KR101880629B1 - Temperature sensing system using least square method - Google Patents
Temperature sensing system using least square method Download PDFInfo
- Publication number
- KR101880629B1 KR101880629B1 KR1020160160700A KR20160160700A KR101880629B1 KR 101880629 B1 KR101880629 B1 KR 101880629B1 KR 1020160160700 A KR1020160160700 A KR 1020160160700A KR 20160160700 A KR20160160700 A KR 20160160700A KR 101880629 B1 KR101880629 B1 KR 101880629B1
- Authority
- KR
- South Korea
- Prior art keywords
- body temperature
- quot
- equation
- change
- change amount
- Prior art date
- Legal status (The legal status is an assumption and is not a legal conclusion. Google has not performed a legal analysis and makes no representation as to the accuracy of the status listed.)
- Expired - Fee Related
Links
Images
Classifications
-
- A—HUMAN NECESSITIES
- A61—MEDICAL OR VETERINARY SCIENCE; HYGIENE
- A61B—DIAGNOSIS; SURGERY; IDENTIFICATION
- A61B5/00—Measuring for diagnostic purposes; Identification of persons
- A61B5/01—Measuring temperature of body parts ; Diagnostic temperature sensing, e.g. for malignant or inflamed tissue
-
- A—HUMAN NECESSITIES
- A61—MEDICAL OR VETERINARY SCIENCE; HYGIENE
- A61B—DIAGNOSIS; SURGERY; IDENTIFICATION
- A61B5/00—Measuring for diagnostic purposes; Identification of persons
- A61B5/74—Details of notification to user or communication with user or patient; User input means
- A61B5/746—Alarms related to a physiological condition, e.g. details of setting alarm thresholds or avoiding false alarms
-
- H—ELECTRICITY
- H04—ELECTRIC COMMUNICATION TECHNIQUE
- H04M—TELEPHONIC COMMUNICATION
- H04M1/00—Substation equipment, e.g. for use by subscribers
- H04M1/72—Mobile telephones; Cordless telephones, i.e. devices for establishing wireless links to base stations without route selection
- H04M1/724—User interfaces specially adapted for cordless or mobile telephones
-
- H04M1/72519—
-
- H—ELECTRICITY
- H04—ELECTRIC COMMUNICATION TECHNIQUE
- H04M—TELEPHONIC COMMUNICATION
- H04M2250/00—Details of telephonic subscriber devices
- H04M2250/02—Details of telephonic subscriber devices including a Bluetooth interface
Landscapes
- Health & Medical Sciences (AREA)
- Life Sciences & Earth Sciences (AREA)
- Engineering & Computer Science (AREA)
- Molecular Biology (AREA)
- Animal Behavior & Ethology (AREA)
- Pathology (AREA)
- Physics & Mathematics (AREA)
- Biomedical Technology (AREA)
- Heart & Thoracic Surgery (AREA)
- Medical Informatics (AREA)
- Veterinary Medicine (AREA)
- Surgery (AREA)
- Biophysics (AREA)
- General Health & Medical Sciences (AREA)
- Public Health (AREA)
- Physiology (AREA)
- Human Computer Interaction (AREA)
- Computer Networks & Wireless Communication (AREA)
- Signal Processing (AREA)
- Measuring And Recording Apparatus For Diagnosis (AREA)
Abstract
최소자승법을 이용한 체온 감지 시스템은, 사용자의 신체에 부착되어 체온을 감지하며, 감지된 체온을 설정된 주기마다 블루투스 통신방식으로 송신하는 블루투스 체온계; 및 상기 블루투스 통신방식을 통해 전달되는 상기 체온을 수신하여 데이터베이스화하여 저장함에 있어서, 최소자승법을 이용하여 체온의 변화량을 산출하며, 산출된 체온의 변화량이 설정된 허용범위를 초과할 경우 알람을 알려주는 체온감지 애플리케이션이 설치된 휴대용 단말기를 포함하는 것을 특징으로 한다.The body temperature sensing system using the least square method includes a Bluetooth thermometer for sensing a body temperature by attaching to a user's body and transmitting the detected body temperature at a predetermined cycle by a Bluetooth communication method; And receiving the body temperature transmitted through the Bluetooth communication method and storing the received body temperature in a database and storing the calculated body temperature, the method calculates a change amount of the body temperature using the least squares method and informs an alarm when the calculated change amount of the body temperature exceeds the set allowable range And a portable terminal in which a temperature sensing application is installed.
Description
본 발명은 체온 감지 시스템에 관한 것으로서, 더 상세하게는 최소자승법을 이용한 체온 감지 시스템에 관한 것이다.The present invention relates to a body temperature sensing system, and more particularly, to a body temperature sensing system using a least squares method.
일반적으로, 사람의 체온을 신속하고 정확하게 측정하는 데 방사 체온계가 점점 더 많이 사용되고 있다. 이 방사 체온계는 고막으로부터의 적외선을 측정하기 위하여 체온계의 탐침 팁을 이도(耳道; ear canal) 안으로 도입하는 간단한 절차를 포함하는데, 이 과정에 있어서 적외선은 체온을 정확하게 나타내며 경구(經口), 직장(直腸) 또는 겨드랑이 아래에서의 측정치에 비해 온도변화에 더 민감하다.Generally, radiant thermometers are increasingly being used to quickly and accurately measure human body temperature. The radiometric thermometer includes a simple procedure for introducing a probe tip of a clinical thermometer into an ear canal to measure infrared rays from the eardrum. In this process, the infrared ray accurately represents the body temperature, It is more sensitive to temperature changes than measurements in the rectum or underarm.
