KR101121761B1 - A Preparation process of dispersant for increasing dispersion stability of pigment or non-aqueous dye, and dispersion prepared by using the same - Google Patents
A Preparation process of dispersant for increasing dispersion stability of pigment or non-aqueous dye, and dispersion prepared by using the same Download PDFInfo
- Publication number
- KR101121761B1 KR101121761B1 KR1020040096459A KR20040096459A KR101121761B1 KR 101121761 B1 KR101121761 B1 KR 101121761B1 KR 1020040096459 A KR1020040096459 A KR 1020040096459A KR 20040096459 A KR20040096459 A KR 20040096459A KR 101121761 B1 KR101121761 B1 KR 101121761B1
- Authority
- KR
- South Korea
- Prior art keywords
- pigment
- dispersant
- alkyl
- dispersion
- solvent
- Prior art date
- Legal status (The legal status is an assumption and is not a legal conclusion. Google has not performed a legal analysis and makes no representation as to the accuracy of the status listed.)
- Expired - Fee Related
Links
- 0 CCC(*)(CC)C(CC)(CC)*N Chemical compound CCC(*)(CC)C(CC)(CC)*N 0.000 description 2
- YXFVVABEGXRONW-UHFFFAOYSA-N Cc1ccccc1 Chemical compound Cc1ccccc1 YXFVVABEGXRONW-UHFFFAOYSA-N 0.000 description 1
Classifications
-
- C—CHEMISTRY; METALLURGY
- C08—ORGANIC MACROMOLECULAR COMPOUNDS; THEIR PREPARATION OR CHEMICAL WORKING-UP; COMPOSITIONS BASED THEREON
- C08F—MACROMOLECULAR COMPOUNDS OBTAINED BY REACTIONS ONLY INVOLVING CARBON-TO-CARBON UNSATURATED BONDS
- C08F20/00—Homopolymers and copolymers of compounds having one or more unsaturated aliphatic radicals, each having only one carbon-to-carbon double bond, and only one being terminated by only one carboxyl radical or a salt, anhydride, ester, amide, imide or nitrile thereof
- C08F20/02—Monocarboxylic acids having less than ten carbon atoms, Derivatives thereof
- C08F20/10—Esters
- C08F20/12—Esters of monohydric alcohols or phenols
- C08F20/16—Esters of monohydric alcohols or phenols of phenols or of alcohols containing two or more carbon atoms
- C08F20/18—Esters of monohydric alcohols or phenols of phenols or of alcohols containing two or more carbon atoms with acrylic or methacrylic acids
Landscapes
- Chemical & Material Sciences (AREA)
- Health & Medical Sciences (AREA)
- Chemical Kinetics & Catalysis (AREA)
- Medicinal Chemistry (AREA)
- Polymers & Plastics (AREA)
- Organic Chemistry (AREA)
- Pigments, Carbon Blacks, Or Wood Stains (AREA)
- Inks, Pencil-Leads, Or Crayons (AREA)
Abstract
본 발명은 안료 또는 비수용성 염료를 물 또는 약간의 극성을 갖는 유기용매에서 초미립자 형태로 안정화시키는 고분자형 분산제의 제조방법에 관한 것이다.The present invention relates to a process for the preparation of polymeric dispersants for stabilizing pigments or non-aqueous dyes in ultrafine form in water or in organic solvents with slightly polarity.
Description
본 발명은 상용화되어 사용되는 안료를 물 또는 약간의 극성을 갖는 유기용매에서 초미립자 형태로 안정화시키는 고분자형 분산제의 제조방법에 관한 것이다. 특히, 본 발명은 저점도에서 안정화시키는 능력이 탁월해 안료를 고점도에서 미립자 안정화시키는 기존 분산제와 차별화된 특성을 보이는 고분자형 분산제에 관한 것이다.The present invention relates to a method for producing a polymeric dispersant for stabilizing pigments commercially used in the form of ultra fine particles in water or an organic solvent having a slight polarity. In particular, the present invention relates to a polymeric dispersant that has excellent ability to stabilize at low viscosity and exhibits different characteristics from conventional dispersants that stabilize particles at high viscosity.
기존의 저점도용 분산제로는 존슨폴리머사의 존크릴이라는 제품이 있지만 이제품은 스타이렌과 아크릴산의 공중합체로 다양한 종류의 안료에 적용시키는데 있어서 한계를 보여주고 있다. Conventional low-viscosity dispersants include Johnson Polymer's John Cryl, but this product is a copolymer of styrene and acrylic acid, showing limitations in various pigments.
안료 혹은 분산염료는 일반적으로 분산하여 사용되므로 분산이 매우 중요하다. 안료는 통상적으로 주로 도료에 사용되어 고점도 분산이 이루어지므로 저점도 안료 분산액 개발의 필요성이 높지 않았다.Since pigments or disperse dyes are generally dispersed and used, dispersion is very important. Pigments are commonly used in paints to achieve high viscosity dispersion, so the development of low viscosity pigment dispersions is not high.
그러나, 최근 저점도 분산액의 개발이 매우 중요하게 대두되고 있다. 이는 최근 화학소재 중 안료의 사용이 전자제품 부품에 사용 되는 비중이 높아지면서 고기능성 저점도 안료 분산액이 필요하게 되었기 때문이다. 특히 티에프티 엘시디용 컬러필터의 제조에 사용되는 컬러필터 포토레지스트는 저점도 안료 분산액이 매우 중요한 소재이다.However, the development of low viscosity dispersions has been very important in recent years. This is due to the fact that recently, the use of pigments in chemical materials has been increasing in the use of electronic components, and thus a high functional low viscosity pigment dispersion is required. In particular, the color filter photoresist used in the manufacture of the color filter for TFT LCD is a very important material for low viscosity pigment dispersion.
