KR102449350B1 - A system for providing an inventory management service and a method for operating the same - Google Patents
A system for providing an inventory management service and a method for operating the same Download PDFInfo
- Publication number
- KR102449350B1 KR102449350B1 KR1020210193668A KR20210193668A KR102449350B1 KR 102449350 B1 KR102449350 B1 KR 102449350B1 KR 1020210193668 A KR1020210193668 A KR 1020210193668A KR 20210193668 A KR20210193668 A KR 20210193668A KR 102449350 B1 KR102449350 B1 KR 102449350B1
- Authority
- KR
- South Korea
- Prior art keywords
- specific product
- product
- sales volume
- specific
- artificial intelligence
- Prior art date
- Legal status (The legal status is an assumption and is not a legal conclusion. Google has not performed a legal analysis and makes no representation as to the accuracy of the status listed.)
- Active
Links
Images
Classifications
-
- G—PHYSICS
- G06—COMPUTING OR CALCULATING; COUNTING
- G06Q—INFORMATION AND COMMUNICATION TECHNOLOGY [ICT] SPECIALLY ADAPTED FOR ADMINISTRATIVE, COMMERCIAL, FINANCIAL, MANAGERIAL OR SUPERVISORY PURPOSES; SYSTEMS OR METHODS SPECIALLY ADAPTED FOR ADMINISTRATIVE, COMMERCIAL, FINANCIAL, MANAGERIAL OR SUPERVISORY PURPOSES, NOT OTHERWISE PROVIDED FOR
- G06Q10/00—Administration; Management
- G06Q10/06—Resources, workflows, human or project management; Enterprise or organisation planning; Enterprise or organisation modelling
- G06Q10/063—Operations research, analysis or management
- G06Q10/0631—Resource planning, allocation, distributing or scheduling for enterprises or organisations
- G06Q10/06313—Resource planning in a project environment
-
- G—PHYSICS
- G06—COMPUTING OR CALCULATING; COUNTING
- G06N—COMPUTING ARRANGEMENTS BASED ON SPECIFIC COMPUTATIONAL MODELS
- G06N20/00—Machine learning
-
- G—PHYSICS
- G06—COMPUTING OR CALCULATING; COUNTING
- G06Q—INFORMATION AND COMMUNICATION TECHNOLOGY [ICT] SPECIALLY ADAPTED FOR ADMINISTRATIVE, COMMERCIAL, FINANCIAL, MANAGERIAL OR SUPERVISORY PURPOSES; SYSTEMS OR METHODS SPECIALLY ADAPTED FOR ADMINISTRATIVE, COMMERCIAL, FINANCIAL, MANAGERIAL OR SUPERVISORY PURPOSES, NOT OTHERWISE PROVIDED FOR
- G06Q10/00—Administration; Management
- G06Q10/06—Resources, workflows, human or project management; Enterprise or organisation planning; Enterprise or organisation modelling
- G06Q10/063—Operations research, analysis or management
- G06Q10/0637—Strategic management or analysis, e.g. setting a goal or target of an organisation; Planning actions based on goals; Analysis or evaluation of effectiveness of goals
- G06Q10/06375—Prediction of business process outcome or impact based on a proposed change
-
- G—PHYSICS
- G06—COMPUTING OR CALCULATING; COUNTING
- G06Q—INFORMATION AND COMMUNICATION TECHNOLOGY [ICT] SPECIALLY ADAPTED FOR ADMINISTRATIVE, COMMERCIAL, FINANCIAL, MANAGERIAL OR SUPERVISORY PURPOSES; SYSTEMS OR METHODS SPECIALLY ADAPTED FOR ADMINISTRATIVE, COMMERCIAL, FINANCIAL, MANAGERIAL OR SUPERVISORY PURPOSES, NOT OTHERWISE PROVIDED FOR
- G06Q10/00—Administration; Management
- G06Q10/06—Resources, workflows, human or project management; Enterprise or organisation planning; Enterprise or organisation modelling
- G06Q10/063—Operations research, analysis or management
- G06Q10/0639—Performance analysis of employees; Performance analysis of enterprise or organisation operations
-
- G—PHYSICS
- G06—COMPUTING OR CALCULATING; COUNTING
- G06Q—INFORMATION AND COMMUNICATION TECHNOLOGY [ICT] SPECIALLY ADAPTED FOR ADMINISTRATIVE, COMMERCIAL, FINANCIAL, MANAGERIAL OR SUPERVISORY PURPOSES; SYSTEMS OR METHODS SPECIALLY ADAPTED FOR ADMINISTRATIVE, COMMERCIAL, FINANCIAL, MANAGERIAL OR SUPERVISORY PURPOSES, NOT OTHERWISE PROVIDED FOR
- G06Q10/00—Administration; Management
- G06Q10/08—Logistics, e.g. warehousing, loading or distribution; Inventory or stock management
- G06Q10/083—Shipping
-
- G—PHYSICS
- G06—COMPUTING OR CALCULATING; COUNTING
- G06Q—INFORMATION AND COMMUNICATION TECHNOLOGY [ICT] SPECIALLY ADAPTED FOR ADMINISTRATIVE, COMMERCIAL, FINANCIAL, MANAGERIAL OR SUPERVISORY PURPOSES; SYSTEMS OR METHODS SPECIALLY ADAPTED FOR ADMINISTRATIVE, COMMERCIAL, FINANCIAL, MANAGERIAL OR SUPERVISORY PURPOSES, NOT OTHERWISE PROVIDED FOR
- G06Q10/00—Administration; Management
- G06Q10/08—Logistics, e.g. warehousing, loading or distribution; Inventory or stock management
- G06Q10/087—Inventory or stock management, e.g. order filling, procurement or balancing against orders
Landscapes
- Business, Economics & Management (AREA)
- Human Resources & Organizations (AREA)
- Engineering & Computer Science (AREA)
- Economics (AREA)
- Strategic Management (AREA)
- Entrepreneurship & Innovation (AREA)
- Theoretical Computer Science (AREA)
- Development Economics (AREA)
- Physics & Mathematics (AREA)
- General Physics & Mathematics (AREA)
- Educational Administration (AREA)
- Marketing (AREA)
- Operations Research (AREA)
- Quality & Reliability (AREA)
- Tourism & Hospitality (AREA)
- General Business, Economics & Management (AREA)
- Game Theory and Decision Science (AREA)
- Software Systems (AREA)
- Medical Informatics (AREA)
- Artificial Intelligence (AREA)
- Computer Vision & Pattern Recognition (AREA)
- Data Mining & Analysis (AREA)
- Evolutionary Computation (AREA)
- Accounting & Taxation (AREA)
- Finance (AREA)
- Computing Systems (AREA)
- General Engineering & Computer Science (AREA)
- Mathematical Physics (AREA)
- Life Sciences & Earth Sciences (AREA)
- Biodiversity & Conservation Biology (AREA)
- Electrical Discharge Machining, Electrochemical Machining, And Combined Machining (AREA)
Abstract
본 발명의 다양한 실시예는, 인공지능 모델을 이용하여 재고 관리 서비스를 제공하는 시스템 및 그 동작 방법에 관한 것이다.Various embodiments of the present invention relate to a system for providing an inventory management service using an artificial intelligence model and an operating method thereof.
Description
본 발명은 재고 관리 서비스에 관한 것이다.The present invention relates to an inventory management service.
또한 본 발명의 다양한 실시예는, 인공지능 모델을 이용하여 재고 관리 서비스를 제공하는 시스템 및 그 동작 방법에 관한 것이다.In addition, various embodiments of the present invention relate to a system for providing an inventory management service using an artificial intelligence model and an operating method thereof.
최근 들어, 인터넷이 연령, 지역 등을 불문하고 광범위하게 확산됨에 따라, 이러한 인터넷망을 이용하여 수익을 창출하기 위한 여러 가지 사업이 출현하고 또 확대되고 있다. 그 중에서도 전자상거래 시스템, 특히 인터넷을 이용한 쇼핑몰이 각종 포털 사이트를 비롯하여 우후죽순으로 생겨나고 있다.In recent years, as the Internet spreads widely regardless of age or region, various businesses for generating profits using the Internet network are emerging and expanding. Among them, e-commerce systems, particularly shopping malls using the Internet, are emerging in rapid succession, including various portal sites.
특히 단순히 여러 상품들이 인터넷 사이트에 게시되어 구매자가 이를 보고 그 상품들을 구매할 수 있도록 하는 단순한 인터넷 쇼핑몰 외에도 다양한 영업 내지 마켓팅 능력 및 자본에 기초하여 여러 가지 사업 방식의 쇼핑몰들이 생겨나고 있다.In particular, in addition to a simple Internet shopping mall in which several products are simply posted on an Internet site so that buyers can view and purchase the products, shopping malls of various business methods are emerging based on various sales or marketing capabilities and capital.
예컨대, 특정 인터넷 사이트에 판매자가 입점을 하여 물품을 팔고 판매 수수료를 결재하는 방식의 모델, 인터넷 사이트 내에 쇼핑몰을 원하는 사업자에게 분배하고, 회원 매출을 통해 수당을 지급하는 사업 모델, 인터넷 상에서 독립적인 소호몰(SOHO mall, Small Office Home Office mall)을 구축하여 개별 운영하는 모델, 특정의 포털 사이트에 단순히 자신의 쇼핑몰 사이트를 링크하여 인지도가 높은 포털 사이트에 들어온 소비자가 상품을 검색하여 구매하도록 하는 모델 등 다양한 쇼핑몰 운영 방식이 제안되고 있다.For example, a model in which a seller enters a specific Internet site, sells goods and pays a sales commission, a business model in which a shopping mall is distributed to a business operator who wants a shopping mall in the Internet site and pays a allowance through member sales, an independent Soho Mall on the Internet (SOHO mall, Small Office Home Office mall) is built and operated individually, and a model that allows consumers who enter a well-known portal site to search for and purchase products by simply linking their own shopping mall site to a specific portal site. A shopping mall operation method is being proposed.
또한, 근래에는 인간 수준의 지능을 구현하는 인공 지능 시스템이 다양한 분야에서 이용되고 있다. 인공 지능 시스템은 기존의 룰(rule) 기반 스마트 시스템과 달리 기계가 스스로 학습하고 판단하며 똑똑해지는 시스템이다. 인공 지능 시스템은 사용할수록 인식률이 향상되고 사용자 취향을 보다 정확하게 이해할 수 있게 되어, 기존 룰 기반 스마트 시스템은 점차 딥러닝 기반 인공 지능 시스템으로 대체되고 있다.Also, in recent years, artificial intelligence systems that implement human-level intelligence have been used in various fields. Unlike the existing rule-based smart system, an artificial intelligence system is a system in which a machine learns, judges, and becomes smarter by itself. The more the artificial intelligence system is used, the better the recognition rate and the more accurate understanding of user preferences, and the existing rule-based smart systems are gradually being replaced by deep learning-based artificial intelligence systems.
인공 지능 기술은 기계학습(예로, 딥러닝) 및 기계학습을 활용한 요소 기술들로 구성된다.Artificial intelligence technology consists of machine learning (eg, deep learning) and elemental technologies using machine learning.
기계학습은 입력 데이터들의 특징을 스스로 분류/학습하는 알고리즘 기술이며, 요소기술은 딥러닝 등의 기계학습 알고리즘을 활용하여 인간 두뇌의 인지, 판단 등의 기능을 모사하는 기술로서, 언어적 이해, 시각적 이해, 추론/예측, 지식 표현, 동작 제어 등의 기술 분야로 구성된다.Machine learning is an algorithm technology that categorizes/learns the characteristics of input data by itself, and element technology uses machine learning algorithms such as deep learning to simulate functions such as cognition and judgment of the human brain. It consists of technical fields such as understanding, reasoning/prediction, knowledge expression, and motion control.
인공 지능 기술이 응용되는 다양한 분야는 다음과 같다. 언어적 이해는 인간의 언어/문자를 인식하고 응용/처리하는 기술로서, 자연어 처리, 기계 번역, 대화시스템, 질의 응답, 음성 인식/합성 등을 포함한다. 시각적 이해는 사물을 인간의 시각처럼 인식하여 처리하는 기술로서, 객체 인식, 객체 추적, 영상 검색, 사람 인식, 장면 이해, 공간 이해, 영상 개선 등을 포함한다. 추론 예측은 정보를 판단하여 논리적으로 추론하고 예측하는 기술로서, 지식/확률 기반 추론, 최적화 예측, 선호 기반 계획, 추천 등을 포함한다. 지식 표현은 인간의 경험정보를 지식데이터로 자동화 처리하는 기술로서, 지식 구축(데이터 생성/분류), 지식 관리(데이터 활용) 등을 포함한다. 동작 제어는 차량의 자율 주행, 로봇의 움직임을 제어하는 기술로서, 움직임 제어(항법, 충돌, 주행), 조작 제어(행동 제어) 등을 포함한다.Various fields where artificial intelligence technology is applied are as follows. Linguistic understanding is a technology for recognizing and applying/processing human language/text, and includes natural language processing, machine translation, dialogue system, question and answer, and speech recognition/synthesis. Visual understanding is a technology for recognizing and processing objects like human vision, and includes object recognition, object tracking, image search, human recognition, scene understanding, spatial understanding, image improvement, and the like. Inferential prediction is a technology for logically reasoning and predicting by judging information, and includes knowledge/probability-based reasoning, optimization prediction, preference-based planning, and recommendation. Knowledge expression is a technology that automatically processes human experience information into knowledge data, and includes knowledge construction (data generation/classification) and knowledge management (data utilization). Motion control is a technology for controlling autonomous driving of a vehicle and movement of a robot, and includes motion control (navigation, collision, driving), manipulation control (action control), and the like.
본 발명은 재고 관리 서비스를 제공함에 있어서 개선할 수 있는 부분에 대해 제안하고자 한다.The present invention intends to propose a part that can be improved in providing an inventory management service.
본 발명의 다양한 실시예에 따른 인공지능 모델을 이용하여 재고 관리 서비스를 제공하는 시스템 및 그 동작 방법은, 상품에 대한 다양한 선택 정보와 확인하고자 하는 예측 기간을 인공지능 모델에 적용하여 상기 예측 기간 동안의 상품의 예상 판매량을 산출하는 재고 관리 서비스를 제공할 수 있다.A system for providing an inventory management service using an artificial intelligence model according to various embodiments of the present invention and an operation method therefor, apply various selection information about a product and a prediction period to be confirmed to the artificial intelligence model during the prediction period It is possible to provide an inventory management service that calculates the expected sales volume of the product.
본 발명에서 이루고자 하는 기술적 과제들은 이상에서 언급한 기술적 과제들로 제한되지 않으며, 언급하지 않은 또 다른 기술적 과제들은 아래의 기재로부터 본 발명이 속하는 기술분야에서 통상의 지식을 가진 자에게 명확하게 이해될 수 있을 것이다.The technical problems to be achieved in the present invention are not limited to the technical problems mentioned above, and other technical problems not mentioned will be clearly understood by those of ordinary skill in the art to which the present invention belongs from the description below. will be able
다양한 실시예들에 따라서, 재고 관리 서비스를 제공하는 시스템은 복수의 사용자 장치들, 상품 제공 서버, 및 관리 서버를 포함하고, 상기 관리 서버는, 상기 복수의 사용자 장치들로부터 특정 기간 동안 획득한 특정 상품에 대한 선택 정보를 식별하고 -상기 특정 상품에 대한 상기 선택 정보는 상기 특정 상품의 상세 정보 선택 횟수, 장바구니 추가 횟수, 관심 상품 등록 횟수, 리뷰 횟수, 문의 횟수, 및 결제 완료 횟수를 포함함-, 상기 특정 상품과 관련된 예측 기간을 식별하고, 예상 판매량을 추정하기 위한 인공지능 모델에 상기 특정 상품에 대한 상기 선택 정보 및 상기 특정 상품과 관련된 상기 예측 기간을 적용함으로써, 상기 예측 기간 동안에 상기 특정 상품이 판매될 제1 예상 판매량을 산출하고, 상기 특정 상품의 현재 재고량 및 상기 제1 예상 판매량에 기초하여 상기 특정 상품의 발주량을 산출하고, 및 상기 특정 상품에 대한 상기 발주량에 기초하여 상기 특정 상품의 배송을 요청하는 메시지를 상기 상품 제공 서버로 송신하도록 설정될 수 있다.According to various embodiments, a system for providing an inventory management service includes a plurality of user devices, a product providing server, and a management server, wherein the management server includes a specific information obtained from the plurality of user devices during a specific period. Identifies selection information for a product - The selection information for the specific product includes the number of selections of detailed information of the specific product, the number of additions to the shopping cart, the number of registrations of the product of interest, the number of reviews, the number of inquiries, and the number of payment completion- , by applying the selection information for the specific product and the prediction period related to the specific product to an artificial intelligence model for identifying a forecast period related to the specific product and estimating the expected sales volume, during the forecast period calculating the first expected sales volume to be sold, calculating an order quantity of the specific product based on the current inventory amount and the first expected sales volume of the specific product, and calculating the order amount of the specific product based on the order amount for the specific product It may be set to transmit a message requesting delivery to the product providing server.
