KR102292572B1 - Display device using a composition for organic electronic element, and an organic electronic element thereof - Google Patents
Display device using a composition for organic electronic element, and an organic electronic element thereof Download PDFInfo
- Publication number
- KR102292572B1 KR102292572B1 KR1020140154403A KR20140154403A KR102292572B1 KR 102292572 B1 KR102292572 B1 KR 102292572B1 KR 1020140154403 A KR1020140154403 A KR 1020140154403A KR 20140154403 A KR20140154403 A KR 20140154403A KR 102292572 B1 KR102292572 B1 KR 102292572B1
- Authority
- KR
- South Korea
- Prior art keywords
- group
- sub
- compound
- mmol
- compounds
- Prior art date
- Legal status (The legal status is an assumption and is not a legal conclusion. Google has not performed a legal analysis and makes no representation as to the accuracy of the status listed.)
- Active
Links
- PALIMCGUYPGTGG-UHFFFAOYSA-N C1C=CC(C2(c3cc(N(c(cc4)ccc4-c(cc4)ccc4-[n]4c5ccccc5c5c4cccc5)c(cc4)cc5c4[s]c4ccccc54)ccc3-c3ccccc23)c2ccccc2)=CC1 Chemical compound C1C=CC(C2(c3cc(N(c(cc4)ccc4-c(cc4)ccc4-[n]4c5ccccc5c5c4cccc5)c(cc4)cc5c4[s]c4ccccc54)ccc3-c3ccccc23)c2ccccc2)=CC1 PALIMCGUYPGTGG-UHFFFAOYSA-N 0.000 description 2
- LMWNYBQEOCWDBI-UHFFFAOYSA-N c(cc1)ccc1-c(cc1)ccc1N(c(cc1)ccc1-c(c(-c1ccccc1)c1)ccc1-[n]1c2ccccc2c2c1cccc2)c(cc12)ccc1[s]c1c2c(cccc2)c2cc1 Chemical compound c(cc1)ccc1-c(cc1)ccc1N(c(cc1)ccc1-c(c(-c1ccccc1)c1)ccc1-[n]1c2ccccc2c2c1cccc2)c(cc12)ccc1[s]c1c2c(cccc2)c2cc1 LMWNYBQEOCWDBI-UHFFFAOYSA-N 0.000 description 2
- OWLPPOYJLRZKGB-UHFFFAOYSA-N c(cc1)ccc1-c(cc1)ccc1N(c1ccc(c2ccccc2[o]2)c2c1)c1cccc(-c(cc2)ccc2-[n]2c(cccc3)c3c3ccccc23)c1 Chemical compound c(cc1)ccc1-c(cc1)ccc1N(c1ccc(c2ccccc2[o]2)c2c1)c1cccc(-c(cc2)ccc2-[n]2c(cccc3)c3c3ccccc23)c1 OWLPPOYJLRZKGB-UHFFFAOYSA-N 0.000 description 2
- HJQBOUWAVZHFJO-UHFFFAOYSA-N c(cc1)ccc1-c1cc(N(c2cccc(-c3ccccc3)c2)c2cccc(N(c(cc3)ccc3-c(cc3)ccc3-[n]3c4ccccc4c4c3cccc4)c3c4[s]c(cccc5)c5c4ccc3)c2)ccc1 Chemical compound c(cc1)ccc1-c1cc(N(c2cccc(-c3ccccc3)c2)c2cccc(N(c(cc3)ccc3-c(cc3)ccc3-[n]3c4ccccc4c4c3cccc4)c3c4[s]c(cccc5)c5c4ccc3)c2)ccc1 HJQBOUWAVZHFJO-UHFFFAOYSA-N 0.000 description 2
- VJLHNMQNTHLNHT-UHFFFAOYSA-N c(cc12)ccc1-c1ccccc1C21c2cc(N(c(cc3)ccc3-c(cc3)ccc3-[n]3c4ccccc4c4c3cccc4)c3ccc(c4ccccc4[s]4)c4c3)ccc2-c2ccccc12 Chemical compound c(cc12)ccc1-c1ccccc1C21c2cc(N(c(cc3)ccc3-c(cc3)ccc3-[n]3c4ccccc4c4c3cccc4)c3ccc(c4ccccc4[s]4)c4c3)ccc2-c2ccccc12 VJLHNMQNTHLNHT-UHFFFAOYSA-N 0.000 description 2
- 0 *c1ccccc1 Chemical compound *c1ccccc1 0.000 description 1
- OGALWOWBHMZIMA-UHFFFAOYSA-N Brc1cc(-c(cc2)ccc2-[n]2c3ccccc3c3ccccc23)ccc1 Chemical compound Brc1cc(-c(cc2)ccc2-[n]2c3ccccc3c3ccccc23)ccc1 OGALWOWBHMZIMA-UHFFFAOYSA-N 0.000 description 1
- JVHWZEWMZMHZFN-UHFFFAOYSA-N Brc1cccc(-c2c3[s]c(cccc4)c4c3ccc2)c1 Chemical compound Brc1cccc(-c2c3[s]c(cccc4)c4c3ccc2)c1 JVHWZEWMZMHZFN-UHFFFAOYSA-N 0.000 description 1
- CWTHAPSQHMGCAN-UHFFFAOYSA-N CC1(C)c2cc(cccc3)c3cc2-c2c1ccc(N(c(cc1)ccc1-c(cc1)ccc1-[n]1c3ccc(cccc4)c4c3c3c1ccc1c3cccc1)c1cc(-c3ccncc3)cc3c1[s]c1ccccc31)c2 Chemical compound CC1(C)c2cc(cccc3)c3cc2-c2c1ccc(N(c(cc1)ccc1-c(cc1)ccc1-[n]1c3ccc(cccc4)c4c3c3c1ccc1c3cccc1)c1cc(-c3ccncc3)cc3c1[s]c1ccccc31)c2 CWTHAPSQHMGCAN-UHFFFAOYSA-N 0.000 description 1
- AZWXUUXNFZALJX-UHFFFAOYSA-N CCC(NC(C)/C=[I]\C(C)C)=C Chemical compound CCC(NC(C)/C=[I]\C(C)C)=C AZWXUUXNFZALJX-UHFFFAOYSA-N 0.000 description 1
- RUFPHBVGCFYCNW-UHFFFAOYSA-N Nc1c(cccc2)c2ccc1 Chemical compound Nc1c(cccc2)c2ccc1 RUFPHBVGCFYCNW-UHFFFAOYSA-N 0.000 description 1
- ORPVVAKYSXQCJI-UHFFFAOYSA-N [O-][N+](c(cccc1)c1Br)=O Chemical compound [O-][N+](c(cccc1)c1Br)=O ORPVVAKYSXQCJI-UHFFFAOYSA-N 0.000 description 1
- YOJKKXRJMXIKSR-UHFFFAOYSA-N [O-][N+](c1ccccc1-c1ccccc1)=O Chemical compound [O-][N+](c1ccccc1-c1ccccc1)=O YOJKKXRJMXIKSR-UHFFFAOYSA-N 0.000 description 1
- IIWJBRNQYOMVPR-UHFFFAOYSA-N c(cc1)cc(c2c3ccc4c2cccc4)c1[n]3-c(cc1)ccc1-c(cc1)ccc1N(c(cc1)cc2c1c1ccccc1[o]2)c1cccc2c1[s]c1ccccc21 Chemical compound c(cc1)cc(c2c3ccc4c2cccc4)c1[n]3-c(cc1)ccc1-c(cc1)ccc1N(c(cc1)cc2c1c1ccccc1[o]2)c1cccc2c1[s]c1ccccc21 IIWJBRNQYOMVPR-UHFFFAOYSA-N 0.000 description 1
- DNFDBWGZQOIVJJ-UHFFFAOYSA-N c(cc1)cc(c2c3ccc4c2cccc4)c1[n]3-c(cc1)ccc1-c(cc1)ccc1N(c(cc1)ccc1-c(cc1)cc2c1[o]c1ccccc21)c(cc1)ccc1-c(cc1)cc2c1[s]c1ccccc21 Chemical compound c(cc1)cc(c2c3ccc4c2cccc4)c1[n]3-c(cc1)ccc1-c(cc1)ccc1N(c(cc1)ccc1-c(cc1)cc2c1[o]c1ccccc21)c(cc1)ccc1-c(cc1)cc2c1[s]c1ccccc21 DNFDBWGZQOIVJJ-UHFFFAOYSA-N 0.000 description 1
- MGRPDPFBRXVINX-UHFFFAOYSA-N c(cc1)cc(c2ccc3)c1[s]c2c3-c1cc(N(c(cc2)ccc2-c(cc2)ccc2-[n]2c3ccc(cccc4)c4c3c3c2ccc2c3cccc2)c2cccc3c2cccc3)ccc1 Chemical compound c(cc1)cc(c2ccc3)c1[s]c2c3-c1cc(N(c(cc2)ccc2-c(cc2)ccc2-[n]2c3ccc(cccc4)c4c3c3c2ccc2c3cccc2)c2cccc3c2cccc3)ccc1 MGRPDPFBRXVINX-UHFFFAOYSA-N 0.000 description 1
- SVHXATAZSSXHAC-UHFFFAOYSA-N c(cc1)ccc1-c(cc1)ccc1N(c(cc1)cc2c1[s]c1ccccc21)c1cc(N(c2ccccc2)c2ccccc2)cc(-c(cc2)ccc2-[n]2c3ccccc3c3c2cccc3)c1 Chemical compound c(cc1)ccc1-c(cc1)ccc1N(c(cc1)cc2c1[s]c1ccccc21)c1cc(N(c2ccccc2)c2ccccc2)cc(-c(cc2)ccc2-[n]2c3ccccc3c3c2cccc3)c1 SVHXATAZSSXHAC-UHFFFAOYSA-N 0.000 description 1
- BRTIFDJSANQHFW-UHFFFAOYSA-N c(cc1)ccc1-c(cc1)ccc1N(c(cc1)cc2c1[s]c1ccccc21)c1cccc(-c(cc2)ccc2-[n]2c(cccc3)c3c3ccccc23)c1 Chemical compound c(cc1)ccc1-c(cc1)ccc1N(c(cc1)cc2c1[s]c1ccccc21)c1cccc(-c(cc2)ccc2-[n]2c(cccc3)c3c3ccccc23)c1 BRTIFDJSANQHFW-UHFFFAOYSA-N 0.000 description 1
- MWAIGPGTWVZERC-UHFFFAOYSA-N c(cc1)ccc1-c(cc1)ccc1N(c1ccc(cccc2)c2c1)c1cc([s]c2cc(-[n]3c(cccc4)c4c4c3cccc4)c(cccc3)c3c22)c2c2c1cccc2 Chemical compound c(cc1)ccc1-c(cc1)ccc1N(c1ccc(cccc2)c2c1)c1cc([s]c2cc(-[n]3c(cccc4)c4c4c3cccc4)c(cccc3)c3c22)c2c2c1cccc2 MWAIGPGTWVZERC-UHFFFAOYSA-N 0.000 description 1
- HRYIGPMIZDQUPB-UHFFFAOYSA-N c(cc1)ccc1-c(cc1)ccc1N(c1cccc(-c2ccccc2)c1)c(c1c2[o]c3ccccc13)ccc2-[n]1c2ccccc2c2c1cccc2 Chemical compound c(cc1)ccc1-c(cc1)ccc1N(c1cccc(-c2ccccc2)c1)c(c1c2[o]c3ccccc13)ccc2-[n]1c2ccccc2c2c1cccc2 HRYIGPMIZDQUPB-UHFFFAOYSA-N 0.000 description 1
- SZOFSHPSDMYXKP-UHFFFAOYSA-N c(cc1)ccc1-c(cc1)ccc1Nc1ccc(c2ccccc2[o]2)c2c1 Chemical compound c(cc1)ccc1-c(cc1)ccc1Nc1ccc(c2ccccc2[o]2)c2c1 SZOFSHPSDMYXKP-UHFFFAOYSA-N 0.000 description 1
- MRJPONNBMSLEDG-UHFFFAOYSA-N c(cc1)ccc1-c1cc(-c2ccccc2)cc(N(c(cc2)ccc2-c(cc2)ccc2-[n](c2c3cccc2)c2c3c(cccc3)c3cc2)c2c(c3ccccc3[s]3)c3ccc2)c1 Chemical compound c(cc1)ccc1-c1cc(-c2ccccc2)cc(N(c(cc2)ccc2-c(cc2)ccc2-[n](c2c3cccc2)c2c3c(cccc3)c3cc2)c2c(c3ccccc3[s]3)c3ccc2)c1 MRJPONNBMSLEDG-UHFFFAOYSA-N 0.000 description 1
- NUYJKIALWQGMDH-UHFFFAOYSA-N c(cc1)ccc1-c1ccc(cc(cc2)N(c(cc3c4c5)ccc3[o]c4ccc5-[n]3c(cccc4)c4c4c3cccc4)c(cc3)cc4c3[s]c3c4cccc3)c2c1 Chemical compound c(cc1)ccc1-c1ccc(cc(cc2)N(c(cc3c4c5)ccc3[o]c4ccc5-[n]3c(cccc4)c4c4c3cccc4)c(cc3)cc4c3[s]c3c4cccc3)c2c1 NUYJKIALWQGMDH-UHFFFAOYSA-N 0.000 description 1
- WODJWPUOTBIRBW-UHFFFAOYSA-N c(cc1)ccc1-c1cccc(N(c(cc2)ccc2-c(cc2)ccc2-[n](c2c3cccc2)c2c3c(cccc3)c3cc2)c(cc2)cc3c2[o]c2ccccc32)c1 Chemical compound c(cc1)ccc1-c1cccc(N(c(cc2)ccc2-c(cc2)ccc2-[n](c2c3cccc2)c2c3c(cccc3)c3cc2)c(cc2)cc3c2[o]c2ccccc32)c1 WODJWPUOTBIRBW-UHFFFAOYSA-N 0.000 description 1
- ZZIGDAKJJOMVDI-UHFFFAOYSA-N c(cc1)ccc1N(c(cc1)ccc1-c(cc1)ccc1-[n]1c2ccc(cccc3)c3c2c2c1ccc1c2cccc1)c1cccc(-c2ncc3[o]c(cccc4)c4c3c2)c1 Chemical compound c(cc1)ccc1N(c(cc1)ccc1-c(cc1)ccc1-[n]1c2ccc(cccc3)c3c2c2c1ccc1c2cccc1)c1cccc(-c2ncc3[o]c(cccc4)c4c3c2)c1 ZZIGDAKJJOMVDI-UHFFFAOYSA-N 0.000 description 1
- IHRNCELWROHBAG-UHFFFAOYSA-N c(cc1)ccc1N(c(cc1c2c3ccc4c2cccc4)ccc1[n]3-c1ccccc1)c(cc1)cc(c2ccc3)c1[o]c2c3-[n]1c2ccccc2c2c1cccc2 Chemical compound c(cc1)ccc1N(c(cc1c2c3ccc4c2cccc4)ccc1[n]3-c1ccccc1)c(cc1)cc(c2ccc3)c1[o]c2c3-[n]1c2ccccc2c2c1cccc2 IHRNCELWROHBAG-UHFFFAOYSA-N 0.000 description 1
- CLKAKXTXRZKYQC-UHFFFAOYSA-N c(cc1c2c3cccc2)ccc1[n]3-c(cc1)ccc1-c1cc(N(c2ccc(c3ccccc3[o]3)c3c2)c(cc2)cc3c2c2ccccc2[s]3)ccc1 Chemical compound c(cc1c2c3cccc2)ccc1[n]3-c(cc1)ccc1-c1cc(N(c2ccc(c3ccccc3[o]3)c3c2)c(cc2)cc3c2c2ccccc2[s]3)ccc1 CLKAKXTXRZKYQC-UHFFFAOYSA-N 0.000 description 1
- HFPYDEAANXPRAH-UHFFFAOYSA-N c1ccc(C2(c(cc(cc3)N(c(cc4)ccc4-c(cc4)ccc4-[n]4c5ccccc5c5c4cccc5)c4cnc5c6ccccc6ccc5c4)c3-c(cc3)c2cc3-c2ccccc2)c2ccccc2)cc1 Chemical compound c1ccc(C2(c(cc(cc3)N(c(cc4)ccc4-c(cc4)ccc4-[n]4c5ccccc5c5c4cccc5)c4cnc5c6ccccc6ccc5c4)c3-c(cc3)c2cc3-c2ccccc2)c2ccccc2)cc1 HFPYDEAANXPRAH-UHFFFAOYSA-N 0.000 description 1
- BJQGWZFGHFWHHZ-UHFFFAOYSA-N c1ccc(C2(c3cc(N(c(cc4)cc5c4[s]c4c5cccc4)c4cccc(-c(cc5)ccc5-[n]5c(cccc6)c6c6ccccc56)c4)ccc3-c3ccccc23)c2ccccc2)cc1 Chemical compound c1ccc(C2(c3cc(N(c(cc4)cc5c4[s]c4c5cccc4)c4cccc(-c(cc5)ccc5-[n]5c(cccc6)c6c6ccccc56)c4)ccc3-c3ccccc23)c2ccccc2)cc1 BJQGWZFGHFWHHZ-UHFFFAOYSA-N 0.000 description 1
- LWERVKOZHNIWQP-UHFFFAOYSA-N c1ccc2[s]c(c(-c3cccc(Nc4cccc5c4cccc5)c3)ccc3)c3c2c1 Chemical compound c1ccc2[s]c(c(-c3cccc(Nc4cccc5c4cccc5)c3)ccc3)c3c2c1 LWERVKOZHNIWQP-UHFFFAOYSA-N 0.000 description 1
Images
Classifications
-
- H—ELECTRICITY
- H10—SEMICONDUCTOR DEVICES; ELECTRIC SOLID-STATE DEVICES NOT OTHERWISE PROVIDED FOR
- H10K—ORGANIC ELECTRIC SOLID-STATE DEVICES
- H10K50/00—Organic light-emitting devices
-
- H—ELECTRICITY
- H10—SEMICONDUCTOR DEVICES; ELECTRIC SOLID-STATE DEVICES NOT OTHERWISE PROVIDED FOR
- H10K—ORGANIC ELECTRIC SOLID-STATE DEVICES
- H10K50/00—Organic light-emitting devices
- H10K50/10—OLEDs or polymer light-emitting diodes [PLED]
- H10K50/14—Carrier transporting layers
- H10K50/15—Hole transporting layers
-
- H—ELECTRICITY
- H10—SEMICONDUCTOR DEVICES; ELECTRIC SOLID-STATE DEVICES NOT OTHERWISE PROVIDED FOR
- H10K—ORGANIC ELECTRIC SOLID-STATE DEVICES
- H10K71/00—Manufacture or treatment specially adapted for the organic devices covered by this subclass
-
- H—ELECTRICITY
- H10—SEMICONDUCTOR DEVICES; ELECTRIC SOLID-STATE DEVICES NOT OTHERWISE PROVIDED FOR
- H10K—ORGANIC ELECTRIC SOLID-STATE DEVICES
- H10K85/00—Organic materials used in the body or electrodes of devices covered by this subclass
- H10K85/60—Organic compounds having low molecular weight
- H10K85/649—Aromatic compounds comprising a hetero atom
- H10K85/657—Polycyclic condensed heteroaromatic hydrocarbons
- H10K85/6572—Polycyclic condensed heteroaromatic hydrocarbons comprising only nitrogen in the heteroaromatic polycondensed ring system, e.g. phenanthroline or carbazole
-
- Y—GENERAL TAGGING OF NEW TECHNOLOGICAL DEVELOPMENTS; GENERAL TAGGING OF CROSS-SECTIONAL TECHNOLOGIES SPANNING OVER SEVERAL SECTIONS OF THE IPC; TECHNICAL SUBJECTS COVERED BY FORMER USPC CROSS-REFERENCE ART COLLECTIONS [XRACs] AND DIGESTS
- Y02—TECHNOLOGIES OR APPLICATIONS FOR MITIGATION OR ADAPTATION AGAINST CLIMATE CHANGE
- Y02E—REDUCTION OF GREENHOUSE GAS [GHG] EMISSIONS, RELATED TO ENERGY GENERATION, TRANSMISSION OR DISTRIBUTION
- Y02E10/00—Energy generation through renewable energy sources
- Y02E10/50—Photovoltaic [PV] energy
- Y02E10/549—Organic PV cells
Landscapes
- Physics & Mathematics (AREA)
- Engineering & Computer Science (AREA)
- Optics & Photonics (AREA)
- Manufacturing & Machinery (AREA)
- Spectroscopy & Molecular Physics (AREA)
- Chemical & Material Sciences (AREA)
- Materials Engineering (AREA)
- Electroluminescent Light Sources (AREA)
Abstract
본 발명은 구조가 상이한 둘 이상의 화합물로 이루어진 조성물을 정공수송층으로 하여 소자의 발광효율 및 안정성, 수명을 향상시킨 유기전기소자 및 디스플레이 장치, 이를 포함하는 전자장치를 제공한다.The present invention provides an organic electric device, a display device, and an electronic device including the same, in which luminous efficiency, stability, and lifespan of the device are improved by using a composition composed of two or more compounds having different structures as a hole transport layer.
