KR102441528B1 - Method and apparatus for estimating input information of FIR filter in same-band full-duplex transceiver - Google Patents
Method and apparatus for estimating input information of FIR filter in same-band full-duplex transceiver Download PDFInfo
- Publication number
- KR102441528B1 KR102441528B1 KR1020160074066A KR20160074066A KR102441528B1 KR 102441528 B1 KR102441528 B1 KR 102441528B1 KR 1020160074066 A KR1020160074066 A KR 1020160074066A KR 20160074066 A KR20160074066 A KR 20160074066A KR 102441528 B1 KR102441528 B1 KR 102441528B1
- Authority
- KR
- South Korea
- Prior art keywords
- signal
- fir filter
- transmission
- period
- input information
- Prior art date
- Legal status (The legal status is an assumption and is not a legal conclusion. Google has not performed a legal analysis and makes no representation as to the accuracy of the status listed.)
- Active
Links
- 238000000034 method Methods 0.000 title claims abstract description 39
- 238000012549 training Methods 0.000 claims abstract description 46
- 230000005540 biological transmission Effects 0.000 claims description 44
- 238000005516 engineering process Methods 0.000 description 13
- 230000014509 gene expression Effects 0.000 description 11
- 238000012545 processing Methods 0.000 description 7
- 238000010586 diagram Methods 0.000 description 6
- 238000004891 communication Methods 0.000 description 3
- 238000005070 sampling Methods 0.000 description 3
- 230000001934 delay Effects 0.000 description 2
- 238000000926 separation method Methods 0.000 description 2
- 230000003044 adaptive effect Effects 0.000 description 1
- 238000000313 electron-beam-induced deposition Methods 0.000 description 1
- 238000010295 mobile communication Methods 0.000 description 1
- 238000012546 transfer Methods 0.000 description 1
Images
Classifications
-
- H—ELECTRICITY
- H04—ELECTRIC COMMUNICATION TECHNIQUE
- H04B—TRANSMISSION
- H04B15/00—Suppression or limitation of noise or interference
- H04B15/02—Reducing interference from electric apparatus by means located at or near the interfering apparatus
-
- H—ELECTRICITY
- H04—ELECTRIC COMMUNICATION TECHNIQUE
- H04B—TRANSMISSION
- H04B1/00—Details of transmission systems, not covered by a single one of groups H04B3/00 - H04B13/00; Details of transmission systems not characterised by the medium used for transmission
- H04B1/38—Transceivers, i.e. devices in which transmitter and receiver form a structural unit and in which at least one part is used for functions of transmitting and receiving
- H04B1/40—Circuits
- H04B1/54—Circuits using the same frequency for two directions of communication
- H04B1/56—Circuits using the same frequency for two directions of communication with provision for simultaneous communication in two directions
-
- H—ELECTRICITY
- H04—ELECTRIC COMMUNICATION TECHNIQUE
- H04B—TRANSMISSION
- H04B2215/00—Reducing interference at the transmission system level
- H04B2215/064—Reduction of clock or synthesizer reference frequency harmonics
- H04B2215/068—Reduction of clock or synthesizer reference frequency harmonics by avoiding a reception frequency range
-
- Y—GENERAL TAGGING OF NEW TECHNOLOGICAL DEVELOPMENTS; GENERAL TAGGING OF CROSS-SECTIONAL TECHNOLOGIES SPANNING OVER SEVERAL SECTIONS OF THE IPC; TECHNICAL SUBJECTS COVERED BY FORMER USPC CROSS-REFERENCE ART COLLECTIONS [XRACs] AND DIGESTS
- Y02—TECHNOLOGIES OR APPLICATIONS FOR MITIGATION OR ADAPTATION AGAINST CLIMATE CHANGE
- Y02D—CLIMATE CHANGE MITIGATION TECHNOLOGIES IN INFORMATION AND COMMUNICATION TECHNOLOGIES [ICT], I.E. INFORMATION AND COMMUNICATION TECHNOLOGIES AIMING AT THE REDUCTION OF THEIR OWN ENERGY USE
- Y02D30/00—Reducing energy consumption in communication networks
- Y02D30/70—Reducing energy consumption in communication networks in wireless communication networks
Landscapes
- Engineering & Computer Science (AREA)
- Computer Networks & Wireless Communication (AREA)
- Signal Processing (AREA)
- Transceivers (AREA)
- Filters That Use Time-Delay Elements (AREA)
- Cable Transmission Systems, Equalization Of Radio And Reduction Of Echo (AREA)
Abstract
동일대역 전이중 송수신기에서 FIR 필터의 입력 정보를 추정하는 방법 및 장치가 개시된다. 상기 추정 방법은, 제1 기간에서 제1 트레이닝 신호를 이용하여 자기송신간섭신호에서 FIR 필터의 출력신호를 뺀 신호에 대한 기저대역 등가정보를 FFT 수행하여 제1 신호를 획득하는 단계, 제2 기간에서 제2 트레이닝 신호를 이용하여 자기송신간섭신호에 대한 기저대역 등가 정보를 FFT 수행하여 제2 신호를 획득하는 단계, 그리고 상기 제1 및 제2 신호를 이용하여 FIR 필터의 입력 정보를 추정하는 단계를 포함할 수 있다.A method and apparatus for estimating input information of an FIR filter in a co-band full-duplex transceiver are disclosed. The estimation method includes: obtaining a first signal by performing FFT on baseband equivalent information on a signal obtained by subtracting an output signal of an FIR filter from a self-transmission interference signal using a first training signal in a first period; obtaining a second signal by performing FFT on baseband equivalent information on the self-transmission interference signal using the second training signal, and estimating input information of the FIR filter using the first and second signals may include
Description
본 발명은 동일대역 전이중 송수신기에서 FIR 필터의 입력 정보를 주파수영역에서 처리하여 추정하는 방법 및 장치에 관한 것이다.The present invention relates to a method and apparatus for estimating input information of an FIR filter by processing in a frequency domain in a co-band full-duplex transceiver.
현재 무선통신 시스템은 반이중(Half Duplex) 방식을 대부분 채용하고 있다. 반이중 방식은 시간 또는 주파수를 분배하여 송신 또는 수신하므로 송수신 간에 직교성이 유지될 수 있다. 그러나 이러한 반이중 방식은 자원(시간 또는 주파수)을 낭비한다. Currently, most of the wireless communication systems employ a half-duplex method. Since the half-duplex method transmits or receives by distributing time or frequency, orthogonality may be maintained between transmission and reception. However, this half-duplex method wastes resources (time or frequency).
동일대역 전이중(In-band Full Duplex, IFD) 방식은 반이중 방식의 비효율을 해결하기 위한 솔루션으로 제시되고 있다. 동일대역 전이중 방식은 동일대역에서 동시에 송수신이 가능한 기술이다. 동일대역 전이중 방식은 이론적으로 최대 2배의 링크용량 증대가 가능하므로, 5G 이동통신에서 요구하는 1000배 트래픽 용량 달성에 없어서는 안될 기술이다.The in-band full duplex (IFD) method is proposed as a solution to solve the inefficiency of the half-duplex method. The same-band full-duplex method is a technology that enables simultaneous transmission and reception in the same band. Since the same-band full-duplex method can theoretically increase the link capacity up to 2 times, it is an indispensable technology to achieve 1000 times the traffic capacity required for 5G mobile communication.
그러나 동일대역 전이중(IFD) 방식은 자기송신신호가 수신기에 유입되어, 자기송신신호가 유효 수신신호보다 매우 강하며, 이로 인해 자기송신신호가 자기간섭신호로 작용하는 단점이 있다. 자기간섭제거(Self-Interference Cancellation, SIC)를 위해 송신 안테나와 수신 안테나를 물리적으로 상당히 이격하는 안테나 영역 SIC 기술이 있다. 안테나 영역 SIC 기술을 통해 자기간섭레벨을 낮추고 디지털 영역에서 남은 자기간섭을 제거하는 기술이 상용화 단계에 있다. 그러나 이 기술은 송수신 안테나 간 물리적 이격으로 인해 소형 장치에 적용하기 쉽지 않다. However, the same-band full-duplex (IFD) method has a disadvantage in that the self-transmission signal is introduced into the receiver, and the self-transmission signal is much stronger than the effective reception signal, which causes the self-transmission signal to act as a self-interference signal. For self-interference cancellation (SIC), there is an antenna area SIC technology that physically separates a transmit antenna and a receive antenna significantly. A technology for lowering the self-interference level through the antenna domain SIC technology and removing the remaining self-interference in the digital domain is in the commercialization stage. However, this technique is not easy to apply to small devices due to the physical separation between the transmitting and receiving antennas.
소형 장치에 동일대역 전이중(IFD) 방식을 적용하려면, 안테나간 물리적 이격 도움 없이 아날로그회로영역에서 자기간섭을 제거하는 기술이 필요하다. 아날로그회로영역의 SIC 기술은 크게 수동 SIC 기술과 능동 SIC 기술이 있다. 수동 SIC 기술은 수동소자를 이용해 SIC 이득을 쉽게 얻을 수 있지만 그 이득에 한계가 있다. 한편, 능동 SIC 기술은 적응 아날로그 FIR(Finite Impulse Response) 필터 회로를 사용하여, 수동 SIC 기술에 비해 높은 SIC 기술 이득을 얻을 수 있다. 그런, 기존의 능동 SIC 기술은 광대역에 걸쳐 주변 환경 변화에 빠르게 적응하면서 높은 SIC 이득을 계속 유지하지 못하는 문제가 있다. In order to apply the same-band full-duplex (IFD) method to a small device, a technique for eliminating magnetic interference in the analog circuit area without the aid of physical separation between antennas is required. SIC technology in analog circuit area is largely divided into passive SIC technology and active SIC technology. Passive SIC technology can easily obtain SIC gain using passive elements, but there is a limit to the gain. On the other hand, active SIC technology uses an adaptive analog FIR (Finite Impulse Response) filter circuit to achieve high SIC technology gains compared to passive SIC technology. However, the existing active SIC technology has a problem in that it cannot continuously maintain a high SIC gain while rapidly adapting to changes in the surrounding environment over a wide band.
