KR101103684B1 - Frequency dependent damping generation device for haptic interface and haptic interface drive control device having same - Google Patents
Frequency dependent damping generation device for haptic interface and haptic interface drive control device having same Download PDFInfo
- Publication number
- KR101103684B1 KR101103684B1 KR1020080115158A KR20080115158A KR101103684B1 KR 101103684 B1 KR101103684 B1 KR 101103684B1 KR 1020080115158 A KR1020080115158 A KR 1020080115158A KR 20080115158 A KR20080115158 A KR 20080115158A KR 101103684 B1 KR101103684 B1 KR 101103684B1
- Authority
- KR
- South Korea
- Prior art keywords
- haptic interface
- damping
- signal
- pass filter
- adder
- Prior art date
- Legal status (The legal status is an assumption and is not a legal conclusion. Google has not performed a legal analysis and makes no representation as to the accuracy of the status listed.)
- Expired - Fee Related
Links
Images
Classifications
-
- G—PHYSICS
- G06—COMPUTING OR CALCULATING; COUNTING
- G06F—ELECTRIC DIGITAL DATA PROCESSING
- G06F3/00—Input arrangements for transferring data to be processed into a form capable of being handled by the computer; Output arrangements for transferring data from processing unit to output unit, e.g. interface arrangements
- G06F3/01—Input arrangements or combined input and output arrangements for interaction between user and computer
- G06F3/016—Input arrangements with force or tactile feedback as computer generated output to the user
Landscapes
- Engineering & Computer Science (AREA)
- General Engineering & Computer Science (AREA)
- Theoretical Computer Science (AREA)
- Human Computer Interaction (AREA)
- Physics & Mathematics (AREA)
- General Physics & Mathematics (AREA)
- User Interface Of Digital Computer (AREA)
Abstract
본 발명은 햅틱 인터페이스를 위한 주파수 의존적 댐핑 생성 장치 및 이를 구비한 햅틱 인터페이스 구동 제어 장치에 대한 것이다. 더욱 상세하게는, 본 발명은, 햅틱 인터페이스가 안정적으로 표시할 수 있는 임피던스 범위를 확장시키고 그 임피던스의 범위를 적응적으로 변화시킬 수 있는 햅틱 인터페이스를 위한 주파수 의존적 댐핑 생성 장치 및 이를 구비한 햅틱 인터페이스 구동 제어 장치에 대한 것이다. The present invention relates to a frequency dependent damping generating device for a haptic interface and a haptic interface drive control device having the same. More specifically, the present invention provides a frequency dependent damping generating device for a haptic interface that can expand the impedance range that the haptic interface can stably display and adaptively change the range of the impedance, and a haptic interface having the same. It is about a drive control apparatus.
본 발명은 상기한 목적을 달성하기 위하여, 햅틱 인터페이스의 구동 제어 장치에 사용되는 주파수 의존적 댐핑 생성 장치에 있어서, 구동 모터 제어 신호를 출력하는 제어부로부터의 입력 신호 중 고주파수의 신호를 통과시키는 하이패스 필터; 및 상기 제어부로부터의 신호와 상기 하이패스 필터를 통과한 신호를 합산하는 덧셈기를 포함하고, 상기 하이패스 필터 및 상기 덧셈기는 상기 구동 제어 장치의 파워 앰프 전단에 구비되는 것을 특징으로 하는 햅틱 인터페이스를 위한 주파수 의존적 댐핑 생성 장치를 제공한다. In order to achieve the above object, the present invention provides a frequency-dependent damping generating device used in a drive control device of a haptic interface, the high-pass filter for passing a high frequency signal of the input signal from the control unit for outputting a drive motor control signal ; And an adder for summing a signal from the controller and a signal passing through the high pass filter, wherein the high pass filter and the adder are provided in front of a power amplifier of the driving control device. Provided is a frequency dependent damping generating device.
햅틱, 햅틱 인터페이스, 구동 제어, 임피던스, 댐핑 Haptic, Haptic Interface, Drive Control, Impedance, Damping
Description
본 발명은 햅틱 인터페이스를 위한 주파수 의존적 댐핑 생성 장치 및 이를 구비한 햅틱 인터페이스 구동 제어 장치에 대한 것이다. 더욱 상세하게는, 본 발명은, 햅틱 인터페이스가 안정적으로 표시할 수 있는 임피던스 범위를 확장시키고 그 임피던스의 범위를 적응적으로 변화시킬 수 있는 햅틱 인터페이스를 위한 주파수 의존적 댐핑 생성 장치 및 이를 구비한 햅틱 인터페이스 구동 제어 장치에 대한 것이다. The present invention relates to a frequency dependent damping generating device for a haptic interface and a haptic interface drive control device having the same. More specifically, the present invention provides a frequency dependent damping generating device for a haptic interface that can expand the impedance range that the haptic interface can stably display and adaptively change the range of the impedance, and a haptic interface having the same. It is about a drive control apparatus.
인간-컴퓨터 상호작용에서 이용되는 햅틱(haptic) 인터페이스는 사용자 손의 움직임에 따라 발생하는 촉각정보를 사용자에게 적절히 전달함으로써 좀 더 높은 수준의 몰입감을 제공할 수 있다. 햅틱 인터페이스는 컴퓨터 마우스와 같이 입력장치로서 사용될 수 있을 뿐만 아니라 힘반영(force reflection)이 가능한 출력장치로도 사용될 수 있다. 이상적인 햅틱 인터페이스는 장치가 가상의 물체와 접촉하게 되면 가상물체의 임피던스(impedance)를 사용자에게 투명하게 전달할 수 있어야 하 며, 반대로 접촉하지 않고 자유운동 상태일 경우에는 아무런 임피던스도 전달하지 말아야 한다. 그러나 실제의 경우에 이러한 햅틱 인터페이스의 성능은 여러 가지 요소들에 의해 영향을 받는다.The haptic interface used in human-computer interaction can provide a higher level of immersion by appropriately conveying tactile information generated according to the movement of the user's hand to the user. The haptic interface can be used not only as an input device like a computer mouse, but also as an output device capable of force reflection. An ideal haptic interface should be able to transparently transmit the impedance of the virtual object to the user when the device comes in contact with the virtual object, and should not transmit any impedance when the device is in free motion without contact. In practice, however, the performance of this haptic interface is affected by many factors.
