KR102156490B1 - Image decoding apparatus based on airborn and differential method of decoding image using the same - Google Patents
Image decoding apparatus based on airborn and differential method of decoding image using the same Download PDFInfo
- Publication number
- KR102156490B1 KR102156490B1 KR1020190015224A KR20190015224A KR102156490B1 KR 102156490 B1 KR102156490 B1 KR 102156490B1 KR 1020190015224 A KR1020190015224 A KR 1020190015224A KR 20190015224 A KR20190015224 A KR 20190015224A KR 102156490 B1 KR102156490 B1 KR 102156490B1
- Authority
- KR
- South Korea
- Prior art keywords
- raw data
- equation
- aircraft
- pixel
- corrected
- Prior art date
- Legal status (The legal status is an assumption and is not a legal conclusion. Google has not performed a legal analysis and makes no representation as to the accuracy of the status listed.)
- Active
Links
Images
Classifications
-
- G—PHYSICS
- G01—MEASURING; TESTING
- G01S—RADIO DIRECTION-FINDING; RADIO NAVIGATION; DETERMINING DISTANCE OR VELOCITY BY USE OF RADIO WAVES; LOCATING OR PRESENCE-DETECTING BY USE OF THE REFLECTION OR RERADIATION OF RADIO WAVES; ANALOGOUS ARRANGEMENTS USING OTHER WAVES
- G01S13/00—Systems using the reflection or reradiation of radio waves, e.g. radar systems; Analogous systems using reflection or reradiation of waves whose nature or wavelength is irrelevant or unspecified
- G01S13/88—Radar or analogous systems specially adapted for specific applications
- G01S13/89—Radar or analogous systems specially adapted for specific applications for mapping or imaging
- G01S13/90—Radar or analogous systems specially adapted for specific applications for mapping or imaging using synthetic aperture techniques, e.g. synthetic aperture radar [SAR] techniques
-
- G—PHYSICS
- G01—MEASURING; TESTING
- G01S—RADIO DIRECTION-FINDING; RADIO NAVIGATION; DETERMINING DISTANCE OR VELOCITY BY USE OF RADIO WAVES; LOCATING OR PRESENCE-DETECTING BY USE OF THE REFLECTION OR RERADIATION OF RADIO WAVES; ANALOGOUS ARRANGEMENTS USING OTHER WAVES
- G01S13/00—Systems using the reflection or reradiation of radio waves, e.g. radar systems; Analogous systems using reflection or reradiation of waves whose nature or wavelength is irrelevant or unspecified
- G01S13/88—Radar or analogous systems specially adapted for specific applications
- G01S13/89—Radar or analogous systems specially adapted for specific applications for mapping or imaging
- G01S13/90—Radar or analogous systems specially adapted for specific applications for mapping or imaging using synthetic aperture techniques, e.g. synthetic aperture radar [SAR] techniques
- G01S13/9004—SAR image acquisition techniques
- G01S13/9017—SAR image acquisition techniques with time domain processing of the SAR signals in azimuth
-
- G—PHYSICS
- G01—MEASURING; TESTING
- G01S—RADIO DIRECTION-FINDING; RADIO NAVIGATION; DETERMINING DISTANCE OR VELOCITY BY USE OF RADIO WAVES; LOCATING OR PRESENCE-DETECTING BY USE OF THE REFLECTION OR RERADIATION OF RADIO WAVES; ANALOGOUS ARRANGEMENTS USING OTHER WAVES
- G01S7/00—Details of systems according to groups G01S13/00, G01S15/00, G01S17/00
- G01S7/02—Details of systems according to groups G01S13/00, G01S15/00, G01S17/00 of systems according to group G01S13/00
- G01S7/40—Means for monitoring or calibrating
-
- G06T5/001—
-
- G—PHYSICS
- G06—COMPUTING OR CALCULATING; COUNTING
- G06T—IMAGE DATA PROCESSING OR GENERATION, IN GENERAL
- G06T5/00—Image enhancement or restoration
- G06T5/50—Image enhancement or restoration using two or more images, e.g. averaging or subtraction
-
- G—PHYSICS
- G06—COMPUTING OR CALCULATING; COUNTING
- G06T—IMAGE DATA PROCESSING OR GENERATION, IN GENERAL
- G06T2207/00—Indexing scheme for image analysis or image enhancement
- G06T2207/10—Image acquisition modality
- G06T2207/10032—Satellite or aerial image; Remote sensing
Landscapes
- Engineering & Computer Science (AREA)
- Remote Sensing (AREA)
- Radar, Positioning & Navigation (AREA)
- Physics & Mathematics (AREA)
- General Physics & Mathematics (AREA)
- Computer Networks & Wireless Communication (AREA)
- Electromagnetism (AREA)
- Signal Processing (AREA)
- Theoretical Computer Science (AREA)
- Radar Systems Or Details Thereof (AREA)
Abstract
항공기기반 분할영상복원장치는 파형발생기, 분배기, 안테나부재, 믹서, 원시데이터생성부, 요동보정부, 예비역투영부, 예비영상복원부, 거리방향회전성분검출부, 방위방향회전성분검출부, 및 보정데이터생성부를 포함한다. 상기 요동보정부는 상기 원시데이터생성부에 연결되며, 상기 원시데이터를 기설정된 공간기준값에 따라 분할하여 복수개의 구획원시데이터들을 생성한다. 상기 예비역투영부는 상기 각 구획원시데이터별로 정합필터과정을 수행하여 복수개의 보정전 역투영함수들을 계산한다. 상기 거리방향회전성분검출부는 상기 각 구획예비영상의 거리방향성분이 이상적인 거리방향으로부터 기울어진 각도를 해당 구획예비영상의 거리방향회전각도로 설정한다. 상기 방위방향회전성분검출부는 상기 각 구획예비영상의 방위방향성분이 이상적인 방위방향으로부터 기울어진 각도를 해당 구획예비영상의 방위방향회전각도로 설정한다. 상기 보정데이터생성부는 상기 각 구획예비영상별로 상기 거리방향회전각도 및 상기 방위방향회전각도를 이용하여 상기 각 화소들의 위치를 보정하고, 상기 각 보정된 화소별 위치에 따라 상기 각 구획예비영상별로 정합필터과정을 수행하여 상기 각 보정된 화소별 역투영함수를 보정된 구획데이터로 생성한다.Aircraft-based segmented image restoration device includes waveform generator, distributor, antenna member, mixer, raw data generation unit, vibration correction unit, preliminary reverse projection unit, preliminary image restoration unit, distance direction rotation component detection unit, azimuth direction rotation component detection unit, and correction data. It includes a generator. The shaking motion correction unit is connected to the raw data generation unit, and generates a plurality of partition raw data by dividing the raw data according to a preset spatial reference value. The preliminary reverse projection unit calculates a plurality of pre-correction reverse projection functions by performing a matching filter process for each segment raw data. The distance direction rotation component detector sets an angle in which the distance direction component of each of the segment preliminary images is inclined from an ideal distance direction as the distance direction rotation angle of the corresponding segment preliminary image. The azimuth direction rotation component detection unit sets an angle in which the azimuth direction component of each segment preliminary image is inclined from an ideal azimuth direction as an azimuth direction rotation angle of the corresponding segment preliminary image. The correction data generator corrects the positions of each of the pixels using the distance direction rotation angle and the azimuth rotation angle for each division preliminary image, and matches each division preliminary image according to the corrected position of each pixel. A filtering process is performed to generate the corrected reverse projection function for each pixel as corrected segment data.
Description
본 발명은 항공기기반 분할영상복원장치 및 이를 이용한 분할영상복원방법에 관한 것으로, 보다 상세하게는 항공기에 의해 측정된 FMCW-SAR(Frequency Modulated Continuous Wave - Synthetic Aperture Radar) 데이터의 지향각오류(Squint Error)를보정하는 분할영상복원장치 및 이를 이용한 분할영상복원방법에 관한 것이다.The present invention relates to an aircraft-based segmented image restoration apparatus and a segmented image restoration method using the same, and more particularly, to a Squint Error of FMCW-SAR (Frequency Modulated Continuous Wave-Synthetic Aperture Radar) data measured by an aircraft. ), and a split image restoration method using the same.
지구환경조사는 방대한 지역의 지질, 해양, 생태 등을 조사하는 분야로서, 현장조사, 실내실험, 원격탐사 등을 포함한다.The global environment survey is a field that investigates geology, oceans, and ecology of a vast area, and includes field surveys, indoor experiments, and remote sensing.
현장조사는 지표탐사, 보링, 물리탐사 등 직접현장을 방문하여 육안 또는 각종 조사장비를 이용한 조사를 포함한다. 현장조사는 그 정확도가 높기 때문에 현재까지도 정밀측정이 필요한 경우에 널리 사용된다. 실내실험은 현장에서 직접 측정하기 어려운 화학적, 물리적 특성 등을 실험실 내의 정밀계측장비를 이용하여 측정한다. 현장조사와 실내실험은 그 정확도가 높은 장점이 있으나, 시간적·공간적 제약으로 인하여 넓은 지역, 원격지, 격오지, 해양 등에 적용하기 쉽지 않다.Site surveys include direct visits to sites such as surface exploration, boring, and physical exploration, and surveys using the naked eye or various survey equipment. Because of its high accuracy, field surveys are still widely used when precise measurements are required. In indoor experiments, chemical and physical properties that are difficult to measure directly in the field are measured using precision measuring equipment in the laboratory. Field surveys and indoor experiments have the advantage of high accuracy, but due to temporal and spatial constraints, they are not easy to apply to large areas, remote areas, remote areas, and oceans.
최근에는 원격탐사기술의 발달로 인하여 항공기를 이용한 원격탐사가 널리 이용되고 있다. 특히, 화산폭발, 지진, 태풍 등의 재난상황이나 빙하, 조수, 파도, 해양오염과 같은 환경모니터링에 있어서 원격탐사가 매우 유용하다.In recent years, due to the development of remote sensing technology, remote sensing using aircraft has been widely used. In particular, remote sensing is very useful in disaster situations such as volcanic eruptions, earthquakes, typhoons, and environmental monitoring such as glaciers, tides, waves, and marine pollution.
일반적인 원격탐사장비는 인공위성이나 항공기에 탑재된 레이더를 이용한다. 인공위성의 경우 넓은 지역을 원거리에서 측정하는 것이 가능하지만, 많은 비용이 소요되고 측정지점과의 거리가 멀기 때문에 정밀한 데이터를 얻는 것이 어렵다.General remote sensing equipment uses satellites or radar mounted on aircraft. In the case of an artificial satellite, it is possible to measure a large area from a distance, but it is difficult to obtain precise data because it is expensive and the distance from the measurement point is far.
항공기의 경우 인공위성과 비교할 때 비교적 저렴한 가격에 근거리 측정이 가능하다는 장점이 있다. 그러나 항공기를 운행하는 동안 대기상태, 기상, 엔진, 등의 원인에 의해 지속적인 요동과 진동이 발생한다. 항공기의 요동과 진동은 데이터의 품질을 저하시키지만 공중을 운행하는 항공기의 특성상 이를 완전히 제거하는 것이 불가능하다.In the case of an aircraft, it has the advantage of being able to measure near-distance at a relatively low price compared to satellites. However, during the operation of the aircraft, continuous fluctuations and vibrations occur due to atmospheric conditions, weather, engines, etc. The vibration and vibration of the aircraft degrade the quality of the data, but it is impossible to completely eliminate them due to the nature of the aircraft operating in the air.
이러한 문제점들 중에서 특히 레이더의 조사방향이 비틀어져서 발생하는 지향각오류(Squint Error)가 발생하는 경우, 항공기를 통하여 얻은 데이터가 3차원 형태를 갖는 점으로 인하여 방위방향과 거리방향이 동시에 비틀어져서, 해당 데이터 자체를 사용할 수 없는 문제점이 있다.Among these problems, especially when a squint error occurs due to a twisting of the radar's irradiation direction, the azimuth direction and the distance direction are twisted at the same time due to the fact that the data obtained through the aircraft has a three-dimensional shape, There is a problem that the data itself cannot be used.
더욱이, 지향각오류 뿐만 아니라 항공기의 요동이 함께 존재하는 경우, 데이터 보정이 매우 어려우며 보정시도에 의한 결과물에 오류가 많아서 사실상 재사용이 불가능한 것으로 알려져 왔다.Moreover, it has been known that data correction is very difficult when there is not only an orientation angle error, but also the vibration of the aircraft, and since there are many errors in the result of the correction attempt, it is virtually impossible to reuse.
이는 데이터의 교차검증으로도 해결할 수 없는 문제로서, 종래에는 데이터 검사에서 지향각오류가 나타나는 경우 해당 데이터를 버리고 SAR레이더를 물리적으로 보정하여 다시 비행데이터를 수집하는 방법을 사용하였다.This is a problem that cannot be solved even by cross-validation of data, and conventionally, when a heading angle error appears in data inspection, the data is discarded and the SAR radar is physically corrected to collect flight data again.
그러나 항공기 운행에는 적지않은 비용이 소요되기 때문에, 지향각오류를 보정하는 기술개발에 대한 필요성이 존재한다.However, there is a need for technology development for correcting the orientation angle error, because a considerable cost is required to operate the aircraft.
본 발명의 목적은 항공기에 의해 측정된 FMCW-SAR(Frequency Modulated Continuous Wave - Synthetic Aperture Radar) 데이터의 지향각오류(Squint Error)를보정하는 분할영상복원장치를 제공하는 것이다.An object of the present invention is to provide a segmented image restoration apparatus for correcting a Squint Error of FMCW-SAR (Frequency Modulated Continuous Wave-Synthetic Aperture Radar) data measured by an aircraft.
본 발명의 목적은 항공기에 의해 측정된 FMCW-SAR(Frequency Modulated Continuous Wave - Synthetic Aperture Radar) 데이터의 지향각오류(Squint Error)를 보정하는 분할영상복원장치를 이용하는 분할영상복원방법을 제공하는 것이다.An object of the present invention is to provide a segmented image restoration method using a segmented image restoration apparatus for correcting a Squint Error of FMCW-SAR (Frequency Modulated Continuous Wave-Synthetic Aperture Radar) data measured by an aircraft.
본 발명의 일 실시예에 따른 항공기기반 분할영상복원장치는 파형발생기, 분배기, 안테나부재, 믹서, 원시데이터생성부, 요동보정부, 예비역투영부, 예비영상복원부, 거리방향회전성분검출부, 방위방향회전성분검출부, 및 보정데이터생성부를 포함한다. 상기 파형발생기는 송신파와 동일한 파형의 신호를 생성한다. 상기 분배기는 상기 파형발생기에 연결되며, 상기 파형발생기로부터 발생된 신호를 인가받아 분배한다. 상기 안테나부재는 상기 분배기에 연결되며, 상기 분배기로부터 상기 분배된 신호를 인가받아 상기 송신파를 지표면으로 송신하는 송신안테나와, 상기 지표면으로부터 반사되는 수신파를 수신하는 수신안테나를 포함한다. 상기 믹서는 상기 분배기 및 상기 수신안테나에 연결되며, 상기 분배기로부터 인가받은 상기 분배된 신호와 상기 수신안테나로부터 수신된 상기 수신파를 혼합한다. 상기 원시데이터생성부는 상기 믹서와 연결되며, 상기 믹서로부터 상기 혼합된 신호를 인가받아 상기 지표면의 각 화소별 거리를 측정하여 상기 각 화소별 수신신호에 대응되는 원시데이터를 생성한다. 상기 요동보정부는 상기 원시데이터생성부에 연결되며, 상기 원시데이터를 기설정된 공간기준값에 따라 분할하여 복수개의 구획원시데이터들을 생성한다. 상기 예비역투영부는 상기 각 구획원시데이터별로 정합필터과정을 수행하여 복수개의 보정전 역투영함수들을 계산한다. 상기 예비영상복원부는 상기 각 보정전 역투영함수들을 각 화소별로 투영하여 구획된 합성개구면들마다 구획예비영상을 생성한다. 상기 거리방향회전성분검출부는 상기 각 구획예비영상의 거리방향성분이 이상적인 거리방향으로부터 기울어진 각도를 해당 구획예비영상의 거리방향회전각도로 설정한다. 상기 방위방향회전성분검출부는 상기 각 구획예비영상의 방위방향성분이 이상적인 방위방향으로부터 기울어진 각도를 해당 구획예비영상의 방위방향회전각도로 설정한다. 상기 보정데이터생성부는 상기 각 구획예비영상별로 상기 거리방향회전각도 및 상기 방위방향회전각도를 이용하여 상기 각 화소들의 위치를 보정하고, 상기 각 보정된 화소별 위치에 따라 상기 각 구획예비영상별로 정합필터과정을 수행하여 상기 각 보정된 화소별 역투영함수를 보정된 구획데이터로 생성한다. 일 실시예에서, 상기 보정전데이터생성부는 상기 각 보정된 구획데이터를 상기 각 보정된 화소별로 투영하여 합성개구면 상의 보정된 영상을 더 생성할 수 있다.An aircraft-based segmented image restoration apparatus according to an embodiment of the present invention includes a waveform generator, a distributor, an antenna member, a mixer, a raw data generation unit, a rotation correction unit, a preliminary reverse projection unit, a preliminary image restoration unit, a distance direction rotation component detection unit, and a bearing. And a direction rotation component detection unit, and a correction data generation unit. The waveform generator generates a signal having the same waveform as the transmission wave. The divider is connected to the waveform generator, and receives and distributes a signal generated from the waveform generator. The antenna member is connected to the splitter, and includes a transmission antenna receiving the distributed signal from the splitter and transmitting the transmission wave to the ground surface, and a reception antenna receiving a reception wave reflected from the ground surface. The mixer is connected to the distributor and the reception antenna, and mixes the distributed signal received from the distributor and the reception wave received from the reception antenna. The raw data generator is connected to the mixer, receives the mixed signal from the mixer, measures a distance for each pixel on the ground surface, and generates raw data corresponding to the received signal for each pixel. The shaking motion correction unit is connected to the raw data generation unit, and generates a plurality of partition raw data by dividing the raw data according to a preset spatial reference value. The preliminary reverse projection unit calculates a plurality of pre-correction reverse projection functions by performing a matching filter process for each segment raw data. The preliminary image restoration unit projects the pre-correction reverse projection functions for each pixel to generate a partition preliminary image for each of the divided composite openings. The distance direction rotation component detector sets an angle in which the distance direction component of each of the segment preliminary images is inclined from an ideal distance direction as the distance direction rotation angle of the corresponding segment preliminary image. The azimuth direction rotation component detection unit sets an angle in which the azimuth direction component of each segment preliminary image is inclined from an ideal azimuth direction as an azimuth direction rotation angle of the corresponding segment preliminary image. The correction data generator corrects the positions of each of the pixels using the distance direction rotation angle and the azimuth rotation angle for each division preliminary image, and matches each division preliminary image according to the corrected position of each pixel. A filtering process is performed to generate the corrected reverse projection function for each pixel as corrected segment data. In one embodiment, the pre-correction data generator may further generate a corrected image on the composite opening surface by projecting the corrected segment data for each corrected pixel.
일 실시예에서, 상기 예비역투영부는 상기 원시데이터(SIF,r(ω, u'Mp);ω는 주파수, u'Mp는 수신안테나의 위치))에 [식 1], 및 [식 2]의 정합필터과정을 수행하여 각 구획원시데이터별 각 화소(x'i,y'j)별 보정전 역투영함수 f(x'i,y'j)를 계산할 수 있다.In one embodiment, the preliminary reverse projection unit is in the raw data (S IF,r (ω, u'Mp ); ω is the frequency, u'Mp is the position of the receiving antenna)), [Equation 1], and [Equation 2] By performing the matched filter process of, the pre-correction reverse projection function f(x' i , y'j ) for each pixel (x' i , y'j ) for each segment raw data can be calculated.