다양한 실시예들에 따라서, 상기 특정 상품의 상세 정보 선택 횟수는, 상기 복수의 상품들에 관한 정보를 포함하는 상품 리스트 중에서 상기 복수의 사용자 장치들에 의하여 상기 특정 상품이 선택되어 상기 특정 상품의 상세 정보를 표시한 횟수를 나타내고, 상기 특정 상품의 상기 장바구니 추가 횟수는, 상기 복수의 사용자 장치들에 의하여 상기 특정 상품이 장바구니에 추가된 횟수를 나타내고, 상기 특정 상품의 상기 관심 상품 등록 횟수는, 상기 복수의 사용자 장치들에 의하여 상기 특정 상품이 관심 상품으로 등록된 횟수를 나타내고, 상기 특정 상품에 대한 상기 리뷰 횟수는, 상기 특정 상품에 대한 리뷰가 작성된 횟수를 나타내고, 상기 특정 상품에 대한 상기 문의 횟수는, 상기 특정 상품에 대한 문의가 작성된 횟수를 나타내고, 및 상기 특정 상품에 대한 상기 결제 완료 횟수는, 상기 특정 상품에 대한 비용 결제가 성공적으로 완료된 횟수를 나타낼 수 있다.According to various embodiments, the number of times of selecting the detailed information of the specific product is that the specific product is selected by the plurality of user devices from the product list including the information on the plurality of products and the details of the specific product represents the number of times of displaying information, the number of times of adding the specific product to the shopping cart represents the number of times the specific product is added to the shopping cart by the plurality of user devices, and the number of times of registering the product of interest of the specific product is, Indicates the number of times the specific product is registered as a product of interest by a plurality of user devices, the number of reviews for the specific product indicates the number of times that a review for the specific product is written, and the number of inquiries about the specific product may indicate the number of times an inquiry is made for the specific product, and the number of payment completions for the specific product may indicate the number of times payment for the specific product has been successfully completed.
다양한 실시예들에 따라서, 상기 관리 서버는, 상기 인공지능 모델의 출력 데이터로서 상기 예측 기간 동안의 상기 특정 상품에 대한 예상 판매량 별 가중치에 대한 정보를 획득하고, 및 상기 가중치에 대한 정보 중에서 가중치가 가장 높은 예상 판매량을 상기 제1 예상 판매량으로 결정하도록 설정될 수 있다.According to various embodiments, the management server obtains information about a weight for each expected sales volume for the specific product during the prediction period as output data of the artificial intelligence model, and a weight is It may be set to determine the highest expected sales volume as the first predicted sales volume.
다양한 실시예들에 따라서, 상기 관리 서버는, 상기 제1 예상 판매량으로부터 상기 현재 재고량을 차감한 수량에 정해진 비율을 적용함으로써, 상기 특정 상품의 상기 발주량을 결정하도록 설정될 수 있다.According to various embodiments, the management server may be configured to determine the order amount of the specific product by applying a predetermined ratio to a quantity obtained by subtracting the current inventory amount from the first expected sales volume.
다양한 실시예들에 따라서, 상기 관리 서버는, 상기 관리 서버의 메모리로부터 각 상품에 대한 선택 정보 및 각 상품에 대한 판매량 정보를 획득하도록 설정될 수 있다.According to various embodiments, the management server may be configured to obtain selection information for each product and sales volume information for each product from the memory of the management server.
다양한 실시예들에 따라서, 상기 관리 서버는, 특정 시점 이전의 기간 별 각 상품에 대한 선택 정보를 입력 데이터로 설정하고, 상기 특정 시점 이후의 기간 별 각 상품의 판매량을 출력 데이터로 설정하여, 상기 인공지능 모델의 학습을 수행하도록 설정될 수 있다.According to various embodiments, the management server sets selection information for each product for each period before a specific time as input data, and sets the sales volume of each product for each period after the specific time as output data, It can be set to perform learning of an artificial intelligence model.
본 발명을 통해 개선된(enhanced) 재고 관리 서비스를 제공할 수 있다.An enhanced inventory management service may be provided through the present invention.
본 발명의 다양한 실시예에 따라, 상품의 다양한 선택 정보를 기반으로 학습된 인공지능 모델을 이용하여 정확도 높은 상품의 예상 판매량을 추정함으로써 악성 재고를 예방하고, 자동화된 재고 관리 방식을 통하여 재고 관리에 불필요하게 소모되는 리소스 비용을 감소시키고 효율적으로 상품의 재고를 컨트롤할 수 있는 효과를 제공할 수 있다.According to various embodiments of the present invention, malicious inventory is prevented by estimating the expected sales volume of a product with high accuracy using an artificial intelligence model learned based on various selection information of the product, and inventory management is performed through an automated inventory management method. It is possible to reduce unnecessary resource cost and provide the effect of efficiently controlling the inventory of goods.
본 발명에서 얻을 수 있는 효과는 이상에서 언급한 효과들로 제한되지 않으며, 언급하지 않은 또 다른 효과들은 아래의 기재로부터 본 발명이 속하는 기술분야에서 통상의 지식을 가진 자에게 명확하게 이해될 수 있을 것이다.The effects obtainable in the present invention are not limited to the above-mentioned effects, and other effects not mentioned may be clearly understood by those of ordinary skill in the art from the following description. will be.
본 발명의 특정한 바람직한 실시예들의 상기에서 설명한 바와 같은 또한 다른 측면들과, 특징들 및 이득들은 첨부 도면들과 함께 처리되는 하기의 설명으로부터 보다 명백하게 될 것이다.
도 1은 본 발명의 다양한 실시예에 따른 전자 장치 및 네트워크의 블록도를 도시한다.
도 2는 다양한 실시예에 따른 전자 장치의 블록도이다.
도 3은 다양한 실시예에 따른 프로그램 모듈의 블록도이다.
도 4는 다양한 실시예들에 따른, 재고 관리 서비스를 제공하는 시스템을 구성하는 장치들을 도시한다.
도 5는 다양한 실시예들에 따른, 관리 서버가 동작하는 방법을 설명하기 위한 흐름도이다.
도 6은 다양한 실시예들에 따른, 특정 상품에 대한 선택 정보를 설명하기 위한 도면이다.
도 7은 다양한 실시예들에 따른, 특정 상품에 대한 예상 판매량을 추정하기 위하여 인공지능 모델이 동작하는 실시예를 나타낸다.
도 8은 다양한 실시예들에 따른, 특정 상품에 대한 예상 판매량을 추정하기 위하여 인공지능 모델을 학습시키는 동작을 설명하기 위한 도면이다.
도 8은 다양한 실시예들에 따른, 특정 상품에 대한 예상 판매량을 추정하기 위하여 인공지능 모델을 학습시키는 동작을 설명하기 위한 도면이다.
도 9는 다양한 실시예들에 따른, 인공지능 모델을 학습시키는 실시예를 설명하기 위한 도면이다.Other aspects, features and benefits as described above of certain preferred embodiments of the present invention will become more apparent from the following description taken in conjunction with the accompanying drawings.
1 is a block diagram of an electronic device and a network according to various embodiments of the present disclosure;
2 is a block diagram of an electronic device according to various embodiments of the present disclosure;
3 is a block diagram of a program module according to various embodiments of the present disclosure;
4 illustrates devices constituting a system for providing an inventory management service according to various embodiments of the present disclosure.
5 is a flowchart illustrating a method of operating a management server according to various embodiments of the present disclosure;
6 is a view for explaining selection information for a specific product, according to various embodiments of the present disclosure;
7 illustrates an example in which an artificial intelligence model operates to estimate an expected sales volume for a specific product, according to various embodiments.
8 is a diagram for explaining an operation of training an artificial intelligence model to estimate an expected sales volume for a specific product, according to various embodiments of the present disclosure;
8 is a diagram for explaining an operation of training an artificial intelligence model to estimate an expected sales volume for a specific product, according to various embodiments of the present disclosure;
9 is a diagram for explaining an embodiment of learning an artificial intelligence model, according to various embodiments.
이하, 본 문서의 다양한 실시예들이 첨부된 도면을 참조하여 기재된다. 실시예 및 이에 사용된 용어들은 본 문서에 기재된 기술을 특정한 실시 형태에 대해 한정하려는 것이 아니며, 해당 실시예의 다양한 변경, 균등물, 및/또는 대체물을 포함하는 것으로 이해되어야 한다. 도면의 설명과 관련하여, 유사한 구성요소에 대해서는 유사한 참조 부호가 사용될 수 있다. 단수의 표현은 문맥상 명백하게 다르게 뜻하지 않는 한, 복수의 표현을 포함할 수 있다. 본 문서에서, "A 또는 B" 또는 "A 및/또는 B 중 적어도 하나" 등의 표현은 함께 나열된 항목들의 모든 가능한 조합을 포함할 수 있다. "제 1," "제 2," "첫째," 또는 "둘째,"등의 표현들은 해당 구성요소들을, 순서 또는 중요도에 상관없이 수식할 수 있고, 한 구성요소를 다른 구성요소와 구분하기 위해 사용될 뿐 해당 구성요소들을 한정하지 않는다. 어떤(예: 제 1) 구성요소가 다른(예: 제 2) 구성요소에 "(기능적으로 또는 통신적으로) 연결되어" 있다거나 "접속되어" 있다고 언급된 때에는, 상기 어떤 구성요소가 상기 다른 구성요소에 직접적으로 연결되거나, 다른 구성요소(예: 제 3 구성요소)를 통하여 연결될 수 있다.Hereinafter, various embodiments of the present document will be described with reference to the accompanying drawings. The examples and terms used therein are not intended to limit the technology described in this document to specific embodiments, and should be understood to cover various modifications, equivalents, and/or substitutions of the embodiments. In connection with the description of the drawings, like reference numerals may be used for like components. The singular expression may include the plural expression unless the context clearly dictates otherwise. In this document, expressions such as “A or B” or “at least one of A and/or B” may include all possible combinations of items listed together. Expressions such as "first," "second," "first," or "second," can modify the corresponding elements, regardless of order or importance, and to distinguish one element from another element. It is used only and does not limit the corresponding components. When an (eg, first) component is referred to as being “connected (functionally or communicatively)” or “connected” to another (eg, second) component, that component is It may be directly connected to the component or may be connected through another component (eg, a third component).
본 문서에서, "~하도록 구성된(또는 설정된)(configured to)"은 상황에 따라, 예를 들면, 하드웨어적 또는 소프트웨어적으로 "~에 적합한," "~하는 능력을 가지는," "~하도록 변경된," "~하도록 만들어진," "~를 할 수 있는," 또는 "~하도록 설계된"과 상호 호환적으로(interchangeably) 사용될 수 있다. 어떤 상황에서는, "~하도록 구성된 장치"라는 표현은, 그 장치가 다른 장치 또는 부품들과 함께 "~할 수 있는" 것을 의미할 수 있다. 예를 들면, 문구 "A, B, 및 C를 수행하도록 구성된(또는 설정된) 프로세서"는 해당 동작을 수행하기 위한 전용 프로세서(예: 임베디드 프로세서), 또는 메모리 장치에 저장된 하나 이상의 소프트웨어 프로그램들을 실행함으로써, 해당 동작들을 수행할 수 있는 범용 프로세서(예: CPU 또는 application processor)를 의미할 수 있다. In this document, "configured (or configured to)" means "suitable for," "having the ability to," "modified to, ," "made to," "capable of," or "designed to," may be used interchangeably. In some contexts, the expression “a device configured to” may mean that the device is “capable of” with other devices or components. For example, the phrase “a processor configured (or configured to perform) A, B, and C” refers to a dedicated processor (eg, an embedded processor) for performing the operations, or by executing one or more software programs stored in a memory device. , may refer to a general-purpose processor (eg, a CPU or an application processor) capable of performing corresponding operations.
본 문서의 다양한 실시예들에 따른 전자 장치는, 예를 들면, 스마트폰, 태블릿 PC, 이동 전화기, 영상 전화기, 전자책 리더기, 데스크탑 PC, 랩탑 PC, 넷북 컴퓨터, 워크스테이션, 서버, PDA, PMP(portable multimedia player), MP3 플레이어, 의료기기, 카메라, 또는 웨어러블 장치 중 적어도 하나를 포함할 수 있다. 웨어러블 장치는 액세서리형(예: 시계, 반지, 팔찌, 발찌, 목걸이, 안경, 콘택트 렌즈, 또는 머리 착용형 장치(head-mounted-device(HMD)), 직물 또는 의류 일체형(예: 전자 의복), 신체 부착형(예: 스킨 패드 또는 문신), 또는 생체 이식형 회로 중 적어도 하나를 포함할 수 있다. 어떤 실시예들에서, 전자 장치는, 예를 들면, 텔레비전, DVD(digital video disk) 플레이어, 오디오, 냉장고, 에어컨, 청소기, 오븐, 전자레인지, 세탁기, 공기 청정기, 셋톱 박스, 홈 오토매이션 컨트롤 패널, 보안 컨트롤 패널, 미디어 박스(예: 삼성 HomeSyncTM, 애플TVTM, 또는 구글 TVTM), 게임 콘솔(예: XboxTM, PlayStationTM), 전자 사전, 전자 키, 캠코더, 또는 전자 액자 중 적어도 하나를 포함할 수 있다.The electronic device according to various embodiments of the present disclosure may include, for example, a smartphone, a tablet PC, a mobile phone, a video phone, an e-book reader, a desktop PC, a laptop PC, a netbook computer, a workstation, a server, a PDA, and a PMP. It may include at least one of a portable multimedia player, an MP3 player, a medical device, a camera, and a wearable device. A wearable device may be an accessory (e.g., watch, ring, bracelet, anklet, necklace, eyewear, contact lens, or head-mounted-device (HMD)), a textile or clothing integral (e.g. electronic garment); It may include at least one of a body-worn (eg, skin pad or tattoo) or bioimplantable circuit In some embodiments, the electronic device may include, for example, a television, a digital video disk (DVD) player, Audio, refrigerator, air conditioner, vacuum cleaner, oven, microwave oven, washing machine, air purifier, set-top box, home automation control panel, security control panel, media box (e.g. Samsung HomeSync TM , Apple TV TM , or Google TV TM ) , a game console (eg, Xbox TM , PlayStation TM ), an electronic dictionary, an electronic key, a camcorder, or an electronic picture frame.