Description
본 발명은 유기전기소자용 화합물로 이루어진 조성물을 이용한 유기전기소자 및 디스플레이 장치, 전자 장치에 관한 것이며, 보다 구체적으로, 2개 이상의 서로 상이한 정공수송 재료가 정공수송층에 사용된 유기물층을 포함하는 디스플레이 장치 및 유기전기소자에 관한 것이다. The present invention relates to an organic electric device, a display device, and an electronic device using a composition made of a compound for an organic electric device, and more specifically, a display device comprising an organic material layer in which two or more different hole transport materials are used for the hole transport layer And it relates to an organic electric device.
일반적으로 유기발광현상이란 유기물질을 이용하여 전기에너지를 빛에너지로 전환시켜주는 현상을 말한다. 유기발광현상을 이용하는 유기전기소자는 전류를 인가함으로써, 양극으로부터 주입된 정공과 음극으로부터 주입된 전자의 재결합 에너지에 의해 발광물질이 발광하는 원리를 이용한 자발광 소자이다. In general, the organic light emitting phenomenon refers to a phenomenon in which electric energy is converted into light energy using an organic material. The organic electric device using the organic light emitting phenomenon is a self-luminous device using the principle that a light emitting material emits light by the recombination energy of holes injected from an anode and electrons injected from a cathode by applying a current.
유기전기소자는 기판 상부에 애노드가 형성되어 있고, 이 애노드 상부에 정공주입층, 정공수송층, 발광층, 전자수송층, 전자주입층 및 캐소드가 순차적으로 형성되어 있는 구조를 가질 수 있다. 여기서 정공주입층, 정공수송층, 발광층, 전자수송층, 전자주입층은 유기화합물로 이루어진 유기 박막들이다. The organic electric device may have a structure in which an anode is formed on a substrate, and a hole injection layer, a hole transport layer, a light emitting layer, an electron transport layer, an electron injection layer, and a cathode are sequentially formed on the anode. Here, the hole injection layer, the hole transport layer, the light emitting layer, the electron transport layer, and the electron injection layer are organic thin films made of an organic compound.
현재 휴대용 디스플레이 시장은 대면적 디스플레이로 그 크기가 증가하고 있는 추세이며, 이로 인해 기존 휴대용 디스플레이에서 요구하던 소비전력 보다 더 큰 소비전력이 요구되고 있다. 따라서, 배터리라는 제한적인 전력공급원을 가지고 있는 휴대용 디스플레이 입장에서는 소비전력이 중요한 요소가 되었고, 효율 및 수명 문제와 구동전압 문제는 반드시 해결해야 하는 중요한 요소이다.Currently, the portable display market is a large-area display, and the size thereof is increasing, and thus, more power consumption than the power consumption required by the existing portable display is required. Therefore, power consumption has become an important factor for a portable display having a limited power supply such as a battery, and efficiency and lifespan problems and driving voltage problems are important factors that must be solved.
특히 구동전압 문제와 수명문제의 경우 정공 주입재료 및 정공수송재료의 열적 열화 문제와 연관성이 매우 커서 이를 보완하기 위해 다수의 방법들이 연구되었다. 예를들면 정공수송층을 다층으로 구성하는 방법 (미국특허 제5256945)및 높은 유리전이온도를 갖는 재료를 사용하는 방법 (미국 특허 제5061569) 등이 제안되었다. In particular, in the case of the driving voltage problem and the lifespan problem, a number of methods have been studied to compensate for the high correlation with the thermal degradation problem of the hole injection material and the hole transport material. For example, a method of configuring a hole transport layer as a multilayer (US Patent No. 5256945) and a method of using a material having a high glass transition temperature (US Patent No. 5061569) have been proposed.
또한 구동전압을 감소시키기 위해 정공 수송 기능이 우수한 물질을 사용 할 경우 소자의 구동전압 감소는 크지만 전하가 과다하게 주입되어 소자의 효율과 수명은 저하되는 현상이 나타나며, 이러한 문제를 해결하기 위해 많은 시도가 있었다. In addition, when a material with excellent hole transport function is used to reduce the driving voltage, the driving voltage of the device is greatly reduced, but the efficiency and lifespan of the device are reduced due to excessive charge injection. There was an attempt.
하지만 적색, 녹색, 청색 중 청색 유기전기소자의 진행성 구동전압의 상승으로 인한 유기전기소자의 소비전력 상승 및 수명 저하의 문제점이 발생하였으며, 이러한 문제점을 해결하기 위해 애노드와 정공수송층 사이에 버퍼층을 형성하는 기술이 제안되었다(국내 공개특허 2006-0032099). However, among red, green, and blue, there were problems in the increase in power consumption and decrease in lifespan of the organic electric element due to the increase in the progressive driving voltage of the blue organic electric element. To solve these problems, a buffer layer was formed between the anode and the hole transport layer. A technique has been proposed (Korean Patent Publication 2006-0032099).
본 발명은 정공수송층에 서로 상이한 band gap을 갖는 2개 이상의 정공수송재료를 혼합하여 정공주입층과 정공수송층 간의 계면 및 정공수송층과 발광층 간의 계면에 발생하는 열적 열화를 감소시켜 수명을 증가시키고, 발광층 내 전하의 주입량을 효율적으로 조절하여 효율을 증가시킴으로써 우수한 발광효율을 갖는 유기전기소자를 제공하는 것을 목적으로 한다. The present invention mixes two or more hole transport materials having different band gaps in the hole transport layer to reduce thermal degradation occurring at the interface between the hole injection layer and the hole transport layer and the interface between the hole transport layer and the light emitting layer, thereby increasing the lifespan, and increasing the light emitting layer An object of the present invention is to provide an organic electric device having excellent luminous efficiency by efficiently controlling an injection amount of internal charge to increase efficiency.
본 발명은, 제 1전극; 제 2전극; 및 상기 제 1전극과 제 2전극 사이에 위치하며 적어도 하나의 정공수송층 및 발광 화합물을 포함하는 발광층이 포함된 유기물층;을 포함하는 유기전기소자 또는 디스플레이 장치에 있어서, 상기 정공수송층은 화학구조가 상이한 2 이상의 화합물이 혼합된 조성물로 이루어지는 유기전기소자 및 이를 포함하는 디스플레이 장치를 제공한다. The present invention, a first electrode; a second electrode; and an organic material layer positioned between the first electrode and the second electrode and including at least one hole transport layer and a light emitting layer including a light emitting compound, wherein the hole transport layer has a different chemical structure Provided are an organic electric device comprising a composition in which two or more compounds are mixed, and a display device including the same.
또한 본 발명은 하기 화학식 1 및 2로 표시되는 유기전기소자용 화합물이 혼합된 조성물을 이용한 유기전기소자 및 그 전자 장치에 관한 것이며, 보다 구체적으로는 상기 조성물로 이루어진 정공수송층에 각각의 화합물의 화학구조가 상이한 2 이상의 정공수송 재료가 혼합된 조성물을 사용한 유기전기소자를 제공하고, 이를 포함한 전자장치를 제공한다.
In addition, the present invention relates to an organic electric device and an electronic device using a composition in which a compound for an organic electric device represented by the following Chemical Formulas 1 and 2 is mixed, and more specifically, the chemistry of each compound in the hole transport layer made of the composition An organic electric device using a composition in which two or more hole transport materials having different structures are mixed, and an electronic device including the same.
본 발명에서 제공하는 유기전기소자 및 이를 포함하는 디스플레이 장치는, 정공주입층과 정공수송층 간의 계면 및 정공수송층과 발광층 간의 계면에 발생하는 열적 열화가 감소되어 수명이 장기간 지속되고, 발광층 내 전하의 주입량이 효율적으로 조절되어 우수한 발광효율을 제공한다. The organic electric device provided by the present invention and a display device including the same, reduce thermal degradation occurring at the interface between the hole injection layer and the hole transport layer and the interface between the hole transport layer and the light emitting layer, so that the lifespan lasts for a long time, and the amount of charge injected in the light emitting layer This is efficiently controlled to provide excellent luminous efficiency.
도 1은 본 발명의 실시예에 따른 유기전기소자의 예시도이다.1 is an exemplary view of an organic electric device according to an embodiment of the present invention.
이하, 본 발명의 실시예를 참조하여 상세하게 설명한다. 본 발명을 설명함에 있어, 관련된 공지 구성 또는 기능에 대한 구체적인 설명이 본 발명의 요지를 흐릴 수 있다고 판단되는 경우에는 그 상세한 설명은 생략한다.Hereinafter, it will be described in detail with reference to embodiments of the present invention. In describing the present invention, if it is determined that a detailed description of a related known configuration or function may obscure the gist of the present invention, the detailed description thereof will be omitted.
또한, 본 발명의 구성 요소를 설명하는 데 있어서, 제 1, 제 2, A, B, (a),(b) 등의 용어를 사용할 수 있다. 이러한 용어는 그 구성 요소를 다른 구성요소와 구별하기 위한 것일 뿐, 그 용어에 의해 해당 구성 요소의 본질이나 차례 또는 순서 등이 한정되지 않는다. 어떤 구성 요소가 다른 구성 요소에 "연결", "결합" 또는 "접속"된다고 기재된 경우, 그 구성 요소는 그 다른 구성 요소에 직접적으로 연결되거나 또는 접속될 수 있지만, 각 구성 요소 사이에 또 다른 구성 요소가 "연결", "결합" 또는 "접속"될 수도 있다고 이해되어야 할 것이다.In addition, in describing the components of the present invention, terms such as first, second, A, B, (a), (b), etc. may be used. These terms are only for distinguishing the elements from other elements, and the essence, order, or order of the elements are not limited by the terms. When it is described that a component is “connected”, “coupled” or “connected” to another component, the component may be directly connected or connected to the other component, but another component is between each component. It should be understood that elements may be “connected,” “coupled,” or “connected.”
본 명세서 및 첨부된 청구의 범위에서 사용된 바와 같이, 달리 언급하지 않는 한, 하기 용어의 의미는 하기와 같다: As used in this specification and the appended claims, unless otherwise stated, the following terms have the following meanings:
본 명세서에서 사용된 용어 "할로" 또는 "할로겐"은 다른 설명이 없는 한 불소(F), 브롬(Br), 염소(Cl) 또는 요오드(I)이다.As used herein, the term "halo" or "halogen" is fluorine (F), bromine (Br), chlorine (Cl) or iodine (I), unless otherwise specified.
본 발명에 사용된 용어 "알킬" 또는 "알킬기"는 다른 설명이 없는 한 1 내지 60의 탄소수의 단일결합을 가지며, 직쇄 알킬기, 분지쇄 알킬기, 사이클로알킬(지환족)기, 알킬-치환된 사이클로알킬기, 사이클로알킬-치환된 알킬기를 비롯한 포화 지방족 작용기의 라디칼을 의미한다.The term "alkyl" or "alkyl group" as used herein, unless otherwise specified, has a single bond having 1 to 60 carbon atoms, a straight chain alkyl group, a branched chain alkyl group, a cycloalkyl (alicyclic) group, an alkyl-substituted cyclo means a radical of saturated aliphatic functional groups including alkyl groups, cycloalkyl-substituted alkyl groups.
본 발명에 사용된 용어 "할로알킬기" 또는 "할로겐알킬기"는 다른 설명이 없는 한 할로겐으로 치환된 알킬기를 의미한다. As used herein, the term “haloalkyl group” or “halogenalkyl group” refers to an alkyl group substituted with halogen unless otherwise specified.
본 발명에 사용된 용어 "헤테로알킬기"는 알킬기를 구성하는 탄소원자 중 하나 이상이 헤테로원자로 대체된 것을 의미한다.As used herein, the term "heteroalkyl group" means that at least one of the carbon atoms constituting the alkyl group is replaced with a hetero atom.
본 발명에 사용된 용어 "알켄일기", "알케닐기" 또는 "알킨일기"는 다른 설명이 없는 한 각각 2 내지 60의 탄소수의 이중결합 또는 삼중결합을 가지며, 직쇄형 또는 측쇄형 사슬기를 포함하며, 여기에 제한되는 것은 아니다.As used herein, the terms "alkenyl group", "alkenyl group" or "alkynyl group" have a double or triple bond of 2 to 60 carbon atoms, respectively, unless otherwise specified, and include a straight or branched chain group, , but not limited thereto.
본 발명에 사용된 용어 "시클로알킬"은 다른 설명이 없는 한 3 내지 60의 탄소수를 갖는 고리를 형성하는 알킬을 의미하며, 여기에 제한되는 것은 아니다.As used herein, the term "cycloalkyl" refers to an alkyl forming a ring having 3 to 60 carbon atoms unless otherwise specified, but is not limited thereto.
본 발명에 사용된 용어 "알콕실기", "알콕시기", 또는 "알킬옥시기"는 산소 라디칼이 부착된 알킬기를 의미하며, 다른 설명이 없는 한 1 내지 60의 탄소수를 가지며, 여기에 제한되는 것은 아니다.As used herein, the term "alkoxyl group", "alkoxy group", or "alkyloxy group" refers to an alkyl group to which an oxygen radical is attached, and has 1 to 60 carbon atoms, unless otherwise specified. it is not
본 발명에 사용된 용어 "알켄옥실기", "알켄옥시기", "알켄일옥실기", 또는 "알켄일옥시기"는 산소 라디칼이 부착된 알켄일기를 의미하며, 다른 설명이 없는 한 2 내지 60의 탄소수를 가지며, 여기에 제한되는 것은 아니다.As used herein, the term "alkenoxyl group", "alkenoxy group", "alkenyloxyl group", or "alkenyloxy group" means an alkenyl group to which an oxygen radical is attached, and unless otherwise specified, 2 to 60 has a carbon number of, but is not limited thereto.
본 발명에 사용된 용어 "아릴옥실기" 또는 "아릴옥시기"는 산소 라디칼이 부착된 아릴기를 의미하며, 다른 설명이 없는 한 6 내지 60의 탄소수를 가지며, 여기에 제한되는 것은 아니다.As used herein, the term "aryloxyl group" or "aryloxy group" refers to an aryl group to which an oxygen radical is attached, and has 6 to 60 carbon atoms unless otherwise specified, but is not limited thereto.
본 발명에 사용된 용어 "아릴기" 및 "아릴렌기"는 다른 설명이 없는 한 각각 6 내지 60의 탄소수를 가지며, 이에 제한되는 것은 아니다. 본 발명에서 아릴기 또는 아릴렌기는 단일 고리 또는 다중 고리의 방향족을 의미하며, 이웃한 치환기가 결합 또는 반응에 참여하여 형성된 방향족 고리를 포함한다. 예컨대, 아릴기는 페닐기, 비페닐기, 플루오렌기, 스파이로플루오렌기일 수 있다.The terms "aryl group" and "arylene group" used in the present invention have 6 to 60 carbon atoms, respectively, unless otherwise specified, but are not limited thereto. In the present invention, an aryl group or an arylene group means a single ring or multiple ring aromatic, and includes an aromatic ring formed by a neighboring substituent joining or participating in a reaction. For example, the aryl group may be a phenyl group, a biphenyl group, a fluorene group, or a spirofluorene group.