[식 1][Equation 1]
[식 2][Equation 2]
([식 1] 및 [식 2]에서, K는 요동보정부에 의해 1/M으로 구획된 구획원시데이터의 번호를 나타내며, u'Mp는 p번째 수신파가 수신될 시점에서 수신안테나 위치를 나타내며, tdij는 i,j번째 화소의 지연시간을 나타내며, (x'i,y'j)은 원시데이터 상에서 i,j번째 화소의 위치(좌표)를 나타내며, Wp는 수신안테나에서 측정된 신호강도에 대한 윈도우함수를 나타내고, t는 샘플링시간을 나타내며, ω는 주파수를 나타내고, u'Mp는 각 구획원시데이터에서 항공기 상에 장착된 수신안테나의 위치를 나타내며, SIF,r(ω, u'Mp)는 수신안테나가 u'Mp에 위치하는 경우의 수신신호에 대한 원시데이터를 나타내며, tdij(u'Mp)는 항공기에 장착된 수신안테나의 위치(u'Mp)에 따른 지연시간을 나타낸다)(In [Equation 1] and [Equation 2], K denotes the number of segmented raw data divided by 1/M by the shaking motion compensation unit , and u'Mp denotes the position of the receiving antenna at the time the p-th received wave is received. And t dij represents the delay time of the i,j-th pixel, (x' i ,y' j ) represents the position (coordinate) of the i,j-th pixel on the raw data, and Wp is the signal measured by the receiving antenna denotes a window function of the intensity, t denotes a sampling time, ω denotes the frequency, u 'Mp denotes the location of the receiving antenna mounted on the aircraft in each block of raw data, S IF, r (ω, u 'Mp) is the receive antenna u' the delay time of the received signal represents the raw data for a, t dij (u 'Mp) is located (u of the receive antennas mounted on the aircraft' Mp) of the case which is located Mp Indicate)
일 실시예에서, 상기 보정데이터생성부는 상기 원시데이터(SIF,r(ω, u'Mp))에 [식 3] 내지 [식 6]의 정합필터과정을 수행하여 각 보정된 화소(xi,yj)별 역투영함수 f(xi,yj)를 보정된 구획데이터로 생성하고 상기 보정된 구획데이터를 상기 각 보정된 화소(xi,yj)별로 투영하여 상기 합성개구면 상의 상기 보정된 영상을 생성할 수 있다.In one embodiment, the correction data generation unit performs a matching filter process of [Equation 3] to [Equation 6] on the raw data (S IF,r (ω, u'Mp )) to each corrected pixel (x i ,y j ) inverse projection function f(x i ,y j ) is generated as corrected segment data, and the corrected segment data is projected for each of the corrected pixels (x i ,y j ), The corrected image may be generated.
[식 3][Equation 3]
u'Mp=uMp-Rgtanφyaw u'Mp =u Mp -R g tanφ yaw
[식 4][Equation 4]
[식 5][Equation 5]
[식 6][Equation 6]
([식 3] 내지 [식 6]에서, uMp(ux, uy, uz)는 p번째 수신파가 수신될 시점에서 수신안테나의 위치를 보정한 좌표를 나타내고, uMp(u'x, u'y, u'z)는 p번째 수신파가 수신될 시점에서 수신안테나의 위치를 보정하지 않은 좌표를 나타내며, Rg는 지표면으로 투영된 수신파의 길이를 나타내며, (xc, yc)는 지표면 상의 조사기준점의 좌표를 나타내며, (xi,yj)는 보정된 i,j번째 화소의 좌표를 나타내며, f(xi,yj)는 보정된 i,j번째 역투영함수를 나타낸다)(In [Equation 3] to [Equation 6], u Mp (u x , u y , u z ) represents the coordinates corrected for the position of the reception antenna at the time point at which the p-th received wave is received, and u Mp (u' x, u 'y, u' z) represents the coordinates p-th received wave does not correct the position of the receiving antenna at the point to be received, R g indicates the length of the received wave projected onto the ground surface, (x c, y c ) represents the coordinates of the reference point on the ground surface, (x i ,y j ) represents the coordinates of the corrected i,jth pixel, and f(x i ,y j ) represents the corrected i,jth reverse projection Represents a function)
일 실시예에서, 상기 보정데이터생성부는 수치해석을 통하여 [식 3] 내지 [식 6]를 반복계산함으로써 FMCW-SAR(Frequency Modulated Continuous Wave - Synthetic Aperture Radar) 영상 내의 i,j번째 좌표를 복원할 수 있다.In one embodiment, the correction data generation unit is to restore the i, j-th coordinates in the FMCW-SAR (Frequency Modulated Continuous Wave-Synthetic Aperture Radar) image by repeatedly calculating [Equation 3] to [Equation 6] through numerical analysis. I can.
일 실시예에서, 상기 거리방향회전성분검출부는 상기 각 구획예비영상의 수평방향을 거리방향으로 하고, 상기 거리방향성분이 상기 수평방향으로부터 기울어진 각도를 상기 거리방향회전각도(φrg)로 설정할 수 있다.In one embodiment, the distance direction rotation component detection unit may set the horizontal direction of each of the section preliminary images as a distance direction, and set an angle in which the distance direction component is inclined from the horizontal direction as the distance direction rotation angle (φ rg ). have.
일 실시예에서, 상기 방위방향회전성분검출부는 상기 각 구획예비영상의 수직방향을 방위방향으로 하고, 상기 방위방향성분이 상기 수직방향으로부터 기울어진 각도를 상기 방위방향회전각도(φyaw)로 설정할 수 있다.In one embodiment, the azimuth direction rotation component detection unit may set a vertical direction of each of the section preliminary images as an azimuth direction, and an angle in which the azimuth direction component is inclined from the vertical direction as the azimuth direction rotation angle (φ yaw ). have.
일 실시예에서, 상기 원시데이터는 항공기에 의해 측정된 FMCW-SAR(Frequency Modulated Continuous Wave - Synthetic Aperture Rader) 데이터를 포함할 수 있다.In one embodiment, the raw data may include Frequency Modulated Continuous Wave-Synthetic Aperture Rader (FMCW-SAR) data measured by an aircraft.
본 발명의 일 실시예에 따른 항공기기반 분할영상복원장치를 이용한 분할영상복원방법에 있어서, 상기 항공기기반 분할영상복원장치는 송신파를 지표면으로 송신하는 송신안테나 및 상기 지표면으로부터 반사되는 수신파를 수신하는 수신안테나를 포함하는 안테나부재와, 상기 수신파를 인가받아 상기 지표면의 각 화소별 거리를 측정하여 상기 각 화소별 수신신호에 대응되는 원시데이터를 생성하는 원시데이터생성부와, 상기 원시데이터를 인가받아 복수개의 구획원시데이터들을 생성하는 요동보정부와, 정합필터과정을 수행하여 각 구획원시데이터별 각 화소별 역투영함수를 계산하는 역투영부와, 상기 역투영함수를 상기 각 원시데이터별 상기 각 화소별로 투영하여 합성개구면 상의 영상을 생성하는 영상복원부와, 상기 각 구획원시데이터별로 상기 수신파의 전파동위상면이 지표면과 접하는 전파동위상선이 기울어진 각도를 거리방향회전각도로 설정하는 거리방향회전성분검출부와, 상기 각 구획원시데이터별로 상기 수신파를 상기 지표면 상에 수직으로 투영한 투영선이 기울어진 각도를 방위방향회전각도로 설정하는 방위방향회전성분검출부와, 상기 각 구획원시데이터별로 상기 거리방향회전각도 및 상기 방위방향회전각도를 이용하여 상기 각 화소별 위치를 보정하는 보정데이터생성부를 포함한다. 상기 분할영상복원방법에 있어서, 먼저, 상기 송신안테나를 이용하여 상기 송신파를 상기 지표면 상으로 송신하고, 상기 지표면으로부터 반사된 상기 수신파를 상기 수신안테나를 통하여 수신한다. 이어서, 상기 수신파를 이용하여 상기 수신안테나와 상기 지표면의 각 화소별 거리를 측정하여 상기 각 화소별 수신신호에 대응되는 원시데이터를 생성한다. 이후에, 상기 요동보정부를 이용하여 상기 원시데이터를 기설정된 공간기준값에 따라 분할하여 상기 구획원시데이터들을 생성한다. 계속해서, 상기 역투영부 및 상기 영상복원부를 이용하여 상기 각 구획원시데이터에 정합필터과정을 수행하여 구획예비영상들을 생성한다. 이어서, 상기 각 구획예비영상을 상기 거리방향회전성분검출부에 인가하여 상기 각 구획예비영상별 거리방향회전각도를 설정한다. 이후에, 상기 각 구획예비영상을 상기 방위방향회전성분검출부에 인가하여 상기 각 구획예비영상별 방위방향회전각도를 설정한다. 계속해서, 상기 각 구획원시데이터별로 상기 거리방향회전각도 및 상기 방위방향회전각도를 상기 보정데이터생성부에 인가하여 상기 각 구획원시데이터별로 각 화소들의 위치를 보정한다. 이어서, 상기 각 구획원시데이터별로 각 보정된 화소별 위치에 따라 정합필터과정을 수행하고 상기 각 구획원시데이터별로 상기 정합필터과정이 수행된 각 구획데이터를 상기 각 보정된 화소별로 투영하여 상기 합성개구면 상의 보정된 영상을 생성한다.In the segmented image restoration method using the aircraft-based segmented image restoration apparatus according to an embodiment of the present invention, the aircraft-based segmented image restoration apparatus receives a transmission antenna that transmits a transmission wave to a ground surface and a reception wave reflected from the ground surface. An antenna member including a receiving antenna; and a source data generator configured to generate source data corresponding to the received signal for each pixel by receiving the received wave and measuring a distance for each pixel on the ground surface; and A shaking motion correction unit that is authorized to generate a plurality of segment raw data, a reverse projection unit that calculates a reverse projection function for each pixel for each segment raw data by performing a matching filter process, and the reverse projection function for each of the original data. An image restoration unit that projects each pixel to generate an image on the composite aperture, and sets the angle of inclination of the inclination of the propagation inphase line in contact with the ground surface of the received wave for each segment raw data as a distance direction rotation angle. A distance direction rotational component detection unit, an azimuth direction rotational component detection unit for setting an inclined angle of a projection line vertically projecting the received wave onto the ground surface for each of the divisional raw data as an azimuth rotational angle, and the respective divisional raw data Each pixel includes a correction data generator for correcting the position of each pixel using the distance direction rotation angle and the azimuth direction rotation angle. In the split image restoration method, first, the transmission wave is transmitted onto the ground surface using the transmission antenna, and the reception wave reflected from the ground surface is received through the reception antenna. Subsequently, the distance of each pixel between the receiving antenna and the ground surface is measured using the received wave to generate raw data corresponding to the received signal for each pixel. Thereafter, the original data are divided according to a preset spatial reference value using the shaking motion correction unit to generate the divided raw data. Subsequently, a matching filter process is performed on each of the segment raw data using the reverse projection unit and the image restoration unit to generate segment preliminary images. Subsequently, the respective segment preliminary images are applied to the distance direction rotation component detection unit to set the distance direction rotation angle for each segment preliminary image. Thereafter, each of the segment preliminary images is applied to the azimuth direction rotation component detection unit to set an azimuth direction rotation angle for each segment preliminary image. Subsequently, the distance direction rotation angle and the azimuth direction rotation angle are applied to the correction data generator for each of the divided raw data to correct the positions of the pixels for each of the divided raw data. Subsequently, a matching filter process is performed according to the position of each corrected pixel for each of the divided raw data, and each of the divided data on which the matching filter process is performed for each of the divided raw data is projected for each of the corrected pixels, Generates a corrected image on a spherical surface.
일 실시예에서, 상기 각 구획원시데이터에 정합필터과정을 수행하여 구획예비영상들을 생성하는 단계는, 상기 원시데이터(SIF,r(ω, u'Mp);ω는 주파수, u'Mp는 수신안테나의 위치))에 [식 1], 및 [식 2]의 정합필터과정을 수행하여 각 구획원시데이터별 각 화소(x'i,y'j)별 보정전 역투영함수 f(x'i,y'j)를 계산할 수 있다.In one embodiment, the step of generating the segment preliminary images by performing a matching filter process on each segment raw data comprises: the original data (S IF,r (ω, u'Mp ); ω is a frequency, u'Mp is The matching filter process of [Equation 1] and [Equation 2] is performed on the position of the receiving antenna)), and the inverse projection function f(x' before correction for each pixel (x' i ,y' j ) for each segment raw data is performed. i ,y' j ) can be calculated.
[식 1][Equation 1]
[식 2][Equation 2]
([식 1] 및 [식 2]에서, K는 요동보정부에 의해 1/M으로 구획된 구획원시데이터의 번호를 나타내며, u'Mp는 p번째 수신파가 수신될 시점에서 수신안테나 위치를 나타내며, tdij는 i,j번째 화소의 지연시간을 나타내며, (x'i,y'j)은 원시데이터 상에서 i,j번째 화소의 위치(좌표)를 나타내며, Wp는 수신안테나에서 측정된 신호강도에 대한 윈도우함수를 나타내고, t는 샘플링시간을 나타내며, ω는 주파수를 나타내고, u'Mp는 각 구획원시데이터에서 항공기 상에 장착된 수신안테나의 위치를 나타내며, SIF,r(ω, u'Mp)는 수신안테나가 u'Mp에 위치하는 경우의 수신신호에 대한 원시데이터를 나타내며, tdij(u'Mp)는 항공기에 장착된 수신안테나의 위치(u'Mp)에 따른 지연시간을 나타낸다)(In [Equation 1] and [Equation 2], K denotes the number of segmented raw data divided by 1/M by the shaking motion compensation unit , and u'Mp denotes the position of the receiving antenna at the time the p-th received wave is received. And t dij represents the delay time of the i,j-th pixel, (x' i ,y' j ) represents the position (coordinate) of the i,j-th pixel on the raw data, and Wp is the signal measured by the receiving antenna denotes a window function of the intensity, t denotes a sampling time, ω denotes the frequency, u 'Mp denotes the location of the receiving antenna mounted on the aircraft in each block of raw data, S IF, r (ω, u 'Mp) is the receive antenna u' the delay time of the received signal represents the raw data for a, t dij (u 'Mp) is located (u of the receive antennas mounted on the aircraft' Mp) of the case which is located Mp Indicate)
일 실시예에서, 상기 각 구획원시데이터별로 각 화소들의 위치를 보정하는 단계는, 상기 원시데이터(SIF,r(ω, u'Mp))에 [식 3] 내지 [식 6]의 정합필터과정을 수행하여 각 보정된 화소(xi,yj)별 역투영함수 f(xi,yj)를 보정된 구획데이터로 생성하고 상기 보정된 구획데이터를 상기 각 보정된 화소(xi,yj)별로 투영하여 상기 합성개구면 상의 상기 보정된 영상을 생성할 수 있다.In an embodiment, the step of correcting the position of each pixel for each segment raw data includes matching filters of [Equation 3] to [Equation 6] in the raw data (S IF,r (ω, u'Mp )) By performing a process, the reverse projection function f(x i ,y j ) for each corrected pixel (x i ,y j ) is generated as corrected segment data, and the corrected segment data is converted into the corrected segment data (x i , The corrected image on the composite opening surface may be generated by projecting for each y j ).
[식 3][Equation 3]
u'Mp=uMp-Rgtanφyaw u'Mp =u Mp -R g tanφ yaw
[식 4][Equation 4]
[식 5][Equation 5]
[식 6][Equation 6]
([식 3] 내지 [식 6]에서, uMp(ux, uy, uz)는 p번째 수신파가 수신될 시점에서 수신안테나의 위치를 보정한 좌표를 나타내고, uMp(u'x, u'y, u'z)는 p번째 수신파가 수신될 시점에서 수신안테나의 위치를 보정하지 않은 좌표를 나타내며, Rg는 지표면으로 투영된 수신파의 길이를 나타내며, (xc, yc)는 지표면 상의 조사기준점의 좌표를 나타내며, (xi,yj)는 보정된 i,j번째 화소의 좌표를 나타내며, f(xi,yj)는 보정된 i,j번째 역투영함수를 나타낸다)(In [Equation 3] to [Equation 6], u Mp (u x , u y , u z ) represents the coordinates corrected for the position of the reception antenna at the time point at which the p-th received wave is received, and u Mp (u' x, u 'y, u' z) represents the coordinates p-th received wave does not correct the position of the receiving antenna at the point to be received, R g indicates the length of the received wave projected onto the ground surface, (x c, y c ) represents the coordinates of the reference point on the ground surface, (x i ,y j ) represents the coordinates of the corrected i,jth pixel, and f(x i ,y j ) represents the corrected i,jth reverse projection Represents a function)
상기와 같은 본 발명에 따르면, 항공기기반 분할영상복원장치에서 레이더의 조사방향이 비틀어져서 지향각오류가 발생하거나, 항공기요동에 의한 오류가 발생하더라도 별도의 물리적인 조치없이 보정된 역투영이미지를 얻을 수 있다.According to the present invention as described above, in the aircraft-based segmented image restoration apparatus, even if the irradiation direction of the radar is distorted and a directing angle error occurs, or an error due to aircraft fluctuation occurs, a corrected reverse projection image can be obtained without additional physical measures. I can.
지향각오류 또는 항공기요동에 의한 오류는 전파동위상면이 지표면에 비틀린 상태로 전파되는 특성때문에 교차검증을 통하여 제거하는 것이 사실상 불가능해서, 종래에는 지향각오류 및/또는 항공기요동에 의한 오류가 발견되면 데이터를 재사용하지 못하고 버려졌다. 따라서 종래에는 역투영한 이미지에 지향각오류 또는 항공기요동에 의한 오류가 발견되면 송신안테나의 방향을 조정한 후에, 다시 항공기를 출항시켜서 새로운 데이터를 얻어야만 했기 때문에 항공기를 2번 운항하는 것으로 인해 많은 시간과 비용이 소요되었다. 그러나 본 발명의 실시예에 따르면 1번의 운항에서 얻어진 데이터를 이용하여 지향각오류 및/또는 항공기요동에 의한 오류가 제거된 역투영이미지를 얻을 수 있기 때문에, 시간과 비용이 감소된다.Since it is virtually impossible to remove the orientation angle error or the error due to the aircraft fluctuation through cross-validation due to the characteristic that the propagation phase plane propagates in a twisted state to the ground surface, conventionally, if errors due to the orientation angle error and/or aircraft fluctuation are found. Data was discarded without being reusable. Therefore, in the past, if an error due to orientation angle error or aircraft fluctuation is found in the reverse-projected image, it is necessary to adjust the direction of the transmission antenna and then depart the aircraft again to obtain new data. And cost. However, according to the exemplary embodiment of the present invention, since it is possible to obtain a back-projection image in which an error due to an orientation angle error and/or an error due to aircraft oscillation is eliminated by using the data obtained in one operation, time and cost are reduced.
항공기요동에 의한 오류는 항공기운항을 미분하면 기본적으로 지향각오류와 동일한 양상을 갖는다. 즉, 항공기가 기울어지는 과정에서 안테나부재가 기울어져서 발생하는 항공기요동에 의한 오류와 안테나부재 자체가 기울어져서 발생하는 지향각오류는, 원시데이터 측면에서 동일한 결과를 나타낸다. 다만, 지향각오류는 항공기가 운항하는 내내 동일한 각도로 기울어져 있으나, 항공기요동에 의한 오류는 시간에 따라 변화한다는 점이 다를 뿐이다.Errors caused by aircraft fluctuations basically have the same aspect as the orientation angle error when differentiating aircraft operation. That is, the error caused by the aircraft oscillation caused by tilting the antenna member during the inclining process of the aircraft and the directing angle error caused by tilting the antenna member itself show the same result in terms of raw data. However, the orientation angle error is inclined at the same angle throughout the flight of the aircraft, but the only difference is that the error due to aircraft fluctuation changes with time.
본 발명에서는 항공기운항과정에서 얻어지는 원시데이터를 구획하여 일종의 미분과 같이 분할함으로써, 항공기요동에 의한 오류를 지향각오류와 동일한 방식으로 처리한다.In the present invention, by dividing the raw data obtained in the course of aircraft operation and dividing it into a kind of derivative, errors due to aircraft fluctuations are treated in the same manner as the orientation angle error.
또한, 하나의 통합역투영부를 이용하여 예비정합필터과정과 보정정합필터과정을 함께 수행함으로써, 항공기기반 분할영상복원장치의 구조가 단순해지고 비용이 절감된다.In addition, by performing the preliminary matching filter process and the correction matching filter process together using one integrated reverse projection unit, the structure of the aircraft-based segmented image restoration apparatus is simplified and cost is reduced.
도 1은 본 발명의 일 실시예에 따른 항공기기반 분할영상복원장치를 나타내는 블록도이다.
도 2는 본 발명의 일 실시예에 따른 항공기에 의해 측정된 FMCW-SAR(Frequency Modulated Continuous Wave - Synthetic Aperture Radar) 데이터에 지향각오류(Squint Error)가 발생하는 과정을 기하구조로 나타내는 도면이다.
도 3은 본 발명의 일 실시예에 따른 항공기에 지향각오류가 존재하지 않는 경우 얻어진 이상적인 데이터를 거리방향과 방위방향으로 나타낸 역투영(BPA) 이미지이다.
도 4는 도 2에 도시된 항공기에 45도의 지향각오류가 존재하는 경우 얻어진 원시데이터를 거리방향과 방위방향으로 투영한 이미지이다.