수은으로 충전된 종래와 체온계와 비교하면, 방사 체온계에 의한 체온 측정이 현저하게 더 신속하고 정확할 뿐만 아니라, 예컨대 수은 체온계에 의해 경구 또는 직장 측정을 행하는 경우에 발생할 수 있는 점막과의 접촉으로부터 초래되는 감염의 위험도 제거한다.Compared to a conventional thermometer filled with mercury, the body temperature measurement by the radiometric thermometer is significantly faster and more accurate, as well as the result of contact with the mucous membrane, which may occur, for example, when performing oral or rectal measurements with a mercury thermometer Eliminates the risk of infection.
또한, 종래의 체온계로 유아 및 아동의 체온을 측정할 때 상존하는 위험, 즉 직장이 뚫리는 위험이 배제된다.In addition, the conventional clinical thermometer excludes the risk that the body temperature of the infant and the child is measured, that is, the risk that the rectum is opened.
방사 체온계의 탐침 팁은 통상적으로 적외선을 측정할 수 있도록 개구를 포함하고, 이 개구로부터 연장되는 적외선 도파관(waveguide)을 통하여 예컨대 열전 센서(pyroelectric sensor), 서머파일(thermopile) 또는 볼로미터 장치(bolometer device) 등의 열 방사 센서로 지향된다.The probe tip of the radiometric thermometer typically includes an opening for the measurement of infrared radiation and is connected via an infrared waveguide extending from the aperture to a pyroelectric sensor, thermopile or bolometer device ) And the like.
이 장치는 센서에 발생된 부분적인 온도 증가를 전기 출력 전압으로 변환하며, 하류의 전자 측정 회로가 상기전압으로부터 목표 온도(target temperature)를 측정한다.The device converts a partial temperature increase generated in the sensor to an electrical output voltage, and a downstream electronic measurement circuit measures the target temperature from the voltage.
하지만, 종래의 체온계를 이용할 경우, 단순히 체온을 측정한 후 수기로 기록하여 피측정자의 체온을 파악하거나,However, when a conventional thermometer is used, the body temperature of the subject is measured by simply measuring the body temperature,
측정된 체온이 자동으로 저장되더라도, 특정 수치값을 벗어날 경우에 경고를 출력하는 단계에 머무르고 있다.It remains in the step of outputting a warning when the measured body temperature is automatically stored, but deviates from a specific numerical value.
특히 해열제 등을 복용한 후 피측정자의 체온을 확인하면 추가적인 해열제를 복용하는 시점을 파악할 때, 각 신체부위마다 온도가 다르고, 종래에는 단순히 특정 체온을 넘었을 경우만을 알려주는 체온계만이 존재하므로 해열제 복약시점을 정확하게 파악하기가 힘들었다.In particular, when the body temperature of the subject is checked after taking the antipyretic agent, when the time when taking the additional antipyretic agent is determined, only the thermometer indicating that the body temperature is different and the body temperature is simply exceeded, It was difficult to pinpoint the timing of medication.
본 발명은 상기와 같은 기술적 과제를 해결하기 위해 제안된 것으로, 설정된 주기마다 블루투스 통신방식을 통해 체온을 수신받아 최소자승법을 이용하여 체온의 변화량을 산출할 수 있는 체온 감지 시스템을 제공한다.The present invention provides a body temperature sensing system capable of receiving a body temperature through a Bluetooth communication method at a set interval and calculating a variation amount of the body temperature using a least squares method.
본 발명의 일 실시예에 따르면, 사용자의 신체에 부착되어 체온을 감지하며, 감지된 체온을 설정된 주기마다 블루투스 통신방식으로 송신하는 블루투스 체온계; 및 상기 블루투스 통신방식을 통해 전달되는 상기 체온을 수신하여 데이터베이스화하여 저장함에 있어서, 최소자승법을 이용하여 체온의 변화량을 산출하며, 산출된 체온의 변화량이 설정된 허용범위를 초과할 경우 알람을 알려주는 체온감지 애플리케이션이 설치된 휴대용 단말기;를 포함하는 최소자승법을 이용한 체온 감지 시스템이 제공된다.According to an embodiment of the present invention, there is provided a Bluetooth thermometer for detecting a body temperature attached to a user's body and transmitting the sensed body temperature at a predetermined cycle in a Bluetooth communication manner; And receiving the body temperature transmitted through the Bluetooth communication method and storing the received body temperature in a database and storing the calculated body temperature, the method calculates a change amount of the body temperature using the least squares method and informs an alarm when the calculated change amount of the body temperature exceeds the set allowable range A body temperature sensing system using a least squares method including a portable terminal having a body temperature sensing application installed therein is provided.