다른 실시예에서, 전자 장치는, 각종 의료기기(예: 각종 휴대용 의료측정기기(혈당 측정기, 심박 측정기, 혈압 측정기, 또는 체온 측정기 등), MRA(magnetic resonance angiography), MRI(magnetic resonance imaging), CT(computed tomography), 촬영기, 또는 초음파기 등), 네비게이션 장치, 위성 항법 시스템(GNSS(global navigation satellite system)), EDR(event data recorder), FDR(flight data recorder), 자동차 인포테인먼트 장치, 선박용 전자 장비(예: 선박용 항법 장치, 자이로 콤파스 등), 항공 전자기기(avionics), 보안 기기, 차량용 헤드 유닛(head unit), 산업용 또는 가정용 로봇, 드론(drone), 금융 기관의 ATM, 상점의 POS(point of sales), 또는 사물 인터넷 장치 (예: 전구, 각종 센서, 스프링클러 장치, 화재 경보기, 온도조절기, 가로등, 토스터, 운동기구, 온수탱크, 히터, 보일러 등) 중 적어도 하나를 포함할 수 있다. 어떤 실시예에 따르면, 전자 장치는 가구, 건물/구조물 또는 자동차의 일부, 전자 보드(electronic board), 전자 사인 수신 장치(electronic signature receiving device), 프로젝터, 또는 각종 계측 기기(예: 수도, 전기, 가스, 또는 전파 계측 기기 등) 중 적어도 하나를 포함할 수 있다. 다양한 실시예에서, 전자 장치는 플렉서블하거나, 또는 전술한 다양한 장치들 중 둘 이상의 조합일 수 있다. 본 문서의 실시예에 따른 전자 장치는 전술한 기기들에 한정되지 않는다. 본 문서에서, 사용자라는 용어는 전자 장치를 사용하는 사람 또는 전자 장치를 사용하는 장치(예: 인공지능 전자 장치)를 지칭할 수 있다. In another embodiment, the electronic device may include various medical devices (eg, various portable medical measuring devices (eg, a blood glucose meter, a heart rate monitor, a blood pressure monitor, or a body temperature monitor), magnetic resonance angiography (MRA), magnetic resonance imaging (MRI), Computed tomography (CT), imagers, or ultrasound machines, etc.), navigation devices, global navigation satellite systems (GNSS), event data recorders (EDRs), flight data recorders (FDRs), automotive infotainment devices, marine electronic equipment (e.g. navigation devices for ships, gyro compasses, etc.), avionics, security devices, head units for vehicles, industrial or household robots, drones, ATMs in financial institutions, point of sale (POS) in stores of sales) or IoT devices (eg, light bulbs, various sensors, sprinkler devices, fire alarms, thermostats, street lights, toasters, exercise equipment, hot water tanks, heaters, boilers, etc.). According to some embodiments, the electronic device is a piece of furniture, a building/structure, or a vehicle, an electronic board, an electronic signature receiving device, a projector, or various measuring devices (eg, water, electricity, gas, or a radio wave measuring device). In various embodiments, the electronic device may be flexible or a combination of two or more of the various devices described above. The electronic device according to the embodiment of the present document is not limited to the above-described devices. In this document, the term user may refer to a person who uses an electronic device or a device (eg, an artificial intelligence electronic device) using the electronic device.
도 1을 참조하여, 다양한 실시예에서의, 네트워크 환경(100) 내의 전자 장치(101)가 기재된다. 전자 장치(101)는 버스(110), 프로세서(120), 메모리(130), 입출력 인터페이스(150), 디스플레이(160), 및 통신 인터페이스(170)를 포함할 수 있다. 1 , an
이하 전자 장치(101)에 대한 구체적인 구성요소는 도 1 내지 도 3을 참조하여 후술하도록 한다.Hereinafter, specific components of the
도 4는 다양한 실시예들에 따른, 재고 관리 서비스를 제공하는 시스템(400)을 구성하는 장치들을 도시한다.4 illustrates devices constituting a
다양한 실시예들에 따르면, 재고 관리 서비스를 제공하는 시스템(400)은, 복수의 사용자 장치들(401a, 401b, 401c), 상품 제공 서버(402), 및 관리 서버(403)를 포함할 수 있다. 일 실시예에 따르면, 복수의 사용자 장치들(401a, 401b, 401c), 상품 제공 서버(402), 및 관리 서버(403)는 도 1의 전자 장치(101)의 각 구성 요소 중 적어도 하나의 구성 요소를 포함하도록 구현될 수 있다. 이하에서는 관리 서버(403)를 도 1의 전자 장치(101)에 해당하는 것으로 가정하여 설명하도록 한다.According to various embodiments, the
일 실시예에 따르면, 복수의 사용자 장치들(401a, 401b, 401c) 각각은 예를 들면, 스마트폰, 태블릿 PC, 이동 전화기, 영상 전화기, 전자책 리더기, 데스크탑 PC, 랩탑 PC, 넷북 컴퓨터, 워크스테이션, 서버, PDA, PMP(portable multimedia player), 카메라, 또는 웨어러블 장치 중 적어도 하나를 포함할 수 있다. 일 실시예에 따르면, 복수의 사용자 장치들(401a, 401b, 401c) 각각은 관리 서버(403)에 의하여 제공되는 웹 사이트 또는 어플리케이션에 접속하여, 관리 서버(403)에서 처리 가능한 정보를 송신하거나, 관리 서버(403)에 의하여 처리된 정보를 수신할 수 있다. 복수의 사용자 장치들(401a, 401b, 401c)은 관리 서버(403)에 의하여 제공되는 쇼핑몰 관련 웹 사이트의 각 페이지를 표시할 수 있도록 하는 소스 코드를 수신하여, 웹 브라우저를 통하여 웹 사이트의 각 페이지를 표시할 수 있다. 본 명세서에 전반적으로 기재된 복수의 사용자 장치들(401a, 401b, 401c)의 수(예: 3개)는 하나의 예시일 뿐, 이에 한정되지 않고, 다양한 수의 사용자 장치들이 이용될 수 있음이 당업자에 의하여 용이하게 이해될 것이다.According to one embodiment, each of the plurality of
일 실시예에 따르면, 상품 제공 서버(402)는 관리 서버(403)와 연계하여 동작하는 서버로서, 관리 서버(403)에서 요청된 상품들의 발주량에 따라 상품들을 배송하는 서비스를 제공할 수 있다. 상품 제공 서버(402)는 도매품을 취급하는 사업자에 의하여 운영되는 서버일 수 있다.According to an embodiment, the
일 실시예에 따르면, 관리 서버(403)는 복수의 사용자 장치들(401a, 401b, 401c)로 복수의 웹 페이지(web page)로 구성된 쇼핑몰 관련 웹 사이트(web site)를 제공하는 서버일 수 있다. 일 실시예에 따르면, 관리 서버(403)는 복수의 사용자 장치들(401a, 401b, 401c)이 웹 사이트의 각 페이지를 표시할 수 있도록 하는 소스 코드를 복수의 사용자 장치들(401a, 401b, 401c)로 송신할 수 있다. 관리 서버(403)는 소매품을 취급하는 사업자에 의하여 운영되는 서버일 수 있다.According to an embodiment, the
도 5는 관리 서버(403)가 동작하는 방법을 설명하기 위한 흐름도이고, 도 6은 특정 상품에 대한 선택 정보를 설명하기 위한 도면이고, 도 7은 특정 상품에 대한 예상 판매량을 추정하기 위하여 인공지능 모델이 동작하는 실시예를 나타낸다.5 is a flowchart for explaining how the
501 동작에서, 다양한 실시예들에 따르면, 관리 서버(403)(예: 도 1의 프로세서(120))는 복수의 사용자 장치들(예: 도 4의 복수의 사용자 장치들(401a, 401b, 401c))로부터 특정 기간 동안 획득한 특정 상품에 대한 선택 정보를 식별할 수 있다.In
특정 상품에 대한 선택 정보는, 특정 상품의 상세 정보 선택 횟수, 특정 상품의 장바구니 추가 횟수, 특정 상품의 관심 상품 등록 횟수, 특정 상품에 대한 리뷰 횟수, 특정 상품에 대한 문의 횟수, 및 특정 상품에 대한 결제 완료 횟수 중 적어도 어느 하나를 포함할 수 있다. The selection information for a specific product includes the number of times of selecting detailed information of a specific product, the number of additions to the shopping cart of a specific product, the number of registrations of products of interest for a specific product, the number of reviews for a specific product, the number of inquiries about a specific product, and the number of inquiries about a specific product. It may include at least one of the number of payment completion times.
예를 들어, 도 6의 <601> 및 <602>를 참조하면, 특정 상품(610)의 "상세 정보 선택 횟수"는 복수의 상품들에 관한 정보를 포함하는 상품 리스트(예: <601>화면에 표시된 상품 리스트) 중에서 복수의 사용자 장치들(401a, 401b, 401c)에 의하여 특정 상품(610)이 선택되어 특정 상품(610)의 상세 정보(예: <602>화면에 표시된 상품 상세 정보)를 표시한 횟수를 나타내며, 사용자 선택에 의하여 <601>화면이 <602>화면으로 전환되는 경우, 관리 서버(403)는 "상세 정보 선택 횟수"를 1회 카운트할 수 있다. For example, referring to <601> and <602> of FIG. 6 , “the number of times of selecting detailed information” of a
예를 들어, 도 6의 <601> 및 <602>를 참조하면, 특정 상품(610)의 "장바구니 추가 횟수"는 복수의 사용자 장치들(401a, 401b, 401c)에 의하여 특정 상품(610)이 장바구니에 추가된 횟수를 나타내며, 복수의 사용자 장치들(401a, 401b, 401c)에 의하여 <601>화면에서 특정 상품(610)에 대한 장바구니 추가 항목(611)이 선택되거나 <602>화면에서 특정 상품(610)에 대한 장바구니 추가 항목(613)이 선택되는 경우, 관리 서버(403)는 "장바구니 추가 횟수"를 1회 카운트할 수 있다.For example, referring to <601> and <602> of FIG. 6 , the “number of shopping cart additions” of the
예를 들어, 도 6의 <601> 및 <602>를 참조하면, 특정 상품(610)의 "관심 상품 등록 횟수"는 복수의 사용자 장치들(401a, 401b, 401c)에 의하여 특정 상품(610)이 관심 상품으로 등록된 횟수를 나타내며, 복수의 사용자 장치들(401a, 401b, 401c)에 의하여 <601>화면에서 특정 상품(610)에 대한 관심 상품 등록 항목(612)이 선택되거나 <602>화면에서 특정 상품(610)에 대한 관심 상품 등록 항목(614)이 선택되는 경우, 관리 서버(403)는 "관심 상품 등록 횟수"를 1회 카운트할 수 있다.For example, referring to <601> and <602> of FIG. 6 , the “number of registrations of products of interest” of a
예를 들어, 도 6의 <603>을 참조하면, 특정 상품(610)에 대한 "리뷰 횟수"는 특정 상품(610)에 대한 리뷰가 작성된 횟수를 나타내며, 복수의 사용자 장치들(401a, 401b, 401c)에 의하여 리뷰 항목(615)에서 특정 상품에 대한 리뷰가 1건 작성되는 경우, 관리 서버(403)는 "리뷰 횟수"를 1회 카운트할 수 있다.For example, referring to <603> of FIG. 6 , the “number of reviews” for a
예를 들어, 도 6의 <603>을 참조하면, 특정 상품(610)에 대한 "문의 횟수"는 특정 상품(610)에 대한 문의가 작성된 횟수를 나타내며, 복수의 사용자 장치들(401a, 401b, 401c)에 의하여 Q&A 항목(616)에서 특정 상품에 대한 문의가 1건 작성되는 경우, 관리 서버(403)는 "문의 횟수"를 1회 카운트할 수 있다.For example, referring to <603> of FIG. 6 , the “number of inquiries” for a
예를 들어, 도 6의 <602>을 참조하면, 특정 상품(610)에 대한 "결제 완료 횟수"는 특정 상품(610)에 대한 비용 결제가 성공적으로 완료된 횟수를 나타내며, 복수의 사용자 장치들(401a, 401b, 401c)에 의하여 결제 항목(617)이 선택되어 정해진 방법들(예: 카드 결제, 무통장입금, 간편 페이 등) 중 하나로 특정 상품(610)에 대한 결제가 성공적으로 완료되는 경우, 관리 서버(403)는 "결제 횟수"를 1회 카운트할 수 있다.For example, referring to <602> of FIG. 6 , “the number of payment completions” for a
일 실시예에 따르면, 관리 서버(403)는 관리 서버(403)의 관리자로부터 특정 상품(610)을 분석하기 위한 기간을 나타내는 특정 기간(예: 현재 시점으로부터 7일 이내)을 상기 관리 서버(403)의 입력 인터페이스(또는 입력 수단)를 통하여 입력 받을 수 있고, 복수의 사용자 장치들(401a, 401b, 401c)로부터 획득한 특정 상품(610)에 대한 전체 선택 정보 중에서 상기 특정 기간 동안 획득한 선택 정보를 선택 및/또는 확인할 수 있다. 이때 선택 정보라 함은 관리 서버(403)의 관리자에 의한 선택에 기반하는 정보 및/또는 상기 관리자가 선택한 대상을 나타내는 정보일 수 있다.According to an embodiment, the
503 동작에서, 다양한 실시예들에 따르면, 관리 서버(403)(예: 도 1의 프로세서(120))는 특정 상품과 관련된 예측 기간(또는 "모니터링 기간" 또는 "관측 기간"이라고 칭할 수 있다)을 식별할 수 있다. 일 실시예에 따르면, 관리 서버(403)는 관리 서버(403)의 관리자로부터 특정 상품과 관련된 예측 기간을 입력 받을 수 있다. 특정 상품과 관련된 예측 기간은, 관리자가 특정 상품(610)에 대한 예상 판매량을 예측하고자 하는 기간으로서, 관리자에 의하여 일정 기간(예: 현재 시점으로부터 7일 후)이 입력될 수 있다.In
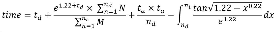
다른 예로, 관리 서버(403)(예: 도 1의 프로세서(120))는 특정 상품과 관련된 예측 기간(또는 "모니터링 기간" 또는 "관측 기간"이라고 칭할 수 있다)(= time)을 아래의 수학식 1을 통해 계산 및/또는 산출할 수 있다.As another example, the management server 403 (eg, the
[수학식 1][Equation 1]
이때, td는 사용자(고객)들이 본 발명의 쇼핑몰(및/또는 온라인 플랫폼)에 접속하여 구매(즉, 최종 결제)하기까지 소요되는 시간의 평균을 나타내고, nd는 본 발명의 쇼핑몰(및/또는 온라인 플랫폼)에서 판매중인 전체 상품들 중에서 특정 상품과 동일한 카테고리에 속하는 상품들의 수, nt는 본 발명의 쇼핑몰(및/또는 온라인 플랫폼)에서 판매중인 전체 상품들의 수, nc는 접속중인 사용자(고객)의 수, ta는 사용자(고객)들이 본 발명의 쇼핑몰(및/또는 온라인 플랫폼)에서 특정 상품을 장바구니에 넣고 구매(즉, 최종 결제)하기까지의 평균 시간을 나타낸다. 한편 time, td, ta의 단위는 초, 분, 시간 중에 어느 하나로 동일하게 설정될 수 있다. 또한 N, M은 임의의 값(예; '1' 또는 '2' 등) 또는 소정의 기준에 따라 관리 서버(403)(예: 도 1의 프로세서(120))에 의해 설정되는 상수 값에 해당할 수 있으며, 관리자의 입력에 따라 상기 N, M의 값이 '+1', '+2' 또는 '-1', '-2'만큼씩 조정될 수 있다.In this case, t d represents the average of the time it takes users (customers) to access the shopping mall (and/or online platform) of the present invention and make a purchase (ie, final payment), and n d is the shopping mall (and/or online platform) of the present invention. / or online platform) the number of products belonging to the same category as a specific product among all products being sold, n t is the total number of products sold in the shopping mall (and/or online platform) of the present invention, n c is the number of products being accessed The number of users (customers), ta a , represents an average time until the users (customers) put a specific product into a shopping cart and purchase (ie, final payment) in the shopping mall (and/or online platform) of the present invention. Meanwhile, the units of time, t d , and ta a may be identically set to any one of seconds, minutes, and hours. In addition, N and M correspond to an arbitrary value (eg, '1' or '2', etc.) or a constant value set by the management server 403 (eg, the
505 동작에서, 다양한 실시예들에 따르면, 관리 서버(403)(예: 도 1의 프로세서(120))는 예상 판매량을 추정하기 위한 인공지능 모델에 특정 상품(610)에 대한 선택 정보 및 특정 상품(610)과 관련된 예측 기간을 적용함으로써, 상기 예측 기간 동안에 상기 특정 상품(610)이 판매될 제1 예상 판매량을 산출할 수 있다.In
예를 들어, 도 7을 참조하면, 관리 서버(403)는 예측 기간(예: 현재 시점으로부터 7일 후까지의 기간)동안 특정 상품(610)이 판매될 예상 판매량을 추정하기 위하여, 특정 상품(610)에 대한 선택 정보 및 특정 상품(610)과 관련된 예측 기간을 입력 데이터(701)로서 상기 인공지능 모델(700)에 적용할 수 있고, 상기 인공지능 모델의 출력 데이터(702)로서 상기 예측 기간 동안의 특정 상품(610)에 대한 예상 판매량(예: A개, B개, C개, D개 등) 별 가중치에 대한 정보를 획득할 수 있다. 이 경우, 관리 서버(403)는 예측 기간 동안의 특정 상품(610)에 대한 예상 판매량 별 가중치에 대한 정보 중에서, 가중치가 가장 높은 예상 판매량(710)(예: B개)을 선택하고, 상기 선택된 예상 판매량(710)을 제1 예상 판매량으로 결정(703)할 수 있다. 상기 인공지능 모델(700)을 생성 및 학습시키는 동작은 도 8에서 후술하도록 한다. For example, referring to FIG. 7 , the
507 동작에서, 다양한 실시예들에 따르면, 관리 서버(403)(예: 도 1의 프로세서(120))는 특정 상품(610)의 현재 재고량 및 제1 예상 판매량에 기초하여 특정 상품(610)의 발주량을 산출할 수 있다.In
일 실시예에 따르면, 관리 서버(403)는 특정 상품(610)의 제1 예상 판매량으로부터 특정 상품(610)의 현재 재고량을 차감한 수량에 정해진 비율을 적용함으로써, 특정 상품(610)의 발주량을 산출할 수 있다. 예를 들어, 관리 서버(403)는 특정 상품(610)의 제1 예상 판매량(예: B개)으로부터 특정 상품(610)의 현재 재고량(예: N개)을 차감한 수량에 정해진 비율(예: K%)만큼의 수량(예: (B-N)*K*0.01)을 특정 상품(610)의 발주량으로 결정할 수 있다. 상기 정해진 비율은, 관리 서버(403)의 관리자에 의하여 선택될 수 있다.According to an embodiment, the
509 동작에서, 다양한 실시예들에 따르면, 관리 서버(403)(예: 도 1의 프로세서(120))는 특정 상품(610)에 대한 발주량에 기초하여 특정 상품(610)의 배송을 요청하는 메시지를 상품 제공 서버(예: 도 4의 상품 제공 서버(402))로 송신할 수 있다. 예를 들어, 관리 서버(403)는 발주량 만큼의 특정 상품(610)을 지정된 주소(예: 관리 서버(403)의 영업지 주소)로 배달할 것을 요청하는 주문을 포함하는 메시지를 자동으로 상품 제공 서버(402)로 송신할 수 있다.In
도 8은 특정 상품에 대한 예상 판매량을 추정하기 위하여 인공지능 모델을 학습시키는 동작을 설명하기 위한 도면이고, 도 9는 인공지능 모델을 학습시키는 실시예를 설명하기 위한 도면이다.FIG. 8 is a diagram for explaining an operation of learning an artificial intelligence model in order to estimate the expected sales volume for a specific product, and FIG. 9 is a diagram for explaining an embodiment of learning the artificial intelligence model.
