KR102288990B1 - Novel compound and organic light emitting device comprising the same - Google Patents
Novel compound and organic light emitting device comprising the same Download PDFInfo
- Publication number
- KR102288990B1 KR102288990B1 KR1020190169122A KR20190169122A KR102288990B1 KR 102288990 B1 KR102288990 B1 KR 102288990B1 KR 1020190169122 A KR1020190169122 A KR 1020190169122A KR 20190169122 A KR20190169122 A KR 20190169122A KR 102288990 B1 KR102288990 B1 KR 102288990B1
- Authority
- KR
- South Korea
- Prior art keywords
- group
- light emitting
- layer
- compound
- organic light
- Prior art date
- Legal status (The legal status is an assumption and is not a legal conclusion. Google has not performed a legal analysis and makes no representation as to the accuracy of the status listed.)
- Active
Links
- 0 *c(c(*)c1*)c(*)c(*)c1-c1nc(-c2c(*)c(*)c(*)c(*)c2*)nc(-c(cc2)ccc2-[n]2c3c(c(cccc4)c4[o]4)c4ccc3c3c(c(cccc4)c4[s]4)c4ccc23)n1 Chemical compound *c(c(*)c1*)c(*)c(*)c1-c1nc(-c2c(*)c(*)c(*)c(*)c2*)nc(-c(cc2)ccc2-[n]2c3c(c(cccc4)c4[o]4)c4ccc3c3c(c(cccc4)c4[s]4)c4ccc23)n1 0.000 description 16
Images
Classifications
-
- C—CHEMISTRY; METALLURGY
- C07—ORGANIC CHEMISTRY
- C07D—HETEROCYCLIC COMPOUNDS
- C07D403/00—Heterocyclic compounds containing two or more hetero rings, having nitrogen atoms as the only ring hetero atoms, not provided for by group C07D401/00
- C07D403/02—Heterocyclic compounds containing two or more hetero rings, having nitrogen atoms as the only ring hetero atoms, not provided for by group C07D401/00 containing two hetero rings
- C07D403/10—Heterocyclic compounds containing two or more hetero rings, having nitrogen atoms as the only ring hetero atoms, not provided for by group C07D401/00 containing two hetero rings linked by a carbon chain containing aromatic rings
-
- C—CHEMISTRY; METALLURGY
- C07—ORGANIC CHEMISTRY
- C07D—HETEROCYCLIC COMPOUNDS
- C07D487/00—Heterocyclic compounds containing nitrogen atoms as the only ring hetero atoms in the condensed system, not provided for by groups C07D451/00 - C07D477/00
- C07D487/02—Heterocyclic compounds containing nitrogen atoms as the only ring hetero atoms in the condensed system, not provided for by groups C07D451/00 - C07D477/00 in which the condensed system contains two hetero rings
- C07D487/04—Ortho-condensed systems
-
- C—CHEMISTRY; METALLURGY
- C07—ORGANIC CHEMISTRY
- C07D—HETEROCYCLIC COMPOUNDS
- C07D487/00—Heterocyclic compounds containing nitrogen atoms as the only ring hetero atoms in the condensed system, not provided for by groups C07D451/00 - C07D477/00
- C07D487/12—Heterocyclic compounds containing nitrogen atoms as the only ring hetero atoms in the condensed system, not provided for by groups C07D451/00 - C07D477/00 in which the condensed system contains three hetero rings
- C07D487/14—Ortho-condensed systems
-
- C—CHEMISTRY; METALLURGY
- C07—ORGANIC CHEMISTRY
- C07D—HETEROCYCLIC COMPOUNDS
- C07D491/00—Heterocyclic compounds containing in the condensed ring system both one or more rings having oxygen atoms as the only ring hetero atoms and one or more rings having nitrogen atoms as the only ring hetero atoms, not provided for by groups C07D451/00 - C07D459/00, C07D463/00, C07D477/00 or C07D489/00
- C07D491/12—Heterocyclic compounds containing in the condensed ring system both one or more rings having oxygen atoms as the only ring hetero atoms and one or more rings having nitrogen atoms as the only ring hetero atoms, not provided for by groups C07D451/00 - C07D459/00, C07D463/00, C07D477/00 or C07D489/00 in which the condensed system contains three hetero rings
- C07D491/14—Ortho-condensed systems
-
- C—CHEMISTRY; METALLURGY
- C07—ORGANIC CHEMISTRY
- C07D—HETEROCYCLIC COMPOUNDS
- C07D495/00—Heterocyclic compounds containing in the condensed system at least one hetero ring having sulfur atoms as the only ring hetero atoms
- C07D495/12—Heterocyclic compounds containing in the condensed system at least one hetero ring having sulfur atoms as the only ring hetero atoms in which the condensed system contains three hetero rings
- C07D495/14—Ortho-condensed systems
-
- H01L51/0072—
-
- H01L51/0073—
-
- H01L51/0074—
-
- H01L51/5012—
-
- H—ELECTRICITY
- H10—SEMICONDUCTOR DEVICES; ELECTRIC SOLID-STATE DEVICES NOT OTHERWISE PROVIDED FOR
- H10K—ORGANIC ELECTRIC SOLID-STATE DEVICES
- H10K50/00—Organic light-emitting devices
- H10K50/10—OLEDs or polymer light-emitting diodes [PLED]
- H10K50/11—OLEDs or polymer light-emitting diodes [PLED] characterised by the electroluminescent [EL] layers
-
- H—ELECTRICITY
- H10—SEMICONDUCTOR DEVICES; ELECTRIC SOLID-STATE DEVICES NOT OTHERWISE PROVIDED FOR
- H10K—ORGANIC ELECTRIC SOLID-STATE DEVICES
- H10K85/00—Organic materials used in the body or electrodes of devices covered by this subclass
- H10K85/60—Organic compounds having low molecular weight
- H10K85/649—Aromatic compounds comprising a hetero atom
- H10K85/657—Polycyclic condensed heteroaromatic hydrocarbons
- H10K85/6572—Polycyclic condensed heteroaromatic hydrocarbons comprising only nitrogen in the heteroaromatic polycondensed ring system, e.g. phenanthroline or carbazole
-
- H—ELECTRICITY
- H10—SEMICONDUCTOR DEVICES; ELECTRIC SOLID-STATE DEVICES NOT OTHERWISE PROVIDED FOR
- H10K—ORGANIC ELECTRIC SOLID-STATE DEVICES
- H10K85/00—Organic materials used in the body or electrodes of devices covered by this subclass
- H10K85/60—Organic compounds having low molecular weight
- H10K85/649—Aromatic compounds comprising a hetero atom
- H10K85/657—Polycyclic condensed heteroaromatic hydrocarbons
- H10K85/6574—Polycyclic condensed heteroaromatic hydrocarbons comprising only oxygen in the heteroaromatic polycondensed ring system, e.g. cumarine dyes
-
- H—ELECTRICITY
- H10—SEMICONDUCTOR DEVICES; ELECTRIC SOLID-STATE DEVICES NOT OTHERWISE PROVIDED FOR
- H10K—ORGANIC ELECTRIC SOLID-STATE DEVICES
- H10K85/00—Organic materials used in the body or electrodes of devices covered by this subclass
- H10K85/60—Organic compounds having low molecular weight
- H10K85/649—Aromatic compounds comprising a hetero atom
- H10K85/657—Polycyclic condensed heteroaromatic hydrocarbons
- H10K85/6576—Polycyclic condensed heteroaromatic hydrocarbons comprising only sulfur in the heteroaromatic polycondensed ring system, e.g. benzothiophene
Landscapes
- Chemical & Material Sciences (AREA)
- Organic Chemistry (AREA)
- Physics & Mathematics (AREA)
- Spectroscopy & Molecular Physics (AREA)
- Engineering & Computer Science (AREA)
- Materials Engineering (AREA)
- Optics & Photonics (AREA)
- Electroluminescent Light Sources (AREA)
Abstract
본 발명은 신규한 화합물 및 이를 이용한 유기 발광 소자를 제공한다. The present invention provides a novel compound and an organic light emitting device using the same.
Description
본 발명은 신규한 화합물 및 이를 포함하는 유기 발광 소자에 관한 것이다. The present invention relates to a novel compound and an organic light emitting device comprising the same.
일반적으로 유기 발광 현상이란 유기 물질을 이용하여 전기에너지를 빛에너지로 전환시켜주는 현상을 말한다. 유기 발광 현상을 이용하는 유기 발광 소자는 넓은 시야각, 우수한 콘트라스트, 빠른 응답 시간을 가지며, 휘도, 구동 전압 및 응답 속도 특성이 우수하여 많은 연구가 진행되고 있다. In general, the organic light emitting phenomenon refers to a phenomenon in which electric energy is converted into light energy using an organic material. The organic light emitting device using the organic light emitting phenomenon has a wide viewing angle, excellent contrast, fast response time, and excellent luminance, driving voltage, and response speed characteristics, and thus many studies are being conducted.
유기 발광 소자는 일반적으로 양극과 음극 및 상기 양극과 음극 사이에 유기물 층을 포함하는 구조를 가진다. 상기 유기물 층은 유기 발광 소자의 효율과 안정성을 높이기 위하여 각기 다른 물질로 구성된 다층의 구조로 이루어진 경우가 많으며, 예컨대 정공주입층, 정공수송층, 발광층, 전자수송층, 전자주입층 등으로 이루어질 수 있다. 이러한 유기 발광 소자의 구조에서 두 전극 사이에 전압을 걸어주게 되면 양극에서는 정공이, 음극에서는 전자가 유기물층에 주입되게 되고, 주입된 정공과 전자가 만났을 때 엑시톤(exciton)이 형성되며, 이 엑시톤이 다시 바닥상태로 떨어질 때 빛이 나게 된다. An organic light emitting device generally has a structure including an anode and a cathode and an organic material layer between the anode and the cathode. The organic layer is often formed of a multi-layered structure composed of different materials in order to increase the efficiency and stability of the organic light-emitting device, and may include, for example, a hole injection layer, a hole transport layer, a light emitting layer, an electron transport layer, an electron injection layer, and the like. In the structure of the organic light emitting device, when a voltage is applied between the two electrodes, holes are injected into the organic material layer from the anode and electrons from the cathode are injected into the organic material layer. When the injected holes and electrons meet, excitons are formed, and the excitons When it falls back to the ground state, it lights up.
상기와 같은 유기 발광 소자에 사용되는 유기물에 대하여 새로운 재료의 개발이 지속적으로 요구되고 있다.The development of new materials for organic materials used in organic light emitting devices as described above is continuously required.
본 발명은 신규한 화합물 및 이를 포함하는 유기 발광 소자에 관한 것이다. The present invention relates to a novel compound and an organic light emitting device comprising the same.
본 발명은 하기 화학식 1로 표시되는 화합물을 제공한다:The present invention provides a compound represented by the following formula (1):
[화학식 1][Formula 1]
상기 화학식 1에서, In Formula 1,
R1은 중수소이고, R 1 is deuterium,
n1 및 n2는 각각 독립적으로 0 내지 5의 정수이되, n1+n2는 3 내지 10의 정수이고, n1 and n2 are each independently an integer of 0 to 5, n1+n2 is an integer of 3 to 10,
L은 하기 중 어느 하나이고,L is any one of the following,
상기에서,above,
X1은 N-(Ar1), O, 또는 S이고,X 1 is N-(Ar 1 ), O, or S,
Ar1은 치환 또는 비치환된 C6-60 아릴이고,Ar 1 is a substituted or unsubstituted C 6-60 aryl,
R2은 각각 독립적으로 수소, 시아노, 또는 4,6-디페닐-1,3,5-트리아진-2-일이고,each R 2 is independently hydrogen, cyano, or 4,6-diphenyl-1,3,5-triazin-2-yl,
R은 하기 중 어느 하나이다:R is any one of:
상기에서,above,
A는 인접한 고리들과 융합된 벤젠 고리이고,A is a benzene ring fused with adjacent rings,
X2 및 X3은 각각 독립적으로 N-(Ar2), O, 또는 S이고,X 2 and X 3 are each independently N-(Ar 2 ), O, or S,
Ar2은 치환 또는 비치환된 C6-60 아릴이다. Ar 2 is substituted or unsubstituted C 6-60 aryl.
또한, 본 발명은 제1 전극; 상기 제1 전극과 대향하여 구비된 제2 전극; 및 상기 제1 전극과 상기 제2 전극 사이에 구비된 1층 이상의 유기물 층을 포함하는 유기 발광 소자로서, 상기 유기물층 중 1층 이상은 상기 화학식 1로 표시되는 화합물을 포함하는, 유기 발광 소자를 제공한다.In addition, the present invention is a first electrode; a second electrode provided to face the first electrode; and at least one organic material layer provided between the first electrode and the second electrode, wherein at least one of the organic material layers includes the compound represented by Formula 1 above. do.
