KR101953767B1 - Novel organometallic compound and organic light emitting device comprising the same - Google Patents
Novel organometallic compound and organic light emitting device comprising the same Download PDFInfo
- Publication number
- KR101953767B1 KR101953767B1 KR1020170085967A KR20170085967A KR101953767B1 KR 101953767 B1 KR101953767 B1 KR 101953767B1 KR 1020170085967 A KR1020170085967 A KR 1020170085967A KR 20170085967 A KR20170085967 A KR 20170085967A KR 101953767 B1 KR101953767 B1 KR 101953767B1
- Authority
- KR
- South Korea
- Prior art keywords
- compound
- group
- light emitting
- layer
- unsubstituted
- Prior art date
- Legal status (The legal status is an assumption and is not a legal conclusion. Google has not performed a legal analysis and makes no representation as to the accuracy of the status listed.)
- Active
Links
- 0 CC[C@](C1(C(C)*)[C@@](C)[*+])(*1(C1(CC)CC)c(cccc2)c2-c2*1cccc2)*(C)=CC Chemical compound CC[C@](C1(C(C)*)[C@@](C)[*+])(*1(C1(CC)CC)c(cccc2)c2-c2*1cccc2)*(C)=CC 0.000 description 3
Images
Classifications
-
- C—CHEMISTRY; METALLURGY
- C07—ORGANIC CHEMISTRY
- C07F—ACYCLIC, CARBOCYCLIC OR HETEROCYCLIC COMPOUNDS CONTAINING ELEMENTS OTHER THAN CARBON, HYDROGEN, HALOGEN, OXYGEN, NITROGEN, SULFUR, SELENIUM OR TELLURIUM
- C07F15/00—Compounds containing elements of Groups 8, 9, 10 or 18 of the Periodic Table
- C07F15/0006—Compounds containing elements of Groups 8, 9, 10 or 18 of the Periodic Table compounds of the platinum group
- C07F15/0033—Iridium compounds
-
- C—CHEMISTRY; METALLURGY
- C09—DYES; PAINTS; POLISHES; NATURAL RESINS; ADHESIVES; COMPOSITIONS NOT OTHERWISE PROVIDED FOR; APPLICATIONS OF MATERIALS NOT OTHERWISE PROVIDED FOR
- C09K—MATERIALS FOR MISCELLANEOUS APPLICATIONS, NOT PROVIDED FOR ELSEWHERE
- C09K11/00—Luminescent, e.g. electroluminescent, chemiluminescent materials
- C09K11/06—Luminescent, e.g. electroluminescent, chemiluminescent materials containing organic luminescent materials
-
- H01L51/0085—
-
- H01L51/5012—
-
- H—ELECTRICITY
- H10—SEMICONDUCTOR DEVICES; ELECTRIC SOLID-STATE DEVICES NOT OTHERWISE PROVIDED FOR
- H10K—ORGANIC ELECTRIC SOLID-STATE DEVICES
- H10K50/00—Organic light-emitting devices
- H10K50/10—OLEDs or polymer light-emitting diodes [PLED]
- H10K50/11—OLEDs or polymer light-emitting diodes [PLED] characterised by the electroluminescent [EL] layers
-
- H—ELECTRICITY
- H10—SEMICONDUCTOR DEVICES; ELECTRIC SOLID-STATE DEVICES NOT OTHERWISE PROVIDED FOR
- H10K—ORGANIC ELECTRIC SOLID-STATE DEVICES
- H10K85/00—Organic materials used in the body or electrodes of devices covered by this subclass
- H10K85/30—Coordination compounds
- H10K85/341—Transition metal complexes, e.g. Ru(II)polypyridine complexes
- H10K85/342—Transition metal complexes, e.g. Ru(II)polypyridine complexes comprising iridium
-
- C—CHEMISTRY; METALLURGY
- C09—DYES; PAINTS; POLISHES; NATURAL RESINS; ADHESIVES; COMPOSITIONS NOT OTHERWISE PROVIDED FOR; APPLICATIONS OF MATERIALS NOT OTHERWISE PROVIDED FOR
- C09K—MATERIALS FOR MISCELLANEOUS APPLICATIONS, NOT PROVIDED FOR ELSEWHERE
- C09K2211/00—Chemical nature of organic luminescent or tenebrescent compounds
- C09K2211/18—Metal complexes
- C09K2211/185—Metal complexes of the platinum group, i.e. Os, Ir, Pt, Ru, Rh or Pd
Landscapes
- Chemical & Material Sciences (AREA)
- Organic Chemistry (AREA)
- Engineering & Computer Science (AREA)
- Materials Engineering (AREA)
- Crystallography & Structural Chemistry (AREA)
- Inorganic Chemistry (AREA)
- Physics & Mathematics (AREA)
- Optics & Photonics (AREA)
- Electroluminescent Light Sources (AREA)
Abstract
본 발명에서는 신규한 유기금속 화합물 및 이를 이용한 유기발광 소자가 제공된다. The present invention provides a novel organometallic compound and an organic light emitting device using the same.
Description
본 발명은 신규한 유기금속 화합물 및 이를 포함하는 유기 발광 소자에 관한 것이다.The present invention relates to a novel organometallic compound and an organic light emitting device comprising the same.
일반적으로 유기 발광 현상이란 유기 물질을 이용하여 전기에너지를 빛에너지로 전환시켜주는 현상을 말한다. 유기 발광 현상을 이용하는 유기 발광 소자는 넓은 시야각, 우수한 콘트라스트, 빠른 응답 시간을 가지며, 휘도, 구동 전압 및 응답 속도 특성이 우수하여 많은 연구가 진행되고 있다. In general, organic light emission phenomenon refers to a phenomenon in which an organic material is used to convert electric energy into light energy. The organic light emitting device using the organic light emitting phenomenon has a wide viewing angle, excellent contrast, fast response time, excellent characteristics of luminance, driving voltage and response speed, and much research has been conducted.
유기 발광 소자는 일반적으로 양극과 음극 및 상기 양극과 음극 사이에 유기물 층을 포함하는 구조를 가진다. 상기 유기물 층은 유기 발광 소자의 효율과 안정성을 높이기 위하여 각기 다른 물질로 구성된 다층의 구조로 이루어진 경우가 많으며, 예컨대 정공 주입층, 정공 수송층, 발광층, 전자수송층, 전자 주입층 등으로 이루어질 수 있다. 이러한 유기 발광 소자의 구조에서 두 전극 사이에 전압을 걸어주게 되면 양극에서는 정공이, 음극에서는 전자가 유기물 층에 주입되게 되고, 주입된 정공과 전자가 만났을 때 엑시톤(exciton)이 형성되며, 이 엑시톤이 다시 바닥상태로 떨어질 때 빛이 나게 된다. The organic light emitting device generally has a structure including an anode and a cathode, and an organic layer between the anode and the cathode. The organic material layer may have a multilayer structure composed of different materials in order to improve the efficiency and stability of the organic light emitting device. For example, the organic material layer may include a hole injection layer, a hole transport layer, a light emitting layer, an electron transport layer, and an electron injection layer. When a voltage is applied between two electrodes in the structure of such an organic light emitting device, holes are injected in the anode, electrons are injected into the organic layer in the cathode, excitons are formed when injected holes and electrons meet, When it falls back to the ground state, the light comes out.
상기와 같은 유기 발광 소자에 사용되는 유기물에 대하여 새로운 재료의 개발이 지속적으로 요구되고 있다.There is a continuing need for the development of new materials for the organic materials used in such organic light emitting devices.
본 발명은 신규한 유기금속 화합물 및 이를 포함하는 유기 발광 소자에 관한 것이다. The present invention relates to a novel organometallic compound and an organic light emitting device comprising the same.
본 발명은 하기 화학식 1 내지 3 중 어느 하나로 표시되는 유기금속 화합물을 제공한다.The present invention provides an organometallic compound represented by any of the following formulas (1) to (3).
[화학식 1][Chemical Formula 1]
[화학식 2](2)
[화학식 3](3)
상기 화학식 1 내지 3에서,In the
M은 이리듐(Ir), 백금(Pt), 오스뮴(Os), 티탄(Ti), 지르코늄(Zr), 또는하프늄(Hf)이고,M is iridium (Ir), platinum (Pt), osmium (Os), titanium (Ti), zirconium (Zr), or hafnium
A 고리는 피리딘 고리이되, B 고리와는 N의 오쏘(ortho) 위치로 연결되고,The ring A is a pyridine ring and the ring B is connected to the ortho position of N,
T는 치환 또는 비치환된 실릴기이고,T is a substituted or unsubstituted silyl group,
X1 내지 X6 중 이웃하는 2 개는 하기 화학식 1a와 C-C 결합으로 연결되는 C이고, 나머지는 각각 독립적으로, N 또는 CR3이고,And X 1 to
R1 내지 R3는 각각 독립적으로, 수소; 중수소; 할로겐; 시아노; 니트로; 아미노; 치환 또는 비치환된 C1-60 알킬; 치환 또는 비치환된 C1-60 할로알킬; 치환 또는 비치환된 C1-60 알콕시; 치환 또는 비치환된 C1-60 할로알콕시; 치환 또는 비치환된 C3-60 사이클로알킬; 치환 또는 비치환된 C2-60 알케닐; 치환 또는 비치환된 C6-60 아릴; 치환 또는 비치환된 C6-60 아릴옥시; 또는 치환 또는 비치환된 N, O 및 S 중 1개 이상을 포함하는 C1-60 헤테로아릴이고,R 1 to R 3 are each independently hydrogen; heavy hydrogen; halogen; Cyano; Nitro; Amino; Substituted or unsubstituted C 1-6 alkyl; Substituted or unsubstituted C 1-6 haloalkyl; Substituted or unsubstituted C 1-60 alkoxy; Substituted or unsubstituted C 1-60 haloalkoxy; Substituted or unsubstituted C 3-60 cycloalkyl; Substituted or unsubstituted C 2-60 alkenyl; Substituted or unsubstituted C 6-60 aryl; Substituted or unsubstituted C 6-60 aryloxy; Or substituted or unsubstituted C 1-60 heteroaryl containing at least one of N, O and S,
a1 및 a2는 각각 독립적으로, 0 내지 4의 정수이고, a1 and a2 each independently represent an integer of 0 to 4,
b1 및 b2는 각각 독립적으로, 1 내지 4의 정수이고,b1 and b2 are each independently an integer of 1 to 4,
b3는 1 또는 2이고,b3 is 1 or 2,
a2+b1은 4 이하이고,a2 + b1 is 4 or less,
n은 0, 1, 또는 2이고,n is 0, 1 or 2,
[화학식 1a][Formula 1a]
상기 화학식 1a에서,In formula (1a)
화학식 1 또는 2에서의 X11 내지 X14는 각각 독립적으로, CR4이고, X 11 to X 14 in formula (1) or (2) are each independently CR 4 ,
화학식 3에서의 X11 내지 X14는 각각 독립적으로, N 또는 CR4이되, X11 내지 X14 중 적어도 하나는 N이고,X 11 to X 14 in
Y1은 O, S, 또는 Se이고,Y 1 is O, S, or Se,
R4는 수소; 중수소; 할로겐; 시아노; 니트로; 아미노; 치환 또는 비치환된 C1-60 알킬; 치환 또는 비치환된 C1-60 할로알킬; 치환 또는 비치환된 C1-60 알콕시; 치환 또는 비치환된 C1-60 할로알콕시; 치환 또는 비치환된 C3-60 사이클로알킬; 치환 또는 비치환된 C2-60 알케닐; 치환 또는 비치환된 C6-60 아릴; 치환 또는 비치환된 C6-60 아릴옥시; 또는 치환 또는 비치환된 N, O 및 S 중 1개 이상을 포함하는 C1-60 헤테로아릴이고,R 4 is hydrogen; heavy hydrogen; halogen; Cyano; Nitro; Amino; Substituted or unsubstituted C 1-6 alkyl; Substituted or unsubstituted C 1-6 haloalkyl; Substituted or unsubstituted C 1-60 alkoxy; Substituted or unsubstituted C 1-60 haloalkoxy; Substituted or unsubstituted C 3-60 cycloalkyl; Substituted or unsubstituted C 2-60 alkenyl; Substituted or unsubstituted C 6-60 aryl; Substituted or unsubstituted C 6-60 aryloxy; Or substituted or unsubstituted C 1-60 heteroaryl containing at least one of N, O and S,
*는 상기 화학식 1 내지 3의 B 고리와 연결되는 부분을 나타낸다.* Represents a part connected to the B ring of the above formulas (1) to (3).
또한, 본 발명은 제1 전극; 상기 제1 전극과 대향하여 구비된 제2 전극; 및 상기 제1 전극과 상기 제2 전극 사이에 구비된 1층 이상의 유기물 층을 포함하는 유기 발광 소자로서, 상기 유기물 층 중 1층 이상은 상기 화학식 1로 표시되는 유기금속 화합물을 포함하는, 유기 발광 소자를 제공한다.The present invention also provides a plasma display panel comprising: a first electrode; A second electrode facing the first electrode; And at least one organic layer disposed between the first electrode and the second electrode, wherein at least one of the organic layers includes an organic electroluminescent Device.
상술한 화학식 1로 표시되는 유기금속 화합물은 유기 발광 소자의 유기물 층의 재료로서 사용될 수 있으며, 유기 발광 소자에서 발광 효율 및 수명 특성을 향상시킬 수 있다. 특히, 상술한 화학식 1로 표시되는 유기금속 화합물은 발광층에 포함되어 인광 도펀트로 사용될 수 있다. The organometallic compound represented by the formula (1) can be used as a material for an organic material layer of an organic light emitting device, and can improve a light emitting efficiency and a lifetime characteristic in an organic light emitting device. In particular, the organometallic compound represented by Formula 1 may be included in the light emitting layer and used as a phosphorescent dopant.
도 1은 기판(1), 양극(2), 발광층(3), 음극(4)으로 이루어진 유기 발광 소자의 예를 도시한 것이다.
도 2는 기판 (1), 양극(2), 정공 주입층(5), 정공 수송층(6), 발광층(7), 전자수송층(8) 및 음극(4)로 이루어진 유기 발광 소자의 예를 도시한 것이다.Fig. 1 shows an example of an organic light-emitting device comprising a
2 shows an example of an organic light emitting element comprising a
이하, 본 발명의 이해를 돕기 위하여 보다 상세히 설명한다.Hereinafter, the present invention will be described in detail in order to facilitate understanding of the present invention.
본 발명은 상기 화학식 1로 표시되는 화합물을 제공한다. The present invention provides a compound represented by the above formula (1).
본 명세서에서, 는 다른 치환기에 연결되는 결합을 의미한다. In the present specification, Quot; means a bond connected to another substituent.
본 명세서에서 "치환 또는 비치환된" 이라는 용어는 중수소; 할로겐기; 시아노기; 니트릴기; 니트로기; 히드록시기; 카보닐기; 에스테르기; 이미드기; 아미노기; 포스핀옥사이드기; 알콕시기; 아릴옥시기; 알킬티옥시기; 아릴티옥시기; 알킬술폭시기; 아릴술폭시기; 실릴기; 붕소기; 알킬기; 사이클로알킬기; 알케닐기; 아릴기; 아르알킬기; 아르알케닐기; 알킬아릴기; 알킬아민기; 아랄킬아민기; 헤테로아릴아민기; 아릴아민기; 아릴포스핀기; 또는 N, O 및 S 원자 중 1개 이상을 포함하는 헤테로아릴로 이루어진 군에서 선택된 1개 이상의 치환기로 치환 또는 비치환되거나, 상기 예시된 치환기 중 2 이상의 치환기가 연결된 치환 또는 비치환된 것을 의미한다. 예컨대, "2 이상의 치환기가 연결된 치환기"가 바이페닐기인 경우, 바이페닐기는 1개의 페닐기로 치환된 아릴기이거나, 또는 2개의 페닐기가 연결된 치환기로 해석될 수 있다.As used herein, the term " substituted or unsubstituted " A halogen group; Cyano; A nitrile group; A nitro group; A hydroxy group; A carbonyl group; An ester group; Imide; An amino group; Phosphine oxide groups; An alkoxy group; An aryloxy group; An alkyloxy group; Arylthioxy group; An alkylsulfoxy group; Arylsulfoxy group; Silyl group; Boron group; An alkyl group; Cycloalkyl groups; An alkenyl group; An aryl group; Aralkyl groups; An aralkenyl group; An alkylaryl group; An alkylamine group; An aralkylamine group; A heteroarylamine group; An arylamine group; Arylphosphine groups; Or heteroaryl containing at least one of N, O and S atoms, or a substituted or unsubstituted one in which at least two of the above-exemplified substituents are connected . For example, when the "substituent group to which two or more substituents are connected" is a biphenyl group, the biphenyl group may be an aryl group substituted with one phenyl group, or may be interpreted as a substituent group in which two phenyl groups are connected.
본 명세서에서 카보닐기의 탄소수는 특별히 한정되지 않으나, 탄소수 1 내지 40인 것이 바람직하다. 구체적으로 하기와 같은 구조의 화합물이 될 수 있으나, 이에 한정되는 것은 아니다.In the present specification, the carbon number of the carbonyl group is not particularly limited, but it is preferably 1 to 40 carbon atoms. Specifically, it may be a compound having the following structure, but is not limited thereto.
본 명세서에 있어서, 에스테르기는 에스테르기의 산소가 탄소수 1 내지 25의 직쇄, 분지쇄 또는 고리쇄 알킬기 또는 탄소수 6 내지 25의 아릴기로 치환될 수 있다. 구체적으로, 하기 구조식의 화합물이 될 수 있으나, 이에 한정되는 것은 아니다.In the present specification, the ester group may be substituted with a straight-chain, branched or cyclic alkyl group having 1 to 25 carbon atoms or an aryl group having 6 to 25 carbon atoms in the ester group. Specifically, it may be a compound of the following structural formula, but is not limited thereto.
