KR101729660B1 - Novel compoung for organic electroluminescent device, organic electroluminescent device including the same and electric apparatus - Google Patents
Novel compoung for organic electroluminescent device, organic electroluminescent device including the same and electric apparatus Download PDFInfo
- Publication number
- KR101729660B1 KR101729660B1 KR1020140098285A KR20140098285A KR101729660B1 KR 101729660 B1 KR101729660 B1 KR 101729660B1 KR 1020140098285 A KR1020140098285 A KR 1020140098285A KR 20140098285 A KR20140098285 A KR 20140098285A KR 101729660 B1 KR101729660 B1 KR 101729660B1
- Authority
- KR
- South Korea
- Prior art keywords
- group
- unsubstituted
- substituted
- compound
- organic
- Prior art date
- Legal status (The legal status is an assumption and is not a legal conclusion. Google has not performed a legal analysis and makes no representation as to the accuracy of the status listed.)
- Active
Links
- 150000001875 compounds Chemical class 0.000 claims abstract description 188
- 239000010410 layer Substances 0.000 claims description 72
- 239000000126 substance Substances 0.000 claims description 35
- 125000003118 aryl group Chemical group 0.000 claims description 26
- 239000011368 organic material Substances 0.000 claims description 19
- 125000001424 substituent group Chemical group 0.000 claims description 19
- IJGRMHOSHXDMSA-UHFFFAOYSA-N Atomic nitrogen Chemical compound N#N IJGRMHOSHXDMSA-UHFFFAOYSA-N 0.000 claims description 18
- 229910052757 nitrogen Inorganic materials 0.000 claims description 18
- 229910052739 hydrogen Inorganic materials 0.000 claims description 17
- 239000001257 hydrogen Substances 0.000 claims description 17
- 125000001072 heteroaryl group Chemical group 0.000 claims description 16
- 125000004446 heteroarylalkyl group Chemical group 0.000 claims description 16
- 125000000217 alkyl group Chemical group 0.000 claims description 15
- 125000000753 cycloalkyl group Chemical group 0.000 claims description 14
- 125000003710 aryl alkyl group Chemical group 0.000 claims description 13
- 239000002019 doping agent Substances 0.000 claims description 11
- YZCKVEUIGOORGS-OUBTZVSYSA-N Deuterium Chemical compound [2H] YZCKVEUIGOORGS-OUBTZVSYSA-N 0.000 claims description 10
- UFHFLCQGNIYNRP-UHFFFAOYSA-N Hydrogen Chemical compound [H][H] UFHFLCQGNIYNRP-UHFFFAOYSA-N 0.000 claims description 10
- 125000001691 aryl alkyl amino group Chemical group 0.000 claims description 10
- 125000001769 aryl amino group Chemical group 0.000 claims description 10
- 229910052805 deuterium Inorganic materials 0.000 claims description 10
- 229910052736 halogen Inorganic materials 0.000 claims description 10
- 150000002367 halogens Chemical class 0.000 claims description 10
- 238000002347 injection Methods 0.000 claims description 10
- 239000007924 injection Substances 0.000 claims description 10
- 229910052760 oxygen Inorganic materials 0.000 claims description 10
- 238000005401 electroluminescence Methods 0.000 claims description 9
- 239000012044 organic layer Substances 0.000 claims description 9
- 125000003342 alkenyl group Chemical group 0.000 claims description 8
- 230000000903 blocking effect Effects 0.000 claims description 8
- -1 Si (CH 3) 2 Inorganic materials 0.000 claims description 7
- 125000003282 alkyl amino group Chemical group 0.000 claims description 7
- 229910052717 sulfur Inorganic materials 0.000 claims description 7
- 229910052796 boron Inorganic materials 0.000 claims description 6
- 125000001997 phenyl group Chemical group [H]C1=C([H])C([H])=C(*)C([H])=C1[H] 0.000 claims description 6
- 229910052698 phosphorus Inorganic materials 0.000 claims description 6
- 125000003003 spiro group Chemical group 0.000 claims description 6
- 125000004093 cyano group Chemical group *C#N 0.000 claims description 5
- 125000000392 cycloalkenyl group Chemical group 0.000 claims description 5
- 125000005842 heteroatom Chemical group 0.000 claims description 5
- JUJWROOIHBZHMG-UHFFFAOYSA-N Pyridine Chemical group C1=CC=NC=C1 JUJWROOIHBZHMG-UHFFFAOYSA-N 0.000 claims description 4
- 125000000304 alkynyl group Chemical group 0.000 claims description 4
- 125000000609 carbazolyl group Chemical group C1(=CC=CC=2C3=CC=CC=C3NC12)* 0.000 claims description 4
- 230000005525 hole transport Effects 0.000 claims description 4
- 150000002431 hydrogen Chemical group 0.000 claims description 4
- 125000000843 phenylene group Chemical group C1(=C(C=CC=C1)*)* 0.000 claims description 4
- 125000002947 alkylene group Chemical group 0.000 claims description 3
- 125000004467 aryl imino group Chemical group 0.000 claims description 3
- 125000000732 arylene group Chemical group 0.000 claims description 3
- 125000002993 cycloalkylene group Chemical group 0.000 claims description 3
- 125000005549 heteroarylene group Chemical group 0.000 claims description 3
- 125000004435 hydrogen atom Chemical group [H]* 0.000 claims description 3
- 239000010409 thin film Substances 0.000 claims description 3
- 125000003545 alkoxy group Chemical group 0.000 claims description 2
- 125000006267 biphenyl group Chemical group 0.000 claims description 2
- 125000002529 biphenylenyl group Chemical group C1(=CC=CC=2C3=CC=CC=C3C12)* 0.000 claims description 2
- 230000005669 field effect Effects 0.000 claims description 2
- 125000001624 naphthyl group Chemical group 0.000 claims description 2
- 125000004957 naphthylene group Chemical group 0.000 claims description 2
- 230000003287 optical effect Effects 0.000 claims description 2
- 108091008695 photoreceptors Proteins 0.000 claims description 2
- 238000010791 quenching Methods 0.000 claims description 2
- 238000000034 method Methods 0.000 claims 12
- JYEUMXHLPRZUAT-UHFFFAOYSA-N 1,2,3-triazine Chemical group C1=CN=NN=C1 JYEUMXHLPRZUAT-UHFFFAOYSA-N 0.000 claims 1
- 239000000463 material Substances 0.000 description 31
- 238000006243 chemical reaction Methods 0.000 description 26
- 230000000052 comparative effect Effects 0.000 description 19
- XEKOWRVHYACXOJ-UHFFFAOYSA-N Ethyl acetate Chemical compound CCOC(C)=O XEKOWRVHYACXOJ-UHFFFAOYSA-N 0.000 description 12
- XLYOFNOQVPJJNP-UHFFFAOYSA-N water Chemical compound O XLYOFNOQVPJJNP-UHFFFAOYSA-N 0.000 description 12
- 229910052799 carbon Inorganic materials 0.000 description 10
- 239000012153 distilled water Substances 0.000 description 10
- VLKZOEOYAKHREP-UHFFFAOYSA-N n-Hexane Chemical compound CCCCCC VLKZOEOYAKHREP-UHFFFAOYSA-N 0.000 description 9
- CSCPPACGZOOCGX-UHFFFAOYSA-N Acetone Chemical compound CC(C)=O CSCPPACGZOOCGX-UHFFFAOYSA-N 0.000 description 8
- WYURNTSHIVDZCO-UHFFFAOYSA-N Tetrahydrofuran Chemical compound C1CCOC1 WYURNTSHIVDZCO-UHFFFAOYSA-N 0.000 description 8
- 239000000203 mixture Substances 0.000 description 7
- 238000002360 preparation method Methods 0.000 description 7
- 239000007787 solid Substances 0.000 description 7
- KFZMGEQAYNKOFK-UHFFFAOYSA-N Isopropanol Chemical compound CC(C)O KFZMGEQAYNKOFK-UHFFFAOYSA-N 0.000 description 6
- OKKJLVBELUTLKV-UHFFFAOYSA-N Methanol Chemical compound OC OKKJLVBELUTLKV-UHFFFAOYSA-N 0.000 description 6
- YXFVVABEGXRONW-UHFFFAOYSA-N Toluene Chemical compound CC1=CC=CC=C1 YXFVVABEGXRONW-UHFFFAOYSA-N 0.000 description 6
- 150000001721 carbon Chemical group 0.000 description 6
- CSNNHWWHGAXBCP-UHFFFAOYSA-L Magnesium sulfate Chemical compound [Mg+2].[O-][S+2]([O-])([O-])[O-] CSNNHWWHGAXBCP-UHFFFAOYSA-L 0.000 description 5
- 239000000706 filtrate Substances 0.000 description 5
- 239000011541 reaction mixture Substances 0.000 description 5
- TVIVIEFSHFOWTE-UHFFFAOYSA-K tri(quinolin-8-yloxy)alumane Chemical compound [Al+3].C1=CN=C2C([O-])=CC=CC2=C1.C1=CN=C2C([O-])=CC=CC2=C1.C1=CN=C2C([O-])=CC=CC2=C1 TVIVIEFSHFOWTE-UHFFFAOYSA-K 0.000 description 5
- RYHBNJHYFVUHQT-UHFFFAOYSA-N 1,4-Dioxane Chemical compound C1COCCO1 RYHBNJHYFVUHQT-UHFFFAOYSA-N 0.000 description 4
- OKTJSMMVPCPJKN-UHFFFAOYSA-N Carbon Chemical compound [C] OKTJSMMVPCPJKN-UHFFFAOYSA-N 0.000 description 4
- 238000004140 cleaning Methods 0.000 description 4
- 238000004440 column chromatography Methods 0.000 description 4
- JNGZXGGOCLZBFB-IVCQMTBJSA-N compound E Chemical compound N([C@@H](C)C(=O)N[C@@H]1C(N(C)C2=CC=CC=C2C(C=2C=CC=CC=2)=N1)=O)C(=O)CC1=CC(F)=CC(F)=C1 JNGZXGGOCLZBFB-IVCQMTBJSA-N 0.000 description 4
- 238000011156 evaluation Methods 0.000 description 4
- 239000012299 nitrogen atmosphere Substances 0.000 description 4
- NFHFRUOZVGFOOS-UHFFFAOYSA-N palladium;triphenylphosphane Chemical compound [Pd].C1=CC=CC=C1P(C=1C=CC=CC=1)C1=CC=CC=C1.C1=CC=CC=C1P(C=1C=CC=CC=1)C1=CC=CC=C1.C1=CC=CC=C1P(C=1C=CC=CC=1)C1=CC=CC=C1.C1=CC=CC=C1P(C=1C=CC=CC=1)C1=CC=CC=C1 NFHFRUOZVGFOOS-UHFFFAOYSA-N 0.000 description 4
- BWHMMNNQKKPAPP-UHFFFAOYSA-L potassium carbonate Chemical compound [K+].[K+].[O-]C([O-])=O BWHMMNNQKKPAPP-UHFFFAOYSA-L 0.000 description 4
- 238000003756 stirring Methods 0.000 description 4
- 239000000758 substrate Substances 0.000 description 4
- YMWUJEATGCHHMB-UHFFFAOYSA-N Dichloromethane Chemical compound ClCCl YMWUJEATGCHHMB-UHFFFAOYSA-N 0.000 description 3
- 230000015572 biosynthetic process Effects 0.000 description 3
- FJDQFPXHSGXQBY-UHFFFAOYSA-L caesium carbonate Chemical compound [Cs+].[Cs+].[O-]C([O-])=O FJDQFPXHSGXQBY-UHFFFAOYSA-L 0.000 description 3
- 229910000024 caesium carbonate Inorganic materials 0.000 description 3
- DFBKLUNHFCTMDC-GKRDHZSOSA-N endrin Chemical compound C([C@@H]1[C@H]2[C@@]3(Cl)C(Cl)=C([C@]([C@H]22)(Cl)C3(Cl)Cl)Cl)[C@@H]2[C@H]2[C@@H]1O2 DFBKLUNHFCTMDC-GKRDHZSOSA-N 0.000 description 3
- IBHBKWKFFTZAHE-UHFFFAOYSA-N n-[4-[4-(n-naphthalen-1-ylanilino)phenyl]phenyl]-n-phenylnaphthalen-1-amine Chemical compound C1=CC=CC=C1N(C=1C2=CC=CC=C2C=CC=1)C1=CC=C(C=2C=CC(=CC=2)N(C=2C=CC=CC=2)C=2C3=CC=CC=C3C=CC=2)C=C1 IBHBKWKFFTZAHE-UHFFFAOYSA-N 0.000 description 3
- 238000003786 synthesis reaction Methods 0.000 description 3
- YLQBMQCUIZJEEH-UHFFFAOYSA-N tetrahydrofuran Natural products C=1C=COC=1 YLQBMQCUIZJEEH-UHFFFAOYSA-N 0.000 description 3
- 125000006750 (C7-C60) arylalkyl group Chemical group 0.000 description 2
- UJOBWOGCFQCDNV-UHFFFAOYSA-N 9H-carbazole Chemical compound C1=CC=C2C3=CC=CC=C3NC2=C1 UJOBWOGCFQCDNV-UHFFFAOYSA-N 0.000 description 2
- NLXLAEXVIDQMFP-UHFFFAOYSA-N Ammonia chloride Chemical compound [NH4+].[Cl-] NLXLAEXVIDQMFP-UHFFFAOYSA-N 0.000 description 2
- LFQSCWFLJHTTHZ-UHFFFAOYSA-N Ethanol Chemical compound CCO LFQSCWFLJHTTHZ-UHFFFAOYSA-N 0.000 description 2
- VEXZGXHMUGYJMC-UHFFFAOYSA-N Hydrochloric acid Chemical compound Cl VEXZGXHMUGYJMC-UHFFFAOYSA-N 0.000 description 2
- MZRVEZGGRBJDDB-UHFFFAOYSA-N N-Butyllithium Chemical compound [Li]CCCC MZRVEZGGRBJDDB-UHFFFAOYSA-N 0.000 description 2
- CBENFWSGALASAD-UHFFFAOYSA-N Ozone Chemical compound [O-][O+]=O CBENFWSGALASAD-UHFFFAOYSA-N 0.000 description 2
- 239000007864 aqueous solution Substances 0.000 description 2
- 125000004429 atom Chemical group 0.000 description 2
- 229910052794 bromium Inorganic materials 0.000 description 2
- 229910052801 chlorine Inorganic materials 0.000 description 2
- 238000005520 cutting process Methods 0.000 description 2
- 239000011521 glass Substances 0.000 description 2
- 229910052740 iodine Inorganic materials 0.000 description 2
- 238000005259 measurement Methods 0.000 description 2
- 230000003647 oxidation Effects 0.000 description 2
- 238000007254 oxidation reaction Methods 0.000 description 2
- 229910000027 potassium carbonate Inorganic materials 0.000 description 2