접두사 "아릴" 또는 "아르"는 아릴기로 치환된 라디칼을 의미한다. 예를 들어 아릴알킬기는 아릴기로 치환된 알킬기이며, 아릴알켄일기는 아릴기로 치환된 알켄일기이며, 아릴기로 치환된 라디칼은 본 명세서에서 설명한 탄소수를 가진다. The prefix “aryl” or “ar” refers to a radical substituted with an aryl group. For example, an arylalkyl group is an alkyl group substituted with an aryl group, an arylalkenyl group is an alkenyl group substituted with an aryl group, and the radical substituted with an aryl group has the number of carbon atoms described herein.
또한 접두사가 연속으로 명명되는 경우 먼저 기재된 순서대로 치환기가 나열되는 것을 의미한다. 예를 들어, 아릴알콕시기의 경우 아릴기로 치환된 알콕시기를 의미하며, 알콕실카르보닐기의 경우 알콕실기로 치환된 카르보닐기를 의미하며, 또한 아릴카르보닐알켄일기의 경우 아릴카르보닐기로 치환된 알켄일기를 의미하며 여기서 아릴카르보닐기는 아릴기로 치환된 카르보닐기이다.Also, when prefixes are named consecutively, it is meant that the substituents are listed in the order listed first. For example, an arylalkoxy group means an alkoxy group substituted with an aryl group, an alkoxylcarbonyl group means a carbonyl group substituted with an alkoxyl group, and an arylcarbonylalkenyl group means an alkenyl group substituted with an arylcarbonyl group and wherein the arylcarbonyl group is a carbonyl group substituted with an aryl group.
본 명세서에서 사용된 용어 "헤테로알킬"은 다른 설명이 없는 한 하나 이상의 헤테로원자를 포함하는 알킬을 의미한다. 본 발명에 사용된 용어 "헤테로아릴기" 또는 "헤테로아릴렌기"는 다른 설명이 없는 한 각각 하나 이상의 헤테로원자를 포함하는 탄소수 2 내지 60의 아릴기 또는 아릴렌기를 의미하며, 여기에 제한되는 것은 아니며, 단일 고리 및 다중 고리 중 적어도 하나를 포함하며, 이웃한 작용기기가 결합하여 형성될 수도 있다.As used herein, the term "heteroalkyl" refers to an alkyl containing one or more heteroatoms, unless otherwise specified. The term "heteroaryl group" or "heteroarylene group" as used in the present invention means an aryl group or arylene group having 2 to 60 carbon atoms each containing one or more heteroatoms, unless otherwise specified, No, it includes at least one of a single ring and a multiple ring, and may be formed by combining adjacent functional groups.
본 발명에 사용된 용어 "헤테로고리기"는 다른 설명이 없는 한 하나 이상의 헤테로원자를 포함하고, 2 내지 60의 탄소수를 가지며, 단일 고리 및 다중 고리 중 적어도 하나를 포함하며, 헤테로지방족 고리 및 헤테로방향족 고리를 포함한다. 이웃한 작용기가 결합하여 형성될 수도 있다.The term "heterocyclic group" used in the present invention, unless otherwise specified, contains one or more heteroatoms, has 2 to 60 carbon atoms, includes at least one of a single ring and multiple rings, and includes a heteroaliphatic ring and a heterocyclic group. aromatic rings. It may be formed by combining adjacent functional groups.
본 명세서에서 사용된 용어 "헤테로원자"는 다른 설명이 없는 한 N, O, S, P 또는 Si를 나타낸다.As used herein, the term "heteroatom" refers to N, O, S, P or Si, unless otherwise specified.
또한 "헤테로고리기"는, 고리를 형성하는 탄소 대신 SO2를 포함하는 고리도 포함할 수 있다. 예컨대, "헤테로고리기"는 다음 화합물을 포함한다. In addition, the "heterocyclic group" may include a ring including SO 2 instead of carbon forming the ring. For example, "heterocyclic group" includes the following compounds.
다른 설명이 없는 한, 본 발명에 사용된 용어 "지방족"은 탄소수 1 내지 60의 지방족 탄화수소를 의미하며, "지방족고리"는 탄소수 3 내지 60의 지방족 탄화수소 고리를 의미한다.Unless otherwise specified, the term "aliphatic" as used herein means an aliphatic hydrocarbon having 1 to 60 carbon atoms, and "aliphatic ring" means an aliphatic hydrocarbon ring having 3 to 60 carbon atoms.
다른 설명이 없는 한, 본 발명에 사용된 용어 "고리"는 탄소수 3 내지 60의 지방족고리 또는 탄소수 6 내지 60의 방향족고리 또는 탄소수 2 내지 60의 헤테로고리 또는 이들의 조합으로 이루어진 융합 고리를 말하며, 포화 또는 불포화고리를 포함한다.Unless otherwise specified, the term "ring" as used herein refers to a fused ring consisting of an aliphatic ring having 3 to 60 carbon atoms, an aromatic ring having 6 to 60 carbon atoms, a heterocycle having 2 to 60 carbon atoms, or a combination thereof, Contains saturated or unsaturated rings.
전술한 헤테로화합물 이외의 그 밖의 다른 헤테로화합물 또는 헤테로라디칼은 하나 이상의 헤테로원자를 포함하며, 여기에 제한되는 것은 아니다.Other heterocompounds or heteroradicals other than the above-mentioned heterocompounds include one or more heteroatoms, but are not limited thereto.
다른 설명이 없는 한, 본 발명에 사용된 용어 "카르보닐"이란 -COR'로 표시되는 것이며, 여기서 R'은 수소, 탄소수 1 내지 20 의 알킬기, 탄소수 6 내지 30 의 아릴기, 탄소수 3 내지 30의 사이클로알킬기, 탄소수 2 내지 20의 알켄일기, 탄소수 2 내지 20의 알킨일기, 또는 이들의 조합인 것이다.Unless otherwise specified, the term "carbonyl" used in the present invention is represented by -COR', where R' is hydrogen, an alkyl group having 1 to 20 carbon atoms, an aryl group having 6 to 30 carbon atoms, and 3 to 30 carbon atoms. of a cycloalkyl group, an alkenyl group having 2 to 20 carbon atoms, an alkynyl group having 2 to 20 carbon atoms, or a combination thereof.
다른 설명이 없는 한, 본 발명에 사용된 용어 "에테르"란 -R-O-R'로 표시되는 것이며, 여기서 R 또는 R'은 각각 서로 독립적으로 수소, 탄소수 1 내지 20의 알킬기, 탄소수 6 내지 30의 아릴기, 탄소수 3 내지 30의 사이클로알킬기, 탄소수 2 내지 20의 알켄일기, 탄소수 2 내지 20의 알킨일기, 또는 이들의 조합인 것이다.Unless otherwise specified, as used herein, the term "ether" is represented by -RO-R', wherein R or R' are each independently hydrogen, an alkyl group having 1 to 20 carbon atoms, or an alkyl group having 6 to 30 carbon atoms. An aryl group, a cycloalkyl group having 3 to 30 carbon atoms, an alkenyl group having 2 to 20 carbon atoms, an alkynyl group having 2 to 20 carbon atoms, or a combination thereof.
또한 명시적인 설명이 없는 한, 본 발명에서 사용된 용어 "치환 또는 비치환된"에서 "치환"은 중수소, 할로겐, 아미노기, 니트릴기, 니트로기, C1~C20의 알킬기, C1~C20의 알콕실기, C1~C20의 알킬아민기, C1~C20의 알킬티오펜기, C6~C20의 아릴티오펜기, C2~C20의 알켄일기, C2~C20의 알킨일기, C3~C20의 시클로알킬기, C6~C20의 아릴기, 중수소로 치환된 C6~C20의 아릴기, C8~C20의 아릴알켄일기, 실란기, 붕소기, 게르마늄기, 및 C2~C20의 헤테로고리기로 이루어진 군으로부터 선택되는 1개 이상의 치환기로 치환됨을 의미하며, 이들 치환기에 제한되는 것은 아니다.In addition, unless explicitly stated otherwise, in the term "substituted or unsubstituted" used in the present invention, "substitution" means deuterium, halogen, amino group, nitrile group, nitro group, C 1 ~ C 20 alkyl group, C 1 ~ C 20 alkoxy group, C 1 ~ C 20 alkyl amine group, C 1 ~ C 20 alkyl thiophene group, C 6 ~ C 20 aryl thiophene group, C 2 ~ C 20 alkenyl group, C 2 ~ C of 20 alkynyl, C 3 ~ C 20 cycloalkyl group, C 6 ~ C 20 aryl group, of a C 6 ~ C 20 substituted by deuterium aryl group, a C 8 ~ C 20 aryl alkenyl group, a silane group, a boron It means substituted with one or more substituents selected from the group consisting of a group, a germanium group, and a C 2 ~ C 20 heterocyclic group, but is not limited to these substituents.
또한 명시적인 설명이 없는 한, 본 발명에서 사용되는 화학식은 하기 화학식의 지수 정의에 의한 치환기 정의와 동일하게 적용된다.In addition, unless otherwise explicitly described, the formula used in the present invention is applied the same as the definition of the substituent by the exponent definition of the following formula.
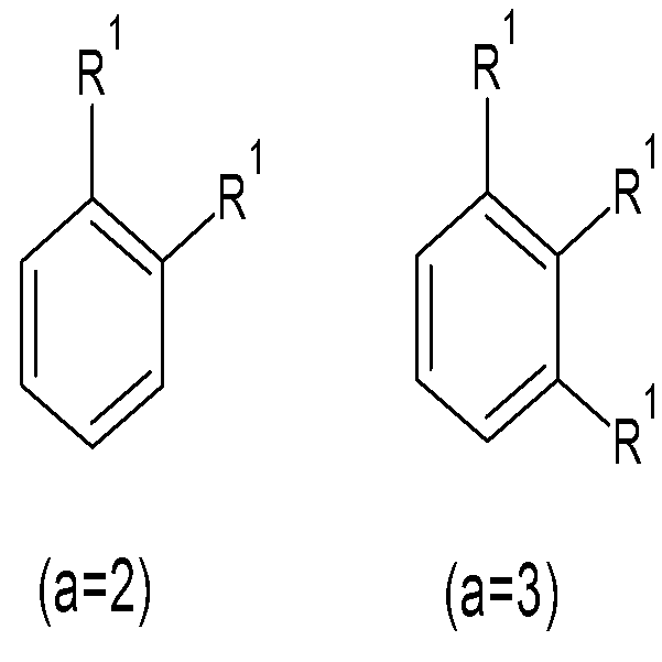
여기서, a가 0의 정수인 경우 치환기 R1은 부존재하며, a가 1의 정수인 경우 하나의 치환기 R1은 벤젠 고리를 형성하는 탄소 중 어느 하나의 탄소에 결합하며, a가 2 또는 3의 정수인 경우 각각 다음과 같이 결합하며 이때 R1은 서로 동일하거나 다를 수 있으며, a가 4 내지 6의 정수인 경우 이와 유사한 방식으로 벤젠 고리의 탄소에 결합하며, 한편 벤젠 고리를 형성하는 탄소에 결합된 수소의 표시는 생략한다.Here, when a is an integer of 0, the substituent R 1 is absent, and when a is an integer of 1, one substituent R 1 is bonded to any one carbon of the carbons forming the benzene ring, and when a is an integer of 2 or 3 Each is bonded as follows, wherein R 1 may be the same or different from each other, and when a is an integer of 4 to 6, it is bonded to the carbon of the benzene ring in a similar manner, while the hydrogen bonded to the carbon forming the benzene ring is omitted.
또한, 본 발명에 따른 유기전기소자는 유기전기발광소자(OLED), 유기태양전지, 유기감광체(OPC), 유기트랜지스터(유기 TFT), 단색 또는 백색 조명용 소자 중 하나일 수 있다.In addition, the organic electric device according to the present invention may be one of an organic electroluminescent device (OLED), an organic solar cell, an organic photoreceptor (OPC), an organic transistor (organic TFT), and a single color or white lighting device.
본 발명의 다른 실시예는 상술한 본 발명의 유기전기소자를 포함하는 디스플레이장치와, 이 디스플레이장치를 제어하는 제어부를 포함하는 전자장치를 포함할 수 있다. 이때, 전자장치는 현재 또는 장래의 유무선 통신단말기일 수 있으며, 휴대폰 등의 이동 통신 단말기, PDA, 전자사전, PMP, 리모콘, 네비게이션, 게임기, 각종 TV, 각종 컴퓨터 등 모든 전자장치를 포함한다.Another embodiment of the present invention may include a display device including the organic electric device of the present invention described above, and an electronic device including a control unit for controlling the display device. In this case, the electronic device may be a current or future wired/wireless communication terminal, and includes all electronic devices such as a mobile communication terminal such as a mobile phone, a PDA, an electronic dictionary, a PMP, a remote control, a navigation system, a game machine, various TVs, and various computers.
이하, 본 발명의 일 측면에 따른 디스플레이 장치 및 유기전기소자에 대하여 설명한다.
Hereinafter, a display device and an organic electric device according to an aspect of the present invention will be described.
본 발명은 제 1전극; 제 2전극; 및 상기 제 1전극과 제 2전극 사이에 위치하며 정공수송층 및 발광 화합물을 포함하는 발광층이 포함된 유기물층;을 포함하는 디스플레이 장치에 있어서, 상기 정공수송층은 서로 구조가 상이한 2종의 카바졸릴디아릴아민계 화합물이 혼합된 조성물로 이루어지고, 각 상이한 구조식의 화합물 비가 5:5 내지 9:1에서 선택되는 것을 특징으로 하는 디스플레이 장치를 제공한다.The present invention is a first electrode; a second electrode; and an organic material layer positioned between the first electrode and the second electrode and including a hole transport layer and a light emitting layer including a light emitting compound, wherein the hole transport layer includes two types of carbazolyl diaryls having different structures from each other. It provides a display device comprising a composition in which an amine-based compound is mixed, and a compound ratio of each different structural formula is selected from 5:5 to 9:1.
본 발명의 구체적인 예에 따르면, 제 1전극; 제 2전극; 및 상기 제 1전극과 제 2전극 사이에 위치하며 정공수송층 및 발광 화합물을 포함하는 발광층이 포함된 유기물층;을 포함하는 유기전기소자에 있어서, 상기 정공수송층은 하기 화학식 1로 표시되는 화합물 중 서로 구조가 상이한 2종의 화합물이 혼합된 조성물을 포함하는 것을 특징으로 하는 유기전기소자를 제공한다.According to a specific example of the present invention, the first electrode; a second electrode; and an organic material layer positioned between the first electrode and the second electrode and including a hole transport layer and a light emitting layer including a light emitting compound, wherein the hole transport layer has a structure with each other among compounds represented by the following formula (1) It provides an organic electric device comprising a composition in which two different compounds are mixed.
{상기 화학식 1에서 Ar1~Ar2는 각각 독립적으로 C6~60의 아릴기, C2~60의 헤테로고리기, 플루오렌닐기, 방향족고리와 지방족고리의 축합고리기로 이루어진 군에서 선택되며, L1 내지 L3는 각각 독립적으로 단일결합, C6~60의 아릴렌기, 2가의 C2~60의 헤테로고리기, 플루오레닐렌기, C3~60의 지방족 고리와 C6~60의 방향족고리의 2가 융합고리기로 이루어진 군에서 선택되며, m, n은 각각 독립적으로 0-4의 정수 중에서 선택되고, R1~2은 서로 동일하거나 상이하며, 서로 독립적으로 중수소; 삼중수소; 시아노기; 나이트로기; 할로겐; C6~C60의 아릴기; 플루오렌닐기; O, N, S, Si 및 P 중 적어도 하나의 헤테로원자를 포함하는 C2~C60의 헤테로고리기; C3~C60의 지방족고리와 C6~C60의 방향족고리의 융합고리기; C1~C50의 알킬기; C2~C20의 알켄일기; C2~C20의 알킨일기; C1~C30의 알콕실기; C6~C30의 아릴옥시기; 및 -L'-N(Ra)(Rb);로 이루어진 군에서 선택되고, 상기 L'은 단일결합; C6~C60의 아릴렌기; 플루오렌일렌기; C3~C60의 지방족고리와 C6~C60의 방향족고리의 융합고리기; 및 C2~C60의 헤테로고리기;로 이루어진 군에서 선택되며, 상기 Ra 및 Rb은 서로 독립적으로 C6~C60의 아릴기; 플루오렌일기; C3~C60의 지방족고리와 C6~C60의 방향족고리의 융합고리기; 및 O, N, S, Si 및 P 중 적어도 하나의 헤테로원자를 포함하는 C2~C60의 헤테로고리기;로 이루어진 군에서 선택되고, R1~2는 상기 m, n이 2 이상인 경우 각각 복수로서 서로 동일하거나 상이하며 복수의 R1끼리 또는 복수의 R2끼리 서로 결합하여 고리를 형성할 수 있다.{In Formula 1, Ar 1 to Ar 2 are each independently selected from the group consisting of a C 6 to 60 aryl group, a C 2 to 60 heterocyclic group, a fluorenyl group, and a condensed ring group of an aromatic ring and an aliphatic ring, L 1 To L 3 are each independently a single bond, a C 6 to 60 arylene group, a divalent C 2 to 60 heterocyclic group, a fluorenylene group, a C 3 to 60 aliphatic ring and a C 6 to 60 aromatic It is selected from the group consisting of a divalent fused ring group of the ring, m and n are each independently selected from an integer of 0-4, R 1-2 are the same as or different from each other, and are each independently deuterium; tritium; cyano group; nitro; halogen; C 6 ~ C 60 Aryl group; fluorenyl group; O, N, S, Si and P containing at least one heteroatom C 2 ~ C 60 A heterocyclic group; C 3 ~ C 60 A fused ring group of an aliphatic ring and C 6 ~ C 60 aromatic ring; C 1 ~ C 50 Alkyl group; C 2 ~ C 20 Alkenyl group; C 2 ~ C 20 Alkynyl group; C 1 ~ C 30 An alkoxyl group; C 6 ~ C 30 Aryloxy group; and -L′-N(R a )(R b ); selected from the group consisting of, wherein L′ is a single bond; C 6 ~ C 60 Arylene group; fluorenylene group; C 3 ~ C 60 A fused ring group of an aliphatic ring and C 6 ~ C 60 aromatic ring; And C 2 ~ C 60 A heterocyclic group; is selected from the group consisting of, wherein R a and R b are each independently a C 6 ~ C 60 Aryl group; fluorenyl group; C 3 ~ C 60 A fused ring group of an aliphatic ring and C 6 ~ C 60 aromatic ring; And O, N, S, Si, and P containing at least one heteroatom C 2 ~ C 60 A heterocyclic group comprising; selected from the group consisting of, R 1 ~ 2 When m, n is 2 or more, respectively A plurality of the same or different from each other and a plurality of R 1 or a plurality of R 2 may be bonded to each other to form a ring.