J. E. Colgate 등은 햅틱 인터페이스가 수동성(passivity)을 유지하면서 표현할 수 있는 임피던스의 동적인 범위(dynamic range)를 의미하는 Z-Width라는 성능지수 제안하였다(J. E. Colgate and G. G. Schenkel, "Passivity of a class of sampled-data systems: Application to haptic interfaces", Journal of Robotic System, vol. 14(1), pp. 37-47, 1997). 그리고 이 Z-Width에 영향을 미칠 수 있는 sample-and-hold, 인터페이스의 고유 동력학, 엔코더 양자화, 속도 필터링 등을 논의하였고, 그 중에서 주된 영향을 끼치는 요소는 인터페이스의 고유 댐핑이라는 것을 지적하였다. 또한 실험을 통하여 물리적 댐퍼가 Z-Width를 향상시키는 것에 중요한 역할을 하는 것을 보였다. 그러나 이러한 물리적 댐퍼를 적용하였을 경우에는 댐퍼에 의한 저항력이 향상 존재하게 되어 자유운동의 경우에도 사용자가 일정한 임피던스를 느끼게 되는 단점이 있었다. 그래서 결과적으로는 햅틱 인터페이스가 표현할 수 있는 임피던스의 범위는 늘어났지만 투명성이라는 측면이 약해지게 되었다. JE Colgate et al. Proposed a performance index called Z-Width, which represents the dynamic range of impedance that the haptic interface can express while maintaining passivity (JE Colgate and GG Schenkel, "Passivity of a class of sampled-data systems: Application to haptic interfaces ", Journal of Robotic Systems, vol. 14 (1), pp. 37-47, 1997). In addition, we discussed sample-and-hold, interface inherent dynamics, encoder quantization, and velocity filtering that can affect this Z-Width, and point out that the main influence is the inherent damping of the interface. The experiment also showed that the physical damper plays an important role in improving the Z-Width. However, when such a physical damper is applied, the resistance by the damper is improved, and thus there is a disadvantage in that the user feels a constant impedance even in the free movement. As a result, the range of impedance that the haptic interface can represent is increased, but the aspect of transparency is weakened.
한편, J. S. Mehling 등은 입력 주파수에 따라 댐핑값이 변하는 아날로그 댐핑 회로를 모터와 병렬로 연결하여 햅틱 인터페이스가 표현할 수 있는 임피던스 범위를 넓혔다(J. S. Mehling, J. E. Colgate, and M. A. Peshkin, "Increasing the impedance range of a haptic display by adding electrical damping", Proceedings of the First Joint Eurohaptics Conference and Symposium on Haptic Interfaces for Virtual Environment and Teleoperator Systems, pp. 257-262, 2005). 여기에서 아날로그 댐핑 회로는 고주파수 입력에 의해 발생하는 에너지 부분을 소비하는 역할을 하는데, 이는 고주파수 입력에 의해 발생할 수 있는 불안정성을 감소시켜 장치가 표현할 수 있는 임피던스의 범위를 넓히는 기능을 한다고 볼 수 있다. On the other hand, JS Mehling et al. Expanded the impedance range that the haptic interface can express by connecting analog damping circuits in which the damping value changes according to the input frequency in parallel with the motor. (JS Mehling, JE Colgate, and MA Peshkin, "Increasing the impedance range of a haptic display by adding electrical damping ", Proceedings of the First Joint Eurohaptics Conference and Symposium on Haptic Interfaces for Virtual Environment and Teleoperator Systems, pp. 257-262, 2005). In this case, the analog damping circuit consumes a portion of energy generated by the high frequency input, which reduces the instability caused by the high frequency input, thereby extending the range of impedance that the device can express.
도 1은 종래 구동 모터에 아날로그 댐핑 회로를 추가한 회로도이다. 1 is a circuit diagram in which an analog damping circuit is added to a conventional driving motor.
도 1에 따른 회로도는 구동 모터(1, 3 ; 도면부호 1은 모터의 전기파라미터이고 도면부호 3은 모터의 역기전력을 표시)에 아날로그 댐핑 회로(5)를 병렬로 연결한 구성을 나타낸다. 이러한 회로 구성은 햅틱 인터페이스에 불안정성을 야기시킬 수 있는 고주파수의 입력을 감소시켜 햅틱 인퍼테이스가 안정적으로 나타낼 수 있는 임피던스의 범위를 확장시키는 것을 목적으로 한 것이다. 한편, 도 1에서 구동 모터(1, 3)는 햅틱 인터페이스를 구동시키는 기능을 한다.The circuit diagram according to FIG. 1 shows a configuration in which the
도 1에 따른 회로도의 해석은 다음과 같다. The interpretation of the circuit diagram according to FIG. 1 is as follows.
