KR101177199B1 - 혈액 처리용 다공질 중공사막 - Google Patents
혈액 처리용 다공질 중공사막 Download PDFInfo
- Publication number
- KR101177199B1 KR101177199B1 KR1020107010878A KR20107010878A KR101177199B1 KR 101177199 B1 KR101177199 B1 KR 101177199B1 KR 1020107010878 A KR1020107010878 A KR 1020107010878A KR 20107010878 A KR20107010878 A KR 20107010878A KR 101177199 B1 KR101177199 B1 KR 101177199B1
- Authority
- KR
- South Korea
- Prior art keywords
- hollow fiber
- membrane
- thickness
- fiber membrane
- blood
- Prior art date
- Legal status (The legal status is an assumption and is not a legal conclusion. Google has not performed a legal analysis and makes no representation as to the accuracy of the status listed.)
- Expired - Fee Related
Links
Images
Classifications
-
- A—HUMAN NECESSITIES
- A61—MEDICAL OR VETERINARY SCIENCE; HYGIENE
- A61M—DEVICES FOR INTRODUCING MEDIA INTO, OR ONTO, THE BODY; DEVICES FOR TRANSDUCING BODY MEDIA OR FOR TAKING MEDIA FROM THE BODY; DEVICES FOR PRODUCING OR ENDING SLEEP OR STUPOR
- A61M1/00—Suction or pumping devices for medical purposes; Devices for carrying-off, for treatment of, or for carrying-over, body-liquids; Drainage systems
- A61M1/14—Dialysis systems; Artificial kidneys; Blood oxygenators ; Reciprocating systems for treatment of body fluids, e.g. single needle systems for hemofiltration or pheresis
- A61M1/16—Dialysis systems; Artificial kidneys; Blood oxygenators ; Reciprocating systems for treatment of body fluids, e.g. single needle systems for hemofiltration or pheresis with membranes
-
- B—PERFORMING OPERATIONS; TRANSPORTING
- B01—PHYSICAL OR CHEMICAL PROCESSES OR APPARATUS IN GENERAL
- B01D—SEPARATION
- B01D69/00—Semi-permeable membranes for separation processes or apparatus characterised by their form, structure or properties; Manufacturing processes specially adapted therefor
- B01D69/02—Semi-permeable membranes for separation processes or apparatus characterised by their form, structure or properties; Manufacturing processes specially adapted therefor characterised by their properties
-
- B—PERFORMING OPERATIONS; TRANSPORTING
- B01—PHYSICAL OR CHEMICAL PROCESSES OR APPARATUS IN GENERAL
- B01D—SEPARATION
- B01D69/00—Semi-permeable membranes for separation processes or apparatus characterised by their form, structure or properties; Manufacturing processes specially adapted therefor
- B01D69/08—Hollow fibre membranes
-
- B—PERFORMING OPERATIONS; TRANSPORTING
- B01—PHYSICAL OR CHEMICAL PROCESSES OR APPARATUS IN GENERAL
- B01D—SEPARATION
- B01D69/00—Semi-permeable membranes for separation processes or apparatus characterised by their form, structure or properties; Manufacturing processes specially adapted therefor
- B01D69/08—Hollow fibre membranes
- B01D69/087—Details relating to the spinning process
-
- B—PERFORMING OPERATIONS; TRANSPORTING
- B01—PHYSICAL OR CHEMICAL PROCESSES OR APPARATUS IN GENERAL
- B01D—SEPARATION
- B01D71/00—Semi-permeable membranes for separation processes or apparatus characterised by the material; Manufacturing processes specially adapted therefor