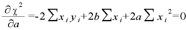
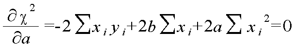
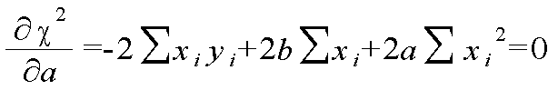
또한, 상기 체온감지 애플리케이션은, 최소자승법을 이용하여 체온의 변화량을 산출함에 있어서,In addition, the body temperature sensing application may be configured such that, in calculating the change amount of the body temperature using the least squares method,
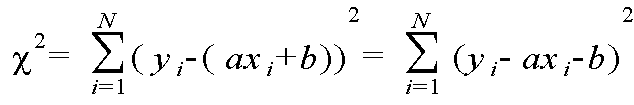
편차 제곱의 오차총합(χ2)을 수학식 1과 같이 정의하고,(2) of the deviation squares is defined as shown in Equation (1)
<수학식 1>&Quot; (1) "
f(xi) 의 함수를 일차함수 y= ytrue = ax + b 로 정의할 경우(a, b는 상수),If a function of f (x i ) is defined as a linear function y = y true = ax + b (where a and b are constants)
수학식 1은 수학식 2 및 수학식 3으로 정의되고,
<수학식 2> &Quot; (2) "
<수학식 3>&Quot; (3) "
측정한 체온 데이터값(yi)과 해당 직선 위의 값(f(xi)) 사이의 오차를 최대한 줄이는 상수 a와 b를 수학식 4 및 수학식 5를 통해 산출하는 과정을 진행하고,(4) and (5) for minimizing an error between the measured body temperature data value y i and the value f (x i ) on the straight line,
<수학식 4>&Quot; (4) "
<수학식 5>Equation (5)
상출된 상수 a 및 b를 일차함수 y= ytrue = ax + b 에 대입하여, The derived constants a and b are substituted into a linear function y = y true = ax + b,
일차함수의 기울기를 통해 체온의 변화량을 산출하는 것을 특징으로 한다.And the amount of change in the body temperature is calculated through the slope of the linear function.
본 발명의 실시예에 따른 체온 감지 시스템은, 설정된 주기마다 블루투스 통신방식을 통해 체온을 수신받아 최소자승법을 이용하여 체온의 변화량을 산출할 수 있으므로, 체온의 상승추세 ,하강추세 및 고정추세 등을 세밀하게 파악할 수 있다.The body temperature sensing system according to the embodiment of the present invention can receive the body temperature through the Bluetooth communication method every predetermined period and calculate the change amount of the body temperature using the least squares method so that the upward trend, Can be grasped in detail.
따라서 피측정자의 체온 변화량을 토대로 효과적인 해열제 복약시점을 확인할 수 있다.Therefore, it is possible to confirm the effective time of the antipyretic drug based on the change in body temperature of the subject.
도 1은 본 발명의 실시예에 따른 최소자승법을 이용한 체온 감지 시스템(1)의 구성도
도 2는 측정값 yi와, 함수값 f(xi) 사이의 관계도를 나타낸 그래프
도 3은 체온 측정 1시간동안의 체온의 변화량을 산출한 그래프
도 4는 체온 측정 1시간 중 전반 30분 동안의 체온의 변화량을 산출한 그래프
도 5는 체온 측정 1시간 중 후반 30분 동안의 체온의 변화량을 산출한 그래프
도 6은 체온 측정 1시간 중 마지막 15분 동안의 체온의 변화량을 산출한 그래프
도 7은 체온 측정시간 중 1시간, 30분, 15분 단위별로 체온의 변화량을 표시한 그래프
도 8은 휴대용 단말기에 설치된 체온감지 애플리케이션의 동작화면을 나타낸 도면1 is a configuration diagram of a body
2 is a graph showing the relationship between the measured value y i and the function value f (x i )
FIG. 3 is a graph showing a change in body temperature during one hour of body temperature measurement
FIG. 4 is a graph showing a change in body temperature during the first half hour of one hour of body temperature measurement
FIG. 5 is a graph showing a change in body temperature during one half hour of the body temperature measurement in the second half of 30 minutes
FIG. 6 is a graph showing a change in body temperature during the last 15 minutes of one hour of body temperature measurement
FIG. 7 is a graph showing changes in body temperature per unit time of 1 hour, 30 minutes, and 15 minutes
8 is a diagram showing an operation screen of the temperature sensing application installed in the portable terminal
이하, 본 발명이 속하는 기술 분야에서 통상의 지식을 가진 자가 본 발명의 기술적 사상을 용이하게 실시할 수 있을 정도로 상세히 설명하기 위하여, 본 발명의 실시예를 첨부한 도면을 참조하여 설명하기로 한다.DETAILED DESCRIPTION OF THE PREFERRED EMBODIMENTS Hereinafter, embodiments of the present invention will be described in detail with reference to the accompanying drawings, in order to facilitate a person skilled in the art to easily carry out the technical idea of the present invention.
도 1은 본 발명의 실시예에 따른 최소자승법을 이용한 체온 감지 시스템(1)의 구성도이다.1 is a configuration diagram of a body
본 실시예에 따른 체온 감지 시스템(1)은 제안하고자 하는 기술적인 사항을 명확하게 설명하기 위한 간략한 구성만을 포함하고 있다.The body
도 1을 참조하면, 최소자승법을 이용한 체온 감지 시스템(1)은, 블루투스 체온계(100)와 휴대용 단말기(200)을 포함하여 구성된다.Referring to FIG. 1, the body
여기에서 휴대용 단말기는 휴대폰, 스마트폰, 스마트 패드 등과 같이 사용자가 휴대하면서 사용할 수 있는 기기를 총칭하는 것이며, 본 실시예에서는 스마트폰으로 구성된 휴대용 단말기로 가정하고 설명하기로 한다.Here, the portable terminal is generally referred to as a portable terminal such as a mobile phone, a smart phone, a smart pad and the like, which the user can carry while using the portable terminal. In the present embodiment, it is assumed that the portable terminal is configured as a smart phone.
