KR102030388B1 - Asymmetric antracene derivatives having two naphthyl groups and organic light-emitting diode including the same - Google Patents
Asymmetric antracene derivatives having two naphthyl groups and organic light-emitting diode including the same Download PDFInfo
- Publication number
- KR102030388B1 KR102030388B1 KR1020130002256A KR20130002256A KR102030388B1 KR 102030388 B1 KR102030388 B1 KR 102030388B1 KR 1020130002256 A KR1020130002256 A KR 1020130002256A KR 20130002256 A KR20130002256 A KR 20130002256A KR 102030388 B1 KR102030388 B1 KR 102030388B1
- Authority
- KR
- South Korea
- Prior art keywords
- carbon atoms
- substituted
- group
- substituent
- formula
- Prior art date
- Legal status (The legal status is an assumption and is not a legal conclusion. Google has not performed a legal analysis and makes no representation as to the accuracy of the status listed.)
- Active
Links
Images
Classifications
-
- H—ELECTRICITY
- H10—SEMICONDUCTOR DEVICES; ELECTRIC SOLID-STATE DEVICES NOT OTHERWISE PROVIDED FOR
- H10K—ORGANIC ELECTRIC SOLID-STATE DEVICES
- H10K85/00—Organic materials used in the body or electrodes of devices covered by this subclass
- H10K85/60—Organic compounds having low molecular weight
- H10K85/615—Polycyclic condensed aromatic hydrocarbons, e.g. anthracene
-
- H—ELECTRICITY
- H10—SEMICONDUCTOR DEVICES; ELECTRIC SOLID-STATE DEVICES NOT OTHERWISE PROVIDED FOR
- H10K—ORGANIC ELECTRIC SOLID-STATE DEVICES
- H10K50/00—Organic light-emitting devices
- H10K50/10—OLEDs or polymer light-emitting diodes [PLED]
- H10K50/11—OLEDs or polymer light-emitting diodes [PLED] characterised by the electroluminescent [EL] layers
- H10K50/12—OLEDs or polymer light-emitting diodes [PLED] characterised by the electroluminescent [EL] layers comprising dopants
-
- H—ELECTRICITY
- H10—SEMICONDUCTOR DEVICES; ELECTRIC SOLID-STATE DEVICES NOT OTHERWISE PROVIDED FOR
- H10K—ORGANIC ELECTRIC SOLID-STATE DEVICES
- H10K50/00—Organic light-emitting devices
- H10K50/10—OLEDs or polymer light-emitting diodes [PLED]
- H10K50/14—Carrier transporting layers
- H10K50/15—Hole transporting layers
-
- H—ELECTRICITY
- H10—SEMICONDUCTOR DEVICES; ELECTRIC SOLID-STATE DEVICES NOT OTHERWISE PROVIDED FOR
- H10K—ORGANIC ELECTRIC SOLID-STATE DEVICES
- H10K50/00—Organic light-emitting devices
- H10K50/10—OLEDs or polymer light-emitting diodes [PLED]
- H10K50/14—Carrier transporting layers
- H10K50/16—Electron transporting layers
-
- H—ELECTRICITY
- H10—SEMICONDUCTOR DEVICES; ELECTRIC SOLID-STATE DEVICES NOT OTHERWISE PROVIDED FOR
- H10K—ORGANIC ELECTRIC SOLID-STATE DEVICES
- H10K50/00—Organic light-emitting devices
- H10K50/10—OLEDs or polymer light-emitting diodes [PLED]
- H10K50/17—Carrier injection layers
-
- H—ELECTRICITY
- H10—SEMICONDUCTOR DEVICES; ELECTRIC SOLID-STATE DEVICES NOT OTHERWISE PROVIDED FOR
- H10K—ORGANIC ELECTRIC SOLID-STATE DEVICES
- H10K50/00—Organic light-emitting devices
- H10K50/10—OLEDs or polymer light-emitting diodes [PLED]
- H10K50/17—Carrier injection layers
- H10K50/171—Electron injection layers
Landscapes
- Physics & Mathematics (AREA)
- Optics & Photonics (AREA)
- Spectroscopy & Molecular Physics (AREA)
- Chemical & Material Sciences (AREA)
- Engineering & Computer Science (AREA)
- Materials Engineering (AREA)
- Electroluminescent Light Sources (AREA)
Abstract
본 발명은 하기 [화학식 A] 또는 [화학식 B] 로 표시되는 안트라센 유도체 및 이를 포함하는 유기 발광 소자에 관한 것으로 치환기 X1 내지 X7, Y 및 Z는 발명의 상세한 설명에 정의된 바와 동일하다.
[화학식 A] [화학식 B]
The present invention relates to an anthracene derivative represented by the following [Formula A] or [Formula B] and an organic light emitting device comprising the same. The substituents X 1 to X 7 , Y and Z are the same as defined in the detailed description of the present invention.
[Formula A] [Formula B]
Description
본 발명은 두 개의 나프틸기를 포함하는 비대칭 안트라센 유도체 및 이를 포함하는 유기 발광 소자에 관한 것으로서, 보다 상세하게는 구동전압을 낮출 수 있으며, 발광 효율이 우수한 소자특성을 보여줄 수 있는 비대칭 안트라센 유도체 및 이를 포함하는 유기 발광 소자에 관한 것이다. The present invention relates to an asymmetric anthracene derivative including two naphthyl groups and an organic light emitting device including the same, and more particularly, to an asymmetric anthracene derivative capable of lowering a driving voltage and showing device characteristics with excellent luminous efficiency. It relates to an organic light emitting device comprising.
최근 표시장치의 대형화에 따라 공간 점유가 작은 평면표시소자의 요구가 증대되고 있는데, 대표적인 평면표시소자인 액정 디스플레이는 기존의 CRT(cathode ray tube)에 비해 경량화가 가능하다는 장점은 있으나, 시야각(viewing angle)이 제한되고 배면 광(back light)이 반드시 필요하다는 등의 단점을 갖고 있다. 이에 반하여, 새로운 평면표시소자인 유기 발광 소자(organic light emitting diode, OLED)는 자기 발광 현상을 이용한 디스플레이로서, 시야각이 크고, 액정 디스플레이에 비해 경박, 단소해질 수 있으며, 빠른 응답 속도 등의 장점을 가지고 있으며, 최근에는 풀-컬러(full-color) 디스플레이 또는 조명으로의 응용이 기대되고 있다.Recently, as the size of the display device increases, the demand for a flat display device having a small space is increasing. A liquid crystal display, which is a typical flat display device, has a merit of being lighter than a conventional cathode ray tube (CRT). The disadvantage is that the angle is limited and the back light is necessary. In contrast, the organic light emitting diode (OLED), a new flat panel display device, is a display using a self-luminous phenomenon, and has a large viewing angle, can be thinner and shorter than a liquid crystal display, and has a fast response speed. In recent years, application to full-color display or lighting is expected.
일반적으로 유기 발광 현상이란 유기 물질을 이용하여 전기에너지를 빛에너지로 전환시켜주는 현상을 말한다.In general, organic light emitting phenomenon refers to a phenomenon of converting electrical energy into light energy using an organic material.
유기 발광 현상을 이용하는 유기 발광 소자는 통상 양극과 음극 및 이 사이에 유기물층을 포함하는 구조를 가진다. 여기서 유기물층은 유기 발광 소자의 효율과 안정성을 높이기 위하여 각기 다른 물질로 구성된 다층의 구조로 이루어진 경우가 많으며, 예컨대 정공주입층, 정공수송층, 발광층, 전자수송층, 전자주입층 등으로 이루어질 수 있다. 이러한 유기 발광 소자의 구조에서 두 전극 사이에 전압을 걸어주게 되면 양극에서는 정공이, 음극에서는 전자가 유기물층에 주입되게 되고, 주입된 정공과 전자가 만났을 때 엑시톤(exciton)이 형성되며, 이 엑시톤이 다시 바닥상태로 떨어질 때 빛이 나게 된다. 이러한 유기 발광 소자는 자발광, 고휘도, 고효율, 낮은 구동전압, 넓은 시야각, 높은 콘트라스트, 고속 응답성 등의 특성을 갖는 것으로 알려져 있다.An organic light emitting device using an organic light emitting phenomenon usually has a structure including an anode, a cathode, and an organic material layer therebetween. In this case, the organic material layer is often formed of a multi-layered structure composed of different materials to increase the efficiency and stability of the organic light emitting device, for example, it may be made of a hole injection layer, a hole transport layer, a light emitting layer, an electron transport layer, an electron injection layer. When the voltage is applied between the two electrodes in the structure of the organic light emitting device, holes are injected into the organic material layer at the anode and electrons are injected into the organic material layer, and excitons are formed when the injected holes and the electrons meet each other. When it falls back to the ground, it glows. Such organic light emitting devices are known to have characteristics such as self-luminous, high brightness, high efficiency, low driving voltage, wide viewing angle, high contrast, and high speed response.
유기 발광 소자에서 유기물층으로 사용되는 재료는 기능에 따라, 발광 재료와 전하수송 재료, 예컨대 정공주입 재료, 정공수송 재료, 전자수송 재료, 전자주입 재료 등으로 분류될 수 있다. 상기 발광 재료는 분자량에 따라 고분자형과 저분자형으로 분류될 수 있고, 발광 메커니즘에 따라 전자의 일중항 여기상태로부터 유래되는 형광 재료와 전자의 삼중항 여기상태로부터 유래되는 인광 재료로 분류될 수 있다. 또한, 발광 재료는 발광색에 따라 청색, 녹색, 적색 발광 재료와 보다 나은 천연색을 구현하기 위해 필요한 노란색 및 주황색 발광 재료로 구분될 수 있다.The material used as the organic material layer in the organic light emitting device may be classified into a light emitting material and a charge transport material such as a hole injection material, a hole transport material, an electron transport material, an electron injection material and the like according to a function. The light emitting material may be classified into a polymer type and a low molecular type according to molecular weight, and may be classified into a fluorescent material derived from a singlet excited state of electrons and a phosphorescent material derived from a triplet excited state of electrons according to a light emitting mechanism. . In addition, the light emitting material may be classified into blue, green, and red light emitting materials and yellow and orange light emitting materials required to achieve a better natural color according to the light emitting color.
한편, 발광 재료로서 하나의 물질만 사용하는 경우 분자간 상호 작용에 의하여 최대 발광 파장이 장파장으로 이동하고 색순도가 떨어지거나 발광 감쇄 효과로 소자의 효율이 감소되는 문제가 발생하므로, 색순도의 증가와 에너지 전이를 통한 발광 효율을 증가시키기 위하여 발광 재료로서 호스트-도판트 시스템을 사용할 수 있다.On the other hand, when only one material is used as the light emitting material, the maximum emission wavelength is shifted to a long wavelength due to the intermolecular interaction, and the color purity decreases or the efficiency of the device decreases due to the emission attenuation effect. A host-dopant system can be used as the luminescent material to increase the luminous efficiency through.
그 원리는 발광층을 형성하는 호스트보다 에너지 대역 간극이 작은 도판트를 발광층에 소량 혼합하면, 발광층에서 발생한 엑시톤이 도판트로 수송되어 효율이 높은 빛을 내는 것이다. 이때, 호스트의 파장이 도판트의 파장대로 이동하므로, 이용하는 도판트의 종류에 따라 원하는 파장의 빛을 얻을 수 있다.The principle is that when a small amount of dopant having an energy band gap smaller than that of the host forming the light emitting layer is mixed in the light emitting layer, excitons generated in the light emitting layer are transported to the dopant, thereby producing high efficiency light. At this time, since the wavelength of the host shifts to the wavelength of the dopant, light having a desired wavelength can be obtained according to the type of dopant to be used.
유기 발광 소자가 전술한 우수한 특징들을 충분히 발휘하기 위해서는 소자 내 유기물층을 이루는 물질, 예컨대 정공주입 물질, 정공수송 물질, 발광 물질, 전자수송 물질, 전자주입 물질 등이 안정하고 효율적인 재료에 의하여 뒷받침되는 것이 선행되어야 한다.In order for the organic light emitting device to fully exhibit the above-mentioned excellent characteristics, it is supported that a material that forms the organic material layer in the device, such as a hole injection material, a hole transport material, a light emitting material, an electron transport material, an electron injection material, etc. is supported by a stable and efficient material. It must be preceded.
한편, 유기 발광 소자에서는, 양 전극으로부터 주입된 전하가 발광층에서 재결합하여 발광이 얻어지는데, 전자의 이동 속도보다 정공의 이동 속도가 빠르기 때문에, 정공의 일부가 발광층을 빠져나감에 의한 효율 저하가 문제로 된다. 그 때문에 전자의 이동 속도가 빠른 전자 수송 재료가 요구되고 있다.On the other hand, in the organic light emitting device, charges injected from both electrodes are recombined in the light emitting layer to obtain light emission. However, since the movement speed of the holes is faster than the movement speed of the electrons, a decrease in efficiency due to a part of the holes exiting the light emitting layer is a problem. It becomes Therefore, there is a demand for an electron transport material having a high speed of movement of electrons.
상기 전자 수송능력과 정공 저지능력이 우수하며 발광 효율이 우수하며 박막 상태에서의 안정성이 높은 유기 화합물을 제조하기 위해 등록특허공보 제10-0691543호(2007.03.09)에서는 안트라센의 4 개의 치환장소에 1 개 내지 2 개의 헤테로 작용기가 도입된 유기 화합물에 관해 기재되어 있고, 공개특허공보 제10-2012-0104204호(2012.09.20)에서는 치환된 안트라센환 구조에 피리도인돌 유도체가 결합된 유기화합물에 관해 기재되어 있으며, 일본공개특허공보 특개2010-168363 호(2010.08.05)에서는 외부 양자 효율 및 구동 전압의 특성이 우수한 특성을 가지는, 피리딘 나프틸기를 가지는 안트라센 유도체에 관해 기재되어 있다. In order to manufacture the organic compound having excellent electron transport ability and hole blocking ability, excellent luminous efficiency and high stability in a thin film state, Korean Patent Publication No. 10-0691543 (2007.03.09) shows four substitution sites of anthracene. An organic compound in which 1 to 2 hetero functional groups are introduced is disclosed. In Korean Patent Application Publication No. 10-2012-0104204 (2012.09.20), an organic compound having a pyridoindole derivative bonded to a substituted anthracene ring structure is described. Japanese Unexamined Patent Publication No. 2010-168363 (2010.08.05) discloses an anthracene derivative having a pyridine naphthyl group having excellent properties of external quantum efficiency and driving voltage.
그러나, 상기와 같은 유기 발광 소자용 전자 수송 재료를 제조하기 위한 노력에도 불구하고 아직까지 저구동전압 및 고발광 효율화를 위한 재료의 개발이 충분하다고는 할 수 없어, 저전압에서 구동이 가능하면서도 발광 효율이 우수한 유기 발광 소자용 전자 수송층용 재료의 개발의 필요성은 지속적으로 요구되고 있는 실정이다.However, despite efforts to manufacture the electron transporting material for the organic light emitting device as described above, the development of materials for low driving voltage and high light emitting efficiency is not sufficient. The necessity of the development of this excellent material for an electron transport layer for organic light emitting devices is constantly being demanded.
등록특허공보 제10-0691543호(2007.03.09) Registered Patent Publication No. 10-0691543 (2007.03.09)
공개특허공보 제10-2012-0104204호(2012.09.20)Publication No. 10-2012-0104204 (2012.09.20)
일본공개특허공보 특개2010-168363 호(2010.08.05)Japanese Laid-Open Patent Publication No. 2010-168363 (2010.08.05)
따라서, 본 발명이 이루고자 하는 첫 번째 기술적 과제는 전자수송층용으로 사용될 수 있으며, 저전압구동 특성을 가지는 발광효율이 우수한 유기 발광 소자용 유기 화합물을 제공하는 것이다.Therefore, the first technical problem to be achieved by the present invention is to provide an organic compound for an organic light emitting device that can be used for the electron transport layer, and excellent in luminous efficiency having a low voltage driving characteristics.
본 발명이 이루고자 하는 두 번째 기술적 과제는 상기 유기 화합물을 포함하는 유기 발광 소자를 제공하는 것이다. The second technical problem to be achieved by the present invention is to provide an organic light emitting device including the organic compound.
본 발명은 상기 첫 번째 기술적 과제를 달성하기 위하여, 유기 발광 소자의 전자수송층에 사용될 수 있는 유기 화합물로서, 하기 [화학식 A] 또는 [화학식B]로 표시되는 안트라센 유도체를 제공한다.The present invention provides an anthracene derivative represented by the following [Formula A] or [Formula B] as an organic compound that can be used in the electron transport layer of the organic light emitting device to achieve the first technical problem.
[화학식 A] [화학식 B] [Formula A] [Formula B]
상기 [화학식 A] 및 [화학식 B] 에서, In [Formula A] and [Formula B],
상기 Y는 동일하거나 상이하며 서로 독립적으로 수소, 중수소, 치환 또는 비치환된 탄소수 1 내지 30의 알킬기, 치환 또는 비치환된 탄소수 5 내지 50의 아릴기, 치환 또는 비치환된 탄소수 1 내지 50의 헤테로 아릴기, 치환 또는 비치환된 탄소수 1 내지 30의 실릴기 중에서 선택되는 어느 하나이고; Y is the same or different and independently from each other hydrogen, deuterium, a substituted or unsubstituted alkyl group having 1 to 30 carbon atoms, a substituted or unsubstituted aryl group having 5 to 50 carbon atoms, a substituted or unsubstituted hetero atom having 1 to 50 carbon atoms An aryl group, a substituted or unsubstituted silyl group having 1 to 30 carbon atoms;
Z는 동일하거나 상이하며, 각각 독립적으로 수소, 중수소, 치환 또는 비치환된 탄소수 1 내지 30의 알킬기, 치환 또는 비치환된 탄소수 5 내지 50의 아릴기, 치환 또는 비치환된 탄소수 1 내지 30의 실릴기 중에서 선택되는 어느 하나이며; Z is the same or different and each independently hydrogen, deuterium, a substituted or unsubstituted alkyl group having 1 to 30 carbon atoms, a substituted or unsubstituted aryl group having 5 to 50 carbon atoms, a substituted or unsubstituted silyl having 1 to 30 carbon atoms Any one selected from the group;
m 및 m'는 1 내지 8의 정수이며;m and m 'are integers from 1 to 8;
상기 나프틸기 또는 안트라세닐기의 방향족고리의 탄소에 치환기 Y 및 Z가 결합되지 않은 경우에는 수소가 결합되어 있고;When substituents Y and Z are not bonded to carbon of the aromatic ring of the naphthyl group or anthracenyl group, hydrogen is bonded;
상기 X1 내지 X7은 각각 서로 동일하거나 상이하고, 독립적으로 수소, 중수소, 치환 또는 비치환된 탄소수 1 내지 30의 알킬기, 치환 또는 비치환된 탄소수 5 내지 50의 아릴기, 치환 또는 비치환된 탄소수 2 내지 30의 알케닐기, 치환 또는 비치환된 탄소수 2 내지 20의 알키닐기, 치환 또는 비치환된 탄소수 3 내지 30의 시클로알킬기, 치환 또는 비치환된 탄소수 5 내지 30의 시클로알케닐기, 치환 또는 비치환된 탄소수 1 내지 30의 알콕시기, 치환 또는 비치환된 탄소수 6 내지 30의 아릴옥시기, 치환 또는 비치환된 탄소수 1 내지 30의 알킬티옥시기, 치환 또는 비치환된 탄소수 5 내지 30의 아릴티옥시기, 치환 또는 비치환된 탄소수 1 내지 30의 알킬아민기, 치환 또는 비치환된 탄소수 5 내지 30의 아릴아민기, 치환 또는 비치환되고 이종 원자로 O, N 또는 S를 갖는 탄소수 2 내지 50의 헤테로아릴기, 시아노기, 니트로기, 할로겐기중에서 선택되는 어느 하나이고, 서로 인접하는 기와 지방족, 방향족, 지방족헤테로 또는 방향족헤테로의 축합 고리를 형성할 수 있으며;X 1 to X 7 are the same as or different from each other, and independently hydrogen, deuterium, a substituted or unsubstituted alkyl group having 1 to 30 carbon atoms, a substituted or unsubstituted aryl group having 5 to 50 carbon atoms, substituted or unsubstituted Alkenyl groups having 2 to 30 carbon atoms, substituted or unsubstituted alkynyl groups having 2 to 20 carbon atoms, substituted or unsubstituted cycloalkyl groups having 3 to 30 carbon atoms, substituted or unsubstituted cycloalkenyl groups having 5 to 30 carbon atoms, substituted or Unsubstituted alkoxy group having 1 to 30 carbon atoms, substituted or unsubstituted aryloxy group having 6 to 30 carbon atoms, substituted or unsubstituted alkylthioxy group having 1 to 30 carbon atoms, substituted or unsubstituted aryl having 5 to 30 carbon atoms Thioxy group, substituted or unsubstituted alkylamine group having 1 to 30 carbon atoms, substituted or unsubstituted arylamine group having 5 to 30 carbon atoms, substituted or unsubstituted and having hetero atoms as O, N or S A heteroaryl group of a small number of 2 to 50, a cyano group, a nitro group, and any one selected from the group consisting of halogen group, may form a fused ring group of aliphatic, aromatic, aliphatic hetero, or aromatic heterocyclic group which are adjacent to each other;
상기 X1 내지 X7중 적어도 하나는 질소원자를 포함하는 탄소수 2 내지 20의 헤테로아릴기이다.X 1 At least one of to X 7 is a heteroaryl group having 2 to 20 carbon atoms containing a nitrogen atom.
또한 본 발명은 상기 두 번째 과제를 달성하기 위하여, 제1전극, 상기 제1전극에 대향된 제2전극 및 상기 제1전극과 상기 제2전극 사이에 개재된 유기층을 포함하고, 상기 유기층이 상기 [화학식 A] 또는 [화학식 B]로 표시되는 안트라센 유도체를 1종 이상 포함한, 유기 발광 소자를 제공한다.The present invention also includes a first electrode, a second electrode facing the first electrode and an organic layer interposed between the first electrode and the second electrode in order to achieve the second object, the organic layer is Provided is an organic light-emitting device comprising at least one anthracene derivative represented by Formula (A) or (B).
본 발명에 따르면, [화학식 A] 또는 [화학식 B]로 표시되는 안트라센 유도체는 기존 물질에 비하여 저 전압구동의 특성을 가지며 발광효율이 우수한 특성을 가지고 있고, 안정적이고 우수한 소자의 제조에 이용될 수 있다.According to the present invention, the anthracene derivative represented by [Formula A] or [Formula B] has a characteristic of low voltage driving and excellent luminous efficiency as compared to the existing material, and can be used for the manufacture of a stable and excellent device. have.
도 1은 본 발명의 일 구체예에 따른 유기 발광 소자의 개략도이다.1 is a schematic view of an organic light emitting device according to an embodiment of the present invention.
이하, 본 발명을 더욱 상세하게 설명한다.Hereinafter, the present invention will be described in more detail.
본 발명은 유기 발광 소자의 전자수송층 또는 발광층에 사용될 수 있는 안트라센 유도체로서, 하기 [화학식 A] 또는 [화학식 B]로 표시되는 화합물을 제공한다. The present invention provides a compound represented by the following [Formula A] or [Formula B] as an anthracene derivative that can be used in the electron transport layer or the light emitting layer of the organic light emitting device.
[화학식 A] [화학식 B][Formula A] [Formula B]
상기 [화학식 A] 및 [화학식 B] 에서, In [Formula A] and [Formula B],
상기 Y는 동일하거나 상이하며 서로 독립적으로 수소, 중수소, 치환 또는 비치환된 탄소수 1 내지 30의 알킬기, 치환 또는 비치환된 탄소수 5 내지 50의 아릴기, 치환 또는 비치환된 탄소수 1 내지 50의 헤테로 아릴기, 치환 또는 비치환된 탄소수 1 내지 30의 실릴기 중에서 선택되는 어느 하나이고; Y is the same or different and independently from each other hydrogen, deuterium, a substituted or unsubstituted alkyl group having 1 to 30 carbon atoms, a substituted or unsubstituted aryl group having 5 to 50 carbon atoms, a substituted or unsubstituted hetero atom having 1 to 50 carbon atoms An aryl group, a substituted or unsubstituted silyl group having 1 to 30 carbon atoms;
Z는 동일하거나 상이하며, 각각 독립적으로 수소, 중수소, 치환 또는 비치환된 탄소수 1 내지 30의 알킬기, 치환 또는 비치환된 탄소수 5 내지 50의 아릴기, 치환 또는 비치환된 탄소수 1 내지 30의 실릴기 중에서 선택되는 어느 하나이며;Z is the same or different and each independently hydrogen, deuterium, a substituted or unsubstituted alkyl group having 1 to 30 carbon atoms, a substituted or unsubstituted aryl group having 5 to 50 carbon atoms, a substituted or unsubstituted silyl having 1 to 30 carbon atoms Any one selected from the group;
m 및 m'는 1 내지 8의 정수이며;m and m 'are integers from 1 to 8;
상기 나프틸기 또는 안트라세닐기의 방향족고리의 탄소에 치환기 Y 및 Z가 결합되지 않은 경우에는 수소가 결합되어 있고;When substituents Y and Z are not bonded to carbon of the aromatic ring of the naphthyl group or anthracenyl group, hydrogen is bonded;
상기 X1 내지 X7은 각각 서로 동일하거나 상이하고, 독립적으로 수소, 중수소, 치환 또는 비치환된 탄소수 1 내지 30의 알킬기, 치환 또는 비치환된 탄소수 5 내지 50의 아릴기, 치환 또는 비치환된 탄소수 2 내지 30의 알케닐기, 치환 또는 비치환된 탄소수 2 내지 20의 알키닐기, 치환 또는 비치환된 탄소수 3 내지 30의 시클로알킬기, 치환 또는 비치환된 탄소수 5 내지 30의 시클로알케닐기, 치환 또는 비치환된 탄소수 1 내지 30의 알콕시기, 치환 또는 비치환된 탄소수 6 내지 30의 아릴옥시기, 치환 또는 비치환된 탄소수 1 내지 30의 알킬티옥시기, 치환 또는 비치환된 탄소수 5 내지 30의 아릴티옥시기, 치환 또는 비치환된 탄소수 1 내지 30의 알킬아민기, 치환 또는 비치환된 탄소수 5 내지 30의 아릴아민기, 치환 또는 비치환되고 이종 원자로 O, N 또는 S를 갖는 탄소수 2 내지 50의 헤테로아릴기, 시아노기, 니트로기, 할로겐기중에서 선택되는 어느 하나이고, 서로 인접하는 기와 지방족, 방향족, 지방족헤테로 또는 방향족헤테로의 축합 고리를 형성할 수 있으며;X 1 to X 7 are the same as or different from each other, and independently hydrogen, deuterium, a substituted or unsubstituted alkyl group having 1 to 30 carbon atoms, a substituted or unsubstituted aryl group having 5 to 50 carbon atoms, substituted or unsubstituted Alkenyl groups having 2 to 30 carbon atoms, substituted or unsubstituted alkynyl groups having 2 to 20 carbon atoms, substituted or unsubstituted cycloalkyl groups having 3 to 30 carbon atoms, substituted or unsubstituted cycloalkenyl groups having 5 to 30 carbon atoms, substituted or Unsubstituted alkoxy group having 1 to 30 carbon atoms, substituted or unsubstituted aryloxy group having 6 to 30 carbon atoms, substituted or unsubstituted alkylthioxy group having 1 to 30 carbon atoms, substituted or unsubstituted aryl having 5 to 30 carbon atoms A thioxy group, a substituted or unsubstituted alkylamine group having 1 to 30 carbon atoms, a substituted or unsubstituted arylamine group having 5 to 30 carbon atoms, substituted or unsubstituted and having O, N or S as a hetero atom Heteroaryl group, a small number of 2 to 50, cyano, nitro, and any one is selected from a halogen group, may form a fused ring group of aliphatic, aromatic, aliphatic hetero, or aromatic heterocyclic group which are adjacent to each other;
상기 X1 내지 X7중 적어도 하나는 질소원자를 포함하는 탄소수 2 내지 20의 헤테로아릴기이고; At least one of X 1 to X 7 is a heteroaryl group having 2 to 20 carbon atoms including a nitrogen atom;
상기 '치환 또는 비치환된'에서의 '치환'은 중수소, 시아노기, 할로겐기, 히드록시기, 니트로기, 탄소수 1 내지 24의 알킬기, 탄소수 1 내지 24의 할로겐화된 알킬기, 탄소수 1 내지 24의 알케닐기, 탄소수 1 내지 24의 알키닐기, 탄소수 1 내지 24의 헤테로알킬기, 탄소수 6 내지 24의 아릴기, 탄소수 6 내지 24의 아릴알킬기, 탄소수 2 내지 24의 헤테로아릴기 또는 탄소수 2 내지 24의 헤테로아릴알킬기, 탄소수 1 내지 24의 알콕시기, 탄소수 1 내지 24의 알킬아미노기, 탄소수 1 내지 24의 아릴아미노기, 탄소수 1 내지 24의 헤테로 아릴아미노기, 탄소수 1 내지 24의 알킬실릴기, 탄소수 1 내지 24의 아릴실릴기, 탄소수 1 내지 24의 아릴옥시기로 이루어진 군에서 선택된 1개 이상의 치환기로 치환되는 것을 의미한다.The 'substituted' in the 'substituted or unsubstituted' is deuterium, cyano group, halogen group, hydroxy group, nitro group, alkyl group of 1 to 24 carbon atoms, halogenated alkyl group of 1 to 24 carbon atoms, alkenyl group of 1 to 24 carbon atoms , Alkynyl group having 1 to 24 carbon atoms, heteroalkyl group having 1 to 24 carbon atoms, aryl group having 6 to 24 carbon atoms, arylalkyl group having 6 to 24 carbon atoms, heteroaryl group having 2 to 24 carbon atoms or heteroarylalkyl group having 2 to 24 carbon atoms , Alkoxy group having 1 to 24 carbon atoms, alkylamino group having 1 to 24 carbon atoms, arylamino group having 1 to 24 carbon atoms, heteroaryl group having 1 to 24 carbon atoms, alkylsilyl group having 1 to 24 carbon atoms, arylsilyl having 1 to 24 carbon atoms It means that the group is substituted with one or more substituents selected from the group consisting of aryloxy group having 1 to 24 carbon atoms.
