KR101793528B1 - Certificateless public key encryption system and receiving terminal - Google Patents
Certificateless public key encryption system and receiving terminal Download PDFInfo
- Publication number
- KR101793528B1 KR101793528B1 KR1020160006629A KR20160006629A KR101793528B1 KR 101793528 B1 KR101793528 B1 KR 101793528B1 KR 1020160006629 A KR1020160006629 A KR 1020160006629A KR 20160006629 A KR20160006629 A KR 20160006629A KR 101793528 B1 KR101793528 B1 KR 101793528B1
- Authority
- KR
- South Korea
- Prior art keywords
- key
- receiving terminal
- public key
- constant
- secret value
- Prior art date
- Legal status (The legal status is an assumption and is not a legal conclusion. Google has not performed a legal analysis and makes no representation as to the accuracy of the status listed.)
- Active
Links
Images
Classifications
-
- H—ELECTRICITY
- H04—ELECTRIC COMMUNICATION TECHNIQUE
- H04L—TRANSMISSION OF DIGITAL INFORMATION, e.g. TELEGRAPHIC COMMUNICATION
- H04L9/00—Cryptographic mechanisms or cryptographic arrangements for secret or secure communications; Network security protocols
- H04L9/30—Public key, i.e. encryption algorithm being computationally infeasible to invert or user's encryption keys not requiring secrecy
-
- H—ELECTRICITY
- H04—ELECTRIC COMMUNICATION TECHNIQUE
- H04L—TRANSMISSION OF DIGITAL INFORMATION, e.g. TELEGRAPHIC COMMUNICATION
- H04L9/00—Cryptographic mechanisms or cryptographic arrangements for secret or secure communications; Network security protocols
- H04L9/08—Key distribution or management, e.g. generation, sharing or updating, of cryptographic keys or passwords
- H04L9/0861—Generation of secret information including derivation or calculation of cryptographic keys or passwords
- H04L9/0869—Generation of secret information including derivation or calculation of cryptographic keys or passwords involving random numbers or seeds
-
- H—ELECTRICITY
- H04—ELECTRIC COMMUNICATION TECHNIQUE
- H04L—TRANSMISSION OF DIGITAL INFORMATION, e.g. TELEGRAPHIC COMMUNICATION
- H04L9/00—Cryptographic mechanisms or cryptographic arrangements for secret or secure communications; Network security protocols
- H04L9/14—Cryptographic mechanisms or cryptographic arrangements for secret or secure communications; Network security protocols using a plurality of keys or algorithms
Landscapes
- Engineering & Computer Science (AREA)
- Computer Security & Cryptography (AREA)
- Computer Networks & Wireless Communication (AREA)
- Signal Processing (AREA)
- Computing Systems (AREA)
- Theoretical Computer Science (AREA)
- Mobile Radio Communication Systems (AREA)
Abstract
무인증서 공개키 암호 시스템이 개시된다. 상기 무인증서 공개키 암호 시스템은 수신 단말기, 송신 단말기, 및 서버를 포함하고, 상기 서버는 보안 상수를 입력받아 마스터키와 공개 상수를 생성하고, 상기 공개 상수를 공개하는 설정 모듈 및 상기 공개 상수와 상기 마스터키를 이용하여 상기 수신 단말기의 부분 개인키를 생성하고, 상기 부분 개인키를 상기 수신 단말기로 송신하는 부분 개인키 추출 모듈을 포함하고, 상기 수신 단말기는 상기 공개 상수, 상기 수신 단말기의 아이디 및 상기 수신 단말기의 상태 정보()를 이용하여 비밀값을 생성하는 비밀값 설정 모듈 및 상기 공개 상수, 상기 비밀값 및 상기 상태 정보()를 이용하여 공개키를 생성하는 공개키 설정 모듈을 포함하고, 상기 송신 단말기는 상기 공개 상수, 상기 수신 단말기의 아이디 및 상기 공개키를 메시지를 암호화하여 암호문을 생성하고, 생성된 암호문을 상기 수신 단말기로 송신한다.A non-certificate public key cryptosystem is disclosed. The public key cryptography system includes a receiving terminal, a transmitting terminal, and a server. The server receives a security constant and generates a master key and a public constant. The setting module exposes the public constant. And a partial private key extraction module for generating the partial private key of the receiving terminal using the master key and transmitting the partial private key to the receiving terminal, wherein the receiving terminal receives the public constant, And status information of the receiving terminal ( A secret value setting module for generating a secret value using the secret value, the secret value, and the status information The transmitting terminal generates a cipher text by encrypting the message with the public constant, the ID of the receiving terminal, and the public key, and transmits the generated cipher text to the receiving terminal To the terminal.
Description
본 발명의 개념에 따른 실시 예는 무인증서 공개키 암호 시스템에 관한 것으로, 특히 공개키가 교체된 이후 이전에 사용했던 비밀값과 복호화키가 노출되더라도 현재의 정당한 복호화키에 대한 어떠한 정보도 알아낼 수 없게 함으로써 안전성을 보장하는 무인증서 공개키 암호 시스템 및 수신 단말기에 관한 것이다.An embodiment according to the concept of the present invention relates to a non-certificate public key cryptosystem, and in particular, even if a previously used secret value and a decryption key are exposed after a public key is replaced, any information about a current valid decryption key can be obtained Certificate public key cryptosystem and a receiving terminal for ensuring safety by eliminating the public key.
본 발명의 배경이 되는 기술은 다음과 같다.The background of the present invention is as follows.
공개키 암호 시스템(Public Key Encryption System)Public Key Encryption System
공개키 암호 시스템에서 메시지 암호화 통신을 위해 사용되는 공개키는 식별이 불가능한 난수 형태이기 때문에 공개키만으로는 그 키에 대한 소유자가 누구인지 알 수 없다. 따라서, 메시지 전송 방식이 안전하기 위해서는 공개키와 소유자 사이를 인증해주는 새로운 매개체가 필요하다. 공개키 암호 시스템에서는 인증서를 통해 공개키의 소유 여부를 인증하며, 이 인증서는 제3의 신뢰기관(trusted third authority)을 통해 발급된다. 인증서를 기반으로 공개키를 인증하기 때문에 공개키에 대한 신뢰는 보장할 수 있지만, 인증서 저장, 폐기 및 분배 등 관리차원의 문제가 발생한다. 따라서 이러한 공개키 암호 기법의 문제를 해결하기 위해서 ID기반 암호 시스템이 개발되었다.In the public key cryptosystem, the public key used for message encryption communication is in an unidentifiable random number format, so that the public key alone does not know who owns the key. Therefore, in order for the message transmission method to be secure, a new medium for authenticating between the public key and the owner is required. The public key cryptosystem authenticates whether the public key is owned by a certificate, which is issued through a trusted third authority. Since the public key is authenticated based on the certificate, the trust of the public key can be guaranteed, but there arises a management problem such as storing, discarding and distributing the certificate. Therefore, ID - based cryptosystem has been developed to solve the problem of public key cryptosystem.