- 239000000243 solution Substances 0.000 description 2
- 125000006749 (C6-C60) aryl group Chemical group 0.000 description 1
- 238000005160 1H NMR spectroscopy Methods 0.000 description 1
- 125000003860 C1-C20 alkoxy group Chemical group 0.000 description 1
- 0 Cc1cc(*)cc(Nc2ccc3-c4ccccc4*c3c2)c1 Chemical compound Cc1cc(*)cc(Nc2ccc3-c4ccccc4*c3c2)c1 0.000 description 1
- 229940126062 Compound A Drugs 0.000 description 1
- NLDMNSXOCDLTTB-UHFFFAOYSA-N Heterophylliin A Natural products O1C2COC(=O)C3=CC(O)=C(O)C(O)=C3C3=C(O)C(O)=C(O)C=C3C(=O)OC2C(OC(=O)C=2C=C(O)C(O)=C(O)C=2)C(O)C1OC(=O)C1=CC(O)=C(O)C(O)=C1 NLDMNSXOCDLTTB-UHFFFAOYSA-N 0.000 description 1
- DGAQECJNVWCQMB-PUAWFVPOSA-M Ilexoside XXIX Chemical compound C[C@@H]1CC[C@@]2(CC[C@@]3(C(=CC[C@H]4[C@]3(CC[C@@H]5[C@@]4(CC[C@@H](C5(C)C)OS(=O)(=O)[O-])C)C)[C@@H]2[C@]1(C)O)C)C(=O)O[C@H]6[C@@H]([C@H]([C@@H]([C@H](O6)CO)O)O)O.[Na+] DGAQECJNVWCQMB-PUAWFVPOSA-M 0.000 description 1
- 238000005481 NMR spectroscopy Methods 0.000 description 1
- 238000000862 absorption spectrum Methods 0.000 description 1
- 230000002378 acidificating effect Effects 0.000 description 1
- 229910052782 aluminium Inorganic materials 0.000 description 1
- XAGFODPZIPBFFR-UHFFFAOYSA-N aluminium Chemical compound [Al] XAGFODPZIPBFFR-UHFFFAOYSA-N 0.000 description 1
- 235000019270 ammonium chloride Nutrition 0.000 description 1
- 150000004984 aromatic diamines Chemical class 0.000 description 1
- 230000005283 ground state Effects 0.000 description 1
- MILUBEOXRNEUHS-UHFFFAOYSA-N iridium(3+) Chemical class [Ir+3] MILUBEOXRNEUHS-UHFFFAOYSA-N 0.000 description 1
- 238000010030 laminating Methods 0.000 description 1
- 125000005647 linker group Chemical group 0.000 description 1
- 238000004020 luminiscence type Methods 0.000 description 1
- 238000004519 manufacturing process Methods 0.000 description 1
- 229910052751 metal Inorganic materials 0.000 description 1
- 239000002184 metal Substances 0.000 description 1
- YJVFFLUZDVXJQI-UHFFFAOYSA-L palladium(ii) acetate Chemical compound [Pd+2].CC([O-])=O.CC([O-])=O YJVFFLUZDVXJQI-UHFFFAOYSA-L 0.000 description 1
- 238000000425 proton nuclear magnetic resonance spectrum Methods 0.000 description 1
- LVTJOONKWUXEFR-FZRMHRINSA-N protoneodioscin Natural products O(C[C@@H](CC[C@]1(O)[C@H](C)[C@@H]2[C@]3(C)[C@H]([C@H]4[C@@H]([C@]5(C)C(=CC4)C[C@@H](O[C@@H]4[C@H](O[C@H]6[C@@H](O)[C@@H](O)[C@@H](O)[C@H](C)O6)[C@@H](O)[C@H](O[C@H]6[C@@H](O)[C@@H](O)[C@@H](O)[C@H](C)O6)[C@H](CO)O4)CC5)CC3)C[C@@H]2O1)C)[C@H]1[C@H](O)[C@H](O)[C@H](O)[C@@H](CO)O1 LVTJOONKWUXEFR-FZRMHRINSA-N 0.000 description 1
- 229920006395 saturated elastomer Polymers 0.000 description 1
- 229910052708 sodium Inorganic materials 0.000 description 1
- 239000011734 sodium Substances 0.000 description 1
- HPALAKNZSZLMCH-UHFFFAOYSA-M sodium;chloride;hydrate Chemical class O.[Na+].[Cl-] HPALAKNZSZLMCH-UHFFFAOYSA-M 0.000 description 1
- 238000002411 thermogravimetry Methods 0.000 description 1
Images
Classifications
-
- C—CHEMISTRY; METALLURGY
- C09—DYES; PAINTS; POLISHES; NATURAL RESINS; ADHESIVES; COMPOSITIONS NOT OTHERWISE PROVIDED FOR; APPLICATIONS OF MATERIALS NOT OTHERWISE PROVIDED FOR
- C09K—MATERIALS FOR MISCELLANEOUS APPLICATIONS, NOT PROVIDED FOR ELSEWHERE
- C09K11/00—Luminescent, e.g. electroluminescent, chemiluminescent materials
- C09K11/06—Luminescent, e.g. electroluminescent, chemiluminescent materials containing organic luminescent materials
-
- C—CHEMISTRY; METALLURGY
- C07—ORGANIC CHEMISTRY
- C07D—HETEROCYCLIC COMPOUNDS
- C07D209/00—Heterocyclic compounds containing five-membered rings, condensed with other rings, with one nitrogen atom as the only ring hetero atom
- C07D209/56—Ring systems containing three or more rings
- C07D209/80—[b, c]- or [b, d]-condensed
- C07D209/82—Carbazoles; Hydrogenated carbazoles
-
- C—CHEMISTRY; METALLURGY
- C07—ORGANIC CHEMISTRY
- C07D—HETEROCYCLIC COMPOUNDS
- C07D307/00—Heterocyclic compounds containing five-membered rings having one oxygen atom as the only ring hetero atom
- C07D307/77—Heterocyclic compounds containing five-membered rings having one oxygen atom as the only ring hetero atom ortho- or peri-condensed with carbocyclic rings or ring systems
- C07D307/78—Benzo [b] furans; Hydrogenated benzo [b] furans
-
- C—CHEMISTRY; METALLURGY
- C07—ORGANIC CHEMISTRY
- C07D—HETEROCYCLIC COMPOUNDS
- C07D471/00—Heterocyclic compounds containing nitrogen atoms as the only ring hetero atoms in the condensed system, at least one ring being a six-membered ring with one nitrogen atom, not provided for by groups C07D451/00 - C07D463/00
- C07D471/02—Heterocyclic compounds containing nitrogen atoms as the only ring hetero atoms in the condensed system, at least one ring being a six-membered ring with one nitrogen atom, not provided for by groups C07D451/00 - C07D463/00 in which the condensed system contains two hetero rings
- C07D471/04—Ortho-condensed systems
-
- C—CHEMISTRY; METALLURGY
- C07—ORGANIC CHEMISTRY
- C07F—ACYCLIC, CARBOCYCLIC OR HETEROCYCLIC COMPOUNDS CONTAINING ELEMENTS OTHER THAN CARBON, HYDROGEN, HALOGEN, OXYGEN, NITROGEN, SULFUR, SELENIUM OR TELLURIUM
- C07F13/00—Compounds containing elements of Groups 7 or 17 of the Periodic Table
-
- H—ELECTRICITY
- H05—ELECTRIC TECHNIQUES NOT OTHERWISE PROVIDED FOR
- H05B—ELECTRIC HEATING; ELECTRIC LIGHT SOURCES NOT OTHERWISE PROVIDED FOR; CIRCUIT ARRANGEMENTS FOR ELECTRIC LIGHT SOURCES, IN GENERAL
- H05B33/00—Electroluminescent light sources
- H05B33/12—Light sources with substantially two-dimensional radiating surfaces
- H05B33/14—Light sources with substantially two-dimensional radiating surfaces characterised by the chemical or physical composition or the arrangement of the electroluminescent material, or by the simultaneous addition of the electroluminescent material in or onto the light source
-
- H—ELECTRICITY
- H10—SEMICONDUCTOR DEVICES; ELECTRIC SOLID-STATE DEVICES NOT OTHERWISE PROVIDED FOR
- H10K—ORGANIC ELECTRIC SOLID-STATE DEVICES
- H10K50/00—Organic light-emitting devices
Landscapes
- Chemical & Material Sciences (AREA)
- Organic Chemistry (AREA)
- Engineering & Computer Science (AREA)
- Materials Engineering (AREA)
- Physics & Mathematics (AREA)
- Optics & Photonics (AREA)
- Electroluminescent Light Sources (AREA)
Abstract
Description
신규한 유기 전계 발광 소자용 화합물, 이를 포함하는 유기 전계 발광 소자 및 전자 기기에 관한 것이다.
The present invention relates to a novel compound for an organic electroluminescent device, an organic electroluminescent device including the compound and an electronic device.
전기 발광 소자(electroluminescence device: EL device)는 자체 발광형 표시 소자로서 응답 속도가 빠르고, 시야각이 넓다는 장점을 가지고 있다. 1987년 이스트만 코닥(Eastman Kodak)사는 발광층 재료로서 저분자 방향족 디아민과 알루미늄 착물을 이용한 유기EL 소자를 처음으로 개발하였다[Appl. Phys. Lett. 51, 913, 1987].An electroluminescence device (EL device) is a self-emissive type display device having a high response speed and a wide viewing angle. In 1987, Eastman Kodak Company first developed an organic EL device using a low molecular aromatic diamine and an aluminum complex as a light emitting layer material [Appl. Phys. Lett. 51, 913, 1987].
OLED에서 발광 효율을 결정하는 가장 중요한 요인은 발광 재료인데, 발광 재료 중 인광 재료는 이론적으로 형광 재료 대비 4배까지 발광 효율을 개선시킬 수 있다. 현재까지 이리듐(III)착물 계열과 카바졸 계열의 재료들이 인광 발광 재료로 널리 알려져 있으며, 최근 새로운 인광 재료들이 연구되고 있다.The most important factor for determining the luminous efficiency in an OLED is a luminescent material, and a phosphorescent material in a luminescent material can improve luminous efficiency up to 4 times the theoretical value of a fluorescent material. Until now, iridium (III) complexes and carbazole-based materials have been widely known as phosphorescent materials, and new phosphorescent materials are being studied in recent years.
유기 전계 발광 현상의 원리는, 음극과 양극 사이에 유기물 층이 있을 때 두 전극 사이에 전압을 걸어주면 음극과 양극으로부터 각각 전자와 정공이 유기물 층으로 주입된다. 유기물 층으로 주입된 전자와 정공은 재결합하여 엑시톤 (exciton)을 형성하고, 이 엑시톤이 다시 바닥 상태로 떨어지면서 빛이 나게 된다. 이러한 원리를 이용하는 유기 전계 발광 소자는 일반적으로 음극과 양극 및 그 사이에 위치한 유기물층, 예컨대 정공주입층, 정공수송층, 발광층, 전자수송층을 포함하는 유기물 층으로 구성될 수 있다.The principle of the organic electroluminescent phenomenon is that when a voltage is applied between two electrodes when an organic material layer exists between the cathode and the anode, electrons and holes are injected into the organic material layer from the cathode and the anode, respectively. Electrons and holes injected into the organic layer are recombined to form an exciton, and the exciton falls back to the ground state to emit light. An organic electroluminescent device using this principle can be generally constituted of an organic material layer including a cathode, an anode and an organic material layer disposed therebetween, for example, a hole injecting layer, a hole transporting layer, a light emitting layer, and an electron transporting layer.
유기 전계 발광 소자에서 사용되는 재료로는 순수 유기물 또는 유기물과 금속이 착물을 이루는 착화합물이 대부분을 차지하고 있으며, 용도에 따라 정공주입 재료, 정공수송 재료, 발광 재료, 전자수송 재료, 전자주입 재료 등으로 구분될 수 있다. 여기서, 정공주입 재료나 정공수송 재료로는 p-타입의 성질을 가지는 유기 재료, 즉 쉽게 산화가 되고 산화시에 전기화학적으로 안정한 상태를 가지는 유기물이 주로 사용되고 있다. 한편, 전자주입 재료나 전자수송 재료로는 n-타입 성질을 가지는 유기 재료, 즉 쉽게 환원이 되고 환원시에 전기화학적으로 안정한 상태를 가지는 유기물이 주로 사용되고 있다. 발광층 재료로는 p-타입 성질과 n-타입 성질을 동시에 가진 재료, 즉 산화와 환원 상태에서 모두 안정한 형태를 갖는 재료가 바람직하며, 엑시톤이 형성되었을 때 이를 빛으로 전환하는 발광 효율이 높은 재료가 바람직하다. 따라서, 당 기술 분야에서는 상기와 같은 요건을 갖춘 새로운 유기 재료의 개발이 요구되고 있다.
Most of materials used in organic electroluminescent devices are pure organic materials or complexes in which an organic material and a metal form a complex with each other. Depending on the application, a hole injecting material, a hole transporting material, a light emitting material, an electron transporting material, Can be distinguished. As the hole injecting material and the hole transporting material, an organic material having a p-type property, that is, an organic material which is easily oxidized and electrochemically stable at the time of oxidation, is mainly used. On the other hand, as an electron injecting material and an electron transporting material, an organic material having an n-type property, that is, an organic material which is easily reduced and electrochemically stable at the time of reduction is mainly used. As the light emitting layer material, a material having both a p-type property and an n-type property, that is, a material having both a stable state in oxidation and in a reduced state is preferable, and a material having a high luminous efficiency for converting an exciton into light desirable. Accordingly, there is a need in the art to develop new organic materials having the above-described requirements.
본 발명의 일 구현예는 적절한 에너지 준위, 전기화학적 안정성 및 열적 안정성을 가지는 유기 전계 발광 소자용 화합물을 제공한다.One embodiment of the present invention provides a compound for an organic electroluminescent device having an appropriate energy level, electrochemical stability, and thermal stability.
본 발명의 다른 구현예는 상기 유기 전계 발광 소자용 화합물을 포함하는 유기 전계 발광 소자를 제공한다.Another embodiment of the present invention provides an organic electroluminescent device comprising the compound for an organic electroluminescent device.
본 발명의 또 다른 구현예는 상기 유기 전계 발광 소자를 적용한 전자 기기를 제공한다.
Another embodiment of the present invention provides an electronic apparatus to which the organic electroluminescent device is applied.
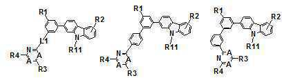
본 발명의 일 구현예에서, 하기 화학식 1로 표시되는 유기 전계 발광 소자용 화합물을 제공한다.In one embodiment of the present invention, there is provided an organic electroluminescent device compound represented by the following general formula (1).