한편, 본 발명의 화합물에서 사용되는 아릴기는 하나 이상의 고리를 포함하는 탄화수소로 이루어진 방향족 시스템을 의미하며, 상기 치환기가 있는 경우 이웃하는 치환기와 서로 융합 (fused)되어 고리를 추가로 형성할 수 있다. On the other hand, the aryl group used in the compound of the present invention means an aromatic system consisting of a hydrocarbon containing one or more rings, if there is a substituent may be fused to each other with a neighboring substituent (fused) to further form a ring.
상기 아릴기의 구체적인 예로는 페닐, 나프틸, 테트라히드로나프틸 등과 같은 방향족 그룹을 들 수 있고, 상기 아릴기 중 하나 이상의 수소 원자는 중수소 원자, 할로겐 원자, 히드록시기, 니트로기, 시아노기, 실릴기, 아미노기 (-NH2, -NH(R), -N(R')(R''), R'과 R"은 서로 독립적으로 탄소수 1 내지 10의 알킬기이며, 이 경우 "알킬아미노기"라 함), 아미디노기, 히드라진기, 히드라존기, 카르복실기, 술폰산기, 인산기, 탄소수 1 내지 24의 알킬기, 탄소수 1 내지 24의 할로겐화된 알킬기, 탄소수 1 내지 24의 알케닐기, 탄소수 1 내지 24의 알키닐기, 탄소수 1 내지 24의 헤테로알킬기, 탄소수 6 내지 24의 아릴기, 탄소수 6 내지 24의 아릴알킬기, 탄소수 2 내지 24의 헤테로아릴기 또는 탄소수 2 내지 24의 헤테로아릴알킬기로 치환될 수 있다.Specific examples of the aryl group may include aromatic groups such as phenyl, naphthyl, tetrahydronaphthyl, and the like, and at least one hydrogen atom of the aryl group may be a deuterium atom, a halogen atom, a hydroxy group, a nitro group, a cyano group, or a silyl group. , Amino group (-NH 2 , -NH (R), -N (R ') (R''),R' and R "are independently of each other an alkyl group having 1 to 10 carbon atoms, in this case referred to as" alkylamino group " ), Amidino group, hydrazine group, hydrazone group, carboxyl group, sulfonic acid group, phosphoric acid group, C1-C24 alkyl group, C1-C24 halogenated alkyl group, C1-C24 alkenyl group, C1-C24 alkynyl group It may be substituted with a heteroalkyl group having 1 to 24 carbon atoms, an aryl group having 6 to 24 carbon atoms, an arylalkyl group having 6 to 24 carbon atoms, a heteroaryl group having 2 to 24 carbon atoms or a heteroarylalkyl group having 2 to 24 carbon atoms.
본 발명의 화합물에서 사용되는 치환기인 헤테로아릴기는 N, O, P 또는 S 중에서 선택된 1, 2 또는 3개의 헤테로 원자를 포함하고, 나머지 고리 원자가 탄소인 탄소수 2 내지 24의 고리 방향족 시스템을 의미하며, 상기 고리들은 융합(fused)되어 고리를 형성할 수 있다. 그리고 상기 헤테로아릴기 중 하나 이상의 수소 원자는 상기 아릴기의 경우와 마찬가지의 치환기로 치환가능하다.Heteroaryl group which is a substituent used in the compound of the present invention means a ring aromatic system having 2 to 24 carbon atoms containing 1, 2 or 3 hetero atoms selected from N, O, P or S, and the remaining ring atoms are carbon, The rings may be fused to form a ring. At least one hydrogen atom of the heteroaryl group may be substituted with the same substituent as in the case of the aryl group.
본 발명에서 사용되는 치환기인 알킬기의 구체적인 예로는 메틸, 에틸, 프로필, 이소부틸, sec-부틸, tert-부틸, 펜틸, iso-아밀, 헥실 등을 들 수 있고, 상기 알킬기 중 하나 이상의 수소 원자는 원자는 상기 아릴기의 경우와 마찬가지의 치환기로 치환가능하다.Specific examples of the alkyl group which is a substituent used in the present invention include methyl, ethyl, propyl, isobutyl, sec-butyl, tert-butyl, pentyl, iso-amyl, hexyl, and the like. The atom may be substituted with the same substituent as in the case of the aryl group.
본 발명의 화합물에서 사용되는 치환기인 알콕시기의 구체적인 예로는 메톡시, 에톡시, 프로폭시, 이소부틸옥시, sec-부틸옥시, 펜틸옥시, iso-아밀옥시, 헥실옥시 등을 들 수 있고, 상기 알콕시기 중 하나 이상의 수소 원자는 상기 아릴기의 경우와 마찬가지의 치환기로 치환가능하다.Specific examples of the alkoxy group which is a substituent used in the compound of the present invention include methoxy, ethoxy, propoxy, isobutyloxy, sec-butyloxy, pentyloxy, iso-amyloxy, hexyloxy, and the like. At least one hydrogen atom of the alkoxy group may be substituted with the same substituent as in the case of the aryl group.
본 발명의 화합물에서 사용되는 치환기인 실릴기의 구체적인 예로는 트리메틸실릴, 트리에틸실릴, 트리페닐실릴, 트리메톡시실릴, 디메톡시페닐실릴, 디페닐메틸실릴, 실릴, 디페닐비닐실릴, 메틸사이클로뷰틸실릴, 디메틸퓨릴실릴 등을 들 수 있고, 상기 실릴기 중 하나 이상의 수소 원자는 상기 아릴기의 경우와 마찬가지의 치환기로 치환가능 하다. Specific examples of the silyl group which is a substituent used in the compound of the present invention include trimethylsilyl, triethylsilyl, triphenylsilyl, trimethoxysilyl, dimethoxyphenylsilyl, diphenylmethylsilyl, silyl, diphenylvinylsilyl and methylcyclo Butylsilyl, dimethylfurylsilyl, and the like, and at least one hydrogen atom in the silyl group may be substituted with the same substituent as in the case of the aryl group.
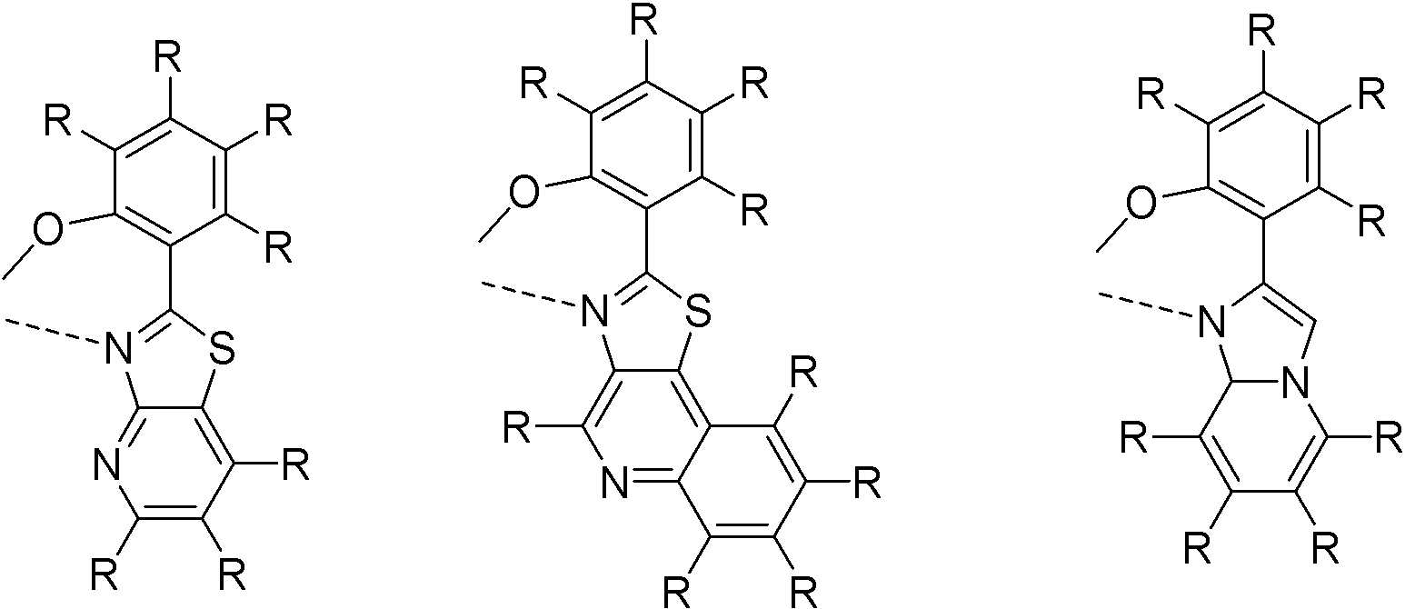
보다 바람직하게는, [화학식 A] 및 [화학식 B] 의 치환기 X1 내지 X7중 적어도 하나는 질소원자를 포함하는 탄소수 2내지 20의 헤테로아릴기인 경우, 상기 헤테로아릴기는 구조식 1 내지 구조식 6중에서 선택되는 어느 하나의 치환기일 수 있다. More preferably, when at least one of the substituents X 1 to X 7 of [Formula A] and [Formula B] is a C2-C20 heteroaryl group containing a nitrogen atom, the heteroaryl group in Formula 1 to Formula 6 It may be any substituent selected.
[구조식 1][Formula 1]
[구조식 2][Formula 2]
[구조식 3][Formula 3]
[구조식 4][Formula 4]
[구조식 5][Structure 5]
[구조식 6] [Structure 6]
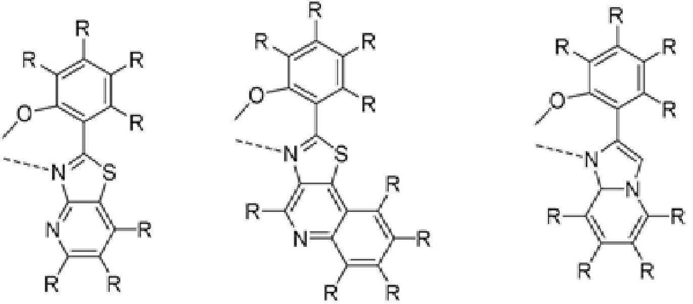
여기서, 상기 구조식 1 내지 구조식 6에서의 T1 내지 T8은 동일하거나 상이하며 서로 독립적으로, C(R11), C(R11)(R12), N, N(R13), O, S 중에서 선택되는 어느 하나이고; 상기 R1 내지 R13 은 각각 서로 동일하거나 상이하고, 독립적으로 수소, 중수소, 치환 또는 비치환된 탄소수 1 내지 30의 알킬기, 치환 또는 비치환된 탄소수 5 내지 50의 아릴기, 치환 또는 비치환된 탄소수 3 내지30의 시클로알킬기, 치환 또는 비치환된 탄소수 5 내지 50의 아릴기, 치환 또는 비치환되고 이종 원자로 O, N 또는 S를 갖는 탄소수 2 내지 50의 헤테로아릴기 중에서 선택되는 어느 하나이되, 상기 각각의 구조식 1 내지 구조식 6에서 상기 R1 내지 R13 중 하나는 상기 화학식 A 및 화학식 B내의 나프틸기와 결합을 이루는 단일결합일 수 있다. Herein, T 1 to T 8 in Formulas 1 to 6 are the same or different and independently from each other, C (R 11 ), C (R 11 ) (R 12 ), N, N (R 13 ), O, Any one selected from S; R 1 to R 13 Are each the same as or different from each other, and independently hydrogen, deuterium, a substituted or unsubstituted alkyl group having 1 to 30 carbon atoms, a substituted or unsubstituted aryl group having 5 to 50 carbon atoms, a substituted or unsubstituted cyclo group having 3 to 30 carbon atoms An alkyl group, a substituted or unsubstituted aryl group having 5 to 50 carbon atoms, a substituted or unsubstituted heteroaryl group having 2 to 50 carbon atoms having O, N or S as a hetero atom, wherein each of the structural formulas 1 to In Formula 6, one of R 1 to R 13 may be a single bond that forms a bond with the naphthyl group in Formulas A and B.
여기서 상기 구조식 3은 전자의 이동에 따른 공명구조에 의해 구조식 3-1과 같이 표시되는 화합물이 포함될 수 있다.Here, the structural formula 3 may include a compound represented by structural formula 3-1 by a resonance structure according to the movement of electrons.
[구조식 3-1][Formula 3-1]
단 T1 내지 T5와 R3 및 R4는 앞서 정의한 바와 동일하다.Provided that T 1 to T 5 and R 3 and R 4 are the same as defined above.
한편, 본 발명에서 X1 내지 X7 중 적어도 하나는 각각 질소원자를 포함하는 탄소수 2내지 20의 헤테로아릴기인 경우 상기 헤테로아릴기는 복수의 고리를 가질 수 있다. 상기 헤테로아릴기가 복수의 고리를 가지는 경우를 살펴보면, 이는 모든 고리가 질소를 포함하는 헤테로아릴로 이루어지거나, 또는 질소를 포함하는 헤테로 아릴부분의 고리와 헤테로원자를 포함하지 않는 아릴부분의 고리로 나누어질 수 있다. 이 경우에 상기 화학식 A및 화학식 B의 나프틸기에 결합되는 부분은 질소를 포함하는 고리부분이 될 수도 있고, 질소를 포함하지 않는 아릴 부분의 고리가 될 수도 있다. Meanwhile, in the present invention, when at least one of X 1 to X 7 is a heteroaryl group having 2 to 20 carbon atoms each containing a nitrogen atom, the heteroaryl group may have a plurality of rings. Looking at the case where the heteroaryl group has a plurality of rings, it is divided into a ring of a heteroaryl containing a nitrogen, or a ring of a heteroaryl containing a nitrogen and a ring of an aryl moiety that does not contain a hetero atom. Can lose. In this case, the moiety bonded to the naphthyl groups of Formula A and Formula B may be a ring moiety containing nitrogen or a ring of an aryl moiety containing no nitrogen.
이를 상기 구조식 3 의 치환기를 통해 살펴보면, 상기 구조식 3의 경우에 T1 내지 T3이 적어도 하나의 질소원자를 가지며 T4, T5, R3 및 R4가 질소를 포함하지 않는 아릴기 부분이라면 상기 화학식 A및 화학식 B의 나프틸기에 결합되는 부분은 T1 내지 T3 중 어느 하나가 될 수 있거나, 또는 T4, T5, R3 및 R4에서 선택되는 어느 하나가 상기 나프틸기에 결합될 수 있다. Looking at this through the substituent of the formula 3, in the case of the formula 3 T 1 to T 3 is at least one nitrogen atom and T 4 , T 5 , R 3 and R 4 is an aryl group portion containing no nitrogen The moiety bonded to the naphthyl group of Formula A and Formula B may be any one of T 1 to T 3 , or any one selected from T 4 , T 5 , R 3, and R 4 is bonded to the naphthyl group. Can be.
이 경우에 보다 바람직하게는, 질소를 포함하지 않는 아릴기 부분의 고리가 상기 화학식 A 및 화학식 B내의 나프틸기에 결합되는 부분일 수 있다. In this case, more preferably, the ring of the aryl group portion not containing nitrogen may be a portion bonded to the naphthyl group in the formula (A) and formula (B).
이는 상기 [구조식 4] 내지 [구조식 6]에서도 마찬가지로 이해될 수 있다. This may be understood in the same manner as in [Formula 4] to [Formula 6].
또한 본 발명에서, 상기 [화학식 A] 및 [화학식 B] 의 Y 및 Z는 각각 동일하거나 상이하며, 서로 독립적으로 수소, 중수소; 치환 또는 비치환된 탄소수 1 내지 20의 알킬기; 치환 또는 비치환된 탄소수 5 내지 20의 아릴기; 중에서 선택되는 하나이며, 상기 m 및 m'은 각각 1 내지 4의 정수일수 있다.In the present invention, Y and Z of the [Formula A] and [Formula B] are the same or different, respectively, independently of each other hydrogen, deuterium; A substituted or unsubstituted alkyl group having 1 to 20 carbon atoms; Substituted or unsubstituted aryl group having 5 to 20 carbon atoms; M and m 'may be an integer of 1 to 4, respectively.
이 경우에, 본 발명의 상기 [화학식 A] 및 [화학식 B] 의 치환기 X1 내지 X7중 하나만이 구조식 1 내지 구조식 6중에서 선택되는 어느 하나의 치환기일 수 있다. In this case, only one of the substituents X 1 to X 7 of the above [Formula A] and [Formula B] of the present invention may be any one substituent selected from Structural Formulas 1 to 6.
또한, 본 발명에서 상기 구조식 1 내지 구조식 6의 치환기는 각각 상기 치환기내 방향족 탄소자리에 1 내지 3개의 질소원자가 치환되어 헤테로아릴기를 이룰 수 있다. Further, in the present invention, the substituents of Formulas 1 to 6 may each be substituted with 1 to 3 nitrogen atoms in the aromatic carbon site in the substituent to form a heteroaryl group.
상기 질소원자가 방향족 탄소자리내에 포함되는 경우에 질소원자는 방향족고리계를 전자가 부족한 상태로 만들 수 있어, 전자수송층의 역할을 할 수 있다. When the nitrogen atom is included in the aromatic carbon site, the nitrogen atom may make the aromatic ring system lack electrons, and may serve as an electron transport layer.
보다 구체적으로, 본 발명에서 상기 [화학식 A] 및 [화학식 B] 의 치환기 X1 내지 X7중 적어도 하나는 하기 치환기 101 내지 치환기 606중 어느 하나일 수 있다. More specifically, in the present invention, at least one of the substituents X 1 to X 7 of [Formula A] and [Formula B] may be any one of the following substituents 101 to 606.
[치환기 101] [치환기 102] [치환기 103][Substitution 101] [Substitution 102] [Substitution 103]
[치환기 104] [치환기 105] [치환기 106][Substitution 104] [Substitution 105] [Substitution 106]
[치환기 107] [치환기 108] [치환기 109][Substituent 107] [Substituent 108] [Substituent 109]
[치환기 110] [치환기 111] [치환기 112] [치환기 113][Substitution 110] [Substitution 111] [Substitution 112] [Substitution 113]
[치환기 201] [치환기 202] [치환기 203][Substituent 201] [Substituent 202] [Substituent 203]
[치환기 204] [치환기 205] [치환기 206][Substituent 204] [Substituent 205] [Substituent 206]
[치환기 207] [치환기 208] [Substituent 207] [Substituent 208]
[치환기 301] [치환기 302] [치환기 303][Substituent 301] [Substituent 302] [Substituent 303]
[치환기 304] [치환기 305] [치환기 306][Substituent 304] [substituent 305] [substituent 306]
[치환기 307] [치환기 308] [Substituent 307] [Substituent 308]
[치환기 401] [치환기 402] [치환기 403][Substituent 401] [Substituent 402] [Substituent 403]
[치환기 404] [치환기 405] [치환기 406][Substituent 404] [Substituent 405] [Substituent 406]
[치환기 407] [치환기 408] [치환기 409][Substituent 407] [Substituent 408] [Substituent 409]
[치환기 410] [치환기 411] [치환기 412] [치환기 413][Substituent 410] [Substituent 411] [Substituent 412] [Substituent 413]
[치환기 501] [치환기 502] [치환기 503][Substituent 501] [Substituent 502] [Substituent 503]
[치환기 601] [치환기 602] [치환기 603][Substituent 601] [Substituent 602] [Substituent 603]
[치환기 604] [치환기 605] [치환기 606][Substituent 604] [Substituent 605] [Substituent 606]
여기서, R은 동일하거나 상이하며 서로 독립적으로, 수소, 중수소, 할로겐 원자, 히드록실기, 시아노기, 니트로기, 아미노기, 아미디노기, 히드라진, 히드라존, 카르복실기나 이의 염, 술폰산기나 이의 염, 인산이나 이의 염, 치환 또는 비치환된 탄소수 1 내지 60의 알킬기, 치환 또는 비치환된 탄소수 2 내지 60의 알케닐기, 치환 또는 비치환된 탄소수 2 내지 60의 알키닐기, 치환 또는 비치환된 탄소수 1 내지 60의 알콕시기, 치환 또는 비치환된 탄소수 1 내지 60의 알킬티오기(alkylthio), 치환 또는 비치환된 탄소수 3 내지 60의 시클로알킬기, 치환 또는 비치환된 탄소수 6 내지 60의 아릴기, 치환 또는 비치환된 탄소수 5 내지 60의 아릴옥시기, 치환 또는 비치환된 탄소수 5 내지 60의 아릴싸이오기, 치환 또는 비치환된 탄소수 2 내지 60의 헤테로아릴기, 치환 또는 비치환된 탄소수 1 내지 60의 (알킬)아미노기, 디(치환 또는 비치환된 탄소수 1 내지 60의 알킬)아미노기, 또는 (치환 또는 비치환된 탄소수 6 내지 60의 아릴)아미노기, 디(치환 또는 비치환된 탄소수 6 내지 60의 아릴)아미노기, 치환 또는 비치환 된 탄소수 1 내지 40의 알킬실릴기, 치환 또는 비치환된 탄소수 6 내지 30의 아릴실릴기, 게르마늄, 인, 보론중에서 선택될 수 있으며, 각각의 치환기는 서로 인접하는 기와 융합되어 고리를 형성할 수 있고,Wherein R is the same or different and independently from each other, hydrogen, deuterium, halogen atom, hydroxyl group, cyano group, nitro group, amino group, amidino group, hydrazine, hydrazone, carboxyl group or salt thereof, sulfonic acid group or salt thereof, Phosphoric acid or salts thereof, substituted or unsubstituted alkyl groups having 1 to 60 carbon atoms, substituted or unsubstituted alkenyl groups having 2 to 60 carbon atoms, substituted or unsubstituted alkynyl groups having 2 to 60 carbon atoms, substituted or unsubstituted carbon atoms 1 Alkoxy group of 60 to 60, substituted or unsubstituted alkylthio group of 1 to 60 carbon atoms, substituted or unsubstituted cycloalkyl group of 3 to 60 carbon atoms, substituted or unsubstituted aryl group of 6 to 60 carbon atoms, substituted Or unsubstituted aryloxy group having 5 to 60 carbon atoms, substituted or unsubstituted arylthio group having 5 to 60 carbon atoms, substituted or unsubstituted heteroaryl group having 2 to 60 carbon atoms, substituted or unsubstituted A substituted (alkyl) amino group having 1 to 60 carbon atoms, a di (substituted or unsubstituted alkyl group having 1 to 60 carbon atoms), or a (substituted or unsubstituted aryl having 6 to 60 carbon atoms), di (substituted or unsubstituted groups) Aryl) amino group having 6 to 60 carbon atoms, a substituted or unsubstituted alkylsilyl group having 1 to 40 carbon atoms, a substituted or unsubstituted arylsilyl group having 6 to 30 carbon atoms, germanium, phosphorus and boron, respectively. Substituents of may be fused with groups adjacent to each other to form a ring,
n은 0 내지 9의 정수이며, n is an integer from 0 to 9,
상기 치환기 101 내지 치환기 606의 헤테로아릴기내 방향족고리의 탄소에 치환기 R이 결합되지 않은 경우에는 수소가 결합되어 있고,When the substituent R is not bonded to the carbon of the aromatic ring in the heteroaryl group of the substituents 101 to 606, hydrogen is bonded.
상기 R 중의 하나는 상기 [화학식 A] 및 [화학식 B]의 나프틸기에 결합되는 단일결합이다.One of R is a single bond bonded to the naphthyl group of [Formula A] and [Formula B].
이 경우에 본 발명에서 상기 [화학식 A] 및 [화학식 B]의 치환기 X1 내지 X7중 하나만이 상기 치환기 101 내지 치환기 606중에서 선택되는 어느 하나의 치환기일 수 있다.In this case, only one of the substituents X 1 to X 7 in the [Formula A] and [Formula B] may be any one substituent selected from the substituents 101 to 606 in the present invention.
또한, 본 발명은 제1전극; 상기 제1전극에 대향된 제2전극; 및 상기 제1전극과 상기 제2전극 사이에 개재되는 유기층;을 포함하고, 상기 유기층이 본 발명에서의 상기 안트라센 유도체를 1종 이상 포함한, 유기 발광 소자를 제공한다. In addition, the present invention is a first electrode; A second electrode opposed to the first electrode; And an organic layer interposed between the first electrode and the second electrode, wherein the organic layer comprises at least one of the anthracene derivatives according to the present invention.
본 발명에서 "(유기층이) 유기금속 화합물을 1종 이상 포함한다" 란, "(유기층이) 본 발명의 범주에 속하는 1종의 유기금속 화합물 또는 상기 유기금속 화합물의 범주에 속하는 서로 다른 2종 이상의 화합물을 포함할 수 있다"로 해석될 수 있다.In the present invention, "(organic layer) contains at least one organometallic compound" means "(organic layer) one organometallic compound belonging to the scope of the present invention or two different kinds belonging to the category of the organometallic compound. May include the above compounds ".
이때, 상기 본 발명의 화합물이 포함된 유기층은 정공 주입층, 정공 수송층, 정공 주입 기능 및 정공 수송 기능을 동시에 갖는 기능층, 발광층, 전자 수송층, 및 전자 주입층 중 적어도 하나를 포함할 수 있다.In this case, the organic layer including the compound of the present invention may include at least one of a hole injection layer, a hole transport layer, a hole injection function and a hole injection function and a functional layer, a light emitting layer, an electron transport layer, and an electron injection layer.
또한 본 발명은 상기 제1전극과 상기 제2전극 사이에 개재된 유기층이 전자수송층과 발광층을 포함할 수 있고, 이 경우에 본 발명의 상기 안트라센 유도체는 전자수송층에 포함되며, 발광층은 호스트와 도판트로 이루어질 수 있다.In addition, in the present invention, the organic layer interposed between the first electrode and the second electrode may include an electron transport layer and a light emitting layer, in which case the anthracene derivative of the present invention is included in the electron transport layer, the light emitting layer is a host and a plate It can consist of.