(여기서, 상기 아릴기, 헤테로아릴기, 플루오렌닐기, 아릴렌기, 헤테로고리기, 융합고리기는 각각 중수소; 할로겐; 실란기; 실록산기; 붕소기; 게르마늄기; 시아노기; 니트로기; -L'-N(Ra)(Rb); C1~C20의 알킬싸이오기; C1~C20의 알콕실기; C1~C20의 알킬기; C2~C20의 알켄일기; C2~C20의 알킨일기; C6~C20의 아릴기; 중수소로 치환된 C6~C20의 아릴기; 플루오렌일기; C2~C20의 헤테로고리기; C3~C20의 시클로알킬기; C7~C20의 아릴알킬기 및 C8~C20의 아릴알켄일기로 이루어진 군에서 선택된 하나 이상의 치환기로 더욱 치환될 수 있으며, 또한 이들 치환기들은 서로 결합하여 고리를 형성할 수도 있으며, 여기서 '고리'란 탄소수 3 내지 60의 지방족고리 또는 탄소수 6 내지 60의 방향족고리 또는 탄소수 2 내지 60의 헤테로고리 또는 이들의 조합으로 이루어진 융합 고리를 말하며, 포화 또는 불포화 고리를 포함한다.)}
(Wherein, the aryl group, heteroaryl group, fluorenyl group, arylene group, heterocyclic group, and fused ring group are each deuterium; halogen; silane group; siloxane group; boron group; germanium group; cyano group; nitro group; -L '-N (R a) (R b); C 1 ~ Import alkylthio of C 20; C 1 ~ alkoxy group of C 20; C 1 ~ alkyl group of C 20; C 2 ~ C 20 alkenyl group a; 2 C ~ alkynyl of C 20; an aryl group of C 6 - C 20 substituted with heavy hydrogen;; C 6 ~ C 20 aryl group, a fluorenyl group; C 2 - heterocyclic group of C 20; C of 3 ~ C 20 cycloalkyl Alkyl group: may be further substituted with one or more substituents selected from the group consisting of a C 7 ~ C 20 arylalkyl group and a C 8 ~ C 20 arylalkenyl group, and these substituents may be bonded to each other to form a ring, where 'Ring' refers to a fused ring consisting of an aliphatic ring having 3 to 60 carbon atoms, an aromatic ring having 6 to 60 carbon atoms, a heterocyclic ring having 2 to 60 carbon atoms, or a combination thereof, including saturated or unsaturated rings)}
본 발명의 보다 구체적인 예를 들면, 상기 화학식 1은 하기 화학식 1-2 또는 1-3으로 표시되는 구조의 화합물을 포함하고, 상기 정공수송층에 화학식 1로 표시되는 2종의 화합물 중 적어도 하나가 하기 화학식 1-2 또는 1-3으로 표시되는 화합물 중 하나의 화합물이 혼합된 조성물이 포함된 것을 특징으로 하는 유기전지소자를 제공한다.
As a more specific example of the present invention, Formula 1 includes a compound having a structure represented by Formula 1-2 or 1-3 below, and at least one of the two compounds represented by Formula 1 in the hole transport layer is It provides an organic battery device comprising a composition in which one of the compounds represented by Formula 1-2 or 1-3 is mixed.
(상기 화학식 1-2 내지 1-3에서, Ar2, R1,2, L1~L3, m, n은 상기에서 정의한 바와 동일하고, X, Y는 각각 독립적으로 S, O 또는 CR'R"이며, R', R"는 각각 독립적으로 C6-24의 아릴기, C1-20의 알킬기, C2-20의 알케닐 또는 C1-20 알콕시기이며; R',R"는 결합하여 스파이로 형성할 수 있고, R3~R6는 각각 독립적으로 중수소, 삼중수소, 시아노기, 나이트로기, 할로겐기, 아릴기, 알케닐기, 알킬렌기, 알콕시기, 헤테로고리기로 이루어진 군에서 선택되고, R3끼리, R4끼리, R5끼리, R6끼리는 서로 결합하여 고리형성이 가능하며, l, b는 0-3의 정수를 나타내고, a, o는 0-4의 정수이다.)
(In Formulas 1-2 to 1-3, Ar 2 , R 1,2 , L 1 to L 3 , m, n are the same as defined above, and X, Y are each independently S, O or CR′ R", R', R" are each independently a C 6-24 aryl group, C 1-20 alkyl group, C 2-20 alkenyl or C 1-20 alkoxy group; R', R" are can be combined to form a spy, R 3 to R 6 are each independently deuterium, tritium, a cyano group, a nitro group, a halogen group, an aryl group, an alkenyl group, an alkylene group, an alkoxy group, a group consisting of a heterocyclic group is selected from, R 3 , R 4 , R 5 , and R 6 can be bonded to each other to form a ring, l and b represent an integer of 0-3, and a, o are integers of 0-4 .)
본 발명의 구체적인 예를 보면, 상기 화학식 1의 화합물은 하기와 같은 화합물로 표시되는 화합물 중 하나이고, 이러한 화합물이 포함된 유기전기소자를 제공한다.
Looking at a specific example of the present invention, the compound of Formula 1 is one of the compounds represented by the following compounds, and provides an organic electric device including such a compound.
본 발명의 또 다른 예에서, 상기 화학식 1로 표시되는 2종의 화합물은 화학식 1에서 Ar1, Ar2이 모두 C6~24의 아릴기인 화합물이 포함된 조성물로 이루어진 유기전기소자를 제공한다.In another example of the present invention, the two types of compounds represented by Formula 1 provide an organic electric device composed of a composition including a compound in which Ar 1 , Ar 2 are both C 6-24 aryl groups in Formula 1.
또 다른 일 측면에서 본 발명의 예를 들면, 상기 화학식 1로 표시되는 2종의 화합물 중 1종의 화합물의 Ar1, Ar2이 모두 C6~24의 아릴기이며; 나머지 1종 화합물의 Ar1, Ar2 중 적어도 하나가 dibenzothiophene 또는 dibenzofuran인 화합물로 이루어진 조성물을 포함하는 유기전기소자를 제공하고 있다. In another aspect of the present invention, for example, in one of the two types of compounds represented by Formula 1, Ar 1 , Ar 2 are all C 6 to 24 aryl groups; There is provided an organic electric device comprising a composition comprising a compound in which at least one of Ar 1 and Ar 2 of the remaining one type of compound is dibenzothiophene or dibenzofuran.
다른 구체적인 일 실시예에서 보면, 상기 화학식 1로 표시되는 2종 각각 화합물의 Ar1, Ar2 중 적어도 하나가 dibenzothiophene 또는 dibenzofuran 인 화합물로 이루어진 조성물을 포함하는 유기전기소자를 제공하고 있다. In another specific embodiment, there is provided an organic electric device including a composition comprising a compound in which at least one of Ar 1 and Ar 2 of each of the two compounds represented by Formula 1 is dibenzothiophene or dibenzofuran.
본 발명의 또 다른 구체적인 예에서, 상기 화학식 1로 표시되는 구조가 서로 상이한 2종의 화합물 중 어느 1종 화합물의 혼합 시 중량비율이 10%~90% 인 조성물을 포함하는 유기전기소자를 제공하고 있다. In another specific example of the present invention, an organic electric device comprising a composition having a weight ratio of 10% to 90% when mixing any one compound among two types of compounds having different structures represented by Formula 1 is provided, and have.
구체적으로 또 다른 발명의 양태로서, 상기 화학식 1로 표시되는 구조가 서로 상이한 2종의 화합물이 혼합될 경우, 혼합 비율이 5:5 또는 6:4 또는 7:3 또는 8:2 또는 9:1 중 적어도 어느 하나인 조성물을 포함하는 유기전기소자 및 이를 포함하는 디스플레이 장치를 제공하고 있다. Specifically, as another embodiment of the present invention, when two types of compounds having different structures represented by Formula 1 are mixed, the mixing ratio is 5:5 or 6:4 or 7:3 or 8:2 or 9:1 at least of An organic electric device including any one composition and a display device including the same are provided.
본 발명의 일 예에서 제시하는 또 다른 예로서, 상기 화학식 1로 표시되는 구조가 서로 상이한 화합물이 혼합된 조성물에 화학식 1로 표시되는 1종 이상의 화합물을 더 포함하는 유기전기소자 및 이를 포함하는 디스플레이 장치를 제공하고 있다. As another example presented in an example of the present invention, an organic electric device further comprising one or more compounds represented by Formula 1 in a composition in which compounds having different structures represented by Formula 1 are mixed, and a display including the same device is provided.
또한, 상기 화학식 1로 표시되는 구조가 서로 상이한 2종의 화합물을 혼합하여 사용한 정공수송층과 발광층 사이에 화학식 1로 표시되는 화합물을 발광보조층으로 사용한 것을 특징으로 하는 유기전기소자를 제공하며, 상기 제 1전극과 제 2전극의 일면 중 상기 유기물층과 반대되는 적어도 일면에 형성되는 광효율개선층을 더 포함하는 유기전기소자를 제공한다. 여기서 상기 유기물층은 스핀코팅 공정, 노즐 프린팅 공정, 잉크젯 프린팅 공정, 슬롯코팅 공정, 딥코팅 공정 또는 롤투롤 공정에 의해 형성되는 것을 특징으로 한다.
In addition, there is provided an organic electric device characterized in that the compound represented by Formula 1 is used as a light emitting auxiliary layer between the hole transport layer and the light emitting layer used by mixing two types of compounds having different structures represented by Formula 1, It provides an organic electric device further comprising a light efficiency improving layer formed on at least one surface opposite to the organic material layer of one surface of the first electrode and the second electrode. Here, the organic layer is characterized in that it is formed by a spin coating process, a nozzle printing process, an inkjet printing process, a slot coating process, a dip coating process, or a roll-to-roll process.
본 발명에서는 상기에서 기술한 다양한 예의 유기전기소자를 포함하는 디스플레이 장치 및 상기 디스플레이 장치를 구동하는 제어부를 포함하는 전자장치를 제공한다. 또한 상기 유기전기소자는 유기전기발광소자, 유기태양전지, 유기감광체, 유기트렌지스터 및 단색 또는 백색 조명용 소자 중 하나인 것을 특징으로 하는 전자장치에 적용될 수 있다.
The present invention provides a display device including the organic electric device of various examples described above and an electronic device including a controller for driving the display device. In addition, the organic electroluminescent device may be applied to an electronic device characterized in that it is one of an organic electroluminescent device, an organic solar cell, an organic photoreceptor, an organic transistor, and a device for single-color or white illumination.
이하에서, 본 발명의 유기전기소자에 포함되는 화학식 1로 표시되는 화합물의 합성예 및 본 발명의 유기전기소자의 제조예에 관하여 실시예를 들어 구체적으로 설명하지만, 본 발명의 하기 실시예로 한정되는 것은 아니다.
Hereinafter, the synthesis example of the compound represented by Formula 1 included in the organic electric device of the present invention and the preparation example of the organic electric device of the present invention will be described in detail with reference to Examples, but limited to the following examples of the present invention it's not going to be
[합성예][Synthesis Example]
본 발명에 따른 화학식 1로 표시되는 화합물 (final product)은 하기 반응식 1과 같이 Sub 1과 Sub 2를 반응하여 제조된다.
The compound represented by Formula 1 according to the present invention (final product) is prepared by reacting Sub 1 and Sub 2 as shown in Scheme 1 below.
<반응식 1><Scheme 1>
Sub 1의 합성예시Synthesis example of Sub 1
<반응식 2><Scheme 2>
상기 반응식 2의 Sub 1에 속하는 화합물의 합성예는 다음과 같다.
A synthesis example of a compound belonging to Sub 1 of Scheme 2 is as follows.
Sub 1-1 합성Sub 1-1 synthesis
1) 중간체 Sub 1-I-1 합성1) Synthesis of intermediate Sub 1-I-1
둥근바닥플라스크에 phenylboronic acid (66.4 g, 544.5 mmol)를 THF(2396 ml)에 녹인 후에, 1-bromo-2-nitrobenzene (110 g, 544.5 mmol), Pd(PPh3)4(18.9 g, 16.3 mmol), K2CO3(225.8 g, 1633.6 mmol), 물(1198 ml)을 첨가한 후, 교반환류 시킨다. 반응이 완료되면 ether와 물로 추출한 후 유기층을 MgSO4로 건조하고 농축한 후 생성된 유기물을 silicagel column 및 재결정하여 생성물을 99.8 g (수율: 92 %)을 얻었다.
After dissolving phenylboronic acid (66.4 g, 544.5 mmol) in THF (2396 ml) in a round-bottom flask, 1-bromo-2-nitrobenzene (110 g, 544.5 mmol), Pd(PPh 3 ) 4 (18.9 g, 16.3 mmol) ), K 2 CO 3 (225.8 g, 1633.6 mmol), and water (1198 ml) were added, followed by stirring and refluxing. When the reaction was completed, the organic layer was extracted with ether and water, dried over MgSO 4 , concentrated, and the resulting organic material was recrystallized by silicagel column to obtain 99.8 g (yield: 92%) of the product.
2) 중간체 Sub 1-II-1 합성2) Synthesis of intermediate Sub 1-II-1
둥근바닥플라스크에 Sub 1-I-1 (95 g, 476.9 mmol), Triphenylphosphine (375.2 g, 1430.7 mmol), o-Dichlorobenzene (1907.5 ml)을 넣은 후에 180℃로 환류하였다. 반응이 완료되면 상온으로 냉각 시킨 후에 메틸렌클로라이드와 물을 사용하여 추출하였다. 유기층을 MgSO4로 건조하고 농축 한 후 생성된 유기물을 silicagel column 및 재결정하여 생성물을 67 g (수율: 84 %)을 얻었다.
Sub 1-I-1 (95 g, 476.9 mmol), Triphenylphosphine (375.2 g, 1430.7 mmol), and o-Dichlorobenzene (1907.5 ml) were added to a round-bottom flask, followed by reflux at 180°C. Upon completion of the reaction, the mixture was cooled to room temperature and extracted using methylene chloride and water. The organic layer was dried over MgSO 4 and concentrated, and the resulting organic material was recrystallized using silicagel column to obtain 67 g (yield: 84%) of the product.
3) Sub 1-1 합성3) Sub 1-1 Synthesis
둥근바닥플라스크에 Sub 1-II-1 (59 g, 352.9 mmol)을 nitrobenzene(1765 ml)으로 녹인 후, 4-bromo-4'-iodo-1,1'-biphenyl (139.3 g, 388.1 mmol), Na2SO4(50.1 g, 352.9 mmol), K2CO3(48.8 g, 352.9 mmol), Cu(6.7 g, 105.9 mmol)를 첨가하고 200℃에서 교반하였다. 반응이 완료되면 증류를 통해 nitrobenzene을 제거하고 CH2Cl2와 물로 추출하였다. 유기층을 MgSO4로 건조하고 농축 한 후 생성된 화합물을 silicagel column 및 재결정하여 생성물 102.6 g (수율: 73%)를 얻었다.
After dissolving Sub 1-II-1 (59 g, 352.9 mmol) in nitrobenzene (1765 ml) in a round-bottom flask, 4-bromo-4'-iodo-1,1'-biphenyl (139.3 g, 388.1 mmol), Na 2 SO 4 (50.1 g, 352.9 mmol), K 2 CO 3 (48.8 g, 352.9 mmol), Cu (6.7 g, 105.9 mmol) were added and stirred at 200°C. When the reaction was completed, nitrobenzene was removed through distillation and extracted with CH 2 Cl 2 and water. The organic layer was dried over MgSO 4 and concentrated, and the resulting compound was recrystallized by silicagel column to obtain 102.6 g (yield: 73%) of the product.
Sub 1-9 합성예Sub 1-9 Synthesis Example
1) 중간체 Sub 1-I-9 합성1) Synthesis of intermediate Sub 1-I-9
phenylboronic acid (65.8 g, 539.4 mmol), THF(2373 ml), 3-bromo-4-nitro-1,1'-biphenyl (150 g, 539.4 mmol), Pd(PPh3)4(18.7 g, 16.2 mmol), K2CO3(223.6 g, 1618 mmol), 물(1187 ml)을 상기 Sub 1-I-1 합성법을 사용하여 생성물 106.9 g (수율: 72 %)을 얻었다.
phenylboronic acid (65.8 g, 539.4 mmol), THF (2373 ml), 3-bromo-4-nitro-1,1'-biphenyl (150 g, 539.4 mmol), Pd(PPh 3 ) 4 (18.7 g, 16.2 mmol) ), K 2 CO 3 (223.6 g, 1618 mmol), and water (1187 ml) were used for the above Sub 1-I-1 synthesis to obtain 106.9 g (yield: 72 %) of the product.
2) 중간체 Sub 1-II-9 합성 2) Synthesis of intermediate Sub 1-II-9
Sub 1-I-9 (100 g, 363.2mmol), Triphenylphosphine (285.8 g, 1089.7 mmol), o-Dichlorobenzene (1453 mL)을 상기 Sub 1-II-1 합성법을 사용하여 생성물 54.8 g (수율: 62 %)을 얻었다.