또한 최근에 컬러필터 제조 공정개선을 위하여 포토레지스트 대체품인 컬러필터잉크젯 잉크 또한 저점도 안료 분산액이 핵심소재이다. 무엇 보다 중요한 것은 이와 같은 저점도 분산액 제조에 필요한 분산제의 물성이 탁월해야 한다는 것이다. 고온에서 견디는 내열성, 내화학성, 경화후 규정이상의 강도를 유지하는 기계적 특성이 만족되어야 한다. 예를 들어 컬러필터 제조 공정에서는 220℃에서 1시간 이상 경화시키는 공정이 있으며, 잉크젯잉크는 버블을 발생 시키기 위해 300℃ 이상의 초고온에서도 분산계의 안정성을 유지 시켜 줄 수 있는 고기능성 안료 분산액이 요구 된다.In addition, in order to improve the color filter manufacturing process, a color filter inkjet ink, which is a substitute for photoresist, also has a low viscosity pigment dispersion. Most importantly, the physical properties of the dispersant required to prepare such low viscosity dispersions should be excellent. Heat resistance, chemical resistance, and mechanical properties that maintain the strength beyond specified after curing should be satisfied. For example, in the color filter manufacturing process, there is a process of curing at 220 ° C. for 1 hour or more, and ink jet ink requires a highly functional pigment dispersion that can maintain the stability of the dispersion system even at very high temperature of 300 ° C. or higher to generate bubbles.
최근 특허에서는 상업화된 스타이렌과 아크릴산 공중합체 제품을 사용하여 응용한 특허가 많이 등록되고 있다. 특히, 미국특허 6,809,128 호, 6,765,039 호에서 상업화된 고분자형 분산제를 사용한 저점도 안료 분산액제조에 관하여 상세히 설명하고 있다. 하지만, 이러한 상업화 제품들은 규격이 한정화되어 있어서 다양한 종류의 안료를 분산시키는데는 한계가 있다. In recent patents, many patents using commercialized styrene and acrylic acid copolymer products have been registered. In particular, US Pat. No. 6,809,128 No. 6,765,039 The preparation of low-viscosity pigment dispersions using the polymeric dispersants commercialized in the present invention is described in detail. However, these commercialized products have a limited specification and thus have limitations in dispersing various kinds of pigments.
본 발명자는 이러한 한계를 극복하기 위하여 연구에 연구를 거듭한 결과 수용성 및 유기용매에서도 사용가능한 고분자형 분산제를 발명하게 되었다. 본 발명은 다양한 종류의 모노머를 사용하여 저점도 분산 안정성과 여러 종류의 안료에 적용 할 수 있는 분산제를 합성하는 방법에 관한 것이다. The present inventors have conducted research to overcome these limitations and have come up with a polymer type dispersant that can be used in water-soluble and organic solvents. The present invention relates to a method for synthesizing a dispersant which can be applied to various types of pigments with low viscosity dispersion stability using various kinds of monomers.
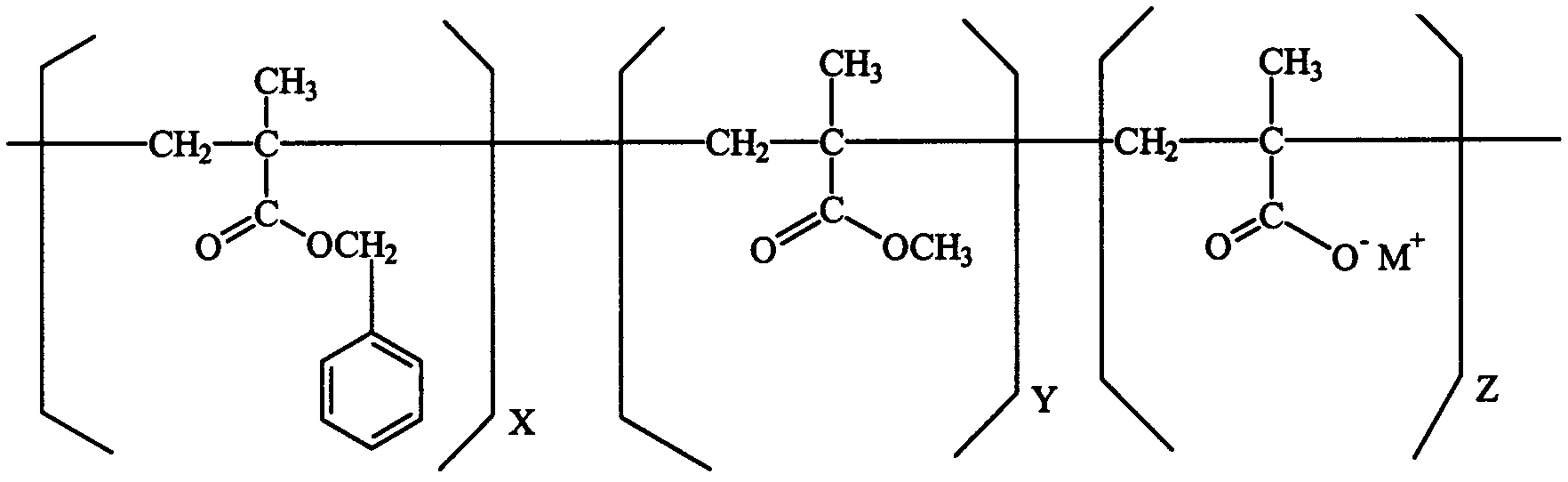
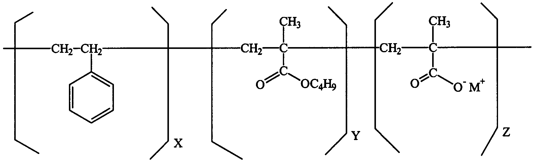
본 발명에서는 안료의 벤젠 혹은 알킬그룹과 친화성을 갖는 모노머인 R'-CH2CH2R2(여기에서, R'는 페닐, 벤질 에스테르 또는 C1-6알킬에 의해 치환될 수 있는 C1-6알킬 에스테르이고, R2는 H 또는 C1-4알킬이다)의 모노머와 용매와 친화성을 갖는 메타아크릴산 그리고 기계적 강도를 갖는 R'"-CH2CH2R3(여기에서, R'"은 하이드록시로 치환될 수 있는 C1-6알킬 에스테르이고, R3는 H 또는 C1-4알킬이다)의 모노머를 조합하여 다양성을 갖는 하기 화학식 1의 고분자형 분산제를 합성하였다:In the present invention, R'-CH 2 CH 2 R 2 which is a monomer having affinity with the benzene or alkyl group of the pigment, wherein R 'is C 1 which may be substituted by phenyl, benzyl ester or C 1-6 alkyl -6 alkyl ester, R 2 is H or C 1-4 alkyl, methacrylic acid having affinity with the solvent and R '"-CH 2 CH 2 R 3 having mechanical strength, wherein R' Is a C 1-6 alkyl ester which may be substituted with hydroxy and R 3 is H or C 1-4 alkyl) to synthesize a polymeric dispersant of Formula 1 having the following diversity:
상기 식에서, Where
A는 각각 독립적으로 H 또는 C1-4알킬이고,Each A is independently H or C 1-4 alkyl,
R은 페닐, 벤질 에스테르 또는 C1-6알킬에 의해 치환될 수 있는 C1-6알킬 에스테르이며,R is a C 1-6 alkyl ester which may be substituted by phenyl, benzyl ester or C 1-6 alkyl,
R1은 하이드록시로 치환될 수 있는 C1-6알킬 에스테르이며,R 1 is a C 1-6 alkyl ester which may be substituted with hydroxy,
R"는 H 또는 1가 금속이나, 1가 금속인 경우 결합한 O와 O-M+ 형태를 나타내고,R ″ is H or monovalent metal, but in the case of monovalent metal, it represents O and O − M + form,
X는 0.3 내지 3.0이며,X is 0.3 to 3.0,
Y는 0.2 내지 2.5이고,Y is from 0.2 to 2.5,
Z는는 0.3 내지 3.0이다.Z is 0.3 to 3.0.
