minutes.
상온에서 따뜻해지도록 놓아두고 1.5시간 동안 계속하여 저어준 후, 메탄올(10 ml)을 첨가하였다. 용매를 진공에서 제거하고 잔류물을 디클로로메탄과 물 사이에서 분리하였다. 유기 상을 물로 세척하고 건조(Na2SO4), 여과시킨 후 진공에서 증류시켰다. The mixture was left to warm to room temperature and stirred continuously for 1.5 hours, and then methanol (10 ml) was added. The solvent was removed in vacuo and the residue was separated between dichloromethane and water. The organic phase was washed with water, dried (Na 2 SO 4 ), filtered and distilled in vacuo.
상기 정제되지 않은 생성물을 메탄올(200 ml)에서 재결정하여 86%(4.1g)의 수득율로 흰색의 바늘 모양의 고체 결정인 화합물 3을 얻었다. The crude product was recrystallized in methanol (200 ml) to give Compound 3 as white needle-like solid crystals with a yield of 86% (4.1 g).
mp = 218-220 ℃; MALDI-TOF MS: 318.1098 (C15H15N3O5+H+ requires 318.1098); Rf =0.56 (ethyl acetate: methanol/9:1); 1HNMR (d6-DMSO) δ 11.12(s, 1H), 8.08 (d, J=7.3Hz, 1H), 8.00 (d, J = 9.0Hz, 2H), 7.32 (d, J = 7.0Hz, 1H), 7.02 (d, J = 9.0Hz, 2H), 4.66 (s, 2H), 3.77 (s, 3H), 3.54 (s, 3H); 13C NMR (d6-DMSO) δ 168.5, 166.5, 164.0, 162.9, 155.3, 150.4, 130.7, 125.1, 113.7, 96.2, 55.5, 52.3, 50.7. Anal. Calcd. for C15H15N3O5: C, 56.78; H, 4.76; N, 13.24. Found: C, 56.58; H, 4.82; N, 13.12. mp = 218-220 ° C .; MALDI-TOF MS: 318.1098 (C 15 H 15 N 3 0 5 + H + requires 318.1098); R f = 0.56 (ethyl acetate: methanol / 9: 1); 1 HNMR (d6-DMSO) δ 11.12 (s, 1H), 8.08 (d, J = 7.3 Hz, 1H), 8.00 (d, J = 9.0 Hz, 2H), 7.32 (d, J = 7.0 Hz, 1H) , 7.02 (d, J = 9.0 Hz, 2H), 4.66 (s, 2H), 3.77 (s, 3H), 3.54 (s, 3H); 13 C NMR (d6-DMSO) δ 168.5, 166.5, 164.0, 162.9, 155.3, 150.4, 130.7, 125.1, 113.7, 96.2, 55.5, 52.3, 50.7. Anal. Calcd. for C 15 H 15 N 3 O 5 : C, 56.78; H, 4.76; N, 13.24. Found: C, 56.58; H, 4. 82; N, 13.12.
[실시예4]Example 4
1-(Carboxymethyl)-4-1- (Carboxymethyl) -4- NN -(4-methoxybenzoyl)cytosine(4)의 제조Preparation of-(4-methoxybenzoyl) cytosine (4)
실시예 3의 화합물 3이 용해된 다이옥산(dioxane)(50 ml)과 물(25 ml)의 혼합 용액에 2 M의 NaOH 수용액을 상온에서 저어주면서 방울 방울 첨가하였다(pH 11-12). 메틸 에스테르의 가수 분해가 완료되면 반응 용액의 pH를 2 M의 KHSO4을 이용하여 3으로 맞추었다. To a mixed solution of dioxane (50 ml) and water (25 ml) in which compound 3 of Example 3 was dissolved was added dropwise while stirring 2 M aqueous NaOH solution at room temperature (pH 11-12). When the hydrolysis of the methyl ester was completed, the pH of the reaction solution was adjusted to 3 using 2 M KHSO 4 .
분리된 침전물을 여과시킨 후 정제되지 않은 생성물을 NaHCO3 수용액에 용해시켜 2 M의 KHSO4 를 첨가하여 재침전시켰다. 침전된 생성물은 여과시키고, 적은 양의 물로 세척한 후, 진공에서 건조시켜 95%(3.31g)의 수득율로 흰색 고체의 화합 물 4를 얻었다. The separated precipitate was filtered and the crude product was purified by NaHCO 3. It was dissolved in an aqueous solution and reprecipitated by adding 2M KHSO 4 . The precipitated product was filtered off, washed with a small amount of water and dried in vacuo to yield a white solid compound 4 with a yield of 95% (3.31 g).
Rf = 0.52 (n-butanol: acetic acid: H2O/3:1:1); 1HNMR (d6-DMSO) δ 8.09 (d, J = 7.3 Hz, 1H), 8.02 (d, J = 8.8 Hz, 2H), 7.31 (d, J = 7.5Hz, 1H), 7.03 (d, J = 8.6 Hz, 2H), 4.47 (s, 2H), 3.85(s, 3H). R f = 0.52 ( n- butanol: acetic acid: H 2 O / 3: 1: 1); 1 HNMR (d6-DMSO) δ 8.09 (d, J = 7.3 Hz, 1H), 8.02 (d, J = 8.8 Hz, 2H), 7.31 (d, J = 7.5 Hz, 1H), 7.03 (d, J = 8.6 Hz, 2H), 4.47 (s, 2H), 3.85 (s, 3H).
[실시예5]Example 5
2-2- NN -(Isobutyryl)-9-(-(Isobutyryl) -9- ( terttert -butyloxycarbonylmethyl)guanine(5)의 제조Preparation of -butyloxycarbonylmethyl) guanine (5)
건조된 DMF (250 ml)에 2-N-이소부티릴구아닌(2-N-isobutyrylguanine)(6.63 g, 30.0 mmol)을 넣은 현탁액에 NaH(0.72 g, 30.0 mmol)를 0℃에서 첨가하였다. 상기 혼합액을 1시간동안 저어준 후 tert-부틸 브로모아세테이트(tert-butyl bromoacetate)(6.44 g, 33.0 mmol)를 0℃에서 30분 동안 적가하였다. 2- N on dry DMF (250 ml) - a NaH (0.72 g, 30.0 mmol) to a suspension into the isobutyryl guanine (2- N -isobutyrylguanine) (6.63 g , 30.0 mmol) was added at 0 ℃. Then gave the mixture stirred for 1 hour, tert - butyl bromoacetate was added dropwise (tert -butyl bromoacetate) (6.44 g , 33.0 mmol) at 0 ℃ for 30 minutes.
상기 반응을 2시간 후에 적은 양의 고체 CO2 와 메탄올(5 ml)을 첨가하여 멈추었다. 상기 반응 혼합액을 진공에서 증발시키고 잔류물을 디클로메탄과 물로 처리하였다. 물 부분(water phase)을 디클로로메탄으로 재추출한 후, 디클로로메탄 부분과 합한 후, 진공에서 농축시켜 정제되지 않은 생성물을 얻었다. After 2 hours the reaction was carried out with a small amount of solid CO 2 And methanol (5 ml) were added to stop. The reaction mixture was evaporated in vacuo and the residue was treated with dichloromethane and water. The water phase was reextracted with dichloromethane, then combined with the dichloromethane portion and concentrated in vacuo to afford the crude product.