본 명세서에 있어서, 이미드기의 탄소수는 특별히 한정되지 않으나, 탄소수 1 내지 25인 것이 바람직하다. 구체적으로 하기와 같은 구조의 화합물이 될 수 있으나, 이에 한정되는 것은 아니다.In the present specification, the number of carbon atoms of the imide group is not particularly limited, but is preferably 1 to 25 carbon atoms. Specifically, it may be a compound having the following structure, but is not limited thereto.
본 명세서에 있어서, 붕소기는 구체적으로 트리메틸붕소기, 트리에틸붕소기, t-부틸디메틸붕소기, 트리페닐붕소기, 페닐붕소기 등이 있으나 이에 한정되지 않는다.In the present specification, the boron group specifically includes, but is not limited to, a trimethylboron group, a triethylboron group, a t-butyldimethylboron group, a triphenylboron group, and a phenylboron group.
본 명세서에 있어서, 할로겐기의 예로는 불소, 염소, 브롬 또는 요오드가 있다.In the present specification, examples of the halogen group include fluorine, chlorine, bromine or iodine.
본 명세서에 있어서, 상기 알킬기는 직쇄 또는 분지쇄일 수 있고, 탄소수는 특별히 한정되지 않으나 1 내지 40인 것이 바람직하다. 일 실시상태에 따르면, 상기 알킬기의 탄소수는 1 내지 20이다. 또 하나의 실시상태에 따르면, 상기 알킬기의 탄소수는 1 내지 10이다. 또 하나의 실시상태에 따르면, 상기 알킬기의 탄소수는 1 내지 6이다. 알킬기의 구체적인 예로는 메틸, 에틸, 프로필, n-프로필, 이소프로필, 부틸, n-부틸, 이소부틸, tert-부틸, sec-부틸, 1-메틸-부틸, 1-에틸-부틸, 펜틸, n-펜틸, 이소펜틸, 네오펜틸, tert-펜틸, 헥실, n-헥실, 1-메틸펜틸, 2-메틸펜틸, 4-메틸-2-펜틸, 3,3-디메틸부틸, 2-에틸부틸, 헵틸, n-헵틸, 1-메틸헥실, 사이클로펜틸메틸, 사이클로헥틸메틸, 옥틸, n-옥틸, tert-옥틸, 1-메틸헵틸, 2-에틸헥실, 2-프로필펜틸, n-노닐, 2,2-디메틸헵틸, 1-에틸-프로필, 1,1-디메틸-프로필, 이소헥실, 2-메틸펜틸, 4-메틸헥실, 5-메틸헥실 등이 있으나, 이들에 한정되지 않는다.In the present specification, the alkyl group may be linear or branched, and the number of carbon atoms is not particularly limited, but is preferably 1 to 40. According to one embodiment, the alkyl group has 1 to 20 carbon atoms. According to another embodiment, the alkyl group has 1 to 10 carbon atoms. According to another embodiment, the alkyl group has 1 to 6 carbon atoms. Specific examples of the alkyl group include a methyl group, an ethyl group, a propyl group, an isopropyl group, a n-butyl group, an isobutyl group, a tert-butyl group, But are not limited to, pentyl, isopentyl, neopentyl, tert-pentyl, hexyl, n-hexyl, 1-methylpentyl, , n-heptyl, 1-methylhexyl, cyclopentylmethyl, cyclohexylmethyl, octyl, n-octyl, tert-octyl, 1-methylheptyl, But are not limited to, dimethylheptyl, 1-ethyl-propyl, 1,1-dimethyl-propyl, isohexyl, 2-methylpentyl, 4-methylhexyl and 5-methylhexyl.
본 명세서에 있어서, 상기 알케닐기는 직쇄 또는 분지쇄일 수 있고, 탄소수는 특별히 한정되지 않으나, 2 내지 40인 것이 바람직하다. 일 실시상태에 따르면, 상기 알케닐기의 탄소수는 2 내지 20이다. 또 하나의 실시상태에 따르면, 상기 알케닐기의 탄소수는 2 내지 10이다. 또 하나의 실시상태에 따르면, 상기 알케닐기의 탄소수는 2 내지 6이다. 구체적인 예로는 비닐, 1-프로페닐, 이소프로페닐, 1-부테닐, 2-부테닐, 3-부테닐, 1-펜테닐, 2-펜테닐, 3-펜테닐, 3-메틸-1-부테닐, 1,3-부타디에닐, 알릴, 1-페닐비닐-1-일, 2-페닐비닐-1-일, 2,2-디페닐비닐-1-일, 2-페닐-2-(나프틸-1-일)비닐-1-일, 2,2-비스(디페닐-1-일)비닐-1-일, 스틸베닐기, 스티레닐기 등이 있으나 이들에 한정되지 않는다.In the present specification, the alkenyl group may be straight-chain or branched, and the number of carbon atoms is not particularly limited, but is preferably 2 to 40. According to one embodiment, the alkenyl group has 2 to 20 carbon atoms. According to another embodiment, the alkenyl group has 2 to 10 carbon atoms. According to another embodiment, the alkenyl group has 2 to 6 carbon atoms. Specific examples include vinyl, 1-propenyl, isopropenyl, 1-butenyl, 2-butenyl, 3-butenyl, 1-pentenyl, Butenyl, allyl, 1-phenylvinyl-1-yl, 2-phenylvinyl-1-yl, (Diphenyl-1-yl) vinyl-1-yl, stilbenyl, stilenyl, and the like.
본 명세서에 있어서, 사이클로알킬기는 특별히 한정되지 않으나, 탄소수 3 내지 60인 것이 바람직하며, 일 실시상태에 따르면, 상기 사이클로알킬기의 탄소수는 3 내지 30이다. 또 하나의 실시상태에 따르면, 상기 사이클로알킬기의 탄소수는 3 내지 20이다. 또 하나의 실시상태에 따르면, 상기 사이클로알킬기의 탄소수는 3 내지 6이다. 구체적으로 사이클로프로필, 사이클로부틸, 사이클로펜틸, 3-메틸사이클로펜틸, 2,3-디메틸사이클로펜틸, 사이클로헥실, 3-메틸사이클로헥실, 4-메틸사이클로헥실, 2,3-디메틸사이클로헥실, 3,4,5-트리메틸사이클로헥실, 4-tert-부틸사이클로헥실, 사이클로헵틸, 사이클로옥틸 등이 있으나, 이에 한정되지 않는다.In the present specification, the cycloalkyl group is not particularly limited, but preferably has 3 to 60 carbon atoms. According to one embodiment, the cycloalkyl group has 3 to 30 carbon atoms. According to another embodiment, the cycloalkyl group has 3 to 20 carbon atoms. According to another embodiment, the cycloalkyl group has 3 to 6 carbon atoms. Specific examples include cyclopropyl, cyclobutyl, cyclopentyl, 3-methylcyclopentyl, 2,3-dimethylcyclopentyl, cyclohexyl, 3-methylcyclohexyl, 4-methylcyclohexyl, 2,3- 4,5-trimethylcyclohexyl, 4-tert-butylcyclohexyl, cycloheptyl, cyclooctyl, and the like, but are not limited thereto.
본 명세서에 있어서, 아릴기는 특별히 한정되지 않으나 탄소수 6 내지 60인 것이 바람직하며, 단환식 아릴기 또는 다환식 아릴기일 수 있다. 일 실시상태에 따르면, 상기 아릴기의 탄소수는 6 내지 30이다. 일 실시상태에 따르면, 상기 아릴기의 탄소수는 6 내지 20이다. 상기 아릴기가 단환식 아릴기로는 페닐기, 바이페닐기, 터페닐기 등이 될 수 있으나, 이에 한정되는 것은 아니다. 상기 다환식 아릴기로는 나프틸기, 안트라세닐기, 페난트릴기, 파이레닐기, 페릴레닐기, 크라이세닐기, 플루오레닐기 등이 될 수 있으나, 이에 한정되는 것은 아니다.In the present specification, the aryl group is not particularly limited, but preferably has 6 to 60 carbon atoms, and may be a monocyclic aryl group or a polycyclic aryl group. According to one embodiment, the aryl group has 6 to 30 carbon atoms. According to one embodiment, the aryl group has 6 to 20 carbon atoms. The aryl group may be a phenyl group, a biphenyl group, a terphenyl group or the like as the monocyclic aryl group, but is not limited thereto. Examples of the polycyclic aryl group include, but are not limited to, a naphthyl group, an anthracenyl group, a phenanthryl group, a pyrenyl group, a perylenyl group, a klycenyl group and a fluorenyl group.
본 명세서에 있어서, 플루오레닐기는 치환될 수 있고, 치환기 2개가 서로 결합하여 스피로 구조를 형성할 수 있다. 상기 플루오레닐기가 치환되는 경우, 등이 될 수 있다. 다만, 이에 한정되는 것은 아니다.In the present specification, a fluorenyl group may be substituted, and two substituents may be bonded to each other to form a spiro structure. When the fluorenyl group is substituted, And the like. However, the present invention is not limited thereto.
본 명세서에 있어서, 헤테로아릴은 이종 원소로 O, N, Si 및 S 중 1개 이상을 포함하는 헤테로아릴로서, 탄소수는 특별히 한정되지 않으나, 탄소수 2 내지 60인 것이 바람직하다. 헤테로아릴의 예로는 티오펜기, 퓨란기, 피롤기, 이미다졸기, 티아졸기, 옥사졸기, 옥사디아졸기, 트리아졸기, 피리딜기, 비피리딜기, 피리미딜기, 트리아진기, 트리아졸기, 아크리딜기, 피리다진기, 피라지닐기, 퀴놀리닐기, 퀴나졸린기, 퀴녹살리닐기, 프탈라지닐기, 피리도 피리미디닐기, 피리도 피라지닐기, 피라지노 피라지닐기, 이소퀴놀린기, 인돌기, 카바졸기, 벤조옥사졸기, 벤조이미다졸기, 벤조티아졸기, 벤조카바졸기, 벤조티오펜기, 디벤조티오펜기, 벤조퓨라닐기, 페난쓰롤린기(phenanthroline), 티아졸릴기, 이소옥사졸릴기, 옥사디아졸릴기, 티아디아졸릴기, 벤조티아졸릴기, 페노티아지닐기 및 디벤조퓨라닐기 등이 있으나, 이들에만 한정되는 것은 아니다.In the present specification, heteroaryl is heteroaryl containing at least one of O, N, Si and S as a hetero atom, and the number of carbon atoms is not particularly limited, but is preferably 2 to 60 carbon atoms. Examples of the heteroaryl include a thiophene group, a furane group, a furyl group, an imidazole group, a thiazole group, an oxazole group, an oxadiazole group, a triazole group, a pyridyl group, a bipyridyl group, a pyrimidyl group, A pyridazinyl group, a pyrazinopyranyl group, an isoquinoline group, a pyridazinyl group, a pyrazinyl group, a pyrazinyl group, a pyrazinyl group, a pyrazinyl group, a quinolinyl group, a quinazolinyl group, a quinoxalinyl group, a phthalazinyl group, a pyridopyrimidinyl group, A benzothiazole group, a benzothiophene group, a benzofuranyl group, a phenanthroline group, a thiazolyl group, an isoaryl group, a thiazolyl group, an isothiazolyl group, An oxazolyl group, an oxadiazolyl group, a thiadiazolyl group, a benzothiazolyl group, a phenothiazinyl group, and a dibenzofuranyl group, but is not limited thereto.
본 명세서에 있어서, 아르알킬기, 아르알케닐기, 알킬아릴기, 아릴아민기 중의 아릴기는 전술한 아릴기의 예시와 같다. 본 명세서에 있어서, 아르알킬기, 알킬아릴기, 알킬아민기 중 알킬기는 전술한 알킬기의 예시와 같다. 본 명세서에 있어서, 헤테로아릴아민 중 헤테로아릴은 전술한 헤테로아릴에 관한 설명이 적용될 수 있다. 본 명세서에 있어서, 아르알케닐기 중 알케닐기는 전술한 알케닐기의 예시와 같다. 본 명세서에 있어서, 아릴렌은 2가기인 것을 제외하고는 전술한 아릴기에 관한 설명이 적용될 수 있다. 본 명세서에 있어서, 헤테로아릴렌은 2가기인 것을 제외하고는 전술한 헤테로아릴에 관한 설명이 적용될 수 있다. 본 명세서에 있어서, 탄화수소 고리는 1가기가 아니고, 2개의 치환기가 결합하여 형성한 것을 제외하고는 전술한 아릴기 또는 사이클로알킬기에 관한 설명이 적용될 수 있다. 본 명세서에 있어서, 헤테로고리는 1가기가 아니고, 2개의 치환기가 결합하여 형성한 것을 제외하고는 전술한 헤테로아릴에 관한 설명이 적용될 수 있다.In the present specification, the aryl group in the aralkyl group, the aralkenyl group, the alkylaryl group and the arylamine group is the same as the aforementioned aryl group. In the present specification, the alkyl group in the aralkyl group, the alkylaryl group, and the alkylamine group is the same as the alkyl group described above. In the present specification, the heteroaryl among the heteroarylamines can be applied to the heteroaryl described above. In the present specification, the alkenyl group in the aralkenyl group is the same as the above-mentioned alkenyl group. In the present specification, the description of the aryl group described above can be applied except that arylene is a divalent group. In this specification, the description of the above-mentioned heteroaryl can be applied except that the heteroarylene is a divalent. In the present specification, the description of the above-mentioned aryl group or cycloalkyl group can be applied except that the hydrocarbon ring is not a monovalent group and two substituents are bonded to each other. In the present specification, the description of heteroaryl described above can be applied, except that the heterocycle is not monovalent and two substituents are bonded to each other.
한편, 본 발명에 따른 유기금속 화합물은 상기 화학식 1 내지 3 중 어느 하나로 표시된다. 상기 화학식 1 내지 3 중 어느 하나로 표시되는 화합물은 하나 이상의 실릴기로 치환되고 및 N원자 함유 헤테로고리를 갖는 리간드를 가져, 이러한 유기금속 화합물을 채용한 유기 발광 소자의 구동 전압, 구명 및 효율을 향상시키는 효과를 갖는다. Meanwhile, the organometallic compound according to the present invention is represented by any one of formulas (1) to (3). The compound represented by any one of
이때, 상기 화학식 1 내지 3에서, T는 치환 또는 비치환된 실릴기로서, SiR11R12R13로 나타낼 수 있다. 여기서 R11 내지 R13은 각각 독립적으로, 수소; 중수소; 할로겐; 시아노; 니트로; 아미노; 치환 또는 비치환된 C1-60 알킬; 치환 또는 비치환된 C1-60 할로알킬; 치환 또는 비치환된 C1-60 알콕시; 치환 또는 비치환된 C1-60 할로알콕시; 치환 또는 비치환된 C3-60 사이클로알킬; 치환 또는 비치환된 C2-60 알케닐; 치환 또는 비치환된 C6-60 아릴; 치환 또는 비치환된 C6-60 아릴옥시; 또는 치환 또는 비치환된 N, O 및 S 중 1개 이상을 포함하는 C1-60 헤테로아릴일 수 있다.In the general formulas (1) to (3), T represents a substituted or unsubstituted silyl group, which may be represented by SiR 11 R 12 R 13 . Wherein R 11 to R 13 each independently represent hydrogen; heavy hydrogen; halogen; Cyano; Nitro; Amino; Substituted or unsubstituted C 1-6 alkyl; Substituted or unsubstituted C 1-6 haloalkyl; Substituted or unsubstituted C 1-60 alkoxy; Substituted or unsubstituted C 1-60 haloalkoxy; Substituted or unsubstituted C 3-60 cycloalkyl; Substituted or unsubstituted C 2-60 alkenyl; Substituted or unsubstituted C 6-60 aryl; Substituted or unsubstituted C 6-60 aryloxy; Or substituted or unsubstituted C 1-60 heteroaryl containing one or more of N, O and S.
보다 구체적으로는 R11 내지 R13은 각각 독립적으로, 치환 또는 비치환된 C1-10 알킬일 수 있으며, 보다 더 구체적으로는 각각 독립적으로, 비치환된 C1-10 알킬일 수 있다.More specifically, R 11 to R 13 may each independently be substituted or unsubstituted C 1-10 alkyl, and more particularly, each independently, may be unsubstituted C 1-10 alkyl.
예를 들어, 상기 R11 내지 R13은 각각 독립적으로, 메틸, 에틸, 프로필, 이소프로필, 부틸, 이소부틸, sec-부틸, 또는 tert-부틸일 수 있으며, 이중에서도 R11 내지 R13은 각각 메틸일 수 있다. For example, the R 11 to R 13 is R 11 to R 13 each independently represent a methyl, ethyl, propyl, isopropyl, butyl, isobutyl, sec- may be a butyl, or tert- butyl, double in each Methyl.
일 구현예에 따르면, 상기 화학식 1 내지 3에서, M은 구체적으로 이리듐(Ir)일 수 있다.According to one embodiment, in the above general formulas (1) to (3), M may specifically be iridium (Ir).
또한, 상기 화학식 1 내지 3에서, R1 내지 R4는 각각 독립적으로, 수소; 중수소; 비치환되거나, 또는 중수소로 치환된 C1-10 알킬; 또는 비치환되거나, 또는 중수소로 치환된 C6-10 아릴일 수 있다. In the
보다 구체적으로는, 상기 화학식 1 내지 3에서, R1 내지 R4는 각각 독립적으로, 수소; 중수소; 메틸; 중수소로 치환된 메틸; 에틸; 이소프로필; 이소부틸; 또는 페닐일 수 있다.More specifically, in the
또한, 상기 화학식 1 내지 3에서, a1은 R1의 개수를 나타낸 것으로서, a1이 2 이상일 경우, 2 이상의 R1은 서로 동일하거나 상이할 수 있다. a2에 대한 설명은 상기 a1에 대한 설명 및 화학식 1의 구조를 참조하여 이해될 수 있다.In the above formulas (1) to (3), a1 represents the number of R 1 , and when a1 is 2 or more, two or more R 1 s may be the same or different. The description of a2 can be understood with reference to the description of a1 and the structure of the formula (1).