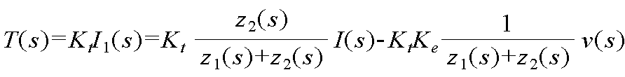
구동 모터(1, 3)의 임피던스(z1(s))와 아날로그 댐핑 회로(5)의 임피던스(z2(s))는 각각 수학식 1과 2로 나타낼 수 있다. A drive motor (1, 3) impedance (z 1 (s)) and the impedance (z 2 (s)) of the analog damping circuit (5) of each can be represented by
그러면, 모터와 댐핑 회로에 유입되는 전류는 수학식 3과 같이 표현될 수 있다. Then, the current flowing into the motor and the damping circuit can be expressed as
여기에서 역기전력은 수학식 4와 같이 표현될 수 있으므로, 구동 모터(1, 3)에 의해 발생하는 토크는 수학식 5와 같이 표현된다. Since the counter electromotive force can be expressed as Equation 4, the torque generated by the
수학식 5에서 볼 수 있듯이, 모터 토크(T(s))는 입력 전류와 구동 모터(1, 3)의 속도를 입력으로 하는 것을 볼 수 있다. 여기에서 입력 전류에 의한 영향은 임피던스 z1(s)와 z2(s)의 영향을 받게 되는데, z1(s)의 경우에는 구동 모터(1, 3)의 특성에 의해 결정되므로 오로지 z2(s)만을 적절히 선택하여 고주파수의 전류 입력을 감소시켜야 한다. 따라서 추가되는 아날로그 댐핑은 구동 모터의 특성에 영향을 받게 되므로, 구동 모터가 변경되는 경우에는 변경된 모터의 특성에 따라 아날로그 댐핑을 변경해야 한다는 단점이 있다. 또한 수학식 5에서 볼 수 있듯이, 햅틱 인터페이스가 자유운동 상태일 경우(I(s)=0)에도 모터 토크가 속도에 비례하는 역기전력에 따라 발생하게 되므로 자유운동 상태에서 힘반영의 투명성을 저해하는 문제점이 존재한다. As can be seen in
본 발명은, 햅틱 인터페이스가 안정적으로 표시할 수 있는 임피던스 범위를 확장시키고 그 임피던스를 적응적으로 변화시킬 수 있는 햅틱 인터페이스를 위한 주파수 의존적 댐핑 생성 장치 및 이를 구비한 햅틱 인터페이스 구동 제어 장치를 제공함을 그 목적으로 한다. The present invention provides a frequency dependent damping generating device for a haptic interface that can expand the impedance range that the haptic interface can stably display and adaptively change its impedance, and a haptic interface drive control device having the same. The purpose.
본 발명은 상기한 목적을 달성하기 위하여, 햅틱 인터페이스의 구동 제어 장치에 사용되는 주파수 의존적 댐핑 생성 장치에 있어서, 구동 모터 제어 신호를 출력하는 제어부로부터의 입력 신호 중 고주파수의 신호를 통과시키는 하이패스 필터; 및 상기 제어부로부터의 신호와 상기 하이패스 필터를 통과한 신호를 합산하는 덧셈기를 포함하고, 상기 하이패스 필터 및 상기 덧셈기는 상기 구동 제어 장치의 파워 앰프 전단에 구비되는 것을 특징으로 하는 햅틱 인터페이스를 위한 주파수 의존적 댐핑 생성 장치를 제공한다. In order to achieve the above object, the present invention provides a frequency-dependent damping generating device used in a drive control device of a haptic interface, the high-pass filter for passing a high frequency signal of the input signal from the control unit for outputting a drive motor control signal ; And an adder for summing a signal from the controller and a signal passing through the high pass filter, wherein the high pass filter and the adder are provided in front of a power amplifier of the driving control device. Provided is a frequency dependent damping generating device.
바람직하게는, 상기 하이 패스 필터와 상기 덧셈기 사이에는 선형 반파 정류를 수행하는 제 1 선형 반파 정류기가 구비된다. Preferably, a first linear half-wave rectifier for performing linear half-wave rectification is provided between the high pass filter and the adder.
더욱 바람직하게는, 상기 덧셈기 및 상기 파워 앰프 사이에는 선행 반파 정류를 수행하는 제 2 선형 반파 정류기가 구비된다. More preferably, a second linear half-wave rectifier is provided between the adder and the power amplifier to perform the preceding half-wave rectification.
한편, 본 발명의 또 다른 태양에 따르면, 본 발명은 햅틱 인터페이스의 구동 제어 장치에 사용되는 주파수 의존적 댐핑 생성 장치에 있어서, 제어부와 파워 앰 프 사이에 구비되는 제 1 댐핑 생성부와 제 2 댐핑 생성부; 상기 제어부의 제어 신호의 부호를 판별하는 비교기; 및 상기 비교기의 제어에 따라 상기 제 1 댐핑 생성부와 제 2 댐핑 생성부 중 어느 하나를 파워 앰프와 연결시키는 스위치부를 포함하며, 상기 제 1 댐핑 생성부와 상기 제 2 댐핑 생성부는 각각 상기 제어부로부터의 입력 신호 중 고주파수의 신호를 통과시키는 하이 패스 필터와, 상기 제어부로부터의 신호와 상기 하이패스 필터를 통과한 신호를 합산하는 덧셈기와, 적어도 하나의 선형 반파 정류기를 포함하되, 상기 제 1 댐핑 생성부의 선형 반파 정류기와 상기 제 2 댐핑 생성부의 선형 반파 정류기는 정류 특성이 반대되는 것을 특징으로 하는 햅틱 인터페이스를 위한 주파수 의존적 댐핑 생성 장치를 제공한다. On the other hand, according to another aspect of the present invention, the present invention is a frequency dependent damping generating device used in the drive control device of the haptic interface, the first damping generating unit and the second damping generation provided between the control unit and the power amplifier part; A comparator for determining a sign of a control signal of the controller; And a switch unit for connecting one of the first damping generator and the second damping generator to a power amplifier under the control of the comparator, wherein the first damping generator and the second damping generator are respectively provided from the controller. A high pass filter for passing a high frequency signal of an input signal of an adder; an adder for summing a signal from the control unit and a signal passing through the high pass filter; The negative linear half-wave rectifier and the linear half-wave rectifier of the second damping generator provide a frequency dependent damping generator for the haptic interface, characterized in that the commutation characteristics are reversed.
본 발명에 의하면, 햅틱 인터페이스로 입력되는 고주파수의 입력을 감소시키는 기능을 수행하여 시스템의 안정성을 향상시킬 수 있다. 또한, 본 발명에 의하면, 주파수 의존적 댐핑 생성 장치가 구동 모터의 파워단(power-stage)이 아닌 신호단(signal-stage)에 연결되기 때문에 다양한 아날로그 신호처리 방법 등을 사용할 수 있고 구동 모터의 전기적 파라미터에 상관없이 댐핑을 설계할 수 있어 좀 더 유연하게 적용될 수 있고, 회로의 저항이나 커패시턴스(Capacitance)를 가변시킬 수 있어 적응적으로 댐핑을 발생시키는 특징이 있다. According to the present invention, it is possible to improve the stability of the system by performing a function of reducing the input of the high frequency input to the haptic interface. In addition, according to the present invention, since the frequency-dependent damping generating device is connected to a signal stage instead of a power stage of the driving motor, various analog signal processing methods and the like can be used. Damping can be designed regardless of the parameter, so it can be applied more flexibly, and the resistance or capacitance of the circuit can be changed to adaptively generate damping.
