KR102179791B1 - Apparatus and method for adjusting duty cycle for coexistence of heterogeneous networks and recording medium for performing the method - Google Patents
Apparatus and method for adjusting duty cycle for coexistence of heterogeneous networks and recording medium for performing the method Download PDFInfo
- Publication number
- KR102179791B1 KR102179791B1 KR1020190056409A KR20190056409A KR102179791B1 KR 102179791 B1 KR102179791 B1 KR 102179791B1 KR 1020190056409 A KR1020190056409 A KR 1020190056409A KR 20190056409 A KR20190056409 A KR 20190056409A KR 102179791 B1 KR102179791 B1 KR 102179791B1
- Authority
- KR
- South Korea
- Prior art keywords
- cycle
- duty cycle
- value
- throughput
- coexistence
- Prior art date
- Legal status (The legal status is an assumption and is not a legal conclusion. Google has not performed a legal analysis and makes no representation as to the accuracy of the status listed.)
- Active
Links
Images
Classifications
-
- H—ELECTRICITY
- H04—ELECTRIC COMMUNICATION TECHNIQUE
- H04W—WIRELESS COMMUNICATION NETWORKS
- H04W16/00—Network planning, e.g. coverage or traffic planning tools; Network deployment, e.g. resource partitioning or cells structures
- H04W16/14—Spectrum sharing arrangements between different networks
-
- G—PHYSICS
- G06—COMPUTING OR CALCULATING; COUNTING
- G06N—COMPUTING ARRANGEMENTS BASED ON SPECIFIC COMPUTATIONAL MODELS
- G06N20/00—Machine learning
-
- H—ELECTRICITY
- H04—ELECTRIC COMMUNICATION TECHNIQUE
- H04W—WIRELESS COMMUNICATION NETWORKS
- H04W72/00—Local resource management
- H04W72/12—Wireless traffic scheduling
- H04W72/1215—Wireless traffic scheduling for collaboration of different radio technologies
Landscapes
- Engineering & Computer Science (AREA)
- Software Systems (AREA)
- Signal Processing (AREA)
- Computer Networks & Wireless Communication (AREA)
- Theoretical Computer Science (AREA)
- Evolutionary Computation (AREA)
- Medical Informatics (AREA)
- Physics & Mathematics (AREA)
- Computing Systems (AREA)
- General Engineering & Computer Science (AREA)
- General Physics & Mathematics (AREA)
- Mathematical Physics (AREA)
- Data Mining & Analysis (AREA)
- Computer Vision & Pattern Recognition (AREA)
- Artificial Intelligence (AREA)
- Mobile Radio Communication Systems (AREA)
Abstract
Description
본 발명은 이종 네트워크의 공존을 위한 듀티 사이클 조정 장치 및 방법, 그 방법을 수행하기 위한 기록 매체에 관한 것으로, 더욱 상세하게는 비면허 대역에서 중복되는 주파수 대역을 가지는 LTE-U와 WBAN가 공존할 수 있도록 듀티 사이클을 조정하는 장치 및 방법, 그 방법을 수행하기 위한 기록 매체에 관한 것이다.The present invention relates to a duty cycle adjustment apparatus and method for coexistence of heterogeneous networks, and to a recording medium for performing the method, and more particularly, LTE-U and WBAN having overlapping frequency bands in an unlicensed band can coexist. The present invention relates to an apparatus and method for adjusting the duty cycle so as to be possible, and a recording medium for performing the method.
이 부분에 기술된 내용은 단순히 본 실시예에 대한 배경 정보를 제공할 뿐 종래기술을 구성하는 것은 아니다.The content described in this section merely provides background information on the present embodiment and does not constitute the prior art.
원격 무선 헬스 케어 시스템은 병원에 내원하는 환자의 수를 줄여서 의사를 비롯한 병원에게 부담을 줄여 줄 수 있는 시스템이다.The remote wireless healthcare system is a system that can reduce the burden on hospitals including doctors by reducing the number of patients visiting the hospital.
무선 통신 기술의 발전으로 헬스 케어 시스템은 정확하고 비침습적인 방법으로도 생체 신호를 포함한 의료 정보를 수집, 관리 및 전송할 수 있게 되었다.With the advancement of wireless communication technology, healthcare systems are able to collect, manage, and transmit medical information, including biometric signals, even in an accurate and non-invasive way.
헬스 케어 관리 시스템은 생체 데이터를 수집하는 초 저전력 센서 노드(sensor node)와 의료 인력에게 중요한 신호를 적시에 전달할 수 있는 에지 노드(edge node)를 기반으로 하며, 일반적인 모바일 헬스 케어 시스템은 2홉 통신으로 구성된다.The healthcare management system is based on an ultra-low-power sensor node that collects biometric data and an edge node that can transmit important signals to medical personnel in a timely manner, and a general mobile healthcare system uses two-hop communication. Consists of
제 1 홉 통신은 즉 WBAN(Wireless Body Area Network)으로 센서 노드(sensor node)와 에지 노드(edge node) 사이의 링크를 구성한다. The first hop communication is a wireless body area network (WBAN), which forms a link between a sensor node and an edge node.
이 때, 지그비(ZigBee)는 낮은 데이터 속도와 긴 배터리 수명을 가지기 때문에 WBAN에서 널리 사용되다. At this time, ZigBee is widely used in WBAN because of its low data rate and long battery life.
제 2 홉 통신은 추가적인 처리 및 원격 모니터링을 위해 WLAN(Wireless Local Area Network)와 같은 통신 방식을 통해 에지 노드(edge node)와 인터넷 시스템 사이의 통신을 구성한다.The second hop communication configures communication between an edge node and an Internet system through a communication method such as a wireless local area network (WLAN) for additional processing and remote monitoring.
제 2 홉 통신의 주안점은 메시지를 적시에 전달하고, 의료 통신에 필요한 서비스 품질(QoS, Quality of Service)을 보장하는 것이다.The main point of second hop communication is to deliver messages in a timely manner and to ensure quality of service (QoS) required for medical communication.
WBAN의 주파수 대역과 WLAN의 주파수 대역은 동일한 2.4 GHz ISM 대역(ISM Band, Industrial Science and Medical)을 사용하기 때문에 충돌이 발생한다.A collision occurs because the frequency band of WBAN and the frequency band of WLAN use the same 2.4 GHz ISM band (ISM Band, Industrial Science and Medical).
WLAN 기술인 Wi-Fi의 전송 전력은 WBAN 기술인 지그비(ZigBee)보다 5 ~ 20dB 정도 강하기 때문에 WBAN 전송은 에너지 탐지(ED, energy detection) 임계 값에 미치지 못한다. 이에 따라 오류를 감지하게 되고, WLAN은 WBAN 프리 채널을 항상 검색하고, WBAN의 전송을 방해한다. Since the transmission power of Wi-Fi, a WLAN technology, is about 5 to 20 dB stronger than that of ZigBee, a WBAN technology, WBAN transmission does not reach the energy detection (ED) threshold. Accordingly, an error is detected, and the WLAN always searches for a WBAN free channel and interferes with the transmission of WBAN.
이 외에도 맥 계층 시간 슬롯(MAC layer time slot)은 WLAN의 경우 9 ㎲ 또는 20 ㎲이며 WBAN의 경우 320 ㎲이다. WLAN은 WBAN보다 슬롯 시간이 더 짧기 때문에 WBAN 전송보다 빠른 채널 액세스를 생성한다. In addition, the MAC layer time slot is 9 µs or 20 µs for WLAN and 320 µs for WBAN. Because WLAN has a shorter slot time than WBAN, it creates faster channel access than WBAN transmission.
따라서 WLAN과 WBAN이 공존하면, WBAN이 에지 노드(edge node)에 신호를 안정적으로 전달하는 것을 보장하기는 어렵다. Therefore, when WLAN and WBAN coexist, it is difficult to ensure that the WBAN stably transmits a signal to an edge node.
또한, WBAN 및 WLAN은 독립적인 기술로 상호 간에 제어 메시지를 교환할 수 없기 때문에 충돌을 피하기 위해 서로의 전송을 고려하여 전송을 스케쥴링할 수 없다. 따라서 WLAN 네트워크의 물리적 매개 변수가 WBAN의 성능에 크게 영향을 미침을 알 수 있습니다.In addition, since WBAN and WLAN are independent technologies and cannot exchange control messages with each other, transmission cannot be scheduled in consideration of each other's transmission to avoid collision. Therefore, it can be seen that the physical parameters of the WLAN network greatly affect the performance of WBAN.
WLAN은 헬스 케어 시스템에서 데이터 통신을 위한 공존 기술로 사용할 수 없지만, LTE-U 기술과 같은 "WLAN Like" 통신을 사용하여 제 2 홉 통신을 수행할 수 있다.WLAN cannot be used as a coexistence technology for data communication in a healthcare system, but may perform second hop communication using "WLAN Like" communication such as LTE-U technology.
LTE(Long-Term Evolution) 또는 단순히 LTE는 HSDPA(High Speed Downlink Packet Access)보다 한층 진화된 휴대전화 고속 무선 데이터 통신규격이다. HSDPA의 진화된 규격인 HSPA+(Evolved High Speed Packet Access)와 함께 3.9세대 무선통신규격으로 불린다.LTE (Long-Term Evolution) or simply LTE is a high-speed wireless data communication standard for mobile phones that is more advanced than High Speed Downlink Packet Access (HSDPA). It is called the 3.9th generation wireless communication standard along with HSPA+ (Evolved High Speed Packet Access), an evolved standard of HSDPA.
LTE는 크게 비용을 지불하고 주파수 내역을 확보한 면허 대역(Licensed Spectrum)과 비용을 지불하지 않고도 사용할 수 있는 비면허 대역(Unlicensed Spectrum)으로 나뉜다.LTE is largely divided into a licensed spectrum that pays a fee and secures frequency details, and an unlicensed spectrum that can be used without paying a fee.