또한 본 발명에서, 상기 발광층에 사용하는 도판트 물질의 구체적인 예로는 피렌계 화합물, 중수소 치환된 피렌계 화합물, 플루오렌계 화합물, 중수소 치환된 플루오렌계 화합물, 벤조플루오렌계 화합물, 중수소 치환된 벤조플루오렌계 화합물, 디벤조플루오렌계 화합물, 중수소 치환된 디벤조플루오렌계 화합물, 인데노페난트렌계 화합물, 중수소 치환된 인데노페난트렌계 화합물, 아릴아민, 중수소 치환된 아릴아민, 페릴계 화합물, 중수소 치환된 페릴계 화합물, 피롤계 화합물, 중수소 치환된 피롤계 화합물, 히드라존계 화합물, 중수소 치환된 히드라존계 화합물, 카바졸계 화합물, 중수소 치환된 카바졸계 화합물, 스틸벤계 화합물, 중수소 치환된 스틸벤계 화합물, 스타버스트계 화합물, 중수소 치환된 스타버스트계 화합물, 옥사디아졸계 화합물, 중수소 치환된 옥사디아졸계 화합물, 쿠마린(coumarine), 중수소 치환된 쿠마린(coumarine) 등을 들 수 있으나, 본 발명은 이에 의해 제한되지 아니한다. Also, in the present invention, specific examples of the dopant material used in the light emitting layer include pyrene-based compounds, deuterium-substituted pyrene-based compounds, fluorene-based compounds, deuterium-substituted fluorene-based compounds, benzofluorene-based compounds and deuterium-substituted compounds. Benzofluorene compounds, dibenzofluorene compounds, deuterium substituted dibenzofluorene compounds, indenophenanthrene compounds, deuterium substituted indenophenanthrene compounds, arylamines, deuterium substituted arylamines, peryl compounds , Deuterium substituted peryl compound, pyrrole compound, deuterium substituted pyrrole compound, hydrazone compound, deuterium substituted hydrazone compound, carbazole compound, deuterium substituted carbazole compound, stilbene compound, deuterium substituted stilbene type Compounds, starburst compounds, deuterium substituted starburst compounds, oxadiazole compounds, But are coumarin hydrogen substituted oxadiazole-based compound, (coumarine), deuterium-substituted coumarin (coumarine), the present invention is not limited thereby.
또한, 상기 발광층에 사용되는 상기 호스트로서, Alq3, CBP(4,4'-N,N'-디카바졸-비페닐), PVK(폴리(n-비닐카바졸)), 9,10-디(나프탈렌-2-일)안트라센(ADN), TCTA, TPBI(1,3,5-트리스(N-페닐벤즈이미다졸-2-일)벤젠(1,3,5-tris(N-phenylbenzimidazole-2-yl)benzene)), TBADN(3-tert-부틸-9,10-디(나프트-2-일) 안트라센), E3, DSA(디스티릴아릴렌), dmCBP(하기 화학식 참조) 및 상기 기재된 호스트 화합물들의 중수소 치환체 등을 사용할 수 있으나, 이에 한정되는 것은 아니다.Further, as the host used in the light emitting layer, Alq3, CBP (4,4'-N, N'-dicarbazole-biphenyl), PVK (poly (n-vinylcarbazole)), 9,10-di ( Naphthalen-2-yl) anthracene (ADN), TCTA, TPBI (1,3,5-tris (N-phenylbenzimidazol-2-yl) benzene (1,3,5-tris (N-phenylbenzimidazole-2- yl) benzene)), TBADN (3-tert-butyl-9,10-di (naphth-2-yl) anthracene), E3, DSA (distyrylarylene), dmCBP (see formula below) and the hosts described above Deuterium substituents of the compounds may be used, but is not limited thereto.
PVK ADNPVK ADN
상기 발광층이 호스트 및 도펀트를 포함할 경우, 도펀트의 함량은 통상적으로 호스트 약 100 중량부를 기준으로 하여 약 0.01 내지 약 20 중량부의 범위에서 선택될 수 있으며, 이에 한정되는 것은 아니다.When the light emitting layer includes a host and a dopant, the content of the dopant may be generally selected from about 0.01 to about 20 parts by weight based on about 100 parts by weight of the host, but is not limited thereto.
한편, 본 발명에서 상기 안트라센 유도체가 전자수송층에 사용되는 경우에 상기 전자 수송층은 본 발명의 안트라센 유도체이외에 다른 종류의 전자수송용 화합물을 혼합되어 사용할 수 있다.On the other hand, when the anthracene derivative is used in the electron transport layer in the present invention, the electron transport layer may be used by mixing other types of electron transport compounds in addition to the anthracene derivative of the present invention.
여기서 상기 안트라센 유도체와는 다른 종류의 전자수송층용 화합물은 상기 안트라센 유도체로서 [화학식 A] 또는 [화학식 B]의 구조를 갖지만 그 종류가 다른 화합물일 수도 있고, 또는 상기 [화학식 A] 또는 [화학식 B]의 구조를 갖지 않는 안트라센계 유도체일수 있으며, 또한 상기 [화학식 A] 또는 [화학식 B]의 구조를 갖지 않는 비 안트라센계 화합물이 다른 종류의 전자 수송층용 화합물로 사용될 수 있다. Here, the compound for an electron transport layer different from the anthracene derivative may have a structure of [Formula A] or [Formula B] as the anthracene derivative, but may be a different compound, or the above [Formula A] or [Formula B] May be an anthracene-based derivative having no structure, and a non-anthracene-based compound not having the structure of [Formula A] or [Formula B] may be used as another kind of compound for an electron transport layer.
상기 [화학식 A] 또는 [화학식 B]의 구조를 갖지 않는 전자 수송층용 화합물로서는 옥사디아졸 유도체인 PBD, BMD, BND, Liq, Alq3 또는 하기 [화학식 C]의 구조를 갖는 화합물을 사용할 수 있다. As a compound for an electron transporting layer which does not have the structure of [Formula A] or [Formula B], a compound having a structure of PBD, BMD, BND, Liq, Alq 3 or the following Formula [C] which is an oxadiazole derivative can be used. .
[화학식 C] [Formula C]
상기 [화학식 C]에서, In [Formula C],
Y는 C, N, O 및 S에서 선택되는 어느 하나가 상기 M에 직접 결합되어 단일결합을 이루는 부분과, C, N, O 및 S에서 선택되는 어느 하나가 상기 M에 배위결합을 이루는 부분을 포함하며, 상기 단일결합과 배위결합에 의해 킬레이트된 리간드이고;Y is a portion in which any one selected from C, N, O and S is directly bonded to the M to form a single bond, and any one selected from C, N, O and S forms a coordination bond to the M A ligand chelated by the single bond and the coordination bond;
상기 M은 알카리 금속, 알카리 토금속, 알루미늄(Al) 또는 붕소(B)원자이고, 상기 OA는 상기 M과 단일결합 또는 배위결합 가능한 1가의 리간드로서,M is an alkali metal, alkaline earth metal, aluminum (Al) or boron (B) atom, and OA is a monovalent ligand capable of single bond or coordination with M,
상기 O는 산소이며,O is oxygen,
A는 치환 또는 비치환된 탄소수 1 내지 30의 알킬기, 치환 또는 비치환된 탄소수 5 내지 50의 아릴기, 치환 또는 비치환된 탄소수 2 내지 30의 알케닐기, 치환 또는 비치환된 탄소수 2 내지 20의 알키닐기, 치환 또는 비치환된 탄소수 3 내지30의 시클로알킬기, 치환 또는 비치환된 탄소수 5 내지 30의 시클로알케닐기 및 치환 또는 비치환되고 이종 원자로 O, N 또는 S를 갖는 탄소수 2 내지 50의 헤테로아릴기중에서 선택되는 어느 하나이고, A is a substituted or unsubstituted alkyl group having 1 to 30 carbon atoms, a substituted or unsubstituted aryl group having 5 to 50 carbon atoms, a substituted or unsubstituted alkenyl group having 2 to 30 carbon atoms, a substituted or unsubstituted carbon group having 2 to 20 carbon atoms Alkynyl groups, substituted or unsubstituted cycloalkyl groups having 3 to 30 carbon atoms, substituted or unsubstituted cycloalkenyl groups having 5 to 30 carbon atoms, and substituted or unsubstituted hetero having 2 to 50 carbon atoms having O, N or S as a hetero atom. Any one selected from aryl groups,
상기 M이 알카리 금속에서 선택되는 하나의 금속인 경우에는 m=1, n=0이고,When M is one metal selected from alkali metals, m = 1, n = 0,
상기 M이 알카리 토금속에서 선택되는 하나의 금속인 경우에는 m=1, n=1이거나, 또는 m=2, n=0이고, When M is one metal selected from alkaline earth metals, m = 1, n = 1, or m = 2, n = 0,
상기 M이 붕소 또는 알루미늄인 경우에는 m = 1 내지 3중 어느 하나이며, n은 0 내지 2 중 어느 하나로서 m +n=3을 만족하며;When M is boron or aluminum, any one of m = 1 to 3, and n is any one of 0-2 to satisfy m + n = 3;
상기 '치환 또는 비치환된'에서의 '치환'은 중수소, 시아노기, 할로겐기, 히드록시기, 니트로기, 알킬기, 알콕시기, 알킬아미노기, 아릴아미노기, 헤테로 아릴아미노기, 알킬실릴기, 아릴실릴기, 아릴옥시기, 아릴기, 헤테로아릴기, 게르마늄, 인 및 보론으로 이루어진 군에서 선택된 1개 이상의 치환기로 치환되는 것을 의미한다. The 'substituted' in the 'substituted or unsubstituted' is deuterium, cyano group, halogen group, hydroxy group, nitro group, alkyl group, alkoxy group, alkylamino group, arylamino group, hetero arylamino group, alkylsilyl group, arylsilyl group, It is meant to be substituted with one or more substituents selected from the group consisting of an aryloxy group, an aryl group, a heteroaryl group, germanium, phosphorus and boron.
본 발명에서 Y 는 각각 동일하거나 상이하며, 서로 독립적으로 하기 [구조식 C1] 내지 [구조식 C39]부터 선택되는 어느 하나일 수 있으나, 이에 한정된 것은 아니다.In the present invention, Y is the same as or different from each other, and may be any one selected from the following [formula C1] to [formula C39], but is not limited thereto.
[구조식 C1] [구조식 C2] [구조식 C3][Structure C1] [Structure C2] [Structure C3]
[구조식 C4] [구조식 C5] [구조식 C6][Structure C4] [Structure C5] [Structure C6]
[구조식 C7] [구조식 C8] [구조식 C9] [구조식 C10][Structure C7] [Structure C8] [Structure C9] [Structure C10]
[구조식 C11] [구조식 C12] [구조식 C13][Formula C11] [Formula C12] [Formula C13]
[구조식 C14] [구조식 C15] [구조식 C16][Formula C14] [Formula C15] [Formula C16]
[구조식 C17] [구조식 C18] [구조식 C19] [구조식 C20][Structure C17] [Structure C18] [Structure C19] [Structure C20]
[구조식 C21] [구조식 C22] [구조식 C23][Structure C21] [Structure C22] [Structure C23]
[구조식 C24] [구조식 C25] [구조식 C26][Structure C24] [Structure C25] [Structure C26]
[구조식 C27] [구조식 C28] [구조식 C29] [구조식 C30][Structure C27] [Structure C28] [Structure C29] [Structure C30]
[구조식 C31] [구조식 C32] [구조식 C33][Structure C31] [Structure C32] [Structure C33]
[구조식 C34] [구조식 C35] [구조식 C36][Structure C34] [Structure C35] [Structure C36]
[구조식 C37] [구조식 C38] [구조식 C39] [Structure C37] [Structure C38] [Structure C39]
상기 [구조식 C1] 내지 [구조식 C39]에서,In [Formula C1] to [Formula C39],
R은 서로 동일하거나 상이하며, 각각 독립적으로 수소, 중수소, 할로겐, 시아노기, 치환 또는 비치환된 탄소수 1 내지 30의 알킬기, 치환 또는 비치환된 탄소수 6 내지 30의 아릴기, 치환 또는 비치환된 탄소수 3 내지 30의 헤테로아릴기, 치환 또는 비치환된 탄소수 1 내지 30의 알콕시기, 치환 또는 비치환된 탄소수 3 내지 30의 시클로알킬기, 치환 또는 비치환된 탄소수 2 내지 30의 알케닐기, 치환 또는 비치환된 탄소수 1 내지 30의 알킬아미노기, 치환 또는 비치환된 탄소수 1 내지 30이 알킬실릴기, 치환 또는 비치환된 탄소수 6 내지 30의 아릴아미노기 및 치환 또는 비치환된 탄소수 6 내지 30의 아릴실릴기 중에서 선택되고, 인접한 치환체와 알킬렌 또는 알케닐렌으로 연결되어 스피로고리 또는 융합고리를 형성할 수 있다. R is the same as or different from each other, and each independently hydrogen, deuterium, halogen, cyano group, substituted or unsubstituted alkyl group having 1 to 30 carbon atoms, substituted or unsubstituted aryl group having 6 to 30 carbon atoms, substituted or unsubstituted Heteroaryl group having 3 to 30 carbon atoms, substituted or unsubstituted alkoxy group having 1 to 30 carbon atoms, substituted or unsubstituted cycloalkyl group having 3 to 30 carbon atoms, substituted or unsubstituted alkenyl group having 2 to 30 carbon atoms, substituted or Unsubstituted C1-C30 alkylamino group, substituted or unsubstituted C1-C30 alkylsilyl group, substituted or unsubstituted C6-C30 arylamino group, and substituted or unsubstituted C6-C30 arylsilyl Selected from the group, and may be connected to adjacent substituents with alkylene or alkenylene to form a spirogory or fused ring.
본 발명에서의 안트라센 유도체가 다른 종류의 전자수송용 화합물과 혼합되어 전자수송층에 사용되는 경우에 이의 혼합비는 중량%로서 10:90 내지 90:10인 것을 특징으로 하고, 바람직하게는 25:75 내지 75:25일 수 있다.When the anthracene derivative in the present invention is mixed with another kind of electron transport compound and used in the electron transport layer, the mixing ratio thereof is 10:90 to 90:10 as weight percent, preferably 25:75 to 75:25.
한편, 본 발명에서 상기 정공주입층, 정공수송층, 전자저지층, 발광층, 정공저지층, 전자수송층 및 전자주입층으로부터 선택된 하나 이상의 층은 단분자 증착방식 또는Meanwhile, in the present invention, at least one layer selected from the hole injection layer, the hole transport layer, the electron blocking layer, the light emitting layer, the hole blocking layer, the electron transport layer, and the electron injection layer is a single molecule deposition method or
용액공정에 의하여 형성될 수 있고, 상기 유기 발광 소자는 표시소자, 디스플레이 소자, 또는 단색 또는 백색 조명용 소자에 사용될 수 있다. The organic light emitting device may be formed by a solution process, and the organic light emitting device may be used in a display device, a display device, or a single color or white lighting device.
이하 본 발명의 유기 발광 소자를 도 1을 통해 설명하고자 한다.Hereinafter, the organic light emitting diode of the present invention will be described with reference to FIG. 1.
도 1은 본 발명의 유기 발광 소자의 구조를 나타내는 단면도이다. 본 발명에 따른 유기 발광 소자는 애노드(20), 정공수송층(40), 유기발광층(50), 전자수송층(60) 및 캐소드(80)을 포함하며, 필요에 따라 정공주입층(30)과 전자주입층(70)을 더 포함할 수 있으며, 그 이외에도 1층 또는 2층의 중간층을 더 형성하는 것도 가능하며, 정공저지층 또는 전자저지층을 더 형성시킬 수도 있다. 1 is a cross-sectional view showing the structure of an organic light emitting device of the present invention. The organic light emitting device according to the present invention includes an
도 1을 참조하여 본 발명의 유기 발광 소자 및 그 제조방법에 대하여 살펴보면 다음과 같다. 먼저 기판(10) 상부에 애노드 전극용 물질을 코팅하여 애노드(20)를 형성한다. 여기에서 기판(10)으로는 통상적인 유기 EL 소자에서 사용되는 기판을 사용하는데 투명성, 표면 평활성, 취급용이성 및 방수성이 우수한 유기 기판 또는 투명 플라스틱 기판이 바람직하다. 그리고, 애노드 전극용 물질로는 투명하고 전도성이 우수한 산화인듐주석(ITO), 산화인듐아연(IZO), 산화주석(SnO2), 산화아연(ZnO) 등을 사용한다.Referring to Figure 1 with respect to the organic light emitting device and a manufacturing method of the present invention. First, the
상기 애노드(20) 전극 상부에 정공 주입층 물질을 진공열 증착, 또는 스핀 코팅하여 정공주입층(30)을 형성한다. 그 다음으로 상기 정공주입층(30)의 상부에 정공수송층 물질을 진공 열증착 또는 스핀 코팅하여 정공수송층(40)을 형성한다.The
이어서, 상기 정공수송층(40)의 상부에 유기발광층(50)을 적층하고 상기 유기발광층(50)의 상부에 선택적으로 정공저지층(미도시)을 진공 증착 방법, 또는 스핀 코팅 방법으로서 박막을 형성할 수 있다. 상기 정공저지층은 정공이 유기발광층을 통과하여 캐소드로 유입되는 경우에는 소자의 수명과 효율이 감소되기 때문에 HOMO(Highest Occupied Molecular Orbital) 레벨이 매우 낮은 물질을 사용함으로써 이러한 문제를 방지하는 역할을 한다. 이 때, 사용되는 정공 저지 물질은 특별히 제한되지는 않으나 전자수송능력을 가지면서 발광 화합물보다 높은 이온화 포텐셜을 가져야 하며 대표적으로 BAlq, BCP, TPBI 등이 사용될 수 있다.Subsequently, the organic
이러한 정공저지층 위에 전자수송층(60)을 진공 증착 방법, 또는 스핀 코팅 방법을 통해 증착한 후에 전자주입층(70)을 형성하고 상기 전자주입층(70)의 상부에 캐소드 형성용 금속을 진공 열증착하여 캐소드(80) 전극을 형성함으로써 유기 EL 소자가 완성된다. 여기에서 캐소드 형성용 금속으로는 리튬(Li), 마그네슘(Mg), 알루미늄(Al), 알루미늄-리듐(Al-Li), 칼슘(Ca), 마그네슘-인듐(Mg-In), 마그네슘-은(Mg-Ag) 등을 사용할 수 있으며, 전면 발광 소자를 얻기 위해서는 ITO, IZO를 사용한 투과형 캐소드를 사용할 수 있다.After the
또한 상기 발광층은 호스트와 도펀트로 이루어질 수 있다.In addition, the light emitting layer may be formed of a host and a dopant.
또한, 본 발명의 구체적인 예에 의하면, 상기 발광층의 두께는 50 내지 2,000 Å인 것이 바람직하다. Moreover, according to the specific example of this invention, it is preferable that the thickness of the said light emitting layer is 50-2,000 GPa.
이때, 발광층에 사용되는 도펀트는 하기 [화학식 1] 또는 [화학식 2]로 표시되는 화합물일 수 있다. In this case, the dopant used in the emission layer may be a compound represented by the following [Formula 1] or [Formula 2].
[화학식 1] [화학식 2][Formula 1] [Formula 2]
상기 [화학식 1]과 [화학식 2] 중,In the above [Formula 1] and [Formula 2],
A는 치환 또는 비치환된 탄소수 5 내지 50의 아릴기, 치환 또는 비치환되고 이종 원자로 O, N 또는 S를 갖는 탄소수 3 내지 50의 헤테로아릴기, 치환되거나 치환되지 않은 탄소수 6 내지 60의 아릴렌기, 치환 또는 비치환되고 이종 원자로 O, N 또는 S를 갖는 탄소수 3 내지 50의 헤테로아릴렌기 중에서 선택되는 어느 하나이고, 바람직하게는 안트라센, 파이렌, 페난트렌, 인데노페난트렌, 크라이센, 나프타센, 피센, 트리페닐렌, 페릴렌, 펜타센이다.A is a substituted or unsubstituted aryl group having 5 to 50 carbon atoms, a substituted or unsubstituted heteroaryl group having 3 to 50 carbon atoms having O, N or S as a hetero atom, a substituted or unsubstituted arylene group having 6 to 60 carbon atoms , A substituted or unsubstituted heteroaryl group having 3 to 50 carbon atoms having O, N or S as a hetero atom, preferably anthracene, pyrene, phenanthrene, indenophenanthrene, chrysene, naphtha Sen, pisene, triphenylene, perylene, pentacene.
이때, 상기 A는 하기 화학식 A1 내지 화학식 A10으로 표시되는 화합물일 수 있다.In this case, A may be a compound represented by Formula A1 to Formula A10.
[화학식A1] [화학식A2] [화학식A3] [화학식A4] [화학식A5] [Formula A1] [Formula A2] [Formula A3] [Formula A4] [Formula A5]
[화학식A6] [화학식A7] [화학식A8] [화학식A9] [화학식A10][Formula A6] [Formula A7] [Formula A8] [Formula A9] [Formula A10]
여기서 상기 [화학식 A3]의 Z1 내지 Z2는 수소, 중수소원자, 치환 또는 비치환된 탄소수 1 내지 60의 알킬기, 치환 또는 비치환된 탄소수 2 내지 60의 알케닐기, 치환 또는 비치환된 탄소수 2 내지 60의 알키닐기, 치환 또는 비치환된 탄소수 1 내지 60의 알콕시기, 치환 또는 비치환된 탄소수 1 내지 60의 알킬티오기(alkylthio), 치환 또는 비치환된 탄소수 3 내지 60의 시클로알킬기, 치환 또는 비치환된 탄소수 6 내지 60의 아릴기, 치환 또는 비치환된 탄소수 5 내지 60의 아릴옥시기, 치환 또는 비치환된 탄소수 5 내지 60의 아릴싸이오기, 치환 또는 비치환된 탄소수 2 내지 60의 헤테로아릴기, 치환 또는 비치환된 탄소수 1 내지 60의 (알킬)아미노기, 디(치환 또는 비치환된 탄소수 1 내지 60의 알킬)아미노기, 또는 (치환 또는 비치환된 탄소수 6 내지 60의 아릴)아미노기, 디(치환 또는 비치환된 탄소수 6 내지 60의 아릴)아미노기로 이루어진 군으로부터 1종 이상 선택되고, Z1 내지 Z2 각각은 서로 동일하거나 상이하며, 서로 인접하는 기와 축합 고리를 형성할 수 있다.Wherein Z1 to Z2 of the formula [A3] is hydrogen, deuterium atom, substituted or unsubstituted C1-C60 alkyl group, substituted or unsubstituted C2-C60 alkenyl group, substituted or unsubstituted C2-C60 Alkynyl groups, substituted or unsubstituted alkoxy groups having 1 to 60 carbon atoms, substituted or unsubstituted alkylthio groups having 1 to 60 carbon atoms, substituted or unsubstituted cycloalkyl groups having 3 to 60 carbon atoms, substituted or unsubstituted A substituted aryl group having 6 to 60 carbon atoms, a substituted or unsubstituted aryloxy group having 5 to 60 carbon atoms, a substituted or unsubstituted arylthio group having 5 to 60 carbon atoms, a substituted or unsubstituted heteroaryl having 2 to 60 carbon atoms Groups, substituted or unsubstituted (alkyl) amino groups having 1 to 60 carbon atoms, di (substituted or unsubstituted alkyl groups having 1 to 60 carbon atoms), or (substituted or unsubstituted aryl having 6 to 60 carbon atoms), di (Substituted or unsubstituted aryl having 6 to 60 carbon atoms) One or more selected from the group consisting of, each of Z 1 to Z 2 are the same as or different from each other, and may form a condensed ring with a group adjacent to each other.
또한 상기 [화학식 1] 중, In the above [Formula 1],
상기 X1 및 X2는 각각 독립적으로 치환되거나 치환되지 않은 탄소수 6 내지 30의 아릴렌기이거나 단일결합이고, X1과 X2는 서로 결합될 수 있고, X 1 and X 2 are each independently a substituted or unsubstituted arylene group having 6 to 30 carbon atoms or a single bond, X 1 and X 2 may be bonded to each other,
상기 Y1 및 Y2는 각각 독립적으로 치환되거나 치환되지 않은 탄소수 6 내지 24의 아릴기, 치환 또는 비치환된 탄소수 2 내지 24의 헤테로아릴기, 치환 또는 비치환된 탄소수 1 내지 24의 알킬기, 치환 또는 비치환된 탄소수 1 내지 24의 헤테로알킬기, 치환 또는 비치환된 탄소수 3 내지 24의 사이클로알킬기, 치환 또는 비치환된 탄소수 1 내지 24의 알콕시기, 시아노기, 할로겐기, 치환 또는 비치환된 탄소수 6 내지 24의 아릴옥시기, 치환 또는 비치환 된 탄소수 1 내지 40의 알킬실릴기, 치환 또는 비치환 된 탄소수 6 내지 30의 아릴실릴기, 게르마늄, 인, 보론, 중수소 및 수소로 이루어진 군으로부터 1종 이상 선택되고, Y1 내지 Y2 각각은 서로 동일하거나 상이하며, 서로 인접하는 기와 지방족, 방향족, 지방족헤테로 또는 방향족헤테로의 축합 고리를 형성할 수 있으며.Y 1 and Y 2 are each independently substituted or unsubstituted aryl group having 6 to 24 carbon atoms, substituted or unsubstituted heteroaryl group having 2 to 24 carbon atoms, substituted or unsubstituted alkyl group having 1 to 24 carbon atoms, substituted Or an unsubstituted heteroalkyl group having 1 to 24 carbon atoms, a substituted or unsubstituted cycloalkyl group having 3 to 24 carbon atoms, a substituted or unsubstituted alkoxy group having 1 to 24 carbon atoms, a cyano group, a halogen group, a substituted or unsubstituted carbon atom From 6 to 24 aryloxy groups, substituted or unsubstituted alkylsilyl groups having 1 to 40 carbon atoms, substituted or unsubstituted arylsilyl groups having 6 to 30 carbon atoms, germanium, phosphorus, boron, deuterium and hydrogen; more selected species and, Y 1 to Y 2 each are the same or different each other, may form a fused ring group of the aliphatic, aromatic, aliphatic hetero, or aromatic heterocyclic group which are adjacent to each other It was.
상기 l, m 은 각각 1내지 20의 정수이고, n은 1 내지 4의 정수이다.And l and m are each an integer of 1 to 20, n is an integer of 1 to 4.
또한 상기 [화학식 2] 중, In addition, in the above [Formula 2],
Cy는 치환 또는 비치환된 탄소수 3 내지 8의 시클로알킬이고, b은 1 내지 4 의 정수이되, b이 2 이상인 경우 각각의 시클로알칸은 융합된 형태일 수 있고, 또한, 이에 치환된 수소는 각각 중수소 또는 알킬로 치환될 수 있으며, 서로 동일하거나 상이할 수 있다. C y is substituted or unsubstituted cycloalkyl having 3 to 8 carbon atoms, b is an integer of 1 to 4, and when b is 2 or more, each cycloalkane may be in fused form, and hydrogen substituted with Each may be substituted with deuterium or alkyl and may be the same or different from each other.
상기 B 는 단일 결합 또는 -[C(R5)(R6)]p-이고, 상기 p는 1 내지 3의 정수이되, p가 2 이상인 경우 2 이상의 R5 및 R6은 서로 동일하거나 상이하고; B above Is a single bond or-[C (R 5 ) (R 6 )] p- , wherein p is an integer from 1 to 3, and when p is 2 or more, two or more R 5 and R 6 are the same or different from each other;
상기 R1, R2, R3, R5 및 R6은 서로 독립적으로, 수소, 중수소, 할로겐 원자, 히드록실기, 시아노기, 니트로기, 아미노기, 아미디노기, 히드라진, 히드라존, 카르복실기나 이의 염, 술폰산기나 이의 염, 인산이나 이의 염, 치환 또는 비치환된 탄소수 1 내지 60의 알킬기, 치환 또는 비치환된 탄소수 2 내지 60의 알케닐기, 치환 또는 비치환된 탄소수 2 내지 60의 알키닐기, 치환 또는 비치환된 탄소수 1 내지 60의 알콕시기, 치환 또는 비치환된 탄소수 1 내지 60의 알킬티오기(alkylthio), 치환 또는 비치환된 탄소수 3 내지 60의 시클로알킬기, 치환 또는 비치환된 탄소수 6 내지 60의 아릴기, 치환 또는 비치환된 탄소수 5 내지 60의 아릴옥시기, 치환 또는 비치환된 탄소수 5 내지 60의 아릴싸이오기, 치환 또는 비치환된 탄소수 2 내지 60의 헤테로아릴기, 치환 또는 비치환된 탄소수 1 내지 60의 알킬 아미노기, 디(치환 또는 비치환된 탄소수 1 내지 60의 알킬)아미노기, 또는 (치환 또는 비치환된 탄소수 6 내지 60의 아릴)아미노기, 디(치환 또는 비치환된 탄소수 6 내지 60의 아릴)아미노기, 치환 또는 비치환 된 탄소수 1 내지 40의 알킬실릴기, 치환 또는 비치환 된 탄소수 6 내지 30의 아릴실릴기 중에서 선택될 수 있으며, R 1 , R 2 , R 3, R 5 and R 6 are each independently hydrogen, deuterium, halogen atom, hydroxyl group, cyano group, nitro group, amino group, amidino group, hydrazine, hydrazone, carboxyl group or Salts thereof, sulfonic acid groups or salts thereof, phosphoric acid or salts thereof, substituted or unsubstituted C1-C60 alkyl groups, substituted or unsubstituted C2-C60 alkenyl groups, substituted or unsubstituted C2-C60 alkynyl groups , Substituted or unsubstituted alkoxy group having 1 to 60 carbon atoms, substituted or unsubstituted alkylthio group having 1 to 60 carbon atoms, substituted or unsubstituted cycloalkyl group having 3 to 60 carbon atoms, substituted or unsubstituted carbon number 6 to 60 aryl groups, substituted or unsubstituted aryloxy groups having 5 to 60 carbon atoms, substituted or unsubstituted arylthio groups having 5 to 60 carbon atoms, substituted or unsubstituted heteroaryl groups having 2 to 60 carbon atoms, substituted Or beach An alkyl amino group having 1 to 60 carbon atoms, a di (substituted or unsubstituted alkyl having 1 to 60 carbon atoms), or a (substituted or unsubstituted aryl having 6 to 60 carbon atoms), di (substituted or unsubstituted carbon atoms 6 To aryl) amino group of 60 to 60, substituted or unsubstituted alkylsilyl group having 1 to 40 carbon atoms, substituted or unsubstituted arylsilyl group having 6 to 30 carbon atoms,
a는 1 내지 4의 정수이되, a가 2 이상인 경우 2 이상의 R3는 서로 동일하거나 상이하고, R3 이 복수인 경우, 각각의 R3은 융합된 형태일 수 있고, n은 1 내지 4의 정수이다.a is an integer of 1 to 4, when a is 2 or more, two or more R 3 are the same as or different from each other, and when R 3 is a plurality, each R 3 may be in a fused form, and n is 1 to 4 Is an integer.