ID기반 암호 시스템(Identity Based Encryption System)Identity Based Encryption System
ID기반 암호 시스템에서는 이메일 주소나 IP 주소와 같은 식별 가능한 문자열인 사용자의 ID가 공개키가 되어 그 자체로 사용자의 공개키 소유 권한이 입증된다. 별도의 공개키 인증 과정이 필요하지 않아 공개키 기반 구조의 인증서 관리 문제가 발생하지 않지만, 키 생성 기관(key generation center)이 모든 개인키를 생성하여 사용자에게 발급해주는 방식이기 때문에 키 생성 기관이 모든 개인키를 알게 되는 키 위탁(key escrow) 문제가 발생한다. 이를 해결하기 위하여 무인증서 공개키 암호 시스템이 개발되었다. In the ID-based cryptosystem, the ID of the user, which is an identifiable string such as an e-mail address or an IP address, becomes a public key, thereby proving ownership of the user's public key. Since there is no need for a separate public key authentication process, there is no certificate management problem of the public key infrastructure. However, since the key generation center generates all the private keys and issues them to the user, There is a key escrow problem that allows you to know the private key. To solve this problem, a non - certificate public key cryptosystem has been developed.
무인증서 공개키 암호 시스템(Certificateless Public Key Encryption System)Certificateless Public Key Encryption System
무인증서 공개키 암호 시스템은 난수성을 갖는 공개키와 사용자의 ID를 함께 공개키로 사용하는 암호 시스템으로써, 인증서를 사용하지 않으면서 ID기반 암호의 키 위탁 문제를 해결하였다. 무인증서 공개키 암호 시스템에서는 메시지를 복호화하기 위해 사용자가 선택한 비밀값과 키 생성 기관이 발급한 부분 개인키를 이용하여 연산된 복호화키를 사용한다. 여기서 난수성을 가지는 공개키는 사용자가 선택한 비밀값을 이용하여 계산된 값이다. 이때, 한 번이라도 공개키가 교체된 이후에 이전의 비밀값과 복호화키가 노출되더라도 공격자가 현재의 공개키로 암호화된 암호문에 대하여 어떠한 정보도 얻을 수 없어야 한다. 이러한 무인증서 공개키 암호 시스템에 대한 안전성을 보장하는 기법을 비밀값과 복호화키 노출 공격에 안전한 무인증서 공개키 암호 기법이라 한다.The non - certificate public key cryptosystem is a cryptographic system that uses public key with irregularity and user 's ID together as a public key, and solves the problem of key trust of ID based cryptography without using certificate. In the non-certificate public key cryptosystem, the decryption key computed by using the secret value selected by the user and the partial private key issued by the key generating organization is used to decrypt the message. In this case, the public key having the secret number is a value calculated by using the secret value selected by the user. In this case, even after the public key has been changed even once, the attacker must not be able to obtain any information about the cipher text encrypted with the current public key even if the previous secret value and the decryption key are exposed. This method of ensuring the security of the non - certificate public key cryptosystem is called the secret key and the non - certificate public key cryptosystem which is safe to attack the decryption key.
겹선형 함수(Bilinear Map)Bilinear Map
위수를 소수 로 갖는 곱셈 군 과 가 있고, 의 생성원(generator)이 라고 가정하자. 다음과 같은 조건을 만족하는 함수 를 겹선형 함수라 한다.A prime number Multiplication group having and There, The generator of . Functions that satisfy the following conditions Is called a folded linear function.
1) 겹선형성(bilinearity): 임의의 두 원소 와 에 대해 가 된다.1) bilinearity: any two elements Wow About .
2) 비소실성(non-degeneracy): 을 만족하는 가 존재한다.2) Non-degeneracy: Satisfy Lt; / RTI >
3) 계산 가능성(computability): 임의의 에 대해서 를 효율적으로 계산할 수 있는 알고리즘이 존재한다.3) Computability: about There is an algorithm that can efficiently calculate
DBDH 가정(Decisional Bilinear Diffie-Hellman assumption)Decisional Bilinear Diffie-Hellman assumption
위수를 소수 로 갖는 군 가 있고 겹선형 함수 가 있을 때 을 의 생성원이라고 가정하자. 이 때, DBDH 문제는 지수 부분의 가 이와 같이 상의 원소이고 집합 가 주어졌을 때, 인지를 결정하는 것이다.A prime number Group And a folded linear function When there is of . In this case, the DBDH problem is Like this And the set When given, Is determined.
알고리즘 는 혹은 에 따라 비트 을 출력하는 알고리즘이다. 이 때, 다항식 시간 안에 의미 있는(non-negligible) 확률로 계산할 수 있는 알고리즘 가 존재하지 않는다면 DBDH 문제는 풀기 어렵다고 정의하며, 알고리즘 가 DBDH 문제를 풀 수 있을 algorithm The or According to the bit . In this case, an algorithm that can be calculated with a non-negligible probability within a polynomial time , The DBDH problem is defined as difficult to solve, and the algorithm Can solve the DBDH problem
이점(advantage) 는 다음과 같다. Advantage Is as follows.
본 발명이 이루고자 하는 기술적인 과제는 공개키가 교체된 이후 이전의 비밀값과 복호화키가 노출되더라도 이를 이용하여 부분 개인키를 연산할 수 없고 현재의 공개키로 암호화된 암호문에 대한 어떠한 정보도 얻을 수 없게 함으로써 높은 안전성을 보장할 수 있는 무인증서 공개키 암호 시스템 및 수신 단말기를 제공하는 것이다.The present invention has been made in view of the above problems, and it is an object of the present invention to provide a method and apparatus for encrypting a partial private key by using a public key and a decryption key, A public key cryptographic system and a receiving terminal which can guarantee high safety by preventing the public key from being cached.
본 발명의 일 실시 예에 따른 무인증서 공개키 암호 시스템은 수신 단말기, 송신 단말기 및 서버를 포함하고, 상기 서버는 보안 상수를 입력받아 마스터키와 공개 상수를 생성하고, 상기 공개 상수를 공개하는 설정 모듈 및 상기 공개 상수와 상기 마스터키를 이용하여 상기 수신 단말기의 부분 개인키를 생성하고, 상기 부분 개인키를 상기 수신 단말기로 송신하는 부분 개인키 추출 모듈을 포함하고, 상기 수신 단말기는 상기 공개 상수, 상기 수신 단말기의 아이디 및 상기 수신 단말기의 상태 정보()를 이용하여 비밀값을 생성하는 비밀값 설정 모듈 및 상기 공개 상수, 상기 비밀값 및 상기 상태 정보()를 이용하여 공개키를 생성하는 공개키 설정 모듈을 포함하고, 상기 송신 단말기는 상기 공개 상수, 상기 수신 단말기의 아이디 및 상기 공개키로 메시지를 암호화하여 암호문을 생성하고, 생성된 암호문을 상기 수신 단말기로 송신한다.The non-certificate public key cryptosystem according to an embodiment of the present invention includes a receiving terminal, a transmitting terminal, and a server, and the server receives a security constant, generates a master key and an exposing constant, And a partial private key extraction module for generating the partial private key of the receiving terminal using the public constant and the master key and transmitting the partial private key to the receiving terminal, An ID of the receiving terminal, and status information of the receiving terminal A secret value setting module for generating a secret value using the secret value, the secret value, and the status information The transmitting terminal generates a cipher text by encrypting the message using the public constant, the ID of the receiving terminal, and the public key, and transmits the generated cipher text to the receiving terminal .