LTE-U는 비면허 대역인 5㎓ 주파수 대역을 사용하는 LTE 통신 기술이며, 최근 들어 스마트폰의 사용자가 급격하게 많아지면서 트래픽(traffic)의 감당이 점점 더 어려워지는데, 급증하는 모바일 트래픽(mobile traffic)을 수용하기 위해 Wi-Fi 통신을 활용하여 저렴한 비용으로 LTE 무선데이터 트래픽 분산을 통해 통신망의 난제를 손쉽게 해결하기 위한 기술이다.LTE-U is an LTE communication technology that uses the 5 GHz frequency band, which is an unlicensed band, and as the number of users of smartphones rapidly increases in recent years, it becomes more and more difficult to handle traffic, which is rapidly increasing mobile traffic. It is a technology to easily solve the difficulties of the communication network by distributing LTE wireless data traffic at low cost by utilizing Wi-Fi communication to accommodate the network.
LTE-U가 사용하는 무선 주파수 대역과 WBAN에서 사용되는 일부 기술의 주파수 대역은 동일한 주파수 대역을 사용하기 때문에 LTE-U가 작동하는 경우 WBAN의 성능이 저하되는 문제가 있다.Since the radio frequency band used by LTE-U and the frequency band of some technologies used in WBAN use the same frequency band, there is a problem that the performance of WBAN is deteriorated when LTE-U is operated.
이에 따라 LTE-U와 WBAN이 동일한 주파수 대역을 사용하면서도 데이터를 전송할 수 있는 방법에 대한 필요성이 제기되고 있다.Accordingly, there is a need for a method in which LTE-U and WBAN can transmit data while using the same frequency band.
본 발명의 일 측면은 비면허 대역에서 중복되는 주파수 대역을 사용하는 LTE-U와 WBAN의 듀티 사이클을 머신 러닝을 이용하여 최적의 데이터 처리가 가능한 듀티 사이클로 조정하는 이종 네트워크의 공존을 위한 듀티 사이클 조정 장치 및 방법 및 그 방법을 수행하기 위한 기록 매체를 제공한다.An aspect of the present invention is a duty cycle adjustment device for coexistence of heterogeneous networks that adjusts the duty cycle of LTE-U and WBAN using overlapping frequency bands in an unlicensed band to a duty cycle capable of optimal data processing using machine learning. And a method and a recording medium for performing the method.
본 발명의 기술적 과제는 이상에서 언급한 기술적 과제로 제한되지 않으며, 언급되지 않은 또 다른 기술적 과제들은 아래의 기재로부터 당업자에게 명확하게 이해될 수 있을 것이다.The technical problem of the present invention is not limited to the technical problem mentioned above, and other technical problems that are not mentioned will be clearly understood by those skilled in the art from the following description.
본 발명의 일 실시예에 따른 적어도 하나 이상의 센서 장치, 적어도 하나 이상의 중계 서버 및 듀티 사이클 조정 장치에 의해 수행되는 이종 네트워크의 공존을 위한 듀티 사이클 조정 방법에 있어서, 듀티 사이클 조정 장치는 미리 정해진 Q값에 따라 듀티 사이클을 구성하는 제 1 사이클과 제 2 사이클의 할당 비율을 결정하는 단계; 상기 듀티 사이클 조정 장치는 상기 제 1 사이클이 진행되는 동안 상기 센서 장치 측으로부터 센서 장치에 의해 생성된 원시 데이터를 수신하는 단계; 듀티 사이클 조정 장치는 원시 데이터를 가공하여 정제 데이터를 생성하는 단계; 듀티 사이클 조정 장치는 제 2 사이클이 진행되는 동안 중계 서버 측으로 정제 데이터를 송신하는 단계; 및 듀티 사이클 조정 장치는 제 1 사이클이 진행되는 동안 수신한 원시 데이터의 양인 제 1 처리량과 제 2 사이클이 진행되는 동안 송신한 정제 데이터의 양인 제 2 처리량에 따라 공정성 지수를 산출하고, Q값을 학습하여 할당 비율을 조정하는 학습 단계;를 포함할 수 있다.In the duty cycle adjustment method for coexistence of heterogeneous networks performed by at least one sensor device, at least one relay server, and a duty cycle adjusting device according to an embodiment of the present invention, the duty cycle adjusting device includes a predetermined Q value Determining an allocation ratio of the first cycle and the second cycle constituting the duty cycle according to the method; The duty cycle adjusting device receiving raw data generated by the sensor device from the sensor device side during the first cycle; The duty cycle adjustment apparatus comprises the steps of processing raw data to generate refined data; The duty cycle adjustment apparatus includes: transmitting the refined data to the relay server during the second cycle; And the duty cycle adjusting apparatus calculates a fairness index according to a first throughput, which is an amount of raw data received during the first cycle, and a second throughput, which is an amount of refined data transmitted during the second cycle, and calculates a Q value. It may include; learning step of adjusting the allocation ratio by learning.
일 실시예에서, 제 1 사이클의 비율은 0.2, 0.4, 0.6 및 0.8 중 어느 하나이고, 제 2 사이클의 비율은 1에서 제 1 사이클의 비율을 차감한 값을 가질 수 있다.In one embodiment, the ratio of the first cycle may be any one of 0.2, 0.4, 0.6, and 0.8, and the ratio of the second cycle may have a value obtained by subtracting the ratio of the first cycle from 1.
일 실시예에서, 할당 비율을 결정하는 단계는, 임의의 값을 생성하는 단계; 및 임의의 값과 미리 정해진 확률값을 비교하여 탐험(explore)과 활용(exploit) 중 어느 하나를 선택하는 단계;를 포함할 수 있다.In one embodiment, determining the allocation ratio comprises: generating a random value; And comparing an arbitrary value with a predetermined probability value to select one of an exploration and an exploration.
일 실시예에서, 탐험(explore)과 활용(exploit) 중 어느 하나를 선택하는 단계는, 임의의 값이 확률값보다 크면 탐험(explore)을 선택하고, 제 1 사이클과 제 2 사이클의 비율을 임의로 결정하고, 임의의 값이 확률값보다 작으면 활용(exploit)을 선택하고, 제 1 사이클과 제 2 사이클의 비율을 미리 정해진 비율에 따라 결정할 수 있다.In one embodiment, the step of selecting any one of exploration and exploration includes selecting an exploration if a random value is greater than a probability value, and arbitrarily determining the ratio of the first cycle and the second cycle. And, if the arbitrary value is less than the probability value, an expoit may be selected, and a ratio of the first cycle and the second cycle may be determined according to a predetermined ratio.
일 실시예에서, 제 1 네트워크는, WBAN(Wireless Body Area Network)일 수 있다.In one embodiment, the first network may be a Wireless Body Area Network (WBAN).
일 실시예에서, 제 2 네트워크는, 비면허 대역을 사용하는 LTE-U(Long Term Evolution Unlicensed)일 수 있다.In an embodiment, the second network may be Long Term Evolution Unlicensed (LTE-U) using an unlicensed band.
일 실시예에서, 공정성 지수는, 제 1 처리량과 제 2 처리량을 합한 값을 제곱한 값과 비례하고, 동안 제 1 처리량의 제곱 값과 제 2 처리량의 제곱 값을 합한 값과 반비례할 수 있다.In one embodiment, the fairness index may be proportional to a value obtained by a squared value of the sum of the first throughput and the second throughput, and may be inversely proportional to the sum of the squared value of the first throughput and the squared value of the second throughput.
일 실시예에서, 할당 비율을 조정하는 단계는, 공정성 지수에 따라 상기 공정성 지수에 따라 제 1 공정도, 제 2 공정도, 제 3 공정도 및 제 4 공정도 중 어느 하나의 상태로 평가하는 단계; 공정성 지수 및 상태에 따라 Q값을 학습하는 단계; 및 Q값이 미리 정해진 기준값을 비교하여 제 1 사이클과 제 2 사이클의 비율의 조정 여부를 판단하는 단계; 및 면허 대역을 이용하여 중계 서버 측으로 조정된 할당 비율을 송신하는 단계;를 포함할 수 있다.In one embodiment, the step of adjusting the allocation ratio comprises: evaluating in one of the first process chart, the second process chart, the third process chart, and the fourth process chart according to the fairness index according to the fairness index. ; Learning a Q value according to a fairness index and a state; And determining whether to adjust the ratio of the first cycle and the second cycle by comparing a reference value whose Q value is predetermined. And transmitting the adjusted allocation ratio to the relay server using the licensed band.
일 실시예에서, 비율의 조정 여부를 판단하는 단계는, Q값이 미리 정해진 기준값보다 큰 경우에는 제 1 사이클과 제 2 사이클의 비율을 조정하고, Q값이 미리 정해진 기준값보다 작은 경우에는 제 1 사이클과 제 2 사이클의 비율을 유지할 수 있다.In one embodiment, determining whether to adjust the ratio comprises adjusting the ratio of the first cycle and the second cycle when the Q value is greater than a predetermined reference value, and the first cycle when the Q value is smaller than the predetermined reference value. The ratio of the cycle and the second cycle can be maintained.
본 발명의 일 실시예에 따른 컴퓨터로 판독 가능한 기록 매체에는 이종 네트워크의 공존을 위한 듀티 사이클 조정 방법을 수행하기 위한 컴퓨터 프로그램이 기록되어 있다.A computer program for performing a duty cycle adjustment method for coexistence of heterogeneous networks is recorded in a computer-readable recording medium according to an embodiment of the present invention.