도 5는 도 2에 도시된 항공기에 45도의 지향각오류가 존재하는 경우 얻어진 데이터를 거리방향과 방위방향으로 나타낸 역투영(BPA) 이미지이다.
도 6는 도 1에 도시된 분할영상복원장치에 지향각오류가 있는 경우의 방위각을 나타내는 기하구조 이미지이다.
도 7은 도 6에 도시된 기하구조를 분할영상복원장치에 지향각오류가 있는 경우 송신파의 방위방향 방사패턴을 나타내는 기하구조 이미지이다.
도 8 내지 도 11은 본 발명의 일 실시예에 따라 거리방향 회전성분(φrg)을 구하는 방법을 나타내는 기하구조 이미지들이다.
도 12는 도 1에 도시된 항공기기반 분할영상복원장치를 이용한 분할영상복원방법을 나타내는 흐름도이다.
도 13은 본 발명의 다른 실시예에 따른 항공기기반 분할영상복원장치를 나타내는 블록도이다.
도 14는 도 13에 도시된 항공기기반 분할영상복원장치를 이용한 분할영상복원방법을 나타내는 흐름도이다.1 is a block diagram showing an aircraft-based split image restoration apparatus according to an embodiment of the present invention.
FIG. 2 is a diagram illustrating a process in which a squint error occurs in frequency modulated continuous wave-synthetic aperture radar (FMCW-SAR) data measured by an aircraft according to an embodiment of the present invention in a geometric structure.
3 is a reverse projection (BPA) image showing ideal data obtained when there is no orientation angle error in an aircraft according to an embodiment of the present invention in a distance direction and an azimuth direction.
FIG. 4 is an image obtained by projecting raw data obtained when a 45 degree orientation angle error exists in the aircraft shown in FIG. 2 in a distance direction and an azimuth direction.
FIG. 5 is a reverse projection (BPA) image showing data obtained when there is a 45-degree orientation angle error in the aircraft shown in FIG. 2 in the distance direction and the azimuth direction.
6 is a geometric image showing an azimuth angle when there is an orientation angle error in the segmented image restoration apparatus shown in FIG. 1.
FIG. 7 is a geometry image showing a radiation pattern in the azimuth direction of a transmission wave when there is an orientation angle error in the divided image restoration apparatus of the geometry shown in FIG. 6.
8 to 11 are geometric images showing a method of obtaining a distance direction rotation component φ rg according to an embodiment of the present invention.
12 is a flowchart illustrating a method of restoring a segmented image using the aircraft-based segmented image restoration device shown in FIG. 1.
13 is a block diagram showing an aircraft-based split image restoration apparatus according to another embodiment of the present invention.
14 is a flow chart showing a split image restoration method using the aircraft-based split image restoration apparatus shown in FIG. 13.
이하, 첨부한 도면들을 참조하여, 본 발명을 보다 상세하게 설명하고자 한다. 본 발명은 다양한 변경을 가할 수 있고 여러 가지 형태를 가질 수 있는 바, 특정 실시예들을 도면에 예시하고 본문에 상세하게 설명하고자 한다. 그러나, 이는 본 발명을 특정한 개시 형태에 대해 한정하려는 것이 아니며, 본 발명의 사상 및 기술 범위에 포함되는 모든 변경, 균등물 내지 대체물을 포함하는 것으로 이해되어야 한다. Hereinafter, the present invention will be described in more detail with reference to the accompanying drawings. In the present invention, various modifications may be made and various forms may be applied, and specific embodiments will be illustrated in the drawings and described in detail in the text. However, this is not intended to limit the present invention to a specific form disclosed, it should be understood to include all changes, equivalents, and substitutes included in the spirit and scope of the present invention.
각 도면을 설명하면서 유사한 참조부호를 유사한 구성요소에 대해 사용하였다. 첨부된 도면에 있어서, 구조물들의 치수는 본 발명의 명확성을 기하기 위하여 실제보다 확대하여 도시한 것이다. In describing each drawing, similar reference numerals have been used for similar elements. In the accompanying drawings, the dimensions of the structures are shown to be enlarged compared to the actual size for clarity of the present invention.
제1, 제2 등의 용어는 다양한 구성요소들을 설명하는데 사용될 수 있지만, 상기 구성요소들은 상기 용어들에 의해 한정되어서는 안 된다. 상기 용어들은 하나의 구성요소를 다른 구성요소로부터 구별하는 목적으로만 사용된다. 예를들어, 본 발명의 권리 범위를 벗어나지 않으면서 제1 구성요소는 제2 구성요소로 명명될 수 있고, 유사하게 제2 구성요소도 제1 구성요소로 명명될 수 있다. 단수의 표현은 문맥상 명백하게 다르게 뜻하지 않는 한, 복수의 표현을 포함한다. Terms such as first and second may be used to describe various components, but the components should not be limited by the terms. These terms are used only for the purpose of distinguishing one component from another component. For example, without departing from the scope of the present invention, a first component may be referred to as a second component, and similarly, a second component may be referred to as a first component. Singular expressions include plural expressions unless the context clearly indicates otherwise.
본 출원에서, "포함하다" 또는 "가지다" 등의 용어는 명세서 상에 기재된 특징, 숫자, 단계, 동작, 구성요소, 부분품 또는 이들을 조합한 것이 존재함을 지정하려는 것이지, 하나 또는 그 이상의 다른 특징들이나 숫자, 단계, 동작, 구성요소, 부분품 또는 이들을 조합한 것들의 존재 또는 부가 가능성을 미리 배제하지 않는 것으로 이해되어야 한다. In the present application, terms such as "comprise" or "have" are intended to designate the presence of features, numbers, steps, actions, components, parts, or combinations thereof described in the specification, but one or more other features. It is to be understood that the presence or addition of elements or numbers, steps, actions, components, parts, or combinations thereof, does not preclude in advance the possibility of being added.
또한, 다르게 정의되지 않는 한, 기술적이거나 과학적인 용어를 포함해서 여기서 사용되는 모든 용어들은 본 발명이 속하는 기술 분야에서 통상의 지식을 가진 자에 의해 일반적으로 이해되는 것과 동일한 의미를 가지고 있다. 일반적으로 사용되는 사전에 정의되어 있는 것과 같은 용어들은 관련 기술의 문맥 상 가지는 의미와 일치하는 의미를 가지는 것으로 해석되어야 하며, 본 출원에서 명백하게 정의하지 않는 한, 이상적이거나 과도하게 형식적인 의미로 해석되지 않는다.In addition, unless otherwise defined, all terms used herein, including technical or scientific terms, have the same meaning as commonly understood by those of ordinary skill in the art to which the present invention belongs. Terms as defined in a commonly used dictionary should be interpreted as having a meaning consistent with the meaning in the context of the related technology, and should not be interpreted as an ideal or excessively formal meaning unless explicitly defined in this application. Does not.
도 1은 본 발명의 일 실시예에 따른 항공기기반 영상복원장치를 나타내는 블록도이다.1 is a block diagram showing an aircraft-based image restoration apparatus according to an embodiment of the present invention.
도 1을 참조하면, 항공기기반 분할영상복원장치는 안테나부재(110, 120), 파형발생기(150), 분배기(160), 믹서(205), 원시데이터생성부(210), 요동보정부(290), 예비역투영부(220), 예비영상복원부(230), 오류판단부(240), 거리방향회전성분검출부(250), 방위방향회전성분검출부(260), 보정데이터생성부(270), 및 보정영상복원부(280)를 포함한다.Referring to FIG. 1, the aircraft-based split image restoration apparatus includes an
파형발생기(150)는 송신파(2)와 동일한 파형의 신호를 발생시킨다. 파형발생기(150)는 삼각파, 톱니파, 등의 다양한 신호를 발생시킬 수 있다. 예를 들어, 톱니파는 시간에 따라 주파수가 일정하게 증가하다가 소정의 주기마다 주파수가 초기화되었다가 다시 일정하게 증가하는 파형을 의미한다. 톱니파는 거리에 따른 도플러 주파수를 직접 측정할 수 있어서, 거리에 따른 속도정보를 제공할 수 있다.The
분배기(160)는 파형발생기(150), 안테나부재(110, 120)의 송신안테나(110), 및 믹서(Mixer, 205)에 연결된다. 분배기(160)는 파형발생기(150)로부터 발생된 신호를 인가받아 송신안테나(110) 및 믹서(205)에 분배한다.The
안테나부재(110, 120)는 분배기(160)로부터 인가받은 신호를 송신파(2)를 송신하고, 지표면으로부터 반사되는 수신파(4)를 수신한다. 본 실시예에서, 안테나부재(110, 120)는 송신파(2)를 송신하는 송신안테나(110) 및 수신파(4)를 수신하는 수신안테나(120)를 포함한다.The
믹서(205)는 분배기(160)를 통해서 전달받은 신호와 수신안테나(120)로부터 인가받은 수신파(4)를 혼합하여 원시데이터생성부(210)로 전달한다.The
도 2는 본 발명의 일 실시예에 따른 항공기에 의해 측정된 FMCW-SAR(Frequency Modulated Continuous Wave - Synthetic Aperture Radar) 데이터에 지향각(Squint Angle)가 존재하는 상태를 기하구조로 나타내는 도면이다. 도 2에서, y축은 항공기의 진행방향, x축은 평면상에서 항공기의 진행방향에 수직한 방향, z축은 지상으로부터 항공기로부터 향하는 방향, f(xc, yc)은 지표면 상에서 레이더의 전자파를 반사하는 물체가 존재하는 조사기준점, 조사기준점과 y축 방향으로 동일한 선상에 위치하는 임의의 조사점f(x0, y0)을 각각 나타낸다. 본 실시예에서, 도 2의 지향각은 안테나부재(110, 120) 자체가 틀어져서 지향각오류가 존재하는 경우, 또는 항공기요동에 의해 안테나부재(110, 120)의 지향방향에 교란이 생기는 경우에 의해 생길 수 있다.FIG. 2 is a diagram showing a state in which a Squint Angle exists in Frequency Modulated Continuous Wave-Synthetic Aperture Radar (FMCW-SAR) data measured by an aircraft according to an embodiment of the present invention, as a geometry. In Fig. 2, the y-axis is the traveling direction of the aircraft, the x-axis is a direction perpendicular to the traveling direction of the aircraft on a plane, the z-axis is a direction from the ground to the aircraft, and f(x c , y c ) is a reflection of the electromagnetic waves of the radar on the surface. It represents an irradiation reference point where an object exists, and an arbitrary irradiation point f(x 0 , y 0 ) located on the same line in the y-axis direction as the irradiation reference point. In the present embodiment, the directing angle of FIG. 2 is a case where a directing angle error exists because the
도 2를 참조하면, 항공기의 실제좌표는(u'x, u'y, u'z)이며, 지향각오류가 없는 경우에 항공기가 위치해야 하는 이상적인 좌표는(ux, uy, uz)이다. 본 발명의 실시예에 따른 분할영상복원장치는 항공기에 실린 상태에서 u방향으로 이동한다. 조사 대상이 되는 조사기준점 f(xc, yc)은 지표면상(zc=0)에 위치한다.2, the actual coordinates of the aircraft (u 'x, u' y , u 'z) and, oriented ideal coordinates to be the position of aircraft in the absence of each error (u x, u y, u z )to be. The split image restoration apparatus according to an embodiment of the present invention moves in the u direction while being loaded on an aircraft. The survey reference point f(x c , y c ) to be investigated is located on the surface (z c = 0).
도 1 및 도 2를 참조하면, 원시데이터생성부(210)는 믹서(205)로부터 인가받은 신호로부터 수신안테나(120)와 지표면의 조사기준점 f(xc, yc)과의 거리를 측정하여 조사기준점 f(xc, yc)의 위치를 나타내는 원시데이터를 생성한다. 원시데이터는 항공기에 의해 측정된 FMCW-SAR(Frequency Modulated Continuous Wave - Synthetic Aperture Radar) 데이터일 수 있다.1 and 2, the raw
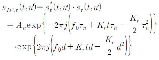
FMCW-SAR 형태의 원시데이터를 생성하기 위하여, 먼저 원시데이터생성부(210)는 믹서(205)로부터 인가받은 신호를 하기의 [식 1] 내지 [식 4]에 적용하여 원시데이터를 생성한다. [식 1] 내지 [식 4]에서, i, j는 2차원 예비영상으로 얻어지는 복원영상의 각 화소의 위치(x'i, y'j)를 나타내며, t는 샘플링시간, f0는 중심주파수, Kr은 변조율, u'는 안테나 위치, τ는 목표물 지연시간, IF는 중간주파수(Intermediate Frequency), c는 광속을 각각 나타낸다. 본 실시예에서, 복원영상은 2차원 형태이므로 2개의 변수(i, j)로 나타내고, 안테나위치는 항공기의 이동에 따른 3차원 형태이므로 3개의 변수(u'px, u'py, u'pz)로 나타낸다.In order to generate raw data in the FMCW-SAR format, the
[식 1] 내지 [식 4]를 참조하면, 원시데이터생성부(210)는 믹서(205)로부터 분배된 기준 송신 신호 및 수신파(4)를 인가받아 직접 주파수 하향변환(frequency down conversion)하여, 두 신호의 차에 해당하는 비트 주파수(beat frequency) 성분을 수신하고 샘플링하여 원시데이터를 생성한다.Referring to [Equation 1] to [Equation 4], the raw
[식 1][Equation 1]
[식 1]에서, St(t)는 송신신호로 비트주파수 생성과 레이더 신호처리 과정 중 정합필터(matched filter)로 활용될 기준 신호가 된다. 본 실시예에서, 지연선(d)을 이용하여 기준신호를 지연시켜 중간주파수(IF) 수신신호를 효과적으로 처리하기 위한 지연신호처리방법(delayed de-chirp)이 사용된다.In [Equation 1], S t (t) is a transmission signal and becomes a reference signal to be used as a matched filter during the process of generating a bit frequency and processing a radar signal. In this embodiment, a delayed de-chirp is used to effectively process an intermediate frequency (IF) received signal by delaying a reference signal using a delay line d.
[식 2][Equation 2]
[식 2]에서, Sr(t)는 [식 1]에서 목표물 지연시간(τn)을 적용한 수신신호를 나타낸다.In [Equation 2], S r (t) represents a received signal to which the target delay time (τ n ) is applied in [Equation 1].
[식 3][Equation 3]
[식 3]에서, SIF,r(t,u')는 중간주파수(IF)의 수신신호로서 원시데이터를 나타낸다. 중간주파수(IF)는 송·수신신호를 주파수하향변환시켜 얻어진다.In [Equation 3], S IF and r (t,u') represent raw data as a received signal of an intermediate frequency (IF). The intermediate frequency (IF) is obtained by down-converting the transmission and reception signals.
[식 4][Equation 4]
[식 4]에서, τn(u')는 n번째 목표물의 지연시간을 조사기준점(xn, yn, zn)과 안테나부재(110, 120)의 위치(u') 사이의 상대적 거리로 나타낸 것이다. [식 4]에서는 조사기준점(xn, yn, zn)을 3차원좌표계로 표시하였으나, 조사기준점이 지표면상에 위치하는 경우 편의상 z성분을 생략할 수 있다.In [Equation 4], τ n (u') is the relative distance between the irradiation reference point (x n , y n , z n ) and the position (u') of the
[식 1] 내지 [식 4]에서는 편의상 신호세기 성분이 생략되어 있다. 당해기술분야에서 통상의 지식과 경험을 가진 자라면, [식 1] 내지 [식 4]에 고려되지는 않았지만, 신호세기 성분, 안테나 빔패턴, 목표물 거리감쇄, 반사도 등이 추가로 고려될 수 있음을 이해할 수 있을 것이다.In [Equation 1] to [Equation 4], the signal strength component is omitted for convenience. For those with ordinary knowledge and experience in the art, although not considered in [Equation 1] to [Equation 4], signal strength components, antenna beam patterns, target distance attenuation, reflectivity, etc. may be additionally considered. You will be able to understand.
요동보정부(290)는 원시데이터생성부(210)에 연결되며, 원시데이터를 기설정된 공간기준값(M)에 따라 분할하고 분할된 원시데이터들을 구획원시데이터로 설정한다. 본 실시예에서, 요동보정부(290)는 원시데이터를 1/4 내지 1/8 크기로 분할한다. 요동보정부(290)는 원시데이터를 균일하게 분할하여 M개의 구획원시데이터들을 생성할 수도 있으며, 다른 실시예에서, 원시데이터 중에서 항공기 이동에 따라 제한된 크기(sub-aperture)의 원시데이터들만을 연속추출하여 구획원시데이터로 사용할 수도 있다.The shaking
예를 들어, 합성개구면의 길이가 500m인 경우, 요동보정부(290)는 공간기준값(M)을 1/5 크기로 분할하여 100m의 길이를 갖는 구획원시데이터들을 생성할 수 있다.For example, when the length of the composite opening is 500 m, the shaking
원시데이터를 구획원시데이터로 변환하는 첫 번째 이유는 항공기운항경로에 따라 원시데이터에 대해서 일종의 미분을 수행하여 항공기요동에 의한 오류를 지향각오류와 함께 처리하기 위함이다.The first reason for converting raw data into segmented raw data is to perform a kind of differentiation on the raw data according to the flight path of the aircraft to process errors caused by aircraft fluctuations together with the orientation angle errors.
구획원시데이터를 설정하는 두 번째 이유는, 영상을 복원함에 있어서 수신파(4)에 의한 원시데이터 중에서 조사기준점에 인접하는 데이터의 중요도가 가장 높고 조사기준점에서부터 멀어질수록 데이터의 중요도가 낮기 때문에다. 종래의 정합필터과정은 전체 데이터에 대한 반복계산을 하게 되는데, 이는 계산과정이 복잡해지는 것은 별론으로 하더라도 항공기요동에 의한 오류가 그대로 계산과정에 포함되기 때문에 복원된 영상의 신뢰도가 저하된다.The second reason for setting the divided raw data is that the importance of the data adjacent to the survey control point is the highest among the raw data by the received wave (4) in restoring the image, and the importance of the data is lower as the distance from the survey control point increases. . In the conventional matched filter process, iterative calculation is performed on the entire data, which, apart from the fact that the calculation process becomes complicated, the reliability of the reconstructed image is degraded because errors caused by aircraft fluctuations are included in the calculation process as they are.
도 3은 본 발명의 일 실시예에 따른 항공기에 지향각오류 또는 항공기요동에 의한 오류가 존재하지 않는 경우 항공기의 이동에 따른 송신파와 조사기준점의 역투영이미지를 나타내는 개념도이고, 도 4는 본 발명의 일 실시예에 따른 항공기에 지향각오류 또는 항공기요동에 의한 오류가 존재하지 않는 경우 얻어진 이상적인 원시데이터를 거리방향과 방위방향으로 나타낸 역투영(BPA) 이미지이다. 도 4에서, 방위방향과 거리방향의 한 화소의 크기는 0.2m이다.3 is a conceptual diagram showing a reverse projection image of a transmission wave and an irradiation reference point according to the movement of the aircraft when there is no error due to an orientation angle error or an aircraft oscillation in the aircraft according to an embodiment of the present invention. This is a reverse projection (BPA) image showing ideal raw data obtained in the case where there is no error due to a direction angle error or an error due to aircraft oscillation in the aircraft according to an embodiment of the present invention. In FIG. 4, the size of one pixel in the azimuth direction and the distance direction is 0.2m.
도 1, 도 3, 및 도 4를 참조하면, 지향각오류 또는 항공기요동에 의한 오류가 없는 경우 송신안테나(110)로부터 조사기준점 f(xc, yc)으로 송신파(2)가 송신된다. 지향각오류 또는 항공기요동에 의한 오류가 없으면 송신파(2)는 항공기의 진행방향에 수직한 방향으로 진행된다.1, 3, and 4, when there is no error due to an orientation angle error or aircraft oscillation, a
송신안테나(110) 의해 방사된 송신파(2)는 조사기준점 f(xc, yc)에서 반사되어 수신파(4)가 되어 수신안테나(120)로 수신된다. 항공기의 위치가 조사기준점 f(xc, yc)으로부터 멀어질수록 조사기준점 f(xc, yc)에 대한 반사파의 강도가 약해진다.The
항공기가 u'c 지점으로부터 uc지점으로 이동함에 따라 반사파의 강도가 점차 강해지며, 항공기의 SAR 레이더가 조사기준점 f(xc, yc)을 정확히 통과하는 시점에서 반사파의 강도가 최대값을 나타낸다. 즉, 지향각오류가 없는 경우, 항공기가 조사기준점 f(xc, yc)와 x축방향으로 일렬로 위치하는 지점(uc)을 지나는 시점에 가장 강한 반사파(4)가 수신된다.Becomes the strength of the reflected waves gradually stronger as the aircraft moves in the u c points from the u 'c point, the strength of the reflected wave maximum at the point in time at which the SAR radar aircraft exactly passes through the irradiation reference point f (x c, y c) Show. That is, when there is no directing angle error, the strongest reflected
따라서 지향각오류 또는 항공기요동에 의한 오류가 없는 SAR 레이더의 반사파 데이터를 방위방향과 거리방향에 따라 역투영(BPA)하면, 수직선과 수평선이 서로 교차하는 십자가 형상을 나타낸다.Therefore, when the reflected wave data of the SAR radar, which does not have an error due to a directing angle error or an error due to aircraft oscillation, are projected back according to the direction of azimuth and distance (BPA), it shows a cross shape where the vertical line and the horizontal line cross each other.
