KR101151176B1 - The Content Recommendation Method by Using Menu Preferences - Google Patents
The Content Recommendation Method by Using Menu Preferences Download PDFInfo
- Publication number
- KR101151176B1 KR101151176B1 KR1020100079122A KR20100079122A KR101151176B1 KR 101151176 B1 KR101151176 B1 KR 101151176B1 KR 1020100079122 A KR1020100079122 A KR 1020100079122A KR 20100079122 A KR20100079122 A KR 20100079122A KR 101151176 B1 KR101151176 B1 KR 101151176B1
- Authority
- KR
- South Korea
- Prior art keywords
- content
- menu
- preference
- recommendation
- user
- Prior art date
- Legal status (The legal status is an assumption and is not a legal conclusion. Google has not performed a legal analysis and makes no representation as to the accuracy of the status listed.)
- Expired - Fee Related
Links
Images
Classifications
-
- G—PHYSICS
- G06—COMPUTING OR CALCULATING; COUNTING
- G06Q—INFORMATION AND COMMUNICATION TECHNOLOGY [ICT] SPECIALLY ADAPTED FOR ADMINISTRATIVE, COMMERCIAL, FINANCIAL, MANAGERIAL OR SUPERVISORY PURPOSES; SYSTEMS OR METHODS SPECIALLY ADAPTED FOR ADMINISTRATIVE, COMMERCIAL, FINANCIAL, MANAGERIAL OR SUPERVISORY PURPOSES, NOT OTHERWISE PROVIDED FOR
- G06Q50/00—Information and communication technology [ICT] specially adapted for implementation of business processes of specific business sectors, e.g. utilities or tourism
- G06Q50/10—Services
-
- G—PHYSICS
- G06—COMPUTING OR CALCULATING; COUNTING
- G06F—ELECTRIC DIGITAL DATA PROCESSING
- G06F17/00—Digital computing or data processing equipment or methods, specially adapted for specific functions
- G06F17/10—Complex mathematical operations
-
- G—PHYSICS
- G06—COMPUTING OR CALCULATING; COUNTING
- G06Q—INFORMATION AND COMMUNICATION TECHNOLOGY [ICT] SPECIALLY ADAPTED FOR ADMINISTRATIVE, COMMERCIAL, FINANCIAL, MANAGERIAL OR SUPERVISORY PURPOSES; SYSTEMS OR METHODS SPECIALLY ADAPTED FOR ADMINISTRATIVE, COMMERCIAL, FINANCIAL, MANAGERIAL OR SUPERVISORY PURPOSES, NOT OTHERWISE PROVIDED FOR
- G06Q30/00—Commerce
- G06Q30/02—Marketing; Price estimation or determination; Fundraising
- G06Q30/0241—Advertisements
- G06Q30/0251—Targeted advertisements
- G06Q30/0254—Targeted advertisements based on statistics
-
- G—PHYSICS
- G06—COMPUTING OR CALCULATING; COUNTING
- G06Q—INFORMATION AND COMMUNICATION TECHNOLOGY [ICT] SPECIALLY ADAPTED FOR ADMINISTRATIVE, COMMERCIAL, FINANCIAL, MANAGERIAL OR SUPERVISORY PURPOSES; SYSTEMS OR METHODS SPECIALLY ADAPTED FOR ADMINISTRATIVE, COMMERCIAL, FINANCIAL, MANAGERIAL OR SUPERVISORY PURPOSES, NOT OTHERWISE PROVIDED FOR
- G06Q30/00—Commerce
- G06Q30/02—Marketing; Price estimation or determination; Fundraising
- G06Q30/0241—Advertisements
- G06Q30/0251—Targeted advertisements
- G06Q30/0255—Targeted advertisements based on user history
Landscapes
- Engineering & Computer Science (AREA)
- Business, Economics & Management (AREA)
- Physics & Mathematics (AREA)
- Theoretical Computer Science (AREA)
- Strategic Management (AREA)
- General Physics & Mathematics (AREA)
- Accounting & Taxation (AREA)
- Development Economics (AREA)
- Finance (AREA)
- Economics (AREA)
- Marketing (AREA)
- General Business, Economics & Management (AREA)
- Data Mining & Analysis (AREA)
- Game Theory and Decision Science (AREA)
- Entrepreneurship & Innovation (AREA)
- Tourism & Hospitality (AREA)
- Mathematical Physics (AREA)
- Probability & Statistics with Applications (AREA)
- Mathematical Analysis (AREA)
- Mathematical Optimization (AREA)
- Computational Mathematics (AREA)
- Pure & Applied Mathematics (AREA)
- Databases & Information Systems (AREA)
- Software Systems (AREA)
- General Engineering & Computer Science (AREA)
- Algebra (AREA)
- Health & Medical Sciences (AREA)
- General Health & Medical Sciences (AREA)
- Human Resources & Organizations (AREA)
- Primary Health Care (AREA)
- Information Retrieval, Db Structures And Fs Structures Therefor (AREA)
Abstract
본 발명은 메뉴 선호 정보를 이용한 콘텐츠 추천 방법에 관한 것으로, 메뉴 구조를 가지는 콘텐츠 제공환경에서 사용자가 원하는 콘텐츠를 추천하기 위하여 사용자의 메뉴 선호정보를 이용빈도 정보와 최근성을 반영하여 학습한 메뉴 선호정보를 이용하여 해당 메뉴내의 콘텐츠를 추천하는 메뉴 선호 정보를 이용한 콘텐츠 추천 방법에 관한 것이다. 사용자가 이용한 콘텐츠 시청 히스토리 정보와, 콘텐츠를 이용하기 위해 탐색한 메뉴 정보를 이용하여 학습엔진(10)에서 메뉴 선호정보, 인기 콘텐츠, 연관 메뉴를 추출하여 데이터베이스에 저장하는 제100단계(S100)와; 사용자의 추천 요청에 따라 상기 학습엔진(10)에 저장된 데이터와 콘텐츠 메타데이터를 이용하여 추천엔진(20)에서 추천 리스트를 제공하는 제200단계(S200)를 포함한다. 따라서, 본 발명은 사용자의 콘텐츠 접근 정보인 메뉴 정보와 사용 이력 정보를 이용하여 개인의 선호를 추출하고 메뉴 선호에 기반한 콘텐츠 추천을 제공할 수 있으며, 연관메뉴를 반영한 메뉴선호 정보를 이용하여 메뉴 선호정보 학습을 통한 추천으로 인해 선호정보에 해당하는 콘텐츠만 추천이 가능하게 되는 과잉 특성화 문제를 개선하는 효과가 있다.The present invention relates to a content recommendation method using menu preference information. In order to recommend content desired by a user in a content providing environment having a menu, menu preferences learned by reflecting the user's menu preference information and the latest information are preferred. The present invention relates to a content recommendation method using menu preference information for recommending content in a corresponding menu using information. Step 100 (S100) of extracting menu preference information, popular content, and a related menu from the learning engine 10 using the content viewing history information used by the user and the menu information searched for using the content, and storing them in a database; ; In operation S200, a recommendation list is provided by the recommendation engine 20 using data and content metadata stored in the learning engine 10 according to a recommendation request of a user. Accordingly, the present invention can extract personal preferences using menu information and usage history information, which are user's content access information, and provide content recommendation based on menu preferences, and menu preferences using menu preference information reflecting an associated menu. Due to the recommendation through information learning, there is an effect of improving the over-specialization problem that can only recommend content corresponding to the preference information.
Description
본 발명은 메뉴 선호 정보를 이용한 콘텐츠 추천 방법에 관한 것으로, 더욱 세부적으로는 메뉴 구조를 가지는 콘텐츠 제공환경에서 사용자가 원하는 콘텐츠를 추천하기 위하여 사용자의 메뉴 선호정보를 이용빈도 정보와 최근성을 반영하여 학습한 메뉴 선호정보를 이용하여 해당 메뉴 내의 콘텐츠를 추천하는 메뉴 선호 정보를 이용한 콘텐츠 추천 방법에 관한 것이다.The present invention relates to a content recommendation method using menu preference information, and more particularly, in order to recommend content desired by a user in a content providing environment having a menu structure, by reflecting user's menu preference information and recentity. The present invention relates to a content recommendation method using menu preference information for recommending content in a corresponding menu using learned menu preference information.
대량의 콘텐츠가 제공되는 환경에서 추천은 사용자의 콘텐츠 이용 편이성과 콘텐츠 소비 촉진이라는 점에서 필수 기능으로 요구되고 있으며, 최근 급속도로 활성화되고 있는 IPTV 환경에서도 콘텐츠가 더욱 풍부해지면서 사용자의 선호에 맞는 콘텐츠를 선별하여 제공함으로써 선택에 도움을 줄 수 있는 추천의 필요성이 증대되고 있다.In an environment in which a large amount of content is provided, recommendation is required as an essential function in terms of user's ease of use of content and promotion of content consumption. There is an increasing need for recommendations that can help to make a choice by providing.