<화학식 1>≪ Formula 1 >
상기 식에서, In this formula,
X는 C(R15)(R16), C(CH3)2, C=O, O, S, N(R17), Si(CH3)2, SO2, Se, , 스피로 구조로 결합된 치환 또는 비치환된 C6-C50의 아릴기, 스피로 구조로 결합된 치환 또는 비치환된 C5-C50의 사이클로알킬기이고, 상기 아릴기 및 상기 사이클로알킬기가 2개 이상의 치환기를 가지는 경우 상기 2개 이상의 치환기가 융합되어 다환의 지방족 또는 방향족 융합고리를 형성할 수 있고;X is C (R15) (R16), C (CH 3) 2, C = O, O, S, N (R17), Si (CH 3) 2,
R1, R2, R15, R16 및 R17은, 각각 독립적으로, 수소(H), 중수소(D), 할로겐, 치환 또는 비치환된 C1-C50 알킬기, 치환 또는 비치환된 C7-C50 아릴알킬기, 치환 또는 비치환된 C4-C50 사이클로알킬기, 치환 또는 비치환된 C6-C50 아릴기, 치환 또는 비치환된 C3-C50 헤테로아릴기, 치환 또는 비치환된 C4-C50 헤테로아릴알킬기, 치환 또는 비치환된 C1-C50 알킬아미노기, 치환 또는 비치환된 C7-C50 아릴아미노기, 치환 또는 비치환된 C7-C50 아릴알킬아미노기, 또는 치환 또는 비치환된 C7-C50 아릴알콕시아미노기이고; Substituted or unsubstituted C7-C50 arylalkyl group, a substituted or unsubstituted C1-C50 alkyl group, a substituted or unsubstituted C7-C50 arylalkyl group, a substituted or unsubstituted C7- A substituted or unsubstituted C6-C50 aryl group, a substituted or unsubstituted C3-C50 heteroaryl group, a substituted or unsubstituted C4-C50 heteroarylalkyl group, a substituted or unsubstituted C1-C50 cycloalkyl group, a substituted or unsubstituted C6- A substituted or unsubstituted C7-C50 arylamino group, a substituted or unsubstituted C7-C50 arylalkylamino group, or a substituted or unsubstituted C7-C50 arylalkoxyamino group;
상기 R15 및 상기 R16은 서로 융합되어 다환의 지방족 또는 방향족 융합고리를 형성할 수 있고;R15 and R16 may be fused together to form a polycyclic aliphatic or aromatic fused ring;
Het는 치환 및 비치환된 C3-C60 헤테로아릴기 또는 치환 및 비치환된 C4-C60 헤테로아릴알킬기이며, B, N, O, S, P(=O), Si 및 P 중에서 선택된 적어도 하나의 헤테로 원자를 포함하고; Het is a substituted or unsubstituted C3-C60 heteroaryl group or a substituted and unsubstituted C4-C60 heteroarylalkyl group and at least one heteroatom selected from B, N, O, S, P (= O) Atoms;
L1 및 L2는, 각각 독립적으로, 단일결합, 치환 또는 비치환된 C1-C50 알킬렌기, 치환 또는 비치환된 C7-C50 아릴알킬렌기, 치환 또는 비치환된 C6-C50 사이클로알킬렌기, 치환 또는 비치환된 C6-C50 아릴렌기, 치환 또는 비치환된 C3-C50 헤테로아릴렌기, 치환 또는 비치환된 C4-C50 헤테로아릴알킬렌기, 치환 또는 비치환된 C1-C50 알킬이미노기, 치환 또는 비치환된 C6-C50 아릴이미노기, 치환 또는 비치환된 C7-C50 아릴알킬이미노기, 또는 치환 또는 비치환된 C7-C50 아릴알콕시이미노기이다.L1 and L2 are each independently a single bond, a substituted or unsubstituted C1-C50 alkylene group, a substituted or unsubstituted C7-C50 arylalkylene group, a substituted or unsubstituted C6-C50 cycloalkylene group, A substituted or unsubstituted C1-C50 alkenyl group, a substituted or unsubstituted C6-C50 arylene group, a substituted or unsubstituted C3-C50 heteroarylene group, a substituted or unsubstituted C4-C50 heteroarylalkylene group, C6-C50 arylimino group, a substituted or unsubstituted C7-C50 arylalkylimino group, or a substituted or unsubstituted C7-C50 arylalkoxyimino group.
본 발명의 다른 구현예에서, 제1 전극, 1층 이상의 유기물층 및 제2 전극이 적층된 구조를 포함하고, 상기 유기물층은 상기 유기 전계 발광 소자용 화합물을 1종 이상 포함하는 유기 전계 발광 소자를 제공한다.In another embodiment of the present invention, there is provided an organic electroluminescent device including a structure in which a first electrode, one or more organic material layers and a second electrode are stacked, and the organic material layer includes at least one compound for the organic electroluminescent device do.
본 발명의 또 다른 구현예에서, 상기 유기 전계 발광 소자를 포함하는 전자 기기를 제공한다.
In another embodiment of the present invention, there is provided an electronic device including the organic electroluminescent device.
상기 유기 전계 발광 소자용 화합물은 유기 전계 발광 소자에서 사용 가능한 물질에 요구되는 조건, 예컨대 적절한 에너지 준위, 전기화학적 안정성 및 열적 안정성 등을 모두 우수하게 만족시킬 수 있으며, 치환기에 따라 유기 전계 발광 소자에서 요구되는 다양한 역할을 할 수 있다.
The compound for an organic electroluminescent device can satisfactorily satisfy conditions required for a material usable in an organic electroluminescent device, for example, an appropriate energy level, an electrochemical stability, and a thermal stability. It can play various roles as required.
도 1은 실시예 1에서 제조된 화합물 119의 1H-NMR 측정 결과이다.
도 2는 실시예 1에서 제조된 화합물 119의 TGA 측정 결과이다.
도 3은 실시예 1에서 제조된 화합물 119의 DSC 측정 결과이다.
도 4는 실시예 1에서 제조된 화합물 119의 UV 흡수 스펙트럼이다.Fig. 1 shows the 1H-NMR measurement results of the compound 119 prepared in Example 1. Fig.
2 is a TGA measurement result of the compound 119 prepared in Example 1. Fig.
3 shows the results of DSC measurement of the compound 119 prepared in Example 1. Fig.
4 is a UV absorption spectrum of the compound 119 prepared in Example 1. Fig.
이하, 본 발명의 구현예를 상세히 설명하기로 한다. 다만, 이는 예시로서 제시되는 것으로, 이에 의해 본 발명이 제한되지는 않으며 본 발명은 후술할 청구항의 범주에 의해 정의될 뿐이다. Hereinafter, embodiments of the present invention will be described in detail. However, the present invention is not limited thereto, and the present invention is only defined by the scope of the following claims.
본 발명의 일 구현예에서, 하기 화학식 1로 표시되는 유기 전계 발광 소자용 화합물을 제공한다.In one embodiment of the present invention, there is provided an organic electroluminescent device compound represented by the following general formula (1).
<화학식 1>≪ Formula 1 >
상기 식에서, In this formula,
X는 C(R15)(R16), C(CH3)2, C=O, O, S, N(R17), Si(CH3)2, SO2, Se, , 스피로 구조로 결합된 치환 또는 비치환된 C6-C50의 아릴기, 스피로 구조로 결합된 치환 또는 비치환된 C5-C50의 사이클로알킬기이고, 상기 아릴기 및 상기 사이클로알킬기가 2개 이상의 치환기를 가지는 경우 상기 2개 이상의 치환기가 융합되어 다환의 지방족 또는 방향족 융합고리를 형성할 수 있고;X is C (R15) (R16), C (CH 3) 2, C = O, O, S, N (R17), Si (CH 3) 2,
R1, R2, R15, R16 및 R17은, 각각 독립적으로, 수소(H), 중수소(D), 할로겐, 치환 또는 비치환된 C1-C50 알킬기, 치환 또는 비치환된 C7-C50 아릴알킬기, 치환 또는 비치환된 C4-C50 사이클로알킬기, 치환 또는 비치환된 C6-C50 아릴기, 치환 또는 비치환된 C3-C50 헤테로아릴기, 치환 또는 비치환된 C4-C50 헤테로아릴알킬기, 치환 또는 비치환된 C1-C50 알킬아미노기, 치환 또는 비치환된 C7-C50 아릴아미노기, 치환 또는 비치환된 C7-C50 아릴알킬아미노기, 또는 치환 또는 비치환된 C7-C50 아릴알콕시아미노기이고; Substituted or unsubstituted C7-C50 arylalkyl group, a substituted or unsubstituted C1-C50 alkyl group, a substituted or unsubstituted C7-C50 arylalkyl group, a substituted or unsubstituted C7- A substituted or unsubstituted C6-C50 aryl group, a substituted or unsubstituted C3-C50 heteroaryl group, a substituted or unsubstituted C4-C50 heteroarylalkyl group, a substituted or unsubstituted C1-C50 cycloalkyl group, a substituted or unsubstituted C6- A substituted or unsubstituted C7-C50 arylamino group, a substituted or unsubstituted C7-C50 arylalkylamino group, or a substituted or unsubstituted C7-C50 arylalkoxyamino group;
상기 R15 및 상기 R16은 서로 융합되어 다환의 지방족 또는 방향족 융합고리를 형성할 수 있고;R15 and R16 may be fused together to form a polycyclic aliphatic or aromatic fused ring;
Het는 치환 및 비치환된 C3-C60 헤테로아릴기 또는 치환 및 비치환된 C4-C60 헤테로아릴알킬기이며, B, N, O, S, P(=O), Si 및 P 중에서 선택된 적어도 하나의 헤테로 원자를 포함하고; Het is a substituted or unsubstituted C3-C60 heteroaryl group or a substituted and unsubstituted C4-C60 heteroarylalkyl group and at least one heteroatom selected from B, N, O, S, P (= O) Atoms;
L1 및 L2는, 각각 독립적으로, 단일결합, 치환 또는 비치환된 C1-C50 알킬렌기, 치환 또는 비치환된 C7-C50 아릴알킬렌기, 치환 또는 비치환된 C6-C50 사이클로알킬렌기, 치환 또는 비치환된 C6-C50 아릴렌기, 치환 또는 비치환된 C3-C50 헤테로아릴렌기, 치환 또는 비치환된 C4-C50 헤테로아릴알킬렌기, 치환 또는 비치환된 C1-C50 알킬이미노기, 치환 또는 비치환된 C6-C50 아릴이미노기, 치환 또는 비치환된 C7-C50 아릴알킬이미노기, 또는 치환 또는 비치환된 C7-C50 아릴알콕시이미노기이다.L1 and L2 are each independently a single bond, a substituted or unsubstituted C1-C50 alkylene group, a substituted or unsubstituted C7-C50 arylalkylene group, a substituted or unsubstituted C6-C50 cycloalkylene group, A substituted or unsubstituted C1-C50 alkenyl group, a substituted or unsubstituted C6-C50 arylene group, a substituted or unsubstituted C3-C50 heteroarylene group, a substituted or unsubstituted C4-C50 heteroarylalkylene group, C6-C50 arylimino group, a substituted or unsubstituted C7-C50 arylalkylimino group, or a substituted or unsubstituted C7-C50 arylalkoxyimino group.
상기 R2는 화학식 1에서 결합 위치가 특정되지 않은 것으로서, R2가 부존재인 경우는 R2가 수소인 경우로 정의되는 것으로 한다.
R2 is defined as the case where the bonding position is not specified in the formula (1), and when R2 is absent, R2 is hydrogen.
상기 유기 전계 발광 소자용 화합물은 유기 전계 발광 소자에서 사용 가능한 물질에 요구되는 조건, 예컨대 적절한 에너지 준위, 전기화학적 안정성 및 열적 안정성 등을 모두 우수하게 만족시킬 수 있으며, 상기 정의된 치환기를 적절히 선택함에 따라 유기 전계 발광 소자에서 요구되는 다양한 역할을 할 수 있다.The compound for an organic electroluminescent device can satisfactorily satisfy conditions required for a material usable in an organic electroluminescent device, for example, appropriate energy level, electrochemical stability, and thermal stability. And thus can play various roles required in an organic electroluminescent device.
상기 화학식 1로 표시되는 구조는 Het기, R1 치환기를 갖는 페닐렌 및 3개의 융합고리기가 L1 및 L2의 링커기로 연결되어 있는 구조로서, 3개의 융합고리기의 결합 위치가 X를 포함하는 오각 고리에 융합된 육각 고리에서 X와 가장 가까운 탄소를 1번 탄소로 정의했을 때, 2번 탄소 위치에서 결합하는 구조를 가짐으로써, 전술한 바와 같이 적절한 에너지 준위, 우수한 전기화학적 안정성 및 우수한 열적 안정성의 특성을 구현할 수 있게 된다. The structure represented by the above formula (1) is a structure in which a Het group, phenylene having an
아울러, R1이 수소가 아닌 경우, 상기 R1 치환기를 갖는 페닐렌의 벤젠 고리에 3개의 결합이 존재하는 구조를 형성할 수 있고, 이러한 구조는 전술한 바와 같은 적절한 에너지 준위, 우수한 전기화학적 안정성 및 우수한 열적 안정성의 특성을 개선하는 데에 더욱 도움이 될 수 있다.
In addition, when R1 is not hydrogen, it is possible to form a structure in which three bonds are present in the benzene ring of the phenylene having the R1 substituent, and such a structure has an appropriate energy level as described above, excellent electrochemical stability and excellent May be more helpful in improving the properties of thermal stability.
상기 유기 전계 발광 소자용 화합물의 이러한 구조는 발광층 재료로서 유용하게 적용될 수 있다.Such a structure of the compound for an organic electroluminescence device can be usefully applied as a light emitting layer material.
일 구현예에서, 상기 유기 전계 발광 소자용 화합물은 발광층 중 인광 호스트, 형광 호스트, 인광 도판트, 또는 형광 도판트 재료로서 포함될 수 있다.In one embodiment, the compound for an organic electroluminescent device may be included as a phosphorescent host, a fluorescent host, a phosphorescent dopant, or a fluorescent dopant material in a light emitting layer.
본 명세서에서, "치환"된 경우의 치환기는, 별도의 정의가 없는 한, C1-C50의 알킬기, C3-C50의 시클로알킬기, C2-C50의 알케닐기, C3-C50의 시클로알케닐기, C2-C50의 알키닐기, C5-C50의 시클로알키닐기, 시아노기, C1-C20의 알콕시기, C6-C60의 아릴기, C7-C60의 아릴알킬기로 이루어진 군에서 선택될 수 있고, 또한, 이들의 조합의 둘 이상의 치환기로 치환된 경우를 포함한다.