또한, 본 발명에 따르면 종래 기술에서 아날로그 댐핑 회로를 파워단에 연결함에 따라 발생하던 저주파수 영역에서의 시스템 inertia가 증가하는 문제를 피할 수 있으며, 햅틱 인터페이스를 통한 햅틱 상호작용에서의 안정성을 향상시켜 햅틱 인터페이스가 안정적으로 표현할 수 있는 임피던스의 범위를 확장시킬 수 있다. In addition, according to the present invention, it is possible to avoid the problem of increasing the system inertia in the low frequency region caused by connecting the analog damping circuit to the power stage in the prior art, and improving the stability in the haptic interaction through the haptic interface. The range of impedances that the interface can reliably represent can be extended.
이하, 본 발명의 바람직한 실시예를 첨부된 도면들을 참조하여 상세히 설명한다. 우선 각 도면의 구성 요소들에 참조 부호를 부가함에 있어서, 동일한 구성 요소들에 대해서는 비록 다른 도면상에 표시되더라도 가능한 한 동일한 부호를 가지도록 하고 있음에 유의해야 한다. 또한, 본 발명을 설명함에 있어, 관련된 공지 구성 또는 기능에 대한 구체적인 설명이 본 발명의 요지를 흐릴 수 있다고 판단되는 경우에는 그 상세한 설명은 생략한다. 또한, 이하에서 본 발명의 바람직한 실시예를 설명할 것이나, 본 발명의 기술적 사상은 이에 한정하거나 제한되지 않고 당업자에 의해 변형되어 다양하게 실시될 수 있음은 물론이다.Hereinafter, exemplary embodiments of the present invention will be described in detail with reference to the accompanying drawings. First, in adding reference numerals to the components of each drawing, it should be noted that the same reference numerals are assigned to the same components as much as possible, even if shown on different drawings. In the following description of the present invention, a detailed description of known functions and configurations incorporated herein will be omitted when it may make the subject matter of the present invention rather unclear. In addition, the following will describe a preferred embodiment of the present invention, but the technical idea of the present invention is not limited thereto and may be variously modified and modified by those skilled in the art.
본 발명의 특징은 햅틱 인터페이스를 이용하여 안정적으로 표시할 수 있는 가상 환경의 임피던스 범위를 확장시키기 위한 주파수 의존적 댐핑 생성 장치에 특징이 있다. 상기 주파수 의존적 댐핑 생성 장치는 주파수에 따라 변하는 댐핑 요소를 햅틱 인터페이스의 제어기와 파워앰프 사이에 추가하는 것이다. 주파수 의존적 댐핑 생성 장치는 햅틱 인터페이스로 입력되는 고주파수의 입력을 감소시키는 기능을 수행하여 시스템의 안정성을 향상시킨다. The present invention is characterized by a frequency dependent damping generating device for extending the impedance range of a virtual environment that can be stably displayed using a haptic interface. The frequency dependent damping generating device adds a frequency varying damping element between the controller of the haptic interface and the power amplifier. The frequency dependent damping generating device improves the stability of the system by performing a function of reducing the high frequency input to the haptic interface.
주파수 의존적 댐핑 생성 장치는 구동 모터의 파워단(power-stage)이 아닌 신호단(signal-stage)에 연결되기 때문에 다양한 아날로그 신호처리 방법 등을 사용할 수 있고 구동 모터의 전기적 파라미터에 상관없이 댐핑을 설계할 수 있어 좀 더 유연하게 적용될 수 있고, 회로의 저항이나 커패시턴스(Capacitance)를 가변시 킬 수 있어 적응적으로 댐핑을 발생시키는 특징이 있다. 본 발명에 따르면 종래 기술에서 아날로그 댐핑 회로를 파워단에 연결함에 따라 발생하던 저주파수 영역에서의 시스템 inertia가 증가하는 문제를 피할 수 있으며, 햅틱 인터페이스를 통한 햅틱 상호작용에서의 안정성을 향상시켜 햅틱 인터페이스가 안정적으로 표시할 수 있는 임피던스의 범위를 확장시킬 수 있다. Since the frequency dependent damping generator is connected to the signal stage instead of the power stage of the drive motor, various analog signal processing methods can be used and the damping can be designed regardless of the electrical parameters of the drive motor. It can be applied more flexibly, and it is possible to vary the resistance or capacitance of the circuit to adaptively generate damping. According to the present invention, it is possible to avoid the problem of increasing the system inertia in the low frequency region caused by connecting the analog damping circuit to the power stage in the prior art, and improving the stability in haptic interaction through the haptic interface. The range of impedance that can be displayed stably can be extended.
도 2는 본 발명의 바람직한 실시예에 따른 햅틱 인터페이스를 위한 주파수 의존적 댐핑 생성 장치의 기본 개념을 도시한 회로도이다. 2 is a circuit diagram illustrating a basic concept of a frequency dependent damping generating device for a haptic interface according to a preferred embodiment of the present invention.
전술한 바와 같이 본 발명은 댐핑 생성 장치(20)를 구동 모터(1, 3)의 구동을 위한 구동기의 파워 앰프(10) 전단에 구비된다. As described above, the present invention includes the damping generating
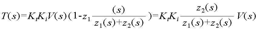
도 2을 참조하면, 파워 앰프(10)는 수학식 6과 같은 입력 전압과 전류의 관계를 가진다. Referring to FIG. 2, the
도 2와 같이 파워 앰프(10) 전단에 필터로 구성된 댐핑 생성 장치(20)를 추가하면, 구동 모터(1, 3)의 토크는 수학식 7과 같이 표현된다. As shown in FIG. 2, when the damping
수학식 7은 다시 수학식 8과 같이 표현될 수 있다. Equation 7 may be expressed as Equation 8 again.