상기 정제되지 않은 생성물은 에틸 아세테이트에서 재결정하여 64%(6.46 g)의 수득율로 원하는 N9 이성질체 생성물인 화합물 5를 얻었다. The crude product was recrystallized in ethyl acetate to give compound 5, the desired N9 isomer product in a yield of 64% (6.46 g).
mp = 204-205℃ (decomp.); Rf = 0.13 (dichloromethane: Methanol/9.5:0.5); 1H NMR (CDCl3) δ 12.06 (s, 1 H), 8.87 (s, 1 H), 7.88 (s, 1 H), 4.72 (s, 2H), 2.76 (m, 1H); 1.28 (d, J = 6.8 Hz, 6H). Anal. Calcd. for C15H21N5O4: C, 53.72; H, 6.31; N, 20.88. Found: C, 53.88; H, 6.47; N, 20.75. mp = 204-205 ° C. (decomp.); R f = 0.13 (dichloromethane: Methanol / 9.5: 0.5); 1 H NMR (CDCl 3 ) δ 12.06 (s, 1 H), 8.87 (s, 1 H), 7.88 (s, 1 H), 4.72 (s, 2H), 2.76 (m, 1H); 1.28 (d, J = 6.8 Hz, 6H). Anal. Calcd. for C 15 H 21 N 5 O 4 : C, 53.72; H, 6. 31; N, 20.88. Found: C, 53.88; H, 6. 47; N, 20.75.
[실시예6]Example 6
9-(Carboxymethyl)-2-N-(isobutyryl)guanine(6)의 제조Preparation of 9- (Carboxymethyl) -2-N- (isobutyryl) guanine (6)
건조된 디클로로메탄(10 ml)에 실시예 5의 화합물 5(2.0g, 6 mmol)을 넣은 현탁액에 트리에틸실란(4.8 ml, 30 mmol)을 넣었다. 상기 혼합액을 0℃까지 식힌 후, TFA (15 ml) 를 5분 동안 첨가하였다. 30분 후에 상기 혼합액을 상온에서 따뜻해지도록 놓아두었다. Triethylsilane (4.8 ml, 30 mmol) was added to a suspension in which compound 5 (2.0 g, 6 mmol) of Example 5 was added to dried dichloromethane (10 ml). After the mixture was cooled to 0 ° C., TFA (15 ml) was added for 5 minutes. After 30 minutes, the mixture was left to warm to room temperature.
반응이 완료되면, 혼합액은 발포체(foam)가 형성되도록 진공에서 농축된다. 상기 농축물을 디에틸 에테르로 저어주고 여과시킨 후, 디에틸 에테르로 세척하고 진공에서 건조시켜 100% 수득율 (1.67g)의 원하는 화합물 6을 얻었다. When the reaction is complete, the mixture is concentrated in vacuo to form a foam. The concentrate was stirred with diethyl ether and filtered, washed with diethyl ether and dried in vacuo to afford 100% yield (1.67 g) of desired compound 6.
Rf = 0.44 (n-butanol: acetic acid: H2O/3:1:1); 1H NMR (d6-DMSO) δ 12.07 (s, 1 H), 11.69 (s, 1 H), 7.94 (s, 1 H), 4.87 (s, 2H), 2.75 (q, 1H), 1.11 (d, J = 6.8 Hz, 6H). R f = 0.44 ( n- butanol: acetic acid: H 2 O / 3: 1: 1); 1 H NMR (d6-DMSO) δ 12.07 (s, 1 H), 11.69 (s, 1 H), 7.94 (s, 1 H), 4.87 (s, 2H), 2.75 (q, 1H), 1.11 (d , J = 6.8 Hz, 6H).
[실시예7]Example 7
tert-Butyl N-[2-N-(4,5-dimethoxy-2-nitrobenzyloxycarbonyl)aminoethyl]-N-[( thymin-l-yl)acetyl] glycinate(7a)의 제조Preparation of tert-Butyl N- [2-N- (4,5-dimethoxy-2-nitrobenzyloxycarbonyl) aminoethyl] -N-[(thymin-l-yl) acetyl] glycinate (7a)
실시예 1의 화합물 1(4.13g, 10.0 mmol)이 용해된 무수 DMF (50 ml) 용액에 1-N-카복시메틸티민(1-N-carboxymethylthymine)(1.84 g, 10.0 mmol) 산을 넣어준 후, 대부분의 티민 산이 용해될 때까지 혼합액을 저어주었다. 프로필포스포닉 무수물(propylphosphonic anhydride) (10.5 ml, 50% 에틸아세테이트 용액; 10.0 mmol)과 DIEA (3.44 ml; 20 mmol)가 상온에서 상기 혼합액에 첨가되었다.After semi-carboxymethyl thymine (1- N -carboxymethylthymine) (1.84 g , 10.0 mmol) into an acid-compound of Example 1 1 (4.13g, 10.0 mmol) is dissolved in anhydrous DMF (50 ml) solution of the 1- N The mixture was stirred until most of the thymic acid dissolved. Propylphosphonic anhydride (10.5 ml, 50% ethyl acetate solution; 10.0 mmol) and DIEA (3.44 ml; 20 mmol) were added to the mixture at room temperature.
상기 혼합액을 상온에서 2시간동안 저은 후, 얼음 물(200 ml)과 포화된 NaHCO3 용액(15 ml)의 혼합액에 부었다. 상기 혼합액을 수 분 동안 격렬하게 흔들어 아주 연한 노란색의 고체 침전물을 얻었다. 상기 고체를 여과하여 수집하고 물(15 ml)과 함께 저은 후, 여과시키고 찬 물로 세척하고 진공에서 건조시켰다. The mixture was stirred at room temperature for 2 hours and then poured into a mixture of ice water (200 ml) and saturated NaHCO 3 solution (15 ml). The mixture was shaken vigorously for several minutes to give a very pale yellow solid precipitate. The solid was collected by filtration and stirred with water (15 ml), then filtered, washed with cold water and dried in vacuo.
CHCl3에서 10% 메탄올로 용출하는 플래쉬 크로마토그래피를 통해 정제하여 98%(5.68g)의 수득율로 연한 녹색의 고체 형태인 화합물 7a를 얻었다. Purification via flash chromatography eluting with 10% methanol in CHCl 3 gave Compound 7a as a pale green solid at a yield of 98% (5.68 g).
Rf = 0.50 (ethyl acetate: methanol/9:1); MALDI-TOF MS: 602.2067 (C25H33N5O11+Na+ requires 602.2074); 1H NMR (CDCl3) (two rotamers) δ 8.00 (s, 1 H), 7.97 (s, 1 H), 7.70 (s, 1 H), 7.04 and 7.02 (rotamer, 2xs, 1H), 7.00 (s, 1 H), 5.49 (s, 2H), 4.52 and 4.39 (rotamer, 2xs, 2 H), 4.09 and 3.99 (rotamer, 2xs, 2 H), 3.98 (s, 3 H), 3.96 (s, 3 H), 3.57 (t, J = 6.0 Hz, 2 H), 3.41 (t, J = 6.8 Hz, 2H), 1.92 and 1.91 (rotamer, 2xs, 3H), 1.50 and 1.46 (rotamer, 2xs, 9H); 13C NMR (CDCl3) δ 168.8, 168.5, 168.1, 167.3, 164.1, 156.2, 156.1, 153.5, 153.4, 151.1, 151.0, 148.4, 148.0, 141.2, 140.9, 140.1, 139.7, 128.1, 127.1, 111.4, 110.8, 110.5, 110.2, 108.2, 108.1, 83.7, 82.7, 64.1, 63.6, 56.5, 56.4, 51.1, 49.6, 48.7, 47.8, 39.2, 39.1, 28.0, 27.9, 12.3. R f = 0.50 (ethyl acetate: methanol / 9: 1); MALDI-TOF MS: 602.2067 (C 25 H 33 N 5 0 11 + Na + requires 602.2074); 1 H NMR (CDCl 3 ) (two rotamers) δ 8.00 (s, 1 H), 7.97 (s, 1 H), 7.70 (s, 1 H), 7.04 and 7.02 (rotamer, 2xs, 1H), 7.00 (s , 1 H), 5.49 (s, 2H), 4.52 and 4.39 (rotamer, 2xs, 2 H), 4.09 and 3.99 (rotamer, 2xs, 2 H), 3.98 (s, 3 H), 3.96 (s, 3 H ), 3.57 (t, J = 6.0 Hz, 2H), 3.41 (t, J = 6.8 Hz, 2H), 1.92 and 1.91 (rotamer, 2xs, 3H), 1.50 and 1.46 (rotamer, 2xs, 9H); 13 C NMR (CDCl 3 ) δ 168.8, 168.5, 168.1, 167.3, 164.1, 156.2, 156.1, 153.5, 153.4, 151.1, 151.0, 148.4, 148.0, 141.2, 140.9, 140.1, 139.7, 128.1, 127.1, 111.4, 110.8, 110.5, 110.2, 108.2, 108.1, 83.7, 82.7, 64.1, 63.6, 56.5, 56.4, 51.1, 49.6, 48.7, 47.8, 39.2, 39.1, 28.0, 27.9, 12.3.