구체적으로, 상기 화학식 1 내지 3에서, a1 및 a2는 각각 독립적으로, 0 또는 1일 수 있다. Specifically, in the above formulas (1) to (3), a1 and a2 each independently represent 0 or 1.
또한, 상기 화학식 1 내지 3에서, b1 내지 b3는 T 치환기, 즉, SiR11R12R13의 개수를 나타낸 것으로서, b1이 2 이상일 경우, 2 이상의 SiR11R12R13은 서로 동일하거나 상이할 수 있다. b2 및 b3에 대한 설명은 상기 b1에 대한 설명 및 화학식 2 및 3의 구조를 참조하여 이해될 수 있다.Further, in the
구체적으로, 상기 화학식 1 내지 3에서, b1 내지 b3는 1일 수 있다.Specifically, in
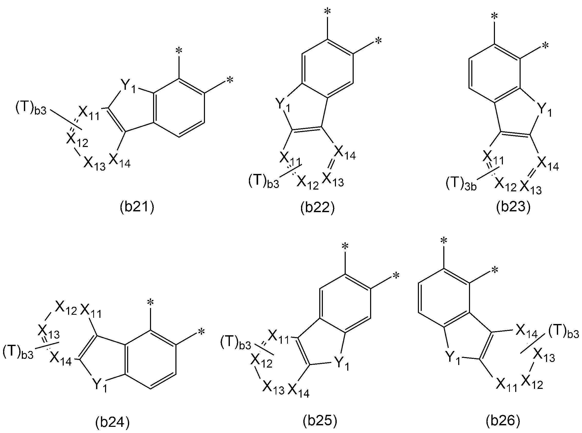
또한, 상기 화학식 1 내지 3에서, X1 내지 X6 중 이웃하는 2 개는 상기 화학식 1a와 C-C 결합으로 연결되는 C이고, 나머지는 각각 독립적으로, N 또는 CR3이다. 이에 따라 상기 화학식 1a의 결합 위치에 따라, 상기 B 고리는 다양한 구조를 가질 수 있다.In the above general formulas (1) to (3), two adjacent X 1 to X 6 are C connected by the CC bond in the above formula (1a), and the others are independently N or CR 3 . Accordingly, the B ring may have various structures according to the bonding position of the formula (1a).
구체적으로, 상기 화학식 1 및 2에서, B 고리는 하기 b11 내지 b16으로 표시되는 구조 중 어느 하나의 구조를 갖는 것일 수 있다:Specifically, in the above formulas (1) and (2), the B ring may have any one of the structures represented by the following b11 to b16:
상기 화학식 b11 내지 b16 에 있어서, In the above formulas b11 to b16,
X11 내지 X14는 각각 독립적으로, CR4이며, 이때 R4는 앞서 정의한 바와 같고, X 11 to X 14 are each independently CR 4 , wherein R 4 is as defined above,
Y1은 O, S, 또는 Se이고,Y 1 is O, S, or Se,
*는 상기 화학식 1 및 2에서 A 고리 및 M과 각각 연결되는 부분을 나타낸다.* Represents a moiety connected to A rings and M in the above formulas (1) and (2), respectively.
또, 상기 화학식 3에서, B 고리는 구체적으로 하기 b21 내지 b26으로 표시되는 구조 중 어느 하나의 구조를 갖는 것일 수 있다:In the above formula (3), the ring B may specifically have one of the structures represented by the following b21 to b26:
상기 화학식 b21 내지 b26 에 있어서, T 및 b3은 앞서 정의한 바와 같고, In the above formulas b21 to b26, T and b3 are as defined above,
X11 내지 X14는 각각 독립적으로, N 또는 CR4이되, X11 내지 X14 중 적어도 하나는 N이고, R4는 앞서 정의한 바와 같으며, X 11 to X 14 are each independently N or CR 4 , at least one of X 11 to X 14 is N, R 4 is as defined above,
Y1은 O, S, 또는 Se이고,Y 1 is O, S, or Se,
*는 상기 화학식 3에서 A 고리 및 M과 연결되는 부분을 나타낸다.* Represents a moiety connected to A ring and M in
구체적으로, 상기 유기금속 화합물은 하기 화학식 1-1 내지 3-1 중 어느 하나로 표시되는 화합물일 수 있다:Specifically, the organometallic compound may be a compound represented by any one of the following formulas (1-1) to (3-1)
[화학식 1-1][Formula 1-1]
[화학식 2-1] [Formula 2-1]
[화학식 3-1][Formula 3-1]
상기 화학식 1-1 내지 3-1에서,In the above Formulas 1-1 to 3-1,
M, X1 내지 X6, X11 내지 X14, Y1, R1 및 R2, R11 내지 R13, a1, a2, b1, b2, b3 및 n은 앞서 정의한 바와 같다.M, X 1 to X 6 , X 11 to X 14 , Y 1 , R 1 and R 2 , R 11 to R 13 , a 1, a 2,
보다 구체적으로, 상기 화학식 1-1에서, More specifically, in Formula 1-1,
R1 및 R2는 각각 독립적으로, 수소; 중수소; 비치환되거나, 또는 중수소로 치환된 C1-10 알킬; 또는 비치환되거나, 또는 중수소로 치환된 C6-10 아릴이고,보다 구체적으로는 각각 메틸이며,R 1 and R 2 are each independently hydrogen; heavy hydrogen; C 1-10 alkyl unsubstituted or substituted by deuterium; Or C 6-10 aryl which is unsubstituted or substituted by deuterium, more specifically methyl,
R11 내지 R13은 각각 독립적으로, 치환 또는 비치환된 C1-10 알킬이고,R 11 to R 13 are each independently a substituted or unsubstituted C 1-10 alkyl,
B 고리는 상기 b11 내지 b16으로 표시되는 구조 중 어느 하나의 구조를 가지며, The ring B has any one of the structures represented by the above-mentioned b11 to b16,
상기 b11 내지 b16의 구조에 있어서, X11 내지 X14는 각각 독립적으로, CR4이고, Y1은 O, S, 또는 Se이고, R4는 수소; 중수소; 비치환되거나, 또는 중수소로 치환된 C1-10 알킬; 또는 비치환되거나, 또는 중수소로 치환된 C6-10 아릴이며, In the structure of the b11 to b16, X 11 to X 14 are each, independently, is CR 4, Y 1 is O, and S, or Se, R 4 is hydrogen; heavy hydrogen; C 1-10 alkyl unsubstituted or substituted by deuterium; Or C 6-10 aryl which is unsubstituted or substituted by deuterium,
a1 및 a2는 각각 독립적으로, 0 또는 1이고, a1 and a2 are each independently 0 or 1,
b1은 1이며, b1 is 1,
n은 1 또는 2일 수 있다.n may be 1 or 2.
또한, 상기 화학식 2-1에서, In the above formula (2-1)
R1 및 R2는 각각 독립적으로, 수소; 중수소; 비치환되거나, 또는 중수소로 치환된 C1-10 알킬; 또는 비치환되거나, 또는 중수소로 치환된 C6-10 아릴이고,R 1 and R 2 are each independently hydrogen; heavy hydrogen; C 1-10 alkyl unsubstituted or substituted by deuterium; Or C 6-10 aryl which is unsubstituted or substituted by deuterium,
R11 내지 R13은 각각 독립적으로, 치환 또는 비치환된 C1-10 알킬이고,R 11 to R 13 are each independently a substituted or unsubstituted C 1-10 alkyl,
B 고리는 상기 b11 내지 b16으로 표시되는 구조 중 어느 하나의 구조를 가지며, The ring B has any one of the structures represented by the above-mentioned b11 to b16,
상기 b11 내지 b16의 구조에 있어서, X11 내지 X14는 각각 독립적으로, CR4이고, Y1은 O, S, 또는 Se이고, R4는 수소; 중수소; 비치환되거나, 또는 중수소로 치환된 C1-10 알킬; 또는 비치환되거나, 또는 중수소로 치환된 C6-10 아릴이며,In the structure of the b11 to b16, X 11 to X 14 are each, independently, is CR 4, Y 1 is O, and S, or Se, R 4 is hydrogen; heavy hydrogen; C 1-10 alkyl unsubstituted or substituted by deuterium; Or C 6-10 aryl which is unsubstituted or substituted by deuterium,
a1 및 a2는 각각 독립적으로, 0 또는 1이고, a1 and a2 are each independently 0 or 1,
b2은 1이며, b2 is 1,
n은 1 또는 2일 수 있다. n may be 1 or 2.
또한, 상기 화학식 3-1에서, In the above formula (3-1)
R1 및 R2는 각각 독립적으로, 수소; 중수소; 비치환되거나, 또는 중수소로 치환된 C1-10 알킬; 또는 비치환되거나, 또는 중수소로 치환된 C6-10 아릴이고,R 1 and R 2 are each independently hydrogen; heavy hydrogen; C 1-10 alkyl unsubstituted or substituted by deuterium; Or C 6-10 aryl which is unsubstituted or substituted by deuterium,
B 고리는 하기 b21-1 내지 b21-4의 구조들 중 어느 하나의 구조를 가질 수 있다: The ring B may have the structure of any one of the structures of the following formulas b21-1 to b21-4:
상기 화학식 b21-1 내지 b21-4에 있어서,In Formulas b21-1 to b21-4,
Y1은 O, S 또는 Se이고,Y 1 is O, S or Se,
R11 내지 R13은 각각 독립적으로, 치환 또는 비치환된 C1-10 알킬이며, 보다 구체적으로는 각각 메틸이며,R 11 to R 13 each independently represent a substituted or unsubstituted C 1-10 alkyl group, more specifically, a methyl group,
*는 상기 화학식 1 및 2에서 A 고리 및 M과 연결되는 부분을 나타내며,* Represents a moiety connected to A rings and M in
a1 및 a2는 각각 독립적으로, 0 또는 1이고,a1 and a2 are each independently 0 or 1,
b3은 1이며,b3 is 1,
n은 0 또는 2일 수 있다. n may be 0 or 2.
보다 구체적으로, 상기 유기금속 화합물은 하기 화합물들로 이루어진 군으로부터 선택되는 것일 수 있다. More specifically, the organometallic compound may be selected from the group consisting of the following compounds.
상기 화학식 1 내지 3 중 어느 하나로 표시되는 유기금속 화합물은, 리간드에 실릴기를 포함함으로써, 이를 이용한 유기 발광 소자의 수명을 증가시키는 효과를 나타낼 수 있다. 또한, 상기 화학식 3으로 표시되는 유기금속 화합물은, 리간드에 디벤조퓨란과 같은 N 원자를 함유하지 않은 헤테로고리 대신 벤조퓨로피리딘과 같은 N 원자 함유 헤테로 고리를 도입함으로써 화합물 내 전자를 풍부하게 하여 전자를 밀어주는 효과를 나타낼 수 있다. 따라서, 이를 이용한 유기 발광 소자는 고효율, 고휘도 및 장수명 등을 가질 수 있다. The organometallic compound represented by any one of
이때, 상기 화학식 1로 표시되는 유기금속 화합물은 일례로 하기 반응식 1과 같은 리간드 교환반응을 통해 제조될 수 있으나, 이에 한정되는 것은 아니다. 상기 제조 방법은 후술할 제조예에서 보다 구체화될 수 있다. Here, the organometallic compound represented by
[반응식 1][Reaction Scheme 1]
상기 반응식 1에서, In the
D1는 또는 이고, D 1 is or ego,
E1는 또는 이되, D1이 일 때, E1이 은 아니며, E 1 is or Provided that, D 1 is E 1 < / RTI > And,
X는 SO3CF3, BF4, 또는 PF6이며, X is SO 3 CF 3 , BF 4 , or PF 6 ,
M, X1 내지 X6, R1, R2, T, a1, a2, b1 및 n은 화학식 1에서 정의한 바와 같다. M, X 1 to X 6 , R 1 , R 2 , T, a 1 , a 2 ,
상기 반응은 극성 용매 중에서 수행될 수 있으며, 구체적으로는 메탄올, 에탄올 등과 같은 알코올계 용매 중에서 수행될 수 있다. The reaction can be carried out in a polar solvent, specifically, in an alcoholic solvent such as methanol, ethanol and the like.
상기 반응식 1 및 화학식 1의 구조를 참고하여 출발 물질인 화합물 (Ia) 및 (Ib)을 적절히 대체함으로써 제조하고자 하는 상기 화학식 1로 표시되는 유기금속 화합물의 제조가 가능하다. It is possible to prepare the organometallic compound represented by the above formula (1) to be prepared by appropriately substituting the starting materials compounds (Ia) and (Ib) with reference to the structures of the
또한, 상기 화학식 2로 표시되는 유기금속 화합물 역시 일례로 하기 반응식 2과 같은 리간드 교환반응을 통해 제조될 수 있으나, 이에 한정되는 것은 아니다. 상기 제조 방법은 후술할 제조예에서 보다 구체화될 수 있다. The organometallic compound represented by
[반응식 2][Reaction Scheme 2]
상기 반응식 2에서, In the
D2는 또는 이고, D 2 is or ego,
E2는 또는 이되, D2가 일 때, E2가 은 아니며, E 2 is or Provided that, D 2 is E2 < / RTI > And,
X는 SO3CF3, BF4, 또는 PF6이며, X is SO 3 CF 3 , BF 4 , or PF 6 ,
M, X1 내지 X6, R1, R2, T, a1, a2, b2 및 n은 화학식 2에서 정의한 바와 같다. M, X 1 to X 6 , R 1 , R 2 , T, a 1 , a 2 , b 2 and n are as defined in the formula (2).
상기 반응식 2 및 화학식 2의 구조를 참고하여 출발 물질인 화합물 (IIa) 및 (IIb)을 적절히 대체함으로써 제조하고자 하는 상기 화학식 1로 표시되는 유기금속 화합물의 제조가 가능하다.It is possible to prepare the organometallic compound represented by the above formula (1) to be prepared by appropriately substituting the starting materials compounds (IIa) and (IIb) with reference to the structures of the above-mentioned
또한, 상기 화학식 3으로 표시되는 유기금속 화합물 역시 일례로 하기 반응식 3과 같은 리간드 교환반응을 통해 제조될 수 있으나, 이에 한정되는 것은 아니다. 상기 제조 방법은 후술할 제조예에서 보다 구체화될 수 있다. The organometallic compound represented by
[반응식 3][Reaction Scheme 3]
상기 반응식 3에서, In
D3은 또는 이고, D 3 is or ego,
E3은 또는 이되, D3이 일 때, E3이 은 아니며, E 3 is or However, D 3 Two days time, E 3 And,
X는 SO3CF3, BF4, 또는 PF6이며, X is SO 3 CF 3 , BF 4 , or PF 6 ,
M, X1 내지 X6, R1, R2, T, a1, a2, b3 및 n은 화학식 3에서 정의한 바와 같다. M, X 1 to X 6 , R 1 , R 2 , T, a 1 , a 2 ,
상기 반응식 3 및 화학식 3의 구조를 참고하여 출발 물질인 화합물 (IIIa) 및 (IIIb)을 적절히 대체함으로써 제조하고자 하는 상기 화학식 1로 표시되는 유기금속 화합물의 제조가 가능하다. It is possible to prepare the organometallic compound represented by the above formula (1) to be prepared by appropriately substituting the starting materials, compounds (IIIa) and (IIIb), by referring to the structures of the
또한, 본 발명의 다른 일 구현예에 따르면, 상기 화학식 1 내지 3 중 어느 하나로 표시되는 유기금속 화합물을 포함하는 유기 발광 소자가 제공된다.According to another embodiment of the present invention, there is provided an organic light emitting device comprising an organic metal compound represented by any one of
일례로, 상기 유기 발광 소자는 제1 전극; 상기 제1 전극과 대향하여 구비된 제2 전극; 및 상기 제1 전극과 상기 제2 전극 사이에 구비된 1층 이상의 유기물 층을 포함하는 유기 발광 소자로서, 상기 유기물 층 중 1층 이상은 상기 화학식 1 내지 3 중 어느 하나로 표시되는 유기금속 화합물을 포함할 수 있다.For example, the organic light emitting device includes a first electrode; A second electrode facing the first electrode; And at least one organic material layer provided between the first electrode and the second electrode, wherein at least one of the organic material layers contains an organometallic compound represented by any one of
또한, 상기 유기물 층은 발광층을 포함할 수 있고, 상기 발광층은 상기 화학식 1 내지 3 중 어느 하나로 표시되는 유기금속 화합물을 포함할 수 있다. 상기 발광층에서 상기 화학식 1 내지 3 중 어느 하나로 표시되는 유기금속 화합물은 도펀트 역할을 할 수 있다. 구체적으로, 상기 발광층에서 상기 화학식 1로 표시되는 유기금속 화합물은 인광 도펀트로서 포함될 수 있다. In addition, the organic layer may include a light emitting layer, and the light emitting layer may include an organic metal compound represented by any one of
이때, 상기 발광층은 공지의 호스트를 더 포함할 수 있다. 구체적으로, 상기 발광층에서 상기 호스트와 상기 화학식 1 내지 3 중 어느 하나로 표시되는 유기금속 화합물의 중량비는 99:1 내지 80:20일 수 있으나, 이에 한정되는 것은 아니다. At this time, the light emitting layer may further include a known host. Specifically, the weight ratio of the host to the organometallic compound represented by any one of
본 발명의 유기 발광 소자의 유기물 층은 단층 구조로 이루어질 수도 있으나, 2층 이상의 유기물 층이 적층된 다층 구조로 이루어질 수 있다. 예컨대, 본 발명의 유기 발광 소자는 유기물 층으로서 발광층 이외에, 상기 제1전극과 상기 발광층 사이의 정공 주입층 및 정공 수송층, 및 상기 발광층과 상기 제2전극 사이의 전자 수송층 및 전자 주입층을 더 포함하는 구조를 가질 수 있다. 또 상기 정공 수송층과 발광층 사이, 그리고 상기 발광층과 전자 수송층 사이에 각각 전자 저지층 및 정공 저지층 중 적어도 1층을 더 포함할 수도 있다. 그러나 유기 발광 소자의 구조는 이에 한정되지 않고 더 적은 수 또는 더 많은 수의 유기층을 포함할 수 있다.The organic material layer of the organic light emitting device of the present invention may have a single layer structure, but may have a multilayer structure in which two or more organic material layers are stacked. For example, in the organic light emitting device of the present invention, in addition to the light emitting layer as the organic material layer, a hole injecting layer and a hole transporting layer between the first electrode and the light emitting layer, and an electron transporting layer and an electron injecting layer between the light emitting layer and the second electrode are further included . ≪ / RTI > Further, at least one of an electron blocking layer and a hole blocking layer may be further disposed between the hole transporting layer and the light emitting layer, and between the light emitting layer and the electron transporting layer. However, the structure of the organic light emitting device is not limited thereto, and may include fewer or more organic layers.