안료의 벤젠 혹은 알킬그룹과 친화성을 갖는 모노머의 예로는 스타이렌, 벤질메타 아클릴레이트, 2-에틸헥실 메타아크릴레이트가 있고, 기계적 강도를 갖는 모노머의 예로는 2-하이드록시에틸 메타 아크릴레이트, 메틸 메타아크릴레이트, 부틸 아클릴레이트등이 있다. 사용되는 모노머가 상기 열거된 모노머만으로 한정되는 것은 아니다. 그 외에도 상업적으로 사용 가능한 메틸메타 아크릴레이트, 글라이시딜 메타 아크릴레이트등의 다양한 모노머들이 본 발명에 사용될 수 있다.Examples of the monomer having affinity with the benzene or alkyl group of the pigment include styrene, benzyl methacrylate, 2-ethylhexyl methacrylate, and examples of the monomer having mechanical strength are 2-hydroxyethyl methacrylate. , Methyl methacrylate, butyl acrylate and the like. The monomer used is not limited to only the monomers listed above. In addition, various monomers such as methyl methacrylate, glycidyl methacrylate, etc. which are commercially available may be used in the present invention.
본 발명에서 알킬은 탄소원자수 1 내지 6의 직쇄 또는 측쇄일 수 있다.In the present invention, alkyl may be a straight or branched chain having 1 to 6 carbon atoms.
고분자형 분산제 합성에 사용되는 반응용매는 물을 제외한 양성자성 용매와 비양성자성 용매를 모두 사용할 수 있다. 양성자성 용매로는 부틸 알코올, 아이소 프로필 알코올, 에틸 알코올 등이 사용가능하며, 비양성자성 용매로는 프로필렌글라이콜모노메틸에테르 아세테이트, 다이프로필렌글라이콜메틸에테르 아세테이트, 다이글라임등이 반응용매로 사용될 수 있다.The reaction solvent used for the synthesis of the polymeric dispersant may use both a protic solvent and an aprotic solvent except for water. Protic solvents include butyl alcohol, isopropyl alcohol, ethyl alcohol, and the like, and aprotic solvents include propylene glycol monomethyl ether acetate, dipropylene glycol methyl ether acetate, and diglyme. It can be used as a solvent.
저점도 안료 분산액에 필요한 고분자형 분산제는 분자량이 매우 중요한데 범위는 분자량 1,000부터 100,000이며, 좋기로는 5,000부터 50,000이며, 더욱 좋기로는 10,000부터 20,000이다. 고분자들의 분자량은 보통 십만 이상에서 백만까지 가능하지만 저점도용 분산제로 사용되는 고분자는 작아야 저점도 분산이 가능하며, 잉크젯 잉크등 특수한 환경에서 사용될 수 있으며, 성능을 발휘할 수 있다.The molecular weight of the high molecular weight dispersant required for the low viscosity pigment dispersion is very important in the molecular weight range of 1,000 to 100,000, preferably 5,000 to 50,000, more preferably 10,000 to 20,000. The molecular weight of the polymer is usually from 100,000 to more than one million, but the polymer used as a low viscosity dispersant can be low viscosity dispersion, can be used in a special environment, such as inkjet ink, and can exhibit performance.
합성될 고분자 분자량의 조절은 반응시 농도와 온도, 사용되는 개시제의 양에 따라 달라진다. 농도, 반응온도가 높고 개시제 사용량이 많으면 분자량은 작아진다. 반응농도는 무게비로 전체 모노머 사용량이 5% 에서 60%이며, 좋기로는 10% 에서 40%, 더욱 좋기로는 15% 에서 30%이다. 반응온도는 50℃ 내지 120℃이며, 좋기로는 60℃ 내지 100℃이며, 더욱 좋기로는 70℃ 내지 90℃이다.The control of the molecular weight of the polymer to be synthesized depends on the concentration and temperature in the reaction and the amount of initiator used. If the concentration and reaction temperature are high and the amount of initiator used is large, the molecular weight becomes small. The reaction concentration is 5% to 60% by weight of the total monomer, preferably 10% to 40%, and more preferably 15% to 30%. Reaction temperature is 50 degreeC-120 degreeC, Preferably it is 60 degreeC-100 degreeC, More preferably, it is 70 degreeC-90 degreeC.
반응 개시제는 2,2'-아조비스아이소부티로나이트릴(AIBN)이 사용되며 사용량은 총 사용되는 모노머에 대하여, 무게비로 0,1% 에서 10%까지 사용되며, 좋기로는 0.5% 에서 5%까지 이며, 더욱 좋기로는 2% 에서 4%까지 사용된다. 2,2'-azobisisobutyronitrile (AIBN) is used as the reaction initiator, and the amount of use is 0,1% to 10% by weight based on the total monomers used, and preferably 0.5% to 5%. Up to%, more preferably from 2% to 4%.
본 발명에서의 고분자는 랜덤형 고분자로서 분산특성에 있어서 탁월한 효능을 보여주고 있다. 합성된 고분자는 반응용매를 제거하거나, 존재하는 상태에서 적정량의 안료와 혼합하여 각종 분쇄기에서 분쇄할 수 있다. 안료의 종류에 따라 다르지만 통상적으로 안료 무게 대비 20% 에서 150%까지 적용될 수 있다. The polymer in the present invention is a random type polymer and shows excellent efficacy in dispersing characteristics. The synthesized polymer may be pulverized in various pulverizers by removing the reaction solvent or by mixing with an appropriate amount of pigment in the present state. Depending on the type of pigment, it can typically be applied from 20% to 150% by weight of the pigment.