[실시예8]Example 8
N-[2-N-(4,5-Dimethoxy-2-nitrobenzyloxycarbonyl)aminoethyl]-N-[(thymin-1-yl)acetyl]glycine(8a)의 제조Preparation of N- [2-N- (4,5-Dimethoxy-2-nitrobenzyloxycarbonyl) aminoethyl] -N-[(thymin-1-yl) acetyl] glycine (8a)
디클로로메탄(30 ml)에 실시예 7의 화합물 7a(10 mmol)을 넣은 현탁액에 TFA (45 ml)를 첨가하였다. 상기 반응액을 2시간 동안 상온에서 저어주어 맑은 용액을 형성하였다. 반응 혼합액을 진공에서 건조시키고 잔류 TFA는 톨루엔과 두번 동시 증류하여 제거하였다. 잔류물을 디에닐 에테르와 함께 가루로 빻아 여과시켰다. 아세톤으로부터의 재결정을 통해 정제하여 93%의 수득율(5.68g)로 연한 녹색 고체인 화합물 8a를 얻었다. To a suspension of compound 7a (10 mmol) of Example 7 in dichloromethane (30 ml) was added TFA (45 ml). The reaction solution was stirred for 2 hours at room temperature to form a clear solution. The reaction mixture was dried in vacuo and the residual TFA was removed by simultaneous distillation with toluene twice. The residue was triturated with flour with dienyl ether and filtered. Purification via recrystallization from acetone gave compound 8a as a pale green solid at 93% yield (5.68 g).
mp = 182℃ (decomp.); Rf = 0.52 (n-butanol: acetic acid: H2O/3:1:1); MALDI-TOF MS: 546.1452 (C21H25N5O11+Na+ requires 546.1448); 1H NMR (d6-DMSO) (two rotamers) δ 11.28 and 11.27 (rotamer, 2xs, 1H), 8.0 (br, 1 H), 7.92 (s, 1 H), 7.70 (s, 1 H), 7.30 and 7.26 (rotamer, 2xs, 1H), 7.20 (s, 1 H), 5.35 and 5.33 (rotamer, 2xs, 2H), 4.65 and 4.47 (rotamer, 2xs, 2H), 4.18 and 3.99 (rotamer, 2xs, 2H), 3.90 (s, 3 H), 3.87 (s, 3 H), 3.46~2.99 (br, CH2+ H2O), 1.73 (s, 3H); 13C NMR (d6-DMSO) δ 171.1, 170.7, 167.9, 167.4, 164.6, 156.1, 155.9, 153.5, 153.4, 151.1, 147.9, 147.8, 142.2, 142.1, 139.4, 139.3, 128.0, 127.6, 110.9, 110.5, 108.4, 108.3, 108.1, 62.8, 62.6, 56.3, 56.1, 49.4, 48.7, 47.9, 47.1, 38.8, 38.1, 12.0. Anal. Calcd. for C21H25N5O11: C, 48.19; H, 4.81; N, 13.38. Found: C, 48.29; H, 4.78; N, 13.24mp = 182 ° C. (decomp.); R f = 0.52 ( n- butanol: acetic acid: H 2 O / 3: 1: 1); MALDI-TOF MS: 546.1452 (C 21 H 25 N 5 0 11 + Na + requires 546.1448); 1 H NMR (d6-DMSO) (two rotamers) δ 11.28 and 11.27 (rotamer, 2xs, 1H), 8.0 (br, 1 H), 7.92 (s, 1 H), 7.70 (s, 1 H), 7.30 and 7.26 (rotamer, 2xs, 1H), 7.20 (s, 1H), 5.35 and 5.33 (rotamer, 2xs, 2H), 4.65 and 4.47 (rotamer, 2xs, 2H), 4.18 and 3.99 (rotamer, 2xs, 2H), 3.90 (s, 3H), 3.87 (s, 3H), 3.46-2.99 (br, CH 2 + H 2 O), 1.73 (s, 3H); 13 C NMR (d6-DMSO) δ 171.1, 170.7, 167.9, 167.4, 164.6, 156.1, 155.9, 153.5, 153.4, 151.1, 147.9, 147.8, 142.2, 142.1, 139.4, 139.3, 128.0, 127.6, 110.9, 110.5, 108.4 , 108.3, 108.1, 62.8, 62.6, 56.3, 56.1, 49.4, 48.7, 47.9, 47.1, 38.8, 38.1, 12.0. Anal. Calcd. for C 21 H 25 N 5 O 11 : C, 48.19; H, 4.81; N, 13.38. Found: C, 48.29; H, 4.78; N, 13.24
[실시예9]Example 9
tert-Butyl N-[2-N-(4,5-dimethoxy-2-nitrobenzyloxycarbonyl)aminoethyl]- N-{[4-N-(4-methoxy benzoyl)-cytosin-1-yl]acetyl}glycinate(7b)의 제조tert-Butyl N- [2-N- (4,5-dimethoxy-2-nitrobenzyloxycarbonyl) aminoethyl] -N-{[4-N- (4-methoxy benzoyl) -cytosin-1-yl] acetyl} glycinate (7b Manufacturing
실시예 1의 화합물 1(4.13 g, 10.0 mmol)이 용해된 에틸 아세테이트(50 ml) 용액에 실시예 4의 화합물 4(3.33g, 11.0mmol)와 TEA(2.77 ml; 20.0 mmol)를 첨가하였다. 상온에서 상기 용액에 프로필포스포닉 무수물(propylphosphonic anhydride) (9.55 ml, 50% 에틸 아세테이트 용액; 15.0 mmol)를 넣어주었다. To a solution of ethyl acetate (50 ml) in which Compound 1 (4.13 g, 10.0 mmol) was dissolved in Example 1, Compound 4 (3.33 g, 11.0 mmol) and TEA (2.77 ml; 20.0 mmol) in Example 4 were added. Propyl phosphonic anhydride (9.55 ml, 50% ethyl acetate solution; 15.0 mmol) was added to the solution at room temperature.
상기 혼합액에 TEA를 첨가함으로써 pH 를 8로 맞추고 1시간 이상 저어준 후, 진공에서 증발시켰다. 잔류물을 디클로메탄(100 ml)에 녹여 취한 후, 물로 세척하였다(3x20ml). The pH of the mixture was adjusted to 8 by adding TEA to the mixture, and the mixture was stirred for 1 hour or more, and then evaporated in vacuo. The residue was taken up in dichloromethane (100 ml) and washed with water (3 × 20 ml).
유기 층(organic phase)은 건조(Na2SO4)하여 여과시키고 진공에서 증발시켰다. 디클로로메탄에서 5% 메탄올로 용출하는 플래쉬 크로마토그래피를 통해 정제하여 87%(6.09g)의 수득율로 연한 녹색 고체인 화합물 7b를 얻었다. The organic phase was dried (Na 2 SO 4 ), filtered and evaporated in vacuo. Purification via flash chromatography eluting with 5% methanol in dichloromethane gave compound 7b as a pale green solid with a yield of 87% (6.09 g).