본 발명의 일 실시 예에 따른 수신 단말기는 상기 무인증서 공개키 암호 시스템에 포함될 수 있고, 공개 상수, 상기 수신 단말기의 아이디 및 상기 수신 단말기의 상태 정보()를 이용하여 비밀값을 생성하는 비밀값 설정 모듈, 상기 공개 상수, 서버로부터 수신된 부분 개인키, 및 상기 비밀값을 이용하여 복호화키를 생성하는 복호화키 설정 모듈, 상기 공개 상수, 상기 비밀값 및 상기 상태 정보()를 이용하여 공개키를 생성하는 공개키 설정 모듈, 및 상기 공개 상수와 상기 복호화키를 이용하여 상기 암호문을 복호화하는 복호화 모듈을 포함한다.A receiving terminal according to an exemplary embodiment of the present invention may be included in the non-certificate public key cryptosystem, and may include an open constant, an ID of the receiving terminal, and status information of the receiving terminal A decryption key setting module for generating a decryption key using the decryption key, the partial constant received from the server, and the secret value; And the status information ( ), And a decryption module for decrypting the cipher text using the decryption key and the public constant.
본 발명의 실시 예에 따른 무인증서 공개키 암호 시스템에 의할 경우, 공개키가 교체된 이후 이전의 사용자 비밀값과 복호호키가 악의적인 공격자에게 노출되더라도 노출된 키 정보를 연산하여 부분 개인키 값을 구한다거나 현재의 공개키로 암호화된 암호문을 해독하는 것은 불가능하다. 즉, 공격자가 이러한 키 정보를 이용하여 어떠한 의미있는 정보도 알아낼 수 없다. In the non-certificate public key cryptosystem according to the embodiment of the present invention, even if the previous user secret value and the decrypted hawk are exposed to a malicious attacker after the public key is replaced, Or decrypt the encrypted ciphertext with the current public key. That is, the attacker can not use this key information to find any meaningful information.
또한, 클라이언트가 비밀값을 생성할 때마다 상태정보가 갱신되고, 갱신된 상태정보를 이용하여 공개키가 생성되기 때문에, 공격자가 악의적으로 공개키를 교체하더라도 공개키로 암호화된 암호문의 상태정보와 복호화키의 상태정보가 다르기 때문에 공격자는 암호문에 대한 어떠한 정보도 알아낼 수 없다. 또한, 수학적으로 계산이 어려운 문제에 기반을 두어 설계되었으므로 무인증서 암호 기법의 안전성이 보장된다.Further, since the state information is updated every time the client generates the secret value and the public key is generated using the updated state information, even if the attacker maliciously exchanges the public key, the state information of the cipher text encrypted with the public key, Since the state information of the key is different, the attacker can not find any information about the cipher text. In addition, since it is designed based on the difficult mathematical problem, the security of the non-certificate cryptography is guaranteed.
본 발명의 상세한 설명에서 인용되는 도면을 보다 충분히 이해하기 위하여 각 도면의 상세한 설명이 제공된다.
도 1은 본 발명의 일 실시 예에 의한 무인증서 공개키 암호 시스템을 도시한다.
도 2는 도 1에 도시된 서버의 기능 블럭도이다.
도 3은 도 1에 도시된 수신 단말기의 기능 블럭도이다.DETAILED DESCRIPTION OF THE PREFERRED EMBODIMENTS In order to more fully understand the drawings recited in the detailed description of the present invention, a detailed description of each drawing is provided.
FIG. 1 illustrates a non-certificate public key cryptosystem according to an embodiment of the present invention.
2 is a functional block diagram of the server shown in FIG.
3 is a functional block diagram of the receiving terminal shown in FIG.
본 명세서에 개시되어 있는 본 발명의 개념에 따른 실시 예들에 대해서 특정한 구조적 또는 기능적 설명은 단지 본 발명의 개념에 따른 실시 예들을 설명하기 위한 목적으로 예시된 것으로서, 본 발명의 개념에 따른 실시 예들은 다양한 형태들로 실시될 수 있으며 본 명세서에 설명된 실시 예들에 한정되지 않는다.It is to be understood that the specific structural or functional description of embodiments of the present invention disclosed herein is for illustrative purposes only and is not intended to limit the scope of the inventive concept But may be embodied in many different forms and is not limited to the embodiments set forth herein.
본 발명의 개념에 따른 실시 예들은 다양한 변경들을 가할 수 있고 여러 가지 형태들을 가질 수 있으므로 실시 예들을 도면에 예시하고 본 명세서에서 상세하게 설명하고자 한다. 그러나, 이는 본 발명의 개념에 따른 실시 예들을 특정한 개시 형태들에 대해 한정하려는 것이 아니며, 본 발명의 사상 및 기술 범위에 포함되는 모든 변경, 균등물, 또는 대체물을 포함한다.The embodiments according to the concept of the present invention can make various changes and can take various forms, so that the embodiments are illustrated in the drawings and described in detail herein. It should be understood, however, that it is not intended to limit the embodiments according to the concepts of the present invention to the particular forms disclosed, but includes all modifications, equivalents, or alternatives falling within the spirit and scope of the invention.
제1 또는 제2 등의 용어는 다양한 구성 요소들을 설명하는데 사용될 수 있지만, 상기 구성 요소들은 상기 용어들에 의해 한정되어서는 안 된다. 상기 용어들은 하나의 구성 요소를 다른 구성 요소로부터 구별하는 목적으로만, 예컨대 본 발명의 개념에 따른 권리 범위로부터 벗어나지 않은 채, 제1 구성 요소는 제2 구성 요소로 명명될 수 있고 유사하게 제2 구성 요소는 제1 구성 요소로도 명명될 수 있다.The terms first, second, etc. may be used to describe various elements, but the elements should not be limited by the terms. The terms may be named for the purpose of distinguishing one element from another, for example, without departing from the scope of the right according to the concept of the present invention, the first element may be referred to as a second element, The component may also be referred to as a first component.