또한, 수용액 중에서 사용할 경우는 소듐 하이드록사이드, 포타슘 하이드록사이드, 암모니아등의 염기로 물에 용해하여 사용하여만 저점도 분산의 효과를 볼 수 있다. 유기용매에서 사용할 경우는 강염기 처리 없이 바로 안료와 혼합하여 사용할 수 있다. 고분자 분산제 합성에 있어 구조 자체는 하기에서 보듯이 유기물질인 안료와 친화도를 갖는 부분, 용매와 친화도를 갖는 부분, 그리고 분산제 자체의 기계적 특성을 갖는 부분 3가지 구성요소로 이루어져 있다. In addition, when used in an aqueous solution, the effect of low viscosity dispersion can be seen only by dissolving in water with a base such as sodium hydroxide, potassium hydroxide, ammonia or the like. When used in an organic solvent can be used directly mixed with the pigment without strong base treatment. In the synthesis of the polymer dispersant, the structure itself is composed of three components, a portion having an affinity with an organic pigment, a portion having an affinity with a solvent, and a portion having mechanical properties of the dispersant itself.
안료와 친화도를 갖는 부분의 모노머는 벤질메타 아크릴레이트, 스타이렌등이 있으며, 기계적 특성을 갖는 부분의 모노머로는 2-하이드록시에틸 메타아크릴레이트, 부틸 메타아크릴레이트, 메틸 메타아크릴레이트이며, 용매와 친화도를 갖는 부분은 메타아크릴산이 있다.Monomers of the part having affinity with the pigment include benzyl methacrylate, styrene, etc., monomers of the part having mechanical properties are 2-hydroxyethyl methacrylate, butyl methacrylate, methyl methacrylate, The part having affinity with the solvent is methacrylic acid.
상기 모노머들의 사용비는 적용하고자 하는 목적에 따라 비율과 종류가 달라진다. 최적의 비율과 종류는 우선 안료의 극성정도, 원하는 점도, 사용하고자 하는 용매의 특성을 기본으로 조절 되어야 한다.The use ratio of the monomers varies in proportion and type depending on the purpose of application. The optimum ratio and type should first be adjusted based on the polarity of the pigment, the desired viscosity and the properties of the solvent to be used.
분산 안정화 메커니즘은 수용액인 경우는 안료입자를 둘러싸고 있는 분산제에 포함된 카르복실기의 음이온 정전기적 반발에 의하며, 유기용매의 경우 안료입 자를 둘러싸고 있는 분산제의 입체장애 효과에 의한 것으로 알려져 있다. 즉 수용액상에서 안정화는 앞서 설명한 바와 같이 강한 염기로 카르복실기에 음이온을 도입하는 것이 핵심요소이다. 유기용매에서 안정화는 음이온을 도입 할 필요는 없지만 구조내에서 메타아크릴산의 카르복실기가 유기용매와 친화도를 가지므로써 안정화를 이루며, 분산제에 둘러싸인 안료와 안료를 입체장애효과로 접촉을 막아 분산 안정성을 갖는다.The dispersion stabilization mechanism is known to be due to the anion electrostatic repulsion of the carboxyl groups contained in the dispersant surrounding the pigment particles in the case of an aqueous solution, and the steric hindrance effect of the dispersant surrounding the pigment particles in the case of an organic solvent. In other words, stabilization in aqueous solution is a key element to introduce an anion into a carboxyl group with a strong base as described above. Stabilization in organic solvents does not require the introduction of anions, but the carboxyl group of methacrylic acid has affinity with the organic solvent in the structure, and stabilizes. .
안료는 미세입자로 분쇄되어 분말형태로 공급되게 되며, 분산시 표면에 붙어 있는 공기를 방출하여 물이나 용매가 안료표면에 잘 침투될 수 있게 하는 습윤효과 역시 분산제의 특성이라 할 수 있다. The pigment is pulverized into fine particles to be supplied in powder form, and the wetting effect of releasing air adhering to the surface during dispersion to allow water or solvent to penetrate the pigment surface is also a characteristic of the dispersant.
간단한 예를 들어 본 발명을 다음과 같다. 수용액에서 사용가능한 분산제는 다음과 같은 과정을 거친다. 벤질 메타아크릴레이트, 메틸 아크릴레이트, 메타아클릴산을 각각 몰비율 0.7, 0.5, 1.5의 비율로 부틸 알코올에 잘 혼합하여 온도를 앞서 설명한 바와 같이 100℃ 정도에서 개시제(AIBN)를 넣고 5시간 정도 온도를 유지 하면서 반응시킨다. As a simple example, the present invention is as follows. Dispersants usable in aqueous solution are subjected to the following procedure. Benzyl methacrylate, methyl acrylate, and methacrylic acid were mixed well with butyl alcohol at a molar ratio of 0.7, 0.5, and 1.5, respectively, and the temperature was added to the initiator (AIBN) at about 100 ° C as described above. React while maintaining.
반응이 완료되면 사용되었던 용매를 진공증류로 제거하여 고체성분의 하얀 결정을 얻고, 합성된 분산제는 하기 화학식 2를 가진다. Upon completion of the reaction, the solvent used was removed by vacuum distillation to obtain white crystals of a solid component. The synthesized dispersant has the following Chemical Formula 2.
상기 식에서,Where
X, Y 및 Z는 상대적인 몰 비율이며, 수용액중 사용 분산제 경우, X가 0.3 내지 3.0이고 Y는 0.2 내지 2.5이며, Z는 0.3 내지 3.0이다.X, Y and Z are relative molar ratios, and for dispersants used in aqueous solution, X is 0.3 to 3.0, Y is 0.2 to 2.5 and Z is 0.3 to 3.0.
필요에 따라, 안료와 친화성을 갖는 부분의 모노머가 2종이상 사용될 수 있다(실시예 참조). If necessary, two or more kinds of monomers having affinity with the pigment may be used (see Examples).
수용액중에서 사용 가능하기 위하여서는 용해과정이 필요하며, 용해 과정은 가성소다를 첨가하여 pH 5에서 9까지 조절하여 구조내의 카르복실산이 음이온으로 전환되어 물에 용해성을 갖게 한다. 음이온으로 전환된 화학구조는 하기 화학식 3으로 나타내었다.In order to be usable in aqueous solution, a dissolution process is required, and the dissolution process is adjusted to pH 5 to 9 by adding caustic soda, so that the carboxylic acid in the structure is converted to an anion so that it is soluble in water. The chemical structure converted to an anion is represented by the following formula (3).