수학식 8에 따르면, 모터 토크는 전압(v)만을 입력으로 가지며, 역기전력에 의한 입력은 존재하지 않음을 확인할 수 있다. 따라서, 도 2와 같은 구동 회로에 있어서는 햅틱 인터페이스가 자유 운동 상태일 경우(V(s)=0)에는 댐핑 생성 회로가 모터 토크에는 영향을 주지 않고, 자유 운동에서의 투명성에는 영향을 끼치지 않음을 알 수 있다. 또한, 도 2의 경우 기존의 방법과는 달리 구동 모터의 특성에 상관없이 댐핑 회로를 설계할 수 있어 좀 더 유연한 설계가 가능하다. 더불어 댐핑 회로의 저항과 커패시턴스 값을 변화시켜 적응형 댐핑 회로를 용이하게 설계할 수 있다. According to Equation 8, it can be seen that the motor torque has only a voltage v as an input and no input due to counter electromotive force exists. Therefore, in the driving circuit as shown in FIG. 2, when the haptic interface is in the free motion state (V (s) = 0), the damping generation circuit does not affect the motor torque and does not affect the transparency in the free motion. It can be seen. In addition, in the case of FIG. 2, unlike the conventional method, the damping circuit can be designed regardless of the characteristics of the driving motor, thereby enabling a more flexible design. In addition, the adaptive damping circuit can be easily designed by changing the resistance and capacitance values of the damping circuit.
그러나 도 2에 따른 구동 회로의 경우, 필터의 동력학적인 특성으로 인해 햅틱 인터랙션 포인트가 가상 물체로부터 떨어질 때 출력의 느린 감소를 나타내며, 출력의 느린 감소는 힘 반영에서 투명성을 저해하고 불필요한 입력을 발생시켜 시스템의 안정성을 해칠 수 있는 단점이 있다. 이러한 단점을 해결하기 위하여 두 개의 선형 반파정류기를 하이패스 필터와 덧셈기 사이, 그리고 덧셈기와 파워앰프 사이에 각각 추가한다. 또한 상기의 선형 반파정류기는 필터링으로 인해 발생하는 에너지의 발생을 감소시켜 안정성에 도움을 준다.However, in the case of the driving circuit according to FIG. 2, due to the dynamic characteristics of the filter, the haptic interaction point shows a slow decrease of the output when falling from the virtual object, and the slow decrease of the output inhibits transparency in force reflection and generates unnecessary input. There are disadvantages that can compromise the stability of the system. To solve this problem, two linear half-wave rectifiers are added between the high pass filter and the adder, and between the adder and the power amplifier. In addition, the linear half-wave rectifier reduces the generation of energy generated by the filtering to help stability.
도 3은 본 발명의 바람직한 실시예에 따른 햅틱 인터페이스를 위한 주파수 의존적 댐핑 생성 장치의 블록도이다. 3 is a block diagram of a frequency dependent damping generating device for a haptic interface according to a preferred embodiment of the present invention.
댐핑 생성 장치(20)는 파워 앰프(10)의 전단에 구비되며, 햅틱 인터페이스의 구동 모터 제어를 위한 제어부(30)로부터의 신호를 처리한 후 파워 앰프(10)로 전달하는 기능을 수행한다. 도 3에서, 제어부(30)는 햅틱 인터페이스의 구동 모터의 구동을 제어하기 위한 제어 신호를 생성하는 기능을 수행하며, 파워 앰프(10)는 제어 신호를 증폭하여 햅틱 인터페이스의 구동 모터로 전달하는 기능을 수행한다. 이에 따라 제어부(30)와 댐핑 생성 장치(20)는 햅틱 인터페이스 구동 제어 장치를 구성하게 된다. The damping
도 3을 참조하면, 댐핑 생성 장치(20)는 하이패스 필터(22), 제 1 선형 반파 정류기(24), 덧셈기(26), 및 제 2 선형 반파 정류기(28)를 포함한다. Referring to FIG. 3, the damping
하이패스 필터(22)는 입력 신호로부터 고주파수의 신호를 통과시키는 기능을 수행한다. 제 1 선형 반파 정류기(24)는 하이패스 필터(22)를 통과한 신호에 대한 선형 반파 정류를 수행한다. 덧셈기(26)는 하이패스 필터(22)와 제 1 선형 반파 정류기(24)를 통과한 신호와 제어부로부터의 신호를 합산하는 기능을 수행한다. 제 2 선형 반파 정류기(28)는 덧셈기(26)를 통과한 신호에 대한 선형 반파 정류기능을 수행한다. The
하이패스 필터(22)와 덧셈기(26)의 조합은 실질적으로는 로우패스 필터와 동일한 기능을 수행한다. The combination of the
제 1 선형 반파 정류기(24)와 제 2 선형 반파 정류기(28)의 구체적인 기능은 도 4를 참조하면 명확하게 나타난다. Specific functions of the first linear half-
도 4a 내지 도 4c는 제 1 및 제 2 선형 반파 정류기의 기능을 설명하는 도면이다. 4A-4C are diagrams illustrating the function of the first and second linear half-wave rectifiers.