어떤 구성 요소가 다른 구성 요소에 "연결되어" 있다거나 "접속되어" 있다고 언급된 때에는, 그 다른 구성 요소에 직접적으로 연결되어 있거나 또는 접속되어 있을 수도 있지만, 중간에 다른 구성 요소가 존재할 수도 있다고 이해되어야 할 것이다. 반면에, 어떤 구성 요소가 다른 구성 요소에 "직접 연결되어" 있다거나 "직접 접속되어" 있다고 언급된 때에는 중간에 다른 구성 요소가 존재하지 않는 것으로 이해되어야 할 것이다. 구성 요소들 간의 관계를 설명하는 다른 표현들, 즉 "~사이에"와 "바로 ~사이에" 또는 "~에 이웃하는"과 "~에 직접 이웃하는" 등도 마찬가지로 해석되어야 한다.It is to be understood that when an element is referred to as being "connected" or "connected" to another element, it may be directly connected or connected to the other element, . On the other hand, when an element is referred to as being "directly connected" or "directly connected" to another element, it should be understood that there are no other elements in between. Other expressions that describe the relationship between components, such as "between" and "between" or "neighboring to" and "directly adjacent to" should be interpreted as well.
본 명세서에서 사용한 용어는 단지 특정한 실시 예를 설명하기 위해 사용된 것으로서, 본 발명을 한정하려는 의도가 아니다. 단수의 표현은 문맥상 명백하게 다르게 뜻하지 않는 한, 복수의 표현을 포함한다. 본 명세서에서, "포함하다" 또는 "가지다" 등의 용어는 본 명세서에 기재된 특징, 숫자, 단계, 동작, 구성 요소, 부분품 또는 이들을 조합한 것이 존재함을 지정하려는 것이지, 하나 또는 그 이상의 다른 특징들이나 숫자, 단계, 동작, 구성 요소, 부분품 또는 이들을 조합한 것들의 존재 또는 부가 가능성을 미리 배제하지 않는 것으로 이해되어야 한다.The terminology used herein is for the purpose of describing particular embodiments only and is not intended to be limiting of the invention. The singular expressions include plural expressions unless the context clearly dictates otherwise. In this specification, the terms "comprises" or "having" and the like are used to specify that there are features, numbers, steps, operations, elements, parts or combinations thereof described herein, But do not preclude the presence or addition of one or more other features, integers, steps, operations, components, parts, or combinations thereof.
다르게 정의되지 않는 한, 기술적이거나 과학적인 용어를 포함해서 여기서 사용되는 모든 용어들은 본 발명이 속하는 기술 분야에서 통상의 지식을 가진 자에 의해 일반적으로 이해되는 것과 동일한 의미를 가진다. 일반적으로 사용되는 사전에 정의되어 있는 것과 같은 용어들은 관련 기술의 문맥상 가지는 의미와 일치하는 의미를 갖는 것으로 해석되어야 하며, 본 명세서에서 명백하게 정의하지 않는 한, 이상적이거나 과도하게 형식적인 의미로 해석되지 않는다.Unless defined otherwise, all terms used herein, including technical or scientific terms, have the same meaning as commonly understood by one of ordinary skill in the art to which this invention belongs. Terms such as those defined in commonly used dictionaries are to be interpreted as having a meaning consistent with the meaning of the context in the relevant art and, unless explicitly defined herein, are to be interpreted as ideal or overly formal Do not.
본 명세서에 첨부된 도면들을 참조하여 본 발명의 실시 예들을 상세히 설명하기 전에 본 발명에서 이용되는 알고리즘에 대해 설명하면 다음과 같다.Before describing embodiments of the present invention in detail with reference to the drawings attached hereto, the algorithm used in the present invention will be described as follows.
본 발명에 따른 무인증서 암호 기법은 설정 알고리즘(Setup), 부분 개인키 추출 알고리즘(ExtractPartialPrivateKey), 비밀값 설정 알고리즘(SetSecretValue), 복호화키 설정 알고리즘(SetDecryptionKey), 공개키 설정 알고리즘(SetPublicKey), 암호화 알고리즘(Encrypt), 복호화 알고리즘(Decrypt)을 이용하며, 이용되는 각 알고리즘은 다음과 같이 구성된다.The non-certificate cryptosystem according to the present invention includes a setup algorithm, an ExtractPartialPrivateKey algorithm, a SetSecretValue algorithm, a SetDecryptionKey algorithm, a SetPublicKey algorithm, (Encrypt) and decryption algorithm (Decrypt), and each algorithm used is composed as follows.
1. 설정 알고리즘(Setup)1. Setup algorithm (Setup)
설정 알고리즘 또는 설정 단계에서는 보안 상수 를 입력받아 마스터키 와 공개 상수(공개 파라미터라고도 함) 를 출력한다. 상기 설정 알고리즘은 서버에 의해 수행되며 설정 단계가 완료되면 상기 서버는 마스터키 를 저장하고 공개 상수 를 공개한다.In the configuration algorithm or configuration phase, ≪ / RTI > And the disclosure constant (also known as the disclosure parameter) . The setting algorithm is performed by the server, and when the setting step is completed, And the open constant .
구체적으로, 상기 서버는 위수가 소수 인 군 , , 생성자 , 겹선형 함수 를 선택한다. 또한, 상기 서버는 임의의 난수 와 에 포함되는 임의의 원소 를 선택한다. 결국, 서버에 의해 생성된 마스터키 는 이고, 공개 파라미터 는 다음과 같다.Specifically, the server calculates the number Phosphorus , , Constructor , Fold linear function . Also, the server may be a random number Wow Any element . Eventually, the master key generated by the server The Lt; / RTI > Is as follows.
2. 부분 개인키 추출 알고리즘(ExtractPartialPrivateKey)2. Partial private key extraction algorithm (ExtractPartialPrivateKey)
부분 개인키 추출 알고리즘 또는 부분 개인키 추출 단계에서는 공개 상수 , 마스터키 , 및 사용자(수신자)의 아이디 를 입력받아 부분 개인키 를 출력한다. 상기 부분 개인키 추출 알고리즘은 상기 서버에 의해 각각의 사용자 별로 1회씩 수행될 수 있으며, 생성된 부분 개인키 는 대응하는 사용자(또는 사용자의 단말기)에게 전달된다.In the partial private key extraction algorithm or the partial private key extraction step, , Master key , And the identity of the user (recipient) The partial private key . The partial private key extraction algorithm may be performed once for each user by the server, and the generated partial private key (Or the user's terminal).
구체적으로, 상기 서버는 임의의 난수 를 선택하고, 상기 서버에 의해 생성된 부분 개인키 는 다음과 같다.Specifically, the server generates a random number A partial private key generated by the server, Is as follows.