상기 식에서, Where
X, Y 및 Z는 상대적인 몰 비율으로 상기 언급된 바와 같다.X, Y and Z are as mentioned above in relative molar ratios.
용해된 수용액에 안료를 투입하여 습윤과정을 거치고 비드밀 혹은 마이크로플루다이저를 사용하여 분쇄 과정을 거치면 저점도의 안료 분산액을 제조할 수 있다. 안료 분산액은 보통 안료의 농도를 전체 분산액의 15%정도 조절하여 분산 할 수 있는데, 점도가 10cP내외의 저점도가 가능하여 바로 잉크젯 잉크에 응용하여 사용 할 수 있다. 무엇보다 분산액은 분쇄된 후 입자들이 엉기거나, 침전, 층분리 되지 않아야 하므로 안정성 시험과정을 거쳐야 한다. 안정성은 입자 크기 분석기를 이용하여, 경시 안정성 변화를 관찰하며, 짧은 시간내 관찰을 위하여 가속시험을 하게 된다. 경시 안정성 가속 시험은 60℃에서 4시간, -10℃에서 4시간을 행하며 이를 4회 반복하여 입자크기 변화를 관측한다. 본 발명이 이들 예에만 국한되지 않는다.After the pigment is added to the dissolved aqueous solution, it is subjected to a wet process, and subjected to a grinding process using a bead mill or a microfluidizer to prepare a low viscosity pigment dispersion. Pigment dispersion can usually be dispersed by adjusting the concentration of the pigment to about 15% of the total dispersion, the viscosity is low viscosity of about 10cP can be used immediately applied to the inkjet ink. Above all, the dispersion should be subjected to stability testing since the particles should not be crushed, precipitated or separated after grinding. Stability is measured using a particle size analyzer to observe changes in stability over time and accelerated testing for observation in a short time. Time-lapse stability acceleration test is performed for 4 hours at 60 ℃, 4 hours at -10 ℃ and repeated four times to observe the change in particle size. The invention is not limited to these examples.
유기용매에서 사용 가능한 분산제는 다음과 같은 과정을 거친다. 스타이렌, 부틸 메타아크릴레이트, 메타아크릴산 몰비율로 각각 1.5, 0.5, 0.3을 다이글라임에 혼합한 후 반응온도 80℃에서 개시제를 넣고, 4시간 반응시킨다. 유기용매에 사용 가능한 분산제의 구조는 하기 화학식 4와 같다.Dispersants usable in organic solvents go through the following steps: The styrene, butyl methacrylate, and methacrylic acid molar ratios of 1.5, 0.5, and 0.3 are respectively mixed with diglyme, and the initiator is added at a reaction temperature of 80 deg. The structure of the dispersant usable in the organic solvent is shown in the following formula (4).
상기 식에서,Where
X, Y 및 Z는 상대적인 몰 비율로 수용액 중 사용 분산제 경우, X는 0.3 내지3.0이고, Y는 0.2 내지 2.5이며, Z는 0.3 내지 3.0이다.X, Y and Z are used dispersants in aqueous solution in relative molar ratios, where X is 0.3 to 3.0, Y is 0.2 to 2.5 and Z is 0.3 to 3.0.
필요에 따라, 안료와 친화성을 갖는 부분의 모노머가 2종이상 사용될 수 있다(실시예 참조). 유기용매에서 사용되는 분산제의 경우는 수용액에서 사용되는 분산제에 비하여 메타아크릴산을 반 이하로 사용하여야 좋은 결과를 얻을 수 있다.If necessary, two or more kinds of monomers having affinity with the pigment may be used (see Examples). In the case of the dispersant used in the organic solvent, methacrylic acid may be used in less than half as compared to the dispersant used in the aqueous solution to obtain good results.
반응중 사용된 유기용매는 분리하지 않고 바로 안료를 혼합하여 습윤과정을 거치고, 비드밀 혹은 마이크로플루다이저에서 분쇄하여 유기용매를 기반으로 하는 안료 분산액을 제조할 수 있다. 상기의 설명 역시 본 발명의 이해를 돕기 위한 것이며, 본 발명이 상기 설명에 국한 되지 않는다.The organic solvent used during the reaction may be mixed with the pigments immediately without separation and then wetted, and then ground in a bead mill or a microfluidizer to prepare a pigment dispersion based on the organic solvent. The above description is also to aid the understanding of the present invention, and the present invention is not limited to the above description.
이하, 실시예 및 비교예를 통하여 본 발명을 좀 더 상세히 설명하기로 한다. 그러나, 이들은 본 발명의 이해를 돕기 위한 것일뿐이며, 한정하기 위한 것은 아니다.
Hereinafter, the present invention will be described in more detail with reference to Examples and Comparative Examples. However, these are only for the understanding of the present invention and are not intended to be limiting.
실시예 1Example 1
벤질 메타아크릴레이트 (0.07몰, 12.3g), 메틸 메타아크릴레이트(0.07몰, 7.0g), 메타아크릴산 (0.15몰, 12.9g)을 128g의 부틸 알코올에 혼합하고 질소를 소량씩 통과 시킨다. 상기 혼합액을 100℃까지 상승 시킨 후 개시제(AIBN) 0.28g을 투입한 후 온도를 100℃를 유지하면서 5시간 반응시킨다. 반응중 질소는 계속 통과시켜 공기 중 산소와 접촉을 막아서 생성된 라티칼이 소멸 되지않도록 한다. 반응 완료 후 로타리 증류기를 사용하여 부틸 알코올을 제거하면 31g의 고분자형 분산제를 수율 96%로 얻을 수 있다. 생성된 고체30g을 증류수 70g에 투입하고 50%의 소듐 하이드록사이드 용액을 투입하여 용액이 pH 7이 되도록 조절한다.
Benzyl methacrylate (0.07 moles, 12.3 g), methyl methacrylate (0.07 moles, 7.0 g) and methacrylic acid (0.15 moles, 12.9 g) are mixed with 128 g of butyl alcohol and a small amount of nitrogen is passed through. After raising the mixture to 100 ° C., 0.28 g of an initiator (AIBN) was added thereto, followed by reaction for 5 hours while maintaining the temperature at 100 ° C. Nitrogen continues to pass through the reaction to prevent contact with oxygen in the air so that the produced radicals do not disappear. After completion of the reaction, the butyl alcohol was removed using a rotary distillation to obtain 31 g of a polymeric dispersant in a yield of 96%. 30 g of the produced solid was added to 70 g of distilled water, and 50% of sodium hydroxide solution was added to adjust the solution to pH 7.