본 발명의 일 실시예에 따른 적어도 하나 이상의 센서 장치와 제 1 네트워크로 연결되고, 적어도 하나 이상의 중계 서버와 제 2 네트워크로 연결되는 이종 네트워크의 공존을 위한 듀티 사이클 조정 장치에 있어서, 미리 정해진 Q값에 따라 듀티 사이클을 구성하는 제 1 사이클과 제 2 사이클의 할당 비율을 결정하는 결정부; 제 1 사이클이 진행되는 동안 센서 장치 측으로부터 센서 장치에 의해 생성된 원시 데이터를 수신하는 제 1 통신부; 원시 데이터를 가공하여 정제 데이터를 생성하는 가공부; 제 2 사이클이 진행되는 동안 중계 서버 측으로 정제 데이터를 송신하는 제 2 통신부; 제 1 사이클이 진행되는 동안 수신한 원시 데이터의 양인 제 1 처리량과 제 2 사이클이 진행되는 동안 송신한 정제 데이터의 양인 제 2 처리량에 따라 공정성 지수를 산출하고, Q값을 학습하여 할당 비율을 조정하는 학습부;를 포함할 수 있다.In the duty cycle adjustment apparatus for coexistence of heterogeneous networks connected to at least one sensor device and a first network and connected to at least one relay server and a second network according to an embodiment of the present invention, a predetermined Q value A determination unit determining an allocation ratio of the first cycle and the second cycle constituting the duty cycle according to the present invention; A first communication unit for receiving raw data generated by the sensor device from the sensor device side during the first cycle; A processing unit that processes raw data to generate refined data; A second communication unit for transmitting the refined data to the relay server during the second cycle; The fairness index is calculated according to the first throughput, which is the amount of raw data received during the first cycle, and the second throughput, which is the amount of refined data transmitted during the second cycle, and adjusts the allocation ratio by learning the Q value. It may include; learning unit to do.
상술한 본 발명의 일 측면에 따르면, 듀티 사이클을 분리하여 LTE-U와 WBAN이 공존하게 하면서 큐-학습 기반의 머신 러닝을 통해 최적의 듀티 사이클을 설정하여 WBAN의 처리량(throughput)과 LTE-U의 처리량(throughput)을 최대로 늘릴 수 있는 유리한 효과가 있다.According to an aspect of the present invention described above, by separating the duty cycle so that LTE-U and WBAN coexist, the optimal duty cycle is set through queue-learning-based machine learning to determine the throughput and LTE-U of WBAN. There is an advantageous effect that can maximize the throughput of.
도 1은 본 발명의 일 실시예에 따른 센서 장치, 듀티 사이클 조정 장치 및 중계 서버의 연결 관계를 나타내는 도면이다.
도 2는 본 발명의 일 실시예에 따른 듀티 사이클 조정 장치를 나타내는 블록도이다.
도 3은 본 발명의 일 실시예에 따른 LTE-U와 WBAN의 듀티 사이클을 나타내는 도면이다.
도 4는 본 발명의 일 실시예에 따른 공정성 지수와 상태(state)의 관계를 나타내는 도면이다.
도 5는 본 발명의 일 실시예에 따른 이종 네트워크의 공존을 위한 듀티 사이클 조정 방법을 나타내는 순서도이다.
도 6은 본 발명의 일 실시예에 따른 제 1 사이클과 제 2 사이클의 할당 비율을 결정하는 과정을 나타내는 순서도이다.
도 7은 본 발명의 일 실시예에 따른 데이터 처리량에 따라 최적의 할당 비율로 조정하는 과정을 나타내는 순서도이다.1 is a diagram illustrating a connection relationship between a sensor device, a duty cycle adjusting device, and a relay server according to an embodiment of the present invention.
2 is a block diagram showing a duty cycle adjustment apparatus according to an embodiment of the present invention.
3 is a diagram illustrating a duty cycle of LTE-U and WBAN according to an embodiment of the present invention.
4 is a diagram illustrating a relationship between a fairness index and a state according to an embodiment of the present invention.
5 is a flowchart illustrating a method of adjusting a duty cycle for coexistence of heterogeneous networks according to an embodiment of the present invention.
6 is a flowchart illustrating a process of determining an allocation ratio of a first cycle and a second cycle according to an embodiment of the present invention.
7 is a flowchart illustrating a process of adjusting an optimal allocation ratio according to a data throughput according to an embodiment of the present invention.
후술하는 본 발명에 대한 상세한 설명은, 본 발명이 실시될 수 있는 특정 실시 예를 예시로서 도시하는 첨부 도면을 참조한다. 이들 실시 예는 당업자가 본 발명을 실시할 수 있기에 충분하도록 상세히 설명된다. 본 발명의 다양한 실시 예는 서로 다르지만 상호 배타적일 필요는 없음이 이해되어야 한다. 예를 들어, 여기에 기재되어 있는 특정 형상, 구조 및 특성은 일 실시 예와 관련하여 본 발명의 정신 및 범위를 벗어나지 않으면서 다른 실시 예로 구현될 수 있다. 또한, 각각의 개시된 실시 예 내의 개별 구성요소의 위치 또는 배치는 본 발명의 정신 및 범위를 벗어나지 않으면서 변경될 수 있음이 이해되어야 한다. 따라서, 후술하는 상세한 설명은 한정적인 의미로서 취하려는 것이 아니며, 본 발명의 범위는, 적절하게 설명된다면, 그 청구항들이 주장하는 것과 균등한 모든 범위와 더불어 첨부된 청구항에 의해서만 한정된다. 도면에서 유사한 참조부호는 여러 측면에 걸쳐서 동일하거나 유사한 기능을 지칭한다.For a detailed description of the present invention to be described later, reference is made to the accompanying drawings, which illustrate specific embodiments in which the present invention may be practiced. These embodiments are described in detail sufficient to enable a person skilled in the art to practice the present invention. It should be understood that the various embodiments of the present invention are different from each other, but need not be mutually exclusive. For example, specific shapes, structures, and characteristics described herein may be implemented in other embodiments without departing from the spirit and scope of the present invention in relation to one embodiment. In addition, it is to be understood that the location or arrangement of individual components in each disclosed embodiment may be changed without departing from the spirit and scope of the present invention. Accordingly, the detailed description to be described below is not intended to be taken in a limiting sense, and the scope of the present invention, if appropriately described, is limited only by the appended claims, along with all scopes equivalent to those claimed by the claims. In the drawings, like reference numerals refer to the same or similar functions over several aspects.
이하, 도면들을 참조하여 본 발명의 바람직한 실시 예들을 보다 상세하게 설명하기로 한다.Hereinafter, preferred embodiments of the present invention will be described in more detail with reference to the drawings.
도 1은 본 발명의 일 실시예에 따른 센서 장치, 듀티 사이클 조정 장치 및 중계 서버의 연결 관계를 나타내는 도면이다.1 is a diagram illustrating a connection relationship between a sensor device, a duty cycle adjusting device, and a relay server according to an embodiment of the present invention.
도 1을 참조하면, 센서 장치(100), 듀티 사이클 조정 장치(300) 및 중계 서버(500)를 포함할 수 있다.Referring to FIG. 1, a
센서 장치(100)는 사용자의 신체에 장착되어 혈압, 포도당 수치, 심장 박동 수, 체온 등과 같은 정보를 수집하여 원시 데이터를 생성할 수 있다.The
또한, 센서 장치(100)는 낮은 데이터 전송량(Low data rate)과 긴 배터리 수명을 충족하는 지그비(ZigBee) 통신 기술과 같은 WBAN(Wireless Body Area Network)를 통해 데이터를 전송할 수 있다. In addition, the
듀티 사이클 조정 장치(300)는 센서 장치(100)와 지그비(ZigBee)와 같은 WBAN 통신 방식으로 연결되어 센서 장치(100)가 생성한 원시 데이터를 수신하여 가공 후 중계 서버(500)로 전송할 수 있다.The duty
또한, 듀티 사이클 조정 장치(300)는 듀티 사이클을 조정하기 위한 처리 과정을 수행할 수 있으며, 이에 관한 상세한 설명은 이하에서 도 2와 함께 설명하기로 한다.In addition, the duty
중계 서버(500)는 듀티 사이클 조정 장치(300)와 LTE-U 통신 방식으로 연결될 수 있고, 듀티 사이클 조정 장치(300) 측으로부터 수신한 데이터를 헬스 케어를 위한 관리 서버나 의료진 같은 사용자에게 전달할 수 있다.The
또한, 중계 서버(500)는 캐리어 감지 적응적 송신(CSAT, Carrier Sense Adaptive Transmission)이 가능하므로 제어 신호를 전달받아 채널 액세스 시간을 조정할 수 있다.In addition, since the
도 2는 본 발명의 일 실시예에 따른 듀티 사이클 조정 장치를 나타내는 블록도이다.2 is a block diagram showing a duty cycle adjustment apparatus according to an embodiment of the present invention.
도 2를 참조하면, 본 발명의 일 실시예에 따른 듀티 사이클 조정 장치(300)는 결정부(310), 제 1 통신부(330), 가공부(350), 제 2 통신부(370) 및 학습부(390)를 포함할 수 있다.2, the duty
이때, 본 발명에 따른 듀티 사이클 조정 장치(300)는 이동성을 갖거나 고정될 수 있다. 예컨대, 듀티 사이클 조정 장치(300)는, 서버(server) 또는 엔진(engine) 형태일 수 있으며, 스마트폰(smartphone), 디바이스(device), 기구(apparatus), 단말(terminal), UE(user equipment), MS(mobile station), 무선기기(wireless device), 휴대기기(handheld device) 등 다른 용어로 불릴 수 있다. At this time, the duty
또한, 듀티 사이클 조정 장치(300)는 도 2에 도시된 구성요소보다 많은 구성요소에 의해 구현될 수 있고, 그보다 적은 구성요소에 의해 구현될 수 있다. 또는, 듀티 사이클 조정 장치(300)는 결정부(310), 제 1 통신부(330), 가공부(350), 제 2 통신부(370) 및 학습부(390)를 중 적어도 두 개의 구성요소가 하나의 구성요소로 통합되어 하나의 구성요소가 복합적인 기능을 수행할 수도 있다. 이하, 상술한 구성요소들에 대해 구체적으로 설명하기로 한다.In addition, the duty
결정부(310)는 미리 정해진 Q값에 따라 듀티 사이클을 구성하는 제 1 사이클과 제 2 사이클의 할당 비율을 결정할 수 있다.The
도 3은 본 발명의 일 실시예에 따른 LTE-U와 WBAN의 듀티 사이클을 나타내는 도면이다.3 is a diagram illustrating a duty cycle of LTE-U and WBAN according to an embodiment of the present invention.
