KR101648142B1 - Composition and organic optoelectric device and display device - Google Patents
Composition and organic optoelectric device and display device Download PDFInfo
- Publication number
- KR101648142B1 KR101648142B1 KR1020130125528A KR20130125528A KR101648142B1 KR 101648142 B1 KR101648142 B1 KR 101648142B1 KR 1020130125528 A KR1020130125528 A KR 1020130125528A KR 20130125528 A KR20130125528 A KR 20130125528A KR 101648142 B1 KR101648142 B1 KR 101648142B1
- Authority
- KR
- South Korea
- Prior art keywords
- formula
- group
- substituted
- unsubstituted
- compound
- Prior art date
- Legal status (The legal status is an assumption and is not a legal conclusion. Google has not performed a legal analysis and makes no representation as to the accuracy of the status listed.)
- Active
Links
Images
Classifications
-
- H—ELECTRICITY
- H10—SEMICONDUCTOR DEVICES; ELECTRIC SOLID-STATE DEVICES NOT OTHERWISE PROVIDED FOR
- H10K—ORGANIC ELECTRIC SOLID-STATE DEVICES
- H10K85/00—Organic materials used in the body or electrodes of devices covered by this subclass
- H10K85/60—Organic compounds having low molecular weight
- H10K85/649—Aromatic compounds comprising a hetero atom
- H10K85/657—Polycyclic condensed heteroaromatic hydrocarbons
- H10K85/6574—Polycyclic condensed heteroaromatic hydrocarbons comprising only oxygen in the heteroaromatic polycondensed ring system, e.g. cumarine dyes
-
- C—CHEMISTRY; METALLURGY
- C09—DYES; PAINTS; POLISHES; NATURAL RESINS; ADHESIVES; COMPOSITIONS NOT OTHERWISE PROVIDED FOR; APPLICATIONS OF MATERIALS NOT OTHERWISE PROVIDED FOR
- C09K—MATERIALS FOR MISCELLANEOUS APPLICATIONS, NOT PROVIDED FOR ELSEWHERE
- C09K11/00—Luminescent, e.g. electroluminescent, chemiluminescent materials
- C09K11/06—Luminescent, e.g. electroluminescent, chemiluminescent materials containing organic luminescent materials
-
- H—ELECTRICITY
- H10—SEMICONDUCTOR DEVICES; ELECTRIC SOLID-STATE DEVICES NOT OTHERWISE PROVIDED FOR
- H10K—ORGANIC ELECTRIC SOLID-STATE DEVICES
- H10K50/00—Organic light-emitting devices
- H10K50/10—OLEDs or polymer light-emitting diodes [PLED]
- H10K50/11—OLEDs or polymer light-emitting diodes [PLED] characterised by the electroluminescent [EL] layers
- H10K50/12—OLEDs or polymer light-emitting diodes [PLED] characterised by the electroluminescent [EL] layers comprising dopants
-
- H—ELECTRICITY
- H10—SEMICONDUCTOR DEVICES; ELECTRIC SOLID-STATE DEVICES NOT OTHERWISE PROVIDED FOR
- H10K—ORGANIC ELECTRIC SOLID-STATE DEVICES
- H10K85/00—Organic materials used in the body or electrodes of devices covered by this subclass
- H10K85/60—Organic compounds having low molecular weight
- H10K85/615—Polycyclic condensed aromatic hydrocarbons, e.g. anthracene
-
- H—ELECTRICITY
- H10—SEMICONDUCTOR DEVICES; ELECTRIC SOLID-STATE DEVICES NOT OTHERWISE PROVIDED FOR
- H10K—ORGANIC ELECTRIC SOLID-STATE DEVICES
- H10K85/00—Organic materials used in the body or electrodes of devices covered by this subclass
- H10K85/60—Organic compounds having low molecular weight
- H10K85/615—Polycyclic condensed aromatic hydrocarbons, e.g. anthracene
- H10K85/622—Polycyclic condensed aromatic hydrocarbons, e.g. anthracene containing four rings, e.g. pyrene
-
- H—ELECTRICITY
- H10—SEMICONDUCTOR DEVICES; ELECTRIC SOLID-STATE DEVICES NOT OTHERWISE PROVIDED FOR
- H10K—ORGANIC ELECTRIC SOLID-STATE DEVICES
- H10K85/00—Organic materials used in the body or electrodes of devices covered by this subclass
- H10K85/60—Organic compounds having low molecular weight
- H10K85/649—Aromatic compounds comprising a hetero atom
- H10K85/654—Aromatic compounds comprising a hetero atom comprising only nitrogen as heteroatom
-
- H—ELECTRICITY
- H10—SEMICONDUCTOR DEVICES; ELECTRIC SOLID-STATE DEVICES NOT OTHERWISE PROVIDED FOR
- H10K—ORGANIC ELECTRIC SOLID-STATE DEVICES
- H10K85/00—Organic materials used in the body or electrodes of devices covered by this subclass
- H10K85/60—Organic compounds having low molecular weight
- H10K85/649—Aromatic compounds comprising a hetero atom
- H10K85/657—Polycyclic condensed heteroaromatic hydrocarbons
- H10K85/6572—Polycyclic condensed heteroaromatic hydrocarbons comprising only nitrogen in the heteroaromatic polycondensed ring system, e.g. phenanthroline or carbazole
-
- H—ELECTRICITY
- H10—SEMICONDUCTOR DEVICES; ELECTRIC SOLID-STATE DEVICES NOT OTHERWISE PROVIDED FOR
- H10K—ORGANIC ELECTRIC SOLID-STATE DEVICES
- H10K85/00—Organic materials used in the body or electrodes of devices covered by this subclass
- H10K85/60—Organic compounds having low molecular weight
- H10K85/649—Aromatic compounds comprising a hetero atom
- H10K85/657—Polycyclic condensed heteroaromatic hydrocarbons
- H10K85/6576—Polycyclic condensed heteroaromatic hydrocarbons comprising only sulfur in the heteroaromatic polycondensed ring system, e.g. benzothiophene
-
- H—ELECTRICITY
- H10—SEMICONDUCTOR DEVICES; ELECTRIC SOLID-STATE DEVICES NOT OTHERWISE PROVIDED FOR
- H10K—ORGANIC ELECTRIC SOLID-STATE DEVICES
- H10K2101/00—Properties of the organic materials covered by group H10K85/00
- H10K2101/90—Multiple hosts in the emissive layer
Landscapes
- Chemical & Material Sciences (AREA)
- Engineering & Computer Science (AREA)
- Materials Engineering (AREA)
- Physics & Mathematics (AREA)
- Spectroscopy & Molecular Physics (AREA)
- Organic Chemistry (AREA)
- Optics & Photonics (AREA)
- Electroluminescent Light Sources (AREA)
Abstract
하기 화학식 I로 표현되는 제1 호스트 화합물 및 하기 화학식 Ⅱ로 표현되는 제2 호스트 화합물을 포함하는 조성물, 상기 조성물을 포함하는 유기 광전자 소자 및 표시 장치에 관한 것이다.
[화학식 I] [화학식 Ⅱ]
,
상기 화학식 I 및 Ⅱ에서, X1 내지 X4, R1a 내지 R5a, 및 R1b 내지 R5b는 명세서에서 정의한 바와 같다.A first host compound represented by the following formula (I) and a second host compound represented by the following formula (II), an organic optoelectronic device including the composition and a display device.
(I) < RTI ID = 0.0 > (II)
,
In the above formulas (I) and (II), X 1 to X 4 , R 1a to R 5a , and R 1b to R 5b are as defined in the specification.
Description
조성물, 유기 광전자 소자 및 표시 장치에 관한 것이다.Compositions, organic optoelectronic devices and display devices.
유기 광전자 소자(organic optoelectric diode)는 전기 에너지와 광 에너지를 상호 전환할 수 있는 소자이다. Organic optoelectronic devices are devices that can switch between electrical and optical energy.
유기 광전자 소자는 동작 원리에 따라 크게 두 가지로 나눌 수 있다. 하나는 광 에너지에 의해 형성된 엑시톤(exciton)이 전자와 정공으로 분리되고 상기 전자와 정공이 각각 다른 전극으로 전달되면서 전기 에너지를 발생하는 광전 소자이고, 다른 하나는 전극에 전압 또는 전류를 공급하여 전기 에너지로부터 광 에너지를 발생하는 발광 소자이다. Organic optoelectronic devices can be roughly classified into two types according to the operating principle. One is an optoelectronic device in which an exciton formed by light energy is separated into an electron and a hole, the electron and hole are transferred to different electrodes to generate electric energy, and the other is a voltage / Emitting device that generates light energy from energy.
유기 광전자 소자의 예로는 유기 광전 소자, 유기 발광 소자, 유기 태양 전지 및 유기 감광체 드럼(organic photo conductor drum) 등을 들 수 있다. Examples of organic optoelectronic devices include organic optoelectronic devices, organic light emitting devices, organic solar cells, and organic photo conductor drums.
이 중, 유기 발광 소자(organic light emitting diode, OLED)는 근래 평판 표시 장치(flat panel display device)의 수요 증가에 따라 크게 주목받고 있다. 상기 유기 발광 소자는 유기 발광 재료에 전류를 가하여 전기 에너지를 빛으로 전환시키는 소자로서, 통상 양극(anode)과 음극(cathode) 사이에 유기 층이 삽입된 구조로 이루어져 있다. 여기서 유기 층은 발광층과 선택적으로 보조층을 포함할 수 있으며, 상기 보조층은 예컨대 유기발광소자의 효율과 안정성을 높이기 위한 정공 주입 층, 정공 수송 층, 전자 차단 층, 전자 수송 층, 전자 주입 층 및 정공 차단 층에서 선택된 적어도 1층을 포함할 수 있다.In recent years, organic light emitting diodes (OLEDs) have attracted considerable attention due to the demand for flat panel display devices. The organic light emitting diode is a device for converting electrical energy into light by applying an electric current to the organic light emitting material, and usually has an organic layer inserted between an anode and a cathode. The organic layer may include a light emitting layer and an optional auxiliary layer. The auxiliary layer may include, for example, a hole injecting layer, a hole transporting layer, an electron blocking layer, an electron transporting layer, And a hole blocking layer.
유기 발광 소자의 성능은 상기 유기 층의 특성에 의해 영향을 많이 받으며, 그 중에서도 상기 유기 층에 포함된 유기 재료에 의해 영향을 많이 받는다.The performance of the organic light emitting device is greatly influenced by the characteristics of the organic layer, and the organic layer is highly affected by the organic material contained in the organic layer.
특히 상기 유기 발광 소자가 대형 평판 표시 장치에 적용되기 위해서는 정공 및 전자의 이동성을 높이는 동시에 전기화학적 안정성을 높일 수 있는 유기 재료의 개발이 필요하다.In particular, in order for the organic light emitting device to be applied to a large-sized flat panel display device, it is necessary to develop an organic material capable of increasing the mobility of holes and electrons and increasing the electrochemical stability.
일 구현예는 고효율 및 장수명 유기 광전자 소자를 구현할 수 있는 유기 광전자 소자용 조성물을 제공한다.One embodiment provides a composition for an organic optoelectronic device capable of implementing a high-efficiency and long-lived organic optoelectronic device.
다른 구현예는 상기 조성물을 포함하는 유기 광전자 소자를 제공한다.Another embodiment provides an organic optoelectronic device comprising the composition.
또 다른 구현예는 상기 유기 광전자 소자를 포함하는 표시 장치를 제공한다.Another embodiment provides a display device comprising the organic opto-electronic device.
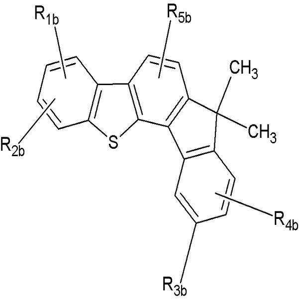
일 구현예에 따르면, 하기 화학식 I로 표현되는 제1 호스트 화합물 및 하기 화학식 Ⅱ로 표현되는 제2 호스트 화합물을 포함하는 조성물을 제공한다.According to one embodiment, there is provided a composition comprising a first host compound represented by formula (I) and a second host compound represented by formula (II):
[화학식 I] [화학식 Ⅱ](I) < RTI ID = 0.0 > (II)
, ,
상기 화학식 I 및 화학식 Ⅱ에서,In the above formulas (I) and (II)
R1a 내지 R5a는 각각 독립적으로 치환 또는 비치환된 C6 내지 C30 아릴기, 치환 또는 비치환된 카바졸릴기, 치환 또는 비치환된 디벤조퓨라닐기, 치환 또는 비치환된 디벤조티오페닐기, 또는 이들의 조합이고,R 1a to R 5a each independently represent a substituted or unsubstituted C6 to C30 aryl group, a substituted or unsubstituted carbazolyl group, a substituted or unsubstituted dibenzofuranyl group, a substituted or unsubstituted dibenzothiophenyl group, or A combination thereof,
R1b 내지 R5b는 각각 독립적으로 치환 또는 비치환된 카바졸릴기를 제외한 적어도 하나의 N을 포함하는 치환 또는 비치환된 C2 내지 C30 헤테로아릴기이고,R 1b to R 5b are each independently a substituted or unsubstituted C2 to C30 heteroaryl group containing at least one N except for a substituted or unsubstituted carbazolyl group,
X1 및 X3은 각각 독립적으로, O, Se, S, SO, SO2, PO 또는 CO 이고,X 1 and X 3 are each independently O, Se, S, SO, SO 2 , PO or CO,
X2 및 X4은 각각 독립적으로 CRaRb 또는 SiRcRd 이고,X 2 and X 4 are each independently CR a R b or SiR c R d ,
Ra 내지 Rd는 각각 독립적으로 수소, 중수소, 치환 또는 비치환된 C1 내지 C30 알킬기, 치환 또는 비치환된 C3 내지 C30 사이클로알킬기, 치환 또는 비치환된 C3 내지 C30 헤테로사이클로알킬기, 치환 또는 비치환된 C6 내지 C30 아릴기, 치환 또는 비치환된 C2 내지 C30 헤테로아릴기, 치환 또는 비치환된 아민기, 치환 또는 비치환된 C6 내지 C30 아릴아민기, 치환 또는 비치환된 C3 내지 C30 헤테로아릴아민기, 치환 또는 비치환된 C1 내지 C30 알콕시기, 치환 또는 비치환된 C2 내지 C30 알콕시카르보닐기, 치환 또는 비치환된 C2 내지 C30 알콕시카르보닐아미노기, 치환 또는 비치환된 C7 내지 C30 아릴옥시카르보닐아미노기, 치환 또는 비치환된 C1 내지 C30 술파모일아미노기, 치환 또는 비치환된 C2 내지 C30 알케닐기, 치환 또는 비치환된 C2 내지 C30 알키닐기, 치환 또는 비치환된 실릴기, 치환 또는 비치환된 실릴옥시기, 치환 또는 비치환된 C1 내지 C30 아실기, 치환 또는 비치환된 C1 내지 C20 아실옥시기, 치환 또는 비치환된 C1 내지 C20 아실아미노기, 치환 또는 비치환된 C1 내지 C30 술포닐기, 치환 또는 비치환된 C1 내지 C30 알킬티올기, 치환 또는 비치환된 C1 내지 C30 헤테로사이클로티올기, 치환 또는 비치환된 C6 내지 C30 아릴티올기, 치환 또는 비치환된 C1 내지 C30 헤테로아릴티올기, 치환 또는 비치환된 C1 내지 C30 우레이드기, 할로겐기, 할로겐 함유기, 시아노기, 히드록실기, 아미노기, 니트로기, 카르복실기, 페로세닐기 또는 이들의 조합이다.R a to R d each independently represent hydrogen, deuterium, a substituted or unsubstituted C1 to C30 alkyl group, a substituted or unsubstituted C3 to C30 cycloalkyl group, a substituted or unsubstituted C3 to C30 heterocycloalkyl group, A substituted or unsubstituted C6 to C30 aryl group, a substituted or unsubstituted C2 to C30 heteroaryl group, a substituted or unsubstituted amine group, a substituted or unsubstituted C6 to C30 arylamine group, a substituted or unsubstituted C3 to C30 heteroaryl amine A substituted or unsubstituted C1 to C30 alkoxy group, a substituted or unsubstituted C2 to C30 alkoxycarbonyl group, a substituted or unsubstituted C2 to C30 alkoxycarbonylamino group, a substituted or unsubstituted C7 to C30 aryloxycarbonylamino group , A substituted or unsubstituted C1 to C30 sulfamoylamino group, a substituted or unsubstituted C2 to C30 alkenyl group, a substituted or unsubstituted C2 to C30 alkynyl group, A substituted or unsubstituted C1 to C20 acyl group, a substituted or unsubstituted C1 to C20 acylamino group, a substituted or unsubstituted C1 to C30 acyl group, a substituted or unsubstituted C1 to C20 acyloxy group, a substituted or unsubstituted C1 to C20 acylamino group, A substituted or unsubstituted C1 to C30 alkylthiol group, a substituted or unsubstituted C1 to C30 heterocyclic thiol group, a substituted or unsubstituted C6 to C30 arylthiol group, a substituted or unsubstituted C1 to C30 arylthiol group, A C1 to C30 heteroarylthiol group, a substituted or unsubstituted C1 to C30 ureide group, a halogen group, a halogen-containing group, a cyano group, a hydroxyl group, an amino group, a nitro group, a carboxyl group, a ferrocenyl group or a combination thereof.
다른 구현예에 따르면, 서로 마주하는 양극과 음극, 상기 양극과 상기 음극 사이에 위치하는 적어도 1층의 유기층을 포함하고, 상기 유기층은 상기 조성물을 포함하는 유기 광전자 소자를 제공한다.According to another embodiment, there is provided an organic optoelectronic device including an anode and a cathode facing each other, and at least one organic layer positioned between the anode and the cathode, wherein the organic layer comprises the composition.