실시예 2Example 2
실시예 1에서 벤질 메타아크릴레이트 대신 스타이렌 (0.07몰, 7.3g)을 투입하여 똑 같은 제조공정으로 합성하면 수율 97%로 백색의 고체 26.3g을 얻는다. 수용액에 용해 과정도 실시예 1과 같다.
In Example 1, styrene (0.07 mol, 7.3 g) was added instead of benzyl methacrylate and synthesized in the same manufacturing process to obtain 26.3 g of a white solid in a yield of 97%. The dissolution process in aqueous solution is also the same as in Example 1.
실시예 3Example 3
실시예 1에서 메틸 메타아클릴레이트 대신 2-하이드록시에틸 메타아크릴레이트 (0.07몰, 9.1g)을 투입하여 똑 같은 제조공정으로 합성하면 수율 95%로 백색의 고체 32.6g을 얻는다. 수용액에 용해 과정도 실시예 1과 같다.
In Example 1, 2-hydroxyethyl methacrylate (0.07 mol, 9.1 g) was added instead of methyl methacrylate to be synthesized in the same manufacturing process to give 32.6 g of a white solid in a yield of 95%. The dissolution process in aqueous solution is also the same as in Example 1.
실시예 4Example 4
벤질 메타아크릴레이트 (0.04몰, 7.0g), 스타이렌 (0.03몰, 3.1g) 메틸 메타아크릴레이트(0.07몰, 7.0g), 메타아크릴산 (0.15몰, 12.9g)을 128g의 부틸 알코올에 혼합하고 질소를 소량씩 통과시킨다. 상기 혼합액을 100℃까지 상승 시킨 후 개시제(AIBN) 0.28g을 투입한 후 온도를 100℃를 유지 하면서 5시간 반응시킨다. 반응 중 질소는 계속 통과시켜 공기 중 산소와 접촉을 막아서 생성된 라티칼이 소멸 되지 않도록 한다. 반응 완료 후 로타리 증류기를 사용하여 부틸 알코올을 제거 하면 28.5g의 고분자형 분산제를 수율 95%로 얻을 수 있다. 생성된 고체28g을 증류수 70g에 투입하고 50%의 소듐 하이드록사이드 용액을 투입하여 용액이 pH 7이 되도록 조절한다.
Benzyl methacrylate (0.04 moles, 7.0 g), styrene (0.03 moles, 3.1 g) methyl methacrylate (0.07 moles, 7.0 g) and methacrylic acid (0.15 moles, 12.9 g) are mixed with 128 g of butyl alcohol Pass a small amount of nitrogen. After raising the mixture to 100 ° C., 0.28 g of an initiator (AIBN) was added thereto, followed by reaction for 5 hours while maintaining the temperature at 100 ° C. Nitrogen continues to pass through the reaction to prevent contact with oxygen in the air so that the produced radicals do not disappear. After completion of the reaction, if the butyl alcohol is removed using a rotary distillation machine, 28.5 g of a polymeric dispersant can be obtained in a yield of 95%. 28 g of the resulting solid was added to 70 g of distilled water and 50% of sodium hydroxide solution was added to adjust the solution to pH 7.
실시예 5Example 5
벤질 메타아크릴레이트 (0.04몰, 7.0g), 스타이렌 (0.03몰, 3.1g) 메틸 메타아크릴레이트(0.05몰, 5.0g), 메타아크릴산 (0.03몰, 2.6g)을 60g의 프로필렌 글라이콜 메틸 에테르 아세테이트에 혼합하고 질소를 소량씩 통과 시킨다. 상기 혼합액을 80℃까지 상승시킨 후 개시제(AIBN) 0.35g을 투입한 후 온도를 100℃를 유지하면서 5시간 반응시킨다. 반응 중 질소는 계속 통과하여 공기 중 산소와 접촉을 막아서 생성된 라티칼이 소멸되지 않도록 한다.
Benzyl methacrylate (0.04 moles, 7.0 g), styrene (0.03 moles, 3.1 g) methyl methacrylate (0.05 moles, 5.0 g), methacrylic acid (0.03 moles, 2.6 g) 60 g of propylene glycol methyl Mix in ether acetate and pass nitrogen in small portions. After raising the mixture to 80 ° C., 0.35 g of an initiator (AIBN) was added thereto, followed by reaction for 5 hours while maintaining the temperature at 100 ° C. Nitrogen continues to pass through the reaction to prevent contact with oxygen in the air so that the produced radicals do not disappear.
실시예 6Example 6
실시예 5에서 벤질 메타아크릴레이트 대신하여 스타이렌만 0.07몰 7.3g을 사용하여 유기용매용 고분자 분산제를 합성한다.
In Example 5, instead of benzyl methacrylate, 0.07 mol 7.3 g of styrene was used to synthesize a polymer dispersant for an organic solvent.
실시예 7Example 7
실시예 1에서 합성된 고분자형 분산제 수용액 50g을 클라리언트사의 안료 적색 122번 15g, 증류수 50g과 잘 혼합하여 2시간동안 잘 교반하여 습윤시킨다. 여기 에 샌드 300g을 투입하고 직경 7cm 디스크를 사용하여 rpm 3,000으로 5시간 분쇄 한다. 분쇄가 완료 되면 채를 이용하여 모래를 제거한다. 평균 입자의 크기 212nm의 적색 안료 분산액을 얻는다.
50 g of the aqueous polymeric dispersant synthesized in Example 1 was mixed well with 15 g of Pigment Red No. 122 of Clariant Corporation and 50 g of distilled water, followed by well stirring for 2 hours to wet. Into this, 300 g of sand were put and pulverized at rpm 3,000 for 5 hours using a 7 cm diameter disc. When grinding is completed, sand is removed using a pole. A red pigment dispersion having a size of 212 nm of average particle is obtained.
실시예 8Example 8
실시예 5에서 제조된 고분자형 분산제 합성용액 50g과 안료 적색 254번 10g을 잘 혼합하여 1시간 동안 교반 한다. 여기에 0.3mm지르코니아 비드 100g을 투입하고 직경 7cm 디스크를 사용하여 rpm 3,000으로 3시간 분쇄한다. 분쇄가 완료되면 채를 이용하여 비드를 제거한다. 평균 입자의 크기 85nm의 적색 안료 분산액을 얻는다.