한편, 본 발명에 따른 유기 발광 소자는, 기판 상에 양극, 1층 이상의 유기물 층 및 음극이 순차적으로 적층된 구조(normal type)의 유기 발광 소자일 수 있다. 또한, 본 발명에 따른 유기 발광 소자는 기판 상에 음극, 1층 이상의 유기물 층 및 양극이 순차적으로 적층된 역방향 구조(inverted type)의 유기 발광 소자일 수 있다. 예컨대, 본 발명의 일 실시예에 따른 유기 발광 소자의 구조는 도 1 및 2에 예시되어 있다.Meanwhile, the organic light emitting device according to the present invention may be a normal type organic light emitting device in which an anode, one or more organic layers, and a cathode are sequentially stacked on a substrate. In addition, the organic light emitting device according to the present invention may be an inverted type organic light emitting device in which a cathode, at least one organic material layer, and an anode are sequentially stacked on a substrate. For example, the structure of an organic light emitting diode according to an embodiment of the present invention is illustrated in FIGS.
도 1은 기판(1), 양극(2), 발광층(3), 음극(4)으로 이루어진 유기 발광 소자의 예를 도시한 것이다. 이와 같은 구조에 있어서, 상기 화학식 1 내지 3 중 어느 하나로 표시되는 유기금속 화합물은 상기 발광층에 포함될 수 있다. Fig. 1 shows an example of an organic light-emitting device comprising a
도 2는 기판 (1), 양극(2), 정공 주입층(5), 정공 수송층(6), 발광층(7), 전자수송층(8) 및 음극(4)로 이루어진 유기 발광 소자의 예를 도시한 것이다. 이와 같은 구조에 있어서, 상기 화학식 1 내지 3 중 어느 하나로 표시되는 유기금속 화합물은 상기 발광층에 포함될 수 있다.2 shows an example of an organic light emitting element comprising a
또, 본 발명의 일 실시예에 따른 유기 발광 소자는, 기판, 양극, 정공 주입층, 정공 수송층, 발광층, 정공 저지층, 전자 수송층, 전자 주입층 및 음극으로 이루어질 수 있으며, 이와 같은 구조에서 상기 화학식 1 내지 3 중 어느 하나로 표시되는 유기금속 화합물은 상기 발광층에 포함될 수 있다.In addition, the organic light emitting device according to an embodiment of the present invention may include a substrate, an anode, a hole injecting layer, a hole transporting layer, a light emitting layer, a hole blocking layer, an electron transporting layer, an electron injecting layer and a cathode. The organometallic compound represented by any one of formulas (1) to (3) may be included in the light emitting layer.
본 발명에 따른 유기 발광 소자는, 상기 유기물 층 중 1층 이상이 상기 화학식 1 내지 3 중 어느 하나로 표시되는 유기금속 화합물을 포함하는 것을 제외하고는 당 기술분야에 알려져 있는 재료와 방법으로 제조될 수 있다. 또한, 상기 유기 발광 소자가 복수개의 유기물 층을 포함하는 경우, 상기 유기물 층은 동일한 물질 또는 다른 물질로 형성될 수 있다. The organic light emitting device according to the present invention may be manufactured by materials and methods known in the art except that at least one of the organic material layers includes an organometallic compound represented by any one of
예컨대, 본 발명에 따른 유기 발광 소자는 기판 상에 제1 전극, 유기물 층 및 제2 전극을 순차적으로 적층시켜 제조할 수 있다. 이때, 스퍼터링법(sputtering)이나 전자빔 증발법(e-beam evaporation)과 같은 PVD(physical Vapor Deposition)방법을 이용하여, 기판 상에 금속 또는 전도성을 가지는 금속 산화물 또는 이들의 합금을 증착시켜 양극을 형성하고, 그 위에 정공 주입층, 정공 수송층, 발광층 및 전자 수송층을 포함하는 유기물 층을 형성한 후, 그 위에 음극으로 사용할 수 있는 물질을 증착시켜 제조할 수 있다. 이와 같은 방법 외에도, 기판 상에 음극 물질부터 유기물 층, 양극 물질을 차례로 증착시켜 유기 발광 소자를 만들 수 있다. For example, the organic light emitting device according to the present invention can be manufactured by sequentially laminating a first electrode, an organic layer, and a second electrode on a substrate. At this time, a metal or a metal oxide having conductivity or an alloy thereof is deposited on the substrate using a PVD (physical vapor deposition) method such as sputtering or e-beam evaporation to form an anode Forming an organic material layer including a hole injection layer, a hole transporting layer, a light emitting layer and an electron transporting layer thereon, and then depositing a material usable as a cathode on the organic material layer. In addition to such a method, an organic light emitting device can be formed by sequentially depositing a cathode material, an organic material layer, and a cathode material on a substrate.
또한, 상기 화학식 1 내지 3 중 어느 하나로 표시되는 화합물은 유기 발광 소자의 제조시 진공 증착법 뿐만 아니라 용액 도포법에 의하여 유기물 층으로 형성될 수 있다. 여기서, 용액 도포법이라 함은 스핀 코팅, 딥코팅, 닥터 블레이딩, 잉크젯 프린팅, 스크린 프린팅, 스프레이법, 롤 코팅 등을 의미하지만, 이들만으로 한정되는 것은 아니다.In addition, the compound represented by any one of
이와 같은 방법 외에도, 기판 상에 음극 물질로부터 유기물 층, 양극 물질을 차례로 증착시켜 유기 발광 소자를 제조할 수 있다(WO 2003/012890). 다만, 제조 방법이 이에 한정되는 것은 아니다. In addition to such a method, an organic light emitting device can be manufactured by sequentially depositing an organic material layer and a cathode material on a substrate from a cathode material (WO 2003/012890). However, the manufacturing method is not limited thereto.
일례로, 상기 제1 전극은 양극이고, 상기 제2 전극은 음극이거나, 또는 상기 제1 전극은 음극이고, 상기 제2 전극은 양극이다.In one example, the first electrode is an anode, the second electrode is a cathode, or the first electrode is a cathode and the second electrode is a cathode.
상기 양극 물질로는 통상 유기물 층으로 정공 주입이 원활할 수 있도록 일함수가 큰 물질이 바람직하다. 상기 양극 물질의 구체적인 예로는 바나듐, 크롬, 구리, 아연, 금과 같은 금속 또는 이들의 합금; 아연 산화물, 인듐 산화물, 인듐주석 산화물(ITO), 인듐아연 산화물(IZO)과 같은 금속 산화물; ZnO:Al 또는 SNO2:Sb와 같은 금속과 산화물의 조합; 폴리(3-메틸티오펜), 폴리[3,4-(에틸렌-1,2-디옥시)티오펜](PEDOT), 폴리피롤 및 폴리아닐린과 같은 전도성 고분자 등이 있으나, 이들에만 한정되는 것은 아니다. As the anode material, a material having a large work function is preferably used so that hole injection can be smoothly conducted to the organic material layer. Specific examples of the positive electrode material include metals such as vanadium, chromium, copper, zinc, and gold, or alloys thereof; Metal oxides such as zinc oxide, indium oxide, indium tin oxide (ITO), and indium zinc oxide (IZO); ZnO: Al or SNO 2: a combination of a metal and an oxide such as Sb; Conductive polymers such as poly (3-methylthiophene), poly [3,4- (ethylene-1,2-dioxy) thiophene] (PEDOT), polypyrrole and polyaniline.
상기 음극 물질로는 통상 유기물 층으로 전자 주입이 용이하도록 일함수가 작은 물질인 것이 바람직하다. 상기 음극 물질의 구체적인 예로는 마그네슘, 칼슘, 나트륨, 칼륨, 티타늄, 인듐, 이트륨, 리튬, 가돌리늄, 알루미늄, 은, 주석 및 납과 같은 금속 또는 이들의 합금; LiF/Al 또는 LiO2/Al과 같은 다층 구조 물질 등이 있으나, 이들에만 한정되는 것은 아니다. The negative electrode material is preferably a material having a small work function to facilitate electron injection into the organic material layer. Specific examples of the negative electrode material include metals such as magnesium, calcium, sodium, potassium, titanium, indium, yttrium, lithium, gadolinium, aluminum, silver, tin and lead or alloys thereof; Layer structure materials such as LiF / Al or LiO 2 / Al, but are not limited thereto.
상기 정공 주입층은 전극으로부터 정공을 주입하는 층으로, 정공 주입 물질로는 정공을 수송하는 능력을 가져 양극에서의 정공 주입효과, 발광층 또는 발광재료에 대하여 우수한 정공 주입 효과를 갖고, 발광층에서 생성된 여기자의 전자 주입층 또는 전자주입재료에의 이동을 방지하며, 또한, 박막 형성 능력이 우수한 화합물이 바람직하다. 정공 주입 물질의 HOMO(highest occupied molecular orbital)가 양극 물질의 일함수와 주변 유기물 층의 HOMO 사이인 것이 바람직하다. 정공 주입 물질의 구체적인 예로는 금속 포피린(porphyrin), 올리고티오펜, 아릴아민 계열의 유기물, 헥사니트릴헥사아자트리페닐렌 계열의 유기물, 퀴나크리돈(quinacridone)계열의 유기물, 페릴렌(perylene) 계열의 유기물, 안트라퀴논 및 폴리아닐린과 폴리티오펜 계열의 전도성 고분자 등이 있으나, 이들에만 한정 되는 것은 아니다. The hole injecting layer is a layer for injecting holes from an electrode. The hole injecting material has a hole injecting effect, and has a hole injecting effect on the light emitting layer or a light emitting material. A compound which prevents the migration of excitons to the electron injecting layer or the electron injecting material and is also excellent in the thin film forming ability is preferable. It is preferred that the highest occupied molecular orbital (HOMO) of the hole injecting material be between the work function of the anode material and the HOMO of the surrounding organic layer. Specific examples of the hole injecting material include metal porphyrin, oligothiophene, arylamine-based organic materials, hexanitrile hexaazatriphenylene-based organic materials, quinacridone-based organic materials, and perylene- , Anthraquinone, polyaniline and polythiophene-based conductive polymers, but the present invention is not limited thereto.
상기 정공 수송층은 정공 주입층으로부터 정공을 수취하여 발광층까지 정공을 수송하는 층으로, 정공 수송 물질로 양극이나 정공 주입층으로부터 정공을 수송받아 발광층으로 옮겨줄 수 있는 물질로 정공에 대한 이동성이 큰 물질이 적합하다. 구체적인 예로는 아릴아민 계열의 유기물, 전도성 고분자, 및 공액 부분과 비공액 부분이 함께 있는 블록 공중합체 등이 있으나, 이들에만 한정되는 것은 아니다. The hole transport layer is a layer that transports holes from the hole injection layer to the light emitting layer and transports holes from the anode or the hole injection layer to the light emitting layer by using a hole transport material. Is suitable. Specific examples include arylamine-based organic materials, conductive polymers, and block copolymers having a conjugated portion and a non-conjugated portion together, but are not limited thereto.
상기 발광 물질로는 정공 수송층과 전자 수송층으로부터 정공과 전자를 각각 수송받아 결합시킴으로써 가시광선 영역의 빛을 낼 수 있는 물질로서, 형광이나 인광에 대한 양자 효율이 좋은 물질이 바람직하다. 구체적인 예로 8-히드록시-퀴놀린 알루미늄 착물(Alq3); 카르바졸 계열 화합물; 이량체화 스티릴(dimerized styryl) 화합물; BAlq; 10-히드록시벤조 퀴놀린-금속 화합물; 벤족사졸, 벤즈티아졸 및 벤즈이미다졸 계열의 화합물; 폴리(p-페닐렌비닐렌)(PPV) 계열의 고분자; 스피로(spiro) 화합물; 폴리플루오렌, 루브렌 등이 있으나, 이들에만 한정되는 것은 아니다. The light emitting material is preferably a material capable of emitting light in the visible light region by transporting and receiving holes and electrons from the hole transporting layer and the electron transporting layer, respectively, and having good quantum efficiency for fluorescence or phosphorescence. Specific examples include 8-hydroxy-quinoline aluminum complex (Alq 3 ); Carbazole-based compounds; Dimerized styryl compounds; BAlq; 10-hydroxybenzoquinoline-metal compounds; Compounds of the benzoxazole, benzothiazole and benzimidazole series; Polymers of poly (p-phenylenevinylene) (PPV) series; Spiro compounds; Polyfluorene, rubrene, and the like, but are not limited thereto.
상기 발광층은 상술한 바와 같이 호스트 재료 및 도펀트 재료를 포함할 수 있다. 호스트 재료는 축합 방향족환 유도체 또는 헤테로환 함유 화합물 등이 있다. 구체적으로 축합 방향족환 유도체로는 안트라센 유도체, 피렌 유도체, 나프탈렌 유도체, 펜타센 유도체, 페난트렌 화합물, 플루오란텐 화합물 등이 있고, 헤테로환 함유 화합물로는 카바졸 유도체, 디벤조퓨란 유도체, 래더형 퓨란 화합물, 피리미딘 유도체 등이 있으나, 이에 한정되지 않는다. The light emitting layer may include a host material and a dopant material as described above. The host material is a condensed aromatic ring derivative or a heterocyclic compound. Specific examples of the condensed aromatic ring derivatives include anthracene derivatives, pyrene derivatives, naphthalene derivatives, pentacene derivatives, phenanthrene compounds, and fluoranthene compounds. Examples of the heterocycle-containing compounds include carbazole derivatives, dibenzofuran derivatives, Furan compounds, pyrimidine derivatives, and the like, but are not limited thereto.
구체적으로, 상기 호스트 재료로는 하기 화학식 4로 표시되는 화합물 및 화학식 5로 표시되는 화합물로 이루어진 군에서 선택되는 1종 또는 2종의 혼합물이 사용될 수 있다:Specifically, as the host material, one or a mixture of two or more selected from the group consisting of a compound represented by the following formula (4) and a compound represented by the following formula (5) may be used:
[화학식 4][Chemical Formula 4]
[화학식 5][Chemical Formula 5]
상기 화학식 4 및 5에 있어서,In the above formulas (4) and (5)
Ar1, Ar2, Ar3 및 Ar4는 각각 독립적으로 치환 또는 비치환된 C6-60 아릴; 또는 치환 또는 비치환된 N, O 및 S 중 1개 이상을 포함하는 C1-60 헤테로아릴이고,Ar 1 , Ar 2 , Ar 3 and Ar 4 are each independently substituted or unsubstituted C 6-60 aryl; Or substituted or unsubstituted C 1-60 heteroaryl containing at least one of N, O and S,
L는 결합; 치환 또는 비치환된 C6-60 아릴렌; 또는 O, N, Si 및 S 중 1개 이상의 헤테로원자를 포함하며, 치환 또는 비치환된 C2-60 헤테로아릴렌이고,L is a bond; Substituted or unsubstituted C 6-60 arylene; Or a substituted or unsubstituted C 2-60 heteroarylene containing at least one heteroatom selected from O, N, Si and S,
Ra 내지 Re는 각각 독립적으로, 수소, 중수소; 할로겐; 시아노; 니트로; 아미노; 치환 또는 비치환된 C1-60 알킬; 치환 또는 비치환된 C1-60 할로알킬; 치환 또는 비치환된 C1-60 알콕시; 치환 또는 비치환된 C1-60 할로알콕시; 치환 또는 비치환된 C3-60 사이클로알킬; 치환 또는 비치환된 C2-60 알케닐; 치환 또는 비치환된 C6-60 아릴; 치환 또는 비치환된 C6-60 아릴옥시; 또는 치환 또는 비치환된 N, O 및 S로 구성되는 군으로부터 선택되는 헤테로원자를 1개 이상 포함하는 C2-60 헤테로아릴이고,R a to R e each independently represent hydrogen, deuterium; halogen; Cyano; Nitro; Amino; Substituted or unsubstituted C 1-6 alkyl; Substituted or unsubstituted C 1-6 haloalkyl; Substituted or unsubstituted C 1-60 alkoxy; Substituted or unsubstituted C 1-60 haloalkoxy; Substituted or unsubstituted C 3-60 cycloalkyl; Substituted or unsubstituted C 2-60 alkenyl; Substituted or unsubstituted C 6-60 aryl; Substituted or unsubstituted C 6-60 aryloxy; Or substituted or unsubstituted C 2-60 heteroaryl containing at least one heteroatom selected from the group consisting of N, O and S,
p, q 및 r은 각각 독립적으로 0 내지 3의 정수이다.p, q and r each independently represent an integer of 0 to 3;
보다 구체적으로 상기 호스트 재료로는 하기 화학식 4a로 표시되는 화합물 및 화학식 5a로 표시되는 화합물로 이루어진 군에서 선택되는 1종 또는 2종의 혼합물이 사용될 수 있다:More specifically, as the host material, one or a mixture of two or more selected from the group consisting of a compound represented by the following formula (4a) and a compound represented by the following formula (5a) can be used:
[화학식 4a][Chemical Formula 4a]
[화학식 5a][Chemical Formula 5a]
도펀트 재료로는 상기 화학식 1 내지 3 중 어느 하나로 표시되는 화합물 이외에 추가적으로 방향족 아민 유도체, 스트릴아민 화합물, 붕소 착체, 플루오란텐 화합물, 금속 착체 등을 더 포함할 수 있다. 구체적으로 방향족 아민 유도체로는 치환 또는 비치환된 아릴아미노기를 갖는 축합 방향족환 유도체로서, 아릴아미노기를 갖는 피렌, 안트라센, 크리센, 페리플란텐 등이 있으며, 스티릴아민 화합물로는 치환 또는 비치환된 아릴아민에 적어도 1개의 아릴비닐기가 치환되어 있는 화합물로, 아릴기, 실릴기, 알킬기, 사이클로알킬기 및 아릴아미노기로 이루어진 군에서 1 또는 2 이상 선택되는 치환기가 치환 또는 비치환된다. 구체적으로 스티릴아민, 스티릴디아민, 스티릴트리아민, 스티릴테트라아민 등이 있으나, 이에 한정되지 않는다. 또한, 금속 착체로는 이리듐 착체, 백금 착체 등이 있으나, 이에 한정되지 않는다.The dopant material may further include an aromatic amine derivative, a styrylamine compound, a boron complex, a fluoranthene compound, a metal complex, and the like in addition to the compound represented by any one of
상기 전자 수송층은 전자 주입층으로부터 전자를 수취하여 발광층까지 전자를 수송하는 층으로 전자 수송 물질로는 음극으로부터 전자를 잘 주입 받아 발광층으로 옮겨줄 수 있는 물질로서, 전자에 대한 이동성이 큰 물질이 적합하다. 구체적인 예로는 8-히드록시퀴놀린의 Al 착물; Alq3를 포함한 착물; 유기 라디칼 화합물; 히드록시플라본-금속 착물 등이 있으나, 이들에만 한정되는 것은 아니다. 전자 수송층은 종래기술에 따라 사용된 바와 같이 임의의 원하는 캐소드 물질과 함께 사용할 수 있다. 특히, 적절한 캐소드 물질의 예는 낮은 일함수를 가지고 알루미늄층 또는 실버층이 뒤따르는 통상적인 물질이다. 구체적으로 세슘, 바륨, 칼슘, 이테르븀 및 사마륨이고, 각 경우 알루미늄 층 또는 실버층이 뒤따른다.The electron transporting layer is a layer that receives electrons from the electron injecting layer and transports electrons to the light emitting layer. The electron transporting material is a material capable of transferring electrons from the cathode well to the light emitting layer. Do. Specific examples include an Al complex of 8-hydroxyquinoline; Complexes containing Alq 3 ; Organic radical compounds; Hydroxyflavone-metal complexes, and the like, but are not limited thereto. The electron transporting layer can be used with any desired cathode material as used according to the prior art. In particular, an example of a suitable cathode material is a conventional material with a low work function followed by an aluminum layer or silver layer. Specifically cesium, barium, calcium, ytterbium and samarium, in each case followed by an aluminum layer or a silver layer.