IPTV(Internet Protocol Television)는 다양한 멀티미디어 콘텐츠를 시간에 구애 없이 언제든지 시청할 수 있는 콘텐츠 제공 환경으로, 방송과 통신의 융합시대가 도래하면서 여러 분야의 콘텐츠들이 IPTV 환경에서 제공되고 있다.IPTV (Internet Protocol Television) is a content providing environment that enables users to watch various multimedia contents anytime, anytime. As the convergence of broadcasting and communication has arrived, contents of various fields are being provided in IPTV environments.
IPTV 환경은 과거의 멀티미디어 콘텐츠 제공 환경과 비교하여 더욱 다양한 콘텐츠를 제공함에 따라, 사용자는 풍부한 콘텐츠를 이용할 수 있게 되는 반면 콘텐츠를 선택하는데 많은 어려움이 발생하게 되었다.As the IPTV environment provides more diverse contents than the multimedia contents providing environment of the past, the user can use abundant contents while having difficulty in selecting the contents.
서비스 사업자들이 제공하는 콘텐츠 수는 제작되는 콘텐츠가 누적됨에 따라 지속적으로 증가하고 있는 추세이며, 이렇게 많은 수의 콘텐츠를 제공하는 것은 사용자가 다양한 선택의 기회를 가지게 되어 IPTV의 장점이 되고 있는 반면, 콘텐츠 수의 증가에 따라 사용자들은 자신이 원하는 콘텐츠를 찾기 위해 별도의 노력을 기울여야하는 불편함이 발생하게 되었다.The number of contents provided by service providers continues to increase as the contents produced are accumulated. Providing such a large number of contents is an advantage of IPTV because users have various choices. As the number increases, users have to make an extra effort to find the content they want.
콘텐츠 수의 증가로 인해 발생한 선택의 문제는 최근 개인화 및 맞춤형 콘텐츠 제공의 요구에 따라 IPTV가 성공하기 위해 반드시 해결해야할 문제점으로 대두되고 있으므로, 방대한 수의 콘텐츠를 제공하는 환경에서 사용자가 선호할 만한 콘텐츠를 선별해 줄 수 있는 추천시스템의 개발이 요구되고 있다.The problem of choice caused by the increase in the number of contents has recently emerged as a problem that must be solved in order for IPTV to be successful due to the demand for personalization and customized content provision. Therefore, users may prefer content in an environment that provides a large number of contents. The development of a recommendation system that can sort out the need for development is required.
현재 IPTV사업자들이 운영 중인 추천시스템은 사용자들이 많이 이용한 콘텐츠를 추천하는 단순 인기도 기반 추천을 제공하거나, 현재 이슈가 되고 있는 콘텐츠들을 운영자들이 특집으로 편성하여 하나의 메뉴를 구성하는 프로모션 추천을 제공하고 있다.The recommendation system currently operated by IPTV operators provides simple popularity-based recommendation that recommends users' most used contents, or offers promotion recommendation that organizes a menu by organizing contents that are currently an issue. .
그러나, 운영 사업자들이 제공하는 이러한 추천 방법은 수많은 콘텐츠 중에 볼만한 콘텐츠를 사용자가 직접 일일이 찾아야 되는 것에 비해서는 비교적 효과적이지만, 높아지는 사용자의 개인화 및 맞춤형 콘텐츠 제공 요구에는 크게 미치지 못하는 결과를 보여줌으로 인해 서비스 만족도 저하로 이어지고 있다.However, this recommendation method provided by the operators is relatively effective compared to the user's need to find the content that is worth seeing among the numerous contents, but it does not meet the increasing demand for personalization and customized content of the service. It is leading to a decline.
상술한 바와 같은 문제점을 해결하기 위하여, 본 발명에서는 사용자의 콘텐츠 접근 정보인 메뉴 정보와 사용 이력 정보를 이용하여 개인의 선호를 추출하고 메뉴 선호에 기반한 콘텐츠 추천을 제공하며, 메뉴 선호정보 학습을 통한 추천으로 인해 선호정보에 해당하는 콘텐츠만 추천이 가능하게 되는 과잉 특성화 문제를 개선하기 위해 연관메뉴를 반영한 메뉴 선호 정보를 이용한 콘텐츠 추천 방법을 제공하는데 목적이 있다.In order to solve the above problems, the present invention extracts individual preferences using menu information and usage history information, which are user's content access information, provides content recommendation based on menu preferences, and learns menu preference information. The purpose of the present invention is to provide a content recommendation method using menu preference information reflecting an associated menu in order to improve the over-specialization problem in which only content corresponding to the preference information can be recommended due to the recommendation.
목적을 달성하기 위한 방법으로는 사용자가 이용한 콘텐츠 시청 히스토리 정보와, 콘텐츠를 이용하기 위해 탐색한 메뉴 정보를 이용하여 학습엔진에서 메뉴 선호정보, 인기 콘텐츠, 연관 메뉴를 추출하여 데이터베이스에 저장하는 제100단계와, 사용자의 추천 요청에 따라 상기 학습엔진에 저장된 데이터와 콘텐츠 메타데이터를 이용하여 추천엔진에서 추천 리스트를 제공하는 제200단계를 포함한다.In order to achieve the object, the method may be configured to extract menu preference information, popular content, and related menus from a learning engine and store them in a database by using content viewing history information used by a user and menu information searched for using the content. And a step 200 of providing a recommendation list in the recommendation engine using data and content metadata stored in the learning engine according to a recommendation request of the user.
상기한 바와 같이, 본 발명은 사용자의 콘텐츠 접근 정보인 메뉴 정보와 사용 이력 정보를 이용하여 개인의 선호를 추출하고 메뉴 선호에 기반한 콘텐츠 추천을 제공할 수 있으며, 연관메뉴를 반영한 메뉴선호 정보를 이용하여 메뉴 선호정보 학습을 통한 추천으로 인해 선호정보에 해당하는 콘텐츠만 추천이 가능하게 되는 과잉 특성화 문제를 개선하는 효과가 있다.As described above, the present invention can extract personal preferences using menu information and usage history information, which are user's content access information, and provide content recommendation based on menu preferences, and use menu preference information reflecting an associated menu. Therefore, there is an effect of improving the over-specialization problem that can only recommend content corresponding to the preference information due to the recommendation through the menu preference information learning.
도 1은 본 발명에 따른 콘텐츠 종류나 특성별로 계층적인 메뉴를 구성한 콘텐츠 편성의 실시 예.
도 2는 본 발명에 따른 메뉴 선호 정보를 이용한 콘텐츠 추천 구조를 나타낸 개략도.
도 3은 본 발명에 따른 메뉴 선호 정보를 이용한 콘텐츠 추천 방법의 흐름도.
도 4는 본 발명에 따른 시청 히스토리와 메뉴 정보를 이용한 학습엔진에서의 데이터베이스 저장과정을 나타낸 흐름도.
도 5는 본 발명에 따른 유사 콘텐츠 추출단계의 감소율 적용 예.
도 6은 본 발명에 따른 연관메뉴 추출단계의 시청 블럭에서 트랜잭션 추출 예.
도 7은 본 발명에 따른 저장된 데이터와 콘텐츠 메타데이터를 이용한 추천 리스트 제공과정을 나타낸 흐름도.1 is an embodiment of a content organization in which a hierarchical menu is configured according to content types or characteristics according to the present invention.
2 is a schematic diagram showing a content recommendation structure using menu preference information according to the present invention;
3 is a flowchart of a content recommendation method using menu preference information according to the present invention;
4 is a flowchart illustrating a database storing process in a learning engine using viewing history and menu information according to the present invention.
Figure 5 is an example application of the reduction rate of the content extraction step according to the present invention.
6 is an example of transaction extraction in the viewing block of the association menu extraction step according to the present invention.
7 is a flowchart illustrating a recommendation list providing process using stored data and content metadata according to the present invention.
도 1은 본 발명에 따른 콘텐츠 종류나 특성별로 계층적인 메뉴를 구성한 콘텐츠 편성의 실시 예이고, 도 2는 본 발명에 따른 메뉴 선호 정보를 이용한 콘텐츠 추천 구조를 나타낸 개략도이고, 도 3은 본 발명에 따른 메뉴 선호 정보를 이용한 콘텐츠 추천 방법의 흐름도이고, 도 4는 본 발명에 따른 시청 히스토리와 메뉴 정보를 이용한 학습엔진에서의 데이터베이스 저장과정을 나타낸 흐름도이고, 도 5는 본 발명에 따른 유사 콘텐츠 추출단계의 감소율 적용 예이고, 도 6은 본 발명에 따른 연관메뉴 추출단계의 시청 블럭에서 트랜잭션 추출 예이고, 도 7은 본 발명에 따른 저장된 데이터와 콘텐츠 메타데이터를 이용한 추천 리스트 제공과정을 나타낸 흐름도이다.1 is an embodiment of a content organization in which a hierarchical menu is configured according to content types or characteristics according to the present invention, FIG. 2 is a schematic diagram showing a content recommendation structure using menu preference information according to the present invention, and FIG. 4 is a flowchart illustrating a content recommendation method using menu preference information according to the present invention, FIG. 4 is a flowchart illustrating a database storing process in a learning engine using viewing history and menu information according to the present invention, and FIG. 5 is a similar content extraction step according to the present invention. 6 is an example of transaction extraction in the viewing block of the association menu extraction step according to the present invention, and FIG. 7 is a flowchart illustrating a recommendation list providing process using stored data and content metadata according to the present invention.