도 5는 본 발명의 일 실시예에 따른 항공기에 지향각오류만 존재하는 경우 항공기의 이동에 따른 송신파와 조사기준점의 역투영이미지를 나타내는 개념도이고, 도 6은 도 1에 도시된 항공기에 45도의 지향각오류만 존재하는 경우 얻어진 원시데이터를 거리방향과 방위방향으로 투영한 이미지이며, 도 7은 도 1에 도시된 항공기에 45도의 지향각오류만 존재하는 경우 얻어진 데이터를 거리방향과 방위방향으로 나타낸 역투영(BPA) 이미지이다. 도 7에서, 방위방향과 거리방향의 한 화소의 크기는 0.2m이다.5 is a conceptual diagram showing a reverse projection image of a transmission wave and an irradiation reference point according to the movement of the aircraft when there is only an orientation angle error in the aircraft according to an embodiment of the present invention, and FIG. 6 is a 45 degree view in the aircraft shown in FIG. It is an image of projecting raw data obtained when only the orientation angle error exists in the distance direction and the azimuth direction, and FIG. 7 shows the data obtained when only the orientation angle error of 45 degrees exists in the aircraft shown in FIG. 1 in the distance direction and the azimuth direction. This is the reverse projection (BPA) image shown. In Fig. 7, the size of one pixel in the azimuth direction and the distance direction is 0.2m.
도 6을 참조하면, 원시데이터 SIF,r(t,u')를 그대로 거리방향과 방위방향으로 투영하면 경사진 직선형상으로 표시된다. 비록 도시되지는 않았으나, 당해기술분야에서 통상의 지식과 경험을 가진 사람이라면 지향각오류가 존재하지 않는 원시데이터를 그대로 거리방향과 방위방향으로 투영하면 수직방향의 직선형상으로 표시되는 것을 알 수 있을 것이다.Referring to FIG. 6, if the raw data S IF , r (t, u') are projected in the distance direction and the azimuth direction as they are, they are displayed in an inclined straight line shape. Although not shown, if a person with ordinary knowledge and experience in the art projects the raw data without orientation angle error as it is, it can be seen that it is displayed in a straight line in the vertical direction. will be.
도 1, 도 5, 및 도 7을 참조하면, 오류판단부(240)는 조사기준점 f(xc, yc)을 기준으로 두 개의 선들이 경사진 상태에서 교차하는 경우에 지향각오류 및/또는 항공기요동에 의한 오류가 존재하는 것으로 판단한다(도 7).Referring to FIGS. 1, 5, and 7, the
도 8은 본 발명의 일 실시예에 따른 항공기에 지향각오류와 항공기요동에 의한 오류가 함께 존재하는 경우 항공기의 이동에 따른 송신파와 조사기준점의 역투영이미지를 나타내는 개념도이고, 도 9는 도 1에 도시된 항공기에 지향각오류와 항공기요동에 의한 오류가 함께 존재하는 경우 얻어진 모든 구획원시데이터들을 그대로 정합필터과정을 거쳐서 역투영(BPA)한 전체 개구(full-aperture) 이미지이다.8 is a conceptual diagram showing a reverse projection image of a transmission wave and an irradiation reference point according to the movement of the aircraft when an error due to an orientation angle error and an aircraft oscillation exist in the aircraft according to an embodiment of the present invention, and FIG. This is a full-aperture image obtained by performing reverse-projection (BPA) of all the segment raw data obtained in the case where an error due to an orientation angle error and an error due to aircraft oscillation exist in the aircraft shown in FIG.
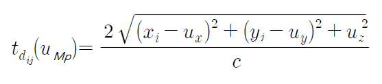
도 8 및 도 9를 참조하면, 요동보정부(290)를 이용한 분할연산기법을 사용하되, 각 구획원시데이터별로 예비역투영부(220)로 전송하여 각각 정합필터과정을 수행하지 않고, 모든 구획원시데이터들에 대하여 그대로 예비역투영부(220)로 전송하여 정합필터과정을 수행하는 경우, 예비역투영부(220)는 FMCW-SAR 예비영상 내의 i, j번째 화소(좌표 (x'i,y'j))를 복원하기 위하여, [식 15] 및 [식 16]의 정합필터과정을 수행한다.Referring to FIGS. 8 and 9, a divisional operation method using the shaking
[식 15] 및 [식 16]에서, M은 요동보정부(290)에 의해 생성되는 구획원시데이터가 원시데이터에 비해 줄어든 비율을 나타내며, u'Mp는 M번째 구획원시데이터에서 p번째 송신파의 기준 안테나 위치를 나타내며, tdij는 i,j번째 화소의 지연시간을 나타내며, (x'i,y'j)은 원시데이터 상에서 화소의 위치(좌표)를 나타낸다.In [Equation 15] and [Equation 16], M denotes the ratio at which the raw data of the segment generated by the shaking
[식 15][Equation 15]
[식 16][Equation 16]
[식 15]에서, Wp는 수신안테나(120)에서 측정된 신호강도에 대한 윈도우함수를 나타내고, t는 샘플링시간을 나타내며, ω는 주파수를 나타내고, SIF,r(ω, u'Mp)는 수신안테나(120)가 u'Mp에 위치하는 경우의 수신신호에 대한 위상성분(또는 원시데이터)을 나타낸다.In [Equation 15], Wp represents the window function for the signal strength measured by the receiving
[식 16]에서, tdij(u'Mp)는 항공기에 장착된 수신안테나(120)의 위치(u'Mp)에 따른 지연시간을 나타낸다.In [Equation 16], t dij (u' Mp ) represents the delay time according to the position (u' Mp ) of the
[식 15], 및 [식 16]을 참조하면, 예비역투영부(220)는 항공기가 이동하는 각 지점(u'Mp)에서, 수신신호(SIF,r(ω, u'Mp))와 정합필터(S* M(tdij(u'Mp)))를 곱한 값들을 합산하여 좌표가 (x'i,y'j)인 i,j번째 화소의 예비영상을 f(x'i,y'j)의 역투영함수로 구한다.[Expression 15], and reference to [expression 16], Reserve projection unit 220 'in the (Mp, the received signal (S IF, r (ω, u each point u) "to the aircraft movement Mp)) and a matched filter (S * M (t dij ( u '(i, y Mp))) x coordinates by summing the product of the''j) of i, j-th pixel of the preliminary image f (x a' i, y It is obtained by the inverse projection function of ' j ).
분할연산기법을 사용하되 각 구획원시데이터에 대하여 각각 정합필터과정을 수행하지 않고 전체 구획원시데이터들에 대하여 그대로 예비역투영부(220)로 전송하여 정합필터과정을 수행하는 경우, 합성개구면 전체(full-aperture)의 원시데이터를 역투영하는 경우와 동일한 결과가 나타난다. 따라서, 도 9에서와 같이 역투영이미지가 일그러진 형태로 나타나게 된다.In the case of performing the matched filter process by using the divisional operation technique, but not performing the matched filter process for each subdivision raw data, and performing the matched filter process by transmitting all subdivision raw data as it is to the preliminary
도 10은 지향각오류가 없이 항공기요동에 의한 오류만 존재하는 경우, 본 발명의 일 실시예에 따라서 원시데이터를 4분할하여 분할연산기법을 사용하고 구획원시데이터를 설정하여 정합필터과정을 수행하는 경우의 역투영이미지를 나타내며, 도 11은 지향각오류가 없이 항공기요동에 의한 오류만 존재하는 경우, 본 발명의 일 실시예에 따라서 원시데이터를 8분할하여 분할연산기법을 사용하고 구획원시데이터를 설정하여 정합필터과정을 수행하는 경우의 역투영이미지를 나타낸다.FIG. 10 is a diagram illustrating a matching filter process by dividing raw data into four and using a divisional operation technique by dividing raw data into four, and setting partition raw data to perform a matching filter process when there is no orientation angle error and only an error due to aircraft fluctuations. Fig. 11 shows the reverse projection image of the case, and FIG. 11 is a case where only an error due to aircraft oscillation without an orientation angle error exists, according to an embodiment of the present invention, the raw data is divided into 8 to use a division operation technique, and the division raw data is It shows the reverse projection image when setting and performing the matched filter process.
본 발명의 실시예에서는 예비역투영부(220)는 [식 17] 및 [식 18]를 참조하여, 각 구획원시데이터별로 정합필터과정을 수행한다(1 < K < M).In an embodiment of the present invention, the preliminary
[식 17] 및 [식 18]에서, K는 요동보정부(290)에 의해 1/M으로 구획된 구획원시데이터의 번호를 나타내며, u'Kp는 K번째 원시데이터에서 p번째 송신파의 기준 안테나 위치를 나타내며, tdij는 i,j번째 화소의 지연시간을 나타내며, (x'i,y'j)은 원시데이터 상에서 화소의 위치(좌표)를 나타낸다.In [Equation 17] and [Equation 18], K represents the number of the segment raw data divided by 1/M by the shaking
[식 17][Equation 17]
[식 18][Equation 18]
[식 17]에서, Wp는 수신안테나(120)에서 측정된 신호강도에 대한 윈도우함수를 나타내고, t는 샘플링시간을 나타내며, ω는 주파수를 나타내고, SIF,r(ω, u'Kp)는 수신안테나(120)가 u'Kp에 위치하는 경우의 수신신호에 대한 위상성분(또는 원시데이터)을 나타낸다.In [Equation 17], Wp represents the window function for the signal strength measured by the receiving
[식 18]에서, tdij(u'Mp)는 항공기에 장착된 수신안테나(120)의 위치(u'Mp)에 따른 지연시간을 나타낸다.In [Equation 18], t dij (u' Mp ) represents the delay time according to the position (u' Mp ) of the
도 1, [식 17], 및 [식 18]을 참조하면, 예비역투영부(220)는 항공기가 이동하는 각 지점(u'Kp)에서, 수신신호(SIF,r(ω, u'Kp))와 정합필터(S* M(tdij(u'Kp)))를 곱한 값들을 합산하여 좌표가 (x'i,y'j)인 i,j번째 화소의 예비영상을 f(x'i,y'j)의 역투영함수로 구한다.1, [Equation 17], and [Equation 18], the preliminary
본 발명의 실시예에서, 예비역투영부(220)는 분할연산기법을 사용하고 각 분할된 구획원시데이터에 대하여 정합필터과정을 수행하였다.In an exemplary embodiment of the present invention, the preliminary
도 10과 같이 합성개구면에 대응되는 원시데이터가 4분할되어 생성된 구획원시데이터를 이용한 정합필터과정의 역투영이미지를 참조하면, 항공기요동에 의한 오류가 제거된 영상을 복원할 수 있다.Referring to the reverse-projection image of the matched filter process using the segmented raw data generated by dividing the raw data corresponding to the composite opening surface into four as shown in FIG. 10, it is possible to restore an image from which an error caused by aircraft fluctuation has been removed.
도 11과 같이 합성개구면에 대응되는 원시데이터가 8분할되어 생성된 구획원시데이터를 이용한 정합필터과정의 역투영이미지를 참조하면, 항공기요동은 제거되었으나 방위방향 해상도가 낮아져서 영상의 정확도가 저하된다.Referring to the reverse-projection image of the matched filter process using the segmented raw data generated by dividing the raw data corresponding to the composite opening surface as shown in FIG. 11, the aircraft fluctuation is removed, but the azimuth resolution is lowered, resulting in a decrease in image accuracy. .
원시데이터가 구획된 숫자(M)가 너무 적으면 항공기요동에 의한 오류가 제거되지 않으며, 원시데이터가 구획된 숫자(M)가 너무 크면 방위방향 해상도가 낮아져서 영상의 정확도가 저하된다. 본 실시예에서, 원시데이터가 구획된 숫자(M)는 4 내지 6일 수 있다. 바람직하게는, 원시데이터가 구획된 숫자(M)는 5일 수 있다.If the number M in which the original data is divided is too small, errors due to the motion of the aircraft are not eliminated, and if the number M in which the original data is divided is too large, the azimuth resolution is lowered and the accuracy of the image is degraded. In this embodiment, the number M in which the original data is partitioned may be 4 to 6. Preferably, the number M in which the raw data is partitioned may be 5.
원시데이터는 합성개구면에 대응되므로, 원시데이터가 구획되는 숫자(M)가 커지면 합성개구면이 구획되는 간격이 줄어들으며, 원시데이터가 구획되는 숫자(M)가 작아지면 합성개구면이 구획되는 간격이 넓어진다. 합성개구면이 구획되는 간격이 너무 좁으면 방위방향 해상도가 낮아져서 영상의 정확도가 저하되며, 합성개구면이 구획되는 간격이 너무 넓으면 항공기요동에 의한 오류가 제거되지 않는다.Since the raw data corresponds to the composite opening surface, when the number (M) where the raw data is divided increases, the interval between which the composite opening surface is divided decreases, and when the number (M) where the raw data is divided decreases, the composite opening surface is divided. The gap becomes wider. If the distance between which the composite opening is divided is too narrow, the azimuth direction resolution is lowered and the accuracy of the image is deteriorated.
예를 들어, 원시데이터는 합성개구면을 기준으로 20m 내지 50m의 간격으로 구획될 수 있다. 합성개구면이 구획되는 간격이 20m보다 적을 경우, 복원된 영상의 방위방향 해상도가 저하된다. 합성개구면이 구획되는 간격이 50m보다 클 경우, 항공기요동에 의한 오류가 제거되지 않는다.For example, the raw data may be partitioned at intervals of 20 m to 50 m based on the composite opening surface. When the interval at which the composite opening is partitioned is less than 20m, the azimuth resolution of the reconstructed image is degraded. If the distance between which the composite opening is divided is greater than 50m, the error due to aircraft oscillation is not eliminated.
본 실시예에서, 예비역투영부(back-projection)(220)는, M개로 분할된 각 합성개구면의 화소들에 대해 반복적으로 수행한다. 분할된 합성개구면은 항공기가 이동경로상에 측정된 구획원시데이터를 합성한 것으로, 구획합성개구면의 폭은 FMCW레이더의 빔에 의해 한 번에 감지할 수 있는 폭에 해당하며, 합성개구면의 길이는 항공기의 이동거리를 M개로 분할한 길이에 대응된다. 입력신호는 구획원시데이터(또는 레이더수신신호 등)를 나타내는 것으로 SIF,r(ω, u'Mp)로 나타낼 수 있다.In this embodiment, the preliminary back-
예비영상복원부(230)는 예비역투영부(220)에 의해 구한 각 화소별 역투영함수 f(x'i,y'j)를 구획된 합성개구면들마다 구획예비영상으로 복원하고, M개의 분할된 영역별로 구획예비영상들을 조합하여 하나의 예비영상을 생성한다.Preliminary
하나의 합성개구면은 일정한 운항시간동안 항공기가 이동하는 항적에 따라 구획된 M개의 구획합성개구면들에 대응된다.One composite opening corresponds to the M compartment composite openings divided according to the track the aircraft moves during a certain operating time.
오류판단부(240)는 예비영상을 분석하여 지향각오류 및/또는 항공기요동에 의한 오류의 존재여부를 판단한다. 이하에서는 하나의 구획예비영상에서 지향각오류 및/또는 항공기요동에 의한 오류를 판단하는 방법을 설명하고 있으나, 당해 기술분야에서 통상의 지식과 경험을 가진 자라면 나머지 구획예비영상에서도 지향각오류 및/또는 항공기요동에 의한 오류를 판단할 수 있음을 알 수 있을 것이다.The
도 1, 도 3, 및 도 4를 참조하면, 오류판단부(240)는 예비영상복원부(230)에 의해 복원된 각 구획예비영상에서 반사파(4)의 강도가 높은 지점을 조사기준점 f(xc, yc)으로 설정하고, 조사기준점 f(xc, yc)을 기준으로 수직선과 수평선이 교차하는 경우에 지향각오류 또는 항공기요동에 의한 오류가 없는 것으로 판단한다(도 4).1, 3, and 4, the
도 1, 도 5, 및 도 7을 참조하면, 오류판단부(240)는 조사기준점 f(xc, yc)을 기준으로 두 개의 선들이 경사진 상태에서 교차하는 경우에 지향각오류가 존재하는 것으로 판단한다(도 7).1, 5, and 7, the
도 1, 도 8, 및 도 9를 참조하면, 예비역투영부(220)는 [식 17] 및 [식 18]에 의해 각 구획원시데이터에 대하여 각각 정합필터과정을 수행하여 얻어진 각 구획예비영상들을 비교하여, 영상이 일정하지 않고 여러개의 선들이는 교차하는 영상을 나타내는 경우 항공기요동에 의한 오류가 존재하는 것으로 판단한다(도 9). 다른 실시예에서, 예비역투영부(220)가 [식 15] 및 [식 16]에 의해 전체 구획원시데이터들에 대하여 그대로 예비역투영부(220)로 전송하여 정합필터과정을 더 수행하여 항공기요동에 의한 오류가 존재하는지를 판단할 수도 있다.1, 8, and 9, the preliminary
본 발명의 실시예에서, 항공기의 이동궤적을 미분하는 경우, 즉, 합성개구면을 항공기의 진행방향에 따라서 분할하면, 항공기요동에 의한 오류가 지향각오류로 포섭된다. 즉, 송신안테나(110)의 지향각오류와 항공기요동에 의한 오류를 구분할 필요없이, 각 구획예비영상의 직선들을 분석하여 송신파(2)가 송신된 지향각을 구할 수 있으며 이를 이용하여 지향각오류를 보정하는 것이 가능하다.In an embodiment of the present invention, when the movement trajectory of the aircraft is differentiated, that is, when the composite opening surface is divided according to the traveling direction of the aircraft, an error due to aircraft fluctuation is taken as a directing angle error. In other words, without the need to distinguish between the directing angle error of the transmitting
도 2를 다시 참조하면, 분할영상복원장치의 안테나부재(110, 120)가 지향각도(φsq)만큼 기울어진 경우, 항공기가 조사기준점 f(xc, yc)을 지나는 시점이 아니라 조사기준점 f(xc, yc)에 못미치는 조사점 f(x0, y0)과 x축방향으로 일렬로 위치하는 지점에서 가장 강한 반사파가 수신된다. 즉, 분할영상복원장치의 안테나부재(110, 120)가 조사기준점 f(xc, yc)과 지향각도(φsq)만큼 기울어진 상태에서 가장 강한 반사파(4)가 수신된다.Referring again to FIG. 2, when the
단순하게 기하학적으로 생각하면, 지향각도(φsq)는 항공기의 위치를 수직방향으로 투영한 기울기(θinc)와 투영된 지표면상의 점으로부터 조사기준점 f(xc, yc)까지의 방위방향 회전각도(φyaw)를 이용하여 구할 수 있을 것처럼 보인다.In simple geometric terms, the orientation angle (φ sq ) is the inclination (θ inc ) projecting the position of the aircraft in the vertical direction, and the azimuth rotation from the point on the projected surface to the irradiation reference point f(x c , y c ). It seems that it can be obtained using the angle (φ yaw ).
그러나 분할영상복원장치의 안테나부재(110, 120)에 지향각오류가 나타나는 경우, 해당 송신안테나(110)로부터 조사되는 송신파(2)의 전파동위상면은 지표면에 수직한 방향이 아니기 때문에 단순히 항공기의 위치를 지표면에 투영하는 것만으로 지향각도(φsq)를 구할 수는 없다.However, if an orientation angle error appears in the
도 12는 도 10에 도시된 구획예비영상에서 거리방향회전각도(φrg) 및 방위방향회전각도(φyaw)를 표시한 그래프이다.12 is a graph showing a distance direction rotation angle (φ rg ) and an azimuth direction rotation angle (φ yaw ) in the section preliminary image shown in FIG. 10.