In the present specification, the substituent in the case of "substituted", unless otherwise defined, includes a C1-C50 alkyl group, a C3-C50 cycloalkyl group, a C2-C50 alkenyl group, a C3-C50 cycloalkenyl group, A C5-C50 cycloalkynyl group, a cyano group, a C1-C20 alkoxy group, a C6-C60 aryl group, and a C7-C60 arylalkyl group, and combinations thereof ≪ / RTI > is substituted with two or more substituents of
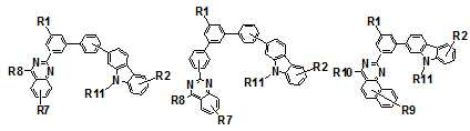
다른 구현예에서, 상기 화학식 1로 표시되는 화합물이 하기 화학식 2 내지 4로 표시되는 화합물 중 어느 하나일 수 있다.In another embodiment, the compound represented by Formula 1 may be any of the compounds represented by
[화학식 2] [화학식 3] [화학식 4][Chemical Formula 2] < EMI ID = [Chemical Formula 4]
상기 식에서, In this formula,
A는 탄소 또는 질소이고;A is carbon or nitrogen;
R1 내지 R4는, 각각 독립적으로, 수소(H), 중수소(D), 할로겐, 치환 또는 비치환된 C1-C50 알킬기, 치환 또는 비치환된 C7-C50 아릴알킬기, 치환 또는 비치환된 C4-C50 사이클로알킬기, 치환 또는 비치환된 C6-C50 아릴기, 치환 또는 비치환된 C3-C50 헤테로아릴기, 치환 또는 비치환된 C4-C50 헤테로아릴알킬기, 치환 또는 비치환된 C1-C50 알킬아미노기, 치환 또는 비치환된 C7-C50 아릴아미노기, 치환 또는 비치환된 C7-C50 아릴알킬아미노기, 치환 또는 비치환된 C7-C50 아릴알콕시아미노기이며; R1 to R4 each independently represent hydrogen (H), deuterium (D), halogen, a substituted or unsubstituted C1-C50 alkyl group, a substituted or unsubstituted C7-C50 arylalkyl group, a substituted or unsubstituted C4- A substituted or unsubstituted C1-C50 alkylamino group, a substituted or unsubstituted C6-C50 aryl group, a substituted or unsubstituted C3-C50 heteroaryl group, a substituted or unsubstituted C4-C50 heteroarylalkyl group, Or an unsubstituted C7-C50 arylamino group, a substituted or unsubstituted C7-C50 arylalkylamino group, or a substituted or unsubstituted C7-C50 arylalkoxyamino group;
X, L1 및 L2는 상기 화학식 1에서 정의된 바와 같다.
X,
구체적으로, 상기 화학식 1로 표시되는 화합물이 하기 화학식 5 내지 20으로 표시되는 화합물 중 어느 하나일 수 있다.Specifically, the compound represented by the formula (1) may be any one of the compounds represented by the following formulas (5) to (20).
[화학식 5] [화학식 6] [화학식 7] [화학식 8][Chemical Formula 6] [Chemical Formula 7] [Chemical Formula 8]
[화학식 9] [화학식 10] [화학식 11] [화학식 12][Chemical Formula 11] [Chemical Formula 11] [Chemical Formula 12]
[화학식 13] [화학식 14] [화학식 15] [화학식 16][Chemical Formula 14] [Chemical Formula 15] [Chemical Formula 16]
[화학식 17] [화학식 18] [화학식 19] [화학식 20][Chemical Formula 18] [Chemical Formula 19] [Chemical Formula 20]
상기 식에서,In this formula,
A는 탄소 또는 질소이고;A is carbon or nitrogen;
R1 내지 R10은, 각각 독립적으로, 수소(H), 중수소(D), 할로겐, 치환 또는 비치환된 C1-C50 알킬기, 치환 또는 비치환된 C7-C50 아릴알킬기, 치환 또는 비치환된 C4-C50 사이클로알킬기, 치환 또는 비치환된 C6-C50 아릴기, 치환 또는 비치환된 C3-C50 헤테로아릴기, 치환 또는 비치환된 C4-C50 헤테로아릴알킬기, 치환 또는 비치환된 C1-C50 알킬아미노기, 치환 또는 비치환된 C7-C50 아릴아미노기, 치환 또는 비치환된 C7-C50 아릴알킬아미노기, 치환 또는 비치환된 C7-C50 아릴알콕시아미노기이며;
X는 상기 화학식 1 내지 4에서 정의된 바와 같다.X is as defined in the above formulas (1) to (4).
상기 R2, R6, R7 및 R9는 화학식 1에서 결합 위치가 특정되지 않은 것으로서, R2, R6, R7 또는 R9가 부존재인 경우는 R2, R6, R7 또는 R9가 수소인 경우로 정의되는 것으로 한다.
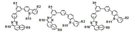
또한, 구체적으로, 상기 화학식 1로 표시되는 화합물이 하기 화학식 21 내지 47로 표시되는 화합물 중 어느 하나일 수 있다. Specifically, the compound represented by
[화학식 21] [화학식 22] [화학식 23][Chemical Formula 21] (23)
[화학식 24] [화학식 25] [화학식 26][Chemical Formula 24] (26)
[화학식 27] [화학식 28] [화학식 29][Chemical Formula 27] [Chemical Formula 29]
[화학식 30] [화학식 31] [화학식 32][Chemical Formula 30] (32)
[화학식 33] [화학식 34] [화학식 35][Chemical Formula 33] (35)
[화학식 36] [화학식 37] [화학식 38][Chemical Formula 36] (38)
[화학식 39] [화학식 40] [화학식 41][Chemical Formula 39] (41)
[화학식 42] [화학식 43] [화학식 44][Chemical Formula 42] (44)
[화학식 45] [화학식 46] [화학식 47][Chemical Formula 45] (47)
A는 탄소 또는 질소이고;A is carbon or nitrogen;
R1 내지 R13은, 각각 독립적으로, 수소(H), 중수소(D), 할로겐, 치환 또는 비치환된 C1-C50 알킬기, 치환 또는 비치환된 C7-C50 아릴알킬기, 치환 또는 비치환된 C4-C50 사이클로알킬기, 치환 또는 비치환된 C6-C50 아릴기, 치환 또는 비치환된 C3-C50 헤테로아릴기, 치환 또는 비치환된 C4-C50 헤테로아릴알킬기, 치환 또는 비치환된 C1-C50 알킬아미노기, 치환 또는 비치환된 C7-C50 아릴아미노기, 치환 또는 비치환된 C7-C50 아릴알킬아미노기, 치환 또는 비치환된 C7-C50 아릴알콕시아미노기이며;
X 및 L1은 상기 화학식 1에서 정의된 바와 같다.X and L < 1 > are the same as defined in the above formula (1).
상기 R2, R6, R7, R9, R12 및 R13은 화학식 1에서 결합 위치가 특정되지 않은 것으로서, R2, R6, R7, R9, R12 또는 R13이 부존재인 경우는 R2, R6, R7, R9, R12 또는 R13이 수소인 경우로 정의되는 것으로 한다.
R2, R6, R7, R9, R12 and / or R13, R9, R12, and R13 are not bonded to each other in formula (1) And R13 is hydrogen.
상기 화학식 1로 표시되는 화합물에서, 상기 R1, R2, R15, R16 및 R17은, 예를 들어, 각각 독립적으로, In the compound represented by the general formula (1), R1, R2, R15, R16 and R17 may be, for example,
수소(H);Hydrogen (H);
중수소(D);Deuterium (D);
할로겐; halogen;
C1-C50의 알킬기, C3-C50의 시클로알킬기, C2-C50의 알케닐기, C3-C50의 시클로알케닐기, C2-C50의 알키닐기, C5-C50의 시클로알키닐기, 시아노기, C1-C20의 알콕시기, C6-C60의 아릴기, C7-C60의 아릴알킬기로 이루어진 군에서 선택된 하나 이상의 기로 치환되거나, 치환되지 않은 헤테로아릴기;C20 alkyl group, C3-C50 cycloalkyl group, C2-C50 alkenyl group, C3-C50 cycloalkenyl group, C2-C50 alkynyl group, C5-C50 cycloalkynyl group, cyano group, C1-C20 A substituted or unsubstituted heteroaryl group substituted with at least one group selected from the group consisting of an alkyl group, an alkoxy group, an aryl group of C6-C60, and an arylalkyl group of C7-C60;
C1-C50의 알킬기, C3-C50의 시클로알킬기, C2-C50의 알케닐기, C3-C50의 시클로알케닐기, C2-C50의 알키닐기, C5-C50의 시클로 알키닐기, 시아노기, C1-C20의 알콕시기, C6-C60의 아릴기, C7-C60의 아릴알킬기로 이루어진 군에서 선택된 하나 이상의 기로 치환되거나, 치환되지 않은 헤테로아릴알킬기일 수 있다.C20 alkyl group, C3-C50 cycloalkyl group, C2-C50 alkenyl group, C3-C50 cycloalkenyl group, C2-C50 alkynyl group, C5-C50 cycloalkynyl group, cyano group, C1-C20 An aryl group of C6-C60, an arylalkyl group of C7-C60, or a heteroarylalkyl group which is unsubstituted or substituted with at least one group selected from the group consisting of C7-C60 arylalkyl groups.
상기 R1, R2, R15, R16 및 R17이 상기 헤테로아릴기 및 상기 헤테로아릴알킬기인 경우, 상기 헤테로아릴기 및 상기 헤테로아릴알킬기는, 각각 독립적으로, 이종원자 B, N, O, S, P(=O), Si 및 P 중에서 선택된 적어도 하나의 헤테로 원자를 포함할 수 있다.
Wherein the heteroaryl group and the heteroarylalkyl group are each independently selected from the group consisting of a heteroatom B, N, O, S, P (O) R, = O), Si and P, as shown in FIG.
상기 화학식 1로 표시되는 화합물에서, 예를 들어, 상기 R1, R2, R15, R16 및 R17은, 각각 독립적으로, 수소, 페닐기, 비페닐기, 나프틸기, 카바졸기 또는 피리딘기이고, 상기 L1 및 L2는, 각각 독립적으로, 단일결합, 페닐렌기, 비페닐렌기, 나프틸렌기, 카바졸기 또는 피리딘기일 수 있다.
In the compound represented by
보다 구체적으로, 상기 화학식 1로 표시되는 화합물이 하기 화학식 101 내지 306로 표시되는 화합물 중 어느 하나일 수 있고, 이에 한정되지는 않는다.More specifically, the compound represented by
상기 화학식 1로 표시되는 유기 전계 발광 소자용 화합물은, 예를 들어, 하기 화합물 A, 화합물 B 및 화합물 C를 하기 반응식 1 또는 반응식 2에 의해 반응시켜 합성할 수 있다.The organic electroluminescence device compound represented by
상기 화합물 A, B 및 C 중, X1 내지 X5는, 각각 독립적으로, Cl, Br, I, B(OH)2, , 또는 이고,In the above compounds A, B and C, X1 to X5 each independently represent Cl, Br, I, B (OH) 2 , , or ego,
X, L1, L2, R2 및 Het는 상기 화학식 1에서 정의된 바와 같다. X,
[반응식 1][Reaction Scheme 1]
[반응식 2][Reaction Scheme 2]
상기 반응식 1 및 반응식 2에서,In the
X3 내지 X6은 Cl, Br, I, B(OH)2 또는 , 또는 이고,X3 to X6 are Cl, Br, I, B (OH) 2 or , or ego,
X, L1, L2, R1, R2 및 Het는 상기 화학식 1에서 정의된 바와 같다.
X,
본 발명의 다른 구현예에서, 제1 전극, 1층 이상의 유기물층 및 제2 전극이 적층된 구조를 포함하고, 상기 유기물층은 상기 화학식 1로 표시되는 화합물을 1종 이상 포함하는 유기 전계 발광 소자를 제공한다.According to another embodiment of the present invention, there is provided an organic electroluminescent device including a structure in which a first electrode, at least one organic material layer and at least one second electrode are stacked, and the organic material layer includes at least one compound represented by
상기 유기 전계 발광 소자의 유기물층에 포함되는 상기 화학식 1로 표시되는 화합물에 대한 상세한 설명은 전술한 바와 같다.The compound represented by
일 구현예에서, 상기 유기물층이 발광층을 포함하고, 상기 발광층이 상기 화학식 1로 표시되는 화합물을 포함할 수 있다.In one embodiment, the organic layer includes a light emitting layer, and the light emitting layer may include a compound represented by the above formula (1).
상기 화학식 1로 표시되는 화합물은 발광층 중 인광 호스트, 형광 호스트, 인광 도판트, 또는 형광 도판트 재료로서 포함될 수 있다.The compound represented by the formula (1) may be included as a phosphorescent host, a fluorescent host, a phosphorescent dopant, or a fluorescent dopant in the light emitting layer.
상기 발광층은 상기 화학식 1로 표시되는 화합물, 이외에, 추가적으로, 공지된 재료의 인광 호스트, 형광 호스트, 인광 도판트, 또는 형광 도판트 재료를 더 포함할 수 있다.The light emitting layer may further include a phosphorescent host, a fluorescent host, a phosphorescent dopant, or a fluorescent dopant material of a known material, in addition to the compound represented by the general formula (1).
상기 유기물층은 필요한 용도에 따라서 적절히 정공수송층, 정공주입층, 정공차단층, 전자수송층, 전자주입층 및 전자차단층으로 이루어진 군으로부터 선택된 하나 이상을 포함할 수 있다.The organic material layer may suitably include at least one selected from the group consisting of a hole transporting layer, a hole injecting layer, a hole blocking layer, an electron transporting layer, an electron injecting layer, and an electron blocking layer,
상기 정공수송층, 정공주입층, 정공차단층, 전자수송층, 전자주입층 및 전자차단층은, 각각, 공지된 물질을 사용하여 형성되거나, 상기 화학식 1로 표시되는 화합물을 1종 이상 포함할 수 있다.The hole transporting layer, the hole injecting layer, the hole blocking layer, the electron transporting layer, the electron injecting layer, and the electron blocking layer may be formed using known materials, respectively, or may include one or more compounds represented by
상기 유기물층은 유기 박막층을 형성하거나 적층하는 공지된 제조 방법에 따라서 제조될 수 있다.
The organic material layer may be produced according to a known manufacturing method of forming or laminating an organic thin film layer.
본 발명의 또 다른 구현예에서, 상기 유기 전계 발광 소자를 포함하는 전자 기기를 제공한다.In another embodiment of the present invention, there is provided an electronic device including the organic electroluminescent device.
상기 유기 전계 발광 소자는 다양한 응용분야에 적용될 수 있다. 예를 들어, 상기 유기 전계 발광 소자가 적용된 상기 전자 기기는 유기 집적 회로 (O-IC), 유기 전계-효과 트랜지스터 (O-FET), 유기 박막 트랜지스터 (O-TFT), 유기 발광 트랜지스터 (O-LET), 유기 태양 전지 (O-SC), 유기 광학 검출기, 유기 광수용체, 유기 전계-켄치 소자 (O-FQD), 발광 전기화학 전지 (LEC), 유기 레이저 다이오드 (O-레이저) 또는 유기 발광 소자 (OLED)일 수 있다.
The organic electroluminescent device can be applied to various applications. For example, the electronic device to which the organic electroluminescent device is applied may include an organic integrated circuit (O-IC), an organic field effect transistor (O-FET), an organic thin film transistor (O- LET), an organic solar cell (O-SC), an organic optical detector, an organic photoreceptor, an organic field-quench device (O-FQD), a luminescent electrochemical cell (LEC), an organic laser diode Device (OLED).
이하 본 발명의 실시예 및 비교예를 기재한다. 그러한 하기한 실시예는 본 발명의 일 실시예일뿐 본 발명이 하기한 실시예에 한정되는 것은 아니다.
Hereinafter, examples and comparative examples of the present invention will be described. The following embodiments are only examples of the present invention, and the present invention is not limited to the following embodiments.