본 발명이 해결하고자 하는 과제는 동일대역 전이중 송수신기가 높은 SIC 이득을 가지도록, FIR 필터의 입력 정보를 주파수 영역에서 추정하는 방법 및 장치를 제공하는 것이다.An object of the present invention is to provide a method and apparatus for estimating input information of an FIR filter in a frequency domain so that a same-band full-duplex transceiver has a high SIC gain.
본 발명의 실시예에 따르면, 송신 신호를 입력 받아 자기송신간섭신호를 제거하는 FIR(Finite Impulse Response) 필터를 포함하는 동일대역 전이중 송수신기에서, 상기 FIR 필터의 입력 정보를 추정하는 방법이 제공된다. 상기 방법은, 제1 기간에서, 상기 FIR 필터의 감쇄 정도를 소정의 값으로 설정한 후, 제1 트레이닝 신호를 발생시켜 전송하는 단계, 상기 제1 기간에서, 상기 자기송신간섭신호에서 상기 FIR 필터의 출력신호를 뺀 신호에 대한 기저대역 등가 정보를 FFT(Fast Fourier Transform) 수행하여, 제1 신호를 획득하는 단계, 제2 기간에서, 제2 트레이닝 신호를 발생시켜 전송하는 단계, 상기 제2 기간에서, 상기 자기송신간섭신호에 대한 기저대역 등가 정보를 FFT 수행하여, 제2 신호를 획득하는 단계, 그리고 상기 제1 신호와 상기 제2 신호를 이용하여, 상기 FIR 필터의 입력 정보를 추정하는 단계를 포함할 수 있다. According to an embodiment of the present invention, there is provided a method for estimating input information of the FIR filter in a co-band full-duplex transceiver including a finite impulse response (FIR) filter that receives a transmission signal and removes a self-transmission interference signal. In the method, in a first period, after setting the degree of attenuation of the FIR filter to a predetermined value, generating and transmitting a first training signal, in the first period, the FIR filter in the self-transmission interference signal Obtaining a first signal by performing FFT (Fast Fourier Transform) on baseband equivalent information on a signal obtained by subtracting an output signal of , performing FFT on the baseband equivalent information on the self-transmission interference signal to obtain a second signal, and estimating input information of the FIR filter using the first signal and the second signal may include
상기 추정하는 단계는, 상기 제2 신호에서 상기 제1 신호를 빼서 제3 신호를 계산하는 단계, 그리고 상기 제3 신호를 이용하여, 상기 FIR 필터의 입력 정보를 계산하는 단계를 포함할 수 있다. The estimating may include calculating a third signal by subtracting the first signal from the second signal, and calculating input information of the FIR filter by using the third signal.
상기 제2 신호를 획득하는 단계는, 상기 FIR 필터의 출력 신호 발생을 억제한 후 상기 제2 신호를 획득하는 단계를 포함할 수 있다. The acquiring of the second signal may include acquiring the second signal after suppressing generation of an output signal of the FIR filter.
상기 제1 트레이닝 신호와 상기 제2 트레이닝 신호는 동일한 신호일 수 있다. The first training signal and the second training signal may be the same signal.
상기 동일대역 전이중 송수신기는 상기 송신 신호를 생성하여 전송하는 송신기, 그리고 수신 신호를 기저대역 신호로 변환하고 복조하는 수신기를 포함할 수 있으며, 상기 제1 신호를 측정하는 단계는, 상기 제1 기간에서, 상기 수신기에 포함된 아날로그디지털 변환기의 출력 신호를 이용하여 상기 제1 신호를 획득하는 단계를 포함할 수 있다. The same-band full-duplex transceiver may include a transmitter that generates and transmits the transmission signal, and a receiver that converts and demodulates a received signal into a baseband signal, wherein measuring the first signal includes: in the first period , obtaining the first signal by using an output signal of an analog-to-digital converter included in the receiver.
상기 제2 신호를 획득하는 단계는, 상기 제2 기간에서, 상기 아날로그디지털 변화기의 출력 신호를 이용하여 상기 제2 신호를 획득하는 단계를 포함할 수 있다. The acquiring of the second signal may include acquiring the second signal using an output signal of the analog-to-digital converter in the second period.
상기 FIR 필터의 입력 정보는 선형 성분과 비선형 성분을 포함할 수 있다. The input information of the FIR filter may include a linear component and a nonlinear component.
상기 제1 기간 및 상기 제2 기간은 시간영역 프레임에서 상기 제1 트레이닝 신호 및 상기 제2 트레이닝 신호를 전송하기 위한 필드에 포함되어 있을 수 있다. The first period and the second period may be included in a field for transmitting the first training signal and the second training signal in a time domain frame.
상기 제1 트레이닝 신호와 상기 제2 트레이닝 신호는 각각 하나 이상의 OFDM(Orthogonal Frequency Division Multiplexing) 심볼구간에 걸쳐 전송될 수 있다. The first training signal and the second training signal may be transmitted over one or more orthogonal frequency division multiplexing (OFDM) symbol intervals, respectively.
본 발명의 다른 실시예에 따르면, 동일대역 전이중 송수신기이 제공된다. 상기 동일대역 전이중 송수신기는, 송신 신호를 생성하여 전송하는 송신기, 수신 신호를 기저대역 신호로 변환하고 복조하는 수신기, 상기 송신 신호를 입력 받아 자기송신간섭신호를 제거하는 FIR(Finite Impulse Response) 필터, 그리고 상기 FIR 필터의 감쇄 정도를 설정하며, 상기 수신기에 포함된 아날로그디지털 변환기의 출력 정보에 대해서 FFT(Fast Fourier Transform)를 수행하여 상기 FIR 필터의 입력 정보를 추정하는 추정부를 포함할 수 있다. According to another embodiment of the present invention, a co-band full-duplex transceiver is provided. The same-band full-duplex transceiver includes a transmitter that generates and transmits a transmit signal, a receiver that converts a received signal into a baseband signal and demodulates, a finite impulse response (FIR) filter that receives the transmit signal and removes a self-transmission interference signal; And it may include an estimator that sets the degree of attenuation of the FIR filter and estimates the input information of the FIR filter by performing Fast Fourier Transform (FFT) on the output information of the analog-to-digital converter included in the receiver.
상기 송신기는, 제1 기간에서 제1 트레이닝 신호를 발생시켜 전송하고 제2 기간에서 제2 트레이닝 신호를 발생시켜 전송할 수 있으며, 상기 추정부는, 상기 제1 기간에서, 상기 FIR 필터의 감쇄 정도를 소정의 값으로 설정한 후 상기 아날로그디지털 변환기의 출력 정보에 대해서 FFT 수행하여, 제1 신호를 획득하며, 상기 제2 기간에서, 상기 자기송신간섭신호에 대한 기저대역 등가 정보를 FFT 수행하여, 제2 신호를 획득할 수 있다. The transmitter may generate and transmit a first training signal in a first period and generate and transmit a second training signal in a second period, wherein the estimator determines the degree of attenuation of the FIR filter in the first period. After setting to a value of , FFT is performed on the output information of the analog-to-digital converter to obtain a first signal, and in the second period, FFT is performed on the baseband equivalent information for the self-transmission interference signal, and a second signal can be obtained.
상기 추정부는 상기 제1 신호와 상기 제2 신호를 이용하여, 상기 FIR 필터의 입력 정보를 추정할 수 있다. The estimator may estimate input information of the FIR filter by using the first signal and the second signal.
상기 추정부는, 상기 제2 신호에서 상기 제1 신호를 빼서 제3 신호를 계산하며, 상기 제3 신호를 이용하여 상기 FIR 필터의 입력 정보를 계산할 수 있다. The estimator may calculate a third signal by subtracting the first signal from the second signal, and may calculate input information of the FIR filter using the third signal.
상기 추정부는 상기 제2 기간에서 상기 FIR 필터의 감쇄 정도를 설정하여 상기 FIR 필터의 출력 신호를 억제할 수 있다. The estimator may set an attenuation degree of the FIR filter in the second period to suppress an output signal of the FIR filter.
상기 송신 신호는 상기 송신기에 포함된 전력 증폭기의 출력 신호일 수 있다. The transmission signal may be an output signal of a power amplifier included in the transmitter.
상기 동일대역 전이중 송수신기는, 상기 송신 신호를 전송하며 상기 수신 신호를 수신하는 안테나, 그리고 상기 송신 신호를 상기 안테나로 보내고 상기 수신 신호를 상기 수신기로 보내는 분배기를 더 포함할 수 있다. The co-band full-duplex transceiver may further include an antenna for transmitting the transmission signal and receiving the received signal, and a splitter for transmitting the transmission signal to the antenna and transmitting the received signal to the receiver.
상기 FIR 필터의 입력 정보는 선형 성분과 비선형 성분을 포함할 수 있다. The input information of the FIR filter may include a linear component and a nonlinear component.
상기 제1 트레이닝 신호와 상기 제2 트레이닝 신호는 동일한 신호일 수 있다. The first training signal and the second training signal may be the same signal.