듀티 사이클(duty cycle)은 기계 제어 방법 중 하나이며, 백분율로 표시된다.The duty cycle is one of the machine control methods and is expressed as a percentage.
도 3을 참조하면, 신호가 on & off 사이클을 끝낼 때까지 소요되는 시간(T1)이며, ON 사이클(T2)과 OFF 사이클(T3)로 구분된다. Referring to FIG. 3, it is the time T1 taken until the signal completes the on & off cycle, and is divided into an ON cycle T2 and an OFF cycle T3.
ON 사이클(T2)에는 LTE-U가 채널을 점유하면서 데이터를 전송하고, OFF 사이클(T3)에는 LTE-U가 아닌 WBAN이 채널을 점유하여 데이터를 전송할 수 있다.In the ON cycle (T2), LTE-U may transmit data while occupying the channel, and in the OFF cycle (T3), WBAN rather than LTE-U may occupy the channel and transmit data.
LTE-U는 동일한 주파수 대역을 사용하는 통신 네트워크와의 공존을 위해 사이클 파라미터를 조정할 수 있다.LTE-U can adjust cycle parameters for coexistence with a communication network using the same frequency band.
제 1 사이클은 OFF 사이클(T3)을 의미하고, 제 2 사이클은 ON 사이클(T2)을 의미하므로, 제 1 사이클과 제 2 사이클을 합치면 하나의 듀티 사이클이 된다.Since the first cycle means the OFF cycle T3 and the second cycle means the ON cycle T2, when the first cycle and the second cycle are combined, one duty cycle is obtained.
결정부(310)는 Q값에 따라 제 1 사이클과 제 2 사이클의 할당 비율을 결정할 수 있다.The
이 때, 듀티 사이클의 주기는 40㎳이고, 듀티 사이클의 주기마다 LTE-U의 ON 사이클(T2) 시간을 변경할 수 있다.In this case, the period of the duty cycle is 40 ms, and the ON cycle (T2) time of the LTE-U may be changed for each period of the duty cycle.
LTE-U의 ON 사이클(T2)인 제 1 사이클의 비율은 0.2, 0.4, 0.6 및 0.8 중 어느 하나의 값을 가질 수 있고, 제 2 사이클의 비율은 1에서 제 1 사이클의 비율을 차감한 0.8, 0.6, 0.4 및 0.2 중 어느 하나의 값을 가질 수 있다.The ratio of the first cycle, which is the ON cycle (T2) of LTE-U, may have any one value of 0.2, 0.4, 0.6, and 0.8, and the ratio of the second cycle is 0.8 minus the ratio of the first cycle from 1 , 0.6, 0.4, and 0.2 may have a value.
예를 들면, 제 1 사이클의 비율이 0.2이라면, 제 1 사이클은 8㎳(40㎳×0.2)동안 LTE-U가 채널을 점유하고, 제 2 사이클은 32㎳(40㎳×0.8) 동안 WBAN이 채널을 점유하는 것을 의미한다.For example, if the ratio of the first cycle is 0.2, LTE-U occupies the channel for 8 ms (40 ms × 0.2) in the first cycle, and WBAN is occupied for 32 ms (40 ms × 0.8) in the second cycle. It means to occupy the channel.
큐-러닝(Q-Learning)은 주로 환경이 알려지지 않은 경우처럼 유한 마코프 결정 과정(finite-Markov Decision Process)에 대한 적절한 행동을 취하기 위한 최적의 전략을 탐색하는 데 활용된다.Q-Learning is primarily used to explore the optimal strategy for taking appropriate actions for the finite-Markov Decision Process, such as when the environment is unknown.
Q값은 최초에는 특정한 값으로 지정되나, 데이터 송수신이 발생한 후에는 데이터 처리량에 따라 산출된 값에 의해 지정될 수 있다.The Q value is initially designated as a specific value, but after data transmission/reception occurs, it may be designated by a value calculated according to the data throughput.
결정부(310)는 임의의 값을 생성하고, 임의의 값과 미리 정해진 확률값을 비교하여 탐험(explore)과 활용(exploit)으로 나눌 수 있다.The
임의의 값이 확률값보다 크면 탐험(explore)을 선택하여 제 1 사이클과 제 2 사이클의 할당 비율을 임의로 결정할 수 있고, 임의의 값이 확률값보다 작으면 활용(exploit)을 선택하여 제 1 사이클과 제 2 사이클의 할당 비율을 앞서 설명한 미리 정해진 비율에 따라 결정할 수 있다.If the random value is greater than the probability value, the allocation ratio of the first cycle and the second cycle can be arbitrarily determined by selecting explore. If the random value is less than the probability value, the first cycle and the first cycle are selected by selecting expoit. The allocation ratio of two cycles can be determined according to the predetermined ratio described above.
제 1 통신부(330)는 제 1 사이클의 기간 동안 제 1 네트워크를 통해 센서 장치(100)에 의해 생성된 원시 데이터의 일부분인 제 1 처리량을 수신할 수 있다.The
센서 장치(100)는 환자는 몸에 이식된 적어도 하나 이상의 지능형 센서이며, 혈압, 포도당 레벨, 심장 박동수, 체온 등을 감지하여 원시 데이터를 생성할 수 있습니다.The
제 1 통신부(330)는 제 1 네트워크를 통해 센서 장치(100)와 무선으로 연결되며, 이때 제 1 네트워크는 WBAN을 의미한다. The
제 1 통신부(330)는 WBAN이 채널을 점유하는 제 1 사이클의 기간 동안 센서 장치(100) 측으로부터 원시 데이터를 수신할 수 있고, 제 1 처리량은 제 1 사이클의 기간 동안 수신하는 원시 데이터의 크기를 의미한다.The
가공부(350)는 원시 데이터를 가공하여 정제 데이터를 생성할 수 있다.The
원시 데이터는 다수의 센서에 의해 생성되므로 데이터가 크고, 데이터 전송을 위한 불필요한 정보들이 포함되어 있으므로 필요한 정보만을 전송하고, 전송 효율을 증가시키기 위해 가공한 정제 데이터를 생성하여야 한다.Since raw data is generated by a plurality of sensors, the data is large, and since unnecessary information for data transmission is included, only necessary information must be transmitted, and processed refined data must be generated to increase transmission efficiency.
따라서, 정제 데이터는 항상 원시 데이터보다 데이터 크기가 작은 특징을 가지고 있다.Therefore, refined data always has a feature of smaller data size than raw data.
제 2 통신부(370)는 제 2 사이클의 기간 동안 제 2 네트워크를 통해 정제 데이터의 일부분인 제 2 처리량을 중계 서버 측으로 송신할 수 있다.The
제 2 통신부(370)는 제 2 네트워크를 통해 중계 서버(500)와 무선으로 연결되며, 이때 제 2 네트워크는 LTE-U를 의미한다. The
제 2 통신부(370)는 LTE-U가 채널을 점유하는 제 2 사이클의 기간 동안 중계 서버(500) 측으로 정제 데이터를 송신할 수 있고, 제 2 처리량은 제 2 사이클의 기간 동안 송신하는 정제 데이터의 크기를 의미한다.The
학습부(390)는 제 1 처리량과 제 2 처리량에 따라 공정성 지수를 산출하고 Q값을 학습하여 할당 비율을 조정할 수 있다.The
큐-러닝(Q-Learning)은 주로 환경이 알려지지 않은 경우처럼 유한 마코프 결정 과정(finite-MDP)에 대한 적절한 행동을 취하기 위한 최적의 전략을 탐색하는 데 활용된다.Q-Learning is primarily used to explore the optimal strategy for taking appropriate action for a finite-MDP decision process (finite-MDP), such as when the environment is unknown.
큐-러닝(Q-Learning)과 같은 강화 학습(RL, Reinforcement Learning)에 있어서, 탐험(exploration)과 활용(exploitation) 사이의 절충(tradeoff)은 다른 종류의 학습에 없는 강화 학습(RL)만의 특징이다. In reinforcement learning (RL) such as Q-Learning, the tradeoff between exploration and exploration is a characteristic of reinforcement learning (RL) that other types of learning do not have. to be.
강화 학습(RL)은 보상을 얻는 것을 목적으로 하며, 상당한 보상을 얻기 위해서는 과거에 시도했던 행동에 활용(exploitation)하여 보상을 얻어야 하지만, 더 나은 보상을 얻는 행동을 선택하기 위해서는 탐험(exploration)이 필요하다. Reinforcement learning (RL) is aimed at earning rewards, and in order to obtain significant rewards, it is necessary to obtain rewards by exploiting actions that have been attempted in the past, but exploration is required to select actions that give better rewards. need.
따라서 학습자는 다양한 행동을 시도해야 하고, 확률적 관점에서 예상되는 보상을 얻기 위해서는 각각의 행동을 여러 번 시도해서 가장 좋은 것으로 판단되는 행동을 발견하기 위해서는 지속적으로 지원해야 한다.Therefore, learners must try a variety of actions, and in order to obtain the expected reward from a probabilistic point of view, they must try each action several times and continue to support in order to discover the action judged to be the best.
강화 학습(RL)의 프레임 워크는 정책(Policy), 보상(Reward) 및 값 함수(Value Function)를 필수적으로 포함하며, 때때로 큐 러닝 환경의 모델(Q-learning model of Environment)을 포함할 수 있다.The framework of reinforcement learning (RL) essentially includes Policy, Reward, and Value Function, and may sometimes include a Q-learning model of Environment. .