(( 실시예Example ))
실시예Example 1: 화합물 [119]의 합성 1: Synthesis of compound [119]
하기 반응식 3에 따라 상기 화학식 119로 표시되는 화합물 (이하 화합물 119라고 함)을 제조하였다. The compound represented by the above formula (119) (hereinafter referred to as the compound 119) was prepared according to the following
[반응식3][Reaction Scheme 3]
중간체 화합물[119-3]의 제조Preparation of intermediate compound [119-3]
0.5L 반응플라스크에 질소 분위기에서, 화합물 [119-1] 10.0g(40.6mmol), 화합물 [119-2] 10.7g(44.7mmol), 터트부톡시 나트륨 5.9g(60.9mmol), 톨루엔 150ml을 넣고 상온교반한다. 팔라듐아세테이트 0.1g(0.4mmol), 트리터트부틸포스핀(50%) 0.3g(0.8mmol)을 투입하고 질소기류 하에서 15시간 동안 환류 교반시켰다. 반응종료 후 실온까지 천천히 냉각한 다음 반응액을 포화 염화암모늄 수용액에 붓고 에틸아세테이트로 추출하였다. 유기층을 분리하고 무수황산 마그네슘으로 건조하여 여과하였다. 여과액은 감압농축하고 컬럼크로마토그라프로 분리정제하여 중간체 화합물[119-3] 9.0g(69%)를 제조하였다.
10.0 g (40.6 mmol) of the compound [119-1], 10.7 g (44.7 mmol) of the compound [119-2], 5.9 g (60.9 mmol) of tetrabutoxy sodium and 150 ml of toluene were placed in a 0.5 L reaction flask under a nitrogen atmosphere Stir at room temperature. 0.1 g (0.4 mmol) of palladium acetate and 0.3 g (0.8 mmol) of trityl butylphosphine (50%) were charged and refluxed under stirring in a nitrogen stream for 15 hours. After completion of the reaction, the mixture was slowly cooled to room temperature, and then the reaction solution was poured into a saturated aqueous solution of ammonium chloride and extracted with ethyl acetate. The organic layer was separated, dried over anhydrous magnesium sulfate and filtered. The filtrate was concentrated under reduced pressure and purified by column chromatography to obtain 9.0 g (69%) of intermediate compound [119-3].
중간체 화합물 [119-4]의 제조Preparation of intermediate compound [119-4]
0.5L 반응플라스크에 질소 분위기에서 화합물 [119-3] 10g(31mmol)을 테트라히드로퓨란150ml 에 녹이고 교반하였다. 78℃로 온도를 낮추고 부틸리튬(2.5M)을 서서히 적가하고, 질소기류하에서 12시간 동안 상온으로 천천히 온도를 올리면서 교반하였다. 반응종료 후 6N 염산수용액을 적가하여 반응액을 산성으로 만든 뒤, 포화 소금물을 가하였다. 유기층을 분리하고 무수황산 마그네슘으로 건조하여 여과하였다. 여과액은 감압농축하고 디클로로메탄과 헥산을 사용하여 재결정하여 옅은 회색고체의 중간체 화합물 [119-4] 7.0g(78%)을 제조하였다.
In a 0.5 L reaction flask, 10 g (31 mmol) of the compound [119-3] was dissolved in 150 ml of tetrahydrofuran in a nitrogen atmosphere and stirred. Butyllithium (2.5M) was slowly added dropwise at 78 DEG C, and the mixture was slowly stirred at room temperature for 12 hours under a nitrogen stream. After completion of the reaction, a 6N hydrochloric acid aqueous solution was added dropwise to make the reaction solution acidic, and saturated brine was added. The organic layer was separated, dried over anhydrous magnesium sulfate and filtered. The filtrate was concentrated under reduced pressure and recrystallized from dichloromethane and hexane to obtain 7.0 g (78%) of an intermediate compound [119-4] as a pale gray solid.
중간체 화합물 [119-6]의 제조Preparation of intermediate compound [119-6]
250ml 반응플라스크에 질소 분위기에서 화합물 [119-4] 5.0g(17.4mmol), 화합물 [119-5] 7.1g(22.6mmol), 테트라키스트라이페닐포스핀팔라듐(0) 0.6g(0.5mmol), 세슘카보네이트 8.5g(26.1mmol)을 톨루엔 120ml 에 녹이고, 에탄올 10mL, 증류수 20mL를 가한 뒤 20시간 환류교반하였다. 반응종료 후 실온까지 천천히 냉각한 다음, 증류수와 에틸아세테이트를 사용하여 추출하였다. 유기층을 분리하고 무수황산 마그네슘으로 건조하여 여과하였다. 여과액은 감압농축하고 컬럼크로마토그라프로 분리정제하여 중간체 화합물 [119-6] 8.3g(71%)을 제조하였다.
In a 250ml reaction flask, 5.0g (17.4mmol) of the compound [119-4], 7.1g (22.6mmol) of the compound [119-5], 0.6g (0.5mmol) of tetrakis triphenylphosphine palladium (0) 8.5 g (26.1 mmol) of cesium carbonate was dissolved in 120 ml of toluene, 10 ml of ethanol and 20 ml of distilled water were added, and the mixture was refluxed with stirring for 20 hours. After completion of the reaction, the reaction mixture was slowly cooled to room temperature and extracted with distilled water and ethyl acetate. The organic layer was separated, dried over anhydrous magnesium sulfate and filtered. The filtrate was concentrated under reduced pressure and purified by column chromatography to obtain 8.3 g (71%) of intermediate compound [119-6].
중간체 화합물 [119-8]의 제조Preparation of intermediate compound [119-8]
250ml 반응플라스크에 질소 분위기에서 화합물 [119-6] 2.0g(4.2mmol), 화합물 [119-7] 2.2g(5.0mmol), 테트라키스트라이페닐포스핀팔라듐(0) 0.4g(0.4mmol), 세슘카보네이트 5.8g(17.9mmol)을 1,4-다이옥산 120ml 에 녹이고, 증류수 20ml를 가한 뒤 24시간 환류교반하였다. 반응종료 후 실온까지 천천히 냉각한 다음, 증류수와 에틸아세테이트를 사용하여 추출하였다. 유기층을 분리하고 무수황산 마그네슘으로 건조하여 여과하였다. 여과액은 감압농축하고 컬럼크로마토그라프로 분리정제하여 중간체 화합물 [119-8] 2.4g(41%)을 제조하였다.
(4.2 mmol) of the compound [119-6], 2.2 g (5.0 mmol) of the compound [119-7] and 0.4 g (0.4 mmol) of tetrakis triphenylphosphine palladium (0) were placed in a 250 ml reaction flask under a nitrogen atmosphere, 5.8 g (17.9 mmol) of cesium carbonate was dissolved in 120 ml of 1,4-dioxane, 20 ml of distilled water was added, and the mixture was refluxed and stirred for 24 hours. After completion of the reaction, the reaction mixture was slowly cooled to room temperature and extracted with distilled water and ethyl acetate. The organic layer was separated, dried over anhydrous magnesium sulfate and filtered. The filtrate was concentrated under reduced pressure and purified by column chromatography to obtain 2.4 g (41%) of intermediate compound [119-8].
화합물 [119]의 제조Preparation of compound [119]
250ml 반응플라스크에 질소 분위기에서 화합물 [119-8] 5.7g(12.0mmol), 화합물 [119-9] 1.4g(11.3mmol), 테트라키스트라이페닐포스핀발라듐(0) 0.2g(0.1mmol), 세슘카보네이트 2.1g(6.3mmol)을 1,4-다이옥산 800ml 에 녹이고, 증류수 160mL를 가한 뒤 20시간 환류교반하였다. 반응종료 후 실온까지 천천히 냉각한 다음, 고체를 감압여과하였다. 얻어진 고체를 메탄올, 증류수, 아세톤을 사용하여 세척한 뒤, 테트라하이드로퓨란과 헥산을 이용하여 재결정하여 흰색 고체의 목적 화합물인 화합물 [119] 2.7g(91%)을 제조하였다.
(12.0 mmol) of the compound [119-8], 1.4 g (11.3 mmol) of the compound [119-9] and 0.2 g (0.1 mmol) of tetrakis triphenylphosphinevaladium (0) were placed in a 250 ml reaction flask under a nitrogen atmosphere, 2.1 g (6.3 mmol) of cesium carbonate was dissolved in 800 ml of 1,4-dioxane, 160 ml of distilled water was added, and the mixture was refluxed with stirring for 20 hours. After completion of the reaction, the reaction mixture was slowly cooled to room temperature, and the solid was filtered under reduced pressure. The obtained solid was washed with methanol, distilled water and acetone, and then recrystallized from tetrahydrofuran and hexane to obtain 2.7 g (91%) of a target compound of a white solid [119] .
1H NMR (400 MHz, THF-d8) : δ 8.96(d, 2H), 8.88(dd, 4H), 8.33(d, 1H), 8.24(d, 1H), 8.03(d, 3H), 7.98(d, 2H), 7.82(d, 3H), 7.73(d, 1H), 7.71~7.61(m, 10H), 7.52~7.48(m, 3H), 7.48~7.40(m, 3H), 7.40~7.30(m, 1H) 1 H NMR (400 MHz, THF -d 8): δ 8.96 (d, 2H), 8.88 (dd, 4H), 8.33 (d, 1H), 8.24 (d, 1H), 8.03 (d, 3H), 7.98 (m, 3H), 7.48-7.40 (m, 3H), 7.40-7.30 (m, 3H) (m, 1 H)
MS/FAB : 322(M+)
MS / FAB: 322 (M < + & gt ; ).
도 1은 상기 화합물 119의 1H-NMR 그래프이다.
1 is a 1 H-NMR spectrum of the compound 119.
실시예Example 2 2
실시예 1에서와 동일한 방법으로 치환기만 변경하여, 화학식 132로 표시되는 화합물 (이하, 화합물 132라고 함)을 제조하였다.
Compound 132 (hereinafter referred to as Compound 132) was prepared by changing only the substituent in the same manner as in Example 1.
실시예Example 3 3
실시예 1에서와 동일한 방법으로 치환기만 변경하여, 화학식 163로 표시되는 화합물 (이하, 화합물 163이라고 함)을 제조하였다.
Compound 163 (hereinafter referred to as Compound 163) was prepared in the same manner as in Example 1 except that only the substituent was changed.
실시예Example 4 4
실시예 1에서와 동일한 방법으로 치환기만 변경하여, 화학식 175로 표시되는 화합물 (이하, 화합물 175이라고 함)을 제조하였다.
Compound 175 (hereinafter referred to as Compound 175) was prepared in the same manner as in Example 1 except that only the substituent was changed.
실시예Example 5 5
실시예 1에서와 동일한 방법으로 치환기만 변경하여, 화학식 186로 표시되는 화합물 (이하, 화합물 186이라고 함)을 제조하였다.
Compound 186 (hereinafter referred to as Compound 186) was prepared by changing only the substituent in the same manner as in Example 1.
실시예Example 6 6
실시예 1에서와 동일한 방법으로 치환기만 변경하여, 화학식 216로 표시되는 화합물 (이하, 화합물 216라고 함)을 제조하였다.
Compound 216 (hereinafter referred to as Compound 216) was prepared by changing only the substituent in the same manner as in Example 1.
실시예Example 7 7
실시예 1에서와 동일한 방법으로 치환기만 변경하여, 화학식 235로 표시되는 화합물 (이하, 화합물 235이라고 함)을 제조하였다.
Compound 235 (hereinafter referred to as Compound 235) was prepared by changing only the substituent in the same manner as in Example 1.
실시예Example 8 8
실시예 1에서와 동일한 방법으로 치환기만 변경하여, 화학식 269로 표시되는 화합물 (이하, 화합물 269이라고 함)을 제조하였다.
Compound (269) (hereinafter referred to as Compound 269) was prepared by changing only the substituent in the same manner as in Example 1.
실시예Example 9 9
실시예 1에서와 동일한 방법으로 치환기만 변경하여, 화학식 272로 표시되는 화합물 (이하, 화합물 272라고 함)을 제조하였다.
Compound 272 (hereinafter referred to as Compound 272) was prepared by changing only the substituent in the same manner as in Example 1.
실시예10Example 10
실시예 1에서와 동일한 방법으로 치환기만 변경하여, 화학식 299로 표시되는 화합물 (이하, 화합물 299라고 함)을 제조하였다.
Compound 299 (hereinafter referred to as Compound 299) was prepared by changing only the substituent in the same manner as in Example 1.
실시예Example 11-20 11-20
실시예 1-10에서 합성된 화합물 119, 132, 163, 175, 186, 216, 235, 269, 272, 299를 각각 인광 녹색 호스트로 사용하고, 하기 화합물 D를 인광 녹색 도판트로 사용하고, 2-TNATA(4,4',4"-tris(N-naphthalen-2-yl)-N-phenylamino)-triphenylamine)을 정공주입층 물질로 사용하고, α-NPD(N,N'-di(naphthalene-1-yl)-N,N'-diphenylbenzidine)을 정공수송층 물질로 사용하여, 다음과 같은 구조를 갖는 유기 전계 발광 소자를 제작하였다 (각각 실시예 11-20): ITO/2-TNATA(80 nm)/α-NPD(30 nm)/화학식 1로 표시되는 화합물 및 화합물 D(30 nm)/ Alq3 (30 nm)/Liq(1 nm)/ Al(100 nm).The following compound D was used as the phosphorescent green dopant and the compound D was used as the phosphorescent green host, respectively, using the compounds 119, 132, 163, 175, 186, 216, 235, 269, 272, NPD (N, N'-di (naphthalene-2-yl) -N-phenylamino) -triphenylamine was used as the hole injection layer material, and TNATA (4,4 ', 4 " 1-yl) -N, N'-diphenylbenzidine was used as a hole transport layer material to fabricate an organic electroluminescent device having the following structure (Examples 11-20, respectively): ITO / 2-TNATA (30 nm) / Alq3 (30 nm) / Liq (1 nm) / Al (100 nm).