본 발명의 또 다른 실시예에 따르면, 송신 신호를 생성하여 전송하는 송신기, 수신 신호를 기저대역 신호로 변환하는 수신기, 그리고 상기 송신 신호를 입력 받아 자기송신간섭신호를 제거하는 FIR(Finite Impulse Response) 필터를 포함하는 동일대역 전이중 송수신에서, 상기 FIR 필터의 입력 정보를 추정하는 방법이 제공된다. 상기 방법은, 제1 기간에서, 상기 FIR 필터의 감쇄 정도를 소정의 값으로 설정한 후, 제1 트레이닝 신호를 발생시켜 전송하는 단계, 상기 제1 기간에서, 상기 수신기에 포함된 아날로그디지털 변환기의 출력 정보에 대해서 FFT를 수행하여, 제1 신호를 획득하는 단계, 제2 기간에서, 상기 FIR 필터의 출력신호를 억제한 상태에서, 제2 트레이닝 신호를 발생시켜 전송하는 단계, 상기 제2 기간에서, 상기 아날로그디지털 변환기의 출력 정보에 대해서 FFT를 수행하여, 제2 신호를 획득하는 단계, 그리고 상기 제1 신호와 상기 제2 신호를 이용하여, 상기 FIR 필터의 입력 정보를 추정하는 단계를 포함할 수 있다. According to another embodiment of the present invention, a transmitter that generates and transmits a transmission signal, a receiver that converts a received signal into a baseband signal, and a Finite Impulse Response (FIR) that receives the transmission signal and removes a self-transmission interference signal A method for estimating input information of the FIR filter in same-band full-duplex transmission/reception including a filter is provided. In the method, in a first period, after setting the degree of attenuation of the FIR filter to a predetermined value, generating and transmitting a first training signal, in the first period, of the analog-to-digital converter included in the receiver performing FFT on the output information to obtain a first signal, in a second period, generating and transmitting a second training signal in a state in which the output signal of the FIR filter is suppressed, in the second period , performing FFT on the output information of the analog-to-digital converter to obtain a second signal, and estimating input information of the FIR filter using the first signal and the second signal can
상기 추정하는 단계는, 상기 제2 신호에서 상기 제1 신호를 빼서 제3 신호를 계산하는 단계, 그리고 상기 제3 신호를 이용하여, 상기 FIR 필터의 입력 정보를 계산하는 단계를 포함할 수 있다. The estimating may include calculating a third signal by subtracting the first signal from the second signal, and calculating input information of the FIR filter by using the third signal.
본 발명의 실시예에 따르면, FIR 필터의 입력정보를 주파수영역에서 처리하여 추정하고, 이를 이용하여 FIR 필터의 감쇄 정도를 설정함으로써, 높은 SIC 이득을 얻을 수 있다.According to an embodiment of the present invention, a high SIC gain can be obtained by processing and estimating input information of the FIR filter in the frequency domain and setting the degree of attenuation of the FIR filter using this.
도 1은 본 발명의 실시예에 따른 동일대역 전이중 송수신기를 나타내는 도면이다.
도 2는 본 발명의 다른 실시예에 따른 동일대역 전이중 송수신기(1000')를 나타내는 도면이다.
도 3은 본 발명의 실시예에 따른 시간영역 프레임 구조를 나타내는 도면이다.
도 4는 본 발명의 실시예에 따른 FIR 필터의 입력 정보를 주파수 영역에서 처리하여 추정하는 방법을 나타내는 플로우 차트이다.1 is a diagram illustrating a same-band full-duplex transceiver according to an embodiment of the present invention.
2 is a diagram illustrating a same-band full-duplex transceiver 1000' according to another embodiment of the present invention.
3 is a diagram illustrating a time domain frame structure according to an embodiment of the present invention.
4 is a flowchart illustrating a method of estimating input information of an FIR filter by processing it in a frequency domain according to an embodiment of the present invention.
아래에서는 첨부한 도면을 참고로 하여 본 발명의 실시예에 대하여 본 발명이 속하는 기술 분야에서 통상의 지식을 가진 자가 용이하게 실시할 수 있도록 상세히 설명한다. 그러나 본 발명은 여러 가지 상이한 형태로 구현될 수 있으며 여기에서 설명하는 실시예에 한정되지 않는다. 그리고 도면에서 본 발명을 명확하게 설명하기 위해서 설명과 관계없는 부분은 생략하였으며, 명세서 전체를 통하여 유사한 부분에 대해서는 유사한 도면 부호를 붙였다.Hereinafter, embodiments of the present invention will be described in detail with reference to the accompanying drawings so that those of ordinary skill in the art to which the present invention pertains can easily implement them. However, the present invention may be embodied in several different forms and is not limited to the embodiments described herein. And in order to clearly explain the present invention in the drawings, parts irrelevant to the description are omitted, and similar reference numerals are attached to similar parts throughout the specification.
명세서 전체에서, 단말은(terminal)은 이동 단말(mobile terminal, MT), 이동국(mobile station, MS), 진보된 이동국(advanced mobile station, AMS), 고신뢰성 이동국(high reliability mobile station, HR-MS), 가입자국(subscriber station, SS), 휴대 가입자국(portable subscriber station, PSS), 접근 단말(access terminal, AT), 사용자 장비(user equipment, UE) 등을 지칭할 수도 있고, 단말, MT, AMS, HR-MS, SS, PSS, AT, UE 등의 전부 또는 일부의 기능을 포함할 수도 있다.Throughout the specification, a terminal is a mobile terminal (MT), a mobile station (MS), an advanced mobile station (AMS), a high reliability mobile station (HR-MS) ), a subscriber station (subscriber station, SS), a portable subscriber station (PSS), an access terminal (AT), user equipment (UE), and the like, and may refer to a terminal, MT, It may include all or some functions of AMS, HR-MS, SS, PSS, AT, UE, and the like.
또한, 기지국(base station, BS)은 진보된 기지국(advanced base station, ABS), 고신뢰성 기지국(high reliability base station, HR-BS), 노드B(node B), 고도화 노드B(evolved node B, eNodeB), 접근점(access point, AP), 무선 접근국(radio access station, RAS), 송수신 기지국(base transceiver station, BTS), MMR(mobile multihop relay)-BS, 기지국 역할을 수행하는 중계기(relay station, RS), 기지국 역할을 수행하는 고신뢰성 중계기(high reliability relay station, HR-RS) 등을 지칭할 수도 있고, ABS, 노드B, eNodeB, AP, RAS, BTS, MMR-BS, RS, HR-RS 등의 전부 또는 일부의 기능을 포함할 수도 있다.In addition, the base station (base station, BS) is an advanced base station (advanced base station, ABS), a high reliability base station (high reliability base station, HR-BS), a Node B (node B), an advanced node B (evolved node B, eNodeB), an access point (AP), a radio access station (RAS), a base transceiver station (BTS), a mobile multihop relay (MMR)-BS, a relay serving as a base station station, RS), may refer to a high reliability relay station (HR-RS) that serves as a base station, etc., and may refer to ABS, NodeB, eNodeB, AP, RAS, BTS, MMR-BS, RS, HR It may include all or part of functions such as -RS.
아래에서는 첨부한 도면을 참고로 하여 본 발명의 실시예에 대하여 본 발명이 속하는 기술 분야에서 통상의 지식을 가진 자가 용이하게 실시할 수 있도록 상세히 설명한다. 그러나 본 발명은 여러 가지 상이한 형태로 구현될 수 있으며 여기에서 설명하는 실시예에 한정되지 않는다. 그리고 도면에서 본 발명을 명확하게 설명하기 위해서 설명과 관계없는 부분은 생략하였으며, 명세서 전체를 통하여 유사한 부분에 대해서는 유사한 도면 부호를 붙였다.Hereinafter, embodiments of the present invention will be described in detail with reference to the accompanying drawings so that those of ordinary skill in the art to which the present invention pertains can easily implement them. However, the present invention may be embodied in several different forms and is not limited to the embodiments described herein. And in order to clearly explain the present invention in the drawings, parts irrelevant to the description are omitted, and similar reference numerals are attached to similar parts throughout the specification.
명세서 전체에서, 단말은(terminal)은 이동 단말(mobile terminal, MT), 이동국(mobile station, MS), 진보된 이동국(advanced mobile station, AMS), 고신뢰성 이동국(high reliability mobile station, HR-MS), 가입자국(subscriber station, SS), 휴대 가입자국(portable subscriber station, PSS), 접근 단말(access terminal, AT), 사용자 장비(user equipment, UE) 등을 지칭할 수도 있고, 단말, MT, AMS, HR-MS, SS, PSS, AT, UE 등의 전부 또는 일부의 기능을 포함할 수도 있다.Throughout the specification, a terminal is a mobile terminal (MT), a mobile station (MS), an advanced mobile station (AMS), a high reliability mobile station (HR-MS) ), a subscriber station (subscriber station, SS), a portable subscriber station (PSS), an access terminal (AT), user equipment (UE), and the like, and may refer to a terminal, MT, It may include all or some functions of AMS, HR-MS, SS, PSS, AT, UE, and the like.