상술한 화학식 1로 표시되는 화합물은 유기 발광 소자의 유기물 층의 재료로서 사용될 수 있으며, 유기 발광 소자에서 효율의 향상, 낮은 구동전압 및/또는 수명 특성을 향상시킬 수 있다. 특히, 상술한 화학식 1로 표시되는 화합물은 정공주입, 정공수송, 정공주입 및 수송, 발광, 정공저지, 전자수송, 또는 전자주입 재료로 사용될 수 있다.The compound represented by Formula 1 described above may be used as a material for an organic layer of an organic light emitting device, and may improve efficiency, low driving voltage, and/or lifespan characteristics in the organic light emitting device. In particular, the compound represented by the above formula (1) may be used as a material for hole injection, hole transport, hole injection and transport, light emission, hole blocking, electron transport, or electron injection.
도 1은 기판(1), 양극(2), 발광층(3), 음극(4)으로 이루어진 유기 발광 소자의 예를 도시한 것이다.
도 2는 기판 (1), 양극(2), 정공주입층(5), 정공수송층(6), 발광층(7), 정공저지층(8), 전자수송층(9) 및 음극(4)로 이루어진 유기 발광 소자의 예를 도시한 것이다.FIG. 1 shows an example of an organic light emitting device including a
2 is a substrate (1), an anode (2), a hole injection layer (5), a hole transport layer (6), a light emitting layer (7), a hole blocking layer (8), an electron transport layer (9) and a cathode (4) An example of an organic light emitting device is shown.
이하, 본 발명의 이해를 돕기 위하여 보다 상세히 설명한다.Hereinafter, it will be described in more detail to help the understanding of the present invention.
본 발명은 상기 화학식 1로 표시되는 화합물을 제공한다. The present invention provides a compound represented by the above formula (1).
본 명세서에서, 또는 는 다른 치환기에 연결되는 결합을 의미한다. In this specification, or means a bond connected to another substituent.
본 명세서에서 "치환 또는 비치환된" 이라는 용어는 중수소; 할로겐기; 니트릴기; 니트로기; 히드록시기; 카보닐기; 에스테르기; 이미드기; 아미노기; 포스핀옥사이드기; 알콕시기; 아릴옥시기; 알킬티옥시기; 아릴티옥시기; 알킬술폭시기; 아릴술폭시기; 실릴기; 붕소기; 알킬기; 사이클로알킬기; 알케닐기; 아릴기; 아르알킬기; 아르알케닐기; 알킬아릴기; 알킬아민기; 아랄킬아민기; 헤테로아릴아민기; 아릴아민기; 아릴포스핀기; 또는 N, O 및 S 원자 중 1개 이상을 포함하는 헤테로고리기로 이루어진 군에서 선택된 1개 이상의 치환기로 치환 또는 비치환되거나, 상기 예시된 치환기 중 2 이상의 치환기가 연결된 치환 또는 비치환된 것을 의미한다. 예컨대, "2 이상의 치환기가 연결된 치환기"는 비페닐기일 수 있다. 즉, 비페닐기는 아릴기일 수도 있고, 2개의 페닐기가 연결된 치환기로 해석될 수 있다.As used herein, the term "substituted or unsubstituted" refers to deuterium; halogen group; nitrile group; nitro group; hydroxyl group; carbonyl group; ester group; imid; amino group; phosphine oxide group; alkoxy group; aryloxy group; alkyl thiooxy group; arylthioxy group; an alkyl sulfoxy group; arylsulfoxy group; silyl group; boron group; an alkyl group; cycloalkyl group; alkenyl group; aryl group; aralkyl group; aralkenyl group; an alkylaryl group; an alkylamine group; an aralkylamine group; heteroarylamine group; arylamine group; an arylphosphine group; or N, O, and S atom means that it is substituted or unsubstituted with one or more substituents selected from the group consisting of a heterocyclic group containing one or more atoms, or substituted or unsubstituted with two or more substituents connected among the above-exemplified substituents . For example, "a substituent in which two or more substituents are connected" may be a biphenyl group. That is, the biphenyl group may be an aryl group, and may be interpreted as a substituent in which two phenyl groups are connected.
본 명세서에서 카보닐기의 탄소수는 특별히 한정되지 않으나, 탄소수 1 내지 40인 것이 바람직하다. 구체적으로 하기와 같은 구조의 화합물이 될 수 있으나, 이에 한정되는 것은 아니다.In the present specification, the number of carbon atoms in the carbonyl group is not particularly limited, but preferably 1 to 40 carbon atoms. Specifically, it may be a compound having the following structure, but is not limited thereto.
본 명세서에 있어서, 에스테르기는 에스테르기의 산소가 탄소수 1 내지 25의 직쇄, 분지쇄 또는 고리쇄 알킬기 또는 탄소수 6 내지 25의 아릴기로 치환될 수 있다. 구체적으로, 하기 구조식의 화합물이 될 수 있으나, 이에 한정되는 것은 아니다.In the present specification, in the ester group, the oxygen of the ester group may be substituted with a linear, branched or cyclic alkyl group having 1 to 25 carbon atoms or an aryl group having 6 to 25 carbon atoms. Specifically, it may be a compound of the following structural formula, but is not limited thereto.
본 명세서에 있어서, 이미드기의 탄소수는 특별히 한정되지 않으나, 탄소수 1 내지 25인 것이 바람직하다. 구체적으로 하기와 같은 구조의 화합물이 될 수 있으나, 이에 한정되는 것은 아니다.In the present specification, the number of carbon atoms of the imide group is not particularly limited, but it is preferably from 1 to 25 carbon atoms. Specifically, it may be a compound having the following structure, but is not limited thereto.
본 명세서에 있어서, 실릴기는 구체적으로 트리메틸실릴기, 트리에틸실릴기, t-부틸디메틸실릴기, 비닐디메틸실릴기, 프로필디메틸실릴기, 트리페닐실릴기, 디페닐실릴기, 페닐실릴기 등이 있으나 이에 한정되지 않는다. In the present specification, the silyl group specifically includes a trimethylsilyl group, a triethylsilyl group, a t-butyldimethylsilyl group, a vinyldimethylsilyl group, a propyldimethylsilyl group, a triphenylsilyl group, a diphenylsilyl group, a phenylsilyl group, and the like. However, the present invention is not limited thereto.
본 명세서에 있어서, 붕소기는 구체적으로 트리메틸붕소기, 트리에틸붕소기, t-부틸디메틸붕소기, 트리페닐붕소기, 페닐붕소기 등이 있으나 이에 한정되지 않는다.In the present specification, the boron group specifically includes, but is not limited to, a trimethylboron group, a triethylboron group, a t-butyldimethylboron group, a triphenylboron group, a phenylboron group, and the like.
본 명세서에 있어서, 할로겐기의 예로는 불소, 염소, 브롬 또는 요오드가 있다.In the present specification, examples of the halogen group include fluorine, chlorine, bromine or iodine.
본 명세서에 있어서, 상기 알킬기는 직쇄 또는 분지쇄일 수 있고, 탄소수는 특별히 한정되지 않으나 1 내지 40인 것이 바람직하다. 일 실시상태에 따르면, 상기 알킬기의 탄소수는 1 내지 20이다. 또 하나의 실시상태에 따르면, 상기 알킬기의 탄소수는 1 내지 10이다. 또 하나의 실시상태에 따르면, 상기 알킬기의 탄소수는 1 내지 6이다. 알킬기의 구체적인 예로는 메틸, 에틸, 프로필, n-프로필, 이소프로필, 부틸, n-부틸, 이소부틸, tert-부틸, sec-부틸, 1-메틸-부틸, 1-에틸-부틸, 펜틸, n-펜틸, 이소펜틸, 네오펜틸, tert-펜틸, 헥실, n-헥실, 1-메틸펜틸, 2-메틸펜틸, 4-메틸-2-펜틸, 3,3-디메틸부틸, 2-에틸부틸, 헵틸, n-헵틸, 1-메틸헥실, 사이클로펜틸메틸,사이클로헥틸메틸, 옥틸, n-옥틸, tert-옥틸, 1-메틸헵틸, 2-에틸헥실, 2-프로필펜틸, n-노닐, 2,2-디메틸헵틸, 1-에틸-프로필, 1,1-디메틸-프로필, 이소헥실, 2-메틸펜틸, 4-메틸헥실, 5-메틸헥실 등이 있으나, 이들에 한정되지 않는다.In the present specification, the alkyl group may be linear or branched, and the number of carbon atoms is not particularly limited, but is preferably 1 to 40. According to an exemplary embodiment, the number of carbon atoms in the alkyl group is 1 to 20. According to another exemplary embodiment, the alkyl group has 1 to 10 carbon atoms. According to another exemplary embodiment, the alkyl group has 1 to 6 carbon atoms. Specific examples of the alkyl group include methyl, ethyl, propyl, n-propyl, isopropyl, butyl, n-butyl, isobutyl, tert-butyl, sec-butyl, 1-methyl-butyl, 1-ethyl-butyl, pentyl, n -pentyl, isopentyl, neopentyl, tert-pentyl, hexyl, n-hexyl, 1-methylpentyl, 2-methylpentyl, 4-methyl-2-pentyl, 3,3-dimethylbutyl, 2-ethylbutyl, heptyl , n-heptyl, 1-methylhexyl, cyclopentylmethyl, cyclohexylmethyl, octyl, n-octyl, tert-octyl, 1-methylheptyl, 2-ethylhexyl, 2-propylpentyl, n-nonyl, 2,2 -Dimethylheptyl, 1-ethyl-propyl, 1,1-dimethyl-propyl, isohexyl, 2-methylpentyl, 4-methylhexyl, 5-methylhexyl and the like, but are not limited thereto.
본 명세서에 있어서, 상기 알케닐기는 직쇄 또는 분지쇄일 수 있고, 탄소수는 특별히 한정되지 않으나, 2 내지 40인 것이 바람직하다. 일 실시상태에 따르면, 상기 알케닐기의 탄소수는 2 내지 20이다. 또 하나의 실시상태에 따르면, 상기 알케닐기의 탄소수는 2 내지 10이다. 또 하나의 실시상태에 따르면, 상기 알케닐기의 탄소수는 2 내지 6이다. 구체적인 예로는 비닐, 1-프로페닐, 이소프로페닐, 1-부테닐, 2-부테닐, 3-부테닐, 1-펜테닐, 2-펜테닐, 3-펜테닐, 3-메틸-1-부테닐, 1,3-부타디에닐, 알릴, 1-페닐비닐-1-일, 2-페닐비닐-1-일, 2,2-디페닐비닐-1-일, 2-페닐-2-(나프틸-1-일)비닐-1-일, 2,2-비스(디페닐-1-일)비닐-1-일, 스틸베닐기, 스티레닐기 등이 있으나 이들에 한정되지 않는다.In the present specification, the alkenyl group may be linear or branched, and the number of carbon atoms is not particularly limited, but is preferably 2 to 40. According to an exemplary embodiment, the carbon number of the alkenyl group is 2 to 20. According to another exemplary embodiment, the carbon number of the alkenyl group is 2 to 10. According to another exemplary embodiment, the alkenyl group has 2 to 6 carbon atoms. Specific examples include vinyl, 1-propenyl, isopropenyl, 1-butenyl, 2-butenyl, 3-butenyl, 1-pentenyl, 2-pentenyl, 3-pentenyl, 3-methyl-1- Butenyl, 1,3-butadienyl, allyl, 1-phenylvinyl-1-yl, 2-phenylvinyl-1-yl, 2,2-diphenylvinyl-1-yl, 2-phenyl-2-( Naphthyl-1-yl)vinyl-1-yl, 2,2-bis(diphenyl-1-yl)vinyl-1-yl, stilbenyl group, styrenyl group, and the like, but are not limited thereto.
본 명세서에 있어서, 사이클로알킬기는 특별히 한정되지 않으나, 탄소수 3 내지 60인 것이 바람직하며, 일 실시상태에 따르면, 상기 사이클로알킬기의 탄소수는 3 내지 30이다. 또 하나의 실시상태에 따르면, 상기 사이클로알킬기의 탄소수는 3 내지 20이다. 또 하나의 실시상태에 따르면, 상기 사이클로알킬기의 탄소수는 3 내지 6이다. 구체적으로 사이클로프로필, 사이클로부틸, 사이클로펜틸, 3-메틸사이클로펜틸, 2,3-디메틸사이클로펜틸, 사이클로헥실, 3-메틸사이클로헥실, 4-메틸사이클로헥실, 2,3-디메틸사이클로헥실, 3,4,5-트리메틸사이클로헥실, 4-tert-부틸사이클로헥실, 사이클로헵틸, 사이클로옥틸 등이 있으나, 이에 한정되지 않는다.In the present specification, the cycloalkyl group is not particularly limited, but preferably has 3 to 60 carbon atoms, and according to an exemplary embodiment, the cycloalkyl group has 3 to 30 carbon atoms. According to another exemplary embodiment, the carbon number of the cycloalkyl group is 3 to 20. According to another exemplary embodiment, the cycloalkyl group has 3 to 6 carbon atoms. Specifically, cyclopropyl, cyclobutyl, cyclopentyl, 3-methylcyclopentyl, 2,3-dimethylcyclopentyl, cyclohexyl, 3-methylcyclohexyl, 4-methylcyclohexyl, 2,3-dimethylcyclohexyl, 3, 4,5-trimethylcyclohexyl, 4-tert-butylcyclohexyl, cycloheptyl, cyclooctyl, and the like, but is not limited thereto.