이하, 도면을 참고로 구성요소를 설명하면 다음과 같다.Hereinafter, the components will be described with reference to the drawings.
본 발명은 사용자의 콘텐츠 이용 후 콘텐츠 시청 히스토리 정보와 사용자가 콘텐츠를 이용하기 위해 탐색한 메뉴정보를 이용하여 사용자의 선호를 예측하는 것으로, IPTV 환경은 도 1과 같이 수만 편 이상의 VOD 콘텐츠를 제공하고 있으며, 사용자가 원하는 콘텐츠를 찾을 수 있도록 하기 위해 콘텐츠의 종류나 특성별로 계층적인 메뉴를 구성하여 콘텐츠를 편성하고 있다.The present invention predicts the user's preference by using the content viewing history information after using the user's content and menu information searched for by the user. The IPTV environment provides tens of thousands of VOD contents as shown in FIG. In order to enable the user to find the desired content, the hierarchical menu is organized by the type or characteristic of the content to organize the content.
사용자의 선호정보 학습에 이용하는 메뉴는 사용자가 콘텐츠를 찾기 위해 이용하는 계층구조를 가지는 항목이라고 할 수 있으며, 본 발명에서는 이러한 메뉴를 콘텐츠 직접 포함 여부에 따라 구분하여, 콘텐츠를 직접 포함하지 않는 메뉴를 ‘카테고리 메뉴’로, 콘텐츠를 직접 포함하는 메뉴를 ‘콘텐츠 편성 메뉴’로 정의한다.The menu used for learning the user's preference information may be referred to as an item having a hierarchical structure used by the user to find the content. In the present invention, the menu may be classified according to whether the content is directly included or not. Category menu ”, and a menu containing content directly is defined as a“ content organization menu ”.
메뉴 선호정보를 학습하는데 사용하는 메뉴 정보는 콘텐츠 편성 메뉴로서, 포함되는 콘텐츠의 특성에 따라 주로 방송, 유아 콘텐츠와 같은 연속물 콘텐츠를 포함하는 메뉴를 ‘시리즈 콘텐츠 편성 메뉴’로 정의하고, 영화, 음악 등의 콘텐츠인 단편 콘텐츠를 가지는 메뉴는 ‘단편 콘텐츠 편성 메뉴’로 정의하여 세분된다.Menu information used to learn menu preference information is a content organization menu, and a menu containing a series content such as broadcast and infant content is defined as a 'series content organization menu' according to the characteristics of the included content, and a movie and music Menus having fragment content, such as the content, are subdivided by being defined as a 'short content organization menu'.
상기와 같이 세분화된 단편 콘텐츠 메뉴들을 그대로 단순 콘텐츠 이용 빈도 정보만으로 학습하게 되면 포함하는 콘텐츠의 수가 매우 적은 메뉴의 경우 그 이용성의 차이로 인해 선호메뉴로 선택될 가능성이 낮아지기 때문에, 과도하게 세분하된 단편 콘텐츠 메뉴를 상위 단계로 통합하는 전처리를 수행한다.If the above-described subdivided content menus are simply learned using only simple content usage frequency information, a menu containing a very small number of contents is less likely to be selected as a preferred menu due to the difference in availability. Perform the preprocessing to integrate the fragment content menu to the higher level.
메뉴 선호정보를 이용한 콘텐츠 추천방법은 시청 히스토리로부터 사용자의 선호메뉴를 찾고 그 선호메뉴의 특성에 따라 다양한 콘텐츠 추천방법을 적용하고, 선호메뉴 내에서 콘텐츠 추천이 이루어질 수 없는 경우에는 선호메뉴의 연관메뉴를 이용한 콘텐츠 추천을 제공하게 된다.The content recommendation method using the menu preference information finds the user's preference menu from the viewing history, applies various content recommendation methods according to the characteristics of the preference menu, and if the content recommendation cannot be made within the preference menu, the related menu of the preference menu. Provide content recommendation using.
도 2는 본 발명의 메뉴 선호 정보를 이용한 콘텐츠 추천 구조를 나타낸 개략도로서, 학습엔진(10)과 추천엔진(20)으로 구성되고, 상기 학습엔진(10)은 시청 히스토리와 메뉴 정보를 이용하여 메뉴 선호정보 학습, 인기 콘텐츠 추출, 연관메뉴 추출이 각각 수행되어 데이터베이스에 저장되며, 상기 추천엔진(20)은 학습엔진(10)의 각 결과물과 컨텐츠 메타데이터를 이용하여 추천 요청에 따라 추천 리스트를 제공한다.2 is a schematic diagram showing a content recommendation structure using menu preference information of the present invention, comprising a
상기와 같이 구성되는 본 발명의 메뉴 선호 정보를 이용한 콘텐츠 추천 방법을 도 3을 참고하여 설명하면, 사용자가 이용한 콘텐츠 시청 히스토리 정보와, 콘텐츠를 이용하기 위해 탐색한 메뉴 정보를 이용하여 학습엔진(10)에서 메뉴 선호정보, 인기 콘텐츠, 연관 메뉴를 추출하여 데이터베이스에 저장하는 제100단계(S100)와, 사용자의 추천 요청에 따라 상기 학습엔진(10)에 저장된 데이터와 콘텐츠 메타데이터를 이용하여 추천엔진(20)에서 추천 리스트를 제공하는 제200단계(S200)를 포함한다.The content recommendation method using the menu preference information of the present invention configured as described above will be described with reference to FIG. 3. The
상기 제100단계(S100)는 도 4와 같이 메뉴 내의 콘텐츠 이용 빈도정보를 기반으로 메뉴에 대한 선호정보를 학습하여 메뉴 선호정보 데이터베이스에 저장하는 제110단계(S110)와, 전체 인기 콘텐츠와 메뉴 내의 인기 콘텐츠를 이용하여 빈도가 높은 순으로 순위화하여 인기 콘텐츠 데이터베이스에 저장하는 제120단계(S120)와, 시청 히스토리 데이터로부터 콘텐츠간 유사도를 계산하여 콘텐츠 유사도 데이터베이스에 저장하는 제130단계(S130)와, 시청 히스토리 데이터로부터 콘텐츠 이용 연관성을 규칙으로 추출하여 콘텐츠 연관규칙 데이터베이스에 저장하는 제140단계(S140)와, 사용자가 시청을 시작한 시점부터 연속적으로 콘텐츠를 이용한 후 시청을 종료한 시점까지를 하나의 시청 단위로 보고 이를 시청 블럭으로 정의하여 시청 블럭 내 메뉴의 이용 연관성을 추출하여 연관 메뉴 데이터베이스에 저장하는 제150단계(S150)를 포함한다.The step 100 (S100) is a step 110 (S110) for learning the preference information for the menu based on the content usage frequency information in the menu as shown in Figure 4 (S110), the overall popular content and the menu Step 120 (S120) for ranking in the order of the highest frequency using the popular content and storing in the popular content database, and step 130 (S130) for calculating the similarity between the content from the viewing history data and storing it in the content similarity database; In step 140, the content extraction relation is extracted from the viewing history data as a rule and stored in the content association rule database, and from the time when the user starts watching to the time when the user finishes using the content continuously. Viewing it as a viewing unit and defining it as a viewing block to relate usage of the menu in the viewing block. Extracting and storing the association menu database 150 (S150).
상기 제110단계(S110) 내지 제150단계(S150)의 데이터베이스 저장에 있어, “메뉴 선호정보 저장, 인기 콘텐츠 저장, 유사 콘텐츠 저장, 연관 콘텐츠 저장, 연관 메뉴 저장”의 순서는 도 4의 일 실시예로 한정되지 않고, 데이터베이스 저장순서는 바뀔 수 있으며, 동시에 작업이 이루어지는 병렬적 흐름으로도 이루어질 수 있다.In the database storage of the step 110 (S110) to step 150 (S150), the order of "save menu preference information, popular content storage, similar content storage, related content storage, related menu storage" is carried out in the embodiment of FIG. It is not limited to the example, the database storage order can be changed, it can also be done in parallel flow of the work at the same time.
