KR101396171B1 - Novel organic electroluminescent compounds and an organic electroluminescent device using the same - Google Patents
Novel organic electroluminescent compounds and an organic electroluminescent device using the same Download PDFInfo
- Publication number
- KR101396171B1 KR101396171B1 KR1020120046340A KR20120046340A KR101396171B1 KR 101396171 B1 KR101396171 B1 KR 101396171B1 KR 1020120046340 A KR1020120046340 A KR 1020120046340A KR 20120046340 A KR20120046340 A KR 20120046340A KR 101396171 B1 KR101396171 B1 KR 101396171B1
- Authority
- KR
- South Korea
- Prior art keywords
- substituted
- compound
- phenyl
- organic electroluminescent
- alkyl
- Prior art date
- Legal status (The legal status is an assumption and is not a legal conclusion. Google has not performed a legal analysis and makes no representation as to the accuracy of the status listed.)
- Active
Links
Classifications
-
- H—ELECTRICITY
- H10—SEMICONDUCTOR DEVICES; ELECTRIC SOLID-STATE DEVICES NOT OTHERWISE PROVIDED FOR
- H10K—ORGANIC ELECTRIC SOLID-STATE DEVICES
- H10K85/00—Organic materials used in the body or electrodes of devices covered by this subclass
- H10K85/60—Organic compounds having low molecular weight
- H10K85/649—Aromatic compounds comprising a hetero atom
-
- C—CHEMISTRY; METALLURGY
- C07—ORGANIC CHEMISTRY
- C07D—HETEROCYCLIC COMPOUNDS
- C07D231/00—Heterocyclic compounds containing 1,2-diazole or hydrogenated 1,2-diazole rings
- C07D231/02—Heterocyclic compounds containing 1,2-diazole or hydrogenated 1,2-diazole rings not condensed with other rings
- C07D231/10—Heterocyclic compounds containing 1,2-diazole or hydrogenated 1,2-diazole rings not condensed with other rings having two or three double bonds between ring members or between ring members and non-ring members
- C07D231/14—Heterocyclic compounds containing 1,2-diazole or hydrogenated 1,2-diazole rings not condensed with other rings having two or three double bonds between ring members or between ring members and non-ring members with hetero atoms or with carbon atoms having three bonds to hetero atoms with at the most one bond to halogen, e.g. ester or nitrile radicals, directly attached to ring carbon atoms
- C07D231/18—One oxygen or sulfur atom
- C07D231/20—One oxygen atom attached in position 3 or 5
- C07D231/22—One oxygen atom attached in position 3 or 5 with aryl radicals attached to ring nitrogen atoms
- C07D231/26—1-Phenyl-3-methyl-5- pyrazolones, unsubstituted or substituted on the phenyl ring
-
- C—CHEMISTRY; METALLURGY
- C09—DYES; PAINTS; POLISHES; NATURAL RESINS; ADHESIVES; COMPOSITIONS NOT OTHERWISE PROVIDED FOR; APPLICATIONS OF MATERIALS NOT OTHERWISE PROVIDED FOR
- C09K—MATERIALS FOR MISCELLANEOUS APPLICATIONS, NOT PROVIDED FOR ELSEWHERE
- C09K19/00—Liquid crystal materials
- C09K19/04—Liquid crystal materials characterised by the chemical structure of the liquid crystal components, e.g. by a specific unit
- C09K19/06—Non-steroidal liquid crystal compounds
- C09K19/08—Non-steroidal liquid crystal compounds containing at least two non-condensed rings
- C09K19/10—Non-steroidal liquid crystal compounds containing at least two non-condensed rings containing at least two benzene rings
- C09K19/12—Non-steroidal liquid crystal compounds containing at least two non-condensed rings containing at least two benzene rings at least two benzene rings directly linked, e.g. biphenyls
-
- H—ELECTRICITY
- H10—SEMICONDUCTOR DEVICES; ELECTRIC SOLID-STATE DEVICES NOT OTHERWISE PROVIDED FOR
- H10K—ORGANIC ELECTRIC SOLID-STATE DEVICES
- H10K85/00—Organic materials used in the body or electrodes of devices covered by this subclass
- H10K85/10—Organic polymers or oligomers
- H10K85/111—Organic polymers or oligomers comprising aromatic, heteroaromatic, or aryl chains, e.g. polyaniline, polyphenylene or polyphenylene vinylene
-
- H—ELECTRICITY
- H10—SEMICONDUCTOR DEVICES; ELECTRIC SOLID-STATE DEVICES NOT OTHERWISE PROVIDED FOR
- H10K—ORGANIC ELECTRIC SOLID-STATE DEVICES
- H10K85/00—Organic materials used in the body or electrodes of devices covered by this subclass
- H10K85/60—Organic compounds having low molecular weight
- H10K85/631—Amine compounds having at least two aryl rest on at least one amine-nitrogen atom, e.g. triphenylamine
Landscapes
- Chemical & Material Sciences (AREA)
- Engineering & Computer Science (AREA)
- Materials Engineering (AREA)
- Organic Chemistry (AREA)
- Physics & Mathematics (AREA)
- Spectroscopy & Molecular Physics (AREA)
- Crystallography & Structural Chemistry (AREA)
- Electroluminescent Light Sources (AREA)
- Plural Heterocyclic Compounds (AREA)
Abstract
본 발명은 신규한 유기 발광 화합물 및 이를 포함하는 유기 전계 발광 소자에 관한 것이다. 본 발명에 따른 유기 발광 화합물은, 발광 효율이 좋고 구동수명이 매우 우수할 뿐만 아니라 구동전압이 강하됨으로써 전력효율의 상승이 유도되어 소비전력이 개선된 유기 전계 발광 소자를 제조할 수 있는 장점이 있다.The present invention relates to a novel organic light emitting compound and an organic electroluminescent device including the same. The organic electroluminescent device according to the present invention has an advantage of being able to manufacture an organic electroluminescent device having a high luminous efficiency, a long driving life and an improved power efficiency by lowering a driving voltage, thereby improving power consumption .
Description
본 발명은 신규한 유기 발광 화합물 및 이를 채용하는 유기 전계 발광 소자에 관한 것이다.The present invention relates to a novel organic light emitting compound and an organic electroluminescent device employing the same.
표시 소자 중, 전계 발광 소자(electroluminescence device: EL 소자)는 자체 발광형 표시 소자로서 시야각이 넓고 콘트라스트가 우수할 뿐만 아니라 응답속도가 빠르다는 장점을 가지고 있다. 1987년 이스트만 코닥(Eastman Kodak)사는 발광층 형성용 재료로서 저분자인 방향족 디아민과 알루미늄 착물을 이용하고 있는 유기 EL 소자를 처음으로 개발하였다[Appl. Phys. Lett. 51, 913, 1987].Among display devices, an electroluminescence device (EL device) is a self-luminous display device having a wide viewing angle, excellent contrast, and fast response speed. In 1987, Eastman Kodak Company developed an organic EL device using an aromatic diamine and an aluminum complex having low molecular weight as a light emitting layer forming material [Appl. Phys. Lett. 51, 913, 1987].
유기 EL 소자에서 발광 효율을 결정하는 가장 중요한 요인은 발광 재료이다. 발광 재료로는 현재까지 형광 발광 재료가 널리 사용되고 있으나, 전계 발광의 메커니즘상 인광 발광 재료가 형광 발광 재료에 비해 이론적으로 4배까지 발광 효율을 개선시킬 수 있다는 점에서 인광 발광 재료의 개발 연구가 널리 수행되고 있다. 현재까지 이리듐(III)착물 계열이 인광 발광 재료로 널리 알려져 있으며, 각 RGB 별로는 (acac)Ir(btp)2 (비스(2-(2'-벤조티에닐)-피리디네이토-N,C-3')이리듐(아세틸아세토네이트)), Ir(ppy)3 (트리스(2-페닐피리딘)이리듐) 및 Firpic (비스(4,6-디플루오로페닐피리디네이토-N,C2)피콜리네이토이리듐) 등의 재료가 알려져 있다.The most important factor for determining the luminous efficiency in the organic EL device is the luminescent material. As a luminescent material, a fluorescent luminescent material has been widely used, but the development of a phosphorescent luminescent material has been widely carried out in view of the fact that the phosphorescent luminescent material on the mechanism of electroluminescence can improve the luminescent efficiency by the theoretical four times as compared with the fluorescent luminescent material . Until now, the iridium (III) complex series has been widely known as a phosphorescent light emitting material, and each of R, G and B has (acac) Ir (btp) 2 (bis (2- (2'-benzothienyl) -pyridinate- 3 ') iridium (acetylacetonate)), Ir (ppy) 3 (tris (2-phenylpyridine) iridium) and Firpic (bis (4,6-difluorophenylpyridinate- Collisional iridium) and the like are known.
발광 재료는 색순도, 발광효율 및 안정성을 향상시키기 위해 호스트 재료와 도펀트를 혼합한 도펀트/호스트재료의 체계로 사용하기도 한다. 이와 같은 체계를 사용할 때, 호스트 재료는 발광 소자의 효율과 성능에 큰 영향을 미치므로, 그 선택이 중요하다. 종래 기술에서, 인광용 호스트 재료로는 4,4'-비스(카바졸-9-일)-비페닐(CBP)이 가장 널리 알려져 있었다. 최근에는, 일본의 파이오니어 등이 정공 저지층의 재료로 사용되던 바토큐프로인(Bathocuproine, BCP) 및 알루미늄(III)비스(2-메틸-8-퀴놀리네이트)(4-페닐페놀레이트)(Balq) 등을 호스트 재료로 이용해 고성능의 유기 EL 소자를 개발한 바 있다.The light emitting material may also be used as a dopant / host material system in which a host material and a dopant are mixed to improve color purity, luminous efficiency and stability. When using such a system, the selection is important because the host material greatly affects the efficiency and performance of the light emitting device. In the prior art, 4,4'-bis (carbazol-9-yl) biphenyl (CBP) is the most widely known phosphorescent host material. In recent years, Pioneer, etc., of Japan, have been using bathocuproine (BCP) and aluminum (III) bis (2-methyl-8-quinolinate) (4-phenyl phenolate) Balq) as a host material to develop a high-performance organic EL device.
그러나 기존의 이러한 인광용 호스트 재료들은 발광 특성 측면에서는 유리한 면이 있으나, 다음과 같은 단점이 있다: (1) 유리 전이 온도가 낮고 열적 안정성이 낮아서, 진공 하에서 고온 증착 공정을 거칠 때, 물질이 변한다. (2) 유기 EL 소자에서 전력효율 = [(π/전압)×전류효율]의 관계에 있으므로 전력 효율은 전압에 반비례한다. 그러나, 인광용 호스트 재료를 사용한 유기 EL 소자는 형광 재료를 사용한 유기 EL 소자에 비해 전류 효율(cd/A)은 높으나, 구동 전압 역시 상당히 높기 때문에 전력 효율(lm/w) 면에서 큰 이점이 없다. (3) 또한, 유기 EL 소자에 사용할 경우, 작동 수명 측면에서도 만족스럽지 못하며, 발광 효율도 여전히 개선이 요구된다.However, the conventional phosphorescent host materials are advantageous from the viewpoint of luminescence characteristics, but they have the following disadvantages: (1) the material is changed when the glass transition temperature is low and the thermal stability is low and the high temperature deposition process is performed under vacuum . (2) In the organic EL device, the power efficiency is inversely proportional to the voltage since it is in the relationship of power efficiency = [(pi / voltage) x current efficiency]. However, the organic EL device using the phosphorescent host material has a higher current efficiency (cd / A) than the organic EL device using the fluorescent material, but the driving voltage is also very high, so there is no great advantage in terms of power efficiency (lm / w) . (3) In addition, when used in an organic EL device, it is unsatisfactory in terms of operating life, and luminous efficiency is still required to be improved.
한편 한국특허공보 제948700호에는 아릴카바졸기 골격에 질소를 포함하는 아릴이 치환된 유기 전기 발광 소재용 화합물을 언급하고 있다. 그러나 상기 문헌에는 카바졸 골격에 디벤조티오펜이 치환되고 질소를 포함하는 아릴을 모두 겸비한 화합물을 개시하고 있지 않다. 또한, 상기 문헌에 개시된 화합물들을 포함한 유기 EL 소자들은 발광 효율, 구동 전압 및 수명 특성의 측면에서 여전히 만족스럽지 못하다.Korean Patent Publication No. 948700 discloses a compound for an organic electroluminescent material in which an aryl group containing an nitrogen is substituted with an arylcarbazole skeleton. However, this document does not disclose a compound having both a carbazole skeleton substituted with dibenzothiophene and an aryl compound containing nitrogen. In addition, organic EL devices including the compounds disclosed in the above documents are still unsatisfactory in terms of luminous efficiency, driving voltage and lifetime characteristics.
따라서 본 발명의 목적은 첫째로, 발광 효율 및 소자 수명이 우수하고 구동 전압이 낮은 유기 발광 화합물을 제공하는 것이며, 둘째로, 상기 유기 발광 화합물을 채용하는 고효율 및 장수명의 유기 전계 발광 소자를 제공하는 것이다. Accordingly, an object of the present invention is to provide an organic electroluminescent compound having excellent luminous efficiency and device lifetime and a low driving voltage, and secondly, to provide a highly efficient and long-lasting organic electroluminescent device employing the organic electroluminescent compound will be.
상기의 기술적 과제를 해결하기 위해 예의 연구한 결과, 본 발명자들은 하기 화학식 1로 표시되는 유기발광 화합물이 상술한 목적을 달성함을 발견하여 본 발명을 완성하였다.As a result of intensive studies to solve the above technical problems, the present inventors have found that an organic luminescent compound represented by the following general formula (1) achieves the above-mentioned object and completed the present invention.