Rf = 0.50 (ethyl acetate: methanol/9:1); MALDI-TOF MS: 721.2439 (C32H38N6O12+Na+ requires 721.2445); 1H NMR (CDCl3) (two rotamers) δ 7.85 (d, J = 8.4Hz, 2 H), 7.71 (s, 1 H), 7.69(s, 1 H), 7.61 and 7. 58 (rotamer, 2xs, 1H), 7.10 and 7.04 (rotamer, 2xs, 1H), 6.98(d, J = 8.8 Hz, 2 H), 5.51 and 5.50 (rotamer, 2xs, 2H), 4.75 and 4.46 (rotamer, 2xs, 2 H), 4.24 and 4.02 (rotamer, 2xs, 2 H), 3.99 and 3.98 (rotamer, 2xs, 3 H), 3.95 and 3.92 (rotamer, 2xs, 3 H), 3.89 (s, 3 H), 3.66 and 3.60 (rotamer, 2xt, J = 6.0 Hz, 6.3 Hz, 2H), 3.48 and 3.41 (rotamer, 2xt, J = 6.0 Hz, 6.1 Hz, 2H), 1.51 and 1.45 (rotamer, 2xs, 9H); 13C NMR (CDCl3) δ 168.6, 168.5, 168.0, 167.1, 163.4, 162.9, 156.2, 156.1, 155.6, 153.6, 153.5, 150.2, 148.1, 147.8, 139.7, 139.5, 129.8, 128.4, 127.6, 125.0, 114.1, 114.0, 110.8, 110.0, 108.0, 107.9, 96.6, 83.5, 82.4, 63.9, 63.4, 56.6, 56.5, 56.3, 56.2, 55.5, 51.4, 49.7, 49.4, 48.8, 48.6, 39.1, 39.0, 27.9. R f = 0.50 (ethyl acetate: methanol / 9: 1); MALDI-TOF MS: 721.2439 (C 32 H 38 N 6 O 12 + Na + requires 721.2445); 1 H NMR (CDCl 3 ) (two rotamers) δ 7.85 (d, J = 8.4 Hz, 2 H), 7.71 (s, 1 H), 7.69 (s, 1 H), 7.61 and 7. 58 (rotamer, 2xs , 1H), 7.10 and 7.04 (rotamer, 2xs, 1H), 6.98 (d, J = 8.8 Hz, 2H), 5.51 and 5.50 (rotamer, 2xs, 2H), 4.75 and 4.46 (rotamer, 2xs, 2H) , 4.24 and 4.02 (rotamer, 2xs, 2 H), 3.99 and 3.98 (rotamer, 2xs, 3 H), 3.95 and 3.92 (rotamer, 2xs, 3 H), 3.89 (s, 3 H), 3.66 and 3.60 (rotamer , 2xt, J = 6.0 Hz, 6.3 Hz, 2H), 3.48 and 3.41 (rotamer, 2xt, J = 6.0 Hz, 6.1 Hz, 2H), 1.51 and 1.45 (rotamer, 2xs, 9H); 13 C NMR (CDCl 3 ) δ 168.6, 168.5, 168.0, 167.1, 163.4, 162.9, 156.2, 156.1, 155.6, 153.6, 153.5, 150.2, 148.1, 147.8, 139.7, 139.5, 129.8, 128.4, 127.6, 125.0, 114.1, 114.0, 110.8, 110.0, 108.0, 107.9, 96.6, 83.5, 82.4, 63.9, 63.4, 56.6, 56.5, 56.3, 56.2, 55.5, 51.4, 49.7, 49.4, 48.8, 48.6, 39.1, 39.0, 27.9.
[실시예10]Example 10
N-[2-N-(4,5-Dimethoxy-2-nitrobenzyloxycarbonyl)aminoethyl]-N-{[4-N-(4-methoxybenzoyl)-cytosin-1-yl]acetyl}glycine(8b)의 제조Preparation of N- [2-N- (4,5-Dimethoxy-2-nitrobenzyloxycarbonyl) aminoethyl] -N-{[4-N- (4-methoxybenzoyl) -cytosin-1-yl] acetyl} glycine (8b)
디클로로메탄 (30 ml)에 실시예 9의 화합물 7b(6.98 g, 10 mmol)을 넣은 현탁액에 TFA(30 ml)를 첨가하였다. 상기 반응액을 3시간 동안 상온에서 저어주어 맑은 용액을 형성하였다. 반응 혼합액은 진공에서 건조되고, 잔류 TFA는 톨루엔으로 두번 동시 증발시켜 제거하였다. To a suspension of compound 7b (6.98 g, 10 mmol) of Example 9 in dichloromethane (30 ml) was added TFA (30 ml). The reaction solution was stirred at room temperature for 3 hours to form a clear solution. The reaction mixture was dried in vacuo and residual TFA was removed by simultaneous evaporation twice with toluene.
잔류물을 디에틸 에테르와 함께 가루로 빻은 후 여과시켰다. 아세톤으로부터의 재결정을 통해 정제하여 92%(5.91 g)의 수득율로 화합물 8b를 얻었다.The residue was triturated with diethyl ether and filtered. Purification via recrystallization from acetone gave compound 8b in a yield of 92% (5.91 g).
mp = 204 ℃(decomp.); Rf = 0.69 (n-butanol: acetic acid: H2O/3:1:1); MALDI-TOF MS: 665.1813 (C28H30N6O12+Na+ requires 665.1819); 1H NMR (d6-DMSO) (two rotamers) δ8.00(d, J = 8.8Hz, 2 H), 7.93 and 7.60 (rotamer, 2xd, J = 7.7Hz, 5.5Hz, 1H), 7.69 and 7.55 (rotamer, 2xs, 2H), 7.43 and 7.27 (rotamer, 2xd, J = 5.9Hz, 6.9Hz, 1H), 7.21 and 7.17 (rotamer, 2xs, 2H), 7.01(d, J = 9.0 Hz, 2 H), 5.35 and 5.32 (rotamer 2xs, 2H), 4.86 and 4.68 (rotamer s, 2H), 4.27 and 4.01 (rotamer s, 2H) 3.89 and 3.88 (rotamer s, 3 H), 3.85 and 3.84 (rotamer s, 3 H), 3.83 (s, 3 H), 3.48~3.13 (br, CH2+ H2O); 13C NMR (d6-DMSO) δ 170.9, 170.5, 167.6, 167.1, 163.5, 162.8, 156.0, 155.8, 155.2, 153.4, 153.3, 150.9, 147.7, 147.6, 139.3, 139.2, 130.6, 127.9, 127.6, 125.2, 113.7, 110.8, 110.4, 108.0, 95.8, 62.7, 62.5, 56.2, 56.0, 55.5, 50.9, 49.6, 49.1, 47.7, 46.9, 38.7, 38.0. Anal. Calcd. for C28H30N6O12: C, 52.34; H, 4.71; N, 13.08. Found: C, 52.46; H, 4.77; N, 13.05.mp = 204 ° C. (decomp.); R f = 0.69 ( n- butanol: acetic acid: H 2 O / 3: 1: 1); MALDI-TOF MS: 665.1813 (C 28 H 30 N 6 0 12 + Na + requires 665.1819); 1 H NMR (d6-DMSO) (two rotamers) δ8.00 (d, J = 8.8Hz, 2H), 7.93 and 7.60 (rotamer, 2xd, J = 7.7Hz, 5.5Hz, 1H), 7.69 and 7.55 (rotamer, 2xs, 2H), 7.43 and 7.27 (rotamer , 2xd, J = 5.9Hz, 6.9Hz, 1H), 7.21 and 7.17 (rotamer, 2xs, 2H), 7.01 (d, J = 9.0 Hz, 2H), 5.35 and 5.32 (rotamer 2xs, 2H), 4.86 and 4.68 (rotamer s, 2H), 4.27 and 4.01 (rotamer s, 2H) 3.89 and 3.88 (rotamer s, 3 H), 3.85 and 3.84 (rotamer s, 3 H), 3.83 (s, 3 H), 3.48 ~ 3.13 (br, CH 2 + H 2 O); 13 C NMR (d6-DMSO) δ 170.9, 170.5, 167.6, 167.1, 163.5, 162.8, 156.0, 155.8, 155.2, 153.4, 153.3, 150.9, 147.7, 147.6, 139.3, 139.2, 130.6, 127.9, 127.6, 125.2, 113.7 , 110.8, 110.4, 108.0, 95.8, 62.7, 62.5, 56.2, 56.0, 55.5, 50.9, 49.6, 49.1, 47.7, 46.9, 38.7, 38.0. Anal. Calcd. for C 28 H 30 N 6 O 12 : C, 52.34; H, 4.71; N, 13.08. Found: C, 52.46; H, 4.77; N, 13.05.