본 명세서에 있어서, 아릴기는 특별히 한정되지 않으나 탄소수 6 내지 60인 것이 바람직하며, 단환식 아릴기 또는 다환식 아릴기일 수 있다. 일 실시상태에 따르면, 상기 아릴기의 탄소수는 6 내지 30이다. 일 실시상태에 따르면, 상기 아릴기의 탄소수는 6 내지 20이다. 상기 아릴기가 단환식 아릴기로는 페닐기, 바이페닐기, 터페닐기 등이 될 수 있으나, 이에 한정되는 것은 아니다. 상기 다환식 아릴기로는 나프틸기, 안트라세닐기, 페난트릴기, 파이레닐기, 페릴레닐기, 크라이세닐기, 플루오레닐기 등이 될 수 있으나, 이에 한정되는 것은 아니다.In the present specification, the aryl group is not particularly limited, but preferably has 6 to 60 carbon atoms, and may be a monocyclic aryl group or a polycyclic aryl group. According to an exemplary embodiment, the carbon number of the aryl group is 6 to 30. According to an exemplary embodiment, the carbon number of the aryl group is 6 to 20. The aryl group may be a monocyclic aryl group such as a phenyl group, a biphenyl group, or a terphenyl group, but is not limited thereto. The polycyclic aryl group may be a naphthyl group, an anthracenyl group, a phenanthryl group, a pyrenyl group, a perylenyl group, a chrysenyl group, a fluorenyl group, and the like, but is not limited thereto.
본 명세서에 있어서, 플루오레닐기는 치환될 수 있고, 치환기 2개가 서로 결합하여 스피로 구조를 형성할 수 있다. 상기 플루오레닐기가 치환되는 경우, 등이 될 수 있다. 다만, 이에 한정되는 것은 아니다.In the present specification, the fluorenyl group may be substituted, and two substituents may be bonded to each other to form a spiro structure. When the fluorenyl group is substituted, etc. can be However, the present invention is not limited thereto.
본 명세서에 있어서, 헤테로고리기는 이종 원소로 O, N, Si 및 S 중 1개 이상을 포함하는 헤테로고리기로서, 탄소수는 특별히 한정되지 않으나, 탄소수 2 내지 60인 것이 바람직하다. 헤테로고리기의 예로는 티오펜기, 퓨란기, 피롤기, 이미다졸기, 티아졸기, 옥사졸기, 옥사디아졸기, 트리아졸기, 피리딜기, 비피리딜기, 피리미딜기, 트리아진기, 아크리딜기, 피리다진기, 피라지닐기, 퀴놀리닐기, 퀴나졸린기, 퀴녹살리닐기, 프탈라지닐기, 피리도 피리미디닐기, 피리도 피라지닐기, 피라지노 피라지닐기, 이소퀴놀린기, 인돌기, 카바졸기, 벤조옥사졸기, 벤조이미다졸기, 벤조티아졸기, 벤조카바졸기, 벤조티오펜기, 디벤조티오펜기, 벤조퓨라닐기, 페난쓰롤린기(phenanthroline), 이소옥사졸릴기, 티아디아졸릴기, 페노티아지닐기 및 디벤조퓨라닐기 등이 있으나, 이들에만 한정되는 것은 아니다.In the present specification, the heterocyclic group is a heterocyclic group including at least one of O, N, Si and S as a heterogeneous element, and the number of carbon atoms is not particularly limited, but it is preferably from 2 to 60 carbon atoms. Examples of the heterocyclic group include a thiophene group, a furan group, a pyrrole group, an imidazole group, a thiazole group, an oxazole group, an oxadiazole group, a triazole group, a pyridyl group, a bipyridyl group, a pyrimidyl group, a triazine group, an acridyl group , pyridazine group, pyrazinyl group, quinolinyl group, quinazoline group, quinoxalinyl group, phthalazinyl group, pyrido pyrimidinyl group, pyrido pyrazinyl group, pyrazino pyrazinyl group, isoquinoline group, indole group , carbazole group, benzoxazole group, benzoimidazole group, benzothiazole group, benzocarbazole group, benzothiophene group, dibenzothiophene group, benzofuranyl group, phenanthroline group, isoxazolyl group, thiadia and a jolyl group, a phenothiazinyl group, and a dibenzofuranyl group, but is not limited thereto.
본 명세서에 있어서, 아르알킬기, 아르알케닐기, 알킬아릴기, 아릴아민기 중의 아릴기는 전술한 아릴기의 예시와 같다. 본 명세서에 있어서, 아르알킬기, 알킬아릴기, 알킬아민기 중 알킬기는 전술한 알킬기의 예시와 같다. 본 명세서에 있어서, 헤테로아릴아민 중 헤테로아릴은 전술한 헤테로고리기에 관한 설명이 적용될 수 있다. 본 명세서에 있어서, 아르알케닐기 중 알케닐기는 전술한 알케닐기의 예시와 같다. 본 명세서에 있어서, 아릴렌은 2가기인 것을 제외하고는 전술한 아릴기에 관한 설명이 적용될 수 있다. 본 명세서에 있어서, 헤테로아릴렌은 2가기인 것을 제외하고는 전술한 헤테로고리기에 관한 설명이 적용될 수 있다. 본 명세서에 있어서, 탄화수소 고리는 1가기가 아니고, 2개의 치환기가 결합하여 형성한 것을 제외하고는 전술한 아릴기 또는 사이클로알킬기에 관한 설명이 적용될 수 있다. 본 명세서에 있어서, 헤테로고리는 1가기가 아니고, 2개의 치환기가 결합하여 형성한 것을 제외하고는 전술한 헤테로고리기에 관한 설명이 적용될 수 있다.In the present specification, the aryl group in the aralkyl group, the aralkenyl group, the alkylaryl group, and the arylamine group is the same as the example of the aryl group described above. In the present specification, the alkyl group among the aralkyl group, the alkylaryl group, and the alkylamine group is the same as the example of the above-described alkyl group. In the present specification, as for heteroaryl among heteroarylamines, the description of the above-described heterocyclic group may be applied. In the present specification, the alkenyl group among the aralkenyl groups is the same as the above-described examples of the alkenyl group. In the present specification, the description of the above-described aryl group may be applied except that arylene is a divalent group. In the present specification, the description of the above-described heterocyclic group may be applied, except that heteroarylene is a divalent group. In the present specification, the hydrocarbon ring is not a monovalent group, and the description of the above-described aryl group or cycloalkyl group may be applied, except that it is formed by combining two substituents. In the present specification, the heterocyclic group is not a monovalent group, and the description of the above-described heterocyclic group may be applied, except that it is formed by combining two substituents.
상기 화학식 1로 표시되는 화합물은 R1(중수소)을 포함함으로써 유기 발광 소자에 사용되었을 경우, 중수소를 포함하지 않은 화합물에 비하여 유기 발광 소자의 특성, 특히 수명을 개선할 수 있다. When the compound represented by
바람직하게는, 상기 화학식 1에서 n1+n2는 10이다. Preferably, in
바람직하게는, L은 하기 중 어느 하나이다:Preferably, L is any of the following:
. .
바람직하게는, R은 하기 중 어느 하나이다:Preferably, R is any of the following:
. .
바람직하게는, Ar1은 페닐이다. Preferably, Ar 1 is phenyl.
바람직하게는, Ar2는 페닐이다. Preferably, Ar 2 is phenyl.
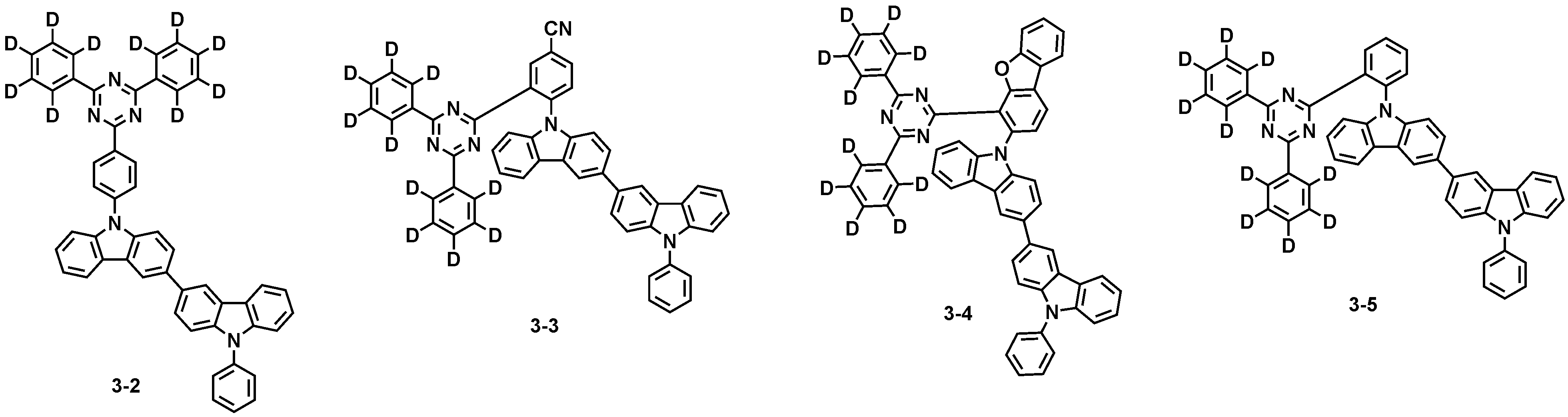
상기 화학식 1로 표시되는 화합물의 대표적인 예는 다음과 같다:Representative examples of the compound represented by
. .
또한, 본 발명은 하기 반응식 1, 반응식 2 등과 같이 상기 화학식 1로 표시되는 화합물의 제조 방법을 제공한다.In addition, the present invention provides a method for preparing a compound represented by
[반응식 1][Scheme 1]
[반응식 2][Scheme 2]
또한, 본 발명은 상기 화학식 1로 표시되는 화합물을 포함하는 유기 발광 소자를 제공한다. 일례로, 본 발명은 제1 전극; 상기 제1 전극과 대향하여 구비된 제2 전극; 및 상기 제1 전극과 상기 제2 전극 사이에 구비된 1층 이상의 유기물 층을 포함하는 유기 발광 소자로서, 상기 유기물층 중 1층 이상은 상기 화학식 1로 표시되는 화합물을 포함하는, 유기 발광 소자를 제공한다. In addition, the present invention provides an organic light emitting device including the compound represented by the formula (1). In one example, the present invention provides a first electrode; a second electrode provided to face the first electrode; and at least one organic material layer provided between the first electrode and the second electrode, wherein at least one of the organic material layers includes the compound represented by
본 발명의 유기 발광 소자의 유기물 층은 단층 구조로 이루어질 수도 있으나, 2층 이상의 유기물층이 적층된 다층 구조로 이루어질 수 있다. 예컨대, 본 발명의 유기 발광 소자는 유기물 층으로서 정공주입층, 정공수송층, 발광층, 정공저지층, 전자수송층, 전자주입층 등을 포함하는 구조를 가질 수 있다. 그러나 유기 발광 소자의 구조는 이에 한정되지 않고 더 적은 수의 유기층을 포함할 수 있다.The organic material layer of the organic light emitting device of the present invention may have a single-layer structure, but may have a multi-layer structure in which two or more organic material layers are stacked. For example, the organic light emitting device of the present invention may have a structure including a hole injection layer, a hole transport layer, a light emitting layer, a hole blocking layer, an electron transport layer, an electron injection layer, etc. as an organic material layer. However, the structure of the organic light emitting device is not limited thereto and may include a smaller number of organic layers.
또한, 상기 유기물 층은 발광층을 포함할 수 있고, 상기 발광층은 상기 화학식 1로 표시되는 화합물을 포함한다. 특히, 본 발명에 따른 화합물은 발광층의 도펀트로 사용할 수 있다. In addition, the organic layer may include an emission layer, and the emission layer includes the compound represented by
또한, 상기 유기물 층은 정공저지층, 전자수송층, 또는 전자주입층을 포함할 수 있고, 상기 정공저지층, 전자수송층, 또는 전자주입층은 상기 화학식 1로 표시되는 화합물을 포함한다. In addition, the organic material layer may include a hole blocking layer, an electron transport layer, or an electron injection layer, the hole blocking layer, the electron transport layer, or the electron injection layer includes the compound represented by the formula (1).