상기 전자 주입층은 전극으로부터 전자를 주입하는 층으로, 전자를 수송하는 능력을 갖고, 음극으로부터의 전자 주입 효과, 발광층 또는 발광 재료에 대하여 우수한 전자주입 효과를 가지며, 발광층에서 생성된 여기자의 정공 주입층에의 이동을 방지하고, 또한, 박막형성능력이 우수한 화합물이 바람직하다. 구체적으로는 플루오레논, 안트라퀴노다이메탄, 다이페노퀴논, 티오피란 다이옥사이드, 옥사졸, 옥사다이아졸, 트리아졸, 이미다졸, 페릴렌테트라카복실산, 프레오레닐리덴 메탄, 안트론 등과 그들의 유도체, 금속 착체 화합물 및 질소 함유 5원환 유도체 등이 있으나, 이에 한정되지 않는다. The electron injection layer is a layer for injecting electrons from the electrode. The electron injection layer has the ability to transport electrons, has an electron injection effect from the cathode, and has an excellent electron injection effect with respect to the light emitting layer or the light emitting material. A compound which prevents migration to a layer and is excellent in a thin film forming ability is preferable. Specific examples thereof include fluorenone, anthraquinodimethane, diphenoquinone, thiopyran dioxide, oxazole, oxadiazole, triazole, imidazole, perylenetetracarboxylic acid, preorenylidene methane, A nitrogen-containing 5-membered ring derivative, and the like, but are not limited thereto.
상기 금속 착체 화합물로서는 8-하이드록시퀴놀리나토 리튬, 비스(8-하이드록시퀴놀리나토)아연, 비스(8-하이드록시퀴놀리나토)구리, 비스(8-하이드록시퀴놀리나토)망간, 트리스(8-하이드록시퀴놀리나토)알루미늄, 트리스(2-메틸-8-하이드록시퀴놀리나토)알루미늄, 트리스(8-하이드록시퀴놀리나토)갈륨, 비스(10-하이드록시벤조[h]퀴놀리나토)베릴륨, 비스(10-하이드록시벤조[h]퀴놀리나토)아연, 비스(2-메틸-8-퀴놀리나토)클로로갈륨, 비스(2-메틸-8-퀴놀리나토)(o-크레졸라토)갈륨, 비스(2-메틸-8-퀴놀리나토)(1-나프톨라토)알루미늄, 비스(2-메틸-8-퀴놀리나토)(2-나프톨라토)갈륨 등이 있으나, 이에 한정되지 않는다.Examples of the metal complex compound include 8-hydroxyquinolinato lithium, bis (8-hydroxyquinolinato) zinc, bis (8-hydroxyquinolinato) copper, bis (8- Tris (8-hydroxyquinolinato) aluminum, tris (2-methyl-8-hydroxyquinolinato) aluminum, tris (8- hydroxyquinolinato) gallium, bis (10- Quinolinato) beryllium, bis (10-hydroxybenzo [h] quinolinato) zinc, bis (2-methyl-8- quinolinato) chlorogallium, bis (2-methyl-8-quinolinato) (2-naphtholato) gallium, and the like, But is not limited thereto.
본 발명에 따른 유기 발광 소자는 사용되는 재료에 따라 전면 발광형, 후면 발광형 또는 양면 발광형일 수 있다.The organic light emitting device according to the present invention may be a front emission type, a back emission type, or a both-sided emission type, depending on the material used.
또한, 상기 화학식 1 내지 3 중 어느 하나로 표시되는 유기금속 화합물은 유기 발광 소자 외에도 유기 태양 전지 또는 유기 트랜지스터에 포함될 수 있다.The organic metal compound represented by any one of
상기 화학식 1 내지 3 중 어느 하나로 표시되는 유기금속 화합물 및 이를 포함하는 유기 발광 소자의 제조는 이하 실시예에서 구체적으로 설명한다. 그러나 하기 실시예는 본 발명을 예시하기 위한 것이며, 본 발명의 범위가 이들에 의하여 한정되는 것은 아니다.The organic metal compound represented by any one of
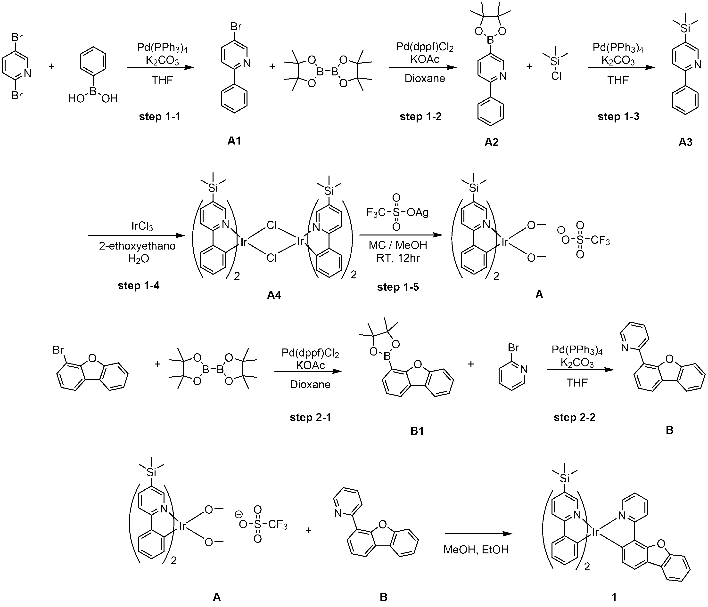
제조예Manufacturing example 1 One
단계 1-1: 화합물 A1 의 제조Step 1-1: Preparation of Compound A1
질소 분위기에서 둥근 바닥 플라스크에 2,5-브로모피리딘(2,5-bromopyridine)(15g, 63.63mmol, 1eq), 페닐보로닉산(phenylboronic acid) (8.1g, 66.49mmol, 1.1eq)를 테트라하이드로퓨란에 녹인 후 2M 탄산칼륨수용액 (120ml)을 첨가하고, 테트라키스-(트리페닐포스핀)팔라듐(1.4g, 1.20mmol, 0.02 eq)를 넣은 후 5 시간 동안 40 도씨에서 가열 교반하였다. 반응 종료 후 온도를 낮추고 수층을 분리한 뒤 유기층의 용매를 제거하였다. CHCl3 를 사용해 녹인 후 물로 씻어주고 황산마그네슘과 산성백토를 넣고 교반 후 여과하여 감압농축시켰다. 이 후 에틸아세테이트: 헥산 = 1:100 조건에서 컬럼크로마토그래피를 통해 분리한 화합물 A1(수율 77%)를 제조하였다.2,5-bromopyridine (15 g, 63.63 mmol, 1 eq) and phenylboronic acid (8.1 g, 66.49 mmol, 1.1 eq) were added to a round bottom flask in a nitrogen atmosphere, (1.4 g, 1.20 mmol, 0.02 eq) of tetrakis- (triphenylphosphine) palladium was added thereto, followed by heating and stirring at 40 ° C for 5 hours. After the completion of the reaction, the temperature was lowered, and the aqueous layer was separated and the organic layer was removed. After dissolving it with CHCl 3 , it was washed with water. Magnesium sulfate and acidic clay were added and stirred, followed by filtration and concentration under reduced pressure. Then, Compound A1 (yield: 77%) was isolated by column chromatography under the conditions of ethyl acetate: hexane = 1: 100.
단계 1-2: 화합물 A2 의 제조Step 1-2: Preparation of compound A2
둥근바닥 플라스크에 화합물 A1 (14g, 59.80mmol, 1eq), 4, 4, 5, 5-tetramethyl-[1, 3, 2]-dioxaboralane (30.4, 119.61mmol, 2eq), Pd(dppf)Cl2 (0.2g, 0.18mmol, 0.002eq), 다이옥산 300ml을 넣은 후 18 시간동안 환류조건에서 교반을 진행하였다. 상온으로 온도를 낮추고 용매를 감압 농축하였다. 이 농축액을 CHCl3 에 완전히 녹인 후 물로 씻어주고 생성물이 녹아있는 용액을 감압 농축하면서 에탄올에 침전시켜 A2(수율 80%)를 제조하였다.To a round bottom flask was added compound A1 (14g, 59.80mmol, 1eq) , 4, 4, 5, 5-tetramethyl- [1, 3, 2] -dioxaboralane (30.4, 119.61mmol, 2eq), Pd (dppf) Cl 2 ( 0.28 g, 0.18 mmol, 0.002 eq) and 300 ml of dioxane. The mixture was stirred at reflux for 18 hours. The temperature was lowered to room temperature and the solvent was concentrated under reduced pressure. The concentrate was completely dissolved in CHCl 3 and then washed with water. The solution in which the product was dissolved was concentrated to ethanol to precipitate A2 (yield 80%).
단계 1-3: 화합물 A3 의 제조Step 1-3: Preparation of compound A3
질소 분위기에서 둥근 바닥 플라스크에 A2 (15g, 53.35mmol, 1eq), chlorotrimethylsilane (6.4g, 58.69mmol, 1.1eq)를 테트라하이드로퓨란에 녹인In a nitrogen atmosphere, A2 (15 g, 53.35 mmol, 1 eq), chlorotrimethylsilane (6.4 g, 58.69 mmol, 1.1 eq) was dissolved in tetrahydrofuran
후 2M 탄산칼륨수용액 (90ml)를 첨가하고, 테트라키스-(트리페닐포스핀)팔라듐 (1.8g, 1.60mmol, 0.03 eq)를 넣은 후 18 시간동안 환류조건에서 교반을 진행하였다. 반응 종료 후 온도를 낮추고 수층을 분리한 뒤 유기층의 용매를 제거하였다. CHCl3 를 사용해 녹인 후 물로 씻어주고 황산마그네슘과 산성백토를 넣고 교반 후 여과하여 감압농축시켰다. 이 후 헥산 조건에서 컬럼크로마토그래피를 통해 분리한 화합물 A3(수율 83%)를 제조하였다.After adding 2M aqueous potassium carbonate solution (90 ml), tetrakis- (triphenylphosphine) palladium (1.8 g, 1.60 mmol, 0.03 eq) was added thereto and stirred at reflux for 18 hours. After the completion of the reaction, the temperature was lowered, and the aqueous layer was separated and the organic layer was removed. After dissolving it with CHCl 3 , it was washed with water. Magnesium sulfate and acidic clay were added and stirred, followed by filtration and concentration under reduced pressure. Subsequently, Compound A3 (yield: 83%) was isolated by column chromatography under the presence of hexane.
단계 1-4: 화합물 A4 의 제조Step 1-4: Preparation of compound A4
둥근바닥 플라스크에 이리듐클로라이드 (15 g, 50.24 mmol, 1eq)과 화합물 A3(28.6g, 125.60mmol, 2.5eq)를 2-에톡시에탄올 1000 ml 및 증류수 330ml 에 넣고 18 시간 동안 가열 교반하였다. 상온으로 온도를 낮추고 여과하여 에탄올 3L 로 wash 해주어 고체 화합물 A4(수율 53%)를 제조하였다.Iridium chloride (15 g, 50.24 mmol, 1 eq) and Compound A3 (28.6 g, 125.60 mmol, 2.5 eq) were added to 1000 ml of 2-ethoxyethanol and 330 ml of distilled water and the mixture was heated and stirred for 18 hours. The temperature was lowered to room temperature, filtered and washed with 3 L of ethanol to prepare a solid compound A4 (yield 53%).
단계 1-5: 화합물 A 의 제조Step 1-5: Preparation of Compound A
상기 단계 1-2 에서 제조한 A4(15 g, 8.68 mmol)와 메틸렌클로라이드 800 ml 를 넣은 AgOTf(4.7 g, 18.23 mmol)를 메탄올 300 ml 에 녹여 넣어준 뒤, 빛을 차단한 상태로 상온 교반하였다. 24 시간 뒤 필터한 후 걸러진 여액의 용매를 날리고 Toluene 침전하여 추가정제 없이 화합물 A(수율 70%)를 얻었다.AgOTf (4.7 g, 18.23 mmol) containing A4 (15 g, 8.68 mmol) prepared in the above Step 1-2 and 800 ml of methylene chloride was dissolved in 300 ml of methanol, and the mixture was stirred at room temperature . After 24 hours of filtration, the filtered filtrate was blown off and Toluene precipitated to give Compound A (yield 70%) without further purification.
단계 2-1: 화합물 B1 의 제조Step 2-1: Preparation of compound B1
둥근바닥 플라스크에 화합물 4-bromodibenzo[b,d]furan (10g, 40.47mmol, 1eq), 4, 4, 5, 5-tetramethyl-[1, 3, 2]-dioxaboralane (20.6, 80.94mmol, 2eq), Pd(dppf)Cl2 (0.1g, 0.08mmol, 0.002eq), 다이옥산 300ml 을 넣은 후 18 시간동안 환류조건에서 교반을 진행하였다. 상온으로 온도를 낮추고 용매를 감압 농축하였다. 이 농축액을 CHCl3 에 완전히 녹인 후 물로 씻어주고 생성물이 녹아있는 용액을 감압 농축하면서 에탄올에 침전시켜 B1(수율 92%)를 제조하였다.4, 5, 5-tetramethyl- [1,3,2] -dioxaboralane (20.6, 80.94 mmol, 2eq), 4-bromodibenzo [b, d] furan (10 g, 40.47 mmol, , Pd (dppf) Cl 2 (0.1 g, 0.08 mmol, 0.002 eq) and 300 ml of dioxane were added thereto, followed by stirring at reflux for 18 hours. The temperature was lowered to room temperature and the solvent was concentrated under reduced pressure. The concentrate was completely dissolved in CHCl 3 and then washed with water. The solution in which the product was dissolved was concentrated to ethanol to precipitate B1 (yield 92%).
단계 2-2: 화합물 B 의 제조Step 2-2: Preparation of compound B
질소 분위기에서 둥근 바닥 플라스크에 화합물 2-브로모피리딘 (10g, 63.29mmol, 1eq), 화합물 B1 (19.5g, 66.46mmol, 1.05eq)를 테트라하이드로퓨란에 녹인 후 2M 탄산칼륨수용액 (100ml)을 첨가하고, 테트라키스-(트리페닐포스핀)팔라듐(0.7g, 0.63mmol, 0.01 eq)를 넣은 후 환류조건에서 18 시간동안 교반하였다. 반응 종료 후 온도를 낮추고 수층을 분리한 뒤 유기층의 용매를 제거하였다. CHCl3 를 사용해 녹인 후 물로 씻어주고 황산마그네슘과 산성백토를 넣고 교반 후 여과하여 감압농축시켰다. 이 후 에틸아세테이트: 헥산 = 1:10 조건에서 컬럼크로마토그래피를 통해 분리한 화합물 B(수율 90%)를 제조하였다.Compound 2-bromopyridine (10g, 63.29mmol, 1eq) and Compound B1 (19.5g, 66.46mmol, 1.05eq) were dissolved in tetrahydrofuran in a round bottom flask under nitrogen atmosphere and 2M aqueous potassium carbonate solution (0.7 g, 0.63 mmol, 0.01 eq) of tetrakis- (triphenylphosphine) palladium and stirred at reflux for 18 hours. After the completion of the reaction, the temperature was lowered, and the aqueous layer was separated and the organic layer was removed. After dissolving it with CHCl 3 , it was washed with water. Magnesium sulfate and acidic clay were added and stirred, followed by filtration and concentration under reduced pressure. Subsequently, Compound B (90% yield) was isolated by column chromatography under the conditions of ethyl acetate: hexane = 1: 10.