정책(Policy)은 학습자가 주어진 시간에 행동하는 학습자의 방식에 특성을 부여한다. 일반적으로, 정책은 환경의 명백한 상태에서 해당 상태에서 취할 행동으로 매핑(mapping)하는 것이다. Policy characterizes the learner's way in which the learner behaves at any given time. In general, a policy is a mapping from an explicit state of the environment to the action to be taken in that state.
이는 심리학에서 행동-반응 관계 집합과 비교된다. 정책은 간단한 함수 또는 인덱스 테이블이 될 수도 있고, 추적 절차(pursuit procedure)와 같은 상당한 계산을 포함할 수 있다. 정책은 정책만으로도 학습자의 행동을 결정하기에 충분하기 때문에 강화 학습(RL)의 학습자의 본질이다. This is compared to a set of behavior-response relationships in psychology. The policy could be a simple function or an index table, or it could contain significant computations, such as a pursuit procedure. Policy is the learner's essence of reinforcement learning (RL) because policy alone is sufficient to determine the learner's behavior.
보상(Reward Flag)은 학습 문제의 목적에 특성을 부여한다. 각 시간 단계에서 환경은 보상이라는 유일한 번호를 결정한다. The reward flag characterizes the purpose of the learning problem. At each time step, the environment determines a unique number of rewards.
학습자의 주된 목적은 장기적으로 수집하는 전체 보상을 최대화하는 것이므로, 보상은 학습자를 위한 좋고 나쁜 이벤트를 나타낸다. Since the learner's primary purpose is to maximize the overall rewards they collect over the long term, rewards represent good and bad events for learners.
보상은 어떤 상태에서 정책(policy)을 바꾸는 중요한 이유이다. 정책에 의해 선택된 행동이 낮은 보상을 가져 오는 경우, 그 정책은 향후 그 상태를 위해 어떤 다른 행동을 선택하도록 변경할 수 있다.Reward is an important reason to change policy in a certain state. If the action chosen by the policy results in low rewards, the policy can be changed in the future to choose some other action for that condition.
보상은 즉각적인 의미에서 더 좋은 지를 나타내지만, 가치 함수(Value Function)는 무엇이 최종적으로 최선인지를 나타낸다. Reward represents better in the immediate sense, but Value Function represents what is ultimately best.
이와 같이 특정 상태의 가치 함수는 학습자가 최초 상태에서 시작하여 장기적으로 수집할 수 있는 보상의 총합이다. As such, the value function of a specific state is the sum of rewards that a learner can collect in the long run starting from the initial state.
예를 들어, 하나의 상태는 낮고 빠른 보상을 지급할 수 있지만, 동시에 높은 보상을 지급하는 다른 상태가 종종 뒤따를 수 있기 때문에 높은 가치 함수를 가지게 된다. For example, one state can pay low and fast rewards, but at the same time it has a high value function because another state that pays high rewards can often follow.
가치 함수는 결정을 하고, 평가를 할 때 최대로 고려한다. 행동 선택은 가치 판정을 기반으로 한다. 이러한 행동이 학습자에게 장기적 관점에서 최고의 보상을 제공하기 때문에 최고의 보상이 아닌 최고의 가치를 가지는 행동을 추구한다. 실제로, 대부분의 강화 학습(RL) 알고리즘에서 가장 중요한 요소는 원활하게 가치를 추정하는 기술이다.The value function is taken into account when making decisions and making evaluations. Action choices are based on value judgment. Since these behaviors provide the learners with the best rewards in the long term, we pursue behaviors with the highest values, not the best rewards. In fact, the most important factor in most reinforcement learning (RL) algorithms is the technique of seamless value estimation.
환경 모델(Model environment)는 큐-러닝(Q-Learning) 프레임 워크의 선택적 구성 요소이다. Model environment is an optional component of the Q-Learning framework.
환경 모델은 환경의 행동을 반영할 수 있고, 일반적으로는 환경이 어떻게 행동할 것인가에 대한 제안하는 것이다. The environmental model can reflect the behavior of the environment, and is generally a suggestion of how the environment will behave.
예를 들어, 상태와 행동이 주어지면, 모델은 결과로 나오게 되는 다음의 상태와 다음의 보상을 예상할 수 있다. 모델은 계획을 위해 활용되며, 실제 경험하기 전에 예상 가능한 미래 상황을 고려하여 일련의 행동을 정착시키는 방법을 의미한다.For example, given a state and an action, the model can predict the next state and the next reward that will result. The model is used for planning and refers to a method of establishing a set of actions taking into account the foreseeable future situations before actual experiences.
강화 학습(RL)은 정책(policy) 및 가치 함수(value function)에 대한 입력으로서 상태의 개념에 강하게 의존한다. Reinforcement learning (RL) relies strongly on the concept of state as input to policy and value functions.
비공식적으로, 우리는 상태가 특정한 시간에 어떻게 존재하는지에 대한 약간의 감각을 가지고 학습자에게 전달되는 플래그라고 생각할 수 있다. 강화 학습(RL) 기법의 상당 부분은 가치 함수 평가를 중심으로 구성된다. Informally, we can think of a state as a flag passed to the learner with a little sense of how it exists at a particular time. Much of the reinforcement learning (RL) technique revolves around value function evaluation.
그러나 강화 학습(RL) 문제를 처리하기 위해 이 작업을 수행하는 것이 전적으로 중요하진 않다.However, it is not entirely important to do this to deal with reinforcement learning (RL) problems.
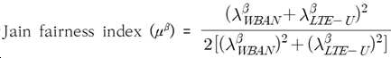
듀티 사이클 조정 장치(300)에서 학습부(390)는 큐-학습(Q-learning) 알고리즘을 이용하여 학습하고, 보상은 제인 공정성 지수(μβ, Jain fairness index)에 의해 제공된다.In the duty
이 때, 제인 공정성 지수 (μβ, Jain fairness index) 아래 수학식 1에 따라 계산된다.At this time, the Jane fairness index (μ β , Jain fairness index) is calculated according to Equation 1 below.
[수학식 1][Equation 1]
여기서, β는 LTE-U가 채널을 점유하는 듀티 사이클 기간, 즉, 제 2 사이클의 기간을 의미하므로 (1-β)는 제 1 사이클의 기간을 의미한다.Here, β denotes a duty cycle period during which LTE-U occupies a channel, that is, a period of the second cycle, and thus (1-β) denotes a period of the first cycle.
은 제 1 사이클의 기간 동안 WBAN을 통해 수신되는 원시 데이터의 처리량을 의미하며, 아래 수학식 2에 따라 계산된다. Denotes the throughput of raw data received through WBAN during the first cycle, and is calculated according to Equation 2 below.
[수학식 2][Equation 2]
= 수신된 원시 데이터의 처리량 / ((1-β) * 40㎳) = Throughput of received raw data / ((1-β) * 40 ms)
는 제 2 사이클의 기간 동안 LTE-U를 통해 송신되는 정제 데이터의 처리량을 의미하며, 아래 수학식 3에 따라 계산된다. Denotes the throughput of refined data transmitted through LTE-U during the second cycle, and is calculated according to
[수학식 3][Equation 3]
= 송신된 정제 데이터의 처리량 / (β * 40㎳) = Throughput of transmitted refinement data / (β * 40 ms)
도 4는 본 발명의 일 실시예에 따른 공정성 지수와 상태(state)의 관계를 나타내는 도면이다.4 is a diagram illustrating a relationship between a fairness index and a state according to an embodiment of the present invention.
큐-학습(Q-learning) 알고리즘에서 상태(state)는 유한 집합으로 현재의 상황을 의미합니다.In the Q-learning algorithm, the state is a finite set, meaning the current situation.
도 4를 참조하면, 공정성 지수를 기반으로 정의되는 다음 임계 값인 상태(state)의 대응 관계를 알 수 있다.Referring to FIG. 4, a correspondence relationship between states, which is the next threshold value defined based on the fairness index, can be seen.
상태(state)는 제 1 공정도, 제 2 공정도, 제 3 공정도 및 제 4 공정도로 구분되며, 제 1 공정도는 몹시 불공정(Extremely unfair)한 상태(state), 제 2 공정도는 불공정(unfair) 한 상태(state), 제 3 공정도는 공정(fair)한 상태 및 제 4 공정도는 몹시 공정(highly fair) 상태를 각각 의미한다.The state is divided into a 1st process chart, a 2nd process chart, a 3rd process chart, and a 4th process chart.The first process chart is an extremely unfair state, and the second process chart is unfair. ) One state, a third process chart means a fair state, and a fourth process chart means a highly fair state, respectively.
제인 공정성 지수 (μβ)의 값이 0 이상이고, 0.4 미만이면, 제 1 공정도에 해당하고, 0.4 이상이고, 0.6 미만이면 제 2 공정도에 해당한다. If the value of the Jane's fairness index (μ β ) is 0 or more and less than 0.4, it corresponds to the first process chart, and when it is 0.4 or more and less than 0.6, it corresponds to the second process chart.
제인 공정성 지수 (μβ)의 값이 0.6이상이고, 0.8 미만이면 제 3 공정도에 해당하고, 0.8 이상이고, 1 미만이면 제 4 공정도에 해당하는 것으로 상태(state)를 판단할 수 있다.If the value of the Jane fairness index (μ β ) is 0.6 or more and less than 0.8, it corresponds to the third process chart, and when it is 0.8 or more and less than 1, the state may be determined as corresponding to the fourth process chart.
즉. 제인 공정성 지수 (μβ)가 커질수록 공평한 상태가 되며. 공평한 상태라는 것은 단위 시간당 수신된 원시 데이터의 처리량()과 단위 시간당 송신된 정제 데이터의 처리량()이 적절하게 분배되는 것을 의미한다.In other words. The larger the Jane Fairness Index (μ β ), the more fair it is. Fairness means the throughput of raw data received per unit time ( ) And throughput of refined data transmitted per unit time ( ) Is properly distributed.