다양한 실시예들에 따르면, 관리 서버(403)(예: 도 1의 프로세서(120))는 도 8의 801에 도시된 바와 같이, 각 상품에 대한 예측 기간 동안의 예상 판매량을 추정하기 위한 인공지능 모델(예: 도 7의 인공지능 모델(700))을 생성하기 위해, 메모리(예: 도 1의 메모리(130))로부터 각 상품에 대한 선택 정보 및 각 상품의 판매량 정보를 획득할 수 있다. 각 상품에 대한 선택 정보는, 각 상품의 상세 정보 선택 횟수, 장바구니 추가 횟수, 관심 상품 등록 횟수, 리뷰 횟수, 문의 횟수, 및 결제 완료 횟수를 포함할 수 있다. 각 상품에 대한 판매량 정보는, 각 상품의 구매가 확정되어 각 상품 별로 판매가 완료된 것으로 결정된 개수를 의미할 수 있다.According to various embodiments, the management server 403 (eg, the
인공지능 모델은 RNN(Recurrent Neural Network), DNN(Deep Neural Network) 및 DRNN(Dynamic Recurrent Neural Network) 등 다양한 모델들을 활용할 수 있을 것이다. 여기서 RNN은 현재의 데이터와 과거의 데이터를 동시에 고려하는 딥 러닝 기법으로서, 순환 신경망(RNN)은 인공 신경망을 구성하는 유닛 사이의 연결이 방향성 사이클(directed cycle)을 구성하는 신경망을 나타낸다. 나아가, 순환 신경망(RNN)을 구성할 수 있는 구조에는 다양한 방식이 사용될 수 있는데, 예컨대, 완전순환망(Fully Recurrent Network), 홉필드망(Hopfield Network), 엘만망(Elman Network), ESN(Echo state network), LSTM(Long short term memory network), 양방향(Bi-directional) RNN, CTRNN(Continuous-time RNN), 계층적 RNN, 2차 RNN 등이 대표적인 예이다. 또한, 순환 신경망(RNN)을 학습시키기 위한 방법으로서, 경사 하강법, Hessian Free Optimization, Global Optimization Method 등의 방식이 사용될 수 있다.The AI model may utilize various models such as Recurrent Neural Network (RNN), Deep Neural Network (DNN), and Dynamic Recurrent Neural Network (DRNN). Here, RNN is a deep learning technique that simultaneously considers current data and past data. A recurrent neural network (RNN) represents a neural network in which connections between units constituting an artificial neural network constitute a directed cycle. Furthermore, various methods may be used for a structure capable of constructing a recurrent neural network (RNN), for example, a fully recurrent network, a hopfield network, an Elman network, an ESN (Echo). State network), long short term memory network (LSTM), bi-directional RNN, continuous-time RNN (CTRNN), hierarchical RNN, and secondary RNN are representative examples. In addition, as a method for learning a recurrent neural network (RNN), methods such as gradient descent, Hessian Free Optimization, and Global Optimization Method may be used.
다양한 실시예들에 따르면, 관리 서버(403)(예: 도 1의 프로세서(120))는 도 8의 802에 도시된 바와 같이, 각 상품에 대한 선택 정보 및 각 상품에 대한 판매량 정보를 인공지능 모델(700)에서 학습 가능한 형태(예: 텍스트 정보를 행렬 연산이 가능한 특정 값으로 할당하고 전처리)로 가공할 수 있다. 일 실시예에 따르면, 관리 서버(403)는 특정 시점 이전의 기간 별 각 상품에 대한 선택 정보 및 특정 시점 이후의 기간 별 각 상품에 대한 판매량 정보를 인공지능 모델(700)에서 학습 가능한 형태로 가공할 수 있다.According to various embodiments, the management server 403 (eg, the
다양한 실시예들에 따르면, 관리 서버(403)(예: 도 1의 프로세서(120))는 도 8의 803에 도시된 바와 같이, 전처리된 특정 시점 이전의 기간 별 각 상품에 대한 선택 정보 및 특정 시점 이후의 기간 별 각 상품에 대한 판매량 정보를 트레이닝 데이터(training data)로 하여 인공지능 모델(700)을 생성할 수 있다. According to various embodiments, the management server 403 (eg, the
일 실시예에 따르면, 관리 서버(403)는 특정 시점 이전의 기간 별 각 상품에 대한 선택 정보를 입력 데이터(input data)로 설정하고, 상기 특정 시점 이후의 기간 별 각 상품의 판매량(예: A개, B개, C개)을 출력 데이터(output data)로 설정하여, 다양한 종류의 인공지능 학습 알고리즘에 기반하여 인공지능 모델(700)의 학습(예: 가중치(weight) 학습(810))을 수행할 수 있다. 예를 들어, 도 9를 참조하면, 관리 서버(403)는 특정 시점(900) 이전의 제1 이전 기간(901) 동안의 각 상품에 대한 선택 정보를 입력 데이터로 설정하고, 상기 특정 시점(900) 이후의 제1 이후 기간(904) 동안의 각 상품의 제1 판매량, 제2 이후 기간(905) 동안의 각 상품의 제2 판매량, 제3 이후 기간(906) 동안의 각 상품의 제3 판매량을 출력 데이터로 설정하여 인공지능 모델(700)을 학습시킬 수 있다. According to an embodiment, the
또 다른 예를 들어, 도 9를 참조하면, 관리 서버(403)는 특정 시점(900) 이전의 제2 이전 기간(902) 동안의 각 상품에 대한 선택 정보를 입력 데이터로 설정하고, 상기 특정 시점(900) 이후의 제1 이후 기간(904) 동안의 각 상품의 제1 판매량, 제2 이후 기간(905) 동안의 각 상품의 제2 판매량, 제3 이후 기간(906) 동안의 각 상품의 제3 판매량을 출력 데이터로 설정하여 인공지능 모델(700)을 학습시킬 수 있다.For another example, referring to FIG. 9 , the
또 다른 예를 들어, 도 9를 참조하면, 관리 서버(403)는 특정 시점(900) 이전의 제3 이전 기간(903) 동안의 각 상품에 대한 선택 정보를 입력 데이터로 설정하고, 상기 특정 시점(900) 이후의 제1 이후 기간(904) 동안의 각 상품의 제1 판매량, 제2 이후 기간(905) 동안의 각 상품의 제2 판매량, 제3 이후 기간(906) 동안의 각 상품의 제3 판매량을 출력 데이터로 설정하여 인공지능 모델(700)을 학습시킬 수 있다. 일 실시예에 따르면, 인공지능 모델(700)은 각 상품 별로 구분하여 가중치 학습을 수행할 수 있다. 전술한 인공지능 학습 알고리즘은 다양한 종류의 주지의 머신 러닝(machine learning) 및 딥 러닝(deep learning) 알고리즘을 포함할 수 있으므로, 구체적인 설명은 생략한다. 이때, 상기 학습에 따라서, 생성된 인공지능 모델(700)은 특정 기간 동안 획득한 특정 상품에 대한 선택 정보 및 특정 상품과 관련된 예측 기간을 입력 받은 것에 대한 응답으로, 예측 기간 동안에 특정 상품이 판매될 예상 판매량들에 대한 가중치를 최종 출력하도록 구현될 수 있다. 예를 들어, 인공지능 모델(700)은 특정 기간 동안 획득한 특정 상품에 대한 선택 정보 및 특정 상품과 관련된 예측 기간을 입력 받은 것에 대한 응답으로, 이를 연산하기 위한 가중치 값들을 포함하는 레이어들을 포함하고, 상기 레이어들 각각에서 연산을 수행하여 최종적으로 출력 데이터로서 예상 판매량에 대한 가중치를 출력하도록 구현될 수 있다.For another example, referring to FIG. 9 , the
다양한 실시예들에 따라서, 재고 관리 서비스를 제공하는 시스템은 복수의 사용자 장치들, 상품 제공 서버, 및 관리 서버를 포함하고, 상기 관리 서버는, 상기 복수의 사용자 장치들로부터 특정 기간 동안 획득한 특정 상품에 대한 선택 정보를 식별하고 -상기 특정 상품에 대한 상기 선택 정보는 상기 특정 상품의 상세 정보 선택 횟수, 장바구니 추가 횟수, 관심 상품 등록 횟수, 리뷰 횟수, 문의 횟수, 및 결제 완료 횟수를 포함함-, 상기 특정 상품과 관련된 예측 기간을 식별하고, 예상 판매량을 추정하기 위한 인공지능 모델에 상기 특정 상품에 대한 상기 선택 정보 및 상기 특정 상품과 관련된 상기 예측 기간을 적용함으로써, 상기 예측 기간 동안에 상기 특정 상품이 판매될 제1 예상 판매량을 산출하고, 상기 특정 상품의 현재 재고량 및 상기 제1 예상 판매량에 기초하여 상기 특정 상품의 발주량을 산출하고, 및 상기 특정 상품에 대한 상기 발주량에 기초하여 상기 특정 상품의 배송을 요청하는 메시지를 상기 상품 제공 서버로 송신하도록 설정될 수 있다.According to various embodiments, a system for providing an inventory management service includes a plurality of user devices, a product providing server, and a management server, wherein the management server includes a specific information obtained from the plurality of user devices during a specific period. Identifies selection information for a product - The selection information for the specific product includes the number of selections of detailed information of the specific product, the number of additions to the shopping cart, the number of registrations of the product of interest, the number of reviews, the number of inquiries, and the number of payment completion- , by applying the selection information for the specific product and the prediction period related to the specific product to an artificial intelligence model for identifying a forecast period related to the specific product and estimating the expected sales volume, during the forecast period calculating the first expected sales volume to be sold, calculating an order quantity of the specific product based on the current inventory amount and the first expected sales volume of the specific product, and calculating the order amount of the specific product based on the order amount for the specific product It may be set to transmit a message requesting delivery to the product providing server.
다양한 실시예들에 따라서, 상기 특정 상품의 상세 정보 선택 횟수는, 상기 복수의 상품들에 관한 정보를 포함하는 상품 리스트 중에서 상기 복수의 사용자 장치들에 의하여 상기 특정 상품이 선택되어 상기 특정 상품의 상세 정보를 표시한 횟수를 나타내고, 상기 특정 상품의 상기 장바구니 추가 횟수는, 상기 복수의 사용자 장치들에 의하여 상기 특정 상품이 장바구니에 추가된 횟수를 나타내고, 상기 특정 상품의 상기 관심 상품 등록 횟수는, 상기 복수의 사용자 장치들에 의하여 상기 특정 상품이 관심 상품으로 등록된 횟수를 나타내고, 상기 특정 상품에 대한 상기 리뷰 횟수는, 상기 특정 상품에 대한 리뷰가 작성된 횟수를 나타내고, 상기 특정 상품에 대한 상기 문의 횟수는, 상기 특정 상품에 대한 문의가 작성된 횟수를 나타내고, 및 상기 특정 상품에 대한 상기 결제 완료 횟수는, 상기 특정 상품에 대한 비용 결제가 성공적으로 완료된 횟수를 나타낼 수 있다.According to various embodiments, the number of times of selecting the detailed information of the specific product is that the specific product is selected by the plurality of user devices from the product list including the information on the plurality of products and the details of the specific product represents the number of times of displaying information, the number of times of adding the specific product to the shopping cart represents the number of times the specific product is added to the shopping cart by the plurality of user devices, and the number of times of registering the product of interest of the specific product is, Indicates the number of times the specific product is registered as a product of interest by a plurality of user devices, the number of reviews for the specific product indicates the number of times that a review for the specific product is written, and the number of inquiries about the specific product may indicate the number of times an inquiry is made for the specific product, and the number of payment completions for the specific product may indicate the number of times payment for the specific product has been successfully completed.
다양한 실시예들에 따라서, 상기 관리 서버는, 상기 인공지능 모델의 출력 데이터로서 상기 예측 기간 동안의 상기 특정 상품에 대한 예상 판매량 별 가중치에 대한 정보를 획득하고, 및 상기 가중치에 대한 정보 중에서 가중치가 가장 높은 예상 판매량을 상기 제1 예상 판매량으로 결정하도록 설정될 수 있다.According to various embodiments, the management server obtains information about a weight for each expected sales volume for the specific product during the prediction period as output data of the artificial intelligence model, and a weight is It may be set to determine the highest expected sales volume as the first predicted sales volume.
다양한 실시예들에 따라서, 상기 관리 서버는, 상기 제1 예상 판매량으로부터 상기 현재 재고량을 차감한 수량에 정해진 비율을 적용함으로써, 상기 특정 상품의 상기 발주량을 결정하도록 설정될 수 있다.According to various embodiments, the management server may be configured to determine the order amount of the specific product by applying a predetermined ratio to a quantity obtained by subtracting the current inventory amount from the first expected sales volume.
다양한 실시예들에 따라서, 상기 관리 서버는, 상기 관리 서버의 메모리로부터 각 상품에 대한 선택 정보 및 각 상품에 대한 판매량 정보를 획득하도록 설정될 수 있다.According to various embodiments, the management server may be configured to obtain selection information for each product and sales volume information for each product from the memory of the management server.
다양한 실시예들에 따라서, 상기 관리 서버는, 특정 시점 이전의 기간 별 각 상품에 대한 선택 정보를 입력 데이터로 설정하고, 상기 특정 시점 이후의 기간 별 각 상품의 판매량을 출력 데이터로 설정하여, 상기 인공지능 모델의 학습을 수행하도록 설정될 수 있다.According to various embodiments, the management server sets selection information for each product for each period before a specific time as input data, and sets the sales volume of each product for each period after the specific time as output data, It can be set to perform learning of an artificial intelligence model.