상기 제110단계(S110)의 메뉴 선호 정보 학습단계에서는 메뉴 내의 콘텐츠 이용 빈도정보를 기반으로 메뉴에 대한 선호정보를 학습하는 것으로, 사용자들은 콘텐츠를 이용하기 위해 원하는 메뉴를 찾고 그 메뉴 내의 원하는 콘텐츠를 찾아서 이용하는 탐색과정을 거친다. 이러한 콘텐츠 탐색과정은 사용자가 이용한 콘텐츠의 선호정보일 뿐만 아니라, 콘텐츠가 소속되어 편성 정보의 특성을 가지는 메뉴의 선호정보이기도 하다.In the menu preference information learning step of step 110 (S110), the preference information for the menu is learned based on the content usage frequency information in the menu, and users find a desired menu to use the content and select the desired content in the menu. Find and use the search process. The content search process is not only the preference information of the content used by the user, but also the preference information of the menu having the characteristics of the organization information to which the content belongs.
사용자(u)가 이용한 콘텐츠가 속해 있는 메뉴(m)에 대한 기본 선호도는 콘텐츠 이용 빈도를 기반으로 하기의 수학식 1과 같이 정의되며, 그 결과의 예는 하기의 표 1과 같다.The basic preference for the menu (m) to which the content used by the user (u) belongs is defined as in
여기서, 은 사용자(u)의 메뉴(m)에 대한 선호도, 는 사용자(u)가 메뉴(m)의 콘텐츠를 d시간 이상 이용한 빈도, 는 사용자(u)의 선호로 볼 수 있는 최소 시청시간 임계값을 의미한다.here, Is the user's (u) preference for menu (m), Is the frequency with which user u has used the content of menu m for at least d hours, Denotes a minimum viewing time threshold that can be seen as the preference of the user u.
상기 수학식 1에 의하여 구해진 메뉴 기본 선호도는 시간에 상관없이 누적된 이용 빈도만으로 구해지므로 과거의 선호가 최근의 선호와 동일하게 취급되어 사용자의 현재 메뉴 선호정보를 정확하게 표현하지 못하므로, 본 발명에서는 더욱 정확한 메뉴 선호정보 학습을 위하여 시간에 따른 선호 감소율을 적용하는데, 선호 감소율 적용은 시리즈 콘텐츠의 과거 ‘몰아보기’의 특징과 같은 오래된 선호정보의 영향을 시간에 따라 감쇄시키고 최근의 선호를 더 중요하게 다루기 위함이다.Since the menu basic preference obtained by
선호 감소율 적용은 시청 히스토리를 일정 기간으로 나누어 기본 선호도를 추출하고, 기간별 기본 선호도에 선호 감소율을 가중치로 곱하는 과정을 거쳐 반영된다. 최근성이 반영된 전체 기간의 선호도는 각각의 해당 기간 기본 선호도에 선호감소율을 가중치 곱으로 적용한 모든 기간의 선호도의 합으로 하기의 수학식 2와 같이 계산된다.The application of the preference reduction rate is reflected through a process of dividing the viewing history into a certain period of time to extract the basic preferences, and multiplying the preference reduction rate by the weight by a period. The preference of the entire period reflecting the recentity is calculated as shown in
여기서, 는 지난 시간(기간), 는 선호감소율(0<W≤1), 는 t기간의 선호도, 는 전체 기간의 선호도를 의미한다.here, Is the last time (period), Is the decrease rate of preference (0 <W≤1), Is the preference for period t, Means the preference of the whole period.
도 5는 감소율 적용의 예로서, 감소율을 적용하여 최근성이 반영된 메뉴의 선호가 최근성이 반영되지 않는 빈도기반 선호와 비교되어 최근에 선호하여 많이 이용한 메뉴의 선호가 상위 순위의 선호로 반영되고, 과거의 오래된 ‘몰아보기’한 메뉴의 선호는 낮춰주는 효과를 나타냄을 알 수 있으며, 감소율 적용은 선호감소율 수치를 작은 값을 적용할수록 최근의 선호가 더 중요하게 반영되고, 상대적으로 과거의 선호는 덜 중요하게 반영되는 효과를 가진다.5 is an example of applying the reduction rate, the preference of the menu reflecting the recentity by applying the reduction rate is compared with the frequency-based preference that does not reflect the recentness, and the preference of the recently used menu is reflected as the preference of the higher rank. In addition, the preference of the old 'driven' menu in the past can be seen to have a lowering effect.In the case of applying the reduction rate, the smaller the value of the preference decrease rate, the more important the recent preference is. Has a less important effect.
상기 제120단계(S120)의 인기 콘텐츠 추출단계는 전체 인기 콘텐츠와 메뉴 내의 인기 콘텐츠를 이용 빈도가 높은 순으로 순위화하여 데이터베이스에 저장하는 것으로, 추출된 메뉴별 인기 콘텐츠는 단편 콘텐츠 추천의 가장 기본적인 인기 콘텐츠 추천에 활용되며, 전체 인기 콘텐츠는 선호메뉴 및 연관메뉴에서 추천이 불가능한 예외적인 상황에서의 인기 콘텐츠 추천이 활용된다.The extracting of the popular content of step 120 (S120) is to rank all the popular content and the popular content in the menu in order of high frequency of use and store them in a database. The extracted popular content for each menu is the most basic of recommendation of short content. It is used for recommending popular content, and popular content recommendation in exceptional circumstances is impossible in the preference menu and related menu.
하기의 표 2는 전체 인기 콘텐츠 추출의 예이고, 표 3은 메뉴별 인기 콘텐츠 추출의 예를 나타내고 있다.Table 2 below is an example of the extraction of the entire popular content, Table 3 shows an example of the extraction of popular content for each menu.
상기 제130단계(S130)의 유사 콘텐츠 추출단계는 시청 히스토리 데이터로부터 콘텐츠간 유사도를 계산하여 데이터베이스에 저장하는 것으로, 콘텐츠 유사도 계산에 이용되는 콘텐츠 벡터는 사용자의 수를 크기로 가지며, 사용자가 이용한 콘텐츠는 1, 이용하지 않은 콘텐츠는 0의 이진 값을 가지는 벡터로 정의되고, 벡터간 유사도 계산에는 하기의 수학식 3과 같이 일반적으로 많이 사용되는 코사인 유사도를 활용한다.In the extracting of the similar content in step 130 (S130), the similarity between the contents is calculated from the viewing history data and stored in the database. The content vector used for calculating the content similarity has the number of users and the content used by the user. Is 1, unused content is defined as a vector having a binary value of 0, and cosine similarity that is commonly used as in
상기 수학식 3은 두 벡터의 내적을 크기의 곱으로 나누는 수식으로서 각 벡터의 요소들의 곱과 제곱 연산으로 계산되며, 이러한 수식은 본 발명에서 활용한 이진 벡터간의 연산에서는 하기의 수학식 4와 같이 단순화되어 활용될 수 있고, 이는 0 또는 1의 값을 가지는 벡터 요소가 곱이나 제곱연산을 취하더라도 0 또는 1의 값을 가지기 때문에 단순 빈도를 계산하는 연산으로 단순화될 수 있기 때문이다.
여기서, 는 콘텐츠 i와 j의 유사도(코사인), 는 콘텐츠 i와 j를 모두 이용한 사용자 수, 는 콘텐츠 i를 이용한 사용자 수를 의미한다.here, Is the similarity (cosine) of content i and j, Is the number of users using both content i and j, Denotes the number of users using the content i.
유사 콘텐츠 추출 단계의 결과로 두 콘텐츠간 유사도 값이 데이터베이스에 저장되며, 저장되는 결과의 형태는 하기의 표 4와 같다.As a result of the similar content extraction step, the similarity value between the two contents is stored in a database, and the form of the result is shown in Table 4 below.