[실시예11]Example 11
tert-Butyl N-[2-N-(4,5-dimethoxy-2-nitrobenzyloxycarbonyl)aminoethyl]- N-{[6-N-(4-methoxy benzoyl)adenin-9-yl] acetyl}glycinate(7c)의 제조tert-Butyl N- [2-N- (4,5-dimethoxy-2-nitrobenzyloxycarbonyl) aminoethyl] -N-{[6-N- (4-methoxy benzoyl) adenin-9-yl] acetyl} glycinate (7c) Manufacture
실시예 1의 화합물 1(4.13 g, 10 mmol)이 용해된 건조된 DMF (50 ml)용액에 9-N-(카보닐메틸)-6-N-(4-메톡시벤조일)아데닌(9-N-(carbonylmethyl)-6-N-(4-methoxy benzoyl)adenine)(3.27 g, 10 mmol), BOP 시약 (6.62 g, 15 mmol), HOBT (2.02 g, 15 mmol) 및 DIEA (4.30 ml, 26 mmol)를 첨가하였다. In dried DMF (50 ml) solution in which compound 1 (4.13 g, 10 mmol) of Example 1 was dissolved, 9- N- (carbonylmethyl) -6- N- (4-methoxybenzoyl) adenine (9- N- (carbonylmethyl) -6- N- (4-methoxy benzoyl) adenine) (3.27 g, 10 mmol), BOP reagent (6.62 g, 15 mmol), HOBT (2.02 g, 15 mmol) and DIEA (4.30 ml, 26 mmol) was added.
상온에서 5시간 동안 저어준 후, 상기 혼합액을 진공에서 농축시켰다. 잔류물을 에틸 아세테이트(100 ml)와 반 포화된 소금물(100 ml) 사이에서 나눈 후, 물 부분(aqueous phase)을 에틸 아세테이트(3 x 100 ml)로 추출하였다. 합쳐진 유기 추출물을 1 M 의 HC1 수용액(2 x 50ml), NaHCO3 포화 수용액 (2 x 50 ml) 및 소금물(brine, 1 x 50 ml)로 세척한 후, 건조하여(Na2SO4) 진공에서 농축시켰다.After stirring for 5 hours at room temperature, the mixture was concentrated in vacuo. The residue was partitioned between ethyl acetate (100 ml) and half saturated brine (100 ml), then the aqueous phase was extracted with ethyl acetate (3 x 100 ml). The combined organic extracts were washed with 1 M aqueous HC1 solution (2 x 50 ml), saturated aqueous NaHCO 3 (2 x 50 ml) and brine (brine, 1 x 50 ml), then dried (Na 2 SO 4 ) in vacuo. Concentrated.
디클로로메탄에서 5% 메탄올로 용출하는 플래쉬 크로마토그래피로 정제하여 87% (6.29g) 수득율로 연한 녹색 고체인 화합물 7c를 얻었다.Purification by flash chromatography eluting with 5% methanol in dichloromethane gave compound 7c as a pale green solid in 87% (6.29 g) yield.
Rf = 0.31 (ethyl acetate: methanol/9:1); MALDI-TOF MS: 723.2735 (C33H38N8O11 + H+ requires 723.2738); 1H NMR (CDCl3) (two rotamers) δ 8.90(s, 1 H), 8.71 and 8.69 (rotamer, 2xs, 1 H), 8.14 and 8.13 (rotamer, 2xs, 1 H), 7.98 (d, J = 8.6Hz, 2 H), 7.69 and 7.67 (rotamer, 2xs, 1 H), 7.02 and 7.01 (rotamer, 2xs, 1 H), 6.98 (d, J = 2.4Hz, 2 H), 5.51 and 5.47 (rotamer, 2xs, 2 H), 5.16 and 5.02 (rotamer, 2xs, 2 H), 4.22 and 3.98 (rotamer, 2xs, 2 H), 3.95 (s, 3 H), 3.93 (s, 3 H), 3.90 (s, 3 H), 3.70 and 3.60 (rotamer, 2xt, J = 6.0 , 6.1Hz, 2H), 3.50 and 3.40 (rotamer, 2xt, J =5.5, 5.7 Hz, 2 H), 1.47 and 1.45 (rotamer, 2xs, 6 H). 13C NMR (CDCl3) δ 168.6, 168.2, 167.1, 166.4, 164.2, 164.1, 163.2, 163.1, 156.3, 156.1, 153.5, 153.4, 152.4, 152.3, 151.9, 151.8, 149.5, 149.4, 148.2,147.9, 144.2, 144.0, 139.9, 139.5, 130.0, 129.9, 128.0, 127.1, 125.8, 125.7, 122.0, 121.9, 114.0, 113.9, 110.95, 110.8, 108.2, 108.0, 83.9, 82.7, 64.1, 63.6, 56.4, 56. 3, 55.5, 51.0, 50.7, 48.8, 48.6, 39.2, 38.9, 34.6, 34.5, 27.9, 27.8.R f = 0.31 (ethyl acetate: methanol / 9: 1); MALDI-TOF MS: 723.2735 (C 33 H 38 N 8 0 11 + H + requires 723.2738); 1 H NMR (CDCl 3 ) (two rotamers) δ 8.90 (s, 1 H), 8.71 and 8.69 (rotamer, 2xs, 1 H), 8.14 and 8.13 (rotamer, 2xs, 1 H), 7.98 (d, J = 8.6 Hz, 2 H), 7.69 and 7.67 (rotamer, 2xs, 1 H), 7.02 and 7.01 (rotamer, 2xs, 1 H), 6.98 (d, J = 2.4 Hz, 2 H), 5.51 and 5.47 (rotamer, 2xs, 2H), 5.16 and 5.02 (rotamer, 2xs, 2H), 4.22 and 3.98 (rotamer, 2xs, 2H), 3.95 (s, 3H), 3.93 (s, 3H), 3.90 (s, 3 H), 3.70 and 3.60 (rotamer, 2xt, J = 6.0, 6.1Hz, 2H), 3.50 and 3.40 (rotamer, 2xt, J = 5.5, 5.7 Hz, 2H), 1.47 and 1.45 (rotamer, 2xs, 6 H). 13 C NMR (CDCl 3 ) δ 168.6, 168.2, 167.1, 166.4, 164.2, 164.1, 163.2, 163.1, 156.3, 156.1, 153.5, 153.4, 152.4, 152.3, 151.9, 151.8, 149.5, 149.4, 148.2, 147.9, 144.2, 144.0, 139.9, 139.5, 130.0, 129.9, 128.0, 127.1, 125.8, 125.7, 122.0, 121.9, 114.0, 113.9, 110.95, 110.8, 108.2, 108.0, 83.9, 82.7, 64.1, 63.6, 56.4, 56. 3, 55.5, 51.0, 50.7, 48.8, 48.6, 39.2, 38.9, 34.6, 34.5, 27.9, 27.8.