- B01D71/06—Organic material
- B01D71/44—Polymers obtained by reactions only involving carbon-to-carbon unsaturated bonds, not provided for in a single one of groups B01D71/26-B01D71/42
- B01D71/441—Polyvinylpyrrolidone
-
- B—PERFORMING OPERATIONS; TRANSPORTING
- B01—PHYSICAL OR CHEMICAL PROCESSES OR APPARATUS IN GENERAL
- B01D—SEPARATION
- B01D71/00—Semi-permeable membranes for separation processes or apparatus characterised by the material; Manufacturing processes specially adapted therefor
- B01D71/06—Organic material
- B01D71/66—Polymers having sulfur in the main chain, with or without nitrogen, oxygen or carbon only
- B01D71/68—Polysulfones; Polyethersulfones
-
- A—HUMAN NECESSITIES
- A61—MEDICAL OR VETERINARY SCIENCE; HYGIENE
- A61M—DEVICES FOR INTRODUCING MEDIA INTO, OR ONTO, THE BODY; DEVICES FOR TRANSDUCING BODY MEDIA OR FOR TAKING MEDIA FROM THE BODY; DEVICES FOR PRODUCING OR ENDING SLEEP OR STUPOR
- A61M2202/00—Special media to be introduced, removed or treated
- A61M2202/04—Liquids
- A61M2202/0413—Blood
-
- B—PERFORMING OPERATIONS; TRANSPORTING
- B01—PHYSICAL OR CHEMICAL PROCESSES OR APPARATUS IN GENERAL
- B01D—SEPARATION
- B01D2325/00—Details relating to properties of membranes
- B01D2325/02—Details relating to pores or porosity of the membranes
- B01D2325/0281—Fibril, or microfibril structures
-
- B—PERFORMING OPERATIONS; TRANSPORTING
- B01—PHYSICAL OR CHEMICAL PROCESSES OR APPARATUS IN GENERAL
- B01D—SEPARATION
- B01D2325/00—Details relating to properties of membranes
- B01D2325/04—Characteristic thickness
-
- B—PERFORMING OPERATIONS; TRANSPORTING
- B01—PHYSICAL OR CHEMICAL PROCESSES OR APPARATUS IN GENERAL
- B01D—SEPARATION
- B01D2325/00—Details relating to properties of membranes
- B01D2325/20—Specific permeability or cut-off range
Landscapes
- Chemical Kinetics & Catalysis (AREA)
- Chemical & Material Sciences (AREA)
- Health & Medical Sciences (AREA)
- Heart & Thoracic Surgery (AREA)
- Urology & Nephrology (AREA)
- Anesthesiology (AREA)
- Animal Behavior & Ethology (AREA)
- Engineering & Computer Science (AREA)
- Emergency Medicine (AREA)
- Biomedical Technology (AREA)
- Hematology (AREA)
- Life Sciences & Earth Sciences (AREA)
- Vascular Medicine (AREA)
- General Health & Medical Sciences (AREA)
- Public Health (AREA)
- Veterinary Medicine (AREA)
- Separation Using Semi-Permeable Membranes (AREA)
- External Artificial Organs (AREA)
- Artificial Filaments (AREA)
Abstract
Description
도 1b는 본 발명에서 막 두께 30 ㎛를 초과하는 중공사막 할단면의 측정 부위를 도시하는 모식도이다.
도 2는 본 발명의 다공질 구조에서의 피브릴을 도시하는 모식도이다.
도 3은 본 발명의 피브릴 굵기의 측정 부위를 도시하는 모식도이다.
Claims (5)
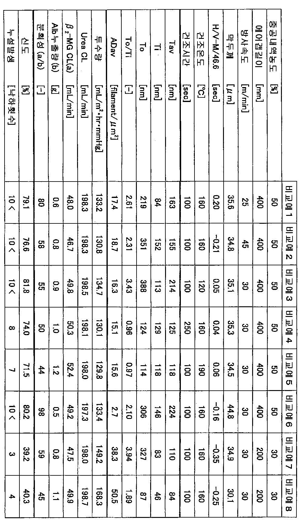
- 폴리술폰계 폴리머와 폴리비닐피롤리돈을 포함하고, 막 두께 방향의 내표면부터 외표면까지 구멍 직경이 확대되는 그래디언트 다공질 구조를 이루는 혈액 처리용 다공질 중공사막에 있어서, 상기 다공질 구조는 막 두께가 25 ㎛ 이상 40 ㎛ 미만이고 전체 평균 굵기가 100 ㎚~200 ㎚의 피브릴이, 막 두께 방향의 외측 평균 굵기(To)와 내측 평균 굵기(Ti)의 비(To/Ti)가 1 이상 2 이하가 되도록 배치되어 이루어지는 것을 특징으로 하는 혈액 처리용 다공질 중공사막.