[화학식 1] [Chemical Formula 1]
상기 화학식 1에서, In Formula 1,
L1 및 L2는 각각 독립적으로 단일결합, 치환 또는 비치환된 (3-30원)헤테로아릴렌, 또는 치환 또는 비치환된 (C6-C30)아릴렌이고;L 1 and L 2 are each independently a single bond, substituted or unsubstituted (3-30 membered heteroarylene, or substituted or unsubstituted (C6-C30) arylene;
X1 및 X2는 각각 독립적으로 CR' 또는 N이며;X 1 and X 2 are each independently CR 'or N;
Y는 S, O 또는 -CR21R22이며;Y is S, O or -CR < 21 > R < 22 & gt ;;
Ar1, Ar2, R', R21 및 R22는 각각 독립적으로 수소, 중수소, 할로겐, 치환 또는 비치환된 (C1-C30)알킬, 치환 또는 비치환된 (C6-C30)아릴, 또는 치환 또는 비치환된 (3-30원)헤테로아릴이고; Ar 1, Ar 2, R ' , R 21 and R 22 are each independently hydrogen, deuterium, halogen, substituted or unsubstituted (C1-C30) alkyl, substituted or unsubstituted (C6-C30) aryl, or substituted Or unsubstituted (3-30 membered) heteroaryl;
R1 내지 R4는 각각 독립적으로 수소, 중수소, 할로겐, 치환 또는 비치환된 (C1-C30)알킬, 치환 또는 비치환된 (C6-C30)아릴, 치환 또는 비치환된 (3-30원)헤테로아릴, -NR11R12, -SiR13R14R15, -SR16, -OR17, 시아노, 니트로 또는 히드록시이고;R 1 to R 4 are each independently hydrogen, deuterium, halogen, substituted or unsubstituted (C 1 -C 30) alkyl, substituted or unsubstituted (C 6 -C 30) aryl, Heteroaryl, -NR 11 R 12 , -SiR 13 R 14 R 15 , -SR 16 , -OR 17, cyano, nitro or hydroxy;
R11 내지 R17은 각각 독립적으로 수소, 중수소, 할로겐, 치환 또는 비치환된 (C1-C30)알킬, 치환 또는 비치환된 (C6-C30)아릴, 치환 또는 비치환된 (3-30원)헤테로아릴이거나, 인접한 치환체와 함께 단일환 또는 다환의 지환족 고리 또는 방향족 고리를 형성할 수 있으며, 상기 형성된 단일환 또는 다환의 지환족 고리 또는 방향족 고리의 탄소 원자는 질소, 산소 및 황으로부터 선택되는 하나 이상의 원자로 대체될 수 있으며;R 11 to R 17 are each independently hydrogen, deuterium, halogen, substituted or unsubstituted (C 1 -C 30) alkyl, substituted or unsubstituted (C 6 -C 30) aryl, Heteroaryl or may form a monocyclic or polycyclic alicyclic ring or aromatic ring with an adjacent substituent and the carbon atom of the formed monocyclic or polycyclic alicyclic ring or aromatic ring is selected from nitrogen, One or more atoms may be replaced;
a 및 d는 각각 독립적으로 1 내지 4의 정수이며, a 또는 d가 2 이상의 정수인 경우 각각의 R1 또는 각각의 R4는 서로 동일하거나 상이할 수 있고;a and d are each independently an integer of 1 to 4, and when a or d is an integer of 2 or more, each R 1 or each R 4 may be the same or different from each other;
b 및 c는 각각 독립적으로 1 내지 3의 정수이며, b 또는 c가 2 이상의 정수인 경우 각각의 R2 또는 각각의 R3는 서로 동일하거나 상이할 수 있고;b and c are each independently an integer of 1 to 3, and when b or c is an integer of 2 or more, each R 2 or each R 3 may be the same or different from each other;
상기 헤테로아릴 및 헤테로아릴렌은 B, N, O, S, P(=O), Si 및 P로부터 선택된 하나 이상의 원자를 포함한다.The heteroaryl and heteroarylene comprise at least one atom selected from B, N, O, S, P (= O), Si and P.
상기 L1, L2, Ar1, Ar2, R', R1 내지 R4, R11 내지 R17, R21 및 R22에 더 치환되는 치환기는 서로 독립적으로 중수소, 할로겐, (C1-C30)알킬, 할로겐으로 치환된 (C1-C30)알킬, (C6-C30)아릴, (3-30원)헤테로아릴, (C6-C30)아릴로 치환된 (3-30원)헤테로아릴, (3-30원)헤테로아릴로 치환된 (C6-C30)아릴, (C3-C30)시클로알킬, (5-7원)헤테로시클로알킬, 트리(C1-C30)알킬실릴, 트리(C6-C30)아릴실릴, 디(C1-C30)알킬(C6-C30)아릴실릴, (C1-C30)알킬디(C6-C30)아릴실릴, (C2-C30)알케닐, (C2-C30)알키닐, 시아노, 디(C1-C30)알킬아미노, 디(C6-C30)아릴아미노, (C1-C30)알킬(C6-C30)아릴아미노, 디(C6-C30)아릴보로닐, 디(C1-C30)알킬보로닐, (C1-C30)알킬(C6-C30)아릴보로닐, (C6-C30)아르(C1-C30)알킬, (C1-C30)알킬(C6-C30)아릴, 카르복실, 니트로 및 히드록시로 이루어진 군으로부터 선택되는 1종 이상인 것을 의미한다.Wherein L 1 , L 2 , Ar 1 , Ar 2 , R ' Substituents further substituted on R 1 to R 4 , R 11 to R 17 , R 21 and R 22 independently of one another are selected from the group consisting of deuterium, halogen, (C 1 -C 30) alkyl, (C 1 -C 30) (C6-30 aryl), (3-30 membered heteroaryl, (3-30 membered) heteroaryl substituted by (C6-30 aryl), (3-30 membered) heteroaryl, (C6-C30) arylsilyl, di (C1-C30) alkyl (C6-C30) arylsilyl, (C6-C30) alkylsilyl, (C2-C30) alkenyl, (C2-C30) alkynyl, cyano, di (C1- (C1-C30) alkyl (C6-C30) arylamino, di (C6-C30) arylcarbonyl, di (C1-C30) alkyl, (C1-C30) alkyl (C6-C30) aryl, carboxyl, nitro and hydroxy .
본 발명에 기재된 "알킬", "알콕시" 및 그 외 「알킬」부분을 포함하는 치환체는 직쇄 또는 분쇄 형태를 모두 포함하고, "시클로알킬"은 단일환 뿐만 아니라 치환 또는 비치환된 아다만틸 또는 치환 또는 비치환된 (C7-C30)비시클로알킬과 같은 다환계 탄화수소도 포함한다. 본 발명에 기재된 "아릴"은 하나의 수소 제거에 의해서 방향족 탄화수소로부터 유도된 유기 라디칼로, 각 고리에 적절하게는 4 내지 7개, 바람직하게는 5 또는 6개의 고리원자를 포함하는 단일 또는 융합환계를 포함하며, 다수개의 아릴이 단일결합으로 연결되어 있는 형태까지 포함한다. 구체적인 예로서 페닐, 나프틸, 비페닐, 터페닐, 안트릴, 인데닐, 플루오레닐, 페난트릴, 트리페닐레닐, 피렌일, 페릴렌일, 크라이세닐, 나프타세닐, 플루오란텐일 등이 있다. 상기 나프틸은 1-나프틸 및 2-나프틸을 포함하며, 안트릴은 1-안트릴, 2-안트릴 및 9-안트릴을 포함하며, 플루오레닐은 1-플루오레닐, 2-플루오레닐, 3-플루오레닐, 4-플루오레닐 및 9-플루오레닐을 모두 포함한다. 본 발명에 기재된 "헤테로아릴"은 방향족 고리 골격 원자로서 B, N, O, S, P(=O), Si 및 P로부터 선택되는 1 내지 4개의 헤테로원자를 포함하고 나머지 방향족 고리 골격 원자가 탄소인 아릴 그룹을 의미하는 것으로, 단환 헤테로아릴, 및 하나 이상의 벤젠 환과 축합된 다환식 헤테로아릴이며, 부분적으로 포화될 수도 있다. 또한, 본 발명에서의 헤테로아릴은 하나 이상의 헤테로아릴이 다른 헤테로아릴 또는 아릴기에 단일결합으로 연결된 형태도 포함한다. 상기 헤테로아릴기는 고리내 헤테로원자가 산화되거나 사원화되어, 예를 들어 N-옥사이드 또는 4차 염을 형성하는 2가 아릴기를 포함한다. 구체적인 예로서 퓨릴, 티오펜일, 피롤릴, 이미다졸릴, 피라졸릴, 티아졸릴, 티아디아졸릴, 이소티아졸릴, 이속사졸릴, 옥사졸릴, 옥사디아졸릴, 트리아진일, 테트라진일, 트리아졸릴, 테트라졸릴, 퓨라잔일, 피리딜, 피라진일, 피리미딘일, 피리다진일 등의 단환 헤테로아릴, 벤조퓨란일, 벤조티오펜일, 이소벤조퓨란일, 벤조이미다졸릴, 벤조티아졸릴, 벤조이소티아졸릴, 벤조이속사졸릴, 벤조옥사졸릴, 이소인돌릴, 인돌릴, 인다졸릴, 벤조티아디아졸릴, 퀴놀릴, 이소퀴놀릴, 신놀리닐, 퀴나졸리닐, 퀴녹살리닐, 카바졸릴, 페난트리딘일, 벤조디옥솔릴, 디벤조퓨란닐, 디벤조티오페닐 등의 다환식 헤테로아릴 및 이들의 상응하는 N-옥사이드(예를 들어, 피리딜 N-옥사이드, 퀴놀릴 N-옥사이드), 이들의 4차 염 등을 들 수 있다.The substituents comprising the "alkyl", "alkoxy" and other "alkyl" moieties described in the present invention include both linear and branched forms, and "cycloalkyl" includes both single rings as well as substituted or unsubstituted adamantyl or And polycyclic hydrocarbons such as substituted or unsubstituted (C7-C30) bicycloalkyl. "Aryl" as used herein refers to an organic radical derived from an aromatic hydrocarbon by the removal of one hydrogen, a single or fused ring system containing, suitably, from 4 to 7, preferably 5 or 6 ring atoms in each ring And includes a plurality of aryls connected by a single bond. Specific examples thereof include phenyl, naphthyl, biphenyl, terphenyl, anthryl, indenyl, fluorenyl, phenanthryl, triphenylenyl, pyreneyl, perylenyle, crycenyl, naphthacenyl and fluoranthenyl. The naphthyl includes 1-naphthyl and 2-naphthyl, anthryl includes 1-anthryl, 2-anthryl and 9-anthryl, and fluorenyl includes 1-fluorenyl, 2- Fluorenyl, 3-fluorenyl, 4-fluorenyl, and 9-fluorenyl. "Heteroaryl" as used herein refers to an aromatic ring skeleton containing 1 to 4 heteroatoms selected from B, N, O, S, P (= O), Si and P as the aromatic ring skeletal atoms, Means an aryl group, monocyclic heteroaryl, and polycyclic heteroaryl that is condensed with one or more benzene rings, and may be partially saturated. The heteroaryl in the present invention also includes a form in which at least one heteroaryl is linked to another heteroaryl or aryl group by a single bond. The heteroaryl groups include divalent aryl groups in which the heteroatoms in the ring are oxidized or trisubstituted to form, for example, an N-oxide or a quaternary salt. Specific examples include furyl, thiophenyl, pyrrolyl, imidazolyl, pyrazolyl, thiazolyl, thiadiazolyl, isothiazolyl, isoxazolyl, oxazolyl, oxadiazolyl, triazinyl, tetrazinyl, triazolyl, Monocyclic heteroaryl such as tetrazolyl, furazanyl, pyridyl, pyrazinyl, pyrimidinyl and pyridazinyl, benzofuranyl, benzothiophenyl, isobenzofuranyl, benzoimidazolyl, benzothiazolyl, benzoiso Benzothiazolyl, benzothiazolyl, benzooxazolyl, isoindolyl, indolyl, indazolyl, benzothiadiazolyl, quinolyl, isoquinolyl, cinnolinyl, quinazolinyl, quinoxalinyl, (Such as pyridyl N-oxide, quinolyl N-oxide), polycyclic heteroaryls such as benzyloxycarbonyl, benzyloxycarbonyl, benzyloxycarbonyl, benzyloxycarbonyl, And the like.
또한, 본 발명에 기재되어 있는 "(C1-C30)알킬(렌)" 기는 바람직하게는 (C1-C20)알킬(렌), 더 바람직하게는 (C1-C10)알킬(렌)이며, "(C6-C30)아릴(렌)" 기는 바람직하게는 (C6-C20)아릴(렌), 더 바람직하게는 (C6-C12)아릴(렌)이다. "(3-30원)헤테로아릴(렌)" 기는 바람직하게는 (3-20원) 헤테로아릴(렌), 더 바람직하게는 (5-13원) 헤테로아릴(렌)이다. "(C3-C30)시클로알킬"기는 바람직하게는 (C3-C20)시클로알킬, 더 바람직하게는 (C3-C7)시클로알킬이다. "(C2-C30)알케닐(렌) 또는 알키닐(렌)"기는 바람직하게는 (C2-C20)알케닐(렌) 또는 알키닐(렌), 더 바람직하게는 (C2-C10)알케닐(렌) 또는 알키닐(렌)이다.The (C1-C30) alkyl (phenylene) group described in the present invention is preferably a (C1-C20) alkyl (phenylene), more preferably a (C6-C30) aryl (Rhen) "group is preferably (C6-C20) aryl (Rhen), more preferably (C6-C12) aryl The "(3-30 membered) heteroaryl (phenylene)" group is preferably (3-20 member) heteroaryl (phenylene), more preferably (5- 13 member) heteroaryl (phenylene). The "(C3-C30) cycloalkyl" group is preferably (C3-C20) cycloalkyl, more preferably (C3-C7) cycloalkyl. The "(C2-C30) alkenyl (R) or alkynyl (Rhen)" group is preferably a (C2-C20) alkenyl (Rhen) or alkynyl (Rhen), more preferably a (R) or alkynyl (R).