또 다른 구현예에 따르면, 상기 유기 광전자 소자를 포함하는 표시 장치를 제공한다.According to another embodiment, there is provided a display device including the organic opto-electronic device.
고효율 장수명 유기 광전자 소자를 구현할 수 있다.High-efficiency long-lived organic optoelectronic devices can be realized.
도 1 및 도 2는 각각 일 구현예에 따른 유기 발광 소자를 도시한 단면도이다.1 and 2 are sectional views showing an organic light emitting device according to an embodiment, respectively.
이하, 본 발명의 구현예를 상세히 설명하기로 한다. 다만, 이는 예시로서 제시되는 것으로, 이에 의해 본 발명이 제한되지는 않으며 본 발명은 후술할 청구범위의 범주에 의해 정의될 뿐이다.Hereinafter, embodiments of the present invention will be described in detail. However, it should be understood that the present invention is not limited thereto, and the present invention is only defined by the scope of the following claims.
본 명세서에서 "치환"이란 별도의 정의가 없는 한, 치환기 또는 화합물 중의 적어도 하나의 수소가 중수소, 할로겐기, 히드록시기, 아미노기, 치환 또는 비치환된 C1 내지 C30 아민기, 니트로기, 치환 또는 비치환된 C1 내지 C40 실릴기, C1 내지 C30 알킬기, C1 내지 C10 알킬실릴기, C3 내지 C30 시클로알킬기, C3 내지 C30 헤테로시클로알킬기, C6 내지 C30 아릴기, C2 내지 C30 헤테로아릴기, C1 내지 C20 알콕시기, 플루오로기, 트리플루오로메틸기 등의 C1 내지 C10 트리플루오로알킬기 또는 시아노기로 치환된 것을 의미한다.As used herein, unless otherwise defined, at least one of the substituents or at least one hydrogen in the compound is substituted with one or more substituents selected from the group consisting of deuterium, a halogen group, a hydroxy group, an amino group, a substituted or unsubstituted C1 to C30 amine group, a nitro group, A C1 to C30 silyl group, a C1 to C30 alkyl group, a C1 to C10 alkylsilyl group, a C3 to C30 cycloalkyl group, a C3 to C30 heterocycloalkyl group, a C6 to C30 aryl group, a C2 to C30 heteroaryl group, , A C1 to C10 trifluoroalkyl group such as a fluoro group or a trifluoromethyl group, or a cyano group.
또한 상기 치환된 할로겐기, 히드록시기, 아미노기, 치환 또는 비치환된 C1 내지 C20 아민기, 니트로기, 치환 또는 비치환된 C3 내지 C40 실릴기, C1 내지 C30 알킬기, C1 내지 C10 알킬실릴기, C3 내지 C30 시클로알킬기, C3 내지 C30 헤테로시클로알킬기, C6 내지 C30 아릴기, C2 내지 C30 헤테로아릴기, C1 내지 C20 알콕시기, 플루오로기, 트리플루오로메틸기 등의 C1 내지 C10 트리플루오로알킬기 또는 시아노기 중 인접한 두 개의 치환기가 융합되어 고리를 형성할 수도 있다. 예를 들어, 상기 치환된 C6 내지 C30 아릴기는 인접한 또다른 치환된 C6 내지 C30 아릴기와 융합되어 치환 또는 비치환된 플루오렌 고리를 형성할 수 있다.A substituted or unsubstituted C1 to C20 amine group, a nitro group, a substituted or unsubstituted C3 to C40 silyl group, a C1 to C30 alkyl group, a C1 to C10 alkylsilyl group, a C3 to C10 alkylsulfinyl group, A C1 to C10 trifluoroalkyl group such as a C30 cycloalkyl group, a C3 to C30 heterocycloalkyl group, a C6 to C30 aryl group, a C2 to C30 heteroaryl group, a C1 to C20 alkoxy group, a fluoro group and a trifluoromethyl group; Two adjacent substituents may be fused to form a ring. For example, the substituted C6 to C30 aryl group may be fused with another adjacent substituted C6 to C30 aryl group to form a substituted or unsubstituted fluorene ring.
본 명세서에서 "헤테로"란 별도의 정의가 없는 한, 하나의 작용기 내에 N, O, S, P 및 Si로 이루어진 군에서 선택되는 헤테로 원자를 1 내지 3개 함유하고, 나머지는 탄소인 것을 의미한다.Means one to three heteroatoms selected from the group consisting of N, O, S, P and Si in one functional group, and the remainder being carbon unless otherwise defined .
본 명세서에서 "알킬(alkyl)기"이란 별도의 정의가 없는 한, 지방족 탄화수소기를 의미한다. 알킬기는 어떠한 이중결합이나 삼중결합을 포함하고 있지 않은 "포화 알킬(saturated alkyl)기"일 수 있다. As used herein, the term "alkyl group" means an aliphatic hydrocarbon group, unless otherwise defined. The alkyl group may be a "saturated alkyl group" which does not contain any double or triple bonds.
상기 알킬기는 C1 내지 C30인 알킬기일 수 있다. 보다 구체적으로 알킬기는 C1 내지 C20 알킬기 또는 C1 내지 C10 알킬기일 수도 있다. 예를 들어, C1 내지 C4 알킬기는 알킬쇄에 1 내지 4 개의 탄소원자가 포함되는 것을 의미하며, 메틸, 에틸, 프로필, 이소-프로필, n-부틸, 이소-부틸, sec-부틸 및 t-부틸로 이루어진 군에서 선택됨을 나타낸다.The alkyl group may be an alkyl group of C1 to C30. More specifically, the alkyl group may be a C1 to C20 alkyl group or a C1 to C10 alkyl group. For example, C1 to C4 alkyl groups mean that from 1 to 4 carbon atoms are included in the alkyl chain and include methyl, ethyl, propyl, iso-propyl, n-butyl, iso-butyl, sec- Indicating that they are selected from the group.
상기 알킬기는 구체적인 예를 들어 메틸기, 에틸기, 프로필기, 이소프로필기, 부틸기, 이소부틸기, t-부틸기, 펜틸기, 헥실기, 시클로프로필기, 시클로부틸기, 시클로펜틸기, 시클로헥실기 등을 의미한다.Specific examples of the alkyl group include a methyl group, ethyl group, propyl group, isopropyl group, butyl group, isobutyl group, t-butyl group, pentyl group, hexyl group, cyclopropyl group, cyclobutyl group, cyclopentyl group, And the like.
본 명세서에서 "아릴(aryl)기"는 환형인 치환기의 모든 원소가 p-오비탈을 가지고 있으며, 이들 p-오비탈이 공액(conjugation)을 형성하고 있는 치환기를 의미하고, 모노시클릭, 폴리시클릭 또는 융합 고리 폴리시클릭(즉, 탄소원자들의 인접한 쌍들을 나눠 가지는 고리) 작용기를 포함한다.As used herein, the term " aryl group "means a substituent in which all the elements of the cyclic substituent have p-orbital, and these p-orbital forms a conjugation, and monocyclic, Fused ring polycyclic (i. E., Rings that divide adjacent pairs of carbon atoms) functional groups.
본 명세서에서 "헤테로아릴(heteroaryl)기"는 아릴기 내에 N, O, S, P 및 Si로 이루어진 군에서 선택되는 헤테로 원자를 1 내지 3개 함유하고, 나머지는 탄소인 것을 의미한다. 상기 헤테로아릴기가 융합고리인 경우, 각각의 고리마다 상기 헤테로 원자를 1 내지 3개 포함할 수 있다. As used herein, the term "heteroaryl group" means that the aryl group contains 1 to 3 hetero atoms selected from the group consisting of N, O, S, P, and Si, and the remainder is carbon. When the heteroaryl group is a fused ring, it may contain 1 to 3 heteroatoms in each ring.
보다 구체적으로, 치환 또는 비치환된 C6 내지 C30 아릴기는 치환 또는 비치환된 페닐기, 치환 또는 비치환된 나프틸기, 치환 또는 비치환된 안트라세닐기, 치환 또는 비치환된 페난트릴기, 치환 또는 비치환된 나프타세닐기, 치환 또는 비치환된 피레닐기, 치환 또는 비치환된 바이페닐기, 치환 또는 비치환된 p-터페닐기, 치환 또는 비치환된 m-터페닐기, 치환 또는 비치환된 크리세닐기, 치환 또는 비치환된 트리페닐레닐기, 치환 또는 비치환된 페릴레닐기, 치환 또는 비치환된 인데닐기, 치환 또는 비치환된 플루오레닐기이고, More specifically, the substituted or unsubstituted C6 to C30 aryl group may be substituted or unsubstituted phenyl group, substituted or unsubstituted naphthyl group, substituted or unsubstituted anthracenyl group, substituted or unsubstituted phenanthryl group, A substituted naphthacenyl group, a substituted or unsubstituted pyrenyl group, a substituted or unsubstituted biphenyl group, a substituted or unsubstituted p-terphenyl group, a substituted or unsubstituted m-terphenyl group, a substituted or unsubstituted quinicenyl group , A substituted or unsubstituted triphenylenyl group, a substituted or unsubstituted perylenyl group, a substituted or unsubstituted indenyl group, a substituted or unsubstituted fluorenyl group,
치환 또는 비치환된 C2 내지 C30 헤테로아릴기는, 치환 또는 비치환된 퓨라닐기, 치환 또는 비치환된 티오페닐기, 치환 또는 비치환된 피롤릴기, 치환 또는 비치환된 피라졸릴기, 치환 또는 비치환된 이미다졸일기, 치환 또는 비치환된 트리아졸일기, 치환 또는 비치환된 옥사졸일기, 치환 또는 비치환된 티아졸일기, 치환 또는 비치환된 옥사디아졸일기, 치환 또는 비치환된 티아디아졸일기, 치환 또는 비치환된 피리딜기, 치환 또는 비치환된 피리미디닐기, 치환 또는 비치환된 피라지닐기, 치환 또는 비치환된 트리아지닐기, 치환 또는 비치환된 벤조퓨라닐기, 치환 또는 비치환된 벤조티오페닐기, 치환 또는 비치환된 벤즈이미다졸일기, 치환 또는 비치환된 인돌일기, 치환 또는 비치환된 퀴놀리닐기, 치환 또는 비치환된 이소퀴놀리닐기, 치환 또는 비치환된 퀴나졸리닐기, 치환 또는 비치환된 퀴녹살리닐기, 치환 또는 비치환된 나프티리디닐기, 치환 또는 비치환된 벤즈옥사진일기, 치환 또는 비치환된 벤즈티아진일기, 치환 또는 비치환된 아크리디닐기, 치환 또는 비치환된 페나진일기, 치환 또는 비치환된 페노티아진일기, 치환 또는 비치환된 페녹사진일기, 치환 또는 비치환된 디벤조퓨란일기, 치환 또는 비치환된 디벤조티오페닐기, 치환 또는 비치환된 카바졸릴기 또는 이들의 조합일 수 있으나, 이에 제한되지는 않는다.The substituted or unsubstituted C2 to C30 heteroaryl group may be substituted or unsubstituted furanyl, substituted or unsubstituted thiophenyl, substituted or unsubstituted pyrrolyl, substituted or unsubstituted pyrazolyl, substituted or unsubstituted Substituted or unsubstituted oxadiazole groups, substituted or unsubstituted thiadiazole groups, substituted or unsubstituted thiadiazole groups, substituted or unsubstituted thiadiazole groups, substituted or unsubstituted thiadiazole groups, substituted or unsubstituted thiadiazole groups, , A substituted or unsubstituted pyridyl group, a substituted or unsubstituted pyrimidinyl group, a substituted or unsubstituted pyrazinyl group, a substituted or unsubstituted thiazinyl group, a substituted or unsubstituted benzofuranyl group, a substituted or unsubstituted pyrazinyl group, Substituted or unsubstituted quinolinyl groups, substituted or unsubstituted isoquinolinyl groups, substituted or unsubstituted benzimidazolyl groups, substituted or unsubstituted indolyl groups, substituted or unsubstituted quinolinyl groups, substituted or unsubstituted isoquinolinyl groups, A substituted or unsubstituted quinazolinyl group, a substituted or unsubstituted quinoxalinyl group, a substituted or unsubstituted naphthyridinyl group, a substituted or unsubstituted benzoxazinyl group, a substituted or unsubstituted benzothiazine group, a substituted or unsubstituted acridine Substituted or unsubstituted dibenzothiophenyl groups, substituted or unsubstituted dibenzothiophenyl groups, substituted or unsubstituted dibenzothiophenyl groups, substituted or unsubstituted dibenzothiophenyl groups, substituted or unsubstituted dibenzothiophenyl groups, substituted or unsubstituted dibenzothiophenyl groups, A substituted or unsubstituted carbazolyl group, or a combination thereof.
본 명세서에서, 정공 특성이란, 전기장(electric field)을 가했을 때 전자를 공여하여 정공을 형성할 수 있는 특성을 말하는 것으로, HOMO 준위를 따라 전도 특성을 가져 양극에서 형성된 정공의 발광층으로의 주입, 발광층에서 형성된 정공의 양극으로의 이동 및 발광층에서의 이동을 용이하게 하는 특성을 의미한다. In the present specification, the hole property refers to a property of forming holes by donating electrons when an electric field is applied, and has a conduction property along the HOMO level so that the injection of holes formed in the anode into the light emitting layer, Quot; refers to the property of facilitating the movement of the hole formed in the light emitting layer to the anode and the movement of the hole in the light emitting layer.
또한 전자 특성이란, 전기장을 가했을 때 전자를 받을 수 있는 특성을 말하는 것으로, LUMO 준위를 따라 전도 특성을 가져 음극에서 형성된 전자의 발광층으로의 주입, 발광층에서 형성된 전자의 음극으로의 이동 및 발광층에서의 이동을 용이하게 하는 특성을 의미한다. In addition, the electron characteristic refers to a characteristic that electrons can be received when an electric field is applied. The electron characteristic has a conduction characteristic along the LUMO level so that electrons formed in the cathode are injected into the light emitting layer, electrons formed in the light emitting layer migrate to the cathode, It is a characteristic that facilitates movement.
이하 일 구현예에 따른 조성물을 설명한다.The composition according to one embodiment will be described below.
일 구현예에 따른 조성물은 적어도 두 종류의 호스트(host)와 도펀트(dopant)를 포함하고, 상기 호스트는 제1 호스트 화합물과 제2 호스트 화합물을 포함하며, 각각은 하기 화학식 I 및 Ⅱ로 표현된다.The composition according to one embodiment comprises at least two types of host and a dopant, wherein the host comprises a first host compound and a second host compound, each of which is represented by the following formulas I and II .
[화학식 I] [화학식 Ⅱ](I) < RTI ID = 0.0 > (II)
, ,
상기 화학식 I 및 화학식 Ⅱ에서,In the above formulas (I) and (II)
R1a 내지 R5a는 각각 독립적으로 치환 또는 비치환된 C6 내지 C30 아릴기, 치환 또는 비치환된 카바졸릴기, 치환 또는 비치환된 디벤조퓨라닐기, 치환 또는 비치환된 디벤조티오페닐기, 또는 이들의 조합이고,R 1a to R 5a each independently represent a substituted or unsubstituted C6 to C30 aryl group, a substituted or unsubstituted carbazolyl group, a substituted or unsubstituted dibenzofuranyl group, a substituted or unsubstituted dibenzothiophenyl group, or A combination thereof,
R1b 내지 R5b는 각각 독립적으로 치환 또는 비치환된 카바졸릴기를 제외한 적어도 하나의 N을 포함하는 치환 또는 비치환된 C2 내지 C30 헤테로아릴기이고,R 1b to R 5b are each independently a substituted or unsubstituted C2 to C30 heteroaryl group containing at least one N except for a substituted or unsubstituted carbazolyl group,
X1 및 X3은 각각 독립적으로, O, Se, S, SO, SO2, PO 또는 CO 이고,X 1 and X 3 are each independently O, Se, S, SO, SO 2 , PO or CO,
X2 및 X4은 각각 독립적으로 CRaRb 또는 SiRcRd 이고,X 2 and X 4 are each independently CR a R b or SiR c R d ,
Ra 내지 Rd는 각각 독립적으로 수소, 중수소, 치환 또는 비치환된 C1 내지 C30 알킬기, 치환 또는 비치환된 C3 내지 C30 사이클로알킬기, 치환 또는 비치환된 C3 내지 C30 헤테로사이클로알킬기, 치환 또는 비치환된 C6 내지 C30 아릴기, 치환 또는 비치환된 C2 내지 C30 헤테로아릴기, 치환 또는 비치환된 아민기, 치환 또는 비치환된 C6 내지 C30 아릴아민기, 치환 또는 비치환된 C3 내지 C30 헤테로아릴아민기, 치환 또는 비치환된 C1 내지 C30 알콕시기, 치환 또는 비치환된 C2 내지 C30 알콕시카르보닐기, 치환 또는 비치환된 C2 내지 C30 알콕시카르보닐아미노기, 치환 또는 비치환된 C7 내지 C30 아릴옥시카르보닐아미노기, 치환 또는 비치환된 C1 내지 C30 술파모일아미노기, 치환 또는 비치환된 C2 내지 C30 알케닐기, 치환 또는 비치환된 C2 내지 C30 알키닐기, 치환 또는 비치환된 실릴기, 치환 또는 비치환된 실릴옥시기, 치환 또는 비치환된 C1 내지 C30 아실기, 치환 또는 비치환된 C1 내지 C20 아실옥시기, 치환 또는 비치환된 C1 내지 C20 아실아미노기, 치환 또는 비치환된 C1 내지 C30 술포닐기, 치환 또는 비치환된 C1 내지 C30 알킬티올기, 치환 또는 비치환된 C1 내지 C30 헤테로사이클로티올기, 치환 또는 비치환된 C6 내지 C30 아릴티올기, 치환 또는 비치환된 C1 내지 C30 헤테로아릴티올기, 치환 또는 비치환된 C1 내지 C30 우레이드기, 할로겐기, 할로겐 함유기, 시아노기, 히드록실기, 아미노기, 니트로기, 카르복실기, 페로세닐기 또는 이들의 조합이다.R a to R d each independently represent hydrogen, deuterium, a substituted or unsubstituted C1 to C30 alkyl group, a substituted or unsubstituted C3 to C30 cycloalkyl group, a substituted or unsubstituted C3 to C30 heterocycloalkyl group, A substituted or unsubstituted C6 to C30 aryl group, a substituted or unsubstituted C2 to C30 heteroaryl group, a substituted or unsubstituted amine group, a substituted or unsubstituted C6 to C30 arylamine group, a substituted or unsubstituted C3 to C30 heteroaryl amine A substituted or unsubstituted C1 to C30 alkoxy group, a substituted or unsubstituted C2 to C30 alkoxycarbonyl group, a substituted or unsubstituted C2 to C30 alkoxycarbonylamino group, a substituted or unsubstituted C7 to C30 aryloxycarbonylamino group , A substituted or unsubstituted C1 to C30 sulfamoylamino group, a substituted or unsubstituted C2 to C30 alkenyl group, a substituted or unsubstituted C2 to C30 alkynyl group, A substituted or unsubstituted C1 to C20 acyl group, a substituted or unsubstituted C1 to C20 acylamino group, a substituted or unsubstituted C1 to C30 acyl group, a substituted or unsubstituted C1 to C20 acyloxy group, a substituted or unsubstituted C1 to C20 acylamino group, A substituted or unsubstituted C1 to C30 alkylthiol group, a substituted or unsubstituted C1 to C30 heterocyclic thiol group, a substituted or unsubstituted C6 to C30 arylthiol group, a substituted or unsubstituted C1 to C30 arylthiol group, A C1 to C30 heteroarylthiol group, a substituted or unsubstituted C1 to C30 ureide group, a halogen group, a halogen-containing group, a cyano group, a hydroxyl group, an amino group, a nitro group, a carboxyl group, a ferrocenyl group or a combination thereof.