블루투스 체온계(100)는 사용자의 신체에 부착되어 체온을 감지하며, 감지된 체온을 설정된 주기마다 블루투스 통신방식으로 송신한다.The Bluetooth
블루투스 체온계(100)는 겨드랑이 부위 또는 겨드랑이 부위에 가까운 팔 부위에 밀착하여 부착하는 형태로 구성된다. 블루투스 체온계(100)는 저전력 블루투스 기능을 이용하여 휴대용 단말기(200)로 체온정보를 주기적으로 전달한다.The Bluetooth
휴대용 단말기(200)는 블루투스 통신방식을 통해 전달되는 체온을 수신하여 데이터베이스화하여 저장한다. 또한, 휴대용 단말기(200)는 최소자승법을 이용하여 체온의 변화량을 산출하며, 산출된 체온의 변화량이 설정된 허용범위를 초과할 경우 알람을 알려주는 체온감지 애플리케이션이 설치된다. 관찰(측정)된 체온을 최소자승법을 이용하여 최근 1시간동안의 변화량, 30분동안의 변화량, 15분 동안의 변화량 등으로 세분화하여 변화량을 계산하고 계산된 결과에서 최종적인 체온 변화량을 감지하여 설정한 허용범위를 벗어날 경우 보호자에게 알람을 줄 수 있도록 구성된다.The
최소자승법(Method of Least Squares)은 측정값을 기초로 하여 적당한 제곱합을 만들고 그것을 최소로 하는 값을 구하여 측정결과를 처리하는 방법으로 실험을 N회 실시하여 측정된 N개의 데이터를 확보하고 이 데이터 사이의 규칙성을 찾아내어 상관관계를 함수로 표현할 수 있는 방법이다.The Method of Least Squares is a method of processing a measurement result by obtaining a value that minimizes it by creating a proper square sum based on the measured value. The experiment is performed N times to obtain N measured data, Is a method that can find out the regularity and express the correlation as a function.
즉, N번 측정한 측정값 y1, y2, y3, y4, ... , yn 이 있고, 함수 y=f(x) 일 것으로 추정할 수 있을 경우, 이 측정값들의 관계에서 가장 잘 맞는 함수를 y=f(x)라고 할때, 측정값 yi와 함수값 f(x)의 차이를 제곱한 것의 합을 <수학식 1>과 같이 표시할 수 있다.That is, if it can be assumed that there are N measured values y1, y2, y3, y4, ..., yn and that the function y = f (x) y = f (x), the sum of squares of the difference between the measured value yi and the function value f (x) can be expressed as Equation (1).
수학식 1의 값은 편차제곱의 오차 총합으로 정의할 수 있으며, 이 값이 최소가 되도록 y=f(x)를 구하는 것이 최소자승법이라고 할 수 있다.The value of equation (1) can be defined as the sum of error of squared deviations, and it can be said that the least squares method is to obtain y = f (x) so that this value is minimized.
이 직선의 그래프가 측정값의 분포를 가장 잘 나타내는 직선으로 해당 직선의 기울기가 곧 측정값의 변화추이를 나타낸다고 볼 수 있다.The straight line shows the best distribution of the measured value, and the slope of the straight line indicates the change of the measured value.
도 2는 측정값 yi와, 함수값 f(xi) 사이의 관계도를 나타낸 그래프이다.2 is a graph showing the relationship between the measured value y i and the function value f (x i ).
도 2를 참조하면, f(xi) 의 함수를 y = ax + b 로 표현할 때, 이 직선 위의 값(ytrue)과 측정 값(yi) 의 편차(yi - ytrue )를 이용하여 편차 제곱의 오차총합(χ2)을 표현할 수 있으며 이는 <수학식 2>과 같이 표시할 수 있다.Referring to FIG. 2, when the function of f (x i ) is represented by y = ax + b, the deviation (y i - y true ) between the value y y true on the straight line and the measured value y i is used ( 2 ) can be expressed as Equation ( 2 ). &Quot; ( 2 ) "
여기에서 (ytrue) 는 ax + b 로 표현할 수 있으며 이는 <수학식 3>과 같이 표시할 수 있다.Here, (y true ) can be represented by ax + b, which can be expressed as Equation (3).
여기서 측정한 데이터값(yi)과 해당 직선위의 값(f(xi)) 사이의 오차를 최대한 줄이는 a와 b를 찾아야 하며 이 때의 a와 b의 값은 (χ2) 값을 최소화 하는 값이 된다.We need to find a and b that minimize the error between the measured data value y i and the value f (x i ) on the straight line. The values of a and b at this time minimize (χ 2 ) .
오차를 최소화하는 a, b 값을 구하기 위해서는 a와 b에 대해 각각 편미분한 값이 0 이 되면 된다. 이는 <수학식 4>와 같이 표시할 수 있다.To obtain the a and b values that minimize the error, a partial differentiation value for a and b is 0, respectively. This can be expressed as Equation (4).
수학식 4를 만족하는 a와 b를 계산하면 <수학식 5>와 같이 표시할 수 있다.Computing a and b satisfying Equation (4) can be expressed as Equation (5).
표 1은 1시간동안 1분 간격으로 측정한 체온을 나타낸 표이고, 도 3은 체온 측정 1시간동안의 체온의 변화량을 산출한 그래프이다.Table 1 shows the body temperature measured at intervals of one minute for one hour, and FIG. 3 is a graph for calculating the amount of change of body temperature during one hour of body temperature measurement.