바람직하게는, 상기 L1 및 L2는 각각 독립적으로 단일결합; 또는 치환 또는 비치환된 페닐렌, 비페닐렌, 터페닐렌, 인데닐렌, 플루오레닐렌, 트리페닐레닐렌, 피렌일렌, 페릴렌일렌, 크라이세닐렌, 나프타세닐렌, 플루오란텐일렌, 티오페닐렌, 피롤릴렌, 피라졸릴렌, 티아졸릴렌, 옥사졸릴렌, 옥사디아졸릴렌, 트리아진일렌, 테트라진일렌, 트리아졸릴렌, 테트라졸릴렌, 퓨라잔일렌, 피리딜렌, 벤조퓨란일렌, 벤조티오펜일렌, 인돌렌, 벤조이미다졸릴렌, 벤조티아졸릴렌, 벤조이소티아졸릴렌, 벤조이속사졸릴렌, 벤조옥사졸릴렌, 벤조티아디아졸릴렌, 디벤조퓨란닐렌 또는 디벤조티오페닐렌이고;Preferably, L < 1 > and L < 2 > are each independently a single bond; Or substituted or unsubstituted aliphatic dicarboxylic acids such as phenylene, biphenylene, terphenylene, indenylene, fluorenylene, triphenylrenylene, pyreneylene, peryleneylene, chryshenylene, naphthaceneylene, fluoranthenylene, thio Examples of the substituent include phenylene, pyrrolylene, pyrazolylene, thiazolylene, oxazolylene, oxadiazolylene, triazinylene, tetrazinylene, triazolylene, tetrazolylene, puracilane, pyridylene, benzofuranylene, Benzothiophenylene, benzothiophenylene, indolene, benzimidazolylene, benzothiazolylene, benzoisothiazolylene, benzoisoxazolylene, benzoxazolylene, benzothiadiazolylene, dibenzofurananylene or dibenzothiophenyl ;
상기 Ar1, Ar2, R', R21 및 R22는 각각 독립적으로 수소; 또는 치환 또는 비치환된 메틸, 에틸, n-프로필, i-프로필, n-부틸, i-부틸, t-부틸, n-펜틸, i-펜틸, n-헥실, n-헵틸, n-옥틸, 2-에틸헥실, n-노닐, 데실, 도데실, 헥사데실, 트리플루오로메틸, 퍼플루오로에틸, 트리플루오로에틸, 퍼플루오로프로필, 퍼플루오로부틸, 페닐, 비페닐, 플루오레닐, 플루오란텐일, 터페닐, 피렌일, 크라이세닐, 나프타세닐, 페릴렌, 피리딜, 피롤릴, 퓨란일, 티오펜일, 이미다졸릴, 벤조이미다졸릴, 퀴놀릴, 트리아진일, 벤조퓨란일, 디벤조퓨란일, 벤조티오펜일, 디벤조티오펜일, 피라졸릴, 인돌릴, 카바졸릴, 티아졸릴, 옥사졸릴, 벤조티아졸릴, 벤조옥사졸릴, 페난트롤린일, 퀴녹살리닐 또는 N-카바졸릴이고, 더 바람직하게는 R21 및 R22는 각각 독립적으로 수소, 메틸, 에틸, n-프로필 또는 i-프로필이고;Ar 1 , Ar 2, R ', R 21 and R 22 are each independently hydrogen; N-butyl, n-pentyl, i-pentyl, n-hexyl, n-heptyl, n-octyl, Perfluoroethyl, perfluoropropyl, perfluorobutyl, phenyl, biphenyl, fluorenyl, perfluoroethyl, perfluoroethyl, perfluorohexyl , Fluoranthene, terphenyl, pyrenyl, klycenyl, naphthacenyl, perylene, pyridyl, pyrrolyl, furanyl, thiophenyl, imidazolyl, benzoimidazolyl, quinolyl, triazinyl, Thiazolyl, oxazolyl, benzothiazolyl, benzoxazolyl, phenanthrolinyl, quinoxalinyl or N, N-diethoxycarbonyl, benzothiophenyl, dibenzothiophenyl, pyrazolyl, indolyl, -Carbazolyl, more preferably R 21 and R 22 are each independently hydrogen, methyl, ethyl, n-propyl or i-propyl;
R1 내지 R4는 각각 독립적으로 수소, 중수소, 클로로, 플루오로, 메틸, 에틸, n-프로필, i-프로필, n-부틸, i-부틸, t-부틸, n-펜틸, i-펜틸, n-헥실, n-헵틸, n-옥틸, 2-에틸헥실, n-노닐, 데실, 도데실, 헥사데실, 트리플루오로메틸, 퍼플루오로에틸, 트리플루오로에틸, 퍼플루오로프로필, 퍼플루오로부틸, 페닐, 비페닐, 플루오레닐, 플루오란텐일, 트리페닐렌일, 피렌일, 크라이세닐, 나프타세닐, 페릴렌일, 피리딜, 피롤릴, 퓨란일, 티오펜일, 이미다졸릴, 벤조이미다졸릴, 인데닐, 피라진일, 피리미딘일, 피리다진일, 퀴놀릴, 트리아진일, 벤조퓨란일, 디벤조퓨란일, 벤조티오펜일, 디벤조티오펜일, 피라졸릴, 인돌릴, 카바졸릴, 티아졸릴, 옥사졸릴, 벤조티아졸릴, 벤조옥사졸릴, 페난트롤린일 또는 N-카바졸릴이고;R 1 To R 4 are each independently selected from the group consisting of hydrogen, deuterium, chloro, fluoro, methyl, ethyl, n-propyl, i- N-hexyl, n-heptyl, n-octyl, 2-ethylhexyl, n-nonyl, decyl, dodecyl, hexadecyl, trifluoromethyl, perfluoroethyl, trifluoroethyl, perfluoropropyl, perfluoro Examples of the substituents include alkyl groups such as methyl, ethyl, propyl, isopropyl, butyl, phenyl, biphenyl, fluorenyl, fluoranthenyl, triphenyleney, pyrenyl, And examples thereof include a benzyl group, a benzyl group, a benzyl group, a benzyl group, a benzyl group, a benzyl group, a benzyl group, a benzyl group, a benzyl group, a pyrrolyl group, Benzothiazolyl, benzoxazolyl, phenanthrolinyl or N-carbazolyl; < RTI ID = 0.0 >
a 내지 d는 각각 독립적으로 1 내지 2의 정수, 더 바람직하게는 1이고;a to d are each independently an integer of 1 to 2, more preferably 1;
상기 L1, L2, Ar1, Ar2, R', R1 내지 R4, R21 및 R22는 각각 독립적으로 중수소, 클로로, 플루오로, 메틸, 에틸, n-프로필, i-프로필, n-부틸, i-부틸, t-부틸, n-펜틸, i-펜틸, n-헥실, n-헵틸, n-옥틸, 2-에틸헥실, n-노닐, 데실, 도데실, 헥사데실, 트리플루오로메틸, 퍼플루오로에틸, 트리플루오로에틸, 퍼플루오로프로필, 퍼플루오로부틸, 페닐, 비페닐, 플루오레닐, 플루오란텐일, 트리페닐렌일, 피렌일, 크라이세닐, 나프타세닐, 페릴렌일, 플루오로트리메틸실릴, 트리에틸실릴, 트리프로필실릴, 트리(t-부틸)실릴, t-부틸디메틸실릴, 디메틸페닐실릴, 카바졸릴 및 트리페닐실릴로 이루어진 군으로부터 선택되는 1종 이상으로 더 치환될 수 있고, 더 바람직하게는 중수소, 클로로, 플루오로, 메틸, 에틸, n-프로필, i-프로필, n-부틸, i-부틸, t-부틸, n-펜틸, i-펜틸, n-헥실, n-헵틸, n-옥틸, 2-에틸헥실, n-노닐 및 데실로 이루어진 군으로부터 선택되는 1종 이상으로 더 치환될 수 있다.Wherein each of L 1 , L 2 , Ar 1 , Ar 2 , R ', R 1 to R 4 , R 21 and R 22 are each independently selected from the group consisting of deuterium, chloro, fluoro, methyl, ethyl, n-propyl, i- N-hexyl, n-heptyl, n-octyl, 2-ethylhexyl, n-nonyl, decyl, dodecyl, hexadecyl, trifluoromethyl, perfluoroethyl, trifluoroethyl, perfluoropropyl, perfluoro Butyl, phenyl, biphenyl, fluorenyl, fluoranthenyl, triphenyleney, pyrenyl, klycenyl, naphthacenyl, perilylene, fluorotrimethylsilyl, triethylsilyl, tripropylsilyl, tri (t- More preferably at least one member selected from the group consisting of methyl, ethyl, n-propyl, isopropyl, n-butyl, sec-butyl, isobutyl, sec-butyldimethylsilyl, N-propyl, n-butyl, i-butyl, t-butyl, With at least one member selected from the group consisting of thread may be further substituted.
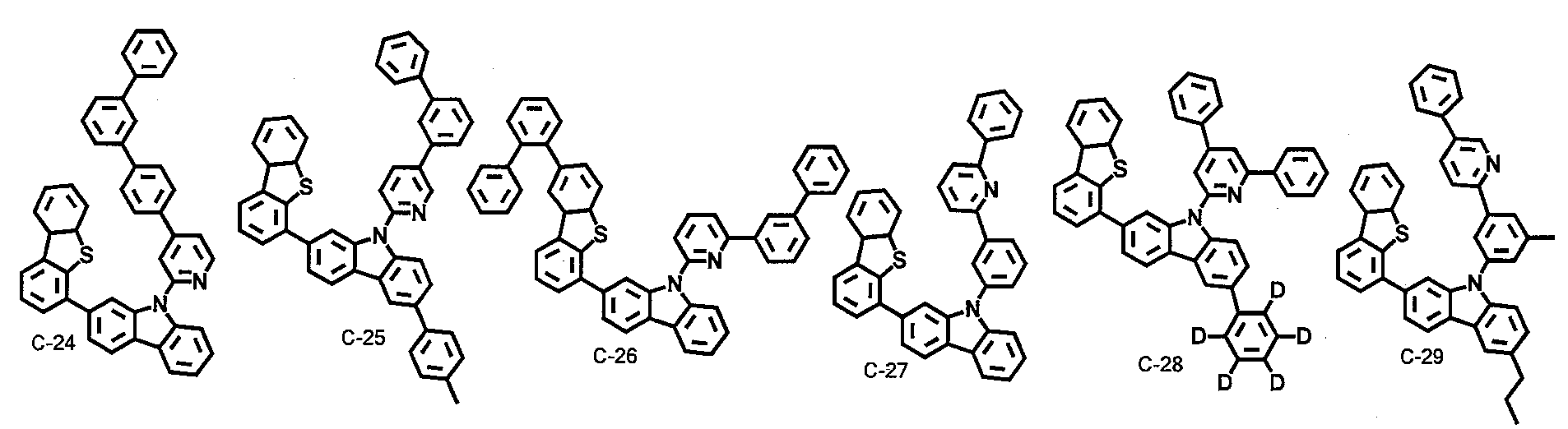
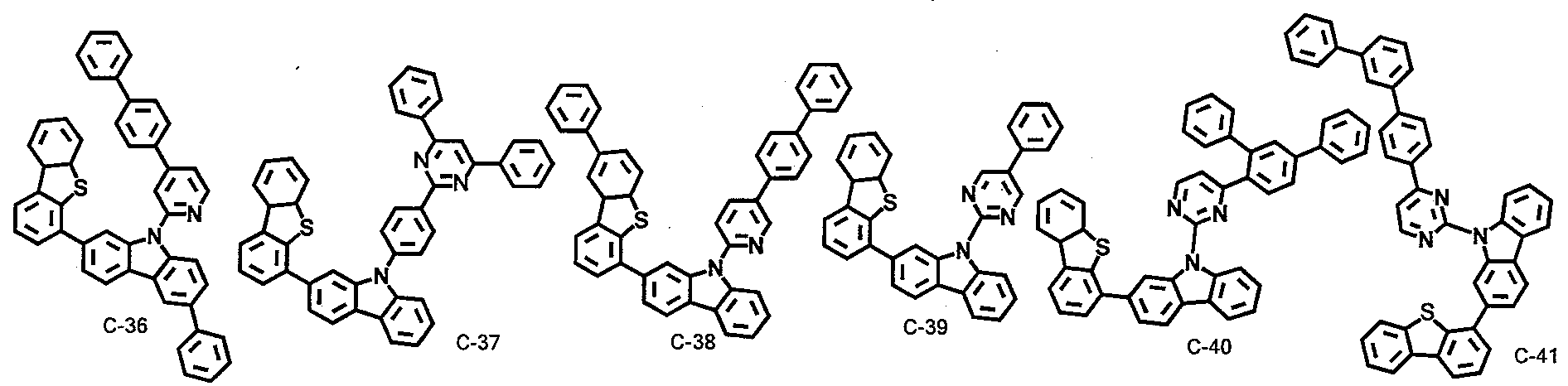
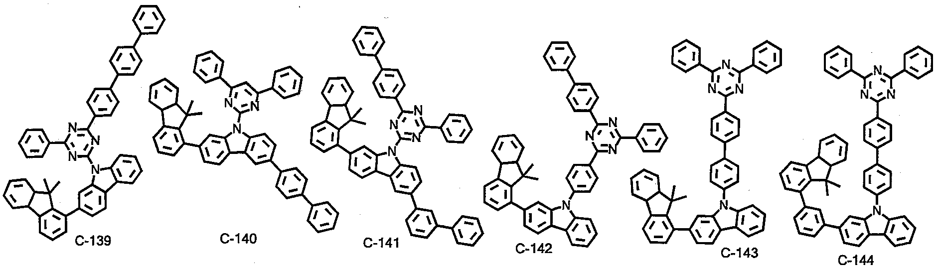
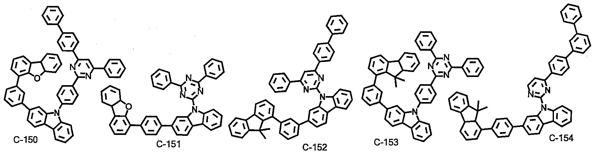
본 발명에 따른 유기 발광 화합물은 보다 구체적으로 하기의 화합물로서 예시될 수 있다.The organic luminescent compound according to the present invention can be more specifically exemplified as the following compounds.