또한, 상기 정공저지층, 전자수송층, 전자주입층, 또는 전자수송 및 전자주입을 동시에 하는 층은 상기 화학식 1로 표시되는 화합물을 포함한다. In addition, the hole blocking layer, the electron transport layer, the electron injection layer, or the layer for transporting and injecting electrons at the same time includes the compound represented by the formula (1).
또한, 본 발명에 따른 유기 발광 소자는, 기판 상에 양극, 1층 이상의 유기물 층 및 음극이 순차적으로 적층된 구조(normal type)의 유기 발광 소자일 수 있다. 또한, 본 발명에 따른 유기 발광 소자는 기판 상에 음극, 1층 이상의 유기물 층 및 양극이 순차적으로 적층된 역방향 구조(inverted type)의 유기 발광 소자일 수 있다. 예컨대, 본 발명의 일실시예에 따른 유기 발광 소자의 구조는 도 1 및 2에 예시되어 있다.Also, the organic light emitting device according to the present invention may be a normal type organic light emitting device in which an anode, one or more organic material layers, and a cathode are sequentially stacked on a substrate. Also, the organic light emitting device according to the present invention may be an inverted type organic light emitting device in which a cathode, one or more organic material layers, and an anode are sequentially stacked on a substrate. For example, the structure of the organic light emitting device according to an embodiment of the present invention is illustrated in FIGS. 1 and 2 .
도 1은 기판(1), 양극(2), 발광층(3), 음극(4)으로 이루어진 유기 발광 소자의 예를 도시한 것이다. 이와 같은 구조에 있어서, 상기 화학식 1로 표시되는 화합물은 상기 발광층에 포함될 수 있다. FIG. 1 shows an example of an organic light emitting device including a
도 2는 기판 (1), 양극(2), 정공주입층(5), 정공수송층(6), 발광층(7), 정공저지층(8), 전자수송층(9) 및 음극(4)로 이루어진 유기 발광 소자의 예를 도시한 것이다. 이와 같은 구조에 있어서, 상기 화학식 1로 표시되는 화합물은 상기 정공주입층, 정공수송층, 발광층, 정공저지층 및 전자수송층 중 1층 이상에 포함될 수 있다. 2 is a substrate (1), an anode (2), a hole injection layer (5), a hole transport layer (6), a light emitting layer (7), a hole blocking layer (8), an electron transport layer (9) and a cathode (4) An example of an organic light emitting device is shown. In such a structure, the compound represented by
본 발명에 따른 유기 발광 소자는, 상기 유기물 층 중 1층 이상이 상기 화학식 1로 표시되는 화합물을 포함하는 것을 제외하고는 당 기술분야에 알려져 있는 재료와 방법으로 제조될 수 있다. 또한, 상기 유기 발광 소자가 복수개의 유기물층을 포함하는 경우, 상기 유기물층은 동일한 물질 또는 다른 물질로 형성될 수 있다. The organic light emitting device according to the present invention may be manufactured using materials and methods known in the art, except that at least one layer of the organic material layer includes the compound represented by
예컨대, 본 발명에 따른 유기 발광 소자는 기판 상에 제1 전극, 유기물층 및 제2 전극을 순차적으로 적층시켜 제조할 수 있다. 이때, 스퍼터링법(sputtering)이나 전자빔 증발법(e-beam evaporation)과 같은 PVD(physical Vapor Deposition)방법을 이용하여, 기판 상에 금속 또는 전도성을 가지는 금속 산화물 또는 이들의 합금을 증착시켜 양극을 형성하고, 그 위에 정공 주입층, 정공 수송층, 발광층 및 전자 수송층을 포함하는 유기물 층을 형성한 후, 그 위에 음극으로 사용할 수 있는 물질을 증착시켜 제조할 수 있다. 이와 같은 방법 외에도, 기판 상에 음극 물질부터 유기물층, 양극 물질을 차례로 증착시켜 유기 발광 소자를 만들 수 있다. For example, the organic light emitting device according to the present invention may be manufactured by sequentially stacking a first electrode, an organic material layer, and a second electrode on a substrate. At this time, by using a PVD (physical vapor deposition) method such as sputtering or e-beam evaporation, a metal or conductive metal oxide or an alloy thereof is deposited on a substrate to form an anode. and forming an organic material layer including a hole injection layer, a hole transport layer, a light emitting layer and an electron transport layer thereon, and then depositing a material that can be used as a cathode thereon. In addition to this method, an organic light emitting device may be manufactured by sequentially depositing a cathode material, an organic material layer, and an anode material on a substrate.
또한, 상기 화학식 1로 표시되는 화합물은 유기 발광 소자의 제조시 진공 증착법 뿐만 아니라 용액 도포법에 의하여 유기물 층으로 형성될 수 있다. 여기서, 용액 도포법이라 함은 스핀 코팅, 딥코팅, 닥터 블레이딩, 잉크젯 프린팅, 스크린 프린팅, 스프레이법, 롤 코팅 등을 의미하지만, 이들만으로 한정되는 것은 아니다.In addition, the compound represented by
이와 같은 방법 외에도, 기판 상에 음극 물질로부터 유기물층, 양극 물질을 차례로 증착시켜 유기 발광 소자를 제조할 수 있다(WO 2003/012890). 다만, 제조 방법이 이에 한정되는 것은 아니다. In addition to this method, an organic light emitting device may be manufactured by sequentially depositing an organic material layer and an anode material from a cathode material on a substrate (WO 2003/012890). However, the manufacturing method is not limited thereto.
일례로, 상기 제1 전극은 양극이고, 상기 제2 전극은 음극이거나, 또는 상기 제1 전극은 음극이고, 상기 제2 전극은 양극이다.In one example, the first electrode is an anode, the second electrode is a cathode, or the first electrode is a cathode and the second electrode is an anode.
상기 양극 물질로는 통상 유기물 층으로 정공 주입이 원활할 수 있도록 일함수가 큰 물질이 바람직하다. 상기 양극 물질의 구체적인 예로는 바나듐, 크롬, 구리, 아연, 금과 같은 금속 또는 이들의 합금; 아연 산화물, 인듐 산화물, 인듐주석 산화물(ITO), 인듐아연 산화물(IZO)과 같은 금속 산화물; ZnO:Al 또는 SnO2:Sb와 같은 금속과 산화물의 조합; 폴리(3-메틸티오펜), 폴리[3,4-(에틸렌-1,2-디옥시)티오펜](PEDOT), 폴리피롤 및 폴리아닐린과 같은 전도성 고분자 등이 있으나, 이들에만 한정되는 것은 아니다. As the anode material, a material having a large work function is generally preferred so that holes can be smoothly injected into the organic material layer. Specific examples of the anode material include metals such as vanadium, chromium, copper, zinc, gold, or alloys thereof; metal oxides such as zinc oxide, indium oxide, indium tin oxide (ITO), and indium zinc oxide (IZO); combinations of metals and oxides such as ZnO:Al or SnO 2 :Sb; conductive polymers such as poly(3-methylthiophene), poly[3,4-(ethylene-1,2-dioxy)thiophene](PEDOT), polypyrrole, and polyaniline, but are not limited thereto.
상기 음극 물질로는 통상 유기물층으로 전자 주입이 용이하도록 일함수가 작은 물질인 것이 바람직하다. 상기 음극 물질의 구체적인 예로는 마그네슘, 칼슘, 나트륨, 칼륨, 티타늄, 인듐, 이트륨, 리튬, 가돌리늄, 알루미늄, 은, 주석 및 납과 같은 금속 또는 이들의 합금; LiF/Al 또는 LiO2/Al과 같은 다층 구조 물질 등이 있으나, 이들에만 한정되는 것은 아니다. The cathode material is preferably a material having a small work function to facilitate electron injection into the organic material layer. Specific examples of the anode material include metals such as magnesium, calcium, sodium, potassium, titanium, indium, yttrium, lithium, gadolinium, aluminum, silver, tin and lead, or alloys thereof; and a multilayer structure material such as LiF/Al or LiO 2 /Al, but is not limited thereto.
상기 정공주입층은 전극으로부터 정공을 주입하는 층으로, 정공 주입 물질로는 정공을 수송하는 능력을 가져 양극에서의 정공 주입효과, 발광층 또는 발광재료에 대하여 우수한 정공 주입 효과를 갖고, 발광층에서 생성된 여기자의 전자주입층 또는 전자주입재료에의 이동을 방지하며, 또한, 박막 형성 능력이 우수한 화합물이 바람직하다. 정공 주입 물질의 HOMO(highest occupied molecular orbital)가 양극 물질의 일함수와 주변 유기물 층의 HOMO 사이인 것이 바람직하다. 정공 주입 물질의 구체적인 예로는 금속 포피린(porphyrin), 올리고티오펜, 아릴아민 계열의 유기물, 헥사니트릴헥사아자트리페닐렌 계열의 유기물, 퀴나크리돈(quinacridone)계열의 유기물, 페릴렌(perylene) 계열의 유기물, 안트라퀴논 및 폴리아닐린과 폴리티오펜 계열의 전도성 고분자 등이 있으나, 이들에만 한정 되는 것은 아니다. The hole injection layer is a layer for injecting holes from the electrode, and as a hole injection material, it has the ability to transport holes, so it has a hole injection effect at the anode, an excellent hole injection effect with respect to the light emitting layer or the light emitting material, and is produced in the light emitting layer A compound which prevents the movement of excitons to the electron injection layer or the electron injection material and is excellent in the ability to form a thin film is preferable. Preferably, the highest occupied molecular orbital (HOMO) of the hole injection material is between the work function of the positive electrode material and the HOMO of the surrounding organic material layer. Specific examples of the hole injection material include metal porphyrin, oligothiophene, arylamine-based organic material, hexanitrile hexaazatriphenylene-based organic material, quinacridone-based organic material, and perylene-based organic material. of organic substances, anthraquinones, polyaniline and polythiophene-based conductive polymers, and the like, but are not limited thereto.
상기 정공수송층은 정공주입층으로부터 정공을 수취하여 발광층까지 정공을 수송하는 층으로, 정공 수송 물질로 양극이나 정공 주입층으로부터 정공을 수송받아 발광층으로 옮겨줄 수 있는 물질로 정공에 대한 이동성이 큰 물질이 적합하다. 구체적인 예로는 아릴아민 계열의 유기물, 전도성 고분자, 및 공액 부분과 비공액 부분이 함께 있는 블록 공중합체 등이 있으나, 이들에만 한정되는 것은 아니다. The hole transport layer is a layer that receives holes from the hole injection layer and transports the holes to the light emitting layer. As a hole transport material, a material capable of transporting holes from the anode or hole injection layer to the light emitting layer and transferring them to the light emitting layer. This is suitable. Specific examples include, but are not limited to, an arylamine-based organic material, a conductive polymer, and a block copolymer having a conjugated portion and a non-conjugated portion together.
상기 발광 물질로는 정공 수송층과 전자 수송층으로부터 정공과 전자를 각각 수송받아 결합시킴으로써 가시광선 영역의 빛을 낼 수 있는 물질로서, 형광이나 인광에 대한 양자 효율이 좋은 물질이 바람직하다. 구체적인 예로 8-히드록시-퀴놀린 알루미늄 착물(Alq3); 카르바졸 계열 화합물; 이량체화 스티릴(dimerized styryl) 화합물; BAlq; 10-히드록시벤조 퀴놀린-금속 화합물; 벤족사졸, 벤즈티아졸 및 벤즈이미다졸 계열의 화합물; 폴리(p-페닐렌비닐렌)(PPV) 계열의 고분자; 스피로(spiro) 화합물; 폴리플루오렌, 루브렌 등이 있으나, 이들에만 한정되는 것은 아니다. The light emitting material is a material capable of emitting light in the visible ray region by receiving and combining holes and electrons from the hole transport layer and the electron transport layer, respectively, and a material having good quantum efficiency for fluorescence or phosphorescence is preferable. Specific examples include 8-hydroxy-quinoline aluminum complex (Alq 3 ); carbazole-based compounds; dimerized styryl compounds; BAlq; 10-hydroxybenzo quinoline-metal compounds; compounds of the benzoxazole, benzthiazole and benzimidazole series; Poly(p-phenylenevinylene) (PPV)-based polymers; spiro compounds; polyfluorene, rubrene, and the like, but is not limited thereto.