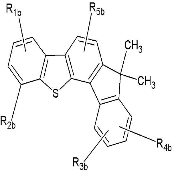
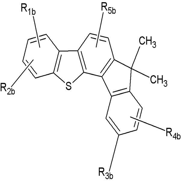
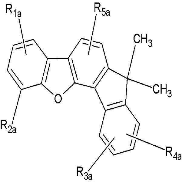
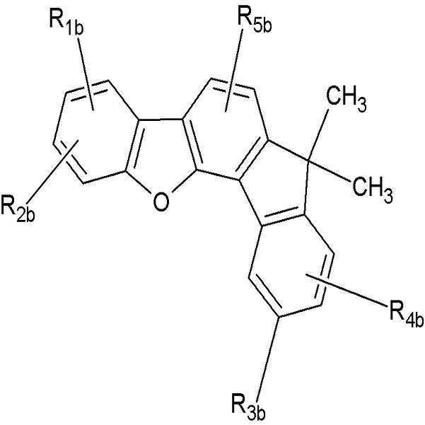
상기 제1 호스트 화합물은 치환기의 결합 위치에 따라 예컨대 하기 화학식 Ⅰ-A 내지 Ⅰ-C 중 어느 하나로 표현될 수 있고,The first host compound may be represented by any one of the following general formulas I-A to I-C, depending on the bonding position of the substituent,
상기 제2 호스트 화합물은 치환기의 결합 위치에 따라 예컨대 하기 화학식 Ⅱ-A 내지 Ⅱ-C 중 어느 하나로 표현될 수 있다.The second host compound may be represented by any of the following formulas (II-A) to (II-C) depending on the bonding position of the substituent.
[화학식 Ⅰ-A] [화학식 Ⅰ-B] [화학식 Ⅰ-C][Chemical Formula I-A] [Chemical Formula I-B] [Chemical Formula I-C]
, , , ,
[화학식 Ⅱ-A] [화학식 Ⅱ-B] [화학식 Ⅱ-C][Formula II-A] Formula (II-B) Formula (II-C)
, , , ,
상기 화학식 Ⅰ-A 내지 Ⅱ-C에서, X1 내지 X4, R1a 내지 R5a, 및 R1b 내지 R5b는 전술한 바와 같다.In the above formulas I-A to II-C, X 1 to X 4 , R 1a to R 5a , and R 1b to R 5b are as described above.
상기 제1 호스트 화합물은 예컨대 하기 화학식 Ⅰ-a 내지 Ⅰ-f 중 어느 하나로 표현될 수 있고,The first host compound may be represented by, for example, any one of the following formulas (I-a) to (I-f)
상기 제2 호스트 화합물은 예컨대 하기 화학식 Ⅱ-a 내지 Ⅱ-f 중 어느 하나로 표현될 수 있다.The second host compound may be represented by any one of the following general formulas (II-a) to (II-f).
[화학식 Ⅰ-a] [화학식 Ⅰ-b] [화학식 Ⅰ-c][Formula I-a] [Formula I-b] [Formula I-c]
, , , , , ,
[화학식 Ⅰ-d] [화학식 Ⅰ-e] [화학식 Ⅰ-f][Formula I-d] [Formula I-e] [Formula I-f]
, , , ,
[화학식 Ⅱ-a] [화학식 Ⅱ-b] [화학식 Ⅱ-c][Formula II-a] [Formula II-b] [Formula II-c]
, , , , , ,
[화학식 Ⅱ-d] [화학식 Ⅱ-e] [화학식 Ⅱ-f][Formula II-d] [Formula II-e] [Formula II-f]
, , , ,
상기 화학식 Ⅰ-a 내지 Ⅱ-f에서,In the above formulas (I-a) to (II-f)
R1a 내지 R5a, 및 R1b 내지 R5b는 전술한 바와 같다.R 1a to R 5a , and R 1b to R 5b are as described above.
상기 R1a 내지 R5a는 각각 독립적으로 하기 그룹 1에 나열된 작용기에서 선택된 하나일 수 있다.Each of R < 1a > to R < 5a > may independently be selected from the functional groups listed in Group 1 below.
[그룹 1][Group 1]
상기 그룹 1에서,In the group 1,
R, R' 및 R101 내지 R132는 각각 독립적으로 수소, 중수소, 치환 또는 비치환된 C1 내지 C30 알킬기, 치환 또는 비치환된 C1 내지 C30 실릴기, 치환 또는 비치환된 C6 내지 C30 아릴기, 또는 이들의 조합이고,R, R 'and R 101 to R 132 each independently represent hydrogen, deuterium, a substituted or unsubstituted C1 to C30 alkyl group, a substituted or unsubstituted C1 to C30 silyl group, a substituted or unsubstituted C6 to C30 aryl group, Or a combination thereof,
*는 연결 지점이고 상기 작용기를 이루는 원소들 중 어느 하나에 위치할 수 있다.* Is a connecting point and may be located in any of the elements forming the functional group.
상기 그룹 1에 나열된 작용기는 치환 또는 비치환된 하기의 화학식 A-1 내지 A-15에서 선택된 하나일 수 있다.The functional groups listed in the group 1 may be selected from substituted or unsubstituted groups represented by the following formulas A-1 to A-15.
[A-1][A-2][A-3][A-4][A-5][A-6] [A-1] [A-2] [A-3] [A-4]
, , , , , , , , , , , ,
[A-7][A-8][A-9][A-10][A-11][A-7] [A-8] [A-9] [A-10]
, , , , , , , , , ,
[A-12][A-13][A-14][A-15][A-16][A-12] [A-13] [A-14] [A-15]
, , , , , , , ,
상기 화학식 A-1 내지 A-16에서, *는 연결 지점이다. In the above Formulas A-1 to A-16, * is a connecting point.
R1b 내지 R5b는 각각 독립적으로 하기 그룹 2에 나열된 치환 또는 비치환된 작용기에서 선택된 하나일 수 있다.R 1b to R 5b may each independently be selected from a substituted or unsubstituted functional group listed in the following group 2.
[그룹 2][Group 2]
상기 그룹 2에서,In the group 2,
Z는 각각 독립적으로 N 또는 CRa이고, Z 중 적어도 하나는 N이고,Z is each independently N or CR a , at least one of Z is N,
W 및 Y는 각각 독립적으로 N, O, S, SO, SO2, CRb, CRcRd, SiRe 또는 SiRfRg이고,W and Y are each independently N, O, S, SO, SO 2, CR b, CR c R d, SiR e or SiR f R g,
여기서 Ra 내지 Rg는 각각 독립적으로 수소, 중수소, 치환 또는 비치환된 C1 내지 C30 알킬기, 치환 또는 비치환된 C3 내지 C30 사이클로알킬기, 치환 또는 비치환된 C3 내지 C30 헤테로사이클로알킬기, 치환 또는 비치환된 C6 내지 C30 아릴기, 또는 치환 또는 비치환된 C2 내지 C30 헤테로아릴기이고,Wherein each of R a to R g is independently hydrogen, deuterium, a substituted or unsubstituted C1 to C30 alkyl group, a substituted or unsubstituted C3 to C30 cycloalkyl group, a substituted or unsubstituted C3 to C30 heterocycloalkyl group, A substituted or unsubstituted C6 to C30 aryl group, or a substituted or unsubstituted C2 to C30 heteroaryl group,
*는 연결 지점이고 상기 작용기를 이루는 원소들 중 어느 하나에 위치할 수 있다.* Is a connecting point and may be located in any of the elements forming the functional group.
상기 그룹 2에 나열된 작용기는 치환 또는 비치환된 하기의 화학식 B-1 내지 B-35에서 선택된 하나일 수 있다.The functional groups listed in the group 2 may be selected from substituted or unsubstituted groups represented by the following formulas B-1 to B-35.
[B-1] [B-2] [B-3] [B-4] [B-5][B-1] [B-2] [B-3] [B-4]
[B-6] [B-7] [B-8] [B-9] [B-10][B-6] [B-7] [B-8] [B-9]
[B-11] [B-12] [B-13] [B-14][B-15][B-11] [B-12] [B-13] [B-14]
[B-16] [B-17] [B-18] [B-19] [B-20][B-16] [B-17] [B-18] [B-19]
[B-21][B-22] [B-23][B-24] [B-25][B-21] [B-22] [B-23] [B-24]
[B-26] [B-27] [B-28] [B-29] [B-30][B-26] [B-27] [B-28] [B-29] [B-30]
[B-31] [B-32] [B-33] [B-34] [B-35] [B-31] [B-32] [B-33] [B-34]
상기 화학식 B-1 내지 B-35에서, *는 연결 지점이다.In the above Formulas B-1 to B-35, * is a connecting point.
상기 제1 호스트 화합물 및 상기 제2 호스트 화합물은 예컨대 표 1 및 표 2에 나열된 화합물일 수 있으며, 여기서 치환기는 코어부가 Ⅰ-a 및 Ⅰ-d인 경우, R2a을 의미하고, 코어부가 Ⅱ-a 및 Ⅱ-d인 경우 R2b를 의미하며, 코어부가 Ⅰ-b 및 Ⅰ-e인 경우, R3a을 의미하고, 코어부가 Ⅱ-b 및 Ⅱ-e인 경우 R3b를 의미하며, 코어부가 Ⅰ-c 및 Ⅰ-f인 경우, R4a를 의미하고, 코어부가 Ⅱ-c 및 Ⅱ-f인 경우, R4b를 의미하며, 이외 특별히 언급되지 않은 치환기는 모두 수소이다.The first host compound and the second host compound may be, for example, the compounds listed in Table 1 and Table 2, wherein the substituent means R 2a when the core moiety is I-a and I-d, a and II-d, R 2b means the case where the core moiety is I-b and I-e, R 3a means the core moiety and R 3b when the core moiety is II-b and II-e, In the case of I-c and I-f, it means R 4a , and when the core moiety is II-c and II-f, it means R 4b , and all substituents not specifically mentioned are all hydrogen.
번호compound
number
번호compound
number
번호compound
number
번호compound
number
번호compound
number
번호compound
number
상기 제1 호스트 화합물은 예컨대 하기에 나열된 화합물 중 어느 하나로 표현될 수 있다.The first host compound may be represented, for example, by any of the compounds listed below.
[화학식 Ⅰ-2] [화학식 Ⅰ-4] [화학식 Ⅰ-5] [화학식 Ⅰ-7][Formula I-2] [Formula I-4] [Formula I-5] [Formula I-7]
[화학식 Ⅰ-8] [화학식 Ⅰ-10] [화학식 Ⅰ-11] [화학식 Ⅰ-12][Formula I-8] [Formula I-10] [Formula I-11] [Formula I-12]
[화학식 Ⅰ-13] [화학식 Ⅰ-14] [화학식 Ⅰ-15] [화학식 Ⅰ-16][Formula I-13] [Formula I-14] [Formula I-15] [Formula I-16]
[화학식 Ⅰ-18] [화학식 Ⅰ-20] [화학식 Ⅰ-21] [화학식 Ⅰ-23][Formula I-18] [Formula (I-20)] [Formula (I-21)
[화학식 Ⅰ-24] [화학식 Ⅰ-26] [화학식 Ⅰ-27] [화학식 Ⅰ-28][Formula I-24] [Formula I-26] [Formula I-27] [Formula I-28]
[화학식 Ⅰ-29] [화학식 Ⅰ-30] [화학식 Ⅰ-31] [화학식 Ⅰ-32] [Formula I-29] [Formula I-30] [Formula I-31] [Formula I-32]
[화학식 Ⅰ-34] [화학식 Ⅰ-36] [화학식 Ⅰ-37] [화학식 Ⅰ-39] [Formula I-34] [Formula I-36] [Formula I-37] [Formula I-39]
[화학식 Ⅰ-40] [화학식 Ⅰ-42] [화학식 Ⅰ-43] [화학식 Ⅰ-44][Formula I-40] [Formula I-42] [Formula I-43] [Formula I-44]
[화학식 Ⅰ-45] [화학식 Ⅰ-46] [화학식 Ⅰ-47] [화학식 Ⅰ-48] [Formula I-45] [Formula I-46] [Formula I-47] [Formula I-48]
[화학식 Ⅰ-50] [화학식 Ⅰ-52] [화학식 Ⅰ-53] [화학식 Ⅰ-55][Formula I-50] [Formula (I-52)] [Formula (I-53)
[화학식 Ⅰ-56] [화학식 Ⅰ-58] [화학식 Ⅰ-61] [화학식 Ⅰ-62][Formula I-56] [Formula (I-58)] [Formula (I-61)
[화학식 Ⅰ-63] [화학식 Ⅰ-64] [화학식 Ⅰ-68] [화학식 Ⅰ-69] [Formula I-63] [Formula I-64] [Formula I-68] [Formula I-69]
[화학식 Ⅰ-71] [화학식 Ⅰ-72] [화학식 Ⅰ-74] [화학식 Ⅰ-77] [Formula I-71] [Formula (I-72)] [Formula (I-74)
[화학식 Ⅰ-78] [화학식 Ⅰ-79] [화학식 Ⅰ-80] [화학식 Ⅰ-82][Formula I-78] [Formula (I-79)] [Formula (I-80)
[화학식 Ⅰ-84] [화학식 Ⅰ-85] [화학식 Ⅰ-87] [화학식 Ⅰ-88][Formula I-84] [Formula (I-85)] [Formula (I-87)
[화학식 Ⅰ-90] [화학식 Ⅰ-93] [화학식 Ⅰ-95] [화학식 Ⅰ-96][Formula I-90] [Formula (I-93)] [Formula (I-95)
상기 제2 호스트 화합물은 예컨대 하기에 나열된 화합물 중 어느 하나로 표현될 수 있다.The second host compound may be represented, for example, by any one of the compounds listed below.
[화학식 Ⅱ-13] [화학식 Ⅱ-16] [화학식 Ⅱ-18] [화학식 Ⅱ-23] [Formula II-13] [Formula II-16] [Formula II-18] [Formula II-23]
[화학식 Ⅱ-28] [화학식 Ⅱ-51] [화학식 Ⅱ-53] [화학식 Ⅱ-58][Formula II-28] [Formula (II-51)] (Formula (II-53)
[화학식 Ⅱ-61] [화학식 Ⅱ-63] [화학식 Ⅱ-83] [화학식 Ⅱ-86][Formula II-61] [Formula (II-63)] (Formula (II-83)
[화학식 Ⅱ-88] [화학식 Ⅱ-98] [화학식 Ⅱ-118] [화학식 Ⅱ-121] [Formula II-88] [Formula (II-98)] (Formula (II-118)
[화학식 Ⅱ-123] [화학식 Ⅱ-128] [화학식 Ⅱ-133] [화학식 Ⅱ-156] [Formula II-123] [Formula (II-128)] [Formula (II-133)
[화학식 Ⅱ-158] [화학식 Ⅱ-163] [화학식 Ⅱ-166] [화학식 Ⅱ-168] [Formula II-158] [Formula (II-163)] (Formula (II-166)
[화학식 Ⅱ-193][Formula II-193]
상술한 제1 호스트 화합물과 제2 호스트 화합물은 다양한 조합에 의해 다양한 조성물을 준비할 수 있다. 예컨대 상기 제1 호스트 화합물과 상기 제2 호스트 화합물을 포함하는 조성물일 수 있다.The first host compound and the second host compound described above can be prepared in various compositions in various combinations. For example, a composition comprising the first host compound and the second host compound.