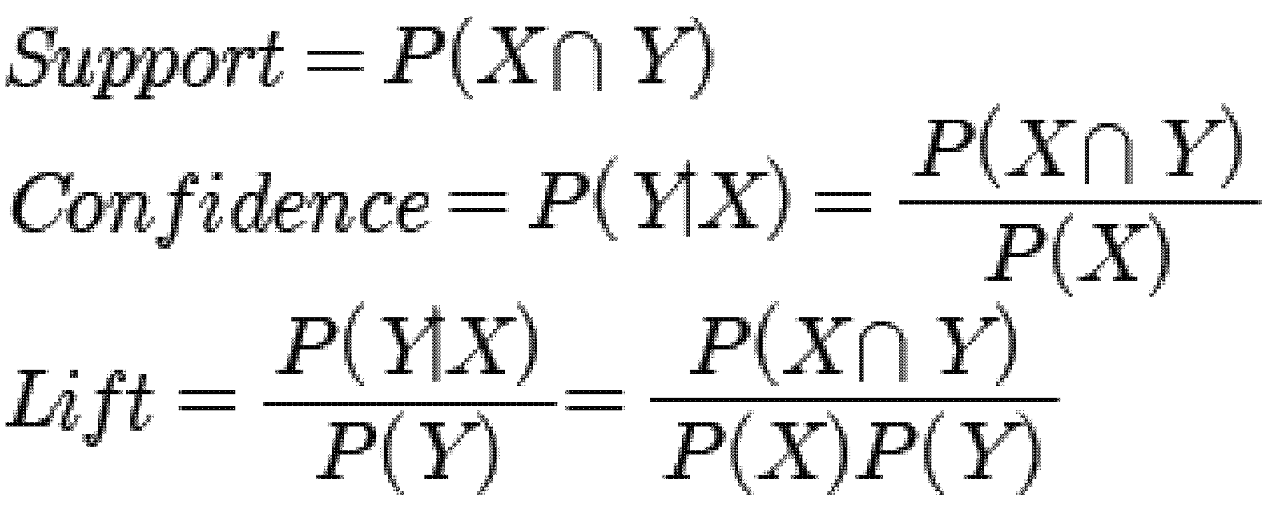
상기 제140단계(S140)의 연관 콘텐츠 추출단계는 시청 히스토리 데이터로부터 콘텐츠 이용 연관성을 규칙으로 추출하여 데이터베이스에 저장하는 것으로, 콘텐츠 이용 연관성을 추출하는 단계에서 한 트랜잭션은 학습기간 동안 사용자가 이용한 콘텐츠의 이용 목록으로 구성되며, 연관 콘텐츠 계산과 필터링 과정은 추출된 트랜잭션으로부터 계산된 support, confidence, lift 값을 기준으로 임계값을 적용하고 필터링한 후 confidence 값을 기준으로 규칙을 순위화하여 저장한다.In the extracting of the related content in the step S140, the extracting of content usage relevance from the viewing history data as a rule is stored in a database. In the step of extracting content usage relevance, one transaction is performed by the user during the learning period. It is composed of a usage list, and the related content calculation and filtering process is based on the support, confidence, and lift values calculated from the extracted transactions, filters the thresholds, and ranks and stores the rules based on the confidence values.
상기 수학식 5에서 support는 두 콘텐츠를 모두 이용할 확률로서 전체 사용자 중에서 연관성을 구하고자 하는 두 콘텐츠를 모두 이용한 사용자의 비율이라고 할 수 있으며, 두 콘텐츠를 모두 이용한 사용자의 수가 많을수록 두 콘텐츠간의 support 값이 커지게 되며, 최소 0에서 최대 1의 값을 가진다.In
confidence는 한 콘텐츠 X를 이용한 사용자 중에서 또 다른 콘텐츠 Y를 이용한 사용자의 비율로 정의되며, 콘텐츠 X를 이용한 사용자 중에서 콘텐츠 Y를 이용한 사용자가 많을수록 값이 커지며, 최소 0에서 최대 1의 값을 가진다.Confidence is defined as the ratio of users using one content X to another using content Y. The larger the number of users using content Y, the greater the value, and the minimum value is 0 to 1.
lift는 전체 사용자 중에서 콘텐츠 Y를 이용한 사용자의 비율과 콘텐츠 X를 이용한 사용자 중에 콘텐츠 Y를 사용한 사용자의 비율의 비로 정의되며, 전체 사용자 중에서는 많이 이용되지 않은 콘텐츠 Y가 콘텐츠 X를 많이 이용한 사용자 중에서는 많이 이용할 경우 값이 커지게 되고, 최소 0의 값을 가지며 두 비율이 같을 경우 1의 값을 가진다. lift는 값이 커질수록 연관성이 크다고 할 수 있으나 전체에서 이용한 횟수 또는 비율이 작을 경우, 비율 값이기 때문에 값이 급격히 커지므로 이러한 경우의 필터링이 필요하다.lift is defined as the ratio of the percentage of users who use content Y to the total number of users and the percentage of users who use content Y among the users who use content X. If used a lot, the value becomes large, and it has a minimum value of 0 and a value of 1 when the two ratios are the same. The larger the value of the lift, the greater the relevance. However, if the total number of times or the ratio used is small, the value is rapidly increased because it is a ratio value.
두 콘텐츠의 연관값 계산에는 콘텐츠의 수가 늘어날수록 연산수가 n2으로 증가하므로 확장성 문제가 발생하기 때문에 연관규칙 추출시 임계값을 적용하여 계산을 처리 가능한 수준으로 낮추는 방법이 필요하며, 본 발명에서는 콘텐츠의 support값을 기준으로 이용 빈도가 극히 낮은 콘텐츠는 잘못된 연관 규칙이 추출되기 쉬우므로 연산을 하지 않도록 하여 계산 복잡도를 낮추고 일차적인 필터링을 진행하고, 연관값은 confidence를 기준으로 정렬하여 데이터베이스에 저장하며, 저장되는 결과는 support와 confidence, lift값의 임계값 이상의 규칙만 저장되며 그 형태는 하기의 표 5와 같다.In calculating the association value of two contents, since the number of operations increases to n 2 as the number of contents increases, a scalability problem occurs. Therefore, a method of lowering the calculation to a processable level by applying a threshold value when extracting an association rule is required. Contents that are extremely rarely used based on the support value of the content are easy to extract the wrong association rule, so the calculation is not performed to reduce the computational complexity and the primary filtering, and the association values are sorted based on confidence and stored in the database. And, the results are stored only the rules above the threshold of the support, confidence, lift value and the form is shown in Table 5 below.
상기 제150단계(S150)의 연관메뉴 추출단계에서는 사용자가 시청을 시작한 시점부터 연속적으로 콘텐츠를 이용한 후 시청을 종료한 시점까지를 하나의 시청 단위로 보고 이를 시청 블럭으로 정의하여 시청 블럭 내의 메뉴의 이용 연관성을 추출한다.In the step of extracting the associated menu of step 150 (S150), a view is made from the time point at which the user starts watching to the time point at which the end of watching after using the content is defined as a viewing block and defined as a viewing block. Extract usage associations.
상기 제150단계(S150)는 사용자별 시청 시작 시간 순으로 정렬되어 있는 시청 히스토리 데이터로부터 이전 시청의 끝과 이후 시청의 시작 시간 차이를 시청 공백 시간으로 정의하고 시청 공백시간을 기준으로 시청 블럭을 추출하는 제151단계(S151)와, 시청 블럭 내에서 같이 이용한 메뉴를 트랜잭션으로 추출하는 제152단계(S152)와, 추출된 메뉴 이용 트랜잭션을 이용하여 메뉴간 연관값(support, confidence, lift)을 계산하는 제153단계(S153)와, 연관값들의 임계값 조절을 통해 연관 메뉴를 필터링하고 그 결과를 연관 메뉴 추출 데이터베이스에 저장하는 제154단계(S154)를 포함한다.The step 150 (S150) defines the difference between the end of the previous viewing and the start of the subsequent viewing as the viewing blank time from the viewing history data arranged in order of the viewing start time for each user, and extracts the viewing block based on the viewing blank time. Step 151 (S151), a step 152 (S152) of extracting the menu used in the viewing block as a transaction, and using the extracted menu using transaction to calculate the correlation value (support, confidence, lift) between the menu Step 153 (S153), and the step 154 (S154) of filtering the association menu through the threshold value adjustment of the association value and stores the result in the association menu extraction database.
도 6은 상기 제152단계(S152)에서의 시청 블럭에서 메뉴이용 트랜잭션을 추출한 예로서, 색을 달리한 행들은 시청 블럭이 추출된 것으로 한 트랜잭션을 의미하고, 같은 색을 띄는 행들에서 메뉴 이용 트랜잭션을 추출하여 활용한다.FIG. 6 is an example of extracting a menu usage transaction from the viewing block in step 152 (S152). Rows with different colors indicate a transaction in which the viewing block is extracted, and the menu using transaction in the rows having the same color. Extract and utilize
하기의 표 6은 연관 메뉴 추출 결과를 보여주고 있다.Table 6 below shows the results of the association menu extraction.
상기 제200단계(S200)는 도 7과 같이 추천 요청 발생시 학습된 메뉴 선호정보를 이용하여 선호메뉴를 선정하는 제210단계(S210)와, 상기 선호메뉴 내에서 선호할 만한 콘텐츠를 찾아서 추천 방법을 적용하는 제220단계(S220)와, 콘텐츠 추천리스트를 생성하여 제공하는 제230단계(S230)와, 생성된 추천리스트가 추천 요청 갯수에 미치지 못할 경우 선호메뉴의 연관메뉴가 추출되어, 연관메뉴의 특성에 따른 콘텐츠 추천이 이루어지는 제240단계(S240)를 포함한다.Step 200 (S200) is a step 210 of selecting a preference menu using the menu preference information learned when the recommendation request occurs as shown in Fig. 7 (S210), and finds content that is preferred within the preference menu recommendation method In step 220 of applying (S220), and step 230 of generating and providing a content recommendation list (S230), and if the generated recommendation list does not meet the number of recommendation requests, the relevant menu of the preferred menu is extracted, In step S240, a content recommendation based on characteristics is performed.