또한, 기지국(base station, BS)은 진보된 기지국(advanced base station, ABS), 고신뢰성 기지국(high reliability base station, HR-BS), 노드B(node B), 고도화 노드B(evolved node B, eNodeB), 접근점(access point, AP), 무선 접근국(radio access station, RAS), 송수신 기지국(base transceiver station, BTS), MMR(mobile multihop relay)-BS, 기지국 역할을 수행하는 중계기(relay station, RS), 기지국 역할을 수행하는 고신뢰성 중계기(high reliability relay station, HR-RS) 등을 지칭할 수도 있고, ABS, 노드B, eNodeB, AP, RAS, BTS, MMR-BS, RS, HR-RS 등의 전부 또는 일부의 기능을 포함할 수도 있다.In addition, the base station (base station, BS) is an advanced base station (advanced base station, ABS), a high reliability base station (high reliability base station, HR-BS), a Node B (node B), an advanced node B (evolved node B, eNodeB), an access point (AP), a radio access station (RAS), a base transceiver station (BTS), a mobile multihop relay (MMR)-BS, a relay serving as a base station station, RS), may refer to a high reliability relay station (HR-RS) that serves as a base station, etc., and may refer to ABS, NodeB, eNodeB, AP, RAS, BTS, MMR-BS, RS, HR It may include all or part of functions such as -RS.
명세서 전체에서, 송수신기(transceiver)는 단말(terminal), 이동 단말(mobile terminal, MT), 이동국(mobile station, MS), 진보된 이동국(advanced mobile station, AMS), 고신뢰성 이동국(high reliability mobile station, HR-MS), 가입자국(subscriber station, SS), 휴대 가입자국(portable subscriber station, PSS), 접근 단말(access terminal, AT), 사용자 장비(user equipment, UE) 등을 지칭할 수도 있고, 단말, MT, AMS, HR-MS, SS, PSS, AT, UE 등의 전부 또는 일부의 기능을 포함할 수도 있다.Throughout the specification, a transceiver is a terminal, a mobile terminal (MT), a mobile station (MS), an advanced mobile station (AMS), a high reliability mobile station , HR-MS), a subscriber station (subscriber station, SS), a portable subscriber station (PSS), an access terminal (AT), may refer to a user equipment (UE), etc., It may include all or part of functions such as terminal, MT, AMS, HR-MS, SS, PSS, AT, and UE.
또한, 송수신기(transceiver)는 기지국(base station, BS), 진보된 기지국(advanced base station, ABS), 고신뢰성 기지국(high reliability base station, HR-BS), 노드B(node B), 고도화 노드B(evolved node B, eNodeB), 접근점(access point, AP), 무선 접근국(radio access station, RAS), 송수신 기지국(base transceiver station, BTS), MMR(mobile multihop relay)-BS, 기지국 역할을 수행하는 중계기(relay station, RS), 기지국 역할을 수행하는 고신뢰성 중계기(high reliability relay station, HR-RS) 등을 지칭할 수도 있고, ABS, 노드B, eNodeB, AP, RAS, BTS, MMR-BS, RS, HR-RS 등의 전부 또는 일부의 기능을 포함할 수도 있다. In addition, the transceiver (transceiver) is a base station (base station, BS), an advanced base station (advanced base station, ABS), high reliability base station (high reliability base station, HR-BS), Node B (node B), advanced Node B (evolved node B, eNodeB), access point (AP), radio access station (RAS), base transceiver station (BTS), MMR (mobile multihop relay)-BS, base station role It may also refer to a relay station (RS), a high reliability relay station (HR-RS), etc. that perform the role of a base station, ABS, NodeB, eNodeB, AP, RAS, BTS, MMR- It may include all or some functions of BS, RS, HR-RS, and the like.
도 1은 본 발명의 실시예에 따른 동일대역 전이중 송수신기(1000)를 나타내는 도면이다. 1 is a diagram illustrating a same-band full-
도 1에 나타낸 바와 같이, 본 발명의 실시예에 따른 동일대역 전이중 송수신기(1000)는 기저대역(baseband) 디지털영역 송수신부(100), 아날로그회로영역 송수신부(200) 및 안테나부(300)를 포함한다. 1, the same-band full-
기저대역 디지털영역 송수신부(100)는 송신 데이터 생성부(110) 및 추정부(Estimator)(120)를 포함한다. 도 1에는 나타내지 않았지만 기저대역 디지털영역 송수신부(100)는 수신 데이터 복조 생성부를 더 포함할 수 있다. 송신 데이터 생성부(110)는 이코딩(encoding)과 변조(modulating)를 수행하여, 송신할 데이터에 대응하는 디지털 신호를 생성한다. 도 1에서 송신 데이터 생성부(110)의 출력 신호 즉, 기저대역 시간영역 신호를 x[m]으로 나타내었다. 수신 데이터 복조 생성부(도 1에 도시하지 않음)는 수신 데이터에 대해서 복조(demodulating)와 디코딩(decoding)을 수행한다. 추정부(120)는 FIR(Finite Impulse Response) 필터(240)의 탭별 감쇄 정도를 설정한다. 그리고 본 발명의 실시예에 따른 추정부(120)는 FIR 필터(240)의 탭별 감쇄 정도를 설정하기 위해, FIR 필터(240)의 입력 정보를 주파수 영역에서 처리하여 추정하는 기능을 수행한다. The baseband
아날로그회로영역 송수신부(200)는 디지털아날로그 변환기(Digital Analog Converter, DAC)(210), 믹서(220), 전력 증폭기(Power Amplifier, PA)(230), FIR 필터(240), 신호 결합기(250), 저잡음 증폭기(Low Noise Amplifier, LNA)(260), 적분기(270) 및 아날로그디지털 변환기(Analog Digital Converter, ADC)(280)를 포함한다. 송신 데이터 생성부(110), DAC(210), 믹서(220) 그리고 PA(230)는 송신기(Transmitter)를 형성한다. 그리고 신호 결합기(250), LNA(260), 적분기(270), ADC(280) 및 수신 데이터 복조 생성부는 수신기(Receiver)를 형성한다. The analog
DAC(210)는 디지털 신호를 아날로그 신호로 변환하며, 믹서(220)는 반송 주파수(fC)를 이용하여 기저대역(Baseband Frequency) 신호를 RF(Radio Frequency)대역 신호로 변환한다. PA(230)는 RF대역 신호를 증폭하여 출력한다. 도 1에서, DAC(210)의 출력 신호를 xb(t)로 나타내었으며, PA(230)의 출력 신호 즉, 최종 송신 신호를 s(t)로 나타내었다. 최종 송신 신호인 s(t)는 믹서(220) 및 PA(230)로 인해 비선형성분(하모닉스 성분 및 위상 잡음 성분)을 포함하고 있으며, 아래에서 설명하는 바와 같이 본 발명의 실시예에 따른 추정부(120)는 비선형성분을 포함하고 있는 s(t)에 대한 기저대역 등가 주파수영역 정보를 추정한다. The
안테나부(300)는 송신 안테나(310)와 수신 안테나(320)를 포함한다. 송신 안테나(310)는 송신 신호 s(t)를 외부로 송출하며, 수신 안테나(320)는 수신 신호를 수신한다. 송신 안테나(310)와 수신 안테나(320)는 물리적으로 근접하고 있으므로, 송신 신호 s(t)는 수신 안테나(320)를 통해 유입되어 간섭신호로 작용하며, 이러한 간섭신호가 자기송신간섭신호이다. 이는 본 발명의 실시예에 따른 송수신기(1000)가 동일대역 전이중 방식으로 동작하기 때문이다. 수신 안테나(320)를 통해 수신되는 신호는 정상적인 수신 신호뿐만 아니라 자기송신간섭신호도 포함하고 있다. 도 1에서 자기송신간섭신호를 y(t)로 나타내었다. 아래에서 설명하는 바와 같이, 본 발명의 실시예에서는 이러한 자기송신간섭신호(y(t))를 FIR 필터(240)를 사용하여 제거할 수 있다. The
FIR 필터(240)는 송신신호 s(t)를 입력 받으며 자기송신간섭신호(y(t))를 최소화 시키는 신호를 생성하여 출력한다. 도 1에 나타낸 바와 같이 본 발명의 실시예에 따른 FIR 필터(240)는 복수의 지연기(d0 ~ dN-1), 복수의 감쇄기(attenuator)(a0 ~ aN-1) 및 신호 결합기(241)를 포함한다. The
복수의 지연기(d0 ~ dN-1)는 각각 고정의 지연(delay)을 가진다. 각 지연기(di(i=0,1,…,N-1))간의 지연 간격은 모두 동일하거나 모두 다를 수 있고 서로 동일한 지연 간격을 가지는 복수의 그룹으로 나눌 수 있다. 여기서, N은 총 탭수를 의미하고 di(i=0,1,2,…,N-1)는 탭에 가해진 지연(delay)를 의미한다. Each of the plurality of delays d 0 to d N-1 has a fixed delay. The delay intervals between each delayer d i (i=0,1,...,N-1) may be the same or all different, and may be divided into a plurality of groups having the same delay interval. Here, N denotes the total number of taps, and d i (i=0,1,2,...,N-1) denotes a delay applied to the taps.