일 예로, 상기 표 1에 나타낸 화학식 I의 화합물 중에서 선택된 화합물을 제1 호스트로 하고, 상기 표 2에 나타낸 화학식 I의 화합물 중에서 선택된 화합물을 제2 호스트로 하는 조성물일 수 있다. For example, the composition may be a composition wherein a compound selected from the compounds of the formula (I) shown in Table 1 is used as the first host and a compound selected from the compounds of the formula (I) shown in Table 2 is used as the second host.
상기 표 1 및 표 2에 나열된 화합물은 다양한 제1 호스트 화합물과 제2 호스트 화합물을 예시적으로 보여주나, 이에 한정되는 것은 아니다. The compounds listed in Table 1 and Table 2 illustrate various first and second host compounds, but are not limited thereto.
전술한 바와 같이 상기 제1 호스트 화합물은 정공 특성을 가지는 화합물이고 상기 제2 호스트 화합물은 전자 특성을 가지는 화합물이므로, 이들을 함께 포함함으로써 바이폴라 특성을 구현할 수 있다. 따라서 상기 조성물을 유기 광전자 소자의 발광층에 적용시 양호한 계면 특성 및 정공과 전자의 수송 능력을 개선할 수 있다.As described above, the first host compound is a compound having hole characteristics, and the second host compound is a compound having electronic characteristics, so that the bipolar characteristics can be realized by including them together. Therefore, when the composition is applied to the light emitting layer of an organic optoelectronic device, it is possible to improve the good interfacial characteristics and the transportability of holes and electrons.
상기 제1 호스트 화합물과 상기 제2 호스트 화합물은 예컨대 1:10 내지 10:1의 중량비로 포함될 수 있다. 상기 범위로 포함됨으로써 제1 호스트 화합물의 정공 수송 능력과 제2 호스트 화합물의 전자 수송 능력을 이용해 적절한 중량비를 맞추어 발광층을 형성하면 바이폴라 특성을 구현하여 효율과 수명을 개선할 수 있다.The first host compound and the second host compound may be contained in a weight ratio of, for example, 1:10 to 10: 1. When the hole transporting ability of the first host compound and the electron transporting ability of the second host compound are adjusted to be appropriate, the light emitting layer can be formed to improve the efficiency and lifetime by implementing the bipolar characteristics.
상기 조성물은 전술한 제1 호스트 화합물 및 제2 호스트 화합물 외에 1종 이상의 호스트 화합물을 더 포함할 수 있다. The composition may further include at least one host compound in addition to the first host compound and the second host compound.
상기 조성물은 도펀트를 더 포함할 수 있다. 상기 도펀트는 적색, 녹색 또는 청색의 도펀트일 수 있으며, 예컨대 인광 도펀트일 수 있다.The composition may further comprise a dopant. The dopant may be a red, green or blue dopant, for example a phosphorescent dopant.
상기 도펀트는 상기 제1 호스트 화합물과 상기 제2 호스트 화합물에 미량 혼합되어 발광을 일으키는 물질로, 일반적으로 삼중항 상태 이상으로 여기시키는 다중항 여기(multiple excitation)에 의해 발광하는 금속 착체(metal complex)와 같은 물질이 사용될 수 있다. 상기 도펀트는 예컨대 무기, 유기, 유무기 화합물일 수 있으며, 1종 또는 2종 이상 포함될 수 있다.The dopant may be a metal complex that emits light by multiple excitation that is excited by a triplet state or higher, and is a substance that emits light by mixing with the first host compound and the second host compound. May be used. The dopant may be, for example, an inorganic, organic, or organic compound, and may include one or more species.
상기 인광 도펀트의 예로는 Ir, Pt, Os, Ti, Zr, Hf, Eu, Tb, Tm, Fe, Co, Ni, Ru, Rh, Pd 또는 이들의 조합을 포함하는 유기 금속화합물을 들 수 있다. 상기 인광 도펀트는 예컨대 하기 화학식 A 내지 C로 표현되는 화합물을 사용할 수 있으나, 이에 한정되는 것은 아니다.Examples of the phosphorescent dopant include organic metal compounds including Ir, Pt, Os, Ti, Zr, Hf, Eu, Tb, Tm, Fe, Co, Ni, Ru, Rh and Pd or combinations thereof. The phosphorescent dopant can be, for example, compounds represented by the following formulas (A) to (C), but is not limited thereto.
[화학식 A] [화학식 B] [화학식 C][Chemical Formula B] [Chemical Formula C]
상기 조성물은 화학기상증착과 같은 건식 성막법에 의해 형성될 수 있다.The composition may be formed by a dry film forming method such as chemical vapor deposition.
이하 상술한 조성물을 적용한 유기 광전자 소자를 설명한다.Hereinafter, an organic optoelectronic device to which the above-described composition is applied will be described.
상기 유기 광전자 소자는 전기 에너지와 광 에너지를 상호 전환할 수 있는 소자이면 특별히 한정되지 않으며, 예컨대 유기 광전 소자, 유기 발광 소자, 유기 태양 전지 및 유기 감광체 드럼 등을 들 수 있다.The organic optoelectronic device is not particularly limited as long as it is an element capable of converting electric energy and optical energy. Examples of the organic optoelectronic device include organic light emitting devices, organic solar cells, and organic photoconductor drums.
여기서는 유기 광전자 소자의 일 예인 유기 발광 소자를 도면을 참고하여 설명한다.Here, an organic light emitting device, which is an example of an organic optoelectronic device, will be described with reference to the drawings.
도 1 및 도 2는 일 구현예에 따른 유기 발광 소자를 보여주는 단면도이다.1 and 2 are cross-sectional views illustrating an organic light emitting device according to an embodiment.
도 1을 참고하면, 일 구현예에 따른 유기 광전자 소자(100)는 서로 마주하는 양극(120)과 음극(110), 그리고 양극(120)과 음극(110) 사이에 위치하는 유기층(105)을 포함한다.1, an organic
양극(120)은 예컨대 정공 주입이 원활하도록 일 함수가 높은 도전체로 만들어질 수 있으며, 예컨대 금속, 금속 산화물 및/또는 도전성 고분자로 만들어질 수 있다. 양극(120)은 예컨대 니켈, 백금, 바나듐, 크롬, 구리, 아연, 금과 같은 금속 또는 이들의 합금; 아연산화물, 인듐산화물, 인듐주석산화물(ITO), 인듐아연산화물(IZO)과 같은 금속 산화물; ZnO와 Al 또는 SnO2와 Sb와 같은 금속과 산화물의 조합; 폴리(3-메틸티오펜), 폴리(3,4-(에틸렌-1,2-디옥시)티오펜)(polyehtylenedioxythiophene: PEDT), 폴리피롤 및 폴리아닐린과 같은 도전성 고분자 등을 들 수 있으나, 이에 한정되는 것은 아니다. The
음극(110)은 예컨대 전자 주입이 원활하도록 일 함수가 낮은 도전체로 만들어질 수 있으며, 예컨대 금속, 금속 산화물 및/또는 도전성 고분자로 만들어질 수 있다. 음극(110)은 예컨대 마그네슘, 칼슘, 나트륨, 칼륨, 타이타늄, 인듐, 이트륨, 리튬, 가돌리늄, 알루미늄, 은, 주석, 납, 세슘, 바륨 등과 같은 금속 또는 이들의 합금; LiF/Al, LiO2/Al, LiF/Ca, LiF/Al 및 BaF2/Ca과 같은 다층 구조 물질을 들 수 있으나, 이에 한정되는 것은 아니다. The
유기층(105)은 전술한 조성물을 포함하는 발광층(130)을 포함한다. The
발광층(130)은 예컨대 전술한 조성물을 포함할 수 있다. The
도 2를 참고하면, 유기 발광 소자(200)는 발광층(130) 외에 정공 보조층(140)을 더 포함한다. 정공 보조층(140)은 양극(120)과 발광층(130) 사이의 정공 주입 및/또는 정공 이동성을 더욱 높이고 전자를 차단할 수 있다. 정공 보조층(140)은 예컨대 정공 수송층, 정공 주입층 및/또는 전자 차단층일 수 있으며, 적어도 1층을 포함할 수 있다. Referring to FIG. 2, the organic
또한, 본 발명의 일 구현예에서는 도 1 또는 도 2에서 유기박막층(105)으로서 추가로 전자 수송층, 전자주입층, 전공주입층 등을 더 포함한 유기발광 소자일 수도 있다. In one embodiment of the present invention, the organic
유기 발광 소자(100, 200)는 기판 위에 양극 또는 음극을 형성한 후, 진공증착법(evaporation), 스퍼터링(sputtering), 플라즈마 도금 및 이온도금과 같은 건식성막법 등으로 유기층을 형성한 후, 그 위에 음극 또는 양극을 형성하여 제조할 수 있다.The organic
상술한 유기 발광 소자는 유기 발광 표시 장치에 적용될 수 있다.
The organic light emitting device described above can be applied to an organic light emitting display.
이하에서는 본 발명의 구체적인 실시예들을 제시한다. 다만, 하기에 기재된 실시예들은 본 발명을 구체적으로 예시하거나 설명하기 위한 것에 불과하며, 이로서 본 발명이 제한되어서는 아니된다.
Hereinafter, specific embodiments of the present invention will be described. However, the embodiments described below are only intended to illustrate or explain the present invention, and thus the present invention should not be limited thereto.
유기 화합물의 합성Synthesis of organic compounds
중간체 1-a의 합성Synthesis of intermediate 1-a
[반응식 1] [Reaction Scheme 1]
제 1 단계; 중간체 생성물 (A)의 합성A first step; Synthesis of intermediate product (A)
중간체 (4-dibenzofuranyl)boronic acid 23g (108.5 mmol), 메틸-2-브로모-벤조에이트(methyl-2-bromo-benzoate) 24.5 g (113.9 mmol), 테트라키스트리페닐포스핀팔라듐 6.3 g (5.47 mmol)을 플라스크에 넣고 질소 분위기 하에 톨루엔 500 ml에 용해 시킨 후 포타슘 카보네이트(potassium carbonate) 79.9 g (542.4 mmol) 을 녹인 수용액 271.2 ml를 첨가 시킨 후 12시간 동안 환류 교반 하였다. 반응 종료 후 에틸아세테이트로 추출 후 추출액을 마그네슘 설파이트(magnesium sulphate)로 건조, 여과하고 여과액을 감압 농축하였다. 생성물을 n-헥산/디클로로메탄(7 : 3 부피비)으로 실리카 겔 컬럼 크로마토그래피로 정제하여 목적 화합물인 중간체 (A)을 흰색 고체로 31 g (수율 94.5 %) 을 수득 하였다.24.5 g (113.9 mmol) of methyl-2-bromo-benzoate and 6.3 g (5.47 mmol) of tetrakistriphenylphosphine palladium were added to a solution of 23 g (108.5 mmol) of 4-dibenzofuranyl boronic acid, mmol) were dissolved in 500 ml of toluene under a nitrogen atmosphere, 271.2 ml of an aqueous solution containing 79.9 g (542.4 mmol) of potassium carbonate was added, and the mixture was refluxed for 12 hours. After completion of the reaction, the reaction mixture was extracted with ethyl acetate. The extract was dried with magnesium sulphate, filtered and the filtrate was concentrated under reduced pressure. The product was purified by silica gel column chromatography with n-hexane / dichloromethane (7: 3 by volume) to give 31 g (94.5% yield) of intermediate (A) as a white solid.
LC-Mass (이론치: 302.32 g/mol, 측정치: M+1 = 302 g/mol)LC-Mass (theory: 302.32 g / mol, measurement: M + 1 = 302 g / mol)
제 2 단계; 중간체 생성물 (B)의 합성A second step; Synthesis of intermediate product (B)
중간체 (A) 29 g (95.92 mmol)을 플라스크에 넣고 질소 분위기 하에 무수 테트라히드로퓨란(tetrahydrofuran, THF) 400 ml에 용해시킨 후 0℃로 냉각, 교반하였다. 여기에 3M 메틸마그네슘브로마이드(methylmagnesiumbromide) 95.9 mL(in diethyl ether, 287.8 mmol)을 천천히 가한 후 상온에서 질소 분위기 하에 5시간 교반하였다. 반응 종료 후 용액을 감압 농축하여 용매를 제거한 후 증류수와 디클로로메탄으로 추출 후 추출액을 마그네슘 설파이트(magnesium sulphate)로 건조, 여과하고 여과액을 감압 농축하여 목적화합물인 중간체 (B)을 점성이 큰 액체형태로 수득하였다.29 g (95.92 mmol) of the intermediate (A) was placed in a flask, and dissolved in 400 ml of anhydrous tetrahydrofuran (THF) under a nitrogen atmosphere. The mixture was cooled to 0 캜 and stirred. 95.9 mL (in diethyl ether, 287.8 mmol) of 3M methylmagnesiumbromide was slowly added thereto, followed by stirring at room temperature under a nitrogen atmosphere for 5 hours. After completion of the reaction, the solution was concentrated under reduced pressure to remove the solvent, followed by extraction with distilled water and dichloromethane. The extract was dried with magnesium sulfate and filtered, and the filtrate was concentrated under reduced pressure to obtain the desired intermediate (B) Lt; / RTI >
제 3 단계; 중간체 생성물 (C)의 합성A third step; Synthesis of intermediate product (C)
중간체 (B)를 디클로로메탄 250 ml에 용해시킨 후 0℃로 냉각, 교반하였다. 여기에 디클로로메탄 20 mL에 녹인 보론트리플루오라이드(borontrifluoride), 디에틸에터(diethyl ether complex) 12.84 g (47.5 mmol)을 천천히 가한 후 상온에서 5시간 교반하였다. 반응 종료 후 에틸아세테이트로 추출 후 추출액을 마그네슘 설파이트(magnesium sulphate)로 건조, 여과하고 여과액을 감압 농축하였다. 생성물을 n-Hexane 으로 실리카 겔 컬럼 크로마토그래피로 정제하여 목적 화합물인 중간체 (C)을 흰색 고체로 22 g (수율 71.9%) 을 수득 하였다.Intermediate (B) was dissolved in 250 ml of dichloromethane, cooled to 0 캜 and stirred. Borontrifluoride and diethyl ether complex (12.84 g, 47.5 mmol) dissolved in 20 mL of dichloromethane were slowly added thereto, followed by stirring at room temperature for 5 hours. After completion of the reaction, the reaction mixture was extracted with ethyl acetate. The extract was dried with magnesium sulphate, filtered and the filtrate was concentrated under reduced pressure. The product was purified by silica gel column chromatography with n-hexane to obtain 22 g (yield: 71.9%) of intermediate compound (C) as a white solid.
LC-Mass (이론치: 284.35 g/mol, 측정치: M+1 = 284 g/mol)LC-Mass (theory: 284.35 g / mol, measurement: M + 1 = 284 g / mol)
제 4 단계; 중간체 생성물 1-a의 합성Step 4; Synthesis of intermediate product 1-a
진공 하에서 가열 건조한 2구 둥근 바닥 플라스크에 질소 분위기 하에서 중간체 (C) 70 g (246.18 mmol)을 넣고 무수 테트라히드로퓨란 500 mL 를 가하여 용해시킨 후 -78℃로 냉각, 교반하였다. 여기에 2.5M n-부틸리튬 118 mL (in Hexane, 295.41 mmol)을 천천히 가한 후 상온에서 질소 분위기 하에 6시간 교반하였다. 반응액을 -78℃로 냉각한 후 여기에 트리이소프로필 보레이트 68.17 mL (295.41 mmol)을 천천히 가한 후 상온에서 12시간 교반하였다. 3N HCl 수용액으로 반응 종료 후, 에틸아세테이트으로 추출하고, 추출액을 마그네슘 설파이트(magnesium sulphate)로 건조, 여과하고 여과액을 감압 농축하였다. 생성물을 실리카 겔 필터로 정제하여 목적화합물인 중간체 1-a을 62.5 g (수율 77 %)을 수득하였다.70 g (246.18 mmol) of Intermediate (C) was added to a 2-necked round-bottomed flask heated and dried under vacuum, and 500 mL of anhydrous tetrahydrofuran was added to dissolve it. 118 mL (in Hexane, 295.41 mmol) of 2.5M n-butyllithium was slowly added thereto, followed by stirring at room temperature under a nitrogen atmosphere for 6 hours. After the reaction solution was cooled to -78 ° C, 68.17 mL (295.41 mmol) of triisopropyl borate was slowly added thereto, followed by stirring at room temperature for 12 hours. After completion of the reaction with 3N HCl aqueous solution, the reaction mixture was extracted with ethyl acetate, and the extract was dried with magnesium sulphate, filtered and the filtrate was concentrated under reduced pressure. The product was purified by a silica gel filter to obtain 62.5 g (yield 77%) of Intermediate 1-a of interest.