햅틱 인터페이스가 높은 강성(stiffness)을 가지는 가상벽에 접촉한 경우에 있어서 제어부로부터의 입력 신호와 하이패스 필터(22)와 덧셈기(26)를 통과한 신호(1-Ghpf(s))에 대해, 도 4a는 선형 반파 정류기를 사용하지 않은 경우를, 도 4b는 제 1 선형 반파 정류기(24)를 사용한 경우를, 도 4c는 제 1 선형 반파 정류기(24)와 제 2 선형 반파 정류기(28)를 모두 사용한 경우를 도시한다. When the haptic interface is in contact with a virtual wall having high stiffness, the input signal from the controller and the signal (1-G hpf (s)) passing through the
도 4a를 참조하면, 선형 반파 정류기를 전혀 사용하지 않는 경우 가상벽으로부터 햅틱 인터페이스가 떨어진 이후 덧셈기(26)를 통과한 신호가 느리게 감소하여 시간 지연이 발생하고, 감소한 이후에는 음의 임피던스를 발생시킴을 알 수 있다. 음의 임피던스는 가상 물체가 잡아당기는 듯한 느낌을 줄 수 있어 사용자에게 실제와는 다른 역감을 제시하게 된다. Referring to FIG. 4A, when the linear half-wave rectifier is not used at all, the signal passing through the
이에 대해 도 4b를 참조하면, 제 1 선형 반파 정류기(24)를 사용한 경우 임피던스가 빠르게 감소하게 된다. 이는 실제 임피던스 출력에 가깝게 만들어 투명성을 높일 수 있고 바람직하지 못한 입력에 의한 에너지 발생을 억제시킴으로써 전체 에너지 입력의 크기를 감소시켜 시스템을 더 안정하게 만든다. 더불어 도 4c를 참조하면 제 2 선형 반파 정류기(28)를 사용하면 음의 임피던스를 제거할 수 있게 된다. Referring to FIG. 4B, when the first linear half-
한편, 전술한 바와 같이 본 발명에 있어서는 로우패스 필터 대신에 하이패스 필터(22)와 덧셈기(26)를 사용하는데, 하이패스 필터(22)와 덧셈기(26)의 조합 사용으로 인해 덧셈기(26) 전단에 제 1 선형 반파 정류기(24)를 배치시킬 수 있는 것이다. Meanwhile, as described above, in the present invention, the
다음으로 본 발명의 바람직한 다른 실시예에 따른 햅틱 인터페이스를 위한 주파수 의존적 댐핑 생성 장치를 설명하도록 한다. Next, a frequency dependent damping generating device for a haptic interface according to another exemplary embodiment of the present invention will be described.
이상에서 설명한 본 발명에 따른 주파수 의존적 댐핑 생성 장치는 선형 반파 정류기를 포함하고 있어 출력이 양 또는 음 어느 한 방향으로만 가능한 단점이 존재한다. The frequency-dependent damping generating device according to the present invention described above includes a linear half-wave rectifier, and thus has a disadvantage in that the output can be in only a positive or negative direction.
이를 해결하기 위하여 본 발명의 다른 실시예에 따른 햅틱 인터페이스를 위한 주파수 의존적 댐핑 생성 장치는 두 개의 댐핑 생성부를 포함함을 특징으로 한다. In order to solve this problem, the frequency dependent damping generating device for the haptic interface according to another embodiment of the present invention is characterized by including two damping generating units.
도 5는 본 발명의 바람직한 다른 실시예에 따른 햅틱 인터페이스를 위한 주파수 의존적 댐핑 생성 장치의 블록도이다. 5 is a block diagram of a frequency dependent damping generation device for a haptic interface according to another preferred embodiment of the present invention.
본 발명의 다른 실시예에 따른 햅틱 인터페이스를 위한 주파수 의존적 댐핑 생성 장치(20′)는 제어부(30)와 파워 앰프(10)의 사이에 구비되는 것으로서, 제 1 댐핑 생성부(20a)와 제 2 댐핑 생성부를(20b) 포함하며, 비교기(50)와 스위치부(60)를 추가로 포함한다. The frequency dependent damping generating device 20 'for the haptic interface according to another embodiment of the present invention is provided between the
제 1 댐핑 생성부(20a)와 제 2 댐핑 생성부(20b)의 구성은 도 3에서 설명한 바와 동일하다. 다만, 제 1 댐핑 생성부(20a)에 포함되는 선형 반파 정류기(24a, 28a)와 제 2 댐핑 생성부(20b)에 포함되는 선형 반파 정류기(24b, 28b)는 도 5에 도시된 바와 같이 정류 특성이 서로 반대된다. 예컨대, 제 1 댐핑 생성부(20a)에 포함되는 선형 반파 정류기(24a, 28a)는 입력이 양(positive)의 값을 가질 경우에 신호를 통과시키고, 제 2 댐핑 생성부(20b)에 포함되는 선형 반파 정류기(24b, 28b)는 입력이 음(negative)의 값을 가질 경우에 신호를 통과시킨다. The configuration of the first damping
비교기(50)는 제어부(30)의 출력 신호의 부호를 판단하는 기능을 수행한다. 스위치부(60)는 비교기(50)의 제어에 따라 제 1 댐핑 생성부(20a)와 제 2 댐핑 생성부(20b)의 출력 신호 중 어느 하나가 파워 앰프(10)에 전달되도록 스위칭하는 기능을 수행한다. 이에 따라 비교기(50)는 제어부(30)의 출력 신호의 부호가 양(+)일 경우 스위치부(60)가 제 1 댐핑 생성부(20a)와 파워 앰프(10)를 연결하도록 하고, 제어부(30)의 출력 신호의 부호가 음(-)일 경우 스위치부(60)가 제 2 댐핑 생성부(20b)와 파워 앰프(10)를 연결하도록 한다. The
이상의 설명은 본 발명의 기술 사상을 예시적으로 설명한 것에 불과한 것으로서, 본 발명이 속하는 기술 분야에서 통상의 지식을 가진 자라면 본 발명의 본질적인 특성에서 벗어나지 않는 범위 내에서 다양한 수정, 변경 및 치환이 가능할 것이다. 따라서, 본 발명에 개시된 실시예 및 첨부된 도면들은 본 발명의 기술 사상을 한정하기 위한 것이 아니라 설명하기 위한 것이고, 이러한 실시예 및 첨부된 도면에 의하여 본 발명의 기술 사상의 범위가 한정되는 것은 아니다. 본 발명의 보호 범위는 아래의 청구범위에 의하여 해석되어야 하며, 그와 동등한 범위 내에 있는 모든 기술 사상은 본 발명의 권리범위에 포함되는 것으로 해석되어야 할 것이다.The above description is merely illustrative of the technical idea of the present invention, and various modifications, changes, and substitutions may be made by those skilled in the art without departing from the essential characteristics of the present invention. will be. Accordingly, the embodiments disclosed in the present invention and the accompanying drawings are not intended to limit the technical spirit of the present invention but to describe the present invention, and the scope of the technical idea of the present invention is not limited by the embodiments and the accompanying drawings. . The protection scope of the present invention should be interpreted by the following claims, and all technical ideas within the equivalent scope should be interpreted as being included in the scope of the present invention.