한편 도 1 내지 도 3을 참조하여 전자 장치(101)에 대해 다시 설명하도록 한다.Meanwhile, the
어떤 실시예에서는, 전자 장치(101)는, 구성요소들 중 적어도 하나를 생략하거나 다른 구성요소를 추가적으로 구비할 수 있다. 버스(110)는 구성요소들(110-170)을 서로 연결하고, 구성요소들 간의 통신(예: 제어 메시지 또는 데이터)을 전달하는 회로를 포함할 수 있다. 프로세서(120)는, 중앙처리장치, 어플리케이션 프로세서, 또는 커뮤니케이션 프로세서(communication processor(CP)) 중 하나 또는 그 이상을 포함할 수 있다. 프로세서(120)는, 예를 들면, 전자 장치(101)의 적어도 하나의 다른 구성요소들의 제어 및/또는 통신에 관한 연산이나 데이터 처리를 실행할 수 있다. In some embodiments, the
메모리(130)는, 휘발성 및/또는 비휘발성 메모리를 포함할 수 있다. 메모리(130)는, 예를 들면, 전자 장치(101)의 적어도 하나의 다른 구성요소에 관계된 명령 또는 데이터를 저장할 수 있다. 한 실시예에 따르면, 메모리(130)는 소프트웨어 및/또는 프로그램(140)을 저장할 수 있다. 프로그램(140)은, 예를 들면, 커널(141), 미들웨어(143), 어플리케이션 프로그래밍 인터페이스(API)(145), 및/또는 어플리케이션 프로그램(또는 "어플리케이션")(147) 등을 포함할 수 있다. 커널(141), 미들웨어(143), 또는 API(145)의 적어도 일부는, 운영 시스템으로 지칭될 수 있다. 커널(141)은, 예를 들면, 다른 프로그램들(예: 미들웨어(143), API(145), 또는 어플리케이션 프로그램(147))에 구현된 동작 또는 기능을 실행하는 데 사용되는 시스템 리소스들(예: 버스(110), 프로세서(120), 또는 메모리(130) 등)을 제어 또는 관리할 수 있다. 또한, 커널(141)은 미들웨어(143), API(145), 또는 어플리케이션 프로그램(147)에서 전자 장치(101)의 개별 구성요소에 접근함으로써, 시스템 리소스들을 제어 또는 관리할 수 있는 인터페이스를 제공할 수 있다. The
미들웨어(143)는, 예를 들면, API(145) 또는 어플리케이션 프로그램(147)이 커널(141)과 통신하여 데이터를 주고받을 수 있도록 중개 역할을 수행할 수 있다. 또한, 미들웨어(143)는 어플리케이션 프로그램(147)으로부터 수신된 하나 이상의 작업 요청들을 우선 순위에 따라 처리할 수 있다. 예를 들면, 미들웨어(143)는 어플리케이션 프로그램(147) 중 적어도 하나에 전자 장치(101)의 시스템 리소스(예: 버스(110), 프로세서(120), 또는 메모리(130) 등)를 사용할 수 있는 우선 순위를 부여하고, 상기 하나 이상의 작업 요청들을 처리할 수 있다. API(145)는 어플리케이션(147)이 커널(141) 또는 미들웨어(143)에서 제공되는 기능을 제어하기 위한 인터페이스로, 예를 들면, 파일 제어, 창 제어, 영상 처리, 또는 문자 제어 등을 위한 적어도 하나의 인터페이스 또는 함수(예: 명령어)를 포함할 수 있다. 입출력 인터페이스(150)는, 예를 들면, 사용자 또는 다른 외부 기기로부터 입력된 명령 또는 데이터를 전자 장치(101)의 다른 구성요소(들)에 전달하거나, 또는 전자 장치(101)의 다른 구성요소(들)로부터 수신된 명령 또는 데이터를 사용자 또는 다른 외부 기기로 출력할 수 있다. The
디스플레이(160)는, 예를 들면, 액정 디스플레이(LCD), 발광 다이오드(LED) 디스플레이, 유기 발광 다이오드(OLED) 디스플레이, 또는 마이크로 전자기계 시스템 (MEMS) 디스플레이, 또는 전자종이(electronic paper) 디스플레이를 포함할 수 있다. 디스플레이(160)는, 예를 들면, 사용자에게 각종 콘텐츠(예: 텍스트, 이미지, 비디오, 아이콘, 및/또는 심볼 등)을 표시할 수 있다. 디스플레이(160)는, 터치 스크린을 포함할 수 있으며, 예를 들면, 전자 펜 또는 사용자의 신체의 일부를 이용한 터치, 제스쳐, 근접, 또는 호버링 입력을 수신할 수 있다. 통신 인터페이스(170)는, 예를 들면, 전자 장치(101)와 외부 장치(예: 제 1 외부 전자 장치(102), 제 2 외부 전자 장치(104), 또는 서버(106)) 간의 통신을 설정할 수 있다. 예를 들면, 통신 인터페이스(170)는 무선 통신 또는 유선 통신을 통해서 네트워크(162)에 연결되어 외부 장치(예: 제 2 외부 전자 장치(104) 또는 서버(106))와 통신할 수 있다.
무선 통신은, 예를 들면, LTE, LTE-A(LTE Advance), CDMA(code division multiple access), WCDMA(wideband CDMA), UMTS(universal mobile telecommunications system), WiBro(Wireless Broadband), 또는 GSM(Global System for Mobile Communications) 등 중 적어도 하나를 사용하는 셀룰러 통신을 포함할 수 있다. 한 실시예에 따르면, 무선 통신은, 예를 들면, WiFi(wireless fidelity), 블루투스, 블루투스 저전력(BLE), 지그비(Zigbee), NFC(near field communication), 자력 시큐어 트랜스미션(Magnetic Secure Transmission), 라디오 프리퀀시(RF), 또는 보디 에어리어 네트워크(BAN) 중 적어도 하나를 포함할 수 있다. 한실시예에 따르면, 무선 통신은 GNSS를 포함할 수 있다. GNSS는, 예를 들면, GPS(Global Positioning System), Glonass(Global Navigation Satellite System), Beidou Navigation Satellite System(이하 "Beidou") 또는 Galileo, the European global satellite-based navigation system일 수 있다. 이하, 본 문서에서는, "GPS"는 "GNSS"와 상호 호환적으로 사용될 수 있다. 유선 통신은, 예를 들면, USB(universal serial bus), HDMI(high definition multimedia interface), RS-232(recommended standard232), 전력선 통신, 또는 POTS(plain old telephone service) 등 중 적어도 하나를 포함할 수 있다. 네트워크(162)는 텔레커뮤니케이션 네트워크, 예를 들면, 컴퓨터 네트워크(예: LAN 또는 WAN), 인터넷, 또는 텔레폰 네트워크 중 적어도 하나를 포함할 수 있다.Wireless communication, for example, LTE, LTE Advance (LTE-A), CDMA (code division multiple access), WCDMA (wideband CDMA), UMTS (universal mobile telecommunications system), WiBro (Wireless Broadband), or GSM (Global System for Mobile Communications) may include cellular communication using at least one of. According to one embodiment, the wireless communication is, for example, WiFi (wireless fidelity), Bluetooth, Bluetooth low energy (BLE), Zigbee (Zigbee), NFC (near field communication), magnetic secure transmission (Magnetic Secure Transmission), radio It may include at least one of a frequency (RF) or a body area network (BAN). According to one embodiment, the wireless communication may include GNSS. The GNSS may be, for example, a Global Positioning System (GPS), a Global Navigation Satellite System (Glonass), a Beidou Navigation Satellite System (hereinafter, “Beidou”) or Galileo, the European global satellite-based navigation system. Hereinafter, in this document, "GPS" may be used interchangeably with "GNSS". Wired communication may include, for example, at least one of universal serial bus (USB), high definition multimedia interface (HDMI), recommended standard232 (RS-232), power line communication, or plain old telephone service (POTS). have. The
제 1 및 제 2 외부 전자 장치(102, 104) 각각은 전자 장치(101)와 동일한 또는 다른 종류의 장치일 수 있다. 다양한 실시예에 따르면, 전자 장치(101)에서 실행되는 동작들의 전부 또는 일부는 다른 하나 또는 복수의 전자 장치(예: 전자 장치(102,104), 또는 서버(106)에서 실행될 수 있다. 한 실시예에 따르면, 전자 장치(101)가 어떤 기능이나 서비스를 자동으로 또는 요청에 의하여 수행해야 할 경우에, 전자 장치(101)는 기능 또는 서비스를 자체적으로 실행시키는 대신에 또는 추가적으로, 그와 연관된 적어도 일부 기능을 다른 장치(예: 전자 장치(102, 104), 또는 서버(106))에게 요청할 수 있다. 다른 전자 장치(예: 전자 장치(102, 104), 또는 서버(106))는 요청된 기능 또는 추가 기능을 실행하고, 그 결과를 전자 장치(101)로 전달할 수 있다. 전자 장치(101)는 수신된 결과를 그대로 또는 추가적으로 처리하여 요청된 기능이나 서비스를 제공할 수 있다. 이를 위하여, 예를 들면, 클라우드 컴퓨팅, 분산 컴퓨팅, 또는 클라이언트-서버 컴퓨팅 기술이 이용될 수 있다.Each of the first and second external
도 2는 다양한 실시예에 따른 전자 장치(201)의 블록도이다. 전자 장치(201)는, 예를 들면, 도 1에 도시된 전자 장치(101)의 전체 또는 일부를 포함할 수 있다. 전자 장치(201)는 하나 이상의 프로세서(예: AP)(210), 통신 모듈(220), (가입자 식별 모듈(224), 메모리(230), 센서 모듈(240), 입력 장치(250), 디스플레이(260), 인터페이스(270), 오디오 모듈(280), 카메라 모듈(291), 전력 관리 모듈(295), 배터리(296), 인디케이터(297), 및 모터(298) 를 포함할 수 있다. 프로세서(210)는, 예를 들면, 운영 체제 또는 응용 프로그램을 구동하여 프로세서(210)에 연결된 다수의 하드웨어 또는 소프트웨어 구성요소들을 제어할 수 있고, 각종 데이터 처리 및 연산을 수행할 수 있다. 프로세서(210)는, 예를 들면, SoC(system on chip) 로 구현될 수 있다. 한 실시예에 따르면, 프로세서(210)는 GPU(graphic processing unit) 및/또는 이미지 신호 프로세서를 더 포함할 수 있다. 프로세서(210)는 도 2에 도시된 구성요소들 중 적어도 일부(예: 셀룰러 모듈(221))를 포함할 수도 있다. 프로세서(210)는 다른 구성요소들(예: 비휘발성 메모리) 중 적어도 하나로부터 수신된 명령 또는 데이터를 휘발성 메모리에 로드)하여 처리하고, 결과 데이터를 비휘발성 메모리에 저장할 수 있다.2 is a block diagram of an electronic device 201 according to various embodiments. The electronic device 201 may include, for example, all or a part of the
통신 모듈(220)(예: 통신 인터페이스(170))와 동일 또는 유사한 구성을 가질 수 있다. 통신 모듈(220)은, 예를 들면, 셀룰러 모듈(221), WiFi 모듈(223), 블루투스 모듈(225), GNSS 모듈(227), NFC 모듈(228) 및 RF 모듈(229)를 포함할 수 있다. 셀룰러 모듈(221)은, 예를 들면, 통신망을 통해서 음성 통화, 영상 통화, 문자 서비스, 또는 인터넷 서비스 등을 제공할 수 있다. 한 실시예에 따르면, 셀룰러 모듈(221)은 가입자 식별 모듈(예: SIM 카드)(224)을 이용하여 통신 네트워크 내에서 전자 장치(201)의 구별 및 인증을 수행할 수 있다. 한 실시예에 따르면, 셀룰러 모듈(221)은 프로세서(210)가 제공할 수 있는 기능 중 적어도 일부 기능을 수행할 수 있다. 한 실시예에 따르면, 셀룰러 모듈(221)은 커뮤니케이션 프로세서(CP)를 포함할 수 있다. 어떤 실시예에 따르면, 셀룰러 모듈(221), WiFi 모듈(223), 블루투스 모듈(225), GNSS 모듈(227) 또는 NFC 모듈(228) 중 적어도 일부(예: 두 개 이상)는 하나의 integrated chip(IC) 또는 IC 패키지 내에 포함될 수 있다. RF 모듈(229)은, 예를 들면, 통신 신호(예: RF 신호)를 송수신할 수 있다. RF 모듈(229)은, 예를 들면, 트랜시버, PAM(power amp module), 주파수 필터, LNA(low noise amplifier), 또는 안테나 등을 포함할 수 있다. 다른 실시예에 따르면, 셀룰러 모듈(221), WiFi 모듈(223), 블루투스 모듈(225), GNSS 모듈(227) 또는 NFC 모듈(228) 중 적어도 하나는 별개의 RF 모듈을 통하여 RF 신호를 송수신할 수 있다. 가입자 식별 모듈(224)은, 예를 들면, 가입자 식별 모듈을 포함하는 카드 또는 임베디드 SIM을 포함할 수 있으며, 고유한 식별 정보(예: ICCID(integrated circuit card identifier)) 또는 가입자 정보(예: IMSI(international mobile subscriber identity))를 포함할 수 있다. The communication module 220 (eg, the communication interface 170) may have the same or similar configuration. The
메모리(230)(예: 메모리(130))는, 예를 들면, 내장 메모리(232) 또는 외장 메모리(234)를 포함할 수 있다. 내장 메모리(232)는, 예를 들면, 휘발성 메모리(예: DRAM, SRAM, 또는 SDRAM 등), 비휘발성 메모리(예: OTPROM(one time programmable ROM), PROM, EPROM, EEPROM, mask ROM, flash ROM, 플래시 메모리, 하드 드라이브, 또는 솔리드 스테이트 드라이브 (SSD) 중 적어도 하나를 포함할 수 있다. 외장 메모리(234)는 플래시 드라이브(flash drive), 예를 들면, CF(compact flash), SD(secure digital), Micro-SD, Mini-SD, xD(extreme digital), MMC(multi-media card) 또는 메모리 스틱 등을 포함할 수 있다. 외장 메모리(234)는 다양한 인터페이스를 통하여 전자 장치(201)와 기능적으로 또는 물리적으로 연결될 수 있다.The memory 230 (eg, the memory 130 ) may include, for example, an
센서 모듈(240)은, 예를 들면, 물리량을 계측하거나 전자 장치(201)의 작동 상태를 감지하여, 계측 또는 감지된 정보를 전기 신호로 변환할 수 있다. 센서 모듈(240)은, 예를 들면, 제스처 센서(240A), 자이로 센서(240B), 기압 센서(240C), 마그네틱 센서(240D), 가속도 센서(240E), 그립 센서(240F), 근접 센서(240G), 컬러(color) 센서(240H)(예: RGB(red, green, blue) 센서), 생체 센서(240I), 온/습도 센서(240J), 조도 센서(240K), 또는 UV(ultra violet) 센서(240M) 중의 적어도 하나를 포함할 수 있다. 추가적으로 또는 대체적으로, 센서 모듈(240)은, 예를 들면, 후각(e-nose) 센서, 일렉트로마이오그라피(EMG) 센서, 일렉트로엔씨팔로그램(EEG) 센서, 일렉트로카디오그램(ECG) 센서, IR(infrared) 센서, 홍채 센서 및/또는 지문 센서를 포함할 수 있다. 센서 모듈(240)은 그 안에 속한 적어도 하나 이상의 센서들을 제어하기 위한 제어 회로를 더 포함할 수 있다. 어떤 실시예에서는, 전자 장치(201)는 프로세서(210)의 일부로서 또는 별도로, 센서 모듈(240)을 제어하도록 구성된 프로세서를 더 포함하여, 프로세서(210)가 슬립(sleep) 상태에 있는 동안, 센서 모듈(240)을 제어할 수 있다.The
입력 장치(250)는, 예를 들면, 터치 패널(252), (디지털) 펜 센서(254), 키(256), 또는 초음파 입력 장치(258)를 포함할 수 있다. 터치 패널(252)은, 예를 들면, 정전식, 감압식, 적외선 방식, 또는 초음파 방식 중 적어도 하나의 방식을 사용할 수 있다. 또한, 터치 패널(252)은 제어 회로를 더 포함할 수도 있다. 터치 패널(252)은 택타일 레이어(tactile layer)를 더 포함하여, 사용자에게 촉각 반응을 제공할 수 있다. (디지털) 펜 센서(254)는, 예를 들면, 터치 패널의 일부이거나, 별도의 인식용 쉬트를 포함할 수 있다. 키(256)는, 예를 들면, 하드웨어 버튼, 광학식 키, 또는 키패드를 포함할 수 있다. 초음파 입력 장치(258)는 마이크(예: 마이크(288))를 통해, 입력 도구에서 발생된 초음파를 감지하여, 상기 감지된 초음파에 대응하는 데이터를 확인할 수 있다.The input device 250 may include, for example, a