Sub 1-I-9 (100 g, 363.2 mmol), Triphenylphosphine (285.8 g, 1089.7 mmol), and o-Dichlorobenzene (1453 mL) were synthesized using the above Sub 1-II-1 synthesis method to 54.8 g of the product (Yield: 62 %) ) was obtained.
3) Sub 1-9 합성 3) Sub 1-9 Synthesis
Sub 1-II-9 (40 g, 164.4 mmol), nitrobenzene(822 ml), 4-bromo-4'-iodo-1,1'-biphenyl (64.9 g, 180.8 mmol), Na2SO4(23.4 g, 164.4 mmol), K2CO3(22.7 g, 164.4 mmol), Cu(3.1 g, 49. 3mmol)을 상기 Sub 1-1 합성법을 사용하여 생성물 55.4 g (수율: 71 %)를 얻었다.
Sub 1-II-9 (40 g, 164.4 mmol), nitrobenzene (822 ml), 4-bromo-4'-iodo-1,1'-biphenyl (64.9 g, 180.8 mmol), Na 2 SO 4 (23.4 g) , 164.4 mmol), K 2 CO 3 (22.7 g, 164.4 mmol), and Cu (3.1 g, 49.3 mmol) were obtained by using the above Sub 1-1 synthesis method to obtain 55.4 g (yield: 71%) of the product.
Sub 1-13 합성예Sub 1-13 Synthesis Example
1) 중간체 Sub 1-I-13 합성1) Synthesis of intermediate Sub 1-I-13
phenylboronic acid (44.4 g, 364.3 mmol), THF(1603 ml), 3-(4-bromo-3-nitrophenyl)dibenzo[b,d]thiophene (140 g, 364.3 mmol), Pd(PPh3)4(12.6 g, 10.9 mmol), K2CO3(151.1 g, 1093 mmol), 물(801 ml)을 상기 Sub 1-I-1 합성법을 사용하여 생성물 91.7 g (수율: 66 %)을 얻었다.
phenylboronic acid (44.4 g, 364.3 mmol), THF (1603 ml), 3-(4-bromo-3-nitrophenyl)dibenzo[b,d]thiophene (140 g, 364.3 mmol), Pd(PPh 3 ) 4 (12.6 g, 10.9 mmol), K 2 CO 3 (151.1 g, 1093 mmol), and water (801 ml) were used for the above Sub 1-I-1 synthesis to obtain 91.7 g (yield: 66 %) of the product.
2) 중간체 Sub 1-II-13 합성 2) Synthesis of intermediate Sub 1-II-13
Sub 1-I-13 (88 g, 230.7mmol), Triphenylphosphine (181.5 g, 692.1 mmol), o-Dichlorobenzene (923 mL)을 상기 Sub 1-II-1 합성법을 사용하여 생성물 50 g (수율: 62 %)을 얻었다.
Sub 1-I-13 (88 g, 230.7 mmol), Triphenylphosphine (181.5 g, 692.1 mmol), and o-Dichlorobenzene (923 mL) were synthesized using the above Sub 1-II-1 synthesis method to 50 g of the product (Yield: 62 %) ) was obtained.
3) Sub 1-13 합성 3) Sub 1-13 Synthesis
Sub 1-II-13 (48 g, 137.4 mmol), nitrobenzene(687 ml), 3-bromo-4'-iodo-1,1'-biphenyl (54.2 g, 151.1 mmol), Na2SO4(19.5 g, 137.4 mmol), K2CO3(19 g, 137.4 mmol), Cu(2.6 g, 41.2 mmol)을 상기 Sub 1-1 합성법을 사용하여 생성물 55.8 g (수율: 70 %)를 얻었다.
Sub 1-II-13 (48 g, 137.4 mmol), nitrobenzene (687 ml), 3-bromo-4'-iodo-1,1'-biphenyl (54.2 g, 151.1 mmol), Na 2 SO 4 (19.5 g) , 137.4 mmol), K 2 CO 3 (19 g, 137.4 mmol), and Cu (2.6 g, 41.2 mmol) were obtained by using the above Sub 1-1 synthesis method to obtain 55.8 g (yield: 70%) of the product.
Sub 1-18 합성예Sub 1-18 Synthesis Example
Sub 1-II-1 (30 g, 179.4 mmol), nitrobenzene(897 ml), 2-bromo-7-iodo-9,9-diphenyl-9H-fluorene (78.8 g, 197.4 mmol), Na2SO4(25. 5 g, 179.4 mmol), K2CO3(24.8 g, 179.4 mmol), Cu(3.4 g, 53.8 mmol)을 상기 Sub 1-1 합성법을 사용하여 생성물 53 g (수율: 69 %)를 얻었다.
Sub 1-II-1 (30 g, 179.4 mmol), nitrobenzene (897 ml), 2-bromo-7-iodo-9,9-diphenyl-9H-fluorene (78.8 g, 197.4 mmol), Na 2 SO 4 ( 25. 5 g, 179.4 mmol), K 2 CO 3 (24.8 g, 179.4 mmol), and Cu (3.4 g, 53.8 mmol) were obtained by using the Sub 1-1 synthesis method to obtain 53 g (yield: 69%) of the product. .
Sub 1-21 합성예Sub 1-21 Synthesis Example
Sub 1-II-1 (30 g, 179.4 mmol), nitrobenzene(897 ml), 5-bromo-9-iododinaphtho[2,1-b:1',2'-d]thiophene (96.5 g, 197.4 mmol), Na2SO4(25.5 g, 179.4 mol), K2CO3(24.8 g, 179.4 mmol), Cu(3.4 g, 53.8 mmol)을 상기 Sub 1-1 합성법을 사용하여 생성물 61.6 g (수율: 65 %)를 얻었다.
Sub 1-II-1 (30 g, 179.4 mmol), nitrobenzene (897 ml), 5-bromo-9-iododinaphtho[2,1-b:1',2'-d]thiophene (96.5 g, 197.4 mmol) , Na 2 SO 4 (25.5 g, 179.4 mol), K 2 CO 3 (24.8 g, 179.4 mmol), Cu (3.4 g, 53.8 mmol) was synthesized using the above Sub 1-1 synthesis method to 61.6 g of the product (yield: 65 %) was obtained.
Sub 1-22 합성예Sub 1-22 Synthesis Example
Sub 1-II-1 (30 g, 179.4 mmol), nitrobenzene(897 ml), 2-bromo-7-iodo-9,9-diphenyl-9H-fluorene (78.8 g, 197.4 mmol), Na2SO4(25.5 g, 179.4 mmol), K2CO3(24.8 g, 179.4 mmol), Cu(3.4 g, 53.8 mmol)을 상기 Sub 1-1 합성법을 사용하여 생성물 49.6 g (수율: 67 %)를 얻었다.
Sub 1-II-1 (30 g, 179.4 mmol), nitrobenzene (897 ml), 2-bromo-7-iodo-9,9-diphenyl-9H-fluorene (78.8 g, 197.4 mmol), Na 2 SO 4 ( 25.5 g, 179.4 mmol), K 2 CO 3 (24.8 g, 179.4 mmol), and Cu (3.4 g, 53.8 mmol) were obtained by using the above Sub 1-1 synthesis method to obtain 49.6 g (yield: 67%) of the product.
Sub 1-25 합성예Sub 1-25 Synthesis Example
Sub 1-II-1 (30 g, 179.4 mmol), nitrobenzene(897 ml), 2-bromo-7-iodo-9,9-dimethyl-9H-fluorene (78.8 g, 197.4 mmol), Na2SO4(25.5 g, 179.4 mmol), K2CO3(24.8 g, 179.4 mmol), Cu(3.4 g, 53.8 mmol)을 상기 Sub 1-1 합성법을 사용하여 생성물 52.7 g (수율: 67 %)를 얻었다.
Sub 1-II-1 (30 g, 179.4 mmol), nitrobenzene (897 ml), 2-bromo-7-iodo-9,9-dimethyl-9H-fluorene (78.8 g, 197.4 mmol), Na 2 SO 4 ( 25.5 g, 179.4 mmol), K 2 CO 3 (24.8 g, 179.4 mmol), and Cu (3.4 g, 53.8 mmol) were obtained by using the above Sub 1-1 synthesis method to obtain 52.7 g (yield: 67%) of the product.
Sub 1-30 합성예Sub 1-30 Synthesis Example
Sub 1-II-1 (30 g, 179.4 mmol), nitrobenzene(897 ml), 2-bromo-7-iodo-9,9-diphenyl-9H-fluorene (78.8 g, 197.4 mmol), Na2SO4(25.5 g, 179.4 mmol), K2CO3(24.8 g, 179.4 mmol), Cu(3.4 g, 53.8 mmol)을 상기 Sub 1-1 합성법을 사용하여 생성물 63.6 g (수율: 63 %)를 얻었다.
Sub 1-II-1 (30 g, 179.4 mmol), nitrobenzene (897 ml), 2-bromo-7-iodo-9,9-diphenyl-9H-fluorene (78.8 g, 197.4 mmol), Na 2 SO 4 ( 25.5 g, 179.4 mmol), K 2 CO 3 (24.8 g, 179.4 mmol), and Cu (3.4 g, 53.8 mmol) were obtained by using the above Sub 1-1 synthesis method to obtain 63.6 g (yield: 63 %) of the product.
Sub 1-33 합성예Sub 1-33 Synthesis Example
Sub 1-II-1 (30 g, 179.4 mmol), nitrobenzene(897 ml), 2-bromo-7-iodo-9,9'-spirobi[fluorene](78.8 g, 197.4 mmol), Na2SO4(25.5 g, 179.4 mmol), K2CO3(24.8 g, 179.4 mmol), Cu(3.4 g, 53.8 mmol)을 상기 Sub 1-1 합성법을 사용하여 생성물 61.6 g (수율: 61 %)를 얻었다.
Sub 1-II-1 (30 g, 179.4 mmol), nitrobenzene (897 ml), 2-bromo-7-iodo-9,9'-spirobi[fluorene] (78.8 g, 197.4 mmol), Na 2 SO 4 ( 25.5 g, 179.4 mmol), K 2 CO 3 (24.8 g, 179.4 mmol), and Cu (3.4 g, 53.8 mmol) were obtained by using the Sub 1-1 synthesis method to obtain 61.6 g (yield: 61 %) of the product.
Sub 1-36 합성예Sub 1-36 Synthesis Example
1) 중간체 Sub 1-I-36 합성1) Synthesis of intermediate Sub 1-I-36
naphthalen-1-ylboronic acid (85.1 g, 495 mmol), THF(2178 ml), 1-bromo-2-nitrobenzene (100 g, 495 mmol), Pd(PPh3)4(17.2 g, 14.8 mmol), K2CO3(205.3 g, 1485 mmol), 물(1089 ml)을 상기 Sub 1-I-1 합성법을 사용하여 생성물 88.8 g (수율: 72 %)을 얻었다.
naphthalen-1-ylboronic acid (85.1 g, 495 mmol), THF (2178 ml), 1-bromo-2-nitrobenzene (100 g, 495 mmol), Pd(PPh 3 ) 4 (17.2 g, 14.8 mmol), K 2 CO 3 (205.3 g, 1485 mmol) and water (1089 ml) were used for the above Sub 1-I-1 synthesis to obtain 88.8 g (yield: 72 %) of the product.
2) 중간체 Sub 1-II-36 합성 2) Synthesis of intermediate Sub 1-II-36
Sub 1-I-36 (85 g, 341 mmol), Triphenylphosphine (268.3 g, 1023 mmol), o-Dichlorobenzene (1364 mL)을 상기 Sub 1-II-1 합성법을 사용하여 생성물 47.4 g (수율: 64 %)을 얻었다.
Sub 1-I-36 (85 g, 341 mmol), Triphenylphosphine (268.3 g, 1023 mmol), and o-Dichlorobenzene (1364 mL) were synthesized using the above Sub 1-II-1 synthesis method to 47.4 g (yield: 64 %) of the product. ) was obtained.
3) Sub 1-36 합성 3) Sub 1-36 synthesis
Sub 1-II-36 (45 g, 207.1 mmol), nitrobenzene(1036 ml), 4-bromo-4'-iodo-1,1'-biphenyl (81.8 g, 227.8 m mol), Na2SO4(29.4 g, 207.1 mmol), K2CO3(28.6 g, 207.1 mmol), Cu(3.9 g, 62.1 mmol)을 상기 Sub 1-1 합성법을 사용하여 생성물 60.4 g (수율: 65 %)를 얻었다.
Sub 1-II-36 (45 g, 207.1 mmol), nitrobenzene (1036 ml), 4-bromo-4'-iodo-1,1'-biphenyl (81.8 g, 227.8 mmol), Na 2 SO 4 (29.4 g, 207.1 mmol), K 2 CO 3 (28.6 g, 207.1 mmol), and Cu (3.9 g, 62.1 mmol) were obtained by using the above Sub 1-1 synthesis method to obtain 60.4 g (yield: 65 %) of the product.
Sub 1-38 합성예Sub 1-38 Synthesis Example
1) 중간체 Sub 1-I-38 합성1) Synthesis of intermediate Sub 1-I-38
phenylboronic acid (58 g, 476.1 mmol), THF(2095 ml), 2-bromo-3-nitronaphthalene (120 g, 476.1 mmol), Pd(PPh3)4(16.5 g, 14.3 mmol), K2CO3(197.4 g, 1428.2 mmol), 물(1047 ml)을 상기 Sub 1-I-1 합성법을 사용하여 생성물 86.6 g (수율: 73 %)을 얻었다.
phenylboronic acid (58 g, 476.1 mmol), THF (2095 ml), 2-bromo-3-nitronaphthalene (120 g, 476.1 mmol), Pd(PPh 3 ) 4 (16.5 g, 14.3 mmol), K 2 CO 3 ( 197.4 g, 1428.2 mmol) and water (1047 ml) were used to obtain 86.6 g (yield: 73 %) of the product by using the Sub 1-I-1 synthesis method.
2) 중간체 Sub 1-II-38 합성 2) Synthesis of intermediate Sub 1-II-38
Sub 1-I-38 (85 g, 341 mmol), Triphenylphosphine (268.3 g, 1023 mmol), o-Dichlorobenzene (1364 mL)을 상기 Sub 1-II-1 합성법을 사용하여 생성물 45.9 g (수율: 62 %)을 얻었다.
Sub 1-I-38 (85 g, 341 mmol), Triphenylphosphine (268.3 g, 1023 mmol), and o-Dichlorobenzene (1364 mL) were synthesized using the above Sub 1-II-1 synthesis method to 45.9 g of the product (Yield: 62 %) ) was obtained.
3) Sub 1-38 합성 3) Sub 1-38 synthesis
Sub 1-II-38 (45 g, 207.1 mmol), nitrobenzene(1036 ml), 3-bromo-4'-iodo-1,1'-biphenyl (81.8 g, 227.8 mmol), Na2SO4(29.4 g, 207.1 mmol), K2CO3(28.6 g, 207.1 mmol), Cu(3.9 g, 62.1 mmol)을 상기 Sub 1-1 합성법을 사용하여 생성물 56.6 g (수율: 61 %)를 얻었다.
Sub 1-II-38 (45 g, 207.1 mmol), nitrobenzene (1036 ml), 3-bromo-4'-iodo-1,1'-biphenyl (81.8 g, 227.8 mmol), Na 2 SO 4 (29.4 g) , 207.1 mmol), K 2 CO 3 (28.6 g, 207.1 mmol), and Cu (3.9 g, 62.1 mmol) were obtained by using the above Sub 1-1 synthesis method to obtain 56.6 g (yield: 61 %) of the product.
Sub 1-41 합성예Sub 1-41 Synthesis Example
1) 중간체 Sub 1-I-41 합성1) Synthesis of intermediate Sub 1-I-41
naphthalen-1-ylboronic acid (68.2 g, 396.7 mmol), THF(1745 ml), 2-bromo-1-nitronaphthalene (100 g, 396.7 mmol), Pd(PPh3)4(13.8 g, 11.9 mmol), K2CO3(164.5 g, 1190 mmol), 물(873 ml)을 상기 Sub 1-I-1 합성법을 사용하여 생성물 83.1 g (수율: 70 %)을 얻었다.
naphthalen-1-ylboronic acid (68.2 g, 396.7 mmol), THF (1745 ml), 2-bromo-1-nitronaphthalene (100 g, 396.7 mmol), Pd(PPh 3 ) 4 (13.8 g, 11.9 mmol), K 2 CO 3 (164.5 g, 1190 mmol) and water (873 ml) were used to obtain 83.1 g of a product (yield: 70 %) by using the above Sub 1-I-1 synthesis method.
2) 중간체 Sub 1-II-41 합성 2) Synthesis of intermediate Sub 1-II-41
Sub 1-I-41 (80 g, 267.3 mmol), Triphenylphosphine (210.3 g, 801.8 mmol), o-Dichlorobenzene (1069 mL)을 상기 Sub 1-II-1 합성법을 사용하여 생성물 45.7 g (수율: 64 %)을 얻었다.
Sub 1-I-41 (80 g, 267.3 mmol), Triphenylphosphine (210.3 g, 801.8 mmol), and o-Dichlorobenzene (1069 mL) were synthesized using the above Sub 1-II-1 synthesis method to 45.7 g (yield: 64 %) of the product. ) was obtained.
3) Sub 1-41 합성 3) Sub 1-41 synthesis
Sub 1-II-41 (45 g, 168.3 mmol), nitrobenzene(842 ml), 4'-bromo-3-iodo-1,1'-biphenyl (66.5 g, 185.2 m mol), Na2SO4(23.9 g, 168.3 mmol), K2CO3(23.3 g, 168.3 mmol), Cu(3.2 g, 50.5 mmol)을 상기 Sub 1-1 합성법을 사용하여 생성물 50.3 g (수율: 60 %)를 얻었다.