- 제1항에 있어서, 상기 피브릴의 전체 평균면 밀도(ADav)가 2~60개/㎛2인 것인 혈액 처리용 다공질 중공사막.
- 제1항 또는 제2항에 있어서, 상기 중공사막은 투수량이 5~450 mL/m2/hr/㎜Hg인 것인 혈액 처리용 다공질 중공사막.
- 제1항 또는 제2항에 있어서, 폴리술폰계 폴리머가 비스페놀형 폴리술폰인 것인 혈액 처리용 다공질 중공사막.
- 제1항 또는 제2항에 기재된 다공질 중공사막이 통형상 용기에 충전되고, 상기 통형상 용기의 양단부가 수지 포매 후에 중공사막의 개구 단부에 가공된 후, 상기 양단부에 액체의 도입 또는 도출용 노즐을 갖는 헤더캡이 장전되어 이루어지는 혈액 처리기.
Applications Claiming Priority (3)
| Application Number | Priority Date | Filing Date | Title |
|---|---|---|---|
| JPJP-P-2007-316214 | 2007-12-06 | ||
| JP2007316214 | 2007-12-06 | ||
| PCT/JP2008/072027 WO2009072548A1 (ja) | 2007-12-06 | 2008-12-04 | 血液処理用多孔質中空糸膜 |
Publications (2)
| Publication Number | Publication Date |
|---|---|
| KR20100080842A KR20100080842A (ko) | 2010-07-12 |
| KR101177199B1 true KR101177199B1 (ko) | 2012-08-24 |
Family
ID=40717725
Family Applications (1)
| Application Number | Title | Priority Date | Filing Date |
|---|---|---|---|
| KR1020107010878A Expired - Fee Related KR101177199B1 (ko) | 2007-12-06 | 2008-12-04 | 혈액 처리용 다공질 중공사막 |
Country Status (9)
| Country | Link |
|---|---|
| US (1) | US9616393B2 (ko) |
| EP (1) | EP2216060B2 (ko) |
| JP (1) | JP5211071B2 (ko) |
| KR (1) | KR101177199B1 (ko) |
| CN (1) | CN101888863B (ko) |
| CA (1) | CA2707685C (ko) |
| ES (1) | ES2394841T5 (ko) |
| TW (1) | TWI396565B (ko) |
| WO (1) | WO2009072548A1 (ko) |
Families Citing this family (30)
| Publication number | Priority date | Publication date | Assignee | Title |
|---|---|---|---|---|
| US10626399B2 (en) | 2010-01-28 | 2020-04-21 | The Board Of Trustees Of The Leland Stanford Junior University | Methods of treating cognitive symptoms of an aging-associated impairment by modulating C-C chemokine receptor type 3 (CCR3) |
| US20160208011A1 (en) | 2010-01-28 | 2016-07-21 | The Board Of Trustees Of The Leland Stanford Junior University | Ccr3 modulation in the treatment of aging-associated impairments, and compositions for practicing the same |
| US10487148B2 (en) | 2010-01-28 | 2019-11-26 | The Board Of Trustees Of The Leland Stanford Junior University | Methods and compositions for treating aging-associated impairments |
| US9161968B2 (en) | 2011-04-08 | 2015-10-20 | The Board Of Trustees Of The Leland Stanford Junior University | Methods of neuroprotection involving macrophage colony stimulating factor receptor agonists |
| JP6030295B2 (ja) * | 2011-10-20 | 2016-11-24 | 旭化成メディカル株式会社 | 血液浄化器の製造方法 |
| EP2845641B1 (en) | 2013-09-05 | 2018-05-09 | Gambro Lundia AB | Permselective asymmetric membranes with high molecular weight polyvinylpyrrolidone, the preparation and use thereof |