도 1은 종래 구동 모터에 아날로그 댐핑 회로를 추가한 회로도,1 is a circuit diagram of adding an analog damping circuit to a conventional drive motor,
도 2는 본 발명의 바람직한 실시예에 따른 햅틱 인터페이스를 위한 주파수 의존적 댐핑 생성 장치의 기본 개념을 도시한 회로도,2 is a circuit diagram showing a basic concept of a frequency dependent damping generating device for a haptic interface according to a preferred embodiment of the present invention;
도 3은 본 발명의 바람직한 실시예에 따른 햅틱 인터페이스를 위한 주파수 의존적 댐핑 생성 장치의 블록도,3 is a block diagram of a frequency dependent damping generating device for a haptic interface according to a preferred embodiment of the present invention;
도 4a 내지 도 4c는 제 1 및 제 2 선형 반파 정류기의 기능을 설명하는 도면,4A-4C illustrate the function of the first and second linear half-wave rectifiers,
도 5는 본 발명의 바람직한 다른 실시예에 따른 햅틱 인터페이스를 위한 주파수 의존적 댐핑 생성 장치의 블록도이다. 5 is a block diagram of a frequency dependent damping generation device for a haptic interface according to another preferred embodiment of the present invention.
<도면의 주요 부분에 대한 도면부호의 설명><Description of reference numerals for the main parts of the drawings>
1과 3 : 구동 모터 10 : 파워 앰프1 and 3: drive motor 10: power amplifier
20 : 댐핑 생성 장치 22 : 하이패스 필터20: damping generating device 22: high pass filter
24 : 제 1 선형 반파 정류기 26 : 덧셈기24: first linear half-wave rectifier 26: adder
28 : 제 2 선형 반파 정류기 30 : 제어부28 second linear half-
Claims (5)
Priority Applications (1)
| Application Number | Priority Date | Filing Date | Title |
|---|---|---|---|
| KR1020080115158A KR101103684B1 (en) | 2008-11-19 | 2008-11-19 | Frequency dependent damping generation device for haptic interface and haptic interface drive control device having same |
Applications Claiming Priority (1)
| Application Number | Priority Date | Filing Date | Title |
|---|---|---|---|
| KR1020080115158A KR101103684B1 (en) | 2008-11-19 | 2008-11-19 | Frequency dependent damping generation device for haptic interface and haptic interface drive control device having same |
Publications (2)
| Publication Number | Publication Date |
|---|---|
| KR20100056135A KR20100056135A (en) | 2010-05-27 |
| KR101103684B1 true KR101103684B1 (en) | 2012-01-11 |
Family
ID=42280346
Family Applications (1)
| Application Number | Title | Priority Date | Filing Date |
|---|---|---|---|
| KR1020080115158A Expired - Fee Related KR101103684B1 (en) | 2008-11-19 | 2008-11-19 | Frequency dependent damping generation device for haptic interface and haptic interface drive control device having same |
Country Status (1)
| Country | Link |
|---|---|
| KR (1) | KR101103684B1 (en) |
Citations (1)
| Publication number | Priority date | Publication date | Assignee | Title |
|---|---|---|---|---|
| US5684722A (en) | 1994-09-21 | 1997-11-04 | Thorner; Craig | Apparatus and method for generating a control signal for a tactile sensation generator |
-
2008
- 2008-11-19 KR KR1020080115158A patent/KR101103684B1/en not_active Expired - Fee Related
Patent Citations (1)
| Publication number | Priority date | Publication date | Assignee | Title |
|---|---|---|---|---|
| US5684722A (en) | 1994-09-21 | 1997-11-04 | Thorner; Craig | Apparatus and method for generating a control signal for a tactile sensation generator |
Non-Patent Citations (1)
| Title |
|---|
| 논문(2008.07)* |
Also Published As
| Publication number | Publication date |
|---|---|
| KR20100056135A (en) | 2010-05-27 |
Similar Documents
| Publication | Publication Date | Title |
|---|---|---|
| CN101395056A (en) | Electric power steering control device | |
| WO2004082120A3 (en) | Method and device for sensorless vector control for ac motor | |
| US20190304267A1 (en) | Haptic output device | |
| Qiao et al. | Haptic communication: Toward 5G tactile internet | |
| Hirche et al. | Transparent data reduction in networked telepresence and teleaction systems. part ii: Time-delayed communication | |
| CN108628456A (en) | The system of support tactile with braking | |
| Hinterseer et al. | Model based data compression for 3D virtual haptic teleinteraction | |
| AU2001250475A1 (en) | Motor with phase advance angle | |
| CN107315372A (en) | Intelligence structure control system based on ARM+DSP | |
| KR101103684B1 (en) | Frequency dependent damping generation device for haptic interface and haptic interface drive control device having same | |
| TW202010239A (en) | Control system and vibration control method for linear resonant actuator | |
| KR101435223B1 (en) | How to operate the converter circuit | |
| JP2016208810A (en) | Power converter | |
| CN1677835A (en) | Stepping motor control apparatus | |
| ATE350264T1 (en) | DYNAMIC, SAFETY-RELEVANT HIGH-CURRENT CONSUMER IN A MOTOR VEHICLE NETWORK | |
| Lee | Extension of colgate's passivity condition for variable-rate haptics | |
| Lawrence et al. | Bow spring/tendon actuation for low cost haptic interfaces | |
| JPH1165679A (en) | Vibration isolation device for storing vibration energy as electrical energy and operating active control | |
| Wen et al. | QoE assessment of weight perception in remote robot system with force feedback | |