도 2 및 도 12를 참조하면, 전파동위상면(도 *의 5)이 지표면에 수직한 방향이 아니기 때문에, 수신안테나(120)를 통하여 얻어진 수신파(4) 데이터를 처리하여 역투영하면, 실제 위치보다 앞선 지점에 조사기준점이 존재하는 것처럼 교차점이 형성되며, 교차점의 형상도 일그러진 형태로 나타나게 된다.2 and 12, since the propagation in-phase plane (5 in FIG. *) is not in a direction perpendicular to the ground surface, when the received
본 발명의 실시예에 따른 오류판단부(240)에서 지향각오류 및/또는 항공기요동에 의한 오류가 있는 것으로 판단한 경우, 거리방향회전성분검출부(250) 및 방위방향회전성분검출부(260)를 이용하여, 전파동위상면(도 *의 5)을 고려하여 거리방향회전각도(φrg) 및 방위방향회전각도(φyaw)를 구하고, 이를 이용하여 지향각오류 및/또는 항공기요동에 의한 오류로 인하여 발생하는 오차를 보정한다.When the
지향각오류 및/또는 항공기요동에 의한 오류가 있는 경우 전파동위상면이 기울어지기 때문에 영상이 찌그러진 상태로 나타난다. 구체적으로, 예비영상복원부(230)에 의해 얻어진 구획예비영상을 거리방향(그래프 상의 수평방향)과 방위방향(그래프 상의 수직방향)의 그래프 상에 투영하면, 구획예비영상의 거리방향성분은 이상적인 거리방향(그래프 상의 수평방향)으로부터 거리방향회전각도(φrg)만큼 기울어지며, 구획예비영상의 방위방향성분은 이상적인 방위방향(그래프 상의 수직방향)으로부터 방위방향회전각도(φyaw)만큼 기울어진 상태로 표시된다.When there is an error due to a directivity angle error and/or aircraft oscillation, the image appears distorted because the radio wave motion phase plane is tilted. Specifically, if the section preliminary image obtained by the preliminary
거리방향회전성분검출부(250)는 예비영상복원부(230)에 의해 얻어진 각 구획예비영상을 광학적으로 분석하여, 각 구획예비영상의 거리방향성분이 이상적인 거리방향(그래프 상의 수평방향)으로부터 기울어진 각도를 해당 구획예비영상의 거리방향회전각도(φrg)로 설정한다.The distance direction rotation
방위방향회전성분검출부(260)는 예비영상복원부(230)에 의해 얻어진 각 구획예비영상을 광학적으로 분석하여, 구획예비영상의 방위방향성분이 이상적인 방위방향(그래프 상의 수직방향)으로부터 기울어진 각도를 해당 구획예비영상의 방위방향회전각도(φyaw)로 설정한다.The azimuth direction rotation
이론에 의해 본 발명의 권리범위를 제한하려는 것은 아니지만, 지향각오류 및/또는 항공기요동에 의한 오류가 예비역투영부(220) 및 예비영상복원부(230)에 의해 얻어진 구획예비영상에 투영되는 과정을 도면 및 수식을 이용하여 설명하면 아래와 같다.Although it is not intended to limit the scope of the present invention by theory, a process in which an error due to an orientation angle error and/or an aircraft oscillation is projected onto the compartmental preliminary image obtained by the preliminary
항공기요동에 의한 오류는 항공기운항을 미분하면 기본적으로 지향각오류와 동일한 양상을 갖는다. 즉, 항공기가 기울어지는 과정에서 안테나부재(110)가 기울어져서 발생하는 항공기요동에 의한 오류와 안테나부재(110) 자체가 기울어져서 발생하는 지향각오류는, 원시데이터 측면에서 동일한 결과를 나타낸다. 다만, 지향각오류는 항공기가 운항하는 내내 동일한 각도로 기울어져 있으나, 항공기요동에 의한 오류는 시간에 따라 변화한다는 점이 다를 뿐이다.Errors caused by aircraft fluctuations basically have the same aspect as the orientation angle error when differentiating aircraft operation. That is, the error caused by the aircraft oscillation caused by the
본 발명에서는 항공기운항과정에서 얻어지는 원시데이터를 구획하여 일종의 미분과 같이 분할함으로써, 항공기요동에 의한 오류를 지향각오류와 동일한 방식으로 처리한다.In the present invention, by dividing the raw data obtained in the course of aircraft operation and dividing it into a kind of derivative, errors due to aircraft fluctuations are treated in the same manner as the orientation angle error.
도 13은 도 1에 도시된 분할영상복원장치에 지향각오류 및/또는 항공기요동에 의한 오류가 있는 경우의 방위각을 나타내는 기하구조 이미지이다.FIG. 13 is a geometric image showing an azimuth angle when there is an error due to an orientation angle error and/or an aircraft oscillation in the divided image restoration apparatus shown in FIG. 1.
도 1 및 도 13을 참조하면, 지향각오류 및/또는 항공기요동에 의한 오류에서 방위방향회전각도(φyaw)는 안테나부재(110, 120)와 조사기준점 f(xc, yc) 사이의 거리 R, 지상으로부터 안테나부재(110, 120)까지의 높이 H0, 지상으로 안테나부재(110, 120)를 투영한 지점으로부터 조사기준점 f(xc, yc)까지의 수평거리 Rg, 안테나부재(110, 120)의 위치에서 항공기 진행방향에 수직한 방향으로 지상쪽으로 연장되어 조사점 f(x0, y0) 사이의 거리 R0, 지향각도(φsq)에 의해 [식 5] 및 [식 6]에 의해 나타낼 수 있다.1 and 13, the azimuth rotation angle (φ yaw ) in the error due to the orientation angle error and/or the aircraft oscillation is between the
[식 5][Equation 5]
[식 6][Equation 6]
도 14는 도 13에 도시된 기하구조를 분할영상복원장치에 지향각오류 및/또는 항공기요동에 의한 오류가 있는 경우 송신파의 방위방향 방사패턴을 나타내는 기하구조 이미지이다.14 is a geometric structure image showing a radiation pattern in the azimuth direction of a transmission wave when there is an error due to an orientation angle error and/or an aircraft oscillation in the segmented image restoration apparatus of the geometric structure shown in FIG. 13.
도 1, 도 13, 및 도 14를 참조하면, 분할영상복원장치에 지향각오류 및/또는 항공기요동에 의한 오류가 있는 경우, [식 3]의 중간주파수 수신신호의 크기함수(An) 특성을 수학적으로 모델링하면 [식 7]과 같이 나타낼 수 있다.1, 13, and 14, when there is an error due to an orientation angle error and/or an aircraft oscillation in the divided image restoration apparatus, the magnitude function (An) characteristic of the intermediate frequency received signal of [Equation 3] If modeled mathematically, it can be expressed as [Equation 7].
[식 7][Equation 7]
[식 7]에서, 분할영상복원장치에 지향각오류 및/또는 항공기요동에 의한 오류가 있는 경우, 중간주파수 수신신호의 크기함수(An)는 조사기준점 상에 위치하는 목표물의 레이더 단면적(σ)에 비례하고, 거리제곱(I/R2)에 반비례하며, 안테나 방사패턴(sinc2( )φ n θ n )과 보정상수(C)를 적용한 값으로 표현할 수 있다. 여기서, 조사기준점 상에 위치하는 목표물의 반사도와 보정상수를 정규화하면 크기함수의 상대적 크기 변화는 거리와 방사패턴에 의존적이게 된다. 따라서 분할영상복원장치에 지향각오류 및/또는 항공기요동에 의한 오류가 있는 경우, 기하구조 내의 목표물 위치에 따라 송신파(2)의 고각(θ) 및 방위각(φ)의 변화가 반영된 안테나 방사패턴 모델수정이 필요하다.In [Equation 7], when there is an error due to an orientation angle error and/or aircraft oscillation in the segmented image restoration device, the magnitude function (An) of the intermediate frequency received signal is the radar cross-sectional area (σ) of the target located on the irradiation reference point It is proportional to and inversely proportional to the distance squared (I/R 2 ), and can be expressed as a value obtained by applying the antenna radiation pattern ( sinc2( )φ n θ n ) and the correction constant (C). Here, when the reflectivity of the target located on the irradiation reference point and the correction constant are normalized, the relative size change of the size function depends on the distance and the radiation pattern. Therefore, if there is an error due to the orientation angle error and/or the motion of the aircraft in the segmented image restoration device, the antenna radiation pattern reflecting the change in the elevation angle (θ) and azimuth angle (φ) of the transmission wave (2) according to the target position in the geometry Model modification is required.
분할영상복원장치에 지향각오류 및/또는 항공기요동에 의한 오류가 있는 경우, 기하구조 내의 조사기준점 상에 위치하는 목표물 위치에 따른 송신파(2)의 고각(θ) 및 방위각(φ)의 변화를 반영하면, 고각과 방위각은 [식 8] 및 [식 9]와 같이 나타낼 수 있다. [식 8] 및 [식 9]는 기존의 방사패턴 모델에서 지향각오류 및/또는 항공기요동에 의한 오류가 반영되도록 입사각도(θinc)와 지향각(φsq)을 보정한 것이다.When there is an error due to the orientation angle error and/or the motion of the aircraft in the segmented image restoration device, the change in the elevation angle (θ) and the azimuth angle (φ) of the transmission wave (2) according to the position of the target located on the survey reference point in the geometry When reflecting, the elevation angle and the azimuth angle can be expressed as [Equation 8] and [Equation 9]. [Equation 8] and [Equation 9] are corrected for the angle of incidence (θ inc ) and the angle of directivity (φ sq ) so that the error due to the orientation angle error and/or the aircraft oscillation is reflected in the existing radiation pattern model.
[식 8][Equation 8]
[식 9][Equation 9]
일반적으로, 고각방향 안테나 방사패턴은 넓은 빔 폭(예, 50˚)을 갖도록 설계되어 거리에 대한 변화량에 둔감한 특성이 있다. 반면에 방위각 방향 안테나 방사패턴의 경우, 좁은 빔 폭(예, 10˚)의 적용과 거리에 따른 지향각도가 변화하는 특성이 있어서 [식 9]의 우변에서 두 번째 항(φsq(R), [식 10] 참조)과 [식 5]의 관계식을 통해 재정의하여 수정된 모델에 적용한다.In general, high-angle antenna radiation patterns have a wide beam width (e.g., It is designed to have 50˚) and is insensitive to the amount of change over distance. On the other hand, in the case of the azimuth direction antenna radiation pattern, a narrow beam width (e.g., 10˚) is applied and the orientation angle varies depending on the distance, so the second term from the right side of [Equation 9] (Refer to φ sq (R), [Equation 10]) and [Equation 5] Applied to the model modified by
[식 10][Equation 10]
도 15 내지 도 18은 본 발명의 일 실시예에 따라 거리방향 회전성분(φrg)을 구하는 방법을 나타내는 기하구조 이미지들이다.15 to 18 are geometric images showing a method of obtaining a rotational component φ rg in a distance direction according to an exemplary embodiment of the present invention.
본 발명에 있어서, 분할영상복원장치의 지향각오류 및/또는 항공기요동에 의한 오류에 따른 특성변화는 역투영 알고리즘을 이용한 영상복원을 통하여 분석하며, 합성개구면을 항공기진행방향을 따라 구획하는 분할연산기법을 추가로 적용한다.In the present invention, the characteristic change due to the orientation angle error and/or the error caused by the aircraft motion of the segmented image restoration device is analyzed through image restoration using a reverse projection algorithm, and the composite opening is divided along the direction of the aircraft travel. Additional calculation techniques are applied.
지향각오류 및/또는 항공기요동에 의한 오류가 있는 구획원시데이터를 그대로 [식 17] 및 [식 18]에 넣고 역투영하면 회전 정도가 방위방향 성분과 다르게 나타난다. 그 이유는 기울어진 전파진행면(slant-range)에서 안테나 지향각도(squint-angle)에 의해 공간적으로 다시 소정의 각도로 기울어진 동위상면(equi-phase plane) 상을 따라서 송신파(2)가 진행하고, 기울어진 동위상면과 지표면이 접하는 접선(도 16의 6)을 따라서 송신파(2)가 진행하는 흔적이 투영되기 때문이다. 구체적인 내용은 이하 도면을 참조하여 상술한다.When the original data of the segment with errors due to the orientation angle error and/or the aircraft oscillation are inserted into [Equation 17] and [Equation 18] and projected back, the degree of rotation is different from the orientation component. The reason is that the transmitted wave (2) is spatially inclined back to a predetermined angle by the antenna squint-angle in the slant-range, along the equi-phase plane. This is because the trail of the
도 15는 지향각오류 및/또는 항공기요동에 의한 오류가 존재하는 경우의 지향각(φsq)을 기하구조 상에 나타낸 것이다. 도 15에서, 지향각(φsq)은 지향각오류에 의해 안테나부재가 기울어진 각도와 항공기요동에 의해 안테나가 기울어진 각도를 합한 각도이다.FIG. 15 is a diagram illustrating a beam angle (φ sq ) in the case where there is an error due to a beam angle error and/or an aircraft oscillation. In FIG. 15, the directing angle (φ sq ) is an angle obtained by adding the angle in which the antenna member is inclined due to a directing angle error and the angle in which the antenna is inclined by the aircraft oscillation.
도 15를 참조하면, ki는 지향각이 존재하지 않는 경우(φsq=0), 송신파(2')가 진행하는 방향의 벡터성분을 나타내는 것이며, ki,sq는 지향각이 존재하는 경우(φsq>0˚), 송신파(2)가 진행하는 방향의 벡터성분을 나타내는 것이다. 두 가지 송신파들(2', 2)의 벡터성분들(ki, ki,sq)은 동일한 평면상에 위치하므로, 두 벡터성분들(ki, ki,sq)은 공통의 수직벡터(n) 성분을 갖는다. 즉, 기울어진 전파진행면을 기준으로 하는 두 개의 송신파들(2', 2)의 수직방향 동위상면의 특성변화는 없으며, 단지 송신파의 진행방향만 지향각도(φsq)만큼 이동한 것이다.Referring to FIG. 15, k i represents the vector component in the direction in which the transmission wave (2') travels when there is no directivity angle (φ sq = 0), and k i,sq represents the vector component in which the directivity angle exists. In case (φ sq > 0°), it represents the vector component of the direction in which the
도 16은 관측기준면을 지표면으로 한 경우, 지향각오류 및/또는 항공기요동에 의한 오류에 따른 동위상면을 나타내는 기하구조이다.16 is a geometric structure showing an in-phase plane according to an error due to an orientation angle error and/or an aircraft oscillation when the observation reference plane is the ground surface.
도 16을 참조하면, 지향각(φsq)에 따른 관측기준면을 지표면(GR)으로 할 경우, 송신파(2) 진행방향의 벡터성분(ki,sq)의 수직방향 동위상면(5)은 지표면(GR)에 수직하는 것이 아니라 지표면(GR)에 수직하는 면(G0-u'c(ux,uy,uz)-f(xc,yc)를 잇는 면)으로부터 소정각도 기울어진 면(Gsq-u'c(ux,uy,uz)-f(xc,yc)를 잇는 면)이 된다.Referring to FIG. 16, when the observation reference plane according to the directivity angle φ sq is the ground surface GR, the in-
지표면(GR)에 수직하는 면(G0-u'c(ux,uy,uz)-f(xc,yc)를 잇는 면)으로부터 소정각도 기울어진 면(Gsq-u'c(ux,uy,uz)-f(xc,yc)를 잇는 면)은 지향각에 따른 송신파(2)의 수직방향 동위상면(5)이 되어, 지표면(GR)과 접하는 전파동위상선(6)을 따라서 송신파(2)가 거리방향으로 진행한 흔적들이 지표면(5)에 투영된다.A plane inclined at a predetermined angle from a plane perpendicular to the ground surface (G0-u' c (u x ,u y ,u z )-f(x c ,y c )) (G sq -u' c The plane connecting (u x ,u y ,u z )-f(x c ,y c )) becomes the in-phase plane (5) in the vertical direction of the transmission wave (2) according to the directivity angle, and is in contact with the ground surface (GR). Traces of the
본 발명의 실시예에서, 거리방향회전성분검출부(250)에 의해 추출된 거리방향회전성분(φrg)는 지향각오류 및/또는 항공기요동에 의한 오류를 포함하는 송신파(2)의 수직방향 동위상면(5)과 지표면(GR) 사이의 교점이 되는 조사기준점 f(xc, yc)에서의 각도에 대응된다.In an embodiment of the present invention, the distance direction rotation component (φ rg ) extracted by the distance direction rotation
즉, 송신파(2)가 반사되어 감지되는 수신파(4)가 분할영상복원장치의 수직지점(G0)과 조사기준점 f(xc, yc)을 잇는 투영선(6')이 아니라, 기울어진 동위상면(5)이 지표면(GR)에 투영된 전파동위상선(6)을 따라서 전파되어서 해당 전파동위상선(6) 상의 물체를 감지한 신호가 된다.That is, the received
거리방향회전성분(φrg)는 조사기준점 f(xc, yc)의 위치와 점 B의 좌표정보를 이용하여 계산될 수도 있다. 점 B의 좌표정보를 계산하는 과정은 도 10를 참조하여 설명한다.The distance direction rotation component φ rg may be calculated using the location of the irradiation reference point f(x c , y c ) and coordinate information of the point B. The process of calculating the coordinate information of the point B will be described with reference to FIG. 10.
도 17 및 도 18은 송신파(2)가 진행하는 경로상의 임의의 점 A로부터 지표면에 투영된 접선 위의 점 B의 좌표를 계산하는 과정을 나타내는 기하구조이다.17 and 18 are geometric structures showing a process of calculating the coordinates of a point B on a tangent line projected on the ground surface from an arbitrary point A on a path along which the
도 17을 참조하면, 송신파(2)가 진행하는 경로상의 임의의 점 A와 지표면(GR)에 투영된 접선 위의 점 B를 잇는 벡터성분(p)은 수직벡터(n)과 동일한 성분이다. 본 발명의 실시예들에서, 거리방향회전각도(φrg)는 수신파(2)의 전파동위상면(5)이 지표면(GR)과 접하는 전파동위상선(6)이 지향각이 없는 이상적인 거리방향으로부터 기울어진 각도(φrg)를 의미한다. 또한, 방위방향회전각도(φyaw)는 수신파(2)를 지표면(GR) 상에 수직으로 투영한 투영선(6')이 지향각이 없는 이상적인 방위방향으로부터 기울어진 각도(φyaw)를 의미한다.Referring to FIG. 17, a vector component (p) connecting an arbitrary point A on the path where the
점 A의 위치가 결정되면, 수직벡터(n)를 이용하여 지표면(GR)과의 교점 B의 좌표를 계산할 수 있다. [식 11] 및 [식 12]는 송신파(2)가 진행하는 경로상에 위치한 점 A(xA, yA, zA)의 좌표정보를 억기 위한 과정을 수식으로 정리한 것이다. 먼저 yA의 좌표정보를 (u'y<yA<yc) 범위 내의 한 점으로 정한다(도 9 참조). 레이더 영상이 얻어지는 평면상의 영역인 합성개구면의 중심(u'c(u'x,u'y,u'z))과 조사기준점(f(xc, yc)) 상의 목표물 중심을 잇는 송신파(2) 진행경로(u'c → fc) 상의 점 A의 좌표정보를 [식 11]과 같은 조건식을 이용하여 계산한다.When the position of the point A is determined, the coordinates of the intersection point B with the ground surface GR can be calculated using the vertical vector n. [Equation 11] and [Equation 12] are equations for storing the coordinate information of the point A (x A , y A , z A ) located on the path where the
[식 11][Equation 11]
[식 12][Equation 12]
[식 12]는 [식 11]의 조건식을 이용해서 3차원 벡터성분의 크기를 0으로 하는 3개의 방정식을 풀면 점 A의 x좌표성분(xA)을 구할 수 있다.[Equation 12] can obtain the x-coordinate component (x A ) of the point A by solving three equations in which the size of the 3D vector component is 0 using the conditional expression of [Equation 11].
[식 12]의 첫 번째 식을 참조하면, 점 A의 x좌표성분(xA)은 점 A의 y좌표성분(yA), 합성개구면의 중심의 좌표(u'x,u'y,u'z), 및 조사기준점 상의 목표물의 좌표(xc, yc, zc)로 나타낼 수 있다.Referring to the first equation of [Equation 12], the x-coordinate component (x A ) of the point A is the y-coordinate component (y A ) of the point A, and the coordinates of the center of the composite opening surface (u' x ,u' y , u can be expressed by the 'z), and coordinates of the target on the irradiation reference point (x c, y c, z c).
[식 12]의 두 번째 식을 참조하면, 점 A의 z좌표성분(zA)은 x좌표성분(xA)과 합성개구면의 중심의 좌표(u'x,u'y,u'z)로 나타낼 수 있다.Referring to the second equation of [Equation 12], the z coordinate component (z A ) of the point A is the x coordinate component (x A ) and the coordinates of the center of the composite opening (u' x ,u' y ,u' z) Can be represented by ).