상기 발광층은 호스트 재료 및 도펀트 재료를 포함할 수 있다. 호스트 재료는 축합 방향족환 유도체 또는 헤테로환 함유 화합물 등이 있다. 구체적으로 축합 방향족환 유도체로는 안트라센 유도체, 피렌 유도체, 나프탈렌 유도체, 펜타센 유도체, 페난트렌 화합물, 플루오란텐 화합물 등이 있고, 헤테로환 함유 화합물로는 카바졸 유도체, 디벤조퓨란 유도체, 래더형 퓨란 화합물, 피리미딘 유도체 등이 있으나, 이에 한정되지 않는다. The emission layer may include a host material and a dopant material. The host material includes a condensed aromatic ring derivative or a compound containing a hetero ring. Specifically, condensed aromatic ring derivatives include anthracene derivatives, pyrene derivatives, naphthalene derivatives, pentacene derivatives, phenanthrene compounds, fluoranthene compounds, etc., and heterocyclic-containing compounds include carbazole derivatives, dibenzofuran derivatives, ladder type Furan compounds, pyrimidine derivatives, and the like, but are not limited thereto.
도펀트 재료로는 방향족 아민 유도체, 스트릴아민 화합물, 붕소 착체, 플루오란텐 화합물, 금속 착체 등이 있다. 구체적으로 방향족 아민 유도체로는 치환 또는 비치환된 아릴아미노기를 갖는 축합 방향족환 유도체로서, 아릴아미노기를 갖는 피렌, 안트라센, 크리센, 페리플란텐 등이 있으며, 스티릴아민 화합물로는 치환 또는 비치환된 아릴아민에 적어도 1개의 아릴비닐기가 치환되어 있는 화합물로, 아릴기, 실릴기, 알킬기, 사이클로알킬기 및 아릴아미노기로 이루어진 군에서 1 또는 2 이상 선택되는 치환기가 치환 또는 비치환된다. 구체적으로 스티릴아민, 스티릴디아민, 스티릴트리아민, 스티릴테트라아민 등이 있으나, 이에 한정되지 않는다. 또한, 금속 착체로는 이리듐 착체, 백금 착체 등이 있으나, 이에 한정되지 않는다.Examples of the dopant material include an aromatic amine derivative, a strylamine compound, a boron complex, a fluoranthene compound, and a metal complex. Specifically, the aromatic amine derivative is a condensed aromatic ring derivative having a substituted or unsubstituted arylamino group, and includes pyrene, anthracene, chrysene, and periflanthene having an arylamino group, and the styrylamine compound is a substituted or unsubstituted derivative. It is a compound in which at least one arylvinyl group is substituted in the arylamine, and one or two or more substituents selected from the group consisting of an aryl group, a silyl group, an alkyl group, a cycloalkyl group and an arylamino group are substituted or unsubstituted. Specifically, there are styrylamine, styryldiamine, styryltriamine, styryltetraamine, and the like, but is not limited thereto. In addition, the metal complex includes, but is not limited to, an iridium complex, a platinum complex, and the like.
상기 전자수송층은 전자주입층으로부터 전자를 수취하여 발광층까지 전자를 수송하는 층으로 전자 수송 물질로는 음극으로부터 전자를 잘 주입 받아 발광층으로 옮겨줄 수 있는 물질로서, 전자에 대한 이동성이 큰 물질이 적합하다. 구체적인 예로는 8-히드록시퀴놀린의 Al 착물; Alq3를 포함한 착물; 유기 라디칼 화합물; 히드록시플라본-금속 착물 등이 있으나, 이들에만 한정되는 것은 아니다. 전자 수송층은 종래기술에 따라 사용된 바와 같이 임의의 원하는 캐소드 물질과 함께 사용할 수 있다. 특히, 적절한 캐소드 물질의 예는 낮은 일함수를 가지고 알루미늄층 또는 실버층이 뒤따르는 통상적인 물질이다. 구체적으로 세슘, 바륨, 칼슘, 이테르븀 및 사마륨이고, 각 경우 알루미늄 층 또는 실버층이 뒤따른다.The electron transport layer is a layer that receives electrons from the electron injection layer and transports electrons to the light emitting layer. do. Specific examples include Al complex of 8-hydroxyquinoline; complexes containing Alq 3 ; organic radical compounds; hydroxyflavone-metal complexes, and the like, but are not limited thereto. The electron transport layer may be used with any desired cathode material as used in accordance with the prior art. In particular, examples of suitable cathode materials are conventional materials having a low work function and followed by a layer of aluminum or silver. Specifically cesium, barium, calcium, ytterbium and samarium, followed in each case by an aluminum layer or a silver layer.
상기 전자주입층은 전극으로부터 전자를 주입하는 층으로, 전자를 수송하는 능력을 갖고, 음극으로부터의 전자 주입 효과, 발광층 또는 발광 재료에 대하여 우수한 전자주입 효과를 가지며, 발광층에서 생성된 여기자의 정공주입층에의 이동을 방지하고, 또한, 박막형성능력이 우수한 화합물이 바람직하다. 구체적으로는 플루오레논, 안트라퀴노다이메탄, 다이페노퀴논, 티오피란 다이옥사이드, 옥사졸, 옥사다이아졸, 트리아졸, 이미다졸, 페릴렌테트라카복실산, 프레오레닐리덴 메탄, 안트론 등과 그들의 유도체, 금속 착체 화합물 및 질소 함유 5원환 유도체 등이 있으나, 이에 한정되지 않는다. The electron injection layer is a layer that injects electrons from the electrode, has the ability to transport electrons, has an electron injection effect from the cathode, an excellent electron injection effect on the light emitting layer or the light emitting material, and hole injection of excitons generated in the light emitting layer. A compound which prevents movement to a layer and is excellent in the ability to form a thin film is preferable. Specifically, fluorenone, anthraquinodimethane, diphenoquinone, thiopyran dioxide, oxazole, oxadiazole, triazole, imidazole, perylenetetracarboxylic acid, preorenylidene methane, anthrone, etc., derivatives thereof, metals complex compounds and nitrogen-containing 5-membered ring derivatives, but are not limited thereto.
상기 금속 착체 화합물로서는 8-하이드록시퀴놀리나토 리튬, 비스(8-하이드록시퀴놀리나토)아연, 비스(8-하이드록시퀴놀리나토)구리, 비스(8-하이드록시퀴놀리나토)망간, 트리스(8-하이드록시퀴놀리나토)알루미늄, 트리스(2-메틸-8-하이드록시퀴놀리나토)알루미늄, 트리스(8-하이드록시퀴놀리나토)갈륨, 비스(10-하이드록시벤조[h]퀴놀리나토)베릴륨, 비스(10-하이드록시벤조[h]퀴놀리나토)아연, 비스(2-메틸-8-퀴놀리나토)클로로갈륨, 비스(2-메틸-8-퀴놀리나토)(o-크레졸라토)갈륨, 비스(2-메틸-8-퀴놀리나토)(1-나프톨라토)알루미늄, 비스(2-메틸-8-퀴놀리나토)(2-나프톨라토)갈륨 등이 있으나, 이에 한정되지 않는다.Examples of the metal complex compound include 8-hydroxyquinolinato lithium, bis(8-hydroxyquinolinato)zinc, bis(8-hydroxyquinolinato)copper, bis(8-hydroxyquinolinato)manganese, Tris(8-hydroxyquinolinato)aluminum, tris(2-methyl-8-hydroxyquinolinato)aluminum, tris(8-hydroxyquinolinato)gallium, bis(10-hydroxybenzo[h] Quinolinato) beryllium, bis (10-hydroxybenzo [h] quinolinato) zinc, bis (2-methyl-8-quinolinato) chlorogallium, bis (2-methyl-8-quinolinato) ( o-crezolato)gallium, bis(2-methyl-8-quinolinato)(1-naphtolato)aluminum, bis(2-methyl-8-quinolinato)(2-naphtolato)gallium, etc. However, the present invention is not limited thereto.
본 발명에 따른 유기 발광 소자는 사용되는 재료에 따라 전면 발광형, 후면 발광형 또는 양면 발광형일 수 있다.The organic light emitting device according to the present invention may be a top emission type, a back emission type, or a double side emission type depending on the material used.
또한, 상기 화학식 1로 표시되는 화합물은 유기 발광 소자 외에도 유기 태양 전지 또는 유기 트랜지스터에 포함될 수 있다.In addition, the compound represented by
상기 화학식 1로 표시되는 화합물 및 이를 포함하는 유기 발광 소자의 제조는 이하 실시예에서 구체적으로 설명한다. 그러나 하기 실시예는 본 발명을 예시하기 위한 것이며, 본 발명의 범위가 이들에 의하여 한정되는 것은 아니다.The compound represented by
<합성예><Synthesis example>
합성예 1: 중간체 1-1의 합성Synthesis Example 1: Synthesis of Intermediate 1-1
마그네슘 39.5 g (1.7 mol), 아이오딘 10 g과 테트라하이드로퓨란 100 mL를 넣고 질소상태하에서 2시간 동안 환류시켰다. 상온으로 냉각 후 브로모벤젠-d5 226.9 g (1.4 mol)을 테트라하이드로퓨란 200 mL에 녹여 천천히 적가하였다. 적가 후 2시간 동안 환류시키고 상온으로 냉각하였다. 다른 플라스크에 시아누릭클로라이드 100 g (0.54 mol)을 테트라하이드로퓨란 200 Ml에 녹인 후 반응액을 0 ℃로 냉각시켰다. 앞의 반응욕액의 온도를 0 ℃로 유지시키며 천천히 적가한다. 반응 종료 후 4 M 염삼 수용액으로 반응을 종결시키고 추출한 뒤 유기층을 감압농출 후 헥산으로 재결정을 실시하고 건조하여 화학식 1-1로 표시되는 화합물을 80 g 얻었다.Magnesium 39.5 g (1.7 mol), iodine 10 g and tetrahydrofuran 100 mL were added, and refluxed for 2 hours under nitrogen condition. After cooling to room temperature, 226.9 g (1.4 mol) of bromobenzene-d5 was dissolved in 200 mL of tetrahydrofuran and slowly added dropwise. After dropwise addition, the mixture was refluxed for 2 hours and cooled to room temperature. In another flask, 100 g (0.54 mol) of cyanuric chloride was dissolved in 200 Ml of tetrahydrofuran, and the reaction solution was cooled to 0 °C. While maintaining the temperature of the previous reaction bath solution at 0 °C, it is slowly added dropwise. After completion of the reaction, the reaction was terminated with a 4 M aqueous salt ginseng solution, extracted, and the organic layer was concentrated under reduced pressure, recrystallized with hexane, and dried to obtain 80 g of the compound represented by Formula 1-1.