[실시예12]Example 12
N-[2-N-(4,5-Dimethoxy-2-nitrobenzyloxycarbonyl)aminoethyl]-N-{[6-N-(4-methoxybenzoyl)adenin-9-yl]acetyl}glycine (8c)의 제조Preparation of N- [2-N- (4,5-Dimethoxy-2-nitrobenzyloxycarbonyl) aminoethyl] -N-{[6-N- (4-methoxybenzoyl) adenin-9-yl] acetyl} glycine (8c)
디클로로메탄(30 ml)에 실시예 11의 화합물 7c (7.22 g, 10 mmol)를 넣은 현 탁액에 TFA (30 ml)가 첨가되었다. 상기 혼합액을 상온에서 2.5시간 동안 저어 맑은 용액을 형성하였다. TFA (30 ml) was added to a suspension containing compound 7c (7.22 g, 10 mmol) of Example 11 in dichloromethane (30 ml). The mixture was stirred for 2.5 hours at room temperature to form a clear solution.
상기 반응 혼합액을 진공에서 건조시키고 잔류 TFA를 톨루엔으로 두번 동시 증발시켜 제거하였다. 상기 잔류물을 디에틸 에테르와 함께 가루로 빻은 후 여과시켰다. 메탄올로부터의 재결정을 통하여 정제하여 95%(6.33g)의 수득율로 연한 녹색 고체인 8c 화합물을 얻었다. The reaction mixture was dried in vacuo and the residual TFA was removed by simultaneous evaporation twice with toluene. The residue was triturated with diethyl ether and filtered. Purification via recrystallization from methanol gave 8c compound as a pale green solid with a yield of 95% (6.33 g).
mp = 200℃(decomp.); Rf = 0.49 (n-butanol: acetic acid: H2O/3:1:1); MALDI-TOF MS: 689.1935 (C29H30N8O11 + Na+ requires 689.1931); 1H NMR (d6-DMSO) (two rotamers) δ 11.0(s, 1 H), 8.65 and 8.62 (rotamer, 2xs, 1 H), 8.31 (s, 1 H), 8.04 (d, J = 8.8Hz, 2 H), 7.68 (s, 1 H), 7.21 and 7.17 (rotamer, 2xs, 1 H), 7.06 (d, J = 8.6Hz, 2 H), 5.39 and 5.35 (rotamer, 2xs, 2 H), 5.15 (s, 2 H), 3.97~3.84 (m, 11 H), 3.41~3.17 (br, CH2+ H2O). 13C NMR (d6-DMSO) δ 170.9, 170.5, 167.1, 165.2, 162.7, 156.2, 155.9, 153.4, 153.3, 152.7, 151.5, 150.2, 147.8, 147.7, 145.4, 139.5,139.3, 130.7, 127.9, 127.5, 125.6, 124.5, 113.7, 110.9, 110.5, 108.1, 62.8, 62.5, 56.2, 56.1, 55.5, 50.0, 49.2, 47.8, 47.0, 44.2, 44.0, 35.7. Anal. Calcd. for C29H30N8O11: C, 52.25; H, 4.54; N, 16.81. Found: C, 52.28; H, 4.59; N, 16.79.mp = 200 ° C. (decomp.); R f = 0.49 ( n- butanol: acetic acid: H 2 O / 3: 1: 1); MALDI-TOF MS: 689.1935 (C 29 H 30 N 8 0 11 + Na + requires 689.1931); 1 H NMR (d6-DMSO) (two rotamers) δ 11.0 (s, 1 H), 8.65 and 8.62 (rotamer, 2xs, 1 H), 8.31 (s, 1 H), 8.04 (d, J = 8.8 Hz, 2 H), 7.68 (s, 1 H), 7.21 and 7.17 (rotamer, 2xs, 1 H), 7.06 ( d , J = 8.6 Hz, 2 H), 5.39 and 5.35 (rotamer, 2xs, 2 H), 5.15 (s, 2H), 3.97-3.84 (m, 11H), 3.41-3.17 (br, CH 2 + H 2 O). 13 C NMR (d6-DMSO) δ 170.9, 170.5, 167.1, 165.2, 162.7, 156.2, 155.9, 153.4, 153.3, 152.7, 151.5, 150.2, 147.8, 147.7, 145.4, 139.5, 139.3, 130.7, 127.9, 127.5, 125.6 , 124.5, 113.7, 110.9, 110.5, 108.1, 62.8, 62.5, 56.2, 56.1, 55.5, 50.0, 49.2, 47.8, 47.0, 44.2, 44.0, 35.7. Anal. Calcd. for C 29 H 30 N 8 O 11 : C, 52.25; H, 4.54; N, 16.81. Found: C, 52.28; H, 4.59; N, 16.79.
[실시예13]Example 13
tert-Butyl N-[2-N-(4,5-dimethoxy-2-nitrobenzyloxycarbonyl) aminoethyl]-N-{[2-N-(isobutyryl)gu anin-9-yl]acetyl}glycinate (7d)의 제조Preparation of tert-Butyl N- [2-N- (4,5-dimethoxy-2-nitrobenzyloxycarbonyl) aminoethyl] -N-{[2-N- (isobutyryl) gu anin-9-yl] acetyl} glycinate (7d)
실시예 1의 화합물 1(4.13 g, 10 mmol)과 실시예 6의 화합물 6(3.27 g, 10 mmol)이 용해된 무수 DMF (50 ml) 용액에 BOP 시약 (6.62 g, 12.5 mmol), HOBT (2.02 g, 12.5 mmol) 및 DIEA (4.30 ml, 15. 0 mmol)가 첨가되었다. In anhydrous DMF (50 ml) solution in which compound 1 (4.13 g, 10 mmol) of Example 1 and compound 6 (3.27 g, 10 mmol) of Example 6 were dissolved, BOP reagent (6.62 g, 12.5 mmol), HOBT ( 2.02 g, 12.5 mmol) and DIEA (4.30 ml, 15.0 mmol) were added.
4.5시간동안 상온에서 저어준 후, 상기 혼합액을 진공에서 농축시켰다. 잔류물을 디클로로메탄(150 ml)과 반 포화된 소금물(brine, 150 ml) 사이에서 분리시키고 물 부분(aqueous phase)을 에틸 아세테이트(3 x 100 ml)로 추출하였다. 합쳐진 유기 추출물을 HC1 1 M 수용액 (2 x 100 ml), NaHCO3 포화 수용액(2 x 100 ml), 소금물 (1 x 100 ml)로 세척한 후, 건조시켜(Na2SO4) 진공에서 농축하였다.After stirring at room temperature for 4.5 hours, the mixture was concentrated in vacuo. The residue was separated between dichloromethane (150 ml) and half saturated brine (150 ml) and the aqueous phase was extracted with ethyl acetate (3 × 100 ml). The combined organic extracts were washed with HC1 1 M aqueous solution (2 × 100 ml), saturated aqueous NaHCO 3 (2 × 100 ml), brine (1 × 100 ml), dried (Na 2 SO 4 ) and concentrated in vacuo. .
디클로로메탄에서 10% 메탄올로 용출하는 플래쉬 크로마토그래피를 통해 정제하여 81%(5.46g)의 수득율로 연한 녹색 고체인 화합물 7d를 얻었다. Purification via flash chromatography eluting with dichloromethane in 10% methanol gave compound 7d as a pale green solid at a yield of 81% (5.46 g).