| EA035336B1 (ru) | 2013-12-09 | 2020-05-29 | Зе Боард Оф Трастиз Оф Зе Леланд Стэнфорд Джуниор Юниверсити | Способ лечения связанного со старением когнитивного расстройства или заболевания |
| US10905779B2 (en) | 2013-12-09 | 2021-02-02 | The Board Of Trustees Of The Leland Stanford Junior University | Methods for screening human blood products comprising plasma using immunocompromised rodent models |
| EP3102312B1 (en) | 2014-02-06 | 2018-09-26 | Gambro Lundia AB | Hemodialyzer for blood purification |
| HK1224245A1 (zh) | 2014-02-06 | 2017-08-18 | 甘布罗伦迪亚股份公司 | 用於血液净化的膜 |
| JP6383631B2 (ja) * | 2014-10-17 | 2018-08-29 | 旭化成メディカル株式会社 | 中空糸膜型血液浄化器 |
| CN104772052B (zh) * | 2015-03-19 | 2016-10-12 | 常州市美纤膜技术有限公司 | 病毒膜及其制备方法 |
| EA202091057A3 (ru) * | 2015-05-18 | 2021-03-31 | Зе Боард Оф Трастиз Оф Зе Леланд Стэнфорд Джуниор Юниверсити | Способы и композиции для лечения нарушений, ассоциированных со старением |
| KR20210041137A (ko) | 2015-06-15 | 2021-04-14 | 더 보드 어브 트러스티스 어브 더 리랜드 스탠포드 주니어 유니버시티 | 노화와 연관된 질환을 치료하기 위한 방법 및 조성물 |
| JP6777383B2 (ja) * | 2015-08-06 | 2020-10-28 | 旭化成メディカル株式会社 | 中空糸膜モジュール及びその製造方法 |
| ES3037703T3 (en) | 2016-04-28 | 2025-10-06 | Alkahest Inc | Blood plasma and plasma fractions as therapy for tumor growth and progression |
| US10525107B2 (en) | 2016-08-18 | 2020-01-07 | Alkahest, Inc. | Blood plasma fractions as a treatment for aging-associated cognitive disorders |
| CN109195645B (zh) * | 2016-08-31 | 2021-12-21 | 泰尔茂株式会社 | 换热器、人工肺及换热器的制造方法 |
| WO2018200560A1 (en) | 2017-04-26 | 2018-11-01 | Alkahest, Inc. | Dosing regimen for treatment of cognitive and motor impairments with blood plasma and blood plasma products |
| US11040068B2 (en) | 2017-04-26 | 2021-06-22 | Alkahest, Inc. | Dosing regimen for treatment of cognitive and motor impairments with blood plasma and blood plasma products |
| CN119345230A (zh) | 2018-10-26 | 2025-01-24 | 万能溶剂有限公司 | 血浆和血浆组分用于改善疼痛的用途 |
| TWI845594B (zh) | 2019-01-11 | 2024-06-21 | 瑞士商馬可控股股份有限公司 | 血漿解毒方法及系統 |
| US12318528B2 (en) | 2020-10-30 | 2025-06-03 | Mozarc Medical Us Llc | Variable orifice fistula graft |
| ES3007240T3 (en) | 2020-10-30 | 2025-03-19 | Bellco Srl | Dialysis cassette with pump features |
| CN112451774B (zh) * | 2020-12-03 | 2025-10-28 | 山东威高血液净化制品股份有限公司 | 一种吸附增强型透析器 |
| EP4008376A1 (en) | 2020-12-03 | 2022-06-08 | Medtronic, Inc. | Flexible tube routing accessory for peritoneal dialysis system |
| CN118201654A (zh) * | 2021-11-08 | 2024-06-14 | 旭化成医疗株式会社 | 中空纤维膜型血液净化器 |
| WO2023080237A1 (ja) * | 2021-11-08 | 2023-05-11 | 旭化成メディカル株式会社 | 中空糸膜型血液浄化器 |
| CN113926316B (zh) * | 2021-11-23 | 2024-01-26 | 江苏巨澜纳米科技有限公司 | 一种防漏增湿复合中空纤维膜、制备方法及其应用 |