Q값은 주어진 상태(state)에서 주어진 동작(action)을 수행하는 것이 가져다 줄 효용의 기대값을 의미한다. 이때, 가장 높은 Q값을 갖는 동작이 최적의 동작으로 판단될 수 있다.The Q value means the expected value of the utility that will be brought by performing a given action in a given state. In this case, an operation having the highest Q value may be determined as an optimal operation.
Q값은 앞서 공정성 지수에 따라 보상에 따라 달라지며, 아래 수학식 4에 따라 계산된다.The Q value depends on the compensation according to the fairness index above, and is calculated according to Equation 4 below.
[수학식 4][Equation 4]
Q (state, action) ← (1 α) Q (state, action) + α [r + γ maxaction′ Q (state′, action′)]Q (state, action) ← (1 α) Q (state, action) + α [r + γ max action′ Q (state′, action′)]
여기서 α는 학습률(Learning rate)를 의미하고, γ는 할인요소(discount factor)를 의미한다. state`는 다음 상태를 나타내며, action`은 state`에서의 가장 높은 Q값을 갖는 action을 의미한다. Here, α means a learning rate, and γ means a discount factor. State` represents the next state, and action` means the action with the highest Q value in the state`.
학습부(390)는 Q값을 반복 횟수에 대한 기준값(difference)과 비교하여 Q값이 기준값(difference) 보다 작다면, 듀티 사이클을 유지하고 듀티 사이클을 조정하는 과정을 종료할 수 있다The
학습부(390)는 Q값을 반복 횟수에 대한 기준값(difference)과 비교하여 Q값이 기준값(difference) 보다 크다면, 듀티 사이클의 조정이 필요하므로 새로운 할당 비율을 중계 서버(500)로 전송하여 듀티 사이클을 조정할 수 있다.The
도 5는 본 발명의 일 실시예에 따른 이종 네트워크의 공존을 위한 듀티 사이클 조정 방법을 나타내는 순서도이다.5 is a flowchart illustrating a method of adjusting a duty cycle for coexistence of heterogeneous networks according to an embodiment of the present invention.
본 발명에 따른 이종 네트워크의 공존을 위한 듀티 사이클 조정 방법은 상술한 본 발명에 따른 이종 네트워크의 공존을 위한 듀티 사이클 조정 장치(300)에 의해 수행될 수 있다. 이를 위해, 본 발명에 따른 이종 네트워크의 공존을 위한 듀티 사이클 조정 장치(300)는 후술하는 데이터 분류 규칙 추정 방법을 구성하는 각 단계를 수행하기 위한 애플리케이션(소프트웨어)이 미리 설치될 수 있다. 예를 들어, 사용자의 컴퓨터에는 본 발명에 따른 이종 네트워크의 공존을 위한 듀티 사이클 조정 방법에 대한 플랫폼이 소프트웨어의 형태로 미리 설치될 수 있으며, 사용자는 컴퓨터에 설치된 소프트웨어를 실행하여 본 발명에 따른 데이터 분류 규칙 추정 방법이 제공하는 다양한 서비스를 제공받을 수 있다.The duty cycle adjustment method for coexistence of heterogeneous networks according to the present invention may be performed by the duty
본 발명의 일 실시예에 따른 이종 네트워크의 공존을 위한 듀티 사이클 조정 방법은 도 1 및 도 2에 도시된 이종 네트워크의 공존을 위한 듀티 사이클 조정 장치(300)와 실질적으로 동일한 구성 상에서 진행되므로, 도 2의 이종 네트워크의 공존을 위한 듀티 사이클 조정 장치(300)와 동일한 구성요소에 대해 동일한 도면 부호를 부여하고, 반복되는 설명은 생략하기로 한다.The duty cycle adjustment method for coexistence of heterogeneous networks according to an embodiment of the present invention is performed on substantially the same configuration as the duty
도 5를 참조하면, 적어도 하나 이상의 센서 장치(100)와 제 1 네트워크로 연결되고, 적어도 하나 이상의 중계 서버(500)와 제 2 네트워크로 연결되는 듀티 사이클 조정 장치(300)에 의해 수행되는 이종 네트워크의 공존을 위한 듀티 사이클 조정 방법을 알 수 있다.Referring to FIG. 5, a heterogeneous network performed by a duty
듀티 사이클 조정 장치(300)는 미리 정해진 Q값에 따라 듀티 사이클을 구성하는 제 1 사이클과 제 2 사이클의 할당 비율을 결정할 수 있다(S100).The duty
듀티 사이클 조정 장치(300)는 센서 장치에 의해 생성된 원시 데이터를 제 1 네트워크를 통해 센서 장치(100) 측으로부터 제 1 사이클의 기간 동안 제 1 처리량을 수신할 수 있다(S200).The duty
듀티 사이클 조정 장치(300)는 원시 데이터를 가공하여 정제 데이터를 생성할 수 있다(S300).The duty
듀티 사이클 조정 장치(300)는 원시 데이터로부터 생성된 정제 데이터를 제 2 네트워크를 통해 중계 서버(500) 측으로 제 2 사이클의 기간 동안 제 2 처리량을 송신할 수 있다(S400).The duty
듀티 사이클 조정 장치(300)는 제 1 처리량과 제 2 처리량에 따라 공정성 지수를 산출하고, Q값을 학습하여 할당 비율을 조정할 수 있다(S500).The duty
도 6은 본 발명의 일 실시예에 따른 제 1 사이클과 제 2 사이클의 할당 비율을 결정하는 과정을 나타내는 순서도이다.6 is a flowchart illustrating a process of determining an allocation ratio of a first cycle and a second cycle according to an embodiment of the present invention.
도 6을 참조하면, 듀티 사이클 조정 장치(300)는 임의의 값을 생성하는 단계(S110), 임의의 값과 미리 정해진 확률값을 비교하여 탐험(explore)과 활용(exploit) 중 어느 하나를 선택하는 단계(S130) 및 선택된 값에 따라 할당 비율을 결정하는 단계(S150, S160)을 포함하는 것을 알 수 있다.Referring to FIG. 6, the duty
듀티 사이클 조정 장치(300)는 임의의 값을 생성할 수 있다(S110)The duty
듀티 사이클 조정 장치(300)는 임의의 값과 미리 정해진 확률값을 비교하여 탐험(explore)과 활용(exploit) 중 어느 하나를 선택할 수 있다(S130).The duty
듀티 사이클 조정 장치(300)는 상기 임의의 값이 상기 확률값보다 크면 탐험(explore)을 선택하여 상기 할당 비율을 임의로 결정할 수 있다(S150)If the random value is greater than the probability value, the duty
듀티 사이클 조정 장치(300)는 상기 임의의 값이 상기 확률값보다 작으면 활용(exploit)을 선택하여 상기 할당 비율을 미리 정해진 비율에 따라 결정할 수 있다(S160).When the random value is less than the probability value, the duty
도 7은 본 발명의 일 실시예에 따른 데이터 처리량에 따라 최적의 할당 비율로 조정하는 과정을 나타내는 순서도이다.7 is a flowchart illustrating a process of adjusting an optimal allocation ratio according to a data throughput according to an embodiment of the present invention.
도 7을 참조하면, 듀티 사이클 조정 장치(300)는 제 1 처리량과 제 2 처리량에 따라 공정성 지수를 산출하고, Q값을 학습하여 할당 비율을 조정하는 과정을 알 수 있다.Referring to FIG. 7, the duty
듀티 사이클 조정 장치(300)는 제 1 처리량과 제 2 처리량에 따라 공정성 지수를 산출할 수 있다(S510)The duty
이 때, 공정성 지수는, 제 1 처리량과 상기 제 2 처리량을 합한 값을 제곱한 값과 비례하고, 동안 제 1 처리량의 제곱 값과 제 2 처리량의 제곱 값을 합한 값과 반비례한 값일 수 있다.In this case, the fairness index may be proportional to a value obtained by squaring the sum of the first processing amount and the second processing amount, and may be inversely proportional to the sum of the square value of the first processing amount and the square value of the second processing amount.
듀티 사이클 조정 장치(300)는 공정성 지수에 따라 몹시 불공평(extremely unfair), 불공평(unfair), 공평(fair) 및 몹시 공평(highly fair) 중 어느 하나의 상태로 평가할 수 있고(S520), 공정성 지수 및 상태에 따라 Q값을 학습할 수 있다(S530).The duty
듀티 사이클 조정 장치(300)는 Q값이 미리 정해진 기준값을 비교하여 할당 비율의 조정 여부를 판단할 수 있다(S540).The duty
상기 Q값이 미리 정해진 기준값보다 큰 경우에는 상기 할당 비율을 조정할 수 있다(S550)When the Q value is greater than a predetermined reference value, the allocation ratio may be adjusted (S550).
상기 Q값이 미리 정해진 기준값보다 작은 경우에는 상기 할당 비율을 유지할 수 있다(S560)When the Q value is less than a predetermined reference value, the allocation ratio may be maintained (S560).
듀티 사이클 조정 장치(300)는 중계 서버(500)의 제어를 위해 면허 대역을 이용하여 중계 서버 측으로 할당 비율을 송신할 수 있다(S570).The duty
이와 같은, 이종 네트워크의 공존을 위한 듀티 사이클 조정 방법은 어플리케이션으로 구현되거나 다양한 컴퓨터 구성요소를 통하여 수행될 수 있는 프로그램 명령어의 형태로 구현되어 컴퓨터 판독 가능한 기록 매체에 기록될 수 있다. 상기 컴퓨터 판독 가능한 기록 매체는 프로그램 명령어, 데이터 파일, 데이터 구조 등을 단독으로 또는 조합하여 포함할 수 있다.Such a method of adjusting a duty cycle for coexistence of heterogeneous networks may be implemented as an application or implemented in the form of program instructions that may be executed through various computer components and recorded in a computer-readable recording medium. The computer-readable recording medium may include program instructions, data files, data structures, etc. alone or in combination.