또한, 상기 [화학식 1]과 [화학식 2]의 A에 결합되는 아민기는 하기 [치환기 1] 내지 [치환기 52]로 표시되는 군으로부터 선택되는 어느 하나로 표시될 수 있으나, 이에 한정된 것은 아니다.In addition, the amine group bonded to A in [Formula 1] and [Formula 2] may be represented by any one selected from the group represented by the following [substituent 1] to [substituent 52], but is not limited thereto.
[치환기1] [치환기2] [치환기3] [치환기4][Substituent 1] [Substituent 2] [Substituent 3] [Substituent 4]
[치환기5] [치환기6] [치환기7] [치환기8][Substitution 5] [Substitution 6] [Substitution 7] [Substitution 8]
[치환기9] [치환기10] [치환기11] [치환기12][Substitution 9] [Substitution 10] [Substitution 11] [Substitution 12]
[치환기13] [치환기14] [치환기15] [치환기16][13 substituent] [14 substituents] [15 substituents] [16 substituents]
[치환기17] [치환기18] [치환기19] [치환기20][Substitution 17] [Substitution 18] [Substitution 19] [Substitution 20]
[치환기21] [치환기22] [치환기23] [치환기24][Substitution 21] [Substitution 22] [Substitution 23] [Substitution 24]
[치환기25] [치환기26][Substitution 25] [Substitution 26]
[치환기27] [치환기28] [치환기29] [치환기30][Substitution 27] [Substitution 28] [Substitution 29] [Substitution 30]
[치환기31] [치환기32] [치환기33] [치환기34][Substitution 31] [Substitution 32] [Substitution 33] [Substitution 34]
[치환기35] [치환기36] [치환기37] [치환기38][Substitution 35] [Substitution 36] [Substitution 37] [Substitution 38]
[치환기39] [치환기40] [치환기41] [치환기42][Substitution 39] [Substitution 40] [Substitution 41] [Substitution 42]
[치환기43] [치환기44] [치환기45] [치환기46][Substituent43] [Substituent44] [Substituent45] [Substituent46]
[치환기47] [치환기48] [치환기49] [치환기50][Substituent 47] [Substituent 48] [Substituent 49] [Substituent 50]
[치환기51] [치환기52] [Substitution 51] [Substitution 52]
상기 치환기에서 R은 동일하거나 상이하고, 서로 독립적으로, 수소, 중수소, 할로겐 원자, 히드록실기, 시아노기, 니트로기, 아미노기, 아미디노기, 히드라진, 히드라존, 카르복실기나 이의 염, 술폰산기나 이의 염, 인산이나 이의 염, 치환 또는 비치환된 탄소수 1 내지 60의 알킬기, 치환 또는 비치환된 탄소수 2 내지 60의 알케닐기, 치환 또는 비치환된 탄소수 2 내지 60의 알키닐기, 치환 또는 비치환된 탄소수 1 내지 60의 알콕시기, 치환 또는 비치환된 탄소수 1 내지 60의 알킬티오기(alkylthio), 치환 또는 비치환된 탄소수 3 내지 60의 시클로알킬기, 치환 또는 비치환된 탄소수 6 내지 60의 아릴기, 치환 또는 비치환된 탄소수 5 내지 60의 아릴옥시기, 치환 또는 비치환된 탄소수 5 내지 60의 아릴싸이오기, 치환 또는 비치환된 탄소수 2 내지 60의 헤테로아릴기, 치환 또는 비치환된 탄소수 1 내지 60의 (알킬)아미노기, 디(치환 또는 비치환된 탄소수 1 내지 60의 알킬)아미노기, 또는 (치환 또는 비치환된 탄소수 6 내지 60의 아릴)아미노기, 디(치환 또는 비치환된 탄소수 6 내지 60의 아릴)아미노기, 치환 또는 비치환 된 탄소수 1 내지 40의 알킬실릴기, 치환 또는 비치환 된 탄소수 6 내지 30의 아릴실릴기, 게르마늄, 인, 보론 중에서 선택될 수 있으며, 각각 1에서 12개까지 치환될 수 있고, 각각의 치환기는 서로 인접하는 기와 축합 고리를 형성할 수 있다.R in the substituent is the same or different, and independently from each other, hydrogen, deuterium, halogen atom, hydroxyl group, cyano group, nitro group, amino group, amidino group, hydrazine, hydrazone, carboxyl group or salt thereof, sulfonic acid group or its Salts, phosphoric acid or salts thereof, substituted or unsubstituted alkyl groups having 1 to 60 carbon atoms, substituted or unsubstituted alkenyl groups having 2 to 60 carbon atoms, substituted or unsubstituted alkynyl groups having 2 to 60 carbon atoms, substituted or unsubstituted An alkoxy group having 1 to 60 carbon atoms, a substituted or unsubstituted alkylthio group having 1 to 60 carbon atoms, a substituted or unsubstituted cycloalkyl group having 3 to 60 carbon atoms, a substituted or unsubstituted aryl group having 6 to 60 carbon atoms , Substituted or unsubstituted aryloxy group having 5 to 60 carbon atoms, substituted or unsubstituted arylthio group having 5 to 60 carbon atoms, substituted or unsubstituted heteroaryl group having 2 to 60 carbon atoms, Or an unsubstituted (alkyl) amino group having 1 to 60 carbon atoms, a di (substituted or unsubstituted alkyl group having 1 to 60 carbon atoms), or a (substituted or unsubstituted aryl having 6 to 60 carbon atoms), di (substituted or Unsubstituted aryl) amino group having 6 to 60 carbon atoms, substituted or unsubstituted alkylsilyl group having 1 to 40 carbon atoms, substituted or unsubstituted arylsilyl group having 6 to 30 carbon atoms, germanium, phosphorus, boron, , Each of 1 to 12 may be substituted, and each substituent may form a condensed ring with a group adjacent to each other.
또한 본 발명에서 상기 호스트는 하기 화학식 1A 내지 화학식 1D로 표시되는 화합물일 수 있다. In the present invention, the host may be a compound represented by the following Formula 1A to Formula 1D.
[화학식 1A][Formula 1A]
상기 화학식 1A에서, In Chemical Formula 1A,
상기 Ar7, Ar8 및 Ar9은 서로 동일하거나 상이하고 각각 독립적으로, 단일결합, 치환 또는 비치환된 C5-C60 방향족 연결기(aromatic linking group), 또는 치환 또는 비치환된 C2-C60 헤테로방향족 연결기이고; Ar 7, Ar 8 and Ar 9 are the same as or different from each other, and each independently, a single bond, a substituted or unsubstituted C 5 -C 60 aromatic linking group, or a substituted or unsubstituted C 2 -C 60 Heteroaromatic linking groups;
상기 R21내지 R30은 서로 동일하거나 상이하고 각각 독립적으로 수소, 중수소, 할로겐 원자, 히드록실기, 시아노기, 니트로기, 아미노기, 아미디노기, 히드라진, 히드라존, 카르복실기나 이의 염, 술폰산기나 이의 염, 인산이나 이의 염, 치환 또는 비치환된 탄소수 1 내지 60의 알킬기, 치환 또는 비치환된 탄소수 2 내지 60의 알케닐기, 치환 또는 비치환된 탄소수 2 내지 60의 알키닐기, 치환 또는 비치환된 탄소수 1 내지 60의 알콕시기, 치환 또는 비치환된 탄소수 1 내지 60의 알킬티오기(alkylthio), 치환 또는 비치환된 탄소수 3 내지 60의 시클로알킬기, 치환 또는 비치환된 탄소수 6 내지 60의 아릴기, 치환 또는 비치환된 탄소수 5 내지 60의 아릴옥시기, 치환 또는 비치환된 탄소수 5 내지 60의 아릴싸이오기, 치환 또는 비치환된 탄소수 2 내지 60의 헤테로아릴기, 치환 또는 비치환된 탄소수 1 내지 60의 (알킬)아미노기, 디(치환 또는 비치환된 탄소수 1 내지 60의 알킬)아미노기, 또는 (치환 또는 비치환된 탄소수 6 내지 60의 아릴)아미노기, 디(치환 또는 비치환된 탄소수 6 내지 60의 아릴)아미노기, 치환 또는 비치환 된 탄소수 1 내지 40의 알킬실릴기, 치환 또는 비치환 된 탄소수 6 내지 30의 아릴실릴기, 게르마늄, 인, 보론 중에서 선택될 수 있으며, 각각의 치환기는 서로 인접하는 기와 축합 고리를 형성할 수 있고;R 21 to R 30 are the same as or different from each other, and each independently hydrogen, deuterium, a halogen atom, a hydroxyl group, a cyano group, a nitro group, an amino group, an amidino group, a hydrazine, a hydrazone, a carboxyl group or a salt thereof, a sulfonic acid group or Salts thereof, phosphoric acid or salts thereof, substituted or unsubstituted alkyl groups having 1 to 60 carbon atoms, substituted or unsubstituted alkenyl groups having 2 to 60 carbon atoms, substituted or unsubstituted alkynyl groups having 2 to 60 carbon atoms, substituted or unsubstituted Substituted alkoxy group having 1 to 60 carbon atoms, substituted or unsubstituted alkylthio group having 1 to 60 carbon atoms, substituted or unsubstituted cycloalkyl group having 3 to 60 carbon atoms, substituted or unsubstituted aryl having 6 to 60 carbon atoms A group, a substituted or unsubstituted aryloxy group having 5 to 60 carbon atoms, a substituted or unsubstituted arylthio group having 5 to 60 carbon atoms, a substituted or unsubstituted heteroaryl group having 2 to 60 carbon atoms, Substituted or unsubstituted (alkyl) amino group having 1 to 60 carbon atoms, di (substituted or unsubstituted alkyl group having 1 to 60 carbon atoms), or (substituted or unsubstituted aryl having 6 to 60 carbon atoms), di (substituted Or an unsubstituted aryl) amino group having 6 to 60 carbon atoms, a substituted or unsubstituted alkylsilyl group having 1 to 40 carbon atoms, a substituted or unsubstituted arylsilyl group having 6 to 30 carbon atoms, germanium, phosphorus and boron. Each substituent may form a condensed ring with a group adjacent to each other;
상기 e와 f와 g는 서로 동일하거나 상이하고 각각 독립적으로 0 또는 1내지4의 정수이고;E, f and g are the same as or different from each other, and each independently an integer of 0 or 1 to 4;
상기 안트라센의 *로 표시된 2개의 부위는 서로 동일하거나 상이할 수 있고 각각 독립적으로 상기 P 또는 Q 구조와 결합하여 하기 화학식 1Aa-1 내지 1Aa-3 중에서 선택되는 안트라센계 유도체를 구성할 수 있다.The two sites marked with * of the anthracene may be identical to or different from each other, and may independently combine with the P or Q structure to constitute an anthracene-based derivative selected from Formulas 1Aa-1 to 1Aa-3.
[화학식 1Aa-1] [화학식 1Aa-2] [화학식 1Aa-3][Formula 1Aa-1] [Formula 1Aa-2] [Formula 1Aa-3]
여기서, 상기 '치환 또는 비치환된'에서의 '치환'은 중수소, 시아노기, 할로겐기, 히드록시기, 니트로기, 탄소수 1 내지 24의 알킬기, 탄소수 1 내지 24의 할로겐화된 알킬기, 탄소수 1 내지 24의 알케닐기, 탄소수 1 내지 24의 알키닐기, 탄소수 1 내지 24의 헤테로알킬기, 탄소수 6 내지 24의 아릴기, 탄소수 6 내지 24의 아릴알킬기, 탄소수 2 내지 24의 헤테로아릴기 또는 탄소수 2 내지 24의 헤테로아릴알킬기, 탄소수 1 내지 24의 알콕시기, 탄소수 1 내지 24의 알킬아미노기, 탄소수 1 내지 24의 아릴아미노기, 탄소수 1 내지 24의 헤테로 아릴아미노기, 탄소수 1 내지 24의 알킬실릴기, 탄소수 1 내지 24의 아릴실릴기, 탄소수 1 내지 24의 아릴옥시기로 이루어진 군에서 선택된 1개 이상의 치환기로 치환되는 것을 의미한다. Here, the 'substituted' in the 'substituted or unsubstituted' is deuterium, cyano group, halogen group, hydroxy group, nitro group, alkyl group of 1 to 24 carbon atoms, halogenated alkyl group of 1 to 24 carbon atoms, of 1 to 24 carbon atoms Alkenyl group, C1-C24 alkynyl group, C1-C24 heteroalkyl group, C6-C24 aryl group, C6-C24 arylalkyl group, C2-C24 heteroaryl group, or C2-C24 hetero Arylalkyl group, alkoxy group having 1 to 24 carbon atoms, alkylamino group having 1 to 24 carbon atoms, arylamino group having 1 to 24 carbon atoms, heteroarylaryl group having 1 to 24 carbon atoms, alkylsilyl group having 1 to 24 carbon atoms, and 1 to 24 carbon atoms It means substituted with one or more substituents selected from the group consisting of an arylsilyl group, an aryloxy group having 1 to 24 carbon atoms.
[화학식 1B][Formula 1B]
상기 화학식 1B에서, In Chemical Formula 1B,
상기 Ar17 내지 Ar20은 서로 동일하거나 상이하고 각각 독립적으로 상기 화학식 1A에서 Ar7 내지 Ar8에서 정의한 바와 동일한 치환기로 이루어지고, R60 내지 R63은 상기 화학식 1A의 R21내지 R30에서 정의한 바와 동일한 치환기로 이루어진다.Ar 17 to Ar 20 may be the same as or different from each other, and each independently the same substituent as defined in Ar 7 to Ar 8 in Formula 1A, and R 60 to R 63 may be defined in R 21 to R 30 of Formula 1A. And the same substituent as described above.
상기 w와 ww는 서로 동일하거나 상이하고, 상기 x 및 xx는 서로 동일하거나 상이하고, w+ww와 x+xx 값은 서로 동일하거나 상이하고 각각 독립적으로 0 내지 3의 정수이다. 또한, 상기 y와 yy는 서로 동일하거나 상이하고, 상기 z와 zz는 서로 동일하거나 상이하고, y+yy 내지 z+zz 값이 2이하이며, 각각 0 내지 2의 정수이다.The w and ww are the same or different from each other, the x and xx are the same or different from each other, the w + ww and x + xx values are the same or different from each other and are each independently an integer of 0 to 3. In addition, y and yy are the same as or different from each other, z and zz are the same as or different from each other, and y + yy to z + zz are 2 or less, and are integers of 0 to 2, respectively.
[화학식 1C][Formula 1C]
상기 화학식 1C에서, In Chemical Formula 1C,
상기 Ar21 내지 Ar24은 서로 동일하거나 상이하고 각각 독립적으로 상기 화학식 1A의 Ar7 내지 Ar8에서 정의한 바와 동일한 치환기로 이루어지고, 상기 R64 내지 R67은 상기 화학식 1A의 R21내지 R30 에서 정의한 바와 동일한 치환기로 이루어진다.Ar 21 to Ar 24 may be the same as or different from each other, and each independently the same substituent as defined in Ar 7 to Ar 8 of Formula 1A, and R 64 to R 67 may be selected from R 21 to R 30 of Formula 1A. It consists of the same substituent as defined.
또한, 상기 ee 내지 hh는 서로 동일하거나 상이하고 각각 독립적으로 1 내지 4의 정수이고, 상기 ii 내지 ll은 서로 동일하거나 상이하고 각각 독립적으로 0 내지 4의 정수이다.In addition, ee to hh are the same as or different from each other and each independently an integer of 1 to 4, and ii to ll are the same or different from each other and each independently an integer of 0 to 4.
[화학식 1D][Formula 1D]
상기 화학식 1D에서, In Chemical Formula 1D,
상기 Ar25 내지 Ar27은 서로 동일하거나 상이하고 각각 독립적으로 상기 화학식 1A의 Ar7 내지 Ar8에서 정의한 바와 동일한 치환기로 이루어지고, 상기 R68 내지 R73은 서로 동일하거나 상이하고 각각 독립적으로 상기 화학식 1A의 R21내지 R30에서 정의한 바와 동일한 치환기로 이루어지며, 각각의 치환기는 인접하는 것끼리 포화 또는 불포화 환상 구조를 형성할 수 있다. 또한, 상기 mm 내지 ss는 서로 동일하거나 상이하고 각각 독립적으로 0 내지 4의 정수이다.Ar 25 to Ar 27 are the same as or different from each other, and each independently include the same substituent as defined in Ar 7 to Ar 8 of Formula 1A, and R 68 to R 73 are the same as or different from each other, and each independently It consists of the same substituent as defined in R <21> -R <30> of 1A, and each substituent may form a saturated or unsaturated cyclic structure with adjacent ones. In addition, the mm to ss are the same as or different from each other and are each independently an integer of 0 to 4.
보다 구체적으로, 상기 호스트는 하기 [화합물 1] 내지 [화합물 56]으로 표시되는 군으로부터 선택되는 어느 하나로 표시될 수 있으나, 이에 한정된 것은 아니다.More specifically, the host may be represented by any one selected from the group represented by [Compound 1] to [Compound 56], but is not limited thereto.
[화합물1] [화합물2] [화합물3] [화합물4][Compound 1] [Compound 2] [Compound 3] [Compound 4]
[화합물5] [화합물6] [화합물7] [화합물8][Compound 5] [Compound 6] [Compound 7] [Compound 8]
[화합물9] [화합물10] [화합물11] [화합물12][Compound 9] [Compound 10] [Compound 11] [Compound 12]
[화합물13] [화합물14] [화합물15] [화합물16][Compound 13] [Compound 14] [Compound 15] [Compound 16]
[화합물17] [화합물18] [화합물19] [화합물20][Compound 17] [Compound 18] [Compound 19] [Compound 20]
[화합물21] [화합물22] [화합물23] [화합물24][Compound 21] [Compound 22] [Compound 23] [Compound 24]
[화합물25] [화합물26] [화합물27] [화합물28][Compound 25] [Compound 26] [Compound 27] [Compound 28]
[화합물29] [화합물30] [화합물31] [화합물32] [Compound 29] [Compound 30] [Compound 31] [Compound 32]
[화합물33] [화합물34] [화합물35] [화합물36][Compound 33] [Compound 34] [Compound 35] [Compound 36]
[화합물37] [화합물38] [화합물39] [화합물40][Compound 37] [Compound 38] [Compound 39] [Compound 40]
[화합물41] [화합물42] [화합물43] [화합물44][Compound 41] [Compound 42] [Compound 43] [Compound 44]
[화합물45] [화합물46] [화합물47] [화합물48][Compound 45] [Compound 46] [Compound 47] [Compound 48]
[화합물49] [화합물50] [화합물51] [화합물52][Compound 49] [Compound 50] [Compound 51] [Compound 52]
[화합물53] [화합물54] [화합물55] [화합물56][Compound 53] [Compound 54] [Compound 55] [Compound 56]
또한 상기 발광층은 상기 도판트와 호스트이외에도 다양한 호스트와 다양한 도펀트 물질을 추가로 포함할 수 있다.In addition to the dopant and the host, the emission layer may further include various hosts and various dopant materials.
이하, 바람직한 실시예를 들어 본 발명을 더욱 상세하게 설명한다. 그러나, 이들 실시예는 본 발명을 보다 구체적으로 설명하기 위한 것으로, 본 발명의 범위가 이에 의하여 제한되지 않는다는 것은 당업계의 통상의 지식을 가진 자에게 자명할 것이다. Hereinafter, the present invention will be described in more detail with reference to preferred examples. However, these examples are intended to illustrate the present invention in more detail, it will be apparent to those skilled in the art that the scope of the present invention is not limited thereby.
<실시예><Example>
합성예 1. [화합물 1]의 합성Synthesis Example 1. Synthesis of [Compound 1]
합성예 1-1) (10-(나프탈렌-1-일)안트라센-9-일)보론산의 합성Synthesis Example 1-1) Synthesis of (10- (naphthalen-1-yl) anthracene-9-yl) boronic acid
합성예 1-1-a) 9-(나프탈렌-1-일)안트라센의 합성Synthesis Example 1-1-a) Synthesis of 9- (naphthalen-1-yl) anthracene
둥근바닥 플라스크에 1-나프탈렌 보론산 27.2 g(158 mmol), 9-브로모안트라센 34 g(132 mmol), 탄산칼륨 36.6 g(264 mmol), Pd(PPh3)4 3 g(2 mmol), 물 70 ml, 톨루엔 180 ml 및 테트라하이드로퓨란 180 ml를 넣고 환류반응시켰다.In a round bottom flask, 27.2 g (158 mmol) of 1-naphthalene boronic acid, 34 g (132 mmol) of 9-bromoanthracene, 36.6 g (264 mmol) of potassium carbonate, 3 g (2 mmol) of Pd (PPh 3 ) 4 , 70 ml of water, 180 ml of toluene and 180 ml of tetrahydrofuran were added and refluxed.
상기 반응 종료 후, 층 분리하여 수층은 제거하고 유기층을 감압 농축하여, 컬럼크로마토그래피를 이용하여 9-(나프탈렌-1-일)안트라센 27.2 g(수율 81 %)을 얻었다.After the completion of the reaction, the layers were separated, the aqueous layer was removed, the organic layer was concentrated under reduced pressure, and 27.2 g (yield 81%) of 9- (naphthalen-1-yl) anthracene was obtained by column chromatography.
합성예 1-1-b) 9-브로모-10-(나프탈렌-1-일)안트라센의 합성Synthesis Example 1-1-b) Synthesis of 9-bromo-10- (naphthalen-1-yl) anthracene
둥근바닥 플라스크에 상기 합성예 1-1-a) 에서 제조된 9-(나프탈렌-1-일)안트라센 27.2 g(0.108 mol), 디클로로메탄 250 ml를 넣고 상온에서 결정을 녹인 후, 0 ℃로 냉각한 후, 브롬 17.2 g(0.107 mol)을 디클로로메탄 50 ml에 희석시켜 천천히 투입하며 반응시켰다. 상기 반응 종료 후 층 분리하여 수층은 제거하고 유기층을 감압 농축하여, 메탄올로 결정을 석출시킨 후 재결정하여 노란색의 9-브로모-10-(나프탈렌-1-일)안트라센 결정 26 g(수율 76 %)을 얻었다.27.2 g (0.108 mol) of 9- (naphthalen-1-yl) anthracene prepared in Synthesis Example 1-1-a) and 250 ml of dichloromethane were added to a round bottom flask to dissolve the crystals at room temperature, and then cooled to 0 ° C. Then, 17.2 g of bromine (0.107 mol) was diluted in 50 ml of dichloromethane and reacted slowly. After completion of the reaction, the layers were separated, the aqueous layer was removed, the organic layer was concentrated under reduced pressure, crystals were precipitated with methanol and recrystallized to give 26 g of yellow 9-bromo-10- (naphthalen-1-yl) anthracene crystal (76% yield). )
합성예 1-1-c) (10-나프탈렌-1-일)안트라센-9-일)보론산의 합성Synthesis Example 1-1-c) Synthesis of (10-naphthalen-1-yl) anthracene-9-yl) boronic acid
둥근바닥 플라스크에 상기 합성예 1-1-b에서 제조된 9-브로모-10-(나프탈렌-1-일)안트라센 (26 g, 68 mmol)을 THF 210 mL에 녹였다. -78 ℃까지 냉각시킨 상태에서 n-부틸리튬(51 mL)를 천천히 넣어 주었다. 첨가가 끝나면 -78 ℃에서 1 시간 가량 교반 후 트리메틸 보레이트(33.1 g, 95 mmol)을 넣어 주었다. -78 ℃에서 1 시간 교반 후 2 시간 가량 상온에서 교반하고 2 N 염산수용액을 넣어 산성을 맞추었다. EA로 추출 후 용매 제거하면서 헥산으로 결정을 얻어 (10-나프탈렌-1-일)안트라센-9-일)보론산 18 g(수율 76.2 %)을 얻었다.In a round bottom flask, 9-bromo-10- (naphthalen-1-yl) anthracene (26 g, 68 mmol) prepared in Synthesis Example 1-1-b was dissolved in 210 mL of THF. N-butyllithium (51 mL) was slowly added while cooling to -78 ° C. After the addition, the mixture was stirred at −78 ° C. for about 1 hour, and trimethyl borate (33.1 g, 95 mmol) was added thereto. After stirring at −78 ° C. for 1 hour, the mixture was stirred at room temperature for about 2 hours, and 2N hydrochloric acid solution was added to adjust acidity. Crystals were extracted with hexane, followed by extraction with EA, and solvents were removed to obtain 18 g (yield 76.2%) of (10-naphthalen-1-yl) anthracene-9-yl) boronic acid.
합성예 1-2) 8-아이오도나프탈렌-2-일 트리플루오로메탄설포네이트의 합성Synthesis Example 1-2) Synthesis of 8-iodonaphthalen-2-yl trifluoromethanesulfonate
합성예 1-2-a) 8-아이오도-2-나프톨의 합성Synthesis Example 1-2-a) Synthesis of 8-iodo-2-naphthol
반응식 1-2-a)Scheme 1-2-a)
둥근바닥 플라스크에 8-아미노-2-나프톨 100 g (628 mmol)를 아세트산 300 mL 에 녹이고 0 ℃로 냉각하고, 황산 200 mL 를 천천히 적가한다. 적가 완료 후 아질산나트륨 52 g (754 mmol)을 물에 녹여 적가한 후 동일한 온도에서 1시간 동안 교반하고 상온으로 승온 후 얼음과 우레아 3 g 을 넣고 0 ℃로 냉각되면 요오드화칼륨을 물에 녹여 천천히 적가 한다. 적가가 완료 되면 상온에서 교반하고 티오황산나트륨 처리 후 추출하고 농축하고 컬럼 분리하여 8-아이오도-2-나프톨을 얻었다. (105 g, 수율 61.9 %)In a round bottom flask, 100 g (628 mmol) of 8-amino-2-naphthol is dissolved in 300 mL of acetic acid, cooled to 0 ° C., and 200 mL of sulfuric acid is slowly added dropwise. After completion of the dropwise addition, 52 g (754 mmol) of sodium nitrite was added dropwise to water, stirred for 1 hour at the same temperature, and then heated to room temperature. Then, 3 g of ice and urea were added thereto, and cooled to 0 ° C. do. After the addition was completed, the mixture was stirred at room temperature, treated with sodium thiosulfate, extracted, concentrated, and separated by column to obtain 8-iodo-2-naphthol. (105 g, 61.9% yield)
합성예 1-2-b) 8-아이오도나프탈렌-2-일 트리플루오로메탄설포네이트의 합성Synthesis Example 1-2-b) Synthesis of 8-iodonaphthalen-2-yl trifluoromethanesulfonate
반응식 1-2-b)Scheme 1-2-b)
둥근바닥플라스크에 상기 합성예 1-2-a)에서 얻은 8-아이오도-2-나프톨 19.6 g (73 mmol) 을 넣고 디클로로메탄로 녹인 다음 피리딘 7 mL (87 mmol) 을 넣고 0 ℃로 냉각한다.19.6 g (73 mmol) of 8-iodo-2-naphthol obtained in Synthesis Example 1-2-a) was added to a round bottom flask, and dissolved with dichloromethane. Then, 7 mL (87 mmol) of pyridine was added and cooled to 0 ° C. .