합성예 2: 중간체 2-1의 합성Synthesis Example 2: Synthesis of Intermediate 2-1
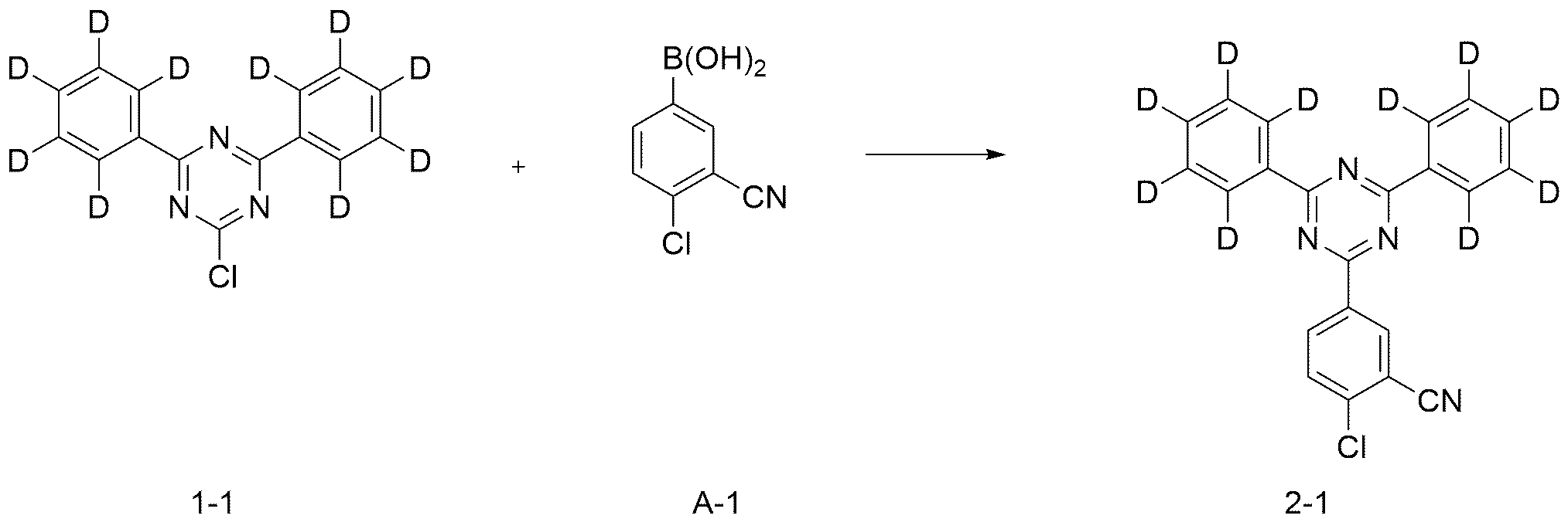
화합물 1-1 (20.8g, 1.0eq), (4-클로로-3-시아노페닐)보론산 A-1 (15.0g, 1.1eq), K2CO3 (20.6g, 2.0eq), Pd(PPh3)4 (8.6g, 0.1eq)의 톨루엔 400 ml / 에탄올 100 ml / H2O 50 ml 혼합물을 100℃ 에서 12시간 교반하였다. 디클로로메탄로 추출한 후 디클로로메탄:헥산=1:3으로 컬럼 분리하여 흰색 고체화합물 2-1 를 얻었다. (14.8g, 52%)Compound 1-1 (20.8g, 1.0eq), (4-chloro-3-cyanophenyl)boronic acid A-1 ( 15.0g, 1.1eq), K 2 CO 3 (20.6 g, 2.0eq), Pd ( A mixture of PPh 3 ) 4 (8.6 g, 0.1eq) of 400 ml of toluene / 100 ml of ethanol / 50 ml of H 2 O was stirred at 100° C. for 12 hours. After extraction with dichloromethane, column separation was performed using dichloromethane: hexane = 1:3 to obtain a white solid compound 2-1. (14.8 g, 52%)
합성예 3: 중간체 2-2의 합성Synthesis Example 3: Synthesis of Intermediate 2-2
화합물 1-1 (20.8g, 1.0eq), (4-클로로페닐)보론산 A-2 (12.9g, 1.1eq), K2CO3 (20.6g, 2.0eq), Pd(PPh3)4 (8.6g, 0.1eq)의 톨루엔 400 ml / 에탄올 100 ml / H2O 50 ml 혼합물을 100℃ 에서 8시간 교반하였다. 디클로로메탄로 추출한 후 디클로로메탄:헥산=1:4으로 컬럼 분리하여 흰색 고체화합물 2-2 를 얻었다. (14.0g, 40%)Compound 1-1 (20.8g, 1.0eq), (4-chlorophenyl)boronic acid A-2 ( 12.9g, 1.1eq), K 2 CO 3 (20.6 g, 2.0eq), Pd(PPh 3 ) 4 ( 8.6 g, 0.1eq) of 400 ml of toluene / 100 ml of ethanol / 50 ml of H 2 O was stirred at 100° C. for 8 hours. After extraction with dichloromethane, column separation was performed using dichloromethane: hexane = 1:4 to obtain a white solid compound 2-2. (14.0 g, 40%)
합성예 4: 중간체 2-3의 합성Synthesis Example 4: Synthesis of Intermediate 2-3
화합물 1-1 (20.8g, 1.0eq), (2-클로로-5-시아노페닐)보론산 A-3 (15.0g, 1.1eq), K2CO3 (20.6g, 2.0eq), Pd(PPh3)4 (8.6g, 0.1eq)의 톨루엔 400 ml / 에탄올 100 ml / H2O 50 ml 혼합물을 100℃ 에서 8시간 교반하였다. 디클로로메탄로 추출한 후 디클로로메탄:헥산=1:3으로 컬럼 분리하여 흰색 고체 화합물 2-3 를 얻었다. (12.0g, 42%)Compound 1-1 (20.8g, 1.0eq), (2-chloro-5-cyanophenyl)boronic acid A-3 ( 15.0g, 1.1eq), K 2 CO 3 (20.6 g, 2.0eq), Pd ( A mixture of PPh 3 ) 4 (8.6 g, 0.1eq) of 400 ml of toluene / 100 ml of ethanol / 50 ml of H 2 O was stirred at 100° C. for 8 hours. After extraction with dichloromethane, column separation was performed using dichloromethane:hexane = 1:3 to obtain white solid compound 2-3. (12.0 g, 42%)
합성예 5: 중간체 A-4의 합성Synthesis Example 5: Synthesis of Intermediate A-4
2-브로모-3-클로로-6-요오드페놀(2-bromo-3-chloro-6-iodophenol)(42 g, 299.99 mmol)및 2-플루오로페닐보론산((2-fluorophenyl)boronic acid)(100 g, 299.99 mmol)을 테트라하이드로퓨란(THF) 800 ml에 녹였다. 여기에 탄산나트륨(Na2CO3) 2 M 용액(500 mL) 및 테트라키스(트리페닐포스핀)팔라듐(0)[Pd(PPh3)4](10.4 g, 9 mmol)을 넣고 12 시간 환류시켰다. 반응이 끝난 후 상온으로 냉각시키고, 생성된 혼합물을 물과 톨루엔으로 3회 추출하였다. 톨루엔층을 분리한 뒤 황산마그네슘(magnesium sulfate)으로 건조하여 여과한 여액을 감압증류하여 얻은 혼합물을 클로로폼, 에탄올을 이용해 2회 재결정 하여 46.1 g을 얻었다. 2-bromo-3-chloro-6-iodophenol (42 g, 299.99 mmol) and 2-fluorophenylboronic acid (100 g, 299.99 mmol) was dissolved in 800 ml of tetrahydrofuran (THF). Sodium carbonate (Na 2 CO 3 ) 2 M solution (500 mL) and tetrakis (triphenylphosphine) palladium (0) [Pd (PPh 3 ) 4 ] (10.4 g, 9 mmol) were added thereto, and refluxed for 12 hours. . After the reaction was completed, the mixture was cooled to room temperature, and the resulting mixture was extracted three times with water and toluene. The toluene layer was separated, dried over magnesium sulfate, and the filtered filtrate was distilled under reduced pressure. The resulting mixture was recrystallized twice using chloroform and ethanol to obtain 46.1 g.
다음으로, 제조한 화합물 40 g을 다이메틸포름아마이드(DMF)(400 ml)에 녹인다. 여기에 탄산칼륨(potassium carbonate)(55 g, 397.96 mmol)을 투입한 후 100℃에서 1시간동안 교반하였다. 반응이 종료된 후 상온으로 냉각하고, 에탄올(Ethanol) 100 ml을 천천히 넣었다. 위 혼합물을 감압증류 하여 얻은 혼합물을 클로로포름, 에틸아세테이트로 재결정하여 29.9 g을 얻었다.Next, 40 g of the prepared compound is dissolved in dimethylformamide (DMF) (400 ml). Potassium carbonate (55 g, 397.96 mmol) was added thereto, followed by stirring at 100° C. for 1 hour. After the reaction was completed, it was cooled to room temperature, and 100 ml of ethanol was slowly added thereto. The mixture obtained by distillation under reduced pressure was recrystallized from chloroform and ethyl acetate to obtain 29.9 g.
다음으로, 제조한 화합물 28.2 g (100 mmol)을 질소조건에서 무수 테트라 하이드로 퓨란 300ml에 녹인 후 반응기 주위온도를 -78℃로 유지하였다. 다음으로, 2.5M-부틸 리티움 40ml를 천천히 적가하였다. 적하완료 후 30분동안 교반을 실시한 후, 트리이소프로필 보레이트 22.8g을 200ml의 정제된 테트라하이드로 퓨란에 녹인 후 천천히 적가하였다. 반응용액을 -78℃로 유지한 상태로 약 1시간 동안 교반 후 상온으로 올려서 12시간 교반을 지속하였다. 반응용액에 희석한 염산을 넣어서 반응 종료를 실시한 다음 메틸렌 클로라이드를 이용하여 분액추출하였다. 얻어진 유기층을 마그네시윰 설페이트로 건조하고, 여과 후 감압증류하였다. 다음으로, 400ml의 초산에 넣은 후 촉매량의 염산을 적하한 다음 환류온도에서 12시간 교반하였다. 반응 종료 후 냉각하여 고체를 얻고, 여과 후 컬럼크로마토그래피를 이용하여 화합물 A-4를 28.4g 수득하였다. 얻어진 고체의 질량 스펙트럼 측정에 의해 M/Z=246에서 피크가 확인되었다. Next, 28.2 g (100 mmol) of the prepared compound was dissolved in 300 ml of anhydrous tetrahydrofuran under nitrogen condition, and the ambient temperature of the reactor was maintained at -78°C. Next, 40 ml of 2.5M-butyl lithium was slowly added dropwise. After stirring for 30 minutes after completion of the dropping, 22.8 g of triisopropyl borate was dissolved in 200 ml of purified tetrahydrofuran, and then slowly added dropwise. The reaction solution was stirred for about 1 hour while maintaining at -78°C, and then raised to room temperature and stirring was continued for 12 hours. After the reaction was terminated by adding diluted hydrochloric acid to the reaction solution, liquid separation was performed using methylene chloride. The obtained organic layer was dried over magnesium sulfate, filtered and distilled under reduced pressure. Next, after putting in 400 ml of acetic acid, a catalytic amount of hydrochloric acid was added dropwise, followed by stirring at reflux temperature for 12 hours. After completion of the reaction, a solid was obtained by cooling, and 28.4 g of Compound A-4 was obtained by using column chromatography after filtration. A peak at M/Z = 246 was confirmed by measurement of the mass spectrum of the obtained solid.
합성예 6: 중간체 2-4의 합성Synthesis Example 6: Synthesis of Intermediate 2-4
화합물 1-1 (20.8g, 1.0eq), A-4 (20.3g, 1.1eq), K2CO3 (20.6g, 2.0eq), Pd(PPh3)4 (8.6g, 0.1eq)의 톨루엔 400 ml / 에탄올 100 ml / H2O 50 ml 혼합물을 100℃ 에서 8시간 교반하였다. 디클로로메탄로 추출한 후 디클로로메탄:헥산=1:4으로 컬럼 분리하여 흰색 고체화합물 2-4 를 얻었다. (12.6g, 38%)Toluene of compound 1-1 (20.8g, 1.0eq), A-4 ( 20.3g, 1.1eq), K 2 CO 3 (20.6g, 2.0eq), Pd(PPh 3 ) 4 (8.6g, 0.1eq) A mixture of 400 ml / ethanol 100 ml / H 2 O 50 ml was stirred at 100° C. for 8 hours. After extraction with dichloromethane, column separation was performed using dichloromethane:hexane = 1:4 to obtain a white solid compound 2-4. (12.6 g, 38%)
합성예 7: 중간체 2-5의 합성Synthesis Example 7: Synthesis of Intermediate 2-5
화합물 1-1 (20.8g, 1.0eq), (2-클로로페닐)보론산 A-5(12.9g, 1.1eq), K2CO3 (20.6g, 2.0eq), Pd(PPh3)4 (8.6g, 0.1eq)의 톨루엔 400 ml / 에탄올 100 ml / H2O 50 ml 혼합물을 100℃ 에서 8시간 교반하였다. 디클로로메탄로 추출한 후 디클로로메탄:헥산=1:4으로 컬럼 분리하여 흰색 고체화합물 2-5 를 얻었다. (14.0g, 40%)Compound 1-1 (20.8g, 1.0eq), (2-chlorophenyl)boronic acid A-5 ( 12.9g, 1.1eq), K 2 CO 3 (20.6g, 2.0eq), Pd(PPh 3 ) 4 ( 8.6 g, 0.1eq) of 400 ml of toluene / 100 ml of ethanol / 50 ml of H 2 O was stirred at 100° C. for 8 hours. After extraction with dichloromethane, column separation was performed using dichloromethane: hexane = 1:4 to obtain a white solid compound 2-5. (14.0 g, 40%)
합성예 8: 화합물 3-1의 합성Synthesis Example 8: Synthesis of compound 3-1
3구 플라스크에 중간체 2-1 (20.2g, 53.3mmol), 중간체 B-1 (23.9 g, 58.6mmol)을 톨루엔 300ml에 녹이고 NaOtBu (소듐 tert-부톡사이드, sodium tert-butoxide) (7.7g, 79.9mmol), Pd(PtBu3)2 (비스(트리-tert-부틸포스핀)팔라듐, bis(tri-tert-butylphosphine)palladium(0)) (0.3g, 0.5mmol)을 넣은 후, 아르곤 분위기 환류 조건하에서 6시간 동안 교반하였다. 반응이 종료되면 상온으로 냉각한 후, 물을 넣고 반응액을 분액 깔대기에 옮겨 추출하였다. 추출액을 MgSO4로 건조, 농축하고 시료를 실리카 겔 컬럼 크로마토그래피로 정제하여 화합물 3-1을 6.0 g 수득하였다. 얻어진 고체의 질량스펙트럼 측정결과, M/Z=751에서 피크가 확인되었다.Dissolve Intermediate 2-1 (20.2 g, 53.3 mmol) and Intermediate B-1 (23.9 g, 58.6 mmol) in 300 ml of toluene in a 3-neck flask, and NaOtBu (sodium tert-butoxide) (7.7 g, 79.9) mmol), Pd(PtBu 3 ) 2 (bis(tri-tert-butylphosphine)palladium, bis(tri-tert-butylphosphine)palladium(0)) (0.3g, 0.5mmol) was added, and argon atmosphere reflux conditions under stirring for 6 hours. Upon completion of the reaction, after cooling to room temperature, water was added, and the reaction solution was transferred to a separatory funnel for extraction. The extract was dried over MgSO4, concentrated, and the sample was purified by silica gel column chromatography to obtain 6.0 g of Compound 3-1. As a result of mass spectrum measurement of the obtained solid, a peak was confirmed at M/Z=751.