상기 컴퓨터 판독 가능한 기록 매체에 기록되는 프로그램 명령어는 본 발명을 위하여 특별히 설계되고 구성된 것들이거니와 컴퓨터 소프트웨어 분야의 당업자에게 공지되어 사용 가능한 것일 수도 있다.The program instructions recorded in the computer-readable recording medium may be specially designed and constructed for the present invention, and may be known and usable to those skilled in the computer software field.
컴퓨터 판독 가능한 기록 매체의 예에는, 하드 디스크, 플로피 디스크 및 자기 테이프와 같은 자기 매체, CD-ROM, DVD 와 같은 광기록 매체, 플롭티컬 디스크(floptical disk)와 같은 자기-광 매체(magneto-optical media), 및 ROM, RAM, 플래시 메모리 등과 같은 프로그램 명령어를 저장하고 수행하도록 특별히 구성된 하드웨어 장치가 포함된다.Examples of computer-readable recording media include magnetic media such as hard disks, floppy disks, and magnetic tapes, optical recording media such as CD-ROMs and DVDs, and magnetic-optical media such as floptical disks. media), and a hardware device specially configured to store and execute program instructions such as ROM, RAM, flash memory, and the like.
프로그램 명령어의 예에는, 컴파일러에 의해 만들어지는 것과 같은 기계어 코드뿐만 아니라 인터프리터 등을 사용해서 컴퓨터에 의해서 실행될 수 있는 고급 언어 코드도 포함된다. 상기 하드웨어 장치는 본 발명에 따른 처리를 수행하기 위해 하나 이상의 소프트웨어 모듈로서 작동하도록 구성될 수 있으며, 그 역도 마찬가지이다.Examples of the program instructions include not only machine language codes such as those produced by a compiler, but also high-level language codes that can be executed by a computer using an interpreter or the like. The hardware device may be configured to operate as one or more software modules to perform processing according to the present invention, and vice versa.
상술한 본 발명의 일 실시예에 따르면, 듀티 사이클을 분리하여 LTE-U와 WBAN이 공존하게 하면서 큐-학습 기반의 머신 러닝을 통해 최적의 듀티 사이클을 설정하여 WBAN의 처리량(throughput)과 LTE-U의 처리량(throughput)을 최대로 늘릴 수 있는 장점이 있다.According to an embodiment of the present invention described above, by separating the duty cycle so that LTE-U and WBAN coexist, the optimal duty cycle is set through queue-learning-based machine learning, so that the throughput and LTE- There is an advantage in that the throughput of U can be maximized.
이상에서는 실시예들을 참조하여 설명하였지만, 해당 기술 분야의 숙련된 당업자는 하기의 특허 청구범위에 기재된 본 발명의 사상 및 영역으로부터 벗어나지 않는 범위 내에서 본 발명을 다양하게 수정 및 변경시킬 수 있음을 이해할 수 있을 것이다.Although the above has been described with reference to embodiments, those skilled in the art will understand that various modifications and changes can be made to the present invention without departing from the spirit and scope of the present invention described in the following claims I will be able to.
100: 센서 장치
300: 듀티 사이클 조정 장치
310: 결정부
330: 제 1 통신부
350: 가공부
370: 제 2 통신부
390: 학습부
500: 중계 서버100: sensor device
300: duty cycle adjustment device
310: decision
330: first communication unit
350: processing part
370: second communication unit
390: Learning Department
500: relay server
Claims (11)
상기 듀티 사이클 조정 장치는 미리 정해진 Q값에 따라 듀티 사이클을 구성하는 제 1 사이클과 제 2 사이클의 할당 비율을 결정하는 단계;
상기 듀티 사이클 조정 장치는 상기 제 1 사이클이 진행되는 동안 상기 센서 장치 측으로부터 상기 센서 장치에 의해 생성된 원시 데이터를 수신하는 단계;
상기 듀티 사이클 조정 장치는 상기 원시 데이터를 가공하여 정제 데이터를 생성하는 단계;
상기 듀티 사이클 조정 장치는 상기 제 2 사이클이 진행되는 동안 상기 중계 서버 측으로 상기 정제 데이터를 송신하는 단계; 및
상기 듀티 사이클 조정 장치는 상기 제 1 사이클이 진행되는 동안 수신한 원시 데이터의 양인 제 1 처리량과 상기 제 2 사이클이 진행되는 동안 송신한 정제 데이터의 양인 제 2 처리량에 따라 공정성 지수를 산출하고, 상기 Q값을 학습하여 상기 할당 비율을 조정하는 학습 단계;를 포함하며,
상기 공정성 지수는,
상기 제 1 처리량과 상기 제 2 처리량을 합한 값을 제곱한 값과 비례하고, 동안 상기 제 1 처리량의 제곱 값과 제 2 처리량의 제곱 값을 합한 값과 반비례하는, 이종 네트워크의 공존을 위한 듀티 사이클 조정 방법.
In the duty cycle adjustment method for coexistence of heterogeneous networks performed by a duty cycle adjusting device connected to at least one sensor device and a first network, and connected to at least one relay server and a second network,
The duty cycle adjusting device includes determining an allocation ratio of a first cycle and a second cycle constituting a duty cycle according to a predetermined Q value;
The duty cycle adjusting device receiving raw data generated by the sensor device from the sensor device side during the first cycle;
The duty cycle adjusting device processing the raw data to generate refined data;
The duty cycle adjusting device transmitting the refinement data to the relay server during the second cycle; And
The duty cycle adjustment apparatus calculates a fairness index according to a first throughput, which is an amount of raw data received during the first cycle and a second throughput, which is an amount of refined data transmitted during the second cycle, and the A learning step of adjusting the allocation ratio by learning the Q value; and
The fairness index is,
The duty cycle for coexistence of heterogeneous networks is proportional to the squared value of the sum of the first throughput and the second throughput, and inversely proportional to the sum of the squared value of the first throughput and the squared value of the second throughput. How to adjust.
상기 제 1 사이클의 비율은 0.2, 0.4, 0.6 및 0.8 중 어느 하나이고, 상기 제 2 사이클의 비율은 1에서 상기 제 1 사이클의 비율을 차감한 값을 갖는 것을 특징으로 하는, 이종 네트워크의 공존을 위한 듀티 사이클 조정 방법.
The method of claim 1,
The ratio of the first cycle is any one of 0.2, 0.4, 0.6, and 0.8, and the ratio of the second cycle has a value obtained by subtracting the ratio of the first cycle from 1. How to adjust the duty cycle for.
상기 할당 비율을 결정하는 단계는,
임의의 값을 생성하는 단계; 및
상기 임의의 값과 미리 정해진 확률값을 비교하여 탐험(explore)과 활용(exploit) 중 어느 하나를 선택하는 단계;를 포함하는 이종 네트워크의 공존을 위한 듀티 사이클 조정 방법.
The method of claim 2,
The step of determining the allocation ratio,
Generating an arbitrary value; And
Comparing the random value with a predetermined probability value to select one of an exploration and an exploration; and a duty cycle adjustment method for coexistence of heterogeneous networks.
상기 탐험(explore)과 활용(exploit) 중 어느 하나를 선택하는 단계는,
상기 임의의 값이 상기 미리 정해진 확률값보다 크면 탐험(explore)을 선택하여 상기 할당 비율을 임의로 결정하고,
상기 임의의 값이 상기 미리 정해진 확률값보다 작으면 활용(exploit)을 선택하여 상기 할당 비율을 미리 정해진 비율에 따라 결정하는 것을 특징으로 하는 이종 네트워크의 공존을 위한 듀티 사이클 조정 방법.
The method of claim 3,
The step of selecting any one of the exploration and utilization,
If the random value is greater than the predetermined probability value, the allocation ratio is arbitrarily determined by selecting an explorer,
When the random value is less than the predetermined probability value, an expoit is selected and the allocation ratio is determined according to a predetermined ratio.
상기 제 1 네트워크는,
WBAN(Wireless Body Area Network)인 것을 특징으로 하는 이종 네트워크의 공존을 위한 듀티 사이클 조정 방법.
The method of claim 1,
The first network,
A method of adjusting a duty cycle for coexistence of heterogeneous networks, characterized in that it is a WBAN (Wireless Body Area Network).
상기 제 2 네트워크는,
비면허 대역을 사용하는 LTE-U(Long Term Evolution Unlicensed)인 것을 특징으로 하는 이종 네트워크의 공존을 위한 듀티 사이클 조정 방법.
The method of claim 1,
The second network,
Duty cycle adjustment method for coexistence of heterogeneous networks, characterized in that the LTE-U (Long Term Evolution Unlicensed) using an unlicensed band.
상기 할당 비율을 조정하는 단계는,
상기 공정성 지수에 따라 제 1 공정도, 제 2 공정도, 제 3 공정도 및 제 4 공정도 중 어느 하나의 상태로 평가하는 단계;
상기 공정성 지수 및 상기 상태에 따라 상기 Q값을 학습하는 단계;
상기 Q값이 미리 정해진 기준값을 비교하여 상기 할당 비율의 조정 여부를 판단하고 조정하는 단계; 및
면허 대역을 이용하여 상기 중계 서버 측으로 상기 할당 비율을 송신하는 단계;를 포함하는 이종 네트워크의 공존을 위한 듀티 사이클 조정 방법.
The method of claim 1,
Adjusting the allocation ratio,
Evaluating in one of a first process chart, a second process chart, a third process chart, and a fourth process chart according to the fairness index;
Learning the Q value according to the fairness index and the state;
Determining and adjusting whether or not the allocation ratio is adjusted by comparing the Q value with a predetermined reference value; And
Transmitting the allocation ratio to the relay server using the licensed band; duty cycle adjustment method for coexistence of heterogeneous networks comprising a.
상기 비율의 조정 여부를 판단하는 단계는,
상기 Q값이 미리 정해진 기준값보다 큰 경우에는 상기 할당 비율을 조정하고,
상기 Q값이 미리 정해진 기준값보다 작은 경우에는 상기 할당 비율을 유지하는 것을 특징으로 하는 이종 네트워크의 공존을 위한 듀티 사이클 조정 방법.