| WO2025101550A1 (en) * | 2023-11-07 | 2025-05-15 | Fresenius Medical Care Holdings, Inc. | Small diameter hollow fiber membrane and methods for making the same |
Citations (3)
| Publication number | Priority date | Publication date | Assignee | Title |
|---|---|---|---|---|
| JP2004075741A (ja) | 2002-08-12 | 2004-03-11 | Asahi Kasei Corp | 血液適合性に優れた分岐ポリエチレンオキシド−ポリスルホンブロック共重合体 |
| EP1547628A1 (en) | 2002-09-12 | 2005-06-29 | Asahi Kasei Medical Co., Ltd. | Plasma purification membrane and plasma purification system |
| EP1834655A1 (en) | 2004-12-22 | 2007-09-19 | Nipro Corporation | Hemopurifier package and process for producing the same |
Family Cites Families (32)
| Publication number | Priority date | Publication date | Assignee | Title |
|---|---|---|---|---|
| JPH022849A (ja) * | 1987-06-26 | 1990-01-08 | Ube Ind Ltd | 多孔性中空糸膜 |
| JP3097149B2 (ja) | 1991-03-28 | 2000-10-10 | 東レ株式会社 | 医療透析用モジュールおよびその製造方法 |
| JPH0554373A (ja) | 1991-08-27 | 1993-03-05 | Sumitomo Metal Mining Co Ltd | 磁気記録媒体 |
| US5340480A (en) * | 1992-04-29 | 1994-08-23 | Kuraray Co., Ltd. | Polysulfone-based hollow fiber membrane and process for manufacturing the same |
| JP3117575B2 (ja) | 1992-04-29 | 2000-12-18 | 株式会社クラレ | ポリスルホン系中空繊維膜とその製造方法 |
| JP2792556B2 (ja) | 1994-12-16 | 1998-09-03 | 東洋紡績株式会社 | 血液浄化用モジュール、血液浄化膜及びその製造方法 |
| JPH0951946A (ja) * | 1995-08-11 | 1997-02-25 | Mitsubishi Rayon Co Ltd | 血液処理用ポリオレフィン製複合微多孔質膜 |
| US5747680A (en) * | 1996-04-10 | 1998-05-05 | Sundstrand Corporation | Multiple parameter sensor and method of operation thereof |
| JPH10109023A (ja) | 1996-10-04 | 1998-04-28 | Toyobo Co Ltd | 中空糸型選択分離膜 |
| JP3548354B2 (ja) | 1996-10-15 | 2004-07-28 | 日機装株式会社 | 中空糸膜及びその製造方法 |
| JP3211701B2 (ja) | 1997-02-07 | 2001-09-25 | 東洋紡績株式会社 | 中空糸型選択分離膜およびその製造方法 |
| JPH10243999A (ja) | 1997-03-07 | 1998-09-14 | Asahi Medical Co Ltd | ポリスルホン系血液透析膜 |
| WO1998052683A1 (en) | 1997-05-19 | 1998-11-26 | Asahi Medical Co., Ltd. | Polysulfone-base hollow-fiber hemocathartic membrane and processes for the production thereof |
| JP4051762B2 (ja) | 1998-05-27 | 2008-02-27 | 東レ株式会社 | 中空糸膜の製膜方法 |
| JP2000334281A (ja) | 1999-05-28 | 2000-12-05 | Terumo Corp | ポリスルホン製人工腎臓用中空糸膜およびその製造方法 |
| JP2001038171A (ja) | 1999-08-03 | 2001-02-13 | Toyobo Co Ltd | 中空糸膜 |
| US6802820B1 (en) * | 2000-04-13 | 2004-10-12 | Transvivo, Inc. | Specialized hollow fiber membranes for in-vivo plasmapheresis and ultrafiltration |
| JP3281363B1 (ja) | 2001-07-24 | 2002-05-13 | 旭メディカル株式会社 | 血液浄化膜 |
| JP4386607B2 (ja) | 2001-11-21 | 2009-12-16 | 旭化成クラレメディカル株式会社 | ポリスルホン系血液浄化膜の製造方法およびポリスルホン系血液浄化膜 |