3. 비밀값 설정 알고리즘(SetSecretValue)3. Set secret value algorithm (SetSecretValue)
비밀값 설정 알고리즘 또는 비밀값 설정 단계에서는 공개 상수 와 사용자의 아이디 를 입력받고 상기 사용자의 상태정보 를 이용하여 비밀값 을 출력할 수 있다. 비밀값 설정 알고리즘은 상기 사용자의 단말기인 수신 단말기에 의해 수행될 수 있다.In the secret value setting algorithm or secret value setting step, And the user's ID And receives the status information of the user The secret value Can be output. The secret value setting algorithm can be performed by the receiving terminal which is the terminal of the user.
구체적으로, 상기 수신 단말기는 임의의 난수 를 선택한다. 이때, 난수 는 상기 수신 단말기가 공개키를 생성하는 과정에서 이용될 수 있으며 상기 수신 단말기에 의해 상기 수신 단말기 내에 저장된다. 상태정보 는 임의의 정수, 예컨대 "1"을 초기값으로 갖으며(즉, ), 비밀값 이 생성될 때마다 상기 수신 단말기에 의해 그 값이 갱신될 수 있다(즉, ). 상기 수신 단말기에 의해 생성된 비밀값 는 다음과 같다.Specifically, the receiving terminal transmits a random number . At this time, May be used in the process of generating the public key by the receiving terminal and stored in the receiving terminal by the receiving terminal. Status information Quot; 1 "as an initial value (i.e., ), Secret value The value can be updated by the receiving terminal every time it is generated (i.e., ). The secret value generated by the receiving terminal Is as follows.
4. 복호화키 설정 알고리즘(SetDecryptionKey)4. Decryption key setting algorithm (SetDecryptionKey)
복호화키 설정 알고리즘 또는 복호화키 설정 단계에서는 공개 상수 , 부분 개인키 , 및 비밀값 을 입력받고 상기 사용자의 복호화키 를 출력할 수 있다. 상기 복호화키 설정 알고리즘은 상기 수신 단말기에 의해 수행된다.In the decryption key setting algorithm or the decryption key setting step, , Partial private key , And secret value And the decryption key of the user Can be output. The decryption key setting algorithm is performed by the receiving terminal.
구체적으로, 상기 수신 단말기는 임의의 난수 를 선택하고, 아래 수학식을 연산하여 복호화키 를 생성한다.Specifically, the receiving terminal transmits a random number And calculates the following equation, and outputs the decryption key .
생성된 복호화키 는 다음과 같다.The generated decryption key Is as follows.
이때, 과 는 아래와 같이 정의될 수 있다.At this time, and Can be defined as follows.
5. 공개키 설정 알고리즘(SetPublicKey)5. Public Key Set Algorithm (SetPublicKey)
공개키 설정 알고리즘 또는 공개키 설정 단계에서는 공개 상수 와 사용자의 비밀값 을 입력받고 상기 사용자의 상태정보 를 이용하여 공개키 를 출력할 수 있다. 상기 공개키 설정 알고리즘은 수신 단말기에 의해 수행될 수 있다.In the public key establishment algorithm or public key establishment phase, And the user's secret value And receives the status information of the user Using the public key Can be output. The public key setting algorithm may be performed by the receiving terminal.
구체적으로, 상기 수신 단말기에 의해 생성된 공개키 는 다음과 같다.Specifically, the public key generated by the receiving terminal Is as follows.
상기 공개키 에 포함된 는 아래 수학식을 이용하여 계산될 수 있다.The public key Included in Can be calculated using the following equation.
6. 암호화 알고리즘(Encrypt)6. Encryption algorithm (Encrypt)
암호화 알고리즘 또는 암호화 단계에서는 공개 상수 , 수신자(또는 수신 단말기)의 아이디 , 공개키 , 및 메시지 를 입력받아 암호문 을 출력한다. 상기 암호화 알고리즘은 송신 단말기에 의해 수행될 수 있다.In the encryption algorithm or encryption phase, , The ID of the receiver (or receiving terminal) , Public key , And a message ≪ / RTI > . The encryption algorithm may be performed by a transmitting terminal.
구체적으로 상기 송신 단말기는 임의의 난수 를 선택하고, 아래 수학식에 의해 정의되는 암호문 을 생성할 수 있다.Specifically, the transmitting terminal transmits random numbers And a cipher text defined by the following equation Can be generated.
7. 복호화 알고리즘(Decrypt)Decryption algorithm
복호화 알고리즘 또는 복호화 단계에서는 공개 상수 , 복호화키 , 및 암호문 을 입력받아 메시지 또는 에러 기호 를 출력할 수 있다. 상기 복호화 알고리즘은 수신 단말기에 의해 수행될 수 있으며, 메시지 는 아래 수학식을 이용하여 생성(또는 복호화)될 수 있다.In the decryption algorithm or decryption step, , Decryption key , And ciphertext ≪ / RTI > Or error sign Can be output. The decryption algorithm may be performed by the receiving terminal, (Or decoded) using the following equation.
상술된 무인증서 암호 기법은 아래와 같이 평문 메시지 를 구하는 과정으로부터 그 정확성이 입증될 수 있다.The above-mentioned non-certificate encryption technique is a method in which a plaintext message The accuracy can be proved from the process of obtaining.
도 1은 본 발명의 일 실시 예에 의한 무인증서 공개키 암호 시스템을 도시한다.FIG. 1 illustrates a non-certificate public key cryptosystem according to an embodiment of the present invention.
도 1을 참조하면, 무인증서 공개키 암호 시스템(10)은 수신 단말기(100), 서버(300) 및 송신 단말기(500)를 포함한다.Referring to FIG. 1, a non-certificate public
수신 단말기(100)는 서버(300)로부터 부분 개인키 를 수신하고, 비밀값 을 생성하며, 수신된 부분 개인키 와 생성된 비밀값 을 이용하여 복호화키 를 생성하며, 설정된 비밀값 을 이용하여 공개키 를 설정할 수 있다.The receiving
또한, 수신 단말기(100)는 송신 단말기(300)로부터 암호문 을 수신하고, 생성된 복호화키 를 이용하여 암호문 을 복호화할 수 있다.In addition, the receiving
무인증서 공개키 암호 서버, 무인증서 암호 서버, 암호 서버, 키 생성 서버 또는 키 발급 서버 등으로 명명될 수 있는 서버(300)는 마스터키 와 공개 상수 를 생성하고, 생성된 공개 상수 를 공개할 수 있다. 또한, 서버(300)는 사용자(또는 수신 단말기(100))의 아이디 에 대응하는 부분 개인키 를 생성하고 생성된 부분 개인키 를 수신 단말기(100)로 송신할 수 있다.The
송신 단말기(500)는 암호화 알고리즘을 수행하여 메시지 를 암호화하고 생성된 암호문 을 수신 단말기(100)로 송신할 수 있다. The transmitting
구체적으로 송신 단말기(500)는 임의의 난수 를 선택하고, 아래 수학식에 의해 정의되는 암호문 을 생성할 수 있다.Specifically, the transmitting
생성된 암호문 은 수신 단말기(100)로 송신될 수 있다.Generated ciphertext May be transmitted to the receiving terminal (100).