애노드는 코닝(Corning)사의 15Ω/cm2 (1000Å) ITO 유리 기판을 25 mm x 25 mm x 0.7 mm크기로 잘라서 아세톤 이소프로필 알콜과 순수한 물 속에서 각 15분 동안 초음파 세정한 후, 30분 동안 UV 오존 세정하여 사용하였다. 상기 기판 상부에 2-TNATA를 진공 증착하여 80 nm 두께의 정공주입층을 형성하였다. 상기 정공주입층 상부에, α-NPD를 진공 증착하여 30 nm 두께의 정공수송층을 형성하였다. 상기 화학식 1로 표시되는 화합물 및 화합물 D (도핑률: 10wt%)를 진공 증착하여 30 nm두께의 발광층을 형성하였다. 이후, 상기 발광층 상부에 Alq3 화합물을 30 nm의 두께로 진공증착하여 전자수송층을 형성하였다. 상기 전자수송층 상부에 Liq 1 nm (전자주입층)과 Al 100 nm (캐소드)를 순차적으로 진공증착하여, 표 1에 표시된 바와 같은 유기 전계 발광 소자를 제조하였다. The anode was prepared by cutting Corning's 15 Ω / cm 2 (1000 Å) ITO glass substrate to a size of 25 mm × 25 mm × 0.7 mm, ultrasonically cleaning it in acetone isopropyl alcohol and pure water for 15 minutes each, UV ozone cleaning was used. 2-TNATA was vacuum deposited on the substrate to form a hole injection layer having a thickness of 80 nm. On top of the hole injection layer, α-NPD was vacuum deposited to form a hole transport layer having a thickness of 30 nm. The compound represented by
<화합물 D><Compound D>
비교예Comparative Example 1 One : 화합물 [400]의 합성: Synthesis of Compound [400]
하기 반응식 4에 따라 상기 화학식 400로 표시되는 화합물 (이하 화합물 400라고 함)을 제조하였다. The compound represented by Formula 400 (hereinafter referred to as Compound 400) was prepared according to
[반응식 4][Reaction Scheme 4]
중간체 화합물[400-2]의 제조Preparation of intermediate compound [400-2]
0.5L 반응플라스크에 질소 분위기에서, 화합물 [400-1] 10.0g(42.4mmol), 화합물 [119-4] 13.4g(46.6mmol), 테트라키스트라이페닐포스핀발라듐(0) 1.0g(0.8mmol), 탄산칼륨 7.7g(56.0mmol)을 1,4-다이옥산 210ml 에 녹이고, 증류수 42mL를 가한 뒤 24시간 환류교반하였다. 반응종료 후 실온까지 천천히 냉각한 다음, 증류수와 에틸아세테이트를 사용하여 추출하였다. 유기층을 분리하고 무수황산 마그네슘으로 건조하여 여과하였다. 여과액은 감압농축하고 컬럼크로마토그라프로 분리정제하여 중간체 화합물 [400-2] 8.1g(48%)을 제조하였다.
In a 0.5 L reaction flask, 10.0 g (42.4 mmol) of the compound [400-1], 13.4 g (46.6 mmol) of the compound [119-4] and 1.0 g ) And 7.7 g (56.0 mmol) of potassium carbonate were dissolved in 210 ml of 1,4-dioxane, 42 ml of distilled water was added, and the mixture was refluxed and stirred for 24 hours. After completion of the reaction, the reaction mixture was slowly cooled to room temperature and extracted with distilled water and ethyl acetate. The organic layer was separated, dried over anhydrous magnesium sulfate and filtered. The filtrate was concentrated under reduced pressure and purified by column chromatography to obtain 8.1 g (48%) of intermediate compound [400-2].
화합물 [400]의 제조Preparation of compound [400]
0.5L 반응플라스크에 질소 분위기에서 화합물 [400-2] 8.1g(20.3mmol), 화합물 [119-9] 9.7g(22.4mmol), 테트라키스트라이페닐포스핀발라듐(0) 0.5g(0.4mmol), 탄산칼륨 3.7g(26.9mmol)을 1,4-다이옥산 110ml 에 녹이고, 증류수 20mL를 가한 뒤 28시간 환류교반한다. 반응종료 후 실온까지 천천히 냉각한 다음, 고체를 감압여과하였다. 얻어진 고체를 메탄올, 증류수, 아세톤을 사용하여 세척한 뒤, 테트라하이드로퓨란과 헥산을 이용하여 재결정하여 흰색 고체의 목적 화합물인 화합물 [400] 9.7g(76%)을 제조하였다.
(20.3 mmol) of the compound [400-2], 9.7 g (22.4 mmol) of the compound [119-9] and 0.5 g (0.4 mmol) of tetrakis triphenylphosphinevaladium (0) And 3.7 g (26.9 mmol) of potassium carbonate are dissolved in 110 ml of 1,4-dioxane, 20 ml of distilled water is added, and the mixture is refluxed and stirred for 28 hours. After completion of the reaction, the reaction mixture was slowly cooled to room temperature, and the solid was filtered under reduced pressure. The obtained solid was washed with methanol, distilled water and acetone, and recrystallized from tetrahydrofuran and hexane to obtain 9.7 g (76%) of compound [400] as a white solid.
비교예Comparative Example 2 2 : 화합물 [500]의 합성: Synthesis of Compound [500]
하기 반응식 5에 따라 상기 화학식 500로 표시되는 화합물 (이하 화합물 500라고 함)을 제조하였다. The compound represented by Formula 500 (hereinafter referred to as Compound 500) was prepared according to
[반응식 5][Reaction Scheme 5]
실시예 1에서와 동일한 방법으로 화합물 [119-4] 대신, 화합물 [500-1]로 변경하여, 화학식 500로 표시되는 화합물 (이하, 화합물 500라고 함)을 제조하였다.
Compound 500 (hereinafter referred to as Compound 500) was prepared in the same manner as in Example 1, except that Compound [119-4] was replaced by Compound [500-1].
비교예Comparative Example 3 3
상기 실시예 12에서, 인광 녹색 호스트로 사용한 화학식 1로 표시되는 화합물 대신 화합물 400을 사용한 점을 제외하고, 상기 실시예 12와 동일한 방법으로 ITO/2-TNATA(80 nm)/α-NPD(30 nm)/화합물 400 + 화합물 D (30 nm)/ Alq3 (30 nm)/Liq(1 nm)/ Al(100 nm)의 구조를 갖는 유기 전계 발광 소자를 제조하였다.
2-TNATA (80 nm) /? -NPD (30 nm) was prepared in the same manner as in Example 12, except that the
비교예Comparative Example 4 4
상기 실시예 12에서, 인광 녹색 호스트로 사용한 화학식 1로 표시되는 화합물 대신 화합물 500을 사용한 점을 제외하고, 상기 실시예 12와 동일한 방법으로 ITO/2-TNATA(80 nm)/α-NPD(30 nm)/화합물 500 + 화합물 D (30 nm)/ Alq3 (30 nm)/Liq(1 nm)/ Al(100 nm)의 구조를 갖는 유기 전계 발광 소자를 제조하였다.
2-TNATA (80 nm) /? -NPD (30 nm) was prepared in the same manner as in Example 12, except that
비교예Comparative Example 5 5
상기 실시예 12에서, 인광 녹색 호스트로 사용한 화학식 1로 표시되는 화합물 대신 하기 화합물 E를 사용한 점을 제외하고, 상기 실시예 12와 동일한 방법으로 ITO/2-TNATA(80 nm)/α-NPD(30 nm)/화합물 E + 화합물 D (30 nm)/ Alq3 (30 nm)/Liq(1 nm)/ Al(100 nm)의 구조를 갖는 유기 전계 발광 소자를 제조하였다.2-TNATA (80 nm) /? -NPD (80 nm) was obtained in the same manner as in Example 12, except that the following compound E was used instead of the compound represented by the formula (1) 30 nm) / Compound E + Compound D (30 nm) / Alq3 (30 nm) / Liq (1 nm) / Al (100 nm).
<화학식 E> (E)
비교예Comparative Example 6 6
하기 화학식 F로 표시되는 화합물을 인광 녹색 호스트로 사용하고, 하기 화학식 D로 표시되는 화합물을 인광 녹색 도판트로 사용하고, 2-TNATA(4,4'4"-tris(N-naphthalen-2-yl)-N-phenylamino)-triphenylamine)을 정공주입층 물질로 사용하고, α-NPD(N,N'-di(naphthalene-1-yl)-N,N'-diphenylbenzidine)을 정공수송층 물질로 사용하여, 다음과 같은 구조를 갖는 유기 전계 발광 소자를 제작하였다: ITO/2-TNATA(80 nm)/α-NPD(30 nm)/ 화합물 F + 화합물 D (30 nm)/ Alq3 (30 nm)/Liq(1 nm)/ Al(100 nm).A compound represented by the following formula (F) is used as a phosphorescent green host, and a compound represented by the following formula (D) is used as a phosphorescent green dopant, and 2-TNATA (4,4'4 " ) -N-phenylamino) -triphenylamine was used as a hole injection layer material and α-NPD (N, N'-di (naphthalene-1-yl) -N, N'-diphenylbenzidine) , An organic electroluminescent device having the following structure was fabricated: ITO / 2-TNATA (80 nm) /? -NPD (30 nm) / compound F + compound D (30 nm) / Alq3 (1 nm) / Al (100 nm).
애노드는 코닝(Corning)사의 15Ω/cm2 (1000Å) ITO 유리 기판을 25 mm x 25 mm x 0.7 mm크기로 잘라서 아세톤 이소프로필 알콜과 순수한 물 속에서 각 15분 동안 초음파 세정한 후, 30분 동안 UV 오존 세정하여 사용하였다. 상기 기판 상부에 2-TNATA를 진공 증착하여 80 nm 두께의 정공주입층을 형성하였다. 상기 정공주입층 상부에, α-NPD를 진공 증착하여 30nm 두께의 정공수송층을 형성하였다. 상기 정공수송층 상부에 화학식 F로 표시되는 화합물 및 화학식 D로 표시되는 화합물(도핑율:10%)를 진공 증착하여 30nm두께의 발광층을 형성하였다. 이후, 상기 발광층 상부에 Alq3 화합물을 30nm의 두께로 진공증착하여 전자수송층을 형성하였다. 상기 전자수송층 상부에 Liq 1 nm(전자주입층)과 Al 100 nm(캐소드)를 순차적으로 진공증착하여, 표 1에 표시된 바와 같은 유기 전계 발광 소자를 제조하였다.The anode was prepared by cutting Corning's 15 Ω / cm 2 (1000 Å) ITO glass substrate to a size of 25 mm × 25 mm × 0.7 mm, ultrasonically cleaning it in acetone isopropyl alcohol and pure water for 15 minutes each, UV ozone cleaning was used. 2-TNATA was vacuum deposited on the substrate to form a hole injection layer having a thickness of 80 nm. On top of the hole injection layer,? -NPD was vacuum deposited to form a hole transport layer having a thickness of 30 nm. The compound represented by the formula (F) and the compound represented by the formula (D) (doping ratio: 10%) were vacuum deposited on the hole transporting layer to form a light emitting layer with a thickness of 30 nm. Then, an Alq3 compound was vacuum deposited on the light emitting layer to a thickness of 30 nm to form an electron transporting layer.
<화학식 F><Formula F>
평가예Evaluation example 1: 발광 특성 평가 1: Evaluation of luminescence characteristics
실시예 12-21 및 비교예 3-6에서 제작된 유기 전계 발광 소자의 각 샘플에 대하여, Keithley sourcemeter "2400" KONIKA MINOLTA "CS-2000"을 이용하여 발광휘도, 발광효율, 발광피크를 각각 평가하여, 그 결과를 하기 표 1에 나타내었다. 상기 샘플들은 513nm 내지 515nm 범위에서 녹색 발광 피크값을 보여주었다.Each of the samples of the organic electroluminescence device manufactured in Example 12-21 and Comparative Example 3-6 was evaluated using the Keithley source meter "2400" KONIKA MINOLTA "CS-2000" The results are shown in Table 1 below. The samples showed green emission peak values in the range of 513 nm to 515 nm.
OP. VVoltage
OP. V
[cd/m2]Luminance
[cd / m 2 ]
[cd/A]efficiency
[cd / A]
[nm]Emission peak
[nm]
상기 표 1 에 보여지는 바와 같이 실시예 11-20의 유기 전계 발광 소자는 비교예 3-6의 유기 전계 발광 소자에 비하여 향상된 발광 특성을 나타내었다.
As shown in Table 1, the organic electroluminescent devices of Examples 11-20 showed improved luminescent characteristics as compared with the organic electroluminescent devices of Comparative Examples 3-6.
평가예Evaluation example 2: 수명 특성 평가 2: Evaluation of life characteristics
실시예 11-20 및 비교예 3-6에서 제작된 유기 전계 발광 소자의 각 샘플에 대하여, ENC technology사의 LTS-1004AC 수명측정장치를 이용하여 3000 nit를 기준으로 수명이 97%에 도달하는 시간을 각각 측정하여, 그 결과를 하기 표 2에 나타내었다.For each sample of the organic electroluminescent device fabricated in Examples 11-20 and Comparative Examples 3-6, the time required for the lifetime to reach 97% on the basis of 3000 nits was measured using an LTS-1004AC life measuring device manufactured by ENC technology And the results are shown in Table 2 below.
No.Phosphorescent green host
No.
No.Phosphorescent green dopant
No.
Time(Hours)life span
Time (Hours)
상기 표 2 에 보여지는 바와 같이 실시예 11-20의 유기 전계 발광 소자는 비교예 3-6의 유기 전계 발광 소자에 비하여 향상된 수명 특성을 나타내었다.
As shown in Table 2, the organic electroluminescent devices of Examples 11-20 showed improved lifetime characteristics as compared with the organic electroluminescent devices of Comparative Examples 3-6.
이상에서 본 발명의 바람직한 실시예들에 대하여 상세하게 설명하였지만 본 발명의 권리 범위는 이에 한정되는 것은 아니고 다음의 청구 범위에서 정의하고 있는 본 발명의 기본 개념을 이용한 당업자의 여러 변형 및 개량 형태 또한 본 발명의 권리 범위에 속하는 것이다.
While the present invention has been particularly shown and described with reference to exemplary embodiments thereof, it is to be understood that the invention is not limited to the disclosed exemplary embodiments, And falls within the scope of the invention.
Claims (15)
<화학식 1>
상기 식에서,
X는 C(R15)(R16), C=O, O, S, N(R17), Si(CH3)2, SO2, Se, 스피로 구조로 결합된 치환 또는 비치환된 C6-C50의 아릴기, 스피로 구조로 결합된 치환 또는 비치환된 C5-C50의 사이클로알킬기이고, 상기 아릴기 및 상기 사이클로알킬기가 2개 이상의 치환기를 가지는 경우 상기 2개 이상의 치환기가 융합되어 다환의 지방족 또는 방향족 융합고리를 형성할 수 있고;
R1은 페닐기이고,
R2, R15, R16 및 R17은, 각각 독립적으로, 수소(H), 중수소(D), 할로겐, 치환 또는 비치환된 C1-C50 알킬기, 치환 또는 비치환된 C7-C50 아릴알킬기, 치환 또는 비치환된 C4-C50 사이클로알킬기, 치환 또는 비치환된 C6-C50 아릴기, 치환 또는 비치환된 C3-C50 헤테로아릴기, 치환 또는 비치환된 C4-C50 헤테로아릴알킬기, 치환 또는 비치환된 C1-C50 알킬아미노기, 치환 또는 비치환된 C7-C50 아릴아미노기, 치환 또는 비치환된 C7-C50 아릴알킬아미노기, 또는 치환 또는 비치환된 C7-C50 아릴알콕시아미노기이고;
상기 R15 및 상기 R16은 서로 융합되어 다환의 지방족 또는 방향족 융합고리를 형성할 수 있고;
Het는 치환 또는 비치환된 트리아진기이고;
L1 및 L2는, 각각 독립적으로, 단일결합, 치환 또는 비치환된 C1-C50 알킬렌기, 치환 또는 비치환된 C7-C50 아릴알킬렌기, 치환 또는 비치환된 C6-C50 사이클로알킬렌기, 치환 또는 비치환된 C6-C50 아릴렌기, 치환 또는 비치환된 C3-C50 헤테로아릴렌기, 치환 또는 비치환된 C4-C50 헤테로아릴알킬렌기, 치환 또는 비치환된 C1-C50 알킬이미노기, 치환 또는 비치환된 C6-C50 아릴이미노기, 치환 또는 비치환된 C7-C50 아릴알킬이미노기, 또는 치환 또는 비치환된 C7-C50 아릴알콕시이미노기이다.