| JP4036740B2 (ja) | 2001-12-18 | 2008-01-23 | 旭化成クラレメディカル株式会社 | 中空糸型血液浄化膜の製造方法 |
| WO2003089120A1 (en) * | 2002-04-16 | 2003-10-30 | Pall Corporation | Hollow fibres |
| JP4626301B2 (ja) * | 2002-06-14 | 2011-02-09 | 東レ株式会社 | 複合分離膜およびその製造方法 |
| JP3431622B1 (ja) * | 2002-09-12 | 2003-07-28 | 旭メディカル株式会社 | 高性能血漿浄化膜 |
| WO2004094047A1 (ja) | 2003-04-23 | 2004-11-04 | Asahi Medical Co., Ltd. | 中空糸膜型流体処理器 |
| JP2005058906A (ja) | 2003-08-12 | 2005-03-10 | Asahi Kasei Medical Co Ltd | 高分子多孔質膜、血液浄化器および高分子多孔質膜の製造方法 |
| JP3594032B1 (ja) * | 2003-08-29 | 2004-11-24 | 東洋紡績株式会社 | 高透水性中空糸膜型血液浄化器 |
| JP4381073B2 (ja) | 2003-09-16 | 2009-12-09 | 東洋紡績株式会社 | 血液適合性に優れた血液浄化膜 |
| TWI406703B (zh) | 2003-11-17 | 2013-09-01 | Asahi Kasei Medical Co Ltd | Purify blood with hollow fiber membrane and use its blood purifier |
| JP2005342139A (ja) | 2004-06-02 | 2005-12-15 | Toyobo Co Ltd | ポリスルホン系選択透過性中空糸膜 |
| WO2006024902A1 (ja) | 2004-08-06 | 2006-03-09 | Asahi Kasei Medical Co., Ltd. | ポリスルホン血液透析器 |
| KR101111010B1 (ko) | 2007-02-15 | 2012-02-16 | 아사히 카세이 쿠라레 메디칼 가부시키가이샤 | 혈액 정화 시스템 |
| TWI374038B (en) | 2007-05-25 | 2012-10-11 | Asahi Kasei Medical Co Ltd | A polysulphone-based membrane for the blood treatment and its manufacturing method |
-
2008
- 2008-12-04 KR KR1020107010878A patent/KR101177199B1/ko not_active Expired - Fee Related
- 2008-12-04 CN CN2008801192800A patent/CN101888863B/zh active Active
- 2008-12-04 CA CA2707685A patent/CA2707685C/en active Active
- 2008-12-04 US US12/746,075 patent/US9616393B2/en active Active
- 2008-12-04 ES ES08858348T patent/ES2394841T5/es active Active
- 2008-12-04 JP JP2009544703A patent/JP5211071B2/ja active Active
- 2008-12-04 WO PCT/JP2008/072027 patent/WO2009072548A1/ja not_active Ceased
- 2008-12-04 EP EP08858348.9A patent/EP2216060B2/en active Active
- 2008-12-05 TW TW097147508A patent/TWI396565B/zh not_active IP Right Cessation
Patent Citations (3)
| Publication number | Priority date | Publication date | Assignee | Title |
|---|---|---|---|---|
| JP2004075741A (ja) | 2002-08-12 | 2004-03-11 | Asahi Kasei Corp | 血液適合性に優れた分岐ポリエチレンオキシド−ポリスルホンブロック共重合体 |
| EP1547628A1 (en) | 2002-09-12 | 2005-06-29 | Asahi Kasei Medical Co., Ltd. | Plasma purification membrane and plasma purification system |
| EP1834655A1 (en) | 2004-12-22 | 2007-09-19 | Nipro Corporation | Hemopurifier package and process for producing the same |
Also Published As
| Publication number | Publication date |
|---|---|
| KR20100080842A (ko) | 2010-07-12 |
| ES2394841T3 (es) | 2013-02-06 |
| US20100258496A1 (en) | 2010-10-14 |