트리플로오로메탄설포닉의 무수물 14.7 mL (87 mmol) 을 천천히 적가하고 완료되면 상온으로 승온후 충분히 교반하고 TLC 로 확인후 2 M 염산을 첨가해서 교반하고 추출 후 농축하고 컬럼 분리하여 생성물을 얻었다. (22 g, 수율 75.3 %)Anhydrous 14.7 mL (87 mmol) of trifluoromethanesulphonic was slowly added dropwise, and when completed, the mixture was warmed to room temperature and stirred sufficiently. (22 g, yield 75.3%)
합성예 1-3) 8-(10-(나프탈렌-1-일)안트라센-9-일)나프탈렌-2-일 트리플루오로메탄 설포네이트의 합성Synthesis Example 1-3 Synthesis of 8- (10- (naphthalen-1-yl) anthracene-9-yl) naphthalen-2-yl trifluoromethane sulfonate
반응식 1-3)Scheme 1-3)
둥근바닥플라스크에 상기 합성예 1-2)에서 제조된 8-아이오도나프탈렌-2-일 트리플루오로메탄설포네이트 22 g (55 mmol), 상기 합성예 1-1)에서 제조된 (10-(나프탈렌-1-일)안트라센-9-일)보론산 21.9 g (60 mmol) 테트라키스 (트리페닐포스핀)팔라듐(0) 1.27 g, (1 mmol) 탄산칼륨 15.2 g (109 mmol) 테트라하이드로퓨란 110 mL, 톨루엔 110 mL, 물 44 mL 를 넣고 환류한다. 반응이 완료되면 반응액을 상온으로 냉각하고 에틸아세테이트/물로 추출하고 유기층을 농축한 뒤 컬럼 분리하여 생성물을 얻었다. (24 g, 수율 80 %)In a round bottom flask, 22 g (55 mmol) of 8-iodonaphthalen-2-yl trifluoromethanesulfonate prepared in Synthesis Example 1-2), (10- ( Naphthalen-1-yl) anthracene-9-yl) boronic acid 21.9 g (60 mmol) tetrakis (triphenylphosphine) palladium (0) 1.27 g, (1 mmol) potassium carbonate 15.2 g (109 mmol) tetrahydrofuran Add 110 mL of toluene, 110 mL of toluene, and 44 mL of water to reflux. After the reaction was completed, the reaction solution was cooled to room temperature, extracted with ethyl acetate / water, the organic layer was concentrated and column separated to obtain a product. (24 g, 80% yield)
합성예 1-4) [화합물1] 의 합성Synthesis Example 1-4) Synthesis of [Compound 1]
둥근바닥플라스크에 상기 합성예 1-3)에서 제조한 8-(10-(나프탈렌-1-일)안트라센-9-일)나프탈렌-2-일 트리플루오로메탄설포네이트 5.2 g (9 mmol), (1H-1,2,4-트리아졸-1-일)보론산 1 g (9 mmol), 테트라키스(트리페닐포스핀)팔라듐(0) 0.4 g, 포타슘카보네이트 3.3 g, 에탄올 25 mL, 톨루엔 25 mL, 물 10 mL 를 넣고 환류한다. 반응이 완료되면 반응액을 상온으로 냉각하고 에틸아세테이트/물로 추출하고 유기층을 농축한 뒤 컬럼 분리하여 [화합물1]을 합성하였다. (2.7 g, 수율 60 %)5.2 g (9 mmol) of 8- (10- (naphthalen-1-yl) anthracene-9-yl) naphthalen-2-yl trifluoromethanesulfonate prepared in Synthesis Example 1-3) in a round bottom flask, (1H-1,2,4-triazol-1-yl) boronic acid 1 g (9 mmol), tetrakis (triphenylphosphine) palladium (0) 0.4 g, potassium carbonate 3.3 g, ethanol 25 mL, toluene Add 25 mL of water and 10 mL of reflux. After the reaction was completed, the reaction solution was cooled to room temperature, extracted with ethyl acetate / water, the organic layer was concentrated and separated by column to synthesize [Compound 1]. (2.7 g, yield 60%)
MS(MALDI-TOF): m/z 498 [M]+ . 13C NMR(75MHz, CDCl3) δ: MS (MALDI-TOF): m / z 498 [M] + . 13 C NMR (75 MHz, CDCl 3 ) δ:
119.6,122.4,125.4,125.6,126.3,127.2,128.3,128.4,129,130.9,131.6,131.8,133.1,134.2,143.3,153.6 [36C]119.6,122.4,125.4,125.6,126.3,127.2,128.3,128.4,129,130.9,131.6,131.8,133.1,134.2,143.3,153.6 [36C]
합성예 2. [화합물 2]의 합성Synthesis Example 2. Synthesis of [Compound 2]
상기 합성예 1-4)에서 사용한 (1H-1,2,4-트리아졸-1-일)보론산 대신 6-퀴녹살린보론산을 사용한 것을 제외하고는 합성예 1과 동일한 방법을 이용하여 [화합물 2]을 합성하였다. (3.5 g, 수율 50 %)Using the same method as in Synthesis Example 1, except that 6-quinoxaline boronic acid was used instead of (1H-1,2,4-triazol-1-yl) boronic acid used in Synthesis Example 1-4) [ Compound 2] was synthesized. (3.5 g, yield 50%)
MS(MALDI-TOF): m/z 575 [M]+ . 13C NMR(75MHz, CDCl3) δ: MS (MALDI-TOF): m / z 575 [M] + . 13 C NMR (75 MHz, CDCl 3 ) δ:
119.6,125.1,125.3,125.4,125.6,126.3,127.1,127.2,127.9,128.3,128.8,129,130.9,131.8,133.1,133.6,134.1,134.2,138.1,140.8,141.1,142.7,144.8 [43C]119.6,125.1,125.3,125.4,125.6,126.3,127.1,127.2,127.9,128.3,128.8,129,130.9,131.8,133.1,133.6,134.1,134.2,138.1,140.8,141.1,142.7,144.8 [43C]
합성예 3. [화합물 3]의 합성Synthesis Example 3. Synthesis of [Compound 3]
상기 합성예 1-2-a)에서 사용한 8-아미노-2-나프톨 대신 5-아미노-2-나프톨을 사용하고, 상기 합성예 1-4)에서 사용한 (1H-1,2,4-트리아졸-1-일)보론산 대신 2-피리미디닐보론산을 사용한 것을 제외하고는 합성예 1과 동일한 방법을 이용하여 [화합물 3]을 합성하였다. (2.7 g, 수율 47 %)5-amino-2-naphthol was used instead of 8-amino-2-naphthol used in Synthesis Example 1-2-a, and (1H-1,2,4-triazole used in Synthesis Example 1-4). [Compound 3] was synthesized in the same manner as in Synthesis Example 1, except that 2-pyrimidinylboronic acid was used instead of -1-yl) boronic acid. (2.7 g, 47% yield)
MS(MALDI-TOF): m/z 509 [M]+ . 13C NMR(75MHz, CDCl3) δ: MS (MALDI-TOF): m / z 509 [M] + . 13 C NMR (75 MHz, CDCl 3 ) δ:
117.7,119.6,124.7,125.4,125.6,126.3,127.2,128.3,129,130.9,131.8,132.8,133.1,133.9,134.2,134.7,137.7,156.1,164.2 [38C]117.7,119.6,124.7,125.4,125.6,126.3,127.2,128.3,129,130.9,131.8,132.8,133.1,133.9,134.2,134.7,137.7,156.1,164.2 [38C]
합성예 4. [화합물 4]의 합성Synthesis Example 4. Synthesis of [Compound 4]
상기 합성예 1-1-a)에서 사용한 1-나프탈렌 보론산 대신 (6-메틸나프탈렌-1-일) 보론산을 사용한 것을 제외하고는 합성예 1-1)과 동일한 방법을 이용하였고, 상기 합성예 1-4)에서 사용한 (1H-1,2,4-트리아졸-1-일)보론산 대신 8-퀴놀리닐보론산을 사용한 것을 제외하고는 동일한 방법을 이용하여 [화합물 4]을 합성하였다. (3.2 g, 수율 43 %)The same method as in Synthesis Example 1-1) was used except that (6-methylnaphthalen-1-yl) boronic acid was used instead of 1-naphthalene boronic acid used in Synthesis Example 1-1-a). [Compound 4] was synthesized by the same method except that 8-quinolinyl boronic acid was used instead of (1H-1,2,4-triazol-1-yl) boronic acid used in Example 1-4) It was. (3.2 g, yield 43%)
MS(MALDI-TOF): m/z 572 [M]+ . 13C NMR(75MHz, CDCl3) δ: MS (MALDI-TOF): m / z 572 [M] + . 13 C NMR (75 MHz, CDCl 3 ) δ:
21.5,118.5,119.6,121.5,125.1,125.2,125.4,125.6,126.2,126.6,127.2,127.5,127.6,127.8,128.1,129,130.2,130.9,131.1,131.2,131.3,131.8,132,132.8,133.1,134.1,134.7,136.4,138.1,139.6,146.5,149.9 [44C]21.5,118.5,119.6,121.5,125.1,125.2,125.4,125.6,126.2,126.6,127.2,127.5,127.6,127.8,128.1,129,130.2,130.9,131.1,131.2,131.3,131.8,132,132.8,133.1,134.1,134.7, 136.4,138.1,139.6,146.5,149.9 [44C]
합성예 5. [화합물 5]의 합성Synthesis Example 5. Synthesis of [Compound 5]
합성예 5-1) 5-(10-(나프탈렌-1-일)안트라센-9-일)나프탈렌-1-일 트리플루오로메탄 설포네이트 의 합성Synthesis Example 5-1) Synthesis of 5- (10- (naphthalen-1-yl) anthracene-9-yl) naphthalen-1-yl trifluoromethane sulfonate
상기 합성예 1-2-a)에서 사용한 8-아미노-2-나프톨 대신 5-아미노-1-나프톨을 사용한 것을 제외하고는 상기 합성예 1-2)와 합성예 1-3)과 동일한 방법을 이용하여, 생성물을 얻었다. (7.5 g, 수율70 %)The same method as in Synthesis Example 1-2) and Synthesis Example 1-3) was performed except that 5-amino-1-naphthol was used instead of 8-amino-2-naphthol used in Synthesis Example 1-2-a). To obtain the product. (7.5 g, 70% yield)
합성예 5-2) 2-메틸-2H-1,2,3-벤조트리아졸-5-보론산의 합성Synthesis Example 5-2) Synthesis of 2-methyl-2H-1,2,3-benzotriazole-5-boronic acid
반응식 5-2)Scheme 5-2)
둥근 바닥 플라스크에 5-브로모-2-메틸-2H-1,2,3-벤조트리아졸 (8.5 g, 40 mmol)을 THF 650 mL에 녹였다. -78 ℃까지 냉각시킨 상태에서 n-BuLi(30 mL)를 천천히 넣어 주었다. 첨가가 끝나면 -78 ℃에서 1 시간 가량 교반 후 트리메틸 보레이트(5.9 g, 56 mmol)을 넣어 주었다. -78 ℃에서 1 시간 교반 후 2 시간 가량 상온에서 교반하고 2 N HCl을 넣어 산성을 맞추었다. EA로 추출 후 용매 제거하면서 헥산으로 결정을 얻어 생성물을 얻었다. (5.5 g, 수율 78 %)In a round bottom flask 5-bromo-2-methyl-2H-1,2,3-benzotriazole (8.5 g, 40 mmol) was dissolved in 650 mL of THF. N-BuLi (30 mL) was added slowly while cooling to -78 ° C. After the addition, the mixture was stirred at −78 ° C. for about 1 hour, and trimethyl borate (5.9 g, 56 mmol) was added thereto. After stirring at −78 ° C. for 1 hour, the mixture was stirred at room temperature for about 2 hours, and 2 N HCl was added to adjust acidity. After extraction with EA, the solvent was removed, and crystals were obtained with hexane to obtain a product. (5.5 g, yield 78%)
합성예 5-3) [화합물 5] 의 합성Synthesis Example 5-3) Synthesis of [Compound 5]
반응식 5-3)Scheme 5-3)
둥근바닥플라스크에 상기 합성예 5-1)에서 제조한 5-(10-(나프탈렌-1-일)안트라센-9-일)나프탈렌-1-일 트리플루오로메탄설포네이트 5.2 g (9 mmol), 상기 합성예 5-2)에서 제조한 2-메틸-2H-1,2,3-벤조트리아졸-5-보론산 1.6 g (9 mmol), 테트라키스(트리페닐포스핀)팔라듐(0) 0.4 g, 포타슘카보네이트 3.3 g, 에탄올 25 mL, 톨루엔 25 mL, 물 10 mL를 넣고 환류한다. 반응이 완료되면 반응액을 상온으로 냉각하고 에틸아세테이트/물로 추출하고 유기층을 농축한 뒤 컬럼 분리하여 [화합물 5]을 합성하였다. (2.5 g, 수율 68 %)5.2 g (9 mmol) of 5- (10- (naphthalen-1-yl) anthracene-9-yl) naphthalen-1-yl trifluoromethanesulfonate prepared in Synthesis Example 5-1) in a round bottom flask; 2-methyl-2H-1,2,3-benzotriazole-5-boronic acid 1.6 g (9 mmol) prepared in Synthesis Example 5-2), tetrakis (triphenylphosphine) palladium (0) 0.4 g, potassium carbonate 3.3 g, ethanol 25 mL, toluene 25 mL,
MS(MALDI-TOF): m/z 562 [M]+ . 13C NMR(75MHz, CDCl3) δ: MS (MALDI-TOF): m / z 562 [M] + . 13 C NMR (75 MHz, CDCl 3 ) δ:
43.9,119.6,125.1,125.4,125.6,126.3,127.2,127.4,127.9,128.3,129,130,130.1,130.9,131.8,131.9,133.1,134.2,135.4 ,136.5,136.7,144.3,145.5 [41C]43.9,119.6,125.1,125.4,125.6,126.3,127.2,127.4,127.9,128.3,129,130,130.1,130.9,131.8,131.9,133.1,134.2,135.4, 136.5,136.7,144.3,145.5 [41C]
합성예 6. [화합물 6]의 합성Synthesis Example 6. Synthesis of [Compound 6]
합성예 6-1. 2,6-다이알킬 치환된 10-(나프탈렌-1-일)안트라센-9-일 보론산의 합성Synthesis Example 6-1. Synthesis of 2,6-dialkyl substituted 10- (naphthalen-1-yl) anthracene-9-yl boronic acid
합성예 6-1-a) 2,6-다이알킬 치환된 안트라센 유도체의 합성Synthesis Example 6-1-a) Synthesis of 2,6-dialkyl Substituted Anthracene Derivatives
2-메틸-2-헥산올 (35 g, 300 mmol) 및 안트라센 (18.4 g, 100 mmol)을 50 mL 트리플루오로아세트산에 첨가하고 질소하에 24시간 동안 환류시켰다. 반응이 종료되면 실온으로 냉각하고, 디클로로메탄으로 추출하였다. 유기층을 감압 농축하면서 생성된 고체를 여과한 후, 컬럼크로마토그래피로 분리한다. 메탄올로 재결정하여 생성물을 얻었다. (6 g, 수율 16 %)을 얻었다.2-methyl-2-hexanol (35 g, 300 mmol) and anthracene (18.4 g, 100 mmol) were added to 50 mL trifluoroacetic acid and refluxed under nitrogen for 24 hours. After the reaction was completed, the reaction mixture was cooled to room temperature and extracted with dichloromethane. The resulting solid is filtered while concentrating the organic layer under reduced pressure, and then separated by column chromatography. Recrystallization with methanol gave the product. (6 g, yield 16%) was obtained.
합성예 6-1-b) 2,6-다이알킬 치환된 9,10-다이브로모안트라센의 합성Synthesis Example 6-1-b) Synthesis of 2,6-dialkyl Substituted 9,10-Dibromoanthracene
상기 합성예 6-1-a에서 합성된 2,6-다이알킬 치환된 안트라센 (6 g, 16 mmol)을 100 mL 디클로로에탄에 넣고, 4시간 동안 실온에서 교반하면서 브롬 (2.1 mL, 40 mmol)을 적가하였다. 이것을 물에 붓고 황산나트륨을 첨가하여 잔류 브롬을 소모시켰다. 이어서, 이것을 디클로로메탄으로 추출하고 유기층을 황산마그네슘으로 건조하였다. 생성된 물질을 디클로로메탄 용리액을 사용하여 알루미나 컬럼에 통과시키고, 이어서 증발시키고, 메탄올을 첨가하여 연노란색 고체를 침전시켜서 생성물을 약 7.2 g 얻었다.2,6-dialkyl substituted anthracene (6 g, 16 mmol) synthesized in Synthesis Example 6-1-a was added to 100 mL dichloroethane and bromine (2.1 mL, 40 mmol) while stirring at room temperature for 4 hours. Was added drop wise. It was poured into water and sodium sulfate was added to consume residual bromine. Then it was extracted with dichloromethane and the organic layer was dried over magnesium sulfate. The resulting material was passed through an alumina column using dichloromethane eluent, then evaporated, and methanol was added to precipitate a pale yellow solid, yielding about 7.2 g of product.
합성예 6-1-c) 2,6-다이알킬 치환된 9-브로모-10-(나프탈렌-1-일)안트라센의 합성Synthesis Example 6-1-c) Synthesis of 2,6-dialkyl substituted 9-bromo-10- (naphthalen-1-yl) anthracene
둥근바닥 플라스크에 상기 합성예 6-1-b)에서 제조된 2,6-다이알킬 치환된 9,10-다이브로모안트라센 7.2 g(13 mmol), 1-나프탈렌 보론산 2.4 g(13 mmol), 탄산칼륨 3.7 g(27 mmol), Pd(PPh3)4 0.3 g(3 mmol), 물 15 ml, 톨루엔 40 ml 및 테트라하이드로퓨란 40 ml를 넣고 환류반응시켰다.In a round bottom flask, 7.2 g (13 mmol) of 2,6-dialkyl substituted 9,10-dibromoanthracene prepared in Synthesis Example 6-1-b), 2.4 g (13 mmol) of 1-naphthalene boronic acid, 3.7 g (27 mmol) of potassium carbonate, 0.3 g (3 mmol) of Pd (PPh 3 ) 4 , 15 ml of water, 40 ml of toluene and 40 ml of tetrahydrofuran were added and refluxed.
상기 반응 종료 후, 층 분리하여 수층은 제거하고 유기층을 감압 농축하여, 톨루엔 헥산으로 재결정하여 생성물(5.4 g, 수율 70 %)을 얻었다.After the completion of the reaction, the layers were separated, the aqueous layer was removed, the organic layer was concentrated under reduced pressure, and recrystallized with toluene hexane to obtain a product (5.4 g, yield 70%).
합성예 6-1-d) 2,6-다이알킬 치환된 10-(나프탈렌-1-일)안트라센-9-일 보론산의 합성Synthesis Example 6-1-d) Synthesis of 2,6-dialkyl substituted 10- (naphthalen-1-yl) anthracene-9-yl boronic acid
상기 합성예 1-1-c에서 사용된 9-브로모-10-(나프탈렌-1-일)안트라센 대신 상기 합성예 6-1-c)에서 제조된 2,6-다이알킬 치환된 9-브로모-10-(나프탈렌-1-일)안트라센을 사용한 것을 제외하고는 동일한 방법을 이용하여 보론산(7.5 g, 수율 78 %)을 합성하였다.2,6-dialkyl substituted 9-bro, prepared in Synthesis Example 6-1-c) instead of 9-bromo-10- (naphthalen-1-yl) anthracene used in Synthesis Example 1-1-c Boronic acid (7.5 g, yield 78%) was synthesized using the same method except that mother-10- (naphthalen-1-yl) anthracene was used.
합성예 6-2) 4-아이오도나프탈렌-1-일 트리플루오로메탄설포네이트의 합성Synthesis Example 6-2) Synthesis of 4-iodonaphthalen-1-yl trifluoromethanesulfonate
상기 합성예 1-2)에서 사용된 8-아미노-2-나프톨 대신 4-아미노-1-나프톨을 사용한 것을 제외하고는 동일한 방법을 이용하여 생성물(20 g, 수율 76 %)을 얻었다.The product (20 g, yield 76%) was obtained using the same method except that 4-amino-1-naphthol was used instead of 8-amino-2-naphthol used in Synthesis Example 1-2).
합성예 6-3) 4-(2,6-비스(2-메틸헥산-2-일)-10-(나프탈렌-1-일)안트라센-9-일) 나프탈렌-1-일 트리플루오로메탄설포네이트의 합성Synthesis Example 6-3) 4- (2,6-bis (2-methylhexane-2-yl) -10- (naphthalen-1-yl) anthracene-9-yl) naphthalen-1-yl trifluoromethanesulfo Synthesis of Nate
상기 합성예 1-3)에서 사용된 8-아이오도나프탈렌-2-일 트리플루오로메탄 설포네이트 대신 상기 합성예 6-2)에서 제조된 4-아이오도나프탈렌-1-일 트리플루오로메탄설포네이트를 사용하고, (10-(나프탈렌-1-일)안트라센-9-일)보론산 대신 상기 합성예 6-1)에서 제조된 2,6-다이알킬 치환된 10-(나프탈렌-1-일)안트라센-9-일 보론산 을 사용한 것을 제외하고는 동일한 방법을 이용하여 생성물(16 g, 수율 75 %)을 얻었다.4-Iodonaphthalen-1-yl trifluoromethanesulfo prepared in Synthesis Example 6-2) instead of 8-iodonaphthalen-2-yl trifluoromethane sulfonate used in Synthesis Example 1-3) 2,6-dialkyl substituted 10- (naphthalen-1-yl) prepared in Synthesis Example 6-1 above using nate and replacing (10- (naphthalen-1-yl) anthracene-9-yl) boronic acid A product (16 g, yield 75%) was obtained using the same method except that anthracene-9-yl boronic acid was used.
합성예 6-4) [화합물 6]의 합성Synthesis Example 6-4) Synthesis of [Compound 6]
상기 합성예 1-4)에서 사용된 8-(10-페닐안트라센-9-일)나프탈렌-2-일 트리플루오로메탄설포네이트 대신 상기 합성예 6-3)에서 제조된 4-(2,6-비스(2-메틸헥산-2-일)-10-(나프탈렌-1-일)안트라센-9-일)나프탈렌-1-일 트리플루오로메탄 설포네이트를 사용하고, (1H-1,2,4-트리아졸-1-일)보론산 대신 (1,10-페난트롤린-5-일)보론산을 사용한 것을 제외하고는 동일한 방법을 이용하여 [화합물 6] 2.0 g (수율 45 %)을 합성하였다.4- (2,6) prepared in Synthesis Example 6-3 instead of 8- (10-phenylanthracene-9-yl) naphthalen-2-yl trifluoromethanesulfonate used in Synthesis Example 1-4) -Bis (2-methylhexane-2-yl) -10- (naphthalen-1-yl) anthracene-9-yl) naphthalen-1-yl trifluoromethane sulfonate, and (1H-1,2, 2.0 g (yield 45%) of [Compound 6] was obtained using the same method except that (1,10-phenanthroline-5-yl) boronic acid was used instead of 4-triazol-1-yl) boronic acid. Synthesized.
MS(MALDI-TOF): m/z 838 [M]+ . 13C NMR(75MHz, CDCl3) δ: MS (MALDI-TOF): m / z 838 [M] + . 13 C NMR (75 MHz, CDCl 3 ) δ:
14.1,23.3,26.4,29.1,38,44.4,119.6,120.1,121.5,122.3,123.5,124.7,125.4,126.3,127.2,128.3,128.4,129.6,130.3,130.7,131,131.6,131.8,131.9,132.9,133.1,133.9,134.2,135.7,136.4,137,147.3,149.9,154.6 [62C]14.1,23.3,26.4,29.1,38,44.4,119.6,120.1,121.5,122.3,123.5,124.7,125.4,126.3,127.2,128.3,128.4,129.6,130.3,130.7,131,131.6,131.8,131.9,132.9,133.1, 133.9,134.2,135.7,136.4,137,147.3,149.9,154.6 [62C]
합성예 7. [화합물 7]의 합성Synthesis Example 7. Synthesis of [Compound 7]
합성예 7-1) 2,3-디브로모나프탈렌-1-아민의 합성Synthesis Example 7-1) Synthesis of 2,3-dibromonaphthalen-1-amine
반응식 7-1)Scheme 7-1
둥근바닥플라스크에 1-아미노나프탈렌 125 g(873 mmol)과 아세트산 445 mL를 넣고 반응기의 온도를 0 ℃로 냉각한다. 브로민을 아세트산 890 mL에 희석하여 반응기에 적가하고 완료되면, 60 ℃로 승온시키고 1시간 동안 교반한다. 반응이 종료되면 반응기의 온도를 실온으로 낮추고 생성된 염을 여과한다. 수산화나트륨 수용액에 여과된 염을 넣고 교반한다. 생성된 고체를 필터하고, 컬럼 분리한다. (145 g, 55 %)125 g (873 mmol) of 1-aminonaphthalene and 445 mL of acetic acid were added to a round bottom flask, and the temperature of the reactor was cooled to 0 ° C. The bromine is diluted in 890 mL of acetic acid and added dropwise to the reactor and when complete, the temperature is raised to 60 ° C. and stirred for 1 hour. At the end of the reaction, the temperature of the reactor is lowered to room temperature and the resulting salt is filtered off. The filtered salt is added to an aqueous sodium hydroxide solution and stirred. The resulting solid is filtered and column separated. (145 g, 55%)
합성예 7-2) 5-브로모나프토[1,2-d][1,2,3]옥사디아졸의 합성Synthesis Example 7-2) Synthesis of 5-bromonaphtho [1,2-d] [1,2,3] oxadiazole
반응식 7-2)Scheme 7-2)
둥근바닥플라스크에 상기 합성예 7-1)에서 제조된 2,3-디브로모나프탈렌-1-아민 60 g (200 mmol), 아세트산 900 mL를 넣고 0 ℃로 냉각하고, 프로피오닉산 150 mL를 넣고 교반한다. 그리고 아질산나트륨 16 g을 넣고 30분 동안 교반한 후 반응액을 얼음물에 붓는다. 생성된 고체를 여과하고, 여액에 물을 더 첨가하여 교반한 뒤 필터한다. (24 g, 46 %)60 g (200 mmol) of 2,3-dibromonaphthalene-1-amine prepared in Synthesis Example 7-1) and 900 mL of acetic acid were added to a round bottom flask, and cooled to 0 ° C., 150 mL of propionic acid was added thereto. Add and stir. Then, add 16 g of sodium nitrite, stir for 30 minutes, and pour the reaction solution into ice water. The resulting solid is filtered, further water is added to the filtrate, stirred and filtered. (24 g, 46%)
합성예 7-3) 4-브로모-2-나프톨의 합성Synthesis Example 7-3) Synthesis of 4-bromo-2-naphthol
반응식 7-3)Scheme 7-3)
둥근바닥플라스크에 질소기류 하에서 상기 합성예 7-2)에서 제조된 5-브로모나프토[1,2-d][1,2,3]옥사디아졸 24 g (95 mmol)을 넣고 에탄올 500 mL에 녹인다. 소듐보로하이드라이드 1.16 g을 반응기에 넣고 12시간 동안 교반시킨다. 물 2334 mL에 염산 28 mL를 넣은 염산수용액을 반응기에 적가하고 1시간 동안 교반시킨다. 반응이 종료되면 10 % 수산화나트륨 수용액을 넣어서 중화시킨다. 중화가 완료되면 다이클로로메탄과 물로 추출하고 유기층을 농축한다. 컬럼 정제하고, 재결정한다. (17 g, 78 %)Into a round-bottom flask, 24 g (95 mmol) of 5-bromonaphtho [1,2-d] [1,2,3] oxadiazole prepared in Synthesis Example 7-2) under nitrogen stream was added and 500 mL of ethanol Dissolve in. 1.16 g of sodium borohydride are placed in a reactor and stirred for 12 hours. An aqueous hydrochloric acid solution containing 28 mL of hydrochloric acid was added dropwise to the reactor and stirred for 1 hour. At the end of the reaction, neutralize by adding 10% aqueous sodium hydroxide solution. After neutralization is completed, the mixture is extracted with dichloromethane and water, and the organic layer is concentrated. The column is purified and recrystallized. (17 g, 78%)
합성예 7-4) 4-브로모나프탈렌-2-일 트리플루오로메탄설포네이트의 합성Synthesis Example 7-4) Synthesis of 4-bromonaphthalen-2-yl trifluoromethanesulfonate
반응식 7-4)Scheme 7-4
둥근바닥플라스크에 상기 합성예 7-3)에서 합성한 4-브로모-2-나프톨 14.5 g (65 mmol), 을 넣고 디클로로메탄으로 녹인 다음 피리딘 5.7 g (72 mmol)을 넣고 0 ℃로 냉각한다. 트리플루오로메탄설포닉 무수물 15.8 g (85 mmol)을 천천히 적가하고 완료되면 상온으로 승온 후 충분히 교반하고 TLC로 확인 후 2 M 염산을 첨가해서 교반하고 추출 후 농축하고 컬럼 분리한다. (20 g, 86.7 %)14.5 g (65 mmol) of 4-bromo-2-naphthol synthesized in Synthesis Example 7-3) was added to a round bottom flask, and dissolved with dichloromethane. Then, pyridine 5.7 g (72 mmol) was added thereto and cooled to 0 ° C. . 15.8 g (85 mmol) of trifluoromethanesulphonic anhydride is slowly added dropwise, and when complete, the mixture is warmed to room temperature and stirred sufficiently. After confirmation by TLC, 2 M hydrochloric acid is added, stirred, extracted, concentrated, and separated by column. (20 g, 86.7%)
합성예 7-5) 5-브로모-1,2-디페닐-1H-벤즈이미다졸의 합성 Synthesis Example 7-5) Synthesis of 5-bromo-1,2-diphenyl-1H-benzimidazole
4-메틸벤젠설폰산(3.1 g, 16 mmol)을 N1-벤질-4-브로모벤젠-1,2-디아민(45 g, 160 mmol)과 디클로로메탄 500 mL 및 트리메틸오르토벤조에이트 30 mL를 혼합한 용액에 첨가하고 질소하에 실온에서 40시간정도 반응한다. 반응 완료 후 유기층을 감압농축하고 40 % 메탄올/물과 탄산수소나트륨/물로 씻어주고 건조하여 생성물을 얻었다.(22.3 g, 수율 40 %)4-methylbenzenesulfonic acid (3.1 g, 16 mmol) with N 1 -benzyl-4-bromobenzene-1,2-diamine (45 g, 160 mmol), 500 mL of dichloromethane and 30 mL of trimethylorthobenzoate It is added to the mixed solution and reacted for about 40 hours at room temperature under nitrogen. After the reaction was completed, the organic layer was concentrated under reduced pressure, washed with 40% methanol / water and sodium hydrogencarbonate / water, and dried to obtain a product. (22.3 g, yield 40%)
합성예 7-6) (1,2-디페닐-1H-벤조[d]이미다졸-5-일)보론산의 합성Synthesis Example 7-6) Synthesis of (1,2-diphenyl-1H-benzo [d] imidazol-5-yl) boronic acid
상기 합성예 1-1-c)에서 사용한 9-브로모-10-(나프탈렌-1-일)안트라센 대신 상기 합성예 7-5)에서 제조된 5-브로모-1,2-디페닐-1H-벤즈이미다졸을 사용한 것을 제외하고는 동일한 방법을 이용하여 생성물을 얻었다.(7 g, 수율 35 %)5-Bromo-1,2-diphenyl-1H prepared in Synthesis Example 7-5 instead of 9-bromo-10- (naphthalen-1-yl) anthracene used in Synthesis Example 1-1-c) The product was obtained using the same method except that benzimidazole was used (7 g, 35% yield).