LC-Mass (이론치: 328.17 g/mol, 측정치: M+1 = 328 g/mol)
LC-Mass (theory: 328.17 g / mol, measurement: M + 1 = 328 g / mol)
중간체 1-b의 합성Synthesis of Intermediate 1-b
[반응식 2][Reaction Scheme 2]
제 1 단계; 중간체 생성물 (D)의 합성A first step; Synthesis of intermediate product (D)
(4-디벤조퓨라닐)보론산((4-dibenzofuranyl)boronic acid) 30 g (141.5 mmol), 메틸-2-브로모-4-클로로벤조에이트(methyl-2-bromo-5-chlorobenzoate) 37.1 g (148.6 mmol), 테트라키스트리페닐포스핀팔라듐 8.2 g (7.1 mmol)을 플라스크에 넣고 질소 분위기 하에 톨루엔 550 ml에 용해 시킨 후 포타슘 카보네이트(potassium carbonate) 104.2 g (707.51 mmol) 을 녹인 수용액 353.8 ml를 첨가 시킨 후 12시간 동안 환류 교반 하였다. 반응 종료 후 에틸아세테이트로 추출 후 추출액을 마그네슘 설파이트(magnesium sulphate)로 건조, 여과하고 여과액을 감압 농축하였다. 생성물을 n-헥산/디클로로메탄(7 : 3 부피비)으로 실리카 겔 컬럼 크로마토그래피로 정제하여 목적 화합물인 중간체 (D)를 흰색 고체로 38.2 g (수율 80 %) 을 수득하였다.30 g (141.5 mmol) of (4-dibenzofuranyl) boronic acid, methyl-2-bromo-5-chlorobenzoate 37.1 g (148.6 mmol) of tetrakistriphenylphosphine palladium and 8.2 g (7.1 mmol) of tetrakistriphenylphosphine palladium were placed in a flask and dissolved in 550 ml of toluene under a nitrogen atmosphere. 353.8 ml of an aqueous solution obtained by dissolving 104.2 g (707.51 mmol) of potassium carbonate And the mixture was refluxed for 12 hours. After completion of the reaction, the reaction mixture was extracted with ethyl acetate. The extract was dried with magnesium sulphate, filtered and the filtrate was concentrated under reduced pressure. The product was purified by silica gel column chromatography with n-hexane / dichloromethane (7: 3 by volume) to give 38.2 g (80% yield) of intermediate (D) as a white solid.
LC-Mass (이론치: 336.06 g/mol, 측정치: M+1 = 336 g/mol)LC-Mass (theory: 336.06 g / mol, measured: M + 1 = 336 g / mol)
제 2 단계; 중간체 생성물 (E)의 합성A second step; Synthesis of intermediate product (E)
중간체 (D) 38.18 g (113.37 mmol)을 플라스크에 넣고 질소 분위기 하에 무수 에테르 500 ml에 용해시킨 후 0℃로 냉각, 교반하였다. 여기에 3M 메틸마그네슘브로마이드110 mL(in diethyl ether, 340.1 mmol)을 천천히 가한 후 상온에서 질소 분위기 하에 5시간 교반하였다. 반응 종료 후 용액을 감압 농축하여 용매를 제거한 후 증류수와 디클로로메탄으로 추출 후 추출액을 무수황산마그네슘으로 건조, 여과하고 여과액을 감압 농축하여 목적화합물인 중간체 (E)를 점성이 큰 액체형태로 수득하였다.38.18 g (113.37 mmol) of Intermediate (D) was placed in a flask and dissolved in 500 ml of anhydrous ether under a nitrogen atmosphere, followed by cooling to 0 ° C and stirring. Thereto was slowly added 110 mL of 3M methylmagnesium bromide (in diethyl ether, 340.1 mmol) and the mixture was stirred at room temperature under a nitrogen atmosphere for 5 hours. After completion of the reaction, the solution was concentrated under reduced pressure to remove the solvent, followed by extraction with distilled water and dichloromethane. The extract was dried with anhydrous magnesium sulfate and filtered. The filtrate was concentrated under reduced pressure to obtain the desired intermediate (E) Respectively.
제 3 단계; 중간체 생성물 (F)의 합성 A third step; Synthesis of intermediate product (F)
중간체 (E)를 디클로로메탄 250 ml에 용해시킨 후 0℃로 냉각, 교반하였다. 여기에 디클로로메탄 20 mL에 녹인 보론트리플루오라이드(borontrifluoride), 디에틸에터(diethyl ether complex) 15.18 g (56.7 mmol)을 천천히 가한 후 상온에서 5시간 교반하였다. 반응 종료 후 에틸아세테이트로 추출 후 추출액을 마그네슘 설파이트(magnesium sulphate)로 건조, 여과하고 여과액을 감압 농축하였다. 생성물을 n-Hexane 으로 실리카 겔 컬럼 크로마토그래피로 정제하여 목적 화합물인 중간체 (F)를 흰색 고체로 29 g (수율 80 %)을 수득하였다.Intermediate (E) was dissolved in 250 ml of dichloromethane, followed by cooling to 0 ° C and stirring. Borontrifluoride and diethyl ether complex (15.18 g, 56.7 mmol) dissolved in 20 mL of dichloromethane were slowly added thereto, followed by stirring at room temperature for 5 hours. After completion of the reaction, the reaction mixture was extracted with ethyl acetate. The extract was dried with magnesium sulphate, filtered and the filtrate was concentrated under reduced pressure. The product was purified by silica gel column chromatography with n-hexane to obtain 29 g (yield 80%) of intermediate compound (F) as a white solid.
GC-Mass (이론치: 318.8 g/mol, 측정치: M+1 = 318 g/mol)GC-Mass (theory: 318.8 g / mol, measured: M + 1 = 318 g / mol)
제 4 단계; 중간체 생성물 1-b의 합성Step 4; Synthesis of intermediate product 1-b
진공 하에서 가열 건조한 2구 둥근 바닥 플라스크에 질소 분위기 하에서 중간체 (F) 29 g (90.97 mmol)을 넣고 무수 테트라히드로퓨란 300 mL 를 가하여 용해시킨 후 -78℃로 냉각, 교반하였다. 여기에 1.6M n-부틸리튬 68.2 mL (in Hexane, 109.16 mmol)을 천천히 가한 후 상온에서 질소 분위기 하에 6시간 교반하였다. 반응액을 -78℃로 냉각한 후 여기에 트리메틸 보레이트 7.61 mL (109.16 mmol)을 천천히 가한 후 상온에서 12시간 교반하였다. 3N HCl 수용액으로 반응 종료 후, 에틸아세테이트으로 추출하고, 추출액을 마그네슘 설파이트(magnesium sulphate)로 건조, 여과하고 여과액을 감압 농축하였다. 생성물을 실리카 겔 필터로 정제하여 목적화합물인 중간체 1-b을 23 g (수율 77 %)을 수득하였다.
29 g (90.97 mmol) of Intermediate (F) was added to a 2-necked round-bottomed flask heated and dried under vacuum, 300 mL of anhydrous tetrahydrofuran was added to dissolve it, and the mixture was cooled to -78 ° C and stirred. 68.2 mL (in hexane, 109.16 mmol) of 1.6M n-butyllithium was slowly added thereto, followed by stirring at room temperature under a nitrogen atmosphere for 6 hours. After the reaction solution was cooled to -78 ° C, 7.61 mL (109.16 mmol) of trimethyl borate was slowly added thereto, followed by stirring at room temperature for 12 hours. After completion of the reaction with 3N HCl aqueous solution, the reaction mixture was extracted with ethyl acetate, and the extract was dried with magnesium sulphate, filtered and the filtrate was concentrated under reduced pressure. The product was purified by a silica gel filter to obtain 23 g (yield 77%) of intermediate compound 1-b as a target compound.
중간체 1-c의 합성Synthesis of Intermediate 1-c
[반응식 3]
[Reaction Scheme 3]
제 1 단계; 중간체 생성물 (G)의 합성A first step; Synthesis of intermediate product (G)
(4-디벤조퓨라닐)보론산((4-dibenzofuranyl)boronic acid) 30 g (141.5 mmol), 메틸-2-브로모-5-클로로벤조에이트(methyl-2-bromo-5-chlorobenzoate) 37.1 g (148.6 mmol), 테트라키스트리페닐포스핀팔라듐 8.2 g (7.1 mmol)을 플라스크에 넣고 질소 분위기 하에 톨루엔 550 ml에 용해 시킨 후 포타슘 카보네이트(potassium carbonate) 104.2 g (707.51 mmol) 을 녹인 수용액 353.8 ml를 첨가 시킨 후 12시간 동안 환류 교반 하였다. 반응 종료 후 에틸아세테이트로 추출 후 추출액을 마그네슘 설파이트(magnesium sulphate)로 건조, 여과하고 여과액을 감압 농축하였다. 생성물을 n-헥산/디클로로메탄(7 : 3 부피비)으로 실리카 겔 컬럼 크로마토그래피로 정제하여 목적 화합물인 중간체 (G)를 흰색 고체로 38.2 g (수율 80 %) 을 수득하였다.30 g (141.5 mmol) of (4-dibenzofuranyl) boronic acid, methyl-2-bromo-5-chlorobenzoate 37.1 g (148.6 mmol) of tetrakistriphenylphosphine palladium and 8.2 g (7.1 mmol) of tetrakistriphenylphosphine palladium were placed in a flask and dissolved in 550 ml of toluene under a nitrogen atmosphere. 353.8 ml of an aqueous solution obtained by dissolving 104.2 g (707.51 mmol) of potassium carbonate And the mixture was refluxed for 12 hours. After completion of the reaction, the reaction mixture was extracted with ethyl acetate. The extract was dried with magnesium sulphate, filtered and the filtrate was concentrated under reduced pressure. The product was purified by silica gel column chromatography with n-hexane / dichloromethane (7: 3 by volume) to give 38.2 g (80% yield) of intermediate (G) as a white solid.
LC-Mass (이론치: 336.06 g/mol, 측정치: M+1 = 336 g/mol)LC-Mass (theory: 336.06 g / mol, measured: M + 1 = 336 g / mol)
제 2 단계; 중간체 생성물 (H)의 합성 A second step; Synthesis of intermediate product (H)
중간체 (G) 38.18 g (113.37 mmol)을 플라스크에 넣고 질소 분위기 하에 무수 에테르 500 ml에 용해시킨 후 0℃로 냉각, 교반하였다. 여기에 3M 메틸마그네슘브로마이드110 mL(in diethyl ether, 340.1 mmol)을 천천히 가한 후 상온에서 질소 분위기 하에 5시간 교반하였다. 반응 종료 후 용액을 감압 농축하여 용매를 제거한 후 증류수와 디클로로메탄으로 추출 후 추출액을 무수황산마그네슘으로 건조, 여과하고 여과액을 감압 농축하여 목적화합물인 중간체 (H)를 점성이 큰 액체형태로 수득하였다.38.18 g (113.37 mmol) of Intermediate (G) was placed in a flask and dissolved in 500 ml of anhydrous ether under a nitrogen atmosphere, followed by cooling to 0 ° C and stirring. Thereto was slowly added 110 mL of 3M methylmagnesium bromide (in diethyl ether, 340.1 mmol) and the mixture was stirred at room temperature under a nitrogen atmosphere for 5 hours. After completion of the reaction, the solution was concentrated under reduced pressure to remove the solvent, followed by extraction with distilled water and dichloromethane. The extract was dried over anhydrous magnesium sulfate and filtered. The filtrate was concentrated under reduced pressure to obtain the desired intermediate (H) Respectively.
제 3 단계; 중간체 생성물 (I)의 합성 A third step; Synthesis of intermediate product (I)
중간체 (H)를 디클로로메탄 250 ml에 용해시킨 후 0℃로 냉각, 교반하였다. 여기에 디클로로메탄 20 mL에 녹인 보론트리플루오라이드(borontrifluoride), 디에틸에터(diethyl ether complex) 15.18 g (56.7 mmol)을 천천히 가한 후 상온에서 5시간 교반하였다. 반응 종료 후 에틸아세테이트로 추출 후 추출액을 마그네슘 설파이트(magnesium sulphate)로 건조, 여과하고 여과액을 감압 농축하였다. 생성물을 n-Hexane 으로 실리카 겔 컬럼 크로마토그래피로 정제하여 목적 화합물인 중간체 (I)를 흰색 고체로 29 g (수율 80 %)을 수득하였다.Intermediate (H) was dissolved in 250 ml of dichloromethane, cooled to 0 캜 and stirred. Borontrifluoride and diethyl ether complex (15.18 g, 56.7 mmol) dissolved in 20 mL of dichloromethane were slowly added thereto, followed by stirring at room temperature for 5 hours. After completion of the reaction, the reaction mixture was extracted with ethyl acetate. The extract was dried with magnesium sulphate, filtered and the filtrate was concentrated under reduced pressure. The product was purified by silica gel column chromatography with n-hexane to obtain 29 g (yield 80%) of intermediate compound (I) as a white solid.
GC-Mass (이론치: 318.8 g/mol, 측정치: M+1 = 318 g/mol)GC-Mass (theory: 318.8 g / mol, measured: M + 1 = 318 g / mol)
제 4 단계; 중간체 생성물 1-c의 합성 Step 4; Synthesis of intermediate product 1-c
진공 하에서 가열 건조한 2구 둥근 바닥 플라스크에 질소 분위기 하에서 중간체 (I) 29 g (90.97 mmol)을 넣고 무수 테트라히드로퓨란 300 mL 를 가하여 용해시킨 후 -78℃로 냉각, 교반하였다. 여기에 1.6M n-부틸리튬 68.2 mL (in Hexane, 109.16 mmol)을 천천히 가한 후 상온에서 질소 분위기 하에 6시간 교반하였다. 반응액을 -78℃로 냉각한 후 여기에 트리메틸 보레이트 7.61 mL (109.16 mmol)을 천천히 가한 후 상온에서 12시간 교반하였다. 3N HCl 수용액으로 반응 종료 후, 에틸아세테이트으로 추출하고, 추출액을 마그네슘 설파이트(magnesium sulphate)로 건조, 여과하고 여과액을 감압 농축하였다. 생성물을 실리카 겔 필터로 정제하여 목적화합물인 중간체 1-c을 23 g (수율 77 %)을 수득하였다.
29 g (90.97 mmol) of Intermediate (I) was added to a 2-necked round-bottomed flask heated and dried under vacuum, 300 mL of anhydrous tetrahydrofuran was added to dissolve it, and the mixture was cooled to -78 ° C and stirred. 68.2 mL (in hexane, 109.16 mmol) of 1.6M n-butyllithium was slowly added thereto, followed by stirring at room temperature under a nitrogen atmosphere for 6 hours. After the reaction solution was cooled to -78 ° C, 7.61 mL (109.16 mmol) of trimethyl borate was slowly added thereto, followed by stirring at room temperature for 12 hours. After completion of the reaction with 3N HCl aqueous solution, the reaction mixture was extracted with ethyl acetate, and the extract was dried with magnesium sulphate, filtered and the filtrate was concentrated under reduced pressure. The product was purified by a silica gel filter to obtain 23 g (yield 77%) of Intermediate 1-c as a target compound.
중간체 1-d의 합성Synthesis of intermediate 1-d
합성시작물질이 (4-디벤조티에닐)보론산이며, 중간체 1-a과 같이 하기 반응식 4과 같은 단계 경로를 통해 표제의 중간체 1-d를 합성하였다.The synthesis starting material is (4-dibenzothienyl) boronic acid, and intermediate 1-d was synthesized as in Intermediate 1-a via the same step path as in Scheme 4 below.
[반응식 4][Reaction Scheme 4]
중간체 1-e의 합성Synthesis of Intermediate 1-e
합성시작물질이 4-디벤조티에닐)보론산 이며, 중간체 1-b과 같이 하기 반응식 5과 같은 단계 경로를 통해 표제의 중간체 1-e를 합성하였다.Synthesis starting material is 4-dibenzothienyl) boronic acid, and intermediates 1-e of the title are synthesized as in Intermediate 1-b via the following Scheme 5:
[반응식 5]
[Reaction Scheme 5]
중간체 1-f의 합성Synthesis of Intermediate 1-f
합성시작물질이 (4-디벤조티에닐)보론산이며, 중간체 1-c과 같이 하기 반응식 6과 같은 단계 경로를 통해 표제의 중간체 1-f를 합성하였다.The synthesis starting material is (4-dibenzothienyl) boronic acid, and intermediate 1-f was synthesized as in Intermediate 1-c via the following step sequence as shown in Scheme 6 below.
[반응식 6]
[Reaction Scheme 6]
제1 호스트 화합물의 합성Synthesis of first host compound
실시예Example 1: 제1 호스트 화학식 Ⅰ-4의 합성 1: Synthesis of first host formula I-4
[반응식 7][Reaction Scheme 7]
중간체 Ⅰ-a 10 g (30.47 mmol), 화합물 A-4 8.57 g (27.7 mmol) 및 탄산칼륨 11.49 g (83.11 mmol), 테트라키스-(트라이페닐포스핀)팔라듐(0) 0.64 g (0.55 mmmol) 을 톨루엔 100 ml, 증류수 40 ml에 현탁 시킨 후 12 시간 동안 환류 교반하였다. 디클로로메탄과 증류수로 추출하고 유기층을 실리카겔 필터한다. 유기 용액을 제거하고 헥산 : 디클로로메탄 = 7 : 3(v/v) 으로 실리카겔 컬럼하여 생성물 고체를 디클로로메탄과 노말헥산으로 재결정하여 화학식 Ⅰ-4의 합성물 12 g (수율 : 85 %)을 수득하였다.
(0.55 mmmol) of tetrakis- (triphenylphosphine) palladium (0), 11.49 g (83.11 mmol) of potassium carbonate, 8.57 g (27.7 mmol) of Compound A- Was suspended in toluene (100 ml) and distilled water (40 ml), and the mixture was refluxed for 12 hours. Extraction is carried out with dichloromethane and distilled water, and the organic layer is subjected to silica gel filtration. The organic solution was removed, and the residue was subjected to silica gel column chromatography with hexane: dichloromethane = 7: 3 (v / v), and the resulting solid was recrystallized from dichloromethane and normal hexane to obtain 12 g (yield: 85%) of the compound of formula .
실시예Example 2 내지 14: 화합물의 제조 2 to 14: Preparation of compound
실시예 1의 중간체 Ⅰ-a과 화합물 A-4 대신 하기 표 3에 나열된 화합물을 사용한 것을 제외하고는 실시예 1과 동일한 방법으로 합성하여 각각의 화합물을 얻었다.The compounds were synthesized in the same manner as in Example 1 except that the compounds listed in Table 3 were used instead of the intermediate I-a and the compound A-4 in Example 1, respectively.