도 18을 참조하면, y축 방향의 성분이 yA인 xz평면상의 기하구조(y=yA)를 이용하여, 점 A의 좌표정보(xA, yA, zA)로부터 점 B의 좌표정보(xB, yB, zB)를 구할 수 있다. 점 B의 좌표정보(xB, yB, zB)는 점 A의 좌표정보(xA, yA, zA)로부터 수직벡터(n) 성분의 연장선과 지표면의 교점을 구하여 계산할 수 있다. 따라서 송신파(2)의 입사각도(θinc) 설정값에 따라 변화하는 점 B의 좌표정보(xB, yB, zB)를 계산할 수 있다.Referring to FIG. 18, the coordinates of the point B from the coordinate information of the point A (x A , y A , z A ) using the geometry (y=y A ) on the xz plane where the component in the y-axis direction is y A Information (x B , y B , z B ) can be obtained. The coordinate information (x B , y B , z B ) of the point B can be calculated by obtaining the intersection of the extension line of the vertical vector (n) component and the ground surface from the coordinate information (x A , y A , z A ) of the point A. Therefore, it is possible to calculate the coordinate information (x B , y B , z B ) of the point B that changes according to the setting value of the incident angle (θ inc ) of the
점 B의 좌표정보(xB, yB, zB) 중에서 y축 좌표성분(yB) 및 z축 좌표성분(zB)은 점 A의 좌표정보(xA, yA, zA)로부터 계산할 수 있다. 점 B의 좌표정보(xB, yB, zB) 중에서 x축 좌표성분(xB)은 도 18의 기하구조 및 [식 13]을 통하여 계산될 수 있다.Of the coordinate information of point B (x B , y B , z B ), the y-axis coordinate component (y B ) and the z-axis coordinate component (z B ) are from the coordinate information of point A (x A , y A , z A ). Can be calculated. Of the coordinate information of the point B (x B , y B , z B ), the x-axis coordinate component (x B ) can be calculated through the geometry of FIG. 18 and [Equation 13].
[식 13][Equation 13]
한편, 점 B의 y축 방향 성분(yB)는 점 A의 y축 방향 성분(yA)과 동일하며(yB=xB), 점 B는 지표면(GR) 상에 투영된 상태(zB=0)이므로, 점 B의 좌표는 (xB, yA, 0)으로 나타낼 수 있다. 조사기준점 f(xc, yc)의 좌표를 3차원으로 표시하면 목표물의 좌표는 (xc, yc, 0)으로 나타낼 수 있다.On the other hand, the y-axis direction component (y B ) of point B is the same as the y-axis direction component (y A ) of point A (y B =x B ), and point B is projected onto the ground surface (GR) (z B = 0), so the coordinates of the point B can be expressed as (x B , y A , 0). When the coordinates of the irradiation reference point f(x c , y c ) are displayed in three dimensions, the coordinates of the target can be expressed as (x c , y c , 0).
점 B의 좌표(xB, yA, 0) 및 목표물의 좌표(xc, yc, 0)를 [식 14]에 적용하면, 지표면(GR)에 투영된 송신파(2) 진행경로의 거리방향 회전각도(φrg)를 구할 수 있다.If the coordinates of the point B (x B , y A , 0) and the coordinates of the target (x c , y c , 0) are applied to [Equation 14], the propagation path of the transmission wave (2) projected on the ground surface (GR) Distance direction rotation angle (φ rg ) can be obtained.
[식 14][Equation 14]
본 실시예에서, 거리방향회전성분검출부(250)에 의해 구해진 거리방향 회전각도(φrg)를 [식 14]에 적용하여 점 B의 좌표(xB, yA, 0) 및 목표물의 좌표(xc, yc, 0) 사이의 관계를 구할 수 있다.In the present embodiment, by applying the distance direction rotation angle (φ rg ) obtained by the distance direction rotation
도 2를 다시 참조하면, [식 17]은 지향각오류 또는 항공기요동에 의한 오류를 고려하지 않는 경우에 송신파(2)는 uMp(ux, uy, uz) 지점으로부터 조사기준점(f(xc, yc))으로 진행하게 되어, 이상적인 구획원시데이터를 이용하여 역투영이 수행된다.Referring back to FIG. 2, [Equation 17] shows that the transmission wave (2) is from the point of u Mp (u x , u y , u z ) in the case of not taking into account the error due to the orientation angle error or the aircraft fluctuation. It proceeds to f(x c , y c )), and reverse projection is performed using the ideal segmented raw data.
그러나, 본발명의 실시예에서와 같이 지향각오류 및/또는 항공기요동에 의한 오류가 포함되면, 송신파(2)는 u'Mp(u'x, u'y, u'z)지점으로부터 지향각(φsq)만큼 기울어진 상태에서 조사기준점(f(xc, yc))으로 진행하여 왜곡된 구획원시데이터가 생성된다.However, oriented as shown in the embodiment of the present invention contain any error due to each error and / or aircraft oscillation, the transmission wave (2) is directed from the u 'Mp (u' x, u 'y, u' z) point In a state that is inclined by an angle (φ sq ), it proceeds to the irradiation reference point (f(x c , y c )) to generate distorted segmented raw data.
왜곡된 구획원시데이터에 대하여 [식 17]에 분할영상복원장치의 위치에 uMp(ux, uy, uz)를 그대로 적용하면 왜곡된 역투영 이미지가 얻어지게 된다. 따라서 [식 17]에 분할영상복원장치의 위치로 uMp(ux, uy, uz)를 그대로 적용하면 안되고 u'Mp(u'x, u'y, u'z)를 적용한 후에 보정된 uMp(ux, uy, uz)를 구해야 한다.If u Mp (u x , u y , u z ) is applied as it is to the position of the segmented image restoration apparatus in [Equation 17] for the distorted segmented raw data, a distorted reverse projection image is obtained. Therefore, when applied as a u Mp (u x, u y , u z) to the position of the divided image decoding device in the expression 17] designed u 'Mp (u' x, u 'y, u' z) correction after applying We need to find the u Mp (u x , u y , u z ).
기하구조 상에서 보정된 uMp(ux, uy, uz)와 구획원시데이터에 대응되는 uMp(u'x, u'y, u'z)는 [식 19]를 만족한다. Mp u (u x, u y, u z) and u Mp (u 'x, u ' y, u 'z) corresponding to raw data blocks on the corrected geometry satisfies the formula (19).
[식 19][Equation 19]
u'Mp=uMp-Rgtanφyaw u'Mp =u Mp -R g tanφ yaw
[식 19]에서, Rg는 지표면(GR)으로 투영된 수신파(2)의 길이를 나타낸다.In [Equation 19], R g represents the length of the received
도 17 및 도 18을 다시 참조하면 [식 19]의 점 A(xA, yA)는 구획원시데이터에 대응되는 (x'i,y'j)로 나타내고, 점 B(xB, yB)는 보정된 구획데이터에 대응되는 (xi,yj)로 나타낼 수 있다. 점 A(x'i,y'j)는 송신파(2)의 수직방향 동위상면(5)이 지표면(GR)과 접하는 전파동위상선(6) 상의 점 B(xi,yj)로 보정하여야 하며, [식 14]를 참조하면, 점 B의 x축 좌표 xi는 [식 20]과 같이 나타낼 수 있다.Referring back to FIGS. 17 and 18, point A (x A , y A ) in [Equation 19] is represented by (x' i ,y' j ) corresponding to the segment raw data, and point B (x B , y B ) May be represented by (x i ,y j ) corresponding to the corrected segment data. Point A(x' i ,y' j ) is corrected by point B(x i ,y j ) on the propagation in-phase line (6) where the vertical in-phase plane (5) of the transmitting wave (2) is in contact with the ground surface (GR) It should be, and referring to [Equation 14], the x-axis coordinate x i of the point B can be expressed as [Equation 20].
[식 20][Equation 20]
마찬가지로 [식 19] 및 [식 20]에서, 구획원시데이터에 대응되는 점 A(xi', yj') 대신에 보정된 구획데이터에 대응되는 점 B(xi, yj)에 관해 표현하면 [식 21], [식 22]와 같이 나타낼 수 있다.Similarly, in [Equation 19] and [Equation 20], instead of the point A(xi', yj') corresponding to the segment raw data, the point B(xi, yj) corresponding to the corrected segment data is expressed as [Equation 21 ], [Equation 22].
[식 21][Equation 21]
[식 22][Equation 22]
보정데이터생성부(270)는 [식 19] 내지 [식 22]를 이용하여 구획원시데이터로부터 지향각도를 고려하여 보정된 구획데이터를 생성한다. 본 실시예에서, 보정데이터생성부(270)는 수치해석을 통하여 [식 19] 내지 [식 22]를 반복계산함으로써 FMCW-SAR 영상 내의 i, j번째 화소(좌표 (xi,yj))를 복원한다. 보정데이터생성부(270)는 M개의 구획원시데이터들에 대하여 각각 보정된 구획데이터들를 생성하고, 이를 합하여 보정된 합성개구면 영상데이터를 구할 수 있다. 본 실시예에서, 보정데이터생성부(270)는 [식 19] 및 [식 20]을 이용하여 각 화소들의 위치를 보정하는 과정 및 [식 21] 및 [식 22]를 이용하여 각 보정된 구획데이터들의 역투영을 수행하는 과정을 함께 수행한다.The correction
영상복원부(280)는 보정데이터생성부(270)에 의해 생성된 각 화소별 역투영함수 f(xi,yj)를 각 구획별로 합산하여 보정된 구획데이터들을 인가받아, M개의 보정된 구획데이터들을 합하여 합성개구면 상의 보정된 영상으로 복원한다.The
본 실시예에서, 예비역투영부(220), 예비영상복원부(230), 및 보정데이터생성부(270)가 구분되는 것으로 도시되었다. 당해기술분야에서 통상의 지식과 경험을 가진 자라면 동일한 하드웨어를 이용하여 예비역투영부(220), 예비영상복원부(230), 및 보정데이터생성부(270)의 기능을 하나의 구성요소 또는 두 개의 구성요소로 구분할 수 있다는 것을 이해할 수 있을 것이다.In this embodiment, it is shown that the preliminary
이하, 본 발명의 실시예에 따른 항공기기반 분할영상복원장치를 이용하는 분할영상복원방법을 설명한다.Hereinafter, a split image restoration method using an aircraft-based split image restoration apparatus according to an embodiment of the present invention will be described.
도 19는 도 1에 도시된 항공기기반 분할영상복원장치를 이용한 분할영상복원방법을 나타내는 흐름도이다.FIG. 19 is a flowchart illustrating a method of restoring a segmented image using the aircraft-based segmented image restoration device shown in FIG. 1.
도 1 내지 도 19를 참조하면, 항공기기반 분할영상복원장치를 이용하는 분할영상복원방법에 있어서, 먼저 송신파(2)를 지표면 상의 조사기준점 f(xc, yc)으로 송신한다(S100).1 to 19, in the split image restoration method using an aircraft-based split image restoration apparatus, a
구체적으로 송신파(2)를 생성하기 위하여, 파형발생기(150)를 이용하여 송신파(2)와 동일한 파형의 신호를 생성한다.Specifically, in order to generate the
파형발생기(150)로부터 발생된 송신파(2)와 동일한 파형의 신호는 분배기(160)를 이용하여 송신안테나(110)와 믹서(205)로 분배된다(단계 S110).The signal having the same waveform as the
분배기(160)를 이용하여 분배된 신호 중에서 송신안테나(110)로 인가된 신호가 송신파(2)가 되어 지표면 상의 조사기준점 f(xc, yc)으로 송신된다.Among the signals distributed using the
이어서, 수신안테나(120)를 이용하여 지표면의 조사기준점 f(xc, yc)으로부터 반사되는 수신파(4)를 수신한다(단계 S110).Subsequently, the received
이후에, 수신파(4)로부터 원시데이터를 생성한다(단계 S120).Thereafter, raw data is generated from the received wave 4 (step S120).
구체적으로, 믹서(205)를 이용하여 분배기(160)로부터 인가받은 분배된 신호와 수신안테나(120)로부터 수신된 수신파(4)를 혼합한다.Specifically, the distributed signal received from the
원시데이터생성부(210)를 이용하여 믹서(205)에 의해 혼합된 신호로부터 지표면의 각 화소(x'i, y'j)별 거리를 측정하여 [식 1] 내지 [식 4]의 계산을 수행하여 각 화소(x'i, y'j)별 거리를 나타내는 원시데이터 SIF,r(t,u')를 생성한다.By using the
계속해서, 요동보정부(290)를 이용하여 원시데이터 SIF,r(t,u')를 기설정된 공간기준값(M)에 따라 분할하여 복수의 구획원시데이터들을 생성한다(S125).Subsequently, the raw data S IF , r (t, u') are divided according to a preset spatial reference value M using the shaking
계속해서, 각 구획원시데이터들을 역투영하여 각 구획예비영상들을 생성한다(S130).Subsequently, each segment preliminary image is generated by back-projecting each segment raw data (S130).
구체적으로, 예비역투영부(220)를 이용하여 원시데이터생성부(210)로부터 인가받은 각 구획원시데이터를 [식 17] 및 [식 18]에 적용하여 정합필터과정을 수행하여 FMCW-SAR 각 구획예비영상에 대응되는 i, j번째 화소(좌표 (x'i,y'j))를 복원한다.Specifically, each section of the FMCW-SAR is applied by applying the raw data of each section approved from the original
예비역투영부(220)에 의해 구한 각 구획예비영상에 대응되는 각 화소(x'i,y'j)별 역투영함수 f(x'i,y'j)는 예비영상복원부(230)를 이용하여 구획합성개구면 상의 구획예비영상으로 복원된다.The reverse projection function f(x' i ,y' j ) for each pixel (x' i ,y' j ) corresponding to each segment preliminary image obtained by the preliminary
이후에, 각 구획예비영상을 분석하여 각 구획예비영상에서 지향각오류가 존재하는지 판단한다(S140).Thereafter, it is determined whether or not an orientation angle error exists in each of the segment preliminary images by analyzing each segment preliminary image (S140).
구체적으로, 오류판단부(240)를 이용하여 복원된 각 구획예비영상을 분석하여 반사파(4)의 강도가 높은 지점을 조사기준점 f(xc, yc)으로 설정하고, 조사기준점 f(xc, yc)을 기준으로 수직선과 수평선이 교차하는지를 검토하여, 지향각오류 및/또는 항공기요동에 의한 오류의 존재여부를 판단한다. 각 구획예비영상에 조사기준점 f(xc, yc)을 기준으로 수직선과 수평선이 교차하는 경우 지향각오류 또는 항공기요동에 의한 오류가 없는 것으로 판단하고, 각 구획예비영상에 조사기준점 f(xc, yc)을 기준으로 경사진 두 개의 직선이 교차하는 경우 지향각오류 또는 항공기요동에 의한 오류가 존재하는 것으로 판단한다.Specifically, by analyzing the reconstructed preliminary image for each segment using the
지향각오류 또는 항공기요동에 의한 오류가 없는 경우, 각 구획예비영상을 조합하여 최종영상으로 출력한다(S150).When there is no error due to the orientation angle error or the aircraft oscillation, the preliminary images for each section are combined and output as a final image (S150).
지향각오류 또는 항공기요동에 의한 오류가 있는 경우, 각 구획예비영상을 분석하여 각 구획예비영상별 거리방향회전각도(φrg) 및 방위방향회전각도(φyaw)를 설정한다(S160).When there is an error due to the orientation angle error or the aircraft oscillation, the distance direction rotation angle (φ rg ) and the azimuth direction rotation angle (φ yaw ) for each compartment preliminary image are analyzed by analyzing each compartment preliminary image (S160).
구체적으로, 거리방향회전성분검출부(250)를 이용하여 예비영상복원부(230)에 의해 얻어진 각 구획예비영상을 광학적으로 분석하여, 각 구획예비영상의 거리방향성분이 이상적인 거리방향(그래프 상의 수평방향)으로부터 기울어진 각도를 해당 구획예비영상의 거리방향회전각도(φrg)로 설정한다.Specifically, by optically analyzing each segment preliminary image obtained by the preliminary
또한, 방위방향회전성분검출부(260)를 이용하여 예비영상복원부(230)에 의해 얻어진 각 구획예비영상을 광학적으로 분석하여, 각 구획예비영상의 방위방향성분이 이상적인 방위방향(그래프 상의 수직방향)으로부터 기울어진 각도를 해당 구획예비영상의 방위방향회전각도(φyaw)로 설정한다.In addition, by optically analyzing each segment preliminary image obtained by the preliminary
계속해서, 지향각오류 및/또는 항공기요동에 의한 오류를 고려하여 보정된 구획데이터들을 생성한다(S170).Subsequently, corrected segment data is generated in consideration of the error of the orientation angle and/or the error due to the motion of the aircraft (S170).
구체적으로, 보정데이터생성부(270)를 이용하여 각 구획원시데이터, 각 거리방향회전각도(φrg), 및 각 방위방향회전각도(φyaw)를 [식 19] 내지 [식 22]에 적용하여 보정된 각 화소별 역투영함수 f(xi,yj)인 보정된 구획데이터를 생성한다. 본 실시예에서, 보정된 구획데이터는 역투영(BPA)의 형태를 가진다.Specifically, each division raw data, each distance direction rotation angle (φ rg ), and each azimuth direction rotation angle (φ yaw ) are applied to [Equation 19] to [Equation 22] using the correction
이어서, 보정된 구획데이터로부터 구해진 구획합성개구면을 조합하여 보정된 영상을 생성한다(S180).Subsequently, a corrected image is generated by combining the segment synthesis opening surface obtained from the corrected segment data (S180).
구체적으로, 영상복원부(280)를 이용하여, 보정데이터생성부(270)에 의해 구한 보정된 구획데이터로부터 구획합성개구면 상의 보정된 영상으로 복원한다. 본 실시예에서, 보정된 구획데이터는 각 화소별 역투영함수 f(xi,yj) 형태를 갖는다.Specifically, by using the
상기와 같은 본 발명의 실시예에 따르면, 항공기기반 분할영상복원장치에서 레이더의 조사방향이 비틀어져서 지향각오류가 발생하거나, 항공기요동에 의한 오류가 발생하더라도 별도의 물리적인 조치없이 보정된 역투영이미지를 얻을 수 있다.According to an embodiment of the present invention as described above, in the aircraft-based segmented image restoration apparatus, even if a direction angle error occurs due to a twisted irradiation direction of a radar, or an error due to aircraft oscillation occurs, corrected reverse projection without separate physical measures You can get the image.
지향각오류 또는 항공기요동에 의한 오류는 전파동위상면이 지표면에 비틀린 상태로 전파되는 특성때문에 교차검증을 통하여 제거하는 것이 사실상 불가능해서, 종래에는 지향각오류 및/또는 항공기요동에 의한 오류가 발견되면 데이터를 재사용하지 못하고 버려졌다. 따라서 종래에는 역투영한 이미지에 지향각오류 또는 항공기요동에 의한 오류가 발견되면 송신안테나의 방향을 조정한 후에, 다시 항공기를 출항시켜서 새로운 데이터를 얻어야만 했기 때문에 항공기를 2번 운항하는 것으로 인해 많은 시간과 비용이 소요되었다. 그러나 본 발명의 실시예에 따르면 1번의 운항에서 얻어진 데이터를 이용하여 지향각오류 및/또는 항공기요동에 의한 오류가 제거된 역투영이미지를 얻을 수 있기 때문에, 시간과 비용이 감소된다.Since it is virtually impossible to remove the orientation angle error or the error due to the aircraft fluctuation through cross-validation due to the characteristic that the propagation phase plane propagates in a twisted state to the ground surface, conventionally, if errors due to the orientation angle error and/or aircraft fluctuation are found. Data was discarded without being able to be reused. Therefore, conventionally, if an error due to orientation angle error or aircraft fluctuation is found in the reverse-projected image, it is necessary to adjust the direction of the transmission antenna and then leave the aircraft again to obtain new data. And cost. However, according to the embodiment of the present invention, since it is possible to obtain a back-projection image in which an error due to a directing angle error and/or an error due to aircraft oscillation is eliminated by using the data obtained in one operation, time and cost are reduced.