선호메뉴의 선정은 학습된 메뉴 선호정보를 이용하여 이루어지는데, 선정된 선호메뉴는 시리즈 콘텐츠 편성 메뉴와 단편 콘텐츠 편성 메뉴로 구별되고 그에 따른 추천방법을 적용한다.The selection of the preference menu is made by using the learned menu preference information. The selected preference menu is divided into a series content organization menu and a short content organization menu and a recommendation method is applied accordingly.
본 발명에서는 선호메뉴별로 하나의 콘텐츠를 추천하게 되는데, 그 이유는 추천을 제공받는 사용자의 관점에서 한 번에 추천되는 콘텐츠 수가 너무 많을 경우 또 다시 선택을 해야 하며, 추천 개수를 적절히 제한하여 제공하는 경우 한 시리즈에서 두 편 이상을 추천하는 것은 다양한 콘텐츠 선택의 폭을 좁히게 되기 때문이다.In the present invention, one content is recommended for each preference menu, and the reason is that when the number of recommended contents is too large at a time from the viewpoint of the user receiving the recommendation, the user must select again, and provide a limited number of recommendations as appropriate. In this case, recommending more than one copy in a series narrows down the choice of content.
본 발명에서 제안하는 선호메뉴 콘텐츠 추천방법에서는 학습된 메뉴선호 정보를 기반으로 선호메뉴를 선정하며, 사용자가 선호하는 메뉴를 선정하고 난 후에는 선호메뉴 내의 선호 콘텐츠를 선택하고, 선호메뉴를 이용한 추천을 적용함에 따라 일차적인 필터링 결과로 사용자의 선호메뉴 내의 콘텐츠가 후보가 되며, 그 후부 콘텐츠들 중에서 선호할만한 콘텐츠를 추천하는 방법이 선호메뉴에서의 콘텐츠 추천방법이다.In the method for recommending content of the preferred menu proposed by the present invention, the preferred menu is selected based on the learned menu preference information. After the user selects the preferred menu, the user selects the preferred content in the preferred menu, and recommends using the preferred menu. As a result of the first filtering, the content in the user's preference menu is a candidate, and a method of recommending content among the latter contents is a recommendation method in the preference menu.
선호메뉴가 선정되면 선호메뉴에 속한 콘텐츠의 특성에 따라 추천방법이 결정되는데, 선호메뉴가 시리즈 콘텐츠로 이루어진 메뉴인 경우에는 시리즈 규칙기반 추천을 적용하며, 단편 콘텐츠로 이루어진 메뉴인 경우에는 메뉴 내 인기 콘텐츠 추천, 아이템기반 협업필터링, 아이템 연관규칙을 적용한 추천방법을 적용한다.When the preference menu is selected, the recommendation method is determined according to the characteristics of the content belonging to the preference menu. If the preference menu is a series consisting of series contents, a series rule-based recommendation is applied. Apply recommendation method applying content recommendation, item-based collaborative filtering, and item association rules.
시리즈 규칙기반 추천은 선호메뉴의 이전 시청기록을 고려하여 이전 시청의 다음 편을 추천하거나 이전 시청의 콘텐츠 길이 대비 시청 비율을 고려하여 재추천하는 규칙을 적용한다.The series rule-based recommendation applies a rule that recommends the next side of the previous viewing in consideration of the previous viewing history of the preference menu or re-recommends considering the viewing ratio to the content length of the previous viewing.
상기 단편 콘텐츠의 메뉴 내 인기 콘텐츠 추천방법은 선호 메뉴가 단편 콘텐츠 메뉴로 선정되어 그 메뉴 내에서 콘텐츠 추천이 필요한 경우 해당 메뉴에서 가장 많이 이용된 인기 콘텐츠를 추천해주는 방법이고, 상기 아이템기반 협업필터링 추천은 학습단계에서 Batch 연산을 통해 미리 계산된 아이템간의 유사도를 이용하여 On-line 사용자가 이용한 아이템들의 유사 아이템들의 유사도를 종합하여 예측 선호도를 계산하고, 예측 선호도를 순위화하여 상위 값을 갖는 아이템을 제공하는 방법으로 추천이 이루어진다.The popular content recommendation method in the short content menu is a method of recommending the most popular content used in the menu when a preferred menu is selected as a short content menu and content recommendation within the menu is recommended. In the learning phase, the similarity between similar items of items used by on-line users is calculated using the similarity between items previously calculated through batch operation, and the predicted preference is ranked. Recommendations are made in the manner provided.
하기의 수학식 6은 추천 후보가 되는 콘텐츠들의 예측 선호도를 계산하는 것으로, 사용자가 과거에 이용했던 콘텐츠들에 대해서 예측 선호도를 구하고자하는 콘텐츠와의 각각의 유사도 합을 계산함으로써 예측 선호도가 구해지며, 추천 대상이 되는 콘텐츠들의 예측 선호도를 구한 후 예측 선호도가 큰 순서로 추천하는 방법을 적용한다.Equation 6 below calculates the predicted preferences of the contents which are candidates for recommendation, and calculates the predicted preferences by calculating the sum of similarities with the contents for which the user wants to obtain the predicted preferences. In addition, the method of recommending the prediction preferences of the contents to be recommended and ordering the prediction preferences in the order of preference is applied.
여기서, 는 사용자 p의 콘텐츠 i에 대한 예측 선호도, 는 사용자 p가 이용한 콘텐츠 j의 선호도(이진 값 0 또는 1), 는 콘텐츠 j와 콘텐츠 i의 유사도를 의미한다.here, Is the predicted preference for content i of user p, Is the affinity (content of
상기 아이템 연관규칙 추천은 학습단계의 결과로 생성된 콘텐츠간 연관규칙을 활용하여 최근 이용한 콘텐츠의 상위 연관규칙에 존재하는 콘텐츠를 추천하는 방법이다.The item association rule recommendation is a method of recommending content existing in a higher association rule of content recently used by using an association rule between contents generated as a result of the learning step.
선호메뉴에서 추천이 제한되는 경우 연관메뉴를 사용하여 추천을 수행하는데, 선호메뉴에서 추천을 못하는 경우는 크게 두 가지 경우로, 첫째는 선호메뉴의 수가 추천 요청 수보다 부족한 경우(선호메뉴별 1개의 콘텐츠만 추천한다는 가정)이며, 둘째는 선호메뉴 내의 모든 콘텐츠를 소비한 경우이다.When the recommendation is limited in the preference menu, the recommendation is performed using the related menu. There are two cases in which the recommendation cannot be recommended in the preference menu. Assumes that only content is recommended), and secondly, consumes all content in the preferred menu.
선호메뉴에 대한 연관메뉴 선정은 연관메뉴의 선호도 예측값의 계산 및 순위화 과정을 거쳐 결정되며, 하기의 수학식 7과 같다.Selection of the association menu for the preference menu is determined through a process of calculating and ranking the preference prediction value of the association menu, as shown in Equation 7 below.
여기서, 는 사용자 u의 선호메뉴 집합, 는 메뉴 m의 연관메뉴 집합, 는 사용자 ui의 연관메뉴 amj의 선호도 예측값, 는 사용자 ui의 선호메뉴 pmk의 메뉴 선호도, 는 메뉴 pmk와 메뉴 amj의 연관값을 의미한다.here, Is the user's preference menu set, Is the set of menus associated with menu m, Is the predicted preference of the associated menu am j for user u i , Is the menu preference for user u i pm k , Denotes the association of menu pm k with menu am j .
연관메뉴에서의 콘텐츠 추천은 선호메뉴의 선호도와 그 선호메뉴의 연관메뉴의 연관값을 종합하고 순위화하여 선정되며, 선정된 연관메뉴를 통해 부족한 추천 결과를 보충하게 되는 방법을 적용한다.The content recommendation in the related menu is selected by combining and ranking the preferences of the preference menu and the related values of the related menu of the preferred menu, and apply a method to supplement the insufficient recommendation result through the selected related menu.
따라서, 본 발명은 사용자의 콘텐츠 접근 정보인 메뉴 정보와 사용 이력 정보를 이용하여 개인의 선호를 추출하고 메뉴 선호에 기반한 콘텐츠 추천을 제공하며, 연관메뉴를 반영한 메뉴 선호 정보를 이용하여 메뉴 선호정보 학습을 통한 추천으로 인해 선호정보에 해당하는 콘텐츠만 추천이 가능하게 되는 과잉 특성화 문제를 개선한다.Accordingly, the present invention extracts individual preferences using menu information and usage history information, which are user's content access information, provides content recommendation based on menu preferences, and learns menu preference information using menu preference information reflecting an associated menu. Due to the recommendation through, it improves the over-specialization problem that can only recommend content corresponding to the preference information.