<표 1><Table 1>
표 1 및 도 3을 참조하면, 표 1의 체온 데이터를 수학식 1 내지 5를 적용할 경우, a = 0.0092, b=27.461 로 산출된다. Referring to Table 1 and FIG. 3, when the body temperature data of Table 1 is applied to
즉, 도 3에 도시된 바와 같이, y = 0.0092x + 37.461 의 직선 기울기를 갖는 1차 함수가 산출된다.That is, as shown in FIG. 3, a linear function having a linear slope of y = 0.0092x + 37.461 is calculated.
따라서 기울기가 "0.0092" 이므로 양의 값을 가지고 있어 체온이 점차 증가하는 상황임을 인지할 수 있다.Therefore, it can be recognized that the slope is "0.0092", so it has a positive value and the body temperature gradually increases.
도 4는 체온 측정 1시간 중 전반 30분 동안의 체온의 변화량을 산출한 그래프이다.FIG. 4 is a graph showing a change in body temperature during the first half hour of one hour of body temperature measurement.
도 4를 참조하면, 전반 30분 동안의 체온 데이터를 수학식 1 내지 5를 적용할 경우, a = 0.0009, b=37.583 으로 산출된다. 즉, 도 4에 도시된 바와 같이, y = 0.0009x + 37.583 의 직선 기울기를 갖는 1차 함수가 산출된다.Referring to FIG. 4, when the body temperature data for the first 30 minutes is applied to
따라서 기울기가 “0.0009”의 경우 상대적으로 0 에 가깝기 때문에 체온에 매우 작은 변화를 보이고 있음을 인지할 수 있다.Therefore, it can be recognized that the slope of "0.0009" is relatively close to zero, so that the body temperature is very small.
도 5는 체온 측정 1시간 중 후반 30분 동안의 체온의 변화량을 산출한 그래프이다.FIG. 5 is a graph showing the amount of change in body temperature during one half hour of the body temperature measurement in the second half of 30 minutes.
도 5를 참조하면, 후반 30분 동안의 체온 데이터를 수학식 1 내지 5를 적용할 경우, a = 0.0148, b=37.657 로 산출된다. 즉, 도 5에 도시된 바와 같이, y = 0.0148x + 37.657 의 직선 기울기를 갖는 1차 함수가 산출된다.Referring to FIG. 5, when the body temperature data for the second half of 30 minutes are applied to
따라서 기울기가 “0.0148”이므로, 양의 값을 가지고 있고 기울기가 다소 급격하게 상승되므로 체온이 상승중임을 인지할 수 있다.Therefore, since the slope is "0.0148", it has a positive value and it can be recognized that the body temperature is rising because the slope is slightly increased sharply.
도 6은 체온 측정 1시간 중 마지막 15분 동안의 체온의 변화량을 산출한 그래프이다.FIG. 6 is a graph showing the amount of change in body temperature during the last 15 minutes of one hour of body temperature measurement.
도 6을 참조하면, 마지막 15분 동안의 체온 데이터를 수학식 1 내지 5를 적용할 경우, a = 0.0196, b=37.843 로 산출된다. 즉, 도 5에 도시된 바와 같이, y = 0.0196x + 37.843 의 직선 기울기를 갖는 1차 함수가 산출된다.Referring to FIG. 6, when the body temperature data for the last 15 minutes are applied to
따라서 기울기가 “0.0196”이므로, 양의 값을 가지고 있고 기울기가 가장 급격하게 상승되므로 체온이 가장 빠르게 상승중임을 인지할 수 있다.Therefore, since the slope is "0.0196", it has a positive value and it can be recognized that the body temperature is rising at the fastest rate as the slope increases most rapidly.
도 7은 체온 측정시간 중 1시간, 30분, 15분 단위별로 체온의 변화량을 표시한 그래프이다.FIG. 7 is a graph showing the amount of change in body temperature for each of 1 hour, 30 minutes, and 15 minutes in the body temperature measurement time.
도 7을 참조하면, 도 3에 도시된 그래프에 1시간동안의 체온에 대한 일차함수, 전반 30분 동안의 체온에 대한 일차함수, 후반 30분 동안의 체온에 대한 일차함수 및 마지막 15분 동안의 체온에 대한 일차함수가 통합적으로 도시되어 표시된다. 따라서 각 구간별로 체온의 변화량을 용이하게 파악할 수 있다.Referring to Fig. 7, the graph shown in Fig. 3 shows a linear function for body temperature for 1 hour, a linear function for body temperature for 30 minutes in the first half, a linear function for body temperature for the second half of 30 minutes, A linear function for body temperature is shown and shown collectively. Therefore, the amount of change in body temperature can be easily grasped for each section.
즉, 다소 오차를 가지는 체온 측정값에서 최소자승법을 통한 직선 그래프를 도출함으로써, 1시간동안의 변화량과 최근 30분간, 15분간의 변화량을 계산해서 표시할 수 있으며, 이 변화량을 비교함으로써, 체온의 상승여부를 정확하게 감지할 수 있다. 본 실시예에서는 15분, 30분, 1시간 단위로 변화량을 계산하였으나, 이는 실시예에 따라 1분 내지 24시간 중 어느 하나의 시간단위로 변화량을 계산할 수 있을 것이다.That is, by deriving a straight line graph based on the least squares method from a body temperature measurement value having a slight error, the change amount for one hour and the change amount for the last 30 minutes and 15 minutes can be calculated and displayed. By comparing the change amounts, It can accurately detect whether or not it is ascending. In the present embodiment, the variation is calculated in units of 15 minutes, 30 minutes, and 1 hour. However, the variation may be calculated in units of one of 1 minute to 24 hours according to the embodiment.