복수의 감쇄기(a0 ~ aN-1)는 복수의 지연기(d0 ~ dN-1)에 각각 연결되며 신호를 감쇄시킨다. 각 감쇄기(ai(i=0,1,2…,N-1))의 감쇄 정도는 가변적이며, 감쇄 정도는 추정부(120)에 의해 설정된다. 각 감쇄기(ai(i=0,1,2…,N-1))의 감쇄 정도의 값은 크기, 크기 및 위상, 실수치 또는 복소치 중 하나를 가질 수 있으며, 이하의 설명에서는 편의상 감쇄 정도는 크기 또는 실수치를 가지는 것을 가정하여 설명한다.A plurality of attenuators (a 0 ~ a N-1 ) is respectively connected to the plurality of delay (d 0 ~ d N-1 ) attenuates the signal. The attenuation degree of each attenuator a i (i=0,1,2...,N-1) is variable, and the attenuation degree is set by the
신호 결합기(241)는 복수의 감쇄기(a0 ~ aN-1)의 출력 신호를 결합한다. 신호 결합기(241)는 복수의 감쇄기(a0 ~ aN-1)로부터 출력되는 신호 모두 더하여 결합한다. 도 1에서 신호 결합기(241)의 출력 신호 즉, FIR 필터(240)의 출력 신호를 z(t)로 나타내었다. The
신호 결합기(250)는 수신 신호와 FIR 필터(240)의 출력 신호를 결합한 후 LNA(260)로 출력한다. 신호 결합기(250)는 수신 신호에서 FIR 필터(240)로부터 출력되는 신호를 뺀 후 두 신호를 결합한다. 이때, FIR 필터(240)는 자기송신간섭신호(y(t))를 최소화시키는 신호를 출력하므로, 신호 결합기(250)는 수신 신호에서 자기송신간섭신호(y(t))를 제거한 신호를 LNA(260)로 출력한다. 도 1에서, 신호 결합기(250)의 출력 신호를 v(t)로 나타내었다. The
LNA(260)는 신호 결합기(250)로부터 자기송신간섭신호(y(t))가 제거된 수신신호를 입력 받으며, 입력된 신호에서 노이즈를 제거하고 증폭한다. 적분기(Integrator)(270)는 반송 주파수(fC)를 이용하여 RF대역 신호를 기저대역 신호로 변환한다. ADC(260)는 아날로그인 기저대역 신호를 디지털 신호로 변환한다. The
도 2는 본 발명의 다른 실시예에 따른 동일대역 전이중 송수신기(1000')를 나타내는 도면이다. 2 is a diagram illustrating a same-band full-duplex transceiver 1000' according to another embodiment of the present invention.
도 2에 나타낸 바와 같이, 본 발명의 다른 실시예에 따른 동일대역 전이중 송수신기(1000')는 기저대역(baseband) 디지털영역 송수신부(100), 아날로그회로영역 송수신부(200') 및 안테나부(300')를 포함한다. 안테나부(300')가 하나의 송수신 안테나로 구성되고 아날로그회로영역 송수신부(200')가 분배기(290)를 더 포함하는 것을 제외하고 도 1과 동일하므로, 도 1과 중복되는 설명은 생략한다. 2, the same-band full-duplex transceiver 1000' according to another embodiment of the present invention includes a baseband
안테나부(300')는 동일대역 전이중 방식을 위해, 송신기능뿐만 아니라 수신기능을 동시에 수행하는 송수신안테나(330)로 구성된다. 즉, 안테나(330)를 통해 송신 신호가 송신되고 수신 신호가 수신된다. The antenna unit 300' includes a transmission/
아날로그회로영역 송수신부(200')는 분배기(290)를 더 포함한다. 분배기(290)는 안테나(330)에 연결되며 송신 신호(s(t))를 안테나(330)로 보낸다. 그리고 분배기(290)는 안테나(330)로부터 수신되는 수신 신호를 수신 모듈(도 1의 신호 결합기(250), LNA(260) 등)로 보낸다. 즉, 본 발명의 실시예에 따른 분배기(290)는 송신 신호를 안테나(330)로 보내고 수신 신호를 수신 모듈로 보내는 역할을 수행한다. 분배기(290)는 서큘레이터(circulator) 또는 EBD(Electrical Balance Duplex) 등으로 구현될 수 있다. 서큘레이터 및 EBD는 본 발명이 속하는 기술 분야에 통상의 지식을 가진 자라면 알 수 있는 바 구체적인 설명은 생략한다. The analog
이하에서는, 추정부(120)가 주파수 FIR 필터(240)의 입력 정보를 주파수영역에서 처리하여 추정하는 방법에 대해서 설명한다. FIR 필터(240)의 입력 정보(z(t))는 비선형성분을 포함하고 있으며, 본 발명의 실시예에 따른 추정부(120)는 비선형성분을 포함하고 있는 s(t)의 기저대역 등가 정보를 주파수영역에서 처리하여 추정한다. 아래에서 설명하는 z(t)의 기저대역 등가 정보를 추정하는 방법을 도 2를 기준으로 설명하나 도 1에도 동일하게 적용될 수 있다. Hereinafter, a method for estimating the
먼저, 추정부(120)가 FIR 필터(240)의 입력 정보를 추정하는 방법을 설명하기 위해서, 동일대역 전이중 송수신기(1000')의 각종 신호를 수학적으로 모델링한다. First, in order to explain how the
x[m]은 기저대역 오버샘플링(oversampling)된 또는 기저대역 샘플링(sampling)된 시간영역 신호를 의미한다. 이 샘플링된 신호가 DAC(210)를 통과하면, 아래의 수학식 1과 같은 기저대역 아날로그 신호(xb(t))가 생성된다. x[m] means a baseband oversampled or baseband sampled time domain signal. When the sampled signal passes through the
수학식 1에서 x[m]은 xb(m/W)이고, sinc(t)는 아래의 수학식 2와 같이 정의된다. In
수학식 1의 표현은 샘플링 이론(Sampling Theorem)이 적용된 것이다. 즉, W/2에 대역 제한되는 모든 기저대역 파형이 샘플들에 의해 주어지는 계수(즉, x[m])와 직교 베이시스(basis)()의 선형 결합(Linear Combination)으로 표현할 수 있다는 샘플링 이론이 수학식 1에 적용된다. 수학식 1에서, W는 대역폭을 의미하며, 기저대역의 시스템 대폭일 수 도 있고 d배 오버샘플링(oversampling)된 대역폭일 수 있다. 아래에서는 설명의 편의상 W를 1배(d=1) 오버샘플링된 대역폭으로 가정하여 설명하였으나, d의 값은 다른 값으로 설정될 수 있다. The expression of
xb(t)가 믹서(220)를 통과하면 RF 신호가 되며, 이 RF 신호가 PA(230)를 통과하면 FIR 필터(240)의 시간영역 입력 신호(s(t))가 된다. 이 s(t)를 수학적으로 표현하면 아래의 수학식 3과 같이 된다. When x b (t) passes through the
수학식 3에서 는 xb(t)가 PA(230)를 통과하면서 발생되는 비선형성분을 포함하는 RF 신호에 대한 등가 기저대역 신호를 의미한다. P는 PA(230)에 의해 증폭되는 송신전력을 의미하며, fc는 믹서(220)의 반송 주파수를 의미한다. 아래에서, 수학식 3의 s(t)에 대한 주파수영역 표현식을 S(f)라 정의하며, 이때 f는 RF 주파수를 의미한다. in Equation 3 denotes an equivalent baseband signal with respect to an RF signal including a nonlinear component generated while x b (t) passes through the
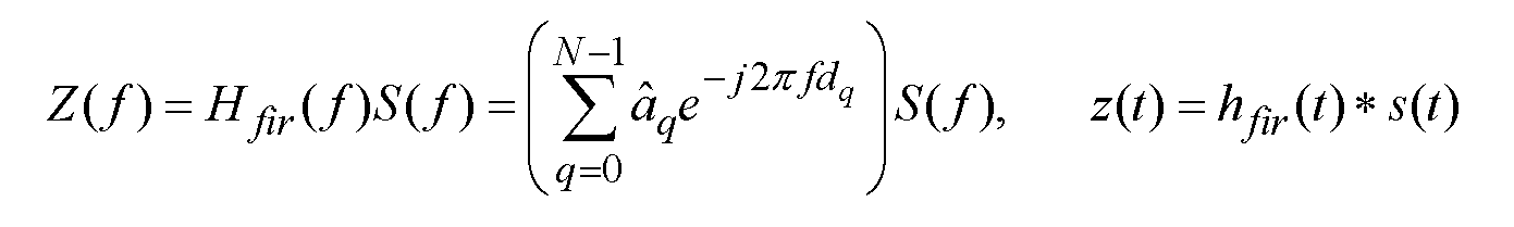
도 1 및 도 2에 나타낸 바와 같이, 수학식 3과 같은 RF 신호는 FIR 필터(240)를 통과하며, FIR 필터(240)의 전달함수에 대한 주파수영역 표현식은 아래의 수학식 4와 같다. 1 and 2, the RF signal as in Equation 3 passes through the
수학식 4에서, dq는 q번째 탭의 시간지연(time delay)을 의미하고, aq는 q번째 탭의 경로감쇄(attenuation)를 의미한다. 수학식 3과 수학식 4의 표현식을 이용하면, FIR 필터(240)의 출력 신호에 대한 주파수영역과 시간영역 표현식을 아래의 수학식 5와 같다. In Equation 4, d q denotes a time delay of the q-th tap, and a q denotes path attenuation of the q-th tap. Using the expressions of Equations 3 and 4, the frequency domain and time domain expressions for the output signal of the
수학식 3과 수학식 4의 표현식을 이용하면, 자기송신간섭신호(y(t))와 이의 주파수영역 표현식은 아래의 수학식 6과 같다. Using the expressions of Equations 3 and 4, the self-transmission interference signal y(t) and its frequency domain expression are as shown in Equation 6 below.