단계 3-1: 화합물 1 의 제조Step 3-1: Preparation of
질소 분위기에서 둥근 바닥 플라스크에 화합물 A (8g, 7.69mmol, 1eq), 화합물 B (4.7g, 19.23mmol, 2.5eq), MeOH 50ml, EtOH 50ml 를 넣고 반응온도 90 도씨에서 48 시간동안 교반하였다. 반응 종료 후 필터하고 에틸아세테이트: 헥산 = 1:4 조건에서 컬럼크로마토그래피를 통해 분리한 화합물 1(수율 27%)를 제조하였다.Compound A (8 g, 7.69 mmol, 1 eq), compound B (4.7 g, 19.23 mmol, 2.5 eq), 50 ml of MeOH and 50 ml of EtOH were placed in a round bottom flask under nitrogen atmosphere and stirred for 48 hours at a reaction temperature of 90 ° C. After completion of the reaction, the reaction product was filtered and purified by column chromatography under the conditions of ethyl acetate: hexane = 1: 4 to prepare Compound 1 (yield 27%).
제조예Manufacturing example 2 2
단계 1-1: 화합물 Step 1-1: Compound C1 의C1 제조 Produce
2,5-dibromopyridine 대신 2,4-dibromopyridine 을 사용한 것을 제외하고 중간체 A1 을 제조하는 방법과 동일한 방법으로 상기 화합물 C1 을 제조하였다.Compound C1 was prepared in the same manner as Intermediate Al except that 2,4-dibromopyridine was used instead of 2,5-dibromopyridine.
단계 1-2: 화합물 C2 의 제조Step 1-2: Preparation of compound C2
A1 대신 C1을 사용한 것을 제외하고 중간체 A2 을 제조하는 방법과 동일한 방법으로 상기 화합물 C2 를 제조하였다.Compound C2 was prepared in the same manner as Intermediate A2 except for using C1 instead of A1.
단계 1-3: 화합물 C3 의 제조 Step 1-3: Preparation of Compound C3
A2 대신 C2를 사용한 것을 제외하고 중간체 A3 를 제조하는 방법과 동일한 방법으로 상기 화합물 C3 를 제조하였다.Compound C3 was prepared in the same manner as Intermediate A3 except for using C2 instead of A2.
단계 1-4: 화합물 C4 의 제조Step 1-4: Preparation of compound C4
A3 대신 C3 를 사용한 것을 제외하고 중간체 A4 를 제조하는 방법과 동일한 방법으로 상기 화합물 C4 를 제조하였다. Compound C4 was prepared in the same manner as Intermediate A4 except that C3 was used instead of A3.
단계 1-5: 화합물 C 의 제조 Step 1-5: Preparation of compound C
A4 대신 C4 를 사용한 것을 제외하고 화합물 A 를 제조하는 방법과 동일한 방법으로 상기 화합물 C 를 제조하였다.Compound C was prepared in the same manner as Compound A except that C4 was used instead of A4.
단계 2-1: 화합물 2 의 제조 Step 2-1: Preparation of
A 대신 C 를 사용한 것을 제외하고 화합물 1 을 제조하는 방법과 동일한 방법으로 상기 화합물 2 를 제조하였다.
제조예Manufacturing example 3 3
단계 1-1: 화합물 Step 1-1: Compound D1 의D1's 제조 Produce
2,5-dibromopyridine 대신 2,3-dibromopyridine 을 사용한 것을 제외하고 중간체 A1 을 제조하는 방법과 동일한 방법으로 상기 화합물 D1 를 제조하였다.Compound D1 was prepared in the same manner as Intermediate Al except that 2,3-dibromopyridine was used instead of 2,5-dibromopyridine.
단계 1-2: 화합물 Step 1-2: Compound D2 의Of D2 제조 Produce
A1 대신 D1 를 사용한 것을 제외하고 중간체 A2 을 제조하는 방법과 동일한 방법으로 상기 화합물 D2 를 제조하였다.Compound D2 was prepared in the same manner as Intermediate A2 except for using D1 instead of A1.
단계 1-3: 화합물 D3 의 제조Step 1-3: Preparation of compound D3
A2 대신 D2 을 사용한 것을 제외하고 중간체 A3 를 제조하는 방법과 동일한 방법으로 상기 화합물 D3 를 제조하였다. Compound D3 was prepared in the same manner as Intermediate A3 except for using D2 instead of A2.
단계 1-4: 화합물 D4 의 제조Step 1-4: Preparation of compound D4
A3 대신 D3 를 사용한 것을 제외하고 중간체 A4 를 제조하는 방법과 동일한 방법으로 상기 화합물 D4 를 제조하였다.Compound D4 was prepared in the same manner as Intermediate A4 except for using D3 instead of A3.
단계 1-5: 화합물 D 의 제조 Step 1-5: Preparation of compound D
A4 대신 D4 를 사용한 것을 제외하고 화합물 A 를 제조하는 방법과 동일한 방법으로 상기 화합물 D 를 제조하였다.Compound D was prepared in the same manner as Compound A except for using D4 instead of A4.
단계 2-1: 화합물 3 의 제조Step 2-1: Preparation of
A 대신 D 를 사용한 것을 제외하고 화합물 1 을 제조하는 방법과 동일한 방법으로 상기 화합물 3 을 제조하였다.
제조예Manufacturing example 4 4
단계 1-1: 화합물 Step 1-1: Compound E1 의E1 제조 Produce
4-bromodibenzo[b,d]furan 대신 3-bromodibenzo[b,d]furan을 사용한 것을 제외하고 중간체 B1 을 제조하는 방법과 동일한 방법으로 상기 화합물 E1 을 제조하였다.Compound E1 was prepared in the same manner as Intermediate B1 except that 3-bromodibenzo [b, d] furan was used instead of 4-bromodibenzo [b, d] furan.
단계 1-2: 화합물 E 의 제조Step 1-2: Preparation of Compound E
B1 대신 E1 을 사용한 것을 제외하고 화합물 B 를 제조하는 방법과 동일한 방법으로 상기 화합물 E 를 제조하였다.Compound E was prepared in the same manner as Compound B except that E1 was used instead of B1.
단계 2-1: 화합물 4 의 제조Step 2-1: Preparation of
화합물 B 대신 E 를 사용한 것을 제외하고 화합물 1 를 제조하는 방법과 동일한 방법으로 상기 화합물 4 를 제조하였다.
제조예Manufacturing example 5 5
단계 1-1: 화합물 Step 1-1: Compound F1 의F1's 제조 Produce
4-bromodibenzo[b,d]furan 대신 2-bromodibenzo[b,d]furan 을 사용한 것을 제외하고 중간체 B1 을 제조하는 방법과 동일한 방법으로 상기 화합물 F1 을 제조하였다.Compound F1 was prepared in the same manner as Intermediate B1 except that 2-bromodibenzo [b, d] furan was used instead of 4-bromodibenzo [b, d] furan.
단계 1-2: 화합물 F 의 제조Step 1-2: Preparation of Compound F
B1 대신 F1 을 사용한 것을 제외하고 화합물 B 를 제조하는 방법과 동일한 방법으로 상기 화합물 F 를 제조하였다.Compound F was prepared in the same manner as Compound B except that F1 was used instead of B1.
단계 2-1: 화합물 5 의 제조Step 2-1: Preparation of
화합물 B 대신 F 를 사용한 것을 제외하고 화합물 1 를 제조하는 방법과 동일한 방법으로 상기 화합물 5 를 제조하였다.
제조예Manufacturing example 6 6
단계 1-1: 화합물 Step 1-1: Compound G1 의G1's 제조 Produce
4-bromodibenzo[b,d]furan 대신 1-bromodibenzo[b,d]furan 을 사용한 것을 제외하고 중간체 B1 을 제조하는 방법과 동일한 방법으로 상기 화합물 G1 을 제조하였다.Compound G1 was prepared in the same manner as Intermediate B1 except for using 1-bromodibenzo [b, d] furan instead of 4-bromodibenzo [b, d] furan.
단계 1-2: 화합물 G 의 제조Step 1-2: Preparation of Compound G
B1 대신 G1 을 사용한 것을 제외하고 화합물 B 를 제조하는 방법과 동일한 방법으로 상기 화합물 G 를 제조하였다.Compound G was prepared in the same manner as Compound B except that G1 was used instead of B1.
단계 2-1: 화합물 5 의 제조Step 2-1: Preparation of
화합물 B 대신 G 를 사용한 것을 제외하고 화합물 1 를 제조하는 방법과 동일한 방법으로 상기 화합물 6 를 제조하였다.
제조예Manufacturing example 7 7
단계 1-1: 화합물 Step 1-1: Compound H1 의H1 제조 Produce
4-bromodibenzo[b,d]furan 대신 4-bromodibenzo[b,d]thiophene 을 사용한 것을 제외하고 중간체 B1 을 제조하는 방법과 동일한 방법으로 상기 화합물 H1 을 제조하였다.Compound H1 was prepared in the same manner as Intermediate B1 except that 4-bromodibenzo [b, d] thiophene was used instead of 4-bromodibenzo [b, d] furan.
단계 1-2: 화합물 H 의 제조 Step 1-2: Preparation of compound H
B1 대신 H1 을 사용한 것을 제외하고 화합물 B 를 제조하는 방법과 동일한 방법으로 상기 화합물 H 를 제조하였다.Compound H was prepared in the same manner as Compound B except that H1 was used instead of B1.
단계 2-1: 화합물 7 의 제조Step 2-1: Preparation of Compound 7
화합물 B 대신 H 를 사용한 것을 제외하고 화합물 1 를 제조하는 방법과 동일한 방법으로 상기 화합물 7 을 제조하였다.Compound 7 was prepared in the same manner as
제조예Manufacturing example 8 8
단계 1-1: 화합물 Step 1-1: Compound I1 의I1 제조 Produce
4-bromodibenzo[b,d]furan 대신 4-bromodibenzo[b,d]selenophene 을 사용한 것을 제외하고 중간체 B1 을 제조하는 방법과 동일한 방법으로 상기 화합물 I1 을 제조하였다.Compound I1 was prepared in the same manner as Intermediate B1 except for using 4-bromodibenzo [b, d] selenophene instead of 4-bromodibenzo [b, d] furan.
단계 1-2: 화합물 I 의 제조Step 1-2: Preparation of Compound (I)
B1 대신 I1 을 사용한 것을 제외하고 화합물 B 를 제조하는 방법과 동일한 방법으로 상기 화합물 I 를 제조하였다.Compound I was prepared in the same manner as Compound B except that I1 was used instead of B1.
단계 2-1: 화합물 8 의 제조Step 2-1: Preparation of
화합물 B 대신 I 를 사용한 것을 제외하고 화합물 1 를 제조하는 방법과 동일한 방법으로 상기 화합물 8 을 제조하였다.
제조예Manufacturing example 9 9
단계 1-1: 화합물 Step 1-1: Compound J1 의J1 제조 Produce
4,6-dibromodibenzo[b,d]furan (10g, 30.68mmol, 1eq)를 테트라하이드로퓨란 100ml 에 녹이고, -78 도씨로 온도를 내렸다. 30 분 유지 후 normal-butylithium (2.2g, 33.74mmol, 1.1eq)을 투입하였다. 한 시간 후 iodomethane-d3(4.7g, 32.21mmol, 1.05eq)를 넣고 상온으로 천천히 승온하면서 4 시간 동안 교반을 진행하였다. 물을 넣어서 반응을 종료하고 에틸아세테이트:헥산 = 1:10 조건에서 컬럼크로마토그래피를 통해 분리한 화합물 J1(수율 90%)를 제조하였다. 4,6-dibromodibenzo [b, d] furan (10 g, 30.68 mmol, 1 eq) was dissolved in 100 ml of tetrahydrofuran and the temperature was lowered to -78 ° C. After holding for 30 minutes, normal-butylithium (2.2 g, 33.74 mmol, 1.1 eq) was added. After one hour, iodomethane-d3 (4.7 g, 32.21 mmol, 1.05 eq) was added and stirred for 4 hours while slowly warming to room temperature. Water was added to terminate the reaction, and Compound J1 (yield 90%) was obtained by column chromatography under a condition of ethyl acetate: hexane = 1:10.
단계 1-2: 화합물 J2 의 제조 Step 1-2: Preparation of compound J2
4-bromodibenzo[b,d]furan 대신 J1 을 사용한 것을 제외하고 화합물 B1 을 제조하는 방법과 동일한 방법으로 상기 화합물 I 를 제조하였다.Compound I was prepared in the same manner as Compound B1, except that J1 was used instead of 4-bromodibenzo [b, d] furan.
단계 1-3: 화합물 J 의 제조 Step 1-3: Preparation of compound J
B1 대신 J2 를 사용한 것을 제외하고 화합물 B 를 제조하는 방법과 동일한 방법으로 상기 화합물 J 를 제조하였다.Compound J was prepared in the same manner as Compound B except that J2 was used instead of B1.
단계 2-1: 화합물 9 의 제조Step 2-1: Preparation of compound 9
화합물 B 대신 J 를 사용한 것을 제외하고 화합물 1 를 제조하는 방법과 동일한 방법으로 상기 화합물 9 를 제조하였다.Compound 9 was prepared in the same manner as
제조예Manufacturing example 10 10
단계 1-1: 화합물 Step 1-1: Compound 10 의Ten 제조 Produce
A 대신 C 를 사용하고, B 대신 J 를 사용한 것을 제외하고는, 화합물 1 을 제조하는 방법과 동일한 방법으로 상기 화합물 10 을 제조하였다. Compound 10 was prepared in the same manner as
제조예Manufacturing example 11 11
단계 1-1: 화합물 Step 1-1: Compound 11 의Eleven 제조 Produce
A 대신 D 를 사용하고, B 대신 J 를 사용한 것을 제외하고는, 화합물 1 을 제조하는 방법과 동일한 방법으로 상기 화합물 11 을 제조하였다. Compound 11 was prepared in the same manner as
제조예Manufacturing example 12 12
단계 1-1: 화합물 Step 1-1: Compound K1 의Of K1 제조 Produce
A3 대신 B 를 사용하는 것을 제외하고는 화합물 A4 를 제조하는 방법과 동일한 방법으로 상기 화합물 K1을 제조하였다.Compound K1 was prepared in the same manner as Compound A4 except that B was used instead of A3.
단계 1-2: 화합물 K 의 제조Step 1-2: Preparation of compound K
A4 대신 K1을 사용하는 것을 제외하고는 화합물 A 를 제조하는 방법과 동일한 방법으로 상기 화합물 K 를 제조하였다.Compound K was prepared in the same manner as Compound A except that K1 was used instead of A4.
단계 2-1: 화합물 12 의 제조Step 2-1: Preparation of compound 12
A 대신 K 를 사용하고, B 대신 A3 를 사용한 것을 제외하고 화합물 1 을 제조하는 방법과 동일한 방법으로 상기 화합물 12 를 제조하였다.Compound 12 was prepared in the same manner as
제조예Manufacturing example 13 13
단계 1-1: 화합물 Step 1-1: Compound L1 의L1 제조 Produce
A3 대신 E 를 사용하는 것을 제외하고 화합물 A4 를 제조하는 방법과 동일한 방법으로 상기 화합물 L1을 제조하였다.Compound L1 was prepared in the same manner as in the preparation of Compound A4 except that E was used instead of A3.
단계 1-2: 화합물 L 의 제조Step 1-2: Preparation of Compound L
A4 대신 L1을 사용하는 것을 제외하고 화합물 A를 제조하는 방법과 동일한 방법으로 상기 화합물 L 를 제조하였다.Compound L was prepared in the same manner as Compound A except that L1 was used instead of A4.
단계 2-1: 화합물 13 의 제조Step 2-1: Preparation of compound 13
A 대신 L 을 사용하고, B 대신 A3 를 사용한 것을 제외하고 화합물 1을 제조하는 방법과 동일한 방법으로 상기 화합물 13 를 제조하였다.Compound 13 was prepared in the same manner as
제조예Manufacturing example 14 14
단계 1-1: 화합물 Step 1-1: Compound M1 의M1's 제조 Produce
A3 대신 G 를 사용하는 것을 제외하고 화합물 A4 를 제조하는 방법과 동일한 방법으로 상기 화합물 M1을 제조하였다.Compound M1 was prepared in the same manner as Compound A4 except that G was used instead of A3.
단계 1-2: 화합물 M 의 제조Step 1-2: Preparation of compound M
A4 대신 M1 을 사용하는 것을 제외하고 화합물 A 를 제조하는 방법과 동일한 방법으로 상기 화합물 M 을 제조하였다.Compound M was prepared in the same manner as Compound A except that M1 was used instead of A4.
단계 2-1: 화합물 14 의 제조Step 2-1: Preparation of compound 14
A 대신 M 을 사용하고, B 대신 A3 를 사용한 것을 제외하고 화합물 1을 제조하는 방법과 동일한 방법으로 상기 화합물 14 를 제조하였다.Compound 14 was prepared in the same manner as
제조예Manufacturing example 15 15
단계 1-1: 화합물 Step 1-1: Compound O1 의O1 제조 Produce
2,5-bromopyridine 대신 2-bromoropyridine, 그리고 페닐보로닉산 대신 (4-chlorophenyl)boronic acid 을 사용하는 것을 제외하고 화합물 A1 을 제조하는 방법과 동일한 방법으로 상기 화합물 O1 을 제조하였다.The compound O1 was prepared in the same manner as the compound A1 except for using 2-bromopyridine instead of 2,5-bromopyridine and (4-chlorophenyl) boronic acid instead of phenylboronic acid.