본 발명에 따른 유기 발광 화합물은 하기 반응식에 나타난 바와 같이 제조될 수 있다.The organic luminescent compound according to the present invention can be prepared as shown in the following reaction formula.
[반응식 1][Reaction Scheme 1]
[상기 반응식 1에서, Ar1, Ar2, L1, L2, Y, X1, X2, R1 내지 R4, a, b, c 및 d는 화학식 1에서의 정의와 동일하고, X는 할로겐이다.]Wherein Ar 1 , Ar 2 , L 1 , L 2 , Y, X 1 , X 2 , R 1 to R 4 , a, b, c and d are as defined in the formula Is a halogen.]
본 발명은 추가의 양태로 상기 화학식 1의 화합물을 포함하는 유기 전계 발광 소자를 제공한다. 본 발명에 따른 유기 전계 발광 소자는 제1전극; 제2전극; 및 상기 제1전극 및 제2전극 사이에 개재되는 1층 이상의 유기물층을 갖고, 상기 유기물층은 상기 화학식 1의 화합물을 하나 이상 포함한다. The present invention provides, in a further aspect, an organic electroluminescent device comprising the compound of formula (1). An organic electroluminescent device according to the present invention includes a first electrode; A second electrode; And at least one organic material layer interposed between the first electrode and the second electrode, wherein the organic material layer contains at least one compound of the formula (1).
상기 제1전극과 제2전극 중 하나는 애노드이고 다른 하나는 캐소드일 수 있다. 상기 유기물층은 발광층을 포함하고, 정공 주입층, 정공 수송층, 전자 수송층, 전자 주입층, 계면층(interlayer) 및 정공 저지층에서 선택되는 1층 이상을 더 포함할 수 있다.One of the first electrode and the second electrode may be an anode and the other may be a cathode. The organic material layer may further include one or more layers selected from the group consisting of a hole injection layer, a hole transport layer, an electron transport layer, an electron injection layer, an interlayer and a hole blocking layer.
본 발명의 화학식 1의 화합물은 상기 발광층 및 정공 수송층 중 하나 이상에 포함될 수 있다. 정공 수송층에 사용될 경우, 본 발명의 화학식 1의 화합물은 정공 수송재료로서 포함될 수 있다. 발광층에 사용될 경우, 본 발명의 화학식 1의 화합물은 호스트 재료로서 포함될 수 있고; 바람직하게는 하나 이상의 도펀트를 추가로 더 포함할 수 있으며; 필요한 경우, 본 발명의 화학식 1의 화합물 이외의 다른 화합물을 제2 호스트 재료로 추가로 포함할 수 있다.The compound of Formula 1 of the present invention may be included in at least one of the light emitting layer and the hole transporting layer. When used in a hole transporting layer, the compound of Formula 1 of the present invention can be included as a hole transporting material. When used in the light emitting layer, the compound of Formula 1 of the present invention can be included as a host material; Preferably further comprising one or more dopants; If desired, a compound other than the compound of formula (1) of the present invention may be further included as a second host material.
상기 도펀트로는 하나 이상의 인광 도펀트가 바람직하다. 본 발명의 유기 전계 발광 소자에 적용되는 인광 도펀트 재료는 특별히 제한되지는 않으나, 이리듐(Ir), 오스뮴(Os), 구리(Cu) 및 백금(Pt)으로부터 선택되는 금속 원자의 착체 화합물이 바람직하고, 이리듐(Ir), 오스뮴(Os), 구리(Cu) 및 백금(Pt)으로부터 선택되는 금속 원자의 오르토 메탈화 착체 화합물이 더욱 바람직하며, 오르토 메탈화 이리듐 착체 화합물이 더더욱 바람직하다.As the dopant, at least one phosphorescent dopant is preferable. The phosphorescent dopant material to be applied to the organic electroluminescent device of the present invention is not particularly limited, but is preferably a complex compound of a metal atom selected from iridium (Ir), osmium (Os), copper (Cu) and platinum (Pt) , An iridium (Ir), an osmium (Os), a copper (Cu) and a platinum (Pt) are more preferable, and an orthometallated iridium complex compound is even more preferable.
상기 인광 도펀트는 하기 화학식 2 내지 화학식 4로 표시되는 화합물로 구성된 군으로부터 선택되는 것이 바람직하다.The phosphorescent dopant is preferably selected from the group consisting of the compounds represented by the following Chemical Formulas 2 to 4.
[화학식 2] (2)
[화학식 3](3)
[화학식 4][Chemical Formula 4]
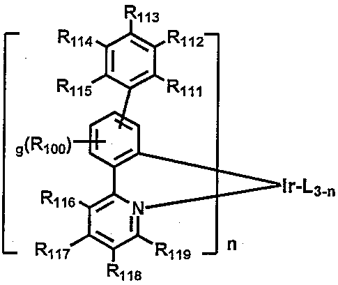
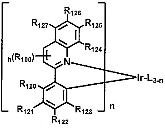
상기 화학식 2 내지 4에서, L은 하기 구조에서 선택되고;In the above formulas 2 to 4, L is selected from the following structures;
R100은 수소, 또는 치환 또는 비치환된 (C1-C30)알킬이며; R101 내지 R109 및 R111 내지 R127은 각각 독립적으로 수소, 중수소, 할로겐, 할로겐으로 치환 또는 비치환된 (C1-C30)알킬, 시아노, 또는 치환 또는 비치환된 (C1-C30)알콕시이고; R201 내지 R211은 각각 독립적으로 수소, 중수소, 할로겐, 또는 할로겐으로 치환 또는 비치환된 (C1-C30)알킬이며; f 및 g는 각각 독립적으로 1 내지 3의 정수이며, h는 1 내지 2의 정수이며, f 내지 h가 각각 2 이상의 정수인 경우 각각의 R100은 서로 동일하거나 상이할 수 있고; n은 1 내지 3의 정수이다. R 100 is hydrogen or substituted or unsubstituted (C 1 -C 30) alkyl; R 101 to R 109 And R 111 to R 127 are each independently hydrogen, deuterium, halogen, (C 1 -C 30) alkyl, cyano, or substituted or unsubstituted (C 1 -C 30) alkoxy, substituted or unsubstituted with halogen; R 201 To R < 211 > are each independently hydrogen, deuterium, halogen, or (C1-C30) alkyl unsubstituted or substituted with halogen; f and g are each independently an integer of 1 to 3, h is an integer of 1 to 2, and when f to h are each an integer of 2 or more, each R 100 may be the same or different from each other; n is an integer of 1 to 3;
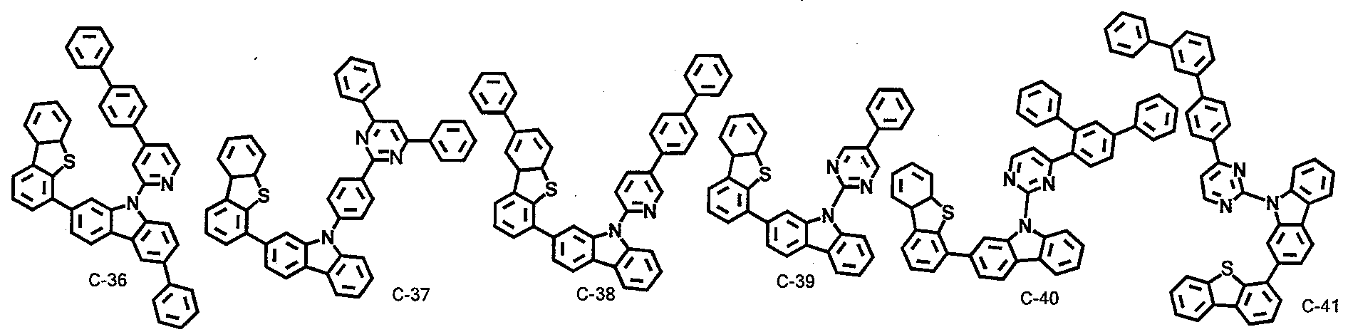
상기 인광 도펀트 재료의 구체적인 예로는 다음과 같다. Specific examples of the phosphorescent dopant material are as follows.
또한, 본 발명의 유기 전계 발광 소자는 제1전극; 제2전극; 및 상기 제1전극과 제2전극 사이에 개재되는 1층 이상의 유기물층을 가지며, 상기 유기물층은 발광층을 포함하며, 상기 발광층은 본 발명의 유기전계발광소자용 조성물 및 인광 도펀트 재료를 포함하며, 상기 유기전계발광소자용 조성물은 호스트 재료로 사용된다.Further, the organic electroluminescent device of the present invention includes a first electrode; A second electrode; And at least one organic material layer interposed between the first electrode and the second electrode, wherein the organic material layer includes a light emitting layer, and the light emitting layer comprises the composition for an organic electroluminescence device of the present invention and a phosphorescent dopant material, A composition for an electroluminescent device is used as a host material.
본 발명의 유기 전계 발광 소자는 유기물층에 화학식 1의 화합물을 포함하고, 이와 동시에 아릴아민계 화합물 또는 스티릴아릴아민계 화합물로 이루어진 군으로부터 선택된 하나 이상의 화합물을 포함할 수 있다. The organic electroluminescent device of the present invention may include one or more compounds selected from the group consisting of an arylamine-based compound and a styrylarylamine-based compound in addition to the compound of Formula 1 in the organic material layer.
또한, 본 발명의 유기 전계 발광 소자에 있어서, 유기물층에 상기 화학식 1의 화합물 이외에 1족, 2족, 4주기, 5주기 전이금속, 란탄계열금속 및 d-전이원소의 유기금속으로 이루어진 군으로부터 선택되는 하나 이상의 금속 또는 착체화합물을 더 포함할 수도 있고, 나아가 상기 유기물층은 발광층 및 전하생성층을 더 포함할 수 있다.In addition, in the organic electroluminescent device of the present invention, in addition to the compound of Formula 1, an organic compound selected from the group consisting of Group 1, Group 2, Group 4, Group 5 transition metal, Lanthanide series metal and d- And the organic layer may further include a light emitting layer and a charge generating layer.
또한, 본 발명의 상기 유기 전계 발광 소자는 본 발명의 화합물 이외에 당업계에 알려진 청색, 적색 또는 녹색 발광 화합물을 포함하는 발광층 하나 이상을 더 포함함으로써 백색 발광을 할 수 있다. 또한, 필요에 따라, 황색 또는 오렌지색 발광층을 더 포함할 수도 있다.In addition, the organic electroluminescent device of the present invention may emit white light by further including at least one light emitting layer containing a blue, red or green light emitting compound known in the art, in addition to the compound of the present invention. Further, if necessary, it may further include a yellow or orange light emitting layer.
본 발명의 유기 전계 발광 소자에 있어서, 한 쌍의 전극의 적어도 한쪽의 내측표면에, 칼코제나이드(chalcogenide)층, 할로겐화 금속층 및 금속 산화물층으로부터 선택되는 일층(이하, 이들을 "표면층"이라고 지칭함) 이상을 배치하는 것이 바람직하다. 구체적으로는, 발광 매체층 측의 양극 표면에 규소 및 알루미늄의 금속의 칼코제나이드(산화물을 포함한다)층을, 또한 발광매체층 측의 음극 표면에 할로겐화 금속층 또는 금속 산화물층을 배치하는 것이 바람직하다. 이것에 의해 구동의 안정화를 얻을 수 있다. 상기 칼코제나이드의 바람직한 예로는 SiOX(1≤X≤2), AlOX(1≤X≤1.5), SiON 또는 SiAlON 등이 있고, 할로겐화 금속의 바람직한 예로는 LiF, MgF2, CaF2, 불화 희토류 금속 등이 있으며, 금속 산화물의 바람직한 예로는 Cs2O, Li2O, MgO, SrO, BaO, CaO등이 있다.In the organic electroluminescent device of the present invention, one layer selected from a chalcogenide layer, a metal halide layer and a metal oxide layer (hereinafter referred to as "surface layer ") is formed on the inner surface of at least one of the pair of electrodes, Or more. Concretely, it is preferable to dispose a halogenated metal layer or a metal oxide layer on the surface of the anode on the side of the light emitting medium layer and on the surface of the cathode on the side of the light emitting medium layer, with a chalcogenide (including oxide) layer of a metal of silicon and aluminum Do. Thus, stabilization of the drive can be obtained. Preferable examples of the chalcogenide include SiO X (1? X ? 2), AlO x (1? X ? 1.5), SiON or SiAlON. Preferred examples of the halogenated metal include LiF, MgF 2 , CaF 2 , Rare-earth metals, etc. Preferred examples of the metal oxides include Cs 2 O, Li 2 O, MgO, SrO, BaO, CaO and the like.
또한, 본 발명의 유기 전계 발광 소자에 있어서, 이렇게 제작된 한 쌍의 전극의 적어도 한쪽의 표면에 전자 수송 화합물과 환원성 도펀트의 혼합 영역 또는 정공 수송 화합물과 산화성 도펀트의 혼합 영역을 배치하는 것도 바람직하다. 이러한 방식에 의해 전자 수송 화합물이 음이온으로 환원되므로 혼합 영역으로부터 발광 매체에 전자를 주입 및 수송하기 용이해진다. 또한, 정공 수송 화합물은 산화되어 양이온으로 되므로 혼합 영역으로부터 발광 매체에 정공을 주입 및 수송하기 용이해진다. 바람직한 산화성 도펀트로서는 각종 루이스산 및 억셉터(acceptor) 화합물을 들 수 있고, 바람직한 환원성 도펀트로는 알칼리 금속, 알칼리 금속 화합물, 알칼리 토류 금속, 희토류 금속 및 이들의 혼합물을 들 수 있다. 또한 환원성 도펀트층을 전하생성층으로 사용하여 두 개 이상의 발광층을 가진 백색 유기 전계 발광소자를 제작할 수 있다.In the organic electroluminescent device of the present invention, it is also preferable to arrange a mixed region of the electron transport compound and the reducing dopant or a mixed region of the hole transport compound and the oxidative dopant on at least one surface of the pair of electrodes thus fabricated . In this way, since the electron transport compound is reduced to an anion, it becomes easy to inject and transport electrons from the mixed region into the light emitting medium. Further, since the hole transporting compound is oxidized and becomes a cation, it becomes easy to inject and transport holes from the mixed region into the light emitting medium. Preferred oxidizing dopants include various Lewis acids and acceptor compounds, and preferred reducing dopants include alkali metals, alkali metal compounds, alkaline earth metals, rare earth metals, and mixtures thereof. Further, a white organic electroluminescent device having two or more light emitting layers can be manufactured using a reductive dopant layer as a charge generation layer.