50 g of the polymeric dispersant synthetic solution prepared in Example 5 and 10 g of Pigment Red No. 254 were mixed well and stirred for 1 hour. Into this, 100 g of 0.3 mm zirconia beads were put and pulverized at rpm 3,000 for 3 hours using a 7 cm diameter disc. Once grinding is complete, remove the beads using a whisk. A red pigment dispersion with an average particle size of 85 nm is obtained.
비교 실시예 1Comparative Example 1
20g의 존슨 폴리머사의 존크릴 678을 80g의 증류수에 투입하고 50%의 소듐 하이드록사이드 용액을 투입하여 pH 7로 조절한다. 제조된 분산제 수용액 50g과 클라리언트사의 안료 적색 122번 15g, 증류수 50g과 잘 혼합하여 2시간동안 잘 교반하여 습윤시킨다. 여기에 샌드 300g을 투입하고 직경 7cm 디스크를 사용하여 rpm 3,000으로 5시간 분쇄 한다. 분쇄가 완료 되면 채를 이용하여 모래를 제거한다. 평균 입자의 크기 243nm의 적색 안료 분산액을 얻는다. 20 g of Johnson Polymer Co., Ltd. John Krill 678 is added to 80 g of distilled water and 50% of sodium hydroxide solution is adjusted to pH 7. 50 g of the prepared dispersant solution, 15 g of Pigment Red No. 122 of Clariant Inc., and 50 g of distilled water were mixed well and stirred for 2 hours to wet. 300 g of sand is added to this and ground using a 7 cm diameter disc for 5 hours at rpm 3,000. When grinding is completed, sand is removed using a pole. A red pigment dispersion with an average particle size of 243 nm is obtained.
안료 적색 122번 분산액Using the dispersant synthesized in Example 1
Pigment Red No. 122 Dispersion
사용한 안료 적색 122번 분산액John Krill 678 of Johnson Polymers
Used Pigment Red No. 122 Dispersion
상기 표로부터 알 수 있는 바와 같이, 특히 본 발명에 의하여 제조된 고분자형 분산제는 기존의 존크릴 제품대비 입자의 크기를 현저히 줄여 주고, 경시 안정성에 있어서도 입자의 크기가 거의 변화 없는 좋은 안정성을 보여 주고 있다.As can be seen from the table, in particular, the polymeric dispersant prepared according to the present invention significantly reduces the size of the particles compared to the existing John Krill products, and shows good stability with little change in the size of the particles even with time stability. have.
본 발명에 따라 제조된 분산제를 사용할 경우 앞서 설명한 바와 같이 저점도에서 분산 안정화 시키는 능력이 탁월하여, 저점도 잉크 또는 도료의 분산에서 좋은 효과를 보여준다.In the case of using the dispersant prepared according to the present invention, as described above, the ability to stabilize dispersion at low viscosity is excellent, thereby showing a good effect in dispersion of low viscosity ink or paint.
Claims (7)
Priority Applications (1)
| Application Number | Priority Date | Filing Date | Title |
|---|---|---|---|
| KR1020040096459A KR101121761B1 (en) | 2004-11-23 | 2004-11-23 | A Preparation process of dispersant for increasing dispersion stability of pigment or non-aqueous dye, and dispersion prepared by using the same |
Applications Claiming Priority (1)
| Application Number | Priority Date | Filing Date | Title |
|---|---|---|---|
| KR1020040096459A KR101121761B1 (en) | 2004-11-23 | 2004-11-23 | A Preparation process of dispersant for increasing dispersion stability of pigment or non-aqueous dye, and dispersion prepared by using the same |
Publications (2)
| Publication Number | Publication Date |
|---|---|
| KR20060057347A KR20060057347A (en) | 2006-05-26 |
| KR101121761B1 true KR101121761B1 (en) | 2012-03-23 |
Family
ID=37152794
Family Applications (1)
| Application Number | Title | Priority Date | Filing Date |
|---|---|---|---|
| KR1020040096459A Expired - Fee Related KR101121761B1 (en) | 2004-11-23 | 2004-11-23 | A Preparation process of dispersant for increasing dispersion stability of pigment or non-aqueous dye, and dispersion prepared by using the same |
Country Status (1)
| Country | Link |
|---|---|
| KR (1) | KR101121761B1 (en) |
Cited By (1)
| Publication number | Priority date | Publication date | Assignee | Title |
|---|---|---|---|---|
| KR102096383B1 (en) | 2018-11-28 | 2020-04-06 | 주식회사 오영 | Composition of Black Disperse Dye |
Citations (4)
| Publication number | Priority date | Publication date | Assignee | Title |
|---|---|---|---|---|
| KR960006215B1 (en) * | 1987-09-04 | 1996-05-11 | 에프카-케미칼즈 베-. 파우 | Dispersant |
| US20020098212A1 (en) | 1997-08-19 | 2002-07-25 | Christine Dupuis | Cosmetic composition containing a polymer aqueous dispersion and a disilanol silicone |
| KR100575715B1 (en) | 2003-12-31 | 2006-05-02 | 주식회사 케이씨씨 | Manufacturing method of non-aqueous dispersion resin for automotive top coat |
| US20060264565A1 (en) | 2003-03-27 | 2006-11-23 | Ulf Dietrich | Dispersing agents |
-
2004
- 2004-11-23 KR KR1020040096459A patent/KR101121761B1/en not_active Expired - Fee Related
Patent Citations (4)
| Publication number | Priority date | Publication date | Assignee | Title |
|---|---|---|---|---|
| KR960006215B1 (en) * | 1987-09-04 | 1996-05-11 | 에프카-케미칼즈 베-. 파우 | Dispersant |
| US20020098212A1 (en) | 1997-08-19 | 2002-07-25 | Christine Dupuis | Cosmetic composition containing a polymer aqueous dispersion and a disilanol silicone |
| US20060264565A1 (en) | 2003-03-27 | 2006-11-23 | Ulf Dietrich | Dispersing agents |
| KR100575715B1 (en) | 2003-12-31 | 2006-05-02 | 주식회사 케이씨씨 | Manufacturing method of non-aqueous dispersion resin for automotive top coat |
Cited By (1)
| Publication number | Priority date | Publication date | Assignee | Title |
|---|---|---|---|---|
| KR102096383B1 (en) | 2018-11-28 | 2020-04-06 | 주식회사 오영 | Composition of Black Disperse Dye |
Also Published As
| Publication number | Publication date |
|---|---|
| KR20060057347A (en) | 2006-05-26 |
Similar Documents
| Publication | Publication Date | Title |