LC-Mass (M+H+)yield(%)
LC-Mass (M + H & lt ; + & gt ; )
I-a
Ia
I-7
I-7
511.2082%
511.20
I-a
Ia
I-13
I-13
467.1584%
467.15
I-a
Ia
I-15
I-15
526.2279%
526.22
I-d
Id
I-52
I-52
529.1984%
529.19
I-d
Id
I-63
I-63
542.1981%
542.19
I-c
Ic
I-36
I-36
513.2387%
513.23
I-c
Ic
I-47
I-47
526.2178%
526.21
I-f
If
I-84
I-84
529.2084%
529.20
I-f
If
I-95
I-95
542.1982%
542.19
I-b
Ib
I-20
I-20
513.2285%
513.22
I-b
Ib
I-31
I-31
526.2180%
526.21
I-e
Ie
I-68
I-68
529.2083%
529.20
I-e
Ie
I-79
I-79
542.1982%
542.19
제2 호스트 화합물의 합성Synthesis of second host compound
실시예Example 15: 제2 호스트 화학식 Ⅱ-128의 합성 15: Synthesis of the 2nd host formula II-128
[반응식 8][Reaction Scheme 8]
중간체 Ⅰ-d 10 g (29.1 mmol), 화합물 B-23 10.3 g (26.4 mmol) 및 탄산칼륨 10.95 g (79.23 mmol), 테트라키스-(트라이페닐포스핀)팔라듐(0) 0.61 g (0.53 mmmol) 을 톨루엔 100 ml, 증류수 40 ml에 현탁 시킨 후 12 시간 동안 환류 교반하였다. 디클로로메탄과 증류수로 추출하고 유기층을 실리카겔 필터한다. 유기 용액을 제거하고 헥산 : 디클로로메탄 = 7 : 3(v/v) 으로 실리카겔 컬럼하여 생성물 고체를 디클로로메탄과 노말헥산으로 재결정하여 화학식 Ⅱ-128의 합성물 14 g (수율 : 87 %)을 수득하였다.0.61 g (0.53 mmmol) of tetrakis- (triphenylphosphine) palladium (0), 10.95 g (79.23 mmol) of potassium carbonate, 10.3 g (26.4 mmol) of compound B- Was suspended in toluene (100 ml) and distilled water (40 ml), and the mixture was refluxed for 12 hours. Extraction is carried out with dichloromethane and distilled water, and the organic layer is subjected to silica gel filtration. The organic solution was removed, and the residue was subjected to silica gel column chromatography with hexane: dichloromethane = 7: 3 (v / v), and the resulting solid was recrystallized from dichloromethane and normal hexane to obtain 14 g (yield: 87%) of a compound represented by the formula II- .
실시예Example 16 내지 30: 화합물의 제조 16 to 30: Preparation of compound
실시예 15의 중간체 Ⅰ-d과 화합물 B-23 대신 하기 표 4에 나열된 화합물을 사용한 것을 제외하고는 실시예 15와 동일한 방법으로 합성하여 각각의 화합물을 얻었다.The compounds were synthesized in the same manner as in Example 15 except that the compounds listed in Table 4 were used instead of the intermediate I-d of Example 15 and the compound B-23.
LC-Mass (M+H+)yield(%)
LC-Mass (M + H & lt ; + & gt ; )
I-a
Ia
Ⅱ-16
II-16
515.2182%
515.21
I-a
Ia
Ⅱ-18
II-18
516.2080%
516.20
I-a
Ia
Ⅱ-23
Ⅱ-23
592.2378%
592.23
I-d
Id
Ⅱ-121
Ⅱ-121
531.1985%
531.19
I-d
Id
Ⅱ-133
II-133
608.2179%
608.21
I-c
Ic
Ⅱ-86
II-86
515.2188%
515.21
I-c
Ic
Ⅱ-88
II-88
516.2089%
516.20
I-c
Ic
Ⅱ-98
II-98
592.2382%
592.23
I-f
If
Ⅱ-193
II-193
532.1888%
532.18
I-b
Ib
Ⅱ-51
II-51
515.2187%
515.21
I-b
Ib
Ⅱ-53
Ⅱ-53
516.2085%
516.20
I-b
Ib
Ⅱ-61
Ⅱ-61
591.2477%
591.24
I-b
Ib
Ⅱ-63
II-63
592.2380%
592.23
I-e
Ie
Ⅱ-156
Ⅱ-156
531.1984%
531.19
I-e
Ie
Ⅱ-163
II-163
608.2180%
608.21
유기발광소자의 제작 Fabrication of organic light emitting device
실시예Example 31 31
양극으로는 ITO를 1000 Å의 두께로 사용하였고, 음극으로는 알루미늄(Al)을 1000 Å의 두께로 사용하였다. 구체적으로, 유기발광소자의 제조방법을 설명하면, 양극은 15 Ω/cm2의 면저항값을 가진 ITO 유리 기판을 50mm × 50 mm × 0.7 mm의 크기로 잘라서 아세톤과 이소프로필알코올과 순수물 속에서 각 15 분 동안 초음파세정한 후, 30 분 동안 UV 오존 세정하여 사용하였다. As the anode, ITO was used in a thickness of 1000 Å, and as a cathode, aluminum (Al) was used in a thickness of 1000 Å. Specifically, an explanation will be given of a method of manufacturing an organic light emitting device. An ITO glass substrate having a sheet resistance of 15 Ω / cm 2 is cut into a size of 50 mm × 50 mm × 0.7 mm, and is cut in acetone, isopropyl alcohol and pure water After ultrasonic cleaning for 15 minutes each, UV ozone cleaning was performed for 30 minutes.
상기 기판 상부에 진공도 650×10-7 Pa, 증착속도 0.1 내지 0.3 nm/s의 조건으로 하기 화합물 HTM를 증착하여 1200 Å의 정공수송층을 형성하였다. The following HTM was deposited on the substrate at a vacuum degree of 650 × 10 -7 Pa and a deposition rate of 0.1 to 0.3 nm / s to form a 1200 Å hole transport layer.
[HTM][HTM]
이어서, 동일한 진공 증착조건에서 실시예 1에서 얻은 화합물 Ⅰ-4과 실시예 15에서 얻은 화합물 Ⅱ-128을 1:1 중량비로 함께 증착하여 호스트로 사용하고, 동시에 인광 Green 도펀트인 PhGD를 도핑하여 진공증착으로 막 두께 300 Å의 발광층을 형성하였다. 이 때, 인광 도펀트의 증착속도를 조절하여, 발광층의 전체량을 100 중량%로 하였을 때, 인광 도펀트의 배합량이 10 중량%가 되도록 증착하였다. Subsequently, the compound I-4 obtained in Example 1 and the compound II-128 obtained in Example 15 were vapor-deposited together at a weight ratio of 1: 1 under the same vacuum deposition conditions and used as a host. PhGD, a phosphorescent green dopant, And a 300 Å thick light emitting layer was formed by vapor deposition. At this time, the deposition rate of the phosphorescent dopant was controlled so that the phosphorescent dopant content was 10% by weight when the total amount of the light emitting layer was 100% by weight.
[PhGD][PhGD]
상기 발광층 상부에 동일한 진공 증착조건을 이용하여 Bis(2-methyl-8-quinolinolate)-4-(phenylphenolato)aluminium (BAlq)를 증착하여 막 두께 50 Å의 정공저지층을 형성하였다. 이어서, 동일한 진공 증착조건에서 Alq3를 증착하여, 막 두께 250 Å의 전자수송층을 형성하였다. 상기 전자수송층 상부에 음극으로서 LiF와 Al을 순차적으로 증착하여 유기광전소자를 제작하였다.Bis (2-methyl-8-quinolinolate) -4- (phenylphenolato) aluminum (BAlq) was deposited on the light emitting layer using the same vacuum deposition conditions to form a hole blocking layer having a thickness of 50 Å. Subsequently, Alq3 was deposited under the same vacuum deposition conditions to form an electron transporting layer having a thickness of 250 ANGSTROM. LiF and Al were sequentially deposited on the electron transport layer as cathodes to fabricate an organic photoelectric device.
상기 유기광전소자의 구조는 ITO/ HTM (120 nm)/ EML (화합물 Ⅰ-4 (45 중량%) + 화합물 Ⅱ-128 (45 중량%) + PhGD (10 중량%), 30 nm)/ Balq (5 nm)/ Alq3 (25 nm)/ LiF (1 nm) / Al (100 nm) 의 구조로 제작하였다.
The structure of the organic photoelectric device was ITO / HTM (120 nm) / EML (Compound I-4 (45 wt%) + Compound II-128 (45 wt%) + PhGD (10 wt% 5 nm) / Alq3 (25 nm) / LiF (1 nm) / Al (100 nm).
실시예Example 32 32
상기 실시예 31에서 화합물 Ⅰ-4 및 화합물 Ⅱ-128 를 1:1 중량비로 증착한 것 대신 화합물 Ⅰ-20 및 화합물 Ⅱ-128 를 1:1 비율로 증착하여 사용한 것을 제외하고는 실시예 31과 동일한 방법으로 유기발광소자를 제조하였다.
Example 31 was repeated except that Compound I-20 and Compound II-128 were deposited in a ratio of 1: 1 instead of Compound I-4 and Compound II-128 in Example 31 in a 1: 1 weight ratio. An organic light emitting device was prepared in the same manner.
실시예Example 33 33
상기 실시예 31에서 화합물 Ⅰ-4 및 화합물 Ⅱ-128 를 1:1 중량비로 증착한 것 대신 화합물 Ⅰ-31 및 화합물 Ⅱ-128를 1:1 비율로 증착하여 사용한 것을 제외하고는 실시예 31과 동일한 방법으로 유기발광소자를 제조하였다.
Except that Compound I-31 and Compound II-128 were deposited in a ratio of 1: 1 instead of Compound I-4 and Compound II-128 in Example 31 in a 1: 1 weight ratio. An organic light emitting device was prepared in the same manner.
실시예Example 34 34
상기 실시예 31에서 화합물 Ⅰ-4 및 화합물 Ⅱ-128 를 1:1 중량비로 증착한 것 대신 화합물 Ⅰ-79 및 화합물 Ⅱ-128를 1:1 비율로 증착하여 사용한 것을 제외하고는 실시예 31과 동일한 방법으로 유기발광소자를 제조하였다.
Example 31 was repeated except that Compound I-79 and Compound II-128 were deposited in a ratio of 1: 1 instead of Compound I-4 and Compound II-128 in Example 31 in a 1: 1 weight ratio. An organic light emitting device was prepared in the same manner.
실시예Example 35 35
상기 실시예 34에서 화합물 Ⅰ-79 및 화합물 Ⅱ-128 를 1:1 중량비로 증착한 것 대신 화합물 Ⅰ-79 및 화합물 Ⅱ-128 를 1:4 비율로 증착하여 사용한 것을 제외하고는 실시예 34과 동일한 방법으로 유기발광소자를 제조하였다.
Example 34 was repeated except that Compound I-79 and Compound II-128 were deposited in a ratio of 1: 4 instead of Compound I-79 and Compound II-128 in Example 34 in a 1: 1 weight ratio. An organic light emitting device was prepared in the same manner.
실시예Example 36 36
상기 실시예 31에서 화합물 Ⅰ-4 및 화합물 Ⅱ-128 를 1:1 중량비로 증착한 것 대신 화합물 Ⅰ-4 및 화합물 Ⅱ-63를 1:1 비율로 증착하여 사용한 것을 제외하고는 실시예 31과 동일한 방법으로 유기발광소자를 제조하였다.
Example 31 was repeated except that Compound I-4 and Compound II-63 were deposited in a ratio of 1: 1 instead of depositing Compound I-4 and Compound II-128 in Example 31 at a weight ratio of 1: 1. An organic light emitting device was prepared in the same manner.
실시예Example 37 37
상기 실시예 31에서 화합물 Ⅰ-4 및 화합물 Ⅱ-128 를 1:1 중량비로 증착한 것 대신 화합물 Ⅰ-20 및 화합물 Ⅱ-63를 1:1 비율로 증착하여 사용한 것을 제외하고는 실시예 31과 동일한 방법으로 유기발광소자를 제조하였다.
Example 31 was repeated except that Compound I-20 and Compound II-63 were deposited in a ratio of 1: 1 instead of depositing Compound I-4 and Compound II-128 in Example 31 at a weight ratio of 1: 1. An organic light emitting device was prepared in the same manner.
실시예Example 38 38
상기 실시예 31에서 화합물 Ⅰ-4 및 화합물 Ⅱ-128 를 1:1 중량비로 증착한 것 대신 화합물 Ⅰ-31 및 화합물 Ⅱ-63를 1:1 비율로 증착하여 사용한 것을 제외하고는 실시예 31과 동일한 방법으로 유기발광소자를 제조하였다.
Example 31 was repeated except that Compound I-31 and Compound II-63 were deposited in a ratio of 1: 1 instead of Compound I-4 and Compound II-128 in Example 31 in a 1: 1 weight ratio. An organic light emitting device was prepared in the same manner.
실시예Example 39 39
상기 실시예 31에서 화합물 Ⅰ-4 및 화합물 Ⅱ-128 를 1:1 중량비로 증착한 것 대신 화합물 Ⅰ-79 및 화합물 Ⅱ-63를 1:1 비율로 증착하여 사용한 것을 제외하고는 실시예 31과 동일한 방법으로 유기발광소자를 제조하였다.
Example 31 was repeated except that Compound I-79 and Compound II-63 were deposited in a ratio of 1: 1 instead of Compound I-4 and Compound II-128 in Example 31 in a 1: 1 weight ratio. An organic light emitting device was prepared in the same manner.
비교예Comparative Example 1 One
상기 실시예 31에서 화합물 Ⅰ-4 및 화합물 Ⅱ-128을 1:1중량비로 증착한 것 대신 화합물 Ⅰ-4를 호스트 단독으로 증착하여 사용한 것을 제외하고는 실시예 31과 동일한 방법으로 유기발광소자를 제조하였다.
Except that Compound I-4 was deposited on a host alone instead of Compound I-4 and Compound II-128 in Example 31 in a weight ratio of 1: 1. .
비교예Comparative Example 2 2
상기 실시예 31에서 화합물 Ⅰ-4 및 화합물 Ⅱ-128을 1:1 중량비로 증착한 것 대신 화합물 Ⅱ-128을 호스트 단독으로 증착하여 사용한 것을 제외하고는 실시예 31과 동일한 방법으로 유기발광소자를 제조하였다.
Except that Compound II-128 was deposited as a host alone instead of Compound I-4 and Compound II-128 in Example 31 in a 1: 1 weight ratio. .
비교예Comparative Example 3 3
상기 실시예 32에서 화합물 Ⅰ-20 및 화합물 Ⅱ-128을 1:1 중량비로 증착한 것 대신 화합물 Ⅰ-20를 호스트 단독으로 증착하여 사용한 것을 제외하고는 실시예 32와 동일한 방법으로 유기발광소자를 제조하였다.
Example 20 was repeated except that Compound I-20 was deposited on a host alone instead of Compound I-20 and Compound II-128 in Example 32 in a 1: 1 weight ratio. .
비교예Comparative Example 4 4
상기 실시예 33에서 화합물 Ⅰ-31 및 화합물 Ⅱ-128을 1:1 중량비로 증착한 것 대신 화합물 Ⅰ-31를 호스트 단독으로 증착하여 사용한 것을 제외하고는 실시예 33과 동일한 방법으로 유기발광소자를 제조하였다.
Except that Compound I-31 was deposited by a host alone instead of Compound I-31 and Compound II-128 in Example 33 in a 1: 1 weight ratio. .
비교예Comparative Example 5 5
상기 실시예 34에서 화합물 Ⅰ-79 및 화합물 Ⅱ-128을 1:1 중량비로 증착한 것 대신 화합물 Ⅰ-79를 호스트 단독으로 증착하여 사용한 것을 제외하고는 실시예 34와 동일한 방법으로 유기발광소자를 제조하였다.
Except that Compound I-79 was deposited by a host alone instead of Compound I-79 and Compound II-128 in Example 34 in a 1: 1 weight ratio. .
비교예Comparative Example 6 6
상기 실시예 36에서 화합물 Ⅰ-4 및 화합물 Ⅱ-63을 1:1 중량비로 증착한 것 대신 화합물 Ⅱ-63를 호스트 단독으로 증착하여 사용한 것을 제외하고는 실시예 36와 동일한 방법으로 유기발광소자를 제조하였다.
Except that the compound I-4 and the compound II-63 were deposited in a weight ratio of 1: 1 in Example 36 instead of the compound II-63 in the host alone. .
평가 evaluation
실시예 31 내지 39와 비교예 1 내지 6에 따른 유기발광소자의 전압에 따른 전류밀도 변화, 휘도 변화 및 발광효율을 측정하였다. The current density change, the luminance change, and the light emitting efficiency of the organic light emitting devices according to Examples 31 to 39 and Comparative Examples 1 to 6 were measured according to the voltage.
구체적인 측정방법은 하기와 같고, 그 결과는 표 5와 같다.The concrete measurement method is as follows, and the results are shown in Table 5.
(1) 전압변화에 따른 전류밀도의 변화 측정(1) Measurement of change in current density with voltage change
제조된 유기발광소자에 대해, 전압을 0V 부터 10V까지 상승시키면서 전류-전압계(Keithley 2400)를 이용하여 단위소자에 흐르는 전류값을 측정하고, 측정된 전류값을 면적으로 나누어 결과를 얻었다.For the organic light emitting device manufactured, the current flowing through the unit device was measured using a current-voltmeter (Keithley 2400) while raising the voltage from 0 V to 10 V, and the measured current value was divided by the area to obtain the result.
(2) 전압변화에 따른 휘도변화 측정(2) Measurement of luminance change according to voltage change
제조된 유기발광소자에 대해, 전압을 0V 부터 10V까지 상승시키면서 휘도계(Minolta Cs-1000A)를 이용하여 그 때의 휘도를 측정하여 결과를 얻었다. For the organic light-emitting device manufactured, luminance was measured using a luminance meter (Minolta Cs-1000A) while increasing the voltage from 0 V to 10 V, and the result was obtained.