합성예 7-7) 5-(4-브로모나프탈렌-2-일)-1,2-디페닐-1H-벤조[d]이미다졸의 합성Synthesis Example 7-7) Synthesis of 5- (4-bromonaphthalen-2-yl) -1,2-diphenyl-1H-benzo [d] imidazole
상기 합성예 1-4)에서 사용한 8-(10-(나프탈렌-1-일)안트라센-9-일)나프탈렌-2-일 트리플루오로메탄설포네이트 대신 상기 합성예 7-4)에서 제조된 4-브로모나프탈렌-2-일 트리플루오로메탄설포네이트를 사용하고, (1H-1,2,4-트리아졸-1-일)보론산 대신 상기 합성예 7-6)에서 제조된 (1,2-디페닐-1H-벤조[d]이미다졸-5-일)보론산을 사용한 것을 제외하고는 동일한 방법을 이용하여 생성물을 얻었다.(7 g, 수율 70 %)4 prepared in Synthesis Example 7-4 instead of 8- (10- (naphthalen-1-yl) anthracene-9-yl) naphthalen-2-yl trifluoromethanesulfonate used in Synthesis Example 1-4) (1, prepared in Synthesis Example 7-6) using bromonaphthalen-2-yl trifluoromethanesulfonate and instead of (1H-1,2,4-triazol-1-yl) boronic acid The product was obtained using the same method except that 2-diphenyl-1H-benzo [d] imidazol-5-yl) boronic acid was used. (7 g, yield 70%)
합성예 7-8) [화합물 7]의 합성Synthesis Example 7-8) Synthesis of [Compound 7]
상기 합성예 1-3)에서 사용한 8-아이오도나프탈렌-2-일 트리플루오로메탄 설포네이트 대신 상기 합성예 7-7)에서 제조된 5-(4-브로모나프탈렌-2-일)-1,2-디페닐-1H-벤조[d]이미다졸을 사용한 것을 제외하고는 동일한 방법을 이용하여 [화합물7]을 합성하였다.(3.4 g, 수율 48 %)5- (4-bromonaphthalen-2-yl) -1 prepared in Synthesis Example 7-7 instead of 8-iodonaphthalen-2-yl trifluoromethane sulfonate used in Synthesis Example 1-3) [Compound 7] was synthesized in the same manner except for using, 2-diphenyl-1H-benzo [d] imidazole. (3.4 g, yield 48%)
MS(MALDI-TOF): m/z 699 [M]+ . 13C NMR(75MHz, CDCl3) δ: MS (MALDI-TOF): m / z 699 [M] + . 13 C NMR (75 MHz, CDCl 3 ) δ:
114.6,115.7,119.6,122.1,122.9,125.4,125.6,126.3,127.2,127.5,128.2,128.3,129,129.2,129.6,130.9,131,131.1,131.8,132,133.1,134,134.2,134.6,134.7,134.9,137,137.2,138.2,139.4,143.2,149.4 [53C]114.6,115.7,119.6,122.1,122.9,125.4,125.6,126.3,127.2,127.5,128.2,128.3,129,129.2,129.6,130.9,131,131.1,131.8,132,133.1,134,134.2,134.6,134.7,134.9,137,137.2,138.2,139.4, 143.2,149.4 [53C]
합성예8. [화합물 8]의 합성Synthesis Example 8. Synthesis of [Compound 8]
합성예 8-1) 1,8-디(1,3,4-옥사디아졸-2-일)나프탈렌의 합성Synthesis Example 8-1) Synthesis of 1,8-di (1,3,4-oxadiazol-2-yl) naphthalene
반응식 8-1)Scheme 8-1)
상기 합성예 1-1-a)에서 사용된 9-브로모안트라센 대신 1,8-디브로모나프탈렌을 사용하고, 페닐보론산 대신 (1,3,4-옥사디아졸-2-일)보론산을 사용한 것을 제외하고는 동일한 방법을 이용하여 생성물을 얻었다.(26 g, 수율 71 %)1,8-dibromonaphthalene is used instead of 9-bromoanthracene used in Synthesis Example 1-1-a), and (1,3,4-oxadiazol-2-yl) boron instead of phenylboronic acid The product was obtained using the same method except that acid was used (26 g, 71% yield).
합성예 8-2) 2,2'-(4-브로모나프탈렌-1,8-디일)비스(1,3,4-옥사디아졸)의 합성Synthesis Example 8-2) Synthesis of 2,2 '-(4-bromonaphthalene-1,8-diyl) bis (1,3,4-oxadiazole)
반응식 8-2)Scheme 8-2)
둥근바닥플라스크에 상기 합성예 8-1)에서 제조된 1,8-디(1,3,4-옥사디아졸-2-일)나프탈렌 29 g (103 mmol)을 다이클로로메탄 0.3 L에 녹이고 0 ℃에서 교반한다. 여기에 브로민 18.2 g (114 mmol)을 다이클로로메탄 0.1 L에 묽혀 적가한다. 실온에서 3시간 정도 교반하고 탄산수소나트륨 수용액을 넣어 반응을 종결한 후 수층을 제거한 다음 유기층을 모아 농축하여 메탄올로 결정을 잡고 아세톤으로 슬러리한다. (25 g, 수율 75 %) In a round bottom flask, 29 g (103 mmol) of 1,8-di (1,3,4-oxadiazol-2-yl) naphthalene prepared in Synthesis Example 8-1) was dissolved in 0.3 L of dichloromethane and 0 Stir at ° C. 18.2 g (114 mmol) of bromine are added dropwise in 0.1 L of dichloromethane. After stirring for about 3 hours at room temperature, the reaction was terminated by adding an aqueous sodium hydrogen carbonate solution, and then the aqueous layer was removed. The organic layers were collected, concentrated, and crystallized with methanol. (25 g, yield 75%)
합성예 8-3) [화합물 8]의 합성Synthesis Example 8-3) Synthesis of [Compound 8]
상기 합성예 1-3)에서 사용된 8-아이오도나프탈렌-2-일 트리플루오로메탄 설포네이트 대신 상기 합성예 8-2)에서 제조된 2,2'-(4-브로모나프탈렌-1,8-디일)비스(1,3,4-옥사디아졸)을 사용한 것을 제외하고는 동일한 방법을 이용하여 [화합물 8]을 합성하였다. (3.2 g, 수율 42 %)2,2 '-(4-bromonaphthalene-1, prepared in Synthesis Example 8-2) instead of 8-iodonaphthalen-2-yl trifluoromethane sulfonate used in Synthesis Example 1-3) [Compound 8] was synthesized in the same manner except that 8-diyl) bis (1,3,4-oxadiazole) was used. (3.2 g, yield 42%)
MS(MALDI-TOF): m/z 567 [M]+ . 13C NMR(75MHz, CDCl3) δ: MS (MALDI-TOF): m / z 567 [M] + . 13 C NMR (75 MHz, CDCl 3 ) δ:
119.6,122.8,124.7,125.2,125.4,125.6,126.3,127.2,128.3,129,129.2,129.6,129.7,130.9,131.8,133.1,134.2,134.9,136,153.3,164.5 [38C]119.6,122.8,124.7,125.2,125.4,125.6,126.3,127.2,128.3,129,129.2,129.6,129.7,130.9,131.8,133.1,134.2,134.9,136,153.3,164.5 [38C]
합성예 9. [화합물 9]의 합성Synthesis Example 9. Synthesis of [Compound 9]
합성예 9-1) 7-클로로-2-페닐-1-나프톨의 합성Synthesis Example 9-1) Synthesis of 7-chloro-2-phenyl-1-naphthol
반응식 9-1)Scheme 9-1)
둥근바닥플라스크에 페닐 보론산 15.3 g (125 mmol), 2-브로모-7-클로로-1-나프톨 34.0 g (132 mmol), 탄산칼륨 36.6 g(264 mmol), Pd(PPh3)4 3 g(2 mmol), 물 70 ml, 톨루엔 180 ml 및 테트라하이드로퓨란 180 ml를 넣고 환류반응시켰다.15.3 g (125 mmol) phenyl boronic acid, 34.0 g (132 mmol) 2-bromo-7-chloro-1-naphthol, 36.6 g (264 mmol) potassium carbonate, Pd (PPh 3 ) 4 3 g (2 mmol), 70 ml of water, 180 ml of toluene and 180 ml of tetrahydrofuran were added and refluxed.
상기 반응 종료 후, 층 분리하여 수층은 제거하고 유기층을 감압 농축하여, 컬럼크로마토그래피를 이용하여 생성물 26 g(수율 77 %)을 얻었다.After the completion of the reaction, the layers were separated, the aqueous layer was removed, the organic layer was concentrated under reduced pressure, and 26 g of a product (yield 77%) was obtained by column chromatography.
합성예 9-2) 2-페닐-7-(4-피리디닐)-1-나프톨의 합성Synthesis Example 9-2 Synthesis of 2-phenyl-7- (4-pyridinyl) -1-naphthol
반응식 9-2)Scheme 9-2)
둥근바닥플라스크에 4-피리디닐 보론산 15.1 g (122 mmol), 상기 합성예 9-1)에서 제조된 7-클로로-2-페닐-1-나프톨 26.0 g (102 mmol), 탄산칼륨 28.3 g(204 mmol), Pd(PPh3)4 2.3 g(1.55 mmol), 물 54 ml, 톨루엔 140 ml 및 테트라하이드로퓨란 140 ml를 넣고 환류반응시켰다.In a round bottom flask, 15.1 g (122 mmol) of 4-pyridinyl boronic acid, 26.0 g (102 mmol) of 7-chloro-2-phenyl-1-naphthol prepared in Synthesis Example 9-1) and 28.3 g of potassium carbonate ( 204 mmol), 2.3 g (1.55 mmol) of Pd (PPh 3 ) 4 , 54 ml of water, 140 ml of toluene and 140 ml of tetrahydrofuran were added and refluxed.
상기 반응 종료 후, 층 분리하여 수층은 제거하고 유기층을 감압 농축하여, 컬럼크로마토그래피를 이용하여 생성물 21.7 g(수율 72 %)을 얻었다.After the completion of the reaction, the layers were separated, the aqueous layer was removed, the organic layer was concentrated under reduced pressure, and 21.7 g of a product (yield 72%) was obtained using column chromatography.
합성예 9-3) 2-페닐-7-(4-피리디닐)나프탈렌-1-일 트리플루오로메탄설포네이트의 합성Synthesis Example 9-3) Synthesis of 2-phenyl-7- (4-pyridinyl) naphthalen-1-yl trifluoromethanesulfonate
반응식 9-3)Scheme 9-3)
상기 합성예 1-2-b)에서 사용된 8-아이오도-2-나프톨 대신 상기 합성예 9-2)에서 제조된 2-페닐-7-(4-피리디닐)-1-나프톨을 사용한 것을 제외하고는 동일한 방법을 이용하여 생성물을 얻었다.(21.3 g, 수율 68 %)Using 2-phenyl-7- (4-pyridinyl) -1-naphthol prepared in Synthesis Example 9-2 instead of 8-iodo-2-naphthol used in Synthesis Example 1-2-b) The product was obtained using the same method except for (21.3 g, yield 68%).
합성예 9-4) [화합물 9]의 합성Synthesis Example 9-4) Synthesis of [Compound 9]
상기 합성예 1-3)에서 사용된 8-아이오도나프탈렌-2-일 트리플루오로메탄 설포네이트 대신 상기 합성예 9-3)에서 제조된 2-페닐-7-(4-피리디닐)나프탈렌-1-일 트리플루오로메탄설포네이트를 사용한 것을 제외하고는 동일한 방법을 이용하여 [화합물9]을 합성하였다.(4 g, 수율 55 %)2-phenyl-7- (4-pyridinyl) naphthalene- prepared in Synthesis Example 9-3) instead of 8-iodonaphthalen-2-yl trifluoromethane sulfonate used in Synthesis Example 1-3) [Compound 9] was synthesized using the same method except that 1-yl trifluoromethanesulfonate was used (4 g, 55% yield).
MS(MALDI-TOF): m/z 584 [M]+ . 13C NMR(75MHz, CDCl3) δ: MS (MALDI-TOF): m / z 584 [M] + . 13 C NMR (75 MHz, CDCl 3 ) δ:
119.6,120.6,124.6,125.4,125.6,126.1,126.3,127.2,127.6,127.7,127.9,128.3,128.8,129,129.2,129.6,130.9,131.8,133.1,133.6,134.1,134.2,135.6,136.9,137.6,142,147.2,149.7 [45C]119.6,120.6,124.6,125.4,125.6,126.1,126.3,127.2,127.6,127.7,127.9,128.3,128.8,129,129.2,129.6,130.9,131.8,133.1,133.6,134.1,134.2,135.6,136.9,137.6,142,147.2, 149.7 [45C]
합성예 10. [화합물 10]의 합성Synthesis Example 10 Synthesis of [Compound 10]
합성예 10-1) (10-(나프탈렌-2-일)안트라센-9-일)보론산 의 합성Synthesis Example 10-1) Synthesis of (10- (naphthalen-2-yl) anthracene-9-yl) boronic acid
합성예 10-1-a) 9-(나프탈렌-2-일)안트라센의 합성Synthesis Example 10-1-a) Synthesis of 9- (naphthalen-2-yl) anthracene
둥근바닥 플라스크에 2-나프탈렌 보론산 19.4 g(158 mmol), 9-브로모안트라센 34 g(132 mmol), 탄산칼륨 36.6 g(264 mmol), Pd(PPh3)4 3 g(2 mmol), 물 70 ml, 톨루엔 180 ml 및 테트라하이드로퓨란 180 ml를 넣고 환류반응시켰다.To a round bottom flask was added 2-naphthalene boronic acid 19.4 g (158 mmol), 9- bromo-anthracene 34 g (132 mmol), potassium carbonate 36.6 g (264 mmol), Pd (PPh 3) 4 3 g (2 mmol), 70 ml of water, 180 ml of toluene and 180 ml of tetrahydrofuran were added and refluxed.
상기 반응 종료 후, 층 분리하여 수층은 제거하고 유기층을 감압 농축하여, 컬럼크로마토그래피를 이용하여 9-(나프탈렌-2-일)안트라센 32.9 g(수율 80 %)을 얻었다.After completion of the reaction, the layers were separated, the aqueous layer was removed, the organic layer was concentrated under reduced pressure, and 32.9 g (yield 80%) of 9- (naphthalen-2-yl) anthracene was obtained using column chromatography.
합성예 10-1-b) 9-브로모-10-(나프탈렌-2-일)안트라센의 합성Synthesis Example 10-1-b) Synthesis of 9-bromo-10- (naphthalen-2-yl) anthracene
둥근바닥 플라스크에 상기 합성예 10-1-a)에서 제조된 9-(나프탈렌-2-일)안트라센 32.9 g(0.108 mol), 디클로로메탄 550 ml를 넣고 상온에서 결정을 녹인 후, 0 ℃로 냉각한 후, 브롬 20.2 g(0.126 mol)을 디클로로메탄 100 ml에 희석시켜 천천히 투입하며 반응시켰다. 상기 반응 종료 후 층 분리하여 수층은 제거하고 유기층을 감압 농축하여, 메탄올로 결정을 석출시킨 후 재결정하여 노란색의 9-브로모-10-(나프탈렌-2-일)안트라센 결정 30.6 g(수율 75 %)을 얻었다32.9 g (0.108 mol) of 9- (naphthalen-2-yl) anthracene prepared in Synthesis Example 10-1-a) and 550 ml of dichloromethane were added to a round bottom flask to dissolve the crystals at room temperature, and then cooled to 0 ° C. After that, 20.2 g (0.126 mol) of bromine was diluted in 100 ml of dichloromethane and reacted slowly. After completion of the reaction, the layers were separated, the aqueous layer was removed, the organic layer was concentrated under reduced pressure, crystals were precipitated with methanol and recrystallized to give 30.6 g of yellow 9-bromo-10- (naphthalen-2-yl) anthracene crystal (yield 75%). Got
합성예 10-1-c) (10-(나프탈렌-2-일)안트라센-9-일)보론산의 합성Synthesis Example 10-1-c) Synthesis of (10- (naphthalen-2-yl) anthracene-9-yl) boronic acid
둥근바닥 플라스크에 상기 합성예 10-1-b)에서 제조된 9-브로모-10-(나프탈렌-2-일)안트라센 (30.6 g, 80 mmol)을 THF 220 mL에 녹였다. -78 ℃까지 냉각시킨 상태에서 n-부틸리튬(60 mL)를 천천히 넣어 주었다. 첨가가 끝나면 -78 ℃에서 1 시간 가량 교반 후 트리메틸 보레이트(11.8 g, 112 mmol)을 넣어 주었다. -78 ℃에서 1 시간 교반 후 2 시간 가량 상온에서 교반하고 2 N 염산수용액을 넣어 산성을 맞추었다. EA로 추출 후 용매 제거하면서 헥산으로 결정을 얻어 (10-(나프탈렌-2-일)안트라센-9-일)보론산 21 g(수율 76 %)을 얻었다.In a round bottom flask, 9-bromo-10- (naphthalen-2-yl) anthracene (30.6 g, 80 mmol) prepared in Synthesis Example 10-1-b) was dissolved in 220 mL of THF. N-butyllithium (60 mL) was slowly added while cooling to -78 ° C. After the addition, the mixture was stirred at −78 ° C. for about 1 hour, and trimethyl borate (11.8 g, 112 mmol) was added thereto. After stirring at −78 ° C. for 1 hour, the mixture was stirred at room temperature for about 2 hours, and 2N hydrochloric acid solution was added to adjust acidity. Crystals were extracted with hexane while extraction with EA followed by removal of solvent gave 21 g (yield 76%) of (10- (naphthalen-2-yl) anthracene-9-yl) boronic acid.
합성예 10-2) 3-아이오도나프탈렌-2-일 트리플루오로메탄설포네이트의 합성Synthesis Example 10-2) Synthesis of 3-iodonaphthalen-2-yl trifluoromethanesulfonate
합성예 10-2-a) 3-아이오도-2-나프톨의 합성Synthesis Example 10-2-a) Synthesis of 3-iodo-2-naphthol
반응식 10-2-a)Scheme 10-2-a)
둥근바닥 플라스크에 3-아미노-2-나프톨 100 g (628 mmol)를 아세트산 300 mL 에 녹이고 0도로 냉각하고, 황산 200 mL 를 천천히 적가한다. 적가 완료 후 아질산나트륨 52 g (754 mmol)을 물에 녹여 적가한 후 동일한 온도에서 1시간 동안 교반하고 상온으로 승온 후 얼음과 우레아 3 g 을 넣고 0 ℃로 냉각되면 요오드화칼륨을 물에 녹여 천천히 적가 한다. 적가가 완료 되면 상온에서 교반하고 티오황산나트륨 처리 후 추출하고 농축하고 컬럼 분리하여 3-아이오도-2-나프톨을 얻었다. (105 g, 수율 61.9 %)In a round bottom flask, 100 g (628 mmol) of 3-amino-2-naphthol is dissolved in 300 mL of acetic acid, cooled to 0 ° C., and 200 mL of sulfuric acid is slowly added dropwise. After completion of the dropwise addition, 52 g (754 mmol) of sodium nitrite was added dropwise to water, stirred for 1 hour at the same temperature, and then heated to room temperature. Then, 3 g of ice and urea were added thereto, and cooled to 0 ° C. do. After the addition was completed, the mixture was stirred at room temperature, treated with sodium thiosulfate, extracted, concentrated and separated by column to obtain 3-iodo-2-naphthol. (105 g, 61.9% yield)
합성예 10-2-b) 3-아이오도나프탈렌-2-일 트리플루오로메탄설포네이트의 합성Synthesis Example 10-2-b) Synthesis of 3-iodonaphthalen-2-yl trifluoromethanesulfonate
반응식 10-2-b)Scheme 10-2-b)
둥근바닥플라스크에 상기 합성예 10-2-a에서 얻은 3-아이오도-2-나프톨 19.6 g (73 mmol) 을 넣고 디클로로메탄으로 녹인 다음 피리딘 7 mL (87 mmol) 을 넣고 0 ℃로 냉각한다.19.6 g (73 mmol) of 3-iodo-2-naphthol obtained in Synthesis Example 10-2-a was added to a round bottom flask, and dissolved with dichloromethane. Then, 7 mL (87 mmol) of pyridine was added and cooled to 0 ° C.