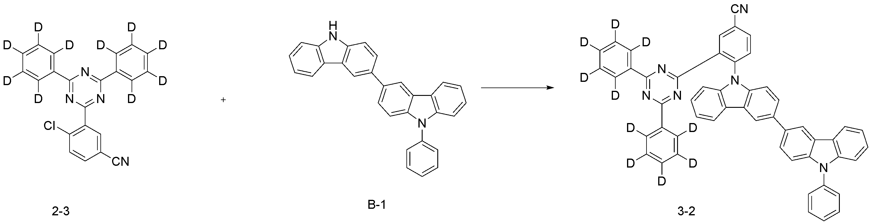
합성예 9: 화합물 3-2의 합성Synthesis Example 9: Synthesis of compound 3-2
3구 플라스크에 중간체 2-2 (18.9g, 53.3mmol), 중간체 B-1 (23.9 g, 58.6mmol)을 톨루엔 300ml에 녹이고 NaOtBu (소듐 tert-부톡사이드, sodium tert-butoxide) (7.7g, 79.9mmol), Pd(PtBu3)2 (비스(트리-tert-부틸포스핀)팔라듐, bis(tri-tert-butylphosphine)palladium(0)) (0.3g, 0.5mmol)을 넣은 후, 아르곤 분위기 환류 조건하에서 6시간 동안 교반하였다. 반응이 종료되면 상온으로 냉각한 후, 물을 넣고 반응액을 분액 깔대기에 옮겨 추출하였다. 추출액을 MgSO4로 건조, 농축하고 시료를 실리카 겔 컬럼 크로마토그래피로 정제하여 화합물 3-2를 5.4g 수득하였다. 얻어진 고체의 질량스펙트럼 측정결과, M/Z=726에서 피크가 확인되었다.In a three-necked flask, dissolve Intermediate 2-2 (18.9 g, 53.3 mmol) and Intermediate B-1 (23.9 g, 58.6 mmol) in 300 ml of toluene, and NaOtBu (sodium tert-butoxide) (7.7 g, 79.9) mmol), Pd(PtBu 3 ) 2 (bis(tri-tert-butylphosphine)palladium, bis(tri-tert-butylphosphine)palladium(0)) (0.3g, 0.5mmol) was added, and argon atmosphere reflux conditions under stirring for 6 hours. Upon completion of the reaction, after cooling to room temperature, water was added, and the reaction solution was transferred to a separatory funnel for extraction. The extract was dried over MgSO4, concentrated, and the sample was purified by silica gel column chromatography to obtain 5.4 g of compound 3-2. As a result of mass spectrum measurement of the obtained solid, a peak was confirmed at M/Z=726.
합성예 10: 화합물 3-3의 합성Synthesis Example 10: Synthesis of compound 3-3
3구 플라스크에 중간체 2-3 (20.2g, 53.3mmol), 중간체 B-1 (23.9, 58.6mmol)을 톨루엔 300ml에 녹이고 NaOtBu (소듐 tert-부톡사이드, sodium tert-butoxide) (7.7g, 79.9mmol), Pd(PtBu3)2 (비스(트리-tert-부틸포스핀)팔라듐, bis(tri-tert-butylphosphine)palladium(0)) (0.3g, 0.5mmol)을 넣은 후, 아르곤 분위기 환류 조건하에서 6시간 동안 교반하였다. 반응이 종료되면 상온으로 냉각한 후, 물을 넣고 반응액을 분액 깔대기에 옮겨 추출하였다. 추출액을 MgSO4로 건조, 농축하고 시료를 실리카 겔 컬럼 크로마토그래피로 정제하여 화합물 3-3을 5.8g 수득하였다. 얻어진 고체의 질량스펙트럼 측정결과, M/Z=751에서 피크가 확인되었다.Dissolve Intermediate 2-3 (20.2g, 53.3mmol) and Intermediate B-1 (23.9, 58.6mmol) in 300ml of toluene in a 3-neck flask, and NaOtBu (sodium tert-butoxide) (7.7g, 79.9mmol) ), Pd(PtBu 3 ) 2 (bis(tri-tert-butylphosphine)palladium, bis(tri-tert-butylphosphine)palladium(0)) (0.3g, 0.5mmol) was added, and then under reflux conditions under argon atmosphere. Stirred for 6 hours. Upon completion of the reaction, after cooling to room temperature, water was added, and the reaction solution was transferred to a separatory funnel for extraction. The extract was dried over MgSO4, concentrated, and the sample was purified by silica gel column chromatography to obtain 5.8 g of compound 3-3. As a result of mass spectrum measurement of the obtained solid, a peak was confirmed at M/Z=751.
합성예 11: 화합물 3-4의 합성Synthesis Example 11: Synthesis of compound 3-4
3구 플라스크에 중간체 2-4 (23.7g, 53.3mmol), 중간체 B-1 (23.9 g, 58.6mmol)을 톨루엔 300ml에 녹이고 NaOtBu (소듐 tert-부톡사이드, sodium tert-butoxide) (7.7g, 79.9mmol), Pd(PtBu3)2 (비스(트리-tert-부틸포스핀)팔라듐, bis(tri-tert-butylphosphine)palladium(0)) (0.3g, 0.5mmol)을 넣은 후, 아르곤 분위기 환류 조건하에서 6시간 동안 교반하였다. 반응이 종료되면 상온으로 냉각한 후, 물을 넣고 반응액을 분액 깔대기에 옮겨 추출하였다. 추출액을 MgSO4로 건조, 농축하고 시료를 실리카 겔 컬럼 크로마토그래피로 정제하여 화합물 3-4 3.8 g을 수득하였다. 얻어진 고체의 질량스펙트럼 측정결과, M/Z=816에서 피크가 확인되었다.In a 3-neck flask, dissolve Intermediate 2-4 (23.7 g, 53.3 mmol) and Intermediate B-1 (23.9 g, 58.6 mmol) in 300 ml of toluene, and NaOtBu (sodium tert-butoxide) (7.7 g, 79.9) mmol), Pd(PtBu 3 ) 2 (bis(tri-tert-butylphosphine)palladium, bis(tri-tert-butylphosphine)palladium(0)) (0.3g, 0.5mmol) was added, and argon atmosphere reflux conditions under stirring for 6 hours. Upon completion of the reaction, after cooling to room temperature, water was added, and the reaction solution was transferred to a separatory funnel for extraction. The extract was dried over MgSO4, concentrated, and the sample was purified by silica gel column chromatography to obtain 3.8 g of Compound 3-4. As a result of mass spectrum measurement of the obtained solid, a peak was confirmed at M/Z=816.
합성예 12: 화합물 3-5의 합성Synthesis Example 12: Synthesis of compound 3-5
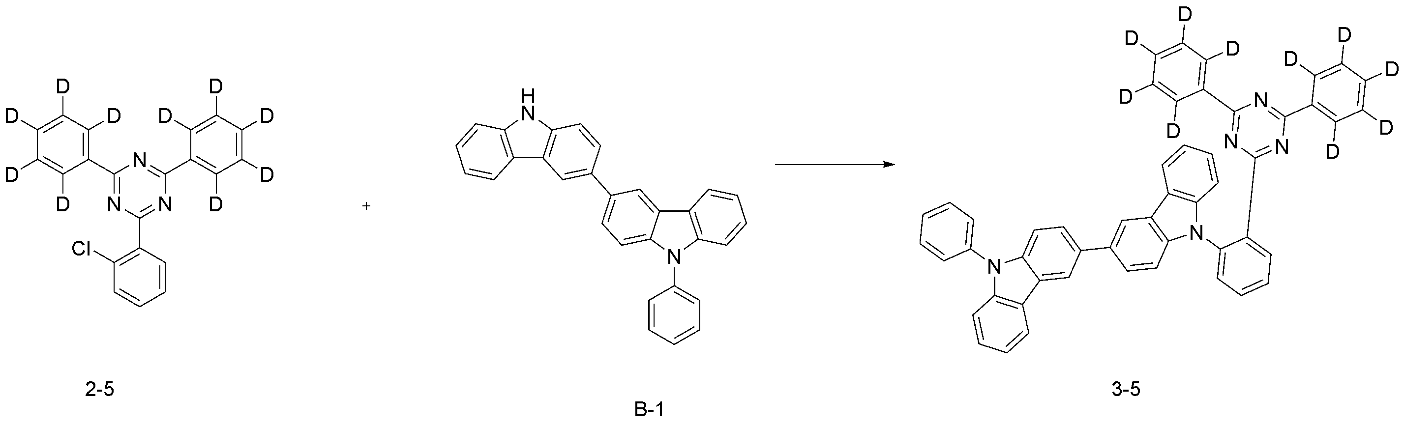
3구 플라스크에 중간체 2-5 (18.9g, 53.3mmol), 중간체 B-1 (23.9, 58.6mmol)을 톨루엔 300ml에 녹이고 NaOtBu (소듐 tert-부톡사이드, sodium tert-butoxide) (7.7g, 79.9mmol), Pd(PtBu3)2 (비스(트리-tert-부틸포스핀)팔라듐, bis(tri-tert-butylphosphine)palladium(0)) (0.3g, 0.5mmol)을 넣은 후, 아르곤 분위기 환류 조건하에서 6시간 동안 교반하였다. 반응이 종료되면 상온으로 냉각한 후, 물을 넣고 반응액을 분액 깔대기에 옮겨 추출하였다. 추출액을 MgSO4로 건조, 농축하고 시료를 실리카 겔 컬럼 크로마토그래피로 정제하여 화합물 3-5 4.0 g을 수득하였다. 얻어진 고체의 질량스펙트럼 측정결과, M/Z=726에서 피크가 확인되었다.In a 3-neck flask, dissolve Intermediate 2-5 (18.9 g, 53.3 mmol) and Intermediate B-1 (23.9, 58.6 mmol) in 300 ml of toluene, and NaOtBu (sodium tert-butoxide) (7.7 g, 79.9 mmol) ), Pd(PtBu 3 ) 2 (bis(tri-tert-butylphosphine)palladium, bis(tri-tert-butylphosphine)palladium(0)) (0.3g, 0.5mmol) was added, and then under reflux conditions under argon atmosphere. Stirred for 6 hours. Upon completion of the reaction, after cooling to room temperature, water was added, and the reaction solution was transferred to a separatory funnel for extraction. The extract was dried over MgSO4, concentrated, and the sample was purified by silica gel column chromatography to obtain 4.0 g of compound 3-5. As a result of mass spectrum measurement of the obtained solid, a peak was confirmed at M/Z=726.
<실험예><Experimental example>
실시예 1Example 1
ITO(indium tin oxide)가 1300Å의 두께로 박막 코팅된 유리 기판을 세제를 녹인 증류수에 넣고 초음파로 세척하였다. 이 때, 세제로는 피셔사(Fischer Co.) 제품을 사용하였으며, 증류수로는 밀리포어사(Millipore Co.) 제품의 필터(Filter)로 2차로 걸러진 증류수를 사용하였다. ITO를 30분간 세척한 후 증류수로 2회 반복하여 초음파 세척을 10분간 진행하였다. 증류수 세척이 끝난 후, 이소프로필알콜, 아세톤, 메탄올의 용제로 초음파 세척을 하고 건조시킨 후 플라즈마 세정기로 수송시켰다. 또한, 산소 플라즈마를 이용하여 상기 기판을 5분간 세정한 후 진공 증착기로 기판을 수송시켰다.A glass substrate coated with indium tin oxide (ITO) to a thickness of 1300 Å was placed in distilled water in which detergent was dissolved and washed with ultrasonic waves. At this time, a product manufactured by Fischer Co. was used as the detergent, and distilled water that was secondarily filtered with a filter manufactured by Millipore Co. was used as the distilled water. After washing ITO for 30 minutes, ultrasonic cleaning was performed for 10 minutes by repeating twice with distilled water. After washing with distilled water, ultrasonic washing was performed with a solvent of isopropyl alcohol, acetone, and methanol, dried, and then transported to a plasma cleaner. In addition, after cleaning the substrate for 5 minutes using oxygen plasma, the substrate was transported to a vacuum evaporator.