본 발명은 특정의 실시 예와 관련하여 도시 및 설명하였지만, 첨부된 특허청구범위에 의해 나타난 발명의 사상 및 영역으로부터 벗어나지 않는 한도 내에서 다양한 개조 및 변화가 가능하다는 것을 당업계에서 통상의 지식을 가진 자라면 누구나 쉽게 알 수 있을 것이다.Although the present invention has been shown and described with respect to specific embodiments thereof, it will be understood by those skilled in the art that various changes and modifications may be made without departing from the spirit and scope of the invention as defined by the appended claims. Anyone who can afford it will know.
10 : 학습엔진 20 : 추천엔진10: learning engine 20: recommended engine
Claims (8)
학습 엔진(10)에서 상기 2 이상의 메뉴에 속하는 콘텐츠들에 대한 사용자의 이용 빈도정보(콘텐츠 이용 빈도정보)를 이용하여 상기 2 이상의 메뉴에 대한 상기 사용자의 선호도를 산출하는 제110단계(S110);
추천 요청 발생 시, 추천 엔진(20)에서 상기 사용자의 선호도를 이용하여 상기 2 이상의 메뉴에 중에서 하나 이상의 선호메뉴를 선정하는 제210단계(S210);
상기 추천 엔진(20)에서 상기 하나 이상의 선호메뉴에 속하는 콘텐츠들 중에서 상기 사용자에게 추천할 하나 이상의 콘텐츠를 선택하는 제220단계(S220); 및
상기 추천 엔진(20)에서 상기 선택된 하나 이상의 콘텐츠를 이용하여 콘텐츠 추천 리스트를 생성하여 제공하는 제230단계(S230)
를 포함하는 것을 특징으로 하는 콘텐츠 추천 방법.In the method for recommending one or more of the contents grouped into two or more menus,
A step (110) of calculating, by the learning engine (10), the user's preference for the two or more menus using the user's usage frequency information (content usage frequency information) for the contents belonging to the two or more menus (S110);
Step 210 of selecting one or more preferred menus from the two or more menus by using the user's preferences in the recommendation engine 20 when a recommendation request occurs;
Step 220 of selecting at least one content to be recommended to the user from among contents belonging to the at least one preference menu in the recommendation engine 20 (S220); And
In step 230, the recommendation engine 20 generates and provides a content recommendation list using the selected one or more contents.
Content recommendation method comprising a.
상기 선호도는 아래의 수학식에 의해 정의되는 이용 시간의 경과에 따른 선호 감소율이 적용된 선호도인 것을 특징으로 하는 콘텐츠 추천 방법.
여기서, u는 상기 사용자, m은 상기 메뉴, 는 지난 시간(기간),는 t기간에 대한 선호 감소율(0<≤1), 는 t기간의 선호도, 는 전체 기간에서의 상기 선호 감소율이 적용된 선호도, 은 상기 사용자(u)의 상기 메뉴(m)에 대한 기본 선호도를 각각 의미함.The method of claim 1,
The preference is a content recommendation method, characterized in that the preference is applied to the preference reduction rate with the passage of time defined by the following equation.
Where u is the user, m is the menu, Is the last time (period), Is the decrease rate of preference for period t (0 < ≤1), Is the preference for period t, Is the preference to which the rate of decrease of preference over the entire period is applied, Denotes a basic preference for the menu (m) of the user (u), respectively.
상기 콘텐츠 추천 방법은 상기 학습 엔진(10)에서 상기 2 이상의 메뉴에 속하는 콘텐츠들에 대해 전체 사용자의 콘텐츠 이용 빈도가 높은 순으로 순위화하는 제120단계(S120)를 더 포함하고,
상기 2 이상의 메뉴 각각은 연속물 콘텐츠를 가지는 메뉴인 시리즈 콘텐츠 편성 메뉴 및 단편 콘텐츠를 가지는 메뉴인 단편 콘텐츠 편성 메뉴 중 어느 하나에 각각 속하고,
상기 제220단계(S220)는
상기 제210단계(S210)에서 선정된 하나 이상의 선호메뉴 중 시리즈 콘텐츠 편성 메뉴에 속하는 콘텐츠에 대해서는 상기 사용자의 이전 시청기록을 고려하여 이전 시청의 다음 편을 상기 추천할 콘텐츠로 선택하거나 이전 시청의 편의 콘텐츠 길이 대비 시청 비율을 고려하여 상기 이전 시청의 편을 상기 추천할 콘텐츠로 재선택하고,
상기 제210단계(S210)에서 선정된 하나 이상의 선호메뉴 중 단편 콘텐츠 편성 메뉴에 속하는 콘텐츠에 대해서는 해당 메뉴에서 상기 콘텐츠 이용빈도가 가장 높은 콘텐츠를 상기 추천할 콘텐츠로 선택하는 것을 특징으로 하는 콘텐츠 추천 방법.The method of claim 1,
The content recommendation method further includes step 120 (S120) of ranking in the order of the highest frequency of use of the contents of all users with respect to the contents belonging to the two or more menus in the learning engine 10.
Each of the two or more menus belongs to any one of a series content organization menu which is a menu having a series content and a short content organization menu which is a menu having a fragment content, respectively.
The 220 step (S220) is
For contents belonging to a series content organization menu among one or more preference menus selected in step 210, the next section of the previous viewing is selected as the recommended content in consideration of the previous viewing history of the user or the convenience of previous viewing. Re-select the previous view as the content to be recommended in consideration of the ratio of the content to the length of the content,
For content belonging to the short content programming menu among the one or more preferred menus selected in step 210, the content recommendation method is to select the content with the highest frequency of use of the content as the content to be recommended in the corresponding menu. .
상기 콘텐츠 추천 방법은
상기 사용자가 시청을 시작한 시점부터 연속적으로 콘텐츠를 이용한 후 시청을 종료한 시점까지를 하나의 시청 단위인 시청 블록으로 정의하고, 상기 시청 블록 내의 메뉴 간의 연관성을 추출하는 제150단계(S150); 및
상기 제230단계(S230)에서 생성된 추천 리스트 내의 추천 콘텐츠의 갯수가 추천 요청 갯수에 못 미칠 경우, 상기 선정된 하나 이상의 선호메뉴와 연관성이 높은 하나 이상의 연관메뉴를 추출하고, 상기 하나 이상의 연관 메뉴에 속하는 콘텐츠들 중에서 상기 사용자에게 추천할 하나 이상의 콘텐츠를 더 추출하는 제240단계(S240)를 더 포함하는 것을 특징으로 하는 콘텐츠 추천 방법. The method of claim 1,
The content recommendation method is
A step 150 in which the user defines a viewing block as a viewing unit from the time point at which the user starts watching the content after using the content continuously and extracts the association between the menus in the view block (S150); And
If the number of recommended contents in the recommendation list generated in step 230 does not meet the number of recommendation requests, extract one or more related menus highly related to the selected one or more preferred menus, and extract the one or more related menus. The content recommendation method further comprises the step (S240) of further extracting one or more contents to be recommended to the user among the contents belonging to.