The method of claim 8,
The step of determining whether to adjust the ratio,
If the Q value is greater than a predetermined reference value, the allocation ratio is adjusted,
When the Q value is less than a predetermined reference value, the allocation ratio is maintained.
A computer-readable recording medium having a computer program recorded thereon for performing the duty cycle adjustment method for coexistence of heterogeneous networks according to any one of claims 1 to 6, 8, and 9.
미리 정해진 Q값에 따라 듀티 사이클을 구성하는 제 1 사이클과 제 2 사이클의 할당 비율을 결정하는 결정부;
상기 제 1 사이클이 진행되는 동안 상기 센서 장치 측으로부터 상기 센서 장치에 의해 생성된 원시 데이터를 수신하는 제 1 통신부;
상기 원시 데이터를 가공하여 정제 데이터를 생성하는 가공부;
상기 제 2 사이클이 진행되는 동안 상기 중계 서버 측으로 상기 정제 데이터를 송신하는 제 2 통신부;
상기 제 1 사이클이 진행되는 동안 수신한 원시 데이터의 양인 제 1 처리량과 상기 제 2 사이클이 진행되는 동안 송신한 정제 데이터의 양인 제 2 처리량에 따라 공정성 지수를 산출하고, 상기 Q값을 학습하여 상기 할당 비율을 조정하는 학습부;를 포함하며,
상기 공정성 지수는,
상기 제 1 처리량과 상기 제 2 처리량을 합한 값을 제곱한 값과 비례하고, 동안 상기 제 1 처리량의 제곱 값과 제 2 처리량의 제곱 값을 합한 값과 반비례하는, 이종 네트워크의 공존을 위한 듀티 사이클 조정 장치.In the duty cycle adjustment apparatus for coexistence of heterogeneous networks connected to at least one sensor device and a first network, and connected to at least one relay server and a second network,
A determining unit determining an allocation ratio of the first cycle and the second cycle constituting the duty cycle according to a predetermined Q value;
A first communication unit for receiving raw data generated by the sensor device from the sensor device side while the first cycle is in progress;
A processing unit processing the raw data to generate refined data;
A second communication unit for transmitting the refined data to the relay server during the second cycle;
The fairness index is calculated according to the first throughput, which is the amount of raw data received during the first cycle and the second throughput, which is the amount of refined data transmitted during the second cycle, and learns the Q value, Includes; a learning unit for adjusting the allocation ratio,
The fairness index is,
The duty cycle for coexistence of heterogeneous networks is proportional to the squared value of the sum of the first throughput and the second throughput, and inversely proportional to the sum of the squared value of the first throughput and the squared value of the second throughput. Adjustment device.
Priority Applications (1)
| Application Number | Priority Date | Filing Date | Title |
|---|---|---|---|
| KR1020190056409A KR102179791B1 (en) | 2019-05-14 | 2019-05-14 | Apparatus and method for adjusting duty cycle for coexistence of heterogeneous networks and recording medium for performing the method |
Applications Claiming Priority (1)
| Application Number | Priority Date | Filing Date | Title |
|---|---|---|---|
| KR1020190056409A KR102179791B1 (en) | 2019-05-14 | 2019-05-14 | Apparatus and method for adjusting duty cycle for coexistence of heterogeneous networks and recording medium for performing the method |
Publications (1)
| Publication Number | Publication Date |
|---|---|
| KR102179791B1 true KR102179791B1 (en) | 2020-11-17 |
Family
ID=73642436
Family Applications (1)
| Application Number | Title | Priority Date | Filing Date |
|---|---|---|---|
| KR1020190056409A Active KR102179791B1 (en) | 2019-05-14 | 2019-05-14 | Apparatus and method for adjusting duty cycle for coexistence of heterogeneous networks and recording medium for performing the method |
Country Status (1)
| Country | Link |
|---|---|
| KR (1) | KR102179791B1 (en) |
Cited By (1)
| Publication number | Priority date | Publication date | Assignee | Title |
|---|---|---|---|---|
| KR102420744B1 (en) * | 2021-01-15 | 2022-07-15 | 한국전력공사 | IoT Packet Scheduling Control Method and Sink Node Device |
Citations (4)
| Publication number | Priority date | Publication date | Assignee | Title |
|---|---|---|---|---|
| KR20090060017A (en) * | 2007-12-07 | 2009-06-11 | 순천대학교 산학협력단 | Operation method of MC protocol to guarantee QOS in ubiquitous sensor network |
| KR101252486B1 (en) * | 2012-12-18 | 2013-04-09 | 국방과학연구소 | Surveillance and reconnaissance sensor network system and controling method thereof |
| KR20150077684A (en) | 2013-12-30 | 2015-07-08 | 삼성전자주식회사 | Function Operating Method based on Biological Signals and Electronic Device supporting the same |
| US20180213379A1 (en) | 2015-08-20 | 2018-07-26 | Intel IP Corporation | Machine type communication relaying |
-
2019
- 2019-05-14 KR KR1020190056409A patent/KR102179791B1/en active Active
Patent Citations (4)
| Publication number | Priority date | Publication date | Assignee | Title |
|---|---|---|---|---|
| KR20090060017A (en) * | 2007-12-07 | 2009-06-11 | 순천대학교 산학협력단 | Operation method of MC protocol to guarantee QOS in ubiquitous sensor network |
| KR101252486B1 (en) * | 2012-12-18 | 2013-04-09 | 국방과학연구소 | Surveillance and reconnaissance sensor network system and controling method thereof |
| KR20150077684A (en) | 2013-12-30 | 2015-07-08 | 삼성전자주식회사 | Function Operating Method based on Biological Signals and Electronic Device supporting the same |
| US20180213379A1 (en) | 2015-08-20 | 2018-07-26 | Intel IP Corporation | Machine type communication relaying |
Non-Patent Citations (1)
| Title |
|---|
| YUHAN SU et al., "LTE-U and Wi-Fi Coexistence Algorithm Based on Q-learning in Multi-channel", IEEE Access, Vol. 6, pp.13544-13652 (2018.02.12.) 1부.* * |
Cited By (1)
| Publication number | Priority date | Publication date | Assignee | Title |
|---|---|---|---|---|
| KR102420744B1 (en) * | 2021-01-15 | 2022-07-15 | 한국전력공사 | IoT Packet Scheduling Control Method and Sink Node Device |
Similar Documents
| Publication | Publication Date | Title |
|---|---|---|
| US11569933B2 (en) | Method and apparatus for detecting physical downlink control channel based on predicted information | |
| US7813739B2 (en) | Method for reducing inter-cell interference in wireless OFDMA networks | |
| Giupponi et al. | Fuzzy-based spectrum handoff in cognitive radio networks | |
| US9185686B2 (en) | Multichannel wireless communication system, base station, and channel using method | |
| Sarkar et al. | Performance analysis of IEEE 802.15. 6 MAC protocol under non-ideal channel conditions and saturated traffic regime | |
| Choi et al. | Opportunistic access to spectrum holes between packet bursts: A learning-based approach | |
| CN112335278B (en) | Method, apparatus and computer-readable medium for network optimization | |
| TW201309055A (en) | Methods of optimizing scanning parameters for a plurality of channels in a wireless band | |
| CN101911767A (en) | Communication Handover Management | |
| US10849143B2 (en) | Machine learning (ML) based client behavior prediction for multi-user (MU) scheduler optimization | |
| Liu et al. | TALENT: Temporal adaptive link estimator with no training | |
| Zhao et al. | Deep reinforcement learning aided intelligent access control in energy harvesting based WLAN | |
| Kim et al. | Adaptive scheduling and power control for multi-objective optimization in IEEE 802.15. 6 based personalized wireless body area networks | |
| Nauman et al. | Reliability optimization in narrowband device-to-device communication for 5G and beyond-5G networks | |
| TW202437155A (en) | Traffic identification using machine learning | |
| Ullah et al. | Performance analysis of IEEE 802.15. 6 contention-based MAC protocol | |
| EP2237627B1 (en) | Method for resolving network contention | |
| Tashman et al. | Performance optimization of energy-harvesting underlay cognitive radio networks using reinforcement learning | |
| KR102179791B1 (en) | Apparatus and method for adjusting duty cycle for coexistence of heterogeneous networks and recording medium for performing the method | |
| CN114631352B (en) | Energy-saving technology for multi-connectivity devices | |
| Lall et al. | Multi-agent reinfocement learning for stochastic power management in cognitive radio network | |
| Kim et al. | A priority-based dynamic link scheduling algorithm using multi-criteria decision making in wireless body area networks | |
| Sohaib et al. | Intelligent energy efficient resource allocation for URLLC services in IoV networks | |
| Misra et al. | Optimal sensing-order in cognitive radio networks with cooperative centralized sensing | |
| US20250080384A1 (en) | Method for Activator-Tag Post-Transmission Orthogonalization |
Legal Events
| Date | Code | Title | Description |
|---|---|---|---|
| PA0109 | Patent application |
Patent event code: PA01091R01D Comment text: Patent Application Patent event date: 20190514 |
|
| PA0201 | Request for examination | ||
| PE0902 | Notice of grounds for rejection |
Comment text: Notification of reason for refusal Patent event date: 20200227 Patent event code: PE09021S01D |
|
| E701 | Decision to grant or registration of patent right | ||
| PE0701 | Decision of registration |
Patent event code: PE07011S01D Comment text: Decision to Grant Registration Patent event date: 20200926 |
|
| GRNT | Written decision to grant | ||
| PR0701 | Registration of establishment |
Comment text: Registration of Establishment Patent event date: 20201111 Patent event code: PR07011E01D |
|
| PR1002 | Payment of registration fee |
Payment date: 20201111 End annual number: 3 Start annual number: 1 |
|
| PG1601 | Publication of registration | ||
| PR1001 | Payment of annual fee |