본 발명에 따른 유기 발광 화합물은 발광 효율 및 구동수명이 우수할 뿐만 아니라 구동전압이 강하됨으로써 전력효율의 상승이 유도되어 소비전력이 개선된 유기 전계 발광 소자를 제조할 수 있다.The organic electroluminescent device according to the present invention can produce an organic electroluminescent device having improved luminous efficiency and driving lifetime as well as an improved power efficiency by lowering the driving voltage.
이하에서, 본 발명에 따른 유기 발광 화합물의 제조 방법 및 소자의 발광 특성을 예시한다.Hereinafter, the method for producing an organic luminescent compound according to the present invention and the luminescent characteristics of the device will be illustrated.
하기 실시예에서 사용된 약자의 의미는 다음과 같다. The meanings of the abbreviations used in the following examples are as follows.
EA: 에틸아세테이트, THF: 테트라히드로푸란, MC: 메틸렌클로라이드, n-bu: 노르말-부틸, DMF: 디메틸포름아미드, DME: 디메틸에테르. i-Pr: 이소프로필, EtOH: 에탄올EA: ethyl acetate, THF: tetrahydrofuran, MC: methylene chloride, n-bu: n-butyl, DMF: dimethylformamide, DME: dimethyl ether. i-Pr: isopropyl, EtOH: ethanol
[[ 제조예Manufacturing example 1] 화합물 C-31의 제조 1] Preparation of compound C-31
화합물 compound A-2A-2 의 제조Manufacturing
화합물 A-1 20g(0.087mol), 4-브로모아이오도벤젠 49.6g(0.175mol), Pd(PPh3)4 3.039g(0.0026mol), 1M Na2CO3 및 톨루엔 400ml를 섞고 환류 교반하였다. 3시간 후 상온으로 냉각시키고 증류수를 넣었다. EA로 추출하고 MgSO4으로 건조시켰다. 감압 증류하고 컬럼 분리하여 화합물 A-2 23g(0.065mol, 75.6%)을 얻었다. Mixing the compound A-1 20g (0.087mol), 4- bromo benzene Moai Goto 49.6g (0.175mol), Pd (PPh 3) 4 3.039g (0.0026mol), 1M Na 2 CO 3 and toluene 400ml was stirred under reflux. After 3 hours, it was cooled to room temperature and distilled water was added. Extracted with EA and dried over MgSO 4. Distilled under reduced pressure and subjected to column separation to obtain 23 g (0.065 mol, 75.6%) of Compound A-2 .
화합물 compound A-3A-3 의 제조Manufacturing
화합물 A-2 23g(0.065mol)을 THF 700ml에 녹이고 -78℃에서 n-buLi 39ml(0.098mol, 헥산 중 2.5 M)을 천천히 넣었다. 한시간 후 트리이소프로필보레이트 30.2ml(0.131mol)를 넣었다. 12시간 상온에서 교반하고 증류수를 넣었다. EA를 넣고 추출 후, MgSO4으로 건조시키고 감압 증류하였다. MC와 헥산으로 재결정하여 화합물 A-3 15g(0.049mol, 75.38%)을 얻었다. 23 g (0.065 mol) of the compound A-2 was dissolved in 700 ml of THF, and 39 ml (0.098 mol, 2.5 M in hexane) of n-buLi was slowly added at -78 캜. After one hour, 30.2 ml (0.131 mol) of triisopropylborate was added. The mixture was stirred at room temperature for 12 hours, and distilled water was added thereto. EA was added and the mixture was extracted, dried over MgSO 4 , and distilled under reduced pressure. The residue was recrystallized from MC and hexane to obtain 15 g (0.049 mol, 75.38%) of Compound A-3 .
화합물 compound A-4A-4 의 제조Manufacturing
화합물 A-3 15g(49.31mmol), 2-브로모니트로벤젠 12.9g(64.10mmol), Pd(PPh3)4 1.13g(0.98mmol), 2M Na2CO3 60ml, 톨루엔 150ml 및 에탄올 50ml를 넣고 환류 교반하였다. 4시간 후 상온으로 냉각시키고 증류수를 넣었다. EA로 추출하고 MgSO4으로 건조시켰다. 감압 증류하고 MC와 헥산으로 재결정하여 화합물 A-4 13.5g(35.39mmol, 71.77%)을 얻었다. Compound A-3 15g (49.31mmol), 2- bromo-nitrobenzene, 12.9g (64.10mmol), Pd (PPh 3) 4 1.13g (0.98mmol), 2M Na 2 CO 3 60ml, 150ml of toluene and 50ml of ethanol were put into And the mixture was refluxed and stirred. After 4 hours, it was cooled to room temperature and distilled water was added. Extracted with EA and dried over MgSO 4. Distilled under reduced pressure, and recrystallized from MC and hexane to obtain 13.5 g (35.39 mmol, 71.77%) of Compound A-4 .
화합물 compound A-5A-5 의 제조Manufacturing
화합물 A-4 13.5g과 트리에틸포스파이트 150ml 및 1,2-디클로로벤젠 150ml를 넣고 150℃로 10시간 교반하였다. 상온으로 냉각시키고 감압 증류하였다. 컬럼 분리하여 화합물 A-5 8g(22.89mmol, 65.4%)을 얻었다. 13.5 g of Compound A-4, 150 ml of triethylphosphite and 150 ml of 1,2-dichlorobenzene were placed, and the mixture was stirred at 150 占 폚 for 10 hours. The mixture was cooled to room temperature and distilled under reduced pressure. The column was separated to obtain 8 g (22.89 mmol, 65.4%) of Compound A-5 .
화합물 compound A-7A-7 의 제조Manufacturing
화합물 A-6 20g(72.96mmol), 2,4-디클로로피리미딘 9.8g(66.32mmol), Pd(PPh3)4 2.28g(1.97mmol), 2M Na2CO3 80ml 및 DME 200ml를 섞고 환류 교반하였다. 12시간 교반 후 상온으로 냉각시키고 증류수를 넣었다. EA로 추출하고 MgSO4으로 건조시켰다. 감압 증류하고 컬럼 분리하여 화합물 A-7 9g(26.25mmol, 39.77%)을 얻었다. Compound A-6 20g (72.96mmol), 2,4- dichloropyrimidine 9.8g (66.32mmol), Pd (PPh 3) 4 2.28g (1.97mmol), 2M Na 2 CO 3 was stirred and mixed to 80ml DME reflux 200ml Respectively. After stirring for 12 hours, the mixture was cooled to room temperature and distilled water was added thereto. Extracted with EA and dried over MgSO 4. The mixture was distilled under reduced pressure and subjected to column separation to obtain 9 g (26.25 mmol, 39.77%) of Compound A-7 .
화합물 compound C-31C-31 의 제조Manufacturing
화합물 A-7 5g(14.58mmol), 화합물 A-5 6.11g(17.50mmol)을 DMF 120ml에 녹이고 NaH 0.52g(21.87mmol)을 넣었다. 12시간 상온에서 교반하고 메탄올을 넣었다. 생성된 고체를 감압 여과하고 EA와 CHCl3로 재결정하여 화합물 C-31 6.5g(9.91mmol, 67.97%)을 얻었다.5 g (14.58 mmol) of Compound A-7 and 6.11 g (17.50 mmol) of Compound A-5 were dissolved in 120 ml of DMF, and 0.52 g (21.87 mmol) of NaH was added thereto. The mixture was stirred at room temperature for 12 hours and methanol was added thereto. The resulting solid was filtered under reduced pressure and recrystallized from EA and CHCl 3 to obtain 6.5 g (9.91 mmol, 67.97%) of the compound C-31 .
MS/FAB 측정치 656, 계산치 655.21
MS / FAB measurement 656 , calculated 655.21
[[ 제조예Manufacturing example 2] 화합물 C-41의 제조 2] Preparation of Compound C-41
화합물 compound 2-22-2 의 제조Manufacturing
화합물 2-1 25g(0.126mol), 4-브로모아이오도벤젠 89.3g(0.316mol), PdCl2(PPh3)2 2.66g(0.0038mol), 2M Na2CO3 150ml, 톨루엔 150ml 및 에탄올 30ml를 넣고 110℃로 3시간 교반하였다. 증류수 넣고 EA로 추출하였다. MgSO4으로 건조시켰다. 감압 증류 후 컬럼 분리하여 화합물 2-2 31g(0.100mol, 80%)를 얻었다. (0.0038 mol) of PdCl 2 (PPh 3 ) 2 , 150 ml of 2M Na 2 CO 3, 150 ml of toluene and 30 ml of ethanol were added to a solution of the compound 2-1 (25 g, 0.126 mol), 4-bromoiodobenzene 89.3 g And the mixture was stirred at 110 ° C for 3 hours. And then extracted with EA. ≪ / RTI > and dried over MgSO4. The mixture was distilled under reduced pressure and then subjected to column separation to obtain 31 g (0.100 mol, 80%) of Compound 2-2 .
화합물 compound 2-32-3 의 제조Manufacturing
화합물 2-2 31g(0.100mol)을 THF 750ml에 녹이고 -78℃에서 n-buLi 60ml(0.150mol, 헥산 중 2.5M)을 천천히 넣었다. 한 시간 후 트리이소프로필보레이트 46ml(0.200mol)을 넣었다. 12시간 상온에서 교반하고 증류수를 넣었다. EA로 추출하고 MgSO4으로 건조시켰다. 감압 증류하고 MC와 헥산으로 재결정하였다. 화합물 2-3 21g(0.076mol, 76.6%)을 얻었다.31 g (0.100 mol) of the compound 2-2 was dissolved in 750 ml of THF, and 60 ml (0.150 mol, 2.5 M in hexane) of n-buLi was slowly added at -78 캜. After one hour, 46 ml (0.200 mol) of triisopropylborate was added. The mixture was stirred at room temperature for 12 hours, and distilled water was added thereto. Extracted with EA and dried over MgSO 4. The residue was distilled under reduced pressure and recrystallized from MC and hexane. 21 g (0.076 mol, 76.6%) of Compound 2-3 was obtained.
화합물 compound 2-42-4 의 제조Manufacturing
2,4-디클로로피리미딘 7g(0.047mol), 화합물 2-3 10g(0.036mol), 2M Na2CO3 45ml, 톨루엔 182ml 및 에탄올 45ml를 넣고 환류 교반하였다. 12시간 교반하고 상온으로 냉각시켰다. 증류수를 넣고 EA로 추출하였다. MgSO4으로 건조시키고 감압 증류하였다. 컬럼 분리하여 화합물 2-4 9g(0.026mol, 72.9%)을 얻었다. 7 g (0.047 mol) of 2,4-dichloropyrimidine, 10 g (0.036 mol) of Compound 2-3 , 45 ml of 2M Na 2 CO 3 , 182 ml of toluene and 45 ml of ethanol were placed and stirred under reflux. The mixture was stirred for 12 hours and cooled to room temperature. Distilled water was added and extracted with EA. Dried over MgSO 4 and evaporated under reduced pressure. The mixture was subjected to column separation to obtain 9 g (0.026 mol, 72.9%) of the compound 2-4 .
화합물 compound C-41C-41 의 제조Manufacturing
화합물 2-4 5g(14.58mmol), 화합물 A-5 6.11g(17.50mmol)을 DMF 120ml에 녹이고 NaH 0.52g(21.87mmol)을 넣었다. 12시간 상온에서 교반하고 메탄올을 넣었다. 생성된 고체를 감압 여과하고 EA와 CHCl3로 재결정하여 화합물 C-41 6.0g(0.009mol, 62.75%)을 얻었다.5 g (14.58 mmol) of the compound 2-4 and 6.11 g (17.50 mmol) of the compound A-5 were dissolved in 120 ml of DMF, and 0.52 g (21.87 mmol) of NaH was added thereto. The mixture was stirred at room temperature for 12 hours and methanol was added thereto. The resulting solid was filtered under reduced pressure and recrystallized from EA and CHCl 3 to obtain 6.0 g (0.009 mol, 62.75%) of the compound C-41 .
MS/FAB 측정치 658, 계산치 657.22
MS / FAB measurement 658 , calculated 657.22
[[ 제조예Manufacturing example 3] 화합물 C-53의 제조 3] Preparation of Compound C-53
화합물 compound C-53C-53 의 제조Manufacturing
화합물 3-1, 4-([1,1'-비페닐]-4-일)-2-클로로-6-페닐피리미딘(5g, 14.58mmol), 화합물 A-5(5.6g, 16.04mmol)을 DMF 100ml에 녹이고 NaH(0.87g, 미네랄 오일 중 60%, 21.87mmol)을 넣었다. 상온에서 12시간 교반하였다. 메탄올을 넣고 감압 여과하였다. 얻어진 고체를 컬럼 분리하여 화합물 C-53(7g, 10.67mmol, 73.2%)을 얻었다.Compounds 3-1, 4 - ([1,1'-biphenyl] -4-yl) -2-chloro-6-phenyl-pyrimidine (5g, 14.58mmol), compound A-5 (5.6g, 16.04mmol) Was dissolved in 100 ml of DMF, and NaH (0.87 g, 60% in mineral oil, 21.87 mmol) was added. And the mixture was stirred at room temperature for 12 hours. Methanol was added and the mixture was filtered under reduced pressure. The obtained solid was subjected to column separation to obtain Compound C-53 (7 g, 10.67 mmol, 73.2%).