수신 단말기(100)는 및/또는 송신 단말기(300)는 PC(personal computer), 태블릿 PC, 노트북(notebook), 넷-북(net-book), e-리더(e-reader), PDA(personal digital assistant), PMP(portable multimedia player), MP3 플레이어, 또는 MP4 플레이어와 같은 데이터 처리 장치로 구현되거나, 모바일폰(mobile phone), 스마트폰(smart phone)과 같은 핸드헬드 장치(handheld device)로 구현될 수 있다.The receiving
도 2는 도 1에 도시된 서버의 기능 블럭도이다.2 is a functional block diagram of the server shown in FIG.
도 1과 도 2를 참조하면, 서버(300)는 설정 모듈(310)과 부분 개인키 추출 모듈(330)을 포함한다.Referring to FIGS. 1 and 2, the
설정 모듈(310)은 설정 알고리즘을 수행할 수 있다. 즉, 설정 모듈(310)은 보안 상수 를 입력받고 마스터키 와 공개 상수 를 생성하고, 공개 상수 를 공개할 수 있다. The
구체적으로, 설정 모듈(310)은 위수가 소수 인 군 , , 생성자 , 겹선형 함수 를 선택한다. 또한, 설정 모듈(310)은 임의의 난수 와 에 포함되는 임의의 원소 를 선택한다. 결국, 설정 모듈(310)에 의해 생성된 마스터키 는 이고, 공개 파라미터 는 다음과 같다.More specifically, the
부분 개인키 추출 모듈(330)은 부분 개인키 추출 알고리즘을 수행할 수 있다. 즉, 부분 개인키 추출 모듈(330)은 공개 상수 , 마스터키 , 및 사용자의 아이디 를 이용하여 부분 개인키 를 생성하고, 생성된 부분 개인키 를 대응하는 수신 단말기(100)로 송신할 수 있다. The partial private
구체적으로, 부분 개인키 추출 모듈(330)은 임의의 난수 를 선택하고, 아래 수학식에 의해 정의되는 부분 개인키 를 생성한다.Specifically, the partial private
생성된 부분 개인키 는 수신 단말기(100)로 송신될 수 있다.Generated partial private key May be transmitted to the receiving
도 3은 도 1에 도시된 수신 단말기의 기능 블럭도이다.3 is a functional block diagram of the receiving terminal shown in FIG.
도 1 내지 도 3을 참조하면, 수신 단말기(100)는 비밀값 설정 모듈(110), 복호화키 설정 모듈(130), 공개키 설정 모듈(150), 및 복호화 모듈(170)을 포함한다.1 to 3, the receiving
비밀값 설정 모듈(110)은 비밀값 설정 알고리즘을 수행할 수 있다. 즉, 비밀값 설정 모듈(110)은 공개 상수 , 사용자의 아이디 , 및 상기 사용자의 상태정보 를 이용하여 비밀값 을 생성할 수 있다.The secret
구체적으로, 비밀값 설정 모듈(110)은 임의의 난수 를 선택한다. 이때, 난수 는 상기 수신 단말기(100)가 공개키를 생성하는 과정에서 이용될 수 있으며 수신 단말기(100)에 의해 수신 단말기(100) 내에 저장된다. 상태정보 는 임의의 정수, 예컨대 "1"을 초기값으로 갖으며(즉, ), 비밀값 이 생성될 때마다 비밀값 설정 모듈(110)에 의해 그 값이 갱신될 수 있다(즉, ). 비밀값 설정 모듈(110)에 의해 생성된 비밀값 는 다음과 같다.Specifically, the secret
복호화키 설정 모듈(130)은 복호화키 설정 알고리즘을 수행할 수 있다. 즉, 복호화키 설정 모듈(130)은 공개 상수 , 부분 개인키 , 및 비밀값 을 이용하여 사용자(또는 수신 단말기(100))의 복호화키 를 생성할 수 있다.The decryption
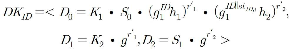
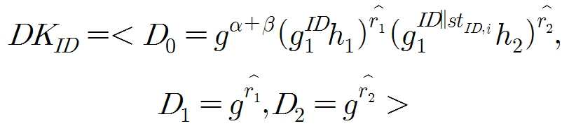
구체적으로, 복호화키 설정 모듈(130)은 임의의 난수 를 선택하고, 아래 수학식을 연산하여 복호화키 를 생성한다.Specifically, the decryption
생성된 복호화키 는 다음과 같다.The generated decryption key Is as follows.
이때, 과 는 아래와 같이 정의될 수 있다.At this time, and Can be defined as follows.
공개키 설정 모듈(150)은 공개키 설정 알고리즘을 수행할 수 있다. 즉, 공개 상수 와 비밀값 , 및 상태정보 를 이용하여 공개키 를 생성할 수 있다. The public
구체적으로, 공개키 설정 모듈(150)에 의해 생성된 공개키 는 다음과 같다.Specifically, the public key generated by the public
공개키 에 포함된 는 아래 수학식을 이용하여 계산될 수 있다.Public key Included in Can be calculated using the following equation.
복호화 모듈(170)은 복호화 알고리즘을 수행할 수 있다. 즉, 복호화 모듈(170)은 공개 상수 , 및 복호화키 를 이용하여 암호문 을 복호화함으로써 메시지 를 출력할 수 있다. 메시지 는 아래 수학식을 이용하여 생성(또는 복호화)될 수 있다.The
도 2 및 도 3에 도시된 서버(300)와 수신 단말기(100)의 구성들 각각은 기능 및 논리적으로 분리될 수 있음으로 나타내는 것이며, 반드시 각각의 구성이 별도의 물리적 장치로 구분되거나 별도의 코드로 작성됨을 의미하는 것이 아님을 본 발명의 기술분야의 평균적 전문가는 용이하게 추론할 수 있을 것이다.Each of the configurations of the
또한, 본 명세서에서 모듈이라 함은, 본 발명의 기술적 사상을 수행하기 위한 하드웨어 및 상기 하드웨어를 구동하기 위한 소프트웨어의 기능적, 구조적 결합을 의미할 수 있다. 예컨대, 상기 모듈은 소정의 코드와 상기 소정의 코드가 수행되기 위한 하드웨어 리소스의 논리적인 단위를 의미할 수 있으며, 반드시 물리적으로 연결된 코드를 의미하거나, 한 종류의 하드웨어를 의미하는 것이 아니다.In this specification, a module may mean a functional and structural combination of hardware for carrying out the technical idea of the present invention and software for driving the hardware. For example, the module may mean a logical unit of a predetermined code and a hardware resource for executing the predetermined code, and does not necessarily mean a physically connected code or a kind of hardware.