디스플레이(260)(예: 디스플레이(160))는 패널(262), 홀로그램 장치(264), 프로젝터(266), 및/또는 이들을 제어하기 위한 제어 회로를 포함할 수 있다. 패널(262)은, 예를 들면, 유연하게, 투명하게, 또는 착용할 수 있게 구현될 수 있다. 패널(262)은 터치 패널(252)과 하나 이상의 모듈로 구성될 수 있다. 한 실시예에 따르면, 패널(262)은 사용자의 터치에 대한 압력의 세기를 측정할 수 있는 압력 센서(또는 포스 센서)를 포함할 수 있다. 상기 압력 센서는 터치 패널(252)과 일체형으로 구현되거나, 또는 터치 패널(252)과는 별도의 하나 이상의 센서로 구현될 수 있다. 홀로그램 장치(264)는 빛의 간섭을 이용하여 입체 영상을 허공에 보여줄 수 있다. 프로젝터(266)는 스크린에 빛을 투사하여 영상을 표시할 수 있다. 스크린은, 예를 들면, 전자 장치(201)의 내부 또는 외부에 위치할 수 있다. 인터페이스(270)는, 예를 들면, HDMI(272), USB(274), 광 인터페이스(optical interface)(276), 또는 D-sub(D-subminiature)(278)를 포함할 수 있다. 인터페이스(270)는, 예를 들면, 도 1에 도시된 통신 인터페이스(170)에 포함될 수 있다. 추가적으로 또는 대체적으로, 인터페이스(270)는, 예를 들면, MHL(mobile high-definition link) 인터페이스, SD카드/MMC(multi-media card) 인터페이스, 또는 IrDA(infrared data association) 규격 인터페이스를 포함할 수 있다. Display 260 (eg, display 160 ) may include
오디오 모듈(280)은, 예를 들면, 소리와 전기 신호를 쌍방향으로 변환시킬 수 있다. 오디오 모듈(280)의 적어도 일부 구성요소는, 예를 들면, 도 1에 도시된 입출력 인터페이스(145)에 포함될 수 있다. 오디오 모듈(280)은, 예를 들면, 스피커(282), 리시버(284), 이어폰(286), 또는 마이크(288) 등을 통해 입력 또는 출력되는 소리 정보를 처리할 수 있다. 카메라 모듈(291)은, 예를 들면, 정지 영상 및 동영상을 촬영할 수 있는 장치로서, 한 실시예에 따르면, 하나 이상의 이미지 센서(예: 전면 센서 또는 후면 센서), 렌즈, 이미지 시그널 프로세서(ISP), 또는 플래시(예: LED 또는 xenon lamp 등)를 포함할 수 있다. 전력 관리 모듈(295)은, 예를 들면, 전자 장치(201)의 전력을 관리할 수 있다. 한 실시예에 따르면, 전력 관리 모듈(295)은 PMIC(power management integrated circuit), 충전 IC, 또는 배터리 또는 연료 게이지를 포함할 수 있다. PMIC는, 유선 및/또는 무선 충전 방식을 가질 수 있다. 무선 충전 방식은, 예를 들면, 자기공명 방식, 자기유도 방식 또는 전자기파 방식 등을 포함하며, 무선 충전을 위한 부가적인 회로, 예를 들면, 코일 루프, 공진 회로, 또는 정류기 등을 더 포함할 수 있다. 배터리 게이지는, 예를 들면, 배터리(296)의 잔량, 충전 중 전압, 전류, 또는 온도를 측정할 수 있다. 배터리(296)는, 예를 들면, 충전식 전지 및/또는 태양 전지를 포함할 수 있다. The
인디케이터(297)는 전자 장치(201) 또는 그 일부(예: 프로세서(210))의 특정 상태, 예를 들면, 부팅 상태, 메시지 상태 또는 충전 상태 등을 표시할 수 있다. 모터(298)는 전기적 신호를 기계적 진동으로 변환할 수 있고, 진동, 또는 햅틱 효과 등을 발생시킬 수 있다. 전자 장치(201)는, 예를 들면, DMB(digital multimedia broadcasting), DVB(digital video broadcasting), 또는 미디어플로(mediaFloTM) 등의 규격에 따른 미디어 데이터를 처리할 수 있는 모바일 TV 지원 장치(예: GPU)를 포함할 수 있다. 본 문서에서 기술된 구성요소들 각각은 하나 또는 그 이상의 부품(component)으로 구성될 수 있으며, 해당 구성요소의 명칭은 전자 장치의 종류에 따라서 달라질 수 있다. 다양한 실시예에서, 전자 장치(예: 전자 장치(201))는 일부 구성요소가 생략되거나, 추가적인 구성요소를 더 포함하거나, 또는, 구성요소들 중 일부가 결합되어 하나의 개체로 구성되되, 결합 이전의 해당 구성요소들의 기능을 동일하게 수행할 수 있다.The
본 발명의 다양한 실시예에서, 전자 장치(201)(또는, 전자 장치(101))는, 전면, 후면 및 상기 전면과 상기 후면 사이의 공간을 둘러싸는 측면을 포함하는 하우징을 포함할 수도 있다. 터치스크린 디스플레이(예: 디스플레이(260))는, 상기 하우징 안에 배치되며, 상기 전면을 통하여 노출될 수 있다. 마이크(288)는, 상기 하우징 안에 배치되며, 상기 하우징의 부분을 통하여 노출될 수 있다. 적어도 하나의 스피커(282)는, 상기 하우징 안에 배치되며, 상기 하우징의 다른 부분을 통하여 노출될 수 있다. 하드웨어 버튼(예: 키(256))는, 상기 하우징의 또 다른 부분에 배치되거나 또는 상기 터치스크린 디스플레이 상에 표시하도록 설정될 수 있다. 무선 통신 회로(예: 통신 모듈(220))은, 상기 하우징 안에 위치할 수 있다. 상기 프로세서(210)(또는, 프로세서(120))는, 상기 하우징 안에 위치하며, 상기 터치스크린 디스플레이, 상기 마이크(288), 상기 스피커(282) 및 상기 무선 통신 회로에 전기적으로 연결될 수 있다. 상기 메모리(230)(또는, 메모리(130))는, 상기 하우징 안에 위치하며, 상기 프로세서(210)에 전기적으로 연결될 수 있다.In various embodiments of the present disclosure, the electronic device 201 (or the electronic device 101 ) may include a housing including a front surface, a rear surface, and side surfaces surrounding a space between the front surface and the rear surface. A touch screen display (eg, the display 260 ) may be disposed in the housing and exposed through the front surface. A
본 발명의 다양한 실시예에서, 상기 메모리(230)는, 텍스트 입력을 수신하기 위한 제 1 사용자 인터페이스를 포함하는 제 1 어플리케이션 프로그램을 저장하도록 설정되고, 상기 메모리(230)는, 실행 시에, 상기 프로세서(210)가, 제 1 동작과 제 2 동작을 수행하도록 야기하는 인스트럭션들을 저장하고, 상기 제 1 동작은, 상기 제 1 사용자 인터페이스가 상기 터치스크린 디스플레이 상에 표시되지 않는 도중에, 상기 버튼을 통하여 제 1 타입의 사용자 입력을 수신하고, 상기 제 1 타입의 사용자 입력을 수신한 이후에, 상기 마이크(288)를 통하여 제 1 사용자 발화를 수신하고, 자동 스피치 인식(ASR: automatic speech recognition) 및 지능 시스템(intelligence system)을 포함하는 외부 서버로 상기 제 1 사용자 발화에 대한 제 1 데이터를 제공하고, 상기 제 1 데이터를 제공한 이후에, 상기 외부 서버로부터 상기 제 1 사용자 발화에 응답하여 상기 지능 시스템에 의하여 생성되는 태스크를 수행하도록 하는 적어도 하나의 명령을 수신하고, 상기 제 2 동작은, 상기 터치스크린 디스플레이 상에 상기 제 1 사용자 인터페이스가 표시되는 도중에 상기 버튼을 통하여 상기 제 1 사용자 입력을 수신하고, 상기 제 1 타입의 사용자 입력을 수신한 이후에, 상기 마이크(288)를 통하여 제 2 사용자 발화를 수신하고, 상기 외부 서버로 상기 제 2 사용자 발화에 대한 제 2 데이터를 제공하고, 상기 제 2 데이터를 제공한 이후에, 상기 서버로부터, 상기 제 2 사용자 발화로부터 상기 자동 스피치 인식에 의하여 생성된 텍스트에 대한 데이터를 수신하지만, 상기 지능 시스템에 의하여 생성되는 명령은 수신하지 않고, 상기 제 1 사용자 인터페이스에 상기 텍스트를 입력할 수 있다.In various embodiments of the present disclosure, the
본 발명의 다양한 실시예에서, 상기 버튼은, 상기 하우징의 상기 측면에 위치하는 물리적인 키를 포함할 수 있다.In various embodiments of the present invention, the button may include a physical key located on the side of the housing.
본 발명의 다양한 실시예에서, 상기 제 1 타입의 사용자 입력은, 상기 버튼에 대한 1회 누름, 상기 버튼에 대한 2회 누름, 상기 버튼에 대한 3회 누름, 상기 버튼에 대한 1회 누른 이후에 누름 유지, 또는 상기 버튼에 대한 2회 누름 및 누름 유지 중 하나일 수 있다.In various embodiments of the present disclosure, the first type of user input may be performed after pressing the button once, pressing the button twice, pressing the button 3 times, and pressing the button once. It may be one of a press and hold, or a double press and hold press of the button.
본 발명의 다양한 실시예에서, 상기 인스트럭션들은, 상기 프로세서가 상기 제 1 사용자 인터페이스를 가상 키보드와 함께 표시하도록 더 야기할 수 있다. 상기 버튼은, 상기 가상 키보드의 일부가 아닐 수 있다.In various embodiments of the present disclosure, the instructions may further cause the processor to display the first user interface with a virtual keyboard. The button may not be part of the virtual keyboard.
본 발명의 다양한 실시예에서, 상기 인스트럭션들은, 상기 프로세서(210)가, 상기 외부 서버로부터, 상기 제 1 동작 내에서의 상기 제 1 사용자 발화로부터 ASR에 의하여 생성되는 텍스트에 대한 데이터를 수신하도록 더 야기할 수 있다.In various embodiments of the present disclosure, the instructions further cause the
본 발명의 다양한 실시예에서, 상기 제 1 어플리케이션 프로그램은, 노트 어플리케이션 프로그램, 이메일 어플리케이션 프로그램, 웹 브라우저 어플리케이션 프로그램 또는 달력 어플리케이션 프로그램 중 적어도 하나를 포함할 수 있다.In various embodiments of the present disclosure, the first application program may include at least one of a note application program, an email application program, a web browser application program, and a calendar application program.
본 발명의 다양한 실시예에서, 상기 제 1 어플리케이션 프로그램은, 메시지 어플리케이션을 포함하고, 상기 인스트럭션들은, 상기 프로세서(210)가, 상기 텍스트를 입력한 이후에 선택된 시간 기간이 초과하면, 상기 무선 통신 회로를 통하여 자동으로 입력된 텍스트를 송신하도록 더 야기할 수 있다.In various embodiments of the present disclosure, the first application program includes a message application, and the instructions include, when the
본 발명의 다양한 실시예에서, 상기 인스트럭션들은, 상기 프로세서(210)가, 제 3 동작을 수행하도록 더 야기하고, 상기 제 3 동작은, 상기 터치스크린 디스플레이 상에 상기 제 1 사용자 인터페이스를 표시하는 도중에, 상기 버튼을 통하여 제 2 타입의 사용자 입력을 수신하고, 상기 제 2 타입의 사용자 입력을 수신한 이후에, 상기 마이크를 통하여 제 3 사용자 발화를 수신하고, 상기 외부 서버로 상기 제 3 사용자 발화에 대한 제 3 데이터를 제공하고, 상기 제 3 데이터를 제공한 이후에, 상기 제 3 사용자 발화에 응답하여 상기 지능 시스템에 의하여 생성된 태스크를 수행하기 위한 적어도 하나의 명령을 상기 외부 서버로부터 수신할 수 있다.In various embodiments of the present disclosure, the instructions further cause the
본 발명의 다양한 실시예에서, 상기 인스트럭션들은, 상기 프로세서(210)가, 제 4 동작을 수행하도록 더 야기하고, 상기 제 4 동작은, 상기 터치스크린 디스플레이 상에 상기 제 1 사용자 인터페이스가 표시되지 않는 도중에, 상기 버튼을 통하여 상기 제 2 타입의 사용자 입력을 수신하고, 상기 제 2 타입의 사용자 입력을 수신한 이후에, 상기 마이크(288)를 통하여 제 4 사용자 발화를 수신하고, 상기 제 4 사용자 발화에 대한 제 4 데이터를 상기 외부 서버로 제공하고, 상기 제 4 데이터를 제공한 이후에, 상기 제 4 사용자 발화에 응답하여, 상기 지능 시스템에 의하여 생성된 태스크를 수행하기 위한 적어도 하나의 명령을 상기 외부 서버로부터 수신하고, 상기 마이크를 통하여 제 5 사용자 발화를 수신하고, 상기 외부 서버로, 상기 제 5 사용자 발화에 대한 제 5 데이터를 제공하고, 및 상기 제 5 데이터를 제공한 이후에, 상기 제 5 사용자 발화에 응답하여 상기 지능 시스템에 의하여 생성된 태스크를 수행하기 위한 적어도 하나의 명령을 상기 외부 서버로부터 수신할 수 있다.In various embodiments of the present disclosure, the instructions further cause the
본 발명의 다양한 실시예에서, 상기 제 1 타입의 사용자 입력 및 상기 제 2 타입의 사용자 입력은 서로 다르며, 상기 버튼에 대한 1회 누름, 상기 버튼에 대한 2회 누름, 상기 버튼에 대한 3회 누름, 상기 버튼에 대한 1회 누른 이후에 누름 유지, 또는 상기 버튼에 대한 2회 누름 및 누름 유지 중 하나로부터 선택될 수 있다.In various embodiments of the present invention, the first type of user input and the second type of user input are different from each other, and one press on the button, two presses on the button, three presses on the button , one of pressing and holding the button after pressing it once, or pressing and holding the press twice on the button.
본 발명의 다양한 실시예에서, 상기 메모리(230)는, 텍스트 입력을 수신하기 위한 제 2 사용자 인터페이스를 포함하는 제 2 어플리케이션 프로그램을 저장하도록 더 설정되며, 상기 인스트럭션들은, 실행 시에, 상기 프로세서(210)가, 제 3 동작을 수행하도록 더 야기하고, 상기 제 3 동작은, 상기 제 2 사용자 인터페이스를 표시하는 도중에 상기 버튼을 통하여 상기 제 1 타입의 사용자 입력을 수신하고, 상기 제 1 타입의 사용자 입력이 수신된 이후에, 상기 마이크를 통하여 제 3 사용자 발화를 수신하고, 상기 외부 서버로, 상기 제 3 사용자 발화에 대한 제 3 데이터를 제공하고, 상기 제 3 데이터를 제공한 이후에, 상기 외부 서버로부터, 상기 제 3 사용자 발화로부터 ASR에 의하여 생성된 텍스트에 대한 데이터를 수신하면서, 상기 지능 시스템에 의하여 생성되는 명령은 수신하지 않고, 상기 제 2 사용자 인터페이스에 상기 텍스트를 입력하고, 및 상기 텍스트를 입력하고, 선택된 시간 기간이 초과하면, 상기 무선 통신 회로를 통하여 상기 입력된 텍스트를 자동으로 송신할 수 있다.In various embodiments of the present disclosure, the
본 발명의 다양한 실시예에서, 상기 메모리(230)는, 텍스트 입력을 수신하기 위한 제 1 사용자 인터페이스를 포함하는 제 1 어플리케이션 프로그램을 저장하도록 설정되고, 상기 메모리(230)는, 실행 시에, 상기 프로세서(210)가, 제 1 동작과 제 2 동작을 수행하도록 야기하는 인스트럭션들을 저장하고, 상기 제 1 동작은, 상기 버튼을 통하여 제 1 타입의 사용자 입력을 수신하고, 상기 제 1 타입의 사용자 입력을 수신한 이후에, 상기 마이크(288)를 통하여 제 1 사용자 발화를 수신하고, 자동 스피치 인식(ASR: automatic speech recognition) 및 지능 시스템(intelligence system)을 포함하는 외부 서버로, 상기 제 1 사용자 발화에 대한 제 1 데이터를 제공하고, 및 상기 제 1 데이터를 제공한 이후에, 상기 제 1 사용자 발화에 응답하여 상기 지능 시스템에 의하여 생성된 태스크를 수행하기 위한 적어도 하나의 명령을 상기 외부 서버로부터 수신하고, 상기 제 2 동작은, 상기 버튼을 통하여 제 2 타입의 사용자 입력을 수신하고, 상기 제 2 타입의 사용자 입력을 수신한 이후에, 상기 마이크(288)를 통하여 제 2 사용자 발화를 수신하고, 상기 외부 서버로 상기 제 2 사용자 발화에 대한 제 2 데이터를 제공하고, 상기 제 2 데이터를 제공한 이후에, 상기 서버로부터, 상기 제 2 사용자 발화로부터 ASR에 의하여 생성된 텍스트에 대한 데이터를 수신하면서, 상기 지능 시스템에 의하여 생성되는 명령은 수신하지 않으며, 상기 제 1 사용자 인터페이스에 상기 텍스트를 입력할 수 있다.In various embodiments of the present disclosure, the
본 발명의 다양한 실시예에서, 상기 인스트럭션들은, 상기 프로세서(210)가 상기 제 1 사용자 인터페이스를 가상 키보드와 함께 표시하도록 더 야기할 수 있으며, 상기 버튼은, 상기 가상 키보드의 일부가 아닐 수 있다.In various embodiments of the present disclosure, the instructions may further cause the
본 발명의 다양한 실시예에서, 상기 인스트럭션들은, 상기 프로세서(210)가, 상기 외부 서버로부터 상기 제 1 동작 내에서 상기 제 1 사용자 발화로부터 상기 ASR에 의하여 생성되는 텍스트에 대한 데이터를 수신하도록 더 야기할 수 있다.In various embodiments of the present invention, the instructions further cause the
본 발명의 다양한 실시예에서, 상기 제 1 어플리케이션 프로그램은, 노트 어플리케이션 프로그램, 이메일 어플리케이션 프로그램, 웹 브라우저 어플리케이션 프로그램 또는 달력 어플리케이션 프로그램 중 적어도 하나를 포함할 수 있다.In various embodiments of the present disclosure, the first application program may include at least one of a note application program, an email application program, a web browser application program, and a calendar application program.