MS/FAB 측정치 655.8 계산치 655.21
MS / FAB Measured 655.8 Calculated 655.21
[[ 제조예Manufacturing example 4] 화합물 C-64의 제조 4] Preparation of Compound C-64
화합물 compound C-64C-64 의of 제조Produce
화합물 2-클로로-4,6-디페닐-1,3,5-트리아진(3.1g, 11.4mmol), 화합물 A-5(4g, 11.4mmol)을 DMF 57ml에 현탁한 뒤 60% NaH(684mg, 17.1mmol)를 상온에서 투입하였다. 12시간 동안 교반하였다. 정제수(1L) 투입 후 감압여과하였다. 얻어진 고체를 컬럼분리하여 화합물 C-64(2.4g, 36.4%)를 얻었다Compound A-5 (4 g, 11.4 mmol) was suspended in 57 ml of DMF, followed by the addition of 60% NaH (684 mg, , 17.1 mmol) was added at room temperature. Stir for 12 hours. Purified water (1 L) was added thereto and then filtered under reduced pressure. The obtained solid was subjected to column separation to obtain a compound C-64 (2.4 g, 36.4%)
MS/FAB 측정치 580.7 계산치 580.17
MS / FAB Measured 580.7 Calculated 580.17
[[ 제조예Manufacturing example 5] 화합물 C-66의 제조 5] Preparation of Compound C-66
화합물 compound 5-15-1 의 제조Manufacturing
화합물 A-5(10g, 0.03mol), 1-브로모-4-아이오도벤젠(16g, 0.06mol), CuI(2.7g, 0.01mol), 에틸렌디아민(1.9ml, 0.03mol), K3PO4(15g, 0.07mol), 톨루엔(150ml)을 넣은 후 120℃, 12시간 교반하였다. 반응 종결 후 EA를 사용하여 추출 한 뒤 유기 층을 MgSO4로 건조시키고, 거른 후 감압 하에서 용매를 제거한 후, 컬럼분리하여 화합물 5-1(13g, 91%)을 얻었다.Compound A-5 (10g, 0.03mol) , 1- bromo-4-iodo-benzene (16g, 0.06mol), CuI ( 2.7g, 0.01mol), ethylenediamine (1.9ml, 0.03mol), K 3 PO 4 (15 g, 0.07 mol) and toluene (150 ml) were added thereto, followed by stirring at 120 ° C for 12 hours. After completion of the reaction, the reaction mixture was extracted with EA. The organic layer was dried over MgSO 4 and filtered. The solvent was removed under reduced pressure and then the column was separated to obtain Compound 5-1 (13 g, 91%).
화합물 compound 5-25-2 의 제조Manufacturing
무수 THF(200ml), 화합물 5-1(13g, 0.03mol)을 넣은 후 질소 하에서 교반하면서 -78℃에서 n-BuLi(16ml, 헥산 중 2.25M 용액)을 천천히 넣어주었다. -78℃에서 1시간 교반하고, -78℃에서 B(O-iPr)3(12ml, 0.05mol)을 천천히 넣은 후 상온으로 온도를 올려 12시간 반응하였다. 반응 종결 후 EA로 추출 후, 유기층을 MgSO4로 건조하고, 거른 후 감압 하에서 용매를 제거한 후, 재결정하여 화합물 5-2(11g, 90%)를 얻었다Anhydrous THF (200 ml) and Compound 5-1 (13 g, 0.03 mol) were added, and n-BuLi (16 ml, 2.25 M solution in hexane) was slowly added at -78 deg. The mixture was stirred at -78 ° C for 1 hour, and B (O-iPr) 3 (12ml, 0.05mol) was slowly added thereto at -78 ° C. After completion of the reaction, the reaction mixture was extracted with EA. The organic layer was dried over MgSO 4 and filtered. The solvent was removed under reduced pressure, and the product was recrystallized to obtain Compound 5-2 (11 g, 90%
화합물 compound C-66C-66 의 제조Manufacturing
화합물 5-2(11g, 0.02mol), 2-클로로-4,6-디페닐-1,3,5-트리아진(8.2g, 0.03mol), Pd(PPh3)4(1.35g, 0.001mol), K2CO3(9.7g, 0.07mol), 톨루엔(120ml), EtOH(30ml), H2O(35ml)을 넣은 후 120℃, 12시간 교반하였다. 반응 종결 후 EA를 사용하여 추출하고, 유기층을 MgSO4 로 건조시키고, 거른 후 감압 하에서 용매를 제거한 후, 재결정하여 화합물 C-66(8.3g, 54%)을 얻었다Compound 5-2 (11g, 0.02mol), 2- chloro-4,6-diphenyl-1,3,5-triazine (8.2g, 0.03mol), Pd ( PPh 3) 4 (1.35g, 0.001mol ), K 2 CO 3 (9.7 g, 0.07 mol), toluene (120 ml), EtOH (30 ml) and H 2 O (35 ml) were added thereto and stirred at 120 ° C. for 12 hours. After completion of the reaction, the reaction mixture was extracted with EA, and the organic layer was dried with MgSO 4 , filtered, and the solvent was removed under reduced pressure, followed by recrystallization to obtain Compound C-66 (8.3 g, 54%
MS/FAB 측정치 656.8 계산치 656.2
MS / FAB Measured 656.8 Calculated 656.2
[[ 실시예Example 1] 본 발명에 따른 유기 발광 화합물을 이용한 1] Using the organic luminescent compound according to the present invention OLEDOLED 소자 제작 Device fabrication
우선, OLED용 글래스(삼성-코닝사 제조)로부터 얻어진 투명전극 ITO 박막(15 Ω/□)을, 트리클로로에틸렌, 아세톤, 에탄올, 증류수를 순차적으로 사용하여 초음파 세척을 실시한 후, 이소프로판올에 넣어 보관한 후 사용하였다. 다음으로, 진공 증착 장비의 기판 홀더에 ITO 기판을 장착한 후, 진공 증착 장비 내의 셀에 2-TNATA [4,4',4"-트리스(N,N-(2-나프틸)페닐아미노)트리페닐아민]을 넣고, 챔버 내의 진공도가 10-6 torr에 도달할 때까지 배기시킨 후, 셀에 전류를 인가하여 2-TNATA를 증발시켜 ITO 기판위에 60 nm 두께의 정공주입층을 증착하였다. 이어서, 진공 증착 장비 내의 다른 셀에 NPB [N, N'-비스(α-나프틸)-N, N'-디페닐-4,4'-디아민]을 넣고, 셀에 전류를 인가하여 NPB를 증발시켜 정공주입층 위에 20 nm 두께의 정공수송층을 증착하였다. 정공주입층, 정공수송층을 형성시킨 후, 그 위에 발광층을 다음과 같이 증착시켰다. 진공 증착 장비 내의 한쪽 셀에 호스트로서 본 발명에 따른 화합물 C-31을 넣고, 또 다른 셀에는 도펀트로서 화합물 D- 1를 각각 넣은 후, 두 물질을 다른 속도로 증발시켜 4 내지 20중량%으로 도핑함으로써 상기 정공 수송층 위에 30 nm 두께의 발광층을 증착하였다. 이어서 한쪽 셀에 9,10-디(1-나프틸)-2-(4-페닐-1-페닐-1H-벤조[d]이미다졸-2-일)안트라센을 넣고, 또다른 셀에는 리튬 퀴놀레이트(Lithium quinolate)를 각각 넣은 후, 두 물질을 다른속도로 증발시켜 30 내지 70%중량으로 도핑함으로서 상기 발광층 위에 30nm의 전자 수송층을 증착하였다. 이어서 전자주입층으로 리튬 퀴놀레이트를 1 내지 2 nm 두께로 증착한 후, 다른 진공 증착 장비를 이용하여 Al 음극을 150 nm의 두께로 증착하여 OLED소자를 제작하였다. 재료 별로 각 화합물은 10-6 torr 하에서 진공 승화 정제하여 OLED 발광재료로 사용하였다.First, a transparent electrode ITO thin film (15 Ω / □) obtained from a glass for OLED (manufactured by Samsung Corning) was subjected to ultrasonic cleaning using trichlorethylene, acetone, ethanol and distilled water sequentially and then stored in isopropanol Respectively. Next, an ITO substrate was mounted on a substrate holder of a vacuum deposition apparatus, and 2-TNATA (4,4 ', 4 "-tris (N, N- (2-naphthyl) phenylamino) Triphenylamine] was added and the chamber was evacuated until the degree of vacuum reached 10 -6 torr. Then, a current was applied to the cell to evaporate 2-TNATA to deposit a 60 nm thick hole injection layer on the ITO substrate. Next, NPB [ N, N ' -bis (α-naphthyl) -N, N' -diphenyl-4,4'-diamine] was added to another cell in the vacuum deposition apparatus, A hole transporting layer having a thickness of 20 nm was deposited on the hole injecting layer by evaporation to form a hole injecting layer and a hole transporting layer and then a light emitting layer was deposited on the hole injecting layer and the hole transporting layer as follows: into the compound C-31, another cell as a dopant and then into a compound D- 1, respectively, evaporation of the two materials at different rates, (1-naphthyl) -2- (4-phenyl-1-phenyl-1H-1-naphthyl) -Benzo [d] imidazol-2-yl) anthracene, lithium quinolate was added to another cell, and the two materials were evaporated at different rates and doped with 30 to 70% Then, lithium quinolate was deposited to a thickness of 1 to 2 nm as an electron injecting layer, and then an Al cathode was deposited to a thickness of 150 nm using another vacuum deposition equipment to fabricate an OLED device Each compound was purified by vacuum sublimation at 10 -6 torr and used as an OLED light emitting material.
그 결과, 3.2 V의 전압에서 2.41 mA/cm2의 전류가 흘렀으며, 1000 cd/m2의 녹색 발광이 확인되었다. As a result, a current of 2.41 mA / cm 2 flowed at a voltage of 3.2 V, and green luminescence of 1000 cd / m 2 was confirmed.
[[ 실시예Example 2] 본 발명에 따른 유기발광화합물을 이용한 2] Using the organic luminescent compound according to the present invention OLEDOLED 소자 제작 Device fabrication
발광재료로서 호스트에는 화합물 C-31, 도펀트에는 화합물 D-28을 사용한 것 외에는 실시예 1과 동일한 방법으로 OLED소자를 제작하였다. 그 결과, 3.7 V의 전압에서 2.55 mA/cm2의 전류가 흘렀으며, 1000 cd/m2의 주황색 발광이 확인되었다. An OLED device was fabricated in the same manner as in Example 1 except that the compound C-31 was used as a host material and the compound D-28 was used as a dopant. As a result, a current of 2.55 mA / cm 2 was passed at a voltage of 3.7 V and orange light emission of 1000 cd / m 2 was confirmed.
[[ 실시예Example 3] 본 발명에 따른 유기발광화합물을 이용한 3] Using the organic luminescent compound according to the present invention OLEDOLED 소자 제작 Device fabrication
발광재료로서 호스트에는 화합물 C-31, 도펀트에는 화합물 D-44을 사용한 것 외에는 실시예 1과 동일한 방법으로 OLED소자를 제작하였다. 그 결과, 4.0 V의 전압에서 6.67 mA/cm2의 전류가 흘렀으며, 1000 cd/m2의 진한 주황색 발광이 확인되었다. An OLED device was fabricated in the same manner as in Example 1 except that the compound C-31 was used as a host material and the compound D-44 was used as a dopant. As a result, a current of 6.67 mA / cm < 2 > flowed at a voltage of 4.0 V and a deep orange light emission of 1000 cd / m < 2 >
[[ 실시예Example 4] 본 발명에 따른 유기발광화합물을 이용한 4] Using the organic luminescent compound according to the present invention OLEDOLED 소자 제작 Device fabrication
발광재료로서 호스트에는 화합물 C-41, 도펀트에는 화합물 D-1을 사용한 것 외에는 실시예 1과 동일한 방법으로 OLED소자를 제작하였다. 그 결과, 3.1 V의 전압에서 2.46 mA/cm2의 전류가 흘렀으며, 1000 cd/m2의 녹색 발광이 확인되었다.An OLED device was fabricated in the same manner as in Example 1 except that the compound C-41 was used as the host material and the compound D-1 was used as the dopant. As a result, a current of 2.46 mA / cm 2 flowed at a voltage of 3.1 V, and green luminescence of 1000 cd / m 2 was confirmed.
[[ 실시예Example 5] 본 발명에 따른 유기발광화합물을 이용한 5] Using the organic luminescent compound according to the present invention OLEDOLED 소자 제작 Device fabrication
발광재료로서 호스트에는 화합물 C-66, 도펀트에는 화합물 D-1을 사용한 것 외에는 실시예 1과 동일한 방법으로 OLED소자를 제작하였다. 그 결과, 3.0 V의 전압에서 2.65 mA/cm2의 전류가 흘렀으며, 1000 cd/m2의 녹색 발광이 확인되었다.An OLED device was fabricated in the same manner as in Example 1 except that Compound C-66 was used as a host material and Compound D-1 was used as a dopant. As a result, a current of 2.65 mA / cm 2 was passed at a voltage of 3.0 V, and green luminescence of 1000 cd / m 2 was confirmed.
[[ 실시예Example 6] 본 발명에 따른 유기발광화합물을 이용한 6] Using the organic luminescent compound according to the present invention OLEDOLED 소자 제작 Device fabrication
발광재료로서 호스트에는 화합물 C-53, 도펀트에는 화합물 D-1을 사용한 것 외에는 실시예 1과 동일한 방법으로 OLED소자를 제작하였다. 그 결과, 3.0 V의 전압에서 2.56 mA/cm2의 전류가 흘렀으며, 1000 cd/m2의 녹색 발광이 확인되었다.OLED devices were fabricated in the same manner as in Example 1 except that the compound C-53 was used as the host material and the compound D-1 was used as the dopant. As a result, a current of 2.56 mA / cm 2 flowed at a voltage of 3.0 V and green luminescence of 1000 cd / m 2 was confirmed.