본 발명은 도면에 도시된 실시 예를 참고로 설명되었으나 이는 예시적인 것에 불과하며, 본 기술 분야의 통상의 지식을 가진 자라면 이로부터 다양한 변형 및 균등한 타 실시 예가 가능하다는 점을 이해할 것이다. 따라서, 본 발명의 진정한 기술적 보호 범위는 첨부된 등록청구범위의 기술적 사상에 의해 정해져야 할 것이다.While the present invention has been particularly shown and described with reference to exemplary embodiments thereof, it is evident that many alternatives, modifications and variations will be apparent to those skilled in the art. Accordingly, the true scope of the present invention should be determined by the technical idea of the appended claims.
100 : 수신 단말기
110 : 비밀값 설정 모듈
130 : 복호화키 설정 모듈
150 : 공개키 설정 모듈
170 : 복호화 모듈
300 : 서버
310 : 설정 모듈
330 : 부분 개인키 추출 모듈
500 : 송신 단말기100: receiving terminal
110: secret value setting module
130: Decryption key setting module
150: Public key setting module
170: Decryption module
300: server
310: Setting module
330: Partial private key extraction module
500: transmitting terminal
Claims (10)
상기 서버는,
보안 상수를 입력받아 마스터키와 공개 상수를 생성하고, 상기 공개 상수를 공개하는 설정 모듈; 및
상기 공개 상수와 상기 마스터키를 이용하여 상기 수신 단말기의 부분 개인키를 생성하고, 상기 부분 개인키를 상기 수신 단말기로 송신하는 부분 개인키 추출 모듈을 포함하고,
상기 수신 단말기는,
상기 공개 상수, 상기 수신 단말기의 아이디 및 상기 수신 단말기의 상태 정보()를 이용하여 비밀값을 생성하는 비밀값 설정 모듈; 및
상기 공개 상수, 상기 비밀값 및 상기 상태 정보()를 이용하여 공개키를 생성하는 공개키 설정 모듈을 포함하고,
상기 송신 단말기는 상기 공개 상수, 상기 수신 단말기의 아이디 및 상기 공개키를 이용하여 메시지를 암호화하고, 생성된 암호문을 상기 수신 단말기로 송신하고,
상기 수신 단말기는,
상기 공개 상수, 상기 부분 개인키 및 상기 비밀값을 이용하여 복호화키를 생성하는 복호화키 설정 모듈; 및
상기 공개 상수와 상기 복호화키를 이용하여 상기 암호문을 복호화하는 복호화 모듈을 더 포함하고,
상기 설정 모듈은,
위수가 소수 인 군(), 생성자(), 및 겹선형 함수()를 선택하고,
임의의 난수()와 상기 에 속하는 임의의 원소()를 선택하고,
수학식 1에 의해 정의되는 상기 마스터키()와 수학식 2에 의해 정의되는 상기 공개 상수()를 생성하고,
상기 수학식 1은 이고,
상기 수학식 2는 이고,
상기 부분 개인키 추출 모듈은 임의의 난수()를 선택하고, 수학식 3에 의해 정의되는 상기 부분 개인키()를 생성하고,
상기 수학식 3은 이고,
상기 비밀값 설정 모듈은 임의의 난수()를 선택하고,
상기 비밀값()은 수학식 4에 의해 정의되고,
상기 수학식 4는 인,
무인증서 공개키 암호 시스템.
A non-certificate public key cryptosystem comprising a receiving terminal, a transmitting terminal and a server,
The server comprises:
A setting module for receiving a security constant and generating a master key and an open constant, and disclosing the open constant; And
A partial private key extraction module for generating a partial private key of the receiving terminal using the public constant and the master key and transmitting the partial private key to the receiving terminal,
The receiving terminal,
The disclosure constant, the ID of the receiving terminal, and the status information of the receiving terminal A secret value setting module for generating a secret value using the secret value; And
The disclosure constant, the secret value, and the status information ( And a public key setting module for generating a public key using the public key,
The transmitting terminal encrypts a message using the public constant, the ID of the receiving terminal, and the public key, transmits the generated ciphertext to the receiving terminal,
The receiving terminal,
A decryption key setting module for generating a decryption key using the public constant, the partial private key, and the secret value; And
And a decryption module for decrypting the cipher text using the decryption key and the public constant,
Wherein the setting module comprises:
The number of stars Phosphorus ( ), Constructor ( ), And a folded linear function ( ) Is selected,
Any random number ( ) And the above ≪ / RTI > ( ) Is selected,
The master key (< RTI ID = 0.0 > ) And the open constant < RTI ID = 0.0 > ( ),
Equation (1) ego,
Equation (2) ego,
The partial private key extraction module may extract random numbers ) And the partial private key < RTI ID = 0.0 > ( ),
Equation (3) ego,
The secret value setting module may generate random numbers ) Is selected,
The secret value ( ) Is defined by Equation (4)
Equation (4) sign,
Non - certificate public key cryptosystem.
상기 복호화키 설정 모듈은,
임의의 난수()를 선택하고,
수학식 5를 계산하여 상기 복호화키()를 생성하고,
상기 수학식 5는 인,
무인증서 공개키 암호 시스템.
The method according to claim 1,
Wherein the decryption key setting module comprises:
Any random number ( ) Is selected,
≪ / RTI >< RTI ID = 0.0 > (5) ),
Equation (5) sign,
Non - certificate public key cryptosystem.
상기 공개키 설정 모듈은 수학식 6을 이용하여 상기 공개키()를 생성하고,
상기 수학식 6은 인,
무인증서 공개키 암호 시스템.
The method according to claim 6,
The public key configuration module uses the public key ( ),
Equation (6) sign,
Non - certificate public key cryptosystem.
상기 송신 단말기는 임의의 난수()를 선택하고, 수학식 7을 이용하여 상기 암호문()을 생성하고,
상기 수학식 7은 인,
무인증서 공개키 암호 시스템.
8. The method of claim 7,
The transmitting terminal may transmit an arbitrary random number ( ) Is selected, and the cipher text ( ),
Equation (7) sign,
Non - certificate public key cryptosystem.
상기 복호화 모듈은 수학식 8을 이용하여 상기 암호문()을 복호화하고,
상기 수학식 8은 인,
무인증서 공개키 암호 시스템.
9. The method of claim 8,
The decryption module decrypts the cipher text ( ),
Equation (8) sign,
Non - certificate public key cryptosystem.