Rf = 0.11 (ethyl acetate: methanol/9:1); MALDI-TOF MS: 675.2736 (C29H38N8O11 + H+ requires 675.2738); 1H NMR (CDCl3) (two rotamers) δ 12.11 and 12.05 (rotamer, 2xs, 1H), 7.96 and 7.84 (rotamer, 2xs, 1H), 7.66 and 7.63 (rotamer, 2xs, 1H), 7.07 and 6.97 (rotamer, 2xs, 1H), 5.53 and 5.48 (rotamer, 2xs, 2H), 5.01 and 4.98 (rotamer, 2xs, 2H), 4.02 and 3.97 (rotamer, 2xs, 2H), 3.94 (s, br, 6H should be 2 peaks but shielded by itself), 3.64 (m, 2H), 3.56 and 3.48(rotamer, 2xt, J = 6.5, 7.0 Hz, 2H), 2.66 (rotamer, 2xq, J = 7.7, 7.0 Hz, 1H), 1.49 and 1.42 (rotamer, 2xs, 9H), 1.24 and 1.21 (rotamer, 2xd, J = 3.1, 3.1Hz, 6H). 13C NMR (CDCl3) δ 179.5, 179.4, 168.6, 168.3, 167.3, 166.6, 156.6, 156.5, 155.5, 155.4, 153.7, 153.3, 148.8, 148.7, 148.2, 148.1, 140.6, 140.1, 139.9, 127.6, 127.5, 119.4, 119.3, 111.9, 110.5, 108.2, 108.1, 82.8, 82.6, 65.0, 64.0, 56.5,56.4, 49.6, 49.5, 48.6, 48.3, 39.5, 39.3, 35.1, 34.9,30.0, 29.7, 28.0, 27.9, 18.9, 18.8.R f = 0.11 (ethyl acetate: methanol / 9: 1); MALDI-TOF MS: 675.2736 (C 29 H 38 N 8 0 11 + H + requires 675.2738); 1 H NMR (CDCl 3 ) (two rotamers) δ 12.11 and 12.05 (rotamer, 2xs, 1H), 7.96 and 7.84 (rotamer, 2xs, 1H), 7.66 and 7.63 (rotamer, 2xs, 1H), 7.07 and 6.97 (rotamer , 2xs, 1H), 5.53 and 5.48 (rotamer, 2xs, 2H), 5.01 and 4.98 (rotamer, 2xs, 2H), 4.02 and 3.97 (rotamer, 2xs, 2H), 3.94 (s, br, 6H should be 2 peaks but shielded by itself), 3.64 (m, 2H), 3.56 and 3.48 (rotamer, 2xt, J = 6.5, 7.0 Hz, 2H), 2.66 (rotamer, 2xq, J = 7.7, 7.0 Hz, 1H), 1.49 and 1.42 (rotamer, 2xs, 9H), 1.24 and 1.21 (rotamer, 2xd, J = 3.1, 3.1 Hz, 6H). 13 C NMR (CDCl 3 ) δ 179.5, 179.4, 168.6, 168.3, 167.3, 166.6, 156.6, 156.5, 155.5, 155.4, 153.7, 153.3, 148.8, 148.7, 148.2, 148.1, 140.6, 140.1, 139.9, 127.6, 127.5, 119.4, 119.3, 111.9, 110.5, 108.2, 108.1, 82.8, 82.6, 65.0, 64.0, 56.5, 56.4, 49.6, 49.5, 48.6, 48.3, 39.5, 39.3, 35.1, 34.9, 30.0, 29.7, 28.0, 27.9, 18.9, 18.8.
[실시예14]Example 14
N-[2-N-(4, 5-Dimethoxy-2-nitrobenzyloxycarbonyl)aminoethyl]-N-{[2-N- (isobutyryl)guanin-9-yl] acetyl}glycine (8d)의 제조Preparation of N- [2-N- (4,5-Dimethoxy-2-nitrobenzyloxycarbonyl) aminoethyl] -N-{[2-N- (isobutyryl) guanin-9-yl] acetyl} glycine (8d)
디클로로메탄(20 ml)에 실시예 13의 화합물 7d(6.74 g, 10mmol)를 넣은 현탁액에 TFA (30 ml)을 첨가하였다. 3.5시간동안 상온에서 저어주어 맑은 용액을 형성하였다. TFA (30 ml) was added to a suspension in which compound 7d (6.74 g, 10 mmol) of Example 13 was added to dichloromethane (20 ml). Stir at room temperature for 3.5 hours to form a clear solution.
상기 반응 혼합액을 진공에서 건조시키고 잔류 TFA를 톨루엔으로 두 번 동시 증류하여 제거하였다. 잔류물은 디에틸에테르와 함께 가루로 빻아 여과시켰다. 메탄올로부터 재결정을 통해 정제하여 90%(5.57g)의 수득율로 연한 녹색의 고체인 화합물 8d를 얻었다. The reaction mixture was dried in vacuo and the residual TFA was removed by simultaneous distillation twice with toluene. The residue was triturated with diethyl ether and filtered. Purification via recrystallization from methanol gave compound 8d as a pale green solid at a yield of 90% (5.57 g).
mp = 227℃ (decomp.); Rf = 0.46 (n-butanol: acetic acid: H2O/3:1:1) MALDI-TOF MS, m/z 619.2110 (C25H30N8O11 + H+ requires 619.2112), 1H NMR (d6-DMSO) (two rotamers) δ 11.69 and 11.62 (rotamer, 2xs, 1H), 7.81 (s, 1H), 7.67 and 7.64 (rotamer, 2xs, 1H), 7.19 and 7.13 (rotamer, 2xs, 1H), 5.34 and 5.31 (rotamer, 2xs, 2H), 5.11 and 4.94 (rotamer, 2xs, 2H), 4.01 and 3.84 (rotamer, 2xs, 2H), 3.88 and 3.85 (2xs, 6H), 3.51 and 3.34 and 3.17 (3xbr, CH2+ H2O), 2.74 (m, 1H), 1.08 (d, J = 6.8Hz, 6H). 13C NMR (d6-DMSO) δ 180.2, 180.1 171.1, 170.6, 167.1, 166.5, 156.1, 155.8, 155.0,154.9, 153.4, 153.3, 149.3, 148.0, 147.9, 147.7, 140.6 139.5, 139.2, 127.8, 127.3, 119.6, 111.1, 110.5, 108.1, 108.0, 62.8, 62.7, 56.2, 56.1, 49.6, 49.5, 47.1, 46.9, 44.1, 44.0, 34.8, 34.7, 31.0, 30.9, 18.9, 18.8. Anal. Calcd. for C25H30N8O11: C, 48.54; H, 4.89; N, 18.12. Found: C, 48.58; H, 4.81; N, 18.08.mp = 227 ° C. (decomp.); R f = 0.46 ( n -butanol: acetic acid: H 2 O / 3: 1: 1) MALDI-TOF MS, m / z 619.2110 (C 25 H 30 N 8 O 11 + H + requires 619.2112), 1 H NMR (d6-DMSO) (two rotamers) δ 11.69 and 11.62 (rotamer, 2xs, 1H), 7.81 (s, 1H), 7.67 and 7.64 (rotamer, 2xs, 1H), 7.19 and 7.13 (rotamer, 2xs, 1H), 5.34 and 5.31 (rotamer, 2xs, 2H), 5.11 and 4.94 (rotamer, 2xs, 2H), 4.01 and 3.84 (rotamer, 2xs, 2H), 3.88 and 3.85 (2xs, 6H), 3.51 and 3.34 and 3.17 (3xbr, CH 2 + H 2 O), 2.74 (m, 1H), 1.08 (d, J = 6.8 Hz, 6H). 13 C NMR (d6-DMSO) δ 180.2, 180.1 171.1, 170.6, 167.1, 166.5, 156.1, 155.8, 155.0, 154.9, 153.4, 153.3, 149.3, 148.0, 147.9, 147.7, 140.6 139.5, 139.2, 127.8, 127.3, 119.6 , 111.1, 110.5, 108.1, 108.0, 62.8, 62.7, 56.2, 56.1, 49.6, 49.5, 47.1, 46.9, 44.1, 44.0, 34.8, 34.7, 31.0, 30.9, 18.9, 18.8. Anal. Calcd. for C 25 H 30 N 8 O 11 : C, 48.54; H, 4.89; N, 18.12. Found: C, 48.58; H, 4.81; N, 18.08.