[[ 비교예Comparative Example 1] 종래의 발광 재료를 이용한 1] Using conventional light emitting materials OLEDOLED 소자의 발광 특성 Luminescent characteristics of device
진공 증착 장비 내의 한쪽 셀에 호스트 재료로서 본 발명의 화합물 대신에 CBP를 이용하고, 도펀트로 D-1을 사용하여 정공수송층위에 30 nm 두께의 발광층을 증착하고, 정공 저지층으로 BAlq를 10nm 두께로 증착한 것 외에는 실시예 1과 동일한 방법으로 OLED소자를 제작하였다. 그 결과, 4.9 V의 전압에서 2.86 mA/cm2의 전류가 흘렀으며, 1000 cd/m2의 녹색 발광이 확인되었다. CBP was used instead of the compound of the present invention as a host material in one of the cells in the vacuum vapor deposition apparatus and a light emitting layer of 30 nm in thickness was deposited on the hole transporting layer by using D-1 as a dopant and BAlq was deposited as a hole blocking layer to a thickness of 10 nm OLED devices were fabricated in the same manner as in Example 1 except for the following. As a result, a current of 2.86 mA / cm 2 flowed at a voltage of 4.9 V, and green luminescence of 1000 cd / m 2 was confirmed.
[[ 비교예Comparative Example 2] 종래의 발광재료를 이용한 2] Using a conventional light emitting material OLEDOLED 소자 제작 Device fabrication
발광재료로서 호스트에는 CBP를 이용하고, 도펀트에는 화합물 D-28을 사용하여 정공수송층위에 30nm 두께의 발광층을 증착하고, 정공 저지층으로 BAlq를 10nm 두께로 증착한 것 외에는 실시예 1과 동일한 방법으로 OLED소자를 제작하였다. 그 결과, 4.6 V의 전압에서 3.05 mA/cm2의 전류가 흘렀으며, 1000 cd/m2의 주황색 발광이 확인되었다. A light emitting layer of 30 nm in thickness was deposited on the hole transport layer using CBP as a host material and a compound D-28 as a dopant, and BAlq was deposited to a thickness of 10 nm as a hole blocking layer. An OLED device was fabricated. As a result, a current of 3.05 mA / cm < 2 > flows at a voltage of 4.6 V and orange light emission of 1000 cd / m < 2 >
[[ 비교예Comparative Example 3] 종래의 발광재료를 이용한 3] Using a conventional light emitting material OLEDOLED 소자 제작 Device fabrication
도펀트에 화합물 D-44을 사용한 것 외에는 비교예 1과 동일한 방법으로 OLED소자를 제작하였다. 그 결과, 5.2 V의 전압에서 8.2 mA/cm2의 전류가 흘렀으며, 1000 cd/m2의 진한 주황색 발광이 확인되었다.
An OLED device was fabricated in the same manner as in Comparative Example 1 except that Compound D-44 was used as a dopant. As a result, a current of 8.2 mA / cm < 2 > flows at a voltage of 5.2 V and a deep orange light emission of 1000 cd / m < 2 >
본 발명에서 개발한 화합물들의 발광 특성이 종래의 재료 대비 우수한 특성을 보이는 것을 확인할 수 있었다. 또한 본 발명에 따른 화합물을 발광용 호스트 재료로 사용한 소자는 발광 특성이 뛰어날 뿐만 아니라 구동전압을 강하시켜줌으로써 전력효율의 상승을 유도하여 소비전력을 개선시킬 수 있었다.It was confirmed that the luminescence properties of the compounds developed in the present invention are superior to those of the conventional materials. In addition, the device using the compound according to the present invention as a host material for luminescence not only excels in luminescence characteristics but also can lower the driving voltage, thereby inducing an increase in power efficiency and improving power consumption.
Claims (5)
[화학식 1]
상기 화학식 1에서,
L1은 단일결합; (5-15원)헤테로아릴렌; 또는 할로겐, (C1-C6)알킬 또는 (C6-C18)아릴로 치환 또는 비치환된 (C6-C18)아릴렌이고,
L2는 단일결합 또는 비치환된 (C6-C18)아릴렌이고,
X1 및 X2는 각각 독립적으로 CR' 또는 N이며;
Y는 S 또는 O이며;
Ar1은 수소; (C1-C6)알킬; 또는 (C1-C6)알킬 또는 (C6-C18)아릴로 치환 또는 비치환된 (C6-C18)아릴이고,
Ar2는 수소; (C1-C6)알킬 또는 (C6-C18)아릴로 치환 또는 비치환된 (C6-C18)아릴; 또는 (C6-C18)아릴로 치환된 (5-15원)헤테로아릴이고,
R'는 수소; 또는 할로겐, (C1-C6)알킬, (C6-C18)아릴 또는 중수소로 치환 또는 비치환된 (C6-C18)아릴이고,
R1 내지 R4은 각각 독립적으로 수소; (C1-C6)알킬; 또는 중수소 또는 (C1-C6)알킬로 치환 또는 비치환된 (C6-C18)아릴이고.
a, b, c 및 d는 각각 독립적으로 1의 정수이며,
상기 헤테로아릴렌 및 상기 헤테로아릴은 N, O 및 S로부터 선택된 하나 이상의 헤테로원자를 포함한다.An organic light-emitting compound represented by the following formula (1).
[Chemical Formula 1]
In Formula 1,
L 1 is a single bond; (5-15) heteroarylene; Or (C6-C18) arylene which is unsubstituted or substituted by halogen, (C1-C6) alkyl or (C6-C18)
L < 2 > is a single bond or unsubstituted (C6-C18)
X 1 and X 2 are each independently CR 'or N;
Y is S or O;
Ar 1 is hydrogen; (C1-C6) alkyl; Or (C6-C18) aryl which is unsubstituted or substituted by (C1-C6) alkyl or (C6-C18)
Ar 2 is hydrogen; (C6-C18) aryl optionally substituted with (C1-C6) alkyl or (C6-C18) aryl; Or (5-15 member) heteroaryl substituted by (C6-C18) aryl,
R 'is hydrogen; Or (C6-C18) aryl which is unsubstituted or substituted by halogen, (C1-C6) alkyl, (C6-C18)
R 1 to R 4 are each independently hydrogen; (C1-C6) alkyl; Or (C6-C18) aryl which is unsubstituted or substituted by deuterium or (C1-C6) alkyl.
a, b, c and d are each independently an integer of 1,
Wherein said heteroarylene and said heteroaryl comprise at least one heteroatom selected from N, < RTI ID = 0.0 > O and S. < / RTI >
상기 L2는 단일결합 또는 비치환된 페닐렌이고,
상기 Ar1은 수소, 메틸, 페닐, 메틸로 치환된 페닐, 비페닐, 플루오레닐, 디메틸로 치환된 플루오레닐, 페닐로 치환된 플루오레닐 또는 터페닐이고,
Ar2는 수소, 페닐, 비페닐, 터페닐, 메틸로 치환된 페닐, 비페닐로 치환된 페닐, 또는 비페닐로 치환된 피리딜이고,
상기 R'는 수소, 페닐, 비페닐, 터페닐, 플루오레닐, 디메틸로 치환된 플루오레닐, 메틸로 치환된 페닐, 디페닐로 치환된 페닐, 플루오로로 치환된 페닐, 또는 중수소로 치환된 페닐이고,
상기 R1 내지 R4는 각각 독립적으로 수소, 메틸, n-프로필, i-프로필, 페닐, 메틸로 치환된 페닐, 중수소로 치환된 페닐, 비페닐, 디메틸로 치환된 플루오레닐, 또는 인데닐이고,
a 내지 d는 각각 독립적으로 1의 정수인 것인 유기 발광 화합물.The compound according to claim 1, wherein L 1 is a single bond, phenylene, phenylene substituted with fluoro, phenylene substituted with methyl, phenylene substituted with phenyl, biphenylene, fluorenylene substituted with dimethyl, Thiophenylene, phenyl substituted thiophenylene, pyridylene or benzothiophenylene,
L < 2 > is a single bond or unsubstituted phenylene,
Ar 1 is hydrogen, methyl, phenyl, phenyl substituted with methyl, biphenyl, fluorenyl, fluorenyl substituted with dimethyl, fluorenyl substituted with phenyl, or terphenyl,
Ar 2 is hydrogen, phenyl, biphenyl, terphenyl, phenyl substituted with methyl, phenyl substituted with biphenyl, or pyridyl substituted with biphenyl,
Wherein R 'is selected from the group consisting of hydrogen, phenyl, biphenyl, terphenyl, fluorenyl, fluorenyl substituted with dimethyl, phenyl substituted with methyl, phenyl substituted with diphenyl, phenyl substituted with fluoro, Lt; / RTI >
Each of R 1 to R 4 is independently hydrogen, methyl, n-propyl, i-propyl, phenyl, phenyl substituted with methyl, phenyl substituted with deuterium, biphenyl, fluorenyl substituted with dimethyl, ego,
and each of a to d is independently an integer of 1.
Lt; RTI ID = 0.0 > 1, < / RTI >
Priority Applications (5)
| Application Number | Priority Date | Filing Date | Title |
|---|---|---|---|
| EP12779767.8A EP2694619A4 (en) | 2011-05-03 | 2012-05-03 | NOVEL ORGANIC ELECTROLUMINESCENT COMPOUNDS AND ORGANIC ELECTROLUMINESCENT DEVICE USING THE SAME |
| CN201280031410.1A CN103764786B (en) | 2011-05-03 | 2012-05-03 | Novel organic electroluminescent compound and organic electroluminescent device using the same |
| JP2014509244A JP6046701B2 (en) | 2011-05-03 | 2012-05-03 | Novel organic electroluminescent compound and organic electroluminescent device using the same |
| PCT/KR2012/003472 WO2012150826A1 (en) | 2011-05-03 | 2012-05-03 | Novel organic electroluminescent compounds and an organic electroluminescent device using the same |
| TW101115741A TW201302973A (en) | 2011-05-03 | 2012-05-03 | Novel organic electroluminescent compounds and an organic electroluminescent device using the same |
Applications Claiming Priority (2)
| Application Number | Priority Date | Filing Date | Title |
|---|---|---|---|
| KR1020110041819 | 2011-05-03 | ||
| KR20110041819 | 2011-05-03 |
Publications (2)
| Publication Number | Publication Date |
|---|---|
| KR20130130236A KR20130130236A (en) | 2013-12-02 |
| KR101396171B1 true KR101396171B1 (en) | 2014-05-27 |
Family
ID=49979940
Family Applications (1)
| Application Number | Title | Priority Date | Filing Date |
|---|---|---|---|
| KR1020120046340A Active KR101396171B1 (en) | 2011-05-03 | 2012-05-02 | Novel organic electroluminescent compounds and an organic electroluminescent device using the same |
Country Status (3)
| Country | Link |
|---|---|
| JP (1) | JP6046701B2 (en) |
| KR (1) | KR101396171B1 (en) |
| CN (1) | CN103764786B (en) |
Cited By (7)
| Publication number | Priority date | Publication date | Assignee | Title |
|---|---|---|---|---|
| KR20210028825A (en) | 2019-09-05 | 2021-03-15 | 롬엔드하스전자재료코리아유한회사 | Organic electroluminescent compound and organic electroluminescent device comprising the same |
| KR20210082068A (en) | 2019-12-24 | 2021-07-02 | 롬엔드하스전자재료코리아유한회사 | Organic electroluminescent compound, organic electroluminescent material comprising the same, and organic electroluminescent device |
| DE102021121719A1 (en) | 2020-08-21 | 2022-02-24 | Rohm And Haas Electronic Materials Korea Ltd. | ORGANIC ELECTROLUMINESCENT COMPOUND, MULTIPLE HOST MATERIALS AND THIS COMPREHENSIVE ORGANIC ELECTROLUMINESCENT DEVICE |
| US11339143B2 (en) | 2018-06-26 | 2022-05-24 | Samsung Electronics Co., Ltd. | Condensed cyclic compound and organic light-emitting device including the same |
| US11746117B2 (en) | 2018-11-27 | 2023-09-05 | Lg Chem, Ltd. | Heterocyclic compound and organic light emitting device comprising same |
| US12022730B2 (en) | 2018-11-27 | 2024-06-25 | Lg Chem, Ltd. | Compound and organic light emitting device comprising the same |
| US12037337B2 (en) | 2018-11-27 | 2024-07-16 | Lg Chem, Ltd. | Compound and organic light emitting device comprising the same |
Families Citing this family (25)
| Publication number | Priority date | Publication date | Assignee | Title |
|---|---|---|---|---|
| EP3140302B1 (en) | 2014-05-05 | 2019-08-21 | Merck Patent GmbH | Materials for organic light emitting devices |
| KR102308117B1 (en) | 2014-10-17 | 2021-10-01 | 삼성전자주식회사 | Carbazole-based compound and organic light emitting device including the same |
| JP6672774B2 (en) * | 2014-12-19 | 2020-03-25 | 東ソー株式会社 | Novel carbazole compounds and their uses |
| KR102611317B1 (en) * | 2014-12-24 | 2023-12-07 | 솔루스첨단소재 주식회사 | Organic compound and organic electro luminescence device comprising the same |
| US9406892B2 (en) * | 2015-01-07 | 2016-08-02 | Universal Display Corporation | Organic electroluminescent materials and devices |
| CN107922359A (en) | 2015-07-30 | 2018-04-17 | 默克专利有限公司 | Material for organic electroluminescence device |
| JP6788314B2 (en) * | 2016-01-06 | 2020-11-25 | コニカミノルタ株式会社 | Organic electroluminescence element, manufacturing method of organic electroluminescence element, display device and lighting device |
| KR102620860B1 (en) * | 2016-06-14 | 2024-01-03 | 솔루스첨단소재 주식회사 | Organic light-emitting compound and organic electroluminescent device using the same |
| KR102064298B1 (en) * | 2016-07-22 | 2020-01-09 | 삼성에스디아이 주식회사 | Compound for organic optoelectronic device, composition for organic optoelectronic device and organic optoelectronic device and display device |
| CN108623480A (en) * | 2017-03-17 | 2018-10-09 | 吉林奥来德光电材料股份有限公司 | New organic luminescent compounds and use its organic electroluminescence device |
| KR102487503B1 (en) * | 2017-07-04 | 2023-01-12 | 솔루스첨단소재 주식회사 | Organic compound and organic electroluminescent device using the same |
| KR102001425B1 (en) * | 2017-09-29 | 2019-07-18 | (주)씨엠디엘 | Dibenzofuranyl trazine derivative organic compounds and organic electroluminescent device including the same |
| CN108864068B (en) * | 2018-07-27 | 2021-12-28 | 武汉天马微电子有限公司 | Compound and organic light-emitting display device |
| KR102392657B1 (en) * | 2019-01-14 | 2022-04-28 | 주식회사 엘지화학 | Novel compound and organic light emitting device comprising the same |
| CN112110917A (en) * | 2019-06-20 | 2020-12-22 | 北京鼎材科技有限公司 | Compound, application thereof and organic electroluminescent device adopting compound |
| WO2020262861A1 (en) * | 2019-06-27 | 2020-12-30 | 주식회사 엘지화학 | Novel compound and organic light emitting device comprising same |
| KR102447007B1 (en) * | 2019-06-27 | 2022-09-22 | 주식회사 엘지화학 | Novel compound and organic light emitting device comprising same |
| CN110372683A (en) * | 2019-07-26 | 2019-10-25 | 北京燕化集联光电技术有限公司 | A kind of electroluminescent organic material and the preparation method and application thereof |
| KR102441824B1 (en) * | 2019-10-08 | 2022-09-08 | 주식회사 엘지화학 | Compound and organic light emitting device comprising same |