단계 1-2: 화합물 O2 의 제조Step 1-2: Preparation of compound O2
A1 대신 O1을 사용하는 것을 제외하고 화합물 A2 를 제조하는 방법과 동일한 방법으로 상기 화합물 O2 를 제조하였다.Compound O2 was prepared in the same manner as compound A2 except that O1 was used instead of A1.
단계 1-3: 화합물 O3 의 제조Step 1-3: Preparation of compound O3
A2 대신 O2 를 사용하는 것을 제외하고 화합물 A3 을 제조하는 방법과 동일한 방법으로 상기 화합물 O3 을 제조하였다.Compound O3 was prepared in the same manner as Compound A3 except that O2 was used instead of A2.
단계 1-4: 화합물 O4 의 제조Step 1-4: Preparation of compound O4
A3 대신 O3 를 사용하는 것을 제외하고 화합물 A4 를 제조하는 방법과 동일한 방법으로 상기 화합물 O4 를 제조하였다.Compound O4 was prepared in the same manner as Compound A4 except that O3 was used instead of A3.
단계 1-5: 화합물 O 의 제조Step 1-5: Preparation of compound O
A4 대신 O4 를 사용하는 것을 제외하고 화합물 A 를 제조하는 방법과 동일한 방법으로 상기 화합물 O 를 제조하였다.Compound O was prepared in the same manner as Compound A except that O4 was used instead of A4.
단계 2-1: 화합물 15 의 제조Step 2-1: Preparation of compound 15
A 대신 O 를 사용하는 것을 제외하고 화합물 1 을 제조하는 방법과 동일한 방법으로 상기 화합물 15 를 제조하였다.Compound 15 was prepared in the same manner as
제조예Manufacturing example 16 16
단계 1-1: 화합물 Step 1-1: Compound P1 의P1 제조 Produce
2,5-bromopyridine 대신 3-bromoropyridine, 그리고 페닐보로닉산 대신 (3-chlorophenyl)boronic acid 을 사용하는 것을 제외하고 화합물 A1 을 제조하는 방법과 동일한 방법으로 상기 화합물 P1 을 제조하였다.Compound P1 was prepared in the same manner as Compound A1 except that 3-bromopyridine was used instead of 2,5-bromopyridine and (3-chlorophenyl) boronic acid was used instead of phenylboronic acid.
단계 1-2: 화합물 Step 1-2: Compound P2 의P2 제조 Produce
A1 대신 P1 을 사용하는 것을 제외하고 화합물 A2 를 제조하는 방법과 동일한 방법으로 상기 화합물 P2 를 제조하였다.Compound P2 was prepared in the same manner as Compound A2 except that P1 was used instead of A1.
단계 1-3: 화합물 P3 의 제조Step 1-3: Preparation of compound P3
A2 대신 P2 를 사용하는 것을 제외하고 화합물 A3 을 제조하는 방법과 동일한 방법으로 상기 화합물 P3 을 제조하였다.Compound P3 was prepared in the same manner as Compound A3 except that P2 was used instead of A2.
단계 1-4: 화합물 P4 의 제조Step 1-4: Preparation of compound P4
A3 대신 P3 를 사용하는 것을 제외하고 화합물 A4 를 제조하는 방법과 동일한 방법으로 상기 화합물 P4 를 제조하였다.Compound P4 was prepared in the same manner as Compound A4 except that P3 was used instead of A3.
단계 1-5: 화합물 P 의 제조Step 1-5: Preparation of compound P
A4 대신 P4 를 사용하는 것을 제외하고 화합물 A 를 제조하는 방법과 동일한 방법으로 상기 화합물 P 를 제조하였다.Compound P was prepared in the same manner as Compound A except that P4 was used in place of A4.
단계 2-1: 화합물 16 의 제조Step 2-1: Preparation of compound 16
A 대신 P 를 사용하는 것을 제외하고 화합물 1 을 제조하는 방법과 동일한 방법으로 상기 화합물 16 을 제조하였다.Compound 16 was prepared in the same manner as
제조예Manufacturing example 17 17
단계 1-1: 화합물 Step 1-1: Compound 17 의17 제조 Produce
A 대신 K 를 사용하고, B 대신 O3 를 사용한 것을 제외하고 화합물 1 을 제조하는 방법과 동일한 방법으로 상기 화합물 17 을 제조하였다.Compound 17 was prepared in the same manner as
제조예Manufacturing example 18 18
단계 1-1: 화합물 Step 1-1: Compound Q1 의Q1 제조 Produce
2,5-dibromopyridine 대신 2-bromopyridine 을 사용한 것을 제외하고 중간체 A1을 제조하는 방법과 동일한 방법으로 상기 화합물 Q1 를 제조하였다.Compound Q1 was prepared in the same manner as Intermediate Al except that 2-bromopyridine was used instead of 2,5-dibromopyridine.
단계 1-2: 화합물 Q2 의 제조Step 1-2: Preparation of compound Q2
A3 대신 Q1 을 사용한 것을 제외하고 중간체 A4 를 제조하는 방법과 동일한 방법으로 상기 화합물 Q2 를 제조하였다.Compound Q2 was prepared in the same manner as Intermediate A4 except for using Q1 in place of A3.
단계 1-3: 화합물 Q 의 제조Step 1-3: Preparation of compound Q
A4 대신 Q2 를 사용한 것을 제외하고 화합물 A 를 제조하는 방법과 동일한 방법으로 상기 화합물 Q 를 제조하였다.Compound Q was prepared in the same manner as Compound A except that Q2 was used instead of A4.
단계 2-1: 화합물 R1 의 제조Step 2-1: Preparation of compound R1
2,5-브로모피리딘 대신에 3-bromo-6-chloropyridin-2-amine 을 사용하고, 페닐보로닉산 대신에 (2,3-dimethoxyphenyl)boronic acid 를 사용한 것을 제외하고 화합물 A1 을 제조하는 방법과 동일한 방법으로 상기 화합물 R1 을 제조하였다. Method for preparing Compound A1 except that 3-bromo-6-chloropyridin-2-amine was used instead of 2,5-bromopyridine and (2,3-dimethoxyphenyl) boronic acid was used instead of phenylboronic acid , The compound R1 was prepared.
단계 2-2: 화합물 R2 의 제조Step 2-2: Preparation of compound R2
화합물 R1 (11.8g, 48.34mmol, 1eq)을 테트라하이드로퓨란에 녹인 후 아세트산 (0.3M, 161ml)을 넣고 0 도씨로 온도를 낮추었다. tert-butyl nitrite (10.34g, 87.01mmol, 1.8eq)를 천천히 떨어뜨린 후 0 도씨에서 2 시간 동안 교반하고 서서히 상온으로 올렸다. 4 시간 후 반응을 종료하였다. 에틸아세테이트: 헥산 = 1:100 조건에서 컬럼크로마토그래피를 통해 분리한 화합물 R2(수율 34%)를 제조하였다.Compound R1 (11.8 g, 48.34 mmol, 1 eq) was dissolved in tetrahydrofuran, acetic acid (0.3 M, 161 ml) was added, and the temperature was lowered to 0 ° C. tert-Butyl nitrite (10.34 g, 87.01 mmol, 1.8 eq) was slowly dropped, stirred at 0 ° C for 2 hours and slowly warmed to room temperature. After 4 hours, the reaction was terminated. Compound R2 (yield: 34%) was isolated by column chromatography under the conditions of ethyl acetate: hexane = 1: 100.
단계 2-3: 화합물 R3 의 제조Step 2-3: Preparation of compound R3
화합물 R2 를 (5g, 23.45mmol, 1eq)를 다이클로로메탄 100ml 에 녹인 후 0 도씨로 온도를 내렸다. tribromobrane (17.62g, 70.34mmol, 3eq)를 100ml다이클로로메탄에 묽힌 후 천천히 적가하였다. 천천히 상온으로 올리고 3 시간 후 반응을 종료하였다. 결과의 반응물을 여과하고, 물로 washing 하여 화합물 R3(수율 69%)을 제조하였다.Compound (R2) (5 g, 23.45 mmol, 1 eq) was dissolved in 100 ml of dichloromethane, and then cooled to 0 ° C. Tribromobrane (17.62 g, 70.34 mmol, 3 eq) was diluted in 100 ml dichloromethane and then slowly added dropwise. After slowly raising the temperature to room temperature, the reaction was terminated after 3 hours. The resulting reaction was filtered and washed with water to produce compound R3 (69% yield).
단계 2-4: 화합물 R4 의 제조Step 2-4: Preparation of compound R4
플라스크에 Potassium carbonate(10g, 100.40mmol, 1eq)넣고 물 80ml 에 녹이고, 화합물 R3 을 아세토나이트릴 300ml 에 녹여서 플라스크에 넣었다. perfluoro-1-butanesulfonyl fluoride (22.7g, 75.30mmol, 1.5eq)를 천천히 떨어뜨리고 상온에서 18 시간 동안 교반을 진행하였다. 반응 종료 후 에탄올에 침전시켜 화합물 R4 (수율 89%)를 제조하였다.Potassium carbonate (10 g, 100.40 mmol, 1 eq) was added to the flask and dissolved in 80 ml of water. Compound R3 was dissolved in 300 ml of acetonitrile and placed in a flask. perfluoro-1-butanesulfonyl fluoride (22.7 g, 75.30 mmol, 1.5 eq) was slowly added dropwise and the mixture was stirred at room temperature for 18 hours. After completion of the reaction, the reaction mixture was precipitated in ethanol to obtain a compound R4 (yield 89%).
단계 2-5: 화합물 R5 의 제조Step 2-5: Preparation of compound R5
4-bromodibenzo[b,d]furan 대신 R4 를 사용한 것을 제외하고 화합물 B1 을 제조하는 방법과 동일한 방법으로 상기 화합물 R5 를 제조하였다.Compound R5 was prepared in the same manner as compound B1 was prepared except that R4 was used instead of 4-bromodibenzo [b, d] furan.
단계 2-6: 화합물 R6 의 제조Step 2-6: Preparation of compound R6
B1 대신 R5 를 사용한 것을 제외하고 화합물 B 를 제조하는 방법과 동일한 방법으로 상기 화합물 R6 를 제조하였다. Compound R6 was prepared in the same manner as compound B except for using R5 instead of B1.
단계 2-7: 화합물 R7 의 제조Step 2-7: Preparation of compound R7
4-bromodibenzo[b,d]furan 대신 R6 를 사용한 것을 제외하고 화합물 B1 을 제조하는 방법과 동일한 방법으로 상기 화합물 R7 를 제조하였다.Compound R7 was prepared in the same manner as compound B1 except for using R6 instead of 4-bromodibenzo [b, d] furan.
단계 2-8: 화합물 R 의 제조Step 2-8: Preparation of compound R
2,5-브로모피리딘 대신에 R7 을 사용하고, 페닐보로닉산 대신에 chlorotrimethylsilane 를 사용한 것을 제외하고 화합물 A1 을 제조하는 방법과 동일한 방법으로 상기 화합물 R 을 제조하였다.Compound R was prepared in the same manner as Compound A1 except that R7 was used instead of 2,5-bromopyridine and chlorotrimethylsilane was used in place of phenylboronic acid.
단계 3-1: 화합물 18 의 제조Step 3-1: Preparation of compound 18
A 대신 Q 를 사용하고, B 대신 R 를 사용한 것을 제외하고 화합물 1 을 제조하는 방법과 동일한 방법으로 상기 화합물 18 를 제조하였다.Compound 18 was prepared in the same manner as
제조예Manufacturing example 19 19
단계 1-1: 화합물 Step 1-1: Compound S1 의S1 제조 Produce
A3 대신 R 를 사용하는 것을 제외하고 화합물 A4 를 제조하는 방법과 동일한 방법으로 상기 화합물 S1 을 제조하였다.Compound S1 was prepared in the same manner as in the preparation of Compound A4, except that R was used instead of A3.
단계 1-2: 화합물 Step 1-2: Compound S 의Of S 제조 Produce
A4 대신 S1 을 사용하는 것을 제외하고 화합물 A 를 제조하는 방법과 동일한 방법으로 상기 화합물 S 를 제조하였다.Compound S was prepared in the same manner as Compound A except that S1 was used instead of A4.
단계 2-1: 화합물 Step 2-1: Compound 19 의19's 제조 Produce
A 대신 S 를 사용하고, B 대신 Q1 를 사용한 것을 제외하고 화합물 1 을 제조하는 방법과 동일한 방법으로 상기 화합물 19 를 제조하였다.Compound 19 was prepared in the same manner as
실시예Example 1 One
ITO(indium tin oxide)가 1,300 Å의 두께로 박막 코팅된 유리 기판을 세제를 녹인 증류수에 넣고 초음파로 세척하였다. 이때, 세제로는 피셔사(Fischer Co.) 제품을 사용하였으며, 증류수로는 밀리포어사(Millipore Co.) 제품의 필터(Filter)로 2차로 걸러진 증류수를 사용하였다. ITO를 30분간 세척한 후 증류수로 2회 반복하여 초음파 세척을 10분간 진행하였다. 증류수 세척이 끝난 후, 이소프로필알콜, 아세톤 및 메탄올의 용제로 순서대로 초음파 세척을 하고 건조시킨 후 플라즈마 세정기로 수송시켰다. 또한, 산소 플라즈마를 이용하여 상기 기판을 5분간 세정한 후 진공 증착기로 기판을 수송시켰다. A thin glass substrate coated with ITO (indium tin oxide) at a thickness of 1,300 Å was immersed in distilled water containing detergent and washed with ultrasonic waves. At this time, a Fischer Co. product was used as a detergent, and distilled water, which was filtered with a filter of Millipore Co., was used as distilled water. The ITO was washed for 30 minutes and then washed twice with distilled water and ultrasonically cleaned for 10 minutes. After the distilled water was washed, it was ultrasonically cleaned with a solvent of isopropyl alcohol, acetone and methanol in order, dried and then transported to a plasma cleaner. Further, the substrate was cleaned using oxygen plasma for 5 minutes, and then the substrate was transported by a vacuum evaporator.
상기와 같이 준비된 ITO 투명 전극 위에 하기의 헥사니트릴 헥사아자트리페닐렌(hexanitrile hexaazatriphenylene; HAT) 화합물을 500 Å의 두께로 열 진공 증착하여 정공 주입층을 형성하였다. The following hexanitrile hexaazatriphenylene (HAT) compound was thermally vacuum deposited on the ITO transparent electrode prepared above to form a hole injection layer having a thickness of 500 Å.
상기 정공 주입층 위에 HT-1 화합물을 800 Å의 두께로 열 진공증착하고, 순차적으로 HT-2 화합물을 500 Å 두께로 진공 증착하여 정공 수송층을 형성하였다. The HT-1 compound was thermally vacuum deposited to a thickness of 800 Å on the hole injection layer, and HT-2 compound was sequentially vacuum deposited to a thickness of 500 Å to form a hole transport layer.
이어서, 상기 정공수송층 위에 호스트(H1)와, 인광 도펀트로서 상기 제조예에서 합성한 화합물 1를 88:12의 중량비로 진공 증착하여 350 Å 두께의 발광층을 형성하였다. Subsequently, a host (H1) and a
상기 발광층 위에 ET-1 물질을 50 Å의 두께로 진공 증착하여 정공저지층을 형성하고, 상기 정공저지층 위에 ET-2 물질 및 LiQ(Lithium Quinolate)를 1:1의 중량비로 진공증착하여 250Å의 전자 수송층을 형성하였다.
상기 전자 수송층 위에 순차적으로 10Å 두께의 리튬 플루오라이드(LiF)를 증착하고, 그 위에 1000Å 두께로 알루미늄을 증착하여 음극을 형성하였다. 상기의 과정에서 유기물의 증착속도는 0.4~0.7 Å/sec를 유지하였고, 음극의 리튬 플루오라이드는 0.3 Å/sec, 알루미늄은 2 Å/sec의 증착 속도를 유지하였으며, 증착시 진공도는 1×10-7 ~ 5×10-8 torr를 유지하였다. Lithium fluoride (LiF) was sequentially deposited on the electron transport layer to a thickness of 10 Å, and aluminum was deposited thereon to a thickness of 1000 Å to form a cathode. The deposition rate of the organic material was maintained at 0.4 to 0.7 Å / sec, the lithium fluoride at the cathode was maintained at a deposition rate of 0.3 Å / sec, and the deposition rate of aluminum was maintained at 2 Å / sec. -7 to 5 x 10 < -8 > torr.
실시예Example 2 내지 16 2 to 16
발광층 형성시 인광 도판트로서 화합물 1 대신 하기 표 1에 기재된 화합물을 각각 사용하는 것을 제외하고는, 상기 실시예 1과 동일한 방법으로 수행하여 실시예 2 내지 16의 유기 발광 소자를 각각 제작하였다. 이때, 호스트로서 2종의 화합물의 혼합물을 사용한 경우 괄호 안은 호스트 화합물간의 중량비를 의미하며, H2 물질은 상기와 같다.The organic light emitting devices of Examples 2 to 16 were fabricated in the same manner as in Example 1, except that the compound described in Table 1 was used instead of
비교예Comparative Example 1 내지 5 1 to 5
발광층 형성시 호스트로서 화합물 1 대신 하기 표 1에 기재된 화합물을 사용하는 것을 제외하고는, 상기 실시예 1과 동일한 방법으로 수행하여 비교예 1 내지 5의 유기 발광 소자를 각각 제작하였다.The organic light emitting devices of Comparative Examples 1 to 5 were fabricated in the same manner as in Example 1, except that the compound described in Table 1 was used instead of
실험예Experimental Example 1 One
상기 실시예 1 내지 16, 및 비교예 1 내지 5에서 제작된 유기 발광 소자에 전류를 인가하여, 전압, 효율, 색좌표, 및 수명을 측정하고, 그 결과를 하기 표 1에 나타내었다. The voltage, efficiency, color coordinates, and lifetime were measured by applying currents to the organic light emitting devices fabricated in Examples 1 to 16 and Comparative Examples 1 to 5, and the results are shown in Table 1 below.