(3) 발광효율 측정(3) Measurement of luminous efficiency
상기(1) 및 (2)로부터 측정된 휘도와 전류밀도 및 전압을 이용하여 동일 전류밀도(10 mA/cm2)의 전류 효율(cd/A) 을 계산하였다. The current efficiency (cd / A) at the same current density (10 mA / cm 2 ) was calculated using the luminance, current density and voltage measured from the above (1) and (2).
(4) 수명 측정(4) Life measurement
휘도(cd/m2)를 5000 cd/m2 로 유지하고 전류 효율(cd/A)이 95%로 감소하는 시간을 측정하여 결과를 얻었다.The time at which the luminance (cd / m 2 ) was kept at 5000 cd / m 2 and the current efficiency (cd / A) decreased to 95% was measured and the results were obtained.
(EL color)color
(EL color)
(cd/A)efficiency
(cd / A)
@ 5000 cd/㎡95% lifetime (h)
@ 5000 cd / ㎡
상기 표 5에 의하면, 실시예 31 내지 39에 따른 유기발광소자는 비교예 1 내지 비교예 6에 따른 유기발광소자와 비교하여 발광효율 또는/및 수명이 현저하게 개선된 것을 확인할 수 있다. According to Table 5, the organic light emitting devices according to Examples 31 to 39 have significantly improved luminous efficiency and / or life span as compared with the organic light emitting devices according to Comparative Examples 1 to 6.
구체적으로, 실시예 34 에 따른 유기발광소자는 각각의 비교예인 비교예 2 및 비교예 5와 비교하면, 효율도 개선되었고 수명에서도 월등히 개선되었음을 확인할 수 있다. 이는 정공수송성 호스트와 전자수송성 호스트의 바이폴라 특성에 의해 효율과 수명이 개선되어짐을 보여주는 바이다.
Specifically, the organic light emitting device according to Example 34 has improved efficiency and life span as compared with Comparative Examples 2 and 5, which are comparative examples, respectively. This shows that the bipolar characteristics of the hole transporting host and the electron transporting host improve the efficiency and lifetime.
본 발명은 상기 실시예들에 한정되는 것이 아니라 서로 다른 다양한 형태로 제조될 수 있으며, 본 발명이 속하는 기술분야에서 통상의 지식을 가진 자는 본 발명의 기술적 사상이나 필수적인 특징을 변경하지 않고서 다른 구체적인 형태로 실시될 수 있다는 것을 이해할 수 있을 것이다. 그러므로 이상에서 기술한 실시예들은 모든 면에서 예시적인 것이며 한정적이 아닌 것으로 이해해야만 한다.It will be understood by those skilled in the art that various changes in form and details may be made therein without departing from the spirit and scope of the present invention as defined by the following claims. As will be understood by those skilled in the art. It is therefore to be understood that the above-described embodiments are illustrative in all aspects and not restrictive.
100, 200: 유기 발광 소자
105: 유기층
110: 음극
120: 양극
130: 발광층
140: 정공 보조층100, 200: Organic light emitting device
105: organic layer
110: cathode
120: anode
130: light emitting layer
140: hole assist layer
Claims (14)
[화학식 I] [화학식 Ⅱ]
,
상기 화학식 I 및 화학식 Ⅱ에서,
R1a 내지 R5a는 각각 독립적으로 치환 또는 비치환된 C6 내지 C30 아릴기, 치환 또는 비치환된 카바졸릴기, 치환 또는 비치환된 디벤조퓨라닐기, 치환 또는 비치환된 디벤조티오페닐기, 또는 이들의 조합이고,
X1 및 X3은 각각 독립적으로, O 또는 S 이고,
X2 및 X4은 CRaRb 이고,
Ra 및 Rb는 각각 독립적으로 수소, 중수소, 또는 치환 또는 비치환된 C1 내지 C30 알킬기이고,
R1b 내지 R5b는 각각 독립적으로 하기 그룹 2에 나열된 치환 또는 비치환된 작용기에서 선택된 하나를 포함하고,
[그룹 2]
상기 그룹 2에서,
Z는 각각 독립적으로 N 또는 CRa이고, Z 중 적어도 하나는 N이고,
W 및 Y는 각각 독립적으로 N, O, S, CRb, 또는 CRcRd이고,
Ra 내지 Rd는 각각 독립적으로 수소, 중수소, 치환 또는 비치환된 C1 내지 C30 알킬기, 치환 또는 비치환된 C6 내지 C30 아릴기, 또는 치환 또는 비치환된 C2 내지 C30 헤테로아릴기이고,
*는 연결 지점이고 상기 작용기를 이루는 원소들 중 어느 하나에 위치할 수 있고,
상기 "치환"이란 치환기 또는 화합물 중의 적어도 하나의 수소가 중수소, C1 내지 C30 알킬기, C6 내지 C30 아릴기, 또는 C2 내지 C30 헤테로아릴기로 치환된 것을 의미한다.A composition comprising a first host compound represented by the formula (I) and a second host compound represented by the formula (II):
(I) < RTI ID = 0.0 > (II)
,
In the above formulas (I) and (II)
R 1a to R 5a each independently represent a substituted or unsubstituted C6 to C30 aryl group, a substituted or unsubstituted carbazolyl group, a substituted or unsubstituted dibenzofuranyl group, a substituted or unsubstituted dibenzothiophenyl group, or A combination thereof,
X 1 and X 3 are each independently O or S,
X 2 and X 4 are CR a R b ,
R a and R b are each independently hydrogen, deuterium, or a substituted or unsubstituted C1 to C30 alkyl group,
R 1b to R 5b each independently represent a group selected from a substituted or unsubstituted functional group listed in the following group 2,
[Group 2]
In the group 2,
Z is each independently N or CR a , at least one of Z is N,
W and Y are each independently N, O, S, CR b , or CR c R d ,
R a to R d each independently represent hydrogen, deuterium, a substituted or unsubstituted C1 to C30 alkyl group, a substituted or unsubstituted C6 to C30 aryl group, or a substituted or unsubstituted C2 to C30 heteroaryl group,
* Is a connection point and may be located at any one of the elements forming the functional group,
Means that at least one hydrogen in the substituent or the compound is substituted with deuterium, a C1 to C30 alkyl group, a C6 to C30 aryl group, or a C2 to C30 heteroaryl group.
상기 제1 호스트 화합물은 하기 Ⅰ-A 내지 Ⅰ-C 중 어느 하나로 표현되고,
상기 제2 호스트 화합물은 하기 Ⅱ-A 내지 Ⅱ-C 중 어느 하나로 표현되는 조성물:
[화학식 Ⅰ-A] [화학식 Ⅰ-B] [화학식 Ⅰ-C]
, ,
[화학식 Ⅱ-A] [화학식 Ⅱ-B] [화학식 Ⅱ-C]
, ,
상기 화학식 Ⅰ-A 내지 Ⅱ-C에서,
R1a 내지 R5a는 각각 독립적으로 치환 또는 비치환된 C6 내지 C30 아릴기, 치환 또는 비치환된 카바졸릴기, 치환 또는 비치환된 디벤조퓨라닐기, 치환 또는 비치환된 디벤조티오페닐기, 또는 이들의 조합이고,
X1 및 X3은 각각 독립적으로, O 또는 S 이고,
X2 및 X4은 CRaRb 이고,
Ra 및 Rb는 각각 독립적으로 수소, 중수소, 또는 치환 또는 비치환된 C1 내지 C30 알킬기이고,
R1b 내지 R5b는 각각 독립적으로 하기 그룹 2에 나열된 치환 또는 비치환된 작용기에서 선택된 하나를 포함하고,
[그룹 2]
상기 그룹 2에서,
Z는 각각 독립적으로 N 또는 CRa이고, Z 중 적어도 하나는 N이고,
W 및 Y는 각각 독립적으로 N, O, S, CRb, 또는 CRcRd이고,
Ra 내지 Rd는 각각 독립적으로 수소, 중수소, 치환 또는 비치환된 C1 내지 C30 알킬기, 치환 또는 비치환된 C6 내지 C30 아릴기, 또는 치환 또는 비치환된 C2 내지 C30 헤테로아릴기이고,
*는 연결 지점이고 상기 작용기를 이루는 원소들 중 어느 하나에 위치할 수 있고,
상기 "치환"이란 치환기 또는 화합물 중의 적어도 하나의 수소가 중수소, C1 내지 C30 알킬기, C6 내지 C30 아릴기, 또는 C2 내지 C30 헤테로아릴기로 치환된 것을 의미한다.The method of claim 1,
The first host compound is represented by any one of the following I-A to I-C,
Wherein the second host compound is represented by any one of the following II-A to II-C:
[Chemical Formula I-A] [Chemical Formula I-B] [Chemical Formula I-C]
, ,
[Formula II-A] Formula (II-B) Formula (II-C)
, ,
In the above formulas (I-A) to (II-C)
R 1a to R 5a each independently represent a substituted or unsubstituted C6 to C30 aryl group, a substituted or unsubstituted carbazolyl group, a substituted or unsubstituted dibenzofuranyl group, a substituted or unsubstituted dibenzothiophenyl group, or A combination thereof,
X 1 and X 3 are each independently O or S,
X 2 and X 4 are CR a R b ,
R a and R b are each independently hydrogen, deuterium, or a substituted or unsubstituted C1 to C30 alkyl group,
R 1b to R 5b each independently represent a group selected from a substituted or unsubstituted functional group listed in the following group 2,
[Group 2]
In the group 2,
Z is each independently N or CR a , at least one of Z is N,
W and Y are each independently N, O, S, CR b , or CR c R d ,
R a to R d each independently represent hydrogen, deuterium, a substituted or unsubstituted C1 to C30 alkyl group, a substituted or unsubstituted C6 to C30 aryl group, or a substituted or unsubstituted C2 to C30 heteroaryl group,
* Is a connection point and may be located at any one of the elements forming the functional group,
Means that at least one hydrogen in the substituent or the compound is substituted with deuterium, a C1 to C30 alkyl group, a C6 to C30 aryl group, or a C2 to C30 heteroaryl group.
상기 제1 호스트 화합물은 하기 화학식 Ⅰ-a 내지 Ⅰ-f 중 어느 하나로 표현되고,
상기 제2 호스트 화합물은 하기 화학식 Ⅱ-a 내지 Ⅱ-f 중 어느 하나로 표현되는 조성물:
[화학식 Ⅰ-a] [화학식 Ⅰ-b] [화학식 Ⅰ-c]
, , ,
[화학식 Ⅰ-d] [화학식 Ⅰ-e] [화학식 Ⅰ-f]
, ,
[화학식 Ⅱ-a] [화학식 Ⅱ-b] [화학식 Ⅱ-c]
, , ,
[화학식 Ⅱ-d] [화학식 Ⅱ-e] [화학식 Ⅱ-f]
, ,
상기 화학식 Ⅰ-a 내지 Ⅱ-f에서,
R1a 내지 R5a는 각각 독립적으로 치환 또는 비치환된 C6 내지 C30 아릴기, 치환 또는 비치환된 카바졸릴기, 치환 또는 비치환된 디벤조퓨라닐기, 치환 또는 비치환된 디벤조티오페닐기, 또는 이들의 조합이고,
R1b 내지 R5b는 각각 독립적으로 하기 그룹 2에 나열된 치환 또는 비치환된 작용기에서 선택된 하나를 포함하고,
[그룹 2]
상기 그룹 2에서,
Z는 각각 독립적으로 N 또는 CRa이고, Z 중 적어도 하나는 N이고,
W 및 Y는 각각 독립적으로 N, O, S, CRb, 또는 CRcRd이고,
Ra 내지 Rd는 각각 독립적으로 수소, 중수소, 치환 또는 비치환된 C1 내지 C30 알킬기, 치환 또는 비치환된 C6 내지 C30 아릴기, 또는 치환 또는 비치환된 C2 내지 C30 헤테로아릴기이고,
*는 연결 지점이고 상기 작용기를 이루는 원소들 중 어느 하나에 위치할 수 있고,
상기 "치환"이란 치환기 또는 화합물 중의 적어도 하나의 수소가 중수소, C1 내지 C30 알킬기, C6 내지 C30 아릴기, 또는 C2 내지 C30 헤테로아릴기로 치환된 것을 의미한다.The method of claim 1,
Wherein the first host compound is represented by any one of the following formulas (I-a) to (I-f)
Wherein the second host compound is represented by any one of the following formulas II-a to II-f:
[Formula I-a] [Formula I-b] [Formula I-c]
, , ,
[Formula I-d] [Formula I-e] [Formula I-f]
, ,
[Formula II-a] [Formula II-b] [Formula II-c]
, , ,
[Formula II-d] [Formula II-e] [Formula II-f]
, ,
In the above formulas (I-a) to (II-f)
R 1a to R 5a each independently represent a substituted or unsubstituted C6 to C30 aryl group, a substituted or unsubstituted carbazolyl group, a substituted or unsubstituted dibenzofuranyl group, a substituted or unsubstituted dibenzothiophenyl group, or A combination thereof,
R 1b to R 5b each independently represent a group selected from a substituted or unsubstituted functional group listed in the following group 2,
[Group 2]
In the group 2,
Z is each independently N or CR a , at least one of Z is N,
W and Y are each independently N, O, S, CR b , or CR c R d ,
R a to R d each independently represent hydrogen, deuterium, a substituted or unsubstituted C1 to C30 alkyl group, a substituted or unsubstituted C6 to C30 aryl group, or a substituted or unsubstituted C2 to C30 heteroaryl group,
* Is a connection point and may be located at any one of the elements forming the functional group,
Means that at least one hydrogen in the substituent or the compound is substituted with deuterium, a C1 to C30 alkyl group, a C6 to C30 aryl group, or a C2 to C30 heteroaryl group.
상기 R1a 내지 R5a는 각각 독립적으로 하기 그룹 1에 나열된 작용기에서 선택된 하나인 조성물:
[그룹 1]
상기 그룹 1에서,
R, R' 및 R101 내지 R132는 각각 독립적으로 수소, 중수소, 치환 또는 비치환된 C1 내지 C30 알킬기, 치환 또는 비치환된 C6 내지 C30 아릴기, 또는 이들의 조합이고,
*는 연결 지점이고 상기 작용기를 이루는 원소들 중 어느 하나에 위치할 수 있고,
상기 "치환"이란 치환기 또는 화합물 중의 적어도 하나의 수소가 중수소, C1 내지 C30 알킬기, C6 내지 C30 아릴기, 또는 C2 내지 C30 헤테로아릴기로 치환된 것을 의미한다.The method of claim 1,
Wherein each of R < 1a > to R < 5a > is independently selected from the functional groups listed in the following Group 1:
[Group 1]
In the group 1,
R, R ', and R 101 to R 132 are each independently hydrogen, deuterium, a substituted or unsubstituted C1 to C30 alkyl group, a substituted or unsubstituted C6 to C30 aryl group,
* Is a connection point and may be located at any one of the elements forming the functional group,
Means that at least one hydrogen in the substituent or the compound is substituted with deuterium, a C1 to C30 alkyl group, a C6 to C30 aryl group, or a C2 to C30 heteroaryl group.
상기 그룹 1에 나열된 작용기는 치환 또는 비치환된 하기의 화학식 A-1 내지 A-15에서 선택된 하나인 조성물:
[A-1][A-2][A-3][A-4][A-5][A-6]
, , , , , ,
[A-7][A-8][A-9][A-10][A-11]
, , , , ,
[A-12][A-13][A-14][A-15][A-16]
, , ,
상기 화학식 A-1 내지 A-16에서, *는 연결 지점이고,
상기 "치환"이란 치환기 또는 화합물 중의 적어도 하나의 수소가 중수소, C1 내지 C30 알킬기, C6 내지 C30 아릴기, 또는 C2 내지 C30 헤테로아릴기로 치환된 것을 의미한다.5. The method of claim 4,
Wherein the functional groups listed in group 1 are selected from substituted or unsubstituted groups represented by the following formulas A-1 to A-15:
[A-1] [A-2] [A-3] [A-4]
, , , , , ,
[A-7] [A-8] [A-9] [A-10]
, , , , ,
[A-12] [A-13] [A-14] [A-15]
, , ,
In the above Formulas A-1 to A-16, * is a connecting point,
Means that at least one hydrogen in the substituent or the compound is substituted with deuterium, a C1 to C30 alkyl group, a C6 to C30 aryl group, or a C2 to C30 heteroaryl group.
상기 그룹 2에 나열된 작용기는 치환 또는 비치환된 하기의 화학식 B-1 내지 B-35에서 선택된 하나인 조성물:
[B-1] [B-2] [B-3] [B-4] [B-5]
[B-6] [B-7] [B-8] [B-9] [B-10]
[B-11] [B-12] [B-13] [B-14][B-15]
[B-16] [B-17] [B-18] [B-19] [B-20]
[B-21][B-22] [B-23][B-24] [B-25]
[B-26] [B-27] [B-28] [B-29] [B-30]
[B-31] [B-32] [B-33] [B-34] [B-35]
상기 화학식 B-1 내지 B-35에서, *는 연결 지점이고,
상기 "치환"이란 치환기 또는 화합물 중의 적어도 하나의 수소가 중수소, C1 내지 C30 알킬기, C6 내지 C30 아릴기, 또는 C2 내지 C30 헤테로아릴기로 치환된 것을 의미한다.The method of claim 1,
Wherein the functional groups listed in the group 2 are selected from substituted or unsubstituted groups represented by the following formulas B-1 to B-35:
[B-1] [B-2] [B-3] [B-4]
[B-6] [B-7] [B-8] [B-9]
[B-11] [B-12] [B-13] [B-14]
[B-16] [B-17] [B-18] [B-19]
[B-21] [B-22] [B-23] [B-24]
[B-26] [B-27] [B-28] [B-29] [B-30]
[B-31] [B-32] [B-33] [B-34]
In the above Formulas B-1 to B-35, * is a connecting point,
Means that at least one hydrogen in the substituent or the compound is substituted with deuterium, a C1 to C30 alkyl group, a C6 to C30 aryl group, or a C2 to C30 heteroaryl group.