| TW200938239A (en) | 2009-09-16 |
| JP5211071B2 (ja) | 2013-06-12 |
| CN101888863B (zh) | 2012-11-28 |
| JPWO2009072548A1 (ja) | 2011-04-28 |
| EP2216060A1 (en) | 2010-08-11 |
| TWI396565B (zh) | 2013-05-21 |
| CN101888863A (zh) | 2010-11-17 |
| EP2216060A4 (en) | 2011-05-25 |
| CA2707685C (en) | 2014-05-27 |
| US9616393B2 (en) | 2017-04-11 |
| CA2707685A1 (en) | 2009-06-11 |
| WO2009072548A1 (ja) | 2009-06-11 |
| EP2216060B1 (en) | 2012-10-03 |
| EP2216060B2 (en) | 2021-03-17 |
| ES2394841T5 (es) | 2021-10-29 |
Similar Documents
| Publication | Publication Date | Title |
|---|---|---|
| KR101177199B1 (ko) | 혈액 처리용 다공질 중공사막 | |
| KR940002379B1 (ko) | 폴리프로필렌 다공질막 및 그의 제조방법 | |
| JP6698536B2 (ja) | 血液浄化のための膜 | |
| KR102316246B1 (ko) | 혈액 정화를 위한 혈액 투석기 | |
| CN102131564B (zh) | 扩散和/或过滤装置 | |
| CN103608092B (zh) | 大孔过滤膜 | |
| JP5720249B2 (ja) | 中空糸膜およびその製造方法および血液浄化モジュール | |
| US10888823B2 (en) | Membrane with improved permeability and selectivity | |
| Mansur et al. | Study on the effect of PVP additive on the performance of PSf/PVP ultrafiltration hollow fiber membrane | |
| JP5440332B2 (ja) | 中空糸膜 | |
| JP2792556B2 (ja) | 血液浄化用モジュール、血液浄化膜及びその製造方法 | |
| JPH10108907A (ja) | 血液浄化膜、その製造方法及び血液浄化用モジュール | |
| JP5212837B2 (ja) | 選択透過性中空糸膜 | |
| JP7131038B2 (ja) | 腹水濾過用の中空糸膜 | |
| JP3594946B2 (ja) | 高性能精密濾過膜 | |
| JPH09220455A (ja) | 中空糸型選択分離膜 | |
| JP2005058906A (ja) | 高分子多孔質膜、血液浄化器および高分子多孔質膜の製造方法 | |
| JP6030295B2 (ja) | 血液浄化器の製造方法 | |
| JP7793926B2 (ja) | 中空糸及び血液浄化器 | |
| WO2024019034A1 (ja) | 中空糸膜および血漿分離方法 | |
| JP2010111965A (ja) | 耐衝撃性に優れた血液浄化器 | |
| JP2018158275A (ja) | エンドトキシン捕捉フィルター用中空糸膜 |
Legal Events
| Date | Code | Title | Description |
|---|---|---|---|
| A201 | Request for examination | ||
| PA0105 | International application |
St.27 status event code: A-0-1-A10-A15-nap-PA0105 |
|
| PA0201 | Request for examination |
St.27 status event code: A-1-2-D10-D11-exm-PA0201 |
|
| P11-X000 | Amendment of application requested |
St.27 status event code: A-2-2-P10-P11-nap-X000 |
|
| P13-X000 | Application amended |
St.27 status event code: A-2-2-P10-P13-nap-X000 |
|
| PG1501 | Laying open of application |
St.27 status event code: A-1-1-Q10-Q12-nap-PG1501 |
|
| PE0902 | Notice of grounds for rejection |
St.27 status event code: A-1-2-D10-D21-exm-PE0902 |
|
| P11-X000 | Amendment of application requested |
St.27 status event code: A-2-2-P10-P11-nap-X000 |
|
| P13-X000 | Application amended |
St.27 status event code: A-2-2-P10-P13-nap-X000 |
|
| N231 | Notification of change of applicant | ||
| PN2301 | Change of applicant |
St.27 status event code: A-3-3-R10-R13-asn-PN2301 St.27 status event code: A-3-3-R10-R11-asn-PN2301 |