|---|---|---|
| EP0822238B1 (en) | Two component dispersant for wet milling process | |
| US8367762B2 (en) | Compositions comprising glycidyl ether copolymers | |
| EP1142972B1 (en) | Dispersing agent for making aqueous pigment pastes | |
| EP0556650B1 (en) | Amine-containing block polymers for pigmented ink jet inks | |
| CA2634451C (en) | Pigment dispersants, their production process, and their use | |
| US9957343B2 (en) | Ionic bonding group-containing comb polymers | |
| DE69407596T2 (en) | AQUEOUS DISPERSIONS CONTAINING CYCLOPOLYMERS AS DISPERSING AGENTS | |
| JP2010528120A (en) | Water-based pigment preparation | |
| US7446135B2 (en) | Block copolymeric dispersant for pigment particle in aqueous system, and ink composition comprising the same | |
| JPH11269418A (en) | Water-base ink jet ink composition containing block copolymer dispersant | |
| JPH11236502A (en) | Aqueous dispersion and its use in ink jet ink | |
| KR101579337B1 (en) | Dry pigment preparations comprising non-ionic additives | |
| CN105229085A (en) | The manufacture method of fine pigment dyestuff | |
| KR20110053357A (en) | Dry Pigment Formulations Include Anionic Additives | |
| CN113512201A (en) | Comb-shaped dispersing agent, preparation method and application thereof, and weak solvent ink-jet color paste | |
| US20050037160A1 (en) | Dispersion composition containing functional substance, method of forming image and image forming apparatus | |
| TW200918610A (en) | Pigment preparations based on C. I. pigment blue 15:6 | |
| TWI669321B (en) | Block copolymer, dispersant and pigment dispersion composition | |
| KR101121761B1 (en) | A Preparation process of dispersant for increasing dispersion stability of pigment or non-aqueous dye, and dispersion prepared by using the same | |
| WO2014104288A1 (en) | Quaternary ammonium salt compound | |
| TWI831950B (en) | water-based pigment dispersion | |
| KR100447927B1 (en) | Dispersant used for preparing aqueous pigmented inks for ink-jet | |
| KR100645399B1 (en) | Polymeric copolymer for pigment dispersant, pigment dispersion and TF LCD color filter using same | |
| KR100738091B1 (en) | Polymer resin binders, colorant dispersions, and inkjet inks for color filters |
Legal Events
| Date | Code | Title | Description |
|---|---|---|---|
| PA0109 | Patent application |
St.27 status event code: A-0-1-A10-A12-nap-PA0109 |
|
| P11-X000 | Amendment of application requested |
St.27 status event code: A-2-2-P10-P11-nap-X000 |
|
| P13-X000 | Application amended |
St.27 status event code: A-2-2-P10-P13-nap-X000 |
|
| PG1501 | Laying open of application |
St.27 status event code: A-1-1-Q10-Q12-nap-PG1501 |
|
| N231 | Notification of change of applicant | ||
| PN2301 | Change of applicant |
St.27 status event code: A-3-3-R10-R13-asn-PN2301 St.27 status event code: A-3-3-R10-R11-asn-PN2301 |
|
| A201 | Request for examination | ||
| PA0201 | Request for examination |
St.27 status event code: A-1-2-D10-D11-exm-PA0201 |
|
| D13-X000 | Search requested |
St.27 status event code: A-1-2-D10-D13-srh-X000 |
|
| PN2301 | Change of applicant |
St.27 status event code: A-3-3-R10-R13-asn-PN2301 St.27 status event code: A-3-3-R10-R11-asn-PN2301 |
|
| D14-X000 | Search report completed |
St.27 status event code: A-1-2-D10-D14-srh-X000 |
|
| PE0902 | Notice of grounds for rejection |
St.27 status event code: A-1-2-D10-D21-exm-PE0902 |
|
| P11-X000 | Amendment of application requested |
St.27 status event code: A-2-2-P10-P11-nap-X000 |
|
| P13-X000 | Application amended |
St.27 status event code: A-2-2-P10-P13-nap-X000 |
|
| E701 | Decision to grant or registration of patent right | ||
| PE0701 | Decision of registration |
St.27 status event code: A-1-2-D10-D22-exm-PE0701 |
|
| GRNT | Written decision to grant | ||
| PR0701 | Registration of establishment |
St.27 status event code: A-2-4-F10-F11-exm-PR0701 |
|
| PR1002 | Payment of registration fee |
St.27 status event code: A-2-2-U10-U11-oth-PR1002 Fee payment year number: 1 |
|
| PG1601 | Publication of registration |
St.27 status event code: A-4-4-Q10-Q13-nap-PG1601 |
|
| FPAY | Annual fee payment |
Payment date: 20150102 Year of fee payment: 4 |
|
| PR1001 | Payment of annual fee |
St.27 status event code: A-4-4-U10-U11-oth-PR1001 Fee payment year number: 4 |
|
| PR1001 | Payment of annual fee |
St.27 status event code: A-4-4-U10-U11-oth-PR1001 Fee payment year number: 5 |
|
| P22-X000 | Classification modified |
St.27 status event code: A-4-4-P10-P22-nap-X000 |
|
| LAPS | Lapse due to unpaid annual fee | ||
| PC1903 | Unpaid annual fee |
St.27 status event code: A-4-4-U10-U13-oth-PC1903 Not in force date: 20170223 Payment event data comment text: Termination Category : DEFAULT_OF_REGISTRATION_FEE |
|
| PC1903 | Unpaid annual fee |
St.27 status event code: N-4-6-H10-H13-oth-PC1903 Ip right cessation event data comment text: Termination Category : DEFAULT_OF_REGISTRATION_FEE Not in force date: 20170223 |
|
| PN2301 | Change of applicant |
St.27 status event code: A-5-5-R10-R13-asn-PN2301 St.27 status event code: A-5-5-R10-R11-asn-PN2301 |
|
| PN2301 | Change of applicant |
St.27 status event code: A-5-5-R10-R13-asn-PN2301 St.27 status event code: A-5-5-R10-R11-asn-PN2301 |
|
| P22-X000 | Classification modified |
St.27 status event code: A-4-4-P10-P22-nap-X000 |