Priority Applications (1)
| Application Number | Priority Date | Filing Date | Title |
|---|---|---|---|
| KR1020100079122A KR101151176B1 (en) | 2010-08-17 | 2010-08-17 | The Content Recommendation Method by Using Menu Preferences |
Applications Claiming Priority (1)
| Application Number | Priority Date | Filing Date | Title |
|---|---|---|---|
| KR1020100079122A KR101151176B1 (en) | 2010-08-17 | 2010-08-17 | The Content Recommendation Method by Using Menu Preferences |
Publications (2)
| Publication Number | Publication Date |
|---|---|
| KR20120016723A KR20120016723A (en) | 2012-02-27 |
| KR101151176B1 true KR101151176B1 (en) | 2012-06-01 |
Family
ID=45838872
Family Applications (1)
| Application Number | Title | Priority Date | Filing Date |
|---|---|---|---|
| KR1020100079122A Expired - Fee Related KR101151176B1 (en) | 2010-08-17 | 2010-08-17 | The Content Recommendation Method by Using Menu Preferences |
Country Status (1)
| Country | Link |
|---|---|
| KR (1) | KR101151176B1 (en) |
Cited By (1)
| Publication number | Priority date | Publication date | Assignee | Title |
|---|---|---|---|---|
| US12216883B2 (en) | 2022-01-10 | 2025-02-04 | Samsung Electronics Co., Ltd. | Electronic apparatus and controlling method thereof |
Families Citing this family (11)
| Publication number | Priority date | Publication date | Assignee | Title |
|---|---|---|---|---|
| KR101351719B1 (en) * | 2012-11-07 | 2014-01-16 | 성균관대학교산학협력단 | Program recommendation method based on method for calculation user intensities of program consumption |
| US9787783B2 (en) * | 2013-06-10 | 2017-10-10 | Google Inc. | Providing supplemental content in relation to embedded media |
| KR101500874B1 (en) * | 2013-11-22 | 2015-03-10 | 포항공과대학교 산학협력단 | Method and apparatus of deciding for contents recommendation time using user context awaring |
| CN110046006A (en) * | 2018-01-15 | 2019-07-23 | 北京京东尚科信息技术有限公司 | The method and apparatus of menu sequencing |
| US11971921B2 (en) * | 2019-02-05 | 2024-04-30 | Google Llc | Comprehensibility-based identification of educational content of multiple content types |
| CN110472153B (en) * | 2019-08-21 | 2024-01-19 | 宁波方太厨具有限公司 | Menu recommendation method, system, equipment and storage medium |
| KR102507520B1 (en) * | 2019-10-31 | 2023-03-08 | 주식회사 서울벤처스 | Active content automatic provision system based on non-identifying behavior information and method for operating the system |
| KR102702984B1 (en) * | 2020-12-18 | 2024-09-03 | 주식회사 케이티 | Method and server for acquiring tv service usage patterns, and computer program stored in medium to perform method for acquiring tv service usage patterns |
| KR20230059595A (en) | 2021-10-26 | 2023-05-03 | 삼성전자주식회사 | Method and apparatus for modeling user preferences |
| KR102497379B1 (en) * | 2022-04-26 | 2023-02-08 | 주식회사 이니스트 | System for comprehensive student management providing employment information based on recommended career paths and customized major tracks and method for providing comprehensive student management using the same |
| CN116955732A (en) * | 2023-07-05 | 2023-10-27 | 南京邮电大学 | A multi-dimensional reasoning system function block matching recommendation method and system |
Citations (2)
| Publication number | Priority date | Publication date | Assignee | Title |
|---|---|---|---|---|
| JP2005078627A (en) | 2003-08-28 | 2005-03-24 | Samsung Electronics Co Ltd | Content recommendation method and system |
| JP2010097249A (en) | 2008-10-14 | 2010-04-30 | Sony Corp | Electronic apparatus, content recommendation method, and program |
-
2010
- 2010-08-17 KR KR1020100079122A patent/KR101151176B1/en not_active Expired - Fee Related
Patent Citations (2)
| Publication number | Priority date | Publication date | Assignee | Title |
|---|---|---|---|---|
| JP2005078627A (en) | 2003-08-28 | 2005-03-24 | Samsung Electronics Co Ltd | Content recommendation method and system |
| JP2010097249A (en) | 2008-10-14 | 2010-04-30 | Sony Corp | Electronic apparatus, content recommendation method, and program |
Cited By (1)
| Publication number | Priority date | Publication date | Assignee | Title |
|---|---|---|---|---|
| US12216883B2 (en) | 2022-01-10 | 2025-02-04 | Samsung Electronics Co., Ltd. | Electronic apparatus and controlling method thereof |
Also Published As
| Publication number | Publication date |
|---|---|
| KR20120016723A (en) | 2012-02-27 |
Similar Documents
| Publication | Publication Date | Title |
|---|---|---|
| KR101151176B1 (en) | The Content Recommendation Method by Using Menu Preferences | |
| US20240202456A1 (en) | Identifying multimedia asset similarity using blended semantic and latent feature analysis | |
| Steck | Calibrated recommendations | |
| Barragáns-Martínez et al. | A hybrid content-based and item-based collaborative filtering approach to recommend TV programs enhanced with singular value decomposition | |
| US8443389B2 (en) | Intelligent system and methods of recommending media content items based on user preferences | |
| US11669577B2 (en) | Systems and methods for organizing and displaying electronic media content | |
| US8019707B2 (en) | Interactive hybrid recommender system | |
| US8301624B2 (en) | Determining user preference of items based on user ratings and user features | |
| US11663661B2 (en) | Apparatus and method for training a similarity model used to predict similarity between items | |
| KR101143508B1 (en) | Method For Personalized Multi Recommendation Learning | |
| CN107888950A (en) | A kind of method and system for recommending video | |
| CN102056018B (en) | Method and system for providing TV guide and method for providing program-requesting information | |
| CN105430505B (en) | A kind of IPTV program commending methods based on combined strategy | |
| KR20100086676A (en) | Method and apparatus of predicting preference rating for contents, and method and apparatus for selecting sample contents | |
| CN104199896A (en) | Video similarity determining method and video recommendation method based on feature classification | |
| CN109168047A (en) | Video recommendation method, device, server and storage medium | |
| US20180027296A1 (en) | Image processing device, and method and system for controlling image processing device | |
| Yeung | Do recommender systems benefit users? A modeling approach | |
| Pawar et al. | Movies recommendation system using cosine similarity | |
| KR100782047B1 (en) | Automatic Generation of Initial Query Sets for Mobile Web-based Image Retrieval | |
| Patil et al. | A multi-attributed hybrid re-ranking technique for diversified recommendations | |
| Zhang et al. | Interest-Driven Web Service Recommendation Based on MFI-7 | |
| Khan et al. | An ontology-based hybrid recommender system for internet protocol television | |
| Khalique et al. | Research Article A Deterministic Model for Determining Degree of Friendship Based on Mutual Likings and Recommendations on OTT Platforms | |
| Foina et al. | Cell BE and Bluetooth applied to Digital TV |
Legal Events
| Date | Code | Title | Description |
|---|---|---|---|
| A201 | Request for examination | ||
| PA0109 | Patent application |
St.27 status event code: A-0-1-A10-A12-nap-PA0109 |
|
| PA0201 | Request for examination |
St.27 status event code: A-1-2-D10-D11-exm-PA0201 |
|
| R17-X000 | Change to representative recorded |
St.27 status event code: A-3-3-R10-R17-oth-X000 |
|
| PE0902 | Notice of grounds for rejection |
St.27 status event code: A-1-2-D10-D21-exm-PE0902 |
|
| T11-X000 | Administrative time limit extension requested |
St.27 status event code: U-3-3-T10-T11-oth-X000 |
|
| E13-X000 | Pre-grant limitation requested |
St.27 status event code: A-2-3-E10-E13-lim-X000 |
|
| P11-X000 | Amendment of application requested |
St.27 status event code: A-2-2-P10-P11-nap-X000 |
|
| P13-X000 | Application amended |
St.27 status event code: A-2-2-P10-P13-nap-X000 |
|
| PG1501 | Laying open of application |
St.27 status event code: A-1-1-Q10-Q12-nap-PG1501 |
|
| E701 | Decision to grant or registration of patent right | ||
| PE0701 | Decision of registration |
St.27 status event code: A-1-2-D10-D22-exm-PE0701 |
|
| GRNT | Written decision to grant | ||
| PR0701 | Registration of establishment |
St.27 status event code: A-2-4-F10-F11-exm-PR0701 |
|
| PR1002 | Payment of registration fee |
St.27 status event code: A-2-2-U10-U11-oth-PR1002 Fee payment year number: 1 |
|
| PG1601 | Publication of registration |
St.27 status event code: A-4-4-Q10-Q13-nap-PG1601 |
|
| P22-X000 | Classification modified |
St.27 status event code: A-4-4-P10-P22-nap-X000 |
|
| P22-X000 | Classification modified |
St.27 status event code: A-4-4-P10-P22-nap-X000 |
|
| PR1001 | Payment of annual fee |
St.27 status event code: A-4-4-U10-U11-oth-PR1001 Fee payment year number: 4 |
|
| P22-X000 | Classification modified |
St.27 status event code: A-4-4-P10-P22-nap-X000 |
|
| PR1001 | Payment of annual fee |
St.27 status event code: A-4-4-U10-U11-oth-PR1001 Fee payment year number: 5 |
|
| PN2301 | Change of applicant |
St.27 status event code: A-5-5-R10-R13-asn-PN2301 St.27 status event code: A-5-5-R10-R11-asn-PN2301 |
|
| FPAY | Annual fee payment |
Payment date: 20170410 Year of fee payment: 6 |
|
| PR1001 | Payment of annual fee |
St.27 status event code: A-4-4-U10-U11-oth-PR1001 Fee payment year number: 6 |
|
| P22-X000 | Classification modified |
St.27 status event code: A-4-4-P10-P22-nap-X000 |
|
| LAPS | Lapse due to unpaid annual fee | ||
| PC1903 | Unpaid annual fee |
St.27 status event code: A-4-4-U10-U13-oth-PC1903 Not in force date: 20180523 Payment event data comment text: Termination Category : DEFAULT_OF_REGISTRATION_FEE |
|
| PC1903 | Unpaid annual fee |
St.27 status event code: N-4-6-H10-H13-oth-PC1903 Ip right cessation event data comment text: Termination Category : DEFAULT_OF_REGISTRATION_FEE Not in force date: 20180523 |
|
| PN2301 | Change of applicant |
St.27 status event code: A-5-5-R10-R13-asn-PN2301 St.27 status event code: A-5-5-R10-R11-asn-PN2301 |