Sub 1-II-41 (45 g, 168.3 mmol), nitrobenzene (842 ml), 4'-bromo-3-iodo-1,1'-biphenyl (66.5 g, 185.2 mmol), Na 2 SO 4 (23.9 g, 168.3 mmol), K 2 CO 3 (23.3 g, 168.3 mmol), and Cu (3.2 g, 50.5 mmol) were obtained by using the Sub 1-1 synthesis method to obtain 50.3 g (yield: 60 %) of the product.
한편, Sub 1의 예시는 아래와 같으나, 이에 한정되는 것은 아니며, 이들의 FD-MS는 하기 표 1과 같다.Meanwhile, examples of Sub 1 are as follows, but are not limited thereto, and their FD-MS is shown in Table 1 below.
Sub 2의 합성 예시Synthesis example of Sub 2
반응식 1의 Sub 2는 하기 반응식 3 또는 하기 반응식 4의 반응경로에 의해 합성 될 수 있으며, 이에 한정되는 것은 아니다.
Sub 2 of Scheme 1 may be synthesized by the reaction route of Scheme 3 or Scheme 4 below, but is not limited thereto.
<반응식 3><Scheme 3>
<반응식 4><Scheme 4>
Sub 2-2합성예Sub 2-2 Synthesis Example
둥근바닥플라스크에 Aniline (15 g, 161.1 mmol), 2-bromonaphthalene(36.7 g, 177.2 mmol), Pd2(dba)3(7.37 g, 8.05 mmol), P(t-Bu)3(3.26 g, 16.1 mmol), NaOt-Bu(51.08 g, 531.5 mmol), toluene(1690 mL)을 넣은 후에 100℃ 에서 반응을 진행한다. 반응이 완료되면 CH2Cl2와 물로 추출한 후 유기층을 MgSO4로 건조하고 농축한 후 생성된 유기물을 silicagel column 및 재결정하여 생성물을 25.4 g얻었다. (수율: 72%)
Aniline (15 g, 161.1 mmol), 2-bromonaphthalene (36.7 g, 177.2 mmol), Pd 2 (dba) 3 (7.37 g, 8.05 mmol), P(t-Bu) 3 (3.26 g, 16.1) in a round-bottom flask mmol), NaOt-Bu (51.08 g, 531.5 mmol), and toluene (1690 mL) were added, and the reaction was carried out at 100°C. After completion of the reaction, the reaction was extracted with CH 2 Cl 2 and water, the organic layer was dried over MgSO 4 , concentrated, and the resulting organic material was recrystallized by silicagel column to obtain 25.4 g of the product. (Yield: 72%)
Sub 2-21합성예Sub 2-21 Synthesis Example
둥근바닥플라스크에 [1,1'-biphenyl]-4-amine (15 g, 88.6 mmol)을 toluene(931 ml)으로 녹인 후에 4-bromo-1,1'-biphenyl (22.7 g, 97.5 mmol), Pd2(dba)3(4.1 g, 4.4 mmol), P(t-Bu)3(1.8 g, 8.9 mmol), NaOt-Bu (28.1 g, 292.5 mmol)을 상기 Sub 2-2과 동일한 방법으로 실험하여 생성물 23.1 g (수율: 81%)를 얻었다.
[1,1'-biphenyl]-4-amine (15 g, 88.6 mmol) was dissolved in toluene (931 ml) in a round-bottom flask, followed by 4-bromo-1,1'-biphenyl (22.7 g, 97.5 mmol), Pd 2 (dba) 3 (4.1 g, 4.4 mmol), P( t -Bu) 3 (1.8 g, 8.9 mmol), NaO t -Bu (28.1 g, 292.5 mmol) was prepared in the same manner as in Sub 2-2 above. The experiment gave 23.1 g of the product (yield: 81%).
Sub 2-31합성예Sub 2-31 Synthesis Example
둥근바닥플라스크에 1-aminonaphthalene (15 g, 104.8 mmol), toluene(1100 ml), 4-(3-bromophenyl)dibenzo[b,d]thiophene (39.1 g, 115.2 mmol), Pd2(dba)3(4.8 g, 5.2 mmol), P(t-Bu)3(2.1 g, 10.5 mmol), NaOt-Bu (33.2 g, 345.7 mmol)을 상기 Sub 2-2과 동일한 방법으로 실험하여 생성물 32 g (수율: 76%)를 얻었다.
In a round-bottom flask, 1-aminonaphthalene (15 g, 104.8 mmol), toluene (1100 ml), 4-(3-bromophenyl)dibenzo[b,d]thiophene (39.1 g, 115.2 mmol), Pd 2 (dba) 3 ( 4.8 g, 5.2 mmol), P( t -Bu) 3 (2.1 g, 10.5 mmol), and NaO t -Bu (33.2 g, 345.7 mmol) were tested in the same manner as in Sub 2-2, and 32 g of the product (yield : 76%) was obtained.
Sub 2-46합성예Sub 2-46 Synthesis Example
둥근바닥 플라스크에 [1,1'-biphenyl]-3-amine (15 g, 88.6 mmol), toluene(931 ml), 2-bromodibenzo[b,d]furan (24.1 g, 97.5 mmol), Pd2(dba)3(4.1 g, 4.4 mmol), P(t-Bu)3(1.8 g, 8.86 mmol), NaOt-Bu (28.1 g, 292.5 mmol)을 상기 Sub 2-2과 동일한 방법으로 실험하여 생성물 23.2 g (수율: 78%)를 얻었다.
[1,1'-biphenyl]-3-amine (15 g, 88.6 mmol), toluene (931 ml), 2-bromodibenzo[b,d]furan (24.1 g, 97.5 mmol), Pd 2 ( dba) 3 (4.1 g, 4.4 mmol), P( t -Bu) 3 (1.8 g, 8.86 mmol), NaO t -Bu (28.1 g, 292.5 mmol) was tested in the same manner as in Sub 2-2 above to obtain the product 23.2 g (yield: 78%) was obtained.
Sub 2-50합성예Sub 2-50 Synthesis Example
둥근바닥 플라스크에 aniline (15 g, 161.1 mmol), toluene(1691 ml), 2-bromo-9,9-dimethyl-9H-fluorene (48.4 g, 177.2 mmol), Pd2(dba)3(7.4 g, 8.1 mmol), P(t-Bu)3(3.3 g, 16.1 mmol), NaOt-Bu (51.1 g, 531.5 mmol)을 상기 Sub 2-2과 동일한 방법으로 실험하여 생성물 32.6 g (수율: 71%)를 얻었다.
In a round-bottom flask, aniline (15 g, 161.1 mmol), toluene (1691 ml), 2-bromo-9,9-dimethyl-9H-fluorene (48.4 g, 177.2 mmol), Pd 2 (dba) 3 (7.4 g, 8.1 mmol), P( t -Bu) 3 (3.3 g, 16.1 mmol), and NaO t -Bu (51.1 g, 531.5 mmol) were tested in the same manner as in Sub 2-2, and 32.6 g of the product (yield: 71%) ) was obtained.
Sub 2-69합성예Sub 2-69 Synthesis Example
둥근바닥 플라스크에 4-Aminobiphenyl (15 g, 88.6 mmol), toluene(931 ml), 2-bromo-9,9-diphenyl-9H-fluorene (38.7 g, 97.5 mmol), Pd2(dba)3(4.1 g, 4.43 mmol), P(t-Bu)3(1.8 g, 8.86 mmol), NaOt-Bu (28.1 g, 292.5 mmol)을 상기 Sub 2-2과 동일한 방법으로 실험하여 생성물 30.6 g (수율: 71%)를 얻었다.
In a round-bottom flask, 4-Aminobiphenyl (15 g, 88.6 mmol), toluene (931 ml), 2-bromo-9,9-diphenyl-9H-fluorene (38.7 g, 97.5 mmol), Pd 2 (dba) 3 (4.1 g, 4.43 mmol), P( t -Bu) 3 (1.8 g, 8.86 mmol), and NaO t -Bu (28.1 g, 292.5 mmol) were tested in the same manner as in Sub 2-2, and 30.6 g of the product (yield: 71%) was obtained.
Sub 2-64합성예Sub 2-64 Synthesis Example
둥근바닥 플라스크에 4-(9-phenyl-9H-carbazol-2-yl)aniline (15 g, 44.9 mmol), toluene(471 ml), 3-bromodibenzo[b,d]furan (12.2 g, 49.3 mmol), Pd2(dba)3(2.1 g, 2.2 mmol), P(t-Bu)3(0.9 g, 4.5 mmol), NaOt-Bu (14.2 g, 148 mmol)을 상기 Sub 2-2과 동일한 방법으로 실험하여 생성물 15.5 g (수율: 69%)를 얻었다.In a round-bottom flask, 4-(9-phenyl-9H-carbazol-2-yl)aniline (15 g, 44.9 mmol), toluene (471 ml), 3-bromodibenzo[b,d]furan (12.2 g, 49.3 mmol) , Pd 2 (dba) 3 (2.1 g, 2.2 mmol), P( t -Bu) 3 (0.9 g, 4.5 mmol), NaO t -Bu (14.2 g, 148 mmol) was prepared in the same manner as in Sub 2-2 above. 15.5 g (yield: 69%) of the product was obtained.
Sub 2-89합성예Sub 2-89 Synthesis Example
둥근바닥 플라스크에 4-(dibenzo[b,d]thiophen-2-yl)aniline (15 g, 54.5 mmol), toluene(572 ml), 2-(4-bromophenyl)dibenzo[b,d]furan (19.4 g, 59.9 mmol), Pd2(dba)3(2.5 g, 2.7 mmol), P(t-Bu)3(1.1 g, 5.4 mmol), NaOt-Bu (17.3 g, 179.8 mmol)을 상기 Sub 2-2과 동일한 방법으로 실험하여 생성물 15.8 g (수율: 56%)를 얻었다.
In a round-bottom flask, 4-(dibenzo[b,d]thiophen-2-yl)aniline (15 g, 54.5 mmol), toluene (572 ml), 2-(4-bromophenyl)dibenzo[b,d]furan (19.4 g, 59.9 mmol), Pd 2 (dba) 3 (2.5 g, 2.7 mmol), P( t -Bu) 3 (1.1 g, 5.4 mmol), NaO t -Bu (17.3 g, 179.8 mmol) above Sub 2 -2 was tested in the same manner to obtain 15.8 g (yield: 56%) of the product.
상기 합성법과 동일한 방법으로 하기 Sub 2-1 ~ Sub 2-103를 합성하였으며, Sub 2가 이에 한정되는 것은 아니다. The following Sub 2-1 to Sub 2-103 were synthesized in the same manner as the synthesis method, and Sub 2 is not limited thereto.
Final Product의 합성Synthesis of Final Product
Sub 2 (1 당량)을 둥근바닥 플라스크에 toluene으로 녹인 후에, Sub 1 (1.1당량), Pd2(dba)3(0.05 당량), P(t-Bu)3(0.1 당량), NaOt-Bu (3.3 당량)을 첨가하고 100℃에서 교반하였다. 반응이 완료되면 CH2Cl2와 물로 추출한 후 유기층을 MgSO4로 건조하고 농축한 후 생성된 화합물을 silicagel column 및 재결정하여 Final products를 얻었다.
After dissolving Sub 2 (1 equiv) with toluene in a round-bottom flask, Sub 1 (1.1 equiv), Pd 2 (dba) 3 (0.05 equiv), P( t -Bu) 3 (0.1 equiv), NaO t -Bu (3.3 equiv) was added and stirred at 100 °C. Upon completion of the reaction, extraction was performed with CH 2 Cl 2 and water, the organic layer was dried over MgSO 4 , concentrated, and the resulting compound was recrystallized by silicagel column to obtain final products.
1-9 합성예1-9 Synthesis Example
둥근바닥 플라스크에 Sub 2-21 (15 g, 46.7 mmol)을 toluene (490 ml)으로 녹인 후에, Sub 1-1 (20.4 g, 51.3 mmol), Pd2(dba)3(2.1 g, 2.3 mmol), P(t-Bu)3(0.9 g, 4.67 mmol), NaOt-Bu (14.8 g, 154 mmol)을 첨가하고 100℃에서 교반하였다. 반응이 완료되면 CH2Cl2와 물로 추출한 후 유기층을 MgSO4로 건조하고 농축한 후 생성된 화합물을 silicagel column 및 재결정하여 생성물 25.9 g (수율: 87%)를 얻었다.
After dissolving Sub 2-21 (15 g, 46.7 mmol) in toluene (490 ml) in a round-bottom flask, Sub 1-1 (20.4 g, 51.3 mmol), Pd 2 (dba) 3 (2.1 g, 2.3 mmol) , P( t -Bu) 3 (0.9 g, 4.67 mmol), NaO t -Bu (14.8 g, 154 mmol) were added and stirred at 100°C. After completion of the reaction, extraction with CH 2 Cl 2 and water, the organic layer was dried over MgSO 4 , concentrated, and the resulting compound was recrystallized by silicagel column to obtain 25.9 g (yield: 87%) of the product.
1-16 합성예1-16 Synthesis Example
Sub 2-25 (15 g, 44.9 mmol), toluene(471 ml), Sub 1-1 (19.7 g, 49.3 mmol), Pd2(dba)3(2.1 g, 2.24 mmol), P(t-Bu)3(0.9 g, 4.5 mmol), NaOt-Bu (14.2 g, 148 mmol)을 상기 Product 1-9 합성법을 사용하여 생성물 24.3 g (수율: 83%)를 얻었다.
Sub 2-25 (15 g, 44.9 mmol), toluene (471 ml), Sub 1-1 (19.7 g, 49.3 mmol), Pd 2 (dba) 3 (2.1 g, 2.24 mmol), P( t -Bu) 3 (0.9 g, 4.5 mmol), NaO t -Bu (14.2 g, 148 mmol) was obtained by using the above product 1-9 synthesis method to obtain 24.3 g (yield: 83%) of the product.
1-37 합성예1-37 Synthesis Example
Sub 2-69 (15 g, 30.9 mmol), toluene(324 ml), Sub 1-1 (13.5 g, 34 mmol), Pd2(dba)3(1.4 g, 1.54 mmol), P(t-Bu)3(0.6 g, 3.09 mmol), NaOt-Bu (9.8 g, 101.9 mmol)을 상기 Product 1-9 합성법을 사용하여 생성물 19.6 g (수율: 79%)를 얻었다.
Sub 2-69 (15 g, 30.9 mmol), toluene (324 ml), Sub 1-1 (13.5 g, 34 mmol), Pd 2 (dba) 3 (1.4 g, 1.54 mmol), P( t- Bu) 3 (0.6 g, 3.09 mmol), NaO t -Bu (9.8 g, 101.9 mmol) was synthesized using the above Product 1-9 synthesis method to obtain 19.6 g (yield: 79%) of the product.
1-50 합성예1-50 Synthesis Examples
Sub 2-42 (15 g, 44.7 mmol), toluene(470 ml), Sub 1-4 (19.6 g, 49.2 mmol), Pd2(dba)3(2 g, 2.2 mmol), P(t-Bu)3(0.9 g, 4.5 mmol), NaOt-Bu (14.2 g, 147.6 mmol)을 상기 Product 1-9 합성법을 사용하여 생성물 22.5 g (수율: 77%)를 얻었다.
Sub 2-42 (15 g, 44.7 mmol), toluene (470 ml), Sub 1-4 (19.6 g, 49.2 mmol), Pd 2 (dba) 3 (2 g, 2.2 mmol), P( t -Bu) 3 (0.9 g, 4.5 mmol), NaO t -Bu (14.2 g, 147.6 mmol) was obtained by using the above product 1-9 synthesis method to obtain 22.5 g (yield: 77%) of the product.
1-60 합성예1-60 Synthesis Examples
Sub 2-21 (15 g, 46.7 mmol), toluene(490 ml), Sub 1-9 (24.4 g, 51.3 mmol), Pd2(dba)3(2.1 g, 2.3 mmol), P(t-Bu)3(0.9 g, 4.67 mmol), NaOt-Bu (14.8 g, 154 mmol)을 상기 Product 1-9 합성법을 사용하여 생성물 25.7 g (수율: 77%)를 얻었다.
Sub 2-21 (15 g, 46.7 mmol), toluene (490 ml), Sub 1-9 (24.4 g, 51.3 mmol), Pd 2 (dba) 3 (2.1 g, 2.3 mmol), P( t -Bu) 3 (0.9 g, 4.67 mmol), NaO t -Bu (14.8 g, 154 mmol) was obtained by using the above product 1-9 synthesis method to obtain 25.7 g (yield: 77%) of the product.
1-82 합성예1-82 Synthesis Example
Sub 2-28 (15 g, 36.5 mmol), toluene(383 ml), Sub 1-25 (17.6 g, 40.2 mmol), Pd2(dba)3(1.7 g, 1.83 mmol), P(t-Bu)3(0.7 g, 3.65 mmol), NaOt-Bu (11.6 g, 120.6 mmol)을 상기 Product 1-9 합성법을 사용하여 생성물 19.6 g (수율: 70%)를 얻었다.
Sub 2-28 (15 g, 36.5 mmol), toluene (383 ml), Sub 1-25 (17.6 g, 40.2 mmol), Pd 2 (dba) 3 (1.7 g, 1.83 mmol), P( t- Bu) 3 (0.7 g, 3.65 mmol), NaO t -Bu (11.6 g, 120.6 mmol) was obtained by using the above product 1-9 synthesis method to obtain 19.6 g (yield: 70%) of the product.
1-94 합성예1-94 Synthesis Example
Sub 2-33 (15 g, 42.7 mmol), toluene(449 ml), Sub 1-30 (26.4 g, 46.9 mmol), Pd2(dba)3(2 g, 2.1 mmol), P(t-Bu)3(0.9 g, 4.3 mmol), NaOt-Bu (13.5 g, 140.8 mmol)을 상기 Product 1-9 합성법을 사용하여 생성물 23.11 g (수율: 65%)를 얻었다.
Sub 2-33 (15 g, 42.7 mmol), toluene (449 ml), Sub 1-30 (26.4 g, 46.9 mmol), Pd 2 (dba) 3 (2 g, 2.1 mmol), P( t- Bu) 3 (0.9 g, 4.3 mmol), NaO t -Bu (13.5 g, 140.8 mmol) was obtained by using the above product 1-9 synthesis method to obtain 23.11 g (yield: 65%) of the product.