본 발명의 다양한 실시예에서, 상기 제 1 어플리케이션 프로그램은, 메시지 어플리케이션을 포함하고, 상기 인스트럭션들은, 상기 프로세서(210)가, 상기 텍스트를 입력한 이후에 선택된 시간 기간이 초과하면, 상기 무선 통신 회로를 통하여 자동으로 입력된 텍스트를 송신하도록 더 야기할 수 있다.In various embodiments of the present disclosure, the first application program includes a message application, and the instructions include, when the
본 발명의 다양한 실시예에서, 상기 인스트럭션들은, 상기 프로세서(210)가 상기 제 1 사용자 인터페이스의 상기 디스플레이 상에 표시와 독립적으로 상기 제 1 동작을 수행하도록 더 야기할 수 있다.In various embodiments of the present disclosure, the instructions may further cause the
본 발명의 다양한 실시예에서, 상기 인스트럭션들은, 상기 프로세서(210)가, 상기 전자 장치가 잠금 상태에 있거나 또는 상기 터치스크린 디스플레이가 턴 오프된 것 중 적어도 하나인 경우에, 상기 제 2 동작을 수행하도록 더 야기할 수 있다.In various embodiments of the present disclosure, the instructions perform the second operation when the
본 발명의 다양한 실시예에서, 상기 인스트럭션들은, 상기 프로세서(210)가, 상기 터치스크린 디스플레이 상에 상기 제 1 사용자 인터페이스를 표시하는 도중에, 상기 제 2 동작을 수행하도록 더 야기할 수 있다.In various embodiments of the present disclosure, the instructions may further cause the
본 발명의 다양한 실시예에서, 상기 메모리(230)는, 실행 시에, 상기 프로세서(210)가, 상기 마이크(288)를 통하여 사용자 발화를 수신하고, 자동 스피치 인식(automatic speech recognition: ASR) 또는 자연어 이해(natural language understanding: NLU) 중 적어도 하나를 수행하는 외부 서버로, 상기 사용자 발화에 대한 데이터와 함께, 상기 사용자 발화에 대한 데이터에 대하여 상기 ASR을 수행하여 획득된 텍스트에 대하여 상기 자연어 이해를 수행할지 여부와 연관된 정보를 송신하고, 상기 정보가 상기 자연어 이해를 수행하지 않을 것을 나타내면, 상기 외부 서버로부터 상기 사용자 발화에 대한 데이터에 대한 상기 텍스트를 수신하고, 상기 정보가 상기 자연어 이해를 수행할 것을 나타내면, 상기 외부 서버로부터 상기 텍스트에 대한 상기 자연어 이해 수행 결과 획득된 명령을 수신하도록 야기하는 인스트럭션을 저장할 수 있다.In various embodiments of the present invention, the
도 3은 다양한 실시예에 따른 프로그램 모듈의 블록도이다. 한 실시예에 따르면, 프로그램 모듈(310)(예: 프로그램(140))은 전자 장치(예: 전자 장치(101))에 관련된 자원을 제어하는 운영 체제 및/또는 운영 체제 상에서 구동되는 다양한 어플리케이션(예: 어플리케이션 프로그램(147))을 포함할 수 있다. 운영 체제는, 예를 들면, AndroidTM, iOSTM, WindowsTM, SymbianTM, TizenTM, 또는 BadaTM를 포함할 수 있다. 도 3을 참조하면, 프로그램 모듈(310)은 커널(320)(예: 커널(141)), 미들웨어(330)(예: 미들웨어(143)), (API(360)(예: API(145)), 및/또는 어플리케이션(370)(예: 어플리케이션 프로그램(147))을 포함할 수 있다. 프로그램 모듈(310)의 적어도 일부는 전자 장치 상에 프리로드 되거나, 외부 전자 장치(예: 전자 장치(102, 104), 서버(106) 등)로부터 다운로드 가능하다.3 is a block diagram of a program module according to various embodiments of the present disclosure; According to one embodiment, the program module 310 (eg, the program 140) is an operating system that controls resources related to the electronic device (eg, the electronic device 101) and/or various applications ( For example, the application program 147) may be included. The operating system may include, for example, Android TM , iOS TM , Windows TM , Symbian TM , Tizen TM , or Bada TM . Referring to FIG. 3 , the
커널(320)은, 예를 들면, 시스템 리소스 매니저(321) 및/또는 디바이스 드라이버(323)를 포함할 수 있다. 시스템 리소스 매니저(321)는 시스템 리소스의 제어, 할당, 또는 회수를 수행할 수 있다. 한 실시예에 따르면, 시스템 리소스 매니저(321)는 프로세스 관리부, 메모리 관리부, 또는 파일 시스템 관리부를 포함할 수 있다. 디바이스 드라이버(323)는, 예를 들면, 디스플레이 드라이버, 카메라 드라이버, 블루투스 드라이버, 공유 메모리 드라이버, USB 드라이버, 키패드 드라이버, WiFi 드라이버, 오디오 드라이버, 또는 IPC(inter-process communication) 드라이버를 포함할 수 있다. 미들웨어(330)는, 예를 들면, 어플리케이션(370)이 공통적으로 필요로 하는 기능을 제공하거나, 어플리케이션(370)이 전자 장치 내부의 제한된 시스템 자원을 사용할 수 있도록 API(360)를 통해 다양한 기능들을 어플리케이션(370)으로 제공할 수 있다. 한 실시예에 따르면, 미들웨어(330) 는 런타임 라이브러리(335), 어플리케이션 매니저(341), 윈도우 매니저(342), 멀티미디어 매니저(343), 리소스 매니저(344), 파워 매니저(345), 데이터베이스 매니저(346), 패키지 매니저(347), 커넥티비티 매니저(348), 노티피케이션 매니저(349), 로케이션 매니저(350), 그래픽 매니저(351), 또는 시큐리티 매니저(352) 중 적어도 하나를 포함할 수 있다.The
런타임 라이브러리(335)는, 예를 들면, 어플리케이션(370)이 실행되는 동안에 프로그래밍 언어를 통해 새로운 기능을 추가하기 위해 컴파일러가 사용하는 라이브러리 모듈을 포함할 수 있다. 런타임 라이브러리(335)는 입출력 관리, 메모리 관리, 또는 산술 함수 처리를 수행할 수 있다. 어플리케이션 매니저(341)는, 예를 들면, 어플리케이션(370)의 생명 주기를 관리할 수 있다. 윈도우 매니저(342)는 화면에서 사용되는 GUI 자원을 관리할 수 있다. 멀티미디어 매니저(343)는 미디어 파일들의 재생에 필요한 포맷을 파악하고, 해당 포맷에 맞는 코덱을 이용하여 미디어 파일의 인코딩 또는 디코딩을 수행할 수 있다. 리소스 매니저(344)는 어플리케이션(370)의 소스 코드 또는 메모리의 공간을 관리할 수 있다. 파워 매니저(345)는, 예를 들면, 배터리의 용량 또는 전원을 관리하고, 전자 장치의 동작에 필요한 전력 정보를 제공할 수 있다. 한 실시예에 따르면, 파워 매니저(345)는 바이오스(BIOS: basic input/output system)와 연동할 수 있다. 데이터베이스 매니저(346)는, 예를 들면, 어플리케이션(370)에서 사용될 데이터베이스를 생성, 검색, 또는 변경할 수 있다. 패키지 매니저(347)는 패키지 파일의 형태로 배포되는 어플리케이션의 설치 또는 갱신을 관리할 수 있다. The
커넥티비티 매니저(348)는, 예를 들면, 무선 연결을 관리할 수 있다. 노티피케이션 매니저(349)는, 예를 들면, 도착 메시지, 약속, 근접성 알림 등의 이벤트를 사용자에게 제공할 수 있다. 로케이션 매니저(350)는, 예를 들면, 전자 장치의 위치 정보를 관리할 수 있다. 그래픽 매니저(351)는, 예를 들면, 사용자에게 제공될 그래픽 효과 또는 이와 관련된 사용자 인터페이스를 관리할 수 있다. 보안 매니저(352)는, 예를 들면, 시스템 보안 또는 사용자 인증을 제공할 수 있다. 한 실시예에 따르면, 미들웨어(330)는 전자 장치의 음성 또는 영상 통화 기능을 관리하기 위한 통화(telephony) 매니저 또는 전술된 구성요소들의 기능들의 조합을 형성할 수 있는 하는 미들웨어 모듈을 포함할 수 있다. 한 실시예에 따르면, 미들웨어(330)는 운영 체제의 종류 별로 특화된 모듈을 제공할 수 있다. 미들웨어(330)는 동적으로 기존의 구성요소를 일부 삭제하거나 새로운 구성요소들을 추가할 수 있다. API(360)는, 예를 들면, API 프로그래밍 함수들의 집합으로, 운영 체제에 따라 다른 구성으로 제공될 수 있다. 예를 들면, 안드로이드 또는 iOS의 경우, 플랫폼 별로 하나의 API 셋을 제공할 수 있으며, 타이젠의 경우, 플랫폼 별로 두 개 이상의 API 셋을 제공할 수 있다.The
어플리케이션(370)은, 예를 들면, 홈(371), 다이얼러(372), SMS/MMS(373), IM(instant message)(374), 브라우저(375), 카메라(376), 알람(377), 컨택트(378), 음성 다이얼(379), 이메일(380), 달력(381), 미디어 플레이어(382), 앨범(383), 와치(384), 헬스 케어(예: 운동량 또는 혈당 등을 측정), 또는 환경 정보(예: 기압, 습도, 또는 온도 정보) 제공 어플리케이션을 포함할 수 있다. 한 실시예에 따르면, 어플리케이션(370)은 전자 장치와 외부 전자 장치 사이의 정보 교환을 지원할 수 있는 정보 교환 어플리케이션을 포함할 수 있다. 정보 교환 어플리케이션은, 예를 들면, 외부 전자 장치에 특정 정보를 전달하기 위한 노티피케이션 릴레이 어플리케이션, 또는 외부 전자 장치를 관리하기 위한 장치 관리 어플리케이션을 포함할 수 있다. 예를 들면, 알림 전달 어플리케이션은 전자 장치의 다른 어플리케이션에서 발생된 알림 정보를 외부 전자 장치로 전달하거나, 또는 외부 전자 장치로부터 알림 정보를 수신하여 사용자에게 제공할 수 있다. 장치 관리 어플리케이션은, 예를 들면, 전자 장치와 통신하는 외부 전자 장치의 기능(예: 외부 전자 장치 자체(또는, 일부 구성 부품)의 턴-온/턴-오프 또는 디스플레이의 밝기(또는, 해상도) 조절), 또는 외부 전자 장치에서 동작하는 어플리케이션을 설치, 삭제, 또는 갱신할 수 있다. 한 실시예에 따르면, 어플리케이션(370)은 외부 전자 장치의 속성에 따라 지정된 어플리케이션(예: 모바일 의료 기기의 건강 관리 어플리케이션)을 포함할 수 있다. 한 실시예에 따르면, 어플리케이션(370)은 외부 전자 장치로부터 수신된 어플리케이션을 포함할 수 있다. 프로그램 모듈(310)의 적어도 일부는 소프트웨어, 펌웨어, 하드웨어(예: 프로세서(210)), 또는 이들 중 적어도 둘 이상의 조합으로 구현(예: 실행)될 수 있으며, 하나 이상의 기능을 수행하기 위한 모듈, 프로그램, 루틴, 명령어 세트 또는 프로세스를 포함할 수 있다.The
본 문서에서 사용된 용어 "모듈"은 하드웨어, 소프트웨어 또는 펌웨어로 구성된 유닛을 포함하며, 예를 들면, 로직, 논리 블록, 부품, 또는 회로 등의 용어와 상호 호환적으로 사용될 수 있다. "모듈"은, 일체로 구성된 부품 또는 하나 또는 그 이상의 기능을 수행하는 최소 단위 또는 그 일부가 될 수 있다. "모듈"은 기계적으로 또는 전자적으로 구현될 수 있으며, 예를 들면, 어떤 동작들을 수행하는, 알려졌거나 앞으로 개발될, ASIC(application-specific integrated circuit) 칩, FPGAs(field-programmable gate arrays), 또는 프로그램 가능 논리 장치를 포함할 수 있다. 다양한 실시예에 따른 장치(예: 모듈들 또는 그 기능들) 또는 방법(예: 동작들)의 적어도 일부는 프로그램 모듈의 형태로 컴퓨터로 판독 가능한 저장 매체(예: 메모리(130))에 저장된 명령어로 구현될 수 있다. 상기 명령어가 프로세서(예: 프로세서(120))에 의해 실행될 경우, 프로세서가 상기 명령어에 해당하는 기능을 수행할 수 있다. 컴퓨터로 판독 가능한 기록 매체는, 하드디스크, 플로피디스크, 마그네틱 매체(예: 자기테이프), 광기록 매체(예: CD-ROM, DVD, 자기-광 매체 (예: 플롭티컬 디스크), 내장 메모리 등을 포함할 수 있다. 명령어는 컴파일러에 의해 만들어지는 코드 또는 인터프리터에 의해 실행될 수 있는 코드를 포함할 수 있다. 다양한 실시예에 따른 모듈 또는 프로그램 모듈은 전술한 구성요소들 중 적어도 하나 이상을 포함하거나, 일부가 생략되거나, 또는 다른 구성요소를 더 포함할 수 있다. 다양한 실시예에 따른, 모듈, 프로그램 모듈 또는 다른 구성요소에 의해 수행되는 동작들은 순차적, 병렬적, 반복적 또는 휴리스틱하게 실행되거나, 적어도 일부 동작이 다른 순서로 실행되거나, 생략되거나, 또는 다른 동작이 추가될 수 있다.As used herein, the term “module” includes a unit composed of hardware, software, or firmware, and may be used interchangeably with terms such as, for example, logic, logic block, component, or circuit. A “module” may be an integrally formed component or a minimum unit or a part of performing one or more functions. A “module” may be implemented mechanically or electronically, for example, known or to be developed, application-specific integrated circuit (ASIC) chips, field-programmable gate arrays (FPGAs), or It may include a programmable logic device. At least a portion of an apparatus (eg, modules or functions thereof) or a method (eg, operations) according to various embodiments includes instructions stored in a computer-readable storage medium (eg, memory 130 ) in the form of a program module can be implemented as When the instruction is executed by a processor (eg, the processor 120), the processor may perform a function corresponding to the instruction. Computer-readable recording media include hard disks, floppy disks, magnetic media (eg, magnetic tape), optical recording media (eg, CD-ROM, DVD, magneto-optical media (eg, floppy disks), built-in memory, etc.) An instruction may include a code generated by a compiler or a code that can be executed by an interpreter A module or program module according to various embodiments may include at least one or more of the above-described components or , some may be omitted, or may further include other components According to various embodiments, operations performed by a module, a program module, or other components are sequentially, parallelly, repetitively or heuristically executed, or at least Some operations may be executed in a different order, omitted, or other operations may be added.