수학식 6에서 hch(t)는 분배기(290)와 안테나(330)의 특성에 의해 생성되는 채널을 의미하며, Hch(f)는 hch(t)의 주파영역 표현식을 의미한다. 그리고, 와 는 각각 분배기(290)와 안테나(330)의 특성에 의해 생성되는 채널에 대한 다중 경로 i별 경로감쇄(attenuation)와 시간지연(time delay)를 의한다. N'는 채널에 대한 총 다중 경로 수를 의미한다.In Equation 6, h ch (t) denotes a channel generated by the characteristics of the
수학식 5와 수학식 6의 표현식을 이용하면, 신호 결합기(250)의 출력 신호(v(t))에 대한 주파수영역 표현식은 아래의 수학식 7과 같다. Using the expressions of Equations 5 and 6, the frequency domain expression for the output signal v(t) of the
다음으로, 도 3 및 도 4를 참조하여, 본 발명의 실시예에 따른 추정부(120)가 FIR 필터(240)의 입력 정보를 추정하는 방법에 대해서 설명한다. 아래의 설명에서는 상기 수학식 5 내지 7 각각의 표현식에서 LNA(260), 적분기(270) 및 ADC(280)는 하드웨어 손상(Impairment)이 없는 것으로 가정한다.Next, a method for estimating input information of the
도 3은 본 발명의 실시예에 따른 시간영역 프레임 구조를 나타내는 도면이다. 3 is a diagram illustrating a time domain frame structure according to an embodiment of the present invention.
도 3에 나타낸 바와 같이, 본 발명의 실시예에 따른 시간영역 프레임은 IFD(In-band Full Duplex) 트레이닝 필드(training field)(410)와 IFD 통신 필드(communication field)(420)를 포함한다. IFD 트레이닝 필드(410)는 FIR 필터(240)의 입력 정보를 추정하기 위해, 트레이닝 신호(training)를 신호를 전송하기 위한 별도의 필드이다. IFD 트레이닝 필드(410)에서, 제1 트레이닝 신호(411)와 제2 트레이닝 신호(412)가 전송된다. 제1 트레이닝 신호(411)와 제2 트레이닝 신호(412)는 FIR 필터(240)의 입력 정보를 추정하기 위해 별도로 생성된 신호이며, 두 신호는 주파수영역에서 할당된다. 그리고 제1 트레이닝 신호(411)와 제2 트레이닝 신호(412)는 각각 하나 이상의 OFDM(Orthogonal Frequency Division Multiplexing) 심볼구간에 걸쳐 전송된다. 한편, 제1 트레이닝 신호(411)와 제2 트레이닝 신호(412)는 동일한 신호이다. IFD 통신 필드(420)는 동일대역 전이중 송수신을 위한 데이터가 전송되는 구간이다. As shown in FIG. 3 , the time domain frame according to the embodiment of the present invention includes an In-band Full Duplex (IFD)
도 4는 본 발명의 실시예에 따른 FIR 필터(240)의 입력 정보를 주파수 영역에서 처리하여 추정하는 방법을 나타내는 플로우 차트이다. 4 is a flowchart illustrating a method of estimating input information of the
먼저, 추정부(120)는 제1 트레이닝 신호(411)를 이용하여, SIC(Self-Interference Cancellation) 수행된 후의 V[k]을 획득한다(S410). 추정부(120)는 FIR 필터(240)의 감쇄 정도(ai(i=0,1,2…,N-1))를 임의의 초기 값으로 설정한다. 그리고 송신 데이터 생성부(110)는 제1 트레이닝 신호(411)를 생성하며, 추정부(120)는 제1 트레이닝 신호(411)에 대한 신호 결합기(250)의 출력정보(V(k))를 획득한다. 여기서, V[k]은 제1 트레이닝 신호(411)로 인한 ADC(280)의 출력에 대해서 FFT(Fast Fourier Transform)하여 획득한 신호이며, 추정부(120)는 ADC(280)의 출력을 입력 받아 FFT를 수행하여 V(k)를 획득한다. 즉, V[k]는 v(t)에 대한 기저대역 버전(등가)의 정보(즉, ADC(280)의 출력 정보)에 대해서 FFT를 수행한 값이다. 이와 같은 V(k)를 수학적으로 표현하면 아래의 수학식 8과 같다. First, the
수학식 8에서, k는 부반송파 인덱스를 의미하고, F는 FFT의 크기를 의미한다. 수학식 8의 V(k)는 상기 수학식 7에 대한 기저대역 샘플링된 버전이라고 할 수 있다. 한편, S410 단계에서는 FIR 필터(240)의 감쇄 정도(ai(i=0,1,2…,N-1))가 임의 값으로 설정되어 있고 시간 지연(d0 ~ dN-1)은 고정된 값이므로, 수학식 8의 Hfir(k)는 아래의 수학식 9에 의해 계산될 수 있다. In Equation 8, k denotes a subcarrier index, and F denotes the size of the FFT. V(k) in Equation (8) can be said to be a baseband sampled version of Equation (7). Meanwhile, in step S410, the degree of attenuation (a i (i=0,1,2...,N-1)) of the
수학식 9에서, fs는 기저대역 샘플링율(sampling rate)을 의미하며, Hfir(k)는 수학식 4에 정의한 Hfir(f)에 대한 기저대역 샘플링된 버전이라 할 수 있다. In Equation 9, f s denotes a baseband sampling rate, and H fir (k) may be a baseband sampled version of H fir (f) defined in Equation 4.
추정부(120)는 제2 트레이닝 신호(412)를 이용하여, 자기간섭신호에 대응하는 Y(k)를 획득한다(S420). 즉, 추정부(120)는 자기송신간섭신호(y(t))에 대한 기저대역 버전(등가)의 정보(즉, ADC(280)의 출력 정보)에 대해 FFT를 수행하여, 아래의 수학식 10과 같은 Y(k)를 획득한다. The
수학식 10과 같은 Y(k)는 수학식 6에서 정의한 Y(f)의 기저대역 샘플링된 버전이라고 할 수 있다. Y(k) as in Equation (10) can be said to be a baseband sampled version of Y(f) defined in Equation (6).
추정부(120)가 Y(k)를 획득하기 위해서는 자기송신간섭신호(y(t))만이 추정부(120)에 유입될 필요가 있다. 자기송신간섭신호(y(t))이 추정부(120)에 유입하는 방법으로서, 추정부(120)는 FIR 필터(240)의 감쇄 정도(ai(i=0,1,2…,N-1))의 값을 매우 높은 값으로 설정할 수 있다. 이를 통해 물리적으로 FIR 필터(240)의 출력 신호 발생을 억제할 수 있으며, 자기송신간섭신호(y(t))만이 LNA(260), 적분기(270) 및 ADC(280)를 통해 추정부(120)에 입력된다. 이때 추정부(120)는 ADC(280)로부터 입력되는 신호에 대해서 FFT를 수행하여 Y(k)를 획득한다. In order for the
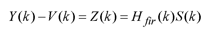
다음으로, 추정부(120)는 FIR 필터(240)의 입력 정보를 추정한다(S430). 상기 수학식 10에서 상기 수학식 8을 빼면, 아래의 수학식 11과 같이 Z(k)가 된다. 즉, 추정부(120)는 S420 단계에서 측정한 Y(k)에서 S410 단계에서 측정한 V(k)를 빼서 Z(k)를 계산할 수 있다. 이와 같이 계산된 Z(k)는 아래의 수학식 11과 같이 표현된다. Next, the
상기 수학식 9에서 설명한 바와 같이 Hfir(k)는 이미 계산된 값이므로, 추정부(120)는 상기 수학식 11을 이용하여 FIR 필터(240)의 입력 정보인 S(k)를 추정할 수 있다. S(k)는 FIR 필터(240)의 기저대역 등가 주파수영역 입력 정보에 해당한다. 이와 같이 추정된 S(k)에 대한 표현식은 아래의 수학식 12와 같다. As described in Equation 9, since H fir (k) is a calculated value, the
한편, 추정부(120)가 상기 수학식 12에 대해서 IFFT(Inverse FFT)를 수행하면, FIR 필터(240)의 기저대역 등가 시간영역 입력 정보를 획득할 수 있다. Meanwhile, if the
한편, 추정부(120)는 S(k)을 이용하여 자기간섭신호를 최소화 시키기 위해, FIR 필터(240)의 감쇄 정도(ai(i=0,1,2…,N-1))를 재설정한다. 즉, 추정부(120)는 S410 단계에서 초기 값으로 설정한 감쇄 정도를 자기간섭신호를 최소화 시키기 위한 값으로 업데이트한다. Meanwhile, the
이와 같은 본 발명의 실시예에 따르면, 선형 성분뿐만 아니라 비선형성분을 포함하고 있는 FIR 필터(240)의 입력정보를 주파수영역에서 처리하여 추정하고, 이를 이용하여 FIR 필터(240)의 감쇄 정도를 설정함으로써, 높은 SIC 이득을 얻을 수 있다.According to this embodiment of the present invention, input information of the
이상에서 본 발명의 실시예에 대하여 상세하게 설명하였지만 본 발명의 권리범위는 이에 한정되는 것은 아니고 다음의 청구범위에서 정의하고 있는 본 발명의 기본 개념을 이용한 당업자의 여러 변형 및 개량 형태 또한 본 발명의 권리범위에 속하는 것이다.Although the embodiments of the present invention have been described in detail above, the scope of the present invention is not limited thereto. is within the scope of the right.