본 발명에서 NVOC(o-nitroveratryloxycarbonyl) 그룹과 염기로부터 유리될 수 있는 아실 타입의 핵산 염기 보호 그룹들의 다양한 조합을 통하여 PNA(peptide) 단량체가 합성된다. 상기 핵산 염기 보호 그룹으로는 아데닌과 시토신에는 아니 솔(anisoyl), 구아닌에는 이소부티릴(isobutyryl)기가 사용된다. In the present invention, a PNA monomer is synthesized through various combinations of an o- nitroveratryloxycarbonyl (NVOC) group and a nucleic acid base protecting group of an acyl type that may be liberated from a base. As the nucleic acid base protecting group, an anisole (anisoyl) for adenine and cytosine, and an isobutyryl group for guanine are used.
본 발명의 PNA 단량체를 이용하여 포토리소그래픽(photolithographic) 올리고뉴클레오티드 합성에 적합한 고체상 PNA 합성을 할 수 있으며, 트리플루오르아세트 산 또는 피페리딘과 같은 디프로텍션(deprotection) 시약을 사용하지 않음으로써 중성 배지에서 PNA 미세배열의 원위치 합성을 할 수 있다. Solid phase PNA synthesis suitable for photolithographic oligonucleotide synthesis can be performed using the PNA monomer of the present invention, and neutral media can be avoided by using no deprotection reagent such as trifluoroacetic acid or piperidine. In situ synthesis of PNA microarrays at
또한 본 발명에 따른 PNA 단량체 합성 방법을 통하여 1-(카복시메틸)-4-N-(4-메톡시벤조일)시토신(1-(Carboxymethyl)-4-N-(4-methoxybenzoyl)cytosine)과 9-(카복시메틸)-2-N-(이소부티릴)구아닌(9-(carboxymethyl)-2-N-(isobutyryl)guanine )을 높은 생산율로 제조할 수 있다. In addition, 1- (carboxymethyl) -4-N- (4-methoxybenzoyl) cytosine (1- (Carboxymethyl) -4-N- (4-methoxybenzoyl) cytosine) and 9 through the PNA monomer synthesis method according to the present invention. -(Carboxymethyl) -2-N- (isobutyryl) guanine (9- (carboxymethyl) -2-N- (isobutyryl) guanine) can be prepared at high production rates.
Claims (9)
Priority Applications (1)
| Application Number | Priority Date | Filing Date | Title |
|---|---|---|---|
| KR1020050059458A KR20070003463A (en) | 2005-07-02 | 2005-07-02 | Peptide Nucleic Acid Monomer Having a Photodegradable Protecting Group |
Applications Claiming Priority (1)
| Application Number | Priority Date | Filing Date | Title |
|---|---|---|---|
| KR1020050059458A KR20070003463A (en) | 2005-07-02 | 2005-07-02 | Peptide Nucleic Acid Monomer Having a Photodegradable Protecting Group |
Publications (1)
| Publication Number | Publication Date |
|---|---|
| KR20070003463A true KR20070003463A (en) | 2007-01-05 |
Family
ID=37870315
Family Applications (1)
| Application Number | Title | Priority Date | Filing Date |
|---|---|---|---|
| KR1020050059458A Ceased KR20070003463A (en) | 2005-07-02 | 2005-07-02 | Peptide Nucleic Acid Monomer Having a Photodegradable Protecting Group |
Country Status (1)
| Country | Link |
|---|---|
| KR (1) | KR20070003463A (en) |
-
2005
- 2005-07-02 KR KR1020050059458A patent/KR20070003463A/en not_active Ceased
Similar Documents
| Publication | Publication Date | Title |
|---|---|---|
| US8445734B2 (en) | Photolabile protective groups for improved processes to prepare oligonucleotide arrays | |
| US6359125B1 (en) | Process for preparing peptide nucleic acid probe using polymeric photoacid generator | |
| US4812512A (en) | Supports and their use | |
| EP1956028B1 (en) | Photolabile compound, oligomer probe array and substrate for oligomer probe array containing the same, and manufacturing method of the same | |
| KR100464261B1 (en) | A Novel Monomer For Synthesis of PNA Oligomer And A Process For Producing The Same | |
| EP3428287A1 (en) | Conformationally-preorganized, minipeg-containing gamma-peptide nucleic acids | |
| EP0876390B1 (en) | Reusable solid support for oligonucleotide synthesis, process for production thereof and process for use thereof | |
| JPH11209393A (en) | PNA combinatorial library and method of improving synthesis | |
| JP4012145B2 (en) | Solid phase synthesis of pyrrole-imidazole polyamide | |
| Liu et al. | Synthesis of photolabile o-nitroveratryloxycarbonyl (NVOC) protected peptide nucleic acid monomers | |
| US6756492B1 (en) | Nucleoside derivatives with photo-unstable protective groups | |
| US6043353A (en) | Reusable solid support for oligonucleotide synthesis, process for production thereof and process for use thereof | |
| JPWO2002086160A1 (en) | Hybridization probe | |
| US6489466B2 (en) | C-3′ protected monomeric nucleotides and synthesis of oligonucleotides on solid support | |
| US6770754B2 (en) | Universal supports for oligonucleotide synthesis | |
| KR20070003463A (en) | Peptide Nucleic Acid Monomer Having a Photodegradable Protecting Group | |
| US7432368B2 (en) | Photolabile protecting groups | |
| CN117624266A (en) | Liver targeting compound, oligonucleotide conjugate thereof, coupling method and application | |
| JPH10509185A (en) | Combinatorial library having aminodiol monomer subunits | |
| US9790243B2 (en) | Photocleavable linker molecules with diarylsulphide backbone for transient bioconjugate synthesis | |
| US6541626B2 (en) | Process for selective N-acylation of purine nucleosides | |
| Sinyakov et al. | Linkers for oligonucleotide microarray synthesis | |
| EP1397377B1 (en) | Calix (4) arene-nucleoside and calix (4) arene-oligonucleotide hybrids | |
| CN117480008A (en) | Electrografting membranes for DNA synthesis | |
| KR100464264B1 (en) | Novel PNA Monomer Having Photo-labile Protecting Group |
Legal Events
| Date | Code | Title | Description |
|---|---|---|---|
| PA0109 | Patent application |
Patent event code: PA01091R01D Comment text: Patent Application Patent event date: 20050702 |
|
| PG1501 | Laying open of application | ||
| A201 | Request for examination | ||
| PA0201 | Request for examination |
Patent event code: PA02012R01D Patent event date: 20100625 Comment text: Request for Examination of Application Patent event code: PA02011R01I Patent event date: 20050702 Comment text: Patent Application |
|
| PE0902 | Notice of grounds for rejection |
Comment text: Notification of reason for refusal Patent event date: 20120528 Patent event code: PE09021S01D |
|
| E601 | Decision to refuse application | ||
| PE0601 | Decision on rejection of patent |
Patent event date: 20120830 Comment text: Decision to Refuse Application Patent event code: PE06012S01D Patent event date: 20120528 Comment text: Notification of reason for refusal Patent event code: PE06011S01I |




























