1-115 합성예1-115 Synthesis Example
Sub 2-89 (15 g, 29 mmol), toluene (304 ml), Sub 1-36 (14.3 g, 31.9 mmol), Pd2(dba)3(1.3 g, 1.45 mmol), P(t-Bu)3(0.6 g, 2.9 mmol), NaOt-Bu (9.2 g, 95.6 mmol)을 상기 Product 1-9 합성법을 사용하여 생성물 18.98 g (수율: 74%)를 얻었다.
Sub 2-89 (15 g, 29 mmol), toluene (304 ml), Sub 1-36 (14.3 g, 31.9 mmol), Pd 2 (dba) 3 (1.3 g, 1.45 mmol), P( t- Bu) 3 (0.6 g, 2.9 mmol), NaO t -Bu (9.2 g, 95.6 mmol) was synthesized using the above Product 1-9 synthesis method to obtain 18.98 g (yield: 74%) of the product.
한편, 상기에서는 화학식 1 로 표시되는 본 발명의 예시적 합성예를 설명하였지만, 이들은 모두 Suzuki cross-coupling 반응, Ullmann 반응 및 Buchwald-Hartwig cross coupling 반응 및 PPh3-mediatedreductivecyclization반응 (J. Org. Chem. 2005, 70, 5014.)등에 기초한 것으로 구체적 합성예에 명시된 치환기 이외에 화학식 1 에 정의된 다른 치환기(R1~R2,Ar1~Ar2,L1~L3)가 결합되더라도 상기 반응이 진행된다는 것을 당업자라면 쉽게 이해할 수 있을 것이다.
Meanwhile, although exemplary synthesis examples of the present invention represented by Chemical Formula 1 have been described above, these are all Suzuki cross-coupling reaction, Ullmann reaction, Buchwald-Hartwig cross coupling reaction, and PPh 3- mediated reductivecyclization reaction (J. Org. Chem. 2005, 70, 5014.), etc., in addition to the substituents specified in the specific synthesis example, the reaction proceeds even if other substituents defined in Formula 1 (R 1 to R 2 ,Ar 1 to Ar 2 ,L 1 to L 3 ) are combined. It will be readily understood by those skilled in the art.
유기전기소자의 제조평가Manufacturing evaluation of organic electric devices
[실시예1] 블루유기전기발광소자 (정공수송층)[Example 1] Blue organic electroluminescent device (hole transport layer)
본 발명의 화합물을 정공수송층 물질로 사용하여 통상적인 방법에 따라 유기전기발광소자를 제작하였다. 먼저, 유기 기판에 형성된 ITO층(양극) 상에 4,4',4''-Tris[2-naphthyl(phenyl)amino]triphenylamine (이하 2-"TNATA"로 약기함)을 60 nm 두께로 진공증착하여 정공주입층을 형성한 후, 상기 정공주입층 상에 본 발명의 혼합물을 60 nm 두께로 진공증착하여 정공수송층을 형성하였다. 이어서, 상기 정공수송층 상에 9,10-di(naphthalen-2-yl)anthracene, 도판트로써는 BD-052X(Idemitsukosan)을 95:5 중량으로 도핑함으로써 상기 정공 수송층 위에 30 nm 두께의 발광층을 증착하였다. 이어서 상기발광층 상에 (1,1'-비스페닐)-4-올레이토)비스(2-메틸-8-퀴놀린올레이토)알루미늄 (이하 "BAlq"로 약기함)을 10 nm 두께로 진공증착하여 정공저지층을 형성하고, 상기 정공저지층 상에 트리스(8-퀴놀리놀)알루미늄 (이하 "Alq3"로 약기함)을 40 nm 두께로 진공증착하여 전자수송층을 형성하였다. 이후, 할로젠화 알칼리 금속인 LiF를 0.2 nm 두께로 증착하여 전자주입층을 형성하고, 이어서 Al을 150 nm의 두께로 증착하여 음극을 형성함으로써 유기전기발광소자를 제조하였다.
An organic electroluminescent device was manufactured according to a conventional method using the compound of the present invention as a hole transport layer material. First, 4,4',4''-Tris[2-naphthyl(phenyl)amino]triphenylamine (hereinafter abbreviated as 2-"TNATA") was vacuumed to a thickness of 60 nm on an ITO layer (anode) formed on an organic substrate. After deposition to form a hole injection layer, the mixture of the present invention was vacuum-deposited to a thickness of 60 nm on the hole injection layer to form a hole transport layer. Then, a light emitting layer with a thickness of 30 nm was deposited on the hole transport layer by doping 9,10-di(naphthalen-2-yl)anthracene and BD-052X (Idemitsukosan) as a dopant at a weight of 95:5. . Subsequently, (1,1'-bisphenyl)-4-oleato)bis(2-methyl-8-quinolineoleato)aluminum (hereinafter abbreviated as "BAlq") was vacuum-deposited on the light emitting layer to a thickness of 10 nm. A hole blocking layer was formed, and tris(8-quinolinol)aluminum (hereinafter abbreviated as "Alq 3 ") was vacuum-deposited to a thickness of 40 nm on the hole blocking layer to form an electron transport layer. Thereafter, LiF, which is an alkali metal halide, was deposited to a thickness of 0.2 nm to form an electron injection layer, and then Al was deposited to a thickness of 150 nm to form a cathode, thereby manufacturing an organic electroluminescent device.
[실시예 2] 내지 [실시예 83] 블루유기전기발광소자 (정공수송층)[Example 2] to [Example 83] Blue organic electroluminescent device (hole transport layer)
정공수송층 물질로 본 발명의 실시예에 따른 화합물 대신 하기 표4에 기재된 본 발명의 화합물을 사용한 점을 제외하고는 상기 실시예 1과 동일한 방법으로 유기전기발광소자를 제조하였다.
An organic electroluminescent device was manufactured in the same manner as in Example 1, except that the compound of the present invention described in Table 4 below was used as the hole transport layer material instead of the compound according to the embodiment of the present invention.
[비교예 1] 내지 [비교예6][Comparative Example 1] to [Comparative Example 6]
정공수송층 물질로 본 발명의 혼합물 대신 하기 비교화합물 1~비교화합물 6을 사용한 것을 제외하고는 상기 실시예1과 동일한 방법으로 유기전기발광소자를 제작하였다.An organic electroluminescent device was manufactured in the same manner as in Example 1, except that the following Comparative Compounds 1 to 6 were used instead of the mixture of the present invention as the hole transport layer material.
이와 같이 제조된 실시예 및 비교예 1 ~ 비교예 6에 의해 제조된 유기전기발광소자들에 순바이어스 직류전압을 가하여 포토리서치(photoresearch)사의 PR-650으로 전기발광(EL) 특성을 측정하였으며, 그 측정결과 500cd/m2기준 휘도에서 맥사이언스사에서 제조된 수명 측정 장비를 통해 T95 수명을 측정하였다. 하기표는 소자제작 및 평가한 결과를 나타낸다.
By applying a forward bias DC voltage to the organic electroluminescent devices prepared in Examples and Comparative Examples 1 to 6 prepared in this way, the electroluminescence (EL) characteristics were measured with a PR-650 manufactured by photoresearch, As a result of the measurement, the T95 lifetime was measured using a lifetime measuring device manufactured by McScience at 500 cd/m 2 standard luminance. The table below shows the device fabrication and evaluation results.
전압Driving
Voltage
(mA/cm2)electric current
(mA/cm 2 )
(cd/m2)luminance
(cd/m2)
(cd/A)efficiency
(cd/A)
상기 표 4의 결과로부터 알 수 있듯이, 본 발명의 혼합물을 정공수송층으로 사용한 경우 단일화합물인 비교화합물 1~비교화합물 6보다 높은 효율 및 높은 수명을 나타내는 것을 확인할 수 있었다. As can be seen from the results of Table 4, when the mixture of the present invention was used as the hole transport layer, it was confirmed that the single compound, Comparative Compound 1 to Comparative Compound 6, exhibited higher efficiency and higher lifespan.
특히 화학식 1로 표시되는 화합물 1-9, 1-32, 1-17, 1-26, 1-29를 단일화합물로 정공수송층으로 사용한 비교예 2~6 보다 화학식 1로 표시되는 화합물을 서로 2 : 8, 3 : 7, 5: 5, 7 : 3으로 혼합하여 정공수송층으로 사용한 실시예 1~83가 비교예들보다 효율 및 수명이 증가되었고, 구동전압은 유사하거나 감소한 것을 확인할 수 있었다.In particular, the compounds represented by Formula 1 were mixed with each other in comparison to Comparative Examples 2 to 6, in which compounds 1-9, 1-32, 1-17, 1-26, and 1-29 represented by Formula 1 were used as a hole transport layer as a single compound: 8, 3: 7, 5: 5, 7: 3 was used as a hole transport layer by mixing Examples 1 to 83, the efficiency and lifespan was increased than those of Comparative Examples, and it was confirmed that the driving voltage was similar or decreased.
좀더 자세히 살펴보면, 실시예 1~ 실시예 31은 비율을 2 : 8로 혼합한 예로써, 화합물 1-9와 화학식 1로 표시되고 Ar1, Ar2가 아릴기인 화합물(화합물 1-8, 1-10, 1-12, 1-47, 1-109, 1-116, 1-121, 1-125, 1-129, 1-136)과의 혼합물을 정공수송층으로 사용했을 경우 효율이 106%~116%로 증가하는 것을 확인할 수 있었으며, 화합물 1-9와 헤테로고리 화합물을 포함하는 화학식 1로 표시되는 화합물(화합물 1-17, 1-26, 1-29, 1-49, 1-61, 1-70, 1-102, 1-112, 1-113, 1-115, 1-117, 1-118, 1-122, 1-127, 1-130, 1-131)과의 혼합물을 정공수송층으로 사용했을 경우 효율이 108%~124% 정도 증가하는 것을 확인할 수 있었다.
Looking in more detail, Examples 1 to 31 are examples in which a ratio of 2: 8 is mixed. Compounds 1-9 and compounds represented by Formula 1 and Ar 1 , Ar 2 are aryl groups (Compounds 1-8, 1- When a mixture with 10, 1-12, 1-47, 1-109, 1-116, 1-121, 1-125, 1-129, 1-136) is used as a hole transport layer, the efficiency is 106%~116 %, the compound represented by Formula 1 including Compound 1-9 and a heterocyclic compound (Compound 1-17, 1-26, 1-29, 1-49, 1-61, 1- 70, 1-102, 1-112, 1-113, 1-115, 1-117, 1-118, 1-122, 1-127, 1-130, 1-131) as a hole transport layer It was confirmed that the efficiency increased by about 108% to 124%.
혼합비율에 대한 특성 차이를 알아보고자 실시예 1~ 실시예 67을 진행한 결과, 혼합 비율이 5 : 5일 경우가 가장 높은 효율 증가와 수명 증가를 나타내는 것을 확인할 수 있었다. 또한 치환기가 모두 biphenyl인 화합물 1-9의 비율이 7이고, 화학식 1로 표시되는 화합물 중 다른 구조를 갖는 화합물의 비율이 3인 실시예 60 ~ 실시예 67의 경우, 효율 및 수명이 혼합비율 5 : 5 일 때 보다 감소하는 것을 확인할 수 있었다. As a result of carrying out Examples 1 to 67 in order to investigate the characteristic difference with respect to the mixing ratio, it was confirmed that the mixing ratio of 5: 5 exhibited the highest efficiency increase and lifespan increase. In addition, in the case of Examples 60 to 67, in which the ratio of compounds 1-9 in which all substituents are biphenyl is 7, and the ratio of the compound having a different structure among the compounds represented by Formula 1 is 3, the efficiency and lifespan are 5 in the mixing ratio : It was confirmed that it decreased compared to the time of 5.
또한 혼합물질에 있어서 화합물 1-9와 화학식 1로 표시되는 화합물 중 치환기가 모두 아릴인 화합물과의 혼합물보다는 화합물 1-9와 헤테로고리기를 포함하는 화학식 1로 표시되는 화합물과의 혼합물이 더 높은 효율 및 수명을 나타내는 것을 확인할 수 있었으며, Dibenzofuran을 포함하는 화합물 1-26이 포함된 혼합물을 5:5 혼합비율로 소자 제작 시 다른 화합물을 혼합했을때 보다 높은 효율 및 수명을 나타내는 것을 확인할 수 있었다.
In addition, in the mixture quality, a mixture of Compound 1-9 and a compound represented by Formula 1 containing a heterocyclic group has higher efficiency than a mixture of Compound 1-9 and a compound in which all of the substituents are aryl among the compounds represented by Formula 1 and lifespan, it was confirmed that a mixture containing compound 1-26 containing dibenzofuran exhibited higher efficiency and lifespan than when other compounds were mixed in the device manufacturing at a 5:5 mixing ratio.
다시 말해서, 화학식 1로 표시되는 두 가지 화합물을 혼합하여 정공수송층에 사용한 결과, 혼합 비율에 따라서도 소자의 결과가 달라지는 것을 확인하였으며, 그 중 혼합비율이 5:5 인 소자 결과가 가장 우수하였고, 이는 기존의 단일 화합물을 정공수송층으로 사용한 예보다 본 발명이 더 진보하다는 것을 증명하고 있다.
In other words, as a result of mixing the two compounds represented by Formula 1 and using them for the hole transport layer, it was confirmed that the device results were different depending on the mixing ratio. Among them, the device with a mixing ratio of 5:5 was the best, This proves that the present invention is more advanced than the conventional example using a single compound as a hole transport layer.
이상의 설명은 본 발명을 예시적으로 설명한 것에 불과한 것으로, 본 발명에 속하는 기술분야에서 통상의 지식을 가지는 자라면 본 발명의 본질적인 특성에서 벗어나지 않는 범위에서 다양한 변형이 가능할 것이다. 따라서, 본 명세서에 개시된 실시예들은 본 발명을 한정하기 위한 것이 아니라 설명하기 위한 것이고, 이러한 실시예에 의하여 본 발명의 사상과 범위가 한정되는 것은 아니다. 본 발명의 보호범위는 아래의 청구범위에 의하여 해석되어야 하며, 그와 동등한 범위내에 있는 모든 기술은 본 발명의 권리범위에 포함하는 것으로 해석되어야 한다.
The above description is merely illustrative of the present invention, and those of ordinary skill in the art to which the present invention pertains will be able to make various modifications without departing from the essential characteristics of the present invention. Accordingly, the embodiments disclosed in this specification are intended to illustrate, not to limit the present invention, and the spirit and scope of the present invention are not limited by these embodiments. The protection scope of the present invention should be construed by the following claims, and all technologies within the equivalent range should be construed as being included in the scope of the present invention.
100 : 유기전기소자 110 : 기판
120 : 제 1전극(양극) 130 : 정공주입층
140 : 정공수송층 141 : 버퍼층
150 : 발광층 151 : 발광보조층
160 : 전자수송층 170 : 전자주입층
180 : 제 2전극(음극)100: organic electric device 110: substrate
120: first electrode (anode) 130: hole injection layer
140: hole transport layer 141: buffer layer
150: light emitting layer 151: light emitting auxiliary layer
160: electron transport layer 170: electron injection layer
180: second electrode (cathode)
Claims (15)
{상기 화학식 1에서 Ar1~Ar2는 각각 독립적으로 C6~60의 아릴기; C2~60의 헤테로고리기; 및 플루오렌닐기;로 이루어진 군에서 선택되며,
L1 내지 L3는 각각 독립적으로 단일결합; C6~60의 아릴렌기; 2가의 C2~60의 헤테로고리기; 및 플루오레닐렌기;로 이루어진 군에서 선택되며,
m, n은 각각 독립적으로 0-4의 정수 중에서 선택되고,
R1~2은 서로 동일하거나 상이하며, 서로 독립적으로 중수소; 삼중수소; 할로겐; C6~C60의 아릴기; 플루오렌닐기; O, N, S, Si 및 P 중 적어도 하나의 헤테로원자를 포함하는 C2~C60의 헤테로고리기; C1~C50의 알킬기; 및 C2~C20의 알켄일기;로 이루어진 군에서 선택되고,
R1~2는 상기 m, n이 2 이상인 경우 각각 복수로서 서로 동일하거나 상이하며 복수의 R1끼리 또는 복수의 R2끼리 서로 결합하여 고리를 형성할 수 있고,
여기서, 상기 아릴기, 헤테로아릴기, 플루오렌닐기, 아릴렌기, 헤테로고리기, 융합고리기는 각각 중수소; 할로겐; 시아노기; C1~C20의 알콕실기; C1~C20의 알킬기; C2~C20의 알켄일기; C6~C20의 아릴기; 중수소로 치환된 C6~C20의 아릴기; 플루오렌일기; 및 C2~C20의 헤테로고리기;로 이루어진 군에서 선택된 하나 이상의 치환기로 더욱 치환될 수 있다.}a first electrode; a second electrode; and an organic material layer disposed between the first electrode and the second electrode and including a hole transport layer and a light emitting layer including a light emitting compound, wherein the hole transport layer has a structure with each other among the compounds represented by the following formula (1) An organic electric device comprising a composition in which two different compounds are mixed, and wherein the weight ratio of any one compound among the two different compounds is 10% to 90%
{Aryl group in the above formula 1 Ar 1 ~ Ar 2 is C 6 ~ 60, each independently; C 2 ~ 60 heterocyclic group; and a fluorenyl group; is selected from the group consisting of
L 1 To L 3 Are each independently a single bond; An aryl group of C 6 ~ 60; A heterocyclic group of a divalent C 2 ~ 60; and a fluorenylene group; selected from the group consisting of
m and n are each independently selected from an integer of 0-4,
R 1 to 2 are the same as or different from each other, and independently of each other, deuterium; tritium; halogen; C 6 ~ C 60 Aryl group; fluorenyl group; O, N, S, Si and P containing at least one heteroatom C 2 ~ C 60 A heterocyclic group; C 1 ~ C 50 Alkyl group; And C 2 ~ C 20 An alkenyl group; selected from the group consisting of,
R 1 to 2 are the same as or different from each other as a plurality when m and n are 2 or more, and a plurality of R 1 or a plurality of R 2 may be bonded to each other to form a ring,
Here, the aryl group, the heteroaryl group, the fluorenyl group, the arylene group, the heterocyclic group, the fused ring group is each deuterium; halogen; cyano group; C 1 ~ C 20 An alkoxyl group; C 1 ~ C 20 Alkyl group; C 2 ~ C 20 Alkenyl group; C 6 ~ C 20 Aryl group; C 6 ~ C 20 Aryl group substituted with deuterium; fluorenyl group; And C 2 ~ C 20 A heterocyclic group; may be further substituted with one or more substituents selected from the group consisting of.}
(상기 화학식 1-2 내지 1-3에서, Ar2, R1,2, L1~L3, m, n은 청구항 2에서 정의한 바와 동일하고,
X, Y는 각각 독립적으로 S, O 또는 CR'R"이며, R', R"는 각각 독립적으로 C6-24의 아릴기, C1-20의 알킬기, 또는 C2-20의 알케닐기이며; R',R"는 결합하여 스파이로 형성할 수 있고,
R3~R6는 각각 독립적으로 중수소, 할로겐기, 아릴기, 알케닐기, 알킬렌기로 이루어진 군에서 선택되고, R3끼리, R4끼리, R5끼리, R6끼리는 서로 결합하여 고리형성이 가능하며, l, b는 0-3의 정수를 나타내고, a, o는 0-4의 정수이다.) The organic electric device according to claim 2, wherein at least one of the two types of compounds represented by Formula 1 is one represented by Formula 1-1 or 1-2.