T95는 휘도가 초기 휘도에서 95%로 감소되는데 소요되는 시간을 의미한다.T95 means the time required for the luminance to be reduced to 95% from the initial luminance.
물질Host
matter
물질Dopant
matter
농도 (%)Dopant
Concentration (%)
(V
@10mA/cm2)Voltage
(V
@ 10 mA / cm 2 )
(cd/A
@10mA/cm2)efficiency
(cd / A
@ 10 mA / cm 2 )
(x,y)Color coordinates
(x, y)
(T95, h,
@50mA/cm2)life span
(T95, h,
@ 50 mA / cm 2 )
(50:50)H1: H2
(50:50)
(50:50)H1: H2
(50:50)
(50:50)H1: H2
(50:50)
(50:50)H1: H2
(50:50)
(50:50)H1: H2
(50:50)
(50:50)H1: H2
(50:50)
(50:50)H1: H2
(50:50)
(50:50)H1: H2
(50:50)
(50:50)H1: H2
(50:50)
(50:50)H1: H2
(50:50)
상기 표 1 에서 알 수 있듯이, 본 발명의 화합물을 인광 도판트 물질로 사용한 경우, D1 내지 D3의 화합물을 사용한 비교예들에 비해 수명 측면에서 우수한 특성을 나타내는 것을 확인하였다. 또, 실시예 1 내지 3, 및 8의 경우 비교예 2 및 3과 비교하여 최대 250%까지 수명특성이 증가하였다. 이 같은 결과로부터 실릴 치환기의 유무 및 치환 위치에 따라 수명 차이가 현저함을 확인할 수 있다.As shown in Table 1, when the compound of the present invention was used as a phosphorescent dopant, it was confirmed that the phosphorescent dopant exhibited excellent lifetime characteristics in comparison with Comparative Examples using the compounds of D1 to D3. In addition, in Examples 1 to 3 and 8, the lifetime characteristics were increased up to 250% as compared with Comparative Examples 2 and 3. From these results, it can be seen that the life time difference is remarkable depending on the presence or absence of the silyl substituent and the substitution position.
1: 기판 2: 양극
3: 발광층 4: 음극
5: 정공 주입층 6: 정공 수송층
7: 발광층 8: 전자수송층1: substrate 2: anode
3: light emitting layer 4: cathode
5: Hole injection layer 6: Hole transport layer
7: light emitting layer 8: electron transporting layer
Claims (15)
[화학식 3]
상기 화학식 3에서,
M은 이리듐(Ir)이고,
A 고리는 피리딘 고리이되, B 고리와는 N의 오쏘(ortho) 위치로 연결되고,
R1 및 R2는 각각 독립적으로 수소이고,
a1 및 a2는 각각 독립적으로 0 내지 4의 정수이고,
B 고리는 하기 b21 내지 b26으로 표시되는 구조 중 어느 하나의 구조를 가지며,
상기 화학식 b21 내지 b26에 있어서,
T는 SiR11R12R13이고, 상기 R11 내지 R13은 각각 독립적으로, 수소; 또는 비치환된 C1-10 알킬이며,
X11 내지 X14는 각각 독립적으로, N 또는 CR4이되, X11 내지 X14 중 적어도 하나는 N이고,
Y1은 O, S, 또는 Se이고,
R4는 수소이고,
*는 상기 화학식 3에서 A 고리 및 M과 연결되는 부분을 나타내며,
b3는 1 또는 2이고,
n은 0, 1 또는 2이다.
An organometallic compound represented by the following formula (3)
(3)
In Formula 3,
M is iridium (Ir)
The ring A is a pyridine ring and the ring B is connected to the ortho position of N,
R 1 and R 2 are each independently hydrogen,
a1 and a2 each independently represent an integer of 0 to 4,
The ring B has any one of the structures represented by the following formulas b21 to b26,
In the above formulas b21 to b26,
T is SiR 11 R 12 R 13 , and R 11 to R 13 are each independently hydrogen; Or unsubstituted C 1-10 alkyl,
X 11 to X 14 are each independently N or CR 4 , at least one of X 11 to X 14 is N,
Y 1 is O, S, or Se,
R < 4 > is hydrogen,
* Represents a moiety connected to A ring and M in Formula 3,
b3 is 1 or 2,
n is 0, 1 or 2;
상기 화합물은 하기 화학식 3-1로 표시되는, 유기금속 화합물:
[화학식 3-1]
상기 화학식 3-1에서,
M, X11 내지 X14, Y1, R1, R2, a1, a2, b3 및 n은 제1항에서 정의한 바와 같고,
R11 내지 R13은 각각 독립적으로, 수소; 또는 비치환된 C1-10 알킬이다.
The method according to claim 1,
The compound is an organometallic compound represented by the following formula (3-1): < EMI ID =
[Formula 3-1]
In Formula 3-1,
M, X 11 to X 14 , Y 1 , R 1 , R 2 , a 1 , a 2 , b 3 and n are as defined in claim 1,
R 11 to R 13 each independently represent hydrogen; Or unsubstituted C 1-10 alkyl.
R11 내지 R13은 각각 메틸인, 유기금속 화합물.
9. The method of claim 8,
And R < 11 > to R < 13 > are each methyl.
b3은 1인, 유기금속 화합물.
9. The method of claim 8,
and b3 is 1, an organometallic compound.
상기 화합물은 하기 화합물로 구성되는 군으로부터 선택되는 어느 하나인 것을 특징으로 하는, 유기금속 화합물:
The method according to claim 1,
Wherein the compound is any one selected from the group consisting of the following compounds:
A first electrode; A second electrode facing the first electrode; And at least one organic material layer provided between the first electrode and the second electrode, wherein at least one of the organic material layers includes at least one layer of the organic material layer according to any one of claims 1, 8, 10, 11 And an organometallic compound according to any one of claims 1 to 12.
상기 화합물을 포함하는 유기물층은 발광층인, 유기 발광 소자.
14. The method of claim 13,
Wherein the organic compound layer containing the compound is a light emitting layer.
상기 화합물은 도펀트로 포함되는, 유기 발광 소자.15. The method of claim 14,
Wherein the compound is included as a dopant.
Priority Applications (1)
| Application Number | Priority Date | Filing Date | Title |
|---|---|---|---|
| CN201710660026.2A CN107759638B (en) | 2016-08-19 | 2017-08-04 | Novel organometallic compound and organic light-emitting element using same |
Applications Claiming Priority (2)
| Application Number | Priority Date | Filing Date | Title |
|---|---|---|---|
| KR20160105738 | 2016-08-19 | ||
| KR1020160105738 | 2016-08-19 |
Publications (2)
| Publication Number | Publication Date |
|---|---|
| KR20180020878A KR20180020878A (en) | 2018-02-28 |
| KR101953767B1 true KR101953767B1 (en) | 2019-03-04 |
Family
ID=61401616
Family Applications (1)
| Application Number | Title | Priority Date | Filing Date |
|---|---|---|---|
| KR1020170085967A Active KR101953767B1 (en) | 2016-08-19 | 2017-07-06 | Novel organometallic compound and organic light emitting device comprising the same |
Country Status (1)
| Country | Link |
|---|---|
| KR (1) | KR101953767B1 (en) |
Families Citing this family (15)
| Publication number | Priority date | Publication date | Assignee | Title |
|---|---|---|---|---|
| WO2019221485A1 (en) * | 2018-05-14 | 2019-11-21 | 주식회사 엘지화학 | Compound and organic light-emitting element comprising same |
| KR102673818B1 (en) | 2018-12-05 | 2024-06-10 | 삼성전자주식회사 | Organometallic compound and organic light emitting device including the same |
| EP3705483B1 (en) * | 2019-03-07 | 2021-10-20 | Samsung Electronics Co., Ltd. | Organometallic compound, organic light-emitting device including the same, and electronic apparatus including the organic light-emitting device |
| US11758803B2 (en) * | 2019-03-07 | 2023-09-12 | Samsung Electronics Co., Ltd. | Organometallic compound, organic light-emitting device including the same, and electronic apparatus including the organic light-emitting device |
| US12010909B2 (en) | 2019-09-11 | 2024-06-11 | Samsung Electronics Co., Ltd. | Organometallic compound, organic light-emitting device including the same and electronic apparatus including the organic light-emitting device |
| KR20210063747A (en) | 2019-11-25 | 2021-06-02 | 삼성전자주식회사 | Organometallic compound, organic light emitting device including the same and a composition for diagnosing including the same |
| KR102863058B1 (en) * | 2020-04-29 | 2025-09-19 | 삼성전자주식회사 | Organometallic compound, organic light emitting device including the same and electronic apparatus including the organic light emitting device |
| US12310229B2 (en) | 2020-05-21 | 2025-05-20 | Samsung Electronics Co., Ltd. | Organometallic compound, organic light-emitting device including organometallic compound, and electronic apparatus including organic light-emitting device |
| CN119119132A (en) * | 2020-06-20 | 2024-12-13 | 北京夏禾科技有限公司 | A phosphorescent organometallic complex and its application |
| CN113816997B (en) | 2020-06-20 | 2024-05-28 | 北京夏禾科技有限公司 | A phosphorescent organometallic complex and its application |
| KR102863059B1 (en) | 2020-07-20 | 2025-09-19 | 삼성전자주식회사 | Organometallic compound, organic light emitting device including the same and electronic apparatus including the organic light emitting device |
| KR102903269B1 (en) | 2021-01-28 | 2025-12-24 | 삼성디스플레이 주식회사 | Organometallic compound, organic light emitting device including the same and electronic apparatus including the organic light emitting device |
| US12448403B2 (en) * | 2021-02-10 | 2025-10-21 | Samsung Electronics Co., Ltd. | Organometallic compound, organic light-emitting device including organometallic compound, and electronic apparatus including organic light-emitting device |
| EP4059942A1 (en) | 2021-03-15 | 2022-09-21 | Samsung Electronics Co., Ltd. | Organometallic compound, organic light-emitting device including the same, and electronic apparatus including the organic light-emitting device |
| WO2023214496A1 (en) * | 2022-05-02 | 2023-11-09 | キヤノン株式会社 | Metal complex and organic light-emitting element |
Citations (1)
| Publication number | Priority date | Publication date | Assignee | Title |
|---|---|---|---|---|
| JP2005327526A (en) * | 2004-05-13 | 2005-11-24 | Fuji Photo Film Co Ltd | Organic electroluminescent element |
Family Cites Families (5)
| Publication number | Priority date | Publication date | Assignee | Title |
|---|---|---|---|---|
| KR100430549B1 (en) | 1999-01-27 | 2004-05-10 | 주식회사 엘지화학 | New organomattalic complex molecule for the fabrication of organic light emitting diodes |
| KR20130110934A (en) * | 2012-03-30 | 2013-10-10 | 에스에프씨 주식회사 | Organometallic compounds and organic light emitting diodes comprising the compounds |
| KR102429869B1 (en) * | 2014-10-17 | 2022-08-05 | 삼성전자주식회사 | Organic light emitting device including the same |
| KR102372084B1 (en) * | 2014-10-17 | 2022-03-08 | 삼성전자주식회사 | Organic light emitting device including the same |
| KR102429871B1 (en) * | 2015-03-13 | 2022-08-05 | 삼성전자주식회사 | Organometallic compound and organic light emitting device including the same |
-
2017
- 2017-07-06 KR KR1020170085967A patent/KR101953767B1/en active Active
Patent Citations (1)
| Publication number | Priority date | Publication date | Assignee | Title |
|---|---|---|---|---|
| JP2005327526A (en) * | 2004-05-13 | 2005-11-24 | Fuji Photo Film Co Ltd | Organic electroluminescent element |
Also Published As
| Publication number | Publication date |
|---|---|
| KR20180020878A (en) | 2018-02-28 |
Similar Documents
| Publication | Publication Date | Title |
|---|---|---|
| KR101953767B1 (en) | Novel organometallic compound and organic light emitting device comprising the same | |
| KR101885900B1 (en) | Novel hetero-cyclic compound and organic light emitting device comprising the same | |
| KR101982791B1 (en) | Novel hetero-cyclic compound and organic light emitting device comprising the same | |
| KR101978453B1 (en) | Novel hetero-cyclic compound and organic light emitting device comprising the same | |
| KR101929448B1 (en) | Novel hetero-cyclic compound and organic light emitting device comprising the same | |
| KR20160126792A (en) | Multicyclic compound including nitrogen and organic light emitting device using the same | |
| KR101977935B1 (en) | Novel compound and organic light emitting device comprising the same | |
| KR20180061076A (en) | Novel hetero-cyclic compound and organic light emitting device comprising the same | |
| KR101891263B1 (en) | Novel hetero-cyclic compound and organic light emitting device comprising the same | |
| KR101959514B1 (en) | Novel hetero-cyclic compound and organic light emitting device comprising the same | |
| KR101937996B1 (en) | Novel hetero-cyclic compound and organic light emitting device comprising the same | |
| KR101967382B1 (en) | Novel hetero-cyclic compound and organic light emitting device comprising the same | |
| KR101967381B1 (en) | Novel hetero-cyclic compound and organic light emitting device comprising the same | |
| KR20180127909A (en) | Novel hetero ring compound and organic light emitting device comprising the same | |
| KR102147480B1 (en) | Novel compound and organic light emitting device comprising the same | |
| KR20190056995A (en) | Novel compound and organic light emitting device comprising the same | |
| KR20180115217A (en) | Novel compound and organic light emitting device comprising the same | |
| KR101959511B1 (en) | Novel hetero-cyclic compound and organic light emitting device comprising the same | |
| KR20200052236A (en) | Novel compound and organic light emitting device comprising the same | |
| KR20200011379A (en) | Novel hetero-cyclic compound and organic light emitting device comprising the same | |
| KR101959513B1 (en) | Novel hetero-cyclic compound and organic light emitting device comprising the same | |
| KR101868516B1 (en) | Novel hetero-cyclic compound and organic light emitting device comprising the same | |
| KR101834433B1 (en) | Novel hetero-cyclic compound and organic light emitting device comprising the same | |
| KR101877961B1 (en) | Novel hetero-cyclic compound and organic light emitting device comprising the same | |
| KR20180133236A (en) | Novel compound and organic light emitting device comprising the same |
Legal Events
| Date | Code | Title | Description |
|---|---|---|---|
| A201 | Request for examination | ||
| PA0109 | Patent application |
St.27 status event code: A-0-1-A10-A12-nap-PA0109 |
|
| PA0201 | Request for examination |
St.27 status event code: A-1-2-D10-D11-exm-PA0201 |
|
| PG1501 | Laying open of application |
St.27 status event code: A-1-1-Q10-Q12-nap-PG1501 |
|
| E902 | Notification of reason for refusal | ||
| PE0902 | Notice of grounds for rejection |
St.27 status event code: A-1-2-D10-D21-exm-PE0902 |
|
| R18-X000 | Changes to party contact information recorded |
St.27 status event code: A-3-3-R10-R18-oth-X000 |
|
| E13-X000 | Pre-grant limitation requested |
St.27 status event code: A-2-3-E10-E13-lim-X000 |
|
| P11-X000 | Amendment of application requested |
St.27 status event code: A-2-2-P10-P11-nap-X000 |
|
| P13-X000 | Application amended |
St.27 status event code: A-2-2-P10-P13-nap-X000 |
|
| E701 | Decision to grant or registration of patent right | ||
| PE0701 | Decision of registration |
St.27 status event code: A-1-2-D10-D22-exm-PE0701 |
|
| R18-X000 | Changes to party contact information recorded |
St.27 status event code: A-3-3-R10-R18-oth-X000 |
|
| GRNT | Written decision to grant | ||
| PR0701 | Registration of establishment |
St.27 status event code: A-2-4-F10-F11-exm-PR0701 |
|
| PR1002 | Payment of registration fee |
St.27 status event code: A-2-2-U10-U11-oth-PR1002 Fee payment year number: 1 |
|
| PG1601 | Publication of registration |
St.27 status event code: A-4-4-Q10-Q13-nap-PG1601 |
|
| R18-X000 | Changes to party contact information recorded |
St.27 status event code: A-5-5-R10-R18-oth-X000 |
|
| PR1001 | Payment of annual fee |
St.27 status event code: A-4-4-U10-U11-oth-PR1001 Fee payment year number: 4 |
|
| P22-X000 | Classification modified |
St.27 status event code: A-4-4-P10-P22-nap-X000 |
|
| PR1001 | Payment of annual fee |
St.27 status event code: A-4-4-U10-U11-oth-PR1001 Fee payment year number: 5 |
|
| P22-X000 | Classification modified |
St.27 status event code: A-4-4-P10-P22-nap-X000 |
|
| P22-X000 | Classification modified |
St.27 status event code: A-4-4-P10-P22-nap-X000 |
|
| PR1001 | Payment of annual fee |
St.27 status event code: A-4-4-U10-U11-oth-PR1001 Fee payment year number: 6 |
|
| PR1001 | Payment of annual fee |
St.27 status event code: A-4-4-U10-U11-oth-PR1001 Fee payment year number: 7 |
|
| PR1001 | Payment of annual fee |
St.27 status event code: A-4-4-U10-U11-oth-PR1001 Fee payment year number: 8 |
|
| U11 | Full renewal or maintenance fee paid |
Free format text: ST27 STATUS EVENT CODE: A-4-4-U10-U11-OTH-PR1001 (AS PROVIDED BY THE NATIONAL OFFICE) Year of fee payment: 8 |




























































































