상기 제1 호스트 화합물은 하기에 나열된 화합물 중 어느 하나로 표현되는 조성물:
[화학식 Ⅰ-2] [화학식 Ⅰ-4] [화학식 Ⅰ-5] [화학식 Ⅰ-7]
[화학식 Ⅰ-8] [화학식 Ⅰ-10] [화학식 Ⅰ-11] [화학식 Ⅰ-12]
[화학식 Ⅰ-13] [화학식 Ⅰ-14] [화학식 Ⅰ-15] [화학식 Ⅰ-16]
[화학식 Ⅰ-18] [화학식 Ⅰ-20] [화학식 Ⅰ-21] [화학식 Ⅰ-23]
[화학식 Ⅰ-24] [화학식 Ⅰ-26] [화학식 Ⅰ-27] [화학식 Ⅰ-28]
[화학식 Ⅰ-29] [화학식 Ⅰ-30] [화학식 Ⅰ-31] [화학식 Ⅰ-32]
[화학식 Ⅰ-34] [화학식 Ⅰ-36] [화학식 Ⅰ-37] [화학식 Ⅰ-39]
[화학식 Ⅰ-40] [화학식 Ⅰ-42] [화학식 Ⅰ-43] [화학식 Ⅰ-44]
[화학식 Ⅰ-45] [화학식 Ⅰ-46] [화학식 Ⅰ-47] [화학식 Ⅰ-48]
[화학식 Ⅰ-50] [화학식 Ⅰ-52] [화학식 Ⅰ-53] [화학식 Ⅰ-55]
[화학식 Ⅰ-56] [화학식 Ⅰ-58] [화학식 Ⅰ-61] [화학식 Ⅰ-62]
[화학식 Ⅰ-63] [화학식 Ⅰ-64] [화학식 Ⅰ-68] [화학식 Ⅰ-69]
[화학식 Ⅰ-71] [화학식 Ⅰ-72] [화학식 Ⅰ-74] [화학식 Ⅰ-77]
[화학식 Ⅰ-78] [화학식 Ⅰ-79] [화학식 Ⅰ-80] [화학식 Ⅰ-82]
[화학식 Ⅰ-84] [화학식 Ⅰ-85] [화학식 Ⅰ-87] [화학식 Ⅰ-88]
[화학식 Ⅰ-90] [화학식 Ⅰ-93] [화학식 Ⅰ-95] [화학식 Ⅰ-96]
.The method of claim 1,
Wherein said first host compound is represented by any one of the compounds listed below:
[Formula I-2] [Formula I-4] [Formula I-5] [Formula I-7]
[Formula I-8] [Formula I-10] [Formula I-11] [Formula I-12]
[Formula I-13] [Formula I-14] [Formula I-15] [Formula I-16]
[Formula I-18] [Formula (I-20)] [Formula (I-21)
[Formula I-24] [Formula I-26] [Formula I-27] [Formula I-28]
[Formula I-29] [Formula I-30] [Formula I-31] [Formula I-32]
[Formula I-34] [Formula I-36] [Formula I-37] [Formula I-39]
[Formula I-40] [Formula I-42] [Formula I-43] [Formula I-44]
[Formula I-45] [Formula I-46] [Formula I-47] [Formula I-48]
[Formula I-50] [Formula (I-52)] [Formula (I-53)
[Formula I-56] [Formula (I-58)] [Formula (I-61)
[Formula I-63] [Formula I-64] [Formula I-68] [Formula I-69]
[Formula I-71] [Formula (I-72)] [Formula (I-74)
[Formula I-78] [Formula (I-79)] [Formula (I-80)
[Formula I-84] [Formula (I-85)] [Formula (I-87)
[Formula I-90] [Formula (I-93)] [Formula (I-95)
.
상기 제2 호스트 화합물은 하기에 나열된 화합물 중 어느 하나로 표현되는 조성물:
[화학식 Ⅱ-13] [화학식 Ⅱ-16] [화학식 Ⅱ-18] [화학식 Ⅱ-23]
[화학식 Ⅱ-28] [화학식 Ⅱ-51] [화학식 Ⅱ-53] [화학식 Ⅱ-58]
[화학식 Ⅱ-61] [화학식 Ⅱ-63] [화학식 Ⅱ-83] [화학식 Ⅱ-86]
[화학식 Ⅱ-88] [화학식 Ⅱ-98] [화학식 Ⅱ-118] [화학식 Ⅱ-121]
[화학식 Ⅱ-123] [화학식 Ⅱ-128] [화학식 Ⅱ-133] [화학식 Ⅱ-156]
[화학식 Ⅱ-158] [화학식 Ⅱ-163] [화학식 Ⅱ-166] [화학식 Ⅱ-168]
[화학식 Ⅱ-193]
.The method of claim 1,
Wherein the second host compound is represented by any one of the compounds listed below:
[Formula II-13] [Formula II-16] [Formula II-18] [Formula II-23]
[Formula II-28] [Formula (II-51)] (Formula (II-53)
[Formula II-61] [Formula (II-63)] (Formula (II-83)
[Formula II-88] [Formula (II-98)] (Formula (II-118)
[Formula II-123] [Formula (II-128)] [Formula (II-133)
[Formula II-158] [Formula (II-163)] (Formula (II-166)
[Formula II-193]
.
상기 제1 호스트 화합물과 상기 제2 호스트 화합물은 1:10 내지 10:1의 중량비로 포함되어 있는 조성물.The method of claim 1,
Wherein the first host compound and the second host compound are contained in a weight ratio of 1:10 to 10: 1.
인광 도펀트를 더 포함하는 조성물.The method of claim 1,
A composition further comprising a phosphorescent dopant.
상기 양극과 상기 음극 사이에 위치하는 적어도 1층의 유기층을 포함하고,
상기 유기층은 제1항 내지 제5항, 및 제7항 내지 제11항 중 어느 한 항에 따른 조성물을 포함하는 유기 광전자 소자.The positive and negative electrodes facing each other,
And at least one organic layer positioned between the anode and the cathode,
Wherein the organic layer comprises the composition according to any one of claims 1 to 5 and 7 to 11.
상기 유기층은 발광층을 포함하고,
상기 발광층은 상기 조성물을 포함하는 유기 광전자 소자.The method of claim 12,
Wherein the organic layer includes a light emitting layer,
Wherein the light emitting layer comprises the composition.
13. A display device comprising the organic opto-electronic device according to claim 12.
Priority Applications (1)
| Application Number | Priority Date | Filing Date | Title |
|---|---|---|---|
| KR1020130125528A KR101648142B1 (en) | 2013-10-21 | 2013-10-21 | Composition and organic optoelectric device and display device |
Applications Claiming Priority (1)
| Application Number | Priority Date | Filing Date | Title |
|---|---|---|---|
| KR1020130125528A KR101648142B1 (en) | 2013-10-21 | 2013-10-21 | Composition and organic optoelectric device and display device |
Publications (2)
| Publication Number | Publication Date |
|---|---|
| KR20150045809A KR20150045809A (en) | 2015-04-29 |
| KR101648142B1 true KR101648142B1 (en) | 2016-08-12 |
Family
ID=53037648
Family Applications (1)
| Application Number | Title | Priority Date | Filing Date |
|---|---|---|---|
| KR1020130125528A Active KR101648142B1 (en) | 2013-10-21 | 2013-10-21 | Composition and organic optoelectric device and display device |
Country Status (1)
| Country | Link |
|---|---|
| KR (1) | KR101648142B1 (en) |
Families Citing this family (8)
| Publication number | Priority date | Publication date | Assignee | Title |
|---|---|---|---|---|
| KR101817775B1 (en) | 2015-11-12 | 2018-01-11 | 에스에프씨주식회사 | Novel compounds for organic light-emitting diode and organic light-emitting diode including the same |
| WO2017082574A1 (en) * | 2015-11-13 | 2017-05-18 | 에스에프씨 주식회사 | Novel heterocyclic compound and organic light-emitting device comprising same |
| US11476426B2 (en) | 2016-02-03 | 2022-10-18 | Sfc Co., Ltd. | Organic light emitting compounds and organic light emitting devices including the same |
| KR102338428B1 (en) * | 2016-02-03 | 2021-12-14 | 에스에프씨 주식회사 | Organic light-emitting compounds and Organic light-emitting device comprising the same |
| KR101928934B1 (en) | 2016-02-23 | 2018-12-13 | 주식회사 엘지화학 | Hetero-cyclic compound and organic light emitting device comprising the same |
| KR102438615B1 (en) * | 2016-07-27 | 2022-08-31 | 에스에프씨 주식회사 | Organic light emitting compound and organic light emitting device comprising same |
| US10957865B2 (en) | 2016-07-27 | 2021-03-23 | Sfc Co., Ltd. | Organic light emitting compound and organic light emitting diode including the same |
| KR102506419B1 (en) * | 2017-07-13 | 2023-03-07 | 솔루스첨단소재 주식회사 | Organic compound and organic electroluminescent device comprising the same |
Citations (1)
| Publication number | Priority date | Publication date | Assignee | Title |
|---|---|---|---|---|
| WO2013094854A1 (en) | 2011-12-23 | 2013-06-27 | 제일모직 주식회사 | Compound for an organic optoelectronic element, organic light-emitting element comprising same, and display device comprising the organic light-emitting element |
Family Cites Families (2)
| Publication number | Priority date | Publication date | Assignee | Title |
|---|---|---|---|---|
| EP2185532B1 (en) * | 2007-08-08 | 2016-11-09 | Universal Display Corporation | Benzo-fused thiophene compounds comprising a triphenylene group |
| KR101212670B1 (en) * | 2009-11-03 | 2012-12-14 | 제일모직주식회사 | Composition for organic photoelectric device, organic photoelectric device using the same and display device comprising the same |
-
2013
- 2013-10-21 KR KR1020130125528A patent/KR101648142B1/en active Active
Patent Citations (1)
| Publication number | Priority date | Publication date | Assignee | Title |
|---|---|---|---|---|
| WO2013094854A1 (en) | 2011-12-23 | 2013-06-27 | 제일모직 주식회사 | Compound for an organic optoelectronic element, organic light-emitting element comprising same, and display device comprising the organic light-emitting element |
Also Published As
| Publication number | Publication date |
|---|---|
| KR20150045809A (en) | 2015-04-29 |
Similar Documents
| Publication | Publication Date | Title |
|---|---|---|
| KR101648142B1 (en) | Composition and organic optoelectric device and display device | |
| EP2949725B1 (en) | Compound for organic electric element, organic electric element comprising the same and electronic device thereof | |
| US12439813B2 (en) | Organic electroluminescent materials and devices | |
| KR101939552B1 (en) | Organic Electroluminescent Compound and Organic Electroluminescent Device Comprising the Same | |
| KR101686078B1 (en) | Composition and organic optoelectric device and display device | |
| KR102113468B1 (en) | Nitrogenated aromatic heterocyclic derivative, and organic electroluminescent element using same | |
| CN102056899B (en) | Polycyclic compound and organic electroluminescent device using same | |
| JP2024102095A (en) | Host materials and organic electroluminescent devices containing same - Patents.com | |
| CN105308022B (en) | Condensed fluoranthene compound, material for organic electroluminescence element containing the compound, and organic electroluminescence element and electronic device using the compound | |
| CN105683150B (en) | Aromatic amine compound, organic electroluminescent element, and electronic device | |
| KR20140125576A (en) | Novel organic electroluminescent compounds and organic electroluminescent device comprising the same | |
| KR20170019968A (en) | Condensed cyclic compound and organic light emitting device including the same | |
| CN114256427B (en) | Organic electroluminescent device and application thereof | |
| CN111971289A (en) | Compound and organic light emitting device including the same | |
| KR20160136211A (en) | Phosphorous Host Material and Organic Electroluminescent Device Comprising the Same | |
| JP7249917B2 (en) | Organometallic compounds, organic light-emitting devices containing the same, and diagnostic compositions | |
| WO2019208937A1 (en) | Composition, organic optoelectronic device and display device | |
| TW201412731A (en) | Nitrogen-containing heteroaromatic ring compound and organic electroluminescence element using same | |
| KR102391274B1 (en) | Compound for organic electronic element, organic electronic element using the same, and an electronic device thereof | |
| CN112592333A (en) | Compound for organic photoelectric device, and display device | |
| KR20240115046A (en) | Compound for organic optoelectronic device, composition for organic optoelectronic device, organic optoelectronic device and display device | |
| CN111187201A (en) | A compound and organic electroluminescent device | |
| KR20170059408A (en) | Organic electroluminescent compound, organic electroluminescent material and organic electroluminescent device comprising the same | |
| CN113764603A (en) | Composition for organic optoelectronic device, organic optoelectronic device and display device | |
| CN115557961B (en) | Thermal activation delay fluorescent material, preparation method thereof and organic light-emitting device |
Legal Events
| Date | Code | Title | Description |
|---|---|---|---|
| PA0109 | Patent application |
St.27 status event code: A-0-1-A10-A12-nap-PA0109 |
|
| PN2301 | Change of applicant |
St.27 status event code: A-3-3-R10-R13-asn-PN2301 St.27 status event code: A-3-3-R10-R11-asn-PN2301 |
|
| PA0201 | Request for examination |
St.27 status event code: A-1-2-D10-D11-exm-PA0201 |
|
| PG1501 | Laying open of application |
St.27 status event code: A-1-1-Q10-Q12-nap-PG1501 |
|
| PE0902 | Notice of grounds for rejection |
St.27 status event code: A-1-2-D10-D21-exm-PE0902 |
|
| E13-X000 | Pre-grant limitation requested |
St.27 status event code: A-2-3-E10-E13-lim-X000 |
|
| P11-X000 | Amendment of application requested |
St.27 status event code: A-2-2-P10-P11-nap-X000 |
|
| P13-X000 | Application amended |
St.27 status event code: A-2-2-P10-P13-nap-X000 |
|
| E701 | Decision to grant or registration of patent right | ||
| PE0701 | Decision of registration |
St.27 status event code: A-1-2-D10-D22-exm-PE0701 |
|
| GRNT | Written decision to grant | ||
| PR0701 | Registration of establishment |
St.27 status event code: A-2-4-F10-F11-exm-PR0701 |
|
| PR1002 | Payment of registration fee |
St.27 status event code: A-2-2-U10-U11-oth-PR1002 Fee payment year number: 1 |
|
| PG1601 | Publication of registration |
St.27 status event code: A-4-4-Q10-Q13-nap-PG1601 |
|
| FPAY | Annual fee payment |
Payment date: 20190801 Year of fee payment: 4 |
|
| PR1001 | Payment of annual fee |
St.27 status event code: A-4-4-U10-U11-oth-PR1001 Fee payment year number: 4 |
|
| PR1001 | Payment of annual fee |
St.27 status event code: A-4-4-U10-U11-oth-PR1001 Fee payment year number: 5 |
|
| PR1001 | Payment of annual fee |
St.27 status event code: A-4-4-U10-U11-oth-PR1001 Fee payment year number: 6 |
|
| PR1001 | Payment of annual fee |
St.27 status event code: A-4-4-U10-U11-oth-PR1001 Fee payment year number: 7 |
|
| P22-X000 | Classification modified |
St.27 status event code: A-4-4-P10-P22-nap-X000 |
|
| P22-X000 | Classification modified |
St.27 status event code: A-4-4-P10-P22-nap-X000 |
|
| P22-X000 | Classification modified |
St.27 status event code: A-4-4-P10-P22-nap-X000 |
|
| PR1001 | Payment of annual fee |
St.27 status event code: A-4-4-U10-U11-oth-PR1001 Fee payment year number: 8 |
|
| PR1001 | Payment of annual fee |
St.27 status event code: A-4-4-U10-U11-oth-PR1001 Fee payment year number: 9 |
|
| P22-X000 | Classification modified |
St.27 status event code: A-4-4-P10-P22-nap-X000 |
|
| PR1001 | Payment of annual fee |
St.27 status event code: A-4-4-U10-U11-oth-PR1001 Fee payment year number: 10 |
|
| U11 | Full renewal or maintenance fee paid |
Free format text: ST27 STATUS EVENT CODE: A-4-4-U10-U11-OTH-PR1001 (AS PROVIDED BY THE NATIONAL OFFICE) Year of fee payment: 10 |









































































































































































































































































































































































































