1. An organic electroluminescent device compound represented by the following formula (1): < EMI ID =
≪ Formula 1 >
In this formula,
X is C (R15) (R16), C = O, O, S, N (R17), Si (CH 3) 2, SO 2, Se, substituted coupled to spiro structure or unsubstituted C6-C50 aryl A substituted or unsubstituted C5-C50 cycloalkyl group bonded through a spiro structure, and when the aryl group and the cycloalkyl group have two or more substituents, the two or more substituents are fused to form a polycyclic aliphatic or aromatic fused ring ≪ / RTI >
R1 is a phenyl group,
R2, R15, R16 and R17 are each independently selected from the group consisting of hydrogen (H), deuterium (D), halogen, a substituted or unsubstituted C1-C50 alkyl group, a substituted or unsubstituted C7- Substituted or unsubstituted C6-C50 aryl group, substituted or unsubstituted C3-C50 heteroaryl group, substituted or unsubstituted C4-C50 hetero arylalkyl group, substituted or unsubstituted C1-C50 alkyl group, An alkylamino group, a substituted or unsubstituted C7-C50 arylamino group, a substituted or unsubstituted C7-C50 arylalkylamino group, or a substituted or unsubstituted C7-C50 arylalkoxyamino group;
R15 and R16 may be fused together to form a polycyclic aliphatic or aromatic fused ring;
Het is a substituted or unsubstituted triazine group;
L1 and L2 are each independently a single bond, a substituted or unsubstituted C1-C50 alkylene group, a substituted or unsubstituted C7-C50 arylalkylene group, a substituted or unsubstituted C6-C50 cycloalkylene group, A substituted or unsubstituted C1-C50 alkenyl group, a substituted or unsubstituted C6-C50 arylene group, a substituted or unsubstituted C3-C50 heteroarylene group, a substituted or unsubstituted C4-C50 heteroarylalkylene group, C6-C50 arylimino group, a substituted or unsubstituted C7-C50 arylalkylimino group, or a substituted or unsubstituted C7-C50 arylalkoxyimino group.
상기 화학식 1로 표시되는 화합물이 하기 화학식 2 내지 4로 표시되는 화합물 중 어느 하나인
유기 전계 발광 소자용 화합물:
[화학식 2] [화학식 3] [화학식 4]
상기 식에서,
A는 질소이고;
R3 및 R4는, 각각 독립적으로, 수소(H), 중수소(D), 할로겐, 치환 또는 비치환된 C1-C50 알킬기, 치환 또는 비치환된 C7-C50 아릴알킬기, 치환 또는 비치환된 C4-C50 사이클로알킬기, 치환 또는 비치환된 C6-C50 아릴기, 치환 또는 비치환된 C3-C50 헤테로아릴기, 치환 또는 비치환된 C4-C50 헤테로아릴알킬기, 치환 또는 비치환된 C1-C50 알킬아미노기, 치환 또는 비치환된 C7-C50 아릴아미노기, 치환 또는 비치환된 C7-C50 아릴알킬아미노기, 치환 또는 비치환된 C7-C50 아릴알콕시아미노기이며;
X, R1, R2, L1 및 L2는 상기 화학식 1에서 정의된 바와 같다.
The method according to claim 1,
Wherein the compound represented by Formula 1 is any one of compounds represented by the following Formulas 2 to 4
Compound for Organic Electroluminescent Device:
[Chemical Formula 2] < EMI ID = [Chemical Formula 4]
In this formula,
A is nitrogen;
R3 and R4 are each independently selected from the group consisting of hydrogen (H), deuterium (D), halogen, a substituted or unsubstituted C1-C50 alkyl group, a substituted or unsubstituted C7-C50 arylalkyl group, a substituted or unsubstituted C4- A substituted or unsubstituted C1-C50 alkylamino group, a substituted or unsubstituted C6-C50 aryl group, a substituted or unsubstituted C3-C50 heteroaryl group, a substituted or unsubstituted C4-C50 heteroarylalkyl group, Or an unsubstituted C7-C50 arylamino group, a substituted or unsubstituted C7-C50 arylalkylamino group, or a substituted or unsubstituted C7-C50 arylalkoxyamino group;
X, R 1, R 2, L 1 and L 2 are as defined in the above formula (1).
상기 화학식 1로 표시되는 화합물이 하기 화학식 5 내지 8로 표시되는 화합물 중 어느 하나인
유기 전계 발광 소자용 화합물:
[화학식 5] [화학식 6] [화학식 7] [화학식 8]
상기 식에서,
A는 질소이고;
R1은 페닐기이고,
R2 내지 R4는, 각각 독립적으로, 수소(H), 중수소(D), 할로겐, 치환 또는 비치환된 C1-C50 알킬기, 치환 또는 비치환된 C7-C50 아릴알킬기, 치환 또는 비치환된 C4-C50 사이클로알킬기, 치환 또는 비치환된 C6-C50 아릴기, 치환 또는 비치환된 C3-C50 헤테로아릴기, 치환 또는 비치환된 C4-C50 헤테로아릴알킬기, 치환 또는 비치환된 C1-C50 알킬아미노기, 치환 또는 비치환된 C7-C50 아릴아미노기, 치환 또는 비치환된 C7-C50 아릴알킬아미노기, 치환 또는 비치환된 C7-C50 아릴알콕시아미노기이며;
X는 상기 화학식 1에서 정의된 바와 같다.
The method according to claim 1,
Wherein the compound represented by Formula 1 is any one of compounds represented by Chemical Formulas 5 to 8
Compound for Organic Electroluminescent Device:
[Chemical Formula 6] [Chemical Formula 7] [Chemical Formula 8]
In this formula,
A is nitrogen;
R1 is a phenyl group,
R2 to R4 each independently represent hydrogen (H), deuterium (D), halogen, a substituted or unsubstituted C1-C50 alkyl group, a substituted or unsubstituted C7-C50 arylalkyl group, a substituted or unsubstituted C4- A substituted or unsubstituted C1-C50 alkylamino group, a substituted or unsubstituted C6-C50 aryl group, a substituted or unsubstituted C3-C50 heteroaryl group, a substituted or unsubstituted C4-C50 heteroarylalkyl group, Or an unsubstituted C7-C50 arylamino group, a substituted or unsubstituted C7-C50 arylalkylamino group, or a substituted or unsubstituted C7-C50 arylalkoxyamino group;
X is as defined in the above formula (1).
상기 화학식 1로 표시되는 화합물이 하기 화학식 21 내지 25로 표시되는 화합물 중 어느 하나인
유기 전계 발광 소자용 화합물:
[화학식 21] [화학식 22] [화학식 23]
[화학식 24] [화학식 25]
A는 질소이고;
R1은 페닐기이고,
R2, R3, R4 및 R11은, 각각 독립적으로, 수소(H), 중수소(D), 할로겐, 치환 또는 비치환된 C1-C50 알킬기, 치환 또는 비치환된 C7-C50 아릴알킬기, 치환 또는 비치환된 C4-C50 사이클로알킬기, 치환 또는 비치환된 C6-C50 아릴기, 치환 또는 비치환된 C3-C50 헤테로아릴기, 치환 또는 비치환된 C4-C50 헤테로아릴알킬기, 치환 또는 비치환된 C1-C50 알킬아미노기, 치환 또는 비치환된 C7-C50 아릴아미노기, 치환 또는 비치환된 C7-C50 아릴알킬아미노기, 치환 또는 비치환된 C7-C50 아릴알콕시아미노기이며;
L1은 상기 화학식 1에서 정의된 바와 같다.
The method according to claim 1,
Wherein the compound represented by Formula 1 is any one of compounds represented by the following Formulas 21 to 25
Compound for Organic Electroluminescent Device:
[Chemical Formula 21] (23)
[Chemical Formula 24]
A is nitrogen;
R1 is a phenyl group,
R2, R3, R4 and R11 are each independently selected from the group consisting of hydrogen (H), deuterium (D), halogen, a substituted or unsubstituted C1-C50 alkyl group, a substituted or unsubstituted C7- Substituted or unsubstituted C6-C50 aryl group, substituted or unsubstituted C3-C50 heteroaryl group, substituted or unsubstituted C4-C50 hetero arylalkyl group, substituted or unsubstituted C1-C50 alkyl group, An alkylamino group, a substituted or unsubstituted C7-C50 arylamino group, a substituted or unsubstituted C7-C50 arylalkylamino group, or a substituted or unsubstituted C7-C50 arylalkoxyamino group;
L1 is as defined in the above formula (1).
상기 R2, R15, R16 및 R17은, 각각 독립적으로, 수소(H); 중수소(D); 할로겐;
C1-C50의 알킬기, C3-C50의 시클로알킬기, C2-C50의 알케닐기, C3-C50의 시클로알케닐기, C2-C50의 알키닐기, C5-C50의 시클로알키닐기, 시아노기, C1-C20의 알콕시기, C6-C60의 아릴기, C7-C60의 아릴알킬기로 이루어진 군에서 선택된 하나 이상의 기로 치환되거나, 치환되지 않은 헤테로아릴기;
C1-C50의 알킬기, C3-C50의 시클로알킬기, C2-C50의 알케닐기, C3-C50의 시클로알케닐기, C2-C50의 알키닐기, C5-C50의 시클로 알키닐기, 시아노기, C1-C20의 알콕시기, C6-C60의 아릴기, C7-C60의 아릴알킬기로 이루어진 군에서 선택된 하나 이상의 기로 치환되거나, 치환되지 않은 헤테로아릴알킬기이고,
상기 헤테로아릴기 및 상기 헤테로아릴알킬기는, 각각 독립적으로, 이종원자 B, N, O, S, P(=O), Si 및 P 중에서 선택된 적어도 하나의 헤테로 원자를 포함하는
유기 전계 발광 소자용 화합물.
The method according to claim 1,
R2, R15, R16 and R17 are each independently hydrogen (H); Deuterium (D); halogen;
C20 alkyl group, C3-C50 cycloalkyl group, C2-C50 alkenyl group, C3-C50 cycloalkenyl group, C2-C50 alkynyl group, C5-C50 cycloalkynyl group, cyano group, C1-C20 A substituted or unsubstituted heteroaryl group substituted with at least one group selected from the group consisting of an alkyl group, an alkoxy group, an aryl group of C6-C60, and an arylalkyl group of C7-C60;
C20 alkyl group, C3-C50 cycloalkyl group, C2-C50 alkenyl group, C3-C50 cycloalkenyl group, C2-C50 alkynyl group, C5-C50 cycloalkynyl group, cyano group, C1-C20 An aryl group of C6-C60, an arylalkyl group of C7-C60, or a heteroarylalkyl group which is unsubstituted or substituted with at least one group selected from the group consisting of C7-
Wherein said heteroaryl group and said heteroarylalkyl group each independently comprise at least one heteroatom selected from heteroatom B, N, O, S, P (= O), Si and P
Compound for organic electroluminescence device.
상기 R2, R15, R16 및 R17은, 각각 독립적으로, 수소, 페닐기, 비페닐기, 나프틸기, 카바졸기 또는 피리딘기이고,
상기 L1 및 L2는, 각각 독립적으로, 단일결합, 페닐렌기, 비페닐렌기, 나프틸렌기, 카바졸기 또는 피리딘기인
유기 전계 발광 소자용 화합물.
The method according to claim 1,
Each of R2, R15, R16 and R17 is independently hydrogen, a phenyl group, a biphenyl group, a naphthyl group, a carbazole group or a pyridine group,
The L1 and L2 are each independently a single bond, a phenylene group, a biphenylene group, a naphthylene group, a carbazole group or a pyridine group
Compound for organic electroluminescence device.
상기 화학식 1로 표시되는 화합물이 하기 화학식 101~124, 126, 131~154, 156, 163-172, 194, 199, 201, 203, 206~208 및 233~238로 표시되는 화합물 중 어느 하나인
유기 전계 발광 소자용 화합물.
The method according to claim 1,
Wherein the compound represented by Formula 1 is any one of compounds represented by Chemical Formulas 101 to 124, 126, 131 to 154, 156, 163-172, 194, 199, 201, 203, 206 to 208, and 233 to 238
Compound for organic electroluminescence device.
The organic electroluminescent device according to any one of claims 1 to 7, wherein the organic electroluminescent device comprises a structure in which a first electrode, one or more organic material layers and a second electrode are laminated, Light emitting element.
상기 유기물층이 발광층을 포함하고, 상기 발광층이 상기 유기 전계 발광 소자용 화합물을 1종 이상 포함하는
유기 전계 발광 소자.
9. The method of claim 8,
Wherein the organic layer includes a light emitting layer, and the light emitting layer comprises one or more compounds for the organic electroluminescence device
Organic electroluminescent device.
상기 유기 전계 발광 소자용 화합물은 발광층 중 인광 호스트, 형광 호스트, 또는 형광 도판트 재료로서 포함되는
유기 전계 발광 소자.
10. The method of claim 9,
The compound for an organic electroluminescent device is included in a phosphorescent host, a fluorescent host, or a fluorescent dopant in the light emitting layer
Organic electroluminescent device.
상기 유기물층은 정공수송층, 정공주입층, 정공차단층, 전자수송층, 전자주입층 및 전자차단층으로 이루어진 군으로부터 선택된 하나 이상을 포함하는
유기 전계 발광 소자.
9. The method of claim 8,
Wherein the organic material layer includes at least one selected from the group consisting of a hole transporting layer, a hole injecting layer, a hole blocking layer, an electron transporting layer, an electron injecting layer and an electron blocking layer
Organic electroluminescent device.
상기 정공수송층, 상기 정공주입층, 상기 정공차단층, 상기 전자수송층, 상기 전자주입층 또는 상기 전자차단층이 상기 유기 전계 발광 소자용 화합물을 1종 이상 포함하는
유기 전계 발광 소자.
12. The method of claim 11,
Wherein the hole transport layer, the hole injection layer, the hole blocking layer, the electron transport layer, the electron injection layer, or the electron blocking layer comprises at least one compound for the organic electroluminescence device
Organic electroluminescent device.
An electronic device comprising the organic electroluminescent device according to claim 8.
상기 전자 기기는: 유기 집적 회로 (O-IC), 유기 전계-효과 트랜지스터 (O-FET), 유기 박막 트랜지스터 (O-TFT), 유기 발광 트랜지스터 (O-LET), 유기 태양 전지 (O-SC), 유기 광학 검출기, 유기 광수용체, 유기 전계-켄치 소자 (O-FQD), 발광 전기화학 전지 (LEC), 유기 레이저 다이오드 (O-레이저) 또는 유기 발광 소자 (OLED)인
전자 기기.14. The method of claim 13,
The electronic device includes: an organic integrated circuit (O-IC), an organic field effect transistor (O-FET), an organic thin film transistor (O- ), An organic optical detector, an organic photoreceptor, an organic field-quench device (O-FQD), a luminescent electrochemical cell (LEC), an organic laser diode (O-
Electronics.