트리플로오로메탄설포닉의 무수물 14.7 mL (87 mmol) 을 천천히 적가하고 완료되면 상온으로 승온후 충분히 교반하고 TLC 로 확인후 2 M 염산을 첨가해서 교반하고 추출 후 농축하고 컬럼 분리하여 생성물을 얻었다. (22 g, 수율 75.3 %)Anhydrous 14.7 mL (87 mmol) of trifluoromethanesulphonic acid was slowly added dropwise, and when complete, the reaction mixture was warmed to room temperature and stirred sufficiently. After confirming with TLC, 2 M hydrochloric acid was added, stirred, extracted, concentrated and column separated to obtain a product. (22 g, yield 75.3%)
합성예 10-3) 3-(10-(나프탈렌-2-일)안트라센-9-일)나프탈렌-2-일 트리플루오로 메탄설포네이트의 합성Synthesis Example 10-3) Synthesis of 3- (10- (naphthalen-2-yl) anthracene-9-yl) naphthalen-2-yl trifluoro methanesulfonate
반응식 10-3)Scheme 10-3)
둥근바닥플라스크에 상기 합성예 10-2)에서 제조된 3-아이오도나프탈렌-2-일 트리플루오로메탄설포네이트 22 g (55 mmol), 상기 합성예 10-1)에서 제조된 (10-(나프탈렌-2-일)안트라센-9-일)보론산 20.9g (60mmol) 테트라키스(트리페닐포스핀) 팔라듐(0) 1.27 g, (1 mmol), 탄산칼륨 15.2 g (109 mmol), 테트라하이드로퓨란 110 mL, 톨루엔 110 mL, 물 44 mL를 넣고 환류한다. 반응이 완료되면 반응액을 상온으로 냉각하고 에틸아세테이트/물로 추출하고 유기층을 농축한 뒤 컬럼 분리하여 생성물을 얻었다. (27 g, 수율 86 %)In a round bottom flask, 22 g (55 mmol) of 3-iodonaphthalen-2-yl trifluoromethanesulfonate prepared in Synthesis Example 10-2), (10- ( Naphthalen-2-yl) anthracene-9-yl) boronic acid 20.9 g (60 mmol) tetrakis (triphenylphosphine) palladium (0) 1.27 g, (1 mmol), potassium carbonate 15.2 g (109 mmol), tetrahydro Add 110 mL of furan, 110 mL of toluene, 44 mL of water and reflux. After the reaction was completed, the reaction solution was cooled to room temperature, extracted with ethyl acetate / water, the organic layer was concentrated and column separated to obtain a product. (27 g, yield 86%)
합성예 10-4) [화합물10] 의 합성Synthesis Example 10-4) Synthesis of [Compound 10]
둥근바닥플라스크에 상기 합성예 10-3)에서 제조한 3-(10-(나프탈렌-2-일)안트라센-9-일)나프탈렌-2-일 트리플루오로메탄설포네이트 5.5 g (9 mmol), 2-피리미디닐보론산 1.1 g (9 mmol), 테트라키스(트리페닐포스핀)팔라듐(0) 0.4 g, 포타슘카보네이트 3.3 g, 에탄올 25 mL, 톨루엔 25 mL, 물 10 mL를 넣고 환류한다. 반응이 완료되면 반응액을 상온으로 냉각하고 에틸아세테이트/물로 추출하고 유기층을 농축한 뒤 컬럼 분리하여 [화합물10]을 합성하였다. (2.0 g, 수율 50 %)5.5 g (9 mmol) of 3- (10- (naphthalen-2-yl) anthracene-9-yl) naphthalen-2-yl trifluoromethanesulfonate prepared in Synthesis Example 10-3) in a round bottom flask, 1.1 g (9 mmol) of 2-pyrimidinylboronic acid, 0.4 g of tetrakis (triphenylphosphine) palladium (0), 3.3 g of potassium carbonate, 25 mL of ethanol, 25 mL of toluene, and 10 mL of water are refluxed. When the reaction was completed, the reaction solution was cooled to room temperature, extracted with ethyl acetate / water, the organic layer was concentrated and separated by column to synthesize [Compound 10]. (2.0 g, yield 50%)
MS(MALDI-TOF): m/z 509 [M]+ . 13C NMR(75MHz, CDCl3) δ: MS (MALDI-TOF): m / z 509 [M] + . 13 C NMR (75 MHz, CDCl 3 ) δ:
117.7,125.6,126.1,126.2,126.6,127.7,128.1,128.2,129,130.9,132,132.7,132.8,133.1,134.2,135.2,137.2,156.1,164.2 [38C]117.7,125.6,126.1,126.2,126.6,127.7,128.1,128.2,129,130.9,132,132.7,132.8,133.1,134.2,135.2,137.2,156.1,164.2 [38C]
합성예 11. [화합물 11]의 합성Synthesis Example 11. Synthesis of [Compound 11]
상기 합성예 10-4)에서 사용한 2-피리미디닐보론산 대신 3-피리디닐보론산을 사용한 것을 제외하고는 합성예 10과 동일한 방법을 이용하여 [화합물 11]을 합성하였다. (3.1 g, 수율 48 %)[Compound 11] was synthesized in the same manner as in Synthesis Example 10, except that 3-pyridinylboronic acid was used instead of 2-pyrimidinylboronic acid used in Synthesis Example 10-4). (3.1 g, yield 48%)
MS(MALDI-TOF): m/z 508 [M]+ . 13C NMR(75MHz, CDCl3) δ: MS (MALDI-TOF): m / z 508 [M] + . 13 C NMR (75 MHz, CDCl 3 ) δ:
124,125.6,126.1,126.2,126.6,127.7,128.1,128.2,129,130.9,132,132.7,133,133.1,134,134.2,135.2,135.5,137.2,147.9,148.9 [39C]124,125.6,126.1,126.2,126.6,127.7,128.1,128.2,129,130.9,132,132.7,133,133.1,134,134.2,135.2,135.5,137.2,147.9,148.9 [39C]
합성예 12. [화합물 12]의 합성Synthesis Example 12 Synthesis of [Compound 12]
상기 합성예 10-2-a)에서 사용한 3-아미노-2-나프톨 대신 3-아미노-1-나프톨을 사용한 것을 제외하고는 합성예 10-2)와 동일한 방법을 이용하였고, 상기 합성예 10-4)에서 사용한 2-피리미디닐보론산 대신 6-퀴녹살린보론산을 사용한 것을 제외하고는 합성예 10과 동일한 방법을 이용하여 [화합물 12]을 합성하였다. (3.1 g, 수율 55 %)The same method as in Synthesis Example 10-2) was used except that 3-amino-1-naphthol was used instead of 3-amino-2-naphthol used in Synthesis Example 10-2-a). [Compound 12] was synthesized in the same manner as in Synthesis Example 10, except that 6-quinoxalineboronic acid was used instead of 2-pyrimidinylboronic acid used in 4). (3.1 g, yield 55%)
MS(MALDI-TOF): m/z 559 [M]+ . 13C NMR(75MHz, CDCl3) δ: MS (MALDI-TOF): m / z 559 [M] + . 13 C NMR (75 MHz, CDCl 3 ) δ:
125.3,125.6,126.1,126.2,126.3,127.1,127.7,127.9,128.1,128.2,128.3,130.9,132,132.7,133.1,134.2,134.6,134.7,134.9,137,137.2,139.7,141.1,142.7,144.8 [42C]125.3,125.6,126.1,126.2,126.3,127.1,127.7,127.9,128.1,128.2,128.3,130.9,132,132.7,133.1,134.2,134.6,134.7,134.9,137,137.2,139.7,141.1,142.7,144.8 [42C]
합성예 13. [화합물 13]의 합성Synthesis Example 13. Synthesis of [Compound 13]
상기 합성예 10-2-a)에서 사용한 3-아미노-2-나프톨 대신 6-아미노-1-나프톨을 사용한 것을 제외하고는 합성예 10-2)와 동일한 방법을 이용하였고, 상기 합성예 10-4)에서 사용한 2-피리미디닐보론산 대신 8-퀴놀리닐보론산을 사용한 것을 제외하고는 동일한 방법을 이용하여 [화합물 13]을 합성하였다. (2.6 g, 수율 42 %)The same method as in Synthesis Example 10-2) was used except that 6-amino-1-naphthol was used instead of 3-amino-2-naphthol used in Synthesis Example 10-2-a). [Compound 13] was synthesized in the same manner except that 8-quinolinylboronic acid was used instead of 2-pyrimidinylboronic acid used in 4). (2.6 g, yield 42%)
MS(MALDI-TOF): m/z 558 [M]+ . 13C NMR(75MHz, CDCl3) δ: MS (MALDI-TOF): m / z 558 [M] + . 13 C NMR (75 MHz, CDCl 3 ) δ:
121.5,124.5,125.1,125.4,125.6,126.1,126.2,127.2,127.5,127.7,127.8,128.1,128.2,130.9,132,132.7,132.8,133.1,134.1,134.2,134.7,136.3,136.4,136.7,137.2,138.1,146.5,149.9 [43C]121.5,124.5,125.1,125.4,125.6,126.1,126.2,127.2,127.5,127.7,127.8,128.1,128.2,130.9,132,132.7,132.8,133.1,134.1,134.2,134.7,136.3,136.4,136.7,137.2,138.1, 146.5,149.9 [43C]
합성예 14. [화합물 14]의 합성Synthesis Example 14 Synthesis of [Compound 14]
상기 합성예 10-1-a)에서 사용한 2-나프탈렌 보론산 대신 (6-메틸나프탈렌-2-일) 보론산을 사용한 것을 제외하고는 합성예 10-1)과 동일한 방법을 이용하였고, 상기 합성예 10-2-a)에서 사용한 3-아미노-2-나프톨 대신 6-아미노-2-나프톨을 사용한 것을 제외하고는 합성예 10-2)와 동일한 방법을 이용하였고, 상기 합성예 10-4)에서 사용한 2-피리미디닐보론산 대신 (1,10-페난트롤린-5-일)보론산을 사용한 것을 제외하고는 동일한 방법을 이용하여 [화합물 14]을 합성하였다. (3.2 g, 수율 43 %)The same method as in Synthesis Example 10-1) was used except that (6-methylnaphthalen-2-yl) boronic acid was used instead of 2-naphthalene boronic acid used in Synthesis Example 10-1-a). Synthesis Example 10-4) was used, except that 6-amino-2-naphthol was used instead of 3-amino-2-naphthol used in Example 10-2-a). [Compound 14] was synthesized in the same manner except that (1,10-phenanthroline-5-yl) boronic acid was used instead of 2-pyrimidinylboronic acid used in. (3.2 g, yield 43%)
MS(MALDI-TOF): m/z 623 [M]+ . 13C NMR(75MHz, CDCl3) δ: MS (MALDI-TOF): m / z 623 [M] + . 13 C NMR (75 MHz, CDCl 3 ) δ:
21.5,121.5,123.5,125.6,126.1,126.3,127,127.3,128,128.2,130.3,130.9,131.1,131.3,131.9,132.6,132.9,133.1,134.2,135.3,135.7,136.4,137,137.2,137.5,149.9,154.6 [47C]21.5,121.5,123.5,125.6,126.1,126.3,127,127.3,128,128.2,130.3,130.9,131.1,131.3,131.9,132.6,132.9,133.1,134.2,135.3,135.7,136.4,137,137.2,137.5,149.9,154.6 [47C]
합성예 15. [화합물 15]의 합성Synthesis Example 15 Synthesis of [Compound 15]
합성예 15-1) 5-브로모-1,2-디페닐-1H-벤즈이미다졸의 합성Synthesis Example 15-1) Synthesis of 5-bromo-1,2-diphenyl-1H-benzimidazole
4-메틸벤젠설폰산(3.1 g, 16 mmol)을 N1-벤질-4-브로모벤젠-1,2-디아민(45 g, 160 mmol)과 디클로로메탄 500 mL 및 트리메틸오르토벤조에이트 30 mL 를 혼합한 용액에 첨가하고 질소하에 실온에서 40시간정도 반응한다. 반응 완료 후 유기층을 감압농축하고 40 % 메탄올/물과 탄산수소나트륨/물로 씻어주고 건조하여 생성물을 얻었다.(22.3 g, 수율 40 %)4-methylbenzenesulfonic acid (3.1 g, 16 mmol) was added N 1 -benzyl-4-bromobenzene-1,2-diamine (45 g, 160 mmol), 500 mL of dichloromethane and 30 mL of trimethylorthobenzoate. It is added to the mixed solution and reacted for about 40 hours at room temperature under nitrogen. After completion of the reaction, the organic layer was concentrated under reduced pressure, washed with 40% methanol / water and sodium hydrogencarbonate / water, and dried to obtain a product (22.3 g, yield 40%).
합성예 15-2) (1,2-디페닐-1H-벤조[d]이미다졸-5-일)보론산의 합성Synthesis Example 15-2) Synthesis of (1,2-diphenyl-1H-benzo [d] imidazol-5-yl) boronic acid
상기 합성예 10-1-c)에서 사용한 9-브로모-10-(나프탈렌-2-일)안트라센 대신 상기 합성예 15-1)에서 제조된 5-브로모-1,2-디페닐-1H-벤즈이미다졸을 사용한 것을 제외하고는 동일한 방법을 이용하여 생성물을 얻었다.(6.8 g, 수율 37 %)5-Bromo-1,2-diphenyl-1H prepared in Synthesis Example 15-1 instead of 9-bromo-10- (naphthalen-2-yl) anthracene used in Synthesis Example 10-1-c) The product was obtained using the same method except that benzimidazole was used (6.8 g, 37% yield).
합성예 15-3) [화합물 15]의 합성Synthesis Example 15-3) Synthesis of [Compound 15]
상기 합성예 10-2-a)에서 사용한 3-아미노-2-나프톨 대신 7-아미노-2-나프톨을 사용한 것을 제외하고는 합성예 10-2)와 동일한 방법을 이용하였고, 상기 합성예 10-4)에서 사용한 2-피리미디닐보론산 대신 상기 합성예 15-2)에서 제조한 (1,2-디페닐-1H-벤조[d]이미다졸-5-일)보론산을 사용한 것을 제외하고는 상기 합성예 10과 동일한 방법을 이용하여 [화합물 15]을 합성하였다. (2.4g, 수율 47%)The same method as in Synthesis Example 10-2) was used except that 7-amino-2-naphthol was used instead of 3-amino-2-naphthol used in Synthesis Example 10-2-a). Except for using (1,2-diphenyl-1H-benzo [d] imidazol-5-yl) boronic acid prepared in Synthesis Example 15-2 instead of 2-pyrimidinylboronic acid used in 4). Synthesized [Compound 15] using the same method as in Synthesis Example 10. (2.4g, 47% yield)
MS(MALDI-TOF): m/z 699 [M]+ . 13C NMR(75MHz, CDCl3) δ: MS (MALDI-TOF): m / z 699 [M] + . 13 C NMR (75 MHz, CDCl 3 ) δ:
114.6,115.7,122.1,122.9,125.6,126.1,126.2,127.5,127.7,128.1,128.2,129.2,129.6,130.9,131,131.1,131.6,132.7,133,133.1,134,134.2,134.8,137.2,138.2,139.4,143.2,149.4 [53C]114.6,115.7,122.1,122.9,125.6,126.1,126.2,127.5,127.7,128.1,128.2,129.2,129.6,130.9,131,131.1,131.6,132.7,133,133.1,134,134.2,134.8,137.2,138.2,139.4,143.2,149.4 [ 53C]
합성예 16. [화합물 16]의 합성Synthesis Example 16 Synthesis of [Compound 16]
합성예 16-1. 2,6-다이알킬 치환된 10-(나프탈렌-2-일)안트라센-9-일 보론산의 합성Synthesis Example 16-1. Synthesis of 2,6-dialkyl substituted 10- (naphthalen-2-yl) anthracene-9-yl boronic acid
합성예 16-1-a) 2,6-다이알킬 치환된 안트라센 유도체의 합성Synthesis Example 16-1-a) Synthesis of 2,6-dialkyl Substituted Anthracene Derivative
2-메틸-2-헥산올 (35 g, 300 mmol) 및 안트라센 (18.4 g, 100 mmol)을 50 mL 트리플루오로아세트산에 첨가하고 질소하에 24시간 동안 환류시켰다. 반응이 종료되면 실온으로 냉각하고, 디클로로메탄으로 추출하였다. 유기층을 감압 농축하면서 생성된 고체를 여과한 후, 컬럼크로마토그래피로 분리한다. 메탄올로 재결정하여 생성물을 얻었다. (6 g, 수율 16 %)을 얻었다.2-methyl-2-hexanol (35 g, 300 mmol) and anthracene (18.4 g, 100 mmol) were added to 50 mL trifluoroacetic acid and refluxed under nitrogen for 24 hours. After the reaction was completed, the reaction mixture was cooled to room temperature and extracted with dichloromethane. The resulting solid is filtered while concentrating the organic layer under reduced pressure, and then separated by column chromatography. Recrystallization with methanol gave the product. (6 g, yield 16%) was obtained.
합성예 16-1-b) 2,6-다이알킬 치환된 9,10-다이브로모안트라센의 합성Synthesis Example 16-1-b) Synthesis of 2,6-dialkyl substituted 9,10-dibromoanthracene
상기 합성예 16-1-a에서 합성된 2,6-다이알킬 치환된 안트라센 (6 g, 16 mmol)를 100 mL 디클로로에탄에 넣고, 4시간 동안 실온에서 교반하면서 브롬 (2.1 mL, 40 mmol)을 적가하였다. 이것을 물에 붓고 황산나트륨을 첨가하여 잔류 브롬을 소모시켰다. 이어서, 이것을 디클로로메탄으로 추출하고 유기층을 황산마그네슘으로 건조하였다. 생성된 물질을 디클로로메탄 용리액을 사용하여 알루미나 컬럼에 통과시키고, 이어서 증발시키고, 메탄올을 첨가하여 연노란색 고체를 침전시켜서 생성물을 약 7.2 g 얻었다.2,6-dialkyl substituted anthracene (6 g, 16 mmol) synthesized in Synthesis Example 16-1-a was added to 100 mL dichloroethane and bromine (2.1 mL, 40 mmol) while stirring at room temperature for 4 hours. Was added drop wise. It was poured into water and sodium sulfate was added to consume residual bromine. Then it was extracted with dichloromethane and the organic layer was dried over magnesium sulfate. The resulting material was passed through an alumina column using dichloromethane eluent, then evaporated, and methanol was added to precipitate a pale yellow solid, yielding about 7.2 g of product.
합성예 16-1-c) 2,6-다이알킬 치환된 9-브로모-10-(나프탈렌-2-일)안트라센의 합성Synthesis Example 16-1-c) Synthesis of 2,6-dialkyl substituted 9-bromo-10- (naphthalen-2-yl) anthracene
둥근바닥 플라스크에 상기 합성예 16-1-b)에서 제조된 2,6-다이알킬 치환된 9,10-다이브로모안트라센 7.2 g(13 mmol), 2-나프탈렌 보론산 2.2 g(13 mmol), 탄산칼륨 3.7 g(27 mmol), Pd(PPh3)4 0.3 g(3 mmol), 물 15 ml, 톨루엔 40 ml 및 테트라하이드로퓨란 40 ml를 넣고 환류반응시켰다.In a round bottom flask, 7.2 g (13 mmol) of 2,6-dialkyl substituted 9,10-dibromoanthracene prepared in Synthesis Example 16-1-b), 2.2 g (13 mmol) of 2-naphthalene boronic acid, 3.7 g (27 mmol) of potassium carbonate, 0.3 g (3 mmol) of Pd (PPh 3 ) 4 , 15 ml of water, 40 ml of toluene and 40 ml of tetrahydrofuran were added and refluxed.
상기 반응 종료 후, 층 분리하여 수층은 제거하고 유기층을 감압 농축하여, 톨루엔 헥산으로 재결정하여 생성물을 얻었다. (5.3 g, 수율 71 %)을 얻었다.After completion of the reaction, the layers were separated, the aqueous layer was removed, the organic layer was concentrated under reduced pressure, and recrystallized with toluene hexane to obtain a product. (5.3 g, yield 71%) was obtained.
합성예 16-1-d) 2,6-다이알킬 치환된 10-(나프탈렌-2-일)안트라센-9-일 보론산의 합성Synthesis Example 16-1-d) Synthesis of 2,6-dialkyl substituted 10- (naphthalen-2-yl) anthracene-9-yl boronic acid
상기 합성예 10-1-c)에서 사용된 9-브로모-10-(나프탈렌-2-일)안트라센 대신 상기 합성예 16-1-c)에서 제조된 2,6-다이알킬 치환된 9-브로모-10-(나프탈렌-2-일)안트라센을 사용한 것을 제외하고는 동일한 방법을 이용하여 보론산을 합성하였다.2,6-dialkyl substituted 9- as prepared in Synthesis Example 16-1-c instead of 9-bromo-10- (naphthalen-2-yl) anthracene used in Synthesis Example 10-1-c) Boronic acid was synthesized using the same method except that bromo-10- (naphthalen-2-yl) anthracene was used.
합성예 16-2) 2-메틸-2H-1,2,3-벤조트리아졸-5-보론산의 합성Synthesis Example 16-2) Synthesis of 2-methyl-2H-1,2,3-benzotriazole-5-boronic acid
반응식 16-2)Scheme 16-2)
둥근 바닥 플라스크에 5-브로모-2-메틸-2H-1,2,3-벤조트리아졸 (8.5 g, 40 mmol)을 THF 650 mL에 녹였다. -78 ℃까지 냉각시킨 상태에서 n-BuLi(30 mL)를 천천히 넣어 주었다. 첨가가 끝나면 -78 ℃에서 1 시간 가량 교반 후 트리메틸 보레이트(5.9 g, 56 mmol)을 넣어 주었다. -78 ℃에서 1 시간 교반 후 2 시간 가량 상온에서 교반하고 2 N HCl을 넣어 산성을 맞추었다. EA로 추출 후 용매 제거하면서 헥산으로 결정을 얻어 생성물을 얻었다. (5.5 g, 수율 78 %)In a round bottom flask 5-bromo-2-methyl-2H-1,2,3-benzotriazole (8.5 g, 40 mmol) was dissolved in 650 mL of THF. N-BuLi (30 mL) was added slowly while cooling to -78 ° C. After the addition, the mixture was stirred at −78 ° C. for about 1 hour, and trimethyl borate (5.9 g, 56 mmol) was added thereto. After stirring at −78 ° C. for 1 hour, the mixture was stirred at room temperature for about 2 hours, and 2 N HCl was added to adjust acidity. After extraction with EA, the solvent was removed, and crystals were obtained with hexane to obtain a product. (5.5 g, yield 78%)
합성예 16-3)[화합물 16]의 합성Synthesis Example 16-3) Synthesis of [Compound 16]
상기 합성예 10-2-a)에서 사용한 3-아미노-2-나프톨 대신 7-아미노-1-나프톨을 사용한 것을 제외하고는 합성예 10-2)와 동일한 방법을 이용하였고, 상기 합성예 10-3)에서 사용한 (10-(나프탈렌-2-일)안트라센-9-일)보론산 대신 상기 합성예 16-1)에서 제조한 (2,6-비스(2-메틸헥산-2-일)-10-(나프탈렌-2-일)안트라센-9-일)보론산을 사용하고, 상기 합성예 10-4)에서 사용한 2-피리미디닐보론산 대신 합성예 16-2)에서 제조한 2-메틸-2H-1,2,3-벤조트리아졸-5-보론산 을 사용한 것을 제외하고는 합성예 10과 동일한 방법을 이용하여 [화합물 16]을 합성하였다. (3.2 g, 수율 47 %)The same method as in Synthesis Example 10-2) was used except that 7-amino-1-naphthol was used instead of 3-amino-2-naphthol used in Synthesis Example 10-2-a). (2,6-bis (2-methylhexane-2-yl)-produced in Synthesis Example 16-1 instead of (10- (naphthalen-2-yl) anthracene-9-yl) boronic acid used in 3) 2-methyl prepared in Synthesis Example 16-2 using 10- (naphthalen-2-yl) anthracene-9-yl) boronic acid and replacing 2-pyrimidinylboronic acid used in Synthesis Example 10-4) above [Compound 16] was synthesized in the same manner as in Synthesis Example 10 except for using -2H-1,2,3-benzotriazole-5-boronic acid. (3.2 g, yield 47%)
MS(MALDI-TOF): m/z 758 [M]+ . 13C NMR(75MHz, CDCl3) δ: MS (MALDI-TOF): m / z 758 [M] + . 13 C NMR (75 MHz, CDCl 3 ) δ:
14.1,23.3,26.4,29.1,38,43.9,44.4,120.1,122.3,124.7,125.1,125.4,126.1,126.2,127.2,127.4,127.7,127.9,128.1,128.2,128.8,130.1,131,131.6,132.7,133.1,133.6,134.1,134.2,136.5,136.6,136.7,138.1,144.3,145.5,147.3 [55C]14.1,23.3,26.4,29.1,38,43.9,44.4,120.1,122.3,124.7,125.1,125.4,126.1,126.2,127.2,127.4,127.7,127.9,128.1,128.2,128.8,130.1,131,131.6,132.7,133.1, 133.6,134.1,134.2,136.5,136.6,136.7,138.1,144.3,145.5,147.3 [55C]
합성예 17. [화합물 17]의 합성Synthesis Example 17 Synthesis of [Compound 17]
상기 합성예 10-2-a)에서 사용한 3-아미노-2-나프톨 대신 2-아미노-1-나프톨을 사용한 것을 제외하고는 합성예 10-2)와 동일한 방법을 이용하였고, 상기 합성예 10-4)에서 사용한 2-피리미디닐보론산 대신 (1H-1,2,4-트리아졸-1-일)보론산을 사용한 것을 제외하고는 동일한 방법을 이용하여 [화합물 17]을 합성하였다. (2.6 g, 수율 41 %)The same method as in Synthesis Example 10-2) was used except that 2-amino-1-naphthol was used instead of 3-amino-2-naphthol used in Synthesis Example 10-2-a). [Compound 17] was synthesized in the same manner except that (1H-1,2,4-triazol-1-yl) boronic acid was used instead of 2-pyrimidinylboronic acid used in 4). (2.6 g, yield 41%)
MS(MALDI-TOF): m/z 498 [M]+ . 13C NMR(75MHz, CDCl3) δ: MS (MALDI-TOF): m / z 498 [M] + . 13 C NMR (75 MHz, CDCl 3 ) δ:
123.4,125.1,125.6,126.1,126.2,126.3,126.7,127.7,128.1,128.2,128.3,128.8,129,130.9,132.6,132.7,133.1,134.2,137.2,138.6,138.7,143.3,153.6 [36C]123.4,125.1,125.6,126.1,126.2,126.3,126.7,127.7,128.1,128.2,128.3,128.8,129,130.9,132.6,132.7,133.1,134.2,137.2,138.6,138.7,143.3,153.6 [36C]
합성예 18. [화합물 18]의 합성Synthesis Example 18 Synthesis of [Compound 18]
상기 합성예 10-2-a)에서 3-아미노-2-나프톨 대신 6-아미노-1,2-나프탈렌디올을 사용한 것을 제외하고는 상기 합성예 10-2)와 동일한 방법을 이용하였고, 상기 합성예 10-4)에서 2-피리미디닐보론산 대신 (1,3,4-옥사디아졸-2-일)보론산을 사용한 것을 제외하고는 상기 합성예 10과 동일한 방법을 이용하여 [화합물 18]을 합성하였다. (2.6 g, 수율 46 %)The same method as in Synthesis Example 10-2) was used except that 6-amino-1,2-naphthalenediol was used instead of 3-amino-2-naphthol in Synthesis Example 10-2-a). Except for using (1,3,4-oxadiazol-2-yl) boronic acid instead of 2-pyrimidinylboronic acid in Example 10-4) using the same method as in Synthesis Example 10 [Compound 18 ] Was synthesized. (2.6 g, yield 46%)
MS(MALDI-TOF): m/z 567 [M]+ . 13C NMR(75MHz, CDCl3) δ: MS (MALDI-TOF): m / z 567 [M] + . 13 C NMR (75 MHz, CDCl 3 ) δ:
125.1,125.2,125.6,126.1,126.2,127.7,128.1,128.2,128.8,130.9,132.1,132.4,132.7,132.8,133.1,134.1,134.2,134.5,134.7,137.2,138.1,153.3,164.5 [38C]125.1,125.2,125.6,126.1,126.2,127.7,128.1,128.2,128.8,130.9,132.1,132.4,132.7,132.8,133.1,134.1,134.2,134.5,134.7,137.2,138.1,153.3,164.5 [38C]
실시예 1 내지 18Examples 1 to 18
유기 발광다이오드의 제조Fabrication of Organic Light Emitting Diode
ITO 글래스의 발광 면적이 2 mm × 2 mm 크기가 되도록 패터닝한 후 세정하였다. 기판을 진공 챔버에 장착한 후 베이스 압력이 1×10-7 torr가 되도록 한 후 유기물을 상기 ITO위에 DNTPD(700 Å), NPD(300 Å), [화학식4](95 wt%) + [화학식5](5 wt%)(250 Å), 본 발명에 의해 제조된 [화합물1] 내지 [화합물18] 에서 선택하여 순차적으로 성막(300 Å)한 다음, LiF(10 Å), Al(1,000 Å)의 순서로 성막하였으며, 0.4 mA에서 측정을 하였다.The light emitting area of the ITO glass was patterned to have a size of 2 mm × 2 mm and then washed. After mounting the substrate in the vacuum chamber, the base pressure is 1 × 10 -7 torr and the organic material is placed on the ITO DNTPD (700 kPa), NPD (300 kPa), [Formula 4] (95 wt%) + 5] (5 wt%) (250 mW), [Formula 1] to [Compound 18] prepared according to the present invention, and film formation were carried out sequentially (300 mV), followed by LiF (10 mV), Al (1,000 mV). Was formed in the order of), and measured at 0.4 mA.
상기 [화학식4] 및 [화학식5]와 [화합물1] 내지 [화합물18]의 구조는 다음과 같다.The structures of [Formula 4] and [Formula 5] and [Compound 1] to [Compound 18] are as follows.
[화학식4] [화학식5][Formula 4] [Formula 5]
[화합물1] [화합물2] [화합물3] [Compound 1] [Compound 2] [Compound 3]
[화합물4] [화합물5] [화합물6][Compound 4] [Compound 5] [Compound 6]
[화합물7] [화합물8] [화합물9][Compound 7] [Compound 8] [Compound 9]
[화합물10] [화합물11] [화합물12] [Compound 10] [Compound 11] [Compound 12]
[화합물13] [화합물14] [화합물15][Compound 13] [Compound 14] [Compound 15]
[화합물16] [화합물17] [화합물18][Compound 16] [Compound 17] [Compound 18]
실시예 19Example 19
상기 실시예 5와 동일하게 제조하고, 다만, 전자수송층에서 본 발명에 의해 제조된 [화합물5]와 종래 사용되는 전자수송층 재료에 해당하는 상기 Liq(Lithium 8-hydroxy quinolate) 를 중량%비로 50:50 혼합하여 사용하였다.In the same manner as in Example 5, except that Liq (Lithium 8-hydroxy quinolate) corresponding to [Compound 5] prepared by the present invention in the electron transport layer and a conventionally used electron transport layer material in a weight% ratio of 50: 50 mixtures were used.
[Liq][Liq]
실시예 20 Example 20
상기 실시예 5와 동일하게 제조하고, 다만, 발광층에서 사용된 [화학식5] 대신 하기 [화학식6]을 사용하였다.Prepared in the same manner as in Example 5, except that [Formula 6] was used instead of [Formula 5] used in the light emitting layer.
[화학식6][Formula 6]
실시예 21Example 21
상기 실시예 5와 동일하게 제조하고, 다만, 발광층에서 사용된 [화학식5] 대신 하기 [화학식7]을 사용하였다.Prepared in the same manner as in Example 5, except that [Formula 7] was used instead of [Formula 5] used in the light emitting layer.
[화학식7][Formula 7]
비교예Comparative example
비교예를 위한 유기발광 소자는 상기 실시예 1 내지 21의 소자구조에서 전자수송층에 본 발명에 의해 제조된 안트라센 화합물 대신 Alq3를 사용한 점을 제외하고 동일하게 제작하였다.The organic light emitting device for the comparative example was manufactured in the same manner except for using Alq 3 instead of the anthracene compound prepared by the present invention in the electron transport layer in the device structure of Examples 1 to 21.
[Alq3][Alq 3 ]
상기 [표 1]에서 보는 바와 같이, 본 발명에 따른 안트라센 유도체 화합물을 전자수송층에 포함한 유기발광소자의 경우 전자수송층 재료로 많이 쓰이는 Alq3를 채용한 유기발광소자에 비하여 향상된 전자수송 능력에 의해서 저전압 구동이 가능하고, 발광효율이 우수하여 유기 발광 소자에 활용할 수 있다.As shown in Table 1, the organic light emitting device including the anthracene derivative compound according to the present invention in the electron transport layer has a low voltage due to improved electron transport capability compared to the organic light emitting device employing Alq 3 which is used as a material for the electron transport layer. It can be driven and has excellent luminous efficiency, so it can be utilized in organic light emitting devices.