본 발명의 실시예에 따른 항공기기반 분할영상복원장치는 안테나부재(110, 120), 파형발생기(150), 분배기(160), 믹서(205), 원시데이터생성부(210), 요동보정부(290), 예비역투영부(220), 예비영상복원부(230), 오류판단부(240), 거리방향회전성분검출부(250), 방위방향회전성분검출부(260), 보정데이터생성부(270), 및 보정영상복원부(280)를 포함한다. 다른 실시예에서, 예비역투영부(220)를 통합역투영부(도시되지 않음)로 대체하고, 통합역투영부(도시되지 않음)가 구획원시데이터를 이용한 예비정합필터과정 및 보정된 구획데이터를 이용한 보정정합필터과정을 함께 수행할 수도 있다. 또한, 예비영상복원부(230)를 통합영상복원부(도시되지 않음)로 대체하고, 통합영상복원부(도시되지 않음)가 구획예비영상을 표시하는 기능 및 구획합성개구면 상의 보정된 영상을 표시하는 기능을 함께 수행할 수도 있다.The aircraft-based segmented image restoration apparatus according to an embodiment of the present invention includes an
실험예Experimental example
도 20은 항공기가 200m의 길이에 좌우 5m의 진폭으로 하는 sine함수를 갖는 비행경로를 이동하면서 지향각오류가 3°인 경우, 가로세로 0.2m의 해상도를 갖는 역투영이미지를 나타내는 그래프이며, 도 21은 도 20의 모든 구획원시데이터들을 그대로 정합필터과정을 거쳐서 역투영(BPA)한 전체 개구(full-aperture) 이미지이다. 도 20 및 도 21에서는 지향각오류와 항공기요동에 의한 오류가 합산되게 되며, 합산된 오류에서 다시 지향각오류에 의한 부분만을 지표면에 투영하여 추출하면 복원된 영상에서 이론상 지향각오류에 기인한 부분은 2.122°가 된다.FIG. 20 is a graph showing a reverse projection image having a resolution of 0.2m horizontally and vertically when an aircraft moves a flight path having a sine function with an amplitude of 5m to the left and right with a length of 200m and an orientation angle error of 3°. 21 is a full-aperture image obtained by performing reverse-projection (BPA) of all the segmented raw data of FIG. 20 as it is through a matching filter process. In Figs. 20 and 21, the error due to the orientation angle error and the aircraft oscillation are summed, and if only the part due to the orientation angle error is projected and extracted from the summed error on the ground surface, the part due to the theoretical orientation angle error in the restored image Becomes 2.122°.
도 20 및 도 21을 참조하면, 지향각오류 및 항공기요동에 의한 오류가 함께 포함되어 있어서 수평선과 수직선이 일그러진 형상으로 나타났다.Referring to Figs. 20 and 21, the horizontal and vertical lines are distorted because the orientation angle error and the error due to the aircraft oscillation are included together.
도 22는 도 20에서 지향각오류가 없이(0°) 항공기요동만 있는 경우의 원시데이터를 4분할하여 분할연산기법을 사용하고 구획원시데이터를 설정하여 정합필터과정을 수행하는 경우의 역투영이미지를 나타내며, 도 22는 도 20의 원시데이터를 4분할하여 분할연산기법을 사용하고 구획원시데이터를 설정하여 정합필터과정을 수행하는 경우의 역투영이미지를 나타낸다. 도 22 및 도 23을 비교하면, 복원된 영상에서 지향각오류만에 기인한 부분을 구할 수 있다.FIG. 22 is a reverse projection image in the case of performing a matching filter process by using a division calculation technique by dividing raw data in the case of only aircraft oscillation without an orientation angle error (0°) in FIG. 20 and setting the division raw data 22 shows a reverse projection image when the original data of FIG. 20 is divided into four to use a division operation technique, and a matching filter process is performed by setting the divided raw data. Comparing FIGS. 22 and 23, a portion due only to the orientation angle error in the reconstructed image can be obtained.
도 22 및 도 23을 참조하면, 지향각오류와 항공기요동에 의한 오류를 합산한 각도는 4.3596°이었으며, 지향각오류는 없이 항공기요동에 의한 오류만으로 인한 각도는 6.4327°이었다.Referring to FIGS. 22 and 23, the angle of the sum of the error of the orientation angle and the error due to the aircraft oscillation was 4.3596°, and the angle due only to the error due to the aircraft oscillation without the directivity angle error was 6.4327°.
도 23의 각도에서 도 22의 각도를 빼서, 순수하게 지향각오류로 인한 각도를 구하면 2.13°로, 지향각 3°를 지표면 상에 투영하였을 때 얻어지는 이론상 각도 2.122°와 거의 비슷했다.If the angle of FIG. 22 was subtracted from the angle of FIG. 23 and the angle due to the directing angle error was obtained, it was 2.13°, which was almost similar to the theoretical angle of 2.122° obtained when the directing angle 3° was projected onto the ground surface.
위와 같이, 본 발명의 실시예에 의한 경우, 지향각오류 및 항공기요동에 의한 오류를 정확하게 분석할 수 있다.As described above, in the case of the embodiment of the present invention, it is possible to accurately analyze the error due to the orientation angle error and the aircraft oscillation.
상기와 같은 본 발명의 실시예에 따르면, 항공기기반 분할영상복원장치에서 레이더의 조사방향이 비틀어져서 지향각오류가 발생하거나, 항공기요동에 의한 오류가 발생하더라도 별도의 물리적인 조치없이 보정된 역투영이미지를 얻을 수 있다.According to an embodiment of the present invention as described above, in the aircraft-based segmented image restoration apparatus, even if a direction angle error occurs due to a twisted irradiation direction of a radar, or an error due to aircraft oscillation occurs, corrected reverse projection without separate physical measures You can get the image.
지향각오류 또는 항공기요동에 의한 오류는 전파동위상면이 지표면에 비틀린 상태로 전파되는 특성때문에 교차검증을 통하여 제거하는 것이 사실상 불가능해서, 종래에는 지향각오류 및/또는 항공기요동에 의한 오류가 발견되면 데이터를 재사용하지 못하고 버려졌다. 따라서 종래에는 역투영한 이미지에 지향각오류 또는 항공기요동에 의한 오류가 발견되면 송신안테나의 방향을 조정한 후에, 다시 항공기를 출항시켜서 새로운 데이터를 얻어야만 했기 때문에 항공기를 2번 운항하는 것으로 인해 많은 시간과 비용이 소요되었다. 그러나 본 발명의 실시예에 따르면 1번의 운항에서 얻어진 데이터를 이용하여 지향각오류 및/또는 항공기요동에 의한 오류가 제거된 역투영이미지를 얻을 수 있기 때문에, 시간과 비용이 감소된다.Since it is virtually impossible to remove the orientation angle error or the error due to the aircraft fluctuation through cross-validation due to the characteristic that the propagation phase plane propagates in a twisted state to the ground surface, conventionally, if errors due to the orientation angle error and/or aircraft fluctuation are found. Data was discarded without being able to be reused. Therefore, conventionally, if an error due to orientation angle error or aircraft fluctuation is found in the reverse-projected image, it is necessary to adjust the direction of the transmission antenna and then leave the aircraft again to obtain new data. And cost. However, according to the embodiment of the present invention, since it is possible to obtain a back-projection image in which an error due to a directing angle error and/or an error due to aircraft oscillation is eliminated by using the data obtained in one operation, time and cost are reduced.
항공기요동에 의한 오류는 항공기운항을 미분하면 기본적으로 지향각오류와 동일한 양상을 갖는다. 즉, 항공기가 기울어지는 과정에서 안테나부재가 기울어져서 발생하는 항공기요동에 의한 오류와 안테나부재 자체가 기울어져서 발생하는 지향각오류는, 원시데이터 측면에서 동일한 결과를 나타낸다. 다만, 지향각오류는 항공기가 운항하는 내내 동일한 각도로 기울어져 있으나, 항공기요동에 의한 오류는 시간에 따라 변화한다는 점이 다를 뿐이다.Errors caused by aircraft fluctuations basically have the same aspect as the orientation angle error when differentiating aircraft operation. That is, the error caused by the aircraft oscillation caused by tilting the antenna member during the inclining process of the aircraft and the directing angle error caused by tilting the antenna member itself show the same result in terms of raw data. However, the orientation angle error is inclined at the same angle throughout the flight of the aircraft, but the only difference is that the error due to aircraft fluctuation changes with time.
본 발명에서는 항공기운항과정에서 얻어지는 원시데이터를 구획하여 일종의 미분과 같이 분할함으로써, 항공기요동에 의한 오류를 지향각오류와 동일한 방식으로 처리한다.In the present invention, by dividing the raw data obtained in the course of aircraft operation and dividing it into a kind of derivative, errors due to aircraft fluctuations are treated in the same manner as the orientation angle error.
또한, 하나의 통합역투영부를 이용하여 예비정합필터과정과 보정정합필터과정을 함께 수행함으로써, 항공기기반 분할영상복원장치의 구조가 단순해지고 비용이 절감된다.In addition, by performing the preliminary matching filter process and the correction matching filter process together using one integrated reverse projection unit, the structure of the aircraft-based segmented image restoration apparatus is simplified and cost is reduced.
본 발명은 항공뷰, 지형도 작성, 해양탐사, 원격탐사, 인공위성탐사, 항공기탐사, 부유실험장치를 이용한 탐사, 조류탐사, 기상탐사, 군사용 등의 용도로 사용될 수 있는 산업상 이용가능성을 갖는다.The present invention has industrial applicability that can be used for purposes such as aerial view, topographic map creation, marine exploration, remote exploration, satellite exploration, aircraft exploration, exploration using floating test equipment, bird exploration, meteorological exploration, military use, and the like.
이상에서는 실시예를 참조하여 설명하였지만, 해당 기술 분야의 숙련된 당업자는 하기의 실용신안등록청구의 범위에 기재된 본 발명의 사상 및 영역으로부터 벗어나지 않는 범위 내에서 본 발명을 다양하게 수정 및 변경시킬 수 있음을 이해할 수 있을 것이다. Although the above has been described with reference to Examples, those skilled in the art can variously modify and change the present invention within the scope not departing from the spirit and scope of the present invention described in the scope of the utility model registration request below. You will understand that there is.
5 : 전파동위상면 6 : 전파동위상선
6' : 투영선 110, 120 : 안테나부재
150 : 파형발생기 160 : 분배기
205 : 믹서 210 : 원시데이터생성부
220 : 예비역투영부 1220 : 통합역투영부
230 : 예비영상복원부 1230 : 통합영상복원부
240 : 오류판단부 250 : 거리방향회전성분검출부
260 : 방위방향회전성분검출부 270, 1270 : 보정데이터생성부
280 : 보정영상복원부 290 : 요동보정부
Gr : 지표면 f(x0, y0) : 조사점
f(xc, yc) : 조사기준점 φrg : 거리방향회전성분
φyaw : 방위방향회전성분 φsq : 지향각도5: radio wave in-phase plane 6: radio wave in-phase line
6':
150: waveform generator 160: divider
205: mixer 210: raw data generation unit
220: reserve reverse projection section 1220: integrated reverse projection section
230: preliminary image restoration unit 1230: integrated image restoration unit
240: error determination unit 250: distance direction rotation component detection unit
260: azimuth direction rotation
280: Correction image restoration unit 290: Yodong correction unit
Gr: surface f(x 0 , y 0 ): irradiation point
f(x c , y c ): Reference point φ rg : Rotation component in distance direction
φ yaw : Directional rotation component φ sq : Directional angle
Claims (10)
상기 파형발생기에 연결되며, 상기 파형발생기로부터 발생된 신호를 인가받아 분배하는 분배기;
상기 분배기에 연결되며, 상기 분배기로부터 상기 분배된 신호를 인가받아 상기 송신파를 지표면으로 송신하는 송신안테나와, 상기 지표면으로부터 반사되는 수신파를 수신하는 수신안테나를 포함하는 안테나부재;
상기 분배기 및 상기 수신안테나에 연결되며, 상기 분배기로부터 인가받은 상기 분배된 신호와 상기 수신안테나로부터 수신된 상기 수신파를 혼합하는 믹서;
상기 믹서와 연결되며, 상기 믹서로부터 상기 혼합된 신호를 인가받아 상기 지표면의 각 화소별 거리를 측정하여 상기 각 화소별 수신신호에 대응되는 원시데이터를 생성하는 원시데이터생성부;
상기 원시데이터생성부에 연결되며, 상기 원시데이터를 기설정된 공간기준값에 따라 분할하여 복수개의 구획원시데이터들을 생성하는 요동보정부;
상기 각 구획원시데이터별로 정합필터과정을 수행하여 복수개의 보정전 역투영함수들(f(x'i,y'j))을 계산하는 예비역투영부;
상기 각 보정전 역투영함수들(f(x'i,y'j))을 예비영상으로 합성개구면 상에 각 화소별로 투영하여 구획된 합성개구면들마다 구획예비영상을 생성하는 예비영상복원부;
상기 각 구획예비영상의 거리방향성분이 이상적인 거리방향으로부터 기울어진 각도를 해당 구획예비영상의 거리방향회전각도로 설정하는 거리방향회전성분검출부;
상기 각 구획예비영상의 방위방향성분이 이상적인 방위방향으로부터 기울어진 각도를 해당 구획예비영상의 방위방향회전각도로 설정하는 방위방향회전성분검출부; 및
상기 각 구획예비영상별로 상기 거리방향회전각도 및 상기 방위방향회전각도를 이용하여 상기 각 화소들의 위치를 보정하고, 상기 각 보정된 화소별 역투영함수(f(xi,yj))의 위치에 따라 상기 각 구획예비영상별로 정합필터과정을 수행하여 상기 각 보정된 화소별 역투영함수(f(xi,yj))를 보정된 구획데이터로 생성하는 보정데이터생성부를 포함하되,
((x'i,y'j)은 원시데이터 상에서 i,j번째 화소의 위치(좌표)를 나타내며,(xi,yj)는 상기 합성개구면 상에서 보정된 i,j번째 화소의 좌표를 나타냄)
상기 예비역투영부는 상기 원시데이터(SIF,r(ω, u'Mp);ω는 주파수, u'Mp는 수신안테나의 위치))에 [식 1], 및 [식 2]의 정합필터과정을 수행하여 각 구획원시데이터별 각 화소(x'i,y'j)별 보정전 역투영함수 f(x'i,y'j)를 계산하고,
[식 1]
[식 2]
([식 1] 및 [식 2]에서, K는 요동보정부에 의해 1/M으로 구획된 구획원시데이터의 번호를 나타내며, u'Mp는 p번째 수신파가 수신될 시점에서 수신안테나 위치를 나타내며, tdij는 i,j번째 화소의 지연시간을 나타내며, (x'i,y'j)은 원시데이터 상에서 i,j번째 화소의 위치(좌표)를 나타내며, Wp는 수신안테나에서 측정된 신호강도에 대한 윈도우함수를 나타내고, t는 샘플링시간을 나타내며, ω는 주파수를 나타내고, u'Mp는 각 구획원시데이터에서 항공기 상에 장착된 수신안테나의 위치를 나타내며, SIF,r(ω, u'Mp)는 수신안테나가 u'Mp에 위치하는 경우의 수신신호에 대한 원시데이터를 나타내며, tdij(u'Mp)는 항공기에 장착된 수신안테나의 위치(u'Mp)에 따른 지연시간을 나타낸다)
상기 보정데이터생성부는 상기 원시데이터(SIF,r(ω, u'Mp))에 [식 3] 내지 [식 6]의 정합필터과정을 수행하여 각 보정된 화소(xi,yj)별 역투영함수 f(xi,yj)를 보정된 구획데이터로 생성하고 상기 보정된 구획데이터를 상기 각 보정된 화소(xi,yj)별로 투영하여 상기 합성개구면 상의 상기 보정된 영상을 생성하는 것을 특징으로 하는 항공기기반 분할영상복원장치.
[식 3]
u'Mp=uMp-Rgtanφyaw
[식 4]
[식 5]
[식 6]
([식 3] 내지 [식 6]에서, uMp(ux, uy, uz)는 p번째 수신파가 수신될 시점에서 수신안테나의 위치를 보정한 좌표를 나타내고, uMp(u'x, u'y, u'z)는 p번째 수신파가 수신될 시점에서 수신안테나의 위치를 보정하지 않은 좌표를 나타내며, Rg는 지표면으로 투영된 수신파의 길이를 나타내며, (xc, yc)는 지표면 상의 조사기준점의 좌표를 나타내며, (xi,yj)는 보정된 i,j번째 화소의 좌표를 나타내며, f(xi,yj)는 보정된 i,j번째 역투영함수를 나타낸다)A waveform generator that generates a signal having the same waveform as the transmission wave;
A divider connected to the waveform generator and configured to receive and distribute a signal generated from the waveform generator;
An antenna member connected to the distributor and including a transmission antenna for receiving the distributed signal from the distributor and transmitting the transmission wave to the ground surface, and a reception antenna for receiving a reception wave reflected from the ground surface;
A mixer connected to the distributor and the reception antenna, and mixing the distributed signal received from the distributor and the reception wave received from the reception antenna;
A raw data generator connected to the mixer, receiving the mixed signal from the mixer, measuring a distance of each pixel on the ground surface, and generating raw data corresponding to the received signal for each pixel;
A shaking motion correction unit connected to the raw data generating unit and generating a plurality of partition raw data by dividing the raw data according to a preset spatial reference value;
A preliminary reverse projection unit for calculating a plurality of pre-correction reverse projection functions (f( x'i , y'j )) by performing a matching filter process for each of the segment raw data;
Preliminary image restoration in which each of the pre-correction reverse projection functions (f(x' i , y'j )) is projected onto the composite opening as a preliminary image for each pixel to generate a partition preliminary image for each of the divided composite openings part;
A distance direction rotation component detection unit for setting an angle in which the distance direction component of each of the preliminary sections is inclined from an ideal distance direction as a distance direction rotation angle of the preliminary section images;
An azimuth direction rotation component detection unit for setting an angle in which the azimuth direction component of each of the subdivision preliminary images is inclined from an ideal azimuth direction as an azimuth direction rotation angle of the corresponding subdivision preliminary image; And
The positions of the respective pixels are corrected using the distance direction rotation angle and the azimuth rotation angle for each of the preliminary division images, and the position of the reverse projection function (f(x i , y j )) for each corrected pixel A correction data generator configured to generate the corrected reverse projection function (f(x i ,y j )) for each pixel as corrected segment data by performing a matching filter process for each segment preliminary image according to the method,
((x' i ,y' j ) represents the position (coordinate) of the i,j-th pixel on the raw data, and (x i ,y j ) represents the coordinates of the i,j-th pixel corrected on the composite opening surface. Indicates)
The preliminary reverse projection unit performs the matching filter processes of [Equation 1] and [Equation 2] on the raw data (S IF,r (ω, u'Mp ); ω is the frequency, u'Mp is the position of the receiving antenna)). And calculate the pre-correction reverse projection function f(x' i ,y' j ) for each pixel (x' i ,y' j ) for each segmented raw data,
[Equation 1]
[Equation 2]
(In [Equation 1] and [Equation 2], K denotes the number of segmented raw data divided by 1/M by the shaking motion compensation unit , and u'Mp denotes the position of the receiving antenna at the time the p-th received wave is received. And t dij represents the delay time of the i,j-th pixel, (x' i ,y' j ) represents the position (coordinate) of the i,j-th pixel on the raw data, and Wp is the signal measured by the receiving antenna denotes a window function of the intensity, t denotes a sampling time, ω denotes the frequency, u 'Mp denotes the location of the receiving antenna mounted on the aircraft in each block of raw data, S IF, r (ω, u 'Mp) is the receive antenna u' the delay time of the received signal represents the raw data for a, t dij (u 'Mp) is located (u of the receive antennas mounted on the aircraft' Mp) of the case which is located Mp Indicate)
The correction data generation unit performs a matching filter process of [Equation 3] to [Equation 6] on the raw data (S IF,r (ω, u'Mp )) to each corrected pixel (x i , y j ). An inverse projection function f(x i , y j ) is generated as corrected segment data, and the corrected segment data is projected for each of the corrected pixels (x i , y j ) to obtain the corrected image on the composite opening surface. Aircraft-based split image restoration device, characterized in that to generate.