| Lim et al. | Analogue input shaper for haptic interfaces | |
| KR101071357B1 (en) | The Frequency-Dependent Damping Generation Device for improve contact hardness, and the method thereof | |
| Lim et al. | Stability enhancement of haptic interaction by analog input shaper and its application to scaled teleoperation | |
| CN220709641U (en) | Flexible wearable device for tactile feedback | |
| Vasudevan et al. | Rendering stiffer walls: a hybrid haptic system using continuous and discrete time feedback | |
| Lim et al. | An analog input shaper for stability enhancement of haptic interfaces and its application to energy-bounding algorithm |
Legal Events
| Date | Code | Title | Description |
|---|---|---|---|
| A201 | Request for examination | ||
| PA0109 | Patent application |
St.27 status event code: A-0-1-A10-A12-nap-PA0109 |
|
| PA0201 | Request for examination |
St.27 status event code: A-1-2-D10-D11-exm-PA0201 |
|
| D13-X000 | Search requested |
St.27 status event code: A-1-2-D10-D13-srh-X000 |
|
| D14-X000 | Search report completed |
St.27 status event code: A-1-2-D10-D14-srh-X000 |
|
| PG1501 | Laying open of application |
St.27 status event code: A-1-1-Q10-Q12-nap-PG1501 |
|
| E902 | Notification of reason for refusal | ||
| PE0902 | Notice of grounds for rejection |
St.27 status event code: A-1-2-D10-D21-exm-PE0902 |
|
| AMND | Amendment | ||
| E13-X000 | Pre-grant limitation requested |
St.27 status event code: A-2-3-E10-E13-lim-X000 |
|
| P11-X000 | Amendment of application requested |
St.27 status event code: A-2-2-P10-P11-nap-X000 |
|
| PE0801 | Dismissal of amendment |
St.27 status event code: A-2-2-P10-P12-nap-PE0801 |
|
| E601 | Decision to refuse application | ||
| PE0601 | Decision on rejection of patent |
St.27 status event code: N-2-6-B10-B15-exm-PE0601 |
|
| AMND | Amendment | ||
| E13-X000 | Pre-grant limitation requested |
St.27 status event code: A-2-3-E10-E13-lim-X000 |
|
| J201 | Request for trial against refusal decision | ||
| P11-X000 | Amendment of application requested |
St.27 status event code: A-2-2-P10-P11-nap-X000 |
|
| P13-X000 | Application amended |
St.27 status event code: A-2-2-P10-P13-nap-X000 |
|
| PJ0201 | Trial against decision of rejection |
St.27 status event code: A-3-3-V10-V11-apl-PJ0201 |
|
| PB0901 | Examination by re-examination before a trial |
St.27 status event code: A-6-3-E10-E12-rex-PB0901 |
|
| E902 | Notification of reason for refusal | ||
| PE0902 | Notice of grounds for rejection |
St.27 status event code: A-1-2-D10-D21-exm-PE0902 |
|
| E13-X000 | Pre-grant limitation requested |
St.27 status event code: A-2-3-E10-E13-lim-X000 |
|
| P11-X000 | Amendment of application requested |
St.27 status event code: A-2-2-P10-P11-nap-X000 |
|
| P13-X000 | Application amended |
St.27 status event code: A-2-2-P10-P13-nap-X000 |
|
| PN2301 | Change of applicant |
St.27 status event code: A-3-3-R10-R13-asn-PN2301 St.27 status event code: A-3-3-R10-R11-asn-PN2301 |
|
| B701 | Decision to grant | ||
| PB0701 | Decision of registration after re-examination before a trial |
St.27 status event code: A-3-4-F10-F13-rex-PB0701 |
|
| GRNT | Written decision to grant | ||
| PR0701 | Registration of establishment |
St.27 status event code: A-2-4-F10-F11-exm-PR0701 |
|
| PR1002 | Payment of registration fee |
St.27 status event code: A-2-2-U10-U11-oth-PR1002 Fee payment year number: 1 |
|
| PG1601 | Publication of registration |
St.27 status event code: A-4-4-Q10-Q13-nap-PG1601 |
|
| FPAY | Annual fee payment |
Payment date: 20141218 Year of fee payment: 4 |
|
| PR1001 | Payment of annual fee |
St.27 status event code: A-4-4-U10-U11-oth-PR1001 Fee payment year number: 4 |
|
| FPAY | Annual fee payment |
Payment date: 20151217 Year of fee payment: 5 |
|
| PR1001 | Payment of annual fee |
St.27 status event code: A-4-4-U10-U11-oth-PR1001 Fee payment year number: 5 |
|
| FPAY | Annual fee payment |
Payment date: 20161219 Year of fee payment: 6 |
|
| PR1001 | Payment of annual fee |
St.27 status event code: A-4-4-U10-U11-oth-PR1001 Fee payment year number: 6 |
|
| PR1001 | Payment of annual fee |
St.27 status event code: A-4-4-U10-U11-oth-PR1001 Fee payment year number: 7 |
|
| P22-X000 | Classification modified |
St.27 status event code: A-4-4-P10-P22-nap-X000 |
|
| LAPS | Lapse due to unpaid annual fee | ||
| PC1903 | Unpaid annual fee |
St.27 status event code: A-4-4-U10-U13-oth-PC1903 Not in force date: 20190103 Payment event data comment text: Termination Category : DEFAULT_OF_REGISTRATION_FEE |
|
| PC1903 | Unpaid annual fee |
St.27 status event code: N-4-6-H10-H13-oth-PC1903 Ip right cessation event data comment text: Termination Category : DEFAULT_OF_REGISTRATION_FEE Not in force date: 20190103 |
|
| R18-X000 | Changes to party contact information recorded |
St.27 status event code: A-5-5-R10-R18-oth-X000 |
|
| R18-X000 | Changes to party contact information recorded |
St.27 status event code: A-5-5-R10-R18-oth-X000 |