Claims (20)
제1 기간에서, 상기 FIR 필터의 감쇄 정도를 소정의 값으로 설정한 후, 상기 송신 신호에 대응하는 제1 트레이닝 신호를 발생시켜 전송하는 단계,
상기 제1 기간에서, 상기 자기송신간섭신호에서 상기 FIR 필터의 출력신호를 뺀 신호에 대한 기저대역 등가 정보를 FFT(Fast Fourier Transform) 수행하여, 제1 신호를 획득하는 단계,
제2 기간에서, 상기 송신 신호에 대응하는 제2 트레이닝 신호를 발생시켜 전송하는 단계,
상기 제2 기간에서, 상기 자기송신간섭신호에 대한 기저대역 등가 정보를 FFT 수행하여, 제2 신호를 획득하는 단계, 그리고
상기 제1 신호와 상기 제2 신호를 이용하여, 상기 FIR 필터의 입력 정보를 추정하는 단계를 포함하는 방법. A method of estimating input information of the FIR filter in the same-band full-duplex transceiver including a finite impulse response (FIR) filter that receives a transmission signal and removes a self-transmission interference signal, the method comprising:
In a first period, after setting the degree of attenuation of the FIR filter to a predetermined value, generating and transmitting a first training signal corresponding to the transmission signal;
obtaining a first signal by performing FFT (Fast Fourier Transform) on baseband equivalent information on a signal obtained by subtracting the output signal of the FIR filter from the self-transmission interference signal in the first period;
generating and transmitting a second training signal corresponding to the transmission signal in a second period;
in the second period, performing FFT on baseband equivalent information on the self-transmission interference signal to obtain a second signal; and
and estimating input information of the FIR filter by using the first signal and the second signal.
상기 추정하는 단계는,
상기 제2 신호에서 상기 제1 신호를 빼서 제3 신호를 계산하는 단계, 그리고
상기 제3 신호를 이용하여, 상기 FIR 필터의 입력 정보를 계산하는 단계를 포함하는 방법.The method of claim 1,
The estimating step is
calculating a third signal by subtracting the first signal from the second signal; and
and calculating input information of the FIR filter by using the third signal.
상기 제2 신호를 획득하는 단계는, 상기 FIR 필터의 출력 신호 발생을 억제한 후 상기 제2 신호를 획득하는 단계를 포함하는 방법. The method of claim 1,
The acquiring of the second signal includes acquiring the second signal after suppressing generation of an output signal of the FIR filter.
상기 제1 트레이닝 신호와 상기 제2 트레이닝 신호는 동일한 신호인 방법. According to claim 1,
wherein the first training signal and the second training signal are the same signal.
상기 동일대역 전이중 송수신기는 상기 송신 신호를 생성하여 전송하는 송신기, 그리고 수신 신호를 기저대역 신호로 변환하고 복조하는 수신기를 포함하며,
상기 제1 신호를 측정하는 단계는, 상기 제1 기간에서, 상기 수신기에 포함된 아날로그디지털 변환기의 출력 신호를 이용하여 상기 제1 신호를 획득하는 단계를 포함하는 방법.The method of claim 1,
The same-band full-duplex transceiver includes a transmitter for generating and transmitting the transmission signal, and a receiver for converting and demodulating the received signal into a baseband signal,
The step of measuring the first signal includes, in the first period, acquiring the first signal using an output signal of an analog-to-digital converter included in the receiver.
상기 제2 신호를 획득하는 단계는, 상기 제2 기간에서, 상기 아날로그디지털 변환기의 출력 신호를 이용하여 상기 제2 신호를 획득하는 단계를 포함하는 방법.6. The method of claim 5,
The acquiring of the second signal includes acquiring the second signal using an output signal of the analog-to-digital converter in the second period.
상기 FIR 필터의 입력 정보는 선형 성분과 비선형 성분을 포함하는 방법. According to claim 1,
The input information of the FIR filter includes a linear component and a non-linear component.
상기 제1 기간 및 상기 제2 기간은 시간영역 프레임에서 상기 제1 트레이닝 신호 및 상기 제2 트레이닝 신호를 전송하기 위한 필드에 포함되어 있는 방법. According to claim 1,
wherein the first period and the second period are included in a field for transmitting the first training signal and the second training signal in a time domain frame.
상기 제1 트레이닝 신호와 상기 제2 트레이닝 신호는 각각 하나 이상의 OFDM(Orthogonal Frequency Division Multiplexing) 심볼구간에 걸쳐 전송되는 방법. According to claim 1,
The first training signal and the second training signal are each transmitted over one or more orthogonal frequency division multiplexing (OFDM) symbol intervals.
수신 신호를 기저대역 신호로 변환하고 복조하는 수신기,
상기 송신 신호를 입력 받아 자기송신간섭신호를 제거하는 FIR(Finite Impulse Response) 필터, 그리고
상기 FIR 필터의 감쇄 정도를 설정하며, 상기 수신기에 포함된 아날로그디지털 변환기의 출력 정보에 대해서 FFT(Fast Fourier Transform)를 수행하여 상기 FIR 필터의 입력 정보를 추정하는 추정부를 포함하며,
상기 송신기는, 제1 기간에서 제1 트레이닝 신호를 발생시켜 전송하고 제2 기간에서 제2 트레이닝 신호를 발생시켜 전송하며,
상기 추정부는,
상기 제1 기간에서, 상기 FIR 필터의 감쇄 정도를 소정의 값으로 설정한 후 상기 아날로그디지털 변환기의 출력 정보에 대해서 FFT 수행하여, 제1 신호를 획득하며,
상기 제2 기간에서, 상기 자기송신간섭신호에 대한 기저대역 등가 정보를 FFT 수행하여, 제2 신호를 획득하는 동일대역 전이중 송수신기. a transmitter that generates and transmits a transmission signal;
a receiver that converts and demodulates the received signal into a baseband signal;
A Finite Impulse Response (FIR) filter that receives the transmission signal and removes a self-transmission interference signal, and
and an estimator for setting the degree of attenuation of the FIR filter and estimating input information of the FIR filter by performing FFT (Fast Fourier Transform) on the output information of the analog-to-digital converter included in the receiver,
The transmitter generates and transmits a first training signal in a first period and generates and transmits a second training signal in a second period,
The estimator is
In the first period, after setting the degree of attenuation of the FIR filter to a predetermined value, FFT is performed on the output information of the analog-to-digital converter to obtain a first signal,
In the second period, the same-band full-duplex transceiver obtains a second signal by performing FFT on the baseband equivalent information on the self-transmission interference signal.
상기 추정부는 상기 제1 신호와 상기 제2 신호를 이용하여, 상기 FIR 필터의 입력 정보를 추정하는 동일대역 전이중 송수신기.11. The method of claim 10,
The estimator estimates the input information of the FIR filter by using the first signal and the second signal, the same-band full-duplex transceiver.
상기 추정부는, 상기 제2 신호에서 상기 제1 신호를 빼서 제3 신호를 계산하며, 상기 제3 신호를 이용하여 상기 FIR 필터의 입력 정보를 계산하는 동일대역 전이중 송수신기. 13. The method of claim 12,
The estimator calculates a third signal by subtracting the first signal from the second signal, and calculates input information of the FIR filter by using the third signal.
상기 추정부는 상기 제2 기간에서 상기 FIR 필터의 감쇄 정도를 설정하여 상기 FIR 필터의 출력 신호를 억제하는 동일대역 전이중 송수신기. 11. The method of claim 10,
The estimator sets an attenuation degree of the FIR filter in the second period to suppress an output signal of the FIR filter.
수신 신호를 기저대역 신호로 변환하고 복조하는 수신기,
상기 송신 신호를 입력 받아 자기송신간섭신호를 제거하는 FIR(Finite Impulse Response) 필터, 그리고
상기 FIR 필터의 감쇄 정도를 설정하며, 상기 수신기에 포함된 아날로그디지털 변환기의 출력 정보에 대해서 FFT(Fast Fourier Transform)를 수행하여 상기 FIR 필터의 입력 정보를 추정하는 추정부를 포함하며,
상기 송신 신호는 상기 송신기에 포함된 전력 증폭기의 출력 신호인 동일대역 전이중 송수신기. a transmitter that generates and transmits a transmission signal;
a receiver that converts and demodulates the received signal into a baseband signal;
A Finite Impulse Response (FIR) filter that receives the transmission signal and removes a self-transmission interference signal, and
and an estimator for setting the degree of attenuation of the FIR filter and estimating input information of the FIR filter by performing FFT (Fast Fourier Transform) on the output information of the analog-to-digital converter included in the receiver,
The transmission signal is a co-band full-duplex transceiver that is an output signal of a power amplifier included in the transmitter.
수신 신호를 기저대역 신호로 변환하고 복조하는 수신기,
상기 송신 신호를 입력 받아 자기송신간섭신호를 제거하는 FIR(Finite Impulse Response) 필터, 그리고
상기 FIR 필터의 감쇄 정도를 설정하며, 상기 수신기에 포함된 아날로그디지털 변환기의 출력 정보에 대해서 FFT(Fast Fourier Transform)를 수행하여 상기 FIR 필터의 입력 정보를 추정하는 추정부를 포함하며,
상기 송신 신호를 전송하며 상기 수신 신호를 수신하는 안테나, 그리고
상기 송신 신호를 상기 안테나로 보내고 상기 수신 신호를 상기 수신기로 보내는 분배기를 더 포함하는 동일대역 전이중 송수신기.a transmitter that generates and transmits a transmission signal;
a receiver that converts and demodulates the received signal into a baseband signal;
A Finite Impulse Response (FIR) filter that receives the transmission signal and removes a self-transmission interference signal, and
and an estimator for setting the degree of attenuation of the FIR filter and estimating input information of the FIR filter by performing FFT (Fast Fourier Transform) on the output information of the analog-to-digital converter included in the receiver,
An antenna for transmitting the transmission signal and receiving the received signal, and
The same-band full-duplex transceiver further comprising a splitter for sending the transmitted signal to the antenna and sending the received signal to the receiver.