[Equation 3]
u'Mp =u Mp -R g tanφ yaw
[Equation 4]
[Equation 5]
[Equation 6]
(In [Equation 3] to [Equation 6], u Mp (u x , u y , u z ) represents the coordinates corrected for the position of the reception antenna at the time point at which the p-th received wave is received, and u Mp (u' x, u 'y, u' z) represents the coordinates p-th received wave does not correct the position of the receiving antenna at the point to be received, R g indicates the length of the received wave projected onto the ground surface, (x c, y c ) represents the coordinates of the reference point on the ground surface, (x i ,y j ) represents the coordinates of the corrected i,jth pixel, and f(x i ,y j ) represents the corrected i,jth reverse projection Represents a function)
상기 송신안테나를 이용하여 상기 송신파를 상기 지표면 상으로 송신하고, 상기 지표면으로부터 반사된 상기 수신파를 상기 수신안테나를 통하여 수신하는 단계;
상기 수신파를 이용하여 상기 수신안테나와 상기 지표면의 각 화소별 거리를 측정하여 상기 각 화소별 수신신호에 대응되는 원시데이터를 생성하는 단계;
상기 요동보정부를 이용하여 상기 원시데이터를 기설정된 공간기준값에 따라 분할하여 상기 구획원시데이터들을 생성하는 단계;
상기 역투영부 및 상기 영상복원부를 이용하여 상기 각 구획원시데이터에 정합필터과정을 수행하여 구획예비영상들을 생성하는 단계;
상기 각 구획예비영상을 상기 거리방향회전성분검출부에 인가하여 상기 각 구획예비영상별 거리방향회전각도를 설정하는 단계;
상기 각 구획예비영상을 상기 방위방향회전성분검출부에 인가하여 상기 각 구획예비영상별 방위방향회전각도를 설정하는 단계;
상기 각 구획원시데이터별로 상기 거리방향회전각도 및 상기 방위방향회전각도를 상기 보정데이터생성부에 인가하여 상기 각 구획원시데이터별로 각 화소들의 위치를 보정하는 단계; 및
상기 각 구획원시데이터별로 각 보정된 화소별 위치에 따라 정합필터과정을 수행하고 상기 각 구획원시데이터별로 상기 정합필터과정이 수행된 각 구획데이터를 상기 각 보정된 화소별로 상기 합성개구면 상에 투영하여 상기 합성개구면 상의 보정된 영상을 생성하는 단계를 포함하되,
상기 각 구획원시데이터에 정합필터과정을 수행하여 구획예비영상들을 생성하는 단계는, 상기 원시데이터(SIF,r(ω, u'Mp);ω는 주파수, u'Mp는 수신안테나의 위치))에 [식 1], 및 [식 2]의 정합필터과정을 수행하여 각 구획원시데이터별 각 화소(x'i,y'j)별 보정전 역투영함수 f(x'i,y'j)를 계산하고,
[식 1]
[식 2]
([식 1] 및 [식 2]에서, K는 요동보정부에 의해 1/M으로 구획된 구획원시데이터의 번호를 나타내며, u'Mp는 p번째 수신파가 수신될 시점에서 수신안테나 위치를 나타내며, tdij는 i,j번째 화소의 지연시간을 나타내며, (x'i,y'j)은 원시데이터 상에서 i,j번째 화소의 위치(좌표)를 나타내며, Wp는 수신안테나에서 측정된 신호강도에 대한 윈도우함수를 나타내고, t는 샘플링시간을 나타내며, ω는 주파수를 나타내고, u'Mp는 각 구획원시데이터에서 항공기 상에 장착된 수신안테나의 위치를 나타내며, SIF,r(ω, u'Mp)는 수신안테나가 u'Mp에 위치하는 경우의 수신신호에 대한 원시데이터를 나타내며, tdij(u'Mp)는 항공기에 장착된 수신안테나의 위치(u'Mp)에 따른 지연시간을 나타낸다)
상기 각 구획원시데이터별로 각 화소들의 위치를 보정하는 단계는, 상기 원시데이터(SIF,r(ω, u'Mp))에 [식 3] 내지 [식 6]의 정합필터과정을 수행하여 각 보정된 화소(xi,yj)별 역투영함수 f(xi,yj)를 보정된 구획데이터로 생성하고 상기 보정된 구획데이터를 상기 각 보정된 화소(xi,yj)별로 투영하여 상기 합성개구면 상의 상기 보정된 영상을 생성하는 것을 특징으로 하는 분할영상복원방법.
[식 3]
u'Mp=uMp-Rgtanφyaw
[식 4]
[식 5]
[식 6]
([식 3] 내지 [식 6]에서, uMp(ux, uy, uz)는 p번째 수신파가 수신될 시점에서 수신안테나의 위치를 보정한 좌표를 나타내고, uMp(u'x, u'y, u'z)는 p번째 수신파가 수신될 시점에서 수신안테나의 위치를 보정하지 않은 좌표를 나타내며, Rg는 지표면으로 투영된 수신파의 길이를 나타내며, (xc, yc)는 지표면 상의 조사기준점의 좌표를 나타내며, (xi,yj)는 보정된 i,j번째 화소의 좌표를 나타내며, f(xi,yj)는 보정된 i,j번째 역투영함수를 나타낸다)
An antenna member including a transmission antenna that transmits a transmission wave to the ground surface and a reception antenna that receives a reception wave reflected from the ground surface, and receives the reception wave by measuring a distance for each pixel on the ground surface to receive each pixel A raw data generator for generating raw data corresponding to a signal, a motion correction part for generating a plurality of segment raw data by receiving the raw data, and reverse projection for each pixel for each segment raw data by performing a matching filter process A reverse projection unit for calculating a function; an image restoration unit for generating an image on a composite opening surface by projecting the reverse projection function for each pixel of each of the raw data; and a propagation in-phase plane of the received wave for each of the divided raw data A distance direction rotation component detection unit that sets the angle at which the radio wave motion phase line in contact with the ground surface is inclined as a distance direction rotation angle, and the angle at which the projection line vertically projecting the received wave onto the ground surface for each segment raw data is inclined. An aircraft-based aircraft comprising an azimuth rotation component detection unit for setting an azimuth rotation angle, and a correction data generation unit for correcting the position of each pixel using the distance direction rotation angle and the azimuth rotation angle for each segment raw data In the split image restoration method using the split image restoration device,
Transmitting the transmission wave onto the ground surface using the transmission antenna and receiving the received wave reflected from the ground surface through the reception antenna;
Generating raw data corresponding to the received signal for each pixel by measuring a distance for each pixel between the receiving antenna and the ground surface using the received wave;
Generating the divided raw data by dividing the raw data according to a predetermined spatial reference value using the shaking motion correction unit;
Generating partition preliminary images by performing a matching filter process on the respective partition raw data using the reverse projection unit and the image restoration unit;
Applying the respective segment preliminary images to the distance direction rotation component detection unit to set a distance direction rotation angle for each segment preliminary image;
Setting an azimuth rotation angle for each of the compartment preliminary images by applying the respective partition preliminary images to the azimuth direction rotation component detection unit;
Applying the distance direction rotation angle and the azimuth direction rotation angle to the correction data generator for each of the divided raw data to correct the positions of the pixels for each of the divided raw data; And
A matching filter process is performed according to the position of each corrected pixel for each of the divided raw data, and each of the divided data subjected to the matching filter process for each of the divided raw data is projected onto the composite opening surface for each of the corrected pixels. And generating a corrected image on the composite opening surface,
The step of generating the segment preliminary images by performing a matching filter process on each segment raw data includes the raw data (S IF,r (ω, u'Mp ); ω is the frequency, u'Mp is the position of the receiving antenna) ) By performing the matching filter process of [Equation 1] and [Equation 2], the inverse projection function f(x' i ,y' j ) before correction for each pixel (x' i ,y' j ) for each segmented raw data ),
[Equation 1]
[Equation 2]
(In [Equation 1] and [Equation 2], K denotes the number of segmented raw data divided by 1/M by the shaking motion compensation unit , and u'Mp denotes the position of the receiving antenna at the time the p-th received wave is received. And t dij represents the delay time of the i,j-th pixel, (x' i ,y' j ) represents the position (coordinate) of the i,j-th pixel on the raw data, and Wp is the signal measured by the receiving antenna denotes a window function of the intensity, t denotes a sampling time, ω denotes the frequency, u 'Mp denotes the location of the receiving antenna mounted on the aircraft in each block of raw data, S IF, r (ω, u 'Mp) is the receive antenna u' the delay time of the received signal represents the raw data for a, t dij (u 'Mp) is located (u of the receive antennas mounted on the aircraft' Mp) of the case which is located Mp Indicate)
The step of correcting the position of each pixel for each segment raw data includes performing the matching filter process of [Equation 3] to [Equation 6] on the raw data (S IF,r (ω, u'Mp )). the corrected pixel (x i, y j) by back-projection function f (x i, y j) to produce a corrected segment data and projected by each of the corrected pixel (x i, y j) the corrected segment data And generating the corrected image on the composite opening surface.
[Equation 3]
u'Mp =u Mp -R g tanφ yaw
[Equation 4]
[Equation 5]
[Equation 6]
(In [Equation 3] to [Equation 6], u Mp (u x , u y , u z ) represents the coordinates corrected for the position of the reception antenna at the time point at which the p-th received wave is received, and u Mp (u' x, u 'y, u' z) represents the coordinates p-th received wave does not correct the position of the receiving antenna at the point to be received, R g indicates the length of the received wave projected onto the ground surface, (x c, y c ) represents the coordinates of the reference point on the ground surface, (x i ,y j ) represents the coordinates of the corrected i,jth pixel, and f(x i ,y j ) represents the corrected i,jth reverse projection Represents a function)
Priority Applications (1)
| Application Number | Priority Date | Filing Date | Title |
|---|---|---|---|
| KR1020190015224A KR102156490B1 (en) | 2019-02-08 | 2019-02-08 | Image decoding apparatus based on airborn and differential method of decoding image using the same |
Applications Claiming Priority (1)
| Application Number | Priority Date | Filing Date | Title |
|---|---|---|---|
| KR1020190015224A KR102156490B1 (en) | 2019-02-08 | 2019-02-08 | Image decoding apparatus based on airborn and differential method of decoding image using the same |
Publications (2)
| Publication Number | Publication Date |
|---|---|
| KR20200097611A KR20200097611A (en) | 2020-08-19 |
| KR102156490B1 true KR102156490B1 (en) | 2020-09-15 |
Family
ID=72291633
Family Applications (1)
| Application Number | Title | Priority Date | Filing Date |
|---|---|---|---|
| KR1020190015224A Active KR102156490B1 (en) | 2019-02-08 | 2019-02-08 | Image decoding apparatus based on airborn and differential method of decoding image using the same |
Country Status (1)
| Country | Link |
|---|---|
| KR (1) | KR102156490B1 (en) |
Cited By (3)
| Publication number | Priority date | Publication date | Assignee | Title |
|---|---|---|---|---|
| KR20220169256A (en) | 2021-06-18 | 2022-12-27 | 국방과학연구소 | Image decoding apparatus for correcting skewed image and method of decoding image using the same |
| KR20230007753A (en) | 2021-07-06 | 2023-01-13 | 서울대학교산학협력단 | Image decoding apparatus for sea surface based on airborn and method of decoding image using the same |
| KR20240097622A (en) | 2022-12-20 | 2024-06-27 | 서울대학교산학협력단 | Synthetic aperture radar image decoding apparatus based on back projection and method of decoding image using the same |
Families Citing this family (3)
| Publication number | Priority date | Publication date | Assignee | Title |
|---|---|---|---|---|
| KR102666369B1 (en) * | 2021-12-15 | 2024-05-17 | 한국항공우주연구원 | Method for calculating power level reflectivity of object on ground using SAR image |
| KR102690407B1 (en) * | 2022-04-26 | 2024-07-30 | 서울대학교산학협력단 | Scatterometer system for ocean parameters monitoring using detected variable distance |
| KR102748237B1 (en) * | 2023-03-20 | 2024-12-31 | 국방과학연구소 | Method and Apparatus for generating radar image Based on the topography data |
Citations (2)
| Publication number | Priority date | Publication date | Assignee | Title |
|---|---|---|---|---|
| JP2012018078A (en) | 2010-07-08 | 2012-01-26 | Alouette Technology Inc | Chirp signal generation circuit, fmcw-system synthetic aperture radar, antenna device, and missile |
| JP2015529800A (en) | 2012-06-28 | 2015-10-08 | レイセオン カンパニー | Wide beam SAR focusing method using navigation solutions derived from autofocus data |
Family Cites Families (2)
| Publication number | Priority date | Publication date | Assignee | Title |
|---|---|---|---|---|
| KR101821607B1 (en) * | 2016-05-03 | 2018-01-25 | 엘아이지넥스원 주식회사 | Apparatus for generating SAR image and ISAR image using multiple computer processing of ω-k algorithm |
| KR101785684B1 (en) | 2016-10-04 | 2017-10-16 | 서울대학교산학협력단 | External calibration method of scatterometer system for ocean parameters monitoring using internal time delay |
-
2019
- 2019-02-08 KR KR1020190015224A patent/KR102156490B1/en active Active
Patent Citations (2)
| Publication number | Priority date | Publication date | Assignee | Title |
|---|---|---|---|---|
| JP2012018078A (en) | 2010-07-08 | 2012-01-26 | Alouette Technology Inc | Chirp signal generation circuit, fmcw-system synthetic aperture radar, antenna device, and missile |
| JP2015529800A (en) | 2012-06-28 | 2015-10-08 | レイセオン カンパニー | Wide beam SAR focusing method using navigation solutions derived from autofocus data |
Cited By (4)
| Publication number | Priority date | Publication date | Assignee | Title |
|---|---|---|---|---|
| KR20220169256A (en) | 2021-06-18 | 2022-12-27 | 국방과학연구소 | Image decoding apparatus for correcting skewed image and method of decoding image using the same |
| KR102494079B1 (en) | 2021-06-18 | 2023-01-31 | 국방과학연구소 | Image decoding apparatus for correcting skewed image and method of decoding image using the same |
| KR20230007753A (en) | 2021-07-06 | 2023-01-13 | 서울대학교산학협력단 | Image decoding apparatus for sea surface based on airborn and method of decoding image using the same |
| KR20240097622A (en) | 2022-12-20 | 2024-06-27 | 서울대학교산학협력단 | Synthetic aperture radar image decoding apparatus based on back projection and method of decoding image using the same |
Also Published As
| Publication number | Publication date |
|---|---|
| KR20200097611A (en) | 2020-08-19 |
Similar Documents
| Publication | Publication Date | Title |
|---|---|---|
| KR102156490B1 (en) | Image decoding apparatus based on airborn and differential method of decoding image using the same | |
| US9927513B2 (en) | Method for determining the geographic coordinates of pixels in SAR images | |
| KR102090318B1 (en) | Image decoding apparatus based on airborn and method of decoding image using the same | |
| CN102169173B (en) | Method for analyzing ambiguity of inclined geo-synchronization orbit synthetic aperture radar | |
| KR102156489B1 (en) | Image decoding apparatus based on airborn and method of decoding image using the same | |
| CN113376625B (en) | Method and device for obtaining deviation angle of target object, electronic equipment and storage medium | |
| CN102466799B (en) | Simulation Method of Interferometric SAR Echo Data Based on POS Motion Data | |
| CN120254848B (en) | A method and system for identifying hidden drones in cities | |
| KR102151362B1 (en) | Image decoding apparatus based on airborn using polar coordinates transformation and method of decoding image using the same | |
| Watson et al. | Non-line-of-sight radar | |
| Heitmann et al. | Observations and modeling of traveling ionospheric disturbance signatures from an Australian network of oblique angle-of-arrival sounders | |
| CN116559874B (en) | Two-dimensional ocean current inversion method and system based on multi-azimuth synthetic aperture radar | |
| KR102258202B1 (en) | Apparatus for generating pseudo-sea surface model for image decoding apparatus based on airborn | |
| CN120122068B (en) | Inclined plane airborne strip echo simulation method and equipment for assisting self-focusing processing | |
| KR102289433B1 (en) | Image decoding apparatus based on squint sar and method of decoding image using the same | |
| CN114879148A (en) | A space-time two-dimensional clutter suppression method suitable for satellite-ground bistatic radar system | |
| CN110632616B (en) | Micro-motion imaging method of airborne inverse synthetic aperture laser radar under sparse sampling | |
| RU2572357C1 (en) | Method of forming three-dimensional image of earth's surface in on-board four-channel doppler radar set | |
| Devereux et al. | Airborne LiDAR: instrumentation, data acquisition and handling | |
| JP2005345212A (en) | Simulation device and method for cloud observation by cloud observation radar device, and cloud observation device | |
| Popov et al. | Simulation of onboard helicopter radar signals for surface elevation measurements | |
| US20230324552A1 (en) | Lidar technology-based method and device for adaptively tracking an object | |
| Nickisch et al. | Feasibility study for reconstructing the spatial-temporal structure of TIDs from high-resolution backscatter ionograms | |
| RU2551896C2 (en) | Method for single-beam measurement of altitude and component velocities of aircraft and radar altimeter therefor | |
| Sofyin et al. | Evaluation of Characteristics of Medium-Scale Travelling Ionospheric Disturbances Based on the Data of Oblique Ionospheric Sounding |
Legal Events
| Date | Code | Title | Description |
|---|---|---|---|
| PA0109 | Patent application |
St.27 status event code: A-0-1-A10-A12-nap-PA0109 |
|
| PA0201 | Request for examination |
St.27 status event code: A-1-2-D10-D11-exm-PA0201 |
|
| R18-X000 | Changes to party contact information recorded |
St.27 status event code: A-3-3-R10-R18-oth-X000 |
|
| R18-X000 | Changes to party contact information recorded |
St.27 status event code: A-3-3-R10-R18-oth-X000 |
|
| PN2301 | Change of applicant |
St.27 status event code: A-3-3-R10-R13-asn-PN2301 St.27 status event code: A-3-3-R10-R11-asn-PN2301 |
|
| PE0902 | Notice of grounds for rejection |
St.27 status event code: A-1-2-D10-D21-exm-PE0902 |
|
| E13-X000 | Pre-grant limitation requested |
St.27 status event code: A-2-3-E10-E13-lim-X000 |
|
| P11-X000 | Amendment of application requested |
St.27 status event code: A-2-2-P10-P11-nap-X000 |
|
| P13-X000 | Application amended |
St.27 status event code: A-2-2-P10-P13-nap-X000 |
|
| PG1501 | Laying open of application |
St.27 status event code: A-1-1-Q10-Q12-nap-PG1501 |
|
| E701 | Decision to grant or registration of patent right | ||
| PE0701 | Decision of registration |
St.27 status event code: A-1-2-D10-D22-exm-PE0701 |
|
| GRNT | Written decision to grant | ||
| PR0701 | Registration of establishment |
St.27 status event code: A-2-4-F10-F11-exm-PR0701 |
|
| PR1002 | Payment of registration fee |
St.27 status event code: A-2-2-U10-U11-oth-PR1002 Fee payment year number: 1 |
|
| PG1601 | Publication of registration |
St.27 status event code: A-4-4-Q10-Q13-nap-PG1601 |
|
| PN2301 | Change of applicant |
St.27 status event code: A-5-5-R10-R13-asn-PN2301 St.27 status event code: A-5-5-R10-R11-asn-PN2301 |
|
| P22-X000 | Classification modified |
St.27 status event code: A-4-4-P10-P22-nap-X000 |
|
| R18-X000 | Changes to party contact information recorded |
St.27 status event code: A-5-5-R10-R18-oth-X000 |
|
| R18-X000 | Changes to party contact information recorded |
St.27 status event code: A-5-5-R10-R18-oth-X000 |
|
| R18-X000 | Changes to party contact information recorded |
St.27 status event code: A-5-5-R10-R18-oth-X000 |
|
| R18-X000 | Changes to party contact information recorded |
St.27 status event code: A-5-5-R10-R18-oth-X000 |
|
| R18-X000 | Changes to party contact information recorded |
St.27 status event code: A-5-5-R10-R18-oth-X000 |
|
| P14-X000 | Amendment of ip right document requested |
St.27 status event code: A-5-5-P10-P14-nap-X000 |
|
| PR1001 | Payment of annual fee |
St.27 status event code: A-4-4-U10-U11-oth-PR1001 Fee payment year number: 4 |
|
| P22-X000 | Classification modified |
St.27 status event code: A-4-4-P10-P22-nap-X000 |
|
| PR1001 | Payment of annual fee |
St.27 status event code: A-4-4-U10-U11-oth-PR1001 Fee payment year number: 5 |
|
| R18-X000 | Changes to party contact information recorded |
St.27 status event code: A-5-5-R10-R18-oth-X000 |
|
| R18-X000 | Changes to party contact information recorded |
St.27 status event code: A-5-5-R10-R18-oth-X000 |
|
| P22-X000 | Classification modified |
St.27 status event code: A-4-4-P10-P22-nap-X000 |
|
| P14 | Amendment of ip right document requested |
Free format text: ST27 STATUS EVENT CODE: A-5-5-P10-P14-NAP-X000 (AS PROVIDED BY THE NATIONAL OFFICE) |
|
| P14-X000 | Amendment of ip right document requested |
St.27 status event code: A-5-5-P10-P14-nap-X000 |
|
| R18 | Changes to party contact information recorded |
Free format text: ST27 STATUS EVENT CODE: A-5-5-R10-R18-OTH-X000 (AS PROVIDED BY THE NATIONAL OFFICE) |
|
| R18-X000 | Changes to party contact information recorded |
St.27 status event code: A-5-5-R10-R18-oth-X000 |







