도 8은 휴대용 단말기에 설치된 체온감지 애플리케이션의 동작화면을 나타낸 도면이다8 is a view showing an operation screen of the temperature sensing application installed in the portable terminal
도 8을 참조하면, 체온감지 애플리케이션은 복수의 피측정자의 현재 체온을 표시할 수 있으며, 어느 한 측정자를 선택할 경우, 현재 체온, 최고온도, 평균온도, 최저온도가 표시된다. 또한, 시간별 온도변화의 추세가 그래프 형태로 표시되며, 도 3 내지 도 7의 그래프가 표시될 수도 있다.Referring to FIG. 8, the body temperature sensing application can display the current body temperature of a plurality of subjects, and when selecting one, the current body temperature, maximum temperature, average temperature, and minimum temperature are displayed. Also, the trend of the temperature change with time is displayed in the form of a graph, and the graphs of FIGS. 3 to 7 may be displayed.
참고적으로 체온감지 애플리케이션은 블루투스 체온계(100)에 내장된 배터리의 전압까지 표시하여 배터리 교체시기를 확인할 수도 있다. 또한, 피측정자를 선택했을 경우, 최고온도, 평균온도, 최저온도가 표시되며, 그래프 형태로 시간당 체온의 변화율이 표시된다.For reference, the body temperature sensing application may display the voltage of the battery built in the
참고적으로 휴대용 단말기(200))의 체온감지 애플리케이션은, 블루투스 체온계(100)에 내장된 배터리의 현재 전압값을 데이터베이스화하여 저장한다. 따라서 배터리의 현재 전압값의 시간별 변화추세를 바탕으로 배터리의 예상교체 시기를 산출하고 이를 표시할 수 있다.For reference, the body temperature sensing application of the
배터리 예상교체 시기를 산출할 때, 블루투스 체온계(100)에서 감지한 온도정보를 추가로 고려하여 좀 더 신뢰성 있는 배터리 예상교체 시기를 산출할 수도 있다.When calculating the estimated battery replacement period, it is also possible to calculate a more reliable estimated battery replacement period by further considering the temperature information sensed by the
예를 들면, 온도가 상대적으로 낮을 경우 배터리의 출력전압이 낮아지므로, 계속해서 낮은 온도에서 블루투스 체온계(100)가 사용될 때는 배터리 예상교체 시기가 빨라진다.For example, when the temperature is relatively low, the output voltage of the battery is low, so that when the
즉, 휴대용 단말기(200)의 체온감지 애플리케이션은, 배터리가 사용될 때의 현재온도와 출력전압을 모두 데이터베이스화 한 후, 온도이력과 출력전압이력을 모두 고려하여 배터리 예상교체 시기를 산출할 수 있다.In other words, the body temperature sensing application of the
본 발명의 실시예에 따른 체온 감지 시스템은, 설정된 주기마다 블루투스 통신방식을 통해 체온을 수신받아 최소자승법을 이용하여 체온의 변화량을 산출할 수 있으므로, 체온의 상승추세 ,하강추세 및 고정추세 등을 세밀하게 파악할 수 있다.The body temperature sensing system according to the embodiment of the present invention can receive the body temperature through the Bluetooth communication method every predetermined period and calculate the change amount of the body temperature using the least squares method so that the upward trend, Can be grasped in detail.
따라서 피측정자의 체온 변화량을 토대로 효과적인 해열제 복약시점을 확인할 수 있다. 예를 들면 첫 번째로 해열제를 복용하여 체온이 정상 범주내로 유지하다가 다시 상승할 경우, 그 체온의 변화량(상승률)을 각 시간단위별로 그래프화하여 표시할 수 있으므로, 보호자가 두 번째 해열제 복용시점을 용이하게 파악할 수 있다.Therefore, it is possible to confirm the effective time of the antipyretic drug based on the change in body temperature of the subject. For example, if the first temperature is maintained within the normal range by taking an antipyretic agent, and the temperature rises again, the change in body temperature (rate of increase) can be displayed on a graph-by-time basis. It can be easily grasped.
본 발명에 따르면 환자의 체온 정보를 실시간으로 수집하고 분석함으로써, 환자에 대한 체온의 추이를 예상할 수 있는 이점이 있다. 또한, 환자의 체온의 변화량을 감지함으로써, 체온이 위험단계(고열 또는 저체온)에 이르기 전에 이러한 상황을 감지할 수 있는 이점이 있다. According to the present invention, body temperature information of a patient is collected and analyzed in real time, and there is an advantage that a change in body temperature with respect to a patient can be predicted. In addition, by sensing the amount of change in the body temperature of the patient, there is an advantage in that the body temperature can be detected before reaching a dangerous stage (high or low temperature).
또한, 환자의 체온의 변화량을 감지하여 보호자에게 위험단계를 빠르게 전달할 수 있다. 따라서 보호자가 체온이 위험단계(고열 또는 저체온)에 이르기 전에 체온을 변화시키는 요인이 있는지 주변 환경을 점검하고 추후 발열상황에 대처하기 위한 시간적 여유를 확보할 수 있는 이점이 있다.In addition, it can detect the amount of change in the body temperature of the patient and quickly transmit the risk level to the caregiver. Therefore, there is an advantage that the caregiver can check the surrounding environment to see whether there is a factor that changes the body temperature before the body temperature reaches the dangerous stage (high or low temperature), and can secure a time margin to cope with the fever situation.