상기 화학식 1로 표시되는 화합물이 하기 화학식 31 내지 35로 표시되는 화합물 중 어느 하나인
유기 전계 발광 소자용 화합물:
[화학식 31] [화학식 32]
[화학식 33] [화학식 34] [화학식 35]
A는 질소이고;
R12는 수소이고,
R2 내지 R4, R7, R11 및 R13은, 각각 독립적으로, 수소(H), 중수소(D), 할로겐, 치환 또는 비치환된 C1-C50 알킬기, 치환 또는 비치환된 C7-C50 아릴알킬기, 치환 또는 비치환된 C4-C50 사이클로알킬기, 치환 또는 비치환된 C6-C50 아릴기, 치환 또는 비치환된 C3-C50 헤테로아릴기, 치환 또는 비치환된 C4-C50 헤테로아릴알킬기, 치환 또는 비치환된 C1-C50 알킬아미노기, 치환 또는 비치환된 C7-C50 아릴아미노기, 치환 또는 비치환된 C7-C50 아릴알킬아미노기, 치환 또는 비치환된 C7-C50 아릴알콕시아미노기이며;
L1은 상기 화학식 1에서 정의된 바와 같다.The method according to claim 1,
Wherein the compound represented by Formula 1 is any one of compounds represented by the following Formulas 31 to 35
Compound for Organic Electroluminescent Device:
(31) (32)
[Chemical Formula 33] (35)
A is nitrogen;
R12 is hydrogen,
R2 to R4, R7, R11 and R13 each independently represent hydrogen (H), deuterium (D), halogen, a substituted or unsubstituted C1-C50 alkyl group, a substituted or unsubstituted C7- A substituted or unsubstituted C6-C50 aryl group, a substituted or unsubstituted C3-C50 heteroaryl group, a substituted or unsubstituted C4-C50 heteroarylalkyl group, a substituted or unsubstituted C1-C50 cycloalkyl group, a substituted or unsubstituted C6- A substituted or unsubstituted C7-C50 arylamino group, a substituted or unsubstituted C7-C50 arylalkylamino group, or a substituted or unsubstituted C7-C50 arylalkoxyamino group;
L1 is as defined in the above formula (1).
Applications Claiming Priority (2)
| Application Number | Priority Date | Filing Date | Title |
|---|---|---|---|
| KR1020140055533 | 2014-05-09 | ||
| KR20140055533 | 2014-05-09 |
Publications (2)
| Publication Number | Publication Date |
|---|---|
| KR20150129282A KR20150129282A (en) | 2015-11-19 |
| KR101729660B1 true KR101729660B1 (en) | 2017-04-26 |
Family
ID=54843436
Family Applications (1)
| Application Number | Title | Priority Date | Filing Date |
|---|---|---|---|
| KR1020140098285A Active KR101729660B1 (en) | 2014-05-09 | 2014-07-31 | Novel compoung for organic electroluminescent device, organic electroluminescent device including the same and electric apparatus |
Country Status (1)
| Country | Link |
|---|---|
| KR (1) | KR101729660B1 (en) |
Families Citing this family (37)
| Publication number | Priority date | Publication date | Assignee | Title |
|---|---|---|---|---|
| KR101829745B1 (en) | 2014-01-24 | 2018-02-19 | 삼성에스디아이 주식회사 | Organic compound and composition and organic optoelectric device and display device |
| US10784447B2 (en) | 2015-04-24 | 2020-09-22 | Samsung Sdi Co., Ltd. | Organic compound, composition, and organic optoelectronic diode |
| KR101985740B1 (en) * | 2015-06-02 | 2019-06-04 | 주식회사 엘지화학 | Hetero-cyclic compound and organic light emitting device comprising the same |
| CN108368088A (en) * | 2015-12-08 | 2018-08-03 | 喜星素材株式会社 | Heterocyclic compound and organic light emitting device using same |
| JP6580613B2 (en) * | 2016-02-15 | 2019-09-25 | 国立大学法人山形大学 | Lighting for plant cultivation using a novel triazine compound |
| KR102027961B1 (en) | 2016-06-29 | 2019-10-02 | 삼성에스디아이 주식회사 | Compound for organic optoelectronic device, composition for organic optoelectronic device and organic optoelectronic device and display device |
| KR102054276B1 (en) | 2016-06-29 | 2019-12-10 | 삼성에스디아이 주식회사 | Compound for organic optoelectronic device, composition for organic optoelectronic device and organic optoelectronic device and display device |
| KR102050000B1 (en) * | 2016-07-12 | 2019-11-28 | 삼성에스디아이 주식회사 | Compound for organic optoelectronic device, composition for organic optoelectronic device and organic optoelectronic device and display device |
| KR102054277B1 (en) | 2016-07-29 | 2019-12-10 | 삼성에스디아이 주식회사 | Composition for organic optoelectronic device and organic optoelectronic device and display device |
| WO2018038464A1 (en) * | 2016-08-23 | 2018-03-01 | 주식회사 두산 | Organic compound and organic electroluminescent device comprising same |
| KR101939152B1 (en) * | 2016-09-12 | 2019-01-16 | (주)씨엠디엘 | Fluorenyl triazine derivative organic compound and organic electroluminescent device including the same |
| CN110168048B (en) | 2017-01-05 | 2022-10-21 | 三星Sdi株式会社 | Organic photoelectric device, compound and composition used for same, and display device |
| JP2018177668A (en) * | 2017-04-07 | 2018-11-15 | 東ソー株式会社 | Triazine compound having spirofluorene skeleton group |
| KR102101473B1 (en) | 2017-07-10 | 2020-04-16 | 주식회사 엘지화학 | Hetero-cyclic compound and organic light emitting device comprising the same |
| KR102132350B1 (en) | 2017-07-20 | 2020-07-09 | 주식회사 엘지화학 | Novel hetero-cyclic compound and organic light emitting device comprising the same |
| KR102001425B1 (en) * | 2017-09-29 | 2019-07-18 | (주)씨엠디엘 | Dibenzofuranyl trazine derivative organic compounds and organic electroluminescent device including the same |
| EP3476915A1 (en) | 2017-10-30 | 2019-05-01 | Cynora Gmbh | Organic molecules, in particular for use in optoelectronic devices |
| CN107857759A (en) * | 2017-12-04 | 2018-03-30 | 吉林奥来德光电材料股份有限公司 | Organic luminescent compounds and preparation method and organic luminescent device |
| KR20200100699A (en) * | 2017-12-20 | 2020-08-26 | 메르크 파텐트 게엠베하 | Heteroaromatic compounds |
| WO2019190101A1 (en) * | 2018-03-29 | 2019-10-03 | 덕산네오룩스 주식회사 | Compound for organic electric element, organic electric element using same, and electronic device therefor |
| WO2019216743A1 (en) * | 2018-05-11 | 2019-11-14 | 주식회사 엘지화학 | Novel heterocyclic compound and organic light emitting diode using same |
| KR102147908B1 (en) * | 2018-05-11 | 2020-08-25 | 주식회사 엘지화학 | Novel hetero-cyclic compound and organic light emitting device comprising the same |
| KR102231197B1 (en) | 2018-07-27 | 2021-03-23 | 주식회사 엘지화학 | Novel compound and organic light emitting device comprising the same |
| KR20200023984A (en) | 2018-08-27 | 2020-03-06 | 삼성전자주식회사 | Heterocyclic compound and organic light emitting device including the same |
| CN111087416B (en) | 2018-10-24 | 2024-05-14 | 北京夏禾科技有限公司 | Silicon-containing electron transport material and use thereof |
| JP7172001B2 (en) | 2018-11-27 | 2022-11-16 | エルジー・ケム・リミテッド | Novel compound and organic light-emitting device containing the same |
| KR102331904B1 (en) * | 2018-11-27 | 2021-11-26 | 주식회사 엘지화학 | Novel compound and organic light emitting device comprising the same |
| US11746117B2 (en) | 2018-11-27 | 2023-09-05 | Lg Chem, Ltd. | Heterocyclic compound and organic light emitting device comprising same |
| WO2020111585A1 (en) * | 2018-11-27 | 2020-06-04 | 주식회사 엘지화학 | Novel compound and organic light-emitting device using same |
| KR102413614B1 (en) * | 2019-06-21 | 2022-06-27 | 주식회사 엘지화학 | Novel compound and organic light emitting device comprising the same |
| WO2020256527A1 (en) * | 2019-06-21 | 2020-12-24 | 주식회사 엘지화학 | Novel compound and organic light emitting device using same |
| KR102863458B1 (en) | 2019-10-14 | 2025-09-24 | 솔루스첨단소재 주식회사 | Organic light-emitting compound and organic electroluminescent device comprising the same |
| KR20230048363A (en) * | 2020-08-12 | 2023-04-11 | 가부시키가이샤 한도오따이 에네루기 켄큐쇼 | Light emitting device, light emitting device, electronic device, and lighting device |
| CN112830900B (en) * | 2021-01-07 | 2022-12-02 | 吉林奥来德光电材料股份有限公司 | Phosphorescent compound, preparation method thereof, and organic electroluminescent device comprising it |
| CN116023344B (en) * | 2021-12-30 | 2024-03-08 | 江苏三月科技股份有限公司 | Compound containing triazine and spirofluorene structures and application of compound in organic electroluminescent device |
| KR20250091529A (en) * | 2023-12-14 | 2025-06-23 | 솔루스첨단소재 주식회사 | Organic light-emitting compound and organic electroluminescent device comprising the same |
| WO2025151011A1 (en) * | 2024-01-12 | 2025-07-17 | 머티어리얼사이언스 주식회사 | Organic compound and organic light-emitting device comprising same |
Citations (2)
| Publication number | Priority date | Publication date | Assignee | Title |
|---|---|---|---|---|
| JP2006124373A (en) * | 2004-09-29 | 2006-05-18 | Canon Inc | Compound and organic electroluminescence device using the same |
| CN102372665A (en) * | 2010-08-20 | 2012-03-14 | 清华大学 | Aryl compound and application |
-
2014
- 2014-07-31 KR KR1020140098285A patent/KR101729660B1/en active Active
Patent Citations (2)
| Publication number | Priority date | Publication date | Assignee | Title |
|---|---|---|---|---|
| JP2006124373A (en) * | 2004-09-29 | 2006-05-18 | Canon Inc | Compound and organic electroluminescence device using the same |
| CN102372665A (en) * | 2010-08-20 | 2012-03-14 | 清华大学 | Aryl compound and application |
Also Published As
| Publication number | Publication date |
|---|---|
| KR20150129282A (en) | 2015-11-19 |
Similar Documents
| Publication | Publication Date | Title |
|---|---|---|
| KR101729660B1 (en) | Novel compoung for organic electroluminescent device, organic electroluminescent device including the same and electric apparatus | |
| KR101773936B1 (en) | New organic electroluminescent compounds and organic electroluminescent device comprising the same | |
| KR101806164B1 (en) | New organic electroluminescent compounds and organic electroluminescent device comprising the same | |
| EP2497811A2 (en) | Compound for an organic photoelectric device, and organic photoelectric device comprising same | |
| KR101764911B1 (en) | Organic electroluminescent compound, ink composition, organic electroluminescent device and electric apparatus | |
| KR101861263B1 (en) | Anthracene deriva tives and organic light-emitting diode including the same | |
| KR20160060572A (en) | Organic electroluminescent compound, ink composition, organic electroluminescent device and electric apparatus | |
| KR20170039020A (en) | Organic electroluminescent compound and organic electroluminescent device | |
| CN101679851B (en) | Phosphaphenanthrene compounds and organic light emitting diode using the same | |
| KR20170089599A (en) | Novel heterocyclic compounds and organic light-emitting diode including the same | |
| CN106573938A (en) | Compound for organic electronic element, and organic electronic element and electronic device using same | |
| CN105753629B (en) | compound and organic electroluminescent device using the same | |
| KR20140020208A (en) | Organic electroluminescent compound comprising acridine derivative and organic electroluminescent device comprising same | |
| KR101791023B1 (en) | Fused aromatic compound and organic electroluminescent devices comprising the same | |
| KR20140015202A (en) | Organic electroluminescent compound comprising acridine derivative and organic electroluminescent device comprising same | |
| KR20150145131A (en) | Novel heterocyclic compounds and organic light-emitting diode including the same | |
| KR20190079348A (en) | Composition and organic optoelectronic device and display device | |
| KR20100021367A (en) | Light emitting compound and organic light-emitting diode including the same | |
| KR20190115615A (en) | organic light-emitting diode with High efficiency | |
| CN1820061B (en) | Mixtures of organic emissive semiconductors and matrix materials, their use and electronic components comprising said materials | |
| KR102630325B1 (en) | Novel compound and organic electroluminescent device comprising the same | |
| KR101815653B1 (en) | Azaboradibenzochrysene derivatives organic electroluminescent compound, ink composition and organic electroluminescent device | |
| KR20180104579A (en) | Novel hetero-cyclic compound and organic light emitting device comprising the same | |
| KR20150064410A (en) | Compound for organic electronic element, organic electronic element using the same, and an electronic device thereof | |
| KR20150017817A (en) | Compound for organic optoelectric device, organic optoelectric device and display device |
Legal Events
| Date | Code | Title | Description |
|---|---|---|---|
| A201 | Request for examination | ||
| PA0109 | Patent application |
Patent event code: PA01091R01D Comment text: Patent Application Patent event date: 20140731 |
|
| PA0201 | Request for examination | ||
| PG1501 | Laying open of application | ||
| E902 | Notification of reason for refusal | ||
| PE0902 | Notice of grounds for rejection |
Comment text: Notification of reason for refusal Patent event date: 20160119 Patent event code: PE09021S01D |
|
| E90F | Notification of reason for final refusal | ||
| PE0902 | Notice of grounds for rejection |
Comment text: Final Notice of Reason for Refusal Patent event date: 20160726 Patent event code: PE09021S02D |
|
| E701 | Decision to grant or registration of patent right | ||
| PE0701 | Decision of registration |
Patent event code: PE07011S01D Comment text: Decision to Grant Registration Patent event date: 20170221 |
|
| N231 | Notification of change of applicant | ||
| PN2301 | Change of applicant |
Patent event date: 20170403 Comment text: Notification of Change of Applicant Patent event code: PN23011R01D |
|
| GRNT | Written decision to grant | ||
| PR0701 | Registration of establishment |
Comment text: Registration of Establishment Patent event date: 20170418 Patent event code: PR07011E01D |
|
| PR1002 | Payment of registration fee |
Payment date: 20170418 End annual number: 3 Start annual number: 1 |
|
| PG1601 | Publication of registration | ||
| PR1001 | Payment of annual fee |
Payment date: 20200401 Start annual number: 4 End annual number: 4 |
|
| PR1001 | Payment of annual fee |
Payment date: 20210401 Start annual number: 5 End annual number: 5 |
|
| PR1001 | Payment of annual fee |
Payment date: 20230314 Start annual number: 7 End annual number: 7 |
|
| PR1001 | Payment of annual fee |
Payment date: 20240401 Start annual number: 8 End annual number: 8 |




















