| KR102263106B1 (en) * | 2019-12-19 | 2021-06-09 | 주식회사 엘지화학 | Novel compound and organic light emitting device comprising the same |
| CN113943571A (en) * | 2020-07-17 | 2022-01-18 | 罗门哈斯电子材料韩国有限公司 | Organic electroluminescent compounds, various host materials and organic electroluminescent device comprising the same |
| CN112125873B (en) * | 2020-09-08 | 2023-08-25 | 烟台显华化工科技有限公司 | Compound, hole transport material, organic electroluminescent device and display device |
| CN114805318B (en) * | 2021-01-28 | 2023-08-15 | 江苏三月科技股份有限公司 | Organic compound with triazine derivative as core and application thereof |
| CN113937231B (en) * | 2021-08-26 | 2024-03-19 | 陕西莱特迈思光电材料有限公司 | Organic electroluminescent device and electronic device |
| WO2024101869A1 (en) * | 2022-11-09 | 2024-05-16 | 주식회사 엘지화학 | Novel compound and organic light-emitting device comprising same |
Citations (1)
| Publication number | Priority date | Publication date | Assignee | Title |
|---|---|---|---|---|
| KR20100067382A (en) * | 2008-12-11 | 2010-06-21 | 엘지디스플레이 주식회사 | Organic semi-conductor low molecular and organic thin film transistor comprising the same |
Family Cites Families (9)
| Publication number | Priority date | Publication date | Assignee | Title |
|---|---|---|---|---|
| CN101126020B (en) * | 2007-08-03 | 2012-11-28 | 深圳大学 | 1, 3, 6, 8-tetraaryl-9-alkyl substituted carbazole derivative and application thereof in luminescent diode |
| KR100964232B1 (en) * | 2008-09-03 | 2010-06-17 | 삼성모바일디스플레이주식회사 | Silicon-containing compound and organic electroluminescent device using same |
| KR101603070B1 (en) * | 2009-03-31 | 2016-03-14 | 롬엔드하스전자재료코리아유한회사 | Novel organic electroluminescent compounds and organic electroluminescent device using the same |
| KR20110008723A (en) * | 2009-07-21 | 2011-01-27 | 다우어드밴스드디스플레이머티리얼 유한회사 | Novel organic light emitting compound and organic electroluminescent device comprising same |
| KR101431644B1 (en) * | 2009-08-10 | 2014-08-21 | 롬엔드하스전자재료코리아유한회사 | Novel organic electroluminescent compounds and organic electroluminescent devices containing them |
| KR20120020816A (en) * | 2010-08-31 | 2012-03-08 | 롬엔드하스전자재료코리아유한회사 | Novel compounds for organic electronic material and organic electroluminescent device using the same |
| KR102132588B1 (en) * | 2010-09-10 | 2020-07-10 | 가부시키가이샤 한도오따이 에네루기 켄큐쇼 | Light-emitting element and electronic device |
| KR101477614B1 (en) * | 2010-09-17 | 2014-12-31 | 롬엔드하스전자재료코리아유한회사 | Novel organic electroluminescent compounds and organic electroluminescent device using the same |
| KR101531904B1 (en) * | 2010-10-13 | 2015-06-29 | 롬엔드하스전자재료코리아유한회사 | Novel compounds for organic electronic material and organic electroluminescent device using the same |
-
2012
- 2012-05-02 KR KR1020120046340A patent/KR101396171B1/en active Active
- 2012-05-03 CN CN201280031410.1A patent/CN103764786B/en active Active
- 2012-05-03 JP JP2014509244A patent/JP6046701B2/en active Active
Patent Citations (1)
| Publication number | Priority date | Publication date | Assignee | Title |
|---|---|---|---|---|
| KR20100067382A (en) * | 2008-12-11 | 2010-06-21 | 엘지디스플레이 주식회사 | Organic semi-conductor low molecular and organic thin film transistor comprising the same |
Cited By (9)
| Publication number | Priority date | Publication date | Assignee | Title |
|---|---|---|---|---|
| US11339143B2 (en) | 2018-06-26 | 2022-05-24 | Samsung Electronics Co., Ltd. | Condensed cyclic compound and organic light-emitting device including the same |
| US11746117B2 (en) | 2018-11-27 | 2023-09-05 | Lg Chem, Ltd. | Heterocyclic compound and organic light emitting device comprising same |
| US12022730B2 (en) | 2018-11-27 | 2024-06-25 | Lg Chem, Ltd. | Compound and organic light emitting device comprising the same |
| US12037337B2 (en) | 2018-11-27 | 2024-07-16 | Lg Chem, Ltd. | Compound and organic light emitting device comprising the same |
| US12098156B2 (en) | 2018-11-27 | 2024-09-24 | Lg Chem, Ltd. | Compound and organic light emitting device comprising the same |
| US12275736B2 (en) | 2018-11-27 | 2025-04-15 | Lg Chem, Ltd. | Compound and organic light emitting device comprising the same |
| KR20210028825A (en) | 2019-09-05 | 2021-03-15 | 롬엔드하스전자재료코리아유한회사 | Organic electroluminescent compound and organic electroluminescent device comprising the same |
| KR20210082068A (en) | 2019-12-24 | 2021-07-02 | 롬엔드하스전자재료코리아유한회사 | Organic electroluminescent compound, organic electroluminescent material comprising the same, and organic electroluminescent device |
| DE102021121719A1 (en) | 2020-08-21 | 2022-02-24 | Rohm And Haas Electronic Materials Korea Ltd. | ORGANIC ELECTROLUMINESCENT COMPOUND, MULTIPLE HOST MATERIALS AND THIS COMPREHENSIVE ORGANIC ELECTROLUMINESCENT DEVICE |
Also Published As
| Publication number | Publication date |
|---|---|
| CN103764786B (en) | 2017-04-26 |
| JP2014514344A (en) | 2014-06-19 |
| JP6046701B2 (en) | 2016-12-21 |
| KR20130130236A (en) | 2013-12-02 |
| CN103764786A (en) | 2014-04-30 |
Similar Documents
| Publication | Publication Date | Title |
|---|---|---|
| KR101396171B1 (en) | Novel organic electroluminescent compounds and an organic electroluminescent device using the same | |
| KR101483933B1 (en) | Novel organic electroluminescence compounds and organic electroluminescence device containing the same | |
| KR101423067B1 (en) | Novel organic electroluminescence compounds and organic electroluminescence device comprising the same | |
| KR101884173B1 (en) | An organic electroluminescent compound and an organic electroluminescent device comprising the same | |
| KR20120116282A (en) | Novel organic electroluminescence compounds and organic electroluminescence device using the same | |
| KR20130011405A (en) | Novel organic electroluminescence compounds and organic electroluminescence device using the same | |
| KR20110112098A (en) | Novel organic light emitting compound and organic electroluminescent device employing the same | |
| KR20120109744A (en) | Novel compounds for organic electronic material and organic electroluminescence device using the same | |
| KR20120009984A (en) | Novel organic light emitting compound and organic electroluminescent device comprising same | |
| CN113039189B (en) | Heterocyclic compounds and organic light-emitting devices containing the same | |
| EP2617712A1 (en) | Nitrogen-containing aromatic heterocyclic derivative and organic electroluminescence device using same | |
| KR20120042633A (en) | Novel organic electroluminescent compounds and organic electroluminescent device using the same | |
| KR20120136618A (en) | Novel compounds for organic electronic material and organic electroluminescence device using the same | |
| KR20120034140A (en) | Novel organic electroluminescent compounds and organic electroluminescent device using the same | |
| KR20130121479A (en) | Novel organic electroluminescent compounds and organic electroluminescent device comprising the same | |
| KR20110008784A (en) | Novel organic light emitting compound and organic electroluminescent device comprising same | |
| KR20120116269A (en) | Novel compounds for organic electronic material and organic electroluminescence device using the same | |
| KR20110132721A (en) | Novel organic light emitting compound and organic electroluminescent device employing the same | |
| EP2628729A1 (en) | Aromatic heterocyclic derivative, and organic electroluminescent element comprising same | |
| KR101776193B1 (en) | Organic compound and organic electroluminescent device comprising the same | |
| KR20120050557A (en) | Novel organic electroluminescent compounds and organic electroluminescent device using the same | |
| KR20150032447A (en) | Novel organic electroluminescent compounds and organic electroluminescent device comprising the same | |
| KR20180136377A (en) | Novel compound and organic light emitting device comprising the same | |
| KR20140141933A (en) | An organic electroluminescent compound and an organic electroluminescent device comprising the same | |
| KR20140144804A (en) | Novel organic electroluminescent compounds and organic electroluminescent device comprising the same |
Legal Events
| Date | Code | Title | Description |
|---|---|---|---|
| PA0109 | Patent application |
Patent event code: PA01091R01D Comment text: Patent Application Patent event date: 20120502 |
|
| A201 | Request for examination | ||
| A302 | Request for accelerated examination | ||
| PA0201 | Request for examination |
Patent event code: PA02012R01D Patent event date: 20131011 Comment text: Request for Examination of Application Patent event code: PA02011R01I Patent event date: 20120502 Comment text: Patent Application |
|
| PA0302 | Request for accelerated examination |
Patent event date: 20131011 Patent event code: PA03022R01D Comment text: Request for Accelerated Examination Patent event date: 20120502 Patent event code: PA03021R01I Comment text: Patent Application |
|
| E902 | Notification of reason for refusal | ||
| PE0902 | Notice of grounds for rejection |
Comment text: Notification of reason for refusal Patent event date: 20131028 Patent event code: PE09021S01D |
|
| PG1501 | Laying open of application | ||
| AMND | Amendment | ||
| E601 | Decision to refuse application | ||
| PE0601 | Decision on rejection of patent |
Patent event date: 20140218 Comment text: Decision to Refuse Application Patent event code: PE06012S01D Patent event date: 20131028 Comment text: Notification of reason for refusal Patent event code: PE06011S01I |
|
| AMND | Amendment | ||
| PX0901 | Re-examination |
Patent event code: PX09011S01I Patent event date: 20140218 Comment text: Decision to Refuse Application Patent event code: PX09012R01I Patent event date: 20131227 Comment text: Amendment to Specification, etc. |
|
| E90F | Notification of reason for final refusal | ||
| PE0902 | Notice of grounds for rejection |
Comment text: Final Notice of Reason for Refusal Patent event date: 20140407 Patent event code: PE09021S02D |
|
| AMND | Amendment | ||
| PX0701 | Decision of registration after re-examination |
Patent event date: 20140414 Comment text: Decision to Grant Registration Patent event code: PX07013S01D Patent event date: 20140408 Comment text: Amendment to Specification, etc. Patent event code: PX07012R01I Patent event date: 20140321 Comment text: Amendment to Specification, etc. Patent event code: PX07012R01I Patent event date: 20140218 Comment text: Decision to Refuse Application Patent event code: PX07011S01I Patent event date: 20131227 Comment text: Amendment to Specification, etc. Patent event code: PX07012R01I |
|
| X701 | Decision to grant (after re-examination) | ||
| GRNT | Written decision to grant | ||
| PR0701 | Registration of establishment |
Comment text: Registration of Establishment Patent event date: 20140512 Patent event code: PR07011E01D |
|
| PR1002 | Payment of registration fee |
Payment date: 20140513 End annual number: 3 Start annual number: 1 |
|
| PG1601 | Publication of registration | ||
| FPAY | Annual fee payment |
Payment date: 20170420 Year of fee payment: 4 |
|
| PR1001 | Payment of annual fee |
Payment date: 20170420 Start annual number: 4 End annual number: 4 |
|
| FPAY | Annual fee payment |
Payment date: 20180417 Year of fee payment: 5 |
|
| PR1001 | Payment of annual fee |
Payment date: 20180417 Start annual number: 5 End annual number: 5 |
|
| FPAY | Annual fee payment |
Payment date: 20190417 Year of fee payment: 6 |
|
| PR1001 | Payment of annual fee |
Payment date: 20190417 Start annual number: 6 End annual number: 6 |
|
| PR1001 | Payment of annual fee |
Payment date: 20200417 Start annual number: 7 End annual number: 7 |
|
| PR1001 | Payment of annual fee |
Payment date: 20210415 Start annual number: 8 End annual number: 8 |
|
| PR1001 | Payment of annual fee |
Payment date: 20230418 Start annual number: 10 End annual number: 10 |








































