이와 같이, 본 발명이 속하는 기술분야의 당업자는 본 발명이 그 기술적 사상이나 필수적 특징을 변경하지 않고서 다른 구체적인 형태로 실시될 수 있다는 것을 이해할 수 있을 것이다. 그러므로 이상에서 기술한 실시예들은 모든 면에서 예시적인 것이며 한정적인 것이 아닌 것으로서 이해해야만 한다. 본 발명의 범위는 상기 상세한 설명보다는 후술하는 특허청구범위에 의하여 나타내어지며, 특허청구범위의 의미 및 범위 그리고 그 등가개념으로부터 도출되는 모든 변경 또는 변형된 형태가 본 발명의 범위에 포함되는 것으로 해석되어야 한다.Thus, those skilled in the art will appreciate that the present invention may be embodied in other specific forms without departing from the spirit or essential characteristics thereof. It is therefore to be understood that the embodiments described above are to be considered in all respects only as illustrative and not restrictive. The scope of the present invention is defined by the appended claims rather than the detailed description and all changes or modifications derived from the meaning and scope of the claims and their equivalents are to be construed as being included within the scope of the present invention do.
100 : 블루투스 체온계
200 : 휴대용 단말기100: Bluetooth thermometer
200: portable terminal
Claims (2)
상기 블루투스 통신방식을 통해 전달되는 상기 체온을 수신하여 데이터베이스화하여 저장함에 있어서, 최소자승법을 이용하여 체온의 변화량을 산출하며, 산출된 체온의 변화량이 설정된 허용범위를 초과할 경우 알람을 알려주는 체온감지 애플리케이션이 설치된 휴대용 단말기;를 포함하고,
상기 체온감지 애플리케이션은,
최소자승법을 이용하여 체온의 변화량을 산출함에 있어서,
편차 제곱의 오차총합(χ2)을 수학식 1과 같이 정의하고,
<수학식 1>
f(xi) 의 함수를 일차함수 y= ytrue = ax + b 로 정의할 경우(a, b는 상수),
수학식 1은 수학식 2 및 수학식 3으로 정의되고,
<수학식 2>
<수학식 3>
측정한 체온 데이터값(yi)과 해당 직선 위의 값(f(xi)) 사이의 오차를 최대한 줄이는 상수 a와 b를 수학식 4 및 수학식 5를 통해 산출하는 과정을 진행하고,
<수학식 4>
<수학식 5>
상출된 상수 a 및 b를 일차함수 y= ytrue = ax + b 에 대입하여,
일차함수의 기울기를 통해 체온의 변화량을 산출하는 것을 특징으로 하는 최소자승법을 이용한 체온 감지 시스템.A Bluetooth thermometer for detecting a body temperature attached to a user's body and transmitting the sensed body temperature at a predetermined cycle by a Bluetooth communication system; And
The method comprising: calculating a change amount of a body temperature using a least squares method, receiving a body temperature transmitted through the Bluetooth communication method, storing the body temperature in a database, and storing the temperature when a change amount of the calculated body temperature exceeds a set allowable range And a portable terminal having a detection application installed therein,
The body temperature sensing application includes:
In calculating the amount of change in body temperature using the least squares method,
(2) of the deviation squares is defined as shown in Equation (1)
&Quot; (1) "
If a function of f (x i ) is defined as a linear function y = y true = ax + b (where a and b are constants)
Equation 1 is defined by Equation 2 and Equation 3,
&Quot; (2) "
&Quot; (3) "
(4) and (5) for minimizing an error between the measured body temperature data value y i and the value f (x i ) on the straight line,
&Quot; (4) "
Equation (5)
The derived constants a and b are substituted into a linear function y = y true = ax + b,
And calculating a change amount of the body temperature through the slope of the linear function.
Priority Applications (1)
| Application Number | Priority Date | Filing Date | Title |
|---|---|---|---|
| KR1020160160700A KR101880629B1 (en) | 2016-11-29 | 2016-11-29 | Temperature sensing system using least square method |
Applications Claiming Priority (1)
| Application Number | Priority Date | Filing Date | Title |
|---|---|---|---|
| KR1020160160700A KR101880629B1 (en) | 2016-11-29 | 2016-11-29 | Temperature sensing system using least square method |
Publications (2)
| Publication Number | Publication Date |
|---|---|
| KR20180060795A KR20180060795A (en) | 2018-06-07 |
| KR101880629B1 true KR101880629B1 (en) | 2018-07-20 |
Family
ID=62622074
Family Applications (1)
| Application Number | Title | Priority Date | Filing Date |
|---|---|---|---|
| KR1020160160700A Expired - Fee Related KR101880629B1 (en) | 2016-11-29 | 2016-11-29 | Temperature sensing system using least square method |
Country Status (1)
| Country | Link |
|---|---|
| KR (1) | KR101880629B1 (en) |
Families Citing this family (2)
| Publication number | Priority date | Publication date | Assignee | Title |
|---|---|---|---|---|
| KR102020179B1 (en) * | 2019-04-09 | 2019-11-05 | 최보환 | Electrode for electrosurgical handpiece |
| KR102021266B1 (en) * | 2019-04-12 | 2019-09-16 | 최보환 | Electrogurgical handpiece |
Citations (2)
| Publication number | Priority date | Publication date | Assignee | Title |
|---|---|---|---|---|
| JPH11225991A (en) * | 1998-02-19 | 1999-08-24 | Toshiba Corp | Body temperature monitoring device and body temperature monitoring method |
| KR20140116579A (en) * | 2013-03-25 | 2014-10-06 | (주)이퓨 | Smart body heat management method |
-
2016
- 2016-11-29 KR KR1020160160700A patent/KR101880629B1/en not_active Expired - Fee Related
Patent Citations (2)
| Publication number | Priority date | Publication date | Assignee | Title |
|---|---|---|---|---|