그리고 본 문서에 개시된 실시예는 개시된, 기술 내용의 설명 및 이해를 위해 제시된 것이며, 본 개시의 범위를 한정하는 것은 아니다. 따라서, 본 개시의 범위는, 본 개시의 기술적 사상에 근거한 모든 변경 또는 다양한 다른 실시예를 포함하는 것으로 해석되어야 한다.In addition, the embodiments disclosed in this document are provided for description and understanding of the disclosed, technical content, and do not limit the scope of the present disclosure. Accordingly, the scope of the present disclosure should be construed to include all modifications or various other embodiments based on the technical spirit of the present disclosure.
Claims (5)
상기 재고 관리 서비스를 온라인 플랫폼에 접속하기 위한 복수의 사용자 장치들;
상품 제공 서버; 및
상기 온라인 플랫폼을 제공하기 위한 관리 서버; 를 포함하고,
상기 관리 서버는:
예상 판매량을 추정하기 위한 인공지능 모델을 학습시키되, 특정 시점 이전의 제1 이전 기간 동안의 각 상품에 대한 선택 정보를 입력 데이터로 설정한 학습데이터로써 상기 인공지능 모델에 입력하여 상기 인공지능 모델을 학습시키고, 상기 특정 시점 이후의 제1 이후 기간 동안의 각 상품의 제1 판매량, 제2 이후 기간 동안의 각 상품의 제2 판매량, 및 제3 이후 기간 동안의 각 상품의 제3 판매량을 출력 데이터로 설정한 학습데이터로써 상기 인공지능 모델에 입력하여 상기 인공지능 모델을 학습시키고, 상기 선택 정보는 상기 복수의 사용자 장치들에 의해 입력되고, 상기 선택 정보는 해당 상품의 상세 정보 선택 횟수, 장바구니 추가 횟수, 관심 상품 등록 횟수, 리뷰 횟수, 문의 횟수, 및 결제 완료 횟수를 포함하고,
상기 복수의 사용자 장치들로부터 특정 기간 동안 획득한 특정 상품에 대한 선택 정보를 수신하고,
상기 특정 상품과 관련된 모니터링 기간(time)을 아래의 수학식 1을 통해 계산하고,
상기 인공지능 모델에 상기 특정 상품에 대한 선택 정보 및 상기 특정 상품과 관련된 상기 모니터링 기간을 적용함으로써, 상기 모니터링 기간 동안에 상기 특정 상품이 판매될 제1 예상 판매량을 산출하고,
상기 특정 상품의 현재 재고량 및 상기 제1 예상 판매량에 기초하여 상기 특정 상품의 발주량을 산출하고,
상기 특정 상품에 대한 상기 발주량에 기초하여 상기 특정 상품의 배송을 요청하는 메시지를 상기 상품 제공 서버에게 송신하도록 설정되고,
[수학식 1]
td는 사용자들이 상기 온라인 플랫폼에 접속하여 구매하기까지 소요되는 시간의 평균을 나타내고, nd는 상기 온라인 플랫폼에서 판매중인 전체 상품들 중에서 상기 특정 상품과 동일한 카테고리에 속하는 상품들의 수, nt는 상기 온라인 플랫폼에서 판매중인 전체 상품들의 수, nc는 상기 온라인 플랫폼에 접속중인 사용자들의 수, ta는 사용자들이 상기 온라인 플랫폼에서 특정 상품을 장바구니에 넣고 구매하기까지의 평균 시간을 나타내고,
N 및 M은, 상기 관리 서버에 의해 임의로 설정되는 상수 값이며, 관리자의 입력에 따라 조정되고,
상기 관리 서버는:
상기 인공지능 모델의 출력 데이터로서 상기 모니터링 기간 동안의 상기 특정 상품에 대한 예상 판매량 별 가중치에 대한 정보를 획득하고,
상기 가중치에 대한 정보 중에서 가중치가 가장 높은 예상 판매량을 상기 제1 예상 판매량으로 결정하고,
상기 제1 예상 판매량으로부터 상기 현재 재고량을 차감한 수량에 정해진 비율을 적용함으로써, 상기 특정 상품의 상기 발주량을 결정하도록 설정된, 재고 관리 서비스를 제공하는 시스템.
In the system for providing an inventory management service,
a plurality of user devices for connecting the inventory management service to an online platform;
product providing server; and
a management server for providing the online platform; including,
The management server is:
An artificial intelligence model for estimating the expected sales volume is trained, and the selection information for each product during the first previous period before a specific time is inputted to the artificial intelligence model as learning data set as input data to create the artificial intelligence model. and output data of the first sales volume of each product in the first and subsequent periods after the specific point in time, the second sales volume of each product in the second and subsequent periods, and the third sales volume of each product in the third and subsequent periods The artificial intelligence model is learned by inputting it into the artificial intelligence model as learning data set as including the number of times, the number of registrations of products of interest, the number of reviews, the number of inquiries, and the number of payment completions;
Receive selection information for a specific product acquired during a specific period from the plurality of user devices,
Calculate the monitoring period (time) related to the specific product through Equation 1 below,
By applying the selection information for the specific product and the monitoring period related to the specific product to the artificial intelligence model, calculating a first expected sales volume in which the specific product will be sold during the monitoring period,
calculating an order amount of the specific product based on the current inventory amount of the specific product and the first expected sales volume;
set to transmit a message requesting delivery of the specific product to the product providing server based on the order amount for the specific product;
[Equation 1]
t d represents the average of the time it takes users to access and purchase the online platform, n d is the number of products belonging to the same category as the specific product among all products sold on the online platform, n t is the total number of products sold on the online platform, n c is the number of users accessing the online platform, t a is the average time it takes for users to put a specific product in their shopping cart and purchase it on the online platform,
N and M are constant values arbitrarily set by the management server, and are adjusted according to the input of the administrator,
The management server is:
Obtaining information on weights for each expected sales volume for the specific product during the monitoring period as output data of the artificial intelligence model,
determining the expected sales volume having the highest weight among the information on the weight as the first expected sales volume;
A system for providing an inventory management service, configured to determine the order amount of the specific product by applying a predetermined ratio to a quantity obtained by subtracting the current inventory amount from the first expected sales volume.
상기 특정 상품의 상세 정보 선택 횟수는, 상기 전체 상품들에 관한 정보를 포함하는 상품 리스트 중에서 상기 복수의 사용자 장치들에 의하여 상기 특정 상품이 선택되어 상기 특정 상품의 상세 정보를 표시한 횟수를 나타내고,
상기 특정 상품의 상기 장바구니 추가 횟수는, 상기 복수의 사용자 장치들에 의하여 상기 특정 상품이 장바구니에 추가된 횟수를 나타내고,
상기 특정 상품의 상기 관심 상품 등록 횟수는, 상기 복수의 사용자 장치들에 의하여 상기 특정 상품이 관심 상품으로 등록된 횟수를 나타내고,
상기 특정 상품에 대한 상기 리뷰 횟수는, 상기 특정 상품에 대한 리뷰가 작성된 횟수를 나타내고,
상기 특정 상품에 대한 상기 문의 횟수는, 상기 특정 상품에 대한 문의가 작성된 횟수를 나타내고,
상기 특정 상품에 대한 상기 결제 완료 횟수는, 상기 특정 상품에 대한 비용 결제가 성공적으로 완료된 횟수를 나타내는, 재고 관리 서비스를 제공하는 시스템.The method of claim 1,
The number of times of selecting detailed information of the specific product indicates the number of times the specific product is selected by the plurality of user devices from the product list including information on all products and the detailed information of the specific product is displayed,
The number of times of adding the specific product to the shopping cart indicates the number of times the specific product is added to the shopping cart by the plurality of user devices,
The number of registration of the product of interest of the specific product indicates the number of times the specific product is registered as a product of interest by the plurality of user devices,
The number of reviews for the specific product indicates the number of times a review is written for the specific product,
The number of inquiries about the specific product indicates the number of times an inquiry has been made for the specific product,
The number of payment completions for the specific product indicates the number of times the payment for the specific product has been successfully completed, a system for providing an inventory management service.
Priority Applications (1)
| Application Number | Priority Date | Filing Date | Title |
|---|---|---|---|
| KR1020210193668A KR102449350B1 (en) | 2021-12-31 | 2021-12-31 | A system for providing an inventory management service and a method for operating the same |
Applications Claiming Priority (1)
| Application Number | Priority Date | Filing Date | Title |
|---|---|---|---|
| KR1020210193668A KR102449350B1 (en) | 2021-12-31 | 2021-12-31 | A system for providing an inventory management service and a method for operating the same |
Publications (1)
| Publication Number | Publication Date |
|---|---|
| KR102449350B1 true KR102449350B1 (en) | 2022-09-29 |
Family
ID=83462057
Family Applications (1)
| Application Number | Title | Priority Date | Filing Date |
|---|---|---|---|
| KR1020210193668A Active KR102449350B1 (en) | 2021-12-31 | 2021-12-31 | A system for providing an inventory management service and a method for operating the same |
Country Status (1)
| Country | Link |
|---|---|
| KR (1) | KR102449350B1 (en) |
Cited By (1)
| Publication number | Priority date | Publication date | Assignee | Title |
|---|---|---|---|---|
| KR102578734B1 (en) | 2023-07-10 | 2023-09-13 | 이상호 | System for providing of parts informatiom, order processing and inventory management based on usage and design information of industrial automation equipment |
Citations (9)
| Publication number | Priority date | Publication date | Assignee | Title |
|---|---|---|---|---|
| KR20020079302A (en) | 2001-04-13 | 2002-10-19 | 김선경 | Management method in online shopping mall |
| KR20140115430A (en) * | 2013-03-19 | 2014-10-01 | 주식회사 다나와 | Method for providing evaluation of online seller |
| KR101656055B1 (en) * | 2015-03-30 | 2016-09-08 | 주식회사 포워드벤처스 | Method and apparatus for providing a list of products which is viewed by a user |
| KR101656054B1 (en) * | 2015-03-27 | 2016-09-08 | 주식회사 포워드벤처스 | Apparatus, method and computer program for providing shopping service |
| KR102045950B1 (en) * | 2019-07-12 | 2019-12-02 | (주)제이코스 | System and server for managing inventory by use of erp in walfare internet shopping mall |
| KR20200009542A (en) * | 2018-07-19 | 2020-01-30 | 한국기술교육대학교 산학협력단 | Intelligent Shopping Platform Management System and Its Methods Based on Consumer Big Data |
| KR20200131549A (en) * | 2019-05-14 | 2020-11-24 | 카페24 주식회사 | Item sales volume prediction method, apparatus and system using artificial intelligence model |
| KR20210024365A (en) * | 2019-08-23 | 2021-03-05 | 주식회사 인텔리콘 연구소 | System and method for analysing legal documents based on artificial intelligence |
| KR20210116435A (en) * | 2018-11-01 | 2021-09-27 | 씨 3.에이아이, 인크. | Systems and methods for inventory management and optimization |
-
2021
- 2021-12-31 KR KR1020210193668A patent/KR102449350B1/en active Active
Patent Citations (9)
| Publication number | Priority date | Publication date | Assignee | Title |
|---|---|---|---|---|
| KR20020079302A (en) | 2001-04-13 | 2002-10-19 | 김선경 | Management method in online shopping mall |
| KR20140115430A (en) * | 2013-03-19 | 2014-10-01 | 주식회사 다나와 | Method for providing evaluation of online seller |
| KR101656054B1 (en) * | 2015-03-27 | 2016-09-08 | 주식회사 포워드벤처스 | Apparatus, method and computer program for providing shopping service |
| KR101656055B1 (en) * | 2015-03-30 | 2016-09-08 | 주식회사 포워드벤처스 | Method and apparatus for providing a list of products which is viewed by a user |
| KR20200009542A (en) * | 2018-07-19 | 2020-01-30 | 한국기술교육대학교 산학협력단 | Intelligent Shopping Platform Management System and Its Methods Based on Consumer Big Data |
| KR20210116435A (en) * | 2018-11-01 | 2021-09-27 | 씨 3.에이아이, 인크. | Systems and methods for inventory management and optimization |
| KR20200131549A (en) * | 2019-05-14 | 2020-11-24 | 카페24 주식회사 | Item sales volume prediction method, apparatus and system using artificial intelligence model |
| KR102045950B1 (en) * | 2019-07-12 | 2019-12-02 | (주)제이코스 | System and server for managing inventory by use of erp in walfare internet shopping mall |
| KR20210024365A (en) * | 2019-08-23 | 2021-03-05 | 주식회사 인텔리콘 연구소 | System and method for analysing legal documents based on artificial intelligence |
Cited By (1)
| Publication number | Priority date | Publication date | Assignee | Title |
|---|---|---|---|---|
| KR102578734B1 (en) | 2023-07-10 | 2023-09-13 | 이상호 | System for providing of parts informatiom, order processing and inventory management based on usage and design information of industrial automation equipment |
Similar Documents
| Publication | Publication Date | Title |
|---|---|---|
| KR102363794B1 (en) | Information providing method and electronic device supporting the same | |
| CN108664829B (en) | A device used to provide information about objects in an image | |
| KR102303534B1 (en) | Apparatus for providing customized product information | |
| KR102607791B1 (en) | Method for providing service based on transaction history and an electronic device thereof | |
| US10972861B2 (en) | Electronic device and system for providing point of interest information | |
| KR102795400B1 (en) | Electronic apparatus and controlling method thereof | |
| US10034151B2 (en) | Method for providing point of interest and electronic device thereof | |
| KR102385246B1 (en) | Method and appartus for measuring color of fabric | |
| KR102262259B1 (en) | Server for providing service for matching room mate and method for operation thereof | |
| KR102356345B1 (en) | Electronic device and controlling method thereof | |
| KR102486575B1 (en) | Apparatus and method of recommending user-customized health food | |
| KR20220065625A (en) | electronic system that supports renaming of membership based on electronic documents | |
| KR102449350B1 (en) | A system for providing an inventory management service and a method for operating the same | |
| KR102201577B1 (en) | method and apparatus for providing shopping mall related information | |
| KR102351885B1 (en) | methods and systems for providing business information | |
| KR102349491B1 (en) | Server for business management system and the control method thereof | |
| KR102479937B1 (en) | System for borkering advertisements | |
| KR102324379B1 (en) | Server operating fitness goods trading platform and methos for operating the same | |
| KR102196241B1 (en) | Electronic device for providing search result through website related to shopping mall and method for operation thereof | |
| KR102680409B1 (en) | Electronic device and method for providing delivery information using the same | |
| KR102388014B1 (en) | Server providing application related to land control using drone and operation method thereof | |
| KR20220120871A (en) | Server providing popularity voting service and method of operation thereof | |
| KR102632502B1 (en) | apparatus for online platform that provides real estate information | |
| KR102347991B1 (en) | method for adaptively controlling marketing and product exposure on online platform, and device to which the method is applied | |
| KR20220007262A (en) | Electronic device for providing website related to marketing and method for operation thereof |
Legal Events
| Date | Code | Title | Description |
|---|---|---|---|
| PA0109 | Patent application |
Patent event code: PA01091R01D Comment text: Patent Application Patent event date: 20211231 |
|
| PA0201 | Request for examination | ||
| PA0302 | Request for accelerated examination |
Patent event date: 20220110 Patent event code: PA03022R01D Comment text: Request for Accelerated Examination Patent event date: 20211231 Patent event code: PA03021R01I Comment text: Patent Application |
|
| E701 | Decision to grant or registration of patent right | ||
| PE0701 | Decision of registration |
Patent event code: PE07011S01D Comment text: Decision to Grant Registration Patent event date: 20220926 |
|
| GRNT | Written decision to grant | ||
| PR0701 | Registration of establishment |
Comment text: Registration of Establishment Patent event date: 20220927 Patent event code: PR07011E01D |
|
| PR1002 | Payment of registration fee |
Payment date: 20220927 End annual number: 3 Start annual number: 1 |
|
| PG1601 | Publication of registration |