(In Formulas 1-2 to 1-3, Ar 2 , R 1,2 , L 1 to L 3 , m, n are the same as defined in claim 2,
X, Y are each independently S, O or CR'R", R' and R" are each independently a C 6-24 aryl group, a C 1-20 alkyl group, or a C 2-20 alkenyl group ; R',R" can combine to form a spy,
R 3 to R 6 are each independently selected from the group consisting of deuterium, a halogen group, an aryl group, an alkenyl group, and an alkylene group, and R 3 , R 4 , R 5 , R 6 are bonded to each other to form a ring Yes, l and b represent integers of 0-3, and a, o represent integers of 0-4.)
상기 화학식 1이 하기 화합물 중 하나로 표시되는 것을 특징으로 하는 유기전기소자
3. The method of claim 2,
Organic electric device, characterized in that the formula 1 is represented by one of the following compounds
상기 화학식 1로 표시되는 2종의 화합물의 Ar1, Ar2 모두 C6~24의 아릴기인 것을 특징으로 하는 유기전기소자.3. The method of claim 2,
Ar 1 , Ar 2 of the two types of compounds represented by Formula 1 are both C 6-24 aryl groups.
상기 화학식 1로 표시되는 2종의 화합물 중 1종의 화합물의 Ar1, Ar2가 모두 C6~24의 아릴기이며; 나머지 1종 화합물의 Ar1, Ar2 중 적어도 하나가 dibenzothiophene 또는 dibenzofuran인 것을 특징으로 하는 유기전기소자.3. The method of claim 2,
Ar 1 , Ar 2 of one of the two types of compounds represented by Formula 1 are both a C 6-24 aryl group; At least one of Ar 1 , Ar 2 of the remaining one compound is dibenzothiophene or dibenzofuran.
상기 화학식 1로 표시되는 2종 각각 화합물의 Ar1, Ar2 중 적어도 하나가 dibenzothiophene 또는 dibenzofuran 인 것을 특징으로 하는 유기전기소자3. The method of claim 2,
At least one of Ar 1 and Ar 2 of each of the two compounds represented by Formula 1 is dibenzothiophene or dibenzofuran.
상기 화학식 1로 표시되는 구조가 서로 상이한 2종의 화합물이 혼합될 경우, 혼합 비율이 5:5 또는 6:4 또는 7:3 또는 8:2 또는 9:1 중 어느 하나인 것을 특징으로 하는 유기전기소자.3. The method of claim 2,
When two types of compounds having different structures represented by Formula 1 are mixed, a mixing ratio of 5:5 or 6:4 or 7:3 or 8:2 or 9:1 is organic, characterized in that electric device.
상기 화학식 1로 표시되는 구조가 서로 상이한 화합물이 혼합된 조성물에 화학식 1로 표시되는 1종 이상의 화합물을 더 포함하는 유기전기소자. 3. The method of claim 2,
An organic electric device further comprising at least one compound represented by Formula 1 in a composition in which compounds having different structures represented by Formula 1 are mixed.
상기 화학식 1로 표시되는 구조가 서로 상이한 2종의 화합물을 혼합한 조성물을 포함하는 정공수송층;과 발광층 사이에 화학식 1로 표시되는 화합물을 발광보조층으로 사용한 것을 특징으로 하는 유기전기소자.3. The method of claim 2,
A hole transport layer comprising a composition in which two types of compounds having different structures represented by the formula (1) are mixed; and the compound represented by the formula (1) is used as a light emitting auxiliary layer between the light emitting layer.
상기 제 1전극과 제 2전극의 일면 중 상기 유기물층과 반대되는 적어도 일면에 형성되는 광효율개선층을 더 포함하는 유기전기소자.3. The method of claim 2,
The organic electric device further comprising a light efficiency improving layer formed on at least one surface opposite to the organic material layer of one surface of the first electrode and the second electrode.
상기 유기물층은 스핀코팅 공정, 노즐 프린팅 공정, 잉크젯 프린팅 공정, 슬롯코팅 공정, 딥코팅 공정 또는 롤투롤 공정에 의해 형성되는 것을 특징으로 하는 유기전기소자. 3. The method of claim 2,
The organic material layer is an organic electric device, characterized in that formed by a spin coating process, a nozzle printing process, an inkjet printing process, a slot coating process, a dip coating process or a roll-to-roll process.
상기 유기전기소자는 유기전기발광소자, 유기태양전지, 유기감광체, 유기트렌지스터 및 단색 또는 백색 조명용 소자 중 하나인 것을 특징으로 하는 전자장치
15. The method of claim 14,
The organic electric device is an organic electroluminescent device, an organic solar cell, an organic photoreceptor, an organic transistor, and an electronic device, characterized in that one of a single color or white lighting device.
Priority Applications (1)
| Application Number | Priority Date | Filing Date | Title |
|---|---|---|---|
| KR1020140154403A KR102292572B1 (en) | 2014-11-07 | 2014-11-07 | Display device using a composition for organic electronic element, and an organic electronic element thereof |
Applications Claiming Priority (1)
| Application Number | Priority Date | Filing Date | Title |
|---|---|---|---|
| KR1020140154403A KR102292572B1 (en) | 2014-11-07 | 2014-11-07 | Display device using a composition for organic electronic element, and an organic electronic element thereof |
Publications (2)
| Publication Number | Publication Date |
|---|---|
| KR20160054855A KR20160054855A (en) | 2016-05-17 |
| KR102292572B1 true KR102292572B1 (en) | 2021-08-24 |
Family
ID=56109463
Family Applications (1)
| Application Number | Title | Priority Date | Filing Date |
|---|---|---|---|
| KR1020140154403A Active KR102292572B1 (en) | 2014-11-07 | 2014-11-07 | Display device using a composition for organic electronic element, and an organic electronic element thereof |
Country Status (1)
| Country | Link |
|---|---|
| KR (1) | KR102292572B1 (en) |
Families Citing this family (28)
| Publication number | Priority date | Publication date | Assignee | Title |
|---|---|---|---|---|
| KR102342493B1 (en) * | 2014-11-19 | 2021-12-23 | 덕산네오룩스 주식회사 | Display device using a composition for organic electronic element, and an organic electronic element thereof |
| JP6692126B2 (en) * | 2015-06-03 | 2020-05-13 | 三星ディスプレイ株式會社Samsung Display Co.,Ltd. | Material for organic electroluminescence device and organic electroluminescence device using the same |
| KR101844672B1 (en) * | 2015-09-14 | 2018-04-03 | 주식회사 엘지화학 | Hetero-cyclic compound and organic light emitting device comprising the same |
| KR102851400B1 (en) | 2016-03-03 | 2025-08-29 | 메르크 파텐트 게엠베하 | Materials for organic electroluminescent devices |
| KR102076880B1 (en) * | 2016-05-27 | 2020-02-12 | 주식회사 엘지화학 | Fused cyclic and organic light emitting device using the same |
| KR101686835B1 (en) * | 2016-06-28 | 2016-12-16 | 덕산네오룩스 주식회사 | Compound for organic electronic element, organic electronic element using the same, and an electronic device thereof |
| KR102580212B1 (en) | 2016-09-22 | 2023-09-21 | 덕산네오룩스 주식회사 | Compound for organic electric element, organic electric element comprising the same and electronic device thereof |
| CN107963973B (en) * | 2016-10-20 | 2023-07-25 | 东进世美肯株式会社 | Novel compound and organic light-emitting device comprising same |
| KR102279196B1 (en) * | 2016-12-02 | 2021-07-19 | (주)피엔에이치테크 | An electroluminescent compound and an electroluminescent device comprising the same |
| CN110325524A (en) * | 2017-03-02 | 2019-10-11 | 默克专利有限公司 | Material for organic electronic device |
| WO2019004587A1 (en) * | 2017-06-30 | 2019-01-03 | Rohm And Haas Electronic Materials Korea Ltd. | Organic electroluminescent compound and organic electroluminescent device comprising the same |
| KR102657641B1 (en) * | 2017-06-30 | 2024-04-17 | 듀폰스페셜티머터리얼스코리아 유한회사 | Organic electroluminescent compound and organic electroluminescent device comprising the same |
| CN107556229B (en) * | 2017-09-29 | 2020-02-07 | 徐州博康信息化学品有限公司 | Preparation method of fluorenocarbazole organic electroluminescent material intermediate |
| US11871656B2 (en) | 2018-01-26 | 2024-01-09 | Samsung Display Co., Ltd. | Organic electroluminescence device and monoamine compound for organic electroluminescence device |
| JP7465062B2 (en) | 2018-01-26 | 2024-04-10 | 三星ディスプレイ株式會社 | Organic electroluminescent device and monoamine compound for organic electroluminescent device |
| US20210094937A1 (en) * | 2018-03-28 | 2021-04-01 | Idemitsu Kosan Co.,Ltd. | Compound, material for organic electroluminescent elements, organic electroluminescent element, and electronic device |
| WO2020111251A1 (en) * | 2018-11-30 | 2020-06-04 | 出光興産株式会社 | Compound, material for organic electroluminescent element, organic electroluminescent element, and electronic device |
| KR102867205B1 (en) | 2019-03-20 | 2025-10-01 | 삼성디스플레이 주식회사 | AMINE-BASED compound and organic light emitting device comprising the same |
| KR102361622B1 (en) * | 2019-06-14 | 2022-02-11 | 주식회사 엘지화학 | Novel compound and organic light emitting device comprising the same |
| WO2020251342A1 (en) * | 2019-06-14 | 2020-12-17 | 주식회사 엘지화학 | Novel compound and organic light emitting device comprising same |
| KR102776761B1 (en) * | 2019-12-20 | 2025-03-10 | 엘티소재주식회사 | Heterocyclic compound and organic light emitting device comprising same |
| CN114728947B (en) * | 2020-02-13 | 2024-09-06 | 株式会社Lg化学 | Compound and organic light emitting device using the same |
| WO2022080927A1 (en) * | 2020-10-16 | 2022-04-21 | 주식회사 엘지화학 | Compound and organic light-emitting device comprising same |
| WO2023017856A1 (en) * | 2021-08-13 | 2023-02-16 | 出光興産株式会社 | Mixed powder, method for manufacturing organic electroluminescent element that uses mixed powder, and vapor deposition composition |
| CN113801057B (en) * | 2021-08-13 | 2023-04-18 | 浙江大学 | chrysene-base aza [7] spiroalkene compound, preparation method and application |
| WO2023080187A1 (en) | 2021-11-05 | 2023-05-11 | 出光興産株式会社 | Organic electroluminescent element and electronic device |
| KR20230071080A (en) * | 2021-11-15 | 2023-05-23 | 주식회사 엘지화학 | Compound and organic light emitting device comprising same |
| CN116854673A (en) * | 2022-09-15 | 2023-10-10 | 陕西莱特光电材料股份有限公司 | Organic compounds and organic electroluminescent devices and electronic devices |
Family Cites Families (3)
| Publication number | Priority date | Publication date | Assignee | Title |
|---|---|---|---|---|
| JPWO2009041635A1 (en) * | 2007-09-28 | 2011-01-27 | 出光興産株式会社 | Organic EL device |
| KR101701246B1 (en) * | 2011-08-05 | 2017-02-03 | 삼성디스플레이 주식회사 | A carbazole-based compound and an organic light emitting diode comprising the same |
| KR102229862B1 (en) * | 2013-01-22 | 2021-03-22 | 덕산네오룩스 주식회사 | Compound for organic electronic element, organic electronic element using the same, and an electronic device thereof |
-
2014
- 2014-11-07 KR KR1020140154403A patent/KR102292572B1/en active Active
Also Published As
| Publication number | Publication date |
|---|---|
| KR20160054855A (en) | 2016-05-17 |
Similar Documents
| Publication | Publication Date | Title |
|---|---|---|
| KR102292572B1 (en) | Display device using a composition for organic electronic element, and an organic electronic element thereof | |
| KR102329806B1 (en) | Display device using a composition for organic electronic element, and an organic electronic element thereof | |
| US10763443B2 (en) | Compound for organic electronic element, organic electronic element using the same, and electronic device thereof | |
| KR102293436B1 (en) | Display device using a composition for organic electronic element, and an organic electronic element thereof | |
| KR101530049B1 (en) | Display device using a composition for organic electronic element, and an organic electronic element thereof | |
| KR102170190B1 (en) | Compound for organic electronic element, organic electronic element using the same, and an electronic device thereof | |
| KR102152194B1 (en) | Compound for organic electronic element, organic electronic element using the same, and an electronic device thereof | |
| KR102211338B1 (en) | Compound for organic electronic element, organic electronic element using the same, and an electronic device thereof | |
| KR102768533B1 (en) | An organic electronic element comprising compound for organic electronic element and an electronic device thereof | |
| KR20180013713A (en) | Compound for organic electronic element, organic electronic element using the same, and an electronic device thereof | |
| KR102705913B1 (en) | Compound for organic electronic element, organic electronic element using the same, and an electronic device thereof | |
| KR20180008286A (en) | Compound for organic electronic element, organic electronic element using the same, and an electronic device thereof | |
| KR102311695B1 (en) | Display device using a composition for organic electronic element, and an organic electronic element thereof | |
| KR102737539B1 (en) | Compound for organic electronic element, organic electronic element using the same, and an electronic device thereof | |
| KR102403160B1 (en) | An organic electronic element comprising compound for organic electronic element and an electronic device thereof | |
| KR102543685B1 (en) | Compound for organic electronic element, organic electronic element using the same, and an electronic device thereof | |
| KR102119673B1 (en) | Compound for an organic electronic element, organic electronic element using the same, and an electronic device thereof | |
| KR102644211B1 (en) | Compound for organic electric element, organic electric element comprising the same and electronic device thereof | |
| KR20130084960A (en) | Compound for organic electronic element, organic electronic element using the same, and a electronic device thereof | |
| KR102768534B1 (en) | An organic electronic element comprising compound for organic electronic element and an electronic device thereof | |
| US20230331654A1 (en) | Compound for organic electric device, organic electric device using same, and electronic device thereof | |
| KR102705912B1 (en) | Compound for organic electronic element, organic electronic element using the same, and an electronic device thereof | |
| KR102924501B1 (en) | Compound for organic electronic element, organic electronic element using the same, and an electronic device thereof | |
| KR102911154B1 (en) | Compound for organic electronic element, organic electronic element using the same, and an electronic device thereof | |
| KR102757607B1 (en) | Compound for organic electronic element, organic electronic element using the same, and an electronic device thereof |
Legal Events
| Date | Code | Title | Description |
|---|---|---|---|
| PA0109 | Patent application |
Patent event code: PA01091R01D Comment text: Patent Application Patent event date: 20141107 |
|
| N231 | Notification of change of applicant | ||
| PN2301 | Change of applicant |
Patent event date: 20150130 Comment text: Notification of Change of Applicant Patent event code: PN23011R01D |
|
| PG1501 | Laying open of application | ||
| A201 | Request for examination | ||
| PA0201 | Request for examination |
Patent event code: PA02012R01D Patent event date: 20191008 Comment text: Request for Examination of Application Patent event code: PA02011R01I Patent event date: 20141107 Comment text: Patent Application |
|
| E902 | Notification of reason for refusal | ||
| PE0902 | Notice of grounds for rejection |
Comment text: Notification of reason for refusal Patent event date: 20210215 Patent event code: PE09021S01D |
|
| E701 | Decision to grant or registration of patent right | ||
| PE0701 | Decision of registration |
Patent event code: PE07011S01D Comment text: Decision to Grant Registration Patent event date: 20210805 |
|
| GRNT | Written decision to grant | ||
| PR0701 | Registration of establishment |
Comment text: Registration of Establishment Patent event date: 20210817 Patent event code: PR07011E01D |
|
| PR1002 | Payment of registration fee |
Payment date: 20210817 End annual number: 3 Start annual number: 1 |
|
| PG1601 | Publication of registration | ||
| PR1001 | Payment of annual fee |
Payment date: 20240611 Start annual number: 4 End annual number: 4 |
|
| PR1001 | Payment of annual fee |
Payment date: 20250610 Start annual number: 5 End annual number: 5 |

































































































