| JPH11225991A (en) * | 1998-02-19 | 1999-08-24 | Toshiba Corp | Body temperature monitoring device and body temperature monitoring method |
| KR20140116579A (en) * | 2013-03-25 | 2014-10-06 | (주)이퓨 | Smart body heat management method |
Also Published As
| Publication number | Publication date |
|---|---|
| KR20180060795A (en) | 2018-06-07 |
Similar Documents
| Publication | Publication Date | Title |
|---|---|---|
| US10048134B2 (en) | Non-contact medical thermometer with distance sensing and compensation | |
| KR101779761B1 (en) | Temperature compensation thermometer and method using a distance measuring seneor | |
| EP2295943B1 (en) | radiation thermometer calibration | |
| US6179785B1 (en) | Ambient sensing feature for thermometer recalibration system | |
| KR101804374B1 (en) | Infrared ear thermometer and method for measuring body temperature using the same | |
| US20190350462A1 (en) | Methods and devices for measuring body temperature in a reduced time | |
| CN105942987B (en) | A kind of portable infrared clinical thermometer and its temperature-compensation method for continuously monitoring | |
| MX2007006004A (en) | Thermometer calibration by immersion in non-electrically conductive liquid. | |
| KR20120026384A (en) | Temperature measuring patch for baby | |
| US20190285488A1 (en) | Calibrating a heat flux sensor for measuring body temperature of an individual | |
| KR101880629B1 (en) | Temperature sensing system using least square method | |
| JP3040444B2 (en) | Thermometer | |
| CN112539842B (en) | A new earplug type human body temperature detection method and device | |
| KR101976136B1 (en) | Temperature sensing system using least squares method | |
| KR20110082282A (en) | Apparatus and method for detecting center temperature in infrared thermometer | |
| KR101098433B1 (en) | Apparatus and method for detecting surface temperature in infrared rays thermometer | |
| JP2671946B2 (en) | Eardrum temperature measuring device | |
| Shrivas | A review on various types of clinical thermometers with respect to technological advancements, pros and cons, and accuracy as crucial diagnostic devices | |
| Ogidan et al. | Automated Temperature Scanner Sensor In Comparison With Mercury-In-Glass Thermometer | |
| TWM584886U (en) | Signal interpretation device | |
| Jayasheela et al. | Design of IoT based Thermometer | |
| EP0999437A1 (en) | Apparatus for measuring internal body temperature utilizing infrared emissions | |
| JP3189676U (en) | Improved temperature measuring device | |
| TW202316089A (en) | Forehead temperature detection system with distance compensation and correction function | |
| CN113418611A (en) | Temperature measurement method and device, terminal equipment and storage medium |
Legal Events
| Date | Code | Title | Description |
|---|---|---|---|
| A201 | Request for examination | ||
| PA0109 | Patent application |
St.27 status event code: A-0-1-A10-A12-nap-PA0109 |
|
| PA0201 | Request for examination |
St.27 status event code: A-1-2-D10-D11-exm-PA0201 |
|
| N231 | Notification of change of applicant | ||
| PN2301 | Change of applicant |
St.27 status event code: A-3-3-R10-R13-asn-PN2301 St.27 status event code: A-3-3-R10-R11-asn-PN2301 |
|
| R18-X000 | Changes to party contact information recorded |
St.27 status event code: A-3-3-R10-R18-oth-X000 |
|
| E902 | Notification of reason for refusal | ||
| PE0902 | Notice of grounds for rejection |
St.27 status event code: A-1-2-D10-D21-exm-PE0902 |
|
| E13-X000 | Pre-grant limitation requested |
St.27 status event code: A-2-3-E10-E13-lim-X000 |
|
| P11-X000 | Amendment of application requested |
St.27 status event code: A-2-2-P10-P11-nap-X000 |
|
| P13-X000 | Application amended |
St.27 status event code: A-2-2-P10-P13-nap-X000 |
|
| E701 | Decision to grant or registration of patent right | ||
| PE0701 | Decision of registration |
St.27 status event code: A-1-2-D10-D22-exm-PE0701 |
|
| PG1501 | Laying open of application |
St.27 status event code: A-1-1-Q10-Q12-nap-PG1501 |
|
| GRNT | Written decision to grant | ||
| PR0701 | Registration of establishment |
St.27 status event code: A-2-4-F10-F11-exm-PR0701 |
|
| PR1002 | Payment of registration fee |
St.27 status event code: A-2-2-U10-U11-oth-PR1002 Fee payment year number: 1 |
|
| PG1601 | Publication of registration |
St.27 status event code: A-4-4-Q10-Q13-nap-PG1601 |
|
| P22-X000 | Classification modified |
St.27 status event code: A-4-4-P10-P22-nap-X000 |
|
| PC1903 | Unpaid annual fee |
St.27 status event code: A-4-4-U10-U13-oth-PC1903 Not in force date: 20210717 Payment event data comment text: Termination Category : DEFAULT_OF_REGISTRATION_FEE |
|
| PC1903 | Unpaid annual fee |
St.27 status event code: N-4-6-H10-H13-oth-PC1903 Ip right cessation event data comment text: Termination Category : DEFAULT_OF_REGISTRATION_FEE Not in force date: 20210717 |





