10 : 기판 20 : 애노드
30 : 정공주입층 40 : 정공수송층
50 : 유기발광층 60 : 전자수송층
70 : 전자주입층 80 : 캐소드10: substrate 20: anode
30: hole injection layer 40: hole transport layer
50: organic light emitting layer 60: electron transport layer
70: electron injection layer 80: cathode
Claims (14)
상기 제 1 전극에 대향된 제 2 전극; 및
상기 제1 전극과 상기 제 2 전극 사이에 개재되는 유기층;을 포함하고, 상기 유기층이 전자수송층과 발광층을 포함하며,
상기 전자 수송층은 하기 [화학식 A] 또는 [화학식 B]로 표시되는, 안트라센 유도체 중에서 1 종 이상과 하기 화학식 C로 표시되는 화합물이 혼합되어 사용되되, 혼합비가 중량%로서 10:90 내지 90:10의 범위인 것을 특징으로 하는 유기발광소자.
[화학식 A] [화학식 B]
상기 [화학식 A] 및 [화학식 B] 에서,
상기 Y는 동일하거나 상이하며 서로 독 립적으로 수소, 중수소, 치환 또는 비치환된 탄소수 1 내지 30의 알 킬기, 치환 또는 비치환된 탄소수 6 내지 50의 아릴기, 치환 또는 비치환된 탄소 수 1 내지 30의 실릴기 중에서 선택되는 어느 하나이고;
Z는 동일하거나 상이하며, 각각 독립적으로 수소, 중수소, 치환 또는 비치환된 탄소수 1 내지 30의 알킬기, 치환 또는 비치환된 탄소수 5 내지 50의 아릴기, 치환 또는 비치환된 탄소수 1 내지 30의 실릴기 중에서 선택되는 어느 하나이며;
m 및 m'는 1 내지 8의 정수이며;
상기 나프틸기 또는 안트라세닐기의 방향족고리의 탄소에 치환기 Y 및 Z가 결합되지 않은 경우에는 수소가 결합되어 있고;
상기 X1 내지 X7은 각각 서로 동일하거나 상이하고, 독립적으로 수소, 중수소, 치환 또는 비치환된 탄소수 1 내지 30의 알킬기, 치환 또는 비치환된 탄소수 5 내지 50의 아릴기, 치환 또는 비치환된 탄소수 3 내지 30의 시클로알킬기, 치환 또는 비치 환되고 이종 원자로 O, N 또는 S를 갖는 탄소수 2 내지 50의 헤테로아릴기, 시아노 기, 니트로기, 할로겐기중에서 선택되는 어느 하나이고, 서로 인접하는 기와 지방 족, 방향족, 또는 지방족헤테로의 축합 고리를 형성할 수 있으며;
상기 X1 내지 X7중 하나 또는 두 개 는 질소원자를 포함하되, 피리딘기를 포함하지 않는 탄소수 2 내지 20의 헤테로아릴기이고;
[화학식 C]
상기 [화학식 C]에서,
상기 M은 알카리 금속, 알카리 토금속, 알루미늄(Al) 또는 붕소(B)원자이고, 상기 OA는 상기 M과 단일결합 또는 배위결합 가능한 1가의 리간드로서,
상기 O는 산소이며,
A는 치 환 또는 비치환된 탄소수 1 내지 30의 알킬기, 치환 또는 비치환된 탄 소수 5 내지 50의 아릴기, 치환 또는 비치환된 탄소수 3 내지30 의 시클로알킬기 및 치환 또는 비치환되고 이종 원자로 O, N 또는 S를 갖는 탄소수 2 내지 50의 헤테로아릴기 중에서 선택되는 어느 하나이고,
상기 M이 알카리 금속에서 선택되는 하나의 금속인 경우에는 m=1, n=0이고,
상기 M이 알카리 토금속에서 선택되는 하나의 금속인 경우에는 m=1, n=1이거 나, 또는 m=2, n=0이고,
상기 M이 붕소 또는 알루미늄인 경우에는 m = 1 내지 3중 어느 하나이며, n 은 0 내지 2 중 어느 하나로서 m +n=3을 만족하며;
Y 는 각각 동일하거나 상이하며, 서로 독립적으로 하 기 [구조식 C1] 내지 [구조식 C39]부터 선택되는 어느 하나이다.
[구조식 C1] [구조식 C2] [구조식 C3]
[구조식 C4] [구조식 C5] [구조식 C6]
[구조식 C7] [구조식 C8] [구조식 C9] [구조식 C10]
[구조식 C11] [구조식 C12] [구조식 C13]
[구조식 C14] [구조식 C15] [구조식 C16]
[구조식 C17] [구조식 C18] [구조식 C19] [구조식 C20]
[구조식 C21] [구조식 C22] [구조식 C23]
[구조식 C24] [구조식 C25] [구조식 C26]
[구조식 C2 7] [구조식 C28] [구조식 C29] [구조식 C30]
[구조식 C31] [구조식 C32] [구조식 C33]
[구조식 C34] [구조식 C35 ] [구조식 C36]
[구조식 C37] [구조식 C38] [구조식 C39]
상기 [구조식 C1] 내지 [구조식 C39]에서,
R은 서로 동일하거나 상이하며, 각각 독립적으 로 수소, 중수소, 할로겐, 시아노기, 치환 또는 비치환된 탄소수 1 내지 30의 알킬기, 치환 또는 비치환된 탄소수 6 내지 30의 아릴기, 치환 또는 비치환된 탄소수 3 내지 30의 헤테로아릴기, 치환 또는 비 치환된 탄소수 1 내지 30의 알콕시기, 치환 또는 비치환된 탄소수 3 내 지 30의 시클로알킬기, 치환 또는 비치환된 탄소수 1 내지 30이 알킬실릴기 및 치환 또는 비치환된 탄소수 6 내지 30의 아릴실릴기 중에서 선택되는 어느 하나이고, 인접한 치환체와 알킬렌 또는 알케닐렌으로 연결되어 스피로고리 또는 융합고리를 형 성할 수 있으며,
상기 '치환 또는 비치환된'에서의 '치환'은 중수소, 시아노기, 할로겐기, 니트로기, 탄소수 1 내지 24의 알킬기, 탄소수 1 내지 24의 할로겐화된 알킬기, 탄소수 6 내지 24의 아릴기, 탄소수 6 내지 24의 아릴알킬기, 탄소수 2 내지 24의 헤테로아릴기, 탄소수 2 내지 24의 헤테로아릴알킬기, 탄소수 1 내지 24의 알킬실릴기, 탄소수 1 내지 24의 아릴실릴기로 이루어진 군에서 선택된 1개 이상의 치환기로 치환되는 것을 의미한다.A first electrode;
A second electrode opposed to the first electrode; And
An organic layer interposed between the first electrode and the second electrode, wherein the organic layer includes an electron transport layer and a light emitting layer,
The electron transport layer may be used by mixing one or more of the anthracene derivatives represented by the following [Formula A] or [Formula B] and the compound represented by the following Formula C, the mixing ratio of 10:90 to 90:10 An organic light emitting device characterized in that the range.
[Formula A] [Formula B]
In [Formula A] and [Formula B],
Y is the same or different and independently from each other hydrogen, deuterium, a substituted or unsubstituted alkyl group having 1 to 30 carbon atoms, a substituted or unsubstituted aryl group having 6 to 50 carbon atoms, a substituted or unsubstituted carbon number 1 to Any one selected from 30 silyl groups;
Z is the same or different and each independently hydrogen, deuterium, a substituted or unsubstituted alkyl group having 1 to 30 carbon atoms, a substituted or unsubstituted aryl group having 5 to 50 carbon atoms, a substituted or unsubstituted silyl having 1 to 30 carbon atoms Any one selected from the group;
m and m 'are integers from 1 to 8;
When substituents Y and Z are not bonded to carbon of the aromatic ring of the naphthyl group or anthracenyl group, hydrogen is bonded;
X 1 to X 7 are the same as or different from each other, and independently hydrogen, deuterium, a substituted or unsubstituted alkyl group having 1 to 30 carbon atoms, a substituted or unsubstituted aryl group having 5 to 50 carbon atoms, substituted or unsubstituted A cycloalkyl group having 3 to 30 carbon atoms, a substituted or unsubstituted heteroaryl group having 2 to 50 carbon atoms having O, N, or S as a hetero atom, a cyano group, a nitro group, or a halogen group, which is adjacent to each other Can form a condensed ring of groups with aliphatic, aromatic, or aliphatic hetero;
One or two of X 1 to X 7 is a heteroaryl group having 2 to 20 carbon atoms that includes a nitrogen atom but does not include a pyridine group;
[Formula C]
In [Formula C],
M is an alkali metal, alkaline earth metal, aluminum (Al) or boron (B) atom, the OA is a monovalent ligand capable of single bond or coordination with the M,
O is oxygen,
A is a substituted or unsubstituted alkyl group having 1 to 30 carbon atoms, a substituted or unsubstituted aryl group having 5 to 50 carbon atoms, a substituted or unsubstituted cycloalkyl group having 3 to 30 carbon atoms and a substituted or unsubstituted hetero atom O , Heteroaryl group having 2 to 50 carbon atoms with N or S Any one selected from,
When M is one metal selected from alkali metals, m = 1, n = 0,
When M is one metal selected from alkaline earth metals, m = 1, n = 1, or m = 2, n = 0,
When M is boron or aluminum, any one of m = 1 to 3, and n is any one of 0-2 to satisfy m + n = 3;
Y is the same as or different from each other, and independently of each other is any one selected from [formula C1] to [formula C39].
[Structure C1] [Structure C2] [Structure C3]
[Structure C4] [Structure C5] [Structure C6]
[Structure C7] [Structure C8] [Structure C9] [Structure C10]
[Formula C11] [Formula C12] [Formula C13]
[Formula C14] [Formula C15] [Formula C16]
[Structure C17] [Structure C18] [Structure C19] [Structure C20]
[Structure C21] [Structure C22] [Structure C23]
[Structure C24] [Structure C25] [Structure C26]
[Structure C2 7] [Structure C28] [Structure C29] [Structure C30]
[Structure C31] [Structure C32] [Structure C33]
[Structure C34] [Structure C35] [Structure C36]
[Structure C37] [Structure C38] [Structure C39]
In [Formula C1] to [Formula C39],
R is the same as or different from each other, and each independently hydrogen, deuterium, halogen, cyano group, substituted or unsubstituted alkyl group having 1 to 30 carbon atoms, substituted or unsubstituted aryl group having 6 to 30 carbon atoms, substituted or unsubstituted A heteroaryl group having 3 to 30 carbon atoms, a substituted or unsubstituted alkoxy group having 1 to 30 carbon atoms, a substituted or unsubstituted cycloalkyl group having 3 to 30 carbon atoms, a substituted or unsubstituted alkyl group having 1 to 30 carbon atoms And a substituted or unsubstituted arylsilyl group having 6 to 30 carbon atoms, and may be connected to an adjacent substituent with alkylene or alkenylene to form a spirogory or fused ring,
The 'substituted' in the 'substituted or unsubstituted' is deuterium, cyano group, halogen group, nitro group, alkyl group of 1 to 24 carbon atoms, halogenated alkyl group of 1 to 24 carbon atoms, aryl group of 6 to 24 carbon atoms, One or more substituents selected from the group consisting of 6 to 24 arylalkyl groups, heteroaryl groups of 2 to 24 carbon atoms, heteroarylalkyl groups of 2 to 24 carbon atoms, alkylsilyl groups of 1 to 24 carbon atoms, arylsilyl groups of 1 to 24 carbon atoms It means to be replaced by.
상기 [화학식 A] 및 [화학식 B] 의 Y 및 Z는 각각 동일하거나 상이하며, 서로 독립적으로 수소, 중수소; 치환 또는 비치환된 탄소수 1 내지 20의 알킬기; 치환 또는 비치환된 탄소수 5 내지 20의 아릴기; 중에서 선택되는 하나이며, 상기 m 및 m'은 각각 1 내지 4의 정수인 것을 특징으로 하는, 유기발광소자.The method of claim 1,
Y and Z in [Formula A] and [Formula B] are the same or different, and are each independently hydrogen, deuterium; A substituted or unsubstituted alkyl group having 1 to 20 carbon atoms; Substituted or unsubstituted aryl group having 5 to 20 carbon atoms; And m and m 'are integers of 1 to 4, respectively.
상기 [화학식 A] 및 [화학식 B] 의 치환기 X 1 내지 X7중 적어도 하나는 하기 치환기 101 내지 화학식 113, 화학식 202, 화학식 203, 화학식 205, 화학식 206, 화학식 301 내지 치환기 606 중 어느 하나인 것을 특징으로 하는 유기발광소자.
[치환기 101] [치환기 102] [치환기 103]
[치환기 104] [치환기 105] [치환기 106]
[치환기 107] [치환기 108] [치환기 109]
[치환기 110] [치환기 111] [치환기 112] [치환기 113]
[치환기 202] [치환기 203]
[치환기 205] [치환기 206]
[치환기 301] [치환기 302] [치환기 303]
[치환기 304] [치환기 305] [치환기 306]
[치환기 307] [치환기 308]
[치환기 401] [치환기 402] [치환기 403]
[치환기 404] [치환기 405] [치환기 406]
[치환기 407] [치환기 408] [치환기 409]
[치환기 410] [치환기 411] [치환기 412] [치환기 413]
[치환기 501] [치환기 502] [치환기 503]
[치환기 601] [치환기 602] [치환기 603]
[치환기 604] [치환기 605] [치환기 606]
여기서, R은 동일하거나 상이하며 서로 독립적으로, 수소, 중수소, 할로겐 원자, 시아노기, 니트로기, 치환 또는 비 치환된 탄소수 1 내지 60의 알킬기, 치환 또는 비치환된 탄소수 3 내지 60의 시클로알킬기, 치환 또는 비치환된 탄소수 6 내지 60의 아릴기, 치환 또는 비치환된 탄소수 2 내지 60의 헤테로아릴기, 치환 또는 비치환 된 탄소수 1 내지 40의 알킬 실릴기, 치환 또는 비치환된 탄소수 6 내지 30의 아릴실릴기 중에서 선택될 수 있으며, 각각의 치환기는 서로 인접하는 기와 융합되어 고리를 형성할 수 있고,
n은 0 내지 9의 정수이며,
상기 치환기 101 내지 치환기 606의 헤테로아릴기내 방향족고리의 탄소에 치환기 R이 결합되지 않은 경우에는 수소가 결합되어 있고,
상기 R 중의 하나는 [화학식 A] 및 [화학식 B] 의 나프틸기에 결합되는 단일결합이다.The method of claim 1,
At least one of the substituents X 1 to X 7 of [Formula A] and [Formula B] is any one of the following substituents 101 to 113, Formula 202, Formula 203, Formula 205, Formula 206, and Formula 301 to 606. An organic light emitting device characterized in that.
[Substitution 101] [Substitution 102] [Substitution 103]
[Substitution 104] [Substitution 105] [Substitution 106]
[Substituent 107] [Substituent 108] [Substituent 109]
[Substitution 110] [Substitution 111] [Substitution 112] [Substitution 113]
[Substituent 202] [Substituent 203]
[Substituent 205] [Substituent 206]
[Substituent 301] [Substituent 302] [Substituent 303]
[Substituent 304] [substituent 305] [substituent 306]
[Substituent 307] [Substituent 308]
[Substituent 401] [Substituent 402] [Substituent 403]
[Substituent 404] [Substituent 405] [Substituent 406]
[Substituent 407] [Substituent 408] [Substituent 409]
[Substituent 410] [Substituent 411] [Substituent 412] [Substituent 413]
[Substituent 501] [Substituent 502] [Substituent 503]
[Substituent 601] [Substituent 602] [Substituent 603]
[Substituent 604] [Substituent 605] [Substituent 606]
Wherein R is the same or different and independently from each other, hydrogen, deuterium, a halogen atom, a cyano group, a nitro group, a substituted or unsubstituted alkyl group having 1 to 60 carbon atoms, a substituted or unsubstituted cycloalkyl group having 3 to 60 carbon atoms, Substituted or unsubstituted aryl group having 6 to 60 carbon atoms, Substituted or unsubstituted heteroaryl group having 2 to 60 carbon atoms, Substituted or unsubstituted alkyl silyl group having 1 to 40 carbon atoms, Substituted or unsubstituted carbon atoms 6 to 30 It may be selected from the arylsilyl group of, each substituent may be fused with a group adjacent to each other to form a ring,
n is an integer from 0 to 9,
When the substituent R is not bonded to the carbon of the aromatic ring in the heteroaryl group of the substituents 101 to 606, hydrogen is bonded.
One of R is a single bond bonded to the naphthyl groups of [Formula A] and [Formula B].
상기 [화학식 A] 및 [화학식 B] 의 치환기 X1 내지 X7중 하나만이 상기 치환기 101 내지 치환기 606중에서 선택되는 어느 하나의 치환기인 것을 특징으로 하는 유기발광소자.The method of claim 6,
Only one of the substituents X 1 to X 7 of the formula [A] and [Formula B] is an organic light emitting device, characterized in that any one of the substituents selected from the substituents 101 to 606.
상기 유기층은 정공 주입층, 정공 수송층, 정공 주입 기능 및 정공 수송 기능을 동시에 갖는 기능층 및 전자 주입층 중 적어도 하나를 추가적으로 포함하는 것을 특징 으로 하는 유기 발광 소자.The method of claim 1,
And the organic layer further comprises at least one of a hole injection layer, a hole transport layer, a hole injection function, and a hole injection function.
상기 발광층은 호스트와 도판트로 이루어지는 것을 특징으로 하는 유기 발광 소자.The method of claim 1,
The light emitting layer is an organic light emitting device, characterized in that consisting of a host and a dopant.
Priority Applications (1)
| Application Number | Priority Date | Filing Date | Title |
|---|---|---|---|
| KR1020130002256A KR102030388B1 (en) | 2013-01-08 | 2013-01-08 | Asymmetric antracene derivatives having two naphthyl groups and organic light-emitting diode including the same |
Applications Claiming Priority (1)
| Application Number | Priority Date | Filing Date | Title |
|---|---|---|---|
| KR1020130002256A KR102030388B1 (en) | 2013-01-08 | 2013-01-08 | Asymmetric antracene derivatives having two naphthyl groups and organic light-emitting diode including the same |
Publications (2)
| Publication Number | Publication Date |
|---|---|
| KR20140090037A KR20140090037A (en) | 2014-07-16 |
| KR102030388B1 true KR102030388B1 (en) | 2019-10-10 |
Family
ID=51737893
Family Applications (1)
| Application Number | Title | Priority Date | Filing Date |
|---|---|---|---|
| KR1020130002256A Active KR102030388B1 (en) | 2013-01-08 | 2013-01-08 | Asymmetric antracene derivatives having two naphthyl groups and organic light-emitting diode including the same |
Country Status (1)
| Country | Link |
|---|---|
| KR (1) | KR102030388B1 (en) |
Families Citing this family (2)
| Publication number | Priority date | Publication date | Assignee | Title |
|---|---|---|---|---|
| KR20150010016A (en) * | 2013-07-17 | 2015-01-28 | 롬엔드하스전자재료코리아유한회사 | Organic electroluminescent device |
| WO2022177359A1 (en) * | 2021-02-19 | 2022-08-25 | 주식회사 엘지화학 | Compound and organic light-emitting device comprising same |
Citations (1)
| Publication number | Priority date | Publication date | Assignee | Title |
|---|---|---|---|---|
| JP2010168363A (en) * | 2008-12-25 | 2010-08-05 | Chisso Corp | Anthracene derivative having pyridylnaphthyl group and organic electroluminescent device |
Family Cites Families (7)
| Publication number | Priority date | Publication date | Assignee | Title |
|---|---|---|---|---|
| KR100691543B1 (en) | 2002-01-18 | 2007-03-09 | 주식회사 엘지화학 | New material for electron transport and organic light emitting device using the same |
| US7867629B2 (en) * | 2003-01-10 | 2011-01-11 | Idemitsu Kosan Co., Ltd. | Nitrogenous heterocyclic derivative and organic electroluminescent element employing the same |
| US7851071B2 (en) * | 2003-03-13 | 2010-12-14 | Idemitsu Kosan Co., Ltd. | Nitrogen-containing heterocycle derivative and organic electroluminescent element using the same |
| KR101511379B1 (en) * | 2008-04-08 | 2015-04-10 | 동우 화인켐 주식회사 | Asymmetric naphthalenylcarbazole derivatives, organic thin film materials for organic electroluminescent devices using the same, and organic electroluminescent devices |
| KR101786129B1 (en) * | 2009-08-05 | 2017-10-17 | 호도가야 가가쿠 고교 가부시키가이샤 | Compound having substituted anthracene ring structure and pyridoindole ring structure and organic electroluminescence device |
| CN102712639A (en) | 2009-11-12 | 2012-10-03 | 保土谷化学工业株式会社 | Compound having a substituted anthracene ring structure and pyridoindole ring structure, and organic electroluminescent element |
| JP5799637B2 (en) * | 2010-08-26 | 2015-10-28 | Jnc株式会社 | Anthracene derivative and organic electroluminescence device using the same |
-
2013
- 2013-01-08 KR KR1020130002256A patent/KR102030388B1/en active Active
Patent Citations (1)
| Publication number | Priority date | Publication date | Assignee | Title |
|---|---|---|---|---|
| JP2010168363A (en) * | 2008-12-25 | 2010-08-05 | Chisso Corp | Anthracene derivative having pyridylnaphthyl group and organic electroluminescent device |
Also Published As
| Publication number | Publication date |
|---|---|
| KR20140090037A (en) | 2014-07-16 |
Similar Documents
| Publication | Publication Date | Title |
|---|---|---|
| KR102030587B1 (en) | Asymmetric antracene derivatives having two naphthyl groups and organic light-emitting diode including the same | |
| KR102144446B1 (en) | Organic Compound for organic light emitting diode and an organic light emitting diode including the same with long life | |
| KR102030354B1 (en) | Heterocyclic compound comprising aromatic amine group and organic light-emitting diode including the same | |
| KR101779913B1 (en) | Spiro compound and organic electroluminescent devices comprising the same | |
| KR101771531B1 (en) | Spiro compound and organic electroluminescent devices comprising the same | |
| KR102503217B1 (en) | Organic Compound for organic light emitting diode and an organic light emitting diode including the same with long life | |
| KR102122213B1 (en) | organic light-emitting diode with High efficiency | |
| KR102266642B1 (en) | Novel aromatic amine compounds for organic light-emitting diode and organic light-emitting diode including the same | |
| JP6371872B2 (en) | Novel heterocyclic compound and organic light-emitting device containing the same | |
| KR20180037717A (en) | Organic light-emitting diode with long lifetime, low voltage and high efficiency | |
| KR20140134884A (en) | An electroluminescent compound and an electroluminescent device comprising the same | |
| KR101492527B1 (en) | Organic light-emitting diode including aryl substituted antracene derivatives | |
| JP2021001161A (en) | Compound for organic light-emitting element and organic light-emitting element including the compound | |
| KR101492531B1 (en) | Organic light-emitting diode including aryl substituted antracene derivatives | |
| KR102002025B1 (en) | Antracene derivatives having heteroaryl substituted naphthyl group and organic light-emitting diode including the same | |
| KR20180011980A (en) | Novel heterocyclic compounds and organic light-emitting diode including the same | |
| KR101554591B1 (en) | Organic light-emitting diode including aryl substituted antracene derivatives | |
| KR101521101B1 (en) | Organic light-emitting diode including aryl substituted antracene derivatives | |
| KR102708083B1 (en) | Novel Amine compound and organic light-emitting diode including the same | |
| KR102162247B1 (en) | Antracene derivatives having heteroaryl substituted phenyl group and organic light-emitting diode including the same | |
| KR102248083B1 (en) | Asymmetric antracene derivatives having two phenyl groups and organic light-emitting diode including the same | |
| KR101153095B1 (en) | New cycloalkene derivatives and organic electronic diode using the same | |
| KR101492523B1 (en) | Organic light-emitting diode including aryl substituted antracene derivatives | |
| KR102030388B1 (en) | Asymmetric antracene derivatives having two naphthyl groups and organic light-emitting diode including the same | |
| KR102051952B1 (en) | Antracene derivatives having heteroaryl substituted naphthyl group and organic light-emitting diode including the same |
Legal Events
| Date | Code | Title | Description |
|---|---|---|---|
| PA0109 | Patent application |
St.27 status event code: A-0-1-A10-A12-nap-PA0109 |
|
| P11-X000 | Amendment of application requested |
St.27 status event code: A-2-2-P10-P11-nap-X000 |
|
| P13-X000 | Application amended |
St.27 status event code: A-2-2-P10-P13-nap-X000 |
|
| R17-X000 | Change to representative recorded |
St.27 status event code: A-3-3-R10-R17-oth-X000 |
|
| PN2301 | Change of applicant |
St.27 status event code: A-3-3-R10-R13-asn-PN2301 St.27 status event code: A-3-3-R10-R11-asn-PN2301 |
|
| R18-X000 | Changes to party contact information recorded |
St.27 status event code: A-3-3-R10-R18-oth-X000 |
|
| PG1501 | Laying open of application |
St.27 status event code: A-1-1-Q10-Q12-nap-PG1501 |
|
| R17-X000 | Change to representative recorded |
St.27 status event code: A-3-3-R10-R17-oth-X000 |
|
| R18-X000 | Changes to party contact information recorded |
St.27 status event code: A-3-3-R10-R18-oth-X000 |
|
| A201 | Request for examination | ||
| PA0201 | Request for examination |
St.27 status event code: A-1-2-D10-D11-exm-PA0201 |
|
| D13-X000 | Search requested |
St.27 status event code: A-1-2-D10-D13-srh-X000 |
|
| D14-X000 | Search report completed |
St.27 status event code: A-1-2-D10-D14-srh-X000 |
|
| E902 | Notification of reason for refusal | ||
| PE0902 | Notice of grounds for rejection |
St.27 status event code: A-1-2-D10-D21-exm-PE0902 |
|
| T11-X000 | Administrative time limit extension requested |
St.27 status event code: U-3-3-T10-T11-oth-X000 |
|
| T11-X000 | Administrative time limit extension requested |
St.27 status event code: U-3-3-T10-T11-oth-X000 |
|
| T11-X000 | Administrative time limit extension requested |
St.27 status event code: U-3-3-T10-T11-oth-X000 |
|
| T11-X000 | Administrative time limit extension requested |
St.27 status event code: U-3-3-T10-T11-oth-X000 |
|
| E13-X000 | Pre-grant limitation requested |
St.27 status event code: A-2-3-E10-E13-lim-X000 |
|
| P11-X000 | Amendment of application requested |
St.27 status event code: A-2-2-P10-P11-nap-X000 |
|
| P13-X000 | Application amended |
St.27 status event code: A-2-2-P10-P13-nap-X000 |
|
| E701 | Decision to grant or registration of patent right | ||
| PE0701 | Decision of registration |
St.27 status event code: A-1-2-D10-D22-exm-PE0701 |
|
| GRNT | Written decision to grant | ||
| PR0701 | Registration of establishment |
St.27 status event code: A-2-4-F10-F11-exm-PR0701 |
|
| PR1002 | Payment of registration fee |
St.27 status event code: A-2-2-U10-U11-oth-PR1002 Fee payment year number: 1 |
|
| PG1601 | Publication of registration |
St.27 status event code: A-4-4-Q10-Q13-nap-PG1601 |
|
| PR1001 | Payment of annual fee |
St.27 status event code: A-4-4-U10-U11-oth-PR1001 Fee payment year number: 4 |
|
| P22-X000 | Classification modified |
St.27 status event code: A-4-4-P10-P22-nap-X000 |
|
| P22-X000 | Classification modified |
St.27 status event code: A-4-4-P10-P22-nap-X000 |
|
| PR1001 | Payment of annual fee |
St.27 status event code: A-4-4-U10-U11-oth-PR1001 Fee payment year number: 5 |
|
| PR1001 | Payment of annual fee |
St.27 status event code: A-4-4-U10-U11-oth-PR1001 Fee payment year number: 6 |
|
| PR1001 | Payment of annual fee |
St.27 status event code: A-4-4-U10-U11-oth-PR1001 Fee payment year number: 7 |
|
| U11 | Full renewal or maintenance fee paid |
Free format text: ST27 STATUS EVENT CODE: A-4-4-U10-U11-OTH-PR1001 (AS PROVIDED BY THE NATIONAL OFFICE) Year of fee payment: 7 |
|
| P22-X000 | Classification modified |
St.27 status event code: A-4-4-P10-P22-nap-X000 |













































































































