이렇게 준비된 ITO 투명 전극 위에 하기 화합물 HAT를 50Å의 두께로 열 진공 증착하여 정공주입층을 형성하였다. 그 위에 제1 정공수송층으로 하기 화합물 HT-A 150Å을 진공 증착하고, 연이어 제2 정공수송층으로 하기 화합물 HT-B 100Å을 증착하였다. 호스트인 T-Host와 도펀트인 화합물 3-1를 45 : 55의 중량비로 진공 증착하여 400Å 두께의 발광층을 형성하였다. On the thus prepared ITO transparent electrode, the following compound HAT was thermally vacuum deposited to a thickness of 50 Å to form a hole injection layer. On it, the following compound HT-A 150 Å was vacuum-deposited as a first hole transport layer, and subsequently, the following compound HT-B 100 Å was deposited as a second hole transport layer. T-Host as a host and compound 3-1 as a dopant were vacuum-deposited at a weight ratio of 45:55 to form an emission layer with a thickness of 400 Å.
그 다음에 전자 주입 및 전자 수송을 동시에 하는 층으로 하기 화합물 ET-A를 350Å을 증착하였고, 이 위에 순차적으로 10Å 두께로 리튬 플루라이드(LiF)와 1,000Å 두께로 알루미늄을 증착하여 음극을 형성하여, 유기 발광 소자를 제조하였다.Then, 350 Å of the following compound ET-A was deposited as a layer that simultaneously injects and transports electrons, and lithium fluoride (LiF) and aluminum were deposited to a thickness of 1,000 Å to a thickness of 10 Å on this sequentially to form a cathode. , an organic light emitting device was manufactured.
상기의 과정에서 유기물의 증착속도는 0.4 ~ 2.0 Å/sec를 유지하였고, 음극의 리튬플루오라이드는 1.0 Å/sec, 알루미늄은 1.5 Å/sec의 증착 속도를 유지하였으며, 증착시 진공도는 1 × 10-7 내지 5 × 10-8 torr를 유지하여, 유기 발광 소자를 제작하였다.In the above process, the deposition rate of the organic material was maintained at 0.4 ~ 2.0 Å/sec, the deposition rate of lithium fluoride of the negative electrode was maintained at 1.0 Å/sec, and the deposition rate of aluminum was maintained at 1.5 Å/sec, and the vacuum degree during deposition was 1 × 10 By maintaining -7 to 5 × 10 -8 torr, an organic light emitting diode was manufactured.
실시예 2 내지 5Examples 2 to 5
상기 실시예 1에서 발광층 물질로 하기 표 1에 기재된 도펀트 화합물을 사용한 것을 제외하고는 실시예 1과 동일한 방법으로 유기 발광 소자를 제조했다.An organic light emitting diode was manufactured in the same manner as in Example 1, except that the dopant compounds shown in Table 1 were used as the light emitting layer material in Example 1.
비교예 1 내지 5Comparative Examples 1 to 5
상기 실시예 1에서 발광층 물질로 하기 표 1에 기재된 도펀트 화합물을 사용한 것을 제외하고는 실시예 1과 동일한 방법으로 유기 발광 소자를 제조했다. An organic light emitting diode was manufactured in the same manner as in Example 1, except that the dopant compounds shown in Table 1 were used as the light emitting layer material in Example 1.
상기 실시예 1 내지 5 및 비교예 1 내지 5에 의해 제작된 유기 발광 소자를 10 mA/cm2의 전류밀도에서 구동 전압 및 효율을, 또한 초기 휘도 대비 95%가 되는 시간(T95)을 측정하였다. 그 결과를 하기 표 1에 나타내었다.The organic light emitting diodes manufactured by Examples 1 to 5 and Comparative Examples 1 to 5 were subjected to a driving voltage and efficiency at a current density of 10 mA/cm 2 , and also The time (T95) at which it becomes 95% of the initial luminance was measured. The results are shown in Table 1 below.
(발광층)dopant
(light emitting layer)
(V)drive voltage
(V)
(Cd/A)Luminous Efficiency
(Cd/A)
(시간)Lifetime, T95
(time)
상기 표 1에서 보는 바와 같이, 화학식 1의 구조를 갖는 화합물을 사용한 실시예 1 내지 5의 소자는 비교예 1 내지 5의 소자보다 장수명의 특성을 가진다.As shown in Table 1, the devices of Examples 1 to 5 using the compound having the structure of
1: 기판 2: 양극
3: 발광층 4: 음극
5: 정공주입층 6: 정공수송층
7: 발광층 8: 정공저지층
9: 전자수송층1: Substrate 2: Anode
3: light emitting layer 4: cathode
5: hole injection layer 6: hole transport layer
7: light emitting layer 8: hole blocking layer
9: electron transport layer
Claims (8)
[화학식 1]
상기 화학식 1에서,
R1은 중수소이고,
n1 및 n2는 각각 독립적으로 0 내지 5의 정수이되, n1+n2는 3 내지 10의 정수이고,
L은 이고,
상기에서,
X1은 O 또는 S이고,
R2은 각각 독립적으로 수소 또는 시아노이고,
R은 이고,
상기에서,
X2는 N-(Ar2), O, 또는 S이고,
Ar2은 치환 또는 비치환된 C6-60 아릴이다.
A compound represented by the following formula (1):
[Formula 1]
In Formula 1,
R 1 is deuterium,
n1 and n2 are each independently an integer of 0 to 5, n1+n2 is an integer of 3 to 10,
L is ego,
above,
X 1 is O or S,
R 2 are each independently hydrogen or cyano;
R is ego,
above,
X 2 is N-(Ar 2 ), O, or S,
Ar 2 is substituted or unsubstituted C 6-60 aryl.
n1+n2는 10인,
화합물.
According to claim 1,
n1+n2 is 10,
compound.
L은 하기 중 어느 하나인,
화합물:
.
According to claim 1,
L is any one of the following,
compound:
.
R은 인,
화합물.
According to claim 1,
R is sign,
compound.
Ar2는 페닐인,
화합물.
According to claim 1,
Ar 2 is phenyl,
compound.
상기 화학식 1로 표시되는 화합물은 하기로 구성되는 군으로부터 선택되는 어느 하나인,
화합물:
.
According to claim 1,
The compound represented by Formula 1 is any one selected from the group consisting of
compound:
.
Priority Applications (2)
| Application Number | Priority Date | Filing Date | Title |
|---|---|---|---|
| CN201980064471.XA CN112789272B (en) | 2019-02-28 | 2019-12-19 | Compound and organic light emitting device comprising the same |
| PCT/KR2019/018125 WO2020175779A1 (en) | 2019-02-28 | 2019-12-19 | Novel compound and organic light emitting device using same |
Applications Claiming Priority (2)
| Application Number | Priority Date | Filing Date | Title |
|---|---|---|---|
| KR20190024299 | 2019-02-28 | ||
| KR1020190024299 | 2019-02-28 |
Publications (2)
| Publication Number | Publication Date |
|---|---|
| KR20200105388A KR20200105388A (en) | 2020-09-07 |
| KR102288990B1 true KR102288990B1 (en) | 2021-08-11 |
Family
ID=72472282
Family Applications (1)
| Application Number | Title | Priority Date | Filing Date |
|---|---|---|---|
| KR1020190169122A Active KR102288990B1 (en) | 2019-02-28 | 2019-12-17 | Novel compound and organic light emitting device comprising the same |
Country Status (2)
| Country | Link |
|---|---|
| KR (1) | KR102288990B1 (en) |
| CN (1) | CN112789272B (en) |
Families Citing this family (2)
| Publication number | Priority date | Publication date | Assignee | Title |
|---|---|---|---|---|
| KR20210066708A (en) * | 2019-11-28 | 2021-06-07 | 엘지디스플레이 주식회사 | Organic compound, organic light emitting diode and organic light emitting device including the compound |
| US11655219B2 (en) | 2019-11-28 | 2023-05-23 | Lg Display Co., Ltd. | Organic compound, organic light emitting diode and organic light emitting device including the compound |
Family Cites Families (7)
| Publication number | Priority date | Publication date | Assignee | Title |
|---|---|---|---|---|
| KR100430549B1 (en) | 1999-01-27 | 2004-05-10 | 주식회사 엘지화학 | New organomattalic complex molecule for the fabrication of organic light emitting diodes |
| KR101801048B1 (en) * | 2009-06-08 | 2017-11-28 | 에스에프씨 주식회사 | Indolocarbazole derivatives and organoelectroluminescent device using the same |
| KR102298015B1 (en) * | 2014-10-07 | 2021-09-03 | 덕산네오룩스 주식회사 | Compound for organic electronic element, organic electronic element using the same, and an electronic device thereof |
| KR101805686B1 (en) * | 2015-07-27 | 2017-12-07 | 희성소재(주) | Hetero-cyclic compound and organic light emitting device using the same |
| KR102532601B1 (en) * | 2016-12-14 | 2023-05-16 | 삼성전자주식회사 | Organic light emitting device and compound |
| KR101915716B1 (en) * | 2016-12-20 | 2018-11-08 | 희성소재 (주) | Organic light emitting device and composition for organic layer of organic light emitting device |
| WO2020085842A1 (en) * | 2018-10-26 | 2020-04-30 | 주식회사 엘지화학 | Deuterium-containing compound, and organic light-emitting device comprising same |
-
2019
- 2019-12-17 KR KR1020190169122A patent/KR102288990B1/en active Active
- 2019-12-19 CN CN201980064471.XA patent/CN112789272B/en active Active
Also Published As
| Publication number | Publication date |
|---|---|
| CN112789272B (en) | 2023-09-26 |
| KR20200105388A (en) | 2020-09-07 |
| CN112789272A (en) | 2021-05-11 |
Similar Documents
| Publication | Publication Date | Title |
|---|---|---|
| KR102331904B1 (en) | Novel compound and organic light emitting device comprising the same | |
| KR101961334B1 (en) | Novel hetero-cyclic compound and organic light emitting device comprising the same | |
| KR102080289B1 (en) | Novel hetero-cyclic compound and organic light emitting device comprising the same | |
| KR102447007B1 (en) | Novel compound and organic light emitting device comprising same | |
| KR102020029B1 (en) | Novel hetero-cyclic compound and organic light emitting device comprising the same | |
| KR102392663B1 (en) | Novel compound and organic light emitting device comprising the same | |
| KR20200026080A (en) | Novel compound and organic light emitting device comprising the same | |
| KR102064415B1 (en) | Novel hetero-cyclic compound and organic light emitting device comprising the same | |
| KR20240094080A (en) | Novel compound and organic light emitting device comprising the same | |
| KR102465732B1 (en) | Novel compound and organic light emitting device comprising the same | |
| KR102523030B1 (en) | Novel hetero-cyclic compound and organic light emitting device comprising the same | |
| KR102032954B1 (en) | Novel hetero-cyclic compound and organic light emitting device comprising the same | |
| KR102500849B1 (en) | Novel compound and organic light emitting device comprising the same | |
| KR102336599B1 (en) | Novel compound and organic light emitting device comprising the same | |
| KR102362847B1 (en) | Novel compound and organic light emitting device comprising the same | |
| KR20210123664A (en) | Novel compound and organic light emitting device comprising the same | |
| KR102064413B1 (en) | Novel hetero-cyclic compound and organic light emitting device comprising the same | |
| KR102693460B1 (en) | Novel compound and organic light emitting device comprising the same | |
| KR102288990B1 (en) | Novel compound and organic light emitting device comprising the same | |
| KR102441471B1 (en) | Novel compound and organic light emitting device using same | |
| KR20210069427A (en) | Novel compound and organic light emitting device comprising the same | |
| KR20240122330A (en) | Novel compound and organic light emitting device comprising the same | |
| KR102459859B1 (en) | Novel hetero-cyclic compound and organic light emitting device comprising the same | |
| KR102356633B1 (en) | Novel compound and organic light emitting device comprising the same | |
| KR102279420B1 (en) | Novel compound and organic light emitting device comprising the same |
Legal Events
| Date | Code | Title | Description |
|---|---|---|---|
| PA0109 | Patent application |
Patent event code: PA01091R01D Comment text: Patent Application Patent event date: 20191217 |
|
| PA0201 | Request for examination | ||
| PG1501 | Laying open of application | ||
| E902 | Notification of reason for refusal | ||
| PE0902 | Notice of grounds for rejection |
Comment text: Notification of reason for refusal Patent event date: 20210219 Patent event code: PE09021S01D |
|
| E701 | Decision to grant or registration of patent right | ||
| PE0701 | Decision of registration |
Patent event code: PE07011S01D Comment text: Decision to Grant Registration Patent event date: 20210629 |
|
| GRNT | Written decision to grant | ||
| PR0701 | Registration of establishment |
Comment text: Registration of Establishment Patent event date: 20210805 Patent event code: PR07011E01D |
|
| PR1002 | Payment of registration fee |
Payment date: 20210805 End annual number: 3 Start annual number: 1 |
|
| PG1601 | Publication of registration | ||
| PR1001 | Payment of annual fee |
Payment date: 20250623 Start annual number: 5 End annual number: 5 |




















