|
| E701 | Decision to grant or registration of patent right | ||
| PE0701 | Decision of registration |
St.27 status event code: A-1-2-D10-D22-exm-PE0701 |
|
| GRNT | Written decision to grant | ||
| PR0701 | Registration of establishment |
St.27 status event code: A-2-4-F10-F11-exm-PR0701 |
|
| PR1002 | Payment of registration fee |
St.27 status event code: A-2-2-U10-U12-oth-PR1002 Fee payment year number: 1 |
|
| PG1601 | Publication of registration |
St.27 status event code: A-4-4-Q10-Q13-nap-PG1601 |
|
| R17-X000 | Change to representative recorded |
St.27 status event code: A-5-5-R10-R17-oth-X000 |
|
| FPAY | Annual fee payment |
Payment date: 20150716 Year of fee payment: 4 |
|
| PR1001 | Payment of annual fee |
St.27 status event code: A-4-4-U10-U11-oth-PR1001 Fee payment year number: 4 |
|
| FPAY | Annual fee payment |
Payment date: 20160721 Year of fee payment: 5 |
|
| PR1001 | Payment of annual fee |
St.27 status event code: A-4-4-U10-U11-oth-PR1001 Fee payment year number: 5 |
|
| FPAY | Annual fee payment |
Payment date: 20170720 Year of fee payment: 6 |
|
| PR1001 | Payment of annual fee |
St.27 status event code: A-4-4-U10-U11-oth-PR1001 Fee payment year number: 6 |
|
| FPAY | Annual fee payment |
Payment date: 20180801 Year of fee payment: 7 |
|
| PR1001 | Payment of annual fee |
St.27 status event code: A-4-4-U10-U11-oth-PR1001 Fee payment year number: 7 |
|
| R18-X000 | Changes to party contact information recorded |
St.27 status event code: A-5-5-R10-R18-oth-X000 |
|
| FPAY | Annual fee payment |
Payment date: 20190730 Year of fee payment: 8 |
|
| PR1001 | Payment of annual fee |
St.27 status event code: A-4-4-U10-U11-oth-PR1001 Fee payment year number: 8 |
|
| PR1001 | Payment of annual fee |
St.27 status event code: A-4-4-U10-U11-oth-PR1001 Fee payment year number: 9 |
|
| PR1001 | Payment of annual fee |
St.27 status event code: A-4-4-U10-U11-oth-PR1001 Fee payment year number: 10 |
|
| PR1001 | Payment of annual fee |
St.27 status event code: A-4-4-U10-U11-oth-PR1001 Fee payment year number: 11 |
|
| P22-X000 | Classification modified |
St.27 status event code: A-4-4-P10-P22-nap-X000 |
|
| PC1903 | Unpaid annual fee |
St.27 status event code: A-4-4-U10-U13-oth-PC1903 Not in force date: 20230821 Payment event data comment text: Termination Category : DEFAULT_OF_REGISTRATION_FEE |
|
| PC1903 | Unpaid annual fee |
St.27 status event code: N-4-6-H10-H13-oth-PC1903 Ip right cessation event data comment text: Termination Category : DEFAULT_OF_REGISTRATION_FEE Not in force date: 20230821 |