수신 신호를 기저대역 신호로 변환하고 복조하는 수신기,
상기 송신 신호를 입력 받아 자기송신간섭신호를 제거하는 FIR(Finite Impulse Response) 필터, 그리고
상기 FIR 필터의 감쇄 정도를 설정하며, 상기 수신기에 포함된 아날로그디지털 변환기의 출력 정보에 대해서 FFT(Fast Fourier Transform)를 수행하여 상기 FIR 필터의 입력 정보를 추정하는 추정부를 포함하며,
상기 FIR 필터의 입력 정보는 선형 성분과 비선형 성분을 포함하는 동일대역 전이중 송수신기. a transmitter that generates and transmits a transmission signal;
a receiver that converts and demodulates the received signal into a baseband signal;
A Finite Impulse Response (FIR) filter that receives the transmission signal and removes a self-transmission interference signal, and
and an estimator for setting the degree of attenuation of the FIR filter and estimating input information of the FIR filter by performing FFT (Fast Fourier Transform) on the output information of the analog-to-digital converter included in the receiver,
The input information of the FIR filter includes a linear component and a nonlinear component.
상기 제1 트레이닝 신호와 상기 제2 트레이닝 신호는 동일한 신호인 동일대역 전이중 송수신기.11. The method of claim 10,
The same-band full-duplex transceiver, wherein the first training signal and the second training signal are the same signal.
제1 기간에서, 상기 FIR 필터의 감쇄 정도를 소정의 값으로 설정한 후, 상기 송신 신호에 대응하는 제1 트레이닝 신호를 발생시켜 전송하는 단계,
상기 제1 기간에서, 상기 수신기에 포함된 아날로그디지털 변환기의 출력 정보에 대해서 FFT를 수행하여, 제1 신호를 획득하는 단계,
제2 기간에서, 상기 FIR 필터의 출력신호를 억제한 상태에서, 상기 송신 신호에 대응하는 제2 트레이닝 신호를 발생시켜 전송하는 단계,
상기 제2 기간에서, 상기 아날로그디지털 변환기의 출력 정보에 대해서 FFT를 수행하여, 제2 신호를 획득하는 단계, 그리고
상기 제1 신호와 상기 제2 신호를 이용하여, 상기 FIR 필터의 입력 정보를 추정하는 단계를 포함하는 방법.In the same-band full-duplex transmission/reception comprising a transmitter that generates and transmits a transmission signal, a receiver that converts a received signal into a baseband signal, and a finite impulse response (FIR) filter that receives the transmission signal and removes a self-transmission interference signal, As a method of estimating input information of the FIR filter,
In a first period, after setting the degree of attenuation of the FIR filter to a predetermined value, generating and transmitting a first training signal corresponding to the transmission signal;
In the first period, performing FFT on the output information of the analog-to-digital converter included in the receiver to obtain a first signal;
In a second period, in a state in which the output signal of the FIR filter is suppressed, generating and transmitting a second training signal corresponding to the transmission signal;
In the second period, performing FFT on the output information of the analog-to-digital converter to obtain a second signal, and
and estimating input information of the FIR filter by using the first signal and the second signal.
상기 추정하는 단계는,
상기 제2 신호에서 상기 제1 신호를 빼서 제3 신호를 계산하는 단계, 그리고
상기 제3 신호를 이용하여, 상기 FIR 필터의 입력 정보를 계산하는 단계를 포함하는 방법. 20. The method of claim 19,
The estimating step is
calculating a third signal by subtracting the first signal from the second signal; and
and calculating input information of the FIR filter by using the third signal.
Priority Applications (1)
| Application Number | Priority Date | Filing Date | Title |
|---|---|---|---|
| US15/187,927 US10177894B2 (en) | 2015-06-25 | 2016-06-21 | Method and apparatus for tuning finite impulse response filter in in-band full duplex transceiver |
Applications Claiming Priority (2)
| Application Number | Priority Date | Filing Date | Title |
|---|---|---|---|
| KR1020150090785 | 2015-06-25 | ||
| KR20150090785 | 2015-06-25 |
Publications (2)
| Publication Number | Publication Date |
|---|---|
| KR20170001597A KR20170001597A (en) | 2017-01-04 |
| KR102441528B1 true KR102441528B1 (en) | 2022-09-07 |
Family
ID=57832030
Family Applications (1)
| Application Number | Title | Priority Date | Filing Date |
|---|---|---|---|
| KR1020160074066A Active KR102441528B1 (en) | 2015-06-25 | 2016-06-14 | Method and apparatus for estimating input information of FIR filter in same-band full-duplex transceiver |
Country Status (1)
| Country | Link |
|---|---|
| KR (1) | KR102441528B1 (en) |
Families Citing this family (2)
| Publication number | Priority date | Publication date | Assignee | Title |
|---|---|---|---|---|
| KR102331100B1 (en) | 2017-12-11 | 2021-11-26 | 한국전자통신연구원 | Method for estimating self-interference signal based on iterative estimation and apparatus using the same |
| KR102837781B1 (en) * | 2022-11-15 | 2025-07-22 | 국방과학연구소 | Encoder integrated transmitter and telemetry system including the same |
Citations (1)
| Publication number | Priority date | Publication date | Assignee | Title |
|---|---|---|---|---|
| US20130301487A1 (en) * | 2012-05-13 | 2013-11-14 | Amir Keyvan Khandani | Full Duplex Wireless Transmission with Self-Interference Cancellation |
Family Cites Families (1)
| Publication number | Priority date | Publication date | Assignee | Title |
|---|---|---|---|---|
| TW200830706A (en) * | 2007-01-12 | 2008-07-16 | Sanyo Electric Co | Filter coefficient setting device and echo prevention device |
-
2016
- 2016-06-14 KR KR1020160074066A patent/KR102441528B1/en active Active
Patent Citations (1)
| Publication number | Priority date | Publication date | Assignee | Title |
|---|---|---|---|---|
| US20130301487A1 (en) * | 2012-05-13 | 2013-11-14 | Amir Keyvan Khandani | Full Duplex Wireless Transmission with Self-Interference Cancellation |
Also Published As
| Publication number | Publication date |
|---|---|
| KR20170001597A (en) | 2017-01-04 |
Similar Documents
| Publication | Publication Date | Title |
|---|---|---|
| US10177894B2 (en) | Method and apparatus for tuning finite impulse response filter in in-band full duplex transceiver | |
| US10038471B2 (en) | Method and apparatus for canceling self-interference | |
| Chung et al. | Prototyping real-time full duplex radios | |
| Sim et al. | Nonlinear self-interference cancellation for full-duplex radios: From link-level and system-level performance perspectives | |
| Anttila et al. | Frequency-selective I/Q mismatch calibration of wideband direct-conversion transmitters | |
| KR101247461B1 (en) | Two-steps least squares time domain channel estimation for ofdm systems | |
| KR102327032B1 (en) | Method of in-band full-duplex transmission and reception, and apparatus for the same | |
| KR20100021383A (en) | Self-interferecne cancellation method and its apparatus for on-frequency relay and repeater in ofdm-based wireless communication systems | |
| US11245447B2 (en) | MIMO communication method, and base station apparatus and terminal | |
| US20160087698A1 (en) | In-band full duplex transceiver and in-band full duplex multi-input multi-output transceiver | |
| CN106664273A (en) | Interference cancellation in MIMO same channel full-duplex transceivers | |
| Chen et al. | A multi-stage self-interference canceller for full-duplex wireless communications | |
| WO2017066279A1 (en) | Efficient channel estimation and symbol detection for massive mimo-ofdm | |
| Zhan et al. | Design and evaluation of a wideband full-duplex OFDM system based on AASIC | |
| US10177805B2 (en) | Method and apparatus for tuning finite impulse response filter in in-band full duplex transceiver | |
| KR102441528B1 (en) | Method and apparatus for estimating input information of FIR filter in same-band full-duplex transceiver | |
| KR102415625B1 (en) | Method and appratus for self interference cancelling | |
| CN105393458B (en) | A kind of interference cancellation method and device | |
| KR20170061087A (en) | Self-interference cancellation circuit and in-band full duplex transceiver | |
| KR102454166B1 (en) | Method and apparatus for tuning finite impulse response filter in in-band full duplex transceiver | |
| KR102449738B1 (en) | Method and apparatus for estimating input information of finite impulse response filter in in-band full duplex transceiver | |
| Prasad et al. | Analog interference cancellation for full-duplex broadband power line communications | |
| Sim et al. | Low-complexity nonlinear self-interference cancellation for full-duplex radios | |
| CN107395222A (en) | method for eliminating distortion and circuit for user equipment | |
| Kim et al. | Full‐duplex Radios in 5G: Fundamentals, Design and Prototyping |
Legal Events
| Date | Code | Title | Description |
|---|---|---|---|
| PA0109 | Patent application |
Patent event code: PA01091R01D Comment text: Patent Application Patent event date: 20160614 |
|
| PG1501 | Laying open of application | ||
| PA0201 | Request for examination |
Patent event code: PA02012R01D Patent event date: 20210415 Comment text: Request for Examination of Application Patent event code: PA02011R01I Patent event date: 20160614 Comment text: Patent Application |
|
| E902 | Notification of reason for refusal | ||
| PE0902 | Notice of grounds for rejection |
Comment text: Notification of reason for refusal Patent event date: 20220118 Patent event code: PE09021S01D |
|
| E701 | Decision to grant or registration of patent right | ||
| PE0701 | Decision of registration |
Patent event code: PE07011S01D Comment text: Decision to Grant Registration Patent event date: 20220615 |
|
| GRNT | Written decision to grant | ||
| PR0701 | Registration of establishment |
Comment text: Registration of Establishment Patent event date: 20220902 Patent event code: PR07011E01D |
|
| PR1002 | Payment of registration fee |
Payment date: 20220902 End annual number: 3 Start annual number: 1 |
|
| PG1601 | Publication of registration |