Priority Applications (1)
| Application Number | Priority Date | Filing Date | Title |
|---|---|---|---|
| KR1020160006629A KR101793528B1 (en) | 2016-01-19 | 2016-01-19 | Certificateless public key encryption system and receiving terminal |
Applications Claiming Priority (1)
| Application Number | Priority Date | Filing Date | Title |
|---|---|---|---|
| KR1020160006629A KR101793528B1 (en) | 2016-01-19 | 2016-01-19 | Certificateless public key encryption system and receiving terminal |
Publications (2)
| Publication Number | Publication Date |
|---|---|
| KR20170087120A KR20170087120A (en) | 2017-07-28 |
| KR101793528B1 true KR101793528B1 (en) | 2017-11-06 |
Family
ID=59422241
Family Applications (1)
| Application Number | Title | Priority Date | Filing Date |
|---|---|---|---|
| KR1020160006629A Active KR101793528B1 (en) | 2016-01-19 | 2016-01-19 | Certificateless public key encryption system and receiving terminal |
Country Status (1)
| Country | Link |
|---|---|
| KR (1) | KR101793528B1 (en) |
Families Citing this family (3)
| Publication number | Priority date | Publication date | Assignee | Title |
|---|---|---|---|---|
| EP3740921A4 (en) * | 2018-01-17 | 2021-11-10 | tZERO IP, LLC | MULTI-APPROVAL SYSTEM USING M OF N BUTTONS TO GENERATE A SWEEP TRANSACTION ON A CUSTOMER DEVICE |
| KR102248756B1 (en) | 2019-07-18 | 2021-05-07 | 국방과학연구소 | Encryption system, apparatus and method for providing searchable having forward stability |
| KR102117871B1 (en) * | 2019-10-11 | 2020-06-09 | (주)소프트제국 | A method and system for simple authentication through distributed storage of public key and private key elements |
Citations (1)
| Publication number | Priority date | Publication date | Assignee | Title |
|---|---|---|---|---|
| JP2006311136A (en) * | 2005-04-27 | 2006-11-09 | Sanyo Electric Co Ltd | Terminal and program to be applied to the same |
-
2016
- 2016-01-19 KR KR1020160006629A patent/KR101793528B1/en active Active
Patent Citations (1)
| Publication number | Priority date | Publication date | Assignee | Title |
|---|---|---|---|---|
| JP2006311136A (en) * | 2005-04-27 | 2006-11-09 | Sanyo Electric Co Ltd | Terminal and program to be applied to the same |
Also Published As
| Publication number | Publication date |
|---|---|
| KR20170087120A (en) | 2017-07-28 |
Similar Documents
| Publication | Publication Date | Title |
|---|---|---|
| US10785019B2 (en) | Data transmission method and apparatus | |
| US8670563B2 (en) | System and method for designing secure client-server communication protocols based on certificateless public key infrastructure | |
| CN108352015B (en) | Secure multi-party loss-resistant storage and encryption key transfer for blockchain based systems in conjunction with wallet management systems | |
| US12010216B2 (en) | Computer-implemented system and method for highly secure, high speed encryption and transmission of data | |
| Tseng et al. | A chaotic maps-based key agreement protocol that preserves user anonymity | |
| CN108282329B (en) | Bidirectional identity authentication method and device | |
| US8433066B2 (en) | Method for generating an encryption/decryption key | |
| CN108347404B (en) | Identity authentication method and device | |
| WO2017004470A1 (en) | Mutual authentication of confidential communication | |
| KR101516114B1 (en) | Certificate-based proxy re-encryption method and its system | |
| US11528127B2 (en) | Computer-implemented system and method for highly secure, high speed encryption and transmission of data | |
| Jiang et al. | Device-enhanced secure cloud storage with keyword searchable encryption and deduplication | |
| KR101793528B1 (en) | Certificateless public key encryption system and receiving terminal | |
| Sinnhofer et al. | Patterns to establish a secure communication channel | |
| KR101912443B1 (en) | Public key based encryption method and key generation server | |
| Buhari et al. | Web applications login authentication scheme using hybrid cryptography with user anonymity | |
| KR101599996B1 (en) | Server and system for revocable identity based encryption | |
| JP6153454B2 (en) | Signature apparatus, method and program | |
| Mary Sheeba et al. | Hybrid Security for Data in Cloud Computing: A Review | |
| Bruce et al. | Cryptographic computation of private shared key based mutual authentication protocol: Simulation and modeling over wireless networks | |
| KR101740958B1 (en) | Encryption system and method | |
| HK40095834A (en) | Computer-implemented system and method for highly secure, high speed encryption and transmission of data | |
| Rao et al. | Application of elliptical curve cryptography in empowering cloud data security | |
| Chałupnik et al. | Correspondent Sensitive Encryption Standard (CSES) Algorithm in Insecure | |
| CN112350822A (en) | Key distribution method, device and equipment |
Legal Events
| Date | Code | Title | Description |
|---|---|---|---|
| A201 | Request for examination | ||
| PA0109 | Patent application |
Patent event code: PA01091R01D Comment text: Patent Application Patent event date: 20160119 |
|
| PA0201 | Request for examination | ||
| E902 | Notification of reason for refusal | ||
| PE0902 | Notice of grounds for rejection |
Comment text: Notification of reason for refusal Patent event date: 20170308 Patent event code: PE09021S01D |
|
| AMND | Amendment | ||
| PG1501 | Laying open of application | ||
| E601 | Decision to refuse application | ||
| PE0601 | Decision on rejection of patent |
Patent event date: 20170805 Comment text: Decision to Refuse Application Patent event code: PE06012S01D Patent event date: 20170308 Comment text: Notification of reason for refusal Patent event code: PE06011S01I |
|
| AMND | Amendment | ||
| PX0901 | Re-examination |
Patent event code: PX09011S01I Patent event date: 20170805 Comment text: Decision to Refuse Application Patent event code: PX09012R01I Patent event date: 20170508 Comment text: Amendment to Specification, etc. |
|
| PX0701 | Decision of registration after re-examination |
Patent event date: 20171010 Comment text: Decision to Grant Registration Patent event code: PX07013S01D Patent event date: 20170905 Comment text: Amendment to Specification, etc. Patent event code: PX07012R01I Patent event date: 20170805 Comment text: Decision to Refuse Application Patent event code: PX07011S01I Patent event date: 20170508 Comment text: Amendment to Specification, etc. Patent event code: PX07012R01I |
|
| X701 | Decision to grant (after re-examination) | ||
| PR0701 | Registration of establishment |
Comment text: Registration of Establishment Patent event date: 20171030 Patent event code: PR07011E01D |
|
| PR1002 | Payment of registration fee |
Payment date: 20171030 End annual number: 3 Start annual number: 1 |
|
| PG1601 | Publication of registration | ||
| PR1001 | Payment of annual fee |
Payment date: 20201123 Start annual number: 4 End annual number: 4 |
|
| PR1001 | Payment of annual fee |
Payment date: 20211018 Start annual number: 5 End annual number: 5 |
|
| PR1001 | Payment of annual fee |
Payment date: 20241002 Start annual number: 8 End annual number: 8 |









